Basic Math
Solution
For third semester
It is prepared for only self study .
9/22/2074
1
BijayDhobi
2
BijayDhobi
Chapter 1
Elementry group theory
Exercise 3.1
1.A binary operation * is defined on the set of integers by
a.
Soln:
(i) m = 3, n = 5
Given, m * n = m + n
So, 3 * 5 = 3 + 5 = 8
(ii) m = 2, n = - 5
So, 2 * (-5) = 2 + (-5) = 2 – 5 = - 3.
b.
(i) m = 3, n = 5
Given, m * n = m – n
So, 2 * (-5) = 2 + (-5) = 2 – 5 = - 3.
(ii) m = 2, n = - 5
Given, m + n = m – n.
So, 2 * (-5) = 2 – (-5) = 2 + 5 = 7.
c.
(i) m = 3, n = 5
Given, m * n = nm + m + n
So, 3 * 5 = 3 * 5 + 3 + 5 = 23.
(ii) m = 2, n = - 5
Given, m * n = mn + m + n
So, 2 * (-5) = 2 * (-5) + 2 + (-5) = - 10 + 2 – 5 = - 13.
3
BijayDhobi
2.
Soln:
a.
S = {-1,0,1}
Consider 1,1 ԑ S.
Here, a * b = a + b
So, 1 * 1 = 1 + 1 = 2 ∉ S.
Thus, a * b = a + b Is not a binary operation on S = {-1,0,1}
b.
S = {1,2,4}
Consider 2,4 ԑ S.
Here, a * b = a.b
So, 2 * 4 = 2 * 4 = 8 ∉ S.
Thus, a * b = abIs not a binary operation on S = {1,2,4}
c.
S = {2,4,6,8,10,…}
Here, a * b = a + b
We know that the addition of two even numbers is always an even number which
belong to the set S.
So, a * b = a + b is a binary operation on the set S = {2,4,6,8,10,….}
d.
S = Set of integers.
Given, a * b = a – b
Since, the difference of two integers always yields an integer.
Thus, for all,a,b ԑ S, a * b = a – b ԑ S.
So, a * b = a – b is a binary operation on the set ‘S’ of integers.
3.
Soln:
4
BijayDhobi
Cayley’s table.
X -1 1
-1 1 -1
1 -1 1
From the above table,
(-1) * (-1) = 1 ԑ S, (-1) * 1 = - 1 ԑ S.
1 * (-1) = - 1 ԑ S, 1 * 1 = 1 ԑ S.
So, multiplication is a binary operatio on set a S.
4.
Soln:
The set of positive integers is denoted by Z
a.
Any m, n ԑ Z+Z+à m + n ԑ Z+Z+.
So, Z+Z+ is closed under addition.
b.
Any m,n ԑ Z+Z+àmn = nm
So, Z+Z+ is commutative under multiplication.
c.
Consider, 2,3,4 ԑ Z+Z+.
2 – (3 – 4) = 2 – (-1) = 2 + 1 = 3.
And (2 – 3) – 4 = - 1 – 4 = - 5
Thus, 2 – (3 – 4) ≠ (2 – 3) – 4.
SO, Z+Z+ is not associative under subtraction.
5.
Soln:
a.
For closure,
Consider 1,2 ԑ Z.
5
BijayDhobi
Then , m * n = 1212(m – n)
So, 1 * 2 = 1212(1 – 2) = −12−12∉ Z.
So, Z is not closed.
For Associative,
Consider 2,4,8 ԑ Z.
= 2 * (4 * 8) = 2 * {12(4−8)}{12(4−8)}
= 2 * (-2) = 1212 {2 – (-2)} = 2
And (2 * 4) * 8 = {12(2−4)}{12(2−4)} * 8
= (-1) * 8 = 1212 {(-1) – 8} = 1212 (-9) = −92−92∉ Z.
Hence, the operation * defined on Z is now associative,
For Commutative,
For, m , n ԑ Z, m * n = 1212(m – n)
= −12−12(n – m) = - (n * m).
So, the operation * is not commutative on Z.
b.
For closure,
For, m,n ԑ Z, m * n = n ԑ Z.
So, the operation ‘*’ is closed on Z.
For associative,
Since, for m,n and p ԑ Z.
(m * n) * p = n * p = p ԑ Z.
And m * (n * p) = m * p = p ԑ Z.
So, (m * n) * p = m * (n * p)
So, the operation ‘*’ is associative.
For commutative.
Since, for m,n ԑ Z, m * n = n ԑ Z.
And n * m = m ԑ Z.
But m ≠ n; so the operation * is not commutative on Z/
c.
For closure
Since, for m,n ԑ Z, m * n = m + n + 1 ԑ Z.
So, * is closed on Z,
For associative
6
BijayDhobi
Since, for n,m,p ԑ Z.
(m * n) * p = (m + n + 1) * p
= (m + n + 1) + p + 1 = m + n + p + 2.
And m * (n * p) = m * (m + p + 1)
= m + n (n + p + 1) + 1 = m + n + p + 2.
So, (m * n) * p = m * (n * p), for all m,n,p ԑ Z.
So, * is associative on Z.
For commutative.
For m,n ԑ Z.
m * n = m + n + 1.
And n * m = n + m + 1 = m + n + 1
So, m * n = n * m, for all m,n ԑ Z.
So, * is commutative on Z.
Exercise 3.2
1.
Soln:
Since, 0 + 40 = 0
1 + 40 = 0 + 41 = 1
2 + 40 = 0 + 42 = 3
3 + 40 = 0 + 43 = 3.
