PARTIAL DIFFERENTIAL 
EQUATIONS
Formation of Partial Differential equations 
Partial Differential Equation can be formed either 
by elimination of arbitrary constants or by the 
elimination of arbitrary functions from a relation 
involving three or more variables . 
SOLVED PROBLEMS 
1.Eliminate two arbitrary constants a and b from 
here R is known 
( x - a)2 + ( y - b)2 + z2 = R2 
constant .
(OR) Find the differential equation of all spheres 
of fixed radius having their centers in x y- plane. 
solution 
( x - a)2 + ( y -b)2 + z2 = R2.......(1) 
Differentiating both sides with respect to x and y 
x a 
=- - 
2 2( ) 
y b 
=- - 
2 2( ) 
q 
p z 
¶ 
¶ 
¶ 
¶ 
= ¶ 
y 
z z 
x 
z z 
z 
¶ 
x 
y 
= 
¶ 
x a pz y b qz 
¶ 
- =- - =- 
, 
,
By substituting all these values in (1) 
2 2 2 2 2 2 
p z + q z + z = 
R 
2 
z R 
2 2 1 
2 
+ + 
Þ = 
p q 
or 
1 
2 
z R 
2 2 
2 
ö 
+ ÷ ÷ø 
æ 
z 
¶ 
+¶ ÷ø 
ç çè 
z 
¶ 
= 
æ 
ö ¶ 
çè 
y 
x
2. Find the partial Differential Equation by eliminating 
arbitrary functions from 
z = f (x2 - y2 ) 
2 2 
SOLUTION 
z f x y 
( )..........(1) 
d . wr . . to . 
xandy 
' 2 2 
( ) 2 ......(2) 
' 2 2 
f x y y 
( ) 2 ......(3) 
z 
¶ 
z 
¶ 
y 
f x y x 
x 
= - ´- 
¶ 
= - ´ 
¶ 
= -
(2) 
By (3) 
x 
=- 
z 
¶ 
ö çè 
ö 
÷ ÷ø 
x 
æ 
¶ 
x 
z 
=- Þ + =0 
ç çè 
¶ 
÷ø 
æ 
¶ 
py qx 
y 
p 
q 
y 
y
3.Find Partial Differential Equation 
by eliminating two arbitrary functions from 
z = yf (x) +xg( y) 
SOLUTION 
z = yf (x)+xg( y)......(1) 
Differentiating both sides with respect to x and y 
( ) ( )........(2) 
f x xg y 
( ) ( )........(3) 
z 
¶ 
z 
¶ 
y 
yf x g y 
x 
= + ¢ 
¶ 
= ¢ + 
¶
Again d . w .r. to x and yin equation (2)and(3) 
= ¢ + ¢ 
f x g y 
z 
¶ 
x y 
( ) ( ) 
¶ ¶ 
x (2) y (3)...... to ... 
get 
2 
´ + ´
= 
y z 
+ ¶ 
¶ 
x z 
xg y yf x xy f x g y 
( ) ( ) ( ( ) ( )) 
( ) 
ö 
÷ ÷ø 
æ 
¶ ¶ 
¶ 
= + ¢+ ¢ 
z xy z 
= + ¶ 
ç çè 
z xy f g 
y z 
+ ¶ 
¶ 
x z 
Þ ¶ 
¶ 
+ + ¢ + ¢ 
¶ 
x y 
y 
x 
y 
x 
2
Different Integrals of Partial Differential 
Equation 
1. Complete Integral (solution) 
Let 
F x y z ¶ z 
¶ 
z 
F x y z p q 
( , , , , ) = ( , , , , ) = 0......(1) 
y 
¶ 
x 
¶ 
be the Partial Differential Equation. 
The complete integral of equation (1) is given 
by 
f (x, y, z, a,b) = 0..........(2)
2. Particular solution 
A solution obtained by giving particular values to 
the arbitrary constants in a complete integral is 
called particular solution . 
3.Singular solution 
The eliminant of a , b between 
= 
x y z a b 
f f 
f 
( , , , , ) 0 
= ¶ 
= 
¶ 
0, 0 
¶ 
¶ 
a b 
when it exists , is called singular solution
4. General solution 
In equation (2) assume an arbitrary relation 
of the form . b = f (a) Then (2) becomes 
f (x, y, z, a, f (a)) = 0.........(3) 
Differentiating (2) with respect to a, 
¶ f a 
a b 
¢( ) = 0..........(4) 
+ ¶ 
¶ 
f f 
¶ 
The eliminant of (3) and (4) if exists, 
is called general solution
Standard types of first order equations 
TYPE-I 
The Partial Differential equation of the form 
f ( p,q) = 0 
has solution 
z = a x + b y + c with 
f (a,b) = 0 
TYPE-II 
The Partial Differential Equation of the form 
z = px + qy + f ( p, q) 
is called Clairaut’s form 
of pde , it’s solution is given by 
z = ax + by + f (a,b)
f (z, p,q) = 0 
TYPE-III 
If the pde is given by 
then assume that 
z = f 
x + 
ay 
( ) 
u = x + 
ay 
z f 
u 
( ) 
=
dz 
z 
= ¶ 
¶ 
.1 
a a dz 
u 
du 
z 
u 
u 
= ¶ 
¶ 
u 
u 
= ¶ 
¶ 
y 
z 
p z 
q z 
= ¶ 
¶ 
y 
du 
u 
x 
z 
x 
= 
¶ 
¶ 
¶ 
= ¶ 
= 
¶ 
¶ 
¶ 
= ¶ 
. 
 The given pde can be written as 
f ( z , dz , a dz 
) = 0 
.And also this can 
dx 
dy 
be integrated to get solution
TYPE-IV 
The pde of the form f (x, p) = g( y,q) 
can be 
solved by assuming 
f ( x , p ) = g ( y , q ) 
= 
a 
f x p = a Þ p = 
f 
x a 
( , ) ( , ) 
g y q = a Þ q = Y 
y a 
( , ) ( , ) 
dz = ¶ 
z 
dx + ¶ 
z 
dy 
¶ 
x 
¶ 
y 
= f 
( , ) +Y( , ) 
dz x a dx y a dy 
Integrate the above equation to get solution
SOLVED PROBLEMS 
1.Solve the pde p2 - q = 1 
and find the complete 
and singular solutions 
Solution 
Complete solution is given by 
z = ax + by + c 
2 
Þ = - 
1 
1 
2 
a b 
- = 
b a 
with
z =ax +(a2 -1) y +c 
d.w.r.to. a and c then 
2 
= = 
1 0 
z 
¶ 
z 
¶ 
¶ 
= + 
¶ 
c 
x ay 
a 
Which is not possible 
Hence there is no singular solution 
pq + p +q =0 
2.Solve the pde and find the 
complete, general and singular solutions
Solution 
The complete solution is given by 
z = ax +by +c 
with 
ab a b 
+ + = 
a b 
1 
0 
= - 
+ 
b 
.......(1) 
z b + + 
1 
x by c 
 = - 
b 
+
= - 
1 
( ) 
1 0 
0 
1 
2 
= = 
z 
¶ 
z 
¶ 
¶ 
+ = 
+ 
¶ 
c 
x y 
b b 
no singular solution 
To get general solution assume that 
c = g(b) 
( ).......(2) 
From eq (1) 
z b + + 
1 
x by g b 
 = - 
b 
+
z = - 
1 
+ + ¢ 
( ) ( ).......(3) 
1 
2 x y g b 
¶ 
c b 
+ 
¶ 
Eliminate from (2) and (3) to get general 
solution 
3.Solve the pde 
z = px + qy + 1+ p2 + q2 
and find the complete and singular solutions 
Solution 
The pde 
z = px + qy + 1+ p2 + q2 
is in Clairaut’s form
complete solution of (1) is 
z =ax+by + 1+a2 +b2 .......(2) 
d.w.r.to “a” and “b” 
ö 
........(3) 
0 
x a 
y b 
1 
0 
1 
2 2 
2 2 
÷ ÷ ÷ ÷ ÷ 
ø 
= 
+ + 
= + 
z 
¶ 
z 
¶ 
¶ 
= 
+ + 
= + 
¶ 
a b 
b 
a b 
a
y b 
2 2 
2 
From (3) 
x a 
x y a b 
1 ( ) 
+ = + 
1 
1 
2 
1 
1 
, 
1 
2 2 
2 2 
2 2 
2 2 
2 2 
2 
2 2 
2 
x y 
a b 
a b 
a b 
a b 
= - + 
+ + 
Þ 
+ + 
+ + 
= 
+ + 
=
2 
2 2 
ax a 
a b 
+ + 
2 2 
= 
= 
by b 
a b 
+ + 
1 1 
= Þ = - + 
0 1 ( ) 
1 
1 
1 
0 
1 
0 
1 
0 
1 
+ + 
2 2 2 
2 2 2 
2 2 
2 2 
2 2 
2 
+ 
+ 
- 
Þ + + = 
= 
+ + 
+ + + + - 
x y z 
z x y 
a b 
z 
a b 
ax by a b 
is required singular solution
4.Solve the pde(1- x) p + (2 - y)q = 3- z 
Solution 
pde 
- x p + - y q = - 
z 
= + + - - 
(1 ) (2 ) 3 
z px qy p q 
(3 2 ) 
Complete solution of above pde is 
z =ax +by +(3-a -2b) 
5.Solve the pde p2 + q2 = z 
Solution 
Assume that z =f(x+ay)
u = x + 
ay 
z =f 
(u) 
dz 
z 
= ¶ 
¶ 
.1 
a a dz 
u 
du 
z 
u 
u 
= ¶ 
¶ 
u 
u 
= ¶ 
¶ 
y 
z 
p z 
q z 
= ¶ 
¶ 
y 
du 
u 
x 
z 
x 
= 
¶ 
¶ 
¶ 
= ¶ 
= 
¶ 
¶ 
¶ 
= ¶ 
. 
