Green Communication
Department of Electronics & Communication Engineering
National Institute of Technology, Rourkela
Varun Kumar
and
Prof . Sarat Kumar Patra
Outline:
 Objective
 Literature Survey
 Technical Challenges
 Open Research Issues in Green Communication
 Simulation Result
 Future Work
Introduction:
Green communication is a growing research area in wireless
communication. To make an energy efficient wireless
communication without disturbing the other performance matrices
(Capacity, BER etc).
Objective
 To protect environment from harmful EM radiation
 reducing green house gas
 Reducing operational cost for wireless network.
Holistic Green Communication Research Vision:
Literature Survey
Year Title Author Contribution
2002 Communication Over Fading Channels with Delay
Constraints, IEEE Transaction on Information
Theory
Randall A berry and
Robert G. Gallanger
Impact of delay on SNR
2003 Diversity and Multiplexing: A Fundamental
Tradeoff in Multiple-Antenna Channels, IEEE
Transaction on Information Theory
Lizhong Zheng, David
N.C Tse
Tradeoff analysis between
diversity and multiplexing
2007 Power Control by Geometric Programming ,
IEEE Transaction on wireless Communication
Mung Chiang,Chee wei
Tan,Daniel P.Palomar
Power control analysis using
convex optimization
2012 Energy-Aware Resource Allocation for
Cooperative Cellular Network Using Multi-
Objective Optimization Approach , IEEE
Transaction on Wireless Communication
Rajiv Devrajan, Satish
C.Jha,Umesh Phuyal,Vijay
K Bhargava
Optimum solution between
capacity maximization and
power minimization (𝑃𝑠 𝑎𝑛𝑑 𝑃𝑟)
2012 Robust Power Allocation Designs for Cognitive
Radio Networks with Cooperative Relays, in
proceeding IEEE ICC 2012
Shankhanaad Mallick
,Vijay K Bhargavas
Analysis of deterministic
channel model vs probabilistic
channel model
Continued--
Year Title Author Contribution
2013 Energy Aware Power Allocation in Cooperative
Communication System with Imperfect CSI,``IEEE
Transaction on Communications”
Rajiv Devrajan, Anjana
Punchihewa, Vijay K
Bhargava
Power optimization and finding
end to end SNR in cooperative
networks
2013 Massive MIMO in the UL/DL of cellular Networks:
How Many Antenna Do We Need?,``IEEE Journal
on Selected Area in Communication
Jakob Hoydis, Stephan ten
Brink, Merouane Debbah
Number of Antenna
optimization using different
detection scheme
2014 An overview of Massive MIMO: Benefits and
Challenges, IEEE Journal of Selected Topics in
Signal Processing
Lu Lu, Geoffrey ye Li, Rui
zhang
Fundamental of Massive MIMO
and its design challenge
2015 Energy-Spectrum Efficiency trade off for a Massive
SU-MIMO System with Transceiver Power
Consumption , in Proceeding ICC
Sudarshan Mukherjee and
Saif Khan Mohammed
Relation between channel gain ,
number of antenna, EE and SE
Energy Consumption Survey
(ICT) industry include the energy requirements as follows;