So, 0 is the identity element.
Since, 2 + 42 = 0
So, the inverse element of 2 is 2.
And 3 + 41 + 1 + 43 = 0
So, the inverse element of 3 is 1.
2.
Soln:
The composition table for G = {0,1,2} under multiplication modulo 3 is
X3 0 1 2
0 0 0 0
1 0 1 2
7
BijayDhobi
2 0 2 1
Since, 1 * 31 = 1
So, identity element of 1 is 1.
And, 2 * 31 = 2 = 1 * 32.
Now, for inverse elements,
1 * 31 = 1
So, inverse of 1 is 1.
2 * 32 = 1.
3.
Soln:
Since, 1 + 0 = 0 + 1 = 1.
And 2 + 0 = 0 + 2 = 2.
So, 0 is the identity element of both 1 and 2.
Since, 1 + (-1) = (-1) + 1 = 0
Since, - 1 is the inverse element of 1.
And, 2 + (-2) = (-2) + 2 = 0
So, - 2 is the inverse element of 2.
4.
Soln:
Since, (-1).1 = 1. (-1) = - 1
And 1.1 = 1
So, 1 is the identity element of both 1 and -1.
Now, (-1) * (-1) = 1
And 1 * 1 = 1
So, the inverse elements of – 1 and 1 are -1 and 1 respectively.
5.
a.
Soln:
Let e be the identity element of 3 under binary operation defined by m*n = m + 1 + 1.
8
BijayDhobi
Then 3 * e = 3
Or, 3 + e + 3 [m * n = m + n + 1]
So, e = -1.
Again, let e’ be the identity element of – 2.
Then (-2) * e’ = - 2.
Or, (-2) + e’ + 1 = -2
Or, e’ + 1 = 0
So, e’ = - 1.
So, - 1is the required element of both 3 and – 2.
Again, le t ‘a’ be the inverse element of 3 under the given binary operation *
Then, 3 * a = e
Or, 3 + a + 1 = - 1 [m * n = m + n + 1, e = -1]
Or, a = - 1 – 4 = - 5.
So, - 5 is the inverse element of 3,
And let a’ be the inverse element of – 2 under ‘*’.
Then (-2) * a’ = e’
Or, (-2) + a’ + 1 = - 1.
Or, - 1 + a’ = - 1.
So, a ‘ = 0
So, 0 Is the inverse element o f – 2.
9
BijayDhobi
Exercise 3.3
1.
a.
Soln:
It is a false statement because the order of group G = Number elements in G = 4,
which is finite.
10
BijayDhobi
b.
It is a true statement because the group contains two elements, so the order of given
group is 2.
c.
Soln:
If is a false statement because it is not closed, for e.g.
(- 2).2 = - 4 ∉ {-2,-1,0,1,2}
d.
Soln:
It is false statement because it is not closed,
For e.g. 4 + 8 = 12 ∉ {2,4,6,8,10}
2.
Soln:
Here, 1 + 1 = 2 ∉ S where, 1 , 1 ԑ S.
So, S is not closed under addition.
Thus, S is not a group under addition.
3.
Soln:
Existence of Identity: Let a be any natural number and if it exists, let e be the identity
element of a, then a + e = a. à e = a – a = 0 which is not a natural number,
So, identity element under addition doesn’t exist in the set of natural numbers,
Hence, the set of natural numbers does not form a group under the addition
operation,
4.
11
BijayDhobi
Soln:
Closure property: From the multiplication table, we see that T is closed under
multiplication, i.e.
Multiplication Table.
X -1 1
-1 1 -1
1 -1 1
(-1) * (-1) = 1, (-1) * 1 = -1
1 * (-1) = - 1, 1 * 1 = 1
So, a * b ԑ T for all a,b ԑ T.
Associative property: Here, the elements of T are – 1 and 1. We know that all
integers under multiplication obey associative law. So, the element of T being
integers satisfy associative law under multiplication.
i.e. a * b(b * c) = (a * b) * c for all a,b,c, ԑ T.
For e.g. (-1) * {1 * (-1)} = (-1) * (-1) = 1.
And {(-1) * 1} * (-1) = (-1) * (-1) = 1
So, (-1) * {1 * (-1} = {(-1) * 1} * (-1) and so on.
Existence of Identity element,
Since (-1) * 1 = (-1) = 1 * (-1)
And 1 * 1 = 1
So, 1 is the multiplicative identity in T.
Existence of inverse
Each element of T is an inverse of itself since,
1 * 1 = 1 and (-1) * (-1) = 1.
Hence, T = {-1,1} forms a group under multiplication.
5.
a.
Soln:
Multiplication Table.
X 1 -1 i -i
1 1 -1 i -i
-1 -1 1 -i i
12
BijayDhobi
i I -i -1 1
-i -i I 1 -1
From above table, we see that for al a,b ԑ G, a * b ԑ G. So G is closed under
multiplication.
b.
Soln:
Since all the complex numbers satisfy associative law under multiplication. So all the
elements of G being complex numbers also satisfy associative law.
Ie. a * (b * c) = (a * b) * c, for all a,b,c ԑ G.
c.
Soln:
For all a ԑ G, a * 1 = 1 * a = a.
So, 1 is the multiplication identity in G.
Since, 1 * 1 = 1
(-1) * (-1) = 1
i * (-i) = -i2
= 1
and (-i) * I = -i2
= 1
So, the inverse of 1, -1, i and – I and 1, - 1, - i and i , respectively. So ,every element
of G possesses an inverse element in G. Hence, identity element and inverse exists.
d.
