Jaydeep Patel
School of Technology,


1
Centroid and Centre of Gravity
    Centre of gravity of one dimensional body (e.g. wire) and two
    dimensional body (e.g. plate) is known as Centroid.
    Definition--The Point located at an object’s average position of
    the weight.
    In other words…. The center of an object’s weight
    Symmetrical object’s, like a baseball the C.G. would be in the
    exact center of object
      However other oddly shaped objects will find COG in any
      number of positions, depending on weight distribution


              COG
2
AXES OF SYMMETRY
    First check whether the given composite shape is
    symmetrical about any axis or not.

    If the object is symmetrical about two axes then the point
    of intersection of these two axes locate the Centroid/C.G.
    of the object.




3
AXES OF SYMMETRY
    If the object is symmetrical only about the vertical axis
    then to locate the centroid/C.G. of the object, Y is required
    to be calculated.




5
AXES OF SYMMETRY
    If the object is symmetrical only about the horizontal
    axis then to locate the centroid/C.G. of the object, X is
    required to be calculated.




    If the object is having axis of symmetry at 45° angle, then
    x=y.

6
Centroid of One dimensional Geometrical Shapes(Wire)




6
Centroid Two Dimensional Geometrical Shapes (Plate) (Lamina)




8
CENTRE OF GRAVITIES OF STANDARD SOLIDS (Hollow)




9
CENTRE OF GRAVITIES OF STANDARD SOLIDS (Solids)




10
Theorem of Moments
     "The moment of the resultant gravitational force (weight) W about any axis is
     equal to the sum of the moments of individual weights about the same axis,"

       Let us consider a flat plate in x - y plane.
       Plate is divided into (n) number of standard
       shapes whose areas and location of centroids
       are known.
       Let ,
          (1) A1, A2, A3 ….., An. are the areas of the
          standard shapes.
          (2) W1,W2, W3, …..,Wn are the weights of the
          standard shapes.
          (3) G1,G2, G3,…,Gn are the centroids of the standard shapes.
          (4) (x1,y1), (x2,y2), ….(xn, yn) are the location of co-ordinates of G1,G2,
          G3,…,Gn respectively.
10
All weights W1,W2, W3, …..,Wn are acting vertically downward. i.e., this is a system
          equivalent to a system of parallel forces.
                  Resultant W =W1 +W2 +W3, …..,+Wn ( )
          To get the position co-ordinates (x, y) of the resultant, apply Varignon's Principle and
          equate moments of W1,W2, W3, …..,Wn about x-axis with the moment of their resultant
          W about the same x-axis
                  W Y =W1Y1+W2Y2 +W3Y3 + .....+WnYn
          Similarly equating the moments about y-axis, we get
                W X =W1 X1 +W2 X2 +W3 X3 + .....+Wn Xn

          If the complete plate is of the same material and if the thickness of the plate is
          same through out, the areas A1, A2, A3 …, An can be written in place of W1,W2, W3,
          …..,Wn . Hence

     A1 y1 + A2 y2 + A3 y3 + ...... + An yn                   A1 x1 + A2 x2 + A3 x3 + ...... + An xn
Y=                                                    X=
           A1 + A2 + A3 + .... + An                                 A1 + A2 + A3 + .... + An
11        If any area is negative then (-ve) sign is used before that area.
1. Similarly for one dimensional objects (e.g wire)
          L1 x1 + L2 x2 + L3 x3 + ......,+ Ln xn
     X=
                L1 + L2 + L3 + ....,+ Ln

        L1 y1 + L2 y2 + L3 y3 + ......,+ Ln yn
     Y=
              L1 + L2 + L3 + ....,+ Ln

     2. Similarly for Solid objects (e.g having 3-dimensional)
           V1 x1 + V2 x2 + V3 x3 + ......,+Vn xn
        X=
                 V1 + V2 + V3 + ....,+Vn

          V1 y1 + V2 y2 + V3 y3 + ......,+Vn yn
       Y=
                V1 + V2 + V3 + ....,+Vn

12
3. For object made of different density materials

          W1 x1 + W2 x2 + W3 x3 + ......,+Wn xn
     X=
               W1 + W2 + W3 + ....,+Wn

