CHAPTER 1
__________________________________________
__________________________________________
________
SOLAR ENERGY
1.1 The sun
The sun is sphere of intensely hot gaseous matter where heat is
generated continuously by thermo-nuclear fusion reactions, in which
hydrogen (four protons) combines to form helium (one helium nucleus).
The mass of the helium nucleus is less than that of four hydrogen protons
and mass having been lost in the reaction is converted to energy. The
reaction is represented as
H2 + H2  He + 26.7 MeV
This energy is produced th the interior of the sun. This energy is
radiated from the sun in all directions and a very small fraction of the
total solar energy reaches the earth. The sun is sun has an effective black
body temperature of 5777 K. The sun is the largest member of the solar
system with other members revolving around it.
1.2 The sun-earth Relationship
Fig. 2.1 shows schematically the geometry of the sun-earth
relationship. The diameter of sun is 1.39 X 106
km. The diameter of earth
is 1.27 X 104
km. The average distance between the sun and earth is 1.5
X108
km which varies by ± 1.7% as the path of earth’s revolution around
sun is elliptical. The sun subtends an angle of 32’ with earth.
1.3 The structure of the sun
The solar interior in the region 0 to 0.23 R (R being the radius of
the sun) constitutes the main mass of the sun. The average density of the
gases in this region is 105
kg/ m3
. It is estimated that 90 per cent of the
sun’s energy is generated in the region and temperature in this region is
8-40X106
K. The energy generated in this region is transferred outward
2 Renewable Energy Technologies
by radiation upto a distance of about 0.7 R from the centre, where the
temperature drops to about 1.3X105
K and the density drops to 70 kg/ m3
.
Outside this region there is a fluid in which the energy transferred mainly
by convection and is therefore known as convective zone. Within this
zone the density drops to 10-5
and temperature falls to about 5000 K.
The upper layer o the convective zone is called the photosphere
and it is the main source of light and heat. It is composed of strongly
ionized gases and able to absorb and emit a continuous spectrum of
radiation. It is the main source of energy to t
Above the photosphere there is a transparent layer of gases with
a depth of about 10,000 km. it is known as the chromosphere. Finally
thre is corona, a whitish glowing layer that may be observed in all in
beauty only during total solar eclipses. It is made of highly ionized gases
of very low density. Its temperature, supposed to be raised by shock
waves, is about 106
K.
1.4 Solar Constant (Gsc)
The Solar Constant is defines as the total energy received from
the sun, per unit time, on a surface of unit area kept perpendicular to the
radiation, outside the earth’s atmosphere when the earth is at its mean
distance from the sun. Its value is about 1353 w/m2
. However, this
extraterrestrial radiation suffers variation of about 3 % due to the fact
that the earth revolves around the sun in an elliptic path and sun-earth
distance varies by 1.7%. The intensity of extraterrestrial radiation on the
nth
day of the year (Gon) is given in terms of the solar constant (Gsc) as
follows





 ×
+=
365
360
cos033.00.1
n
GG scon
1.5 Solar Radiation outside the Earth’s atmosphere (Extra
Terrestrial Radiation)
Fig. 2.2 shows spectral distribution of solar radiation intensity
outside the atmosphere. The area under the curve is the total solar
radiation received outside the atmosphere i.e. solar constant. As shown in
Table. 2.1, the 7 % of the total radiation received outside the atmosphere
is within wavelength region of 0-0.38 µn and known as ultraviolet rays.
The 47.3 % of the radiation outside atmosphere received within
wavelength region of 0.38-0.78 µn and known as visible light rays where
as 45.7 % are within wavelength more than 0.78 µn and known as
infrared rays.
Introduction 3
The sun’s emission spectra indicate that the sun emits radiation
like a ‘black body’, whose surface temperature is about 5700o
C. The
intensity in the green portion of the visible spectrum is maximum that is
at 0.48 µn.
Table 2.1 Solar radiation in various portions of the spectrum
Wavelength
range (µn)
Approximate
energy w/m2
Approximate
percentage of
energy (%)
Name
0-0.38 95 7 Ultraviolet rays
0.38-0.78 640 47.3 Visible light rays
> 0.78 618 45.7 Infrared rays
1.6 Solar Radiation at the Earth’s Surface (Terrestrial
Radiation)
The solar radiation received at the surface of the earth is entirely
different than the radiation received outside the atmosphere due to the
absorption and scattering in the atmospheric. A fraction of the radiation
reaching the earth’s surface is reflected back into the atmosphere and
subjected to atmospheric phenomenon and the reminder is received by
the earth surface.