Soln:
Yes, G forms a group under multiplication as (G,x) is closed, associative, and the
identity and inverse exist in G.
6.
Soln:
Let a,b ԑ Z.
Since, a,b ԑ Z à a + b ԑ Z.
So, closure property is satisfied.
If a,b,c ԑ Z, then
13
BijayDhobi
a + (b + c) = a + b + c ԑ Z.
Also, (a + b) + c = a + b + c ԑ Z.
So, a + (b + c) = (a + b) + c.
Hence, associative property is satisfied. 0 is an integer and
0 + a = a + 0 = a ԑ Z.
0 is an identity element.
Also, if a ԑ Z then – a ԑ Z.
Or, a + (- a) = (-a) + a = 0.
So, - a is the inverse element of a. Above relations are true for all elements of Z.
Hence, the set of integers Z forms a group under addition.
7.
Soln:
* A b c
a A b c
B B c a
C C a b
From the table, we see that the operation defined on any two elements of G gives
and element of G itself.
So, G is closed under the operation *.
a * (b * c) = a * a = a
(a * b) * c = b * c = a
So, a * (b * c) = (a *b) * c
So, * satisfies associative property.
14
BijayDhobi
Since, a * a = a, a * b = b * a= b
And a * c = c * a = c, so a is an identity element.
a * a = a, so a is the inverse of a,b * c = c * b = a, so b and c are the inverse
elements of c and respectively,
So, (S,*) forms a group.
8.
Soln:
Composition table for G under the addition modulo r (+4) is presented below.
+4 0 1 2 3
0 0 1 2 3
1 1 2 3 0
2 2 3 0 1
3 3 0 1 2
From the table, we see that sum of any two elements of G modulo 4 is an element of
G. So, +4 satisfies closure property.
Again, 1 +4 (2 +4 3) = 1 +4 1 = 2.
And (1 +4 2) +4 3 = 3 +4 3 = 2.
This result is true for all elements of G. Hence, +4 satisfies associative property.
From the second row and second column of above table, 0 is the identity element.
Form the second row and second column of above table, 0 is the identity elemnt.
Since, 0 +4 0 = 0, 1 +4 3 = 3 +4 1 = 0
And 2 +4 2 = 0
So, the inverse elements of 0,1,2 and 3 are 0,3,2 and 1 respectively.
So, G forms a group under addition modulo 4.
9.
Soln:
Since a is an identity element, so,
a * a = a, a * b = b * a = a.
So, also a * a = a, a is the inverse of a.
15
BijayDhobi
And b * b = a so that b is the inverse of b.
Now the required composite table is given below.
* A B
A A B
B B A
Exercise 3.4
16
BijayDhobi
17
BijayDhobi
18
BijayDhobi
19
BijayDhobi
Exercise 3.5
20
BijayDhobi
4.
Soln:
X o x = x
Or, x o x = x o e, where e is the identity element of G.
By left cancellation law, we have,
X = e.
Since, identity element of a group is unique, so, x = e is a unique solution of given
group equation.
21
BijayDhobi
Chapter 2
Applications of Derivatives
Exercise 10.1
22
BijayDhobi
