Embed presentation







































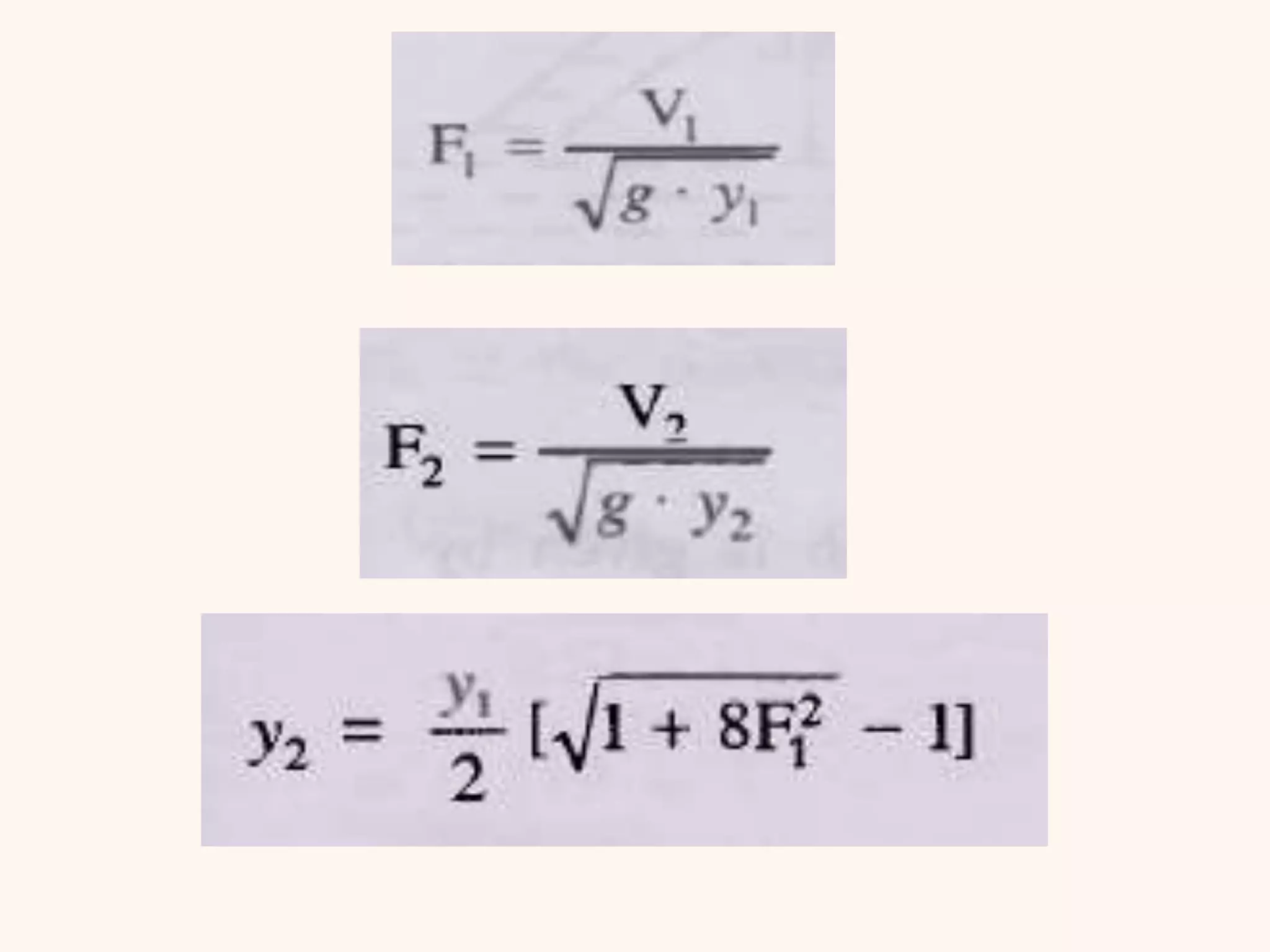
The document outlines specifications for spillway arrangements including heights, widths, lengths, locations, and spacing of various components such as chutes and end sills. It details different types of end sills and their respective design parameters based on velocity provisions. The information appears to be technical in nature, likely related to hydraulic engineering or water resource management.






