Absorption: As the solar radiation passes through the earth’s
atmosphere the short-wave ultraviolet rays are absorbed by the ozone in
the atmosphere and the long wave length infrared radiation are absorbed
by the carbon-di-oxide and moisture in the atmosphere. Therefore most
of the terrestrial solar energy received by the earth’s surface lies within
the range of 0.29 µn to 2.5 µn.
Scattering: As the solar radiation passes through the earth’s
atmosphere the air molecules, water vapor and dust particles scatter a
portion of the radiation. A portion of this scattered radiation also reaches
earth’s surface.
The solar radiation reaching earth’s surface can be classified into
two components known as direct radiation and diffuse radiation.
Direct radiation: That portion of the incident radiation which
comes directly from sun without reflection from atmospheric
components is called as direct radiation also known as beam radiation.
These radiations are received from the sun without change of direction.
4 Renewable Energy Technologies
Diffuse radiation: That portion of the solar radiation received
from after its direction has been changed by reflection and scattering by
the atmospheric components. It does not have unique direction. It is also
known as sky radiation.
Total radiation also known as global radiation is the sum of
direct radiation and diffuse radiation. It does not include radiation that
has been absorbed by matter and then re-emitted, because most of this
radiation is at longer wavelength 3 µn.
Sun-Earth angles
In order to understand what follows for the calculations of solar
radiations, the definition of some of the sun-earth angles is discussed
below.
Sun at Zenith: The position of sun directly above observer’s
head
Zenith angle(θz): the angle made by the vertical line to the zenith
(i.e. the point directly overhead) and ling of sight to the sun i.e. angular
distance of sun from zenith is known as zenith angle.
Altitude angle(α): It is the vertical angle between the projection
of the sun’s rays on the horizontal plane and direction of sun’s rays i.e.
angular distance of sun from horizontal is known as altitude angle.
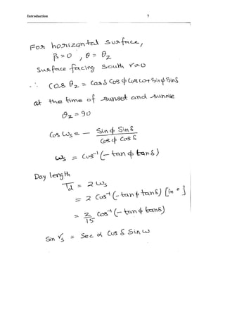
θz = 90-α
Solar azimuth angle (γs): It is the angle made by the projection
of the sun’s rays on the horizontal plane and south i.e. it is the angular
displacement of the projection of the beam radiation from the south.
Angle is positive when measured east wise.
Air mass (m): The ration of the thickness of the atmosphere
through which beam radiation passes at any time to the thickness if the
sun were at zenith.
z
z
Sec
CosPA
PB
θ
θ
==
1
m=1 when sun is at zenith
m=2 when zenith angle is 600
Poles of the earth: the ends of the axis of rotation of the earth
are called poles of the earth, one as North Pole and other as South Pole
Earth’s equator: it is an imaginary great circle normal to the
earth’s axis, dividing the distance between the earth’s poles along its
Introduction 5
surface into two equal parts. The equator divides the earth into two
hemisphere called Northern and Southern hemisphere.
Prime meridian: Royal observatory, Greenwich outside London
is universally accepted as a reference point. An imaginary great circle
passing through this point and two poles is called prime meridian
Latitude (ϕ): The latitude of a point on the surface of earth is its
angular distance North or South of the equator measured from centre of
the earth (POP’).
Longitude: it is the angular distance of the location measured
east or west from the prime meridian (P’OQ)
The Hour angle (ω): It is the angle through the earth must turn
to bring the meridian of Point directly in line with sun’s rays. In other
words, it is the angular displacement of the sun east or west of the local
meridian due to rotation of the earth on its axis at 15o
per hour. At solar
noon hour angle is zero, positive in the morning and negative in the
afternoon (e.g. hour angle at 11 am will be 15o
and at 13 hours it will be
-15 o
). The hour angle can be expressed mathematically as
ω = 15o
(12-T)
where T is time in hours
Declination (δ): The angular position of the sun at solar noon
with respect to the plane of the earth’s equator is termed as declination.
The declination can be determined from the equation. In other words we
can say the angle between a line joining centre of the sun to the centre of
the earth and the projection of this line upon the earth’ equatorial plane.





 +
=
365
284
360sin45.23
n
δ
Where n is the day of the year(e.g. on January 1, n=1 and on
February 15, n=31+15=46).
The value of declination varies between 23.5o
on June 22, to
-23.5o
on December 22.
Slope (β): The angle between horizontal and the plane is known
as slope of the plane.
6 Renewable Energy Technologies
Incident angle (θ): The angle measured between the beam of
the rays and normal to the plane is known as incident angle
Surface Azimuth angle (γ): The angle made by projection
normal to the surface with south is known as surface azimuth angle. East
Positive and west negative.