 PCs and monitor == 40% , Data Centre == 23% , Fixed and mobile telecommunication == 24%
----------------------------------------------------------------------------------
40% Power requirement == Grid Electricity
60% Power requirement == Diesel Gen-Set
1 litre petrol ==2.3Kgs CO2
Total number of tower==3.1 Lac (2010) (10-15KVA gen-set – 2lit/hr)
-----------------------------------------------------------------------------------
9 million tones of CO2/year==Diesel Gen-set
5 million tones of CO2/𝑦𝑒𝑎𝑟== Power grid Ref—trai.gov.in
Continued-
Frequency in MHz Power density limit (in 𝑾/𝒎 𝟐)
900 0.45
1800 0.90
2100 and above 1.00
Some Guidelines
Wireless Resources Trading Model (Challenges):
Power Consumption Parameter in wireless domain:
 Distance
 Surrounding environment
 Total number of user in a cell
 Capacity
 Delay in signal reception
 Inter-cell Interference
 BER or 𝑃𝑒
 SE and EE
 Number of Antenna
 Modulation Technique
Free space path loss equation:
𝑃𝑟 𝑑, 𝑓𝑐, 𝑃𝑡 =
𝑃𝑡 𝐺𝑡 𝐺𝑟 𝜆2
4𝜋𝑑2 𝑤ℎ𝑒𝑟𝑒 𝜆 =
1
𝑓𝑐
Spectrum Utilization
Ref—Nokia Research Centre
𝐶 = 𝐵𝑙𝑜𝑔2(1 + 𝑆𝑁𝑅)𝐶 = 𝐵𝑙𝑜𝑔2(1 + 𝑆𝑁𝑅)
Complex vs Simple Wireless Model and Adaptive Modulation Demodulation Approach:
Some Existing Solution for Energy Saving in Wireless Domain:
There are technique like
• MIMO HARQ (3G/4G)
• Beamforming
• wireless mess networks
• Distributed equipment
Impact of Proper Channel Estimation for Energy Saving:
Detection and Estimation:
MF,ZF,MMSE, MLE,MAP, MVU
Emerging Area or Open Research Area for Green Communication:
 MIMO (3G/4G) or Massive MIMO(5G)
Co-Operative Communication (D2D Communication)
Space Time Wireless Communication (O-STBC, STTC)
Role of Multiple Antenna System
• To increase diversity
• To increase multiplexing gain
• SNR improvement through beamforming
Massive MIMO Architecture:
1st Case Study
M= 𝑇𝑜𝑡𝑎𝑙 𝑛𝑜 𝑜𝑓 𝑎𝑛𝑡𝑒𝑛𝑛𝑎 𝑎𝑐𝑟𝑜𝑠𝑠 𝑏𝑎𝑠𝑒 𝑠𝑡𝑎𝑡𝑖𝑜𝑛
ɳ = 𝐸𝑛𝑒𝑟𝑔𝑦 𝐸𝑓𝑓𝑖𝑐𝑖𝑛𝑒𝑐𝑦
𝑓𝑃𝐴 = 𝑃𝑜𝑤𝑒𝑟 𝐴𝑚𝑝𝑙𝑖𝑓𝑖𝑒𝑟 𝐸𝑓𝑓𝑖𝑐𝑖𝑒𝑛𝑐𝑦
𝑃𝑅𝐹 = 𝑅𝐹 𝑝𝑤𝑒𝑟 𝑐𝑜𝑛𝑠𝑢𝑚𝑝𝑡𝑖𝑜𝑛 𝑖𝑛 𝑅𝐹 𝑐ℎ𝑎𝑖𝑛𝑠
, 𝑝𝑜𝑤𝑒𝑟 𝑎𝑚𝑝𝑙𝑖𝑓𝑖𝑒𝑟𝑠 𝑎𝑛𝑑 𝑜𝑠𝑐𝑖𝑙𝑙𝑎𝑡𝑜𝑟
𝑃𝐿𝑃 = 𝐷𝑢𝑒 𝑡𝑜 𝑐𝑜𝑛𝑗𝑢𝑔𝑎𝑡𝑒 𝑏𝑒𝑎𝑚𝑓𝑜𝑟𝑚𝑖𝑛𝑔
𝑃𝑠 = 𝐹𝑖𝑥𝑒𝑑 𝑃𝑜𝑤𝑒𝑟 𝐶𝑜𝑛𝑠𝑢𝑚𝑝𝑡𝑖𝑜𝑛
𝑃𝑑𝑒𝑐 = 𝑙𝑜𝑎𝑑 , 𝑑𝑎𝑡𝑎 𝑟𝑎𝑡𝑒 𝑑𝑒𝑝𝑒𝑛𝑑𝑒𝑛𝑡
𝑝𝑜𝑤𝑒𝑟 𝑐𝑜𝑛𝑠𝑢𝑚𝑝𝑡𝑖𝑜𝑛
𝑃𝐵𝑆 = 𝑃𝑒𝑟 𝑎𝑛𝑡𝑒𝑛𝑛𝑎 𝐵𝑆 𝑝𝑜𝑤𝑒𝑟 𝑐𝑜𝑛𝑠𝑢𝑚𝑝𝑡𝑖𝑜𝑛
𝑃 𝑈𝑇 = 𝑃𝑜𝑤𝑒𝑟 𝑐𝑜𝑛𝑠𝑢𝑚𝑝𝑡𝑖𝑜𝑛 𝑑𝑢𝑒 𝑡𝑜 𝑢𝑠𝑒𝑟 𝑡𝑒𝑟𝑚𝑖𝑛𝑎𝑙
𝛼𝑃 𝑇 = 𝑃𝑜𝑤𝑒𝑟 𝑐𝑜𝑛𝑠𝑢𝑚𝑝𝑡𝑖𝑜𝑛 𝑑𝑢𝑒 𝑡𝑜 𝑃𝐴
Massive SU-MIMO system with Transceiver Power Consumption
 𝑦 = 𝐺𝑐 𝑃 𝑇ℎ𝑥 + 𝑤
 𝑥 ≜
ℎ 𝐻 𝑠
ℎ 2
 𝑃 ≜ 𝑃𝑅𝐹 + 𝑃𝐿𝑃 + 𝑃𝑠 + 𝑅𝐵𝑃𝑑𝑒𝑐
 𝑃𝑅𝐹 = 𝑀𝑃𝐵𝑆 + 𝑃 𝑈𝑇 + 𝑃𝑂𝑆𝐶 + 𝛼𝑃 𝑇
 𝑃 = 𝑀 𝑃𝐵𝑆 + 2𝐶0 𝐵 + 𝑃 𝑈𝑇 + 𝑃𝑂𝑆𝐶 + 𝑃𝑠 + 𝑅𝐵𝑃𝑑𝑒𝑐 + 𝛼𝑃 𝑇
= 𝑀 𝑃𝐵𝑆 + 2𝐶0 𝐵 + 𝑃𝐶 + 𝑅𝐵𝑃𝑑𝑒𝑐 + 𝛼𝑃 𝑇
 𝑤ℎ𝑒𝑟𝑒 𝑃𝐶 ≜ 𝑃 𝑈𝑇 + 𝑃𝑂𝑆𝐶 + 𝑃𝑠
 𝐸𝑛𝑒𝑟𝑔𝑦 𝐸𝑓𝑓𝑖𝑐𝑖𝑒𝑛𝑐𝑦 ɳ ≜
𝑅𝐵
𝑃
 𝑓𝑃𝐴 = 1 + 𝐺 𝐶
(𝑃 𝐵𝑆+2𝐶0 𝐵+𝑃 𝐶+𝑅𝐵𝑃 𝑑𝑒𝑐)
𝑁0 𝐵 𝛼(2 𝑅−1)
−1
Simulation Result:
Observation and Scope in Above Analysis:
Observation:
 EE efficiency increase with increase in SE. (If SE is very small)
 If the channel gain increases the EE gradually increases, but after certain limit EE almost remain
constant.
