Chapter 2. What will I do to help students effectively interact with new knowledge?
    To increase students’ understanding of the content inherent in these experiences, teachers should facilitate students’
                                                                                             actively processing the content.
         If students understand the content provided in the critical- input experiences, they have a good start towards the
                                                                                           accomplishment of learning goals.
In the Classroom                             Prior to do the activity, students are asked if they have ever seen or read
                                             anything about the topic. Emphasizing that he does not expect them to
                                             know anything yet.
                                             The ideas are briefly summarized on the whiteboard.
Theory and Research                          The need for active processing on the part of students.
                                             The basic generalization has been that learners must be actively engaged in
                                             the processing of information and that the teaching and learning process
                                             involves an interaction among the teacher, the students, and the content.
                                             What is needed is a comprehensive approach that allows for students
                                             construction of meaning while interacting with the content, the teacher and
                                             other students.
      Comprehensive Critical input           Those learning experiences that are critical to understanding new content
      approach: to        experiences        should be identified and highlighted by teachers.
      identify those                         Even though all students had the same basic experiences, they recalled
      experiences                            different things.
      that present                           Different types of critical- input experiences produced different effects on
      important new                          students
      content to                             -Visual instructions generate mental pictures
      students.                              -Dramatic instruction
                                             -Verbal instruction
                          Previewing         Previewing: students thinking about the content they will encounter in a
                                             critical- input experience.
                                             Students are involved prior to the actual presentation.
                                             Cues: direct link between new content and content previously taught.
                          Small chunks       The extent to which the teacher organizes the experience into small chunks.
                                             Teaching in small steps: fits well with the findings from cognitive psychology
                                             on the limitations of our working memory.
                                             Too much information swamps our working memory.
                                             The teacher is the only one who can determine the nature and size of these
                                             chunks.
                                             The teacher knows his/her students’ level of understanding of the content in
                                             the input experience.
                          Active             It integrates the more specific strategies of summarizing, questioning,
                          processing using clarifying and predicting.
                          macrostrategies These strategies are designed to increase students ability to
                                             -Cumulatively review information read.
                                             -Sequence information.
                                             -Summarize paragraphs and issues.
                                             -State main ideas in a few words.
                                             -Predict and check outcomes.
                                             Summarizing and note taking:
