Differentiation
Differentiation of parametric functions
Sometimes x and y are given as functions of a
single variable, e.g., x = Φ (t), y = ψ (t) are two
functions and t is a variable. In such a case x
and y are called parametric functions or
parametric equations and t is called the
dy
parameter. To find dx in case of parametric

functions, we first obtain the relationship
between x and y by eliminating the parameter t
and then we differentiate it with respect to x.
But every time it is not convenient to eliminate
the parameter.

dy
Therefore
can also be obtained by the
dx
following formula
dy dy / dt

dx dx / dt
To prove it, let Δ x and Δ y be the changes in x
and y respectively corresponding to a small
change Δ t in t.
since

y y / t

,
x x / t

y dy
dy
y t0 t
 '(t)

 lim

 dt 
dx x 0 x lim x dx  '(t)
t 0 t
dt
lim
Multiple Choice Questions
1. If


t 

x  a  cos t  log  tan   , y  a sin t
2 



dy

dx

(a) tan t

(b) -tant

(c) cot t

(d) – cot t

then
Ans:
(a) tan t

t

x  a cos t  log tan 
Given that
2

and y  a sin t . Differentiating with respect
to t,

dy
 a cos t
we get dt
.....(i)

dx
 t  1 
2  t 
 a sin t  cot    sec  
and dt
 2  2 
 2 

1 
cos 2 t

 a  sin t 
 a cos t cot t
a
sin t 
sin t


.....(ii)

dy
From (ii) and (i), we get dx  tan t .
d2 y
2
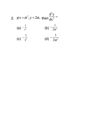
2. If x  at , y  2at, then dx 2 
(a)



1
t2

1
 3
(c) t

1
 3
(b) 2at

1
(d)  2at 3
Ans:

1
 3
(d) 2at

dy dy / dt 2a dy 1 2a
 


y
dx dx / dt 2at , dx t
2
dy
d 2 y  dy 
y
 2a y 2     0
, dx  dx 
dx

d 2 y  (dy / dx )2
1
 2 

y
dx
2at 3 .

OR
d2y/dx2 = d/dx (dy/dx) =

[d/dt

(dy/dx)]

/

[dx/dt]
= [d/dt (1/t)] / [2at] = (-1/t2)/2at = 1/2at3
3. If x  2cos t  cos 2t , y  2sin t  sin 2t ,
 dy
then at t  4 , dx 

(a)

2 1

(b)

(c)

2 1
2

(d) None of these

2 1
Ans:
(a)

2 1

dx
 2 sin t  2 sin 2t
dt
dy
 2 cos t  2 cos 2t
dt
dy cos t  cos 2t

dx
sin 2t  sin t


 dy 
t ,
 
Put
4 we have  dx  t  / 4

cos  / 4  cos  / 2

 2 1
.
sin  / 2  sin  / 4

and
Multiple Choice Questions
1. If

x  a sin 2 1  2cos   , y  bcos 2 1  cos 2  ,

dy

then dx
b tan 
(a) a

a tan 
(b) b

a
(c) b tan 

b
(d) a tan 

dy
3at
3at 2

x
,y 
, then
3
3
2. If
dx
1 t
1 t



t 2  t3

(a) 1  2t 3



t 2  t3

(c) 1  2t 3







t 2  t3

(b) 1  2t 3





t 2  t3

(d) 1  2t 3


3. If x = a (t + sin t) and y = a (1 – cos t), then

dy

dx equals
(a) tan(t / 2)

(b) cot(t / 2)

(c) tan 2t

(d) tan t
Answers
1.
b tan 
(a) a

1


x  a sin 2  sin 4 
2

,
1


y  b cos 2  (1  cos 4 )
2





dx
 2a(cos 2  cos 4 )  2a.2 cos 3 cos 
d
and

dy
 2b(sin 4  sin 2 )  2b.2 cos 3 sin 
d


dy dy dx b


 tan 
.
dx d d a
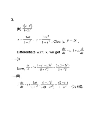
2.



t 2  t3

(b) 1  2t 3



3at
3at 2
x
, y
y  tx .
3
1t
1  t 3 . Clearly,
dy
dt
 t. 1  x .
Differentiate w.r.t. x, we get dx
dx

…..(i)
Now,

dx
1  t 3  t. 3 t 2 3a.(1  2 t 3 )
 3 a.