2 
2 
÷ø 
p q z dz + a 2 
æ ÷ø 
dz 
= 2 
+ = Þ æ 
2 2 z 
du 
du 
ö çè 
ö çè 
From given pde
du 
dz 
z a 
z 
z 
2 
a 
dz 
ö çè 
dz 
ö du 
çè 
a 
du 
2 2 
2 
1 
1 
1 
1 
+ 
Þ = 
+ 
= ÷ø 
æ 
+ 
= ÷ø 
æ 
Integrating on both sides 
b 
2 
z x ay 
a 
b 
a 
z u 
+ 
= + 
+ 
+ 
+ 
= 
2 
1 
2 
1 
2
6. Solve the pde zpq = p + q 
Solution 
Assume 
q = ap 
Substituting in given equation 
dy 
zpap = p + 
ap 
q a 
p a 
= + = + 
1 , 1 
dx +¶ 
z 
x 
¶ 
dx a 
z 
=¶ 
¶ 
dz a 
az 
dy 
y 
dz z 
z 
az 
Þ = 1 + + 1 
+
zadz =(1+a)(dx+ady) 
Integrating on both sides 
a z 2 
=(1+a)(x+ay)+b 
2 
7.Solve pde 
pq xy 
z 
z 
¶ 
¶ 
(or) xy 
y 
x 
= 
¶ 
¶ 
= 
( )( ) 
Solution 
q 
y 
p = 
x
Assume that 
y 
= = 
p ax q y 
p 
 = = 
, 
dz pdx qdy axdx y 
dy 
a 
a 
a 
q 
x 
= + = + 
Integrating on both sides 
2 2 
z =a x + y + 
b 
a 
2 2
8. Solve the equation p2 + q2 = x + y 
Solution 
2 2 
p - x = y - q = 
a 
p = a + x , 
q = y - 
a 
dz = pdx + qdy = a + xdx + y - 
ady 
integrating 
3 
3 
z = a + x + y - a 2 + b 
( ) 2 
( ) 
3 
2
Equations reducible to the standard forms 
(i)If and occur in the pde as in 
(xm p) ( ynq) 
F(xm p, ynq) = 0 Or in F(z, xm p, ynq) = 0 
Case (a) Put and 
x1-m = X y1-n = Y 
m ¹ 1 n ¹ 1 
if ; 
n 
m 
(1 ) 
n y 
z 
= ¶ 
¶ 
z 
= ¶ 
¶ 
Y 
X 
z 
= ¶ 
¶ 
z 
Y 
Y 
x 
p z 
q z 
= ¶ 
¶ 
y 
m x 
X 
x 
X 
x 
- 
- 
- 
¶ 
¶ 
¶ 
= ¶ 
- 
¶ 
¶ 
¶ 
= ¶ 
(1 )
(1 ) (1 ) 
n Q n 
(1 ) (1 ) 
x m 
p = ¶ 
z 
y q = ¶ 
z 
Y 
m P m 
X 
n 
- = - 
¶ 
- = - 
¶ 
z = 
P z 
¶ , 
= ¶ 
where Q 
Y 
X 
¶ 
¶ 
Then F ( x m p , y n q ) = 0 reduces to F(P,Q) = 0 
F(z, xm p, ynq) = 0 F(z, P,Q) = 0 
Similarly reduces 
to
case(b) 
m = 1 n = 1 
log x = X ,log y = Y 
If or 
put 
qy Q 
p = ¶ 
z 
q =¶ 
z 
1 
Y y 
px P 
X x 
Þ = 
¶ 
Þ = 
¶ 
1 
(zk p) (zkq) F(zk p, zkq) 
(ii)If and occur in pde as in 
( , ) ( , ) 1 2 Or in f x zk p = f y zkq
Case(a) Put z 1 + k = Z if k ¹ -1 
= + ¶ 
¶ 
k k 
- - - 
`1 `1 
(1 ) (1 ) 
= + ¶ 
¶ 
- - - 
z q k Q 
z k Z 
z k Z 
Þ = + 
¶ 
y 
Z 
Z 
= ¶ 
¶ 
z 
Z 
Z 
y 
z 
z 
= ¶ 
¶ 
y 
z p k P 
x 
x 
z 
x 
k k 
`1 `1 
(1 ) (1 ) 
¶ 
¶ 
¶ 
Þ = + 
¶ 
¶ 
¶ 
¶ 
Z = 
Q 
P Z 
¶ , where 
= ¶ 
y 
x 
¶ 
¶ 
Given pde reduces to 
F(P,Q) and 
f ( x , P ) = f ( y , Q 
) 1 2
Case(b) if k = -1 log z = Z 
- 
1 
z q Q 
z Z 
= ¶ 
¶ 
z Z 
y 
Z 
Z 
= ¶ 
¶ 
Z 
Z 
= ¶ 
¶ 
y 
z 
z 
z 
= ¶ 
¶ 
y 
z p P 
x 
x 
z 
x 
Þ = 
¶ 
¶ 
¶ 
¶ 
Þ = 
¶ 
¶ 
¶ 
¶ 
- 
1 
Solved Problems 
1.Solve 
p2x4 +q2 y4 = z2 
2 2 2 2 
ö 
æ 
+ ÷ ÷ø 
æ 
qy 
px 
Solution 1.......(1) 
= ÷ ÷ø 
ç çè 
ö 
ç çè 
z 
z
m n 
= = 
k 
2, 2 
=- 
1 
x-1 = X y-1 = Y log z = Z 
= - ¶ 
¶ 
- - 
2 2 
= - ¶ 
¶ 
- - 
zy Q 
zx Z 
zy Z 
Y 
X 
X 
¶ 
¶ 
Y 
Y 
y 
z 
Z 
Z 
p = ¶ 
z 
q z 
y 
zx P 
X 
x 
z 
Z 
Z 
x 
2 2 
= - 
¶ 
¶ 
¶ 
¶ 
¶ 
= ¶ 
= ¶ 
¶ 
= - 
¶ 
¶ 
¶ 
= ¶ 
¶ 
Z = 
Q 
P Z 
¶ , where 
= ¶ 
Y 
X 
¶ 
¶
Q 
px = - = - 
P qy 
z 
z 
2 2 
, 
( ) ( ) 
2 2 
+ = 
P Q 
- + - = 
P Q 
1 
1 
2 2 
(1)becomes 
Z aX bY c 
 = + + 
a 2 + b 2 = 1, b = 1 
- 
a 
2 
log 1 
2 2 2 
z = ax + - a y + 
c
2. Solve the pde p2 + q2 = z2 (x2 + y2 ) 
SOLUTION 
p = + ÷ø 
( 2 2 ).....(1) 
2 2 
x y 
q 
z 
z 
æ + ÷ø 
ö çè 
çè 
æ 
ö k =-1 log z = Z 
- 
1 
z q Q 
z Z 
= ¶ 
¶ 
z Z 
y 
Z 
Z 
= ¶ 
¶ 
y 
z 
z 
= ¶ 
¶ 
= ¶ 
¶ 
Z 
z 
z 
y 
z p P 
x 
x 
Z 
x 
Þ = 
¶ 
¶ 
¶ 
¶ 
Þ = 
¶ 
¶ 
¶ 
¶ 
- 
1
Eq(1) becomes 
P 2 + Q 2 = ( x 2 + 
y 
2 ).....(2) 
P 2 - x 2 = y 2 - Q 2 = 
a 
2 
x a x 
1 2 2 
b 
2 
z a x 
ö çè 
y y a a y 
ö a 
çè 
a 
+ ÷ø 
- æ 
- 
+ + + ÷ø 
= æ 
- 
- 
1 
2 2 2 
cosh 
( ) 
2 2 
( ) 
2 
sinh 
2 
log
Lagrange’s Linear Equation 
Def: The linear partial differenfial equation 
of first order is called as Lagrange’s linear Equation. 
