Research Methodology Graduate Study Notes by DrRijal Page 1
BASIC INSIGHTS ON RESEARCH
Rijal, C. P.,PhD in Leadership
February, 2016
What it is…
Different scholars have defined research differently. For example, Rijal (2013) has defined research as a
systematic and objective investigation of a subject or a problem in order to discover relevant information.
This scholar has defined the term ‘investigation on a subject’ as a function directed to establish a
conceptual or theoretical understanding about something to be promoted as part of disciplinary studies.
For example, development of a theory in management science is part of such a study.
Similarly, Rijal (2013) has further specified that investigation on a problem refers to assessing,
diagnosing, exploring, or evaluating various facets pertaining to a management problem in an
organizational setting. For example, what percentage of first time Bhatbhateni Superstore visitors revisit
this place for shopping?
Finally, this scholar has coined up research as a function directed to establish a theoretical or conceptual
ground for a disciplinary study, or deducting a problem solution or decision alternative in a defined
situation or context of management problem posed in any setting.
To view upon it more scientifically, Bryman has proposed research as a wider social discourse which is i.
deeply rooted on theory – deductive and inductive,ii. takes into account the epistemological
considerations – positivism and interpretivism, iii. ismostly built on ontological considerations –
objectivism and constructivism; and iv. implies a more scientific approach –qualitative or quantitative
(Bryman, 2008).
From these all discourses we may conclude that research is a systematic and scientific inquiry conducted
to explore data, information, or knowledge so as to resolve a prevailing a social or institutional problem
or acclaim some disciplinary insights into the field of knowledge.
Bringing research into life of business world, two scholars have coined business research as a systematic
inquiry that provides information to guide overall managerial decisions. In this discourse, it works as a
systematic and scientific process of planning, acquiring, analyzing, disseminating relevant data,
information and insights to the decision makers so as to support them in the course of rationale decision-
making aimed at higher performance and management effectiveness (Cooper, & Schindler, 2009).
Research in business setting provides with technical skills for consultation and sound management by
providing relevant information for resolving management problems (Malhotra, & Dash, 2011).
From the above definition, we can deduct that business research is a scientific tool used to have depth
study of prevailing business problems into consideration keeping in view the depth exploration of
problem, observing various elements associated to the problem, collection, processing, and analyses of
data, information and insights to generate alternative course of action to make managerial decisions in
addressing such problems more rationally, systematically and with free state of mind from any biased
intuition.
Research Methodology Graduate Study Notes by DrRijal Page 2
THE RESEARCH PROCESS
Step I: Explore and Define the ResearchProblem
Task1: Explore the research gap through –
 preliminary review of various research publications; their study limitations, delimitations and
recommendations for further research would serve as the gap for research,
 observation of general attitude and behavior of the employees in organization also may give a
glimpse of a glimpse of a problematic situation in an organizational setting; it also may serve as a
missing link for crafting an applied research for an institution,
 consultation with research mentors, experts and thematic consultants would serve instrumental in
figuring out a gap for research in both academic as well as applied fields,
 taking reference of newer policy developments within and beyond the nation may provide a good
indication of a research in a particular field of study, and
 performing a scenario analyses of various happening and outlining the general trends also would
serve very much instrumental to figure out an issue for investigation.
Task2: Establish the purpose or objectives of the research
 Craft a primary or general purpose or objective, and a few secondary objectives at functional
level.
 Please remember,the following are the levels to be applied while crafting functional level
objectives in a research project:
1. Assess
2. Explore
3. Evaluate
4. Examine
5. Compare
6. Estimate
7. Propagate
Task3: Compose the statement of problem
 It refers to the grand questiontaken into consideration of your inquiry.
 It may be written in either affirmative, say, for example, [There exists a lot of ambiguity about the
issue of leadership readiness in the Nepalese private sector to maintain financial transparency] or
interrogative form, say, for example, [What is the overall level of readiness of leadership in the
Nepalese private sector to maintain financial transparency?]
Task4: Craft the research questions (RQ)
 RQs are formed by defusing the grand question into consideration of research.
 Each RQ should carry only one issue of one concern for inquiry.
Step I: Explore and Define the Research Problem
Step II: Design the Research
Step III: Administer the Research
Step IV: Perform Data Reduction and Analyses
Step V: Develop and Submit the Research Report
3
 Each RQ should be crafted in the form of inquiry-focused language.
For example, in a study aimed to explore the corporate leadership readiness to implement Financial
Transparency, the intended research questions may include –
RQ1: How supportive is the overall level of leadership behavior for maintaining financial transparency in
the Nepalese private sector?
RQ2: To what extent do the people in the leadership position value financial transparency as a tool for
institutional success?
RQ3: What, if the leadership is really committed for maintaining financial transparency in these
institutions?
RQ4: What is the overall level of understanding among the corporate leadership bearers regarding the
various functional aspects of maintaining financial transparency?
RQ5:How is the overall level of institutional process climate supporting for implementing financial
transparency in these institutions?
Task5: Set the working hypotheses
 Working hypotheses are often known as research hypotheses and these are the basic assumptions
set by the researcher to examine the relationship between various conceptual constructs.
 Each hypothesis may comprise of at least one independent and one dependent variable.
For example, in above case, the following would serve as a few examples:
H01: Leadership behavior in the Nepalese private sector may have no significant influence over their
readiness to implement financial transparency in their organizations.
H02: The level of leadership perceived value of financial transparency may have no significant relevance
in determining leadership readiness to implement financial transparency in these organizations.
Task6: Communicate the expected managerial implications of the said research
 This section is often referred to as significance or relevance of the research, and it intends to
communicate the expected benefits of the research to various agencies like, management, general
public, researchers, scholars, etc.
Task7: Establish the overall scope of study
 Considering all thematic constructs included in the research questions, intended approach of
study, and overall methodological aspects, the researcher at this point, needs to define the total
focus and areas of coverage of the study.
Task8: Establish the definition of key terminologies
 It is an optional work; if felt important to define a few, very much important but expected to be
new for readers of the research report, such terms should be defined following a chronological
alphabetical order.
 Definition of key terms may continue till the report is finalized.
Task9: Communicate frankly the limitation and delimitations of the study
 Limitations are imposed by the external situation or environment and delimitations are created by
the researcher or research team itself.
4
 You must communicate your limitations and delimitations from the perspectives of expertise
available, funds, time, access, permission, standard requirements, etc.
Task10: Develop the organization of the study report
 This is the final task associated with defining the problem and it briefly presents with a
preliminary outline of various contents that will be presented in different sections or chapters of
the study report.
 Generally speaking, in a more academic type of research, chapter 1 will present the introduction
of the problem, followed by review of literature in the second chapter and research methodology
in the third chapter. Similarly, data presentation and analyses will be presented in the fourth
chapter and finally, the fifth chapter will present with summary, conclusions and
recommendations.
Step II: Design the Research
Research design is the core part of a research proposal. It is also referred to as the blue-print of a research
project. In other words, it presents with a formal request for the approval or acceptance of a proposed
research. The overall proposition is established keeping in view the following tasks:
Task1: Establish the general methodological approach of the study
We should propose with logical reasoning about undertaking a particular approach that we are going to
undertake in the said research project.There are options to make a study fully quantitative, fully
qualitative or a blend of both the methods. A more scientific research should be conducted by using a
mixed method of qualitative and quantitative methods.
Task2: Establish appropriate study designs
After determining particular methodological approaches, another equally important task is to determine
the blend of specific designs to be used for executing the proposed research project. Basically, there are
two design options available – i. exploratory research designs, and ii. conclusive research designs.
An exploratory research design aims to gather preliminary information to definethe problem more
narrowly and suggest hypotheses. A few methods to be used in exploratory research design include
literature search, expert interviews, focus group discussions, case studies, company audits,qualitative
research, and general observation or preliminary consultations – all aimed to understand the problem
more narrowly.
Conclusive research designs are further classified into two types – i. descriptive research designs, and ii.
causal research designs.
Descriptive research designs aim to describe things in general statistical terms of qualitative or
quantitative nature, such as the market potential ofa product, consumer demographics andattitude towards
a brand, and so on. Secondary data analysis, surveys, observations,panel discussions, simulations, etc. are
a few methods used to execute descriptive research designs.
Causal research designs stand for establishing and confirming the relationship between various
conceptual constructs undertaken into the consideration of research. Testingof hypotheses about cause
and effectrelationships is an example of such design. Causal research design is set keeping in view the
causation effect, i.e., X causes Y, where X being the function of independent variable (cause) and Y being
the outcome (effect).
In fact, exploratory research design helps to define the problem more narrowly with defined conceptual
constructs to be taken into account of the research by identifying a research gap, defining the statement of
5
problem, research questions and setting working hypotheses. Following the pattern of overall research
questions and working hypotheses, descriptive research designs aim to establish the statistical measures
against the constructs undertaken in the research project. Finally, causal research designs establish the
statistical significance of the relationships between said conceptual constructs as set in hypotheses.
Thus, a more scientific research must include all these three design variants. We also should be aware that
the proposal evaluators will allocate significant amount of weightage on design component as it is one of
the most essential components of a more scientific research design.
Task3: Define the population of the study
After proposing with the intended methodological approaches and designs, consideration on relevant
population of the study needs be disclosed. Population of the study may include, people, organizations,
places, natural species, events, etc. on which the overall study is going to be carried out. For example, if
we are going to conduct a survey research entitled ‘A Survey of Household Consumption Patterns of Salt
and Sugar in the Nepalese Households’, all Nepalese households represent the study population.
Similarly, if we are conducting a survey research to explore about consumer behavior towards a certain
brand of product, then all general consumers of that brand represent the population of the study.
Task4: Take sampling decisions
Most of the cases, it is almost impossible to involve all elements or units of population into research
process. Alternatively, we can take the best representative units from the study population by using
appropriate sampling methods when census is impossible or irrelevant.
Basically, there are two alternative methods of sampling in survey research – i. probability sampling, and
ii. non-probability sampling. If we would like to make our study more scientific one, we must follow
probability sampling methods to conduct the research survey, however, non-probability sampling also
may be equally relevant in the cases of more qualitative studies to be performed through depth
observations.
Simple random sampling, systematic random sampling, stratified random sampling, and cluster sampling
are the most commonly used techniques of sampling within random or systematic sampling methods.
Similarly, judgmental sampling, convenience sampling, self-selected sampling, and snow-ball sampling
are mostly used techniques within non-probability sampling methods. In a research, we should follow a
uniform technique of sampling across all sampling frames. We will study more about sampling in later
stage of this discourse.
Task5: Establish appropriate tools for data collection
Another equally important task required in course of developing the detailed research design is to develop
relevant tools and techniques of data collection from the sample units. Interview schedules, observation
checklists, schedules for focus group discussions, and survey questionnaires are the most widely used
tools of primary data collection. We will study about these tools in later phases of our course work.
If it is a preliminary proposal, we need to communicate what particular type of tools will be used, and in
the case of submission of detailed proposal, we need to develop the relevant tools of data collection and
place them in the appendix section of the document and discuss the key elements, features and techniques
of administration and treatment of data in the main body.
Task6: Perform relevant testing of the study tools and techniques
Once the decision on tools for data collection is made, proper mechanism for testing the validity and
reliability of the data collection tools and techniques of research execution need be proposed. The test of
6
validity intends to establish the measure of correctness of the right tools and techniques. The test of
reliability stands for confirming the consistency of the information to be produced by using the specified
tools and techniques of data collection, processing and analyses. We will have separate discussions about
these elements in the later portion of our study.
Task7: Establish proper mechanism for field works
After proposing with validity and reliability measures, we need to communicate in detail the overall
mechanism of administration of the field works of the proposed research project. This provides with a
clear picture about who is going to do what, with what time lines and procedural approaches of
establishing contacts with the sample units, administration of observation, interviews or discussions, and
confirming of highest level of task efficiency.
Task8: Hire and train the field researchers
Accordingly, we need to propose with required field research staff and provide adequate information
about their induction to the project and required training and development initiatives to be undertaken by
making sure that they fully understand how to administer the field works. Primarily, such training and
research pilot testing is done together.
Task9: Establish relevant mechanism to perform field controls during research administration
Another equally important aspect of a research design is to establish relevant mechanism for maintaining
field controls during the process of data collection. The main purpose of doing so is to make sure that
there is less error in research administration and the overall task of data collection is implemented as it
was agreed and required to be performed. Selected activities to be highlighted include the proposed
mechanism for field inspection, confirmation of participation of the right sample units, random inspection
of missing items in the filled-in questionnaires, observation of general behavioral conduct of the research
staff, insisting for re-contacting with absent participants of the survey, etc.
Task10: Propose with necessary data reduction functions
This task includes relevant propositions to edit the duly filled in forms, treating missing items and
ambiguous data or information, coding of responses – all making it ready for entry into computers.
Task11: Propose the mechanism for data entry
It involves producing a logical promise of the researcher in relation with the use of various packages or
computer programs for data entry, processing and analyses. We should communicate what technology,
system software, customized statistical packages, and expertise will be used for data entry to make sure
that required quality of works is maintained.
Task12: Develop relevant projection for data processing and analyses
This task includes the projection of the different ways and tools to be used process the data and deduct
study results. In addition, expected study results are projected and intended mechanisms for data analyses
and discussions are also presented.
Task13: Project necessary experimental tests
Based on the overall research designs and expected study results, we should propose with relevant
statistical tests to be performed. More precisely, we propose with various statistical tests in this section.
Test of hypotheses is the main concern of this task.
Task14: Propose with the various research expertise and resources to be involved
In this task, we propose with the diversity and intensity of involvement of various human and non-human
resources in performing the said research project.
7
Task15: Establish a tentative work schedule
Using either CPM or Gantt chart, we should develop a tentative work schedule by revealing the proposed
timelines of completion of various activities of the overall research project. All key activities and
corresponding timelines required to perform such activities need be highlighted in the work schedules.
