To represent a function, we may use:

(a)   An algebraic representation      y=x+6


(b)   A tabular representation         x           2   3       4
                                       y           4   9       16


(c)   A graphical representation               y



                                                           x
                                           O
• What are the characteristics of the graph of
  y = loga x?
x    0.3   0.6    1   2     3         4
y   –0.5   –0.2   0   0.3   0.5      0.6




                                  y = log10 x
y = log2 x
      x       0.3   0.6    1   2   3          4
      y      –1.7   –0.7   0   1   1.6        2

                                         y = log2 x


                                         y = log10 x
1. Consider the graphs y = loga x and answer
   the following questions.

                                  (1,0)
(a) The graph cuts the x-axis at ________ .

                does not touch
(b) The graph _________________ the y-axis.
                          positive
(c) The value of y is ______________ for x > 1.
                         negative
(d) The value of y is ______________ 0 < x < 1.

                                    increases
(e) The value of y increases as x _____________ .
                               decreases
(f) The rate of increase of y ___________ when x
    increases.
y = loga x
       a>1

                     (a,1)

O
    (1,0)


            Domain: all positive real numbers
             Range: all real numbers
y   log 1 x
                                                     10



1’. For 0 < a < 1, the graphs y = loga x have the
   following characteristics:

(f) The value decrease of yas x 0 < x < 1.
(e) The rate ofof y is negativedecreases when x increases.
(d)
(c)                 increases for decreases.
                    is positive for x > 1.
y = log10 x




  y   log 1 x
         10
y = log2 x




                                          y   log 1 x
                                                 2


         x       0.05    100        200
       log2 x   –6.64   5.64       7.64
      log 1 x
                6.64    –5.64      –7.64
In general, we have log 1 x               log a x .
          2


                               a
3. The graph y log x is a reflection of the
                    1
                    a
   graph y = loga x along the x-axis, for a > 0
   and a ≠ 1.
Where is the graph of y = log4 x?
                         A
                                           y = log2 x


                                           y = log4 x
                                           B
                                           y = log8 x
                                           C


                              >          >
           For x > 1, log2 x ___ log4 x ___ log8 x
                                <          <
         For 0 < x < 1, log2 x ___ log4 x ___ log8 x
>          >
      For x > 1, log2 x ___ log4 x ___ log8 x
                           <          <
    For 0 < x < 1, log2 x ___ log4 x ___ log8 x




4. When a > b > 1, for x > 1, loga x ___ logb x.
                                      <
Sketch the graph y log 1 x and y log 1 x .
                        2               8

                                            y = log2 x



                                            y = log10 x


                                            y   log 1 x
                               (8,–1)               8
    (2,–1)
             (4,–2)
                                            y   log 1 x
                            (8,–3)                 2
Summary
                                          y   log a x




      O
                                          y   log 1 x
                                                  a


For a > 1, the graph of y log a x is a reflection
of the graph of y log 1 x along x-axis.
                       a
Summary
              y = loga x
              y = logb x
              y = logc x


O



      c > b> a >1
Summary



 O
               y = logd x
               y = loge x
               y = logf x


0<d<e<f<1
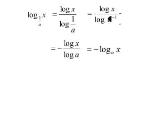
log x      log x
log 1 x
              1    log a 1
    a     log
              a
           log x
                    log a x
           log a
Domain: Collection of values that the independent
        variable can take

Range:    Collection of all possible values that the
          dependent variable can take

Dependent variable:
The variable whose values depend on the values
of the other variables.

Independent variable:
The variable that is not a dependent variable.

Graphs of Log functions

  • 1.
    To represent afunction, we may use: (a) An algebraic representation y=x+6 (b) A tabular representation x 2 3 4 y 4 9 16 (c) A graphical representation y x O
  • 2.
    • What arethe characteristics of the graph of y = loga x?
  • 3.
    x 0.3 0.6 1 2 3 4 y –0.5 –0.2 0 0.3 0.5 0.6 y = log10 x
  • 4.
    y = log2x x 0.3 0.6 1 2 3 4 y –1.7 –0.7 0 1 1.6 2 y = log2 x y = log10 x
  • 5.
    1. Consider thegraphs y = loga x and answer the following questions. (1,0) (a) The graph cuts the x-axis at ________ . does not touch (b) The graph _________________ the y-axis. positive (c) The value of y is ______________ for x > 1. negative (d) The value of y is ______________ 0 < x < 1. increases (e) The value of y increases as x _____________ . decreases (f) The rate of increase of y ___________ when x increases.
  • 6.
    y = logax a>1 (a,1) O (1,0) Domain: all positive real numbers Range: all real numbers
  • 7.
    y log 1 x 10 1’. For 0 < a < 1, the graphs y = loga x have the following characteristics: (f) The value decrease of yas x 0 < x < 1. (e) The rate ofof y is negativedecreases when x increases. (d) (c) increases for decreases. is positive for x > 1.
  • 8.
    y = log10x y log 1 x 10
  • 9.
    y = log2x y log 1 x 2 x 0.05 100 200 log2 x –6.64 5.64 7.64 log 1 x 6.64 –5.64 –7.64 In general, we have log 1 x log a x . 2 a
  • 10.
    3. The graphy log x is a reflection of the 1 a graph y = loga x along the x-axis, for a > 0 and a ≠ 1.
  • 11.
    Where is thegraph of y = log4 x? A y = log2 x y = log4 x B y = log8 x C > > For x > 1, log2 x ___ log4 x ___ log8 x < < For 0 < x < 1, log2 x ___ log4 x ___ log8 x
  • 12.
    > > For x > 1, log2 x ___ log4 x ___ log8 x < < For 0 < x < 1, log2 x ___ log4 x ___ log8 x 4. When a > b > 1, for x > 1, loga x ___ logb x. <
  • 13.
    Sketch the graphy log 1 x and y log 1 x . 2 8 y = log2 x y = log10 x y log 1 x (8,–1) 8 (2,–1) (4,–2) y log 1 x (8,–3) 2
  • 14.
    Summary y log a x O y log 1 x a For a > 1, the graph of y log a x is a reflection of the graph of y log 1 x along x-axis. a
  • 15.
    Summary y = loga x y = logb x y = logc x O c > b> a >1
  • 16.
    Summary O y = logd x y = loge x y = logf x 0<d<e<f<1
  • 17.
    log x log x log 1 x 1 log a 1 a log a log x log a x log a
  • 18.
    Domain: Collection ofvalues that the independent variable can take Range: Collection of all possible values that the dependent variable can take Dependent variable: The variable whose values depend on the values of the other variables. Independent variable: The variable that is not a dependent variable.