A
PROJECT REPORT
ON
“Design and Fabrication of a Selective Compliance
Articulated Robot Arm (SCARA)”
Submitted by
Mr. Panchal Kunal Pradeep (BEA-78)
Mr. Patil Suraj Shashikant (BEB-16)
Mr. Sawant Devarsh Vivek (BEB-37)
Mr. Shaikh MohammedFarhan F (BEB-39)
In fulfillment of term work
BE Mechanical Engineering
Under the guidance of
Prof. Sagar Dhotare
Department of Mechanical Engineering
Vishwaniketan’s
Institute of Management Entrepreneurship and Engineering
Technology Kumbhivli, Khalapur-410202
2021-2022
ABSTRACT
The SCARA concept (Selective Compliance Articulated Robot for
Assembly) was first introduced in Japan in 1979. This robot arm was
designed to move fast in the horizontal plane with some compliance, but
with high stiffness with respect to transverse loads. It has a small footprint
compared to Cartesian robots, which renders it very useful for operations
in restricted spaces.
On a 3D printer, the arms are driven directly by stepper motors, reducing
the need of feedback control, particularly in low-speed operation. This
solution is cheap compared to servomotors, which are most applied to
industrial robots.
This report deals with the Design and Fabrication of a Selective
Compliance Articulated Robot Arm (SCARA). SCARA robots are among
the most widely used robots in the industry due to their high accuracy and
inherent rigidity. Robotics is becoming popular and has achieved great
success in the last few decades.
Keywords: SCARA robot, Design modification, Solidworks, Python programming,
Arduino UNO, Stepper motors, Weight Reduction, Cost Reduction, multi tool end
effector.
NOMENCLATURE
F1 = Total load on arm 1
F2 = Total load on arm 2
r1 = Length of arm 1
r2 = Length of arm 2
θ = Angle between arm and
𝜏1 = Total torque on arm 1
𝜏2 = Total torque on arm 2
L = Total length of power screw
P = pitch
Do = Outer diameter of power screw
Di = Inner diameter of power screw
Dm = Mean diameter of power screw
α = Lead angle / Helix angle
Φ = Friction angle
μ = Coefficient of friction
W = Total weight on power screw
P = Effort applied at the circumference of the screw to raise or lower the load
Ro = Outside radii of collar
Ri = Inside radii of collar
μ1 = Coefficient of friction for the collar
αs = Wrap angle for small pulley
αb = wrap angle for big pulley
D = diameter of big pulley
D = diameter of small pulley
C = center distance
TABLE OF CONTENTS
Chapter
No.
Sub
Title
Title Page
No.
1. Introduction………………………………………….…………. 1
1.1 Introduction to SCARA robot……………………….…………. 2
1.2 Components of SCARA robot…………....................…………. 3-8
1.3 Construction………………………………………....…………. 9
1.4 Working …………………………………………….…………. 10
1.5 Methodology………………………………...............…………. 11
2. Problem Statement and Objectives…………………………….. 12
2.1 Problem statement ………………………………….………… 13
2.2 Objectives …………………………………..............…………. 13
2.3 Need of project ……………………………...............………… 13
2.4 Expected outcomes ……………………………………………. 13
3. Material selection …………………………...............…………. 14
3.1 Material selection for arm…………………...............…………. 15-16
4. Design of SCARA robot…………………………….…………. 17
4.1 Torque calculation for motor selection……...............…………. 18-20
4.2 Calculation of power screw……………………………………. 20-22
4.3 Belt length calculation…………………………………………. 23-24
4.4 Shear stress and bending moment………….………….………. 24-25
4.5 Pulley calculation………….………….………….………….… 25-26
4.6 Kinematics calculation………….………….………….………. 27-35
5. Finite element analysis ……………………...............………… 36
5.1 FEA of arm assembly at straight ……………………………… 37-42
5.2 FEA of arm assembly at angle…………………………………. 43-48
6 Costing………….………….………….………….……………. 49
6.1 Standard material costing………….…………………….…….. 50
6.2 3D printing cost………….………….………….………….…... 50
7. Result and Conclusion…………………………………………. 51
7.1 Result……………………………………….............…………. 52
7.2 Conclusion…………………………………..............…………. 53
7.3 Future Scope and Improvements ……………………………… 53
Reference………………………………………………………. 54-55
FIGURE TABLE
Figure No. Figure Name Page No.
1.2.1 Top plate……………………………….……………. 3
1.2.2 Carriage plate…………………………..……………. 3
1.2.3 Bottom plate…………………………...…………….. 4
1.2.4 Arm 1…………………………………..……………. 4
1.2.5 Arm 2…………………………………..……………. 4
1.2.6 Guiding rods…………………………...……………. 4
1.2.7 Linear bearing………………………….……………. 5
1.2.8 Roller bearing………………………….……………. 5
1.2.9 Power screw with nut………………….……………. 5
1.2.10 Pillow block bearing…………………...……………. 6
1.2.11 Flexible coupling……………………………………. 6
1.2.12 Arduino UNO………………………….……………. 7
1.2.13 Stepper motor………………………….……………. 7
1.2.14 Stepper motor driver L293…………….……………. 7
1.2.15 GT 2 pulley…………………………………………. 8
1.2.16 Breadboard…………….…………….……………… 8
1.4.1 Working of SCARA …………….………………….. 10
4.1.1 Arm 1…………….…………….…………….……… 18
4.1.2 Arm 2 …………….…………….…………….……... 19
4.3.1 Calculations for belt…………….…………………… 23
4.4.1 Bending moment diagram …………….……………. 25
4.6.1 Work envelope …………….………………………... 27
4.6.2 Workspace and Deadzone…………….……………... 29
4.6.3 Forward kinematics (a) …………….……………….. 30
4.6.4 Forward kinematics (b) …………….………………. 32
4.6.5 Inverse kinematics …………….……………………. 34
5.1.1 Cross-section of arm assembly at straight…………... 37
5.1.2 Arm assembly at straight…………….……………… 38
5.1.3 Meshing of arm assembly at straight…………….….. 39
5.1.4 Arm analysis at straight - stress…………….……….. 41
5.1.5 Arm analysis at straight – displacement ……………. 42
5.1.6 Arm analysis at straight - strain…………….……….. 42
5.2.1 Arm assembly at angle…………….………………… 43
5.2.2 Meshing of Arm assembly at angle…………….…… 45
5.2.3 Arm analysis at angle – stress…………….………… 46
5.2.4 Arm analysis at angle – displacement ……………… 47
5.2.5 Arm analysis at angle – strain …………….………… 48
1
CHAPTER 1
INTRODUCTION
2
1.1 INTRODUCTION TO SCARA ROBOT
SCARA Robots are a popular option for small robotic assembly
applications. SCARA is an acronym for Selective Compliance Articulated Robot
Arm, meaning it is compliant in the X-Y axis, and rigid in the Z-axis. The SCARA
configuration is unique and designed to handle a variety of material handling
operations.
The SCARA’s structure consists of two arms joined at the base and the
intersection of arms one and two. Two independent motors use inverse kinematics
and interpolation at joints J1 and J2 to control the SCARA’s X-Y motion. The final
X-Y location at the end of arm two is a factor of the J1 angle, J2 angle, length of arm
one and length of arm two.
The work envelope or the area of space that a robot can physically reach is a
critical consideration. Whether SCARA, Delta or six-axis robots, the lengths of
various links, and the limitations of the joint motion are important factors to review.
Typically, SCARA robots have a cylindrical shaped work envelope with
variations in the diameter and depth of the cylinder. The total lengths of arms one
and two define the diameter of the circle, while the Z stroke defines the depth of the
cylinder.
In most applications, a SCARA’s work envelope is contained to the front and
side. The back area may not be useable if cables and pneumatic hoses exit from the
rear - some SCARAs offer optional bottom exits – making it possible to work behind
the robot.
Speed is an important factor when choosing a robot, and SCARAs are
typically one of the fastest on the market. With four axes, they have fewer moving
joints and are configured so that J1 and J2 control the X-Y motion, and J3 and J4
control the Z and rotation motion. This simplifies inverse kinematic calculations,
requiring less computational time. When cycle time is critical, consider a SCARA
solution.
3
1.2 COMPONENTS OF SCARA ROBOT
The main components are described. All parts were 3D-printed except for the
stepper motors, guiding rods, lead screw, GT2 pulleys and timing belts.
Top-plate
The top-plate was initially the part with the least functionality, with the sole
purpose of holding the guiding rods together, along with the lead screw.
Fig 1.2.1 Top Plate.
Mid-plate (Carriage plate)
The mid-plate, together with the arm mounting plate, were the mounting place
for three crucial parts: the lead screw and the two smaller stepper motors. This
component also enabled the arms to move vertically as it was connected to the lead
screw.
Fig 1.2.2 Carriage plate.
Base
The base was initially the foundation of the robot, housing the big stepper
motor. As iterations of the robot were made, it became apparent that mounting the
big stepper motor on the base was a better solution than having it mounted on the
top-plate.
4
Fig 1.2.3 Bottom Plate.
Arm
This was the most mechanically complex subsystem of the robot to design.
From the beginning, one of the main ideas was to centralize the two small stepper
motors close to the Z-axis and not have them mounted on the arm. The reason being
to minimize the weight of the arm and thus to reduce their static, tilting torque. To
solve this, the outgoing axis’ driven by the small stepper motors had to be rotating
coaxially, which was solved by developing a “hollow axis”.
Fig 1.2.4 Arm 1 Fig 1.2.5 Arm 2
Guiding rods
The main function of the guiding rods was to distribute the load and serve as a
rail for the mid-plate to move along. They were initially made from aluminum for
cost and availability reasons. As development progressed, the choice of material
changed to stainless steel due to aluminum being too soft for the linear bearings.
Also, the stainless steel’s polished surface allowed for lower friction.
Fig 1.2.6 Guiding Rods.
Bearings
5
Bearings are machine elements used keep components such as a fixed axis
in place while also relieving its load. An often-desirable trait of a bearing is its low
friction, allowing the connected component to move with ease. Bearings are
classified by their allowed range of motion or in what direction the load is being
applied. Two types of bearings were used in the project. The guiding rods used three
linear bearings, making sure the vertical movement was smooth. The arms used
radial ball bearings for two reasons. Firstly, because it made the arm rotates as
smoothly as possible and thus reducing the torque needed from the smaller stepper
motors and the second reason being accuracy when rotating.
Fig 1.2.7 Linear Bearing. Fig 1.2.8 Roller Bearing
Power screw
Power screw is also called translation and screw. Power screw of various
descriptions are commonly encountered machine components such as screw jack,
lead screw and machine vice. Power screw is a mechanical device used for
converting rotary motion into linear motion and transmitting power. It uses helical
translatory motion of the screw thread in transmitting power rather than clamping
the machine components. There are two types of threads on power screw viz. square
or trapezoidal. We have used trapezoidal threaded power screw.
Fig 1.2.9 Power Screw with Nut
Pillow block bearing
A pillow block bearing (or Plummer block) is a pedestal used to provide support
for a rotating shaft with the help of compatible bearings & various accessories. The
6
assembly consists of a mounting block which houses a bearing. The block is
mounted to a foundation and a shaft is inserted allowing the inner part of the bearing
/ shaft to rotate. The inside of the bearing is typically 0.001 inches (0.025 mm) larger
than the shaft to ensure a tight fit. Set screws, locking collars, or set collars are
commonly used to secure the shaft. Housing material for a pillow block is typically
made of cast iron or cast steel.
Fig 1.2.10 Pillow Block Bearing.
Flexible shaft coupling
Flexible couplings connect two shafts, end-to-end and in the same line, causing
both to rotate at the same speed. They also flex to compensate for misalignment and
movement between shafts. This compensation is crucial because perfect alignment
of two shafts is extremely difficult and rarely achieved.
Fig 1.2.11 Flexible Coupling.
Arduino UNO
Arduino is an open-source microcontroller platform that was developed by
experts within electrical engineering in order to make use of electronics and
electrical components easier for the less experienced consumer. It is widely used in
both simpler and more complex projects due to its versatility and affordable price.
The board has 14 digital I/O pins (six capable of PWM output), 6 analog I/O pins,
and is programmable with the Arduino IDE (Integrated Development Environment),
via a type B USB cable.
7
Fig 1.2.12 Arduino UNO
Stepper motor
A stepper motor generally consists of a rotor that is a gear shaped permanent
magnet which is surrounded by the windings of a stator. The windings are alternately
powered to incrementally rotate the rotor on which the shaft is attached. This results
in the ability to precisely control the angular position of the shaft.