23
BijayDhobi
24
BijayDhobi
25
BijayDhobi
Exercise 10.2
26
BijayDhobi
27
BijayDhobi
28
BijayDhobi
29
BijayDhobi
30
BijayDhobi
31
BijayDhobi
32
BijayDhobi
33
BijayDhobi
34
BijayDhobi
35
BijayDhobi
36
BijayDhobi
Exercise 10.4
37
BijayDhobi
38
BijayDhobi
39
BijayDhobi
40
BijayDhobi
41
BijayDhobi
42
BijayDhobi
43
BijayDhobi
44
BijayDhobi
45
BijayDhobi
46
BijayDhobi
Chapter 3
Differentials Equations
Exercise 12.1
47
BijayDhobi
48
BijayDhobi
49
BijayDhobi
50
BijayDhobi
51
BijayDhobi
52
BijayDhobi
Exercise 12.2
53
BijayDhobi
54
BijayDhobi
55
BijayDhobi
56
BijayDhobi
57
BijayDhobi
58
BijayDhobi
59
BijayDhobi
60
BijayDhobi
61
BijayDhobi
62
BijayDhobi
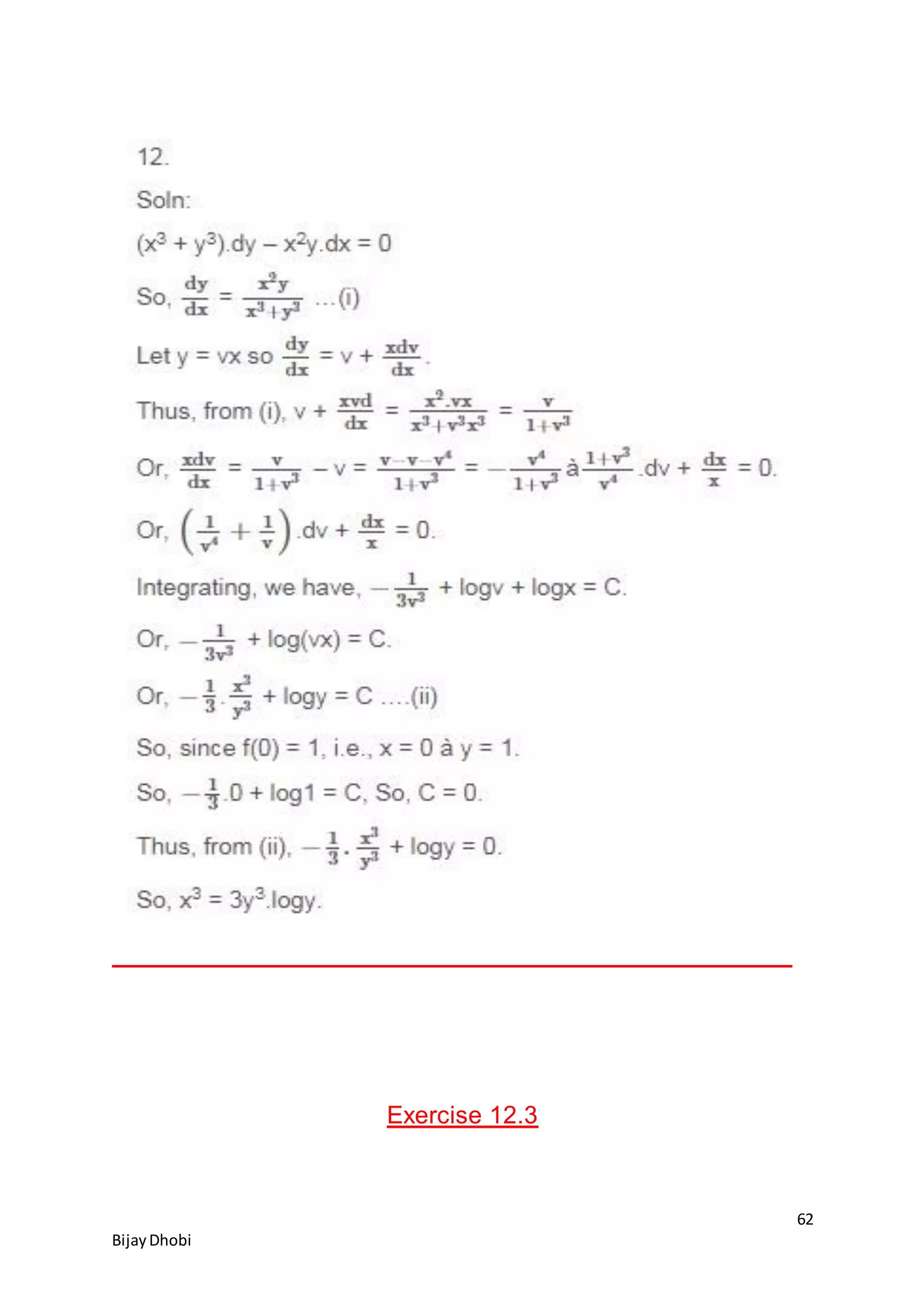
Exercise 12.3
63
BijayDhobi
64
BijayDhobi
65
BijayDhobi
66
BijayDhobi
67
BijayDhobi
Exercise 12.4
68
BijayDhobi
69
BijayDhobi
70
BijayDhobi
71
BijayDhobi
72
BijayDhobi
73
BijayDhobi
74
BijayDhobi
75
BijayDhobi
76
BijayDhobi
77
BijayDhobi
Chapter 4
Computational Method
Exercise 22.1
78
BijayDhobi
79
BijayDhobi
80
BijayDhobi
81
BijayDhobi
82
BijayDhobi
83
BijayDhobi
84
BijayDhobi
85
BijayDhobi
86
BijayDhobi
87
BijayDhobi
88
BijayDhobi
Exercise 22.2
89
BijayDhobi
90
BijayDhobi
91
BijayDhobi
92
BijayDhobi
93
BijayDhobi
94
BijayDhobi
95
BijayDhobi
96
BijayDhobi
Exercise 22.3
97
BijayDhobi
98
BijayDhobi
99
BijayDhobi
100
BijayDhobi
101
BijayDhobi
102
BijayDhobi
103
BijayDhobi
104
BijayDhobi
Exercise 22.4
105
BijayDhobi
106
BijayDhobi
107
BijayDhobi
108
BijayDhobi
Chapter 5
Numerical integration
Exercise 24.1
109
BijayDhobi
110
BijayDhobi
111
BijayDhobi
112
BijayDhobi
113
BijayDhobi
114
BijayDhobi
115
BijayDhobi
116
BijayDhobi
Exercise 24.2
117
BijayDhobi
118
BijayDhobi
119
BijayDhobi
120
BijayDhobi
121
BijayDhobi
122
BijayDhobi
123
BijayDhobi
124
BijayDhobi
125
BijayDhobi
126
BijayDhobi
127
BijayDhobi
128
BijayDhobi
129
BijayDhobi
130
BijayDhobi

Basic math solution

  • 1.
    Basic Math Solution For thirdsemester It is prepared for only self study . 9/22/2074
  • 2.
  • 3.
    2 BijayDhobi Chapter 1 Elementry grouptheory Exercise 3.1 1.A binary operation * is defined on the set of integers by a. Soln: (i) m = 3, n = 5 Given, m * n = m + n So, 3 * 5 = 3 + 5 = 8 (ii) m = 2, n = - 5 So, 2 * (-5) = 2 + (-5) = 2 – 5 = - 3. b. (i) m = 3, n = 5 Given, m * n = m – n So, 2 * (-5) = 2 + (-5) = 2 – 5 = - 3. (ii) m = 2, n = - 5 Given, m + n = m – n. So, 2 * (-5) = 2 – (-5) = 2 + 5 = 7. c. (i) m = 3, n = 5 Given, m * n = nm + m + n So, 3 * 5 = 3 * 5 + 3 + 5 = 23. (ii) m = 2, n = - 5 Given, m * n = mn + m + n So, 2 * (-5) = 2 * (-5) + 2 + (-5) = - 10 + 2 – 5 = - 13.
