Gerak Melingkar 
PPG-SM3T UNDANA 2014
1. Melalui hasil pengamatan dan percobaan peserta 
didik dapat mengagumi keteraturan dan 
kompleksitas ciptaan Tuhan mengenai gerak 
melingkar beraturan dalam kehidupan sehari-hari. 
2. Peserta didik dapat melakukan percobaan secara 
aktif, kerjasama, jujur, teliti, hati-hati, tangung 
jawab, terbuka, disiplin, kritis dan tekun. 
3. Melalui hasil pengamatan peserta didik dapat 
menjelaskan pengertian gerak melingkar beraturan. 
4. Melalui hasil percobaan peserta didik dapat 
menjelaskan besaran-besaran dalam gerak melingkar 
beraturan (frekuensi, periode, kecepatan sudut dan 
kecepatan linear) 
5. Melalui hasil percobaan peserta didik dapat 
menjelaskan hubungan antara frekuensi, periode, 
kecepatan linear dan kecepatan sudut.
A. Pengertian dan Besaran 
Dalam Gerak Melingkar 
B.Gerak Melingkar Beraturan 
(GMB) 
C. Percepatan dan Gaya 
Sentripetal 
D. Hubungan Roda - Roda
AA.. PPEENNGGEERRTTIIAANN 
GGEERRAAKK MMEELLIINNGGKKAARR 
GGeerraakk mmeelliinnggkkaarr aaddaallaahh ggeerraakk bbeennddaa ppaaddaa 
lliinnttaassaann yyaanngg 
bbeerrbbeennttuukk lliinnggkkaarraann.. 
CCoonnttoohh :: 11.. BBuullaann mmeennggiittaarrii bbuummii 
22.. RRooddaa bbaann mmoobbiill // mmoottoorr 
33.. PPllaanneett mmeennggiittaarrii mmaattaahhaarrii
Gerak melingkar beraturan adalah 
gerak suatu benda pada lintasan 
berbentuk lingkaran dengan 
kecepatan konstan
BESARAN DALAM GERAK 
MELINGKAR BERATURAN (GMB) 
1.Frekuensi (f ) 
f rekunsi didef inisikan sebagai banyaknya 
putaran yang dilakukan oleh suatu titik materi 
yang berputar terhadap suatu poros tertentu 
dalam selang waktu satu sekon. 
2. PPeerrioioddee d(iTd)ef inisikan sebagai selang waktu yang 
diperlukan oleh suatu titik materi pada benda 
yang berputar pada poros tertentu, untuk 
menempuh satu kali putaran 
HHuubbuunnggaann PPeerriiooddee ((TT)) ddaann FFrreekkuueennssii ((ff)) :: 
T = ) .......(Hz T 1 
.......(s) f 1 
f =
3. Kecepatan Angular/Sudut (ω) 
Kecepatan sudut didef inisikan 
sebagai hasil bagi sudut yang 
ditempuh partikel dengan selang 
waktu tempuhnya . 
w = 2p = p f rad s 
T 2 .....( / )
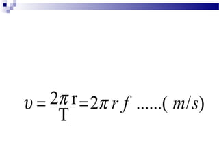
3. Kecepatan Linier (V) 
Kecepatan linear didef inisikan 
sebagai hasil bagi panjang lintasan 
linear yang ditempuh partikel 
dengan selang waktu tempuhnya. 
u = 2p r = p r f m s 
T 2 ......( / )
Hubungan antara kelajuan linier 
dan kecepatan sudut, yaitu : 
u =w r
C. PERCEPATAN 
SENTRIPETAL 
Adalah percepatan yang dialami benda yang 
bergerak melingkar dan arah percepatan 
selalu menuju ke pusat lingkaran 
Persamaan percepatan sentripetal : 
as = v2 atau =w 2R m s2 
R as .........( / )
Arah percepatan sentripetal selalu tegak 
lurus terhadap kecepatan liniernya seperti 
ditunjukan pada gambar berikut : 
Vp 
P Q 
asp 
Gambar. 
Percepatan 
Sentripetal 
VQ 
asp
GGaayyaa SSeennttrriippeettaall 
Adalah resultan sseemmuuaa ggaayyaa ddaann 
kkoommppoonneenn ggaayyaa ppaaddaa aarraahh rraaddiiaall 
AArraahh ddaarrii ggaayyaa yyaanngg mmeennuujjuu ppuussaatt 
lliinnggkkaarraann aaddaallaahh ppoossiittiiff ddaann aarraahh 
yyaanngg mmeennjjaauuhh ppuussaatt lliinnggkkaarraann 
aaddaallaahh nneeggaattiiff
Bila digunakan hukum II Newton 
maka besar gaya sentripetal 
dirumuskan sebagai berikut : 
F = 
m as s 
m v 
2 
R 
2 
= 
m R 
= w
1.Kecepatan pada Roda-roda 
sepusat 
v = 
v 
w =w 
1 2 
R R 
1 1 2 2
v = 
v 
w =w 
1 2 
R R 
1 1 2 2
v = 
v 
w =w 
1 2 
R R 
1 1 2 2
1. Setiap benda yang bergerak secara 
beraturan dalam suatu lintasan berbentuk 
lingkaran adalah memiliki ... 