        W1 y1 + W2 y2 + W3 y3 + ......,+Wn yn
     Y=
              W1 + W2 + W3 + ....,+Wn
     CENTROID & CENTRE OF GRAVITY

      X =
          ∑ dLx       Y=
                         ∑ dLy              (centroid)
          ∑ dL           ∑ dL
     X=
        ∑Ax   i i
                      Y=
                         ∑Ay    i       i
                                             (centroid)
        ∑A     i         ∑A         i



        X =
            ∑Vρx      Y=
                         ∑Vρy           (centre of Gravity)
13          ∑Vρ          ∑ Vρ
Method of Integration
         Method of Moment

             X=
                ∑Ax   i i
                            Y=
                               ∑Ayi       i
                                              (centroid)
                ∑A     i       ∑A     i


         Method of Integration


              X=
                 ∫ x.dA      Y=
                                ∫ y.dA
                  ∫ dA           ∫ dA

5 - 14
CENTROID/CENTRE OF GRAVITY OF
                COMPOSITES:




        L1 x1 + L2 x2 + L3 x3 + ......,+ Ln xn    L1 y1 + L2 y2 + L3 y3 + ......,+ Ln yn
     X=                                        Y=
              L1 + L2 + L3 + ....,+ Ln                  L1 + L2 + L3 + ....,+ Ln
15
Composite lamina : (square, rectangle,
              circle, triangle, semicircle etc.)




   A1 x1 + A2 x2 + A3 x3 + ......,+ An xn Y = A1 y1 + A2 y2 + A3 y3 + ......,+ An yn
X=
         A1 + A2 + A3 + ....,+ An                   A1 + A2 + A3 + ....,+ An
16
Composite 3D Bodies
             • Moment of the total weight concentrated at the center of gravity
               G is equal to the sum of the moments of the weights of the
               component parts.

                X ∑W = ∑ xW          Y ∑ W = ∑ yW          Z ∑W = ∑ zW


             • For homogeneous bodies,

                X ∑V = ∑ xV          Y ∑ V = ∑ yV        Z ∑V = ∑ zV




5 - 17
C.O.G. ---Balancing
                            ---Balancing
     For an object to balance, and not
     topple… support must be directly
     below C.O.G




18
Balancing Stuff
     Again, all that has to happen to balance, is for a support to be
     directly beneath COG




19
Where C.O.G. is located
     Generally found in the middle of
     all the weight…
     Does not even have to be within,
     the object itself
       Ex. boomerang
     Will be located toward one side of
     an object where most of its mass is
     focused…
       Ex. Weebles

     C.G
20
Weebles Wobble, but they don’t fall
                  down???
     Weebles have very low COG
     Whenever rolling it will roll to a stop
     when its COG is as low as possible
       This occurs when it is standing upright
       Also occurs for inflatable toy clowns
     Objects with a low COG are less likely
     to topple because of this principle

     Higher COG is, the easier to topple


21
Advantage of low COG
     SUV’s …. Tip over all the time b/c COG is too high
       ESUVEE
       Farmer’s tractors
     Much more control in all vehicles w/ low COG




22
Centroid of Standard Shapes by
                  Integration
       Centroid of a Triangle
       ABC is having a base BC=b and altitude
       h as shown.
       Let us take elementary strip PQ at a
       height (x) from the base and of
       thickness (dx) as shown.
     now, ∆ APQ      and   ∆ ABC       are similar,
     since   PQ is taken    parallel    to BC.




23
PQ h − x                        (h - x)
     ∴      =                   ∴ PQ =           b
         BC   h                            h
                                                       (h - x)
     Now area of the elementry stripe PQ = (PQ)(dx) =          b. dx
                                                         h
                                                            (h − x)
     now [moment of the elementry strip about base BC] = [           b. dx]. [x ]
                                                               h
     now equating moments of the area of the triangle about BC, we have
     h                              h
       (h − x)b                        (h − x)b
     ∫ h
     0
                . x. dx = y ( A) = y ∫
                                     0
                                          h
                                                . dx

     h                      h
           b                   b 
     ∫ h 
     0
        bx − x 2 . dx = y ∫  b − x . dx
                           0
                                  h 
                     h                   h
      bx 2 b x 3       b x2 
          − .  = y bx − . 
      2 h 3 0          h 2 0
                    h
                 y=
24                  3
Centroid of A Semicircle




25
26
Theorems of Pappus-Guldinus
                         Pappus-




     • Surface of revolution is generated by rotating a plane curve
       about a fixed axis.