                                             Create a personalized, parsimonious account of the information gleaned
                                             from a critical- input, experience into they own abbreviated form.
                                             Non-linguistic representation:
                                             -Mental images associated with one’s experiences.
                                             -Creating graphic representations, physical models, generating mental
                                             pictures, drawing pictures and pictographs and kinesthetic representation.
-Memory devices: mnemonic strategies (help students memorize material
                                            such as facts).
                                            - Memorization is remembering without conscious mental effort.
                                            -Use appropriately memory techniques involve higher- level though process.
                                            -Students must understand information before a memory technique is
                                            employed.
                                            Questioning:
                                            -Inferential questions require students to elaborate on information they
                                            have experienced
                                            -Elaborative interrogation: questions that have the basic design: Why would
                                            that be true?
                                            Reflection:
                                            -Students reviewing a critical- input experience and identifying points of
                                            confusion.
                                            -Asking students to identify and record their areas of confusion not only
                                            enhances their learning but also provides the teacher with valuable
                                            diagnostic information.
                                            Cooperative learning:
                                            -Interacts in groups about the content.
                                            -Allows students to experience content as viewed from multiple
                                            perspectives.
                                            -Facilitates the learning of complex procedures (pairs and triads).
Action steps
Action step 1. Identify critical- input     Understanding the content in this section is a vital first step on the way to
experiences.                                meeting a learning goal.
                                            Critical- input experiences can be a lecture, a video, etc…
                                            A unit with two learning goals might have four to six critical- input
                                            experiences.
Action step 2. Preview the content prior    Helps students activate prior knowledge.
to a critical- input experience.            Ask students what they think they know about the topic. Emphasize the fact
                                            that students do not have to be sure about their information.
                                            Point out the connection between content previously addressed in class and
                                            content that is about to be presented in a critical- input experience.
                                            “Keep the following question in mind” meanwhile you watch a video or do
                                            the activity.
                                            The teacher describes the highlights of what students will be reading (orally
                                            or written).
                                            Skimming
                                            Teacher provides students with an outline of the important content.
Action step 3. Organize students into       Interacting in groups provides students with multiple reference points.
groups to enhance the active processing     See how others react to his or her processing of information.
of information.                             As small as two or as large as five.
                                            Operating rules should be established (provide examples).