 If number of antenna increases the spectrum efficiency increases taking channel gain constant.
 At very low gain and high SE nearly 50% power is consumed by power amplifier for fixed SE/fixed
channel gain and rest of power is utilised by other operation.
Note: Above analysis has been performed for Massive SU-MIMO when perfect CSI is
known and channel are uncorrelated
Scope or Future Works:
 Massive MU-MIMO with perfect CSI. (Same Analysis)
 Massive SU/MU-MIMO with imperfect CSI or when the channel is correlated. (Same Analysis)
 Low complexity precoder design for large number of array processing.
2nd Case Study:
Massive MU-MIMO in UL/DL of Cellular Networks:
Mathematical Model for Wireless Channel
Achievable uplink rates with linear
detection:
𝑟𝑗𝑚
𝑀𝐹
= ℎ𝑗𝑗𝑚
𝑟𝑗𝑚
𝑀𝑀𝑆𝐸
= ( 𝐻𝑗𝑗 𝐻 𝐻
𝑗𝑗 + 𝑍 𝑢𝑙
𝑗 + 𝑁𝜙 𝑢𝑙
𝑗
𝐼 𝑁)−1
ℎ𝑗𝑗𝑚
𝑍 𝑢𝑙
𝑗 = 𝐸 𝐻𝑗𝑗 𝐻 𝐻
𝑗𝑗 +
𝑙≠𝑗
𝐻𝑗𝑙 𝐻 𝐻
𝑗𝑙
=
𝑘
𝑅𝑗𝑗𝑘 − 𝜙𝑗𝑗𝑘 +
𝑙≠𝑗 𝑘
𝑅𝑗𝑙𝑘
𝑅𝑗𝑚
𝑢𝑙
= 𝐸 𝑙𝑜𝑔2(1 + 𝛾 𝑢𝑙
𝑗𝑚)
Achievable downlink rates with
linear detection:
𝑦 𝑑𝑙
𝑗𝑚
= 𝜌 𝑑𝑙 𝜆𝑗 𝐸 ℎ 𝐻
𝑗𝑗𝑚 𝑤𝑗𝑚 𝑥 𝑑𝑙
𝑗𝑚
+ 𝜌 𝑑𝑙 𝜆𝑗 ℎ 𝐻
𝑗𝑗𝑚 𝑤𝑗𝑚 − 𝐸 ℎ 𝐻
𝑗𝑗𝑚 𝑤𝑗𝑚 𝑥 𝑑𝑙
𝑗𝑚
+
(𝑙,𝑘)≠(𝑗,𝑚)
𝜌 𝑑𝑙 𝜆𝑗ℎ 𝐻
𝑙𝑗𝑚 𝑤𝑙𝑘 𝑥 𝑑𝑙
𝑙𝑘 + 𝑛𝑗𝑚
𝑑𝑙
𝑊𝑗
𝐵𝐹
= 𝐻𝑗𝑗
𝑊𝑗
𝑅𝑍𝐹
= 𝐻𝑗𝑗 𝐻𝑗𝑗
𝐻
+ 𝑍𝑗
𝑑𝑙
+ 𝑁𝜑𝑗
𝑑𝑙
𝐼 𝑁
−1
𝐻𝑗𝑗
𝑅𝑗𝑚
𝑑𝑙
= 𝑙𝑜𝑔2(1 + 𝛾𝑗𝑚
𝑑𝑙
)
continued--
 𝛾𝑗𝑚
𝑢𝑙
=
𝑟𝑗𝑚
𝐻
ℎ 𝑗𝑗𝑚
2
𝐸 𝑟𝑗𝑚
𝐻 1
𝜌 𝑢𝑙
𝐈 𝐍+ℎ 𝑗𝑗𝑚ℎ 𝑗𝑗𝑚
𝐻 −ℎ 𝑗𝑗𝑚ℎ 𝑗𝑗𝑚
𝐻 + 𝑙 𝐻 𝑗𝑙 𝐻𝑗𝑙
𝐻 𝑟 𝑗𝑗𝑚| 𝐻 𝑗𝑗
𝛾𝑗𝑚
𝑑𝑙
=
𝜆𝑗 𝐸 ℎ𝑗𝑗𝑚
𝐻
𝑤𝑗𝑚
2
1
𝜌 𝑑𝑙
+ 𝜆𝑗 𝑣𝑎𝑟 ℎ𝑗𝑗𝑚
𝐻
𝑤𝑗𝑚 + (𝑙,𝑘)≠(𝑗,𝑚) 𝜆𝑙 𝐸 ℎ𝑙𝑗𝑚
𝐻
𝑤𝑙𝑘
2
Massive MIMO Effect
 𝐻𝑗𝑗 =
𝑁
𝑃
𝑨𝑽𝒋𝒋
 𝐻𝑗𝑗 = 𝛼
𝑁
𝑃
𝑨𝑽𝒋𝒍 𝒍 ≠ 𝒋
 𝛾 𝑀𝐹 = 𝛾 𝐵𝐹 =
1
𝐿
𝜌𝑁
+
1
𝜌 𝑡𝑟
𝑃/𝑁
𝜌𝑁
+
𝐾
𝑁
𝐿 +
𝐾
𝑃
𝐿2+ 𝛼(𝐿−1)
noise imperfect CSI Interference Pilot contamination
where 𝐿 = 1 + 𝛼 𝐿 − 1 𝑎𝑛𝑑 𝑣 =
𝜌
𝑡𝑟
𝑁
𝑃
1+𝜌
𝑡𝑟
𝑁
𝑃
𝐿
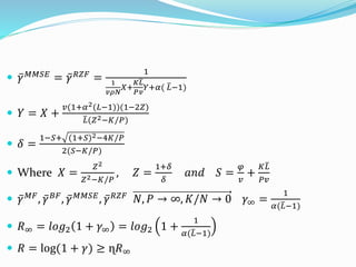
 𝛾 𝑀𝑀𝑆𝐸 = 𝛾 𝑅𝑍𝐹 =
1
1
𝑣𝜌𝑁
𝑋+
𝐾
𝑃
𝐿
𝑣
𝑌+𝛼( 𝐿−1)
 𝑌 = 𝑋 +
𝑣(1+𝛼2(𝐿−1))(1−2𝑍)
𝐿(𝑍2−𝐾/𝑃)
 𝛿 =
1−𝑆+ (1+𝑆)2−4𝐾/𝑃
2(𝑆−𝐾/𝑃)
 Where 𝑋 =
𝑍2
𝑍2−𝐾/𝑃
, 𝑍 =
1+𝛿
𝛿
𝑎𝑛𝑑 𝑆 =
𝜑
𝑣
+
𝐾 𝐿
𝑃𝑣
 𝛾 𝑀𝐹, 𝛾 𝐵𝐹, 𝛾 𝑀𝑀𝑆𝐸, 𝛾 𝑅𝑍𝐹 𝑁, 𝑃 → ∞, 𝐾/𝑁 → 0 𝛾∞ =
1
𝛼( 𝐿−1)
 𝑅∞ = 𝑙𝑜𝑔2 1 + 𝛾∞ = 𝑙𝑜𝑔2 1 +
1
𝛼( 𝐿−1)
 𝑅 = log(1 + 𝛾) ≥ ɳ𝑅∞
Numerical Result:
Continued --
Continued--
Observation and Scope of the above analysis:
Observation:
 Maximum capacity depends on inter-cell interference and total no of interfering cell.
 MMSE/RZF gives better performance in UL/DL scenario in comparison to MF/(Eigen BF).
 If total number of active antenna increases the ergodic achievable rate also gradually increases.
Note: Large number of antenna is utilized in adaptive manner . Two type of detector/precoder
performance has been observed in non cooperative multi cellular UL/DL scenario. All UT are equi-
spaced and equal in number with respective BS.
Scope or Future Works:
 If UT are not equi-spaced from respective BS and not equal in number across each cell.
 Case study in cooperative; multi cellular Massive MU-MIMO scenario.
 Other technique may be cross checked like, MMSE-SIC, ZF-SIC, implementation of convex
optimization for performance improvement of eigen beamforming.