Fig 1.2.13 Stepper Motor
Stepper motor driver
Due to the fact that the powered phase must be alternated to rotate the shaft,
control electronics that allow for rapid changes in direction and amplitude of the
current in the windings are necessary. Such electronics are known as drivers and are
available in many different forms.
Fig 1.2.14 Stepper Motor Driver (L293)
8
GT 2 pulley
The GT2 series of belts and pulleys are designed specifically for linear
motion. They use a rounded tooth profile that guarantees that the belt tooth fits
smoothly and accurately in the pulley groove, so when you reverse the pulley
direction, there is no room for the belt to move in the groove.
Fig 1.2.15 GT 2 pulley
Breadboard
A breadboard is a solderless construction base used for developing an
electronic circuit and wiring for projects with microcontroller boards like Arduino.
Fig 1.2.16 Breadboard
9
1.3 CONSTRUCTION
This SCARA robot consists of 3 degrees of freedom that include two rotary
joints with a prismatic joint. Three NEMA 17 stepper motors were utilized to control
the actuator joints of the robot. The robot has 3 or 4 degrees of freedom depending
upon end effector and it’s driven by 3 NEMA 17 stepper motors.
The brain of this SCARA robot is an UNO board which is paired with L293
motor driver for controlling the stepper motors. Forward Kinematics is used to move
each robot joint manually in order to get the desired position. On the other hand,
using Inverse Kinematics we can set the desired position of the end effector, and the
program will automatically calculate the angles for each joint in order the robot to
get to that desired position. For the first joint, we have 14:5 reduction ratio, achieved
in two stages with these custom designed pulleys.
The two GT2 belts used here are closed loop with 139.2149mm and 372.39
mm length. The robot joints are composed of 3 ball bearing. For the second joint,
we have 0.2354 reduction ratio, achieved. The joints are hollow, so we can use that
to pass through the wires from the motors and the micro switches. The Z axis of the
robot is driven by an 8mm lead screw, while the whole arm assembly slides on three
8mm smooth rods and three 8x15x45mm linear ball bearings. The height of the robot
simply depends on the length of the smooth rods, which in this case are 560 mm.
10
1.4 WORKING
• The host (computer) receives input in the form of Co-ordinates, Angles or G-code
in the python.
• After processing the input, the python program then sends number of steps to
perform for each stepper motor to the Arduino Controller.
• This no. of steps is passed to the motor from Arduino through L293 motor driver.
• We use 3 NEMA 17 stepper motor to move in X, Y and Z axis.
• The M1 motor which is mounted at bottom is connected to lead screw through a
coupler, the rotation of lead screw offers linear displacement of carriage in Z-axis.
• When power screw moved clockwise the carriage moves upwards, and downwards
when it moved anticlockwise.
• M2 motor is connected to Link1 using timing belt and pulley which rotates Arm1.
• M3 motor is connected to link 2 using two stages with timing belt and pulley which
rotates Arm2.
• The M2 and M3 motors controls arm position using Forward and Inverse
Kinematics.
• We can use end effector/actuator according to the application such as FDM, Gripper,
Laser engraver, Soldering, Drilling, etc.
Fig 1.4.1 working of SCARA
11
1.5 METHODOLOGY
1 • Rough designing and modeling on paper.
2 • Identifying requirements and algorithm.
3 • Calculation of Torque, stress, pulley, velocity, kinematic.
4 • Actual designing of different parts using solidworks.
5 • Assembly and study of working using solidworks.
6 • Modifications if any required for improvement.
7 • Analysis using solidworks simulation.
8 • Electronic Components selection.
9 • Project Prototype
12
CHAPTER 2
PROBLEM STATEMENT &
OBJECTIVES
13
Problem statement:
• Flexibility: Conventional/Cartesian robots are less flexible.
• Various robot configurations produce distinct working envelope shapes.
This working envelope is crucial when choosing a robot for a specific
application because it specifies the manipulator and end effector’s work
area.
Objectives:
• To design and develop a SCARA which uses robotic arm.
• For printing and any other applications depends upon end effector.
• To take up less space than any other type of assembly robots and printers.
Need of project:
• Through the literature review, it was found that the SCARA robots have problem
of vibration and accuracy.
• 3D printers have high cost and take a more space for printing. These problems will
reduce through this project.
Expected outcomes:
We will design and fabricate the SCARA robotic arm to get following
characteristics:
• Less Vibrations. – only arm moves not whole carriage
• Less in weight. - As most parts of robotic arm are 3D printed
• Cost will decrease – Rather than working with expensive parts we have developed
our SCARA to work on cost effective parts.
14
CHAPTER 3
MATERIAL SELECTION
15
Material Selection:
The general procedure for material selection is
1. Design requirements
2. Material selection criteria
3. Candidate material
4. Material evaluation
5. Select material
Material selection for arm:
Design requirements:
• To extend and retract (fold) into confined areas.
• Taking the load of end effector, pick up load, pulleys, belt & bearings.
• Light in weight and increase the strength.
Material selection criteria:
• Availability of material
• Cost of material
• Life of material
• Melting temperature
• Strength of material
Candidate material:
Through the market survey, we found that the following materials are best suited
• Nylon
• Acrylonitrile butadiene styrene
• PLA (Polylactic acid)
16
Material evaluation:
Material Nylon Acrylonitrile
butadiene
styrene
PLA
Availability Easily Easily Easily
Cost per
kg.
2975 721 900
Life
(years)
20 2 15
Melting
temp.
250 200 170°C
Strength High Good High
Specific Heat (J/kgK) 1670 1600 1200
Tensile strength (MPa) 60 65 66
Special
properties
Strong
Flexible
durable
Durable
Impact resistant
Easy to print
Biodegradable, only in
specific conditions
Thermal conductivity 0.3 0.3 0.3
Density (kg/m3) 1270 1200 1240
Young’s modulus
(GPa)
2.7 2.5 4.1
Coefficient of thermal
expansion
(µm/m-ͦc)
157 90 68
Select material:
From the above table, it found that PLA (Polylactic Acid) is fitted in our
selection criteria.
17
CHAPTER 4
DESIGN OF SCARA ROBOT
18
4.1 Torque calculation for motor selection
Link-1: - Required torque
Fig. 4.1.1- Arm 1
Torque(𝜏1) = F1 x r1 x sin(θ)
Considering FOS = 1.2
= [1.3N x 1.2SF] x 25 x sin (90)
Torque(𝜏1) = 39N.cm
= 39/9.81 Kg.cm
Torque(𝜏1) = 3.9755 Kg.cm
Available Torque at that point
For arm -1
N1/ N2 = (T1/T2) × Motor torque
= (56/20) × 2.8 Kg.cm.
N1/N2= 7.84 Kg.cm.
Available torque for arm -1, i.e. 7.84 Kg.cm. is greater than calculated torque
i.e. 3.9755 Kg.cm.
19
Therefore, Design is safe
Fig. 4.1.2- Arm 2
Link-2: - Required torque
Torque(𝜏2) = F2 x r2 x sin(θ)
= [1N x 1.2SF] x 10 x sin (90)
Torque(𝜏2) = 12 N.cm
= 12/9.81 Kg.cm
Torque(𝜏2) = 1.2232 Kg.cm
Available Torque at that point
For arm -2
N2/N3 = T3/T2
[N1 × (T1/T2)] = T3/T2
N1/N3 = [(T3/T2) × (T2/T1)]
= [(44/29) × (56/20)]
N1/ N3 = (616/145) × Motor Torque
= (616/145) × 2.8 Kg.cm.
= 11.8951 Kg.cm.
Available torque for arm -2, i.e., 11.8951 Kg.cm. is greater than calculated
torque i.e., 1.2232. Kg.cm.
20
Therefore, Design is safe.
Total Weight
Component Quantity Total Weight
Linear bearings 3 0.077
Nut 1 0.012
Coupler 1 0.015
Carriage 2 0.019
Offset 1 0.001
Motors 2 0.446
Bearings 2 0.061
Pulleys 2 0.006
FDM 1 0.25
Arm 1 1 0.5
Arm 2 1 0.3
Miscellaneous 1 0.813
Total weight 2.5
Total weight (W)= 2.5 N
4.2 Calculation of power screw
Material – 1. Rod- stainless steel, 2. Nut- Brass
Thread type = Square thread
Outer diameter (Do) = 8mm
Length (L) = 500mm
Pitch (P) = 2mm
No. of start (Nt) = single start thread (1)
A] Torque required to rise the load by square threaded screw
1. Mean diameter (Dm) = Do – P/2 = 8 – 2/2 = 7mm
2. Lead angle / helix angle (α)
α = tan-1
(P/πDm) = tan-1
(2/π x 7) = 5.1965o
3. Friction angle (Φ)
Assuming μ = 0.21
μ = tan (Φ)
0.21 = tan (Φ)
21
Φ = 11.85o
4. Effort applied at the circumference of the screw to lift the load
P = W tan (α + Φ)
= 2.5 x tan (5.1965 + 11.85)
= 0.7665 N
5. Torque required to overcome friction between the screw and nut
T1 = P x Dm/2 = 0.7665 x 7/2 = 2.6827 Nmm
= 0.26827 Ncm
T1 = 0.02734 Kg.cm
6. Torque required to overcome friction at collar
T2 = 2/3 x μ1 x W [(R3
o - R3
i)/( R2
o - R2
i)] … [assuming uniform pressure
condition]
Ro = Do/2 = 8/2 = 4mm
Di = Dm - P/2 = 7 – 2/2 = 6mm
Ri = Di/2 = 6/2 = 3mm
μ1 for steel and aluminum = 0.35
T2 = 3.0833 Nmm
= 0.30833 Ncm
T2 = 0.03143 Kg.cm
7. Total torque required to overcome friction
T = T1 + T2 = 0.02734 + 0.03143 = 0.05877 Kg.cm
B] Torque required to lower the load by square threaded
screws
1. Effort applied at the circumference of the screw to lower the load
P = W tan (Φ - α) = 2.5 x tan (11.85 – 5.1965)
P = 0.2916 N
2. Torque required to overcome friction between the screw and nut
T1 = P x Dm/2 = 0.2916 x 7/2 = 1.0206 Nmm
= 0.10206 Ncm
T1 = 0.01040 Kgcm
22
C] Efficiency of square threaded screws
1. By considering screw friction only-
Efficiency (η) = ideal effort (P0)/actual effort (P)
= Wtan (α)/Wtan (α + Φ)
= 0.2273/0.7665
η = 0.2965
2. By considering screw friction and collar friction-
Efficiency (η) = torque required to move load, neglecting friction / torque
required to move the load, including screw and nut friction
= 0.2273 x 3.5 / 0.7665 x 3.5 + 0.35 x 2.5 x 3.5
η = 0.1384
Maximum efficiency of a square threaded screw-
η max = 1 – sin (Φ) / 1+ sin (Φ)
= 1 – sin (11.85) / 1 + sin (11.85)
η max = 0.6592
Stress calculation: -
1. Direct stress (σc): -
σc = 2.5/π/4 x (Dc)2
= 2.5/π/4 x (6)2
= 0.08841 N/mm2
2. Shear stress (τ): -
τ = 16T/ π(Dc)3
= 16 x 490.5/ π (6)3
= 11.5652 N/mm2
3. Max shear stress in the screw (τmax): -
τmax = 1/2 x √ {(σc)2
+ 4 τ2
}
= 1/2 √ {(0.0884)2
+ 4(11.5652)2
}
= 11.5652 N/mm2
23
4.3 Calculation for length of belt
Fig 4.3.1 Calculations for belt
Belt Length Calculation for Link 1
Sin (β) = D x d / 2C = 35.5 – 12 / 2 x 30
β = 23.05 °
Angle of wrap
αs = (180 - 2 β) = (180 – 2 x 23.05) = 133.9°
αb= (180 + 2 β) = (180 + 2 x 23.05) = 226.1°
Length of belt
L = 2C + [ π (D + d) / 2] + [ (D - d)2
/ 4C]
= 2 x 30 + [ 3.14 (35.5 + 12) / 2] + [(35.5 - 12) / 4 x 30]
= 139.2149 mm
Belt Length Calculation for Link 2
Sin β = D – d / 2C = 27.5 – 18.5 / 2 x 150
β = 1.71°
Angle of Wrap
24
αs = (180 - 2 β) = (180 – 2 x 1.71) = 176.58°
αb= (180 + 2 β) = (180 + 2 x 1.71) = 183.42°
Length of Belt
L = 2C + [ π (D + d) / 2] + [ (D - d)2
/ 4C]
= 2 x 150 + [3.14(27.5 + 18.5) / 2] + [(27.5 – 18.5)2
/ 4 x150]
= 372.39 mm
4.4 Shear force and bending moment
SHEAR FORCE DIAGRAM
• Portion BC
Consider a section at a distance x from the free end. The force to the right of
the section, Fx = 1N
It is constant between B and C
• Similarly, for portion AB
Fx = 1 + 0.3 = 1.3N …. (constant)
Thus, shear stress diagram consists of several rectangles having different
ordinates.