Task16: Propose with necessary budgeting of the said research project
Finally, necessary budgeting is prepared considering the involvement of different experts, research
associates, and various research administration materials and equipment. In case of professional research
bidding, we also need to disclose the tax liabilities of the client institution and research team.
Task17: Propose with necessary plan of payment
Payment breakdown has to be prepared in line with the various phases and percentage of task completion
in the proposed research project.
Step III: Administer the Research
This step refers to the post-proposal or post-design stage activities of research process and it includes the
following tasks to be performed in a sequential order:
Task1: Field the research
This task involves the smooth administration of field works of the research by implementing the proposed
tools and techniques with the help of pre-determined work schedules, expertise and other resources. In
other words, this task is also known as data collection. In many cases, whole or any part of work may be
outsourced, especially in the case of large scale, internationally diverse research coverage.
Task2: Execute relevant mechanism for field controls
As the field research work is going on, the research team also has to maintain closer and more robust
check and balance of various activities performed by the team of research assistants in the field. The main
purpose of such work is to make sure that everybody in the entire research team performs the works as
per specified procedures. A few important activities of field control mechanism include congruent
monitoring and supervision of field works, congruent facilitation of unexpected problems arising during
the field works, cross-checking of task deviation, inspection of personal conduct of the research staff in
the field, confirmation of compliance with specified research and participant treatment protocols. We
must take into account the basic socio-ethical considerations in a research project from at least three
perspectives – i. from the perspectives of the client, ii. from the perspectives of the research assistants and
team members, and iii. from the perspectives of the participants of data collection process.
Task 3: Provide effective research facilitation support
Provide with adequate, on-the-spot coaching, support, and problem solving for field staff. Listen their
grievances and resolve them. Provide with required resources and confirm their feeling of comfort while
working in the field. Align research staff needs and factors of motivation provided. Take ownership as
well as accountability of any problems arising during the field work and help staff for easier handling of
such situations. Also provide with adequate concern on security and safety of data collected and smooth
handling of data files and other equipment.
Task 4: Perform effective closing of the field work
Provide with adequate and effective response to both the research participants and assistants for their
genuine participation and data collection works and thank them for everything they have contributed with.
And assure that you would come back to them when and where felt need of doing so. Make sure that you
listen to their grievances and suggestions before you formally announce the closure of data
collection task. Also make sure that the research staff members are compensated as promised.
8
Step IV: Perform Data Reduction and Analyses
Task1: Edit and verify the data forms
The field research supervisors are assigned with the responsibility to perform congruent editing and
verifying of the duly completed forms and formats in the field making sure that all items or questions are
answered to the most possible extent. Time again, the supervisors may ask the assistants to re-take certain
samples, if found suspicion or high degree of incompleteness of the data collection forms. In the case of
missing items, ambiguous responses and counter-contradicting responses, timely editing of forms will
serve instrumental.
Task 2: Establish the data entry codes
Before getting into data entry, the data analyst has to prepare a framework of data entry codes. These days
it can be done easily by using relevant statistical packages using computers. For example, based on the
various questions and their alternative responses as designed in the survey questionnaires, data entry
coding can be done in SPSS in its variable view window. For example, the data obtained against
following question may be coded as:
Q4. Please specify your gender.
Male…………………………1
Female………………………2
Other………………………...3
Here, a code ‘1’ meansmale and ‘2’ means female.Normally, we prepare pre-coded questionnaires to
avoid the unnecessary hasslesthat may take place after the field research.
Task 3: Perform data entry
This task involves transcribing the data into pre-determined, computer-based processing system software
following relevant data editing and refinement.
Task4: Create newvariables
Sometimes the research by its nature, may require a number of new variables creation either by collapsing
two or more than two variables together and forming a new variable. In the case of categorization of
qualitative inputs, such work may happen repetitively.
More illustrations will be performed in the class itself.
Task 5: Verify and refine the data
After the data entry is over, a member of the data analyses team will have to perform total, or sample-
based cross verification of the content and quality of data entry job and then such data will be sent for
statistical refinement to make the data compatible for using in the specified statistical processing system
packages.
Task 6: Perform information processing and analyses
Following the task of data entry, we go for necessary information processing and analyses based on
overall purpose of research, statement of problem and research questions taken into account. Presentation
and analyses of research information has to be in line with respective research questions considered in the
research and the overall structure of presentation of information will vary according to the nature of
overall issues to be investigated and the headings and subheadings will be prepared accordingly.A
number of descriptive analyses have to be performed at this stage. Using the information processed,
relevant graphs, tables, and suitable diagrams are preferred in the text of the report document.
Task 7: Perform necessary statistical tests
After producing relevant statistical results, necessary tests of hypotheses have to be performed. It is an
optional task and may not be applicable in many cases of research. However, it is mandatory for a more
9
scientific research design to have relevant statistical testing of the significance of association of various
constructs as set in working hypotheses.
Task 8: Produce relevant inferences
Finally, based on various descriptive analyses, scientific testing and/or depth exploration of the subject
matter of inquiry, relevant statistical or technical inferences are deducted to address the prevailing
problem or subject matter taken into consideration of the research.
Step V: Develop and Submit the Research Report
As the final step of formal research system process, this step involves the activities related to preparation
of study report, its presentation and submission. Following task description provides with the detailed
accounts of activities performed in this step:
Task1: Prepare the first draft report
Following all documentation of activities related to problem definition, research design, administration of
research, treatment of data for information processing and analyses, a draft report has to be prepared.
Normally, an academic research is drafted in five distinctive chapters [Chapter 1: Introduction, Chapter 2:
Review of Literature, Chapter 3: Research Methodology, Chapter 4: Data Presentation and Analyses, and
Chapter 5: Summary, Discussions, Conclusions, and Recommendations]. Similarly, an applied or
professional research report may be crafted in four chapters or sections [Section 1: Introduction, Section2:
Research Methodology, Section 3: Data Presentation and Analyses, and Section 4: Summary,
Conclusions, and Recommendations].
Task2: Edit the draft report
After the first draft of the study report is ready, it is closely examined by respective language and
technical experts to minimize the technical, structural and grammatical errors.
Task3: Develop the second draft report
Incorporating the editing notes in the first draft report, the experts develop the second draft report making
it ready for formal presentation with respective stakeholders.
Task4: Make a presentation on second draft report and solicit feedback for improvement
Formal presentation of the report is made using relevant presentation materials accompanied with hard
copy of the second draft report. Respective participants are requested to provide necessary feedback for
further improvement. The stakeholders are asked to put forward their concerns, reservations, objections,
and suggestions for further improvement of the information and overall structural body of report.
Task5: Incorporate the feedback and prepare the final draft report
After making presentation and collecting feedback from respective stakeholders, we should revise the
draft report to give it the final shape.
Task6: Seek for final approval after confirming necessary changes or updates
As soon as the final draft is ready, we should bring it to brief discussion with the key stakeholders to
receive their final consent for production making it confirm with them that the report is developed in the
preferred shape with all required components addressed.
Task7: Prepare and submit the final report
On receiving the consent for production, we should develop final production, sign it up and submit to the
designated authority assigning the research work. In the case of professional research assignment, it is
recommended to receive a letter of task completion after submission and acceptance of the final report.
10
Post-research Initiatives
Many cases, the valuable efforts made for conducting high quality research and coming up with highly
effective research findings and decision alternatives go just useless as a result of failure to maintain
necessary coordination between the research team and the employer of the research project.
Unfortunately, both the parties happen to understand that submission of final study report is the last job of
the researcher. As a consequence, it lacks suffers from effective implementation. In fact, as professional
providers of research services, we should coordinate with the client organization for by reserving our
effective involvement in a number of follow-up cases so as to facilitate effectively in transforming the
research inputs into organization’s policy development, action programming, capacity building and
decision implementation process.
Important Terminologies in Research
Statistics and Parameters: A statistic is a numerical measure computed from a sample and a
parameter is a numerical measure computed from a population. Thus, these terms are also
referred to as sample statistics and population parameters.
Frequency Distribution: The frequency (f) is the number of times a variable takes on a
particular value. Note that any variable has a frequency distribution. For example, roll a pair of
dice several times and record the resulting values (constrained to being between and 2 and 12),
counting the number of times any given value occurs (the frequency of that value occurring), and
take these all together to form a frequency distribution. Frequencies can be absolute when the
frequency provided is the actual count of the occurrences, or it can be relative when they are
normalized by dividing the absolute frequency by the total number of observations [0, 1].
Relative frequencies are particularly useful if you want to compare the distributions drawn from
two different sources, i.e., while the numbers of observations of each source may be different.
Mean, Median, Mode and Range:The mean is the numerical average of the data set. Ordinarily,
the mean is computed by adding all the values in the set, then dividing the sum by the number of
values. The median is the number that is in the middle of a set of data. Arrange the numbers in
the set in order from least to greatest. Then find the number that is in the middle. What, if there
are even number of data in the set? In this case, take two central numbers, add them and divide
by 2 and there comes the median value. Say, for example, if a student’ scores in eight different
subjects are 45, 67, 74, 82, 88, 91, 92, 93, then his/her median score will be (82+88)/2 = 170/2 =
85. One important thing here is the data needs be converted into an array of ascending or
descending order before computing the median value. So, what is mode then? The mode is the
piece of data that occurs most frequently in the data set. A set of data can have i. one mode, more
than one mode, and no mode at all. The range is the difference between the lowest and highest
values in a data set. For example, in above case of marks earned by the student, the Range = 93 –
45 = 48. It reveals the numerical extent of the width of data set.
Variance and Standard Deviation: The variance is the average squared deviation from the
mean of a set of data. It is used to find the standard deviation. Process: 1. Find the mean of the
data. Hint: Mean is the average, so add up the values and divide by the number of items. 2.
Subtract the mean from each value; the result is called the deviation from the mean.3. Square
each deviation of the mean. 4. Find the sum of the squares. 5. Divide the total by the number of
items. The variance formula includes the Sigma Notation,  , which represents the sum of all the
items to the right of Sigma; Here, mean is represented by  and n is the number of
items. Standard Deviation shows the variation in data. If the data is close together, the standard
2
( )x
n

11
deviation will be small. If the data is spread out, the standard deviation will be large. Standard
Deviation is often denoted by the lowercase Greek letter sigma (). Notice
the standard deviation formula is the square root of the variance. As we have seen, standard
deviation measures the dispersion of data. The greater the value of the standard deviation, the
further the data tends to be dispersed from the mean. Z-Scores are referred to as the number of
standard deviations an observation is away from the mean.
Skewness and Kurtosis: A fundamental task in many statistical analyses is to characterize the
location and variability of a data set. A further characterization of the data includes the analyses
of skewness and kurtosis. The measure of dispersion tells us about the variation of the data set.
Skewness tells us about the direction of variation of the data set. Skewness is a measure of
symmetry, or more precisely, the lack of symmetry. A distribution, or data set, is symmetric if it
looks the same to the left (negative) and right (positive) of the center point. The histogram is an
effective graphical technique for showing both the skewness and kurtosis of a data set.
There are further statistics that describe the shape of the distribution, using formulae that are
similar to those of the mean and variance. 1st moment - Mean (describes central value); 2nd
moment - Variance (describes dispersion); 3rd moment - Skewness (describes asymmetry); and
4th moment - Kurtosis (describes peakedness).
Kurtosis measures how peaked the histogram is.
The kurtosis of a normal distribution is 0. Kurtosis characterizes the relative peakedness or
flatness of a distribution compared to the normal distribution. Platykurtic: When the kurtosis <
0, the frequencies throughout the curve are closer to be equal (i.e., the curve is more flat and
wide). Thus, negative kurtosis indicates a relatively flat distribution. Leptokurtic: When the
kurtosis > 0, there are high frequencies in only a small part of the curve (i.e, the curve is more
peaked). Thus, positive kurtosis indicates a relatively peaked distribution.
Kurtosis is based on the size of a distribution's tails.Negative kurtosis (platykurtic):
distributions with short tails. Positive kurtosis (leptokurtic): distributions with relatively long
tails.
Hypothesis: It is a hunch, assumption, suspicion, assertion or an idea about a phenomena,
relationship, or situation, the reality of truth of which one do not know. A researcher calls these
assumptions, assertions, statements, or hunches hypotheses and they become the basis of an
inquiry. In most cases, the hypothesis will be based upon either previous studies or the
researcher’s own or someone else’s observations. Hypothesis is a conjectural statement of
relationship between two or more variables (Kerlinger, 1986). Hypothesis is a proposition,
condition or principle which is assumed, perhaps without belief, in order to draw its logical
consequences and by this method to test its accord with facts which are known or may be
determined. According to Black and Dean (1976), a tentative statement about something, the
2
( )x
n



 
3
)(
4
4




ns
xx
kurtosis
n
i
i
12
validity of which is usually unknown is known as hypothesis. Accordingly, Baily (1978) has
defined it as a proposition that is stated in a testable form and that predicts a particular
relationship between two or more variable. In other words, if we think that a relationship exists,
we first state it is hypothesis and then test hypothesis in the field. In fact, a hypothesis may be
defined as a tentative theory or supposition set up and adopted provisionally as a basis of
explaining certain facts or relationships and as a guide in the further investigation of other facts
or relationships.
Hypotheses has these characteristics – i. a tentative proposition, ii. unknown validity, and iii.
specifies relation between two or more variables.
Functions of a hypothesis: It tends to bring clarity to the research problem. It provides a study
with focus. It signifies what specific aspects of a research problem are to be investigated. It also
helps delimit what data to be collected and what not to be collected. It serves for the
enhancement of objectivity of the study. It serves highly instrumental to formulate the theory and
enables to conclude with what is true or what is false.
Types of hypotheses: Three types of hypotheses include -- working hypothesis, null hypothesis
and alternate hypothesis.
Working hypothesis is provisionally adopted to explain the relationship between some observed
facts for guiding a researcher in the investigation of a problem. A statement constitutes a trail or
working hypothesis (which) is to be tested and conformed, modifies or even abandoned as the
investigation proceeds.
Null hypothesis is formulated against the working hypothesis, and it opposes the statement of
the working hypothesis. It is contrary to the positive statement made in the working hypothesis.