This eq is of the form Pp + Qq = R 
Where P , Q and R are functions x,y and z 
The general solution of the partial differential 
equation P p + Q q = R is F(u,v) = 0 
Where is arbitrary function of 
and 
F 1 u(x, y, z) = c 
2 v(x, y, z) = c
Here u = c and v = 1 c2 are independent solutions 
dz 
of the auxilary equations 
R 
dx = dy 
= 
Q 
P 
Solved problems 
1.Find the general solution of x2 p + y2q = (x + y)z 
Solution 
dx 
dy 
dz 
auxilary equations are = = 
x 
2 y 
2 ( x + y ) 
z
dy 
dx 
= 
Integrating on both sides 
2 y 
2 
u x y c 
( - 1 - 
1 
) 1 
x 
= - = 
2 2 ( ) 
x y z 
( ) 
( )( ) ( ) 
dz 
z 
dx - 
dy 
d x - 
y 
d x - 
y 
( ) 
x y 
dz 
x y z 
x y x y 
dz 
x y 
= 
- 
+ 
= 
- + 
+ 
= 
- 
( ) 
Integrating on both sides
x - y = z + 
c 
= - = 
log( ) log log 
v x y z c 
2 
1 
2 
( ) 
- 
The general solution is given by F(u,v) = 0 
F(x-1 - y-1,(x - y)z-1) = 0 
2.solve x2 (y - z) + y2 (z - x)q = z2 (x - y) 
solution Auxiliary equations are given by 
dz 
dy 
dx 
2 ( ) y 2 ( z x 
) z2 (x y) 
x y z 
- 
= 
- 
= 
-
dz 
dy 
dx 
2 2 2 
z 
y 
x 
( ) ( ) ( ) 
dy 
+ + 
dz 
dx 
2 2 2 
y - z + z - x + x - 
y 
( ) ( ) ( ) 
0 
dz 
dy 
+ + = 
dx 
2 2 2 
- 
= 
- 
= 
- 
z 
y 
x 
z 
y 
x 
x y 
z x 
y z 
Integrating on both sides
u =1 +1 +1 = 
a 
x y z 
- - - 
1 1 1 
z dz 
z x y 
y dy 
y z x 
x dx 
x y z 
( ) ( ) ( ) 
1 1 1 
+ + 
x y - z + y z - x + z x - 
y 
( ) ( ) ( ) 
0 
dz 
dy 
+ + = 
- 
= 
- 
= 
- 
- - - 
z 
y 
dx 
x 
x dx y dy z dz 
Integrating on both sides 
v = xyz =b
The general solution is given by 
F(x-1 + y-1 + z-1, xyz) = 0 
HOMOGENEOUS LINEAR PDE WITH 
CONSTANT COEFFICIENTS 
Equations in which partial derivatives 
occurring are all of same order (with degree 
one ) and the coefficients are constants ,such 
equations are called homogeneous linear PDE 
with constant coefficient
a z 
n 
a z 
a z 
+ ¶ 
+ ¶ 
+ ¶ 
........ ( , ) 1 1 2 2 2 F x y 
¢ = ¶ 
= ¶ 
¶ 
Assume that , . 
y 
D 
x 
D 
¶ 
¶ 
nth 
then order linear homogeneous equation is 
given by 
n + n- ¢ + n- ¢ + + ¢ = 
1 D a D D a D D a D n z F x y 
n 
( 2 2 ......... ) ( , ) 
2 
1 
or 
f (D,D¢)z = F(x, y).........(1) 
y 
x y 
x y 
x 
z 
n 
n 
n n 
n 
n 
n 
n 
= 
¶ 
¶ ¶ 
¶ ¶ 
¶ 
- -
The complete solution of equation (1) consists 
of two parts ,the complementary function and 
particular integral. 
The complementary function is complete 
solution of equation of f (D,D¢)z = 0 
Rules to find complementary function 
Consider the equation 
k z 
0 2 
2 
+ ¶ 
2 
2 
k z 
+ ¶ 
2 1 
2 
= 
¶ 
¶ ¶ 
¶ 
¶ 
y 
x y 
x 
z 
or 
D2 + k DD¢ + k D¢ z = 
( 2 ) 0.............(2) 
1 2
The auxiliary equation for (A.E) is given by 
D2 + k DD¢ + k D¢ = 
D = m,D¢ =1 
And by giving 
2 0 
1 2 
m2 + k m+ k = 
The A.E becomes 0....(3) 1 2 
Case 1 
If the equation(3) has two distinct roots 1 2 m ,m 
The complete solution of (2) is given by 
( ) ( ) 1 1 2 2z = f y + m x + f y + m x
Case 2 
If the equation(3) has two equal roots i.e 1 2 m = m 
The complete solution of (2) is given by 
( ) ( ) 1 1 2 1z = f y +m x +xf y +m x 
Rules to find the particular Integral 
Consider the equation 
D2 + k DD¢+ k D¢ z = F x y 
( 2 ) ( , ) 
1 2 
f (D,D¢)z = F(x, y)
Particular Integral (P.I) 
F x y 
( , ) 
f D D 
¢ 
( , ) 
= 
Case 1 If 
F(x, y) = eax+by 
then P.I= 
¢ 
ax + 
by 
= ¹ 
, ( , ) 0 
1 
( , ) 
1 
( , ) 
+ 
e f a b 
f a b 
e 
f D D 
ax by 
D - a ¢ 
f (a,b) = 0 ( D ) 
If and is 
b 
factor of f (D,D¢) 
then
P.I =xeax+by 
If and D - a ¢ 
is 
factor of 
2 
then P.I 
F(x, y) = sin(mx +ny)or cos(mx +ny) 
= + 
sin( ) 
mx ny 
= + 
2 2 f m2 mn n2 
( , , ) 
sin( ) 
( , , ) 
mx ny 
f D DD D 
- - - 
¢ ¢ 
Case 2 
P.I 
f (a,b) = 0 ( D )2 
b 
f (D,D¢) 
= x eax+by 
2
Case 3 
F(x, y) = xm yn 
1 = ¢ - 
xm yn [ f D D ] xm yn 
f D D 
( , ) 1 
¢ 
( , ) 
P.I = 
[ ( , )] 1 Expand f D D ¢ - in ascending powers of 
D or D ¢ and operating on x m y n term by term. 