                                                       • Theorem 1:
                                                       • Area of a surface of revolution is equal to the
                                                         length of the generating curve times the
                                                         distance traveled by the centroid through the
                                                         rotation.
                                                                       A = 2π yL

27
Theorems of Pappus-Guldinus
                             Pappus-



     • Body of revolution is generated by rotating a plane area about a
       fixed axis.


                                                          • Theorem 2:
                                                          • Volume of a body of revolution is equal to the
                                                            generating area times the distance traveled by
                                                            the centroid through the rotation.

                                                                          V = 2π y A

28
Sample Problem
                                                     SOLUTION:
                                                     • Apply the theorem of Pappus-Guldinus to
                                                       evaluate the volumes or revolution for the
                                                       rectangular rim section and the inner cutout
                                                       section.


                                                     • Multiply by density and acceleration to get the
                                                       mass and acceleration.
 The outside diameter of a pulley is 0.8 m, and
 the cross section of its rim is as shown.
 Knowing that the pulley is made of steel and that
 the density of steel is
 determine the mass and weight of the rim.

               ρ = 7.85 ×103 kg m 3




29
Sample Problem
     SOLUTION:
     • Apply the theorem of Pappus-Guldinus to evaluate
       the volumes or revolution for the rectangular rim
       section and the inner cutout section.



     • Multiply by density and acceleration to get the mass
       and acceleration.




                   (          3         3
                                            )(       6     −9 3
                                                              3   3
                                                                  )    m = 60.0 kg
      m = ρV = 7.85 × 10 kg m                7.65 × 10 mm 10 m mm 
                                                                  
30                            (
      W = mg = (60.0 kg ) 9.81 m s 2             )                     W = 589 N
Stable, Unstable and Neutral
                 Equilibrium
     Stable Equilibrium
     A body is said to be in the Stable Equilibrium if it returns back to
     its original position of equilibrium after it is slightly disturbed
     from its position of equilibrium. In fact forces, acting on the body
     after it disturbed, will have tendency to bring the body back to its
     original position of equilibrium.
     In case of stable bodies C.G. is raised when it is disturbed.




31
Neutral Equilibrium
     A body is said to be in Neutral Equilibrium if it remains in
     equilibrium in the newly disturbed position.
     In fact forces, acting on the body after it is disturbed, are also in
     equilibrium.
     In case of neutral bodies C.G. is neither raised nor lowered when it is
     disturbed i.e., Level of C.G remains unaltered.




32
Unstable Equilibrium
     A body is said to be in Unstable Equilibrium if it does not return
     back to its original position of equilibrium after it is slightly
     disturbed.
     In fact forces, acting on the body after it is disturbed, will Have a
     tendency to move the body further away from its original position
     of equilibrium.
     In case of unstable bodies C.G. is lowered when it is disturbed.




33
34
Moment of Inertia
     Characteristics of the material, suitable cross-section of the
     component and it's proper orientation w.r.t. the forces, torques,
     couples, moments etc. acting on it are very important in the design of
     the component for it's lifelong trouble less function.

     Once the material is selected, the cross section of the component and
     its orientation with respect to the load system are of utmost
     importance.




35
Case (i). In first case the beam bends a lot.
     In this case we have kept smaller dimension of the two of the cross-
     section in the plane of bending. Material offers less resistance against
     bending.
     Case (ii). In second case the beam bends a little.
     In this case we have kept larger dimension of the two, of the cross-
     section, in the plane of bending.




36
Material offers sufficient resistance against bending.
     From Case (i) and (ii) we can observe that orientation of the cross-section
     w.r.t. load system plays a vital role in developing resistance against
     deformation.
     The load carrying capacity of any member depends upon the material and
     the M.I. of cross-section. Ultimately it leads to Modulus of Section.




37
What is Moment of Inertia?
     Defn:
     The second moment of area, also known as the area moment of
     inertia, moment of inertia of plane area, or second moment of
     inertia is a property of a cross section that can be used to predict the
     resistance of beams to bending and deflection, around an axis that lies in
     the cross-sectional plane.
     The deflection of a beam under load depends not only on the load,
     but also on the geometry of the beam's cross-section.