It can be observed that the shear force undergoes a sudden change in passing
through a load point.
25
Fig. 4.4.1 Bending moment diagram
BENDING MOMENT DIAGRAM
• Portion BC: taking moment of section M = 1X, i.e., it is linear
Add C, X = 0 and Mc = 0
At B, X = 10cm and MB = 10Ncm
• Portion AB: taking moment about a section,
Mx = 1X + 0.3 (X - 10)
At B, X = 10cm and MB = 10Ncm
At A, X = 25cm and MA = 29.5Ncm
4.5 PULLEY CALCULATION
NOMENCLETURE
N1 = speed of motor
N2 = speed of two stage pulleys
N3 = speed of arm pulley
T1 = number of teeth on GT2 pulley
26
T2 = number of teeth on double pulley (larger pulley)
T3 = number of teeth on double pulley (smaller pulley)
T4 = number of teeth on arm pulley
PULLEY Ratios
• For Arm 1
N2/N1 = T1/T2
N2 = N1 x (T1/T2)
N2 = N1 x (20/56)
𝐴𝑟𝑚 1 𝑎𝑛𝑔𝑙𝑒 (𝜃)
𝑚𝑜𝑡𝑜𝑟 2 𝑟𝑜𝑡𝑎𝑡𝑖𝑜𝑛 𝑎𝑛𝑔𝑙𝑒
=
𝑇1
𝑇2
Motor 2 rotation angle = Arm 1 angle (θ) *
𝑇2
𝑇1
Motor 2 rotation angle = Arm 1 angle (θ) *
56
20
motor2.step() = [Arm 1 angle (θ) ∗
56
20
] / 1.8
• For Arm 2
N3/N2 = T2/T3
N3 = N2 x (T2/T3)
N3 = N1 x (20/56) x (29/44)
N3 = N1 x (145/616)
N3/N1 = 145/616
𝐴𝑟𝑚 2 𝑎𝑛𝑔𝑙𝑒 (𝛽)
𝑚𝑜𝑡𝑜𝑟 3 𝑟𝑜𝑡𝑎𝑡𝑖𝑜𝑛 𝑎𝑛𝑔𝑙𝑒
=
𝑇1
𝑇2
*
𝑇3
𝑇4
Motor 3 rotation angle = 𝐴𝑟𝑚 2 𝑎𝑛𝑔𝑙𝑒 (𝛽) *
𝑇2
𝑇1
*
𝑇4
𝑇3
Motor 3 rotation angle = 𝐴𝑟𝑚 2 𝑎𝑛𝑔𝑙𝑒 (𝛽) *
56
20
*
44
29
motor3.step() = [𝐴𝑟𝑚 2 𝑎𝑛𝑔𝑙𝑒 (𝛽) ∗
56
20
∗
44
29
] / 1.8
27
4.6 Kinematics Calculation:-
Fig. 4.6.1 Work envelope
Denavit – Hartenberg parameters
In mechanical engineering, the Denavit–Hartenberg parameters (also called DH
parameters) are the four parameters associated with a particular convention for
attaching reference frames to the links of a spatial kinematic chain, or robot
manipulator.
• d - the "depth" along the previous joint's z axis
• θ (theta) - the rotation about the previous z (the angle between the common
normal and the previous x axis)
• r - the radius of the new origin about the previous z (the length of the common
normal)
• α (alpha) - the rotation about the new x axis (the common normal) to align the old
z to the new z.
28
Trans zn – 1 (dn) = [
1 0 0 0
0 1 0 0
0 0 1 𝑑ₙ
0 0 0 1
]
Rot zn – 1 (θn) = [
𝑐𝑜𝑠𝜃ₙ − 𝑠𝑖𝑛𝜃ₙ 0 0
𝑠𝑖𝑛𝜃ₙ 𝑐𝑜𝑠𝜃ₙ 0 0
0 0 1 0
0 0 0 1
]
Trans zn (rn) = [
1 0 0 𝑟ₙ
0 1 0 0
0 0 1 0
0 0 0 1
]
Rot zn (αn) = [
1 0 0 0
0 𝑐𝑜𝑠𝛼ₙ −𝑠𝑖𝑛𝛼ₙ 0
0 𝑠𝑖𝑛𝛼ₙ 𝑐𝑜𝑠𝛼ₙ 0
0 0 0 1
]
This gives:
n – 1
Tn = [
𝑐𝑜𝑠𝜃ₙ −𝑠𝑖𝑛𝜃ₙ𝑐𝑜𝑠𝛼ₙ 𝑠𝑖𝑛𝜃ₙ𝑐𝑜𝑠𝛼ₙ 𝑟ₙ𝑐𝑜𝑠𝜃ₙ
𝑠𝑖𝑛𝜃ₙ 𝑐𝑜𝑠𝜃ₙ𝑐𝑜𝑠𝛼ₙ −𝑐𝑜𝑠𝜃ₙ𝑠𝑖𝑛𝛼ₙ 𝑟ₙ𝑠𝑖𝑛𝜃ₙ
0 𝑠𝑖𝑛𝛼ₙ 𝑐𝑜𝑠𝛼ₙ 𝑑ₙ
0 0 0 1
]=[ 𝑅 𝑇
0 0 0 1
]
By nature of the SCARA's joint layout, the arm is slightly compliant in the X-Y
direction but rigid in the Z direction which make kinematic calculation simpler by
reducing complexity of 3D Geometric Transformation to 2D Geometric
Transformations
29
Fig. 4.6.2 Workspace and Deadzone
For further calculation Nomenclature:-
α 1 = Arm 1 at Angle with respect x-axis
α 2 = Arm 2 at Angle with respect x-axis
R 1 = Length of arm 1
R 2 = Length of arm 2
θ = Input Rotation of arm 1
β = Input Rotation of arm 2
Point A = Joining point of arm 1 and 2
Point A' = Joining point of arm 1 and 2 after rotating arm 1 by θ
Point E = End effector point
Point E' = End effector point after rotating arm 1 by θ
Point E'' = End effector point after rotating arm 1 by θ and arm 2 by β
Th = Translation matrix
Rh = Rotation matrix
AT = Translation point of A, similarly A'T, ET, E'T, E''T,
Take ↻ = Negative (-ve), ↺ =Positive (+ve)
30
Forward Kinematics
By 2D Geometric Transformations:-
∴ For [E (x, y)] = x = (R1) (cosα1) + (R2) (cosα2)
x = (150) (cos {50}) + (100) (cos {50})
x = 32.139
y = (R1) (sinα1) + (R2) (sinα2)
y = (150) (sin {50}) + (100) (sin {50})
y = 191.51118
∴ E (x, y) = (32.139, 191.51118)
Fig. 4.6.3 Forward kinematics (a)
31
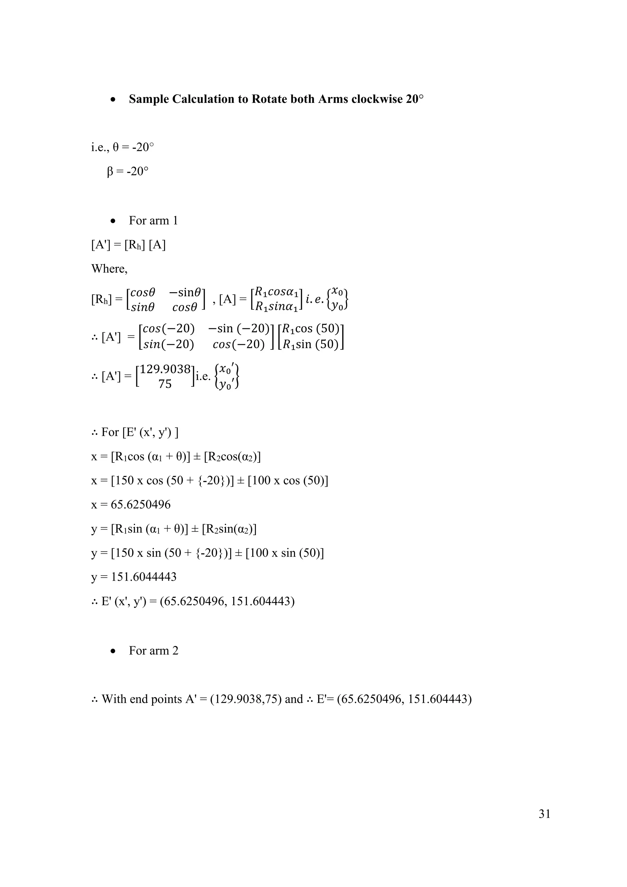
• Sample Calculation to Rotate both Arms clockwise 20°
i.e., θ = -20°
β = -20°
• For arm 1
[A'] = [Rh] [A]
Where,
[Rh] = [
𝑐𝑜𝑠𝜃 −sin𝜃
𝑠𝑖𝑛𝜃 𝑐𝑜𝑠𝜃
] , [A] = [
𝑅₁𝑐𝑜𝑠𝛼₁
𝑅₁𝑠𝑖𝑛𝛼₁
] 𝑖. 𝑒. {
𝑥₀
𝑦₀}
∴ [A'] = [
𝑐𝑜𝑠(−20) −sin (−20)
𝑠𝑖𝑛(−20) 𝑐𝑜𝑠(−20)
] [
𝑅₁cos (50)
𝑅₁sin (50)
]
∴ [A'] = [
129.9038
75
]i.e. {
𝑥₀′
𝑦₀′
}
∴ For [E' (x', y') ]
x = [R1cos (α1 + θ)] ± [R2cos(α2)]
x = [150 x cos (50 + {-20})] ± [100 x cos (50)]
x = 65.6250496
y = [R1sin (α1 + θ)] ± [R2sin(α2)]
y = [150 x sin (50 + {-20})] ± [100 x sin (50)]
y = 151.6044443
∴ E' (x', y') = (65.6250496, 151.604443)
• For arm 2
∴ With end points A' = (129.9038,75) and ∴ E'= (65.6250496, 151.604443)
32
Fig. 4.6.4 Forward kinematics (b)
[Th] = [A'] [-1]
= [
129.9038
75
][-1]
∴ [Th] = [
−129.9038
−75
]
[A'T] = [A']+ [Th]
= [
129.9038
75
] + [
−129.9038
−75
]
∴ [A'T] = [
0
0
]
[E'T ] = [E'] + [Th]
= [
65.6250436
151.604443
] + [
−129.9038
−75
]
∴ [E'T] = [
−64.2787504
76.6044443
]
[Rh] = [
𝑐𝑜𝑠𝛽 −sin𝛽
𝑠𝑖𝑛𝛽 𝑐𝑜𝑠𝛽
]
33
∴ [Rh] = [
cos (−20) −sin (−20)
sin (−20) cos (−20)
]
[E''T] = [Rh] [E'T]
= [
cos (−20) −sin (−20)
sin (−20) cos (−20)
] [
−64.2787504
76.6044443
]
∴ [E''T] = [
−34.20200441
93.96925845
]
[Th'] = [A']
∴ [Th'] = [
129.9038
75
]
[A'] = [A'T] + [Th']
∴ [A'] = [
129.9038
75
]i.e. {
𝑥₀′
𝑦₀′
}
[E''] = [E''T] + [Th']
= [
−34.20200441
93.96925845
] + [
129.9038
75
]
∴ [E''] = [
95.7017979559
169.9692585
]
Where E''(95.7, 169.96) is End effector co-ordinate after rotating arm 1 by θ and arm 2 by
β
∴ For [E''(x, y)] = x = (R1) (cosα1 + θ) + (R2) (cosα2 + 𝛽)
x = (150) (cos {50 + (-20)}) + (100) (cos {130 + (-20)})
x = 95.701796
y = (R1) (sinα1 + θ) + (R2) (sinα2 + 𝛽)
y = (150) (sin {50 + (-20)}) + (100) (sin {130 + (-20)})
y = 168.96926
∴ E''(x, y) = (95.701796, 168.96926)
i.e. [E''] = [
cos (α1 + θ) 𝑐𝑜𝑠 (α2 + 𝛽)
sin (α1 + θ) sin (α2 + 𝛽)
] [
𝑅1
𝑅2
]
Inverse Kinematics
Keeping same α 1 = 50° and α 2 = 130°
And have to move End Effector to (x, y) = (95.701796, 168.96926)
34
Current End effector Position is i.e., E (x, y) = (32.139, 191.51118)
Fig. 4.6.5 inverse kinematics
λ = tan-1
[
𝑌
𝑋
]
λ = tan-1
[
168.96926
95.701796
]
35
∴ λ = 60.4734°
Diagonal length between end effector point and origin
i.e. OE'' = √𝑌2 + 𝑋2
OE'' = √168.969262 + 95.7017962
∴ OE'' = 194.1891mm
∠ E''OA = cos-1
[OE′′2
+ 𝑅12
+ 𝑅22
2 𝑥 OE′′
𝑥 𝑅1
]
∴ (α1 + θ) = λ - ∠ E''OA
= tan-1
[
𝑌
𝑋
] - cos-1
[OE′′2
+ 𝑅12
+ 𝑅22
2 𝑥 OE′′
𝑥 𝑅1
]
= tan-1
[
168.96926
95.701796
] - cos-1
[194.18912
+ 1502
+ 1002
2 𝑥 194.1891 𝑥 150
]
∴ (α1 + θ) = 30°
∴ θ = 30° - α1
∴ θ = 30° - 50°
= -20°
Similarly
∴ (α2 + β) = λ + ∠ E''OA
= tan-1
[
𝑌
𝑋
] + cos-1
[OE′′2
+ 𝑅12
+ 𝑅22
2 𝑥 OE′′
𝑥 𝑅2
]
= tan-1
[
168.96926
95.701796
] - cos-1
[194.18912
+ 1502
+ 1002
2 𝑥 194.1891 𝑥 100
]
∴ (α2 + β) = 110°
∴ β = 110° - α2
= 110° - 130°
= -20°
Hence both Arms (1 and 2) rotate clockwise(-ve) 20°
36
CHAPTER 5
FINITE ELEMENT ANALYSIS
37
The Steps involved in performing FEA are as follows:
1.Divide structure into pieces (elements with nodes) (discretization/meshing)
2.Connect (assemble) the elements at the nodes to form an approximate
system of equations for the whole structure (forming element matrices)
3.Solve the system of equations involving unknown quantities at the nodes
(e.g., displacements)
4.Calculate desired quantities (e.g., strains and stresses) at selected elements
The FEA analysis for the robotic arm is done on the Solidworks simulation.
