Catullus B
n A ( x ) F
⇐% '
Recall the integral
i i
I I
SI fltldt of a Continuous function
<
v
a x
>
f is defined by the area which changes as × Changes
( ALX ) is a function of × )
Fundamental Theorem Of Calculus
Given FLX ) = SI flt ) dt
Then
F'L×)_ =
day f I fltldt
⇐
DX
= f ( x )
We call F an anti derivative for f
LF is not unique : if F is an anti derivative for f then
SO is F +
C for any Constant C)
( F + C)
'
= F
'
= f
Ex :S sink )d×= ?
Looking for FCX ) st .
F
'
( × ) = sink )
Take F = -
COS ( × )
→
F
'
=
-
C- sin ( x ) ) =
sin ( × )
.
'
. S sink )d×= -
cos ( × ) + C
Logarithmic Functions
Def :
We define the log function LNLX ) by
Lnlx ) =
Sf aft ,
× > 0
( In ( × ) )
'
=
,÷
Recall :
Ln ( x ) =
S ,×
¥
Recall :
gglx
)
f (E) At
a
=
g
'
( × ) f (
g ( × ) )
Derivative of Ln ( 1×1 )
Ln 1×1 =
{
↳ ( x ) × > o
Ln C- x ) × < 0
Fdx ( Inc -
x ) ) =
day ( Sjxdzt )
=
-
i .
÷×=t
SO a£ ( In 1×1 ) =
tx ,
× ¥0
This means that Ln 1×1 is an anti derivative for £ :
f d¥ = In 1×1 + C
More
generally
S ¥ dx = 1h If I + C
because substitution :
U = f ( x )
du = f
'
d X
so
s¥dx= S out
=
Lnlul + C
=
Ln If ( X ) I +
C
) ¥+5 = at Lhlaxtbl + c
) a×÷bd× = Lhlaxtb I +
c
Exponential Function
Denote the inverse of the Lncx ) by e× or exp ( × )
E call it the exponential function
→
exp ( Ln ( × ) ) =
× × > 0
Lh ( exp ( X ) ) = X for all X
Domain Range
Ln ( x ) × > 0 ( -
oo
,
a )
e× ( -
oo .co )
y
> 0
Derivative of ex
X = Ln ( ex )
Diff both sides wrt ( w/ respect to ) X :
1 =
(E)
.
et ( chain rule )
& ex
.
'
.
Fx ( ex ) =
e
×
More
generally
:
Derivative a×
,
for any a > 0
a× =
exp ( Lh ( a
×
) )
=
exp ( × Ln (a) )
otdx ( a× ) = Lh (a) exp ( × Ln (a) )
=
Lh ( a) exp ( Ln ( ax ) )
= ( Lh ( a ) ) .
ax
Def :
Log Functions
109 b
×
is defined by the inverse Of b×
Change of base Formula :
69 b
( x ) =
#
Ln ( b )
Derivative of Log bx Using this Formula
=
-1
Lh ( b ) ( I )
Example
MI
to curves )
TGT
Find the TGT line to
y
= 4 -
Zex + Ln
( ¥122 )
at ×=0
Recall equation Of TGT to a function flx ) at
( X o , y o
) is :
y
-
yo =
( If
Here f=y
d×
/
( xo ,
) ( ×
-
Xo )
day =
-
zex +
( ¥1 )
'
'
T.tn ,
( tT# )
'
=
-2×4*2*1
( I +
× 2)
2
so ddhtx |×=o = -
2e×l×=o
=
-
z
y
-
2 = -
2 ( ×
-
o )
y
=
-
2×+2
Inverse of Trig Functions
1. arcsin ( x ) Or sin
'
'
( × ) is the inverse of sin ( × )
sink ) ( I ,
1 ) EE ,
-1 )
arcsih ( × ) ( i
,
E) ( -1 ,
-
E)
i¥¥sink ) [ 9¥I,
#
a ]Eating ]
arcs in ( × ) [ -
1
,
1
] [ -
tlz ,
tlz ]
Derivative
ddx ( arcs in ( × ) ) = ?
sin ( arcsin ( × ) )=× by definition
NOW diff both sides :
( arcsin ( × ) )
'
coscarcsinlx ) ) = I ( chain rule )
( Os ( arcsin L × ) ) = Fearon ( x ) )
= -1- ( sihlarcsih ( × ) ) 72
=
#
Why positive ?
range of arcsinlx ) is [ -
72,72 ]
and over E 't
12 ,
172 ] ,
cos is 20 ( positive )
( arcsincx ) )
'
=
-1
. × 2
ftp.xgz-arcsincxstc
2 .
arctan ( × ) or tah
-
'
L × )
Derivative
* ( arctah ( x ) ) =
?
tan ( arctah ( x ) )=×
( arctan ( x ) )
1=11+ ×
2
f My = arctan ( x + c )
EX : Do the same for arcos ( x )
Application of Log Functions to Differentiation
Ex :
Find the derivative of
Y = ( 1 + z× )
tan
- '
( x )
* take In of both sides
lny =
tan
-
'
( x ) In ( I + ZX ) * differentiate
yj
=
¥2 in ( 1+2×1 + arctancx )
( ¥ ) * substitute
y
'
=
(( i + zx )
tank '
) # zlnutzx ) + tan
-
'
L × )
(B) )
similar problems in
prereq ( log diff )
Application of Differentiation
1
.
Assuming that you're standing in one place over
time OELE 10 ( min . ) what is the total distance
that you cover during this time .
Let's say × Lt ) is distance travelled at time t .
Speed = 0 → dtae =
0
#s x ( 10 ) -
x ( o ) =
fob (daxz ) At = 0
2. Population of bacteria
y Lt ) grows according to
dY- =
-1
At 1 + 4+2
what is the total
change in population during
0 It E I ?
y ( ÷ ) -
y LO )
Sindh ) at
S
'
oh 147 at
U =
Zt
du = Zdt
Edu = At
U = ZCO ) =
0
U =
2L
'
12 ) = I
Sol ¥ .
tz du
I ( arctancu )
) to
± ( IT -
o
) =
E
Integration Using Substitution
1
.
g
1 + 2×3 dx
1 +
×
2 +
×
4
U = It XZ +
×
4
du = ( 2×+4×3 ) d ×
I du = ( × + 2×3 ) d ×
f tz f du
tz In 1 I + ×2 + × 4 I + C
Integration Techniques
I =
S¥ra×.
S #4 ( l -
914×2 )
⇒ era
⇒ :* .
U = 3/2 ×
du = 312 DX
213 du =
DX
{ gear
→
a *
's sin
-
'
( U ) +
(
's sin
-
'
( I x ) t
C
I =
fly
" '
feet at
U =
et
du =
etdt
e
°
= 1
e
Ln (2) =
2
2
S ,
# du
tan
- '
( U ) / ?
tah
-
'
(2) -
tah
-
'
( 1 )
tah
-
'
( 2) -
74
Exponential Growth E
Decay
3 .
'
12 life = 138 days
y ( 138 ) = £ y ( 0 )
£ P = pek ( 138 )
£ =
e
1 38k
In tz =
In e
138 k
-
In 2 =
138k
K =
-
1h2138
4 .
tz life =
5730
years
55% left
tz =
e
5730 k
-
In 2 = 5730k
K =
- ' h
2/5730
. SS =
e
¥2 t
In ( SS ) =
is'F÷ot
t =
-
5730 In C. Ss )
In 2
-
In (2)
Growth Constant =
K =
half lifetime
Application of Integration :
Area Between Curves
A= 58 ( f ( × ) -
g ( × ) ) dx
A =
Set ( f (
y ) -
g (
y ) ) dy
Ex :
Find the area between y=x3
-
× E y
=3 ×
^
•
×
3 -
× =3 X
•
X
3 -
4× = 0
× ( ×2 -
4) =
0
HX ( x + 2) ( × -
2) =
0
. S -4 ( ×
3 -
×
-
3×1+502 ( 3×-1×3 -
× ) )
S -9 ( x
3 -
4× ) + 502 ( -
× 3+4 × ); ÷, ×4 -
2×2 Kz + -
tax
4+2×420
-
(4) (16) +
(2) (4) + ttu ) ( 167+2 (4)
-
4 +
8 -
4 +
8 = 8
Volume of Solids Using Area of Cross Sections
LW =
A .
ax
→
V e
E A
.
ax
a E × Eb
→
V =LFo ( [ A .
A X )
Assume :
A is only a function Of ×
V =
Sba Ak ) dx
Ex :
zn
Find the volume Using vertical
• 4
cross sections perpendicular to
× -
axis
" '
% ,
•
2 Y
> LW = ( Ih( × ) .
y ) .
ax
L7 -
3 • At A
×
l
na
,
Need to find h G y in terms of × :
h ( x )
A''
s ,
Y
:
y^z
( 0,2 )
v
17< >
ax
y < >
✓
3
×
( 3,0 )
Slope :
-
2/3
y
-
0=-43
( ×
-
3)
YI-
2/3 X +2
h : 4 ( 0,4 )
3
s x
✓
z ( 3,0 )
Slope :
-
413
z -
0 = -
413 ( ×
-
3)
z =
-413×+4 c- h( X )
V=
'zf3o ( 81A ) ( ×
-
3) 2dx
Recall :
Volume of Solids
2^4
IV =
£ (
B.
h ) ( Ox )
^ "
1
,
h|% v =
IS ? ( Bxh ) dx
a
2 Y
✓
c-
Fox
XLz
0×
b
2
r
h :
4
^
h ( × ) =z(× )
*✓
~
3
s ×
= -
413 ( X -
3)
B : Y ^
2 BCX ) =
y ( X )
BUY>
×
= -
2/3 ( ×
-
3 )
v 3
Example
Solid whose base is the region bounded by
y=×3 n
2
y
= 8
y
-
axis 8 y
1 >
Find the volume when the
 '
cross section perpendicularX /
u /
to the y
-
axis is :
t
(a) square
÷g¥%yk%.→.
,
II.ftp.sargsssection
xy
-
plane
Y^
8 - - -
Ty
=×3
*.
< s
X (
y
) =y"
3
=B( y )
✓
x V=S°8 y "3dy
b)
rectangle of height Ty
#
ry
#
×
I area of Cross section =×Vy
f
V=So8(×Vy)dy
- Day
C) semicircle
area of Cross section =
'ztr2
F#y
=
'zt( E)
2
g- goy
V=tzTSo8¥dy=÷o # 5084213dg
IB
Density
Case 1 : Linear Density
Consider the rod with density P that is constant
along each vertical cross section G
)( '
'
) changes continuously'
→ P is a continuous function OTX
yro×~P
a LM= mass of a small slice
a AI H =e( × ) .
ax
( l I 1 ) - -
v a ×
bxdensity length
Total Mass = M
a E e ( × ) .
Llx
a Ex I b
As a × → 0 : M = Sba e ( × ) dx
Def : We call @ ( × ) the linear mass density function .
Example :
Find the total mass of 5 meter rod with
@ ( × ) = I
0£ x ± s
( l + ex )
2
M=
f so
¥7,2 dx
Case 2 :
radial density
Disk of radius R with density e :
-
function of radius
-
E
-
changes continuously
.
g¥=f⇐r
Mass of Small Strips :
4Mt ( Ztr .
Ar )
M = Zt for ( r .
e ( r )
)dr
Def :
C ( r ) is called radial density function
Example :
The population in a
city is distributed
accordingto the density function :
P ( r ) = 8-0
01 re 3
9 + r2
Find the total population
M=
Ztf 30 Lr .
a8¥rz ) dr
= 80 ITS } {+4-2 dr
Def :
Average of
,
a continuous function over [ a
,
b ] :
b -
a
fab f
MVT :
f ( c) ( b
-
a) =
S by f
f ( C ) =
1
f by f
b -
a
Volumes of Revolution
Disk 1 Washer Method
f
Yn
,
Rotate the region given by
- - -
#
y=f(× ) over [ a
,
b ] E.
a<
trdhEtffD
'
Ina+EYoiImeof small slices
✓
EH =
II.
Iravecitrz
) -
ax
⇒
What is R ?
R = fc × )
LW =
( IT ( f ( × ) ) 2) .
<×
Ve E ( IT ( f ( × ) )2 ) .
DX a E X E b
V =
S ba IT ( f L × ) )2d× = IT
fba Lf(×D2d×
Washer
n flxl Rotate the region bounded
Y
-
by y=fC× ) , y=g ( x ) over
nigcx)
I
[ a ,b ] along × -
axis .
' ' '
<
&y¥÷ppµ§}
what is the volume ?
v
- fix
,E#µff
tratertrinner
g ( × )
small volume
-
area of cross section .
DX
=
#Router
2 -
TR
inner
2) DX
V = IT fab #( x ) )2 -
( g ( × ) )2) DX
We Can similarly find volumes of revolutions if the
rotation axis is the
y
-
axis or x=a ( vertical lines )
Or y=b
Example :
region bounded by y=4 -
×2 and ×
-
axis
^
4
and y
-
axis
m )
v 2 ×
Find the volume when axis of revolution is :
(a) the X
-
axis .
LW _~(#R2 ) DX
ftp.tlff# FR = it ( 4- xztax
If V =tf2o ( 4- ×2)2d×
b) the line
y=
-
l
'
⇐
ftp.t#=ffMtrou+eruin
.
⇒
V= IT
fo2 ( ( flx ) +112 -
(1) 2) dx
V= IT f2o ( ( S + x2)2 -
1) dx
=
If } 25+10×2 +
×4
-
ldx
: IT
f2o
X
"
+ 10×2+24 DX
= it
( st ×
5
+
If ×
3+24×1/20
= IT ( 325 +
3k + 48 )
V =
fab ( HR2ou+er
-
HRZ
inner
)d×
C) × =3
#
V= IT
504132
.
( 3 -
f-
'
( y )12 ) dy
##_#i#
Find f- '
(
y ) :
f-
'
C
y )
, y =f( × ) = 4 -
×2
3
X 2=4 -
y
ginner ×=±Fiy
Efi IQY
f- '
C
y ) =
Fy
e-
Router
Cylindrical Shells Method
, :#⇒ ,
.is#y.t=l-=====I-
*
-
a
¥-7,
ou
= I→nI
.
IIt < >
c- ZTR
R
Volume of shell :
OV e ( ZTR ) .
h .
DX
R ( × ) = ×
h ( × ) =f ( × )
V =
Zit Sab X. f ( × ) dx
Remark :
Similarly for when the axis of rotation is
-
×
.
axis
-
×=a
-
y
=
b
Example
:
Region :
y = 4 -
×
2
×
-
axis
4
h¥¥EIH#€ .
tea
3 R ( × ) o
#
a
n
; I
<
ZTR
>
hlx ) = f ( × )
R ( x )
=3-
×
DV a
21T ( 3 -
× ) .
f ( × ) -
4 ×
V = Zit
f 20 ( 3 -
X ) f- ( X ) DX
= ZT
f 20 ( 3 -
× ) ( 4 -
× 2) dx
Volume of Revolutions
.
Washer / disk method
⇐ * Radius
<
R
.
Cylindrical shells
*
-
InTthcx )
=¥ ,
*
Height
Example :
Region y=-×2+2×_
i.ph;
Y=×
f ( × )
and y
= X
I
Rotation :
y
-
axis
•
× =
-
XZ + Zx
x2 -
×=O
==
Inner
× ( x
-
1) =O
I#¥T
-
x=O ,
1 ,
Fit 'I0Yx -
-
0VeTR2ou+er -
TR ?nner Lly Router
Router =y ( x=y )
Rinner = f.
'
(
y
)
Find inverse :y=
-
×2 + Zx
y
= -
( ×
-
1) 2+1
y
- 1 =
-
( ×
-
1)
2
( × -
1) 2=1 -
Y V= it S 'o( yz -
try +
1) 2) dyx
-
i =
try
× =
Iffy +1 =
f-
'
( y
)
Application of Integration : Work
Work = force x
displacement
When force is only given by gravity ,
then
Force = mass ×
acceleration
e
10
F =
m
.
g
m = Mass =
density ×
length
:-
linear density
( like rod )
Example :
100 meter chain attached to a 300 meter
building
G chain has
weight =
300kg
HOW much Work is done when chain is lifted to
the top ? ( chain has uniform density )
^
^
Ioy { ✓
loom
OW e
( force ) ×
displacement
y
. - - - -
-
y 30L F
F =
mass
.
g
v v
Density =
300 ÷
100=3
Mass = 3
'
length
= 3 '
ay
→ F = ( 3.
Qy )
.
9 g
=
10
F = 30 .
ay
QW ±
( 30 .
ay ) .
y
→
W =
flow ( 30 .
y ) dy
HOW much force is done to pull half of the chain to
the top ?
^ For the top half :^
} 100 m
W+op half
=
580 ( 30 .
y ) dy
300
V
m
y
* For the bottom half :
v v Owe ( 3. Oy
.
g ) .
so
W
bottom half
=
SSF ( 30 ) ( SO
)dy
Wtotal =
Wtop half
+ W bottom half
Recall from last time :
Find the Volume of the solid
Obtained by rotating the region
:
y =×
, y
= -
×2+2×
about the
y
-
axis
Can Use the shell method
-
o
#
F¥t
If h
÷ ZIX
: V = ZHS x. hcx )d×
=
ZTSX ( f ( x )
-
g ( X ) )d×
= ZTSX ( -
XZ + Zx -
x ) DX
Y=fC × ) = ¥2
Rinner I
# I Router
× = -
1 a
* a. ox
X
-
axis
,  1 1
11 1 1 11 1 1 1
Y =2
y
-
axis
Iaea.
'
axis of rotation :
y=2
DV a ( IR2ou+er
-
TR Zinner ) DX
Router =
2
R inner
= 2 -
f ( × ) = 2 -
¥2
V =
IT SQ, 22 -
( 2 -
¥ )2d×
#
# YIYTIZYZ . 1 -
( it (E) 2.1 )
ztpf/
V 2
1¥ =
IT ( 4 -
÷ ) =
IT (E)
Vi
Vz =
ZITS in ( 2 -
y ) (
T
-
1)
dy ¥#y
R = 2 -
y
h =
f-
'
( y ) -
( -1 )
h =
yt -
2 +1 =
ty -
1
Work :
Ex :
A 10 M Chain with non
-
uniform density
e (
y ) =
e
9
kg / M
0 E
y E 10 ( A )
Q I ) What is the work done for lifting the chain
Straight up so that A is 10 m above ground
n
•
A
"
.
→
.
fyis
EYE.EE#yFehaa9nmgnt
=
mass .
g
✓ A
we
Force e ( C ( y
) .
oy ) .
g
owe ( e (
y ) .
oy
.
10 ) .
y
W =
58 ( e ( y ) .
10 ) .
y dy
=
10 S to EY .
y dy
↳
integration by parts
QZ ) What is the work done if we now lift the
whole chain to the top of the building ?
,
of oyq•fAy→
→
^y
0W=
Erg
.
displacement
e. (
y ) .
oy .
g-10 -
y
21 3 ^
Density of liquid : 500
kg1m3< > ^
Work done to pump all
liquid to 2 m above the
- ^ Opening ?
=
12 (
g= 10 )
6
y I
✓ v
=r ( y )
AW = Force .
Displacement
F = mass
.
g
Mass =
Density XOV
DV a
IT ( rcy ) )2 Lsy
F a 5001T
r2Dy(10 )
owe
SOOOTRZOY
.
displacement
r ( y ) =3hzy=Y4y
5000T Sob ( tty )2 ( 14 -
y )dy
Integration by Parts ( 7 .
1 )
¥ ( U ( × ) V ( × ) ) = U
'
( × ) V ( × ) + U ( x ) ✓
'
( x )
S day Luv
)dx=fv dofxdx +
Su odttxdx
* DV
=
fvdu +
fudv
fUdV= UV -
fvdu
EX :
I =
f XCOS ( 3×+2 )dX
U=X dV=COS( 3×+2 )dX
du=dX V = 's sin (3×+2)
Xl 's sin (3×+2) ) -
S 's sin ( 3×+2 )d×
's × sin (3×+2)
-
's (
-
'
5) COS (3×+2) + C
Ex : 5×3 In ( × )d×
Ut lhlx ) dv=×3 DX
du =
txdx v =÷i×4
In ( × ) ÷i×4 -
S tax "
(E) DX
÷×1n( × ) -
S 't ×3d×
tax 1h ( x ) -
tax
4
+
c
Ex : Sarctan ( x ) dx
Sarctahlx ) .
1. dx
u= arctan ( x ) dv = Idx
du =
¥ dx V =
×
Xarctan ( x ) -
S ×
-
txdx
Xarctan ( x ) -
I In 11+1121 +
C
Slnlxldx
U=|n( × ) dv=dX
du=
xtdx v=×
lncx )× -
Sxxtdx
xlnc × ) -
Sldx
Xln ( × ) -
× + (
f×e×2dx
U=×2
dU=ZXdX
÷du=XdX
"
zseudu
'
zeutc
÷e×2 + C
Numerical Integration
Aim :
to approximate definite integrals
( of functions that are hard to integrate )
Method I :
The Midpoint Rule
f
fcc ) -
•
Divide [ a ,
b ] into
F=✓=
Sub intervals of size
.
. -
-
- -
-
ox =
be
-
- -
=
- - -
-
N
IFT,
. .
.
.
=b •
C ,
:
midpoint of the first
< ) a > a >
ox ox ox interval
•
approximate SE+0×f by i
•
Repeat } sum :
the nth midpoint approx of
Sba f
^
MN =
DX ( f ( C ,
) + f ( ( z
) + . .
.
f ( Cn ) ) FC ( ,
)
< >
-
ox
Method 2 : The Trapezoid Rule
f
•
Approximate SI'of by area
Y , - Of
^
•
-
^
Y%~=
You-4
'
ztoxcyoty ,
)
-
C >
-
.
-
ox
xo=a=,x ,
,xz
To •
Repeat ESUMUP
c > a > < >
ox ox Ox
£ ox ( yo
+
24 ,
+
Zyzt . . . +
ZYN -
,
+
YN )
Method 3 :
Simpson 's Rule
p ,
f
•
Take 2 adjacent sub -
n intervals [ Xo ,
X ,
]
,
µ•¥Yz✓=
[ x. ,
Xz ]
⇐i
-
-
-
•
Consider the parabola P ,
= .
-
-
-
passing through f ( Xo ) ,
.
-
-
a--
-
b f( × ,
)
, { f( Xz )
to t.dz •
Approximate S Itf< > < s
ox ox
by SIE P
,
dx
=3 ( Dx ) ( yo
+
4y ,
+
yz )
•
Repeat E add up SUM :
SN = 's DX ( yo
.
1
44 , +242+4 Yost
. . .
+
Zyn -
z
+
44N .
,
+
YN )
*
Note that N has to be even
Math 10360 – Example Set 05A
7.9 Numerical Integration
Midpoint Rule. Estimate the area under the graph of f(x) = e x2
over 0  x  2 using Midpoint
rule with four sub-intervals. (Text notation: M4).
