Atomic
Physics
Course: B.Tech
Subject: Engineering Physics
Unit: IV
Chapter :1
• “Classical Physics”:
– developed in 15th to 20th century;
– provides very successful description of “every day,
ordinary objects”
• motion of trains, cars, bullets,….
• orbit of moon, planets
• how an engine works,..
• subfields: mechanics, thermodynamics, electrodynamics,
• Quantum Physics:
• developed early 20th century, in response to
shortcomings of classical physics in describing certain
phenomena (blackbody radiation, photoelectric effect,
emission and absorption spectra…)
• describes “small” objects (e.g. atoms )
Quantum Physics
• QP is “weird and counterintuitive”
• “Those who are not shocked when they first come
across quantum theory cannot possibly have
understood it” (Niles Bohr)
• “Nobody feels perfectly comfortable with it “
(Murray Gell-Mann)
• “I can safely say that nobody understands quantum
mechanics” (Richard Feynman) BUT…
• QM is the most successful theory ever developed by
humanity underlies our understanding of atoms,
molecules, condensed matter, nuclei, elementary
particles
• Crucial ingredient in understanding of stars, …
Features of QP
• Quantum physics is basically the recognition that
there is less difference between waves and particles
than was thought before
• key insights:
• light can behave like a particle
• particles (e.g. electrons) are indistinguishable
• particles can behave like waves (or wave packets)
• waves gain or lose energy only in "quantized
amounts“
• detection (measurement) of a particle  wave will
change suddenly into a new wave
• quantum mechanical interference – amplitudes add
• QP is intrinsically probabilistic
• what you can measure is what you can know
WAVE-PICTURE OF RADIATION—
ENERGY FLOW I S CONTI N UOUS
• Radio waves, microwaves, heat waves, light waves, UV-
rays, x-rays and y-rays belong to the family of
electromagnetic waves. All of them are known as
radiation.
• Electromagnetic waves consist of varying electric and
magnetic fields traveling at the velocity of 'c'. The
propagation of electromagnetic waves and their
interaction with matter can be explained with the help of
Maxwell's electromagnetic theory.
• Maxwell's theory treated the emission of radiation by a
source as a continuous process.
• A heated body may be assumed to be capable of giving
out energy that travels in the form of waves of all
possible wavelengths.
• In the same way, the radiation incident on a body was
thought to be absorbed at all possible wavelengths.
• The intensity of radiation is given by,
I = 1E12
where E is the amplitude of the electromagnetic wave.
• The phenomena of interference, diffraction and
polarization of electromagnetic radiation proved the
wave nature of radiation.
• Therefore, it is expected that it would explain the
experimental observations made on thermal (heat)
radiation emitted by a blackbody.
Blackbody radiation
• Types of heat energy transmission are conduction,
convection and radiation.
• Conduction is transfer of heat energy by molecular
vibrations not by actual motion of material. For example,
if you hold one end of an iron rod and the other end of
the rod is put on a flame, you will feel hot some time
later. You can say that the heat energy reaches your hand
by heat conduction.
• Convection is transfer of heat by actual motion of.
The hot-air furnace, the hot-water heating system,
and the flow of blood in the body are examples.
• Radiation The heat reaching the earth from the
sun cannot be transferred either by conduction or
convection since the space between the earth and
the sun has no material medium. The energy is
carried by electromagnetic waves that do not
require a material medium for propagation. The
kind of heat transfer is called thermal radiation.
• Blackbody is defined as the body which can absorb all
energies that fall on it. It is something like a black hole. No
lights or material can get away from it as long as it is
trapped. A large cavity with a small hole on its wall can be
taken as a blackbody.
1
•Blackbody radiation: Any radiation that enters the
hole is absorbed in the interior of the cavity, and the
radiation emitted from the hole is called blackbody
radiation.
Fig. 9.1
Blackbody
concave.
LAWS OF BLACK BODY RADIATION
1. Stefan and Boltzmann’s law: it is found that the
radiation energy is proportional to the fourth power of
the associated temperature.
4
M(T) T 
M(T) is actually the area under each curve, σ is called
Stefan’s constant and T is absolute temperature.
2. Wien’s displacement law: the peak of the curve shifts
towards longer wavelength as the temperature falls and it
satisfies
peakT b 
This law is quite useful for measuring the temperature
of a blackbody with a very high temperature. You can
see the example for how to measure the temperature on
the surface of the sun.
where b is called the Wien's constant.
b=2.89X10-3
• The above laws describes the blackbody radiation very
well.
• The problem exists in the relation between the radiation
power Mλ(T) and the wavelength λ.
• Blackbody radiation has nothing to do with both the
material used in the blackbody concave wall and the shape
of the concave wall.
• Two typical theoretical formulas for blackbody
radiation : One is given by Rayleigh and Jeans and the
other by Wein.
3.Rayleigh and Jeans
In 1890, Rayleigh and Jeans obtained a formula using
the classical electromagnetic (Maxwell) theory and the
classical equipartition theorem of energy in thermotics.
The formula is given by
2
3
8 kT
E( )
c