  • 4.
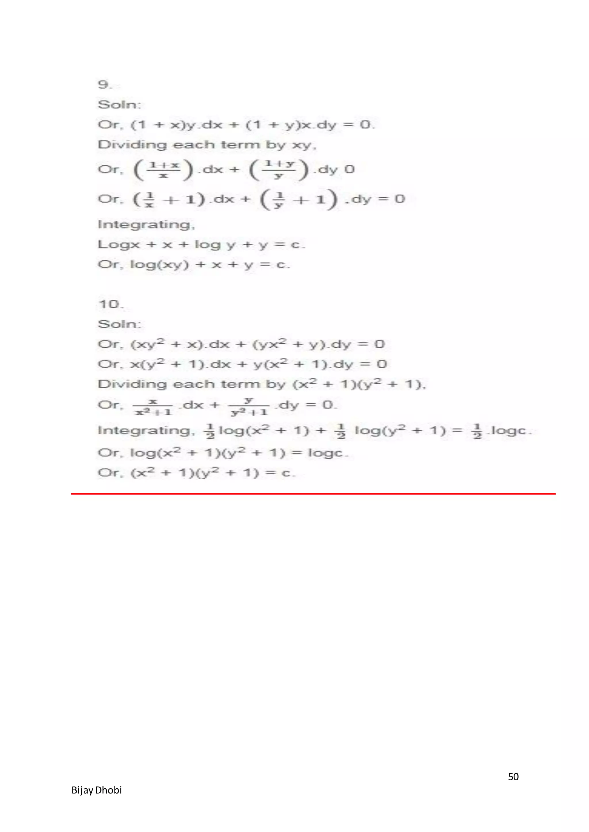
    3 BijayDhobi 2. Soln: a. S = {-1,0,1} Consider1,1 ԑ S. Here, a * b = a + b So, 1 * 1 = 1 + 1 = 2 ∉ S. Thus, a * b = a + b Is not a binary operation on S = {-1,0,1} b. S = {1,2,4} Consider 2,4 ԑ S. Here, a * b = a.b So, 2 * 4 = 2 * 4 = 8 ∉ S. Thus, a * b = abIs not a binary operation on S = {1,2,4} c. S = {2,4,6,8,10,…} Here, a * b = a + b We know that the addition of two even numbers is always an even number which belong to the set S. So, a * b = a + b is a binary operation on the set S = {2,4,6,8,10,….} d. S = Set of integers. Given, a * b = a – b Since, the difference of two integers always yields an integer. Thus, for all,a,b ԑ S, a * b = a – b ԑ S. So, a * b = a – b is a binary operation on the set ‘S’ of integers. 3. Soln:
  • 5.
    4 BijayDhobi Cayley’s table. X -11 -1 1 -1 1 -1 1 From the above table, (-1) * (-1) = 1 ԑ S, (-1) * 1 = - 1 ԑ S. 1 * (-1) = - 1 ԑ S, 1 * 1 = 1 ԑ S. So, multiplication is a binary operatio on set a S. 4. Soln: The set of positive integers is denoted by Z a. Any m, n ԑ Z+Z+à m + n ԑ Z+Z+. So, Z+Z+ is closed under addition. b. Any m,n ԑ Z+Z+àmn = nm So, Z+Z+ is commutative under multiplication. c. Consider, 2,3,4 ԑ Z+Z+. 2 – (3 – 4) = 2 – (-1) = 2 + 1 = 3. And (2 – 3) – 4 = - 1 – 4 = - 5 Thus, 2 – (3 – 4) ≠ (2 – 3) – 4. SO, Z+Z+ is not associative under subtraction. 5. Soln: a. For closure, Consider 1,2 ԑ Z.
  • 6.