0
1
0.5 1 1.5 2 x
1
• • • •
o × =
2
I
°
= I
M 4
= £ ( f ( I ) + f ( ÷,
) + f ( I ) +
f ( I ) )
=
I ( e
-
l ÷ )
2
+
e
-
C I )
2
.
e
-
C E ) 2
+
e
-
( ÷ I 2
)
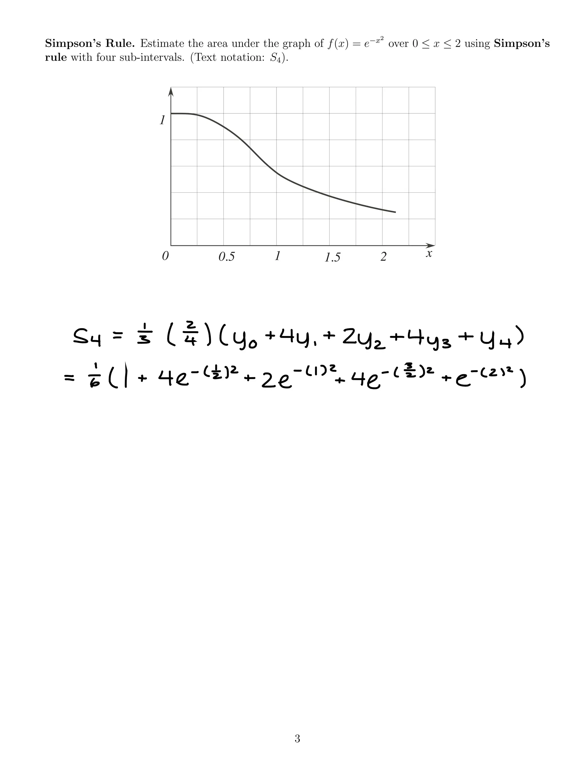
Simpson’s Rule. Estimate the area under the graph of f(x) = e x2
over 0  x  2 using Simpson’s
rule with four sub-intervals. (Text notation: S4).
0
1
0.5 1 1.5 2 x
3
54 = 5 ( ¥ ) ( yo +44 ,
+
Zyz+4y3 +44 )
= to ( 1 + 4e
-
( £12 +
ze
.
' ' '
2+4 e-
C E) 2
+
e-
( 2 "
)
Integration by Parts
( Indefinite Integrals )
Recall
:S udV= UV
-
SVDU
For definite integration :
Sba udv = Uv 13 -
fbvdu
a
Ex :
Sotxcosxdx
U= × dV= COSXDX
du=dx V =
sihx
xsihx lot -
SE sinxdx
ITS int -
( -
Cos × IE )
0
-
L -
COST + cos 0 )
0 -
( 1 + 1 )
-
2
Trig Integration Techniques
5 sin ( ZX ) ( OS ( 3× ) DX
E 5 sin ( 2×+3×1 + sin ( 2×-3×1 dx
I Ssihcsx ) +
sin C- x ) dx = £ Ssihcsx ) -
sin ( × ) dx
I ( -
stcos ( Sx ) +
COS C- x ) ) + C
5 COS
2
( X ) d X
f 1¥54 dx =
I f 1 +
cos CZX )dx
I ( × +
'
zsinlzx ) ) + C
5 sin 2
( Zx )dX
f lazy =
lz f 1 -
COS ( 4× )
55in 4
( X ) DX
S sin
2
( × ) .
sin
2
( × ) d ×
f ¥4
.
t.co#ax=f*2xftcoI2Idx
LT f I -
ZCOSZX + COS 2C Zx ) DX
LT f I -
ZCOSZX +
1 + COS ( 4 x )
d×
z
f- ( × -
sin Zx +
÷ ( x +
÷ sin ( 4 × ) ) ) +
C
Remark :Ssin
6
( × ) dx = sin
2
( × ) .
sin 4 × ) .
sin
2
( x ) dx
=
S ( In )
3
so this is the strategy that we follow to integrate
Ssihm ( x ) dx ,
SCOSM ( x ) dx ,
When M is even
S sins ( × ) dx
S sin
"
( × ) .
sin ( × ) DX
S ( sin 2
( × ) )
2
.
sin ( × )d×
S ( l -
COS
2
( × ) )2 sink )dX
U =
cos ( × )
du = -
sink
)dx-
du = sin ( x ) DX
-
S ( 1 -
U 2) 2
du
-
S 1 -
242 + U4dU
-
( U
-
Eu 3 + 's Us ) + C
-
( COSX
-
=3 COS 3×+5 COSSX ) +
C
Remark : This is similar for any odd powers of sin E
Cos
50*2 COS (5 × ) COS ( X ) d X
I S 5
' 2
cos Csx + x ) +
COS ( sx -
× ) d ×
£ SE
' 2
COS ( 6 × ) +
COS ( 4 x ) DX
£ ( to sin ( 6 × ) +
Is in ( 4 × ) 1 512
I ( to sin ( 3 Hk't sin ( Zit ) -
0 )
¥0
)
Integration Method :
Partial Fractions
Ex : 3×-7 A
+
B ( A E B are
( ×
-
2) ( ×
-
3)
=
×
-
2 ×
-
3 constants )
Multiply both sides by ( X
-
2) ( ×
-
3)
3×-7 = A ( ×
-
3) + B ( × -
2) *
× =3 ¥-9 -
7 =
BC 3 -
2)
B=2
× -
zinxns -
1 =
A (2-3)
A = I
3×-7 I 2
+
( X -
2) ( ×
-
3) ×
-
Z X -
3
Alternatively
:
To find A. B :
Compare coefficients in *
X 3 = A +
B
Constant
-
7 = -3A -
ZB
Solve for A E B
53×2*7+60=5#z +
Fax
=
In 1×-21 + 21h 1×-31 + C
Remark : PFD :
Distinct Linear Factors
p ( × ) , qlx ) polynomials
if degree (D) <
degree ( q )
{ q( × ) = ( ×
-
q , ) .
. .
( ×
-
qn )
Then We Can find A. . . .
,
An
'
=q=×A÷q .
+ .
.
.
team
Def :
We Call ±a with deg ( p ) < deg (
q ) a proper
rational function
E × : 2×3 + ×2 -
×
-
1
2×2 -
×
deg ( p ) =3 > deg ( q ) =
2 → not proper
1×+2×2
-
× 2×3
+ ×
2
-
×
-
1
2×3-2×2 -
×
-
1
2×2=-1
2×3 -
×
2 -
×
-
I =
( 2×2 -
× ) ( × + I ) + ( -
l )
2×3 + X
2 -
X
-
1
= × + 1 +
=
2×2 -
X 2×2 -
×
×¥×.
, ,
=
¥ +
B-
¥
2×-1
1 =
A (2×-1) -
BX
× =
0 → I =
A ( 2 ( 0 ) -
l )
A = -
1
× = I → I = I B
B =2
2¥ ×
=
¥ +
¥ ,
f
2×3 + x2 -
× -
I
dx =
S ( x + I +
xt -
¥ ,
) dx
2×2 -
×
Ex :
Repeated Linear Factors
× 2 + × + 1
( × + 1) ( × + 4) 2
=
¥1 +
# +
¥+4,2
×
2
+ × + 1 =
A ( X +
4)
2
+ B ( x + 1) ( X +4 ) + ( ( X + 1 )
× =
-
1 →
( -
1)
2
+
C- 1) +1 -
A ( -1 +
4)
2
1 =
9 A
A =
at
X =
-
4 → ( .
4)
2
+
( -
4) + I =
( ( .
4+1 )
13 = -
3C
C =
-
÷
× = 0 → 1 = ÷ ( 4)
2
+ B ( 1) (4) -
¥ ( l )
f ¥+1
B= 4
( X + 1) ( × + 4)
2
A ×
Ex :
Quadratic Factors that are Irreducible
×
-
1
( X 2+1 )×
=
¥ +
BXTCXZ+ I
×
-
1 =
A ( ×2 + 1) + ( BX + C) X
× = 0 → -
1 = ACI )
A - -
1
× = I → 0 =
2A +
( Btc )
×
= -
1 →
Recall partial fraction decomposition
Distinct linear :
I A B
X ( × -2 )
X X -2
Repeated linear :
A B
+
C-
( Xtl )3 xtl 1×+112 ( xtl )3
Distinct Irreducible Quadratic :
AX+B CX + D
(112+111×2+2) 112+1 XZ +2
Ex
:[ =
f #
DX
X(×2+1 )
x*×2+| )
=
¥ +
BXTCXZ
+ 1
× -
1 =
A 1×2+1 ) + ( BX + C) X = AXZ + A + BXZ + CX
Compare coefficients
XZ :
0 =
A + B →
B =
I
×
:
I =
C
/
Constant : -
l=A
I =
ffxt +
¥+1,
)dx= -
fat +
f # ,
dxtfxazx,
= -
In 1×1 +
I In 1×2+11 + tan
'
( × ) +
C
Improper Integrals
Wenknow Sba is
f
÷
-
= =
= -
= -
,
a b
# → [ a ,
b ]
What about unbounded intervals ?
r
Stao f =
?
Ef
↳
improper
.
=
⇒
,
a R
Case 1
Definition
( Improper integrals Over Unbounded intervals )
Stao f ( × ) d × = kinds S I f ( × ) dx
Similarly ,
for
f Is f ( × ) dx = kinda far f ( × ) d ×
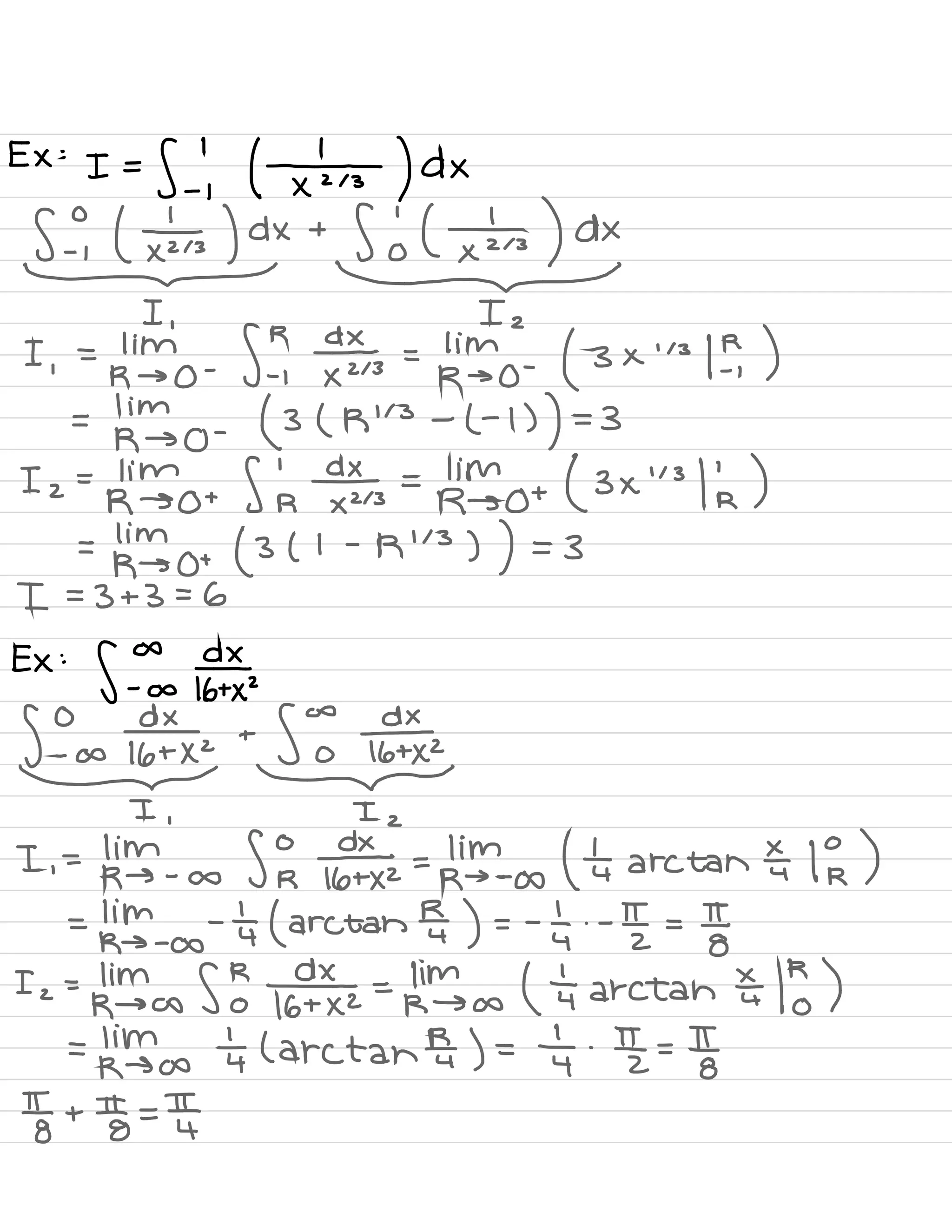
Ex : SF 9¥
kinds S ? ¥ =
kinds ( t
'
z ) I F) = trims a Hta -
l ) ) = 1
* We say that SF ¥ is a convergent improper integral
Ex : SF dgx
kimsa ( SR, Ex ) = kinds ( ( In 1×1 ) 17 ) =
kinds ( In IRI -
0 ) = a
* we call this
divergent
Case 1 :
( improper integrals Over unbounded intervals )
f {fcx )dX
=p"→% far f ( × ) DX
Question : What about integral of unbounded functions ?
f
¥ .
:R b
Sba f =
Linda +
( Srbf )
Case 2 :
Def .
( Improper integrals for Unbounded
functions )
Ex :
Sj ( xtz ) dx
=kiTo+Sk (9¥ )
=km→o+l÷lk )
=km→o+ ( -
( i -
£ ) )
=
-
1 +
lim
R→o+ £ = as
Divergent
Ex :
I =
fj ( ¥3 ) dx
S I ( ¥ . ) dx +
S
o
'
( ¥ ) dx
-
I ,
I 2
I .
=Linfo .
S ? ¥a =
kinso .
( 3 x
' ' 3
I ? )
=
kim→
o
.
( 3 ( R
' ' 3 -
L -
l )
) =3
I z
=
dingo +
S is ¥3 =
kimso + ( 3 ×
" 3
I
'
r
)
=
King o + ( 3 ( l -
R
' ' 3
) ) =3
I =
3 + 3 = 6
Ex :
S I ¥52
S % if'±x .
+
SS ¥7
. .
I .
I z
I ,
=
kinf .
as Spina =
kind.
a ( ±'
arctan ¥ 1 °r )
=
kind .
-
ta ( arctan F ) =
-
±,
. -
E =
Io
Iz =
kima S or ¥1 =
him • ( ÷,
arctan ¥ To )
=
kinds ÷,
larctan E. ) =
't .
E =
too
too +
Io =
LF
Ex :
f 5 × e-
×
dx
kinds S ! xe
.
×d×
U= X dV= e
-
×
AX
du = dx V = -
e-
×
x l -
e
'
×
) 1
or
-
for.
e'×d×
' im -
( re
-
R -
I
) -
( e
-
R -
i
)
pmim
k¥+1
+ 1
lim R
R → co Ers
=
kimscsetr = 0
* Choptal Rule
0 + I + I = 2
Functions of 2 or more variables
f( × ,
y ) =
14 -
o÷o ( x
2
+
y2 ) * see week 6 ex
K .
y=x
-
20
HK ) = 14 -
ioo ( XZ + ( ×
-
20 )
2
)
H
'
( × ) =
0
↳ × =
10 →
y
=
-
10
Id .
Paramet .
^
Y R={ ( x. g) /
R
01×14 }
< •
>
✓
4 ×
: R={ ( X. g) 1
R 01×14
< • > OEYEG }
V 4
R={ ( X. g) I
•
4
YI
-
X+4 }
y= -
X+4
× c- f-
'
( y )
R •
4
Parameterization
^ f
- R={ ( x. y )lyE
-
×+2 }
rzy/Y=
-
×+2
vertical
parameterization
•
if
-
'
(
y )
R={ ( x. y ) 1
XEF
-
'
(
y
) }
R 2
<
✓
•
,
> =
{ ( X. y
) 1×12 -
y }
horizontal parameterization
^
r
R={ ( X. g) IYE
-
×+2 ,
01×12 }
2•
r R={ ( x. g) IOEXEF
-
'
C y ) , 0<-412 }
L -
y
2 -
y
<
✓ ×
•
2
)
,
Double Integration
Eaxni
Find
the
volume of the
foyer
%
f( x. y ) = 14 -
o÷o ( ×2+y2 )
T
-
zo
.
y=×
-
20 We FC x. y ) DX by
w V= [ f ( × , y ) OX Dy
Cox ,Dy in R )
X first
VEE
( E ( FC x. y ) .
ox ) )oy-
ZOEY
±0O£×Ef"ly)2o+y
Y ^
Aly ) 2
By taking ox , Oy → 0 ×
V=fIo(580+4 fcx
,y)dx)dy .
£041>
4
Y
zo
=
S .°zo ( 5200+914
-
÷oo(x2+y2 ) )dx)dY
ux*
y
is fixed
= S -
z°o(( 14x -
o÷o ( ¥ +
yzx ) ) 128+4 )
dy
=
f }o ( 14 ( 20 +
y )
-
÷oo( (20*3+42 ( zoty ) ) dy
x
y first
Va E ( EFC x. y ) oy ) ox
0<-0×120×-201 OYEO
DX , Dy → 0 Alx )
-
rzv =
5020 ( SI .
zoflxiyldy )dx < %,
Y
>
=
fo20 ( f I. zo
14 -
÷oo ( x2+y2 ) dy ))d×u×
=SY ( my
-
o÷o ( ×2y+ ¥ ) 11 a) dx
Instead of height
:
density
Find the total mass
DM =
( Density ) .
( OA )
f( x. y ) .
ox .
oy eared
EX :
R :
region bounded by y=×2 , y=
-
× ,
×=2
"
I S§ ( 6×2 y+xe4)dA
 y first-
2-
×=2
g }§I2×(6×2y+xeY)dy)d×
Polar Coordinates
^
% 111 '
.
PCX
,y ) = ( r ,
co )
r = 010<2 't RZO
<
)O
=
>
or
v x
-
it < OEH RIO
x=rcoso
y=rsiho tano=¥
cos @ = I sina.lt
r r
XZ +
y2 - r2
Ex
:(
convert from Cartesian Coordinates to Polar
Coordinates
( 2,53 )
B -
•
( 2,53 ) r2=
22+532--4+3=7r=T7
)0 tan @ =
-5
I
z
2
co =
arctan -32×0.7137 radians
( 3
,
-3 )
( 570.7137 )
} r2= 32+32=9+9--18
)× r=T8 =
352tanx=-32=-1-
3- •
( 3 ,
-3 ) x= -
¥
O= ZIT -
y±= ¥
( 3Vz ,
7*14 )
Ex :
Convert polar coordinates to rectangular
coordinates .
( Fz ,
+14 ) × = VZ COS It =
VZ Iz = l
y
=
Vz sin I =
Tz rz =
I
( 1
,
1
)
( 2 ,
7+16 )
cos @ =
cos ( it + × ) = -
COS ×
A = O -
IT =
" '
16 -
IT =
+16
O
-
COS the = -
✓3/z
Sino = sin ( it + a ) = -
sin x
x l
'
-
sin "E =
-
E
X = 2 (
-
B/z ) =
-
B
y
=
2 (
-
'
z ) = - 1
( -
Vs
,
-
1)
Ex : f ( × , y ) =
2×2 +
y2
Write in polar coordinates
f ( × , y ) =
×
2
+
×
2
+
YZ =
×
2
+ r
2
f ( r
,
O )
.
- ( RCOSO )2 + r2
f ( r
,
@ ) =
r
2
COS 20 + r
2
f ( × ,
y
) = 2×2 +
y2 + 2 y±
f ( X.
y
) = ×2 + ×2 +
y2 +
z±y = ×2 + r
2
+
25
=
( RCOSO )
2
+ t 2+2 y±
= TZCOSZ @ + rz + 2 RCOSORsince
f ( r ,
G) = r
2
Cos 20 + r
2
+ ZCOTO
Ex :
GRE
set up the total mass comp .
÷ ur
00
,
)Ir
DO
a
a or
or
oA= roo .
or
OM = mass
density
.
DA
= f ( r
,
O ) .
DA
=
f ( r
,
@ ) .
r DO .
Dr
m=§o §"o ( rzcoszotr 2) rdodr
Recall :
Diff .
EQS
separable equations
d-Y - p ( × ) .
q ( y )
%÷y ,
dy =
f P ( × ) dx
Ex :
dydx = 3×2
y
flydy =
f 3×2 d ×
Ln I
y
l = ×3 + C
I
y I =
ex
3
+
C
=
e
C .
ex
3
y =
±@
.
ex
3
A → some undetermined constant
y
- A e×3
Ex Set 08A
Application :
Models
involving
Y
'
=
K (
y
-
b )
r a
Constants
d-4 = k ( y
-
b )
at
f ⇒ =
fkdt
Ln 1
y
-
bl = kt + C
I
y
-
b 1 =
ekt
+ C
= ec .
ekt
y
-
b = ± ec ekt
4 = A ekt + b
Newton 's Cooling Law :
object
c
surrounding
temp :
? given G constant
=
b
Newton 's Cooling Law :
RateofC@ftemprukLy.b
)
⇒t
Ex 2 ( 08A ) :
Temp of
turkey at time t :
y
( t )
Info :
1
.
Y ( 0 ) =
185
2. room temperature
=
75 = b
3 .
Y ( 30 ) =
150
Problem :
Find y
( 45 )
da-
= K (
y
-
7S )
y
= Aekt +75
185 = A + 75
A =
110
150 =
110 ek
( 30 )
+ 7 s
75 =
110 e
30k
1£ =
@
30k
In (
'
5122 ) -
30k
1<=1*22 ) Since k is negative , y
= Aekttb # b
30
y ( 45 ) = 110 e
k¥022
)
'
45
+ 75
Other Models :
¥ = -
3 y
312
tan
2
( t )
y ( 0 ) =
4
Find
y for all time t
For what t do we have y → 0 ?
f #dy = -
3f tan
2
Lt ) dt
.
3¥ ,
y
-
" 2
=
-
3
f 1 + tan
2
L t ) - 1
dt
-
zy
-
' ' 2
= -
3 tan ( t ) + 3t + C
y
-
1/2 = 3/2 tan t -
3/2 t + C
1
4-
' ' 2
=
3/2 tan 0 -
3/2 ( 0 ) + C
'
=
(
'
a =
£
y
- ' 1 2
= 3/2 tant -
3/2 t +
1/2
y
=
( 3/2 (
tant
-
t ) +
'
12 )
-
Z
Y =
( 3/2 ( tant -
t ) +
'
12 )
2
As t → tyz
we have
y
→ 0
Recall :
application of ( Separable ) diff .
EQ
'
s
:
-
Newton 's
Cooling Law
-
logistic model
This models the rate of
change of a
quantity y ,
With
growth constant C
Assumption :
y has exponential growth with a maximum
*+
=
Cy ( N -
y )
Solve :
f # y ,
=
of at *
LHS of * :
# ,
=
tyt
+
Fy
I = A ( N -
y ) + B (
y )
y
=
0 → I = A CN )
A =
Nt
y
= N → I =
BCN )
B = th
S
nyttnclny,
dY= Stu ( yt +
n÷y) dy
Alternatively
:
-
1
.
Y + ( N -
y ) ,
yen
.
y )
=
F # =
a # +
ty )
IS ( yttnty ) dy
to ( Lnlyl
-
Ln IN -
y I +
-
Nt ( Ln lyl
-
Ln IN -
y
1
) = Ct + B
Lnlyl
-
Ln IN -
y
1 = Nct +
NB
Ln
( ¥1 ) = Not + NB
/
# / =
e.