 
Rayleigh-Jeans formula was correct for very long
wavelength in the far infrared but hopelessly wrong in the
visible light and ultraviolet region. Maxwell’s
electromagnetic theory and thermodynamics are known as
correct theory. The failure in explaining blackbody
radiation puzzled physicists! It was regarded as ultraviolet
Catastrophe (disaster).
4. Planck Radiation Law:
hc
E h  

Quantum energy
Planck constant
Frequency
34
15
h 6.626 10 J s
4.136 10 eV s


  
  
19
18
1eV 1.602 10 J
1J 6.242 10 eV

 
 
PLANCK'S QUANTUM HYPOTHESIS —
Energy is quantized
• Max Planck empirical formula explained the
experimental observations.
• In the process of formulation of the formula, he
assumed that the atoms of the walls of the
blackbody behave like small harmonic
oscillators, each having a characteristic
frequency of vibration, lie further made two
radical assumptions about the atomic oscillators.
• (i) An oscillating atom can absorb or mends energy in
discrete units. The indivisible discrete unit of energy , is
the smallest amount of energy which can be absorbed or
emitted by the atom and is called an energy quantum. A
quantum of energy has the magnitude given by
E = hv
where v is the frequency of radiation and ‘h' is a
constant now known as the Planck's constant.
• (ii) The energy of the oscillator is quantized. It can have
only certain discrete amounts of energy En.
En= nhv n=1,2,3……
• The hypothesis that radiant energy is emitted or
absorbed basically in a discontinuous summer and in the
form of quanta is known as the Planck's quantum
hypothesis.
• Planck's hypothesis states that radiant energy Is
quantized and implies that an atom exists in certain
discrete energy states. Such states arc called quantum
states and n is called the quantum number.
• The atom emits or absorbs energy by jumping from one
quantum state to another quantum state. The
assumption of discrete energy states for an atomic
oscillator (Fig. a) was a departure from the classical
physics and our everyday experience.
2
• If we take a mass-spring harmonic oscillator, it can
receive any amount of energy form zero to some
maximum value (Fig. b). Thus, in the real of classical
physics energy always appears to occur with
continuous values and energy exchange between
bodies involves any arbitrary amounts of energy.
3
PARTICLE PICTURE OF RADIATION —
Radiation is a stream of photons
• Max Planck introduced the concept of discontinuous
emission and absorption of radiation by bodies but he
treated the propagation through space as occurring in the
form of continuous waves as demanded by
electromagnetic theory.
• Einstein refined the Planck's hypothesis and invested the
quantum with a clear and distinct identity.
• He successfully explained the experimental results of the
photoelectric effect in 1905 and the temperature
dependence of specific heats of solids in 1907 basing on
Planck's hypothesis.
• The photoelectric effect conclusively established that
light behaves as a swam of particles. Einstein extended
Planck's hypothesis as follows:
1. Einstein assumed that the light energy is not
distributed evenly over the whole expanding
wave front but rather remains concentrated in
discrete quanta. He named the energy quanta as
photons. Accordingly, a light beam is regarded
as a stream of photons travelling with a velocity
' c' .
2. An electromagnetic wave having a frequency f
contains identical photons, each having an
energy hƒ. The higher the frequency of the
electromagnetic wave, the higher is the energy
content of each photon.
3. An electromagnetic wave would have energy
hƒ if it contains only one photon. 2hv if it
contains 2 photons and so on. Therefore, the
intensity of a monochromatic light beam I. is
related to the concentration of photons. N.
present in the beam. Thus,
I = N hƒ
Note that according to electromagnetic theory,
the intensity of a light beam is given by
I = 1E12
4. When photons encounter matter, they
impart all their energy to the panicles of
matter and vanish. That is why absorption
of radiation is discontinuous. The number
of photons emitted by even a weak light
source is enormously large and the human
eye cannot register the photons separately
and therefore light appears as a continuous
stream. Thus, the discreteness of light is
not readily apparent.
The Photon
• As the radiant energy is viewed as made up of spatially
localized photons. we may attribute particle properties
to photons.
1. Energy: The energy of a photon is determined by its
frequency v and is given by E = hƒ. Using the relation
ω= 2π‫ט‬ and writing h/2π = ħ. we may express
E= ħω
2. Velocity: Photons always travel with the velocity of
light ‘c'.
3. Rest Mass: The rest mass of photon is zero since a
photon can never be at rest. Thus, m0= 0
4. Relativistic mass: As photon travels with the velocity
of light, it has relativistic mass. given by m= E/c2 =
hv/c2
5. Linear Momentum: The linear momentum
associated with a photon may be expressed as
p=E/c=hv/c= h/λ
As the wave vector k= 2π/λ , p = hk/ 2π = ħk.
6. Angular Momentum: Angular momentum is
also known as spin which is the intrinsic
property of all micro particles. Photon has a
spin of one unit. Thus. s = lħ.
7. Electrical Charge: Photons are electrically
neutral and cannot be influenced by electric or
magnetic fields. They cannot ionize matter.
Example: Calculate the photon energies for
the following types of electromagnetic
radiation: (a) a 600kHz radio wave; (b) the
500nm (wavelength of) green light; (c) a 0.1
nm (wavelength of) X-rays.
Solution: (a) for the radio wave, we can use the
Planck-Einstein law directly
15 3
9
E h 4.136 10 eV s 600 10 Hz
2.48 10 eV