In this the analysis is done on the critical parts, the type of analysis can be
static. The selection of analysis method is selected according to the
objectives.
5.1 FEA of arm Assembly at straight
Fig. 5.1.1 Cross-section of arm assembly at straight
38
Fig. 5.1.2 Arm assembly at straight
Units
Unit system: SI (MKS)
Length/Displacement mm
Temperature Kelvin
Angular velocity Rad/sec
Pressure/Stress N/m^2
Mesh type Solid Mesh
Mesher Used: Curvature-based mesh
Jacobian points for High quality mesh 16 Points
Maximum element size 5.99413 mm
Minimum element size 1.19883 mm
Mesh Quality High
Remesh failed parts with incompatible
mesh
Off
39
Mesh information
Mesh information - Details
Total Nodes 315830
Total Elements 187503
Maximum Aspect Ratio 440.67
% of elements with Aspect Ratio < 3 74.9
% of elements with Aspect Ratio > 10 0.927
% of distorted elements (Jacobian) 0
Time to complete mesh (hh; mm; ss): 00:00:13
Computer name:
Fig. 5.1.3 Meshing of arm assembly at straight
40
Loads and Fixtures
Load
name
Load Image Load Details
Force-
1
Entities: 2 face(s)
Type: Apply normal force
Value: 2 N
Resultant Forces & Reaction forces
Selection
set
Units Sum X
Sum Y Sum Z Resultant
Entire
Model
N -
0.00128722
3.99911 -
0.00082469
3.99911
Fixture
name
Fixture Image Fixture Details
Fixed-
1
Entities: 5 face(s)
Type: Fixed Geometry
Resultant Forces
Components X Y Z Resultant
Reaction force(N) -0.00128722 3.99911 -0.00082469 3.99911
Reaction
Moment(N.m)
0 0 0 0
41
Study Results
Name Type Min Max
Stress1 VON: von
Mises Stress
0.000N/m^2
Node: 315422
3,111,747.000N/m^2
Node: 14125
Fig. 5.1.4
Arm Analysis at straight - Stress
Name Type Min Max
Displacement1 URES: Resultant
Displacement
0.000mm
Node: 883
0.289mm
Node:
297327
42
Fig. 5.1.5
Arm Analysis at straight - Displacement
Name Type Min Max
Strain1 ESTRN: Equivalent
Strain
Element:
187302
Element:
129146
Fig. 5.1.6
Arm Analysis at straight -Strain
43
Fig. 5.2.1 Arm assembly at angle
5.2 FEA of arm Assembly at angle
Fixture name Fixture Image Fixture Details
Fixed-1
Entities: 5 face(s)
Type: Fixed
Geometry
Resultant Forces
Components X Y Z Resultant
Reaction
force(N)
-8.85725e-
05
1.99965
0.00082078
6
1.99965
Reaction
Moment (Nm.)
0 0 0 0
44
Loads and Fixtures
Load
name
Load Image Load Details
Force-1
Entities: 2
face(s)
Type: Apply
normal
force
Value: 1 N
Mesh type Solid Mesh
Mesher Used: Curvature-based mesh
Jacobian points for High quality
mesh
16 Points
Maximum element size 5.99413 mm
Minimum element size 1.19883 mm
Mesh Quality High
Remesh failed parts with
incompatible mesh
Off
45
Mesh information
Mesh information - Details
Total Nodes 313954
Total Elements 186214
Maximum Aspect Ratio 440.67
% of elements with Aspect Ratio <
3
74.7
% of elements with Aspect Ratio >
10
0.904
% of distorted elements (Jacobian) 0
Time to complete mesh (hh; mm;
ss):
00:00:13
Computer name:
Fig. 5.2.2 Meshing of arm assembly at angle
46
Name Type Min Max
Stress1 VON: von
Mises Stress
0.000N/m^2
Node: 313546
2,238,453.000N/m^2
Node: 13115
Fig. 5.2.3
Arm Analysis at angle -Stress
47
Study Results
Name Type Min Max
Strain1 ESTRN: Equivalent
Strain
0.000
Element:
186013
0.001
Element:
133227
Name Type Min Max
Displacement1 URES: Resultant
Displacement
0.000mm
Node: 883
0.291mm
Node:
299451
Fig. 5.2.4
Arm Analysis at angle - Displacement
48
Fig 5.2.5
Arm Analysis at angle -Strain
49
CHAPTER 6
COSTING
50
6.1 Standard Material Costing
Sr no. Components Quantity Cost
1 Lead Screw 1 402
2 Brass Nut 2 184
3 Linear Bearing 3 254
4 Pillow Block Flange
Bearing
1 120
5 SKF6002 Ball Bearing 2 140
6 608RS Ball Bearing 1 50
7 8mm dia Smooth Steel
rods
3 615
8 Shaft Coupling 5mm to
8mm
1 110
9 GT2 Pulley 2 250
10 GT2 Pulley belt 1 275
11 NEMA 17 Stepper Motors 3 1155
12 Arduino UNO 1 656
13 L293 Motor Drivers 3 450
14 Jumper Wires - 45
15 Miscellaneous - 200
Total 4906
6.2 3D Printing Cost
Sr.no Part Name Quantity Cost
1 Top Carriage 1 228
2 Bottom Carriage 1 228
3 Top Plate 1 196
4 Bottom Plate 1 359
5 Double Pulley 1 92
6 Arm Joining Pulley 1 118
7 Arm1 body 1 666
8 Arm1 case 1 219
9 Arm 2 1 366
10 2mm Offset ring 4 32
11 22.5*2mm Offest ring 1 10
12 Clamp Holder 1 45
13 Press Bolt 4 22
Total 3D Printing Cost 2581
Total 7500
51
CHAPTER 7
RESULT AND CONCLUSION
52
7.1 Result
1. Forward Kinematics:
• By using Forward kinematics SCARA returns (x, y) co-ordinates after
rotating by θ (Input rotation of Arm1) and β (Input rotation of Arm2) for
Arm1 and Arm2 respectively.
2. Inverse Kinematics:
• By using Inverse kinematics SCARA returns θ (Output rotation of Arm1)
and β (Output rotation of Arm2) for Arm1 and Arm2 after giving (x, y) co-
ordinates.
3. G-Code:
• SCARA takes input G-Code file and converts to (x, y) co-ordinates which
gives θ and β for Arm1 and Arm2 respectively.
53
7.2 Conclusion
• Successfully completed Designing and fabrication of SCARA.
• Working Space is Increased as compared to Cartesian robots.
• Consumed Less space as compared to Cartesian robots for same working space.
• Due to changes in design and materials cost for making a SCARA also reduced.
• Weight of SCARA is reduced by using 3D printed parts of various infill density of
PLA material and hollow cross sections.
7.3 Future Scope and Improvements
• Using Back current of DC stepper motor to identify Number of steps performed during
motor was offline or pushed by user.
• Using Gear system for increasing torque without increasing motor rating i.e., using
Harmonic drive or cycloidal drive which also reduces or eliminate backlash.
• Using Live Drive Motors (Direct Drive) which have high torque, speed, compact and
which also includes self-current back tracking and torque measurement for safety.
• Using closed loop belt with idle pulley to avoid loosing over time.
• Using different sensor for feedback or direct measurement i.e., Accelerometer, limit
Switch, Strain Gauge, motion sensor, IR sensor etc.
54
References
• Rizwan Ul Haq , Uma Shankar Kumar , Naveen Kumar , Yash Baranwal “Design
and Manufacturing of Low Cost SCARA Robot” Bachelor of Technology,
Mechanical Engineering, National Institute of Technology, Srinagar, Kashmir Vol.
10 Issue 06, June-2021.
• Ahmet Saygin Ogulmus, Abdullah Cakan, Mustafa Tinkir,
• VARAD AVCHAT, RASIKA KALE, JATEEN KODAM, RUSHABH KOKATE
“DESIGN AND ANALYSIS OF 3-AXIS SCARA ROBOT TO SUSTAIN 60 N-m
TORQUE BY NUTRUNNER” Student, Dept. of Mechanical Engineering, P.E. S’s
Modern College of Engineering, Pune, Maharashtra, India.
International Research Journal of Engineering and Technology (IRJET), 03 |
Mar 2019
• Sonakshi Pradhan, K. Rajarajan, Arun S Shetty “Prototype, emulation,
implementation and evaluation of SCARA Robot in industrial environment”
Corporate Technology Centre, Tube Investment of India, Chennai-600054, India.
ScienceDirect, 2018
• A. Van der Maas, Y.F Steinbuch, A. Boverhof, W.P.M.H. Heemels “Switched
control of a SCARA robot with shared Actuation resources” Department of
Mechanical Engineering, Control System Technology Group, Eindhoven University
of Technology, 5600MB, Eindhoven, The Netherlands. ScienceDirect, 2017
• Andreea Kurtuhuz, Catalin Dumitru, “SECOND ORDER DYNAMIC
MODELLING OF A TRIMOBIL SCARA ROBOT USING A SYMBOLIC
COMPUTATIONAL METHOD” Valahia University of Targoviste, Romania.
International Journal of Mechatronics and Applied Mechanics, 2021
• Daye Chen, Zhao Heng Zeng, Yisheng Guan, Haifei Zhu and Tao Zhang “SCARA
Robots Developed with Modular Method” Biomimetic and Intelligent Robotics Lab
(BIRL) School of Electromechanical Engineering Guangdong University of
Technology Guangzhou, Guangdong, China. IEEE International Conference on
Mechatronics and Automation, 2020
• SK Dodampegama, KMTMB Konara, MAA Munasinghe, YWR Amarasinghe
“Design and Analysis of Hybrid Robotic Mechanisms Using SCARA and RCM
Mechanisms” Institute of Electrical and Electronics Engineers (IEEE), 2020.