It is formulated to disprove the contrary of a working hypothesis. When a researcher rejects a
null hypothesis, he/she actually proves a working hypothesis. It is normally denoted by H0.
Normally, only null hypothesis is written research papers.
Alternate hypothesis is formulated when a researcher totally rejects null hypothesis. He/she
develops such a hypothesis with adequate reasons. It is normally denoted by H1. A researcher
formulates this hypothesis only after rejecting the null hypothesis.
Examples of different hypotheses
Working hypothesis: The population density influences the number of bank branches in a town.
Null hypothesis (Ho): The population density may not have any significant influence on the
number of bank branches in a town.
Alternate hypothesis (H1): The population density might have significant effect on the number
of bank branches in a town.
Statistical Tests: Different statistical tests have to be performed for different types of data.
For continuous data:If comparing 2 groups (treatment/control), t-test. If comparing > 2 groups,
ANOVA (F-test). If measuring association between 2 variables, Pearson’s correlation (r). If
trying to predict an outcome (crystal ball), regression or multiple regression.
13
For ordinal data:Likert-type scales are ordinal data. If comparing 2 groups, Mann Whitney U
(treatment vs. control), Wilcoxon (matched pre vs. post). If comparing > 2 groups, Kruskal-
Wallis (median test). If measuring association between 2 variables, Spearman rho (ρ).
For categorical data: Called a test of frequency; how often something is observed (AKA:
Goodness of Fit Test, Test of Homogeneity). Chi-Square (χ2). Examples of burning research
questions -- Do negative ads change how people vote?Is there a relationship between marital
status and health insurance coverage?Do blonds have more fun?
Descriptive and Inferential Statistics: Descriptive Statistics provide an overview of the
attributes of a data set. These include measurements of central tendency (frequency
histograms, mean, median, and mode) and dispersion (range, variance and standard
deviation). Inferential statistics provide measures of how well your data support your hypothesis
and if your data are generalizable beyond what was tested (significance tests).
Primary Scales of Measurement
The mathematical properties of the numbers you are going to analyze are important because they
determine which mathematical operations are allowed. This, in turn, determines which statistics
you can use with those numbers.
We can describe the scales of measurement used in everyday examples in terms of their abstract
number properties. Presented below are a series of everyday examples of each of the four
primary scales of measurement.
a. nominal
b. ordinal
c. interval
d. ratio
Properties of Abstract Number System
The properties of the abstract number system that are relevant to scale of measurement are
identity, magnitude, equal interval, and absolute/true zero.
Identity means that each number has a particular meaning.
Magnitude means that numbers have an inherent order from smaller to larger.
Equal intervals means that the difference between numbers (units) anywhere on the scale is the
same (e.g., the difference between 4 and 5 is the same as the difference between 76 and 77).
Absolute/true zero means that the zero point represents the absence of the property being
measured (e.g., no money, no behavior, none correct).
Nominal Scales: Nominal scales are the lowest scales of measurement. Numbers are assigned to
categories as "names". Which number is assigned to which category is completely arbitrary.
Therefore, the only number property of the nominal scale of measurement is identity. The
number gives us the identity of the category assigned. The only mathematical operation we can
perform with nominal data is to count.
A scale whose numbers serve only as labels or tags for identifying and classifying objects. When
used for identification, there is a strict one-to-one correspondence between the numbers and the
objects.
14
Classifying people according to gender is a common application of a nominal scale.
In the example below, the number "1" is assigned to "male" and the number "2" is assigned to
"female". We can easily assign the number "1" to "female" and "2" to male. The purpose of the
number is merely to name the characteristic or give it "identity".
As we can see from the graphs, changing the number assigned to "male" and "female" does not
have any impact on the data -- we still have the same number of men and women in the data
set. Additional examples for everyday nominal scales are zip codes, areas of country, and so on.
Ordinal: Ordinal scales have the property of magnitude as well as identity. The numbers
represent a quality being measured (identity) and can tell us whether a case has more of the
quality measured or less of the quality measured than another case (magnitude). The distance
between scale points is not equal. Ranked preferences are presented as an example of ordinal
scales encountered in everyday life. We also address the concept of unequal distance between
scale points.
A ranking scale in which numbers are assigned to objects to indicate the relative extent to which
some characteristic is possessed. Thus it is possible to determine whether an object has more or
less of a characteristic than some other object.
Ranked preferences: we are often interested in preferences for different tastes, especially if we
are planning a party. Let's say that we asked the three guests pictured below to rank their
preferences for four different sodas. We usually rank strongest preference as "1". With four
sodas, the lowest preference would be "4". For each soda, we assign a rank that tells us the order
(magnitude) of the preference for that particular soda (identity). The number simply tells us that
the guests prefer one soda over another, not "how much" more they prefer the soda.
Because of the property of magnitude (order), the
numbers are no longer considered arbitrary as they are in nominal scales. If we ask the guests
their preference of what they likedthe best at a party, we would serve the first guest Pepsi,
second with Sprite, and the third with Surge.
Let's change the numbers assigned to "Pepsi" and "Coke" for our first guest.
15
Changing the numbers changes the meaning of the preferences. You would now serve our
first student Coke and not Pepsi.
Distance between Scale Points: we assume that the intervals between scale points on ordinal
scales are unequal. Thus, the "distance" between a rank of "1" and "2" is not necessarily the
same as the "distance" between ranks of "3" and "4".
Let's say our first student likes Pepsi the best but also has a strong liking for Coke, which she
rated as "2". She thinks Sprite is OK but prefers cola drinks. She really does not like Surge at all.
In this case the preference "distance" between "3" and "4" is much greater than the preference
"distance" between ranks "1" and "2" even though the numerical distance between them is
thesame. This concept of unequal psychological distance is pictured below.
Other examples for everyday ordinal scales: Socioeconomic status, class rank, letter grade.
Interval: Interval scales have the properties of identity, magnitude and equal distance.
The equal distance between scale points allows us to know how many units greater than, or less
than, one case is from another on the measured characteristic. So, we can always be confident
that the meaning of the distance between 25 and 35 is the same as the distance between 65 and
75. Interval scales DO NOT have a true zero point; the number "0" is arbitrary.
A good example of an interval scale is the measurement of temperature on Fahrenheit or Celsius
scales. The units on a thermometer represent equal volumes of mercury between each interval on
the scale. The thermometer identifies for us how many units of mercury correspond to the
temperature measured.
We know that 60° is hotter than 30° and that there is the same 10-degree difference in
temperature between 20° and 30° as between 50° and 60°. Zero degrees on either scale is an
arbitrary number and not a "true" zero. The zero point does not indicate an absence of
temperature; it is an arbitrary point on the scale.
Other examples for everyday interval scales: Age (0 is culturally determined), SAT scores.
A scale in which the numbers are used to rate objects such that numerically equal distances on
the scale represent equal distances in the characteristic being measured.
Ratio: Ratio scales of measurement have all of the properties of the abstract number system
including identity, magnitude, equal distance and absolute/true zero.
16
These properties allow us to apply all of the possible mathematical operations (addition,
subtraction, multiplication, and division) in data analysis. The absolute/true zero allows us to
know how many times greater one case is than another. Scales with an absolute zero and equal
interval are considered ratio scales.
Ratio
Money is a good example of an everyday
ratio scale of measurement. If we have $100
we have twice as much purchasing power as
$50.
If we have no money in our pockets, we
have absolutely no ability to purchase
anything. Other examples of everyday ratio
scales: Household size, annual income.
It is the highest scale. It allows the researcher to identify or classify objects, rank order the
objects, and compare intervals or differences. It is also meaningful to compute ratios of scale
values.
Why the scale of measurement matters: The scale of measurement of the variables
determines the mathematical operations that are permitted for those variables. In turn, these
mathematical operations determine which statistics can be applied to the data.
Primary Scale of Measurement
Scales Basic Characteristics General Examples Specific Examples
(Say, in Marketing)
Permissible Statistics
Descriptive Inferential
Nominal Number identity and
classify objects
Social security
numbers,
numbering of
football players
Brand numbers,
store types, sex
classification
Percentages,
mode
Chi-Square,
binomial test
Ordinal Numbers indicatethe
relativeposition of the
objects but not the
magnitude of
difference between
them.
Quality rankings,
rankingof teams in
the tournament
Preference ranking,
market position,
social class
Percentage,
median
Rank-order
correlation,
Friedman
ANOVA
Interval Difference between
objects can be
compared; Zero point
is arbitrary
Temperature(Fahr
enheit, centigrade)
Attitudes, opinions,
index numbers
Range,
Mean,
Standard
deviation
Product-moment
correlations,t-
tests, ANOVA,
regression,
factor analysis
Ratio Zero pointis fixed;
ratios of scalevalues
can be compared
Length, Weight Age, income, costs,
sales,market share
Geometric
mean,
harmonic
mean
Coefficient of
variation
The chart below lists the scales of measurement that we have reviewed in this exercise and the
types of statistics that can be applied to variables created using these scales of measurement.
17
Reliability and Validity
The two most important and fundamental characteristics of any measurement procedure are
reliabilityand validity to confirm the accuracy and consistency of measures to be established.
Reliability: Itis defined as the extent to which a questionnaire, test, observation or any
measurement procedure produces the same results on repeated trials. In short, it is the stability or
consistency of scores over time or across raters. Keep in mind that reliability pertains to scores
not people. Thus, in research we would never say that someone was reliable. As an example,
consider judges in a platform diving competition. The extent to which they agree on the scores
for each contestant is an indication of reliability. Similarly, the degree to which an individual’s
responses (i.e., their scores) on a survey wouldstay the same over time is also a sign of
reliability.
An important point to understand is that a measure can be perfectly reliable and yet not be valid.
Consider a bathroom scale that always weighs you as being 5 lbs. heavier than your true weight.
This scale (though invalid as it incorrectly assesses weight) is perfectly reliable as it consistently
weighs you asbeing 5 lbs. heavier than you truly are. A research example of this phenomenon
18
would be a questionnairedesigned to assess job satisfaction that asked questions such as, “Do
you like to watch ice hockey games?”, “What do you like to eat more, pizza or hamburgers?”
and “What is your favorite movie?”. As you can readily imagine, the responses to these
questions would probably remain stable over time, thus,demonstrating highly reliable scores.
However, are the questions valid when one is attempting to measure job satisfaction? Of course
not, as they have nothing to do with an individual’s level of job satisfaction. While this example
may seem just a tad far-fetched I hope that you grasp the underlying difference between
reliability and validity.
Assessing the Three Aspects of Reliability: There are three aspects of reliability, namely:
equivalence, stability and internal consistency (homogeneity). It is important to understand the
distinction between these three as it will guide one in the proper assessment of reliability given
the research protocol.
The first aspect, equivalence, refers to the amount of agreement between two or more
instruments that are administered at nearly the same point of time. Equivalence is measured
through a parallel formprocedure in which one administers alternative forms of the same
measure to either the same group or different groups of respondents. This administration of
various forms occurs at the same time or following some time delay. The higher the degree of
correlation between two forms, the more equivalent they are. In practice, parallel form procedure
is seldom implemented, as it is difficult, if not impossible, to verify that two tests are indeed
parallel (i.e., have equal means, variances, and correlations with other measures). Indeed, it is
difficult enough to have one well-developed instrument to measure the construct of interest let
alone two. Another situation in which equivalence will be important is when the measurement
process entails subjective judgments or ratings being made by more than one person. Say, for
example, if you are a part of a research team with an aim to interview people concerning their
attitude towards educational curriculum for children, it should be self-evident that each rater
should apply the same standard towardsto assess the responses. The same can be said for a
situation in which multiple individuals are observing behavior. The observers should agree as to
what constitutes the presence or absence of a behavior as well as the level to which the behavior
is exhibited. In this context,the equivalence is demonstrated by assessing the interrater reliability
which refers to the consistency with which observers or raters make judgment.
The procedure for determining interrater reliability is: # of agreements/# of opportunities for
agreement x 100.Thus, a situation in which raters agree a total of 75 times in 90 opportunities
(i.e., unique observations or ratings) produces 83% agreement. (75/90 = .83 x 100 = 83%.)
The second aspect of reliability, stability, is said to occur when the same or similar scores are
obtained with repeated testing with the same group of respondents. In other words, the scores are
consistent from one time to the next. Stability is assessed through a test-retest procedure that
involves administering the same measurement instrument to the same individuals under the same
conditions after some period of time. Test-rest reliability is estimated with correlations between
the scores at Time 1 and those at Time 2 (to Time x). Two assumptions underlie the use of the
test-retest procedure. The first required assumption is that the characteristic that is measured does
not change over the time period. The second assumption is that the time period is long enough
that the respondents’ memories of taking the test at Time 1 do not influence their scores at the
second and subsequent test administrations.
19
The third and last aspect of reliability is internal consistency (or homogeneity). Internal
consistency concerns the extent to which items on the test or instrument are measuring the same
thing. If, for example, you are developing a test to measure organizational commitment you
should determine the reliability of each item. If the individual items are highly correlated with
each other you can be highly confident in the reliability of the entire scale. The appeal of an
internal consistency index of reliability is that it is estimated after only one test administration
and therefore avoids the problems associated with testing over multiple time periods. Internal
consistency is estimated via the split-half reliability index, coefficient alpha (Cronbach, 1951)
index or the Kuder-Richardson formula 20 (KR-20) (Kuder, & Richardson, 1937) index. The
split-half estimate entails dividing up the test into two parts (e.g., odd/even items or first half of
the items/second half of the items), administering the two forms to the same group of individuals
and correlating the responses. Coefficient alpha and KR-20 both represent the average of all
possible split-half estimates.
The difference between the two is when they would be used to assess reliability. Specifically,
coefficient alpha is typically used during scale development with items that have several
response options (i.e., 1 = strongly disagree to 5 = strongly agree) whereas KR-20 is used to
estimate reliability for dichotomous (i.e., Yes/No; True/False) response scales.