38
Moment of Inertia




39
The radius of gyration
     The radius of gyration of an area is defined as the imaginary
     radius from the reference axis where the whole area is assumed to
     be concentrated.




40
41
42
Polar Moment of Inertia
     Polar moment of inertia is a quantity used to predict an object's ability to
     resist torsion, in objects (or segments of objects) with an invariant circular cross
     section

      Ip =     ∫
               A
                 ρ 2 dA

               ∫ (x              )
                      2
      Ip =                + y 2 dA
               A

      Ip =     ∫
               A
                 x 2 dA +       ∫
                                A
                                     y 2 dA

      I p = I xx + I yy

43
Theorem of Perpendicular Axis




     "If Ixx and Iyy be the moments of inertia of a plane section about two
     perpendicular axes meeting at o, the moment of inertia Izz about the
     z-z axis, perpendicular to the plane and passing through the
     intersection of x-x and y-y axes is given by:
                              Izz = Ixx + Iyy ”
44
45
Theorem of Parallel Axes
                        (or)
             Theorem of Transfer of Axes




     If the M.I. of a plane area A about centroidal x and y axes be denoted
     by IxxG and IyyG then the M.I. of the same area A about axes x' and y'
     parallel to x and y axes at a distance (d) and (c) respectively is given
     by:
                     Ix'x' = IxxG + Ad2 and Iy'y' = IYYG + Ac2
46
This parallel axes theorem is very important since it is of great use in
     computing M.I. of the composite areas.
     Let us consider an area (A) in the xy plane as shown. Draw x-axis
     and y-axis passing through the centroid G of the area (A) under
     consideration.
     Now draw axis x' parallel to x-axis and at a distance (d) from it.
     Similarly draw axis y' parallel to y-axis and at a distance (c) from it.
     Take elementary area dA having (x, y) co-ordinates with respect to x
     and y axes and having (x', y') co-ordinates with respect to x' and y'
     axes.




47
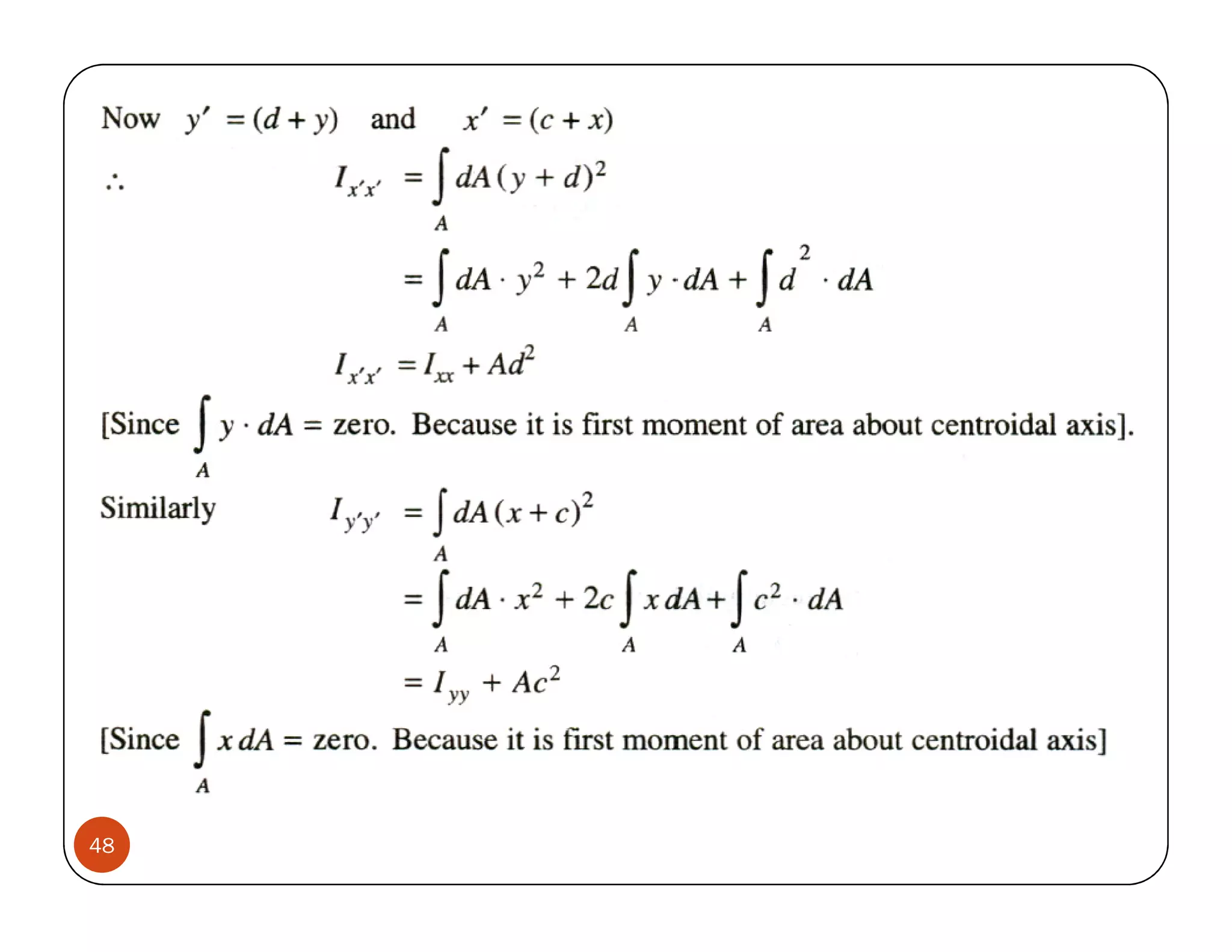
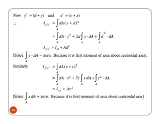
48
Second Method