Case 4 when is any function of x 
and y. 
P.I= 
F(x, y) 
1 F x y 
( , ) 
f D D¢ 
( , ) 
1 ( , ) ( , ) 
=ò - 
- ¢ 
F x y F x c mx dx 
D mD
(D -mD¢) f (D,D¢) 
Here is factor of 
(y + mx) 
Where ‘c’ is replaced by after integration 
Solved problems 
1.Find the solution of pde 
(D3 - D¢3 + 3DD¢2 - 3D2D¢)z = 0 
Solution 
The Auxiliary equation is given by
Solution 
The Auxiliary equation is given by 
m3 -1+3m-3m2 = 0 
By taking 
D = m,D¢ = 1 
m =1,1,1. 
2 
1 2 = f y + x + xf y + x + x f y + x 
Complete solution ( ) ( ) ( ) 3 
2. Solve the pde (D3 + 4D2D¢ - 5DD¢)z = 0 
Solution 
The Auxiliary equation is given by
3 2 
m m m 
+ - = 
4 5 0 
 = - 
0,1, 5 
z f y f y x f y x 
( ) ( ) ( 5 ) 
1 2 3 
m 
= + + + - 
3. Solve the pde (D2 + D¢2 )z = 0 
Solution 
the A.E is given by m2 +1=0 
m = ±i 
( ) ( ) 1 2  z = f y + ix + f y - ix
4. Find the solution of pde 
(D2 + 3DD¢ - 4D¢2 )z = e2x+ 4 y 
Solution 
Complete solution = 
Complementary Function + Particular Integral 
m2 + 3m- 4 = 0 
The A.E is given by 
m =-4,1 
. ( ) ( 4 ) 1 2 C F = f y + x +f y - x
2 4 
P I e 
3 4 36 
. 
2 4 
2 2 
- 
= 
+ ¢- ¢ 
= 
x+ y e x+ y 
D DD D 
Complete solution 
= C.F + P.I 
e x y y x y x 
36 
( ) ( 4 ) 
2 4 
1 2 
+ 
= f + +f - -
5.Solve (D3 - 3DD¢ + 2D¢3 )z = e2x- y + ex+ y 
Solution 
3 
A E m m 
= - + 
. 3 2 
 = - 
1,1, 2. 
C F y x x y x y x 
. ( ) ( ) ( 2 ) 
1 2 3 
m 
= f + + f + + f 
- 
x y 2 
x y 
2 
e 
P I e 
= 
. 2 2 
1 D 3 - DD ¢ 2 + D 
¢ 
3 
D D D D 
- ¢ + ¢ 
3 2 ( ) ( 2 ) 
= 
- -
2 
P I e 
- - 
( ) ( 2 ) 9 
. 
2 
2 
1 
x y xe x y 
D D D D 
= 
- ¢ + ¢ 
= 
x y x y 
P I e 
2 3 2 3 2 2 
x y 
P I x e 
e 
D D D D 
D DD D 
+ 
+ + 
 = 
- ¢ + ¢ 
= 
- ¢ + ¢ 
= 
6 
. 
3 2 ( ) ( 2 ) 
. 
2 
2 
1 2 z = C.F + P.I + P.I
x y 
x - 
y 
z = y + x + x y + x + y - x + xe + 
x e + 
9 6 
( ) ( ) ( 2 ) 
2 2 
1 2 3 f f f 
6.Solve (D2 -DD¢)z =cos x cos 2y 
Solution 
(D2 -DD¢)z = 1 x + y + x - y 
[cos( 2 ) cos( 2 )] 
2 
2 
A E m m 
. 0 
0,1 
C F y x y 
. ( ) ( ) 
1 2 
m 
=f + +f 
= 
= - =
P I x y = + 
. cos( 2 ) 1 2 x y x y 
cos( 2 ) 
= + 
cos( 2 ) 
(( 1) ( 2)) 
= + 
D DD 
( ) 
- - - 
- ¢ 
P I x y 
= - = x - 
y x y 
D DD 
. cos( 2 ) 2 2 - 
cos( 2 ) 
3 
cos( 2 ) 
(( 1) (2)) 
( ) 
= - 
- - 
- ¢ 
( ) ( ) cos( 2 ) 1 1 2 z = f y + x +f y - x + x + y - x - y 
cos( 2 ) 
3 
7.Solve (D2 + DD¢ - 6D¢2 )z = x2 y2 
Solution 
. 2 6 0 
= - 
A E m m 
= + - = 
2, 3. 
m
. ( 2 ) ( 3 ) 1 2 C F = f y + x +f y - x 
2 2 
2 
2 
æ ¢ 
2 
2 
2 
æ ¢ 
æ ¢ 
2 
P I x y 
D 
é 
1 1 6 
é 
D 2 
D 
2 2 
1 
2 
2 
2 2 
2 2 
6 
D 
D 
D 
ù 
ö 
ö 
1 6 6 
. 
x y 
D 
D 
D 
D 
D 
x y 
D 
D 
D 
D DD D 
ù 
ú ú 
û 
ê ê 
ë 
ö 
÷ ÷ø 
ç çè 
- 
¢ 
+ ÷ ÷ø 
ç çè 
- 
¢ 
= - 
úû 
êë 
÷ ÷ø 
ç çè 
- 
¢ 
= + 
+ ¢ - ¢ 
= 
- 
-
é ¢ 
ö 
D D 
1 6 
2 
D 
D 
2 2 
2 
x 
D x y x y 
2 6 2 2 
2 
x 
3 4 4 
D x y x y 6 2 
x x 
3 4 
D x y x y 8 2 
x 
ù 
úû 
é 
é 
2 2 2 
é 
æ ¢ 
æ 
- 
- 
- 
2 2 2 
= + + 
é 
= + + 
êë 
ù 
ö 
ö 
ù 
úû 
êë 
ù 
ù 
úû 
êë 
2 
+ ÷ ÷ø 
ç çè æ 
= - - 
úû 
êë 
+ ÷ ÷ø 
ç çè 
= - - 
úû 
êë 
+ ÷ ÷ø 
ç çè 
- 
¢ 
= - 
- 
2 
90 
2 
60 
12 
12 
3 
2 
12 
12 
3 
2 
4 2 5 6 
2 
2 
2 2 2 
2 2 
2 
2 
2 
x y x y x 
D 
D 
D 
x y 
D 
D 
D
7.Solve (D2 - 5DD¢ + 6D¢2 )z = y sin x 
Solution 
A.E is m2 - 5m+ 6 = 0 
m =3,m = 2. 