a. Vektor kecepatannya konstan 
b. Vektor percepatannya konstan 
c. Gaya radialnya konstan 
d. Momentum liniernya konstan 
e. Semua jawaban salah
2. Sebuah benda melakukan gerak melingkar 
beraturan dengan 
melakukan 90 putaran tiap 2 menit. Bila jari-jari 
putaran 1 m, maka kecepatan linier benda 
tersebut 
adalah … 
a. 2 
π m/s 
3 
b. 3 
π m/s 
4 
d. 4 
π m/s 
3 
c. 3 
π m/s 
2 
e. 6 π m/s
3.Sebuah kipas angin elektrik berjari-jari 
20 cm berputar dengan frekuensi 8 Hz. 
Maka kecepatan sudutnya adalah … 
a. 8 πrad/s d. 80 πrad/s 
b. 16 πrad/s e. 160 πrad/s 
c. 40 πrad/s 
4.Roda berputar dengan kecepatan 
sudut ω = 2t + t2 rad/s. Jika t = 0 s dan 
t = 1 s, maka percepatan sudut roda 
tersebut adalah … 
a. 4 rad/s2 d. 10 rad/s2 
b. 6 rad/s2 e. 12 rad/s2 
c. 8 rad/s2
5.Sebuah dinamo yang diameter 
penampangnya 20 mm berputar pada 
150 rpm. Besar periode dan frekuensi 
dari dinamo tersebut adalah … 
a. 2,5 Hz dan 0,4 s 
b. 3 Hz dan 0,5 s 
c. 4, 5 Hz dan 2 s 
d. 5 Hz dan 2,5 s 
e. 5 Hz dan 3 s
10 cm 50 cm 
A B 
a. 4 
b. 5,6 
c. 20 
d. 40 
e. 56
Soal Latihan Bersama: 
Sebuah benda bergerak melingkar 
beraturan dengan radius lintasannya 
100 cm. Benda ini berputar 5 kali 
dalam waktu 15 menit. Hitunglah: 
a. frekuensi 
b. periode putaran benda 
c. kecepatan sudut benda 
d. kecepatan linear benda.
1. Jelaskan apa yang dimaksud 
dengan gerak melingkar 
beraturan! 
2. Jelaskan apa yang dimaksud 
dengan: Frekuensi, Periode, 
Kecepatan linear, Kecepatan 
sudut 
3. Roda sepeda Mario berdiameter 
300 mm berputar dengan 
kecepatan 300 rpm (radian per 
menit)Hitunglah: Frekuensi

BAHAN AJAR GERAK MELINGKAR.PPT

  • 1.
  • 2.
    1. Melalui hasilpengamatan dan percobaan peserta didik dapat mengagumi keteraturan dan kompleksitas ciptaan Tuhan mengenai gerak melingkar beraturan dalam kehidupan sehari-hari. 2. Peserta didik dapat melakukan percobaan secara aktif, kerjasama, jujur, teliti, hati-hati, tangung jawab, terbuka, disiplin, kritis dan tekun. 3. Melalui hasil pengamatan peserta didik dapat menjelaskan pengertian gerak melingkar beraturan. 4. Melalui hasil percobaan peserta didik dapat menjelaskan besaran-besaran dalam gerak melingkar beraturan (frekuensi, periode, kecepatan sudut dan kecepatan linear) 5. Melalui hasil percobaan peserta didik dapat menjelaskan hubungan antara frekuensi, periode, kecepatan linear dan kecepatan sudut.
  • 3.
    A. Pengertian danBesaran Dalam Gerak Melingkar B.Gerak Melingkar Beraturan (GMB) C. Percepatan dan Gaya Sentripetal D. Hubungan Roda - Roda
  • 4.
    AA.. PPEENNGGEERRTTIIAANN GGEERRAAKKMMEELLIINNGGKKAARR GGeerraakk mmeelliinnggkkaarr aaddaallaahh ggeerraakk bbeennddaa ppaaddaa lliinnttaassaann yyaanngg bbeerrbbeennttuukk lliinnggkkaarraann.. CCoonnttoohh :: 11.. BBuullaann mmeennggiittaarrii bbuummii 22.. RRooddaa bbaann mmoobbiill // mmoottoorr 33.. PPllaanneett mmeennggiittaarrii mmaattaahhaarrii
  • 5.
    Gerak melingkar beraturanadalah gerak suatu benda pada lintasan berbentuk lingkaran dengan kecepatan konstan
  • 6.
