Jaydeep Patel
School of Technology,

5-1
Friction
      When a body moves over another body, its motion is opposed by a resisting
      force along the surfaces of contact.This resisting force is called Friction.
      Magnitude of this frictional (resisting) force depends mainly
      upon the materials of the two bodies, upon the quality of the surface
      roughness and upon the pressure between the two surfaces of contact.




5-2
Force of the friction will be zero for 100% smooth or perfectly
      smooth surfaces.
      Practically it is impossible to make ideal or 100% smooth
      surfaces.
      Best possible smooth surfaces do have minute irregularities on
      the surfaces and hence force of friction will be negligible but
      will not be zero

5-3
Definition Of Friction Force
      When a motion occurs or about to occur between the two surfaces in
      contact, at that time because of interlocking of irregularities these surfaces
      oppose the motion.
      Resisting force, generated due to interlocking, opposite to the
      motion is called The Force of Friction.




5-4
If contact surface is smooth. friction force (F) will be less.
      If contact surface is rough, friction force (F) will be more.
      In machine parts like piston, bearings, liner etc. attempts are made to
      reduce friction to increase life of parts and efficiency of machine.
      Outer surface of vehicle tyres is made rough to increase friction
      between tyre and road surface for safe driving.
      High friction (lots of friction) – will slow something down
      Low friction (not much friction) – will keep things moving
5-5
High friction or Low friction?

                                   Ski’s on the snow




                                                        Car tyre




      Brakes on a bike                                 Water on a slide


                           Pencil and rubber



5-6
Limiting Friction
      Consider a body resting on the surface. If a little force is applied on the body, it
      will not move, because friction force (F) will resist the motion.
      With further increase in external force, body will not move, But there is a limit of
      developing friction force.
      If external force becomes greater than that friction force body will move.
      The maximum friction force that can be developed at the contact
      surface, when body is just on the point of moving is called limiting
      force of friction.




5-7
Types of Friction

             Friction

       Static      Dynamic
      Friction     Friction

             Sliding      Rolling
             Friction     Friction




5-8
Static friction :
      Friction experienced by a body when it is at rest is called static friction.
      In case of static friction,
        if (Applied force < Friction force) then there is no Motion.
      Dynamic friction :
      Friction experienced by a body, when it is in motion is called dynamic friction.
      Dynamic friction is always less than static friction.
      Sliding friction :
      Friction experienced by a body when it slides over another body, is called sliding
      friction.
      e.g. to push the table on floor.
      Rolling friction :
      Friction experienced by a body when it rolls over another body is called rolling
      friction.
      e.g. - to move the drum by rolling, Ball bearing used in machines.
5-9
striking a match against a rough surface
 A Flower pot on top of a table




                                  Rolling friction slows down the motion of a tire rolling
                                  along the pavement
5 - 10
Angle of Friction




5 - 11
Coefficient Of Friction




5 - 12
Angle Of Repose




5 - 13
Variation Of Friction (F) With Applied Force (P)
           If the force P is increased, the friction force F also
           increases, continuing to oppose P, until its magnitude
           reaches a certain maximum value Fm.

           If P is further increased, the friction force cannot balance it
           any more and the block starts sliding.

           As soon as the block has been set in motion, the
           magnitude of F drops from Fm to a lower value Fk.

           This is because there is less interpenetration between the
           irregularities of the surfaces in contact when these
           surfaces move with respect to each other.

           From then on, the block keeps sliding with increasing
           velocity while the friction force, denoted by Fk called
           the kinetic-friction force, remains approximately constant.
5 - 14
Laws of static friction
         Following are the laws of static friction.
           The friction force always act in a direction, opposite to that in which the body
           tends to move.
           The magnitude of friction force is equal to the external force.
                                                F=P
           The ratio of limiting friction (F) and normal reaction (N) is constant.
                                              F/N =
           The friction force does not depends upon the area of contact between the two
           surfaces.
           The friction force depends upon the roughness of the surfaces.




5 - 15
Laws of dynamic friction
         Following are the laws of dynamic friction :
           The friction force always act in a direction, opposite to that in which the body
           is moving.
           The ratio of limiting friction (F) and normal reaction (N) is constant & it is
           known as co-efficient of friction ( ).
                                        F/N = =Constant
           For moderate speeds, the friction force remains constant. But, it decreases
           slightly with the increase of speed.