• SHENGCHAO ZHEN, ZIYI ZHAO, XIAOLI LIU, FENG CHEN, HAN ZHAO
AND YE-HWA CHEN “A Novel Practical Robust Control Inheriting PID for
SCARA Robot” School of Mechanical Engineering, Hefei University of
55
Technology, China. Institute of Electrical and Electronics Engineers (IEEE),
December 31, 2020.
• Nihat Akkus, Onur Ozer, Ismail Temiz “Development of A SCARA Robot with
Extensible Arm” Dept. of Mechatronics Engineering, Institute of Science, Marmara
University, Turkey. IJERA Journal, July 2018,
• Shrirang Phatak, Jayesh Mahamuni, Kabir Akware and Manjiri Purohit & Prof. S.
B. Bhalake “ROBOTIC ARM WITH COMPLIANT MECHANISM” P.E.S.
Modern College of Engineering, Mechanical Department. International Research
Journal of Engineering and Technology (IRJET), 06 | June 2021.
• R. S. Khurmi and J. K. Gupta, A Textbook of Machine Design, Eurasia Publishing
House.
• V. B. Bhandari, Design of Machine Elements, Mc Graw Hill Education.
• R. K. Rajput, Strength of Materials, S. Chand.

Design and Fabrication of a Selective Compliance Articulated Robot Arm (SCARA)

  • 1.
    A PROJECT REPORT ON “Design andFabrication of a Selective Compliance Articulated Robot Arm (SCARA)” Submitted by Mr. Panchal Kunal Pradeep (BEA-78) Mr. Patil Suraj Shashikant (BEB-16) Mr. Sawant Devarsh Vivek (BEB-37) Mr. Shaikh MohammedFarhan F (BEB-39) In fulfillment of term work BE Mechanical Engineering Under the guidance of Prof. Sagar Dhotare Department of Mechanical Engineering Vishwaniketan’s Institute of Management Entrepreneurship and Engineering Technology Kumbhivli, Khalapur-410202 2021-2022
  • 2.
    ABSTRACT The SCARA concept(Selective Compliance Articulated Robot for Assembly) was first introduced in Japan in 1979. This robot arm was designed to move fast in the horizontal plane with some compliance, but with high stiffness with respect to transverse loads. It has a small footprint compared to Cartesian robots, which renders it very useful for operations in restricted spaces. On a 3D printer, the arms are driven directly by stepper motors, reducing the need of feedback control, particularly in low-speed operation. This solution is cheap compared to servomotors, which are most applied to industrial robots. This report deals with the Design and Fabrication of a Selective Compliance Articulated Robot Arm (SCARA). SCARA robots are among the most widely used robots in the industry due to their high accuracy and inherent rigidity. Robotics is becoming popular and has achieved great success in the last few decades. Keywords: SCARA robot, Design modification, Solidworks, Python programming, Arduino UNO, Stepper motors, Weight Reduction, Cost Reduction, multi tool end effector.
  • 3.
    NOMENCLATURE F1 = Totalload on arm 1 F2 = Total load on arm 2 r1 = Length of arm 1 r2 = Length of arm 2 θ = Angle between arm and 𝜏1 = Total torque on arm 1 𝜏2 = Total torque on arm 2 L = Total length of power screw P = pitch Do = Outer diameter of power screw Di = Inner diameter of power screw Dm = Mean diameter of power screw α = Lead angle / Helix angle Φ = Friction angle μ = Coefficient of friction W = Total weight on power screw P = Effort applied at the circumference of the screw to raise or lower the load Ro = Outside radii of collar Ri = Inside radii of collar μ1 = Coefficient of friction for the collar αs = Wrap angle for small pulley αb = wrap angle for big pulley D = diameter of big pulley D = diameter of small pulley C = center distance
  • 4.
    TABLE OF CONTENTS Chapter No. Sub Title TitlePage No. 1. Introduction………………………………………….…………. 1 1.1 Introduction to SCARA robot……………………….…………. 2 1.2 Components of SCARA robot…………....................…………. 3-8 1.3 Construction………………………………………....…………. 9 1.4 Working …………………………………………….…………. 10 1.5 Methodology………………………………...............…………. 11 2. Problem Statement and Objectives…………………………….. 12 2.1 Problem statement ………………………………….………… 13 2.2 Objectives …………………………………..............…………. 13 2.3 Need of project ……………………………...............………… 13 2.4 Expected outcomes ……………………………………………. 13 3. Material selection …………………………...............…………. 14 3.1 Material selection for arm…………………...............…………. 15-16 4. Design of SCARA robot…………………………….…………. 17 4.1 Torque calculation for motor selection……...............…………. 18-20 4.2 Calculation of power screw……………………………………. 20-22 4.3 Belt length calculation…………………………………………. 23-24 4.4 Shear stress and bending moment………….………….………. 24-25 4.5 Pulley calculation………….………….………….………….… 25-26 4.6 Kinematics calculation………….………….………….………. 27-35 5. Finite element analysis ……………………...............………… 36 5.1 FEA of arm assembly at straight ……………………………… 37-42 5.2 FEA of arm assembly at angle…………………………………. 43-48 6 Costing………….………….………….………….……………. 49 6.1 Standard material costing………….…………………….…….. 50
  • 5.
    6.2 3D printingcost………….………….………….………….…... 50 7. Result and Conclusion…………………………………………. 51 7.1 Result……………………………………….............…………. 52 7.2 Conclusion…………………………………..............…………. 53 7.3 Future Scope and Improvements ……………………………… 53 Reference………………………………………………………. 54-55
  • 6.
    FIGURE TABLE Figure No.Figure Name Page No. 1.2.1 Top plate……………………………….……………. 3 1.2.2 Carriage plate…………………………..……………. 3 1.2.3 Bottom plate…………………………...…………….. 4 1.2.4 Arm 1…………………………………..……………. 4 1.2.5 Arm 2…………………………………..……………. 4 1.2.6 Guiding rods…………………………...……………. 4 1.2.7 Linear bearing………………………….……………. 5 1.2.8 Roller bearing………………………….……………. 5 1.2.9 Power screw with nut………………….……………. 5 1.2.10 Pillow block bearing…………………...……………. 6 1.2.11 Flexible coupling……………………………………. 6 1.2.12 Arduino UNO………………………….……………. 7 1.2.13 Stepper motor………………………….……………. 7 1.2.14 Stepper motor driver L293…………….……………. 7 1.2.15 GT 2 pulley…………………………………………. 8 1.2.16 Breadboard…………….…………….……………… 8 1.4.1 Working of SCARA …………….………………….. 10 4.1.1 Arm 1…………….…………….…………….……… 18 4.1.2 Arm 2 …………….…………….…………….……... 19 4.3.1 Calculations for belt…………….…………………… 23 4.4.1 Bending moment diagram …………….……………. 25 4.6.1 Work envelope …………….………………………... 27 4.6.2 Workspace and Deadzone…………….……………... 29 4.6.3 Forward kinematics (a) …………….……………….. 30 4.6.4 Forward kinematics (b) …………….………………. 32 4.6.5 Inverse kinematics …………….……………………. 34
  • 7.
    5.1.1 Cross-section ofarm assembly at straight…………... 37 5.1.2 Arm assembly at straight…………….……………… 38 5.1.3 Meshing of arm assembly at straight…………….….. 39 5.1.4 Arm analysis at straight - stress…………….……….. 41 5.1.5 Arm analysis at straight – displacement ……………. 42 5.1.6 Arm analysis at straight - strain…………….……….. 42 5.2.1 Arm assembly at angle…………….………………… 43 5.2.2 Meshing of Arm assembly at angle…………….…… 45 5.2.3 Arm analysis at angle – stress…………….………… 46 5.2.4 Arm analysis at angle – displacement ……………… 47 5.2.5 Arm analysis at angle – strain …………….………… 48
  • 8.
  • 9.
    2 1.1 INTRODUCTION TOSCARA ROBOT SCARA Robots are a popular option for small robotic assembly applications. SCARA is an acronym for Selective Compliance Articulated Robot Arm, meaning it is compliant in the X-Y axis, and rigid in the Z-axis. The SCARA configuration is unique and designed to handle a variety of material handling operations. The SCARA’s structure consists of two arms joined at the base and the intersection of arms one and two. Two independent motors use inverse kinematics and interpolation at joints J1 and J2 to control the SCARA’s X-Y motion. The final X-Y location at the end of arm two is a factor of the J1 angle, J2 angle, length of arm one and length of arm two. The work envelope or the area of space that a robot can physically reach is a critical consideration. Whether SCARA, Delta or six-axis robots, the lengths of various links, and the limitations of the joint motion are important factors to review. Typically, SCARA robots have a cylindrical shaped work envelope with variations in the diameter and depth of the cylinder. The total lengths of arms one and two define the diameter of the circle, while the Z stroke defines the depth of the cylinder. In most applications, a SCARA’s work envelope is contained to the front and side. The back area may not be useable if cables and pneumatic hoses exit from the rear - some SCARAs offer optional bottom exits – making it possible to work behind the robot. Speed is an important factor when choosing a robot, and SCARAs are typically one of the fastest on the market. With four axes, they have fewer moving joints and are configured so that J1 and J2 control the X-Y motion, and J3 and J4 control the Z and rotation motion. This simplifies inverse kinematic calculations, requiring less computational time. When cycle time is critical, consider a SCARA solution.
  • 10.
    3 1.2 COMPONENTS OFSCARA ROBOT The main components are described. All parts were 3D-printed except for the stepper motors, guiding rods, lead screw, GT2 pulleys and timing belts. Top-plate The top-plate was initially the part with the least functionality, with the sole purpose of holding the guiding rods together, along with the lead screw. Fig 1.2.1 Top Plate. Mid-plate (Carriage plate) The mid-plate, together with the arm mounting plate, were the mounting place for three crucial parts: the lead screw and the two smaller stepper motors. This component also enabled the arms to move vertically as it was connected to the lead screw. Fig 1.2.2 Carriage plate. Base The base was initially the foundation of the robot, housing the big stepper motor. As iterations of the robot were made, it became apparent that mounting the big stepper motor on the base was a better solution than having it mounted on the top-plate.
  • 11.
    4 Fig 1.2.3 BottomPlate. Arm This was the most mechanically complex subsystem of the robot to design. From the beginning, one of the main ideas was to centralize the two small stepper motors close to the Z-axis and not have them mounted on the arm. The reason being to minimize the weight of the arm and thus to reduce their static, tilting torque. To solve this, the outgoing axis’ driven by the small stepper motors had to be rotating coaxially, which was solved by developing a “hollow axis”. Fig 1.2.4 Arm 1 Fig 1.2.5 Arm 2 Guiding rods The main function of the guiding rods was to distribute the load and serve as a rail for the mid-plate to move along. They were initially made from aluminum for cost and availability reasons. As development progressed, the choice of material changed to stainless steel due to aluminum being too soft for the linear bearings. Also, the stainless steel’s polished surface allowed for lower friction. Fig 1.2.6 Guiding Rods. Bearings
  • 12.
    5 Bearings are machineelements used keep components such as a fixed axis in place while also relieving its load. An often-desirable trait of a bearing is its low friction, allowing the connected component to move with ease. Bearings are classified by their allowed range of motion or in what direction the load is being applied. Two types of bearings were used in the project. The guiding rods used three linear bearings, making sure the vertical movement was smooth. The arms used radial ball bearings for two reasons. Firstly, because it made the arm rotates as smoothly as possible and thus reducing the torque needed from the smaller stepper motors and the second reason being accuracy when rotating. Fig 1.2.7 Linear Bearing. Fig 1.2.8 Roller Bearing Power screw Power screw is also called translation and screw. Power screw of various descriptions are commonly encountered machine components such as screw jack, lead screw and machine vice. Power screw is a mechanical device used for converting rotary motion into linear motion and transmitting power. It uses helical translatory motion of the screw thread in transmitting power rather than clamping the machine components. There are two types of threads on power screw viz. square or trapezoidal. We have used trapezoidal threaded power screw. Fig 1.2.9 Power Screw with Nut Pillow block bearing A pillow block bearing (or Plummer block) is a pedestal used to provide support for a rotating shaft with the help of compatible bearings & various accessories. The
  • 13.