     I x′x′ = ∑ dA(d + y )   2


         = ∑ dA(d 2 + 2dy + y 2 )
         = ∑ d dA + ∑ 2 yd .dA + ∑ y dA
                2                   2


         = Ixx + Ad 2
     Same we can find the Iy'y'




49
Section Modulus




50
Example-1: Determine the second moment of area of a rectangle about an
     through the centroid and parallel to the base.
     Also find second moment of area about the base of the rectangle.
     Soln:




51
52
53
54
55
56
57

Chapter 4

  • 1.
  • 2.
    Centroid and Centreof Gravity Centre of gravity of one dimensional body (e.g. wire) and two dimensional body (e.g. plate) is known as Centroid. Definition--The Point located at an object’s average position of the weight. In other words…. The center of an object’s weight Symmetrical object’s, like a baseball the C.G. would be in the exact center of object However other oddly shaped objects will find COG in any number of positions, depending on weight distribution COG 2
  • 3.
    AXES OF SYMMETRY First check whether the given composite shape is symmetrical about any axis or not. If the object is symmetrical about two axes then the point of intersection of these two axes locate the Centroid/C.G. of the object. 3
  • 4.
    AXES OF SYMMETRY If the object is symmetrical only about the vertical axis then to locate the centroid/C.G. of the object, Y is required to be calculated. 5
  • 5.
    AXES OF SYMMETRY If the object is symmetrical only about the horizontal axis then to locate the centroid/C.G. of the object, X is required to be calculated. If the object is having axis of symmetry at 45° angle, then x=y. 6
  • 6.
    Centroid of Onedimensional Geometrical Shapes(Wire) 6
  • 7.
    Centroid Two DimensionalGeometrical Shapes (Plate) (Lamina) 8
  • 8.
    CENTRE OF GRAVITIESOF STANDARD SOLIDS (Hollow) 9
  • 9.
    CENTRE OF GRAVITIESOF STANDARD SOLIDS (Solids) 10
  • 10.
    Theorem of Moments "The moment of the resultant gravitational force (weight) W about any axis is equal to the sum of the moments of individual weights about the same axis," Let us consider a flat plate in x - y plane. Plate is divided into (n) number of standard shapes whose areas and location of centroids are known. Let , (1) A1, A2, A3 ….., An. are the areas of the standard shapes. (2) W1,W2, W3, …..,Wn are the weights of the standard shapes. (3) G1,G2, G3,…,Gn are the centroids of the standard shapes. (4) (x1,y1), (x2,y2), ….(xn, yn) are the location of co-ordinates of G1,G2, G3,…,Gn respectively. 10
  • 11.
    All weights W1,W2,W3, …..,Wn are acting vertically downward. i.e., this is a system equivalent to a system of parallel forces. Resultant W =W1 +W2 +W3, …..,+Wn ( ) To get the position co-ordinates (x, y) of the resultant, apply Varignon's Principle and equate moments of W1,W2, W3, …..,Wn about x-axis with the moment of their resultant W about the same x-axis W Y =W1Y1+W2Y2 +W3Y3 + .....+WnYn Similarly equating the moments about y-axis, we get W X =W1 X1 +W2 X2 +W3 X3 + .....+Wn Xn If the complete plate is of the same material and if the thickness of the plate is same through out, the areas A1, A2, A3 …, An can be written in place of W1,W2, W3, …..,Wn . Hence A1 y1 + A2 y2 + A3 y3 + ...... + An yn A1 x1 + A2 x2 + A3 x3 + ...... + An xn Y= X= A1 + A2 + A3 + .... + An A1 + A2 + A3 + .... + An 11 If any area is negative then (-ve) sign is used before that area.