From the spherical geometry the relation between θ and other
angles is given by the equation.
ωγβδωγβφδ
ωβφδγβφδβφδθ
sinsinsincoscoscossinsincos
coscoscoscoscossincossincossinsincos
++
+−=
Introduction 7
8 Renewable Energy Technologies

Chapter1 solar energy

  • 1.
    CHAPTER 1 __________________________________________ __________________________________________ ________ SOLAR ENERGY 1.1The sun The sun is sphere of intensely hot gaseous matter where heat is generated continuously by thermo-nuclear fusion reactions, in which hydrogen (four protons) combines to form helium (one helium nucleus). The mass of the helium nucleus is less than that of four hydrogen protons and mass having been lost in the reaction is converted to energy. The reaction is represented as H2 + H2  He + 26.7 MeV This energy is produced th the interior of the sun. This energy is radiated from the sun in all directions and a very small fraction of the total solar energy reaches the earth. The sun is sun has an effective black body temperature of 5777 K. The sun is the largest member of the solar system with other members revolving around it. 1.2 The sun-earth Relationship Fig. 2.1 shows schematically the geometry of the sun-earth relationship. The diameter of sun is 1.39 X 106 km. The diameter of earth is 1.27 X 104 km. The average distance between the sun and earth is 1.5 X108 km which varies by ± 1.7% as the path of earth’s revolution around sun is elliptical. The sun subtends an angle of 32’ with earth. 1.3 The structure of the sun The solar interior in the region 0 to 0.23 R (R being the radius of the sun) constitutes the main mass of the sun. The average density of the gases in this region is 105 kg/ m3 . It is estimated that 90 per cent of the sun’s energy is generated in the region and temperature in this region is 8-40X106 K. The energy generated in this region is transferred outward
  • 2.
    2 Renewable EnergyTechnologies by radiation upto a distance of about 0.7 R from the centre, where the temperature drops to about 1.3X105 K and the density drops to 70 kg/ m3 . Outside this region there is a fluid in which the energy transferred mainly by convection and is therefore known as convective zone. Within this zone the density drops to 10-5 and temperature falls to about 5000 K. The upper layer o the convective zone is called the photosphere and it is the main source of light and heat. It is composed of strongly ionized gases and able to absorb and emit a continuous spectrum of radiation. It is the main source of energy to t Above the photosphere there is a transparent layer of gases with a depth of about 10,000 km. it is known as the chromosphere. Finally thre is corona, a whitish glowing layer that may be observed in all in beauty only during total solar eclipses. It is made of highly ionized gases of very low density. Its temperature, supposed to be raised by shock waves, is about 106 K. 1.4 Solar Constant (Gsc) The Solar Constant is defines as the total energy received from the sun, per unit time, on a surface of unit area kept perpendicular to the radiation, outside the earth’s atmosphere when the earth is at its mean distance from the sun. Its value is about 1353 w/m2 . However, this extraterrestrial radiation suffers variation of about 3 % due to the fact that the earth revolves around the sun in an elliptic path and sun-earth distance varies by 1.7%. The intensity of extraterrestrial radiation on the nth day of the year (Gon) is given in terms of the solar constant (Gsc) as follows       × += 365 360 cos033.00.1 n GG scon 1.5 Solar Radiation outside the Earth’s atmosphere (Extra Terrestrial Radiation) Fig. 2.2 shows spectral distribution of solar radiation intensity outside the atmosphere. The area under the curve is the total solar radiation received outside the atmosphere i.e. solar constant. As shown in Table. 2.1, the 7 % of the total radiation received outside the atmosphere is within wavelength region of 0-0.38 µn and known as ultraviolet rays. The 47.3 % of the radiation outside atmosphere received within wavelength region of 0.38-0.78 µn and known as visible light rays where as 45.7 % are within wavelength more than 0.78 µn and known as infrared rays.
  • 3.