Energy-Aware Power Allocation in Co Operative Communication System
with Imperfect CSI
Channel Model and Transmission Scheme:
 ℎ 𝑠𝑟 = ℎ 𝑠𝑟 + 𝑒𝑠𝑟
 ℎ 𝑟𝑑 = ℎ 𝑟𝑑 + 𝑒 𝑟𝑑
 𝑦𝑠𝑟 = 𝑃𝑠ℎ 𝑠𝑟s + 𝑃𝑠 𝑒𝑠𝑟 𝑠 + 𝑛 𝑠𝑟
 𝑦 𝑟𝑑 = 𝛽( 𝑃𝑠ℎ 𝑠𝑟s + 𝑃𝑠 𝑒𝑠𝑟 𝑠 + 𝑛 𝑠𝑟)(ℎ 𝑟𝑑 + 𝑒 𝑟𝑑)+𝑛 𝑟𝑑
 𝑦 𝑟𝑑 = 𝛽 𝑃𝑠ℎ 𝑠𝑟ℎ 𝑟𝑑 𝑠 + 𝛽 𝑃𝑠ℎ 𝑠𝑟 𝑒 𝑟𝑑 𝑠 + 𝑃𝑠ℎ 𝑟𝑑 𝑒𝑠𝑟 𝑠 + 𝑃𝑠 𝑒𝑠𝑟 𝑒 𝑟𝑑 𝑠 + ℎ 𝑟𝑑 𝑛 𝑠𝑟 + 𝑒 𝑟𝑑 𝑛 𝑠𝑟 + 𝑛 𝑟𝑑
Signal part Noise part
 𝑤ℎ𝑒𝑟𝑒 𝛽 =
𝑃𝑟
𝑃𝑠 ℎ 𝑠𝑟
2
+𝜎 𝑒𝑠𝑟
2 +𝜎 𝑛𝑠𝑟
2
 𝛾 =
ѱ1ѱ2 𝑃𝑠 𝑃𝑟
ѱ1+ѱ2+1 𝑃𝑠 𝑃𝑟+ ѱ1+1 ѱ3 𝑃𝑠+ ѱ2+1 ѱ4 𝑃𝑟+ѱ3ѱ4
(𝐸𝑛𝑑 𝑡𝑜 𝑒𝑛𝑑 𝑆𝑁𝑅)
 ѱ1 =
ℎ 𝑠𝑟
2
𝜎 𝑒𝑠𝑟
2 , ѱ2 =
ℎ 𝑟𝑑
2
𝜎 𝑒𝑟𝑑
2 , ѱ3 =
𝜎 𝑛𝑠𝑟
2
𝜎 𝑒𝑠𝑟
2 , ѱ4 =
𝜎 𝑛𝑟𝑑
2
𝜎 𝑒𝑟𝑑
2
Total Transmit Power Minimization with Channel Estimation Errors
Green Objective
 𝑚𝑖𝑛𝑖𝑚𝑖𝑧𝑒 𝑃𝑠 + 𝑃𝑟
 𝛾 ≥ 𝛾 𝑚𝑖𝑛,
 𝑃𝑠 + 𝑃𝑟 ≤ 𝑃 𝑇 𝑃𝑠 ≥ 0, 𝑃𝑟 ≥ 0
 It means
1
𝛾
≤
1
𝛾 𝑚𝑖𝑛
 Optimal source and relay transmit powers required to achieve a
given SNR with imperfect CSI
 Add more expression
 𝑃𝑠1
∗
=
ѱ2+1 ѱ4 𝛾 𝑚𝑖𝑛+ (𝛾 𝑚𝑖𝑛+1)ѱ1ѱ2ѱ3ѱ4 𝛾 𝑚𝑖𝑛
ѱ1ѱ2−(ѱ1+ѱ2+1)𝛾 𝑚𝑖𝑛
+
 𝑃𝑟1
∗
=
ѱ1+1 ѱ3 𝛾 𝑚𝑖𝑛+ (𝛾 𝑚𝑖𝑛+1)ѱ1ѱ2ѱ3ѱ4 𝛾 𝑚𝑖𝑛
ѱ1ѱ2−(ѱ1+ѱ2+1)𝛾 𝑚𝑖𝑛
+
Optimal transmit powers for the source and relay to maximize the
SNR when channel estimation errors are present
 𝑃𝑠2
∗
=
ѱ4[ ѱ2+1 𝑃 𝑇+ѱ3]𝑃 𝑇
ѱ3[ ѱ1+1 𝑃 𝑇+ѱ3]+ ѱ4[ ѱ2+1 𝑃 𝑇+ѱ3]
 𝑃𝑟2
∗
=
ѱ3[ ѱ1+1 𝑃 𝑇+ѱ4]𝑃 𝑇
ѱ3[ ѱ1+1 𝑃 𝑇+ѱ3]+ ѱ4[ ѱ2+1 𝑃 𝑇+ѱ3]
Simulation Result
Continued---
Observation and Scope of Above Analysis
 If 𝑆𝑁𝑅𝑡ℎ is less the total sum of the required power is also less.
 If relay is placed in the mid of source and destination and error variance is also
identical across (S-R) and (R-D) we get maximum SNR.
References:
[1] A. Goldsmith, Wireless communications, Cambridge university press, 2005.
[2] L. Zheng and D. N. Tse, "Diversity and multiplexing: a fundamental tradeoff in multiple-antenna
channels," Information Theory, IEEE Transactions on, vol. 49, no. 5, pp. 1073-1096, 2003.
[3] R. Zhang, L. Wang, G. Parr, O. G. Aliu, B. Awoseyila, N. Azarmi, S. Bhatti, E. Bodanese, H. Chen, M.
Dianati and others, "Advances in base-and mobile-station aided cooperative wireless
communications: An overview," Vehicular Technology Magazine, IEEE, vol. 8, no. 1, pp. 57-69,
2013.
[4] L. Wang and L. Hanzo, "Optimum time resource allocation for TDMA-based differential decode-
and-forward cooperative systems: a capacity perspective," Communications Letters, IEEE, vol. 14,
no. 6, pp. 506-508, 2010.
[5] S. Mukherjee and S. K. Mohammed, "Energy-Spectral Efficiency Trade-off for a Massive SU-MIMO
System with Transceiver Power Consumption," arXiv preprint arXiv:1410.5240, 2014.
[6] S. Mallick, R. Devarajan, M. M. Rashid and V. K. Bhargava, "Robust power allocation designs for
cognitive radio networks with cooperative relays," in Communications (ICC), 2012 IEEE
International Conference on, 2012.
[7] L. Lu, G. Y. Li, A. L. Swindlehurst, A. Ashikhmin and R. Zhang, "An overview of massive MIMO:
benefits and challenges," Selected Topics in Signal Processing, IEEE Journal of, vol. 8, no. 5, pp.
742-758, 2014.
[8] W. Liu, S. Han, C. Yang and C. Sun, "Massive MIMO or small cell network: Who is more energy
efficient?," in Wireless Communications and Networking Conference Workshops (WCNCW), 2013
IEEE, 2013.
[9] J. Hoydis, S. Ten Brink and M. Debbah, "Massive MIMO in the UL/DL of cellular networks: How
many antennas do we need?," Selected Areas in Communications, IEEE Journal on, vol. 31, no. 2,
pp. 160-171, 2013.
[10] A. J. Fehske, P. Marsch and G. P. Fettweis, "Bit per joule efficiency of cooperating base stations
in cellular networks," in GLOBECOM Workshops (GC Wkshps), 2010 IEEE, 2010.
[11] R. Devarajan, S. C. Jha, U. Phuyal and V. K. Bhargava, "Energy-aware resource allocation for
cooperative cellular network using multi-objective optimization approach," Wireless
Communications, IEEE Transactions on, vol. 11, no. 5, pp. 1797-1807, 2012.
[12] R. Devarajan, A. Punchihewa and V. K. Bhargava, "Energy-aware power allocation in cooperative
communication systems with imperfect CSI," Communications, IEEE Transactions on, vol. 61, no.
5, pp. 1633-1639, 2013.
[13] M. Chiang, C. W. Tan, D. P. Palomar, D. O'Neill and D. Julian, "Power control by geometric
programming," Wireless Communications, IEEE Transactions on, vol. 6, no. 7, pp. 2640-2651,
2007.
[14] S. Bu, F. R. Yu, Y. Cai and X. P. Liu, "When the smart grid meets energy-efficient
communications: Green wireless cellular networks powered by the smart grid," Wireless
Communications, IEEE Transactions on, vol. 11, no. 8, pp. 3014-3024, 2012.