5 - 16
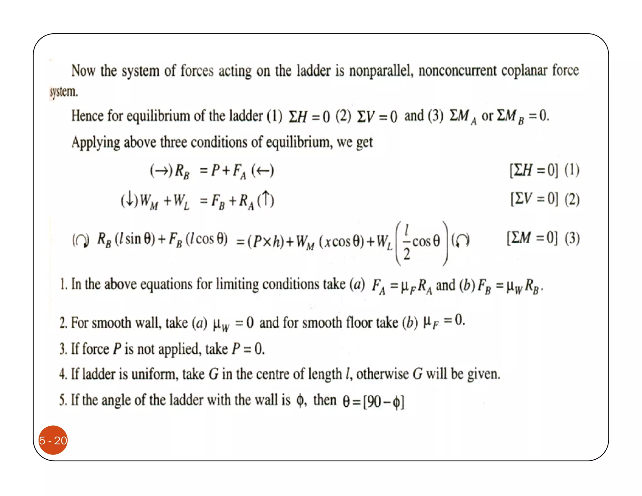
Ladder Friction
         The ladder is a device used to climb on the
         wall. The ladder is made of wood or iron.

         There are two long pieces in the ladder to
         which many small cross pieces called rungs
         are connected at equal distances.

         If the ladder is uniform throughout its length
         then the C.G. of the ladder will be at the mid-
         point of it.



5 - 17
5 - 18
1. WL ( )Weight of the ladder through C.G. of ladder [G]
         2.WM ( )Weight of the man through [M], where man is standing.
         3. P ( ) Applied force P through [C] at a height h from the floor.
         4. RA ( ) Reaction by the floor on the ladder.
         5. FA ( ) Friction force on the ladder at point A. Ladder slips rightward on the floor and
         hence FA is leftward.
         6. RB ( ) Reaction by the wall on the ladder.
         7. FB ( ) Friction force on the ladder at point B. Ladder slips downward on the wall and
         hence FB is upward.
5 - 19
5 - 20
A 5 metre long ladder, weighing 750 N is resting as shown in the fig. Check whether
         ladder will be stable or not. Suggest options to make it stable, if it is unstable. The
         vertical wall is smooth and floor has coefficient of friction 0.25.




5 - 21
Wedge Friction
         Wedges are simple machines used to raise large stone blocks
         and other heavy loads.

         These loads can be raised by applying to the wedge a force
         usually considerably smaller than the weight of the load.

         In addition, because of the friction between the surfaces in
         contact, a properly shaped wedge will remain in place after
         being forced under the load.

         Wedges can thus be used advantageously to make small
         adjustments in the position of heavy pieces of machinery.




5 - 22
Wedges are used as shown to split tree trunks because the
         normal forces exerted by the wedges on the wood are much
         larger than the forces required to insert the wedges.




5 - 23
WEDGE FRICTION




5 - 24
Problems of wedges are the problems of equilibrium of forces.
         When wedge is inserted frictional forces are generated on the rubbing
         surfaces of the wedge.
         Problems of equilibrium of forces acting on the wedge are solved by anyone
         of the following three method.
                1. Lami'sTheorem
                2. By taking (i) ∑H = 0 (ii) ∑V = 0 i.e., by resolution of forces.
                3. Graphical Method