    6 assembly consists ofa mounting block which houses a bearing. The block is mounted to a foundation and a shaft is inserted allowing the inner part of the bearing / shaft to rotate. The inside of the bearing is typically 0.001 inches (0.025 mm) larger than the shaft to ensure a tight fit. Set screws, locking collars, or set collars are commonly used to secure the shaft. Housing material for a pillow block is typically made of cast iron or cast steel. Fig 1.2.10 Pillow Block Bearing. Flexible shaft coupling Flexible couplings connect two shafts, end-to-end and in the same line, causing both to rotate at the same speed. They also flex to compensate for misalignment and movement between shafts. This compensation is crucial because perfect alignment of two shafts is extremely difficult and rarely achieved. Fig 1.2.11 Flexible Coupling. Arduino UNO Arduino is an open-source microcontroller platform that was developed by experts within electrical engineering in order to make use of electronics and electrical components easier for the less experienced consumer. It is widely used in both simpler and more complex projects due to its versatility and affordable price. The board has 14 digital I/O pins (six capable of PWM output), 6 analog I/O pins, and is programmable with the Arduino IDE (Integrated Development Environment), via a type B USB cable.
  • 14.
    7 Fig 1.2.12 ArduinoUNO Stepper motor A stepper motor generally consists of a rotor that is a gear shaped permanent magnet which is surrounded by the windings of a stator. The windings are alternately powered to incrementally rotate the rotor on which the shaft is attached. This results in the ability to precisely control the angular position of the shaft. Fig 1.2.13 Stepper Motor Stepper motor driver Due to the fact that the powered phase must be alternated to rotate the shaft, control electronics that allow for rapid changes in direction and amplitude of the current in the windings are necessary. Such electronics are known as drivers and are available in many different forms. Fig 1.2.14 Stepper Motor Driver (L293)
  • 15.
    8 GT 2 pulley TheGT2 series of belts and pulleys are designed specifically for linear motion. They use a rounded tooth profile that guarantees that the belt tooth fits smoothly and accurately in the pulley groove, so when you reverse the pulley direction, there is no room for the belt to move in the groove. Fig 1.2.15 GT 2 pulley Breadboard A breadboard is a solderless construction base used for developing an electronic circuit and wiring for projects with microcontroller boards like Arduino. Fig 1.2.16 Breadboard
  • 16.
    9 1.3 CONSTRUCTION This SCARArobot consists of 3 degrees of freedom that include two rotary joints with a prismatic joint. Three NEMA 17 stepper motors were utilized to control the actuator joints of the robot. The robot has 3 or 4 degrees of freedom depending upon end effector and it’s driven by 3 NEMA 17 stepper motors. The brain of this SCARA robot is an UNO board which is paired with L293 motor driver for controlling the stepper motors. Forward Kinematics is used to move each robot joint manually in order to get the desired position. On the other hand, using Inverse Kinematics we can set the desired position of the end effector, and the program will automatically calculate the angles for each joint in order the robot to get to that desired position. For the first joint, we have 14:5 reduction ratio, achieved in two stages with these custom designed pulleys. The two GT2 belts used here are closed loop with 139.2149mm and 372.39 mm length. The robot joints are composed of 3 ball bearing. For the second joint, we have 0.2354 reduction ratio, achieved. The joints are hollow, so we can use that to pass through the wires from the motors and the micro switches. The Z axis of the robot is driven by an 8mm lead screw, while the whole arm assembly slides on three 8mm smooth rods and three 8x15x45mm linear ball bearings. The height of the robot simply depends on the length of the smooth rods, which in this case are 560 mm.
  • 17.
    10 1.4 WORKING • Thehost (computer) receives input in the form of Co-ordinates, Angles or G-code in the python. • After processing the input, the python program then sends number of steps to perform for each stepper motor to the Arduino Controller. • This no. of steps is passed to the motor from Arduino through L293 motor driver. • We use 3 NEMA 17 stepper motor to move in X, Y and Z axis. • The M1 motor which is mounted at bottom is connected to lead screw through a coupler, the rotation of lead screw offers linear displacement of carriage in Z-axis. • When power screw moved clockwise the carriage moves upwards, and downwards when it moved anticlockwise. • M2 motor is connected to Link1 using timing belt and pulley which rotates Arm1. • M3 motor is connected to link 2 using two stages with timing belt and pulley which rotates Arm2. • The M2 and M3 motors controls arm position using Forward and Inverse Kinematics. • We can use end effector/actuator according to the application such as FDM, Gripper, Laser engraver, Soldering, Drilling, etc. Fig 1.4.1 working of SCARA
  • 18.
    11 1.5 METHODOLOGY 1 •Rough designing and modeling on paper. 2 • Identifying requirements and algorithm. 3 • Calculation of Torque, stress, pulley, velocity, kinematic. 4 • Actual designing of different parts using solidworks. 5 • Assembly and study of working using solidworks. 6 • Modifications if any required for improvement. 7 • Analysis using solidworks simulation. 8 • Electronic Components selection. 9 • Project Prototype
  • 19.
  • 20.
    13 Problem statement: • Flexibility:Conventional/Cartesian robots are less flexible. • Various robot configurations produce distinct working envelope shapes. This working envelope is crucial when choosing a robot for a specific application because it specifies the manipulator and end effector’s work area. Objectives: • To design and develop a SCARA which uses robotic arm. • For printing and any other applications depends upon end effector. • To take up less space than any other type of assembly robots and printers. Need of project: • Through the literature review, it was found that the SCARA robots have problem of vibration and accuracy. • 3D printers have high cost and take a more space for printing. These problems will reduce through this project. Expected outcomes: We will design and fabricate the SCARA robotic arm to get following characteristics: • Less Vibrations. – only arm moves not whole carriage • Less in weight. - As most parts of robotic arm are 3D printed • Cost will decrease – Rather than working with expensive parts we have developed our SCARA to work on cost effective parts.
  • 21.
  • 22.
    15 Material Selection: The generalprocedure for material selection is 1. Design requirements 2. Material selection criteria 3. Candidate material 4. Material evaluation 5. Select material Material selection for arm: Design requirements: • To extend and retract (fold) into confined areas. • Taking the load of end effector, pick up load, pulleys, belt & bearings. • Light in weight and increase the strength. Material selection criteria: • Availability of material • Cost of material • Life of material • Melting temperature • Strength of material Candidate material: Through the market survey, we found that the following materials are best suited • Nylon • Acrylonitrile butadiene styrene • PLA (Polylactic acid)
  • 23.
    16 Material evaluation: Material NylonAcrylonitrile butadiene styrene PLA Availability Easily Easily Easily Cost per kg. 2975 721 900 Life (years) 20 2 15 Melting temp. 250 200 170°C Strength High Good High Specific Heat (J/kgK) 1670 1600 1200 Tensile strength (MPa) 60 65 66 Special properties Strong Flexible durable Durable Impact resistant Easy to print Biodegradable, only in specific conditions Thermal conductivity 0.3 0.3 0.3 Density (kg/m3) 1270 1200 1240 Young’s modulus (GPa) 2.7 2.5 4.1 Coefficient of thermal expansion (µm/m-ͦc) 157 90 68 Select material: From the above table, it found that PLA (Polylactic Acid) is fitted in our selection criteria.
  • 24.
  • 25.
    18 4.1 Torque calculationfor motor selection Link-1: - Required torque Fig. 4.1.1- Arm 1 Torque(𝜏1) = F1 x r1 x sin(θ) Considering FOS = 1.2 = [1.3N x 1.2SF] x 25 x sin (90) Torque(𝜏1) = 39N.cm = 39/9.81 Kg.cm Torque(𝜏1) = 3.9755 Kg.cm Available Torque at that point For arm -1 N1/ N2 = (T1/T2) × Motor torque = (56/20) × 2.8 Kg.cm. N1/N2= 7.84 Kg.cm. Available torque for arm -1, i.e. 7.84 Kg.cm. is greater than calculated torque i.e. 3.9755 Kg.cm.
  • 26.
    19 Therefore, Design issafe Fig. 4.1.2- Arm 2 Link-2: - Required torque Torque(𝜏2) = F2 x r2 x sin(θ) = [1N x 1.2SF] x 10 x sin (90) Torque(𝜏2) = 12 N.cm = 12/9.81 Kg.cm Torque(𝜏2) = 1.2232 Kg.cm Available Torque at that point For arm -2 N2/N3 = T3/T2 [N1 × (T1/T2)] = T3/T2 N1/N3 = [(T3/T2) × (T2/T1)] = [(44/29) × (56/20)] N1/ N3 = (616/145) × Motor Torque = (616/145) × 2.8 Kg.cm. = 11.8951 Kg.cm. Available torque for arm -2, i.e., 11.8951 Kg.cm. is greater than calculated torque i.e., 1.2232. Kg.cm.
  • 27.
    20 Therefore, Design issafe. Total Weight Component Quantity Total Weight Linear bearings 3 0.077 Nut 1 0.012 Coupler 1 0.015 Carriage 2 0.019 Offset 1 0.001 Motors 2 0.446 Bearings 2 0.061 Pulleys 2 0.006 FDM 1 0.25 Arm 1 1 0.5 Arm 2 1 0.3 Miscellaneous 1 0.813 Total weight 2.5 Total weight (W)= 2.5 N 4.2 Calculation of power screw Material – 1. Rod- stainless steel, 2. Nut- Brass Thread type = Square thread Outer diameter (Do) = 8mm Length (L) = 500mm Pitch (P) = 2mm No. of start (Nt) = single start thread (1) A] Torque required to rise the load by square threaded screw 1. Mean diameter (Dm) = Do – P/2 = 8 – 2/2 = 7mm 2. Lead angle / helix angle (α) α = tan-1 (P/πDm) = tan-1 (2/π x 7) = 5.1965o 3. Friction angle (Φ) Assuming μ = 0.21 μ = tan (Φ) 0.21 = tan (Φ)
  • 28.
    21 Φ = 11.85o 4.Effort applied at the circumference of the screw to lift the load P = W tan (α + Φ) = 2.5 x tan (5.1965 + 11.85) = 0.7665 N 5. Torque required to overcome friction between the screw and nut T1 = P x Dm/2 = 0.7665 x 7/2 = 2.6827 Nmm = 0.26827 Ncm T1 = 0.02734 Kg.cm 6. Torque required to overcome friction at collar T2 = 2/3 x μ1 x W [(R3 o - R3 i)/( R2 o - R2 i)] … [assuming uniform pressure condition] Ro = Do/2 = 8/2 = 4mm Di = Dm - P/2 = 7 – 2/2 = 6mm Ri = Di/2 = 6/2 = 3mm μ1 for steel and aluminum = 0.35 T2 = 3.0833 Nmm = 0.30833 Ncm T2 = 0.03143 Kg.cm 7. Total torque required to overcome friction T = T1 + T2 = 0.02734 + 0.03143 = 0.05877 Kg.cm B] Torque required to lower the load by square threaded screws 1. Effort applied at the circumference of the screw to lower the load P = W tan (Φ - α) = 2.5 x tan (11.85 – 5.1965) P = 0.2916 N 2. Torque required to overcome friction between the screw and nut T1 = P x Dm/2 = 0.2916 x 7/2 = 1.0206 Nmm = 0.10206 Ncm T1 = 0.01040 Kgcm
  • 29.
    22 C] Efficiency ofsquare threaded screws 1. By considering screw friction only- Efficiency (η) = ideal effort (P0)/actual effort (P) = Wtan (α)/Wtan (α + Φ) = 0.2273/0.7665 η = 0.2965 2. By considering screw friction and collar friction- Efficiency (η) = torque required to move load, neglecting friction / torque required to move the load, including screw and nut friction = 0.2273 x 3.5 / 0.7665 x 3.5 + 0.35 x 2.5 x 3.5 η = 0.1384 Maximum efficiency of a square threaded screw- η max = 1 – sin (Φ) / 1+ sin (Φ) = 1 – sin (11.85) / 1 + sin (11.85) η max = 0.6592 Stress calculation: - 1. Direct stress (σc): - σc = 2.5/π/4 x (Dc)2 = 2.5/π/4 x (6)2 = 0.08841 N/mm2 2. Shear stress (τ): - τ = 16T/ π(Dc)3 = 16 x 490.5/ π (6)3 = 11.5652 N/mm2 3. Max shear stress in the screw (τmax): - τmax = 1/2 x √ {(σc)2 + 4 τ2 } = 1/2 √ {(0.0884)2 + 4(11.5652)2 } = 11.5652 N/mm2
  • 30.