[15] R. Berry, R. G. Gallager and others, "Communication over fading channels with delay
constraints," Information Theory, IEEE Transactions on, vol. 48, no. 5, pp. 1135-1149, 2002.
Thank You 

Green Communication

  • 1.
    Green Communication Department ofElectronics & Communication Engineering National Institute of Technology, Rourkela Varun Kumar and Prof . Sarat Kumar Patra
  • 2.
    Outline:  Objective  LiteratureSurvey  Technical Challenges  Open Research Issues in Green Communication  Simulation Result  Future Work
  • 3.
    Introduction: Green communication isa growing research area in wireless communication. To make an energy efficient wireless communication without disturbing the other performance matrices (Capacity, BER etc). Objective  To protect environment from harmful EM radiation  reducing green house gas  Reducing operational cost for wireless network.
  • 4.
  • 5.
    Literature Survey Year TitleAuthor Contribution 2002 Communication Over Fading Channels with Delay Constraints, IEEE Transaction on Information Theory Randall A berry and Robert G. Gallanger Impact of delay on SNR 2003 Diversity and Multiplexing: A Fundamental Tradeoff in Multiple-Antenna Channels, IEEE Transaction on Information Theory Lizhong Zheng, David N.C Tse Tradeoff analysis between diversity and multiplexing 2007 Power Control by Geometric Programming , IEEE Transaction on wireless Communication Mung Chiang,Chee wei Tan,Daniel P.Palomar Power control analysis using convex optimization 2012 Energy-Aware Resource Allocation for Cooperative Cellular Network Using Multi- Objective Optimization Approach , IEEE Transaction on Wireless Communication Rajiv Devrajan, Satish C.Jha,Umesh Phuyal,Vijay K Bhargava Optimum solution between capacity maximization and power minimization (𝑃𝑠 𝑎𝑛𝑑 𝑃𝑟) 2012 Robust Power Allocation Designs for Cognitive Radio Networks with Cooperative Relays, in proceeding IEEE ICC 2012 Shankhanaad Mallick ,Vijay K Bhargavas Analysis of deterministic channel model vs probabilistic channel model
  • 6.
    Continued-- Year Title AuthorContribution 2013 Energy Aware Power Allocation in Cooperative Communication System with Imperfect CSI,``IEEE Transaction on Communications” Rajiv Devrajan, Anjana Punchihewa, Vijay K Bhargava Power optimization and finding end to end SNR in cooperative networks 2013 Massive MIMO in the UL/DL of cellular Networks: How Many Antenna Do We Need?,``IEEE Journal on Selected Area in Communication Jakob Hoydis, Stephan ten Brink, Merouane Debbah Number of Antenna optimization using different detection scheme 2014 An overview of Massive MIMO: Benefits and Challenges, IEEE Journal of Selected Topics in Signal Processing Lu Lu, Geoffrey ye Li, Rui zhang Fundamental of Massive MIMO and its design challenge 2015 Energy-Spectrum Efficiency trade off for a Massive SU-MIMO System with Transceiver Power Consumption , in Proceeding ICC Sudarshan Mukherjee and Saif Khan Mohammed Relation between channel gain , number of antenna, EE and SE
  • 7.
    Energy Consumption Survey (ICT)industry include the energy requirements as follows;  PCs and monitor == 40% , Data Centre == 23% , Fixed and mobile telecommunication == 24% ---------------------------------------------------------------------------------- 40% Power requirement == Grid Electricity 60% Power requirement == Diesel Gen-Set 1 litre petrol ==2.3Kgs CO2 Total number of tower==3.1 Lac (2010) (10-15KVA gen-set – 2lit/hr) ----------------------------------------------------------------------------------- 9 million tones of CO2/year==Diesel Gen-set 5 million tones of CO2/𝑦𝑒𝑎𝑟== Power grid Ref—trai.gov.in
  • 8.
    Continued- Frequency in MHzPower density limit (in 𝑾/𝒎 𝟐) 900 0.45 1800 0.90 2100 and above 1.00 Some Guidelines
  • 9.
    Wireless Resources TradingModel (Challenges):
  • 10.
    Power Consumption Parameterin wireless domain:  Distance  Surrounding environment  Total number of user in a cell  Capacity  Delay in signal reception  Inter-cell Interference  BER or 𝑃𝑒  SE and EE  Number of Antenna  Modulation Technique Free space path loss equation: 𝑃𝑟 𝑑, 𝑓𝑐, 𝑃𝑡 = 𝑃𝑡 𝐺𝑡 𝐺𝑟 𝜆2 4𝜋𝑑2 𝑤ℎ𝑒𝑟𝑒 𝜆 = 1 𝑓𝑐
  • 13.
    Spectrum Utilization Ref—Nokia ResearchCentre 𝐶 = 𝐵𝑙𝑜𝑔2(1 + 𝑆𝑁𝑅)𝐶 = 𝐵𝑙𝑜𝑔2(1 + 𝑆𝑁𝑅)
  • 14.
    Complex vs SimpleWireless Model and Adaptive Modulation Demodulation Approach:
  • 15.
    Some Existing Solutionfor Energy Saving in Wireless Domain: There are technique like • MIMO HARQ (3G/4G) • Beamforming • wireless mess networks • Distributed equipment Impact of Proper Channel Estimation for Energy Saving: Detection and Estimation: MF,ZF,MMSE, MLE,MAP, MVU
  • 16.
    Emerging Area orOpen Research Area for Green Communication:  MIMO (3G/4G) or Massive MIMO(5G) Co-Operative Communication (D2D Communication) Space Time Wireless Communication (O-STBC, STTC) Role of Multiple Antenna System • To increase diversity • To increase multiplexing gain • SNR improvement through beamforming
  • 17.
  • 18.