The formula to compute KR-20 is: KR-20 = N / (N - 1)[1 - Sum(piqi)/Var(X)]
Where Sum(piqi) = sum of the product of the probability of alternative responses; and to calculate
coefficient alpha: N/(N - 1)[1 - sum Var(Yi)/Var(X)]
where N = # items
sumVar(Yi) = sum of item variances
Var(X) = composite variance (Allen & Yen, 1979)
Granted, this is the probably more than you would ever want to know about reliability but better
I provide you with too much information than too little. A couple of questions that you may have
at this point are: 1. What is considered a ‘good’ or ‘adequate’ reliability value?, and 2. How do I
improve the reliability of my survey instrument?
With respect to the first question, obviously, the higher the reliability value the more reliable the
measure. The general convention in research has been prescribed by Nunnally and Bernstein
(1994) who state that one should strive for reliability values of .70 or higher. Regarding the
second question, reliability values increase as test length increases (see Gulliksen, 1950 for a
complete discussion of the relationship between test length and reliability). The more items we
have in our scale to measure the construct of interest, the more reliable the scale will become.
However, the problem with simply increasing the number of scale items when performing
applied research is that respondents are less likely to participate and answer completely when
confronted with the prospect of replying to a lengthy questionnaire. Therefore, the best approach
is to develop a scale that completely measures the construct of interest and yet does so in as
parsimonious or economical a manner as is possible. A well-developed yet brief scale may lead
to higher levels of respondent participation and comprehensiveness of responses so that one
acquires a rich pool of data with which to answer their research question.
Validity: Validity is defined as the extent to which the instrument measures what it purports to
measure. For example, a test that is used to screen applicants for a job is valid if its scores are
directly related to future job performance. There are many different types of validity, including:
content validity, face validity, criterion-related validity (or predictive validity), construct validity,
20
factorial validity, concurrent validity, convergent validity and divergent (or discriminant
validity). Not to worry, I will limit this discussion to thefirst four.
Content validity pertains to the degree to which the instrument fully assesses or measures the
construct of interest. For example, say we are interested in evaluating employees’ attitudes
toward a training program within an organization. We would want to ensure that our questions
fully represent the domain of attitudes toward the training program. The development of a
content valid instrument is typically achieved by a rational analysis of the instrument by raters
(ideally 3 to 5) familiar with the construct of interest.
Specifically, raters will review all of the items for readability, clarity and comprehensiveness and
come tosome level of agreement as to which items should be included in the final instrument.
Face validity is a component of content validity and is established when an individual reviewing
the instrument concludes that it measures the characteristic or trait of interest. For instance, if a
quiz in this class comprised items that asked questions pertaining to research methods you would
most likely conclude that it was face valid. In short, it looks as if it is indeed measuring what it is
designed to measure.
Criterion-related validity is assessed when one is interested in determining the relationship of
scores on a test to a specific criterion. An example is that scores on an admissions test for
graduate school should be related to relevant criteria such as grade point average or completion
of the program. Conversely, an instrument that measured your hat size would most assuredly
demonstrate very poor criterion-related validity with respect to success in graduate school.
Construct validity is the degree to which an instrument measures the trait or theoretical construct
that it is intended to measure. For example, if one were to develop an instrument to measure
intelligence that does indeed measure IQ, than this test is construct valid. Construct validity is
very much an ongoing process as one refines a theory, if necessary, in order to make predictions
about test scores in various settings and situations.
In conclusion, remember that your ability to answer your research question is only as good as the
instruments you develop or your data collection procedure. Well-trained and motivated observers
or a well-developed survey instrument will better provide you with quality data with which to
answer a question or solve a problem. Finally, be aware that reliability is necessary but not
sufficient for validity. That is, for something to be valid it must be reliable but it must also
measure what it is intended to measure.
Data Analysis
SN Gender Post Age Income(‘000) Expenditure(‘000)
1. 1 1 25 12 7
2. 1 2 28 14 10
3. 1 2 30 18 8
4. 2 1 41 17 12
5. 2 3 40 29 20
6. 2 2 22 32 25
7. 1 1 16 45 20
8. 1 3 19 60 30
9. 2 2 24 50 40
10. 2 1 23 20 18
1=Male 1=Junior officer
21
2=Female 2=Officer
3=Senior officer
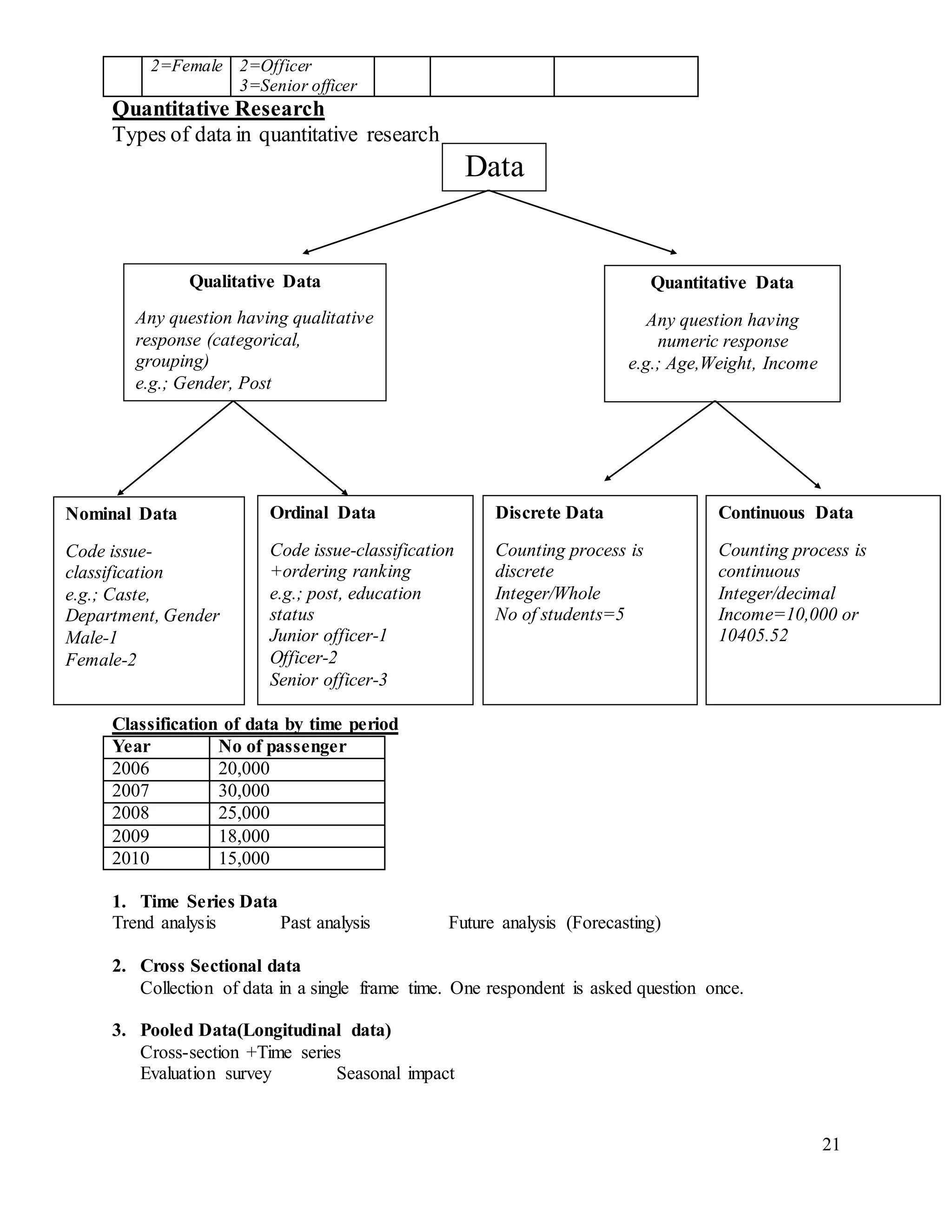
Quantitative Research
Types of data in quantitative research
Classification of data by time period
Year No of passenger
2006 20,000
2007 30,000
2008 25,000
2009 18,000
2010 15,000
1. Time Series Data
Trend analysis Past analysis Future analysis (Forecasting)
2. Cross Sectional data
Collection of data in a single frame time. One respondent is asked question once.
3. Pooled Data(Longitudinal data)
Cross-section +Time series
Evaluation survey Seasonal impact
Data
Qualitative Data
Any question having qualitative
response (categorical,
grouping)
e.g.; Gender, Post
Quantitative Data
Any question having
numeric response
e.g.; Age,Weight, Income
Nominal Data
Code issue-
classification
e.g.; Caste,
Department, Gender
Male-1
Female-2
Ordinal Data
Code issue-classification
+ordering ranking
e.g.; post, education
status
Junior officer-1
Officer-2
Senior officer-3
Discrete Data
Counting process is
discrete
Integer/Whole
No of students=5
Continuous Data
Counting process is
continuous
Integer/decimal
Income=10,000 or
10405.52
22
Classification of data by no. of variables
Univariate
Scale of measurement Permissible statistics
Nominal  Frequency
 Mode
 % analysis
Presentation
1. Tabular presentation
Gender Frequency Percentage
Male 120 60%
Female 80 40%
Total 200 100%
Explanation: Out of 200 respondents 60% are male and 40% are female.
2. Graphical presentation
A. Bar chart
0%
10%
20%
30%
40%
50%
60%
70%
Male Female
Percentage
Percentage
Data
Univariate
Analysis of single variable at a
time
Bivarariate
Analysis of two variables
at a time.
 Correlation
 Regression
 Chi-square
Multivariate
Analysis of three or more than
three variables at a time.
 Multiple regression
analysis
 Multiple co-relation
analysis
23
B. Pie chart
Scale of
measurement
Permissible statistics
Ordinal  Frequency
 mode
 % analysis
 Centiles
 Median( Two equal parts)
 Quartiles( four equal parts)
 Quantiles(Five equal parts)
 Deciles(Ten equal parts)
 Pentiles(Hundred equal parts)
Scale
Quantitative / numerical
Age group Value
Ordinal10-19 1
20-29 2
30-39 3
Raw form (individual)
Bivariate
Case A: If both are qualitative
Cross tabulation
Gender Junior officer Officer Senior officer Total
Male 70 30 20 120
Female 50 20 10 80
Total 120 50 30 200
% - explain-Descriptive
RQ: Is there a significant association between gender and post?
60%
40%
Percentage
Male
Female
Permissible statistics
 Mean/Median/Mode
 Standard Deviation
 Variance
 T-test
 Z-test
24
Null hypothesis (h0): There is no significant association between gender and post.
Chi-Square test: It measures the dependency of one categorical variable on another categorical
variable.
Case B: If one is qualitative and another is quantitative.
Comparative analyses of quantitative variable across the qualitative variable.
Income
When two values in the
variable T-test/Z-test
Gender Number Average Min Max Standard deviation
Male
Female
When three values in the
variable F-test/ANOVA
Post Number Avg. Min Max Standard deviation
Jr. Officer
Officer
Sr. Officer
Comparison of mean
Single mean: T-test/Z-test Two means: T-test/Z-test Three or more: F-test/ANOVA
Case C: If both are quantitative in nature
We use co-relation and regression.
Focus group discussion (FGD)
Background and purpose
A focus group discussion is a form of qualitative research in which a group of people are asked
about their perceptions, opinions, beliefs and attitudes towards a product, service, concept,
advertisement, idea, or packaging. Questions are asked in an interactive group setting where
participants are free to talk with other group members.
An Example of FGD Checklist
Procedure
1. Identify suitable discussion participants and invite a group to a meeting at an agreed place
and time but do not pressure people to come to the meeting. The suitable participants for the
focused group discussion are:
1. _________________representatives
2. _________________representatives
3. _________________representatives
4. _________________ representatives
5. _________________ representatives
6. _________________ representatives
25
2. Be mentally prepared for the session you will need to remain alert to be able to observe,
listen, and keep the discussion on track for a period of one to two hours.
3. Make sure you arrive at the agreed place before the participants, and be ready to greet them.
4. Maintain a relaxed attitude and appearance, and do not start talking about the topic of interest
before the official opening of the group discussion.
5. Begin by introducing yourself and your team (even if the participants have already met them
individually), and ask participants to introduce themselves. Make sure people understand that
the session will be confidential
6. Explain clearly that the purpose of the discussion is to find out what people think about the
issue or the problem. Tell them that you are not looking for any right or wrong answer but
that you want to learn what each participant's views are. It must be made clear to all
participants that their views will be valued.
7. Bring the discussion to a closure; be sincere in expressing your thanks to the participants for
their contributions.
Materials Required
A range of materials including tape recorder if appropriate, subject matter slides, pictures to
introduce topic for discussion can be used. Recording the discussion on tape has the advantage of
being able to play it back and pick up salient points after the discussion is over. But before using
the tape recorder you need to take permission from the participants to record their voices in the
recorder. If you are not allowed to use tape recorder the information should be noted in the
paper. In the following example, you need placards displaying different life skills.
=====================================================================
Semi-structured check list for focused group discussion focusing on situation of life skills
and income generating skills of youth (example)
====================================================================
SEC-I: Life skills
Step I: Ask the participants if they have observed the delivery of each type of life skills in the
locality. Also ask the identity of institution offering such training. Cross verify the information
through the participants. Time limit is 10-15 minutes.
Step II:Bring it to the discussion about the areas of life skills that the participants feel that are
better emphasized or better executed in the locality. Further, let them discuss on the skill areas
that are less emphasized for execution in their localities. Do not forget to cross very the
responses. Let participants recollect evidence. Time is 15-20 minutes.
Step III: Make participants discuss on likely or existing challenges facing the youth life skills
development interventions in the society. Reconfirm examples and allow participants discuss on
each problem or challenge and expected measures to be taken for addressing them better.
Step IV: Allow the participants to recommend some specific project activities to be incorporated
in the program of different local organizations so as to improve the life skill situation among the
local youth. Ask again if such activities are already implemented by any other organization/s in
the communities.