    23 4.3 Calculation forlength of belt Fig 4.3.1 Calculations for belt Belt Length Calculation for Link 1 Sin (β) = D x d / 2C = 35.5 – 12 / 2 x 30 β = 23.05 ° Angle of wrap αs = (180 - 2 β) = (180 – 2 x 23.05) = 133.9° αb= (180 + 2 β) = (180 + 2 x 23.05) = 226.1° Length of belt L = 2C + [ π (D + d) / 2] + [ (D - d)2 / 4C] = 2 x 30 + [ 3.14 (35.5 + 12) / 2] + [(35.5 - 12) / 4 x 30] = 139.2149 mm Belt Length Calculation for Link 2 Sin β = D – d / 2C = 27.5 – 18.5 / 2 x 150 β = 1.71° Angle of Wrap
  • 31.
    24 αs = (180- 2 β) = (180 – 2 x 1.71) = 176.58° αb= (180 + 2 β) = (180 + 2 x 1.71) = 183.42° Length of Belt L = 2C + [ π (D + d) / 2] + [ (D - d)2 / 4C] = 2 x 150 + [3.14(27.5 + 18.5) / 2] + [(27.5 – 18.5)2 / 4 x150] = 372.39 mm 4.4 Shear force and bending moment SHEAR FORCE DIAGRAM • Portion BC Consider a section at a distance x from the free end. The force to the right of the section, Fx = 1N It is constant between B and C • Similarly, for portion AB Fx = 1 + 0.3 = 1.3N …. (constant) Thus, shear stress diagram consists of several rectangles having different ordinates. It can be observed that the shear force undergoes a sudden change in passing through a load point.
  • 32.
    25 Fig. 4.4.1 Bendingmoment diagram BENDING MOMENT DIAGRAM • Portion BC: taking moment of section M = 1X, i.e., it is linear Add C, X = 0 and Mc = 0 At B, X = 10cm and MB = 10Ncm • Portion AB: taking moment about a section, Mx = 1X + 0.3 (X - 10) At B, X = 10cm and MB = 10Ncm At A, X = 25cm and MA = 29.5Ncm 4.5 PULLEY CALCULATION NOMENCLETURE N1 = speed of motor N2 = speed of two stage pulleys N3 = speed of arm pulley T1 = number of teeth on GT2 pulley
  • 33.
    26 T2 = numberof teeth on double pulley (larger pulley) T3 = number of teeth on double pulley (smaller pulley) T4 = number of teeth on arm pulley PULLEY Ratios • For Arm 1 N2/N1 = T1/T2 N2 = N1 x (T1/T2) N2 = N1 x (20/56) 𝐴𝑟𝑚 1 𝑎𝑛𝑔𝑙𝑒 (𝜃) 𝑚𝑜𝑡𝑜𝑟 2 𝑟𝑜𝑡𝑎𝑡𝑖𝑜𝑛 𝑎𝑛𝑔𝑙𝑒 = 𝑇1 𝑇2 Motor 2 rotation angle = Arm 1 angle (θ) * 𝑇2 𝑇1 Motor 2 rotation angle = Arm 1 angle (θ) * 56 20 motor2.step() = [Arm 1 angle (θ) ∗ 56 20 ] / 1.8 • For Arm 2 N3/N2 = T2/T3 N3 = N2 x (T2/T3) N3 = N1 x (20/56) x (29/44) N3 = N1 x (145/616) N3/N1 = 145/616 𝐴𝑟𝑚 2 𝑎𝑛𝑔𝑙𝑒 (𝛽) 𝑚𝑜𝑡𝑜𝑟 3 𝑟𝑜𝑡𝑎𝑡𝑖𝑜𝑛 𝑎𝑛𝑔𝑙𝑒 = 𝑇1 𝑇2 * 𝑇3 𝑇4 Motor 3 rotation angle = 𝐴𝑟𝑚 2 𝑎𝑛𝑔𝑙𝑒 (𝛽) * 𝑇2 𝑇1 * 𝑇4 𝑇3 Motor 3 rotation angle = 𝐴𝑟𝑚 2 𝑎𝑛𝑔𝑙𝑒 (𝛽) * 56 20 * 44 29 motor3.step() = [𝐴𝑟𝑚 2 𝑎𝑛𝑔𝑙𝑒 (𝛽) ∗ 56 20 ∗ 44 29 ] / 1.8
  • 34.
    27 4.6 Kinematics Calculation:- Fig.4.6.1 Work envelope Denavit – Hartenberg parameters In mechanical engineering, the Denavit–Hartenberg parameters (also called DH parameters) are the four parameters associated with a particular convention for attaching reference frames to the links of a spatial kinematic chain, or robot manipulator. • d - the "depth" along the previous joint's z axis • θ (theta) - the rotation about the previous z (the angle between the common normal and the previous x axis) • r - the radius of the new origin about the previous z (the length of the common normal) • α (alpha) - the rotation about the new x axis (the common normal) to align the old z to the new z.
  • 35.
    28 Trans zn –1 (dn) = [ 1 0 0 0 0 1 0 0 0 0 1 𝑑ₙ 0 0 0 1 ] Rot zn – 1 (θn) = [ 𝑐𝑜𝑠𝜃ₙ − 𝑠𝑖𝑛𝜃ₙ 0 0 𝑠𝑖𝑛𝜃ₙ 𝑐𝑜𝑠𝜃ₙ 0 0 0 0 1 0 0 0 0 1 ] Trans zn (rn) = [ 1 0 0 𝑟ₙ 0 1 0 0 0 0 1 0 0 0 0 1 ] Rot zn (αn) = [ 1 0 0 0 0 𝑐𝑜𝑠𝛼ₙ −𝑠𝑖𝑛𝛼ₙ 0 0 𝑠𝑖𝑛𝛼ₙ 𝑐𝑜𝑠𝛼ₙ 0 0 0 0 1 ] This gives: n – 1 Tn = [ 𝑐𝑜𝑠𝜃ₙ −𝑠𝑖𝑛𝜃ₙ𝑐𝑜𝑠𝛼ₙ 𝑠𝑖𝑛𝜃ₙ𝑐𝑜𝑠𝛼ₙ 𝑟ₙ𝑐𝑜𝑠𝜃ₙ 𝑠𝑖𝑛𝜃ₙ 𝑐𝑜𝑠𝜃ₙ𝑐𝑜𝑠𝛼ₙ −𝑐𝑜𝑠𝜃ₙ𝑠𝑖𝑛𝛼ₙ 𝑟ₙ𝑠𝑖𝑛𝜃ₙ 0 𝑠𝑖𝑛𝛼ₙ 𝑐𝑜𝑠𝛼ₙ 𝑑ₙ 0 0 0 1 ]=[ 𝑅 𝑇 0 0 0 1 ] By nature of the SCARA's joint layout, the arm is slightly compliant in the X-Y direction but rigid in the Z direction which make kinematic calculation simpler by reducing complexity of 3D Geometric Transformation to 2D Geometric Transformations
  • 36.
    29 Fig. 4.6.2 Workspaceand Deadzone For further calculation Nomenclature:- α 1 = Arm 1 at Angle with respect x-axis α 2 = Arm 2 at Angle with respect x-axis R 1 = Length of arm 1 R 2 = Length of arm 2 θ = Input Rotation of arm 1 β = Input Rotation of arm 2 Point A = Joining point of arm 1 and 2 Point A' = Joining point of arm 1 and 2 after rotating arm 1 by θ Point E = End effector point Point E' = End effector point after rotating arm 1 by θ Point E'' = End effector point after rotating arm 1 by θ and arm 2 by β Th = Translation matrix Rh = Rotation matrix AT = Translation point of A, similarly A'T, ET, E'T, E''T, Take ↻ = Negative (-ve), ↺ =Positive (+ve)
  • 37.
    30 Forward Kinematics By 2DGeometric Transformations:- ∴ For [E (x, y)] = x = (R1) (cosα1) + (R2) (cosα2) x = (150) (cos {50}) + (100) (cos {50}) x = 32.139 y = (R1) (sinα1) + (R2) (sinα2) y = (150) (sin {50}) + (100) (sin {50}) y = 191.51118 ∴ E (x, y) = (32.139, 191.51118) Fig. 4.6.3 Forward kinematics (a)
  • 38.
    31 • Sample Calculationto Rotate both Arms clockwise 20° i.e., θ = -20° β = -20° • For arm 1 [A'] = [Rh] [A] Where, [Rh] = [ 𝑐𝑜𝑠𝜃 −sin𝜃 𝑠𝑖𝑛𝜃 𝑐𝑜𝑠𝜃 ] , [A] = [ 𝑅₁𝑐𝑜𝑠𝛼₁ 𝑅₁𝑠𝑖𝑛𝛼₁ ] 𝑖. 𝑒. { 𝑥₀ 𝑦₀} ∴ [A'] = [ 𝑐𝑜𝑠(−20) −sin (−20) 𝑠𝑖𝑛(−20) 𝑐𝑜𝑠(−20) ] [ 𝑅₁cos (50) 𝑅₁sin (50) ] ∴ [A'] = [ 129.9038 75 ]i.e. { 𝑥₀′ 𝑦₀′ } ∴ For [E' (x', y') ] x = [R1cos (α1 + θ)] ± [R2cos(α2)] x = [150 x cos (50 + {-20})] ± [100 x cos (50)] x = 65.6250496 y = [R1sin (α1 + θ)] ± [R2sin(α2)] y = [150 x sin (50 + {-20})] ± [100 x sin (50)] y = 151.6044443 ∴ E' (x', y') = (65.6250496, 151.604443) • For arm 2 ∴ With end points A' = (129.9038,75) and ∴ E'= (65.6250496, 151.604443)
  • 39.
    32 Fig. 4.6.4 Forwardkinematics (b) [Th] = [A'] [-1] = [ 129.9038 75 ][-1] ∴ [Th] = [ −129.9038 −75 ] [A'T] = [A']+ [Th] = [ 129.9038 75 ] + [ −129.9038 −75 ] ∴ [A'T] = [ 0 0 ] [E'T ] = [E'] + [Th] = [ 65.6250436 151.604443 ] + [ −129.9038 −75 ] ∴ [E'T] = [ −64.2787504 76.6044443 ] [Rh] = [ 𝑐𝑜𝑠𝛽 −sin𝛽 𝑠𝑖𝑛𝛽 𝑐𝑜𝑠𝛽 ]
  • 40.
    33 ∴ [Rh] =[ cos (−20) −sin (−20) sin (−20) cos (−20) ] [E''T] = [Rh] [E'T] = [ cos (−20) −sin (−20) sin (−20) cos (−20) ] [ −64.2787504 76.6044443 ] ∴ [E''T] = [ −34.20200441 93.96925845 ] [Th'] = [A'] ∴ [Th'] = [ 129.9038 75 ] [A'] = [A'T] + [Th'] ∴ [A'] = [ 129.9038 75 ]i.e. { 𝑥₀′ 𝑦₀′ } [E''] = [E''T] + [Th'] = [ −34.20200441 93.96925845 ] + [ 129.9038 75 ] ∴ [E''] = [ 95.7017979559 169.9692585 ] Where E''(95.7, 169.96) is End effector co-ordinate after rotating arm 1 by θ and arm 2 by β ∴ For [E''(x, y)] = x = (R1) (cosα1 + θ) + (R2) (cosα2 + 𝛽) x = (150) (cos {50 + (-20)}) + (100) (cos {130 + (-20)}) x = 95.701796 y = (R1) (sinα1 + θ) + (R2) (sinα2 + 𝛽) y = (150) (sin {50 + (-20)}) + (100) (sin {130 + (-20)}) y = 168.96926 ∴ E''(x, y) = (95.701796, 168.96926) i.e. [E''] = [ cos (α1 + θ) 𝑐𝑜𝑠 (α2 + 𝛽) sin (α1 + θ) sin (α2 + 𝛽) ] [ 𝑅1 𝑅2 ] Inverse Kinematics Keeping same α 1 = 50° and α 2 = 130° And have to move End Effector to (x, y) = (95.701796, 168.96926)
  • 41.
    34 Current End effectorPosition is i.e., E (x, y) = (32.139, 191.51118) Fig. 4.6.5 inverse kinematics λ = tan-1 [ 𝑌 𝑋 ] λ = tan-1 [ 168.96926 95.701796 ]
  • 42.