C . F =P . I f ( y y sin x 
+ 3 x ) +f ( y + 2 x 
) 1 2 2 
2 y x 
y x 
sin 
sin 
ù 
é 
[ ] 
[ x x x y x x] 
1 
1 
1 
1 
D D 
a x x x x 
D D 
a x xdx 
D D 
D D 
D D 
D D D D 
D DD D 
2 cos 2sin ( 2 ) cos 
( 3 ) 
cos 2( cos sin ) 
( 3 ) 
( 2 )sin 
( 3 ) 
( 2 ) 
( 3 ) 
( 3 )( 2 ) 
5 6 
- - + 
- ¢ 
= 
- - - + 
- ¢ 
= 
- 
- ¢ 
= 
úû 
êë 
- ¢ - ¢ 
= 
- ¢ - ¢ 
= 
- ¢ + ¢ 
= 
ò
P I y x 
. sin 2 2 
y x 
y x 
sin 
sin 
ù 
é 
here 
= +2 
[ ] 
[ x x x y x x] 
1 
1 
1 
1 
D D 
a x x x x 
D D 
a x xdx 
D D 
D D 
D D 
D D D D 
D DD D 
2 cos 2sin ( 2 ) cos 
( 3 ) 
cos 2( cos sin ) 
( 3 ) 
( 2 ) sin 
( 3 ) 
( 2 ) 
( 3 ) 
( 3 )( 2 ) 
5 6 
- - + 
- ¢ 
= 
- - - + 
- ¢ 
= 
- 
- ¢ 
= 
úû 
êë 
- ¢ - ¢ 
= 
- ¢ - ¢ 
= 
- ¢+ ¢ 
= 
ò (a y x)
[ y x x 
] 
1 
= 
D D 
= ò ( - ( b - 3 x )cos x - 
2sin x ) 
dx 
(b y x) 
b x x x x x 
= - + + + 
sin 2cos 3( sin cos ) 
y x x x x x x 
= - + + + + 
( 3 )sin 2cos 3( sin cos ) 
x y x 
5cos sin 
cos 2sin 
( 3 ) 
= - 
- - 
- ¢ 
here 
= +3
Non Homogeneous Linear PDES 
If in the equation f (D,D¢)z = F(x, y)............(1) 
the polynomial expression f (D,D¢) 
is not 
homogeneous, then (1) is a non- homogeneous 
linear partial differential equation 
Ex (D2 + 3D + D¢ - 4D¢2 )z = e2x+3 y 
Complete Solution 
= Complementary Function + Particular Integral 
To find C.F., factorize 
into factors of the form 
f (D,D¢) 
(D -mD¢-c)
If the non homogeneous equation is of the form 
- ¢ - - ¢ - = 
D m D c D m D c z F x y 
( )( ) ( , ) 
1 1 2 2 
= c x + + c x + 
C F e 1 f y m x e 2 f 
y m x 
. ( ) ( ) 
1 2 
1.Solve (D2 -DD¢+D)z = x2 
Solution 
f (D,D¢) = D2 - DD¢ + D = D(D - D¢ +1) 
. ( ) ( ) 1 2 C F =e-xf y +x +f y
2 
D 
P I x 
. 1 1 ( 1) 
x D 
x D 
1 ( 1) ( 1) ...... 
ù 
úû 
é ¢ + 
= - 
é ¢ + 
+ úûù 
é 
ù 
+ + = úû 
êë 
ù 
é 
é 
é ¢ + 
= + + 
êë 
ù 
ú úû 
ê êë 
ù 
+ úû 
êë 
êë 
= + 
úû 
êë 
- ¢ + 
= 
- 
3 12 3.4 3.4.5 12.5.6 
1 
3 4 4 5 6 
2 
2 
2 
2 
2 2 
2 
2 
1 
2 2 
x x x x x x 
D 
x 
D 
D 
D 
x 
D 
D DD D D
2.Solve (D +D¢-1)(D + 2D¢-3)z = 4 
Solution 
( ) ( 2 ) 4 1 
3 
z =exf y -x +e 3 
xf y - x + 
1

maths

  • 1.
  • 2.
    Formation of PartialDifferential equations Partial Differential Equation can be formed either by elimination of arbitrary constants or by the elimination of arbitrary functions from a relation involving three or more variables . SOLVED PROBLEMS 1.Eliminate two arbitrary constants a and b from here R is known ( x - a)2 + ( y - b)2 + z2 = R2 constant .
  • 3.
    (OR) Find thedifferential equation of all spheres of fixed radius having their centers in x y- plane. solution ( x - a)2 + ( y -b)2 + z2 = R2.......(1) Differentiating both sides with respect to x and y x a =- - 2 2( ) y b =- - 2 2( ) q p z ¶ ¶ ¶ ¶ = ¶ y z z x z z z ¶ x y = ¶ x a pz y b qz ¶ - =- - =- , ,
  • 4.
    By substituting allthese values in (1) 2 2 2 2 2 2 p z + q z + z = R 2 z R 2 2 1 2 + + Þ = p q or 1 2 z R 2 2 2 ö + ÷ ÷ø æ z ¶ +¶ ÷ø ç çè z ¶ = æ ö ¶ çè y x
  • 5.
    2. Find thepartial Differential Equation by eliminating arbitrary functions from z = f (x2 - y2 ) 2 2 SOLUTION z f x y ( )..........(1) d . wr . . to . xandy ' 2 2 ( ) 2 ......(2) ' 2 2 f x y y ( ) 2 ......(3) z ¶ z ¶ y f x y x x = - ´- ¶ = - ´ ¶ = -
  • 6.
    (2) By (3) x =- z ¶ ö çè ö ÷ ÷ø x æ ¶ x z =- Þ + =0 ç çè ¶ ÷ø æ ¶ py qx y p q y y
  • 7.
    3.Find Partial DifferentialEquation by eliminating two arbitrary functions from z = yf (x) +xg( y) SOLUTION z = yf (x)+xg( y)......(1) Differentiating both sides with respect to x and y ( ) ( )........(2) f x xg y ( ) ( )........(3) z ¶ z ¶ y yf x g y x = + ¢ ¶ = ¢ + ¶
  • 8.
    Again d .w .r. to x and yin equation (2)and(3) = ¢ + ¢ f x g y z ¶ x y ( ) ( ) ¶ ¶ x (2) y (3)...... to ... get 2 ´ + ´
  • 9.
    = y z + ¶ ¶ x z xg y yf x xy f x g y ( ) ( ) ( ( ) ( )) ( ) ö ÷ ÷ø æ ¶ ¶ ¶ = + ¢+ ¢ z xy z = + ¶ ç çè z xy f g y z + ¶ ¶ x z Þ ¶ ¶ + + ¢ + ¢ ¶ x y y x y x 2
  • 10.
    Different Integrals ofPartial Differential Equation 1. Complete Integral (solution) Let F x y z ¶ z ¶ z F x y z p q ( , , , , ) = ( , , , , ) = 0......(1) y ¶ x ¶ be the Partial Differential Equation. The complete integral of equation (1) is given by f (x, y, z, a,b) = 0..........(2)
  • 11.
    2. Particular solution A solution obtained by giving particular values to the arbitrary constants in a complete integral is called particular solution . 3.Singular solution The eliminant of a , b between = x y z a b f f f ( , , , , ) 0 = ¶ = ¶ 0, 0 ¶ ¶ a b when it exists , is called singular solution
  • 12.
    4. General solution In equation (2) assume an arbitrary relation of the form . b = f (a) Then (2) becomes f (x, y, z, a, f (a)) = 0.........(3) Differentiating (2) with respect to a, ¶ f a a b ¢( ) = 0..........(4) + ¶ ¶ f f ¶ The eliminant of (3) and (4) if exists, is called general solution
  • 13.
    Standard types offirst order equations TYPE-I The Partial Differential equation of the form f ( p,q) = 0 has solution z = a x + b y + c with f (a,b) = 0 TYPE-II The Partial Differential Equation of the form z = px + qy + f ( p, q) is called Clairaut’s form of pde , it’s solution is given by z = ax + by + f (a,b)
  • 14.
    f (z, p,q)= 0 TYPE-III If the pde is given by then assume that z = f x + ay ( ) u = x + ay z f u ( ) =
  • 15.
    dz z =¶ ¶ .1 a a dz u du z u u = ¶ ¶ u u = ¶ ¶ y z p z q z = ¶ ¶ y du u x z x = ¶ ¶ ¶ = ¶ = ¶ ¶ ¶ = ¶ . The given pde can be written as f ( z , dz , a dz ) = 0 .And also this can dx dy be integrated to get solution
  • 16.