Action step 4. Present new information      The more students know about the content, the larger the chunks can be.
in small chunks and ask for descriptions,   During the demonstration the presentation is stopped and the students
discussion, and predictions.                discuss the information.
                                            Compare and contrast composition for overall logic.
Action step 5. Ask questions that require   Asking questions that require them to go beyond what was presented in a
students to elaborate on information.       critical- input experience.
                                            General questions:
                                            -Using their background knowledge (default inferential).
                                            -Use the information provided in the critical- input experience to infer what
must be true (reasoned inferences). To generate conclusions.
                                          Elaborative questions:
                                          -The teacher tries to make explicit the thinking the students are using to
                                          generate his/her answer.
                                          -Teacher would have periodically stopped and asked students to restate or
                                          paraphrase the content.
Action step 6. Have students write out    Notes:
their conclusions or represent their      -It is not advisable for students to take detailed notes during the small
learning non-linguistically.              chunks presented. This might distract their attention from the content. They
                                          can write down words and phrases that represent key ideas.
                                          -Notes can be taken as graphic representations, pictographs, and pictures.
                                          -Each student creates his/her own notes. This ensures each student will
                                          have the material in his7her own way of processing information.
                                          Graphic organizers:
                                          -Characteristic pattern.
                                          -Sequence pattern.
                                          -Process/cause pattern.
                                          -Problem/solution pattern.
                                          -Generalization pattern.
                                          Dramatic enactments:
                                          -Students physically act out or symbolize the content.
                                          Teacher asks students to explain how their enactments represent the
                                          important information from the critical- input experience.
                                          Mnemonic devices employing imagery:
                                          -Only after students have processed information thoroughly.
                                          -If you use symbols and subtitles it becomes relatively easy to create images
                                          for even abstract concepts such as these.
                                          -rhyming peg-word method.
                                          Academic notebooks:
                                          -A compilation of entries that provide partial records of the instructional
                                          experiences a student had in her or his classroom from a certain period of
                                          time.
Action step 7. Have students reflect on   Three reflection questions students might address
their learning.                           -What they were right about and wrong about…
                                          -How confident they are about what they have learned…
                                          -What they did well during the experience and what they could have done
                                          better…
                                          All the questions would not be asked after every critical- input experience.
                                          Select one.
                                          It’s a form of evaluation regarding how much students have learned that
                                          class period.
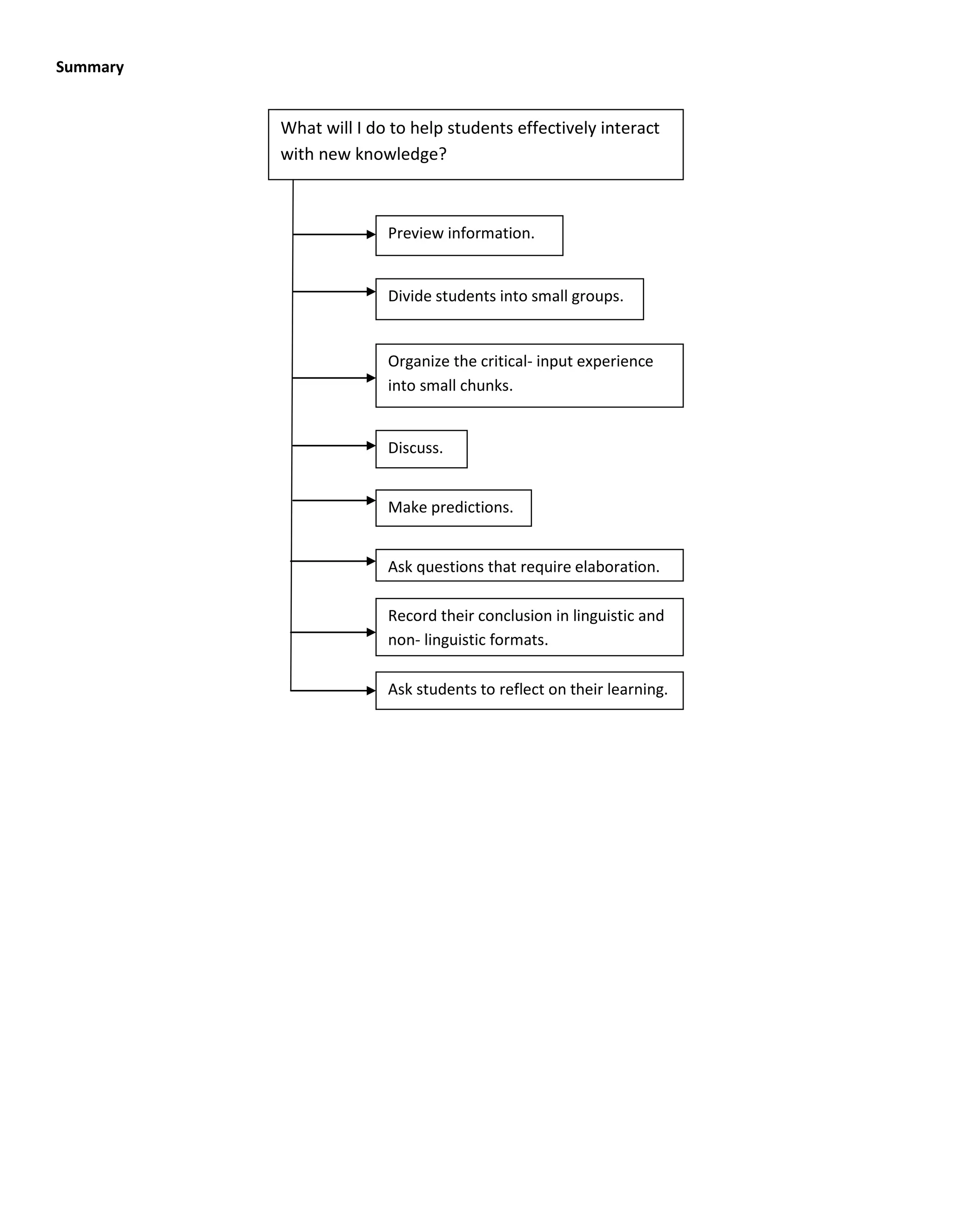
Summary