    35 ∴ λ =60.4734° Diagonal length between end effector point and origin i.e. OE'' = √𝑌2 + 𝑋2 OE'' = √168.969262 + 95.7017962 ∴ OE'' = 194.1891mm ∠ E''OA = cos-1 [OE′′2 + 𝑅12 + 𝑅22 2 𝑥 OE′′ 𝑥 𝑅1 ] ∴ (α1 + θ) = λ - ∠ E''OA = tan-1 [ 𝑌 𝑋 ] - cos-1 [OE′′2 + 𝑅12 + 𝑅22 2 𝑥 OE′′ 𝑥 𝑅1 ] = tan-1 [ 168.96926 95.701796 ] - cos-1 [194.18912 + 1502 + 1002 2 𝑥 194.1891 𝑥 150 ] ∴ (α1 + θ) = 30° ∴ θ = 30° - α1 ∴ θ = 30° - 50° = -20° Similarly ∴ (α2 + β) = λ + ∠ E''OA = tan-1 [ 𝑌 𝑋 ] + cos-1 [OE′′2 + 𝑅12 + 𝑅22 2 𝑥 OE′′ 𝑥 𝑅2 ] = tan-1 [ 168.96926 95.701796 ] - cos-1 [194.18912 + 1502 + 1002 2 𝑥 194.1891 𝑥 100 ] ∴ (α2 + β) = 110° ∴ β = 110° - α2 = 110° - 130° = -20° Hence both Arms (1 and 2) rotate clockwise(-ve) 20°
  • 43.
  • 44.
    37 The Steps involvedin performing FEA are as follows: 1.Divide structure into pieces (elements with nodes) (discretization/meshing) 2.Connect (assemble) the elements at the nodes to form an approximate system of equations for the whole structure (forming element matrices) 3.Solve the system of equations involving unknown quantities at the nodes (e.g., displacements) 4.Calculate desired quantities (e.g., strains and stresses) at selected elements The FEA analysis for the robotic arm is done on the Solidworks simulation. In this the analysis is done on the critical parts, the type of analysis can be static. The selection of analysis method is selected according to the objectives. 5.1 FEA of arm Assembly at straight Fig. 5.1.1 Cross-section of arm assembly at straight
  • 45.
    38 Fig. 5.1.2 Armassembly at straight Units Unit system: SI (MKS) Length/Displacement mm Temperature Kelvin Angular velocity Rad/sec Pressure/Stress N/m^2 Mesh type Solid Mesh Mesher Used: Curvature-based mesh Jacobian points for High quality mesh 16 Points Maximum element size 5.99413 mm Minimum element size 1.19883 mm Mesh Quality High Remesh failed parts with incompatible mesh Off
  • 46.
    39 Mesh information Mesh information- Details Total Nodes 315830 Total Elements 187503 Maximum Aspect Ratio 440.67 % of elements with Aspect Ratio < 3 74.9 % of elements with Aspect Ratio > 10 0.927 % of distorted elements (Jacobian) 0 Time to complete mesh (hh; mm; ss): 00:00:13 Computer name: Fig. 5.1.3 Meshing of arm assembly at straight
  • 47.
    40 Loads and Fixtures Load name LoadImage Load Details Force- 1 Entities: 2 face(s) Type: Apply normal force Value: 2 N Resultant Forces & Reaction forces Selection set Units Sum X Sum Y Sum Z Resultant Entire Model N - 0.00128722 3.99911 - 0.00082469 3.99911 Fixture name Fixture Image Fixture Details Fixed- 1 Entities: 5 face(s) Type: Fixed Geometry Resultant Forces Components X Y Z Resultant Reaction force(N) -0.00128722 3.99911 -0.00082469 3.99911 Reaction Moment(N.m) 0 0 0 0
  • 48.
    41 Study Results Name TypeMin Max Stress1 VON: von Mises Stress 0.000N/m^2 Node: 315422 3,111,747.000N/m^2 Node: 14125 Fig. 5.1.4 Arm Analysis at straight - Stress Name Type Min Max Displacement1 URES: Resultant Displacement 0.000mm Node: 883 0.289mm Node: 297327
  • 49.
    42 Fig. 5.1.5 Arm Analysisat straight - Displacement Name Type Min Max Strain1 ESTRN: Equivalent Strain Element: 187302 Element: 129146 Fig. 5.1.6 Arm Analysis at straight -Strain
  • 50.
    43 Fig. 5.2.1 Armassembly at angle 5.2 FEA of arm Assembly at angle Fixture name Fixture Image Fixture Details Fixed-1 Entities: 5 face(s) Type: Fixed Geometry Resultant Forces Components X Y Z Resultant Reaction force(N) -8.85725e- 05 1.99965 0.00082078 6 1.99965 Reaction Moment (Nm.) 0 0 0 0
  • 51.
    44 Loads and Fixtures Load name LoadImage Load Details Force-1 Entities: 2 face(s) Type: Apply normal force Value: 1 N Mesh type Solid Mesh Mesher Used: Curvature-based mesh Jacobian points for High quality mesh 16 Points Maximum element size 5.99413 mm Minimum element size 1.19883 mm Mesh Quality High Remesh failed parts with incompatible mesh Off
  • 52.
    45 Mesh information Mesh information- Details Total Nodes 313954 Total Elements 186214 Maximum Aspect Ratio 440.67 % of elements with Aspect Ratio < 3 74.7 % of elements with Aspect Ratio > 10 0.904 % of distorted elements (Jacobian) 0 Time to complete mesh (hh; mm; ss): 00:00:13 Computer name: Fig. 5.2.2 Meshing of arm assembly at angle
  • 53.
    46 Name Type MinMax Stress1 VON: von Mises Stress 0.000N/m^2 Node: 313546 2,238,453.000N/m^2 Node: 13115 Fig. 5.2.3 Arm Analysis at angle -Stress
  • 54.
    47 Study Results Name TypeMin Max Strain1 ESTRN: Equivalent Strain 0.000 Element: 186013 0.001 Element: 133227 Name Type Min Max Displacement1 URES: Resultant Displacement 0.000mm Node: 883 0.291mm Node: 299451 Fig. 5.2.4 Arm Analysis at angle - Displacement
  • 55.
    48 Fig 5.2.5 Arm Analysisat angle -Strain
  • 56.
  • 57.
    50 6.1 Standard MaterialCosting Sr no. Components Quantity Cost 1 Lead Screw 1 402 2 Brass Nut 2 184 3 Linear Bearing 3 254 4 Pillow Block Flange Bearing 1 120 5 SKF6002 Ball Bearing 2 140 6 608RS Ball Bearing 1 50 7 8mm dia Smooth Steel rods 3 615 8 Shaft Coupling 5mm to 8mm 1 110 9 GT2 Pulley 2 250 10 GT2 Pulley belt 1 275 11 NEMA 17 Stepper Motors 3 1155 12 Arduino UNO 1 656 13 L293 Motor Drivers 3 450 14 Jumper Wires - 45 15 Miscellaneous - 200 Total 4906 6.2 3D Printing Cost Sr.no Part Name Quantity Cost 1 Top Carriage 1 228 2 Bottom Carriage 1 228 3 Top Plate 1 196 4 Bottom Plate 1 359 5 Double Pulley 1 92 6 Arm Joining Pulley 1 118 7 Arm1 body 1 666 8 Arm1 case 1 219 9 Arm 2 1 366 10 2mm Offset ring 4 32 11 22.5*2mm Offest ring 1 10 12 Clamp Holder 1 45 13 Press Bolt 4 22 Total 3D Printing Cost 2581 Total 7500
  • 58.
  • 59.
    52 7.1 Result 1. ForwardKinematics: • By using Forward kinematics SCARA returns (x, y) co-ordinates after rotating by θ (Input rotation of Arm1) and β (Input rotation of Arm2) for Arm1 and Arm2 respectively. 2. Inverse Kinematics: • By using Inverse kinematics SCARA returns θ (Output rotation of Arm1) and β (Output rotation of Arm2) for Arm1 and Arm2 after giving (x, y) co- ordinates. 3. G-Code: • SCARA takes input G-Code file and converts to (x, y) co-ordinates which gives θ and β for Arm1 and Arm2 respectively.
  • 60.
    53 7.2 Conclusion • Successfullycompleted Designing and fabrication of SCARA. • Working Space is Increased as compared to Cartesian robots. • Consumed Less space as compared to Cartesian robots for same working space. • Due to changes in design and materials cost for making a SCARA also reduced. • Weight of SCARA is reduced by using 3D printed parts of various infill density of PLA material and hollow cross sections. 7.3 Future Scope and Improvements • Using Back current of DC stepper motor to identify Number of steps performed during motor was offline or pushed by user. • Using Gear system for increasing torque without increasing motor rating i.e., using Harmonic drive or cycloidal drive which also reduces or eliminate backlash. • Using Live Drive Motors (Direct Drive) which have high torque, speed, compact and which also includes self-current back tracking and torque measurement for safety. • Using closed loop belt with idle pulley to avoid loosing over time. • Using different sensor for feedback or direct measurement i.e., Accelerometer, limit Switch, Strain Gauge, motion sensor, IR sensor etc.
  • 61.
    54 References • Rizwan UlHaq , Uma Shankar Kumar , Naveen Kumar , Yash Baranwal “Design and Manufacturing of Low Cost SCARA Robot” Bachelor of Technology, Mechanical Engineering, National Institute of Technology, Srinagar, Kashmir Vol. 10 Issue 06, June-2021. • Ahmet Saygin Ogulmus, Abdullah Cakan, Mustafa Tinkir, • VARAD AVCHAT, RASIKA KALE, JATEEN KODAM, RUSHABH KOKATE “DESIGN AND ANALYSIS OF 3-AXIS SCARA ROBOT TO SUSTAIN 60 N-m TORQUE BY NUTRUNNER” Student, Dept. of Mechanical Engineering, P.E. S’s Modern College of Engineering, Pune, Maharashtra, India. International Research Journal of Engineering and Technology (IRJET), 03 | Mar 2019 • Sonakshi Pradhan, K. Rajarajan, Arun S Shetty “Prototype, emulation, implementation and evaluation of SCARA Robot in industrial environment” Corporate Technology Centre, Tube Investment of India, Chennai-600054, India. ScienceDirect, 2018 • A. Van der Maas, Y.F Steinbuch, A. Boverhof, W.P.M.H. Heemels “Switched control of a SCARA robot with shared Actuation resources” Department of Mechanical Engineering, Control System Technology Group, Eindhoven University of Technology, 5600MB, Eindhoven, The Netherlands. ScienceDirect, 2017 • Andreea Kurtuhuz, Catalin Dumitru, “SECOND ORDER DYNAMIC MODELLING OF A TRIMOBIL SCARA ROBOT USING A SYMBOLIC COMPUTATIONAL METHOD” Valahia University of Targoviste, Romania. International Journal of Mechatronics and Applied Mechanics, 2021 • Daye Chen, Zhao Heng Zeng, Yisheng Guan, Haifei Zhu and Tao Zhang “SCARA Robots Developed with Modular Method” Biomimetic and Intelligent Robotics Lab (BIRL) School of Electromechanical Engineering Guangdong University of Technology Guangzhou, Guangdong, China. IEEE International Conference on Mechatronics and Automation, 2020 • SK Dodampegama, KMTMB Konara, MAA Munasinghe, YWR Amarasinghe “Design and Analysis of Hybrid Robotic Mechanisms Using SCARA and RCM Mechanisms” Institute of Electrical and Electronics Engineers (IEEE), 2020. • SHENGCHAO ZHEN, ZIYI ZHAO, XIAOLI LIU, FENG CHEN, HAN ZHAO AND YE-HWA CHEN “A Novel Practical Robust Control Inheriting PID for SCARA Robot” School of Mechanical Engineering, Hefei University of
  • 62.
    55 Technology, China. Instituteof Electrical and Electronics Engineers (IEEE), December 31, 2020. • Nihat Akkus, Onur Ozer, Ismail Temiz “Development of A SCARA Robot with Extensible Arm” Dept. of Mechatronics Engineering, Institute of Science, Marmara University, Turkey. IJERA Journal, July 2018, • Shrirang Phatak, Jayesh Mahamuni, Kabir Akware and Manjiri Purohit & Prof. S. B. Bhalake “ROBOTIC ARM WITH COMPLIANT MECHANISM” P.E.S. Modern College of Engineering, Mechanical Department. International Research Journal of Engineering and Technology (IRJET), 06 | June 2021. • R. S. Khurmi and J. K. Gupta, A Textbook of Machine Design, Eurasia Publishing House. • V. B. Bhandari, Design of Machine Elements, Mc Graw Hill Education. • R. K. Rajput, Strength of Materials, S. Chand.