3 2
dt
(1  t )
(1  t 3 )2

.....(ii)
dy
3 at
(1  t 3 )2
t(2  t 3 )

t
.

3
3
dx
1  t 3 a(1  2 t ) 1  2 t 3 , {by (ii)}.
3.
(a) tan(t / 2)

d
[a(1  cos t)]
dy dy / dt

 dt
d
dx dx / dt
[a(t  sin t)]
dt
t
t
2 sin cos
dy
a sin t
sin t
2
2



t
dx a  a cos t 1  cos t
2 cos 2
2


dy
t
 tan
dx
2.

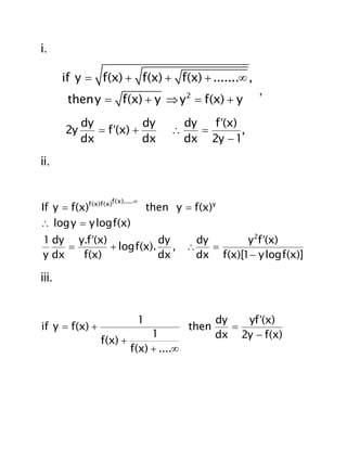
Differentiation of infinite series
If y is given in the form of infinite series of x and
we have to find out

dy
dx

then we remove one or

more terms, it does not affect the series
i.
if y  f(x)  f(x)  f(x)  ....... ,
theny  f(x)  y  y  f(x)  y
2

2y

dy
dy
 f (x) 
dx
dx



,

dy
f (x)

,
dx 2y  1

ii.
f(x).....

If y  f(x)f(x)f(x)
 logy  y logf(x)

then y  f(x)y

1 dy y.f (x)
dy
dy
y 2f (x)

 logf(x). , 

y dx
f(x)
dx
dx f(x)[1 y logf(x)]

iii.

if y  f(x) 

1

f(x) 

1
f(x)  ....

then

dy
yf (x)

dx 2y  f(x)
For more please visit www.ednexa.com
Or you can call 9011041155
- Team Ednexa