    BESARAN DALAM GERAK MELINGKAR BERATURAN (GMB) 1.Frekuensi (f ) f rekunsi didef inisikan sebagai banyaknya putaran yang dilakukan oleh suatu titik materi yang berputar terhadap suatu poros tertentu dalam selang waktu satu sekon. 2. PPeerrioioddee d(iTd)ef inisikan sebagai selang waktu yang diperlukan oleh suatu titik materi pada benda yang berputar pada poros tertentu, untuk menempuh satu kali putaran HHuubbuunnggaann PPeerriiooddee ((TT)) ddaann FFrreekkuueennssii ((ff)) :: T = ) .......(Hz T 1 .......(s) f 1 f =
  • 7.
    3. Kecepatan Angular/Sudut(ω) Kecepatan sudut didef inisikan sebagai hasil bagi sudut yang ditempuh partikel dengan selang waktu tempuhnya . w = 2p = p f rad s T 2 .....( / )
  • 8.
    3. Kecepatan Linier(V) Kecepatan linear didef inisikan sebagai hasil bagi panjang lintasan linear yang ditempuh partikel dengan selang waktu tempuhnya. u = 2p r = p r f m s T 2 ......( / )
  • 9.
    Hubungan antara kelajuanlinier dan kecepatan sudut, yaitu : u =w r
  • 10.
    C. PERCEPATAN SENTRIPETAL Adalah percepatan yang dialami benda yang bergerak melingkar dan arah percepatan selalu menuju ke pusat lingkaran Persamaan percepatan sentripetal : as = v2 atau =w 2R m s2 R as .........( / )
  • 11.
    Arah percepatan sentripetalselalu tegak lurus terhadap kecepatan liniernya seperti ditunjukan pada gambar berikut : Vp P Q asp Gambar. Percepatan Sentripetal VQ asp
  • 12.
    GGaayyaa SSeennttrriippeettaall Adalahresultan sseemmuuaa ggaayyaa ddaann kkoommppoonneenn ggaayyaa ppaaddaa aarraahh rraaddiiaall AArraahh ddaarrii ggaayyaa yyaanngg mmeennuujjuu ppuussaatt lliinnggkkaarraann aaddaallaahh ppoossiittiiff ddaann aarraahh yyaanngg mmeennjjaauuhh ppuussaatt lliinnggkkaarraann aaddaallaahh nneeggaattiiff
  • 13.
    Bila digunakan hukumII Newton maka besar gaya sentripetal dirumuskan sebagai berikut : F = m as s m v 2 R 2 = m R = w
  • 14.
    1.Kecepatan pada Roda-roda sepusat v = v w =w 1 2 R R 1 1 2 2
  • 15.
    v = v w =w 1 2 R R 1 1 2 2
  • 16.
    v = v w =w 1 2 R R 1 1 2 2
  • 17.
    1. Setiap bendayang bergerak secara beraturan dalam suatu lintasan berbentuk lingkaran adalah memiliki ... a. Vektor kecepatannya konstan b. Vektor percepatannya konstan c. Gaya radialnya konstan d. Momentum liniernya konstan e. Semua jawaban salah
  • 18.
    2. Sebuah bendamelakukan gerak melingkar beraturan dengan melakukan 90 putaran tiap 2 menit. Bila jari-jari putaran 1 m, maka kecepatan linier benda tersebut adalah … a. 2 π m/s 3 b. 3 π m/s 4 d. 4 π m/s 3 c. 3 π m/s 2 e. 6 π m/s
  • 19.
    3.Sebuah kipas anginelektrik berjari-jari 20 cm berputar dengan frekuensi 8 Hz. Maka kecepatan sudutnya adalah … a. 8 πrad/s d. 80 πrad/s b. 16 πrad/s e. 160 πrad/s c. 40 πrad/s 4.Roda berputar dengan kecepatan sudut ω = 2t + t2 rad/s. Jika t = 0 s dan t = 1 s, maka percepatan sudut roda tersebut adalah … a. 4 rad/s2 d. 10 rad/s2 b. 6 rad/s2 e. 12 rad/s2 c. 8 rad/s2
  • 20.
    5.Sebuah dinamo yangdiameter penampangnya 20 mm berputar pada 150 rpm. Besar periode dan frekuensi dari dinamo tersebut adalah … a. 2,5 Hz dan 0,4 s b. 3 Hz dan 0,5 s c. 4, 5 Hz dan 2 s d. 5 Hz dan 2,5 s e. 5 Hz dan 3 s
  • 21.
    10 cm 50cm A B a. 4 b. 5,6 c. 20 d. 40 e. 56
  • 22.
    Soal Latihan Bersama: Sebuah benda bergerak melingkar beraturan dengan radius lintasannya 100 cm. Benda ini berputar 5 kali dalam waktu 15 menit. Hitunglah: a. frekuensi b. periode putaran benda c. kecepatan sudut benda d. kecepatan linear benda.
  • 23.
    1. Jelaskan apayang dimaksud dengan gerak melingkar beraturan! 2. Jelaskan apa yang dimaksud dengan: Frekuensi, Periode, Kecepatan linear, Kecepatan sudut 3. Roda sepeda Mario berdiameter 300 mm berputar dengan kecepatan 300 rpm (radian per menit)Hitunglah: Frekuensi