  • 12.
    1. Similarly forone dimensional objects (e.g wire) L1 x1 + L2 x2 + L3 x3 + ......,+ Ln xn X= L1 + L2 + L3 + ....,+ Ln L1 y1 + L2 y2 + L3 y3 + ......,+ Ln yn Y= L1 + L2 + L3 + ....,+ Ln 2. Similarly for Solid objects (e.g having 3-dimensional) V1 x1 + V2 x2 + V3 x3 + ......,+Vn xn X= V1 + V2 + V3 + ....,+Vn V1 y1 + V2 y2 + V3 y3 + ......,+Vn yn Y= V1 + V2 + V3 + ....,+Vn 12
  • 13.
    3. For objectmade of different density materials W1 x1 + W2 x2 + W3 x3 + ......,+Wn xn X= W1 + W2 + W3 + ....,+Wn W1 y1 + W2 y2 + W3 y3 + ......,+Wn yn Y= W1 + W2 + W3 + ....,+Wn CENTROID & CENTRE OF GRAVITY X = ∑ dLx Y= ∑ dLy (centroid) ∑ dL ∑ dL X= ∑Ax i i Y= ∑Ay i i (centroid) ∑A i ∑A i X = ∑Vρx Y= ∑Vρy (centre of Gravity) 13 ∑Vρ ∑ Vρ
  • 14.
    Method of Integration Method of Moment X= ∑Ax i i Y= ∑Ayi i (centroid) ∑A i ∑A i Method of Integration X= ∫ x.dA Y= ∫ y.dA ∫ dA ∫ dA 5 - 14
  • 15.
    CENTROID/CENTRE OF GRAVITYOF COMPOSITES: L1 x1 + L2 x2 + L3 x3 + ......,+ Ln xn L1 y1 + L2 y2 + L3 y3 + ......,+ Ln yn X= Y= L1 + L2 + L3 + ....,+ Ln L1 + L2 + L3 + ....,+ Ln 15
  • 16.
    Composite lamina :(square, rectangle, circle, triangle, semicircle etc.) A1 x1 + A2 x2 + A3 x3 + ......,+ An xn Y = A1 y1 + A2 y2 + A3 y3 + ......,+ An yn X= A1 + A2 + A3 + ....,+ An A1 + A2 + A3 + ....,+ An 16
  • 17.
    Composite 3D Bodies • Moment of the total weight concentrated at the center of gravity G is equal to the sum of the moments of the weights of the component parts. X ∑W = ∑ xW Y ∑ W = ∑ yW Z ∑W = ∑ zW • For homogeneous bodies, X ∑V = ∑ xV Y ∑ V = ∑ yV Z ∑V = ∑ zV 5 - 17
  • 18.
    C.O.G. ---Balancing ---Balancing For an object to balance, and not topple… support must be directly below C.O.G 18
  • 19.
    Balancing Stuff Again, all that has to happen to balance, is for a support to be directly beneath COG 19
  • 20.
    Where C.O.G. islocated Generally found in the middle of all the weight… Does not even have to be within, the object itself Ex. boomerang Will be located toward one side of an object where most of its mass is focused… Ex. Weebles C.G 20
  • 21.
    Weebles Wobble, butthey don’t fall down??? Weebles have very low COG Whenever rolling it will roll to a stop when its COG is as low as possible This occurs when it is standing upright Also occurs for inflatable toy clowns Objects with a low COG are less likely to topple because of this principle Higher COG is, the easier to topple 21
  • 22.
    Advantage of lowCOG SUV’s …. Tip over all the time b/c COG is too high ESUVEE Farmer’s tractors Much more control in all vehicles w/ low COG 22
  • 23.
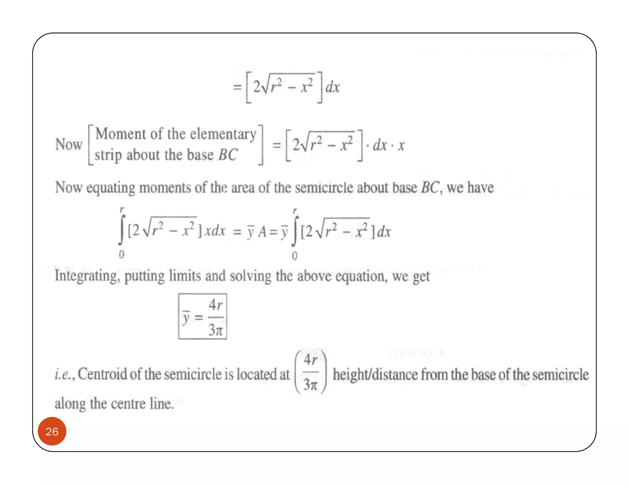
    Centroid of StandardShapes by Integration Centroid of a Triangle ABC is having a base BC=b and altitude h as shown. Let us take elementary strip PQ at a height (x) from the base and of thickness (dx) as shown. now, ∆ APQ and ∆ ABC are similar, since PQ is taken parallel to BC. 23
  • 24.
    PQ h −x (h - x) ∴ = ∴ PQ = b BC h h (h - x) Now area of the elementry stripe PQ = (PQ)(dx) = b. dx h (h − x) now [moment of the elementry strip about base BC] = [ b. dx]. [x ] h now equating moments of the area of the triangle about BC, we have h h (h − x)b (h − x)b ∫ h 0 . x. dx = y ( A) = y ∫ 0 h . dx h h  b   b  ∫ h  0 bx − x 2 . dx = y ∫  b − x . dx 0 h  h h  bx 2 b x 3   b x2   − .  = y bx − .   2 h 3 0  h 2 0 h y= 24 3