    5 BijayDhobi Then , m* n = 1212(m – n) So, 1 * 2 = 1212(1 – 2) = −12−12∉ Z. So, Z is not closed. For Associative, Consider 2,4,8 ԑ Z. = 2 * (4 * 8) = 2 * {12(4−8)}{12(4−8)} = 2 * (-2) = 1212 {2 – (-2)} = 2 And (2 * 4) * 8 = {12(2−4)}{12(2−4)} * 8 = (-1) * 8 = 1212 {(-1) – 8} = 1212 (-9) = −92−92∉ Z. Hence, the operation * defined on Z is now associative, For Commutative, For, m , n ԑ Z, m * n = 1212(m – n) = −12−12(n – m) = - (n * m). So, the operation * is not commutative on Z. b. For closure, For, m,n ԑ Z, m * n = n ԑ Z. So, the operation ‘*’ is closed on Z. For associative, Since, for m,n and p ԑ Z. (m * n) * p = n * p = p ԑ Z. And m * (n * p) = m * p = p ԑ Z. So, (m * n) * p = m * (n * p) So, the operation ‘*’ is associative. For commutative. Since, for m,n ԑ Z, m * n = n ԑ Z. And n * m = m ԑ Z. But m ≠ n; so the operation * is not commutative on Z/ c. For closure Since, for m,n ԑ Z, m * n = m + n + 1 ԑ Z. So, * is closed on Z, For associative
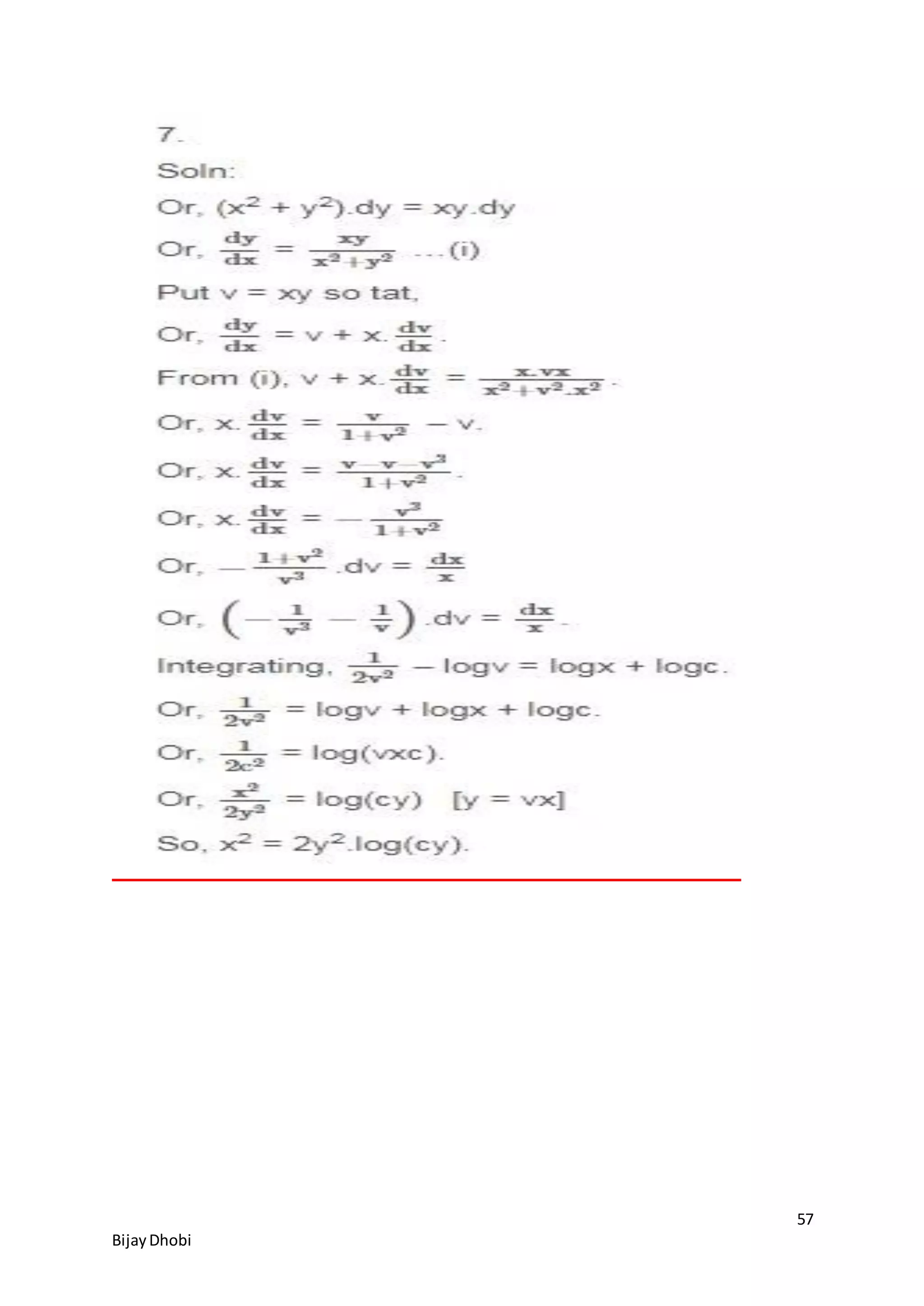
  • 7.
    6 BijayDhobi Since, for n,m,pԑ Z. (m * n) * p = (m + n + 1) * p = (m + n + 1) + p + 1 = m + n + p + 2. And m * (n * p) = m * (m + p + 1) = m + n (n + p + 1) + 1 = m + n + p + 2. So, (m * n) * p = m * (n * p), for all m,n,p ԑ Z. So, * is associative on Z. For commutative. For m,n ԑ Z. m * n = m + n + 1. And n * m = n + m + 1 = m + n + 1 So, m * n = n * m, for all m,n ԑ Z. So, * is commutative on Z. Exercise 3.2 1. Soln: Since, 0 + 40 = 0 1 + 40 = 0 + 41 = 1 2 + 40 = 0 + 42 = 3 3 + 40 = 0 + 43 = 3. So, 0 is the identity element. Since, 2 + 42 = 0 So, the inverse element of 2 is 2. And 3 + 41 + 1 + 43 = 0 So, the inverse element of 3 is 1. 2. Soln: The composition table for G = {0,1,2} under multiplication modulo 3 is X3 0 1 2 0 0 0 0 1 0 1 2
  • 8.