Nct + NB
=
EN
Ct
@
NB
#
=
( ±
e
NB
) e
Not
-
A
y
=
A e
Not
( N -
y )
y ( l + Nenct ) = A .
enct N
Ae
Nct
N
y
= -
I + Ne Nct
Remark : If
you are
given y
( 0 ) =
-
,
then you can
find A that will give you the particular solutions
Ex :
( 08 B -
Zombie Population )
Z ( t ) :
zombie population at time t per thousand
Info :
Z ( t=0 ) = I
N =
40
C = is
logistic model
dzdt =
CZ ( 40
-
z )
z = A e
40 ( ÷o ) +
( 40 -
z ) =
A @
4t
( 40
-
z )
1 = A e4w
)
( 40 -
1) =
39 A
A = sat
Particular solution :
z =
sat e4t ( 40 -
2)
2
( i +
zta e4t ) =
4£ e4t
4013g e
4 t
2 =
1 +
'
13g e4t
* -
z
=
zgle
4T
40 -
z
2-
~ e
-
4t
4-20 ~ e
-
4++1
-
yo
Gets small v. fast
z
→ 1
quickly
Recall :
1st Order diff .
equations
dy = f(× ,
y ) K
dx
.
when f( ×
, y ) =
f ( × ) ,
can
#
*
by integration
find y
in terms Of
x.
separable
f( × ) =p ( × ) .
q (
y )
Can solve *
by
Shy ,
dy =
f plx )dx
.
Next :
"
linear
"
first order diff .
EQS
Ex :
×
DI
#
= ezx
d-
dx ( ×
y ) J integrate
×y=Se2×d×
=
'ze2× +
(
y
= xtl 'ze2×t C ) (
general solution )
y ( 1 ) = 0
0
=
÷ ( ÷e2 + C )
0 = I e2 +
C
( = -
tze
2
y=÷(÷e2× -
'ze2 ) ( particular solution )
More
generally ,
we can solve linear first order
diff EQ :
-04 + A ( × )
y
= B ( × ) * *
DX
Linear refers to flx , y ) in ¥ =
fcx , y ) being linear in
y
How to solve * *
Idea :
Multiply both sides
by some function I ( × )
I ( × )
#
+ A ( × ) I ( × ) y = B ( x ) I ( X )
⇐I ( × ) .
y ) key Condition
( In previous example ,
I ( X ) = 1)
Find I ( X ) for Ex ( I.
y
) to be equal to LHS
Must have
¥ = A ( × ) I ( × ) + as CI'
yktcxiaat +
FEY
ACXYI ( × )
Question : Can we find I ?
Answer :
Yes ,
+ is a separable diff EQ
f 9¥ =
f A ( x ) dx
Ln I I I = S Adx
I = ± es Adx
Looking for
any
I that satisfies
key
Condition .
SO We will choose to
ignore
I ( × ) = esak 'd×
negative sign 4
integrating constant .
Def : I ( × ) is Called an
integrating factor
Ex : Solve the initial value problem
Ay -
tan ( × )
y = I A
*0 ) =3
,
-
±z I × ± tz
-
tan ( × ) =
ALX ) ,
1 =
B ( × )
I ( × ) .
-
e
-
Stan ( × ) dx
S tank ) dx =
SEE dx
u =
cos X
-
f due =
-
↳ I U I + C
= -
Ln I cos × I + C Drop C
-
EE ×<_ E →
Cos × 10
I ( × ) = e
4 ( cos × )
=
cos ×
→ ICOSX 1 =
Cos ×
NOW , Multiply both sides of 4 by COSX
COS ( × ) # -
COS ( × ) tan ( × ) y
=
Cos ( × )
ddx ( cos ( x ) -
y ) = COS 4)
d integrate
y
.
cos ×
= S Cosxdx
=
Sin × + C
y =
tanx +
C-
( general solution )
COSX
3 =
tan LO ) toy ,
=
0 + C =
C
y =
tanx +
costs×
( particular solution )
Ex :
×
¥ +
Sy =
¥3
day +
I y
=
e÷→A ( X ) BCX )
I ( × ) =
e
S AK ) d ×
=
e
5 S ¥ =
e
S In ( × ) =
@
in ( x
s
)
I ( × ) =
×
s
MUH both sides by I ( × ) :
dT9 ( y
.
xs ) = ×e×
Integrate to get
:
y
.
×
5
=
f xexdx
4 =
× e
×
d x i dv
du =
DX ex =
V
y
.
×
s
= xe
×
-
ex + C
y = x÷ ( ×e× -
e
×
+
C )
Graphical E Numerical Methods
Consider the diff eq .
:
AY = ×2 +
42DX
Point Slope_
( 0,0 ) 0
( 0 ,
0.5 ) ¥
( 0 ,
1 ) 1
( 0 .
5,0 ) ÷,
( 1,0 ) 1
( 05
,
0.5 ) 'z
( I
,
l ) z
( Os ,
i ) E-
( I ,
0.5 ) £
a.
a 9
I 11
It
I
l=-
Can we use this data to approximate
→
-7 what the particular solution looks
05 '
11
I ' '
=
like say assuming YC 01=0.5 ?
<
qFTF DFIELD
0.5 1
Euler 's Method :
Linear Approximation
Problem :
⇒ = ×2 +
y2 *
Note :
not linear
If we are given yI)= 0.5 ,
f- ( 0 )
Can we estimate
#
= ?
f- ( 0.1 )
^
o.s.fi#iEIitEeFnrEEyFEiom.8ti5wi+hsiopez
= ( aaf ) ( 0
,
0.5 )
=
, )
0.1
Back to *
y
-
yI)=
(d) ( 0
,
0.5 ) ( x -
0 )
0.5 =
4
y
= 0.5 + ÷ ( × -
o )
is the equation of L
SO the tin .
approx .
Of y ( 0.1 ) :
y ( 0 .
1) = 0.5 + ±,
( 0 .
1) .
-
0.525
Summary :
1. Find the equation of L
2. Find point *
by subbing X =
0.1 in L
We can use the estimate
y
( 0 .
1
) =
. 525
and repeat the process to estimate y ( 0 .
2 ) :
y
( 0 .
1 ) +
(date ) ( 0 .
1
,
0 .
525 ) ( x
-
0 .
1 )
Euler Method
dY_ = ×
2+42
%0 ) =
0.5
Estimate
y ( 0.3 ) by repeatedly applying linear approximation
Step 1 :
Approximate y ( 0 .
1
) :
^
( 1) /
'
L ,
o .s•
-
¥
Li :
line through ( 0 ,
0.5 )
;
with slope
=
dat ( 0,0 .
5) =
IT
, s EQ Of L ,
:
y = 0.5 +
IT ×
0.1 Yx
'
:
y
( 0.1 ) = 0.5 + LT ( 0 .
1) = 0.525
Step 2 :
Approx .
y( 0.2 ) using approximation y( 0.1 ) in
step I
ask
*l
" 4×2
'
↳
< 2
:
line through
K
, ,k
with slope = aatx ( ¥ )
=
.
=
8¥ ( 0.1 ,
0.525 )
=
=
( 0 .
1) 2.1 ( 0.525 )
2
>
EQ of Lz :
y= 0.525 +
( (0.172+6.525) 2) ( x
-
0.1 )0 !1 & 2
¥
)
:
Approx of y ( 0 .
2) Using ¥ :
0.525 + ( ( 0 .
1)
2 + ( 0.525 ) 2) (0.2-0.1)
= 0.554
Step 3 :
Approx .
y L 0.3 ) Using approximation y ( 0.2 ) in
step 2
n
YLO .
3) a 0.554 + ( CO . 2)
2
+ ( 0.55 4) 2) (0.3-0.2)
(3) =
0.588
(2) * ↳
0554.1111¥¥ * Euler 's method of estimation YCO .
3)
>
wl 3 equal Steps of size 4/1=0.1
to !z o's using YLO ) = 0.5
Note : In each step of size ax we are using
y ( × tax ) ~~y ( × ) + ( dost ) ( × ) .
DX { use the
approximation of y ( × ) in the previous step
Mixing Problem :
Ex Set IOC # 2
Tank :
400 ( L ) of Water W/ To € Of chlorine
Italian
400 ( Fo ) =
20g Of chlorine
Incoming
:
4 Lst ) ×
oto LE ) = Too ( ÷ )
- -
concentration
incoming rate of Chlorine
Outgoing :
5 ( ÷ )
×[?](E)_
=
Outgoing rate of chlorine
Concentration
y ( t ) :
quantity of chlorine at time t
Find ylt )
Exam 2 Review Packet
2 .
( ×
2
+
1
)
y
'
=
Zxy
-
3 ( × 2+1 )
y ( 1
) = - 1
*
If flx , y ) is a function of ×
,
then solve by integration
*
If f ( ×
, y ) =p ( × ) qly ) :
separable →
separate then
integrate
* If f ( × , y ) is linear in y then use integrating factor
¥
-
×2I+,
y =
-
3
I =
e-SEE , dx U = 112+1
-
S tudu
=
e
-
MU
= a-
'
= ( × 2+15
'
du =
Zx E
duh ( x 2+1 )
'
'
-
¥+1,29 = 3 ( × 2+1 )
-
'
# ×2+1 )
-
'
y ) = 3 ( × 2+1 )
'
'
( ×
2
+ I )
-
'
y
=
-
3 arctanx + C
y
=
( × 2+1 ) ( -3 arctanx + C)
-
1 =
( 2) ( -3 ( +14 ) + C )
3.
Triangular Region
( 1
,
2) ( 1
,
-1 ) ( 2
,
0 )
a
•
Find :
Srs C ( x , y ) da
-
f ? FIYI
4
e× +
6yz dyax
X -
241-2×+4
< i
• s
I I × 1 2
.•
f ? exy +
2y3 /
II
"
ax
f ? e× (-2×+4) + 2 (-2×+4) 3 -
e× ( ×
-
2) -
2 ( X -
2)
3
dx
5.
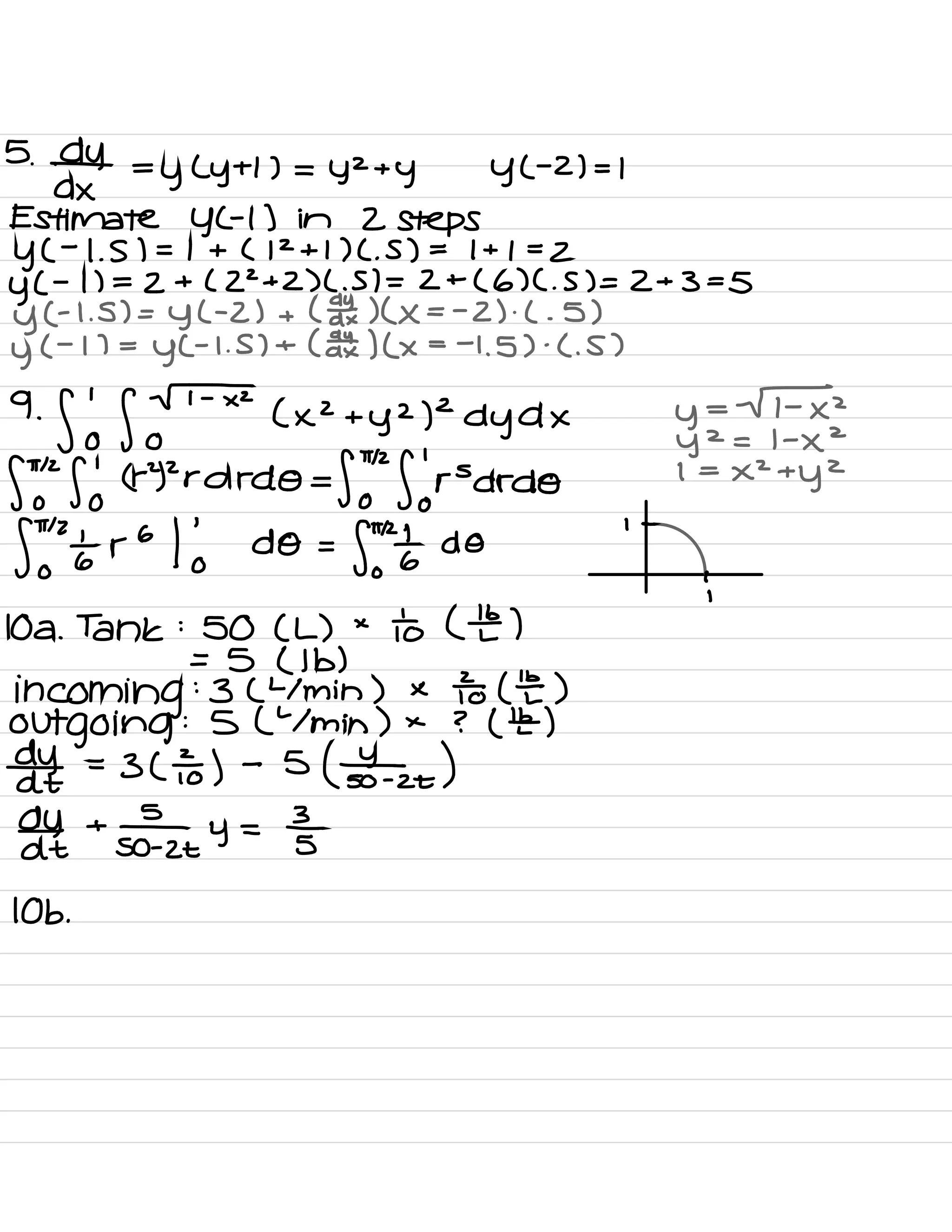
¥4 =y( ytl ) =
yzty YC
-
2) - 1
Estimate YGI ) in 2 steps
YC
-
1. S ) = 1 + ( 12+1 ) C. S ) =
1+1=2
y(
-
1) = 2+(22+2) C. 5) = 2 +
( 6) C. 5) = 2+3=5
y(
-
1. 5) =
y( -
2) + ( date )(×= -
2 ) .
( .
5 )
y
( -
17 =
YC
-
1. 5) + ( aatx ) ( ×
= -
1.5 ) .
C. S )
9.
flo foF×2 ( xz +
yz )2dyd× y=
Fx 2
Y
2
= 1 -
×
2
ftohfj
(rY2rdrdO=fY
"
florsdrdo1 =
xztyz
Stonier•
I 'o do=p onto do
' -
10A .
Tank :
SO ( L ) ×
to ( the )
:
= 5 ( lb )
incoming :3 ( Ymin ) × To (E)
outgoing
:S( Ymin ) × ? ( ¥ )
date =3 ( ÷ ) -
5
( Shoto )
date
+
stay =3
IOB .
Recall :
logistic equation
# =gy
( N -
y ) = ( CN ) y ( l -
F )^
T T
growth maximum intrinsic
rate ( or carrying growth rate
Capacity )
Ex : Set 11A
1. plt ) :
population of fish in thousands
( N = 44,00
N= 105
Extra :
harvesting at rate of 8 thousand per year
a)
E- Yotopll
-
Is ) -
8
b) Sketch the graph of Fai VS .
p and find the point
where # is Max
⇒ =
⇒ PIKE ) -8
•
=( Yotoxnos )( iosp -
pz ) -
o
;
=L ( IOSP -
p2 -
2000 )
1
=
Io ( p
-
zs ) ( p -80 )
(•#ps
Use part b To draw The slope
fields 525 80
Indicate where the slopes are +1-10
÷
oo
-
y y  , y y -
If Plt =
01=25 ,
then no
80-41,1*1
,
1,1=1
o Change in Population ,
E same
sG⇐in in p p p p , +
FOR if p(t=O)= 80
40 -
post ggq
↳ Sometimes called equilibrium228=11 1 1 1 1 11 0 Solutions
to to I to t -
t
pn If p(t=o ) = 20 →
extinction
Kagy
 , y y
1
solution curve for the initial
80 -
balgl*bn1,1,l←ss¥¥a
Value prob . W/ p(t=O ) =
20
SKYEin , p , ↳
Eonguwthocnn
If p(t=0)= 40 → @
40 -
a g g g g q
'
¥aYsF¥EF If p(t=O ) =
100 → 3
25 -
1 ] 1 1 1 | ) 1 ←
threshold
20
#y y y y
( of extinction )
t
f ) .
25 < PCO ) < 80 →
plt ) increases
G tinsoplt )= 80
.
PCO ) < zs →
plt ) decreases to extinction
.
PLO ) > 80 →
p a) decreases
{ times plt ) =
80
( # =
Cp ( N -
p ) )
* )
Note :
this is an example of autonomous diff .
equation
y
'
= FCY ) ( not )
Here for each fixed y slope does not
change
in time
Generalized Logistic Equations
Example Set 12A
Recall exponential growth 1 decay model :
by =
Ky ( I )
dt
and logistic model :
⇒+
=
Cy ( N -
y )
=
( CN ) y ( l -
f- ) ( 2)
( and harvesting model :
⇐ =
( CN ) y ( 1- In ) -
harvesting rate )
Introduce Birch Model
dy_ = Al (3)
At N -
y +
Cy
( 1
) { ( 2) are special case of birch model :
*
c =0 →
¥ =
ay
( 1
)
* *
( = 1 →
off =
NE ( y ) ( N -
y ) (2)
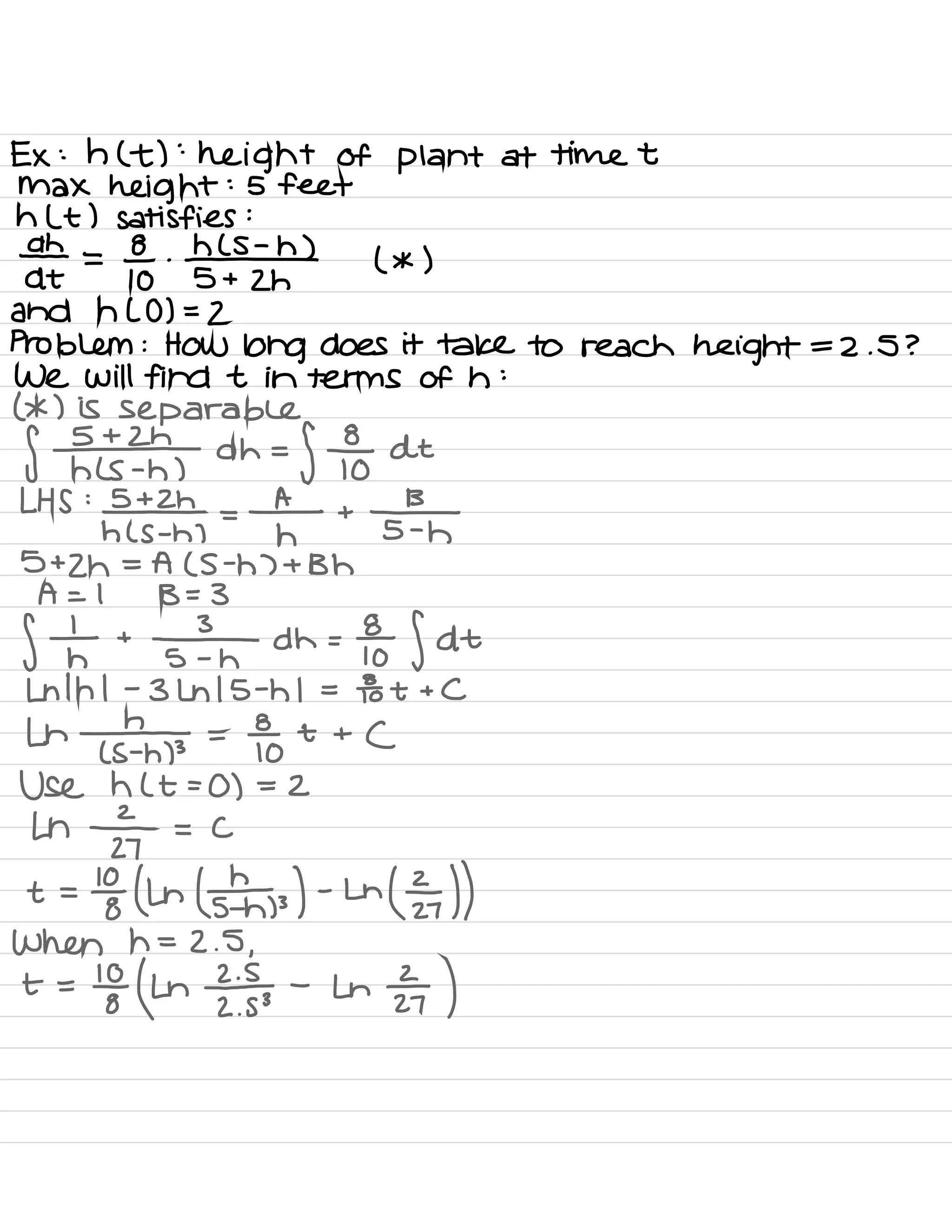
Ex : h ( t ) :
height of plant at time t
Max height :
5 feet
h Lt ) satisfies :
ath =
go .
#
( * )
5 + 2h
and h LO ) =
2
Problem : How long does it take to reach height = 2 .
S ?
We Will find t in terms of h :
( * ) is separable
f Elk dh =
f For dt
LHS :
¥22 ,
=
f- +
IT
5 +
2h = A ( S -
h ) + Bh
A = 1 B = 3
f th +
IT dh =
foe f At
Ln 1h 1 -
3 Lh 15 -
h 1 =
To t + C
Lh
¥ =
Fo t +
(
Use h ( t =
0 ) = 2
Ln
z÷ = c
t =
to (Ln ( ¥3 ) -
Ln
( I ))
When h =
2.5 ,
+ =
'
EhnEE -
in
÷ )
Why introduce Birch model ?
Answer : more
flexibility
Note :
For logistic equation we have :
a =
( CN ) y ( 1
-
Fu )
At
When I is small or y is small then :
dydN
a ( CN )
y
→
y has exponential growth
^
*
EmotionlessTarawa
no
×
SO Max rate of growth happens only when y is small
But for bitch model We have :
•
C > I →
Max rate of growth at
y
< Nz
•
( < I →
Max rate of growth at
y
> E
Partial Derivatives
14 .
3
2 .
f ( x , y ) = 3×2 y
b) Derivative of f With respect to X ( With y fixed )
( 3x ) ( ZX ) =
( by ) X
a ) y
=
2
=L ZX
Derivative of f with respect to
y ( with × fixed )
d ) =
3×2
C ) × = 1
=3
Def :
partial Derivative
( 1
) If =
f ×
ox
(2)
¥ =
fy
2nd Partial Derivatives
Def 1 Notation :
fx ×
=
¥ f
×
=
¥
0×2
fyy =
¥ fy =
¥2
fxy = ( f × )
y
=
Fy ( f × )
=
¥
oyax
fyx = ( fy ) × =
¥ ( fy ) =
#
axoy
In this Course , fxy =
fyx
Example :
g ( × , y ) =×e×2y
9 ×
=
-3×9 =
ex2y
+×(z×y)e×=
9Y =
§ = ×3 @
xzy
ZX2ye×2y
9××=F× ( 9× )
=
2×ye×2Y +
4xye×2Y +
(2×24) ( Zxy ) e×2Y
Estimating Derivatives
^ Slope of L :
f
Ohl f ( at OX ) -
f ( a ) ( , )
Variable
L
ox
'
Yes'in¥ As ox →
other ( 1
)
<
= -
>
1
✓ a atox
d¥ (a)
We Call ( I ) the
"
forward difference estimate
"
of
*
ax
at a .