  • 25.
    Centroid of ASemicircle 25
  • 26.
  • 27.
    Theorems of Pappus-Guldinus Pappus- • Surface of revolution is generated by rotating a plane curve about a fixed axis. • Theorem 1: • Area of a surface of revolution is equal to the length of the generating curve times the distance traveled by the centroid through the rotation. A = 2π yL 27
  • 28.
    Theorems of Pappus-Guldinus Pappus- • Body of revolution is generated by rotating a plane area about a fixed axis. • Theorem 2: • Volume of a body of revolution is equal to the generating area times the distance traveled by the centroid through the rotation. V = 2π y A 28
  • 29.
    Sample Problem SOLUTION: • Apply the theorem of Pappus-Guldinus to evaluate the volumes or revolution for the rectangular rim section and the inner cutout section. • Multiply by density and acceleration to get the mass and acceleration. The outside diameter of a pulley is 0.8 m, and the cross section of its rim is as shown. Knowing that the pulley is made of steel and that the density of steel is determine the mass and weight of the rim. ρ = 7.85 ×103 kg m 3 29
  • 30.
    Sample Problem SOLUTION: • Apply the theorem of Pappus-Guldinus to evaluate the volumes or revolution for the rectangular rim section and the inner cutout section. • Multiply by density and acceleration to get the mass and acceleration. ( 3 3 )( 6  −9 3 3 3 ) m = 60.0 kg m = ρV = 7.85 × 10 kg m 7.65 × 10 mm 10 m mm    30 ( W = mg = (60.0 kg ) 9.81 m s 2 ) W = 589 N
  • 31.
    Stable, Unstable andNeutral Equilibrium Stable Equilibrium A body is said to be in the Stable Equilibrium if it returns back to its original position of equilibrium after it is slightly disturbed from its position of equilibrium. In fact forces, acting on the body after it disturbed, will have tendency to bring the body back to its original position of equilibrium. In case of stable bodies C.G. is raised when it is disturbed. 31
  • 32.
    Neutral Equilibrium A body is said to be in Neutral Equilibrium if it remains in equilibrium in the newly disturbed position. In fact forces, acting on the body after it is disturbed, are also in equilibrium. In case of neutral bodies C.G. is neither raised nor lowered when it is disturbed i.e., Level of C.G remains unaltered. 32
  • 33.
    Unstable Equilibrium A body is said to be in Unstable Equilibrium if it does not return back to its original position of equilibrium after it is slightly disturbed. In fact forces, acting on the body after it is disturbed, will Have a tendency to move the body further away from its original position of equilibrium. In case of unstable bodies C.G. is lowered when it is disturbed. 33
  • 34.
  • 35.
    Moment of Inertia Characteristics of the material, suitable cross-section of the component and it's proper orientation w.r.t. the forces, torques, couples, moments etc. acting on it are very important in the design of the component for it's lifelong trouble less function. Once the material is selected, the cross section of the component and its orientation with respect to the load system are of utmost importance. 35
  • 36.