    7 BijayDhobi 2 0 21 Since, 1 * 31 = 1 So, identity element of 1 is 1. And, 2 * 31 = 2 = 1 * 32. Now, for inverse elements, 1 * 31 = 1 So, inverse of 1 is 1. 2 * 32 = 1. 3. Soln: Since, 1 + 0 = 0 + 1 = 1. And 2 + 0 = 0 + 2 = 2. So, 0 is the identity element of both 1 and 2. Since, 1 + (-1) = (-1) + 1 = 0 Since, - 1 is the inverse element of 1. And, 2 + (-2) = (-2) + 2 = 0 So, - 2 is the inverse element of 2. 4. Soln: Since, (-1).1 = 1. (-1) = - 1 And 1.1 = 1 So, 1 is the identity element of both 1 and -1. Now, (-1) * (-1) = 1 And 1 * 1 = 1 So, the inverse elements of – 1 and 1 are -1 and 1 respectively. 5. a. Soln: Let e be the identity element of 3 under binary operation defined by m*n = m + 1 + 1.
  • 9.
    8 BijayDhobi Then 3 *e = 3 Or, 3 + e + 3 [m * n = m + n + 1] So, e = -1. Again, let e’ be the identity element of – 2. Then (-2) * e’ = - 2. Or, (-2) + e’ + 1 = -2 Or, e’ + 1 = 0 So, e’ = - 1. So, - 1is the required element of both 3 and – 2. Again, le t ‘a’ be the inverse element of 3 under the given binary operation * Then, 3 * a = e Or, 3 + a + 1 = - 1 [m * n = m + n + 1, e = -1] Or, a = - 1 – 4 = - 5. So, - 5 is the inverse element of 3, And let a’ be the inverse element of – 2 under ‘*’. Then (-2) * a’ = e’ Or, (-2) + a’ + 1 = - 1. Or, - 1 + a’ = - 1. So, a ‘ = 0 So, 0 Is the inverse element o f – 2.
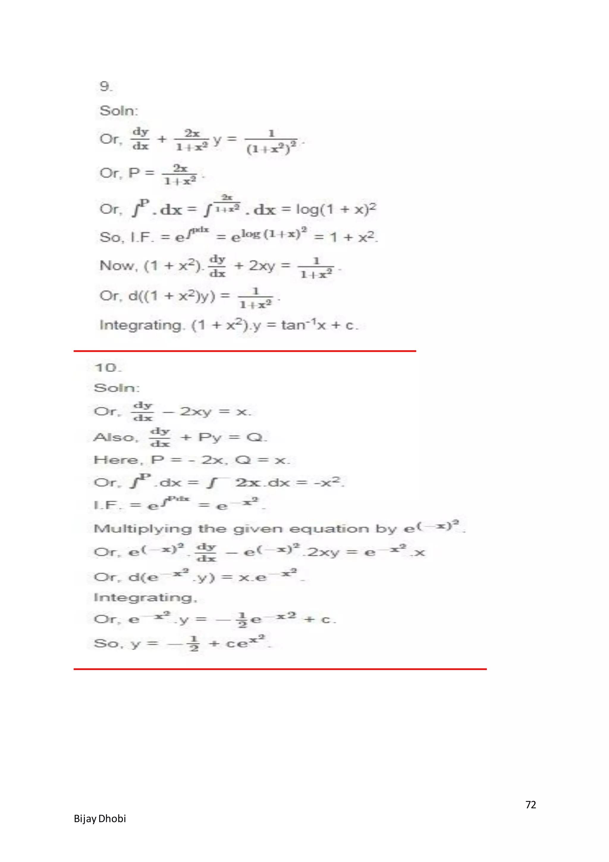
  • 10.
    9 BijayDhobi Exercise 3.3 1. a. Soln: It isa false statement because the order of group G = Number elements in G = 4, which is finite.
  • 11.
    10 BijayDhobi b. It is atrue statement because the group contains two elements, so the order of given group is 2. c. Soln: If is a false statement because it is not closed, for e.g. (- 2).2 = - 4 ∉ {-2,-1,0,1,2} d. Soln: It is false statement because it is not closed, For e.g. 4 + 8 = 12 ∉ {2,4,6,8,10} 2. Soln: Here, 1 + 1 = 2 ∉ S where, 1 , 1 ԑ S. So, S is not closed under addition. Thus, S is not a group under addition. 3. Soln: Existence of Identity: Let a be any natural number and if it exists, let e be the identity element of a, then a + e = a. à e = a – a = 0 which is not a natural number, So, identity element under addition doesn’t exist in the set of natural numbers, Hence, the set of natural numbers does not form a group under the addition operation, 4.
  • 12.
    11 BijayDhobi Soln: Closure property: Fromthe multiplication table, we see that T is closed under multiplication, i.e. Multiplication Table. X -1 1 -1 1 -1 1 -1 1 (-1) * (-1) = 1, (-1) * 1 = -1 1 * (-1) = - 1, 1 * 1 = 1 So, a * b ԑ T for all a,b ԑ T. Associative property: Here, the elements of T are – 1 and 1. We know that all integers under multiplication obey associative law. So, the element of T being integers satisfy associative law under multiplication. i.e. a * b(b * c) = (a * b) * c for all a,b,c, ԑ T. For e.g. (-1) * {1 * (-1)} = (-1) * (-1) = 1. And {(-1) * 1} * (-1) = (-1) * (-1) = 1 So, (-1) * {1 * (-1} = {(-1) * 1} * (-1) and so on. Existence of Identity element, Since (-1) * 1 = (-1) = 1 * (-1) And 1 * 1 = 1 So, 1 is the multiplicative identity in T. Existence of inverse Each element of T is an inverse of itself since, 1 * 1 = 1 and (-1) * (-1) = 1. Hence, T = {-1,1} forms a group under multiplication. 5. a. Soln: Multiplication Table. X 1 -1 i -i 1 1 -1 i -i -1 -1 1 -i i
  • 13.