Step V: Let the participants recollect ideas on which aspects of each area recommended could be
locally facilitated using local resources and expertise, and which aspects may require external
26
support. Also try to explore the nature of institutional support sought by the community
members.
SEC-II: Income generating skills
Step I: Ask the participants if they have observed the delivery of each type of income generating
skills in the locality. Also ask the identity of institution offering such training. Cross verify the
information through the participants. Time limit is 15-20 minutes.
Step II: Bring it to the discussion about the areas of income generating skills that the participants
felt to be better executed in the locality; also extend the discussion towards the areas that are less
executed. Do not forget to cross-verify the responses. Let the participants recollect evidences.
Time is 10-15 minutes.
Step III: Make the participants discuss on likely or existing challenges facing the youth income
generating skills development interventions in the society.Recollect examples and then allow
them discuss on each problem or challenge. Subsequently, let them explore some corrective
measures to be taken.
Step IV: Allow the participants to recommend some specific project activities to be incorporated
in the programs of different local organizations so as to improve the income generating skill
situation among the local youth. Ask again if such activities are already implemented by any
organization/s in the communities.
Step V: Let the participants recollect ideas on which aspects of each area recommended could be
locally facilitated using local resources and expertise, and which aspects may require external
support; also try to seek the expected institutional support for better delivery of such services.
Closing the discussion
Finally, reconfirm what they have shared; get their agreement on inputs produced; communicate
them how such inputs will be used in the days to come; and thank them for active participation
and giving their productive time in this respect; and Namaste and Goodbye!
Contents to be used in reporting focused group discussion
[Purpose of this report; how the focus group discussions were conducted; information about
number of people participated in the focus group discussions and number of focus groups
conducted; key themes of discussion and their narratives; costs and timescales; focus group
discussion results; conclusions]
27
REFERENCES
Allen, M. J., & Yen, W. M. (1979). Introduction to measurement theory. Monterey, CA: Brooks/Cole.
Bryman, A. (2008). Social research methods. (3rd
ed.). Noida: Oxford University Press.
Cooper, D. R.,& Schindler, P. S. (2009). Business research methods. (9th
ed.). New Delhi: Tata McGraw-
Hill Company.
Cronbach, L. J. (1951). Coefficient alpha and the internal structure of tests. Psychometrika, 16, 297-334.
Gulliksen, H. (1950). Theory of mental tests. New York: Wiley.
Kuder, G. F., & Richardson, M. W. (1937). The theory of the estimation of test reliability. Psychometrika,
2, 151-160.
Malhotra, N. K., & Dash,S. (2011). Marketing research: an applied orientation. (6th
ed.). Noida: Pearson
Education.
Nunnally, J. C., & Bernstein, I. H. (1994). Psychometric theory. New York: McGraw-Hill.
Rijal, C. P. (2013). Research methodology: teaching notes. Available at: www.slideshare.net/rijalcpr.
Retrieved on: August 25, 2013.

Conceptual perspectives on research methods

  • 1.
    Research Methodology GraduateStudy Notes by DrRijal Page 1 BASIC INSIGHTS ON RESEARCH Rijal, C. P.,PhD in Leadership February, 2016 What it is… Different scholars have defined research differently. For example, Rijal (2013) has defined research as a systematic and objective investigation of a subject or a problem in order to discover relevant information. This scholar has defined the term ‘investigation on a subject’ as a function directed to establish a conceptual or theoretical understanding about something to be promoted as part of disciplinary studies. For example, development of a theory in management science is part of such a study. Similarly, Rijal (2013) has further specified that investigation on a problem refers to assessing, diagnosing, exploring, or evaluating various facets pertaining to a management problem in an organizational setting. For example, what percentage of first time Bhatbhateni Superstore visitors revisit this place for shopping? Finally, this scholar has coined up research as a function directed to establish a theoretical or conceptual ground for a disciplinary study, or deducting a problem solution or decision alternative in a defined situation or context of management problem posed in any setting. To view upon it more scientifically, Bryman has proposed research as a wider social discourse which is i. deeply rooted on theory – deductive and inductive,ii. takes into account the epistemological considerations – positivism and interpretivism, iii. ismostly built on ontological considerations – objectivism and constructivism; and iv. implies a more scientific approach –qualitative or quantitative (Bryman, 2008). From these all discourses we may conclude that research is a systematic and scientific inquiry conducted to explore data, information, or knowledge so as to resolve a prevailing a social or institutional problem or acclaim some disciplinary insights into the field of knowledge. Bringing research into life of business world, two scholars have coined business research as a systematic inquiry that provides information to guide overall managerial decisions. In this discourse, it works as a systematic and scientific process of planning, acquiring, analyzing, disseminating relevant data, information and insights to the decision makers so as to support them in the course of rationale decision- making aimed at higher performance and management effectiveness (Cooper, & Schindler, 2009). Research in business setting provides with technical skills for consultation and sound management by providing relevant information for resolving management problems (Malhotra, & Dash, 2011). From the above definition, we can deduct that business research is a scientific tool used to have depth study of prevailing business problems into consideration keeping in view the depth exploration of problem, observing various elements associated to the problem, collection, processing, and analyses of data, information and insights to generate alternative course of action to make managerial decisions in addressing such problems more rationally, systematically and with free state of mind from any biased intuition.
  • 2.
    Research Methodology GraduateStudy Notes by DrRijal Page 2 THE RESEARCH PROCESS Step I: Explore and Define the ResearchProblem Task1: Explore the research gap through –  preliminary review of various research publications; their study limitations, delimitations and recommendations for further research would serve as the gap for research,  observation of general attitude and behavior of the employees in organization also may give a glimpse of a glimpse of a problematic situation in an organizational setting; it also may serve as a missing link for crafting an applied research for an institution,  consultation with research mentors, experts and thematic consultants would serve instrumental in figuring out a gap for research in both academic as well as applied fields,  taking reference of newer policy developments within and beyond the nation may provide a good indication of a research in a particular field of study, and  performing a scenario analyses of various happening and outlining the general trends also would serve very much instrumental to figure out an issue for investigation. Task2: Establish the purpose or objectives of the research  Craft a primary or general purpose or objective, and a few secondary objectives at functional level.  Please remember,the following are the levels to be applied while crafting functional level objectives in a research project: 1. Assess 2. Explore 3. Evaluate 4. Examine 5. Compare 6. Estimate 7. Propagate Task3: Compose the statement of problem  It refers to the grand questiontaken into consideration of your inquiry.  It may be written in either affirmative, say, for example, [There exists a lot of ambiguity about the issue of leadership readiness in the Nepalese private sector to maintain financial transparency] or interrogative form, say, for example, [What is the overall level of readiness of leadership in the Nepalese private sector to maintain financial transparency?] Task4: Craft the research questions (RQ)  RQs are formed by defusing the grand question into consideration of research.  Each RQ should carry only one issue of one concern for inquiry. Step I: Explore and Define the Research Problem Step II: Design the Research Step III: Administer the Research Step IV: Perform Data Reduction and Analyses Step V: Develop and Submit the Research Report
  • 3.
    3  Each RQshould be crafted in the form of inquiry-focused language. For example, in a study aimed to explore the corporate leadership readiness to implement Financial Transparency, the intended research questions may include – RQ1: How supportive is the overall level of leadership behavior for maintaining financial transparency in the Nepalese private sector? RQ2: To what extent do the people in the leadership position value financial transparency as a tool for institutional success? RQ3: What, if the leadership is really committed for maintaining financial transparency in these institutions? RQ4: What is the overall level of understanding among the corporate leadership bearers regarding the various functional aspects of maintaining financial transparency? RQ5:How is the overall level of institutional process climate supporting for implementing financial transparency in these institutions? Task5: Set the working hypotheses  Working hypotheses are often known as research hypotheses and these are the basic assumptions set by the researcher to examine the relationship between various conceptual constructs.  Each hypothesis may comprise of at least one independent and one dependent variable. For example, in above case, the following would serve as a few examples: H01: Leadership behavior in the Nepalese private sector may have no significant influence over their readiness to implement financial transparency in their organizations. H02: The level of leadership perceived value of financial transparency may have no significant relevance in determining leadership readiness to implement financial transparency in these organizations. Task6: Communicate the expected managerial implications of the said research  This section is often referred to as significance or relevance of the research, and it intends to communicate the expected benefits of the research to various agencies like, management, general public, researchers, scholars, etc. Task7: Establish the overall scope of study  Considering all thematic constructs included in the research questions, intended approach of study, and overall methodological aspects, the researcher at this point, needs to define the total focus and areas of coverage of the study. Task8: Establish the definition of key terminologies  It is an optional work; if felt important to define a few, very much important but expected to be new for readers of the research report, such terms should be defined following a chronological alphabetical order.  Definition of key terms may continue till the report is finalized. Task9: Communicate frankly the limitation and delimitations of the study  Limitations are imposed by the external situation or environment and delimitations are created by the researcher or research team itself.
  • 4.
    4  You mustcommunicate your limitations and delimitations from the perspectives of expertise available, funds, time, access, permission, standard requirements, etc. Task10: Develop the organization of the study report  This is the final task associated with defining the problem and it briefly presents with a preliminary outline of various contents that will be presented in different sections or chapters of the study report.  Generally speaking, in a more academic type of research, chapter 1 will present the introduction of the problem, followed by review of literature in the second chapter and research methodology in the third chapter. Similarly, data presentation and analyses will be presented in the fourth chapter and finally, the fifth chapter will present with summary, conclusions and recommendations. Step II: Design the Research Research design is the core part of a research proposal. It is also referred to as the blue-print of a research project. In other words, it presents with a formal request for the approval or acceptance of a proposed research. The overall proposition is established keeping in view the following tasks: Task1: Establish the general methodological approach of the study We should propose with logical reasoning about undertaking a particular approach that we are going to undertake in the said research project.There are options to make a study fully quantitative, fully qualitative or a blend of both the methods. A more scientific research should be conducted by using a mixed method of qualitative and quantitative methods. Task2: Establish appropriate study designs After determining particular methodological approaches, another equally important task is to determine the blend of specific designs to be used for executing the proposed research project. Basically, there are two design options available – i. exploratory research designs, and ii. conclusive research designs. An exploratory research design aims to gather preliminary information to definethe problem more narrowly and suggest hypotheses. A few methods to be used in exploratory research design include literature search, expert interviews, focus group discussions, case studies, company audits,qualitative research, and general observation or preliminary consultations – all aimed to understand the problem more narrowly. Conclusive research designs are further classified into two types – i. descriptive research designs, and ii. causal research designs. Descriptive research designs aim to describe things in general statistical terms of qualitative or quantitative nature, such as the market potential ofa product, consumer demographics andattitude towards a brand, and so on. Secondary data analysis, surveys, observations,panel discussions, simulations, etc. are a few methods used to execute descriptive research designs. Causal research designs stand for establishing and confirming the relationship between various conceptual constructs undertaken into the consideration of research. Testingof hypotheses about cause and effectrelationships is an example of such design. Causal research design is set keeping in view the causation effect, i.e., X causes Y, where X being the function of independent variable (cause) and Y being the outcome (effect). In fact, exploratory research design helps to define the problem more narrowly with defined conceptual constructs to be taken into account of the research by identifying a research gap, defining the statement of
  • 5.
    5 problem, research questionsand setting working hypotheses. Following the pattern of overall research questions and working hypotheses, descriptive research designs aim to establish the statistical measures against the constructs undertaken in the research project. Finally, causal research designs establish the statistical significance of the relationships between said conceptual constructs as set in hypotheses. Thus, a more scientific research must include all these three design variants. We also should be aware that the proposal evaluators will allocate significant amount of weightage on design component as it is one of the most essential components of a more scientific research design. Task3: Define the population of the study After proposing with the intended methodological approaches and designs, consideration on relevant population of the study needs be disclosed. Population of the study may include, people, organizations, places, natural species, events, etc. on which the overall study is going to be carried out. For example, if we are going to conduct a survey research entitled ‘A Survey of Household Consumption Patterns of Salt and Sugar in the Nepalese Households’, all Nepalese households represent the study population. Similarly, if we are conducting a survey research to explore about consumer behavior towards a certain brand of product, then all general consumers of that brand represent the population of the study. Task4: Take sampling decisions Most of the cases, it is almost impossible to involve all elements or units of population into research process. Alternatively, we can take the best representative units from the study population by using appropriate sampling methods when census is impossible or irrelevant. Basically, there are two alternative methods of sampling in survey research – i. probability sampling, and ii. non-probability sampling. If we would like to make our study more scientific one, we must follow probability sampling methods to conduct the research survey, however, non-probability sampling also may be equally relevant in the cases of more qualitative studies to be performed through depth observations. Simple random sampling, systematic random sampling, stratified random sampling, and cluster sampling are the most commonly used techniques of sampling within random or systematic sampling methods. Similarly, judgmental sampling, convenience sampling, self-selected sampling, and snow-ball sampling are mostly used techniques within non-probability sampling methods. In a research, we should follow a uniform technique of sampling across all sampling frames. We will study more about sampling in later stage of this discourse. Task5: Establish appropriate tools for data collection Another equally important task required in course of developing the detailed research design is to develop relevant tools and techniques of data collection from the sample units. Interview schedules, observation checklists, schedules for focus group discussions, and survey questionnaires are the most widely used tools of primary data collection. We will study about these tools in later phases of our course work. If it is a preliminary proposal, we need to communicate what particular type of tools will be used, and in the case of submission of detailed proposal, we need to develop the relevant tools of data collection and place them in the appendix section of the document and discuss the key elements, features and techniques of administration and treatment of data in the main body. Task6: Perform relevant testing of the study tools and techniques Once the decision on tools for data collection is made, proper mechanism for testing the validity and reliability of the data collection tools and techniques of research execution need be proposed. The test of
  • 6.