      
 
(b) The light wave is specified by wavelength,
we can use the law explained in wavelength:
6
9
hc 1.241 10 eV m
E 2.26eV
550 10 m


 
  
 
(c). For X-rays, we have
6
4
9
hc 1.241 10 eV m
E 1.24 10 eV 12.4keV
0.1 10 m


 
    
 
Photoelectric Effect
The quantum nature of light had its origin in the theory
of thermal radiation and was strongly reinforced by the
discovery of the photoelectric effect.
Fig. Apparatus to investigate the photoelectric effect that was
first found in 1887 by Hertz.
4
Photoelectric Effect
In figure , a glass tube contains two electrodes of the
same material, one of which is irradiated by light. The
electrodes are connected to a battery and a sensitive
current detector measures the current flow between them.
The current flow is a direct measure of the rate of
emission of electrons from the irradiated electrode.
The electrons in the electrodes can be ejected by light
and have a certain amount of kinetic energy. Now we
change:
(1) the frequency and intensity of light,
(2) the electromotive force (e.m.f. or voltage),
(3) the nature of electrode surface.
It is found that:
(1). For a given electrode material, no
photoemission exists at or below a certain
frequency of the incident light. When the
frequency increases, the emission begins at a
certain frequency. The frequency is called
threshold frequency of the material. The threshold
frequency has to be measured in the existence of
e.m.f. (electromotive force) as at such a case the
photoelectrons have no kinetic energy to move
from the cathode to anode . Different electrode
material has different threshold frequency.
(2). The rate of electron emission is directly
proportional to the intensity of the incident light.
Photoelectric current ∝ The intensity of light
(3). Increasing the intensity of the incident light
does not increase the kinetic energy of the
photoelectrons.
Intensity of light ∝ kinetic energy of photoelectron
However increasing the frequency of light does
increase the kinetic energy of photoelectrons even
for very low intensity levels.
Frequency of light ∝ kinetic energy of
photoelectron
(4). There is no measurable time delay between irradiating
the electrode and the emission of photoelectrons, even
when the light is of very low intensity. As soon as the
electrode is irradiated, photoelectrons are ejected.
(5) The photoelectric current is deeply affected by the nature
of the electrodes and chemical contamination of their
surface.
In 1905, Einstein solved the photoelectric effect
problem by applying the Planck’s hypothesis. He
pointed out that Planck’s quantization hypothesis
applied not only to the emission of radiation by a
material object but also to its transmission and its
absorption by another material object. The light is not
only electromagnetic waves but also a quantum. All the
effects of photoelectric emission can be readily
explained from the following assumptions:
(1) The photoemission of an electron from a cathode
occurs when an electron absorbs a photon of the
incident light;
(2) The photon energy is calculated by the Planck’s
quantum relationship: E = hν.
(3) The minimum energy is required to release an
electron from the surface of the cathode. The
minimum energy is the characteristic of the cathode
material and the nature of its surface. It is called work
function.
Therefore we have the equation of photoelectric effect:
21
2
 h A mv
Photon energy
Work function
Photoelectron kinetic energy
Using this equation and Einstein’s assumption, you could
readily explain all the results in the photoelectric effect: why
does threshold frequency exist (problem)? why is the number
of photoelectrons proportional to the light intensity? why does
high intensity not mean high photoelectron energy (problem)?
why is there no time delay (problem)?
Example: Ultraviolet light of wavelength 150nm falls
on a chromium electrode. Calculate the maximum
kinetic energy and the corresponding velocity of the
photoelectrons (the work function of chromium is
4.37eV).
Solution: using the equation of the photoelectric effect, it
is convenient to express the energy in electron volts. The
photon energy is
6
9
1.241 10
8.27
150 10