    12 BijayDhobi i I -i-1 1 -i -i I 1 -1 From above table, we see that for al a,b ԑ G, a * b ԑ G. So G is closed under multiplication. b. Soln: Since all the complex numbers satisfy associative law under multiplication. So all the elements of G being complex numbers also satisfy associative law. Ie. a * (b * c) = (a * b) * c, for all a,b,c ԑ G. c. Soln: For all a ԑ G, a * 1 = 1 * a = a. So, 1 is the multiplication identity in G. Since, 1 * 1 = 1 (-1) * (-1) = 1 i * (-i) = -i2 = 1 and (-i) * I = -i2 = 1 So, the inverse of 1, -1, i and – I and 1, - 1, - i and i , respectively. So ,every element of G possesses an inverse element in G. Hence, identity element and inverse exists. d. Soln: Yes, G forms a group under multiplication as (G,x) is closed, associative, and the identity and inverse exist in G. 6. Soln: Let a,b ԑ Z. Since, a,b ԑ Z à a + b ԑ Z. So, closure property is satisfied. If a,b,c ԑ Z, then
  • 14.
    13 BijayDhobi a + (b+ c) = a + b + c ԑ Z. Also, (a + b) + c = a + b + c ԑ Z. So, a + (b + c) = (a + b) + c. Hence, associative property is satisfied. 0 is an integer and 0 + a = a + 0 = a ԑ Z. 0 is an identity element. Also, if a ԑ Z then – a ԑ Z. Or, a + (- a) = (-a) + a = 0. So, - a is the inverse element of a. Above relations are true for all elements of Z. Hence, the set of integers Z forms a group under addition. 7. Soln: * A b c a A b c B B c a C C a b From the table, we see that the operation defined on any two elements of G gives and element of G itself. So, G is closed under the operation *. a * (b * c) = a * a = a (a * b) * c = b * c = a So, a * (b * c) = (a *b) * c So, * satisfies associative property.
  • 15.
    14 BijayDhobi Since, a *a = a, a * b = b * a= b And a * c = c * a = c, so a is an identity element. a * a = a, so a is the inverse of a,b * c = c * b = a, so b and c are the inverse elements of c and respectively, So, (S,*) forms a group. 8. Soln: Composition table for G under the addition modulo r (+4) is presented below. +4 0 1 2 3 0 0 1 2 3 1 1 2 3 0 2 2 3 0 1 3 3 0 1 2 From the table, we see that sum of any two elements of G modulo 4 is an element of G. So, +4 satisfies closure property. Again, 1 +4 (2 +4 3) = 1 +4 1 = 2. And (1 +4 2) +4 3 = 3 +4 3 = 2. This result is true for all elements of G. Hence, +4 satisfies associative property. From the second row and second column of above table, 0 is the identity element. Form the second row and second column of above table, 0 is the identity elemnt. Since, 0 +4 0 = 0, 1 +4 3 = 3 +4 1 = 0 And 2 +4 2 = 0 So, the inverse elements of 0,1,2 and 3 are 0,3,2 and 1 respectively. So, G forms a group under addition modulo 4. 9. Soln: Since a is an identity element, so, a * a = a, a * b = b * a = a. So, also a * a = a, a is the inverse of a.
  • 16.
    15 BijayDhobi And b *b = a so that b is the inverse of b. Now the required composite table is given below. * A B A A B B B A Exercise 3.4
  • 17.
  • 18.
  • 19.
  • 20.
  • 21.
    20 BijayDhobi 4. Soln: X o x= x Or, x o x = x o e, where e is the identity element of G. By left cancellation law, we have, X = e. Since, identity element of a group is unique, so, x = e is a unique solution of given group equation.
  • 22.
    21 BijayDhobi Chapter 2 Applications ofDerivatives Exercise 10.1
  • 23.
  • 24.
  • 25.
  • 26.
  • 27.
  • 28.
  • 29.
  • 30.
  • 31.
  • 32.
  • 33.
  • 34.
  • 35.
  • 36.
  • 37.
  • 38.
  • 39.
  • 40.
  • 41.
  • 42.
  • 43.
  • 44.
  • 45.
  • 46.
  • 47.
  • 48.
  • 49.
  • 50.
  • 51.
  • 52.
  • 53.
  • 54.
  • 55.
  • 56.
  • 57.
  • 58.
  • 59.
  • 60.
  • 61.
  • 62.
  • 63.
  • 64.
  • 65.
  • 66.
  • 67.
  • 68.
  • 69.
  • 70.
  • 71.
  • 72.
  • 73.
  • 74.
  • 75.
  • 76.
  • 77.
  • 78.
  • 79.
  • 80.
  • 81.
  • 82.
  • 83.
  • 84.
  • 85.
  • 86.
  • 87.
  • 88.
  • 89.
  • 90.
  • 91.
  • 92.
  • 93.
  • 94.
  • 95.
  • 96.
  • 97.
  • 98.
  • 99.
  • 100.
  • 101.
  • 102.
  • 103.
  • 104.
  • 105.
  • 106.
  • 107.
  • 108.
  • 109.
  • 110.
  • 111.
  • 112.
  • 113.
  • 114.
  • 115.
  • 116.
  • 117.
  • 118.
  • 119.
  • 120.
  • 121.
  • 122.
  • 123.
  • 124.
  • 125.
  • 126.
  • 127.
  • 128.
  • 129.
  • 130.
  • 131.