    Case (i). Infirst case the beam bends a lot. In this case we have kept smaller dimension of the two of the cross- section in the plane of bending. Material offers less resistance against bending. Case (ii). In second case the beam bends a little. In this case we have kept larger dimension of the two, of the cross- section, in the plane of bending. 36
  • 37.
    Material offers sufficientresistance against bending. From Case (i) and (ii) we can observe that orientation of the cross-section w.r.t. load system plays a vital role in developing resistance against deformation. The load carrying capacity of any member depends upon the material and the M.I. of cross-section. Ultimately it leads to Modulus of Section. 37
  • 38.
    What is Momentof Inertia? Defn: The second moment of area, also known as the area moment of inertia, moment of inertia of plane area, or second moment of inertia is a property of a cross section that can be used to predict the resistance of beams to bending and deflection, around an axis that lies in the cross-sectional plane. The deflection of a beam under load depends not only on the load, but also on the geometry of the beam's cross-section. 38
  • 39.
  • 40.
    The radius ofgyration The radius of gyration of an area is defined as the imaginary radius from the reference axis where the whole area is assumed to be concentrated. 40
  • 41.
  • 42.
  • 43.
    Polar Moment ofInertia Polar moment of inertia is a quantity used to predict an object's ability to resist torsion, in objects (or segments of objects) with an invariant circular cross section Ip = ∫ A ρ 2 dA ∫ (x ) 2 Ip = + y 2 dA A Ip = ∫ A x 2 dA + ∫ A y 2 dA I p = I xx + I yy 43
  • 44.
    Theorem of PerpendicularAxis "If Ixx and Iyy be the moments of inertia of a plane section about two perpendicular axes meeting at o, the moment of inertia Izz about the z-z axis, perpendicular to the plane and passing through the intersection of x-x and y-y axes is given by: Izz = Ixx + Iyy ” 44
  • 45.
  • 46.
    Theorem of ParallelAxes (or) Theorem of Transfer of Axes If the M.I. of a plane area A about centroidal x and y axes be denoted by IxxG and IyyG then the M.I. of the same area A about axes x' and y' parallel to x and y axes at a distance (d) and (c) respectively is given by: Ix'x' = IxxG + Ad2 and Iy'y' = IYYG + Ac2 46
  • 47.
    This parallel axestheorem is very important since it is of great use in computing M.I. of the composite areas. Let us consider an area (A) in the xy plane as shown. Draw x-axis and y-axis passing through the centroid G of the area (A) under consideration. Now draw axis x' parallel to x-axis and at a distance (d) from it. Similarly draw axis y' parallel to y-axis and at a distance (c) from it. Take elementary area dA having (x, y) co-ordinates with respect to x and y axes and having (x', y') co-ordinates with respect to x' and y' axes. 47
  • 48.
  • 49.
    Second Method I x′x′ = ∑ dA(d + y ) 2 = ∑ dA(d 2 + 2dy + y 2 ) = ∑ d dA + ∑ 2 yd .dA + ∑ y dA 2 2 = Ixx + Ad 2 Same we can find the Iy'y' 49
  • 50.
  • 51.
    Example-1: Determine thesecond moment of area of a rectangle about an through the centroid and parallel to the base. Also find second moment of area about the base of the rectangle. Soln: 51
  • 52.
  • 53.
  • 54.
  • 55.
  • 56.
  • 57.