 
   

hc eV m
E h eV
m

and
2
2
1
2
1
(8.27 4.37) 3.90
2
 
   
h A mv
mv eV eV

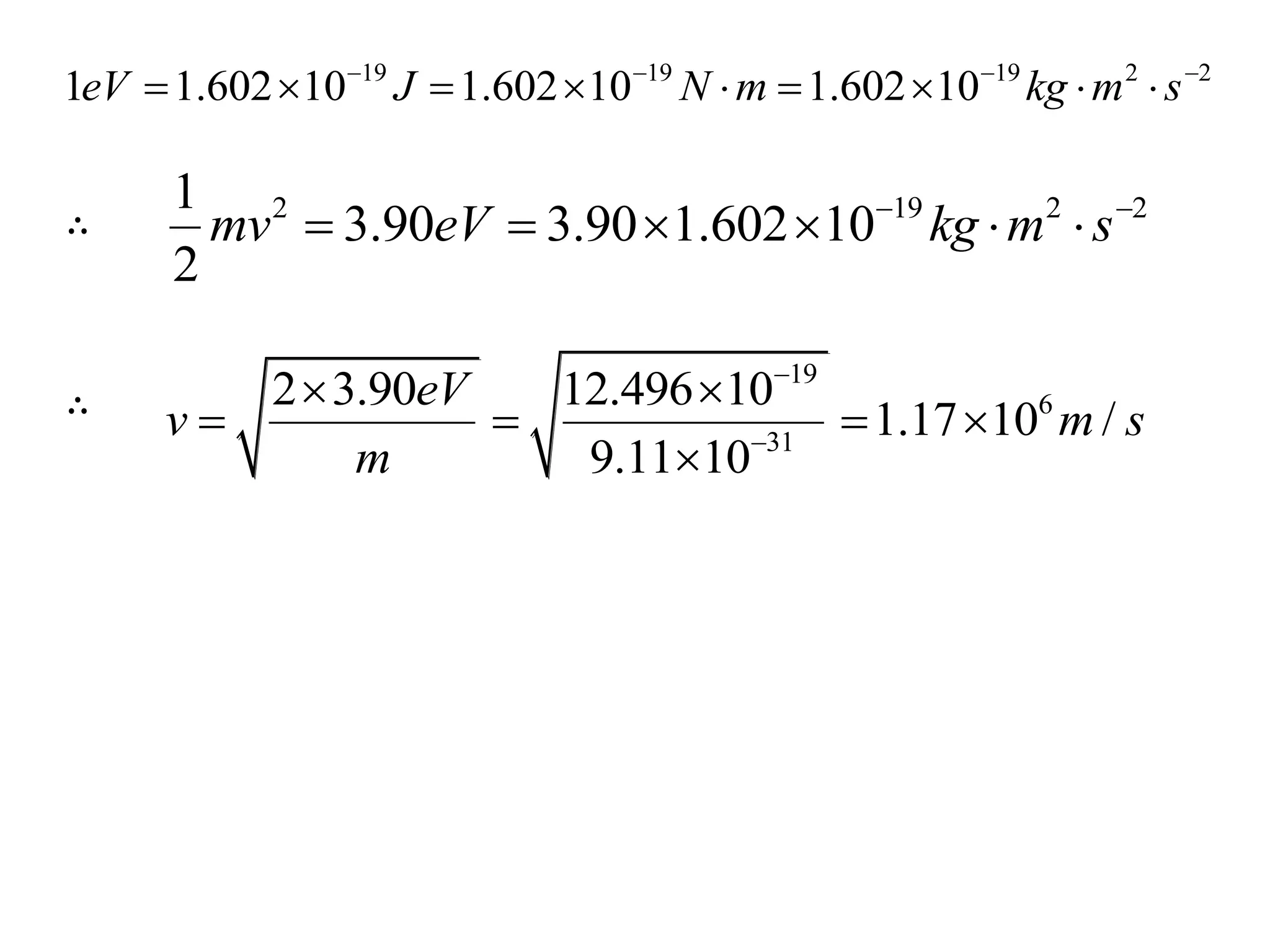
19 19 19 2 2
1 1.602 10 1.602 10 1.602 10   
        eV J N m kg m s
∴ 2 19 2 21
3.90 3.90 1.602 10
2
 