Similarly , we can define
backward :
n
f ( a ) -
f- ( a -
ox ) f
OX L
f (a)
fca .
ox ) ,
'
41,1¥
<
= -
>
✓ a- ox a
central :
f( a + DX ) -
f ( a -
DX ) ^
2 DX
f ( atlx ) 11 1 11 l I '
fca -
ox , y,
,¥[
<
= = =
< )
✓ a -
ox a atox
Similarly ,
We can also define forward ,
backward ,
and central estimates in each variable for
multivariable functions
Estimating partial derivatives
f= f ( × , y )
Forward of :
f ( a + OX ,
b) -
f( a ,
b )
f× at ( a
,
b) Ox
Ex :
Example Set IZB
1. See chart
F= FCT ,
w )
a) Estimate 3¥ at ( 1=-20 ,
W= IS )
Forward
FCZO -
S ,
IS ) -
FC 20,15 )
=
13 -
6
=
75 5 5
Backward
FC2.0.IS ) -
GF
(20-5,15)
=
6
SO =
§Central
1=(20+5,15) -
F ( 20 .
s ,
IS ) 13 -
O 13
= =
-
ZCS ) 10 10
Chain Rule for Partial Derivatives
Recall :
one variable :
f=f ( × ) G × =
XCS )
If =
-d× .
If
ds ds DX
Two variables :
f=f( × ,
y ) × =
× ( S ,
t )
y=y
l S ,
t )
df =
Zfx
dx +
#
dy
2 z
Then
⇒ ¥ ⇒ +
⇒ ⇒
¥=¥s÷+¥⇒
f
x
y
s t s t
Same for more variables
22 .
U= Ln ( xztyz )
×= COS Lzt )
y=sih( t )
# = ?
at
du =
¥ dxt
⇒ dy ( I )
# =
Fy¥ +
In
-24ay at
⇐-
dydt At
-24 =
# ( 2 )
2 X ×
2
+
y2
*y
=
29×2+
YZ
*
g +
= -
2 sin ( Zt )
-04
= Cost
at
→
⇒ =
(}z÷yz) L -
zsint ) +
( ¥-2 ) cost
Zb .
U =
U ( X
, ,
Xz ,
X 3
)
du =
¥ ax +
Fay ay +
⇒ dz
¥ =
( Ux ) ( xs )
+ ( U
y
) ( y s ) +
( Uz ) ( Zs )
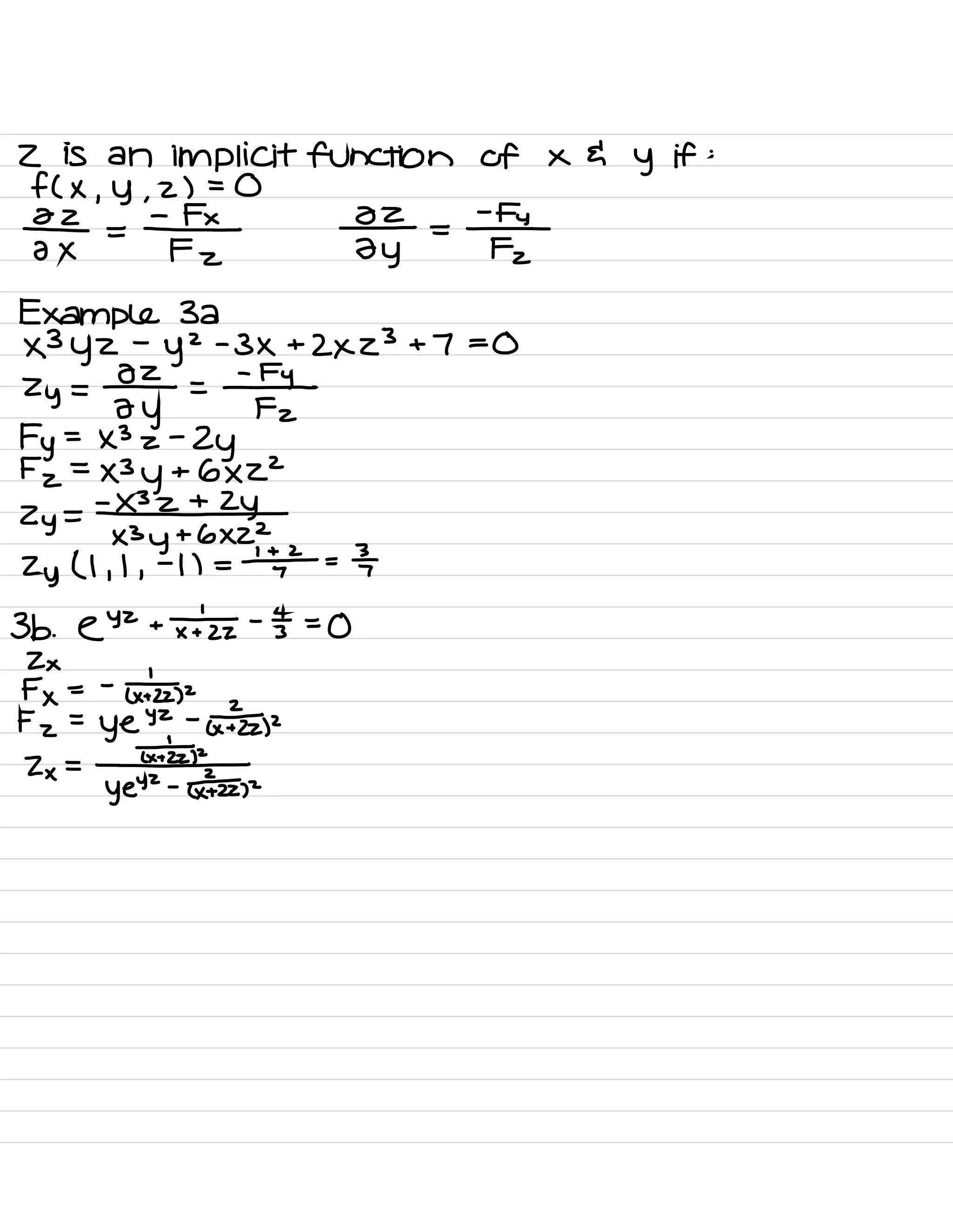
Implicit differentiation :
inter
We say Z is an implicit function of × , y if it satisfies
f ( × , y ,
2) TO
For some function F ( for all values of × , y ,
2 )
→ d F =
0
Fx DX +
Fydy + Fzdz
tiffs Fx ¥ +
Fy a+
Fz -3×2=0wrt x
I I I I
1 0
→
FE -
E÷
€2 = -
#
2 Y Fz
Z is an implicit function of × &
y if :
f ( ×
, y ,
z ) = 0
⇒ =¥E ⇒ =¥e
Example
32×3yz
-
y
2 -
3×+2×23+7=0
Zy =
¥2
=
¥29
Fy
'
-
×3z -
Zy
Fz =
×3y + 6×22
Zy =
-1¥
X3y + 6×22
Zy ( I ,
I ,
-
1) = # =
3-
3b .
EYZ +
×+÷z -
5=0
7¥×
=
-
k¥2
Fz =
ye
YZ -
(×¥z)2
Z× =
k¥2
YEYZ -
¥22,2
Linear approximation for multivariable functions
Ex Set 13 A
Recall in one variable case
f =f ( x )
n f
EQ
n
of [
:
fcatox ) .
# [ y
-
f (a) = ( ddxt ) ( × =
a ) .
( ×
-
a )
* -
•
•_ -
= -
Slope
( , >
✓
a a + ox Linear approx of flat DX ) :
flat ox ) a f (a) + ( 8¥ ) ( ×= a) ( DX )
fLat_ox)fa= (aa¥ ) ( × =
a ) ( DX )
Of
Multivariable Case :
f = f ( × ,
y )
Lin approx of flatox ,
b +
oy )
f ( a + DX ,
b +
oy ) ~~ f ( a ,
b) +
FI ( a ,
b )
.
DX +
¥y ( a. b)
by
flat Ox , btoy ) -
f ( a ,
b) ~~ FE ( a ,
b) DX +
¥y ( a ,
b) Oy
.f
Example :
Use lin .
approx to estimate the
change in
g ( × , y
) = ×e×2Y when ( × , y ) changes from ( 1,0 ) to
( 0.9 , 0.2 )
( 1
,
0 ) → ( 0.9 ,
0.2 ) DX = 0.9 -
1 = -
0 .
1
Oy =
0.2-0=0.2
Dg a ¥ ( 1,0 ) .
( it ) +
¥ ( 1,0 ) .
( to )
g ×
=
e×2Y +
× ( Zxy ) e×2Y
9 ×
( 1
) =/
gy
= x ( x4e×4 = ×3e×2Y
Dg a
-
to +
to =
to
9 y ( 1
) =/
Sensitivity
f = f ( × .
y )
Def : Sensitivity of f wrt x at ( a ,
b) =
3¥ ( a ,
b )
(
sensitivity Coefficient )
.
Sensitivity Of f wrt
y at ( a
,
b) =
¥y ( a ,
b)
Elasticity :
( a ,
b) → ( a +
to a
,
b )
of a ¥x ( a ,
b) ( too a) +
@
no
change in
y direction
Def :
elasticity of f wrt × at ( a , b) =
% Of
change in
f due to it .
change in × = ¥( a ,
b) ( o÷o a)
× 100%
( elasticity coefficient )
f ( a
i
b )
Similarly , elasticity of f
wrty at ( a
,
b)
= ¥y ( a ,
b) ( too b)
f ( a ,
b)
EX 2 :
Cylinder rod W 1
height
=
100 ,
diameter =
5
22 . Volume =
V ( h ,
d ) =
IT (E) 2h =
IT d 2h
( 100 ,
S ) →
100 ± to ,
s ± io
OV a ¥n ( 100 ,
S ) ( ± to ) +
Fa ( 100 ,
s ) ( ± to )
F- =
YI A
2
=
In ( s 2) =
2¥
Tat =
¥ h ( Zd ) =
ZSO it
Recall :
Example 2 :
Cylind Rod
Height
:
100
Diameter :S
Volume = ✓ ( h ,
d) = ¥ d 2h
Zb .
Sensitivity of the Volume wrt h at ( 100 ,
S )
=
¥ ( 100 ,
S ) =
YI ( ZS )
sensitivity wrt d
=
¥ ( 100 ,
S ) =
250 IT
ZC .
Elasticity wrth
( 100 ,
5) → ( 100 +
¥100) ,
S )
oh = I
LW a ¥h ( 100 ,
S ) -
I
=
E ( ZS )
Elasticity coefficient = ¥ × 100%
¥ ( ZS )
÷±
(g) ( 100 )
× ' 00% = I %
Elasticity wrtd :
( 100 ,
5) → ( 100 ,
Eis )
od =
zto
LW = Fa ( 100 ,
s ) .
to
=
250 # ( To ) =
I ( 25 )
Elasticity Coeff :
ten
IT (E) ( 100 )
× 100 % = 2%
Recall :
Linear Approx
:
f = fcx , y )
( a ,
b ) →
( a +
ox ,
b +
by )
f ( a + DX ,
b + D y ) a f- ( a ,
b) + 3¥ ( a
,
b ) .
Ox +
Fy ( a ,
b) Oy
of a FE ( a ,
b ) .
DX +
¥y ( a ,
b) Oy
More examples :
3 .
200 ft
100ft
I 3 inch
;
Problem :
Use tin approx to
inch find the area Of the frame
A =
A ( × , y ) =
xy
I A =
A ( 200 +
£ ,
100++2 ) -
A ( 200 ,
100 )
~~ ¥ ( 200 ,
100 ) ( I ) +
¥ ( 200 ,
100 ) ( I )
=
100 ( E) +200 ( I ) =
ISO
Example set 13
1
.
Approx f ( -0.8 ,
2. 2)
Using
the value of fat
( -
0 . s ,
2 )
( -0.5 ,
2) → ( -0 .
8 ,
2 . 2)
Ox = -
0 .
8+0.5 = -0.3
Oy = 2 .
2
-
2 =
.
2
f ( -
0 .
8 ,
2. 2) a f- C- 0 .
s
,
2) +
¥ ( -0.5 ,
2) ( -0 .
3) +
¥y TO .S
,
2) C. 2)
* Use chart
-
5
3×1 to .s ,
2) = ?
Backward :
f ( -0 .
5 ,
2) -
f ( -1 , 2) =
S -
4 .
5
= ,
Approx . S .
5
ofy
( -
0.5
,
2) = ?
Forward :
f ( -0.5 ,
2.
5.)gift
0.5 ,
2)
=
6 .
If
5
= z . z
Approx
Sub Back
Lagrange Multipliers
Problem :
Given f ( × , y ) ,
find the points Lx , y )
Satisfying g ( × , y ) = 0 ,
Where the function FC × , y )
reaches its Max or min
Def :
Level Sets :
Points ( × , y ) that satisfy f ( × , y ) =
C for Some
constant C T
intersection of f w1 horiz . plane 2 -
C
Key Idea : the points we are looking for happen where :
level
sets and g ( x ,
y ) =O share the same tangent direction after
projectiononto xy
-
plane
1.
Tangent to f=C at ( x , y ) =
tangent to
g
2.
g ( × , y
) = 0
Q :
HOW to find ddxt for FCX , y ) =C ?
Implicit diff :
dy =
-
fx
dx fy
similarly ,
dy =
-
9 ×
dx gy
1.
¥ =
sgxyn
at ( x , y )
→ ( f × , fy ) = X .
( g × , gy )
→
so we have to solve :
If
= ×
#
at ( × , y )
ax ox
If = ×
-09
at ( X , y )
oy Zy
g( x. y ) = 0
Example Set 13C
Ex :
la .
height of roof : h ( × , y ) =
2×+4 y + 20
Spider 's Path :
×2 +
y2 =
4
g
=
×2ty2
-
4
Solve :
*
y¥o
hx -
Xgx 2 = X ( Zx )
hy =
Xgy
I 4 =
× ( zy )
→
÷ =
I =
y±
g
= 0
y=z×
XZ + ( Zx ) 2
= 4 =
5×2
×=±
; Its ,
Es )
y = ±
IF f Ers
,
-
Is )
h ( r÷ ,
Is
)=
4 is +20
h
( -
Is ,
-
Is ) =
-
4 is + 20
when
y
= 0 → × = ± z
h ( ± 2 ,
0 ) =
20 ± 4
SO Max
=
4 is +20 at ( Is ,
Fst )
min =
20 -
4 is at t÷ ,
-
Fs )
lb .
If the path is a semicircle maxlmih could
happen at endpoints ,
when path is not closed
h ( 2 ,
0 ) =
4 + 20 =
24
h C- 2 ,
0 ) = -
4 + 20 = 16
( ⇒ ,
-
Ffs ) is not part of the new path
so min =
16
2 .
P =
60 k
' 14
[
3/4
30 ,
000=15 K + 3L ←
g
Solve Pk =
X 9 k
PL =
XGL
g
= 0
P k
=
IS K
-
3/4
L
314
PL =
45 k 114
[
114
/ S K
-
314
L
3/4
= × .
IS
45 k
' ' 4
[
' 14
=
X .
3
's 15
'
L = S
L = 15 k
IS K + 3 ( 15 ) K = 30000
k = SOO
L = 1
S ( SOO )
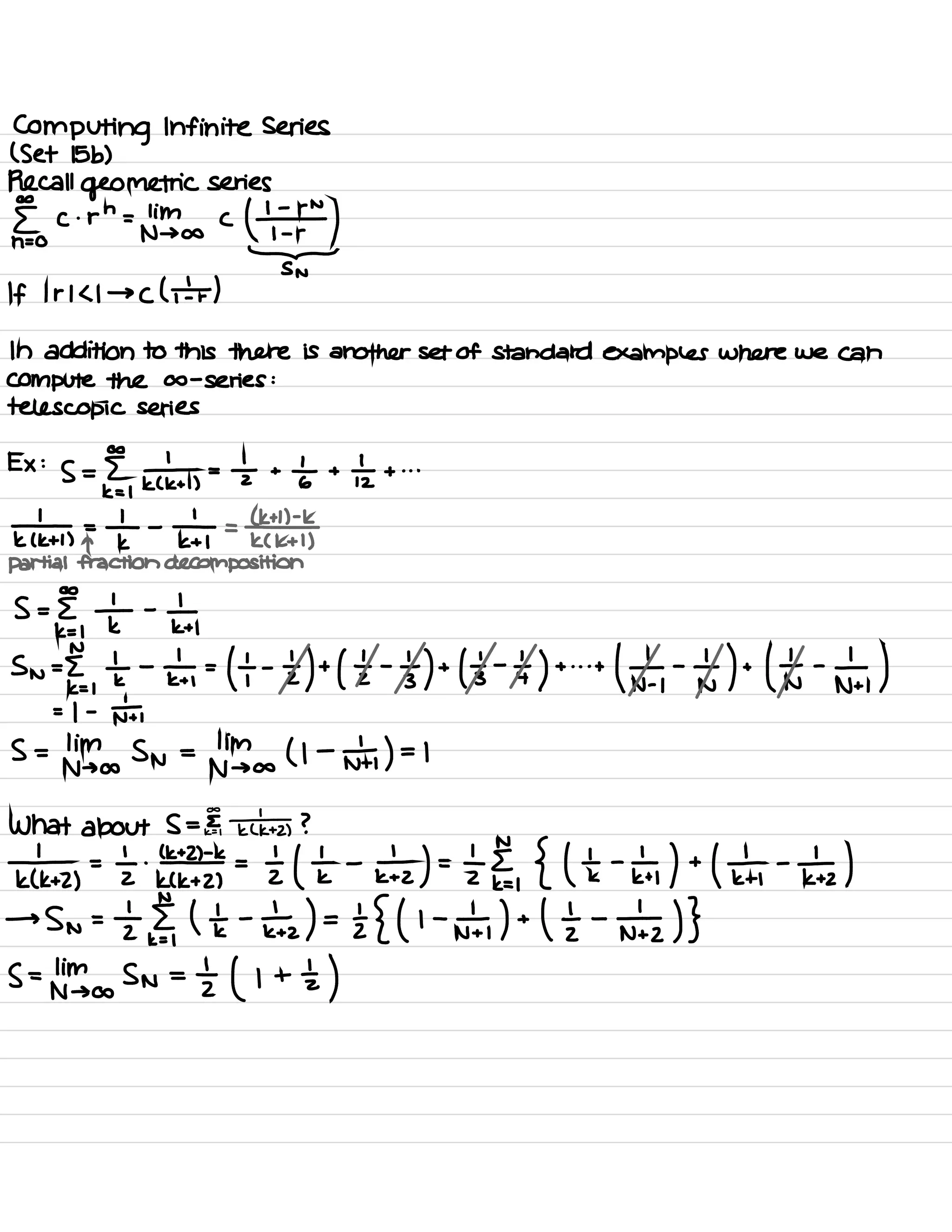
Sequence and Series
Example Set 14A :
.
sequence
:
an ordered
listing of numbers n
an
.
Sequence Of odd numbers : 1
,
3 ,
5 ,
7 ,
9 ,
...
-
Or a =
2h - 1
-
•
n .
-
•
a ,
=L -
-
•
az =3 -
23=5 =
•
{ an }F= ,
-
•
(
✓
I I I I I I )
'
Sequence Of powers of I
bnr
lim
n
n → a
an = as
bn = ( it
"
I -
•
b. =
I lim
n→abn=O
bz= KY l -
•
4
b3= ( EP l - •
8
{ bn }F=l c i 1 1 >
✓ n
Find limits :
lim
1 -
e2n + 4e6n
h→•
( 3 +
Sen +
econ)=4= him .
-4%1=4
lim
n→•
COS ( ht ) = DNE
h=1 :
COS ( A) = -
1
h=2 :
Cos ( ZT ) = 1
n =3 :
COS ( 3T ) = -
1
SO COS ( hit )
{
-
1
,
n Odd
=
( y )n
1
,
n even
Limit Laws :
Assume
thinks ( an ) and hinto (
bn
) both exist ( *
a. not
divergent )
1. hinfo ( an ±
bn )=hi→mo( an )±n"Too ( bn )
2. Lisa ( an bn )= ( n'irsoankninsabn )
3. himo (E) tree
lim
n→abn
4. dish ( C .
an )= c. high an
T
Constant
Squeeze Theorem
{ an } ,
{ bn } .
{ Cn } 3 sequences
an I bn E Cn
for every n ( or for some n 2 M ,
M c IN
If high an = hints Cn =L
Then Links bn =L
lim
n → a ( ein sin ( h ) ) =
0
-
11 sin ( h ) El
-
e
-
nee
'
hsin ( n ) E ein
t t
o 0
By squeeze theorem → him a ( Ens in ( n ) ) =
0
Def :
geometric sequence
{ an }F= , if for every n we have
an + I
an
= r ← Common ratio
for some fixed r
÷ ,
kt ,
hp
i
2 2
so a ,
=
C
az
=
Cr
23 = Cr
2
24
=
Cr
3
an =
crn
-
'
Alternatively ,
we can start at 0
ao =
C
a ,
=
Cr
dz =
C p
2
an
=
Crn
za ) { tz ,
÷ ,
÷ .
÷ , ...
}
an
= #
not
geometriclim
n → as an =/
zb ) { -
s±
,
E ,
-
¥ ,
¥ , ...
}
÷ . .
÷= .
÷
-
E .
¥= .
÷
geometric
an =
f÷ ) f ± )
n
lim
n → a an = 0
ZC ) Cn + ,
=
( n + I ) Cn for n >_ I and C ,
= I
C ,
= 1
Cz =
( I + 1 ) ( I ) =
2
Cz =
( 2+1 ) ( 2) =
6
lim
n → as
Cn = Cs
Def :
Series is the sum of all terms of a sequence
{ an }F=i
=
a ,
+ a z
+
23 + . . .
:[ an
:Ummation notation :
53 =
§ ,
a
k
= a
,
+
az + a
3
Sn =
§,
a
k
= a
,
+ . . .
+
an ( Nth partial sum )
so
§,
an =
n'info ( Sn )
More on
geometric sequences and series
Example Set 14 B
1. ball projected 10ft E bounces at 801 .
of previous height
10 ,
1010.8 ) ,
10 ( 0 . 8)
2
,
10 ( 0 .
8)
n -
'
hn =
10 ( 0.8 )
n -
'
C = 10 ,
r = 0.8
So = 101¥ ) =
⇒ SO
2 ( SO ) =
100 ( bk
goes up E down )
Def :
Geometric Series
=
sum of all terms in the
geometric sequence { Crn }F=o
=
C + Cr + C r
2
+ . . .
+
c to
a C rn
h = 0
or { crn
'
'
}F= ,
a C rn
-
i
n = 1
Claim :
an =
c .
rn
-
'
{ an } F- I
S n
=
§,
C rn
-
'
=
C + Cr + C r
2
+ . . .
+
cr
N -
I
=
cliIn 1
Proof
t.SN =
Cr + Cr
2
+ Cr
3 + . . . +
Cr
N - 1
+
Cr
N
Sn
-
r SN =
C -
Cr
N
=
c ( 1 -
rn )
Sn ( 1 -
r ) =
C ( 1 -
rn )
Sn =
c ( ¥ )
E. c. rn
'
=
n'i→ma ( sn I =
n'into Klein ) ) =
{ufnraeiiined!ItYrhi
3 a ) F -
as +
ET -
if + . . .
C =
I ,
r =
-
's
⇐ It 's In
"
=
n'info sn =
if =
F
3 "
I ¥ =
EE
,
l÷ in =
E o
last -
( I +
÷ +
t⇐DN E Sz
bk 4/3 > 1
↳
E.3
¥ dogspiomit+
have
5 .