    TYPE-IV The pdeof the form f (x, p) = g( y,q) can be solved by assuming f ( x , p ) = g ( y , q ) = a f x p = a Þ p = f x a ( , ) ( , ) g y q = a Þ q = Y y a ( , ) ( , ) dz = ¶ z dx + ¶ z dy ¶ x ¶ y = f ( , ) +Y( , ) dz x a dx y a dy Integrate the above equation to get solution
  • 17.
    SOLVED PROBLEMS 1.Solvethe pde p2 - q = 1 and find the complete and singular solutions Solution Complete solution is given by z = ax + by + c 2 Þ = - 1 1 2 a b - = b a with
  • 18.
    z =ax +(a2-1) y +c d.w.r.to. a and c then 2 = = 1 0 z ¶ z ¶ ¶ = + ¶ c x ay a Which is not possible Hence there is no singular solution pq + p +q =0 2.Solve the pde and find the complete, general and singular solutions
  • 19.
    Solution The completesolution is given by z = ax +by +c with ab a b + + = a b 1 0 = - + b .......(1) z b + + 1 x by c = - b +
  • 20.
    = - 1 ( ) 1 0 0 1 2 = = z ¶ z ¶ ¶ + = + ¶ c x y b b no singular solution To get general solution assume that c = g(b) ( ).......(2) From eq (1) z b + + 1 x by g b = - b +
  • 21.
    z = - 1 + + ¢ ( ) ( ).......(3) 1 2 x y g b ¶ c b + ¶ Eliminate from (2) and (3) to get general solution 3.Solve the pde z = px + qy + 1+ p2 + q2 and find the complete and singular solutions Solution The pde z = px + qy + 1+ p2 + q2 is in Clairaut’s form
  • 22.
    complete solution of(1) is z =ax+by + 1+a2 +b2 .......(2) d.w.r.to “a” and “b” ö ........(3) 0 x a y b 1 0 1 2 2 2 2 ÷ ÷ ÷ ÷ ÷ ø = + + = + z ¶ z ¶ ¶ = + + = + ¶ a b b a b a
  • 23.
    y b 22 2 From (3) x a x y a b 1 ( ) + = + 1 1 2 1 1 , 1 2 2 2 2 2 2 2 2 2 2 2 2 2 2 x y a b a b a b a b = - + + + Þ + + + + = + + =
  • 24.
    2 2 2 ax a a b + + 2 2 = = by b a b + + 1 1 = Þ = - + 0 1 ( ) 1 1 1 0 1 0 1 0 1 + + 2 2 2 2 2 2 2 2 2 2 2 2 2 + + - Þ + + = = + + + + + + - x y z z x y a b z a b ax by a b is required singular solution
  • 25.
    4.Solve the pde(1-x) p + (2 - y)q = 3- z Solution pde - x p + - y q = - z = + + - - (1 ) (2 ) 3 z px qy p q (3 2 ) Complete solution of above pde is z =ax +by +(3-a -2b) 5.Solve the pde p2 + q2 = z Solution Assume that z =f(x+ay)
  • 26.
    u = x+ ay z =f (u) dz z = ¶ ¶ .1 a a dz u du z u u = ¶ ¶ u u = ¶ ¶ y z p z q z = ¶ ¶ y du u x z x = ¶ ¶ ¶ = ¶ = ¶ ¶ ¶ = ¶ . 2 2 ÷ø p q z dz + a 2 æ ÷ø dz = 2 + = Þ æ 2 2 z du du ö çè ö çè From given pde
  • 27.
    du dz za z z 2 a dz ö çè dz ö du çè a du 2 2 2 1 1 1 1 + Þ = + = ÷ø æ + = ÷ø æ Integrating on both sides b 2 z x ay a b a z u + = + + + + = 2 1 2 1 2
  • 28.
    6. Solve thepde zpq = p + q Solution Assume q = ap Substituting in given equation dy zpap = p + ap q a p a = + = + 1 , 1 dx +¶ z x ¶ dx a z =¶ ¶ dz a az dy y dz z z az Þ = 1 + + 1 +
  • 29.
    zadz =(1+a)(dx+ady) Integratingon both sides a z 2 =(1+a)(x+ay)+b 2 7.Solve pde pq xy z z ¶ ¶ (or) xy y x = ¶ ¶ = ( )( ) Solution q y p = x
  • 30.
    Assume that y = = p ax q y p = = , dz pdx qdy axdx y dy a a a q x = + = + Integrating on both sides 2 2 z =a x + y + b a 2 2
  • 31.
    8. Solve theequation p2 + q2 = x + y Solution 2 2 p - x = y - q = a p = a + x , q = y - a dz = pdx + qdy = a + xdx + y - ady integrating 3 3 z = a + x + y - a 2 + b ( ) 2 ( ) 3 2
  • 32.
    Equations reducible tothe standard forms (i)If and occur in the pde as in (xm p) ( ynq) F(xm p, ynq) = 0 Or in F(z, xm p, ynq) = 0 Case (a) Put and x1-m = X y1-n = Y m ¹ 1 n ¹ 1 if ; n m (1 ) n y z = ¶ ¶ z = ¶ ¶ Y X z = ¶ ¶ z Y Y x p z q z = ¶ ¶ y m x X x X x - - - ¶ ¶ ¶ = ¶ - ¶ ¶ ¶ = ¶ (1 )
  • 33.
    (1 ) (1) n Q n (1 ) (1 ) x m p = ¶ z y q = ¶ z Y m P m X n - = - ¶ - = - ¶ z = P z ¶ , = ¶ where Q Y X ¶ ¶ Then F ( x m p , y n q ) = 0 reduces to F(P,Q) = 0 F(z, xm p, ynq) = 0 F(z, P,Q) = 0 Similarly reduces to
  • 34.
    case(b) m =1 n = 1 log x = X ,log y = Y If or put qy Q p = ¶ z q =¶ z 1 Y y px P X x Þ = ¶ Þ = ¶ 1 (zk p) (zkq) F(zk p, zkq) (ii)If and occur in pde as in ( , ) ( , ) 1 2 Or in f x zk p = f y zkq
  • 35.
    Case(a) Put z1 + k = Z if k ¹ -1 = + ¶ ¶ k k - - - `1 `1 (1 ) (1 ) = + ¶ ¶ - - - z q k Q z k Z z k Z Þ = + ¶ y Z Z = ¶ ¶ z Z Z y z z = ¶ ¶ y z p k P x x z x k k `1 `1 (1 ) (1 ) ¶ ¶ ¶ Þ = + ¶ ¶ ¶ ¶ Z = Q P Z ¶ , where = ¶ y x ¶ ¶ Given pde reduces to F(P,Q) and f ( x , P ) = f ( y , Q ) 1 2
  • 36.
    Case(b) if k= -1 log z = Z - 1 z q Q z Z = ¶ ¶ z Z y Z Z = ¶ ¶ Z Z = ¶ ¶ y z z z = ¶ ¶ y z p P x x z x Þ = ¶ ¶ ¶ ¶ Þ = ¶ ¶ ¶ ¶ - 1 Solved Problems 1.Solve p2x4 +q2 y4 = z2 2 2 2 2 ö æ + ÷ ÷ø æ qy px Solution 1.......(1) = ÷ ÷ø ç çè ö ç çè z z
  • 37.
    m n == k 2, 2 =- 1 x-1 = X y-1 = Y log z = Z = - ¶ ¶ - - 2 2 = - ¶ ¶ - - zy Q zx Z zy Z Y X X ¶ ¶ Y Y y z Z Z p = ¶ z q z y zx P X x z Z Z x 2 2 = - ¶ ¶ ¶ ¶ ¶ = ¶ = ¶ ¶ = - ¶ ¶ ¶ = ¶ ¶ Z = Q P Z ¶ , where = ¶ Y X ¶ ¶
  • 38.