    6 validity intends toestablish the measure of correctness of the right tools and techniques. The test of reliability stands for confirming the consistency of the information to be produced by using the specified tools and techniques of data collection, processing and analyses. We will have separate discussions about these elements in the later portion of our study. Task7: Establish proper mechanism for field works After proposing with validity and reliability measures, we need to communicate in detail the overall mechanism of administration of the field works of the proposed research project. This provides with a clear picture about who is going to do what, with what time lines and procedural approaches of establishing contacts with the sample units, administration of observation, interviews or discussions, and confirming of highest level of task efficiency. Task8: Hire and train the field researchers Accordingly, we need to propose with required field research staff and provide adequate information about their induction to the project and required training and development initiatives to be undertaken by making sure that they fully understand how to administer the field works. Primarily, such training and research pilot testing is done together. Task9: Establish relevant mechanism to perform field controls during research administration Another equally important aspect of a research design is to establish relevant mechanism for maintaining field controls during the process of data collection. The main purpose of doing so is to make sure that there is less error in research administration and the overall task of data collection is implemented as it was agreed and required to be performed. Selected activities to be highlighted include the proposed mechanism for field inspection, confirmation of participation of the right sample units, random inspection of missing items in the filled-in questionnaires, observation of general behavioral conduct of the research staff, insisting for re-contacting with absent participants of the survey, etc. Task10: Propose with necessary data reduction functions This task includes relevant propositions to edit the duly filled in forms, treating missing items and ambiguous data or information, coding of responses – all making it ready for entry into computers. Task11: Propose the mechanism for data entry It involves producing a logical promise of the researcher in relation with the use of various packages or computer programs for data entry, processing and analyses. We should communicate what technology, system software, customized statistical packages, and expertise will be used for data entry to make sure that required quality of works is maintained. Task12: Develop relevant projection for data processing and analyses This task includes the projection of the different ways and tools to be used process the data and deduct study results. In addition, expected study results are projected and intended mechanisms for data analyses and discussions are also presented. Task13: Project necessary experimental tests Based on the overall research designs and expected study results, we should propose with relevant statistical tests to be performed. More precisely, we propose with various statistical tests in this section. Test of hypotheses is the main concern of this task. Task14: Propose with the various research expertise and resources to be involved In this task, we propose with the diversity and intensity of involvement of various human and non-human resources in performing the said research project.
  • 7.
    7 Task15: Establish atentative work schedule Using either CPM or Gantt chart, we should develop a tentative work schedule by revealing the proposed timelines of completion of various activities of the overall research project. All key activities and corresponding timelines required to perform such activities need be highlighted in the work schedules. Task16: Propose with necessary budgeting of the said research project Finally, necessary budgeting is prepared considering the involvement of different experts, research associates, and various research administration materials and equipment. In case of professional research bidding, we also need to disclose the tax liabilities of the client institution and research team. Task17: Propose with necessary plan of payment Payment breakdown has to be prepared in line with the various phases and percentage of task completion in the proposed research project. Step III: Administer the Research This step refers to the post-proposal or post-design stage activities of research process and it includes the following tasks to be performed in a sequential order: Task1: Field the research This task involves the smooth administration of field works of the research by implementing the proposed tools and techniques with the help of pre-determined work schedules, expertise and other resources. In other words, this task is also known as data collection. In many cases, whole or any part of work may be outsourced, especially in the case of large scale, internationally diverse research coverage. Task2: Execute relevant mechanism for field controls As the field research work is going on, the research team also has to maintain closer and more robust check and balance of various activities performed by the team of research assistants in the field. The main purpose of such work is to make sure that everybody in the entire research team performs the works as per specified procedures. A few important activities of field control mechanism include congruent monitoring and supervision of field works, congruent facilitation of unexpected problems arising during the field works, cross-checking of task deviation, inspection of personal conduct of the research staff in the field, confirmation of compliance with specified research and participant treatment protocols. We must take into account the basic socio-ethical considerations in a research project from at least three perspectives – i. from the perspectives of the client, ii. from the perspectives of the research assistants and team members, and iii. from the perspectives of the participants of data collection process. Task 3: Provide effective research facilitation support Provide with adequate, on-the-spot coaching, support, and problem solving for field staff. Listen their grievances and resolve them. Provide with required resources and confirm their feeling of comfort while working in the field. Align research staff needs and factors of motivation provided. Take ownership as well as accountability of any problems arising during the field work and help staff for easier handling of such situations. Also provide with adequate concern on security and safety of data collected and smooth handling of data files and other equipment. Task 4: Perform effective closing of the field work Provide with adequate and effective response to both the research participants and assistants for their genuine participation and data collection works and thank them for everything they have contributed with. And assure that you would come back to them when and where felt need of doing so. Make sure that you listen to their grievances and suggestions before you formally announce the closure of data collection task. Also make sure that the research staff members are compensated as promised.
  • 8.
    8 Step IV: PerformData Reduction and Analyses Task1: Edit and verify the data forms The field research supervisors are assigned with the responsibility to perform congruent editing and verifying of the duly completed forms and formats in the field making sure that all items or questions are answered to the most possible extent. Time again, the supervisors may ask the assistants to re-take certain samples, if found suspicion or high degree of incompleteness of the data collection forms. In the case of missing items, ambiguous responses and counter-contradicting responses, timely editing of forms will serve instrumental. Task 2: Establish the data entry codes Before getting into data entry, the data analyst has to prepare a framework of data entry codes. These days it can be done easily by using relevant statistical packages using computers. For example, based on the various questions and their alternative responses as designed in the survey questionnaires, data entry coding can be done in SPSS in its variable view window. For example, the data obtained against following question may be coded as: Q4. Please specify your gender. Male…………………………1 Female………………………2 Other………………………...3 Here, a code ‘1’ meansmale and ‘2’ means female.Normally, we prepare pre-coded questionnaires to avoid the unnecessary hasslesthat may take place after the field research. Task 3: Perform data entry This task involves transcribing the data into pre-determined, computer-based processing system software following relevant data editing and refinement. Task4: Create newvariables Sometimes the research by its nature, may require a number of new variables creation either by collapsing two or more than two variables together and forming a new variable. In the case of categorization of qualitative inputs, such work may happen repetitively. More illustrations will be performed in the class itself. Task 5: Verify and refine the data After the data entry is over, a member of the data analyses team will have to perform total, or sample- based cross verification of the content and quality of data entry job and then such data will be sent for statistical refinement to make the data compatible for using in the specified statistical processing system packages. Task 6: Perform information processing and analyses Following the task of data entry, we go for necessary information processing and analyses based on overall purpose of research, statement of problem and research questions taken into account. Presentation and analyses of research information has to be in line with respective research questions considered in the research and the overall structure of presentation of information will vary according to the nature of overall issues to be investigated and the headings and subheadings will be prepared accordingly.A number of descriptive analyses have to be performed at this stage. Using the information processed, relevant graphs, tables, and suitable diagrams are preferred in the text of the report document. Task 7: Perform necessary statistical tests After producing relevant statistical results, necessary tests of hypotheses have to be performed. It is an optional task and may not be applicable in many cases of research. However, it is mandatory for a more
  • 9.
    9 scientific research designto have relevant statistical testing of the significance of association of various constructs as set in working hypotheses. Task 8: Produce relevant inferences Finally, based on various descriptive analyses, scientific testing and/or depth exploration of the subject matter of inquiry, relevant statistical or technical inferences are deducted to address the prevailing problem or subject matter taken into consideration of the research. Step V: Develop and Submit the Research Report As the final step of formal research system process, this step involves the activities related to preparation of study report, its presentation and submission. Following task description provides with the detailed accounts of activities performed in this step: Task1: Prepare the first draft report Following all documentation of activities related to problem definition, research design, administration of research, treatment of data for information processing and analyses, a draft report has to be prepared. Normally, an academic research is drafted in five distinctive chapters [Chapter 1: Introduction, Chapter 2: Review of Literature, Chapter 3: Research Methodology, Chapter 4: Data Presentation and Analyses, and Chapter 5: Summary, Discussions, Conclusions, and Recommendations]. Similarly, an applied or professional research report may be crafted in four chapters or sections [Section 1: Introduction, Section2: Research Methodology, Section 3: Data Presentation and Analyses, and Section 4: Summary, Conclusions, and Recommendations]. Task2: Edit the draft report After the first draft of the study report is ready, it is closely examined by respective language and technical experts to minimize the technical, structural and grammatical errors. Task3: Develop the second draft report Incorporating the editing notes in the first draft report, the experts develop the second draft report making it ready for formal presentation with respective stakeholders. Task4: Make a presentation on second draft report and solicit feedback for improvement Formal presentation of the report is made using relevant presentation materials accompanied with hard copy of the second draft report. Respective participants are requested to provide necessary feedback for further improvement. The stakeholders are asked to put forward their concerns, reservations, objections, and suggestions for further improvement of the information and overall structural body of report. Task5: Incorporate the feedback and prepare the final draft report After making presentation and collecting feedback from respective stakeholders, we should revise the draft report to give it the final shape. Task6: Seek for final approval after confirming necessary changes or updates As soon as the final draft is ready, we should bring it to brief discussion with the key stakeholders to receive their final consent for production making it confirm with them that the report is developed in the preferred shape with all required components addressed. Task7: Prepare and submit the final report On receiving the consent for production, we should develop final production, sign it up and submit to the designated authority assigning the research work. In the case of professional research assignment, it is recommended to receive a letter of task completion after submission and acceptance of the final report.
  • 10.
    10 Post-research Initiatives Many cases,the valuable efforts made for conducting high quality research and coming up with highly effective research findings and decision alternatives go just useless as a result of failure to maintain necessary coordination between the research team and the employer of the research project. Unfortunately, both the parties happen to understand that submission of final study report is the last job of the researcher. As a consequence, it lacks suffers from effective implementation. In fact, as professional providers of research services, we should coordinate with the client organization for by reserving our effective involvement in a number of follow-up cases so as to facilitate effectively in transforming the research inputs into organization’s policy development, action programming, capacity building and decision implementation process. Important Terminologies in Research Statistics and Parameters: A statistic is a numerical measure computed from a sample and a parameter is a numerical measure computed from a population. Thus, these terms are also referred to as sample statistics and population parameters. Frequency Distribution: The frequency (f) is the number of times a variable takes on a particular value. Note that any variable has a frequency distribution. For example, roll a pair of dice several times and record the resulting values (constrained to being between and 2 and 12), counting the number of times any given value occurs (the frequency of that value occurring), and take these all together to form a frequency distribution. Frequencies can be absolute when the frequency provided is the actual count of the occurrences, or it can be relative when they are normalized by dividing the absolute frequency by the total number of observations [0, 1]. Relative frequencies are particularly useful if you want to compare the distributions drawn from two different sources, i.e., while the numbers of observations of each source may be different. Mean, Median, Mode and Range:The mean is the numerical average of the data set. Ordinarily, the mean is computed by adding all the values in the set, then dividing the sum by the number of values. The median is the number that is in the middle of a set of data. Arrange the numbers in the set in order from least to greatest. Then find the number that is in the middle. What, if there are even number of data in the set? In this case, take two central numbers, add them and divide by 2 and there comes the median value. Say, for example, if a student’ scores in eight different subjects are 45, 67, 74, 82, 88, 91, 92, 93, then his/her median score will be (82+88)/2 = 170/2 = 85. One important thing here is the data needs be converted into an array of ascending or descending order before computing the median value. So, what is mode then? The mode is the piece of data that occurs most frequently in the data set. A set of data can have i. one mode, more than one mode, and no mode at all. The range is the difference between the lowest and highest values in a data set. For example, in above case of marks earned by the student, the Range = 93 – 45 = 48. It reveals the numerical extent of the width of data set. Variance and Standard Deviation: The variance is the average squared deviation from the mean of a set of data. It is used to find the standard deviation. Process: 1. Find the mean of the data. Hint: Mean is the average, so add up the values and divide by the number of items. 2. Subtract the mean from each value; the result is called the deviation from the mean.3. Square each deviation of the mean. 4. Find the sum of the squares. 5. Divide the total by the number of items. The variance formula includes the Sigma Notation,  , which represents the sum of all the items to the right of Sigma; Here, mean is represented by  and n is the number of items. Standard Deviation shows the variation in data. If the data is close together, the standard 2 ( )x n 
  • 11.
    11 deviation will besmall. If the data is spread out, the standard deviation will be large. Standard Deviation is often denoted by the lowercase Greek letter sigma (). Notice the standard deviation formula is the square root of the variance. As we have seen, standard deviation measures the dispersion of data. The greater the value of the standard deviation, the further the data tends to be dispersed from the mean. Z-Scores are referred to as the number of standard deviations an observation is away from the mean. Skewness and Kurtosis: A fundamental task in many statistical analyses is to characterize the location and variability of a data set. A further characterization of the data includes the analyses of skewness and kurtosis. The measure of dispersion tells us about the variation of the data set. Skewness tells us about the direction of variation of the data set. Skewness is a measure of symmetry, or more precisely, the lack of symmetry. A distribution, or data set, is symmetric if it looks the same to the left (negative) and right (positive) of the center point. The histogram is an effective graphical technique for showing both the skewness and kurtosis of a data set. There are further statistics that describe the shape of the distribution, using formulae that are similar to those of the mean and variance. 1st moment - Mean (describes central value); 2nd moment - Variance (describes dispersion); 3rd moment - Skewness (describes asymmetry); and 4th moment - Kurtosis (describes peakedness). Kurtosis measures how peaked the histogram is. The kurtosis of a normal distribution is 0. Kurtosis characterizes the relative peakedness or flatness of a distribution compared to the normal distribution. Platykurtic: When the kurtosis < 0, the frequencies throughout the curve are closer to be equal (i.e., the curve is more flat and wide). Thus, negative kurtosis indicates a relatively flat distribution. Leptokurtic: When the kurtosis > 0, there are high frequencies in only a small part of the curve (i.e, the curve is more peaked). Thus, positive kurtosis indicates a relatively peaked distribution. Kurtosis is based on the size of a distribution's tails.Negative kurtosis (platykurtic): distributions with short tails. Positive kurtosis (leptokurtic): distributions with relatively long tails. Hypothesis: It is a hunch, assumption, suspicion, assertion or an idea about a phenomena, relationship, or situation, the reality of truth of which one do not know. A researcher calls these assumptions, assertions, statements, or hunches hypotheses and they become the basis of an inquiry. In most cases, the hypothesis will be based upon either previous studies or the researcher’s own or someone else’s observations. Hypothesis is a conjectural statement of relationship between two or more variables (Kerlinger, 1986). Hypothesis is a proposition, condition or principle which is assumed, perhaps without belief, in order to draw its logical consequences and by this method to test its accord with facts which are known or may be determined. According to Black and Dean (1976), a tentative statement about something, the 2 ( )x n      3 )( 4 4     ns xx kurtosis n i i
  • 12.