Rewrite as fractions
5 a ) 0.9 =
0 .
9999 . . .
=
to +
÷o +
÷oo+ . . . = EE
,
( Fo ) l ÷o)
n '
'
= Fo ( i÷÷ ) =
To .
'
÷ = 1
Sb ) 3. OII
=3 + ( 12×10
-
3) +
( 12×10
's
) +
( 12×10-7 ) + . . .
=
3 +
n§
,
( 12×10
-
3) ( 10
-
2)
n -
I
=3 + ( 12×10
-
s
) ( ¥2 )
=3 +
( 12×10
's
) (
'
fat )
=3 + hat × to =3 +
Is =
YET
Recall :
1 .
rmi '
1 + r + r
2 + . . .
+
r
m
= Fr
Notation :
SN =
sum of first n terms
Ex : { an }F=i , an =
c. rn
'
'
SN =
C + Cr + . . . +
cr
n -
'
=
c ( Fn )
T 4
a ,
an
{ an } F. o ,
an = c. rn
Sn =
C -
cr + . . .
+ cr
N -
'
=
( ( Ff )
T In
do 2 N -
1
Example Set 14C :
1.
Day
0 :
30
←
Xo
1 : To ( 30 ) + 30 ← X ,
2 : I (To(301+30)+30←
xz
↳ =
( to ) 2130) + to 130 ) +30
Xn = 30 + ( To ) ( 30 ) +
(E) 430 ) + . . .
+
( To )
"
( 30 )
Day 2 before the next dose is
given
:
Xz
-
30
Day n before the next dose is given
:
xn
-
30
Xn -
30 = To ( 30 ) ( 1 +
to +
( E)
2
+ . . .
+
(To )
n '
'
)
=
Fo ( 30 ) ( ¥91
"
) = 4s
( l -
( to )
"
)
Long term measurement before the next dose is given
:
n
"→ma ( 45 ( 1 -
( to )
"
) ) = 4s
Za ) Xo =
100
X ,
=
100 + to ( 100 ) -
Fo ( 100 ) =
100 ( To )
Xn+ ,
=
Xn
-
to ( × n
)
=
Fo Xn
Xo :
100
× ,
: Fo ( 100 )
xz
:
l Fo) 4100 )
xn
:
( E)
"
( 100 )
so { xn }F=o is a geometric series
Zb ) Xn + ,
= ( Fo ) × n
+ I
X o
:
100
× ,
:( to ) ( 100 ) + Fo
xz
:
I ÷o)l÷o l 100 ) +
E) +
Fo =
( ÷ ) 21100k (E) (E) +
Fo
xn
=
( To )
"
( 100 ) +
[ Fo +
Fo ( E) +
to ( E) 2+ . . .
+
( E) (E)
m '
]
=
( to Yu oo ) +
Fo .
HEE (E)
"
( 1001+811 -
l÷o )
"
)
As n → A
,
xn
→ 8
A note on elasticity
:
Wrt × :
( a ,
b) →
( a + iota ,
b)
If = f× ( a ,
b ) .
( ioo a )
Elasticity wrtx at ( a ,
b) = fx ( a , b) iota × 100% =
¥ × 100 %
f ( a ,
b)
E if given
table
Ex : f ( × , y ) = e×Y
f ×
=
ye
×Y
elasticity wrtx at ( 2.1 ) :
fx ( 2 , 1) '
too (2) =
EZ -
2
=
z
f ( 2 ,
1 ) e
2
Computing Infinite Series
( Set 15 b)
Recall geometric series
⇐ c.
renting .
c
thy
SN
If I r 1<1 → ( ( I )
In addition to this there is another set of standard examples where we can
Compute the a -
series :
telescopic series
Ex :
S =
EE
,
t ,
=
÷ +
at +
÷ + . . .
k¥1 FIt -
¥ =
lek
K ( kt I )
partial fraction decomposition
S =
EE
,
÷ -
In
sn=E. ,
÷ -
±=k -
tzttl 's -
tttl 's -
It + it
# -
tnttfn -
n÷,
)
= 1 -
nt ,
s =
winds Sn =
dingo ( l -
n÷, ) =L
What about S = EE ¥+2 ?
¥+2 , =÷Ii÷t= It ÷ -
±zt .
EE,
{ He -
¥1 +1¥ -
¥1
→
sn =
's §,
it -
he )=E{ ( I -
n÷,
) +
ltzntz ) }
S =
tnimsasn =
zt ( i + tz )
A
Ex
:s=E
1<=3
Convergence of Infinite Series
Ratio Test
s=E an
Define e - dba / ¥1
If e < 1 → S
converges
If e > 1 → S has no limits
If e = I → inconclusive
Ex :
Za )
s = £ I -
7)
"
n = 1
n÷
let k¥I¥i
him n
n → ants = I
C =Linfo I -7
¥, ,s
/ = 7 > I → no limits
A
n
Zb ) s = [
2h=
O
n !
l¥th¥l
hints ¥n .
=
ntinto ¥ =
o
e =
nlinfo ( 2 -
ant ) =
0
→
by ratio test ,
S
converges
co
ZC )
s =
E
nh= |
N +2
# .
#
n +3 n
C = 1 →
inconclusive
But in
general ,
if an 1- 0 ,
then E an has no limits
Power Series :
Def :
We Call
co
S ( x ) = E an ( x -
C )
"
T n = 0 T
function Constant
Of X
=
a o
+ a ,
( ×
-
C ) +
a z
( ×
-
C)
2
+ . . .
A power series centered atc
we will address 2 questions
:
I .
For what values of × does s ( × )
converge ?
2. smooth functions as power series
Convergence
Def :
Given power series S ( × )
we call a non negative number R C
including + A ) the radius of
convergence if S ( x )
Converges for all ×
satisfying
1
× -
C I < R
r
c-
I I 1
ofq
convergent
and has no limits for all ×
satisfying
1
x
-
C 1 > R
To find R :
Use ratio test
co
3a )
s ( × ) = E
#
"
n = 1 n
3
k¥25" Ertl # pix
.
a 1
Ask → co
| ¥3,3 ( × -
2)
| → 1×-21
By ratio test S ( × )
converges if 1×-21<1 { has no limits if 1×-21>1
R = 1
Radius of
Convergence
Ex :
3b ) s ( × ) = £ ×2k
K 2kt I
let 't=k÷IIax÷tkE÷sl
As K → a
1×21 =
1×12
SK )
Converges if
1×12<1 ←>
1×1<1
R = 1
Taylor Series for Smooth Functions
Example Set 16A
Smooth Function = have differentiable derivatives of all orders
Recall
÷× = I + × + ×
2
+ ×
3
+ . . .
a < 1
SO 1 is the radius of
convergence of the power series on the RHS
and I + x + x2 + . . .
is a power series representation of ÷x over
-
17×71
centered at 0
Similar Examples
Find a power series representation for
f ( × ) =
z÷× centered at 0
z?×=÷ It )
=
3z ( I +
÷ x +
( Ix )
2
+
. . .
)
I × 1
< 2 =
I +
÷ x +
3z×2 + . . .
T
R
NOW centered at C- I )
T?×=F×3t=3÷× , ,
=3
,÷¥
,
F
I +
¥1 +
( ¥
)2+
. . .
÷ 1<1 ←> 1×+11 <3
p
R
Q :
Can We find such power series representation for other smooth
functions ?
Yes .
Suppose we can
Centered at 0 :
f ( × ) =
a o
+
a ,
× + a 2×2 + . . .
→
a o
=
f ( 0 )
f
'
( x ) = a ,
+
Zaz × + 3 a 3×2 + . . .
→
f
'
( 0 ) =
a ,
f
"
( x ) =
Zaz +
6 a
3
× + . . .
f
"
( 0 ) =
Zaz
→
a z
-
zt f
( 2)
( 0 )
a 3
=
to
f
' 3 '
( 0 )
an
=
n÷ f
' n'
( 0 )
→ f ( x )
=§o ¥40
'
xn
Centered at C
f ( x ) =
do
+
a ,
( × -
c ) +
a 2
( ×
.
C )
2
+ . . .
Evaluate f at C
f ( ( ) =
a o
f
'
( ( ) =
a ,
an = n÷ f
' n'
( ( )
→ f ( × )
=n§o nah
)
( × -
c)
n
Def :
Taylor Series
We call TCX ) =
⇐ ¥54 ( ×
-
c)
n
the Taylor Series of f at C ( or centered at C )
Def :
Taylor Polynomial
Given TH )
=§o fly '
( ×
-
c)
n
We Call the deg -
Nth part ( sum of polynomials in TCX ) of degree
IN ) of TCX ) the Ntt
'
Taylor Polynomial
Notation :
Tn ( × )
EX :
To ( × ) =
do
=
f ( C )
Tz ( × ) =
f ( c ) + f
'
( c ) ( × -
c ) +
¥9
'
( ×
.
c)
2
→ TH ) = discs ( Tn ( × ) )
Def :
When C= 0 ,
we call the Taylor Series TCX ) the Maclaurin
Series
* In this Class ,
we Will assume that Over domain off 4 wlin the
radius Of Cohv .
Of TCX ) we have : f ( X ) =
TCX )
The
geometric series are all examples of Taylor Series :
# = 1 + × + ×
2
+ . . i
-
Tko ) Ito ) .
x
f
1×1 < 1
# =p÷ +
÷ × +
38×2 + . . .
⇒2
f ( 0 ) f
'
( 0 ) .
×
⇐×
,
Imation,
+
# + . . .
Za ) Find TCX ) for e
×
at 0
f- ( × ) =
e
×
f ( 0 ) = 1
,
f
'
( 0 ) = 1
,
f
' '
( 0 ) =
I
,
f
( n '
( 0 ) =
/
→ text
EIo±LY0xn=Eo #
= 1 + n +
¥ +
¥ + . . .
The interval of
Convergence
×
nt '
.
n ! ×
( nil ) ! Xn ( nil )
IS 0 < 1
4
for all X
ratio test → the radius of corn .
= A
→
interval =
R
Recall :
Find TCX ) for e× at 0 :
Tineo ¥9 ×n=nE=o ¥
Zb ) Estimate e° '
2
using 4th
Taylor Poly Ii ( x )
Ta ( × ) =n&o¥n =
I + × + ¥ +
¥ "
'¥
f ( × ) =T( X ) wl in radius Of corn .
f ( × ) ~~ TN ( x )
f ( 0.2 ) ~~ Ty ( 0.2 )
= 1 +
To +
tz (÷o )
2
+
at ( to )3+ at ( to )
"
= 1.2214
Remark :
fC0)+f'(0)×_
=
linear approximation
T ,
at to
T ,
( ÷o ) =
f ( 0 ) + f
'
( 0 ) ( E) =
lin approx .
of f ( To ) at 0
÷c) Write down the error of this estimate .
Error = ( f ( × ) -
Ty ( × ) ) ( 0.2 )
* )
a Of
n=S n !
Example Set 16 B
I .
f ( × ) =
Lh ( × + 2)
Find Is ( x ) at -1
I ( x ) =n&o ¥7 '
( x +
1)
n
f ( -
1) =
Ln ( l ) =
Of'tn= #
kiri }IYYIYY¥I¥hEt¥tI,Yt
' "
f
"
( -
1) =
¥2,2 ( -
1 ) = -
1
f ' 3)
tl ) =
1+-2,3 (-1 ) =
2
Use previous answer to estimate In ( 0.8 )
Lh ( X + 2) a Ts ( × )
Ln ( 0 .
8) =
Lh ( -
1
.
2+2 ) ~~
Tz ( -
1. 2)
-
×
=
( -
1. 2 + 1 ) -
zt ( -0 .
2)
2
+ 's ( -0 .
2)
3
2 .
Use the Taylor Series for i÷x at 0 to find the one for u¥z)z
Observation :
¥a= Fox ( ¥ )
1- =
1-
I + ×2 1- ( -
×2 )
co co
=
E ( -
× 2)
n
= E ( -
1) n×2n
T n = 0 n=o
1×21<1
¥XZ
=
¥ ( §o th
"
x2n
) =§?o # ( ( -
hnxzn )
=n⇐,
fax ( ( -
i ) nxzn )
co
= [ ( -
1)
n
( 2h ) ×2n
-
l
n=O
a
Change to 1
0 ! = 1
4 b) Find B at I for y ( t ) ; the solution of y
'
=
y
2
+
ty , y ( 1) = -
I
I
ltl=&o Yad ( t -
1)
n
Y ( 1) = -
1
Y
'
( l ) = ( -
1)
2
+
( 1) ( -1 ) = 0
Y
' '
( l ) = ?
y
' '
=
Zy y
'
+
y
+
ty
'
→
Y
' '
( 1 ) = 2( -
1) ( 0 ) + ( -
1
) + 0 = - 1
Y
' ' '
= 2 ( y
'
FtZy y
' '
+
y
'
+
y
'
+ t
y
' '
Y
' ' '
( 1
) = 2 ( 0 )
2
+
2C -
1) ( -
1 ) +0 +
0 + ( 1 ) ( -
1
) = 1
Y ( t ) a Tz ( t ) = -
1
-
£ ( t -
1)
2
+ z÷ ( t -
1 )
3
3 a 1 Use Taylor Series itxz to find the one for tah
'
'
( x ) over
-
1 < × < l
fax = tah
-
'
( x 7 + C
# =
¥2 ,
=
§o tx 2)
n
=n⇐o t 1)
n
xzn
tan
- '
( × ) +
C
=
f§=o thn
x2ndX=nEo( f thnxzndx )
=
§o C- 1
)
n
In ×
2h +1
To find C
,
evaluate both sides at × =
0 :
0 + C = 0 → C =
0
Calculus B Notes (Notre Dame)

Calculus B Notes (Notre Dame)

  • 1.
  • 2.
    n A (x ) F ⇐% ' Recall the integral i i I I SI fltldt of a Continuous function < v a x > f is defined by the area which changes as × Changes ( ALX ) is a function of × ) Fundamental Theorem Of Calculus Given FLX ) = SI flt ) dt Then F'L×)_ = day f I fltldt ⇐ DX = f ( x ) We call F an anti derivative for f LF is not unique : if F is an anti derivative for f then SO is F + C for any Constant C) ( F + C) ' = F ' = f Ex :S sink )d×= ? Looking for FCX ) st . F ' ( × ) = sink ) Take F = - COS ( × ) → F ' = - C- sin ( x ) ) = sin ( × ) . ' . S sink )d×= - cos ( × ) + C Logarithmic Functions Def : We define the log function LNLX ) by Lnlx ) = Sf aft , × > 0 ( In ( × ) ) ' = ,÷
  • 3.
    Recall : Ln (x ) = S ,× ¥ Recall : gglx ) f (E) At a = g ' ( × ) f ( g ( × ) ) Derivative of Ln ( 1×1 ) Ln 1×1 = { ↳ ( x ) × > o Ln C- x ) × < 0 Fdx ( Inc - x ) ) = day ( Sjxdzt ) = - i . ÷×=t SO a£ ( In 1×1 ) = tx , × ¥0 This means that Ln 1×1 is an anti derivative for £ : f d¥ = In 1×1 + C More generally S ¥ dx = 1h If I + C because substitution : U = f ( x ) du = f ' d X so s¥dx= S out = Lnlul + C = Ln If ( X ) I + C
  • 4.
    ) ¥+5 =at Lhlaxtbl + c ) a×÷bd× = Lhlaxtb I + c Exponential Function Denote the inverse of the Lncx ) by e× or exp ( × ) E call it the exponential function → exp ( Ln ( × ) ) = × × > 0 Lh ( exp ( X ) ) = X for all X Domain Range Ln ( x ) × > 0 ( - oo , a ) e× ( - oo .co ) y > 0 Derivative of ex X = Ln ( ex ) Diff both sides wrt ( w/ respect to ) X : 1 = (E) . et ( chain rule ) & ex . ' . Fx ( ex ) = e × More generally : Derivative a× , for any a > 0 a× = exp ( Lh ( a × ) ) = exp ( × Ln (a) ) otdx ( a× ) = Lh (a) exp ( × Ln (a) ) = Lh ( a) exp ( Ln ( ax ) ) = ( Lh ( a ) ) . ax
  • 5.
    Def : Log Functions 109b × is defined by the inverse Of b× Change of base Formula : 69 b ( x ) = # Ln ( b ) Derivative of Log bx Using this Formula = -1 Lh ( b ) ( I ) Example MI to curves ) TGT Find the TGT line to y = 4 - Zex + Ln ( ¥122 ) at ×=0 Recall equation Of TGT to a function flx ) at ( X o , y o ) is : y - yo = ( If Here f=y d× / ( xo , ) ( × - Xo ) day = - zex + ( ¥1 ) ' ' T.tn , ( tT# ) ' = -2×4*2*1 ( I + × 2) 2 so ddhtx |×=o = - 2e×l×=o = - z y - 2 = - 2 ( × - o ) y = - 2×+2
  • 6.
    Inverse of TrigFunctions 1. arcsin ( x ) Or sin ' ' ( × ) is the inverse of sin ( × ) sink ) ( I , 1 ) EE , -1 ) arcsih ( × ) ( i , E) ( -1 , - E) i¥¥sink ) [ 9¥I, # a ]Eating ] arcs in ( × ) [ - 1 , 1 ] [ - tlz , tlz ] Derivative ddx ( arcs in ( × ) ) = ? sin ( arcsin ( × ) )=× by definition NOW diff both sides : ( arcsin ( × ) ) ' coscarcsinlx ) ) = I ( chain rule ) ( Os ( arcsin L × ) ) = Fearon ( x ) ) = -1- ( sihlarcsih ( × ) ) 72 = # Why positive ? range of arcsinlx ) is [ - 72,72 ] and over E 't 12 , 172 ] , cos is 20 ( positive ) ( arcsincx ) ) ' = -1 . × 2 ftp.xgz-arcsincxstc
  • 7.
    2 . arctan (× ) or tah - ' L × ) Derivative * ( arctah ( x ) ) = ? tan ( arctah ( x ) )=× ( arctan ( x ) ) 1=11+ × 2 f My = arctan ( x + c ) EX : Do the same for arcos ( x ) Application of Log Functions to Differentiation Ex : Find the derivative of Y = ( 1 + z× ) tan - ' ( x ) * take In of both sides lny = tan - ' ( x ) In ( I + ZX ) * differentiate yj = ¥2 in ( 1+2×1 + arctancx ) ( ¥ ) * substitute y ' = (( i + zx ) tank ' ) # zlnutzx ) + tan - ' L × ) (B) ) similar problems in prereq ( log diff )
  • 8.
    Application of Differentiation 1 . Assumingthat you're standing in one place over time OELE 10 ( min . ) what is the total distance that you cover during this time . Let's say × Lt ) is distance travelled at time t . Speed = 0 → dtae = 0 #s x ( 10 ) - x ( o ) = fob (daxz ) At = 0 2. Population of bacteria y Lt ) grows according to dY- = -1 At 1 + 4+2 what is the total change in population during 0 It E I ? y ( ÷ ) - y LO ) Sindh ) at S ' oh 147 at U = Zt du = Zdt Edu = At U = ZCO ) = 0 U = 2L ' 12 ) = I Sol ¥ . tz du I ( arctancu ) ) to ± ( IT - o ) = E
  • 9.
    Integration Using Substitution 1 . g 1+ 2×3 dx 1 + × 2 + × 4 U = It XZ + × 4 du = ( 2×+4×3 ) d × I du = ( × + 2×3 ) d × f tz f du tz In 1 I + ×2 + × 4 I + C
  • 10.
    Integration Techniques I = S¥ra×. S#4 ( l - 914×2 ) ⇒ era ⇒ :* . U = 3/2 × du = 312 DX 213 du = DX { gear → a * 's sin - ' ( U ) + ( 's sin - ' ( I x ) t C I = fly " ' feet at U = et du = etdt e ° = 1 e Ln (2) = 2 2 S , # du tan - ' ( U ) / ? tah - ' (2) - tah - ' ( 1 ) tah - ' ( 2) - 74
  • 11.
    Exponential Growth E Decay 3. ' 12 life = 138 days y ( 138 ) = £ y ( 0 ) £ P = pek ( 138 ) £ = e 1 38k In tz = In e 138 k - In 2 = 138k K = - 1h2138 4 . tz life = 5730 years 55% left tz = e 5730 k - In 2 = 5730k K = - ' h 2/5730 . SS = e ¥2 t In ( SS ) = is'F÷ot t = - 5730 In C. Ss ) In 2 - In (2) Growth Constant = K = half lifetime
  • 12.
    Application of Integration: Area Between Curves A= 58 ( f ( × ) - g ( × ) ) dx A = Set ( f ( y ) - g ( y ) ) dy Ex : Find the area between y=x3 - × E y =3 × ^ • × 3 - × =3 X • X 3 - 4× = 0 × ( ×2 - 4) = 0 HX ( x + 2) ( × - 2) = 0 . S -4 ( × 3 - × - 3×1+502 ( 3×-1×3 - × ) ) S -9 ( x 3 - 4× ) + 502 ( - × 3+4 × ); ÷, ×4 - 2×2 Kz + - tax 4+2×420 - (4) (16) + (2) (4) + ttu ) ( 167+2 (4) - 4 + 8 - 4 + 8 = 8 Volume of Solids Using Area of Cross Sections LW = A . ax → V e E A . ax a E × Eb → V =LFo ( [ A . A X ) Assume : A is only a function Of × V = Sba Ak ) dx
  • 13.
    Ex : zn Find thevolume Using vertical • 4 cross sections perpendicular to × - axis " ' % , • 2 Y > LW = ( Ih( × ) . y ) . ax L7 - 3 • At A × l na , Need to find h G y in terms of × : h ( x ) A'' s , Y : y^z ( 0,2 ) v 17< > ax y < > ✓ 3 × ( 3,0 ) Slope : - 2/3 y - 0=-43 ( × - 3) YI- 2/3 X +2 h : 4 ( 0,4 ) 3 s x ✓ z ( 3,0 ) Slope : - 413 z - 0 = - 413 ( × - 3) z = -413×+4 c- h( X ) V= 'zf3o ( 81A ) ( × - 3) 2dx
  • 14.
    Recall : Volume ofSolids 2^4 IV = £ ( B. h ) ( Ox ) ^ " 1 , h|% v = IS ? ( Bxh ) dx a 2 Y ✓ c- Fox XLz 0× b 2 r h : 4 ^ h ( × ) =z(× ) *✓ ~ 3 s × = - 413 ( X - 3) B : Y ^ 2 BCX ) = y ( X ) BUY> × = - 2/3 ( × - 3 ) v 3 Example Solid whose base is the region bounded by y=×3 n 2 y = 8 y - axis 8 y 1 > Find the volume when the ' cross section perpendicularX / u / to the y - axis is : t (a) square ÷g¥%yk%.→. , II.ftp.sargsssection
  • 15.
    xy - plane Y^ 8 - -- Ty =×3 *. < s X ( y ) =y" 3 =B( y ) ✓ x V=S°8 y "3dy b) rectangle of height Ty # ry # × I area of Cross section =×Vy f V=So8(×Vy)dy - Day C) semicircle area of Cross section = 'ztr2 F#y = 'zt( E) 2 g- goy V=tzTSo8¥dy=÷o # 5084213dg IB Density Case 1 : Linear Density Consider the rod with density P that is constant along each vertical cross section G )( ' ' ) changes continuously' → P is a continuous function OTX yro×~P a LM= mass of a small slice a AI H =e( × ) . ax ( l I 1 ) - - v a × bxdensity length
  • 16.