    Q px =- = - P qy z z 2 2 , ( ) ( ) 2 2 + = P Q - + - = P Q 1 1 2 2 (1)becomes Z aX bY c = + + a 2 + b 2 = 1, b = 1 - a 2 log 1 2 2 2 z = ax + - a y + c
  • 39.
    2. Solve thepde p2 + q2 = z2 (x2 + y2 ) SOLUTION p = + ÷ø ( 2 2 ).....(1) 2 2 x y q z z æ + ÷ø ö çè çè æ ö k =-1 log z = Z - 1 z q Q z Z = ¶ ¶ z Z y Z Z = ¶ ¶ y z z = ¶ ¶ = ¶ ¶ Z z z y z p P x x Z x Þ = ¶ ¶ ¶ ¶ Þ = ¶ ¶ ¶ ¶ - 1
  • 40.
    Eq(1) becomes P2 + Q 2 = ( x 2 + y 2 ).....(2) P 2 - x 2 = y 2 - Q 2 = a 2 x a x 1 2 2 b 2 z a x ö çè y y a a y ö a çè a + ÷ø - æ - + + + ÷ø = æ - - 1 2 2 2 cosh ( ) 2 2 ( ) 2 sinh 2 log
  • 41.
    Lagrange’s Linear Equation Def: The linear partial differenfial equation of first order is called as Lagrange’s linear Equation. This eq is of the form Pp + Qq = R Where P , Q and R are functions x,y and z The general solution of the partial differential equation P p + Q q = R is F(u,v) = 0 Where is arbitrary function of and F 1 u(x, y, z) = c 2 v(x, y, z) = c
  • 42.
    Here u =c and v = 1 c2 are independent solutions dz of the auxilary equations R dx = dy = Q P Solved problems 1.Find the general solution of x2 p + y2q = (x + y)z Solution dx dy dz auxilary equations are = = x 2 y 2 ( x + y ) z
  • 43.
    dy dx = Integrating on both sides 2 y 2 u x y c ( - 1 - 1 ) 1 x = - = 2 2 ( ) x y z ( ) ( )( ) ( ) dz z dx - dy d x - y d x - y ( ) x y dz x y z x y x y dz x y = - + = - + + = - ( ) Integrating on both sides
  • 44.
    x - y= z + c = - = log( ) log log v x y z c 2 1 2 ( ) - The general solution is given by F(u,v) = 0 F(x-1 - y-1,(x - y)z-1) = 0 2.solve x2 (y - z) + y2 (z - x)q = z2 (x - y) solution Auxiliary equations are given by dz dy dx 2 ( ) y 2 ( z x ) z2 (x y) x y z - = - = -
  • 45.
    dz dy dx 2 2 2 z y x ( ) ( ) ( ) dy + + dz dx 2 2 2 y - z + z - x + x - y ( ) ( ) ( ) 0 dz dy + + = dx 2 2 2 - = - = - z y x z y x x y z x y z Integrating on both sides
  • 46.
    u =1 +1+1 = a x y z - - - 1 1 1 z dz z x y y dy y z x x dx x y z ( ) ( ) ( ) 1 1 1 + + x y - z + y z - x + z x - y ( ) ( ) ( ) 0 dz dy + + = - = - = - - - - z y dx x x dx y dy z dz Integrating on both sides v = xyz =b
  • 47.
    The general solutionis given by F(x-1 + y-1 + z-1, xyz) = 0 HOMOGENEOUS LINEAR PDE WITH CONSTANT COEFFICIENTS Equations in which partial derivatives occurring are all of same order (with degree one ) and the coefficients are constants ,such equations are called homogeneous linear PDE with constant coefficient
  • 48.
    a z n a z a z + ¶ + ¶ + ¶ ........ ( , ) 1 1 2 2 2 F x y ¢ = ¶ = ¶ ¶ Assume that , . y D x D ¶ ¶ nth then order linear homogeneous equation is given by n + n- ¢ + n- ¢ + + ¢ = 1 D a D D a D D a D n z F x y n ( 2 2 ......... ) ( , ) 2 1 or f (D,D¢)z = F(x, y).........(1) y x y x y x z n n n n n n n n = ¶ ¶ ¶ ¶ ¶ ¶ - -
  • 49.
    The complete solutionof equation (1) consists of two parts ,the complementary function and particular integral. The complementary function is complete solution of equation of f (D,D¢)z = 0 Rules to find complementary function Consider the equation k z 0 2 2 + ¶ 2 2 k z + ¶ 2 1 2 = ¶ ¶ ¶ ¶ ¶ y x y x z or D2 + k DD¢ + k D¢ z = ( 2 ) 0.............(2) 1 2
  • 50.
    The auxiliary equationfor (A.E) is given by D2 + k DD¢ + k D¢ = D = m,D¢ =1 And by giving 2 0 1 2 m2 + k m+ k = The A.E becomes 0....(3) 1 2 Case 1 If the equation(3) has two distinct roots 1 2 m ,m The complete solution of (2) is given by ( ) ( ) 1 1 2 2z = f y + m x + f y + m x
  • 51.
    Case 2 Ifthe equation(3) has two equal roots i.e 1 2 m = m The complete solution of (2) is given by ( ) ( ) 1 1 2 1z = f y +m x +xf y +m x Rules to find the particular Integral Consider the equation D2 + k DD¢+ k D¢ z = F x y ( 2 ) ( , ) 1 2 f (D,D¢)z = F(x, y)
  • 52.
    Particular Integral (P.I) F x y ( , ) f D D ¢ ( , ) = Case 1 If F(x, y) = eax+by then P.I= ¢ ax + by = ¹ , ( , ) 0 1 ( , ) 1 ( , ) + e f a b f a b e f D D ax by D - a ¢ f (a,b) = 0 ( D ) If and is b factor of f (D,D¢) then
  • 53.
    P.I =xeax+by Ifand D - a ¢ is factor of 2 then P.I F(x, y) = sin(mx +ny)or cos(mx +ny) = + sin( ) mx ny = + 2 2 f m2 mn n2 ( , , ) sin( ) ( , , ) mx ny f D DD D - - - ¢ ¢ Case 2 P.I f (a,b) = 0 ( D )2 b f (D,D¢) = x eax+by 2
  • 54.
    Case 3 F(x,y) = xm yn 1 = ¢ - xm yn [ f D D ] xm yn f D D ( , ) 1 ¢ ( , ) P.I = [ ( , )] 1 Expand f D D ¢ - in ascending powers of D or D ¢ and operating on x m y n term by term. Case 4 when is any function of x and y. P.I= F(x, y) 1 F x y ( , ) f D D¢ ( , ) 1 ( , ) ( , ) =ò - - ¢ F x y F x c mx dx D mD
  • 55.
    (D -mD¢) f(D,D¢) Here is factor of (y + mx) Where ‘c’ is replaced by after integration Solved problems 1.Find the solution of pde (D3 - D¢3 + 3DD¢2 - 3D2D¢)z = 0 Solution The Auxiliary equation is given by
  • 56.
    Solution The Auxiliaryequation is given by m3 -1+3m-3m2 = 0 By taking D = m,D¢ = 1 m =1,1,1. 2 1 2 = f y + x + xf y + x + x f y + x Complete solution ( ) ( ) ( ) 3 2. Solve the pde (D3 + 4D2D¢ - 5DD¢)z = 0 Solution The Auxiliary equation is given by
  • 57.
    3 2 mm m + - = 4 5 0 = - 0,1, 5 z f y f y x f y x ( ) ( ) ( 5 ) 1 2 3 m = + + + - 3. Solve the pde (D2 + D¢2 )z = 0 Solution the A.E is given by m2 +1=0 m = ±i ( ) ( ) 1 2 z = f y + ix + f y - ix
  • 58.