     mv eV kg m s
∴
19
6
31
2 3.90 12.496 10
1.17 10 /
9.11 10


 
   

eV
v m s
m
Examples
1. The wavelength of yellow light is 5890 A. What
is the energy of the photons in the beam?
Empress in electron volts.
2. 77w light sensitive compound on most
photographic films is silver bromide, Aglin A
film is exposed when the light energy absorbed
dissociates this molecule into its atoms. The
energy of dissociation of Agllr is 23.9 k.catitnot
Find the energy in electron volts, the wavelength
and the frequency of the photon that is just able
to dissociate a molecule of silver bromide.
3. Calculate the energy of a photon of blue light with a
frequency of 6.67 x 1014 Hz. (State in eV) [2.76eV]
4. Calculate the energy of a photon of red light with a
wavelength of 630 nm. [1.97eV]
5. Barium has a work function of 2.48 eV. What is the
maximum kinetic energy of the ejected electron if the
metal is illuminated by light of wavelength 450 nm?
[0.28 eV]
6. When a 350nm light ray falls on a metal, the maximum
kinetic energy of the photoelectron is 1.20eV. What is the
work function of the metal? [2.3 eV]
7. A photon has 3.3 x 10-19 J of energy. What is the
wavelength of this photon?
8. What is the energy of one quantum of 5.0 x 1014 Hz light?
Image references links
1. http://s6.postimg.org/gy5xcviql/New_Pictu
re_32.png
2. http://postimg.org/image/7b2f35pr1
3. http://postimg.org/image/nksl620f1
4. http://postimg.org/image/pf5fnsnfh