    Total Mass =M a E e ( × ) . Llx a Ex I b As a × → 0 : M = Sba e ( × ) dx Def : We call @ ( × ) the linear mass density function . Example : Find the total mass of 5 meter rod with @ ( × ) = I 0£ x ± s ( l + ex ) 2 M= f so ¥7,2 dx Case 2 : radial density Disk of radius R with density e : - function of radius - E - changes continuously . g¥=f⇐r Mass of Small Strips : 4Mt ( Ztr . Ar ) M = Zt for ( r . e ( r ) )dr Def : C ( r ) is called radial density function Example : The population in a city is distributed accordingto the density function : P ( r ) = 8-0 01 re 3 9 + r2 Find the total population M= Ztf 30 Lr . a8¥rz ) dr = 80 ITS } {+4-2 dr
  • 17.
    Def : Average of , acontinuous function over [ a , b ] : b - a fab f MVT : f ( c) ( b - a) = S by f f ( C ) = 1 f by f b - a Volumes of Revolution Disk 1 Washer Method f Yn , Rotate the region given by - - - # y=f(× ) over [ a , b ] E. a< trdhEtffD ' Ina+EYoiImeof small slices ✓ EH = II. Iravecitrz ) - ax ⇒ What is R ? R = fc × ) LW = ( IT ( f ( × ) ) 2) . <× Ve E ( IT ( f ( × ) )2 ) . DX a E X E b V = S ba IT ( f L × ) )2d× = IT fba Lf(×D2d×
  • 18.
    Washer n flxl Rotatethe region bounded Y - by y=fC× ) , y=g ( x ) over nigcx) I [ a ,b ] along × - axis . ' ' ' < &y¥÷ppµ§} what is the volume ? v - fix ,E#µff tratertrinner g ( × ) small volume - area of cross section . DX = #Router 2 - TR inner 2) DX V = IT fab #( x ) )2 - ( g ( × ) )2) DX We Can similarly find volumes of revolutions if the rotation axis is the y - axis or x=a ( vertical lines ) Or y=b Example : region bounded by y=4 - ×2 and × - axis ^ 4 and y - axis m ) v 2 × Find the volume when axis of revolution is : (a) the X - axis . LW _~(#R2 ) DX ftp.tlff# FR = it ( 4- xztax If V =tf2o ( 4- ×2)2d×
  • 19.
    b) the line y= - l ' ⇐ ftp.t#=ffMtrou+eruin . ⇒ V=IT fo2 ( ( flx ) +112 - (1) 2) dx V= IT f2o ( ( S + x2)2 - 1) dx = If } 25+10×2 + ×4 - ldx : IT f2o X " + 10×2+24 DX = it ( st × 5 + If × 3+24×1/20 = IT ( 325 + 3k + 48 ) V = fab ( HR2ou+er - HRZ inner )d× C) × =3 # V= IT 504132 . ( 3 - f- ' ( y )12 ) dy ##_#i# Find f- ' ( y ) : f- ' C y ) , y =f( × ) = 4 - ×2 3 X 2=4 - y ginner ×=±Fiy Efi IQY f- ' C y ) = Fy e- Router
  • 20.
    Cylindrical Shells Method ,:#⇒ , .is#y.t=l-=====I- * - a ¥-7, ou = I→nI . IIt < > c- ZTR R Volume of shell : OV e ( ZTR ) . h . DX R ( × ) = × h ( × ) =f ( × ) V = Zit Sab X. f ( × ) dx Remark : Similarly for when the axis of rotation is - × . axis - ×=a - y = b
  • 21.
    Example : Region : y =4 - × 2 × - axis 4 h¥¥EIH#€ . tea 3 R ( × ) o # a n ; I < ZTR > hlx ) = f ( × ) R ( x ) =3- × DV a 21T ( 3 - × ) . f ( × ) - 4 × V = Zit f 20 ( 3 - X ) f- ( X ) DX = ZT f 20 ( 3 - × ) ( 4 - × 2) dx
  • 22.
    Volume of Revolutions . Washer/ disk method ⇐ * Radius < R . Cylindrical shells * - InTthcx ) =¥ , * Height Example : Region y=-×2+2×_ i.ph; Y=× f ( × ) and y = X I Rotation : y - axis • × = - XZ + Zx x2 - ×=O == Inner × ( x - 1) =O I#¥T - x=O , 1 , Fit 'I0Yx - - 0VeTR2ou+er - TR ?nner Lly Router Router =y ( x=y ) Rinner = f. ' ( y ) Find inverse :y= - ×2 + Zx y = - ( × - 1) 2+1 y - 1 = - ( × - 1) 2 ( × - 1) 2=1 - Y V= it S 'o( yz - try + 1) 2) dyx - i = try × = Iffy +1 = f- ' ( y )
  • 23.
    Application of Integration: Work Work = force x displacement When force is only given by gravity , then Force = mass × acceleration e 10 F = m . g m = Mass = density × length :- linear density ( like rod ) Example : 100 meter chain attached to a 300 meter building G chain has weight = 300kg HOW much Work is done when chain is lifted to the top ? ( chain has uniform density ) ^ ^ Ioy { ✓ loom OW e ( force ) × displacement y . - - - - - y 30L F F = mass . g v v Density = 300 ÷ 100=3 Mass = 3 ' length = 3 ' ay → F = ( 3. Qy ) . 9 g = 10 F = 30 . ay QW ± ( 30 . ay ) . y → W = flow ( 30 . y ) dy
  • 24.
    HOW much forceis done to pull half of the chain to the top ? ^ For the top half :^ } 100 m W+op half = 580 ( 30 . y ) dy 300 V m y * For the bottom half : v v Owe ( 3. Oy . g ) . so W bottom half = SSF ( 30 ) ( SO )dy Wtotal = Wtop half + W bottom half
  • 25.
    Recall from lasttime : Find the Volume of the solid Obtained by rotating the region : y =× , y = - ×2+2× about the y - axis Can Use the shell method - o # F¥t If h ÷ ZIX : V = ZHS x. hcx )d× = ZTSX ( f ( x ) - g ( X ) )d× = ZTSX ( - XZ + Zx - x ) DX Y=fC × ) = ¥2 Rinner I # I Router × = - 1 a * a. ox X - axis , 1 1 11 1 1 11 1 1 1 Y =2 y - axis Iaea. ' axis of rotation : y=2 DV a ( IR2ou+er - TR Zinner ) DX Router = 2 R inner = 2 - f ( × ) = 2 - ¥2 V = IT SQ, 22 - ( 2 - ¥ )2d× # # YIYTIZYZ . 1 - ( it (E) 2.1 ) ztpf/ V 2 1¥ = IT ( 4 - ÷ ) = IT (E) Vi Vz = ZITS in ( 2 - y ) ( T - 1) dy ¥#y R = 2 - y h = f- ' ( y ) - ( -1 ) h = yt - 2 +1 = ty - 1
  • 26.
    Work : Ex : A10 M Chain with non - uniform density e ( y ) = e 9 kg / M 0 E y E 10 ( A ) Q I ) What is the work done for lifting the chain Straight up so that A is 10 m above ground n • A " . → . fyis EYE.EE#yFehaa9nmgnt = mass . g ✓ A we Force e ( C ( y ) . oy ) . g owe ( e ( y ) . oy . 10 ) . y W = 58 ( e ( y ) . 10 ) . y dy = 10 S to EY . y dy ↳ integration by parts QZ ) What is the work done if we now lift the whole chain to the top of the building ? , of oyq•fAy→ → ^y 0W= Erg . displacement e. ( y ) . oy . g-10 - y
  • 27.
    21 3 ^ Densityof liquid : 500 kg1m3< > ^ Work done to pump all liquid to 2 m above the - ^ Opening ? = 12 ( g= 10 ) 6 y I ✓ v =r ( y ) AW = Force . Displacement F = mass . g Mass = Density XOV DV a IT ( rcy ) )2 Lsy F a 5001T r2Dy(10 ) owe SOOOTRZOY . displacement r ( y ) =3hzy=Y4y 5000T Sob ( tty )2 ( 14 - y )dy
  • 28.
    Integration by Parts( 7 . 1 ) ¥ ( U ( × ) V ( × ) ) = U ' ( × ) V ( × ) + U ( x ) ✓ ' ( x ) S day Luv )dx=fv dofxdx + Su odttxdx * DV = fvdu + fudv fUdV= UV - fvdu EX : I = f XCOS ( 3×+2 )dX U=X dV=COS( 3×+2 )dX du=dX V = 's sin (3×+2) Xl 's sin (3×+2) ) - S 's sin ( 3×+2 )d× 's × sin (3×+2) - 's ( - ' 5) COS (3×+2) + C Ex : 5×3 In ( × )d× Ut lhlx ) dv=×3 DX du = txdx v =÷i×4 In ( × ) ÷i×4 - S tax " (E) DX ÷×1n( × ) - S 't ×3d× tax 1h ( x ) - tax 4 + c Ex : Sarctan ( x ) dx Sarctahlx ) . 1. dx u= arctan ( x ) dv = Idx du = ¥ dx V = × Xarctan ( x ) - S × - txdx Xarctan ( x ) - I In 11+1121 + C
  • 29.
    Slnlxldx U=|n( × )dv=dX du= xtdx v=× lncx )× - Sxxtdx xlnc × ) - Sldx Xln ( × ) - × + ( f×e×2dx U=×2 dU=ZXdX ÷du=XdX " zseudu ' zeutc ÷e×2 + C
  • 30.
    Numerical Integration Aim : toapproximate definite integrals ( of functions that are hard to integrate ) Method I : The Midpoint Rule f fcc ) - • Divide [ a , b ] into F=✓= Sub intervals of size . . - - - - - ox = be - - - = - - - - N IFT, . . . . =b • C , : midpoint of the first < ) a > a > ox ox ox interval • approximate SE+0×f by i • Repeat } sum : the nth midpoint approx of Sba f ^ MN = DX ( f ( C , ) + f ( ( z ) + . . . f ( Cn ) ) FC ( , ) < > - ox Method 2 : The Trapezoid Rule f • Approximate SI'of by area Y , - Of ^ • - ^ Y%~= You-4 ' ztoxcyoty , ) - C > - . - ox xo=a=,x , ,xz To • Repeat ESUMUP c > a > < > ox ox Ox £ ox ( yo + 24 , + Zyzt . . . + ZYN - , + YN )
  • 31.
    Method 3 : Simpson's Rule p , f • Take 2 adjacent sub - n intervals [ Xo , X , ] , µ•¥Yz✓= [ x. , Xz ] ⇐i - - - • Consider the parabola P , = . - - - passing through f ( Xo ) , . - - a-- - b f( × , ) , { f( Xz ) to t.dz • Approximate S Itf< > < s ox ox by SIE P , dx =3 ( Dx ) ( yo + 4y , + yz ) • Repeat E add up SUM : SN = 's DX ( yo . 1 44 , +242+4 Yost . . . + Zyn - z + 44N . , + YN ) * Note that N has to be even
  • 32.
    Math 10360 –Example Set 05A 7.9 Numerical Integration Midpoint Rule. Estimate the area under the graph of f(x) = e x2 over 0  x  2 using Midpoint rule with four sub-intervals. (Text notation: M4). 0 1 0.5 1 1.5 2 x 1 • • • • o × = 2 I ° = I M 4 = £ ( f ( I ) + f ( ÷, ) + f ( I ) + f ( I ) ) = I ( e - l ÷ ) 2 + e - C I ) 2 . e - C E ) 2 + e - ( ÷ I 2 )
  • 33.
    Simpson’s Rule. Estimatethe area under the graph of f(x) = e x2 over 0  x  2 using Simpson’s rule with four sub-intervals. (Text notation: S4). 0 1 0.5 1 1.5 2 x 3 54 = 5 ( ¥ ) ( yo +44 , + Zyz+4y3 +44 ) = to ( 1 + 4e - ( £12 + ze . ' ' ' 2+4 e- C E) 2 + e- ( 2 " )
  • 34.
    Integration by Parts (Indefinite Integrals ) Recall :S udV= UV - SVDU For definite integration : Sba udv = Uv 13 - fbvdu a Ex : Sotxcosxdx U= × dV= COSXDX du=dx V = sihx xsihx lot - SE sinxdx ITS int - ( - Cos × IE ) 0 - L - COST + cos 0 ) 0 - ( 1 + 1 ) - 2 Trig Integration Techniques 5 sin ( ZX ) ( OS ( 3× ) DX E 5 sin ( 2×+3×1 + sin ( 2×-3×1 dx I Ssihcsx ) + sin C- x ) dx = £ Ssihcsx ) - sin ( × ) dx I ( - stcos ( Sx ) + COS C- x ) ) + C 5 COS 2 ( X ) d X f 1¥54 dx = I f 1 + cos CZX )dx I ( × + ' zsinlzx ) ) + C 5 sin 2 ( Zx )dX f lazy = lz f 1 - COS ( 4× )
  • 35.
    55in 4 ( X) DX S sin 2 ( × ) . sin 2 ( × ) d × f ¥4 . t.co#ax=f*2xftcoI2Idx LT f I - ZCOSZX + COS 2C Zx ) DX LT f I - ZCOSZX + 1 + COS ( 4 x ) d× z f- ( × - sin Zx + ÷ ( x + ÷ sin ( 4 × ) ) ) + C Remark :Ssin 6 ( × ) dx = sin 2 ( × ) . sin 4 × ) . sin 2 ( x ) dx = S ( In ) 3 so this is the strategy that we follow to integrate Ssihm ( x ) dx , SCOSM ( x ) dx , When M is even S sins ( × ) dx S sin " ( × ) . sin ( × ) DX S ( sin 2 ( × ) ) 2 . sin ( × )d× S ( l - COS 2 ( × ) )2 sink )dX U = cos ( × ) du = - sink )dx- du = sin ( x ) DX - S ( 1 - U 2) 2 du - S 1 - 242 + U4dU - ( U - Eu 3 + 's Us ) + C - ( COSX - =3 COS 3×+5 COSSX ) + C Remark : This is similar for any odd powers of sin E Cos
  • 36.
    50*2 COS (5× ) COS ( X ) d X I S 5 ' 2 cos Csx + x ) + COS ( sx - × ) d × £ SE ' 2 COS ( 6 × ) + COS ( 4 x ) DX £ ( to sin ( 6 × ) + Is in ( 4 × ) 1 512 I ( to sin ( 3 Hk't sin ( Zit ) - 0 ) ¥0 )
  • 37.
    Integration Method : PartialFractions Ex : 3×-7 A + B ( A E B are ( × - 2) ( × - 3) = × - 2 × - 3 constants ) Multiply both sides by ( X - 2) ( × - 3) 3×-7 = A ( × - 3) + B ( × - 2) * × =3 ¥-9 - 7 = BC 3 - 2) B=2 × - zinxns - 1 = A (2-3) A = I 3×-7 I 2 + ( X - 2) ( × - 3) × - Z X - 3 Alternatively : To find A. B : Compare coefficients in * X 3 = A + B Constant - 7 = -3A - ZB Solve for A E B 53×2*7+60=5#z + Fax = In 1×-21 + 21h 1×-31 + C Remark : PFD : Distinct Linear Factors p ( × ) , qlx ) polynomials if degree (D) < degree ( q ) { q( × ) = ( × - q , ) . . . ( × - qn ) Then We Can find A. . . . , An ' =q=×A÷q . + . . . team
  • 38.
    Def : We Call±a with deg ( p ) < deg ( q ) a proper rational function E × : 2×3 + ×2 - × - 1 2×2 - × deg ( p ) =3 > deg ( q ) = 2 → not proper 1×+2×2 - × 2×3 + × 2 - × - 1 2×3-2×2 - × - 1 2×2=-1 2×3 - × 2 - × - I = ( 2×2 - × ) ( × + I ) + ( - l ) 2×3 + X 2 - X - 1 = × + 1 + = 2×2 - X 2×2 - × ×¥×. , , = ¥ + B- ¥ 2×-1 1 = A (2×-1) - BX × = 0 → I = A ( 2 ( 0 ) - l ) A = - 1 × = I → I = I B B =2 2¥ × = ¥ + ¥ , f 2×3 + x2 - × - I dx = S ( x + I + xt - ¥ , ) dx 2×2 - ×
  • 39.
    Ex : Repeated LinearFactors × 2 + × + 1 ( × + 1) ( × + 4) 2 = ¥1 + # + ¥+4,2 × 2 + × + 1 = A ( X + 4) 2 + B ( x + 1) ( X +4 ) + ( ( X + 1 ) × = - 1 → ( - 1) 2 + C- 1) +1 - A ( -1 + 4) 2 1 = 9 A A = at X = - 4 → ( . 4) 2 + ( - 4) + I = ( ( . 4+1 ) 13 = - 3C C = - ÷ × = 0 → 1 = ÷ ( 4) 2 + B ( 1) (4) - ¥ ( l ) f ¥+1 B= 4 ( X + 1) ( × + 4) 2 A × Ex : Quadratic Factors that are Irreducible × - 1 ( X 2+1 )× = ¥ + BXTCXZ+ I × - 1 = A ( ×2 + 1) + ( BX + C) X × = 0 → - 1 = ACI ) A - - 1 × = I → 0 = 2A + ( Btc ) × = - 1 →
  • 40.
    Recall partial fractiondecomposition Distinct linear : I A B X ( × -2 ) X X -2 Repeated linear : A B + C- ( Xtl )3 xtl 1×+112 ( xtl )3 Distinct Irreducible Quadratic : AX+B CX + D (112+111×2+2) 112+1 XZ +2
  • 41.
    Ex :[ = f # DX X(×2+1) x*×2+| ) = ¥ + BXTCXZ + 1 × - 1 = A 1×2+1 ) + ( BX + C) X = AXZ + A + BXZ + CX Compare coefficients XZ : 0 = A + B → B = I × : I = C / Constant : - l=A I = ffxt + ¥+1, )dx= - fat + f # , dxtfxazx, = - In 1×1 + I In 1×2+11 + tan ' ( × ) + C Improper Integrals Wenknow Sba is f ÷ - = = = - = - , a b # → [ a , b ] What about unbounded intervals ? r Stao f = ? Ef ↳ improper . = ⇒ , a R
  • 42.
    Case 1 Definition ( Improperintegrals Over Unbounded intervals ) Stao f ( × ) d × = kinds S I f ( × ) dx Similarly , for f Is f ( × ) dx = kinda far f ( × ) d × Ex : SF 9¥ kinds S ? ¥ = kinds ( t ' z ) I F) = trims a Hta - l ) ) = 1 * We say that SF ¥ is a convergent improper integral Ex : SF dgx kimsa ( SR, Ex ) = kinds ( ( In 1×1 ) 17 ) = kinds ( In IRI - 0 ) = a * we call this divergent
  • 43.
    Case 1 : (improper integrals Over unbounded intervals ) f {fcx )dX =p"→% far f ( × ) DX Question : What about integral of unbounded functions ? f ¥ . :R b Sba f = Linda + ( Srbf ) Case 2 : Def . ( Improper integrals for Unbounded functions ) Ex : Sj ( xtz ) dx =kiTo+Sk (9¥ ) =km→o+l÷lk ) =km→o+ ( - ( i - £ ) ) = - 1 + lim R→o+ £ = as Divergent
  • 44.
    Ex : I = fj( ¥3 ) dx S I ( ¥ . ) dx + S o ' ( ¥ ) dx - I , I 2 I . =Linfo . S ? ¥a = kinso . ( 3 x ' ' 3 I ? ) = kim→ o . ( 3 ( R ' ' 3 - L - l ) ) =3 I z = dingo + S is ¥3 = kimso + ( 3 × " 3 I ' r ) = King o + ( 3 ( l - R ' ' 3 ) ) =3 I = 3 + 3 = 6 Ex : S I ¥52 S % if'±x . + SS ¥7 . . I . I z I , = kinf . as Spina = kind. a ( ±' arctan ¥ 1 °r ) = kind . - ta ( arctan F ) = - ±, . - E = Io Iz = kima S or ¥1 = him • ( ÷, arctan ¥ To ) = kinds ÷, larctan E. ) = 't . E = too too + Io = LF
  • 45.
    Ex : f 5× e- × dx kinds S ! xe . ×d× U= X dV= e - × AX du = dx V = - e- × x l - e ' × ) 1 or - for. e'×d× ' im - ( re - R - I ) - ( e - R - i ) pmim k¥+1 + 1 lim R R → co Ers = kimscsetr = 0 * Choptal Rule 0 + I + I = 2 Functions of 2 or more variables f( × , y ) = 14 - o÷o ( x 2 + y2 ) * see week 6 ex K . y=x - 20 HK ) = 14 - ioo ( XZ + ( × - 20 ) 2 ) H ' ( × ) = 0 ↳ × = 10 → y = - 10 Id .
  • 46.
    Paramet . ^ Y R={( x. g) / R 01×14 } < • > ✓ 4 × : R={ ( X. g) 1 R 01×14 < • > OEYEG } V 4 R={ ( X. g) I • 4 YI - X+4 } y= - X+4 × c- f- ' ( y ) R • 4
  • 47.
    Parameterization ^ f - R={( x. y )lyE - ×+2 } rzy/Y= - ×+2 vertical parameterization • if - ' ( y ) R={ ( x. y ) 1 XEF - ' ( y ) } R 2 < ✓ • , > = { ( X. y ) 1×12 - y } horizontal parameterization ^ r R={ ( X. g) IYE - ×+2 , 01×12 } 2• r R={ ( x. g) IOEXEF - ' C y ) , 0<-412 } L - y 2 - y < ✓ × • 2 ) ,
  • 48.
    Double Integration Eaxni Find the volume ofthe foyer % f( x. y ) = 14 - o÷o ( ×2+y2 ) T - zo . y=× - 20 We FC x. y ) DX by w V= [ f ( × , y ) OX Dy Cox ,Dy in R ) X first VEE ( E ( FC x. y ) . ox ) )oy- ZOEY ±0O£×Ef"ly)2o+y Y ^ Aly ) 2 By taking ox , Oy → 0 × V=fIo(580+4 fcx ,y)dx)dy . £041> 4 Y zo = S .°zo ( 5200+914 - ÷oo(x2+y2 ) )dx)dY ux* y is fixed = S - z°o(( 14x - o÷o ( ¥ + yzx ) ) 128+4 ) dy = f }o ( 14 ( 20 + y ) - ÷oo( (20*3+42 ( zoty ) ) dy
  • 49.
    x y first Va E( EFC x. y ) oy ) ox 0<-0×120×-201 OYEO DX , Dy → 0 Alx ) - rzv = 5020 ( SI . zoflxiyldy )dx < %, Y > = fo20 ( f I. zo 14 - ÷oo ( x2+y2 ) dy ))d×u× =SY ( my - o÷o ( ×2y+ ¥ ) 11 a) dx Instead of height : density Find the total mass DM = ( Density ) . ( OA ) f( x. y ) . ox . oy eared EX : R : region bounded by y=×2 , y= - × , ×=2 " I S§ ( 6×2 y+xe4)dA y first- 2- ×=2 g }§I2×(6×2y+xeY)dy)d×
  • 50.