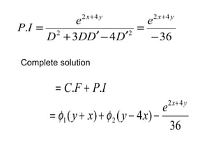
    4. Find thesolution of pde (D2 + 3DD¢ - 4D¢2 )z = e2x+ 4 y Solution Complete solution = Complementary Function + Particular Integral m2 + 3m- 4 = 0 The A.E is given by m =-4,1 . ( ) ( 4 ) 1 2 C F = f y + x +f y - x
  • 59.
    2 4 PI e 3 4 36 . 2 4 2 2 - = + ¢- ¢ = x+ y e x+ y D DD D Complete solution = C.F + P.I e x y y x y x 36 ( ) ( 4 ) 2 4 1 2 + = f + +f - -
  • 60.
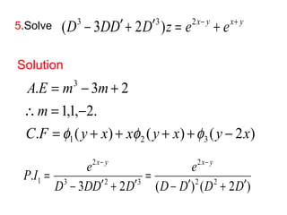
    5.Solve (D3 -3DD¢ + 2D¢3 )z = e2x- y + ex+ y Solution 3 A E m m = - + . 3 2 = - 1,1, 2. C F y x x y x y x . ( ) ( ) ( 2 ) 1 2 3 m = f + + f + + f - x y 2 x y 2 e P I e = . 2 2 1 D 3 - DD ¢ 2 + D ¢ 3 D D D D - ¢ + ¢ 3 2 ( ) ( 2 ) = - -
  • 61.
    2 P Ie - - ( ) ( 2 ) 9 . 2 2 1 x y xe x y D D D D = - ¢ + ¢ = x y x y P I e 2 3 2 3 2 2 x y P I x e e D D D D D DD D + + + = - ¢ + ¢ = - ¢ + ¢ = 6 . 3 2 ( ) ( 2 ) . 2 2 1 2 z = C.F + P.I + P.I
  • 62.
    x y x- y z = y + x + x y + x + y - x + xe + x e + 9 6 ( ) ( ) ( 2 ) 2 2 1 2 3 f f f 6.Solve (D2 -DD¢)z =cos x cos 2y Solution (D2 -DD¢)z = 1 x + y + x - y [cos( 2 ) cos( 2 )] 2 2 A E m m . 0 0,1 C F y x y . ( ) ( ) 1 2 m =f + +f = = - =
  • 63.
    P I xy = + . cos( 2 ) 1 2 x y x y cos( 2 ) = + cos( 2 ) (( 1) ( 2)) = + D DD ( ) - - - - ¢ P I x y = - = x - y x y D DD . cos( 2 ) 2 2 - cos( 2 ) 3 cos( 2 ) (( 1) (2)) ( ) = - - - - ¢ ( ) ( ) cos( 2 ) 1 1 2 z = f y + x +f y - x + x + y - x - y cos( 2 ) 3 7.Solve (D2 + DD¢ - 6D¢2 )z = x2 y2 Solution . 2 6 0 = - A E m m = + - = 2, 3. m
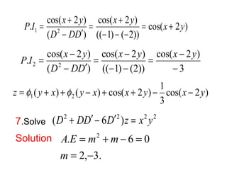
  • 64.
    . ( 2) ( 3 ) 1 2 C F = f y + x +f y - x 2 2 2 2 æ ¢ 2 2 2 æ ¢ æ ¢ 2 P I x y D é 1 1 6 é D 2 D 2 2 1 2 2 2 2 2 2 6 D D D ù ö ö 1 6 6 . x y D D D D D x y D D D D DD D ù ú ú û ê ê ë ö ÷ ÷ø ç çè - ¢ + ÷ ÷ø ç çè - ¢ = - úû êë ÷ ÷ø ç çè - ¢ = + + ¢ - ¢ = - -
  • 65.
    é ¢ ö D D 1 6 2 D D 2 2 2 x D x y x y 2 6 2 2 2 x 3 4 4 D x y x y 6 2 x x 3 4 D x y x y 8 2 x ù úû é é 2 2 2 é æ ¢ æ - - - 2 2 2 = + + é = + + êë ù ö ö ù úû êë ù ù úû êë 2 + ÷ ÷ø ç çè æ = - - úû êë + ÷ ÷ø ç çè = - - úû êë + ÷ ÷ø ç çè - ¢ = - - 2 90 2 60 12 12 3 2 12 12 3 2 4 2 5 6 2 2 2 2 2 2 2 2 2 2 x y x y x D D D x y D D D
  • 66.
    7.Solve (D2 -5DD¢ + 6D¢2 )z = y sin x Solution A.E is m2 - 5m+ 6 = 0 m =3,m = 2. C . F =P . I f ( y y sin x + 3 x ) +f ( y + 2 x ) 1 2 2 2 y x y x sin sin ù é [ ] [ x x x y x x] 1 1 1 1 D D a x x x x D D a x xdx D D D D D D D D D D D DD D 2 cos 2sin ( 2 ) cos ( 3 ) cos 2( cos sin ) ( 3 ) ( 2 )sin ( 3 ) ( 2 ) ( 3 ) ( 3 )( 2 ) 5 6 - - + - ¢ = - - - + - ¢ = - - ¢ = úû êë - ¢ - ¢ = - ¢ - ¢ = - ¢ + ¢ = ò
  • 67.
    P I yx . sin 2 2 y x y x sin sin ù é here = +2 [ ] [ x x x y x x] 1 1 1 1 D D a x x x x D D a x xdx D D D D D D D D D D D DD D 2 cos 2sin ( 2 ) cos ( 3 ) cos 2( cos sin ) ( 3 ) ( 2 ) sin ( 3 ) ( 2 ) ( 3 ) ( 3 )( 2 ) 5 6 - - + - ¢ = - - - + - ¢ = - - ¢ = úû êë - ¢ - ¢ = - ¢ - ¢ = - ¢+ ¢ = ò (a y x)
  • 68.
    [ y xx ] 1 = D D = ò ( - ( b - 3 x )cos x - 2sin x ) dx (b y x) b x x x x x = - + + + sin 2cos 3( sin cos ) y x x x x x x = - + + + + ( 3 )sin 2cos 3( sin cos ) x y x 5cos sin cos 2sin ( 3 ) = - - - - ¢ here = +3
  • 69.
    Non Homogeneous LinearPDES If in the equation f (D,D¢)z = F(x, y)............(1) the polynomial expression f (D,D¢) is not homogeneous, then (1) is a non- homogeneous linear partial differential equation Ex (D2 + 3D + D¢ - 4D¢2 )z = e2x+3 y Complete Solution = Complementary Function + Particular Integral To find C.F., factorize into factors of the form f (D,D¢) (D -mD¢-c)
  • 70.
    If the nonhomogeneous equation is of the form - ¢ - - ¢ - = D m D c D m D c z F x y ( )( ) ( , ) 1 1 2 2 = c x + + c x + C F e 1 f y m x e 2 f y m x . ( ) ( ) 1 2 1.Solve (D2 -DD¢+D)z = x2 Solution f (D,D¢) = D2 - DD¢ + D = D(D - D¢ +1) . ( ) ( ) 1 2 C F =e-xf y +x +f y
  • 71.
    2 D PI x . 1 1 ( 1) x D x D 1 ( 1) ( 1) ...... ù úû é ¢ + = - é ¢ + + úûù é ù + + = úû êë ù é é é ¢ + = + + êë ù ú úû ê êë ù + úû êë êë = + úû êë - ¢ + = - 3 12 3.4 3.4.5 12.5.6 1 3 4 4 5 6 2 2 2 2 2 2 2 2 1 2 2 x x x x x x D x D D D x D D DD D D
  • 72.
    2.Solve (D +D¢-1)(D+ 2D¢-3)z = 4 Solution ( ) ( 2 ) 4 1 3 z =exf y -x +e 3 xf y - x + 1