Understanding Differentiation - JEE Main 2014 Maths

  • 1.
    Differentiation Differentiation of parametricfunctions Sometimes x and y are given as functions of a single variable, e.g., x = Φ (t), y = ψ (t) are two functions and t is a variable. In such a case x and y are called parametric functions or parametric equations and t is called the dy parameter. To find dx in case of parametric functions, we first obtain the relationship between x and y by eliminating the parameter t and then we differentiate it with respect to x. But every time it is not convenient to eliminate the parameter. dy Therefore can also be obtained by the dx following formula
  • 2.
    dy dy /dt  dx dx / dt To prove it, let Δ x and Δ y be the changes in x and y respectively corresponding to a small change Δ t in t. since y y / t  , x x / t y dy dy y t0 t  '(t)   lim   dt  dx x 0 x lim x dx  '(t) t 0 t dt lim
  • 3.
    Multiple Choice Questions 1.If  t   x  a  cos t  log  tan   , y  a sin t 2    dy  dx (a) tan t (b) -tant (c) cot t (d) – cot t then
  • 4.
    Ans: (a) tan t t  x a cos t  log tan  Given that 2  and y  a sin t . Differentiating with respect to t, dy  a cos t we get dt .....(i)  dx  t  1  2  t   a sin t  cot    sec   and dt  2  2   2   1  cos 2 t   a  sin t   a cos t cot t a sin t  sin t  .....(ii) dy From (ii) and (i), we get dx  tan t .
  • 5.
    d2 y 2 2. Ifx  at , y  2at, then dx 2  (a)  1 t2 1  3 (c) t 1  3 (b) 2at 1 (d)  2at 3
  • 6.
    Ans: 1  3 (d) 2at dydy / dt 2a dy 1 2a     y dx dx / dt 2at , dx t 2 dy d 2 y  dy  y  2a y 2     0 , dx  dx  dx d 2 y  (dy / dx )2 1  2   y dx 2at 3 . OR d2y/dx2 = d/dx (dy/dx) = [d/dt (dy/dx)] / [dx/dt] = [d/dt (1/t)] / [2at] = (-1/t2)/2at = 1/2at3
  • 7.
    3. If x 2cos t  cos 2t , y  2sin t  sin 2t ,  dy then at t  4 , dx  (a) 2 1 (b) (c) 2 1 2 (d) None of these 2 1
  • 8.
    Ans: (a) 2 1 dx  2sin t  2 sin 2t dt dy  2 cos t  2 cos 2t dt dy cos t  cos 2t  dx sin 2t  sin t   dy  t ,   Put 4 we have  dx  t  / 4 cos  / 4  cos  / 2   2 1 . sin  / 2  sin  / 4 and
  • 9.
    Multiple Choice Questions 1.If x  a sin 2 1  2cos   , y  bcos 2 1  cos 2  , dy  then dx b tan  (a) a a tan  (b) b a (c) b tan  b (d) a tan  dy 3at 3at 2  x ,y  , then 3 3 2. If dx 1 t 1 t  t 2  t3 (a) 1  2t 3  t 2  t3 (c) 1  2t 3    t 2  t3 (b) 1  2t 3   t 2  t3 (d) 1  2t 3 
  • 10.
    3. If x= a (t + sin t) and y = a (1 – cos t), then dy  dx equals (a) tan(t / 2) (b) cot(t / 2) (c) tan 2t (d) tan t
  • 11.
    Answers 1. b tan  (a)a 1   x  a sin 2  sin 4  2  , 1   y  b cos 2  (1  cos 4 ) 2    dx  2a(cos 2  cos 4 )  2a.2 cos 3 cos  d and dy  2b(sin 4  sin 2 )  2b.2 cos 3 sin  d  dy dy dx b    tan  . dx d d a
  • 12.
    2.  t 2 t3 (b) 1  2t 3  3at 3at 2 x , y y  tx . 3 1t 1  t 3 . Clearly, dy dt  t. 1  x . Differentiate w.r.t. x, we get dx dx …..(i) Now, dx 1  t 3  t. 3 t 2 3a.(1  2 t 3 )  3 a.  3 2 dt (1  t ) (1  t 3 )2 .....(ii) dy 3 at (1  t 3 )2 t(2  t 3 )  t .  3 3 dx 1  t 3 a(1  2 t ) 1  2 t 3 , {by (ii)}.
  • 13.
    3. (a) tan(t /2) d [a(1  cos t)] dy dy / dt   dt d dx dx / dt [a(t  sin t)] dt t t 2 sin cos dy a sin t sin t 2 2    t dx a  a cos t 1  cos t 2 cos 2 2  dy t  tan dx 2. Differentiation of infinite series If y is given in the form of infinite series of x and we have to find out dy dx then we remove one or more terms, it does not affect the series
  • 14.
    i. if y f(x)  f(x)  f(x)  ....... , theny  f(x)  y  y  f(x)  y 2 2y dy dy  f (x)  dx dx  , dy f (x)  , dx 2y  1 ii. f(x)..... If y  f(x)f(x)f(x)  logy  y logf(x) then y  f(x)y 1 dy y.f (x) dy dy y 2f (x)   logf(x). ,   y dx f(x) dx dx f(x)[1 y logf(x)] iii. if y  f(x)  1 f(x)  1 f(x)  .... then dy yf (x)  dx 2y  f(x)
  • 15.
    For more pleasevisit www.ednexa.com Or you can call 9011041155 - Team Ednexa