    12 validity of whichis usually unknown is known as hypothesis. Accordingly, Baily (1978) has defined it as a proposition that is stated in a testable form and that predicts a particular relationship between two or more variable. In other words, if we think that a relationship exists, we first state it is hypothesis and then test hypothesis in the field. In fact, a hypothesis may be defined as a tentative theory or supposition set up and adopted provisionally as a basis of explaining certain facts or relationships and as a guide in the further investigation of other facts or relationships. Hypotheses has these characteristics – i. a tentative proposition, ii. unknown validity, and iii. specifies relation between two or more variables. Functions of a hypothesis: It tends to bring clarity to the research problem. It provides a study with focus. It signifies what specific aspects of a research problem are to be investigated. It also helps delimit what data to be collected and what not to be collected. It serves for the enhancement of objectivity of the study. It serves highly instrumental to formulate the theory and enables to conclude with what is true or what is false. Types of hypotheses: Three types of hypotheses include -- working hypothesis, null hypothesis and alternate hypothesis. Working hypothesis is provisionally adopted to explain the relationship between some observed facts for guiding a researcher in the investigation of a problem. A statement constitutes a trail or working hypothesis (which) is to be tested and conformed, modifies or even abandoned as the investigation proceeds. Null hypothesis is formulated against the working hypothesis, and it opposes the statement of the working hypothesis. It is contrary to the positive statement made in the working hypothesis. It is formulated to disprove the contrary of a working hypothesis. When a researcher rejects a null hypothesis, he/she actually proves a working hypothesis. It is normally denoted by H0. Normally, only null hypothesis is written research papers. Alternate hypothesis is formulated when a researcher totally rejects null hypothesis. He/she develops such a hypothesis with adequate reasons. It is normally denoted by H1. A researcher formulates this hypothesis only after rejecting the null hypothesis. Examples of different hypotheses Working hypothesis: The population density influences the number of bank branches in a town. Null hypothesis (Ho): The population density may not have any significant influence on the number of bank branches in a town. Alternate hypothesis (H1): The population density might have significant effect on the number of bank branches in a town. Statistical Tests: Different statistical tests have to be performed for different types of data. For continuous data:If comparing 2 groups (treatment/control), t-test. If comparing > 2 groups, ANOVA (F-test). If measuring association between 2 variables, Pearson’s correlation (r). If trying to predict an outcome (crystal ball), regression or multiple regression.
  • 13.
    13 For ordinal data:Likert-typescales are ordinal data. If comparing 2 groups, Mann Whitney U (treatment vs. control), Wilcoxon (matched pre vs. post). If comparing > 2 groups, Kruskal- Wallis (median test). If measuring association between 2 variables, Spearman rho (ρ). For categorical data: Called a test of frequency; how often something is observed (AKA: Goodness of Fit Test, Test of Homogeneity). Chi-Square (χ2). Examples of burning research questions -- Do negative ads change how people vote?Is there a relationship between marital status and health insurance coverage?Do blonds have more fun? Descriptive and Inferential Statistics: Descriptive Statistics provide an overview of the attributes of a data set. These include measurements of central tendency (frequency histograms, mean, median, and mode) and dispersion (range, variance and standard deviation). Inferential statistics provide measures of how well your data support your hypothesis and if your data are generalizable beyond what was tested (significance tests). Primary Scales of Measurement The mathematical properties of the numbers you are going to analyze are important because they determine which mathematical operations are allowed. This, in turn, determines which statistics you can use with those numbers. We can describe the scales of measurement used in everyday examples in terms of their abstract number properties. Presented below are a series of everyday examples of each of the four primary scales of measurement. a. nominal b. ordinal c. interval d. ratio Properties of Abstract Number System The properties of the abstract number system that are relevant to scale of measurement are identity, magnitude, equal interval, and absolute/true zero. Identity means that each number has a particular meaning. Magnitude means that numbers have an inherent order from smaller to larger. Equal intervals means that the difference between numbers (units) anywhere on the scale is the same (e.g., the difference between 4 and 5 is the same as the difference between 76 and 77). Absolute/true zero means that the zero point represents the absence of the property being measured (e.g., no money, no behavior, none correct). Nominal Scales: Nominal scales are the lowest scales of measurement. Numbers are assigned to categories as "names". Which number is assigned to which category is completely arbitrary. Therefore, the only number property of the nominal scale of measurement is identity. The number gives us the identity of the category assigned. The only mathematical operation we can perform with nominal data is to count. A scale whose numbers serve only as labels or tags for identifying and classifying objects. When used for identification, there is a strict one-to-one correspondence between the numbers and the objects.
  • 14.
    14 Classifying people accordingto gender is a common application of a nominal scale. In the example below, the number "1" is assigned to "male" and the number "2" is assigned to "female". We can easily assign the number "1" to "female" and "2" to male. The purpose of the number is merely to name the characteristic or give it "identity". As we can see from the graphs, changing the number assigned to "male" and "female" does not have any impact on the data -- we still have the same number of men and women in the data set. Additional examples for everyday nominal scales are zip codes, areas of country, and so on. Ordinal: Ordinal scales have the property of magnitude as well as identity. The numbers represent a quality being measured (identity) and can tell us whether a case has more of the quality measured or less of the quality measured than another case (magnitude). The distance between scale points is not equal. Ranked preferences are presented as an example of ordinal scales encountered in everyday life. We also address the concept of unequal distance between scale points. A ranking scale in which numbers are assigned to objects to indicate the relative extent to which some characteristic is possessed. Thus it is possible to determine whether an object has more or less of a characteristic than some other object. Ranked preferences: we are often interested in preferences for different tastes, especially if we are planning a party. Let's say that we asked the three guests pictured below to rank their preferences for four different sodas. We usually rank strongest preference as "1". With four sodas, the lowest preference would be "4". For each soda, we assign a rank that tells us the order (magnitude) of the preference for that particular soda (identity). The number simply tells us that the guests prefer one soda over another, not "how much" more they prefer the soda. Because of the property of magnitude (order), the numbers are no longer considered arbitrary as they are in nominal scales. If we ask the guests their preference of what they likedthe best at a party, we would serve the first guest Pepsi, second with Sprite, and the third with Surge. Let's change the numbers assigned to "Pepsi" and "Coke" for our first guest.
  • 15.
    15 Changing the numberschanges the meaning of the preferences. You would now serve our first student Coke and not Pepsi. Distance between Scale Points: we assume that the intervals between scale points on ordinal scales are unequal. Thus, the "distance" between a rank of "1" and "2" is not necessarily the same as the "distance" between ranks of "3" and "4". Let's say our first student likes Pepsi the best but also has a strong liking for Coke, which she rated as "2". She thinks Sprite is OK but prefers cola drinks. She really does not like Surge at all. In this case the preference "distance" between "3" and "4" is much greater than the preference "distance" between ranks "1" and "2" even though the numerical distance between them is thesame. This concept of unequal psychological distance is pictured below. Other examples for everyday ordinal scales: Socioeconomic status, class rank, letter grade. Interval: Interval scales have the properties of identity, magnitude and equal distance. The equal distance between scale points allows us to know how many units greater than, or less than, one case is from another on the measured characteristic. So, we can always be confident that the meaning of the distance between 25 and 35 is the same as the distance between 65 and 75. Interval scales DO NOT have a true zero point; the number "0" is arbitrary. A good example of an interval scale is the measurement of temperature on Fahrenheit or Celsius scales. The units on a thermometer represent equal volumes of mercury between each interval on the scale. The thermometer identifies for us how many units of mercury correspond to the temperature measured. We know that 60° is hotter than 30° and that there is the same 10-degree difference in temperature between 20° and 30° as between 50° and 60°. Zero degrees on either scale is an arbitrary number and not a "true" zero. The zero point does not indicate an absence of temperature; it is an arbitrary point on the scale. Other examples for everyday interval scales: Age (0 is culturally determined), SAT scores. A scale in which the numbers are used to rate objects such that numerically equal distances on the scale represent equal distances in the characteristic being measured. Ratio: Ratio scales of measurement have all of the properties of the abstract number system including identity, magnitude, equal distance and absolute/true zero.
  • 16.
    16 These properties allowus to apply all of the possible mathematical operations (addition, subtraction, multiplication, and division) in data analysis. The absolute/true zero allows us to know how many times greater one case is than another. Scales with an absolute zero and equal interval are considered ratio scales. Ratio Money is a good example of an everyday ratio scale of measurement. If we have $100 we have twice as much purchasing power as $50. If we have no money in our pockets, we have absolutely no ability to purchase anything. Other examples of everyday ratio scales: Household size, annual income. It is the highest scale. It allows the researcher to identify or classify objects, rank order the objects, and compare intervals or differences. It is also meaningful to compute ratios of scale values. Why the scale of measurement matters: The scale of measurement of the variables determines the mathematical operations that are permitted for those variables. In turn, these mathematical operations determine which statistics can be applied to the data. Primary Scale of Measurement Scales Basic Characteristics General Examples Specific Examples (Say, in Marketing) Permissible Statistics Descriptive Inferential Nominal Number identity and classify objects Social security numbers, numbering of football players Brand numbers, store types, sex classification Percentages, mode Chi-Square, binomial test Ordinal Numbers indicatethe relativeposition of the objects but not the magnitude of difference between them. Quality rankings, rankingof teams in the tournament Preference ranking, market position, social class Percentage, median Rank-order correlation, Friedman ANOVA Interval Difference between objects can be compared; Zero point is arbitrary Temperature(Fahr enheit, centigrade) Attitudes, opinions, index numbers Range, Mean, Standard deviation Product-moment correlations,t- tests, ANOVA, regression, factor analysis Ratio Zero pointis fixed; ratios of scalevalues can be compared Length, Weight Age, income, costs, sales,market share Geometric mean, harmonic mean Coefficient of variation The chart below lists the scales of measurement that we have reviewed in this exercise and the types of statistics that can be applied to variables created using these scales of measurement.
  • 17.
    17 Reliability and Validity Thetwo most important and fundamental characteristics of any measurement procedure are reliabilityand validity to confirm the accuracy and consistency of measures to be established. Reliability: Itis defined as the extent to which a questionnaire, test, observation or any measurement procedure produces the same results on repeated trials. In short, it is the stability or consistency of scores over time or across raters. Keep in mind that reliability pertains to scores not people. Thus, in research we would never say that someone was reliable. As an example, consider judges in a platform diving competition. The extent to which they agree on the scores for each contestant is an indication of reliability. Similarly, the degree to which an individual’s responses (i.e., their scores) on a survey wouldstay the same over time is also a sign of reliability. An important point to understand is that a measure can be perfectly reliable and yet not be valid. Consider a bathroom scale that always weighs you as being 5 lbs. heavier than your true weight. This scale (though invalid as it incorrectly assesses weight) is perfectly reliable as it consistently weighs you asbeing 5 lbs. heavier than you truly are. A research example of this phenomenon
  • 18.
    18 would be aquestionnairedesigned to assess job satisfaction that asked questions such as, “Do you like to watch ice hockey games?”, “What do you like to eat more, pizza or hamburgers?” and “What is your favorite movie?”. As you can readily imagine, the responses to these questions would probably remain stable over time, thus,demonstrating highly reliable scores. However, are the questions valid when one is attempting to measure job satisfaction? Of course not, as they have nothing to do with an individual’s level of job satisfaction. While this example may seem just a tad far-fetched I hope that you grasp the underlying difference between reliability and validity. Assessing the Three Aspects of Reliability: There are three aspects of reliability, namely: equivalence, stability and internal consistency (homogeneity). It is important to understand the distinction between these three as it will guide one in the proper assessment of reliability given the research protocol. The first aspect, equivalence, refers to the amount of agreement between two or more instruments that are administered at nearly the same point of time. Equivalence is measured through a parallel formprocedure in which one administers alternative forms of the same measure to either the same group or different groups of respondents. This administration of various forms occurs at the same time or following some time delay. The higher the degree of correlation between two forms, the more equivalent they are. In practice, parallel form procedure is seldom implemented, as it is difficult, if not impossible, to verify that two tests are indeed parallel (i.e., have equal means, variances, and correlations with other measures). Indeed, it is difficult enough to have one well-developed instrument to measure the construct of interest let alone two. Another situation in which equivalence will be important is when the measurement process entails subjective judgments or ratings being made by more than one person. Say, for example, if you are a part of a research team with an aim to interview people concerning their attitude towards educational curriculum for children, it should be self-evident that each rater should apply the same standard towardsto assess the responses. The same can be said for a situation in which multiple individuals are observing behavior. The observers should agree as to what constitutes the presence or absence of a behavior as well as the level to which the behavior is exhibited. In this context,the equivalence is demonstrated by assessing the interrater reliability which refers to the consistency with which observers or raters make judgment. The procedure for determining interrater reliability is: # of agreements/# of opportunities for agreement x 100.Thus, a situation in which raters agree a total of 75 times in 90 opportunities (i.e., unique observations or ratings) produces 83% agreement. (75/90 = .83 x 100 = 83%.) The second aspect of reliability, stability, is said to occur when the same or similar scores are obtained with repeated testing with the same group of respondents. In other words, the scores are consistent from one time to the next. Stability is assessed through a test-retest procedure that involves administering the same measurement instrument to the same individuals under the same conditions after some period of time. Test-rest reliability is estimated with correlations between the scores at Time 1 and those at Time 2 (to Time x). Two assumptions underlie the use of the test-retest procedure. The first required assumption is that the characteristic that is measured does not change over the time period. The second assumption is that the time period is long enough that the respondents’ memories of taking the test at Time 1 do not influence their scores at the second and subsequent test administrations.