    1st Case Study M=𝑇𝑜𝑡𝑎𝑙 𝑛𝑜 𝑜𝑓 𝑎𝑛𝑡𝑒𝑛𝑛𝑎 𝑎𝑐𝑟𝑜𝑠𝑠 𝑏𝑎𝑠𝑒 𝑠𝑡𝑎𝑡𝑖𝑜𝑛 ɳ = 𝐸𝑛𝑒𝑟𝑔𝑦 𝐸𝑓𝑓𝑖𝑐𝑖𝑛𝑒𝑐𝑦 𝑓𝑃𝐴 = 𝑃𝑜𝑤𝑒𝑟 𝐴𝑚𝑝𝑙𝑖𝑓𝑖𝑒𝑟 𝐸𝑓𝑓𝑖𝑐𝑖𝑒𝑛𝑐𝑦 𝑃𝑅𝐹 = 𝑅𝐹 𝑝𝑤𝑒𝑟 𝑐𝑜𝑛𝑠𝑢𝑚𝑝𝑡𝑖𝑜𝑛 𝑖𝑛 𝑅𝐹 𝑐ℎ𝑎𝑖𝑛𝑠 , 𝑝𝑜𝑤𝑒𝑟 𝑎𝑚𝑝𝑙𝑖𝑓𝑖𝑒𝑟𝑠 𝑎𝑛𝑑 𝑜𝑠𝑐𝑖𝑙𝑙𝑎𝑡𝑜𝑟 𝑃𝐿𝑃 = 𝐷𝑢𝑒 𝑡𝑜 𝑐𝑜𝑛𝑗𝑢𝑔𝑎𝑡𝑒 𝑏𝑒𝑎𝑚𝑓𝑜𝑟𝑚𝑖𝑛𝑔 𝑃𝑠 = 𝐹𝑖𝑥𝑒𝑑 𝑃𝑜𝑤𝑒𝑟 𝐶𝑜𝑛𝑠𝑢𝑚𝑝𝑡𝑖𝑜𝑛 𝑃𝑑𝑒𝑐 = 𝑙𝑜𝑎𝑑 , 𝑑𝑎𝑡𝑎 𝑟𝑎𝑡𝑒 𝑑𝑒𝑝𝑒𝑛𝑑𝑒𝑛𝑡 𝑝𝑜𝑤𝑒𝑟 𝑐𝑜𝑛𝑠𝑢𝑚𝑝𝑡𝑖𝑜𝑛 𝑃𝐵𝑆 = 𝑃𝑒𝑟 𝑎𝑛𝑡𝑒𝑛𝑛𝑎 𝐵𝑆 𝑝𝑜𝑤𝑒𝑟 𝑐𝑜𝑛𝑠𝑢𝑚𝑝𝑡𝑖𝑜𝑛 𝑃 𝑈𝑇 = 𝑃𝑜𝑤𝑒𝑟 𝑐𝑜𝑛𝑠𝑢𝑚𝑝𝑡𝑖𝑜𝑛 𝑑𝑢𝑒 𝑡𝑜 𝑢𝑠𝑒𝑟 𝑡𝑒𝑟𝑚𝑖𝑛𝑎𝑙 𝛼𝑃 𝑇 = 𝑃𝑜𝑤𝑒𝑟 𝑐𝑜𝑛𝑠𝑢𝑚𝑝𝑡𝑖𝑜𝑛 𝑑𝑢𝑒 𝑡𝑜 𝑃𝐴
  • 19.
    Massive SU-MIMO systemwith Transceiver Power Consumption  𝑦 = 𝐺𝑐 𝑃 𝑇ℎ𝑥 + 𝑤  𝑥 ≜ ℎ 𝐻 𝑠 ℎ 2  𝑃 ≜ 𝑃𝑅𝐹 + 𝑃𝐿𝑃 + 𝑃𝑠 + 𝑅𝐵𝑃𝑑𝑒𝑐  𝑃𝑅𝐹 = 𝑀𝑃𝐵𝑆 + 𝑃 𝑈𝑇 + 𝑃𝑂𝑆𝐶 + 𝛼𝑃 𝑇  𝑃 = 𝑀 𝑃𝐵𝑆 + 2𝐶0 𝐵 + 𝑃 𝑈𝑇 + 𝑃𝑂𝑆𝐶 + 𝑃𝑠 + 𝑅𝐵𝑃𝑑𝑒𝑐 + 𝛼𝑃 𝑇 = 𝑀 𝑃𝐵𝑆 + 2𝐶0 𝐵 + 𝑃𝐶 + 𝑅𝐵𝑃𝑑𝑒𝑐 + 𝛼𝑃 𝑇  𝑤ℎ𝑒𝑟𝑒 𝑃𝐶 ≜ 𝑃 𝑈𝑇 + 𝑃𝑂𝑆𝐶 + 𝑃𝑠  𝐸𝑛𝑒𝑟𝑔𝑦 𝐸𝑓𝑓𝑖𝑐𝑖𝑒𝑛𝑐𝑦 ɳ ≜ 𝑅𝐵 𝑃  𝑓𝑃𝐴 = 1 + 𝐺 𝐶 (𝑃 𝐵𝑆+2𝐶0 𝐵+𝑃 𝐶+𝑅𝐵𝑃 𝑑𝑒𝑐) 𝑁0 𝐵 𝛼(2 𝑅−1) −1
  • 20.
  • 23.
    Observation and Scopein Above Analysis: Observation:  EE efficiency increase with increase in SE. (If SE is very small)  If the channel gain increases the EE gradually increases, but after certain limit EE almost remain constant.  If number of antenna increases the spectrum efficiency increases taking channel gain constant.  At very low gain and high SE nearly 50% power is consumed by power amplifier for fixed SE/fixed channel gain and rest of power is utilised by other operation. Note: Above analysis has been performed for Massive SU-MIMO when perfect CSI is known and channel are uncorrelated Scope or Future Works:  Massive MU-MIMO with perfect CSI. (Same Analysis)  Massive SU/MU-MIMO with imperfect CSI or when the channel is correlated. (Same Analysis)  Low complexity precoder design for large number of array processing.
  • 24.
    2nd Case Study: MassiveMU-MIMO in UL/DL of Cellular Networks:
  • 25.
    Mathematical Model forWireless Channel Achievable uplink rates with linear detection: 𝑟𝑗𝑚 𝑀𝐹 = ℎ𝑗𝑗𝑚 𝑟𝑗𝑚 𝑀𝑀𝑆𝐸 = ( 𝐻𝑗𝑗 𝐻 𝐻 𝑗𝑗 + 𝑍 𝑢𝑙 𝑗 + 𝑁𝜙 𝑢𝑙 𝑗 𝐼 𝑁)−1 ℎ𝑗𝑗𝑚 𝑍 𝑢𝑙 𝑗 = 𝐸 𝐻𝑗𝑗 𝐻 𝐻 𝑗𝑗 + 𝑙≠𝑗 𝐻𝑗𝑙 𝐻 𝐻 𝑗𝑙 = 𝑘 𝑅𝑗𝑗𝑘 − 𝜙𝑗𝑗𝑘 + 𝑙≠𝑗 𝑘 𝑅𝑗𝑙𝑘 𝑅𝑗𝑚 𝑢𝑙 = 𝐸 𝑙𝑜𝑔2(1 + 𝛾 𝑢𝑙 𝑗𝑚) Achievable downlink rates with linear detection: 𝑦 𝑑𝑙 𝑗𝑚 = 𝜌 𝑑𝑙 𝜆𝑗 𝐸 ℎ 𝐻 𝑗𝑗𝑚 𝑤𝑗𝑚 𝑥 𝑑𝑙 𝑗𝑚 + 𝜌 𝑑𝑙 𝜆𝑗 ℎ 𝐻 𝑗𝑗𝑚 𝑤𝑗𝑚 − 𝐸 ℎ 𝐻 𝑗𝑗𝑚 𝑤𝑗𝑚 𝑥 𝑑𝑙 𝑗𝑚 + (𝑙,𝑘)≠(𝑗,𝑚) 𝜌 𝑑𝑙 𝜆𝑗ℎ 𝐻 𝑙𝑗𝑚 𝑤𝑙𝑘 𝑥 𝑑𝑙 𝑙𝑘 + 𝑛𝑗𝑚 𝑑𝑙 𝑊𝑗 𝐵𝐹 = 𝐻𝑗𝑗 𝑊𝑗 𝑅𝑍𝐹 = 𝐻𝑗𝑗 𝐻𝑗𝑗 𝐻 + 𝑍𝑗 𝑑𝑙 + 𝑁𝜑𝑗 𝑑𝑙 𝐼 𝑁 −1 𝐻𝑗𝑗 𝑅𝑗𝑚 𝑑𝑙 = 𝑙𝑜𝑔2(1 + 𝛾𝑗𝑚 𝑑𝑙 )
  • 26.