B.tech sem i engineering physics u iv chapter 1-atomic physics

  • 1.
  • 2.
    • “Classical Physics”: –developed in 15th to 20th century; – provides very successful description of “every day, ordinary objects” • motion of trains, cars, bullets,…. • orbit of moon, planets • how an engine works,.. • subfields: mechanics, thermodynamics, electrodynamics, • Quantum Physics: • developed early 20th century, in response to shortcomings of classical physics in describing certain phenomena (blackbody radiation, photoelectric effect, emission and absorption spectra…) • describes “small” objects (e.g. atoms )
  • 3.
    Quantum Physics • QPis “weird and counterintuitive” • “Those who are not shocked when they first come across quantum theory cannot possibly have understood it” (Niles Bohr) • “Nobody feels perfectly comfortable with it “ (Murray Gell-Mann) • “I can safely say that nobody understands quantum mechanics” (Richard Feynman) BUT… • QM is the most successful theory ever developed by humanity underlies our understanding of atoms, molecules, condensed matter, nuclei, elementary particles • Crucial ingredient in understanding of stars, …
  • 4.
    Features of QP •Quantum physics is basically the recognition that there is less difference between waves and particles than was thought before • key insights: • light can behave like a particle • particles (e.g. electrons) are indistinguishable • particles can behave like waves (or wave packets) • waves gain or lose energy only in "quantized amounts“ • detection (measurement) of a particle  wave will change suddenly into a new wave • quantum mechanical interference – amplitudes add • QP is intrinsically probabilistic • what you can measure is what you can know
  • 5.
    WAVE-PICTURE OF RADIATION— ENERGYFLOW I S CONTI N UOUS • Radio waves, microwaves, heat waves, light waves, UV- rays, x-rays and y-rays belong to the family of electromagnetic waves. All of them are known as radiation. • Electromagnetic waves consist of varying electric and magnetic fields traveling at the velocity of 'c'. The propagation of electromagnetic waves and their interaction with matter can be explained with the help of Maxwell's electromagnetic theory.
  • 6.
    • Maxwell's theorytreated the emission of radiation by a source as a continuous process. • A heated body may be assumed to be capable of giving out energy that travels in the form of waves of all possible wavelengths. • In the same way, the radiation incident on a body was thought to be absorbed at all possible wavelengths. • The intensity of radiation is given by, I = 1E12 where E is the amplitude of the electromagnetic wave.
  • 7.
    • The phenomenaof interference, diffraction and polarization of electromagnetic radiation proved the wave nature of radiation. • Therefore, it is expected that it would explain the experimental observations made on thermal (heat) radiation emitted by a blackbody.
  • 8.
    Blackbody radiation • Typesof heat energy transmission are conduction, convection and radiation. • Conduction is transfer of heat energy by molecular vibrations not by actual motion of material. For example, if you hold one end of an iron rod and the other end of the rod is put on a flame, you will feel hot some time later. You can say that the heat energy reaches your hand by heat conduction.
  • 9.
    • Convection istransfer of heat by actual motion of. The hot-air furnace, the hot-water heating system, and the flow of blood in the body are examples. • Radiation The heat reaching the earth from the sun cannot be transferred either by conduction or convection since the space between the earth and the sun has no material medium. The energy is carried by electromagnetic waves that do not require a material medium for propagation. The kind of heat transfer is called thermal radiation.
  • 10.
    • Blackbody isdefined as the body which can absorb all energies that fall on it. It is something like a black hole. No lights or material can get away from it as long as it is trapped. A large cavity with a small hole on its wall can be taken as a blackbody. 1
  • 11.
    •Blackbody radiation: Anyradiation that enters the hole is absorbed in the interior of the cavity, and the radiation emitted from the hole is called blackbody radiation. Fig. 9.1 Blackbody concave.
  • 12.
    LAWS OF BLACKBODY RADIATION 1. Stefan and Boltzmann’s law: it is found that the radiation energy is proportional to the fourth power of the associated temperature. 4 M(T) T  M(T) is actually the area under each curve, σ is called Stefan’s constant and T is absolute temperature.
  • 13.
    2. Wien’s displacementlaw: the peak of the curve shifts towards longer wavelength as the temperature falls and it satisfies peakT b  This law is quite useful for measuring the temperature of a blackbody with a very high temperature. You can see the example for how to measure the temperature on the surface of the sun. where b is called the Wien's constant. b=2.89X10-3
  • 14.
    • The abovelaws describes the blackbody radiation very well. • The problem exists in the relation between the radiation power Mλ(T) and the wavelength λ. • Blackbody radiation has nothing to do with both the material used in the blackbody concave wall and the shape of the concave wall. • Two typical theoretical formulas for blackbody radiation : One is given by Rayleigh and Jeans and the other by Wein.
  • 15.
    3.Rayleigh and Jeans In1890, Rayleigh and Jeans obtained a formula using the classical electromagnetic (Maxwell) theory and the classical equipartition theorem of energy in thermotics. The formula is given by 2 3 8 kT E( ) c   
  • 16.