    Polar Coordinates ^ % 111' . PCX ,y ) = ( r , co ) r = 010<2 't RZO < )O = > or v x - it < OEH RIO x=rcoso y=rsiho tano=¥ cos @ = I sina.lt r r XZ + y2 - r2 Ex :( convert from Cartesian Coordinates to Polar Coordinates ( 2,53 ) B - • ( 2,53 ) r2= 22+532--4+3=7r=T7 )0 tan @ = -5 I z 2 co = arctan -32×0.7137 radians ( 3 , -3 ) ( 570.7137 ) } r2= 32+32=9+9--18 )× r=T8 = 352tanx=-32=-1- 3- • ( 3 , -3 ) x= - ¥ O= ZIT - y±= ¥ ( 3Vz , 7*14 )
  • 51.
    Ex : Convert polarcoordinates to rectangular coordinates . ( Fz , +14 ) × = VZ COS It = VZ Iz = l y = Vz sin I = Tz rz = I ( 1 , 1 ) ( 2 , 7+16 ) cos @ = cos ( it + × ) = - COS × A = O - IT = " ' 16 - IT = +16 O - COS the = - ✓3/z Sino = sin ( it + a ) = - sin x x l ' - sin "E = - E X = 2 ( - B/z ) = - B y = 2 ( - ' z ) = - 1 ( - Vs , - 1) Ex : f ( × , y ) = 2×2 + y2 Write in polar coordinates f ( × , y ) = × 2 + × 2 + YZ = × 2 + r 2 f ( r , O ) . - ( RCOSO )2 + r2 f ( r , @ ) = r 2 COS 20 + r 2 f ( × , y ) = 2×2 + y2 + 2 y± f ( X. y ) = ×2 + ×2 + y2 + z±y = ×2 + r 2 + 25 = ( RCOSO ) 2 + t 2+2 y± = TZCOSZ @ + rz + 2 RCOSORsince f ( r , G) = r 2 Cos 20 + r 2 + ZCOTO
  • 52.
    Ex : GRE set upthe total mass comp . ÷ ur 00 , )Ir DO a a or or oA= roo . or OM = mass density . DA = f ( r , O ) . DA = f ( r , @ ) . r DO . Dr m=§o §"o ( rzcoszotr 2) rdodr
  • 53.
    Recall : Diff . EQS separableequations d-Y - p ( × ) . q ( y ) %÷y , dy = f P ( × ) dx Ex : dydx = 3×2 y flydy = f 3×2 d × Ln I y l = ×3 + C I y I = ex 3 + C = e C . ex 3 y = ±@ . ex 3 A → some undetermined constant y - A e×3 Ex Set 08A Application : Models involving Y ' = K ( y - b ) r a Constants d-4 = k ( y - b ) at f ⇒ = fkdt Ln 1 y - bl = kt + C I y - b 1 = ekt + C = ec . ekt y - b = ± ec ekt 4 = A ekt + b
  • 54.
    Newton 's CoolingLaw : object c surrounding temp : ? given G constant = b Newton 's Cooling Law : RateofC@ftemprukLy.b ) ⇒t Ex 2 ( 08A ) : Temp of turkey at time t : y ( t ) Info : 1 . Y ( 0 ) = 185 2. room temperature = 75 = b 3 . Y ( 30 ) = 150 Problem : Find y ( 45 ) da- = K ( y - 7S ) y = Aekt +75 185 = A + 75 A = 110 150 = 110 ek ( 30 ) + 7 s 75 = 110 e 30k 1£ = @ 30k In ( ' 5122 ) - 30k 1<=1*22 ) Since k is negative , y = Aekttb # b 30 y ( 45 ) = 110 e k¥022 ) ' 45 + 75
  • 55.
    Other Models : ¥= - 3 y 312 tan 2 ( t ) y ( 0 ) = 4 Find y for all time t For what t do we have y → 0 ? f #dy = - 3f tan 2 Lt ) dt . 3¥ , y - " 2 = - 3 f 1 + tan 2 L t ) - 1 dt - zy - ' ' 2 = - 3 tan ( t ) + 3t + C y - 1/2 = 3/2 tan t - 3/2 t + C 1 4- ' ' 2 = 3/2 tan 0 - 3/2 ( 0 ) + C ' = ( ' a = £ y - ' 1 2 = 3/2 tant - 3/2 t + 1/2 y = ( 3/2 ( tant - t ) + ' 12 ) - Z Y = ( 3/2 ( tant - t ) + ' 12 ) 2 As t → tyz we have y → 0
  • 56.
    Recall : application of( Separable ) diff . EQ ' s : - Newton 's Cooling Law - logistic model This models the rate of change of a quantity y , With growth constant C Assumption : y has exponential growth with a maximum *+ = Cy ( N - y ) Solve : f # y , = of at * LHS of * : # , = tyt + Fy I = A ( N - y ) + B ( y ) y = 0 → I = A CN ) A = Nt y = N → I = BCN ) B = th S nyttnclny, dY= Stu ( yt + n÷y) dy Alternatively : - 1 . Y + ( N - y ) , yen . y ) = F # = a # + ty ) IS ( yttnty ) dy to ( Lnlyl - Ln IN - y I + -
  • 57.
    Nt ( Lnlyl - Ln IN - y 1 ) = Ct + B Lnlyl - Ln IN - y 1 = Nct + NB Ln ( ¥1 ) = Not + NB / # / = e. Nct + NB = EN Ct @ NB # = ( ± e NB ) e Not - A y = A e Not ( N - y ) y ( l + Nenct ) = A . enct N Ae Nct N y = - I + Ne Nct Remark : If you are given y ( 0 ) = - , then you can find A that will give you the particular solutions
  • 58.
    Ex : ( 08B - Zombie Population ) Z ( t ) : zombie population at time t per thousand Info : Z ( t=0 ) = I N = 40 C = is logistic model dzdt = CZ ( 40 - z ) z = A e 40 ( ÷o ) + ( 40 - z ) = A @ 4t ( 40 - z ) 1 = A e4w ) ( 40 - 1) = 39 A A = sat Particular solution : z = sat e4t ( 40 - 2) 2 ( i + zta e4t ) = 4£ e4t 4013g e 4 t 2 = 1 + ' 13g e4t * - z = zgle 4T 40 - z 2- ~ e - 4t 4-20 ~ e - 4++1 - yo Gets small v. fast z → 1 quickly
  • 59.
    Recall : 1st Orderdiff . equations dy = f(× , y ) K dx . when f( × , y ) = f ( × ) , can # * by integration find y in terms Of x. separable f( × ) =p ( × ) . q ( y ) Can solve * by Shy , dy = f plx )dx . Next : " linear " first order diff . EQS Ex : × DI # = ezx d- dx ( × y ) J integrate ×y=Se2×d× = 'ze2× + ( y = xtl 'ze2×t C ) ( general solution ) y ( 1 ) = 0 0 = ÷ ( ÷e2 + C ) 0 = I e2 + C ( = - tze 2 y=÷(÷e2× - 'ze2 ) ( particular solution )
  • 60.
    More generally , we cansolve linear first order diff EQ : -04 + A ( × ) y = B ( × ) * * DX Linear refers to flx , y ) in ¥ = fcx , y ) being linear in y How to solve * * Idea : Multiply both sides by some function I ( × ) I ( × ) # + A ( × ) I ( × ) y = B ( x ) I ( X ) ⇐I ( × ) . y ) key Condition ( In previous example , I ( X ) = 1) Find I ( X ) for Ex ( I. y ) to be equal to LHS Must have ¥ = A ( × ) I ( × ) + as CI' yktcxiaat + FEY ACXYI ( × ) Question : Can we find I ? Answer : Yes , + is a separable diff EQ f 9¥ = f A ( x ) dx Ln I I I = S Adx I = ± es Adx Looking for any I that satisfies key Condition . SO We will choose to ignore I ( × ) = esak 'd× negative sign 4 integrating constant . Def : I ( × ) is Called an integrating factor
  • 61.
    Ex : Solvethe initial value problem Ay - tan ( × ) y = I A *0 ) =3 , - ±z I × ± tz - tan ( × ) = ALX ) , 1 = B ( × ) I ( × ) . - e - Stan ( × ) dx S tank ) dx = SEE dx u = cos X - f due = - ↳ I U I + C = - Ln I cos × I + C Drop C - EE ×<_ E → Cos × 10 I ( × ) = e 4 ( cos × ) = cos × → ICOSX 1 = Cos × NOW , Multiply both sides of 4 by COSX COS ( × ) # - COS ( × ) tan ( × ) y = Cos ( × ) ddx ( cos ( x ) - y ) = COS 4) d integrate y . cos × = S Cosxdx = Sin × + C y = tanx + C- ( general solution ) COSX 3 = tan LO ) toy , = 0 + C = C y = tanx + costs× ( particular solution )
  • 62.
    Ex : × ¥ + Sy= ¥3 day + I y = e÷→A ( X ) BCX ) I ( × ) = e S AK ) d × = e 5 S ¥ = e S In ( × ) = @ in ( x s ) I ( × ) = × s MUH both sides by I ( × ) : dT9 ( y . xs ) = ×e× Integrate to get : y . × 5 = f xexdx 4 = × e × d x i dv du = DX ex = V y . × s = xe × - ex + C y = x÷ ( ×e× - e × + C )
  • 63.
    Graphical E NumericalMethods Consider the diff eq . : AY = ×2 + 42DX Point Slope_ ( 0,0 ) 0 ( 0 , 0.5 ) ¥ ( 0 , 1 ) 1 ( 0 . 5,0 ) ÷, ( 1,0 ) 1 ( 05 , 0.5 ) 'z ( I , l ) z ( Os , i ) E- ( I , 0.5 ) £ a. a 9 I 11 It I l=- Can we use this data to approximate → -7 what the particular solution looks 05 ' 11 I ' ' = like say assuming YC 01=0.5 ? < qFTF DFIELD 0.5 1
  • 64.
    Euler 's Method: Linear Approximation Problem : ⇒ = ×2 + y2 * Note : not linear If we are given yI)= 0.5 , f- ( 0 ) Can we estimate # = ? f- ( 0.1 ) ^ o.s.fi#iEIitEeFnrEEyFEiom.8ti5wi+hsiopez = ( aaf ) ( 0 , 0.5 ) = , ) 0.1 Back to * y - yI)= (d) ( 0 , 0.5 ) ( x - 0 ) 0.5 = 4 y = 0.5 + ÷ ( × - o ) is the equation of L SO the tin . approx . Of y ( 0.1 ) : y ( 0 . 1) = 0.5 + ±, ( 0 . 1) . - 0.525 Summary : 1. Find the equation of L 2. Find point * by subbing X = 0.1 in L
  • 65.
    We can usethe estimate y ( 0 . 1 ) = . 525 and repeat the process to estimate y ( 0 . 2 ) : y ( 0 . 1 ) + (date ) ( 0 . 1 , 0 . 525 ) ( x - 0 . 1 )
  • 66.
    Euler Method dY_ =× 2+42 %0 ) = 0.5 Estimate y ( 0.3 ) by repeatedly applying linear approximation Step 1 : Approximate y ( 0 . 1 ) : ^ ( 1) / ' L , o .s• - ¥ Li : line through ( 0 , 0.5 ) ; with slope = dat ( 0,0 . 5) = IT , s EQ Of L , : y = 0.5 + IT × 0.1 Yx ' : y ( 0.1 ) = 0.5 + LT ( 0 . 1) = 0.525 Step 2 : Approx . y( 0.2 ) using approximation y( 0.1 ) in step I ask *l " 4×2 ' ↳ < 2 : line through K , ,k with slope = aatx ( ¥ ) = . = 8¥ ( 0.1 , 0.525 ) = = ( 0 . 1) 2.1 ( 0.525 ) 2 > EQ of Lz : y= 0.525 + ( (0.172+6.525) 2) ( x - 0.1 )0 !1 & 2 ¥ ) : Approx of y ( 0 . 2) Using ¥ : 0.525 + ( ( 0 . 1) 2 + ( 0.525 ) 2) (0.2-0.1) = 0.554 Step 3 : Approx . y L 0.3 ) Using approximation y ( 0.2 ) in step 2 n YLO . 3) a 0.554 + ( CO . 2) 2 + ( 0.55 4) 2) (0.3-0.2) (3) = 0.588 (2) * ↳ 0554.1111¥¥ * Euler 's method of estimation YCO . 3) > wl 3 equal Steps of size 4/1=0.1 to !z o's using YLO ) = 0.5 Note : In each step of size ax we are using y ( × tax ) ~~y ( × ) + ( dost ) ( × ) . DX { use the approximation of y ( × ) in the previous step
  • 67.
    Mixing Problem : ExSet IOC # 2 Tank : 400 ( L ) of Water W/ To € Of chlorine Italian 400 ( Fo ) = 20g Of chlorine Incoming : 4 Lst ) × oto LE ) = Too ( ÷ ) - - concentration incoming rate of Chlorine Outgoing : 5 ( ÷ ) ×[?](E)_ = Outgoing rate of chlorine Concentration y ( t ) : quantity of chlorine at time t Find ylt )
  • 68.
    Exam 2 ReviewPacket 2 . ( × 2 + 1 ) y ' = Zxy - 3 ( × 2+1 ) y ( 1 ) = - 1 * If flx , y ) is a function of × , then solve by integration * If f ( × , y ) =p ( × ) qly ) : separable → separate then integrate * If f ( × , y ) is linear in y then use integrating factor ¥ - ×2I+, y = - 3 I = e-SEE , dx U = 112+1 - S tudu = e - MU = a- ' = ( × 2+15 ' du = Zx E duh ( x 2+1 ) ' ' - ¥+1,29 = 3 ( × 2+1 ) - ' # ×2+1 ) - ' y ) = 3 ( × 2+1 ) ' ' ( × 2 + I ) - ' y = - 3 arctanx + C y = ( × 2+1 ) ( -3 arctanx + C) - 1 = ( 2) ( -3 ( +14 ) + C ) 3. Triangular Region ( 1 , 2) ( 1 , -1 ) ( 2 , 0 ) a • Find : Srs C ( x , y ) da - f ? FIYI 4 e× + 6yz dyax X - 241-2×+4 < i • s I I × 1 2 .• f ? exy + 2y3 / II " ax f ? e× (-2×+4) + 2 (-2×+4) 3 - e× ( × - 2) - 2 ( X - 2) 3 dx
  • 69.
    5. ¥4 =y( ytl) = yzty YC - 2) - 1 Estimate YGI ) in 2 steps YC - 1. S ) = 1 + ( 12+1 ) C. S ) = 1+1=2 y( - 1) = 2+(22+2) C. 5) = 2 + ( 6) C. 5) = 2+3=5 y( - 1. 5) = y( - 2) + ( date )(×= - 2 ) . ( . 5 ) y ( - 17 = YC - 1. 5) + ( aatx ) ( × = - 1.5 ) . C. S ) 9. flo foF×2 ( xz + yz )2dyd× y= Fx 2 Y 2 = 1 - × 2 ftohfj (rY2rdrdO=fY " florsdrdo1 = xztyz Stonier• I 'o do=p onto do ' - 10A . Tank : SO ( L ) × to ( the ) : = 5 ( lb ) incoming :3 ( Ymin ) × To (E) outgoing :S( Ymin ) × ? ( ¥ ) date =3 ( ÷ ) - 5 ( Shoto ) date + stay =3 IOB .
  • 70.
    Recall : logistic equation #=gy ( N - y ) = ( CN ) y ( l - F )^ T T growth maximum intrinsic rate ( or carrying growth rate Capacity ) Ex : Set 11A 1. plt ) : population of fish in thousands ( N = 44,00 N= 105 Extra : harvesting at rate of 8 thousand per year a) E- Yotopll - Is ) - 8 b) Sketch the graph of Fai VS . p and find the point where # is Max ⇒ = ⇒ PIKE ) -8 • =( Yotoxnos )( iosp - pz ) - o ; =L ( IOSP - p2 - 2000 ) 1 = Io ( p - zs ) ( p -80 ) (•#ps Use part b To draw The slope fields 525 80 Indicate where the slopes are +1-10 ÷ oo - y y , y y - If Plt = 01=25 , then no 80-41,1*1 , 1,1=1 o Change in Population , E same sG⇐in in p p p p , + FOR if p(t=O)= 80 40 - post ggq ↳ Sometimes called equilibrium228=11 1 1 1 1 11 0 Solutions to to I to t - t
  • 71.
    pn If p(t=o) = 20 → extinction Kagy , y y 1 solution curve for the initial 80 - balgl*bn1,1,l←ss¥¥a Value prob . W/ p(t=O ) = 20 SKYEin , p , ↳ Eonguwthocnn If p(t=0)= 40 → @ 40 - a g g g g q ' ¥aYsF¥EF If p(t=O ) = 100 → 3 25 - 1 ] 1 1 1 | ) 1 ← threshold 20 #y y y y ( of extinction ) t f ) . 25 < PCO ) < 80 → plt ) increases G tinsoplt )= 80 . PCO ) < zs → plt ) decreases to extinction . PLO ) > 80 → p a) decreases { times plt ) = 80 ( # = Cp ( N - p ) ) * ) Note : this is an example of autonomous diff . equation y ' = FCY ) ( not ) Here for each fixed y slope does not change in time
  • 72.
    Generalized Logistic Equations ExampleSet 12A Recall exponential growth 1 decay model : by = Ky ( I ) dt and logistic model : ⇒+ = Cy ( N - y ) = ( CN ) y ( l - f- ) ( 2) ( and harvesting model : ⇐ = ( CN ) y ( 1- In ) - harvesting rate ) Introduce Birch Model dy_ = Al (3) At N - y + Cy ( 1 ) { ( 2) are special case of birch model : * c =0 → ¥ = ay ( 1 ) * * ( = 1 → off = NE ( y ) ( N - y ) (2)
  • 73.
    Ex : h( t ) : height of plant at time t Max height : 5 feet h Lt ) satisfies : ath = go . # ( * ) 5 + 2h and h LO ) = 2 Problem : How long does it take to reach height = 2 . S ? We Will find t in terms of h : ( * ) is separable f Elk dh = f For dt LHS : ¥22 , = f- + IT 5 + 2h = A ( S - h ) + Bh A = 1 B = 3 f th + IT dh = foe f At Ln 1h 1 - 3 Lh 15 - h 1 = To t + C Lh ¥ = Fo t + ( Use h ( t = 0 ) = 2 Ln z÷ = c t = to (Ln ( ¥3 ) - Ln ( I )) When h = 2.5 , + = ' EhnEE - in ÷ )
  • 74.
    Why introduce Birchmodel ? Answer : more flexibility Note : For logistic equation we have : a = ( CN ) y ( 1 - Fu ) At When I is small or y is small then : dydN a ( CN ) y → y has exponential growth ^ * EmotionlessTarawa no × SO Max rate of growth happens only when y is small But for bitch model We have : • C > I → Max rate of growth at y < Nz • ( < I → Max rate of growth at y > E
  • 75.
    Partial Derivatives 14 . 3 2. f ( x , y ) = 3×2 y b) Derivative of f With respect to X ( With y fixed ) ( 3x ) ( ZX ) = ( by ) X a ) y = 2 =L ZX Derivative of f with respect to y ( with × fixed ) d ) = 3×2 C ) × = 1 =3 Def : partial Derivative ( 1 ) If = f × ox (2) ¥ = fy 2nd Partial Derivatives Def 1 Notation : fx × = ¥ f × = ¥ 0×2 fyy = ¥ fy = ¥2 fxy = ( f × ) y = Fy ( f × ) = ¥ oyax fyx = ( fy ) × = ¥ ( fy ) = # axoy In this Course , fxy = fyx
  • 76.
    Example : g (× , y ) =×e×2y 9 × = -3×9 = ex2y +×(z×y)e×= 9Y = § = ×3 @ xzy ZX2ye×2y 9××=F× ( 9× ) = 2×ye×2Y + 4xye×2Y + (2×24) ( Zxy ) e×2Y
  • 77.
    Estimating Derivatives ^ Slopeof L : f Ohl f ( at OX ) - f ( a ) ( , ) Variable L ox ' Yes'in¥ As ox → other ( 1 ) < = - > 1 ✓ a atox d¥ (a) We Call ( I ) the " forward difference estimate " of * ax at a . Similarly , we can define backward : n f ( a ) - f- ( a - ox ) f OX L f (a) fca . ox ) , ' 41,1¥ < = - > ✓ a- ox a central : f( a + DX ) - f ( a - DX ) ^ 2 DX f ( atlx ) 11 1 11 l I ' fca - ox , y, ,¥[ < = = = < ) ✓ a - ox a atox
  • 78.
    Similarly , We canalso define forward , backward , and central estimates in each variable for multivariable functions Estimating partial derivatives f= f ( × , y ) Forward of : f ( a + OX , b) - f( a , b ) f× at ( a , b) Ox Ex : Example Set IZB 1. See chart F= FCT , w ) a) Estimate 3¥ at ( 1=-20 , W= IS ) Forward FCZO - S , IS ) - FC 20,15 ) = 13 - 6 = 75 5 5 Backward FC2.0.IS ) - GF (20-5,15) = 6 SO = §Central 1=(20+5,15) - F ( 20 . s , IS ) 13 - O 13 = = - ZCS ) 10 10
  • 79.
    Chain Rule forPartial Derivatives Recall : one variable : f=f ( × ) G × = XCS ) If = -d× . If ds ds DX Two variables : f=f( × , y ) × = × ( S , t ) y=y l S , t ) df = Zfx dx + # dy 2 z Then ⇒ ¥ ⇒ + ⇒ ⇒ ¥=¥s÷+¥⇒ f x y s t s t Same for more variables 22 . U= Ln ( xztyz ) ×= COS Lzt ) y=sih( t ) # = ? at du = ¥ dxt ⇒ dy ( I ) # = Fy¥ + In -24ay at ⇐- dydt At
  • 80.
    -24 = # (2 ) 2 X × 2 + y2 *y = 29×2+ YZ * g + = - 2 sin ( Zt ) -04 = Cost at → ⇒ = (}z÷yz) L - zsint ) + ( ¥-2 ) cost Zb . U = U ( X , , Xz , X 3 ) du = ¥ ax + Fay ay + ⇒ dz ¥ = ( Ux ) ( xs ) + ( U y ) ( y s ) + ( Uz ) ( Zs ) Implicit differentiation : inter We say Z is an implicit function of × , y if it satisfies f ( × , y , 2) TO For some function F ( for all values of × , y , 2 ) → d F = 0 Fx DX + Fydy + Fzdz tiffs Fx ¥ + Fy a+ Fz -3×2=0wrt x I I I I 1 0 → FE - E÷ €2 = - # 2 Y Fz
  • 81.
    Z is animplicit function of × & y if : f ( × , y , z ) = 0 ⇒ =¥E ⇒ =¥e Example 32×3yz - y 2 - 3×+2×23+7=0 Zy = ¥2 = ¥29 Fy ' - ×3z - Zy Fz = ×3y + 6×22 Zy = -1¥ X3y + 6×22 Zy ( I , I , - 1) = # = 3- 3b . EYZ + ×+÷z - 5=0 7¥× = - k¥2 Fz = ye YZ - (×¥z)2 Z× = k¥2 YEYZ - ¥22,2
  • 82.