  • 19.
    19 The third andlast aspect of reliability is internal consistency (or homogeneity). Internal consistency concerns the extent to which items on the test or instrument are measuring the same thing. If, for example, you are developing a test to measure organizational commitment you should determine the reliability of each item. If the individual items are highly correlated with each other you can be highly confident in the reliability of the entire scale. The appeal of an internal consistency index of reliability is that it is estimated after only one test administration and therefore avoids the problems associated with testing over multiple time periods. Internal consistency is estimated via the split-half reliability index, coefficient alpha (Cronbach, 1951) index or the Kuder-Richardson formula 20 (KR-20) (Kuder, & Richardson, 1937) index. The split-half estimate entails dividing up the test into two parts (e.g., odd/even items or first half of the items/second half of the items), administering the two forms to the same group of individuals and correlating the responses. Coefficient alpha and KR-20 both represent the average of all possible split-half estimates. The difference between the two is when they would be used to assess reliability. Specifically, coefficient alpha is typically used during scale development with items that have several response options (i.e., 1 = strongly disagree to 5 = strongly agree) whereas KR-20 is used to estimate reliability for dichotomous (i.e., Yes/No; True/False) response scales. The formula to compute KR-20 is: KR-20 = N / (N - 1)[1 - Sum(piqi)/Var(X)] Where Sum(piqi) = sum of the product of the probability of alternative responses; and to calculate coefficient alpha: N/(N - 1)[1 - sum Var(Yi)/Var(X)] where N = # items sumVar(Yi) = sum of item variances Var(X) = composite variance (Allen & Yen, 1979) Granted, this is the probably more than you would ever want to know about reliability but better I provide you with too much information than too little. A couple of questions that you may have at this point are: 1. What is considered a ‘good’ or ‘adequate’ reliability value?, and 2. How do I improve the reliability of my survey instrument? With respect to the first question, obviously, the higher the reliability value the more reliable the measure. The general convention in research has been prescribed by Nunnally and Bernstein (1994) who state that one should strive for reliability values of .70 or higher. Regarding the second question, reliability values increase as test length increases (see Gulliksen, 1950 for a complete discussion of the relationship between test length and reliability). The more items we have in our scale to measure the construct of interest, the more reliable the scale will become. However, the problem with simply increasing the number of scale items when performing applied research is that respondents are less likely to participate and answer completely when confronted with the prospect of replying to a lengthy questionnaire. Therefore, the best approach is to develop a scale that completely measures the construct of interest and yet does so in as parsimonious or economical a manner as is possible. A well-developed yet brief scale may lead to higher levels of respondent participation and comprehensiveness of responses so that one acquires a rich pool of data with which to answer their research question. Validity: Validity is defined as the extent to which the instrument measures what it purports to measure. For example, a test that is used to screen applicants for a job is valid if its scores are directly related to future job performance. There are many different types of validity, including: content validity, face validity, criterion-related validity (or predictive validity), construct validity,
  • 20.
    20 factorial validity, concurrentvalidity, convergent validity and divergent (or discriminant validity). Not to worry, I will limit this discussion to thefirst four. Content validity pertains to the degree to which the instrument fully assesses or measures the construct of interest. For example, say we are interested in evaluating employees’ attitudes toward a training program within an organization. We would want to ensure that our questions fully represent the domain of attitudes toward the training program. The development of a content valid instrument is typically achieved by a rational analysis of the instrument by raters (ideally 3 to 5) familiar with the construct of interest. Specifically, raters will review all of the items for readability, clarity and comprehensiveness and come tosome level of agreement as to which items should be included in the final instrument. Face validity is a component of content validity and is established when an individual reviewing the instrument concludes that it measures the characteristic or trait of interest. For instance, if a quiz in this class comprised items that asked questions pertaining to research methods you would most likely conclude that it was face valid. In short, it looks as if it is indeed measuring what it is designed to measure. Criterion-related validity is assessed when one is interested in determining the relationship of scores on a test to a specific criterion. An example is that scores on an admissions test for graduate school should be related to relevant criteria such as grade point average or completion of the program. Conversely, an instrument that measured your hat size would most assuredly demonstrate very poor criterion-related validity with respect to success in graduate school. Construct validity is the degree to which an instrument measures the trait or theoretical construct that it is intended to measure. For example, if one were to develop an instrument to measure intelligence that does indeed measure IQ, than this test is construct valid. Construct validity is very much an ongoing process as one refines a theory, if necessary, in order to make predictions about test scores in various settings and situations. In conclusion, remember that your ability to answer your research question is only as good as the instruments you develop or your data collection procedure. Well-trained and motivated observers or a well-developed survey instrument will better provide you with quality data with which to answer a question or solve a problem. Finally, be aware that reliability is necessary but not sufficient for validity. That is, for something to be valid it must be reliable but it must also measure what it is intended to measure. Data Analysis SN Gender Post Age Income(‘000) Expenditure(‘000) 1. 1 1 25 12 7 2. 1 2 28 14 10 3. 1 2 30 18 8 4. 2 1 41 17 12 5. 2 3 40 29 20 6. 2 2 22 32 25 7. 1 1 16 45 20 8. 1 3 19 60 30 9. 2 2 24 50 40 10. 2 1 23 20 18 1=Male 1=Junior officer
  • 21.
    21 2=Female 2=Officer 3=Senior officer QuantitativeResearch Types of data in quantitative research Classification of data by time period Year No of passenger 2006 20,000 2007 30,000 2008 25,000 2009 18,000 2010 15,000 1. Time Series Data Trend analysis Past analysis Future analysis (Forecasting) 2. Cross Sectional data Collection of data in a single frame time. One respondent is asked question once. 3. Pooled Data(Longitudinal data) Cross-section +Time series Evaluation survey Seasonal impact Data Qualitative Data Any question having qualitative response (categorical, grouping) e.g.; Gender, Post Quantitative Data Any question having numeric response e.g.; Age,Weight, Income Nominal Data Code issue- classification e.g.; Caste, Department, Gender Male-1 Female-2 Ordinal Data Code issue-classification +ordering ranking e.g.; post, education status Junior officer-1 Officer-2 Senior officer-3 Discrete Data Counting process is discrete Integer/Whole No of students=5 Continuous Data Counting process is continuous Integer/decimal Income=10,000 or 10405.52
  • 22.
    22 Classification of databy no. of variables Univariate Scale of measurement Permissible statistics Nominal  Frequency  Mode  % analysis Presentation 1. Tabular presentation Gender Frequency Percentage Male 120 60% Female 80 40% Total 200 100% Explanation: Out of 200 respondents 60% are male and 40% are female. 2. Graphical presentation A. Bar chart 0% 10% 20% 30% 40% 50% 60% 70% Male Female Percentage Percentage Data Univariate Analysis of single variable at a time Bivarariate Analysis of two variables at a time.  Correlation  Regression  Chi-square Multivariate Analysis of three or more than three variables at a time.  Multiple regression analysis  Multiple co-relation analysis
  • 23.
    23 B. Pie chart Scaleof measurement Permissible statistics Ordinal  Frequency  mode  % analysis  Centiles  Median( Two equal parts)  Quartiles( four equal parts)  Quantiles(Five equal parts)  Deciles(Ten equal parts)  Pentiles(Hundred equal parts) Scale Quantitative / numerical Age group Value Ordinal10-19 1 20-29 2 30-39 3 Raw form (individual) Bivariate Case A: If both are qualitative Cross tabulation Gender Junior officer Officer Senior officer Total Male 70 30 20 120 Female 50 20 10 80 Total 120 50 30 200 % - explain-Descriptive RQ: Is there a significant association between gender and post? 60% 40% Percentage Male Female Permissible statistics  Mean/Median/Mode  Standard Deviation  Variance  T-test  Z-test
  • 24.
    24 Null hypothesis (h0):There is no significant association between gender and post. Chi-Square test: It measures the dependency of one categorical variable on another categorical variable. Case B: If one is qualitative and another is quantitative. Comparative analyses of quantitative variable across the qualitative variable. Income When two values in the variable T-test/Z-test Gender Number Average Min Max Standard deviation Male Female When three values in the variable F-test/ANOVA Post Number Avg. Min Max Standard deviation Jr. Officer Officer Sr. Officer Comparison of mean Single mean: T-test/Z-test Two means: T-test/Z-test Three or more: F-test/ANOVA Case C: If both are quantitative in nature We use co-relation and regression. Focus group discussion (FGD) Background and purpose A focus group discussion is a form of qualitative research in which a group of people are asked about their perceptions, opinions, beliefs and attitudes towards a product, service, concept, advertisement, idea, or packaging. Questions are asked in an interactive group setting where participants are free to talk with other group members. An Example of FGD Checklist Procedure 1. Identify suitable discussion participants and invite a group to a meeting at an agreed place and time but do not pressure people to come to the meeting. The suitable participants for the focused group discussion are: 1. _________________representatives 2. _________________representatives 3. _________________representatives 4. _________________ representatives 5. _________________ representatives 6. _________________ representatives
  • 25.
    25 2. Be mentallyprepared for the session you will need to remain alert to be able to observe, listen, and keep the discussion on track for a period of one to two hours. 3. Make sure you arrive at the agreed place before the participants, and be ready to greet them. 4. Maintain a relaxed attitude and appearance, and do not start talking about the topic of interest before the official opening of the group discussion. 5. Begin by introducing yourself and your team (even if the participants have already met them individually), and ask participants to introduce themselves. Make sure people understand that the session will be confidential 6. Explain clearly that the purpose of the discussion is to find out what people think about the issue or the problem. Tell them that you are not looking for any right or wrong answer but that you want to learn what each participant's views are. It must be made clear to all participants that their views will be valued. 7. Bring the discussion to a closure; be sincere in expressing your thanks to the participants for their contributions. Materials Required A range of materials including tape recorder if appropriate, subject matter slides, pictures to introduce topic for discussion can be used. Recording the discussion on tape has the advantage of being able to play it back and pick up salient points after the discussion is over. But before using the tape recorder you need to take permission from the participants to record their voices in the recorder. If you are not allowed to use tape recorder the information should be noted in the paper. In the following example, you need placards displaying different life skills. ===================================================================== Semi-structured check list for focused group discussion focusing on situation of life skills and income generating skills of youth (example) ==================================================================== SEC-I: Life skills Step I: Ask the participants if they have observed the delivery of each type of life skills in the locality. Also ask the identity of institution offering such training. Cross verify the information through the participants. Time limit is 10-15 minutes. Step II:Bring it to the discussion about the areas of life skills that the participants feel that are better emphasized or better executed in the locality. Further, let them discuss on the skill areas that are less emphasized for execution in their localities. Do not forget to cross very the responses. Let participants recollect evidence. Time is 15-20 minutes. Step III: Make participants discuss on likely or existing challenges facing the youth life skills development interventions in the society. Reconfirm examples and allow participants discuss on each problem or challenge and expected measures to be taken for addressing them better. Step IV: Allow the participants to recommend some specific project activities to be incorporated in the program of different local organizations so as to improve the life skill situation among the local youth. Ask again if such activities are already implemented by any other organization/s in the communities. Step V: Let the participants recollect ideas on which aspects of each area recommended could be locally facilitated using local resources and expertise, and which aspects may require external
  • 26.
    26 support. Also tryto explore the nature of institutional support sought by the community members. SEC-II: Income generating skills Step I: Ask the participants if they have observed the delivery of each type of income generating skills in the locality. Also ask the identity of institution offering such training. Cross verify the information through the participants. Time limit is 15-20 minutes. Step II: Bring it to the discussion about the areas of income generating skills that the participants felt to be better executed in the locality; also extend the discussion towards the areas that are less executed. Do not forget to cross-verify the responses. Let the participants recollect evidences. Time is 10-15 minutes. Step III: Make the participants discuss on likely or existing challenges facing the youth income generating skills development interventions in the society.Recollect examples and then allow them discuss on each problem or challenge. Subsequently, let them explore some corrective measures to be taken. Step IV: Allow the participants to recommend some specific project activities to be incorporated in the programs of different local organizations so as to improve the income generating skill situation among the local youth. Ask again if such activities are already implemented by any organization/s in the communities. Step V: Let the participants recollect ideas on which aspects of each area recommended could be locally facilitated using local resources and expertise, and which aspects may require external support; also try to seek the expected institutional support for better delivery of such services. Closing the discussion Finally, reconfirm what they have shared; get their agreement on inputs produced; communicate them how such inputs will be used in the days to come; and thank them for active participation and giving their productive time in this respect; and Namaste and Goodbye! Contents to be used in reporting focused group discussion [Purpose of this report; how the focus group discussions were conducted; information about number of people participated in the focus group discussions and number of focus groups conducted; key themes of discussion and their narratives; costs and timescales; focus group discussion results; conclusions]
  • 27.
    27 REFERENCES Allen, M. J.,& Yen, W. M. (1979). Introduction to measurement theory. Monterey, CA: Brooks/Cole. Bryman, A. (2008). Social research methods. (3rd ed.). Noida: Oxford University Press. Cooper, D. R.,& Schindler, P. S. (2009). Business research methods. (9th ed.). New Delhi: Tata McGraw- Hill Company. Cronbach, L. J. (1951). Coefficient alpha and the internal structure of tests. Psychometrika, 16, 297-334. Gulliksen, H. (1950). Theory of mental tests. New York: Wiley. Kuder, G. F., & Richardson, M. W. (1937). The theory of the estimation of test reliability. Psychometrika, 2, 151-160. Malhotra, N. K., & Dash,S. (2011). Marketing research: an applied orientation. (6th ed.). Noida: Pearson Education. Nunnally, J. C., & Bernstein, I. H. (1994). Psychometric theory. New York: McGraw-Hill. Rijal, C. P. (2013). Research methodology: teaching notes. Available at: www.slideshare.net/rijalcpr. Retrieved on: August 25, 2013.