    Introduction 3 The sun’semission spectra indicate that the sun emits radiation like a ‘black body’, whose surface temperature is about 5700o C. The intensity in the green portion of the visible spectrum is maximum that is at 0.48 µn. Table 2.1 Solar radiation in various portions of the spectrum Wavelength range (µn) Approximate energy w/m2 Approximate percentage of energy (%) Name 0-0.38 95 7 Ultraviolet rays 0.38-0.78 640 47.3 Visible light rays > 0.78 618 45.7 Infrared rays 1.6 Solar Radiation at the Earth’s Surface (Terrestrial Radiation) The solar radiation received at the surface of the earth is entirely different than the radiation received outside the atmosphere due to the absorption and scattering in the atmospheric. A fraction of the radiation reaching the earth’s surface is reflected back into the atmosphere and subjected to atmospheric phenomenon and the reminder is received by the earth surface. Absorption: As the solar radiation passes through the earth’s atmosphere the short-wave ultraviolet rays are absorbed by the ozone in the atmosphere and the long wave length infrared radiation are absorbed by the carbon-di-oxide and moisture in the atmosphere. Therefore most of the terrestrial solar energy received by the earth’s surface lies within the range of 0.29 µn to 2.5 µn. Scattering: As the solar radiation passes through the earth’s atmosphere the air molecules, water vapor and dust particles scatter a portion of the radiation. A portion of this scattered radiation also reaches earth’s surface. The solar radiation reaching earth’s surface can be classified into two components known as direct radiation and diffuse radiation. Direct radiation: That portion of the incident radiation which comes directly from sun without reflection from atmospheric components is called as direct radiation also known as beam radiation. These radiations are received from the sun without change of direction.
  • 4.
    4 Renewable EnergyTechnologies Diffuse radiation: That portion of the solar radiation received from after its direction has been changed by reflection and scattering by the atmospheric components. It does not have unique direction. It is also known as sky radiation. Total radiation also known as global radiation is the sum of direct radiation and diffuse radiation. It does not include radiation that has been absorbed by matter and then re-emitted, because most of this radiation is at longer wavelength 3 µn. Sun-Earth angles In order to understand what follows for the calculations of solar radiations, the definition of some of the sun-earth angles is discussed below. Sun at Zenith: The position of sun directly above observer’s head Zenith angle(θz): the angle made by the vertical line to the zenith (i.e. the point directly overhead) and ling of sight to the sun i.e. angular distance of sun from zenith is known as zenith angle. Altitude angle(α): It is the vertical angle between the projection of the sun’s rays on the horizontal plane and direction of sun’s rays i.e. angular distance of sun from horizontal is known as altitude angle. θz = 90-α Solar azimuth angle (γs): It is the angle made by the projection of the sun’s rays on the horizontal plane and south i.e. it is the angular displacement of the projection of the beam radiation from the south. Angle is positive when measured east wise. Air mass (m): The ration of the thickness of the atmosphere through which beam radiation passes at any time to the thickness if the sun were at zenith. z z Sec CosPA PB θ θ == 1 m=1 when sun is at zenith m=2 when zenith angle is 600 Poles of the earth: the ends of the axis of rotation of the earth are called poles of the earth, one as North Pole and other as South Pole Earth’s equator: it is an imaginary great circle normal to the earth’s axis, dividing the distance between the earth’s poles along its
  • 5.
    Introduction 5 surface intotwo equal parts. The equator divides the earth into two hemisphere called Northern and Southern hemisphere. Prime meridian: Royal observatory, Greenwich outside London is universally accepted as a reference point. An imaginary great circle passing through this point and two poles is called prime meridian Latitude (ϕ): The latitude of a point on the surface of earth is its angular distance North or South of the equator measured from centre of the earth (POP’). Longitude: it is the angular distance of the location measured east or west from the prime meridian (P’OQ) The Hour angle (ω): It is the angle through the earth must turn to bring the meridian of Point directly in line with sun’s rays. In other words, it is the angular displacement of the sun east or west of the local meridian due to rotation of the earth on its axis at 15o per hour. At solar noon hour angle is zero, positive in the morning and negative in the afternoon (e.g. hour angle at 11 am will be 15o and at 13 hours it will be -15 o ). The hour angle can be expressed mathematically as ω = 15o (12-T) where T is time in hours Declination (δ): The angular position of the sun at solar noon with respect to the plane of the earth’s equator is termed as declination. The declination can be determined from the equation. In other words we can say the angle between a line joining centre of the sun to the centre of the earth and the projection of this line upon the earth’ equatorial plane.       + = 365 284 360sin45.23 n δ Where n is the day of the year(e.g. on January 1, n=1 and on February 15, n=31+15=46). The value of declination varies between 23.5o on June 22, to -23.5o on December 22. Slope (β): The angle between horizontal and the plane is known as slope of the plane.
  • 6.
    6 Renewable EnergyTechnologies Incident angle (θ): The angle measured between the beam of the rays and normal to the plane is known as incident angle Surface Azimuth angle (γ): The angle made by projection normal to the surface with south is known as surface azimuth angle. East Positive and west negative. From the spherical geometry the relation between θ and other angles is given by the equation. ωγβδωγβφδ ωβφδγβφδβφδθ sinsinsincoscoscossinsincos coscoscoscoscossincossincossinsincos ++ +−=
  • 7.
  • 8.
    8 Renewable EnergyTechnologies