    continued--  𝛾𝑗𝑚 𝑢𝑙 = 𝑟𝑗𝑚 𝐻 ℎ 𝑗𝑗𝑚 2 𝐸𝑟𝑗𝑚 𝐻 1 𝜌 𝑢𝑙 𝐈 𝐍+ℎ 𝑗𝑗𝑚ℎ 𝑗𝑗𝑚 𝐻 −ℎ 𝑗𝑗𝑚ℎ 𝑗𝑗𝑚 𝐻 + 𝑙 𝐻 𝑗𝑙 𝐻𝑗𝑙 𝐻 𝑟 𝑗𝑗𝑚| 𝐻 𝑗𝑗 𝛾𝑗𝑚 𝑑𝑙 = 𝜆𝑗 𝐸 ℎ𝑗𝑗𝑚 𝐻 𝑤𝑗𝑚 2 1 𝜌 𝑑𝑙 + 𝜆𝑗 𝑣𝑎𝑟 ℎ𝑗𝑗𝑚 𝐻 𝑤𝑗𝑚 + (𝑙,𝑘)≠(𝑗,𝑚) 𝜆𝑙 𝐸 ℎ𝑙𝑗𝑚 𝐻 𝑤𝑙𝑘 2
  • 27.
    Massive MIMO Effect 𝐻𝑗𝑗 = 𝑁 𝑃 𝑨𝑽𝒋𝒋  𝐻𝑗𝑗 = 𝛼 𝑁 𝑃 𝑨𝑽𝒋𝒍 𝒍 ≠ 𝒋  𝛾 𝑀𝐹 = 𝛾 𝐵𝐹 = 1 𝐿 𝜌𝑁 + 1 𝜌 𝑡𝑟 𝑃/𝑁 𝜌𝑁 + 𝐾 𝑁 𝐿 + 𝐾 𝑃 𝐿2+ 𝛼(𝐿−1) noise imperfect CSI Interference Pilot contamination where 𝐿 = 1 + 𝛼 𝐿 − 1 𝑎𝑛𝑑 𝑣 = 𝜌 𝑡𝑟 𝑁 𝑃 1+𝜌 𝑡𝑟 𝑁 𝑃 𝐿
  • 28.
     𝛾 𝑀𝑀𝑆𝐸= 𝛾 𝑅𝑍𝐹 = 1 1 𝑣𝜌𝑁 𝑋+ 𝐾 𝑃 𝐿 𝑣 𝑌+𝛼( 𝐿−1)  𝑌 = 𝑋 + 𝑣(1+𝛼2(𝐿−1))(1−2𝑍) 𝐿(𝑍2−𝐾/𝑃)  𝛿 = 1−𝑆+ (1+𝑆)2−4𝐾/𝑃 2(𝑆−𝐾/𝑃)  Where 𝑋 = 𝑍2 𝑍2−𝐾/𝑃 , 𝑍 = 1+𝛿 𝛿 𝑎𝑛𝑑 𝑆 = 𝜑 𝑣 + 𝐾 𝐿 𝑃𝑣  𝛾 𝑀𝐹, 𝛾 𝐵𝐹, 𝛾 𝑀𝑀𝑆𝐸, 𝛾 𝑅𝑍𝐹 𝑁, 𝑃 → ∞, 𝐾/𝑁 → 0 𝛾∞ = 1 𝛼( 𝐿−1)  𝑅∞ = 𝑙𝑜𝑔2 1 + 𝛾∞ = 𝑙𝑜𝑔2 1 + 1 𝛼( 𝐿−1)  𝑅 = log(1 + 𝛾) ≥ ɳ𝑅∞
  • 29.
  • 30.
  • 31.
  • 32.
    Observation and Scopeof the above analysis: Observation:  Maximum capacity depends on inter-cell interference and total no of interfering cell.  MMSE/RZF gives better performance in UL/DL scenario in comparison to MF/(Eigen BF).  If total number of active antenna increases the ergodic achievable rate also gradually increases. Note: Large number of antenna is utilized in adaptive manner . Two type of detector/precoder performance has been observed in non cooperative multi cellular UL/DL scenario. All UT are equi- spaced and equal in number with respective BS. Scope or Future Works:  If UT are not equi-spaced from respective BS and not equal in number across each cell.  Case study in cooperative; multi cellular Massive MU-MIMO scenario.  Other technique may be cross checked like, MMSE-SIC, ZF-SIC, implementation of convex optimization for performance improvement of eigen beamforming.
  • 33.
    Energy-Aware Power Allocationin Co Operative Communication System with Imperfect CSI
  • 34.
    Channel Model andTransmission Scheme:  ℎ 𝑠𝑟 = ℎ 𝑠𝑟 + 𝑒𝑠𝑟  ℎ 𝑟𝑑 = ℎ 𝑟𝑑 + 𝑒 𝑟𝑑  𝑦𝑠𝑟 = 𝑃𝑠ℎ 𝑠𝑟s + 𝑃𝑠 𝑒𝑠𝑟 𝑠 + 𝑛 𝑠𝑟  𝑦 𝑟𝑑 = 𝛽( 𝑃𝑠ℎ 𝑠𝑟s + 𝑃𝑠 𝑒𝑠𝑟 𝑠 + 𝑛 𝑠𝑟)(ℎ 𝑟𝑑 + 𝑒 𝑟𝑑)+𝑛 𝑟𝑑  𝑦 𝑟𝑑 = 𝛽 𝑃𝑠ℎ 𝑠𝑟ℎ 𝑟𝑑 𝑠 + 𝛽 𝑃𝑠ℎ 𝑠𝑟 𝑒 𝑟𝑑 𝑠 + 𝑃𝑠ℎ 𝑟𝑑 𝑒𝑠𝑟 𝑠 + 𝑃𝑠 𝑒𝑠𝑟 𝑒 𝑟𝑑 𝑠 + ℎ 𝑟𝑑 𝑛 𝑠𝑟 + 𝑒 𝑟𝑑 𝑛 𝑠𝑟 + 𝑛 𝑟𝑑 Signal part Noise part  𝑤ℎ𝑒𝑟𝑒 𝛽 = 𝑃𝑟 𝑃𝑠 ℎ 𝑠𝑟 2 +𝜎 𝑒𝑠𝑟 2 +𝜎 𝑛𝑠𝑟 2
  • 35.