          What will I do to help students effectively interact
          with new knowledge?



                        Preview information.


                        Divide students into small groups.


                        Organize the critical- input experience
                        into small chunks.


                        Discuss.


                        Make predictions.


                        Ask questions that require elaboration.

                        Record their conclusion in linguistic and
                        non- linguistic formats.

                        Ask students to reflect on their learning.

Chapter 2 marzano

  • 1.
    Chapter 2. Whatwill I do to help students effectively interact with new knowledge? To increase students’ understanding of the content inherent in these experiences, teachers should facilitate students’ actively processing the content. If students understand the content provided in the critical- input experiences, they have a good start towards the accomplishment of learning goals. In the Classroom Prior to do the activity, students are asked if they have ever seen or read anything about the topic. Emphasizing that he does not expect them to know anything yet. The ideas are briefly summarized on the whiteboard. Theory and Research The need for active processing on the part of students. The basic generalization has been that learners must be actively engaged in the processing of information and that the teaching and learning process involves an interaction among the teacher, the students, and the content. What is needed is a comprehensive approach that allows for students construction of meaning while interacting with the content, the teacher and other students. Comprehensive Critical input Those learning experiences that are critical to understanding new content approach: to experiences should be identified and highlighted by teachers. identify those Even though all students had the same basic experiences, they recalled experiences different things. that present Different types of critical- input experiences produced different effects on important new students content to -Visual instructions generate mental pictures students. -Dramatic instruction -Verbal instruction Previewing Previewing: students thinking about the content they will encounter in a critical- input experience. Students are involved prior to the actual presentation. Cues: direct link between new content and content previously taught. Small chunks The extent to which the teacher organizes the experience into small chunks. Teaching in small steps: fits well with the findings from cognitive psychology on the limitations of our working memory. Too much information swamps our working memory. The teacher is the only one who can determine the nature and size of these chunks. The teacher knows his/her students’ level of understanding of the content in the input experience. Active It integrates the more specific strategies of summarizing, questioning, processing using clarifying and predicting. macrostrategies These strategies are designed to increase students ability to -Cumulatively review information read. -Sequence information. -Summarize paragraphs and issues. -State main ideas in a few words. -Predict and check outcomes. Summarizing and note taking: Create a personalized, parsimonious account of the information gleaned from a critical- input, experience into they own abbreviated form. Non-linguistic representation: -Mental images associated with one’s experiences. -Creating graphic representations, physical models, generating mental pictures, drawing pictures and pictographs and kinesthetic representation.
  • 2.
    -Memory devices: mnemonicstrategies (help students memorize material such as facts). - Memorization is remembering without conscious mental effort. -Use appropriately memory techniques involve higher- level though process. -Students must understand information before a memory technique is employed. Questioning: -Inferential questions require students to elaborate on information they have experienced -Elaborative interrogation: questions that have the basic design: Why would that be true? Reflection: -Students reviewing a critical- input experience and identifying points of confusion. -Asking students to identify and record their areas of confusion not only enhances their learning but also provides the teacher with valuable diagnostic information. Cooperative learning: -Interacts in groups about the content. -Allows students to experience content as viewed from multiple perspectives. -Facilitates the learning of complex procedures (pairs and triads). Action steps Action step 1. Identify critical- input Understanding the content in this section is a vital first step on the way to experiences. meeting a learning goal. Critical- input experiences can be a lecture, a video, etc… A unit with two learning goals might have four to six critical- input experiences. Action step 2. Preview the content prior Helps students activate prior knowledge. to a critical- input experience. Ask students what they think they know about the topic. Emphasize the fact that students do not have to be sure about their information. Point out the connection between content previously addressed in class and content that is about to be presented in a critical- input experience. “Keep the following question in mind” meanwhile you watch a video or do the activity. The teacher describes the highlights of what students will be reading (orally or written). Skimming Teacher provides students with an outline of the important content. Action step 3. Organize students into Interacting in groups provides students with multiple reference points. groups to enhance the active processing See how others react to his or her processing of information. of information. As small as two or as large as five. Operating rules should be established (provide examples). Action step 4. Present new information The more students know about the content, the larger the chunks can be. in small chunks and ask for descriptions, During the demonstration the presentation is stopped and the students discussion, and predictions. discuss the information. Compare and contrast composition for overall logic. Action step 5. Ask questions that require Asking questions that require them to go beyond what was presented in a students to elaborate on information. critical- input experience. General questions: -Using their background knowledge (default inferential). -Use the information provided in the critical- input experience to infer what
  • 3.
    must be true(reasoned inferences). To generate conclusions. Elaborative questions: -The teacher tries to make explicit the thinking the students are using to generate his/her answer. -Teacher would have periodically stopped and asked students to restate or paraphrase the content. Action step 6. Have students write out Notes: their conclusions or represent their -It is not advisable for students to take detailed notes during the small learning non-linguistically. chunks presented. This might distract their attention from the content. They can write down words and phrases that represent key ideas. -Notes can be taken as graphic representations, pictographs, and pictures. -Each student creates his/her own notes. This ensures each student will have the material in his7her own way of processing information. Graphic organizers: -Characteristic pattern. -Sequence pattern. -Process/cause pattern. -Problem/solution pattern. -Generalization pattern. Dramatic enactments: -Students physically act out or symbolize the content. Teacher asks students to explain how their enactments represent the important information from the critical- input experience. Mnemonic devices employing imagery: -Only after students have processed information thoroughly. -If you use symbols and subtitles it becomes relatively easy to create images for even abstract concepts such as these. -rhyming peg-word method. Academic notebooks: -A compilation of entries that provide partial records of the instructional experiences a student had in her or his classroom from a certain period of time. Action step 7. Have students reflect on Three reflection questions students might address their learning. -What they were right about and wrong about… -How confident they are about what they have learned… -What they did well during the experience and what they could have done better… All the questions would not be asked after every critical- input experience. Select one. It’s a form of evaluation regarding how much students have learned that class period.
  • 4.
    Summary What will I do to help students effectively interact with new knowledge? Preview information. Divide students into small groups. Organize the critical- input experience into small chunks. Discuss. Make predictions. Ask questions that require elaboration. Record their conclusion in linguistic and non- linguistic formats. Ask students to reflect on their learning.