    Linear approximation formultivariable functions Ex Set 13 A Recall in one variable case f =f ( x ) n f EQ n of [ : fcatox ) . # [ y - f (a) = ( ddxt ) ( × = a ) . ( × - a ) * - • •_ - = - Slope ( , > ✓ a a + ox Linear approx of flat DX ) : flat ox ) a f (a) + ( 8¥ ) ( ×= a) ( DX ) fLat_ox)fa= (aa¥ ) ( × = a ) ( DX ) Of Multivariable Case : f = f ( × , y ) Lin approx of flatox , b + oy ) f ( a + DX , b + oy ) ~~ f ( a , b) + FI ( a , b ) . DX + ¥y ( a. b) by flat Ox , btoy ) - f ( a , b) ~~ FE ( a , b) DX + ¥y ( a , b) Oy .f Example : Use lin . approx to estimate the change in g ( × , y ) = ×e×2Y when ( × , y ) changes from ( 1,0 ) to ( 0.9 , 0.2 ) ( 1 , 0 ) → ( 0.9 , 0.2 ) DX = 0.9 - 1 = - 0 . 1 Oy = 0.2-0=0.2 Dg a ¥ ( 1,0 ) . ( it ) + ¥ ( 1,0 ) . ( to ) g × = e×2Y + × ( Zxy ) e×2Y 9 × ( 1 ) =/ gy = x ( x4e×4 = ×3e×2Y Dg a - to + to = to 9 y ( 1 ) =/
  • 83.
    Sensitivity f = f( × . y ) Def : Sensitivity of f wrt x at ( a , b) = 3¥ ( a , b ) ( sensitivity Coefficient ) . Sensitivity Of f wrt y at ( a , b) = ¥y ( a , b) Elasticity : ( a , b) → ( a + to a , b ) of a ¥x ( a , b) ( too a) + @ no change in y direction Def : elasticity of f wrt × at ( a , b) = % Of change in f due to it . change in × = ¥( a , b) ( o÷o a) × 100% ( elasticity coefficient ) f ( a i b ) Similarly , elasticity of f wrty at ( a , b) = ¥y ( a , b) ( too b) f ( a , b) EX 2 : Cylinder rod W 1 height = 100 , diameter = 5 22 . Volume = V ( h , d ) = IT (E) 2h = IT d 2h ( 100 , S ) → 100 ± to , s ± io OV a ¥n ( 100 , S ) ( ± to ) + Fa ( 100 , s ) ( ± to ) F- = YI A 2 = In ( s 2) = 2¥ Tat = ¥ h ( Zd ) = ZSO it
  • 84.
    Recall : Example 2: Cylind Rod Height : 100 Diameter :S Volume = ✓ ( h , d) = ¥ d 2h Zb . Sensitivity of the Volume wrt h at ( 100 , S ) = ¥ ( 100 , S ) = YI ( ZS ) sensitivity wrt d = ¥ ( 100 , S ) = 250 IT ZC . Elasticity wrth ( 100 , 5) → ( 100 + ¥100) , S ) oh = I LW a ¥h ( 100 , S ) - I = E ( ZS ) Elasticity coefficient = ¥ × 100% ¥ ( ZS ) ÷± (g) ( 100 ) × ' 00% = I % Elasticity wrtd : ( 100 , 5) → ( 100 , Eis ) od = zto LW = Fa ( 100 , s ) . to = 250 # ( To ) = I ( 25 ) Elasticity Coeff : ten IT (E) ( 100 ) × 100 % = 2%
  • 85.
    Recall : Linear Approx : f= fcx , y ) ( a , b ) → ( a + ox , b + by ) f ( a + DX , b + D y ) a f- ( a , b) + 3¥ ( a , b ) . Ox + Fy ( a , b) Oy of a FE ( a , b ) . DX + ¥y ( a , b) Oy More examples : 3 . 200 ft 100ft I 3 inch ; Problem : Use tin approx to inch find the area Of the frame A = A ( × , y ) = xy I A = A ( 200 + £ , 100++2 ) - A ( 200 , 100 ) ~~ ¥ ( 200 , 100 ) ( I ) + ¥ ( 200 , 100 ) ( I ) = 100 ( E) +200 ( I ) = ISO
  • 86.
    Example set 13 1 . Approxf ( -0.8 , 2. 2) Using the value of fat ( - 0 . s , 2 ) ( -0.5 , 2) → ( -0 . 8 , 2 . 2) Ox = - 0 . 8+0.5 = -0.3 Oy = 2 . 2 - 2 = . 2 f ( - 0 . 8 , 2. 2) a f- C- 0 . s , 2) + ¥ ( -0.5 , 2) ( -0 . 3) + ¥y TO .S , 2) C. 2) * Use chart - 5 3×1 to .s , 2) = ? Backward : f ( -0 . 5 , 2) - f ( -1 , 2) = S - 4 . 5 = , Approx . S . 5 ofy ( - 0.5 , 2) = ? Forward : f ( -0.5 , 2. 5.)gift 0.5 , 2) = 6 . If 5 = z . z Approx Sub Back Lagrange Multipliers Problem : Given f ( × , y ) , find the points Lx , y ) Satisfying g ( × , y ) = 0 , Where the function FC × , y ) reaches its Max or min Def : Level Sets : Points ( × , y ) that satisfy f ( × , y ) = C for Some constant C T intersection of f w1 horiz . plane 2 - C Key Idea : the points we are looking for happen where : level sets and g ( x , y ) =O share the same tangent direction after projectiononto xy - plane
  • 87.
    1. Tangent to f=Cat ( x , y ) = tangent to g 2. g ( × , y ) = 0 Q : HOW to find ddxt for FCX , y ) =C ? Implicit diff : dy = - fx dx fy similarly , dy = - 9 × dx gy 1. ¥ = sgxyn at ( x , y ) → ( f × , fy ) = X . ( g × , gy ) → so we have to solve : If = × # at ( × , y ) ax ox If = × -09 at ( X , y ) oy Zy g( x. y ) = 0 Example Set 13C Ex : la . height of roof : h ( × , y ) = 2×+4 y + 20 Spider 's Path : ×2 + y2 = 4 g = ×2ty2 - 4 Solve : * y¥o hx - Xgx 2 = X ( Zx ) hy = Xgy I 4 = × ( zy ) → ÷ = I = y± g = 0 y=z× XZ + ( Zx ) 2 = 4 = 5×2 ×=± ; Its , Es ) y = ± IF f Ers , - Is )
  • 88.
    h ( r÷, Is )= 4 is +20 h ( - Is , - Is ) = - 4 is + 20 when y = 0 → × = ± z h ( ± 2 , 0 ) = 20 ± 4 SO Max = 4 is +20 at ( Is , Fst ) min = 20 - 4 is at t÷ , - Fs ) lb . If the path is a semicircle maxlmih could happen at endpoints , when path is not closed h ( 2 , 0 ) = 4 + 20 = 24 h C- 2 , 0 ) = - 4 + 20 = 16 ( ⇒ , - Ffs ) is not part of the new path so min = 16 2 . P = 60 k ' 14 [ 3/4 30 , 000=15 K + 3L ← g Solve Pk = X 9 k PL = XGL g = 0 P k = IS K - 3/4 L 314 PL = 45 k 114 [ 114 / S K - 314 L 3/4 = × . IS 45 k ' ' 4 [ ' 14 = X . 3 's 15 ' L = S L = 15 k IS K + 3 ( 15 ) K = 30000 k = SOO L = 1 S ( SOO )
  • 89.
    Sequence and Series ExampleSet 14A : . sequence : an ordered listing of numbers n an . Sequence Of odd numbers : 1 , 3 , 5 , 7 , 9 , ... - Or a = 2h - 1 - • n . - • a , =L - - • az =3 - 23=5 = • { an }F= , - • ( ✓ I I I I I I ) ' Sequence Of powers of I bnr lim n n → a an = as bn = ( it " I - • b. = I lim n→abn=O bz= KY l - • 4 b3= ( EP l - • 8 { bn }F=l c i 1 1 > ✓ n Find limits : lim 1 - e2n + 4e6n h→• ( 3 + Sen + econ)=4= him . -4%1=4 lim n→• COS ( ht ) = DNE h=1 : COS ( A) = - 1 h=2 : Cos ( ZT ) = 1 n =3 : COS ( 3T ) = - 1 SO COS ( hit ) { - 1 , n Odd = ( y )n 1 , n even Limit Laws : Assume thinks ( an ) and hinto ( bn ) both exist ( * a. not divergent ) 1. hinfo ( an ± bn )=hi→mo( an )±n"Too ( bn ) 2. Lisa ( an bn )= ( n'irsoankninsabn ) 3. himo (E) tree lim n→abn 4. dish ( C . an )= c. high an T Constant
  • 90.
    Squeeze Theorem { an} , { bn } . { Cn } 3 sequences an I bn E Cn for every n ( or for some n 2 M , M c IN If high an = hints Cn =L Then Links bn =L lim n → a ( ein sin ( h ) ) = 0 - 11 sin ( h ) El - e - nee ' hsin ( n ) E ein t t o 0 By squeeze theorem → him a ( Ens in ( n ) ) = 0 Def : geometric sequence { an }F= , if for every n we have an + I an = r ← Common ratio for some fixed r ÷ , kt , hp i 2 2 so a , = C az = Cr 23 = Cr 2 24 = Cr 3 an = crn - ' Alternatively , we can start at 0 ao = C a , = Cr dz = C p 2 an = Crn
  • 91.
    za ) {tz , ÷ , ÷ . ÷ , ... } an = # not geometriclim n → as an =/ zb ) { - s± , E , - ¥ , ¥ , ... } ÷ . . ÷= . ÷ - E . ¥= . ÷ geometric an = f÷ ) f ± ) n lim n → a an = 0 ZC ) Cn + , = ( n + I ) Cn for n >_ I and C , = I C , = 1 Cz = ( I + 1 ) ( I ) = 2 Cz = ( 2+1 ) ( 2) = 6 lim n → as Cn = Cs
  • 92.
    Def : Series isthe sum of all terms of a sequence { an }F=i = a , + a z + 23 + . . . :[ an :Ummation notation : 53 = § , a k = a , + az + a 3 Sn = §, a k = a , + . . . + an ( Nth partial sum ) so §, an = n'info ( Sn ) More on geometric sequences and series Example Set 14 B 1. ball projected 10ft E bounces at 801 . of previous height 10 , 1010.8 ) , 10 ( 0 . 8) 2 , 10 ( 0 . 8) n - ' hn = 10 ( 0.8 ) n - ' C = 10 , r = 0.8 So = 101¥ ) = ⇒ SO 2 ( SO ) = 100 ( bk goes up E down ) Def : Geometric Series = sum of all terms in the geometric sequence { Crn }F=o = C + Cr + C r 2 + . . . + c to a C rn h = 0 or { crn ' ' }F= , a C rn - i n = 1
  • 93.
    Claim : an = c. rn - ' { an } F- I S n = §, C rn - ' = C + Cr + C r 2 + . . . + cr N - I = cliIn 1 Proof t.SN = Cr + Cr 2 + Cr 3 + . . . + Cr N - 1 + Cr N Sn - r SN = C - Cr N = c ( 1 - rn ) Sn ( 1 - r ) = C ( 1 - rn ) Sn = c ( ¥ ) E. c. rn ' = n'i→ma ( sn I = n'into Klein ) ) = {ufnraeiiined!ItYrhi 3 a ) F - as + ET - if + . . . C = I , r = - 's ⇐ It 's In " = n'info sn = if = F 3 " I ¥ = EE , l÷ in = E o last - ( I + ÷ + t⇐DN E Sz bk 4/3 > 1 ↳ E.3 ¥ dogspiomit+ have 5 . Rewrite as fractions 5 a ) 0.9 = 0 . 9999 . . . = to + ÷o + ÷oo+ . . . = EE , ( Fo ) l ÷o) n ' ' = Fo ( i÷÷ ) = To . ' ÷ = 1
  • 94.
    Sb ) 3.OII =3 + ( 12×10 - 3) + ( 12×10 's ) + ( 12×10-7 ) + . . . = 3 + n§ , ( 12×10 - 3) ( 10 - 2) n - I =3 + ( 12×10 - s ) ( ¥2 ) =3 + ( 12×10 's ) ( ' fat ) =3 + hat × to =3 + Is = YET
  • 95.
    Recall : 1 . rmi' 1 + r + r 2 + . . . + r m = Fr Notation : SN = sum of first n terms Ex : { an }F=i , an = c. rn ' ' SN = C + Cr + . . . + cr n - ' = c ( Fn ) T 4 a , an { an } F. o , an = c. rn Sn = C - cr + . . . + cr N - ' = ( ( Ff ) T In do 2 N - 1 Example Set 14C : 1. Day 0 : 30 ← Xo 1 : To ( 30 ) + 30 ← X , 2 : I (To(301+30)+30← xz ↳ = ( to ) 2130) + to 130 ) +30 Xn = 30 + ( To ) ( 30 ) + (E) 430 ) + . . . + ( To ) " ( 30 ) Day 2 before the next dose is given : Xz - 30 Day n before the next dose is given : xn - 30 Xn - 30 = To ( 30 ) ( 1 + to + ( E) 2 + . . . + (To ) n ' ' ) = Fo ( 30 ) ( ¥91 " ) = 4s ( l - ( to ) " ) Long term measurement before the next dose is given : n "→ma ( 45 ( 1 - ( to ) " ) ) = 4s
  • 96.
    Za ) Xo= 100 X , = 100 + to ( 100 ) - Fo ( 100 ) = 100 ( To ) Xn+ , = Xn - to ( × n ) = Fo Xn Xo : 100 × , : Fo ( 100 ) xz : l Fo) 4100 ) xn : ( E) " ( 100 ) so { xn }F=o is a geometric series Zb ) Xn + , = ( Fo ) × n + I X o : 100 × , :( to ) ( 100 ) + Fo xz : I ÷o)l÷o l 100 ) + E) + Fo = ( ÷ ) 21100k (E) (E) + Fo xn = ( To ) " ( 100 ) + [ Fo + Fo ( E) + to ( E) 2+ . . . + ( E) (E) m ' ] = ( to Yu oo ) + Fo . HEE (E) " ( 1001+811 - l÷o ) " ) As n → A , xn → 8
  • 97.
    A note onelasticity : Wrt × : ( a , b) → ( a + iota , b) If = f× ( a , b ) . ( ioo a ) Elasticity wrtx at ( a , b) = fx ( a , b) iota × 100% = ¥ × 100 % f ( a , b) E if given table Ex : f ( × , y ) = e×Y f × = ye ×Y elasticity wrtx at ( 2.1 ) : fx ( 2 , 1) ' too (2) = EZ - 2 = z f ( 2 , 1 ) e 2
  • 98.
    Computing Infinite Series (Set 15 b) Recall geometric series ⇐ c. renting . c thy SN If I r 1<1 → ( ( I ) In addition to this there is another set of standard examples where we can Compute the a - series : telescopic series Ex : S = EE , t , = ÷ + at + ÷ + . . . k¥1 FIt - ¥ = lek K ( kt I ) partial fraction decomposition S = EE , ÷ - In sn=E. , ÷ - ±=k - tzttl 's - tttl 's - It + it # - tnttfn - n÷, ) = 1 - nt , s = winds Sn = dingo ( l - n÷, ) =L What about S = EE ¥+2 ? ¥+2 , =÷Ii÷t= It ÷ - ±zt . EE, { He - ¥1 +1¥ - ¥1 → sn = 's §, it - he )=E{ ( I - n÷, ) + ltzntz ) } S = tnimsasn = zt ( i + tz )
  • 99.
  • 100.
    Convergence of InfiniteSeries Ratio Test s=E an Define e - dba / ¥1 If e < 1 → S converges If e > 1 → S has no limits If e = I → inconclusive Ex : Za ) s = £ I - 7) " n = 1 n÷ let k¥I¥i him n n → ants = I C =Linfo I -7 ¥, ,s / = 7 > I → no limits A n Zb ) s = [ 2h= O n ! l¥th¥l hints ¥n . = ntinto ¥ = o e = nlinfo ( 2 - ant ) = 0 → by ratio test , S converges co ZC ) s = E nh= | N +2 # . # n +3 n C = 1 → inconclusive
  • 101.
    But in general , ifan 1- 0 , then E an has no limits Power Series : Def : We Call co S ( x ) = E an ( x - C ) " T n = 0 T function Constant Of X = a o + a , ( × - C ) + a z ( × - C) 2 + . . . A power series centered atc we will address 2 questions : I . For what values of × does s ( × ) converge ? 2. smooth functions as power series Convergence Def : Given power series S ( × ) we call a non negative number R C including + A ) the radius of convergence if S ( x ) Converges for all × satisfying 1 × - C I < R r c- I I 1 ofq convergent and has no limits for all × satisfying 1 x - C 1 > R To find R : Use ratio test co 3a ) s ( × ) = E # " n = 1 n 3 k¥25" Ertl # pix . a 1 Ask → co | ¥3,3 ( × - 2) | → 1×-21 By ratio test S ( × ) converges if 1×-21<1 { has no limits if 1×-21>1 R = 1
  • 102.
    Radius of Convergence Ex : 3b) s ( × ) = £ ×2k K 2kt I let 't=k÷IIax÷tkE÷sl As K → a 1×21 = 1×12 SK ) Converges if 1×12<1 ←> 1×1<1 R = 1
  • 103.
    Taylor Series forSmooth Functions Example Set 16A Smooth Function = have differentiable derivatives of all orders Recall ÷× = I + × + × 2 + × 3 + . . . a < 1 SO 1 is the radius of convergence of the power series on the RHS and I + x + x2 + . . . is a power series representation of ÷x over - 17×71 centered at 0 Similar Examples Find a power series representation for f ( × ) = z÷× centered at 0 z?×=÷ It ) = 3z ( I + ÷ x + ( Ix ) 2 + . . . ) I × 1 < 2 = I + ÷ x + 3z×2 + . . . T R NOW centered at C- I ) T?×=F×3t=3÷× , , =3 ,÷¥ , F I + ¥1 + ( ¥ )2+ . . . ÷ 1<1 ←> 1×+11 <3 p R
  • 104.
    Q : Can Wefind such power series representation for other smooth functions ? Yes . Suppose we can Centered at 0 : f ( × ) = a o + a , × + a 2×2 + . . . → a o = f ( 0 ) f ' ( x ) = a , + Zaz × + 3 a 3×2 + . . . → f ' ( 0 ) = a , f " ( x ) = Zaz + 6 a 3 × + . . . f " ( 0 ) = Zaz → a z - zt f ( 2) ( 0 ) a 3 = to f ' 3 ' ( 0 ) an = n÷ f ' n' ( 0 ) → f ( x ) =§o ¥40 ' xn Centered at C f ( x ) = do + a , ( × - c ) + a 2 ( × . C ) 2 + . . . Evaluate f at C f ( ( ) = a o f ' ( ( ) = a , an = n÷ f ' n' ( ( ) → f ( × ) =n§o nah ) ( × - c) n Def : Taylor Series We call TCX ) = ⇐ ¥54 ( × - c) n the Taylor Series of f at C ( or centered at C )
  • 105.
    Def : Taylor Polynomial GivenTH ) =§o fly ' ( × - c) n We Call the deg - Nth part ( sum of polynomials in TCX ) of degree IN ) of TCX ) the Ntt ' Taylor Polynomial Notation : Tn ( × ) EX : To ( × ) = do = f ( C ) Tz ( × ) = f ( c ) + f ' ( c ) ( × - c ) + ¥9 ' ( × . c) 2 → TH ) = discs ( Tn ( × ) ) Def : When C= 0 , we call the Taylor Series TCX ) the Maclaurin Series * In this Class , we Will assume that Over domain off 4 wlin the radius Of Cohv . Of TCX ) we have : f ( X ) = TCX ) The geometric series are all examples of Taylor Series : # = 1 + × + × 2 + . . i - Tko ) Ito ) . x f 1×1 < 1 # =p÷ + ÷ × + 38×2 + . . . ⇒2 f ( 0 ) f ' ( 0 ) . × ⇐× , Imation, + # + . . .
  • 106.
    Za ) FindTCX ) for e × at 0 f- ( × ) = e × f ( 0 ) = 1 , f ' ( 0 ) = 1 , f ' ' ( 0 ) = I , f ( n ' ( 0 ) = / → text EIo±LY0xn=Eo # = 1 + n + ¥ + ¥ + . . . The interval of Convergence × nt ' . n ! × ( nil ) ! Xn ( nil ) IS 0 < 1 4 for all X ratio test → the radius of corn . = A → interval = R
  • 107.
    Recall : Find TCX) for e× at 0 : Tineo ¥9 ×n=nE=o ¥ Zb ) Estimate e° ' 2 using 4th Taylor Poly Ii ( x ) Ta ( × ) =n&o¥n = I + × + ¥ + ¥ " '¥ f ( × ) =T( X ) wl in radius Of corn . f ( × ) ~~ TN ( x ) f ( 0.2 ) ~~ Ty ( 0.2 ) = 1 + To + tz (÷o ) 2 + at ( to )3+ at ( to ) " = 1.2214 Remark : fC0)+f'(0)×_ = linear approximation T , at to T , ( ÷o ) = f ( 0 ) + f ' ( 0 ) ( E) = lin approx . of f ( To ) at 0 ÷c) Write down the error of this estimate . Error = ( f ( × ) - Ty ( × ) ) ( 0.2 ) * ) a Of n=S n ! Example Set 16 B I . f ( × ) = Lh ( × + 2) Find Is ( x ) at -1 I ( x ) =n&o ¥7 ' ( x + 1) n f ( - 1) = Ln ( l ) = Of'tn= # kiri }IYYIYY¥I¥hEt¥tI,Yt ' " f " ( - 1) = ¥2,2 ( - 1 ) = - 1 f ' 3) tl ) = 1+-2,3 (-1 ) = 2
  • 108.
    Use previous answerto estimate In ( 0.8 ) Lh ( X + 2) a Ts ( × ) Ln ( 0 . 8) = Lh ( - 1 . 2+2 ) ~~ Tz ( - 1. 2) - × = ( - 1. 2 + 1 ) - zt ( -0 . 2) 2 + 's ( -0 . 2) 3 2 . Use the Taylor Series for i÷x at 0 to find the one for u¥z)z Observation : ¥a= Fox ( ¥ ) 1- = 1- I + ×2 1- ( - ×2 ) co co = E ( - × 2) n = E ( - 1) n×2n T n = 0 n=o 1×21<1 ¥XZ = ¥ ( §o th " x2n ) =§?o # ( ( - hnxzn ) =n⇐, fax ( ( - i ) nxzn ) co = [ ( - 1) n ( 2h ) ×2n - l n=O a Change to 1 0 ! = 1 4 b) Find B at I for y ( t ) ; the solution of y ' = y 2 + ty , y ( 1) = - I I ltl=&o Yad ( t - 1) n Y ( 1) = - 1 Y ' ( l ) = ( - 1) 2 + ( 1) ( -1 ) = 0 Y ' ' ( l ) = ? y ' ' = Zy y ' + y + ty ' → Y ' ' ( 1 ) = 2( - 1) ( 0 ) + ( - 1 ) + 0 = - 1
  • 109.
    Y ' ' ' =2 ( y ' FtZy y ' ' + y ' + y ' + t y ' ' Y ' ' ' ( 1 ) = 2 ( 0 ) 2 + 2C - 1) ( - 1 ) +0 + 0 + ( 1 ) ( - 1 ) = 1 Y ( t ) a Tz ( t ) = - 1 - £ ( t - 1) 2 + z÷ ( t - 1 ) 3 3 a 1 Use Taylor Series itxz to find the one for tah ' ' ( x ) over - 1 < × < l fax = tah - ' ( x 7 + C # = ¥2 , = §o tx 2) n =n⇐o t 1) n xzn tan - ' ( × ) + C = f§=o thn x2ndX=nEo( f thnxzndx ) = §o C- 1 ) n In × 2h +1 To find C , evaluate both sides at × = 0 : 0 + C = 0 → C = 0