     𝛾 = ѱ1ѱ2𝑃𝑠 𝑃𝑟 ѱ1+ѱ2+1 𝑃𝑠 𝑃𝑟+ ѱ1+1 ѱ3 𝑃𝑠+ ѱ2+1 ѱ4 𝑃𝑟+ѱ3ѱ4 (𝐸𝑛𝑑 𝑡𝑜 𝑒𝑛𝑑 𝑆𝑁𝑅)  ѱ1 = ℎ 𝑠𝑟 2 𝜎 𝑒𝑠𝑟 2 , ѱ2 = ℎ 𝑟𝑑 2 𝜎 𝑒𝑟𝑑 2 , ѱ3 = 𝜎 𝑛𝑠𝑟 2 𝜎 𝑒𝑠𝑟 2 , ѱ4 = 𝜎 𝑛𝑟𝑑 2 𝜎 𝑒𝑟𝑑 2
  • 36.
    Total Transmit PowerMinimization with Channel Estimation Errors Green Objective  𝑚𝑖𝑛𝑖𝑚𝑖𝑧𝑒 𝑃𝑠 + 𝑃𝑟  𝛾 ≥ 𝛾 𝑚𝑖𝑛,  𝑃𝑠 + 𝑃𝑟 ≤ 𝑃 𝑇 𝑃𝑠 ≥ 0, 𝑃𝑟 ≥ 0  It means 1 𝛾 ≤ 1 𝛾 𝑚𝑖𝑛  Optimal source and relay transmit powers required to achieve a given SNR with imperfect CSI  Add more expression  𝑃𝑠1 ∗ = ѱ2+1 ѱ4 𝛾 𝑚𝑖𝑛+ (𝛾 𝑚𝑖𝑛+1)ѱ1ѱ2ѱ3ѱ4 𝛾 𝑚𝑖𝑛 ѱ1ѱ2−(ѱ1+ѱ2+1)𝛾 𝑚𝑖𝑛 +  𝑃𝑟1 ∗ = ѱ1+1 ѱ3 𝛾 𝑚𝑖𝑛+ (𝛾 𝑚𝑖𝑛+1)ѱ1ѱ2ѱ3ѱ4 𝛾 𝑚𝑖𝑛 ѱ1ѱ2−(ѱ1+ѱ2+1)𝛾 𝑚𝑖𝑛 +
  • 37.
    Optimal transmit powersfor the source and relay to maximize the SNR when channel estimation errors are present  𝑃𝑠2 ∗ = ѱ4[ ѱ2+1 𝑃 𝑇+ѱ3]𝑃 𝑇 ѱ3[ ѱ1+1 𝑃 𝑇+ѱ3]+ ѱ4[ ѱ2+1 𝑃 𝑇+ѱ3]  𝑃𝑟2 ∗ = ѱ3[ ѱ1+1 𝑃 𝑇+ѱ4]𝑃 𝑇 ѱ3[ ѱ1+1 𝑃 𝑇+ѱ3]+ ѱ4[ ѱ2+1 𝑃 𝑇+ѱ3]
  • 38.
  • 39.
  • 40.
    Observation and Scopeof Above Analysis  If 𝑆𝑁𝑅𝑡ℎ is less the total sum of the required power is also less.  If relay is placed in the mid of source and destination and error variance is also identical across (S-R) and (R-D) we get maximum SNR.
  • 41.
    References: [1] A. Goldsmith,Wireless communications, Cambridge university press, 2005. [2] L. Zheng and D. N. Tse, "Diversity and multiplexing: a fundamental tradeoff in multiple-antenna channels," Information Theory, IEEE Transactions on, vol. 49, no. 5, pp. 1073-1096, 2003. [3] R. Zhang, L. Wang, G. Parr, O. G. Aliu, B. Awoseyila, N. Azarmi, S. Bhatti, E. Bodanese, H. Chen, M. Dianati and others, "Advances in base-and mobile-station aided cooperative wireless communications: An overview," Vehicular Technology Magazine, IEEE, vol. 8, no. 1, pp. 57-69, 2013. [4] L. Wang and L. Hanzo, "Optimum time resource allocation for TDMA-based differential decode- and-forward cooperative systems: a capacity perspective," Communications Letters, IEEE, vol. 14, no. 6, pp. 506-508, 2010. [5] S. Mukherjee and S. K. Mohammed, "Energy-Spectral Efficiency Trade-off for a Massive SU-MIMO System with Transceiver Power Consumption," arXiv preprint arXiv:1410.5240, 2014. [6] S. Mallick, R. Devarajan, M. M. Rashid and V. K. Bhargava, "Robust power allocation designs for cognitive radio networks with cooperative relays," in Communications (ICC), 2012 IEEE International Conference on, 2012. [7] L. Lu, G. Y. Li, A. L. Swindlehurst, A. Ashikhmin and R. Zhang, "An overview of massive MIMO: benefits and challenges," Selected Topics in Signal Processing, IEEE Journal of, vol. 8, no. 5, pp. 742-758, 2014. [8] W. Liu, S. Han, C. Yang and C. Sun, "Massive MIMO or small cell network: Who is more energy efficient?," in Wireless Communications and Networking Conference Workshops (WCNCW), 2013 IEEE, 2013.
  • 42.
    [9] J. Hoydis,S. Ten Brink and M. Debbah, "Massive MIMO in the UL/DL of cellular networks: How many antennas do we need?," Selected Areas in Communications, IEEE Journal on, vol. 31, no. 2, pp. 160-171, 2013. [10] A. J. Fehske, P. Marsch and G. P. Fettweis, "Bit per joule efficiency of cooperating base stations in cellular networks," in GLOBECOM Workshops (GC Wkshps), 2010 IEEE, 2010. [11] R. Devarajan, S. C. Jha, U. Phuyal and V. K. Bhargava, "Energy-aware resource allocation for cooperative cellular network using multi-objective optimization approach," Wireless Communications, IEEE Transactions on, vol. 11, no. 5, pp. 1797-1807, 2012. [12] R. Devarajan, A. Punchihewa and V. K. Bhargava, "Energy-aware power allocation in cooperative communication systems with imperfect CSI," Communications, IEEE Transactions on, vol. 61, no. 5, pp. 1633-1639, 2013. [13] M. Chiang, C. W. Tan, D. P. Palomar, D. O'Neill and D. Julian, "Power control by geometric programming," Wireless Communications, IEEE Transactions on, vol. 6, no. 7, pp. 2640-2651, 2007. [14] S. Bu, F. R. Yu, Y. Cai and X. P. Liu, "When the smart grid meets energy-efficient communications: Green wireless cellular networks powered by the smart grid," Wireless Communications, IEEE Transactions on, vol. 11, no. 8, pp. 3014-3024, 2012. [15] R. Berry, R. G. Gallager and others, "Communication over fading channels with delay constraints," Information Theory, IEEE Transactions on, vol. 48, no. 5, pp. 1135-1149, 2002.
  • 43.