5 - 25
Thank You



5 - 26

Chapter 5

  • 1.
    Jaydeep Patel School ofTechnology, 5-1
  • 2.
    Friction When a body moves over another body, its motion is opposed by a resisting force along the surfaces of contact.This resisting force is called Friction. Magnitude of this frictional (resisting) force depends mainly upon the materials of the two bodies, upon the quality of the surface roughness and upon the pressure between the two surfaces of contact. 5-2
  • 3.
    Force of thefriction will be zero for 100% smooth or perfectly smooth surfaces. Practically it is impossible to make ideal or 100% smooth surfaces. Best possible smooth surfaces do have minute irregularities on the surfaces and hence force of friction will be negligible but will not be zero 5-3
  • 4.
    Definition Of FrictionForce When a motion occurs or about to occur between the two surfaces in contact, at that time because of interlocking of irregularities these surfaces oppose the motion. Resisting force, generated due to interlocking, opposite to the motion is called The Force of Friction. 5-4
  • 5.
    If contact surfaceis smooth. friction force (F) will be less. If contact surface is rough, friction force (F) will be more. In machine parts like piston, bearings, liner etc. attempts are made to reduce friction to increase life of parts and efficiency of machine. Outer surface of vehicle tyres is made rough to increase friction between tyre and road surface for safe driving. High friction (lots of friction) – will slow something down Low friction (not much friction) – will keep things moving 5-5
  • 6.
    High friction orLow friction? Ski’s on the snow Car tyre Brakes on a bike Water on a slide Pencil and rubber 5-6
  • 7.
    Limiting Friction Consider a body resting on the surface. If a little force is applied on the body, it will not move, because friction force (F) will resist the motion. With further increase in external force, body will not move, But there is a limit of developing friction force. If external force becomes greater than that friction force body will move. The maximum friction force that can be developed at the contact surface, when body is just on the point of moving is called limiting force of friction. 5-7
  • 8.
    Types of Friction Friction Static Dynamic Friction Friction Sliding Rolling Friction Friction 5-8
  • 9.
    Static friction : Friction experienced by a body when it is at rest is called static friction. In case of static friction, if (Applied force < Friction force) then there is no Motion. Dynamic friction : Friction experienced by a body, when it is in motion is called dynamic friction. Dynamic friction is always less than static friction. Sliding friction : Friction experienced by a body when it slides over another body, is called sliding friction. e.g. to push the table on floor. Rolling friction : Friction experienced by a body when it rolls over another body is called rolling friction. e.g. - to move the drum by rolling, Ball bearing used in machines. 5-9
  • 10.
    striking a matchagainst a rough surface A Flower pot on top of a table Rolling friction slows down the motion of a tire rolling along the pavement 5 - 10
  • 11.
  • 12.
  • 13.
  • 14.
    Variation Of Friction(F) With Applied Force (P) If the force P is increased, the friction force F also increases, continuing to oppose P, until its magnitude reaches a certain maximum value Fm. If P is further increased, the friction force cannot balance it any more and the block starts sliding. As soon as the block has been set in motion, the magnitude of F drops from Fm to a lower value Fk. This is because there is less interpenetration between the irregularities of the surfaces in contact when these surfaces move with respect to each other. From then on, the block keeps sliding with increasing velocity while the friction force, denoted by Fk called the kinetic-friction force, remains approximately constant. 5 - 14
  • 15.
    Laws of staticfriction Following are the laws of static friction. The friction force always act in a direction, opposite to that in which the body tends to move. The magnitude of friction force is equal to the external force. F=P The ratio of limiting friction (F) and normal reaction (N) is constant. F/N = The friction force does not depends upon the area of contact between the two surfaces. The friction force depends upon the roughness of the surfaces. 5 - 15
  • 16.
    Laws of dynamicfriction Following are the laws of dynamic friction : The friction force always act in a direction, opposite to that in which the body is moving. The ratio of limiting friction (F) and normal reaction (N) is constant & it is known as co-efficient of friction ( ). F/N = =Constant For moderate speeds, the friction force remains constant. But, it decreases slightly with the increase of speed. 5 - 16
  • 17.
    Ladder Friction The ladder is a device used to climb on the wall. The ladder is made of wood or iron. There are two long pieces in the ladder to which many small cross pieces called rungs are connected at equal distances. If the ladder is uniform throughout its length then the C.G. of the ladder will be at the mid- point of it. 5 - 17
  • 18.
  • 19.
    1. WL ()Weight of the ladder through C.G. of ladder [G] 2.WM ( )Weight of the man through [M], where man is standing. 3. P ( ) Applied force P through [C] at a height h from the floor. 4. RA ( ) Reaction by the floor on the ladder. 5. FA ( ) Friction force on the ladder at point A. Ladder slips rightward on the floor and hence FA is leftward. 6. RB ( ) Reaction by the wall on the ladder. 7. FB ( ) Friction force on the ladder at point B. Ladder slips downward on the wall and hence FB is upward. 5 - 19
  • 20.
  • 21.
    A 5 metrelong ladder, weighing 750 N is resting as shown in the fig. Check whether ladder will be stable or not. Suggest options to make it stable, if it is unstable. The vertical wall is smooth and floor has coefficient of friction 0.25. 5 - 21
  • 22.
    Wedge Friction Wedges are simple machines used to raise large stone blocks and other heavy loads. These loads can be raised by applying to the wedge a force usually considerably smaller than the weight of the load. In addition, because of the friction between the surfaces in contact, a properly shaped wedge will remain in place after being forced under the load. Wedges can thus be used advantageously to make small adjustments in the position of heavy pieces of machinery. 5 - 22
  • 23.
    Wedges are usedas shown to split tree trunks because the normal forces exerted by the wedges on the wood are much larger than the forces required to insert the wedges. 5 - 23
  • 24.
  • 25.
    Problems of wedgesare the problems of equilibrium of forces. When wedge is inserted frictional forces are generated on the rubbing surfaces of the wedge. Problems of equilibrium of forces acting on the wedge are solved by anyone of the following three method. 1. Lami'sTheorem 2. By taking (i) ∑H = 0 (ii) ∑V = 0 i.e., by resolution of forces. 3. Graphical Method 5 - 25
  • 26.