    Rayleigh-Jeans formula wascorrect for very long wavelength in the far infrared but hopelessly wrong in the visible light and ultraviolet region. Maxwell’s electromagnetic theory and thermodynamics are known as correct theory. The failure in explaining blackbody radiation puzzled physicists! It was regarded as ultraviolet Catastrophe (disaster).
  • 17.
    4. Planck RadiationLaw: hc E h    Quantum energy Planck constant Frequency 34 15 h 6.626 10 J s 4.136 10 eV s         19 18 1eV 1.602 10 J 1J 6.242 10 eV     
  • 18.
    PLANCK'S QUANTUM HYPOTHESIS— Energy is quantized • Max Planck empirical formula explained the experimental observations. • In the process of formulation of the formula, he assumed that the atoms of the walls of the blackbody behave like small harmonic oscillators, each having a characteristic frequency of vibration, lie further made two radical assumptions about the atomic oscillators.
  • 19.
    • (i) Anoscillating atom can absorb or mends energy in discrete units. The indivisible discrete unit of energy , is the smallest amount of energy which can be absorbed or emitted by the atom and is called an energy quantum. A quantum of energy has the magnitude given by E = hv where v is the frequency of radiation and ‘h' is a constant now known as the Planck's constant.
  • 20.
    • (ii) Theenergy of the oscillator is quantized. It can have only certain discrete amounts of energy En. En= nhv n=1,2,3…… • The hypothesis that radiant energy is emitted or absorbed basically in a discontinuous summer and in the form of quanta is known as the Planck's quantum hypothesis. • Planck's hypothesis states that radiant energy Is quantized and implies that an atom exists in certain discrete energy states. Such states arc called quantum states and n is called the quantum number.
  • 21.
    • The atomemits or absorbs energy by jumping from one quantum state to another quantum state. The assumption of discrete energy states for an atomic oscillator (Fig. a) was a departure from the classical physics and our everyday experience. 2
  • 22.
    • If wetake a mass-spring harmonic oscillator, it can receive any amount of energy form zero to some maximum value (Fig. b). Thus, in the real of classical physics energy always appears to occur with continuous values and energy exchange between bodies involves any arbitrary amounts of energy. 3
  • 23.
    PARTICLE PICTURE OFRADIATION — Radiation is a stream of photons • Max Planck introduced the concept of discontinuous emission and absorption of radiation by bodies but he treated the propagation through space as occurring in the form of continuous waves as demanded by electromagnetic theory. • Einstein refined the Planck's hypothesis and invested the quantum with a clear and distinct identity.
  • 24.
    • He successfullyexplained the experimental results of the photoelectric effect in 1905 and the temperature dependence of specific heats of solids in 1907 basing on Planck's hypothesis. • The photoelectric effect conclusively established that light behaves as a swam of particles. Einstein extended Planck's hypothesis as follows:
  • 25.
    1. Einstein assumedthat the light energy is not distributed evenly over the whole expanding wave front but rather remains concentrated in discrete quanta. He named the energy quanta as photons. Accordingly, a light beam is regarded as a stream of photons travelling with a velocity ' c' . 2. An electromagnetic wave having a frequency f contains identical photons, each having an energy hƒ. The higher the frequency of the electromagnetic wave, the higher is the energy content of each photon.
  • 26.
    3. An electromagneticwave would have energy hƒ if it contains only one photon. 2hv if it contains 2 photons and so on. Therefore, the intensity of a monochromatic light beam I. is related to the concentration of photons. N. present in the beam. Thus, I = N hƒ Note that according to electromagnetic theory, the intensity of a light beam is given by I = 1E12
  • 27.
    4. When photonsencounter matter, they impart all their energy to the panicles of matter and vanish. That is why absorption of radiation is discontinuous. The number of photons emitted by even a weak light source is enormously large and the human eye cannot register the photons separately and therefore light appears as a continuous stream. Thus, the discreteness of light is not readily apparent.
  • 28.
    The Photon • Asthe radiant energy is viewed as made up of spatially localized photons. we may attribute particle properties to photons. 1. Energy: The energy of a photon is determined by its frequency v and is given by E = hƒ. Using the relation ω= 2π‫ט‬ and writing h/2π = ħ. we may express E= ħω 2. Velocity: Photons always travel with the velocity of light ‘c'. 3. Rest Mass: The rest mass of photon is zero since a photon can never be at rest. Thus, m0= 0 4. Relativistic mass: As photon travels with the velocity of light, it has relativistic mass. given by m= E/c2 = hv/c2
  • 29.
    5. Linear Momentum:The linear momentum associated with a photon may be expressed as p=E/c=hv/c= h/λ As the wave vector k= 2π/λ , p = hk/ 2π = ħk. 6. Angular Momentum: Angular momentum is also known as spin which is the intrinsic property of all micro particles. Photon has a spin of one unit. Thus. s = lħ. 7. Electrical Charge: Photons are electrically neutral and cannot be influenced by electric or magnetic fields. They cannot ionize matter.
  • 30.
    Example: Calculate thephoton energies for the following types of electromagnetic radiation: (a) a 600kHz radio wave; (b) the 500nm (wavelength of) green light; (c) a 0.1 nm (wavelength of) X-rays. Solution: (a) for the radio wave, we can use the Planck-Einstein law directly 15 3 9 E h 4.136 10 eV s 600 10 Hz 2.48 10 eV           
  • 31.
    (b) The lightwave is specified by wavelength, we can use the law explained in wavelength: 6 9 hc 1.241 10 eV m E 2.26eV 550 10 m          (c). For X-rays, we have 6 4 9 hc 1.241 10 eV m E 1.24 10 eV 12.4keV 0.1 10 m           
  • 32.
    Photoelectric Effect The quantumnature of light had its origin in the theory of thermal radiation and was strongly reinforced by the discovery of the photoelectric effect. Fig. Apparatus to investigate the photoelectric effect that was first found in 1887 by Hertz. 4
  • 33.
    Photoelectric Effect In figure, a glass tube contains two electrodes of the same material, one of which is irradiated by light. The electrodes are connected to a battery and a sensitive current detector measures the current flow between them. The current flow is a direct measure of the rate of emission of electrons from the irradiated electrode.
  • 34.
    The electrons inthe electrodes can be ejected by light and have a certain amount of kinetic energy. Now we change: (1) the frequency and intensity of light, (2) the electromotive force (e.m.f. or voltage), (3) the nature of electrode surface. It is found that:
  • 35.
    (1). For agiven electrode material, no photoemission exists at or below a certain frequency of the incident light. When the frequency increases, the emission begins at a certain frequency. The frequency is called threshold frequency of the material. The threshold frequency has to be measured in the existence of e.m.f. (electromotive force) as at such a case the photoelectrons have no kinetic energy to move from the cathode to anode . Different electrode material has different threshold frequency.
  • 36.
    (2). The rateof electron emission is directly proportional to the intensity of the incident light. Photoelectric current ∝ The intensity of light (3). Increasing the intensity of the incident light does not increase the kinetic energy of the photoelectrons. Intensity of light ∝ kinetic energy of photoelectron However increasing the frequency of light does increase the kinetic energy of photoelectrons even for very low intensity levels. Frequency of light ∝ kinetic energy of photoelectron
  • 37.
    (4). There isno measurable time delay between irradiating the electrode and the emission of photoelectrons, even when the light is of very low intensity. As soon as the electrode is irradiated, photoelectrons are ejected. (5) The photoelectric current is deeply affected by the nature of the electrodes and chemical contamination of their surface.
  • 38.
    In 1905, Einsteinsolved the photoelectric effect problem by applying the Planck’s hypothesis. He pointed out that Planck’s quantization hypothesis applied not only to the emission of radiation by a material object but also to its transmission and its absorption by another material object. The light is not only electromagnetic waves but also a quantum. All the effects of photoelectric emission can be readily explained from the following assumptions:
  • 39.
    (1) The photoemissionof an electron from a cathode occurs when an electron absorbs a photon of the incident light; (2) The photon energy is calculated by the Planck’s quantum relationship: E = hν. (3) The minimum energy is required to release an electron from the surface of the cathode. The minimum energy is the characteristic of the cathode material and the nature of its surface. It is called work function.
  • 40.
    Therefore we havethe equation of photoelectric effect: 21 2  h A mv Photon energy Work function Photoelectron kinetic energy Using this equation and Einstein’s assumption, you could readily explain all the results in the photoelectric effect: why does threshold frequency exist (problem)? why is the number of photoelectrons proportional to the light intensity? why does high intensity not mean high photoelectron energy (problem)? why is there no time delay (problem)?
  • 41.
    Example: Ultraviolet lightof wavelength 150nm falls on a chromium electrode. Calculate the maximum kinetic energy and the corresponding velocity of the photoelectrons (the work function of chromium is 4.37eV). Solution: using the equation of the photoelectric effect, it is convenient to express the energy in electron volts. The photon energy is 6 9 1.241 10 8.27 150 10          hc eV m E h eV m  and 2 2 1 2 1 (8.27 4.37) 3.90 2       h A mv mv eV eV 
  • 42.
    19 19 192 2 1 1.602 10 1.602 10 1.602 10            eV J N m kg m s ∴ 2 19 2 21 3.90 3.90 1.602 10 2        mv eV kg m s ∴ 19 6 31 2 3.90 12.496 10 1.17 10 / 9.11 10          eV v m s m
  • 43.
    Examples 1. The wavelengthof yellow light is 5890 A. What is the energy of the photons in the beam? Empress in electron volts. 2. 77w light sensitive compound on most photographic films is silver bromide, Aglin A film is exposed when the light energy absorbed dissociates this molecule into its atoms. The energy of dissociation of Agllr is 23.9 k.catitnot Find the energy in electron volts, the wavelength and the frequency of the photon that is just able to dissociate a molecule of silver bromide.
  • 44.
    3. Calculate theenergy of a photon of blue light with a frequency of 6.67 x 1014 Hz. (State in eV) [2.76eV] 4. Calculate the energy of a photon of red light with a wavelength of 630 nm. [1.97eV] 5. Barium has a work function of 2.48 eV. What is the maximum kinetic energy of the ejected electron if the metal is illuminated by light of wavelength 450 nm? [0.28 eV] 6. When a 350nm light ray falls on a metal, the maximum kinetic energy of the photoelectron is 1.20eV. What is the work function of the metal? [2.3 eV] 7. A photon has 3.3 x 10-19 J of energy. What is the wavelength of this photon? 8. What is the energy of one quantum of 5.0 x 1014 Hz light?
  • 45.
    Image references links 1.http://s6.postimg.org/gy5xcviql/New_Pictu re_32.png 2. http://postimg.org/image/7b2f35pr1 3. http://postimg.org/image/nksl620f1 4. http://postimg.org/image/pf5fnsnfh