Antidiabetic Agents
For B Pharm (Sem V, PCI)
CONTENTS:
Insulin and its preparations
Sulfonyl ureas: Tolbutamide*, Chlorpropamide, Glipizide, Glimepiride.
Biguanides: Metformin.
Thiazolidinediones: Pioglitazone, Rosiglitazone.
Meglitinides: Repaglinide, Nateglinide.
Glucosidase inhibitors: Acrabose, Voglibose.
Diabetes mellitus is a metabolic disorder characterized by hyperglycemia and associated with impaired
fat, carbohydrate, and protein metabolism. The disease is the result of defects in insulin secretion
and/or insulin action, which progressively leads to chronic microvascular, macrovascular, and
neuropathic complications.
was formerly called insulin-dependent
diabetes mellitus or juvenile-onset diabetes. It
accounts for 5% to 10% of patients with
diabetes and is largely recognized as an
autoimmune disease whereby the b-cells are
destroyed by the body’s own antibodies.
Because the pancreas can no longer produce
insulin, type 1 diabetics have an absolute
requirement for exogenous insulin.
Symptoms: polydipsia ( thirst), polyuria
(frequent urination), polyphagia (hunger),
weight loss, fatigue, and diabetic ketoacidosis.
diabetes (formerly called non–insulin dependent
diabetes mellitus or adult-onset diabetes)
accounts for 90% to 95% of adult cases of diabetes. Type 2
diabetes slowly progresses from a state where the patient
develops insulin resistance to a state where the pancreas loses
its ability to produce enough insulin to compensate for the
insulin resistance of peripheral tissues.
( *Insulin resistance is the state where tissues do not utilize
insulin properly).
Insulin resistance is associated with a number of physiologic
risk factors (hyperinsulinemia, hypertension, dyslipidemia,
hypercoagulation, proinflammatory state, and abdominal
obesity) most commonly referred to as “the metabolic
syndrome.”
Types of diabetes
https://www.news-medical.net/health/Diabetes-Mellitus-Subtypes.aspx
Insulin plays a vital role in a number of biochemical
processes, including more than 100 examples of gene
regulation.
In the liver and muscle tissues, insulin
✓ promotes the storage of excess glucose as glycogen.
✓ suppresses hepatic glucose production and the breakdown
of fats into fatty acids and glycerol.
✓ facilitates absorption of amino acids into cells and their
conversion into proteins.
✓ converts excess carbohydrates, which cannot be used as
glycogen, into fats and then promotes the storage of fat in
adipose tissue.
When bound to cell sur face receptors, insulin initiates a cascade of events that are integral to
the transport of glucose into cells.
The insulin receptor is a large, transmembrane
glycoprotein composed of two α subunits and
two β subunits linked by disulfide bonds.
The α subunits, which possess the insulin
binding domain, are located extracellularly.
The β subunits are transmembrane proteins
that also possess enzymatic activity.
When insulin binds to and activates this
receptor, intramolecular autophosphorylation
of several β-subunit tyrosine residues occurs.
This enhances the receptor 's tyrosine kinase
activity, which is responsible for
phosphorylating insulin receptor substrates
(IRS-1 to IRS-4) .
These phosphorylated proteins serve as intracellular signals for processes essential to cell survival and
proliferation.
This includes translocation of the glucose transporters to the cell surface and synthesis of glycogen,
protein, mRNAs, and nuclear DNA
The insulin analogs available for treatment of diabetes are classified according to their rate of onset
and duration of action.
Structure–activity relationship studies revealed that variations or removal of amino acid residues
from the C-terminus of the B chain could influence the rate of dimer formation while not
drastically changing the biologic activity. Inhibiting dimer formation can allow for rapid-acting
insulin.
Thus, the various insulin analogs that have been developed have substitutions in or additions to the C-
terminus of the B chain starting at residue B28. The resulting analogs have either a faster onset or a
longer duration of action relative to native insulin.
These analogs are all produced by recombinant DNA technology using a modified DNAtemplate.
Lispro
✓ Rapid-acting insulin analogs include insulin lispro in which the LysB29 is switched with ProB28.
✓ These modifications, as already stated, result in insulin analogs that do not form dimers in solution
and that dissociate immediately into monomers, producing a very quick onset of action.
✓ Pharmacodynamically, lispro, bind as well to insulin receptors as human insulin and have a
✓ low mitogenic potency. Mitogenic activity is the ability of insulin to induce cell division and is
believed to be associated with insulin’s binding to insulin-like growth factor receptors I and II.
✓ Lispro have an onset of action within 15 minutes, peak activity at 30 to 90 minutes, and duration
of action of 3 to 4 hours.
Glargine
✓ The first long-acting insulin analog to be introduced to the market was insulin glargine. This
analog results from the replacement of AsnA21 by glycine (Gly) and the addition of two Arg
amino acids to the C-terminus of the B chain.
✓ The resulting analog has an isoelectric point close to 7, but is formulated at an acidic pH 4, where
it is completely water soluble. After subcutaneous injection of the acidic solution into tissue at
physiologic pH (approximately 7.4), the increase in pH to 7.4 causes the analog to precipitate
from solution, forming microcrystals of insulin hexamers, which then slowly dissociate into
insulin monomers.
The slow dissolution of the
hexamer to monomeric insulin
from the site of injection results in
an onset of 1 to 4 hours, a peak
between 5 and 24 hours, and a
duration of 20 to 24 hours, which
represents a fairly constant release
of insulin glargine over 24 hours,
giving an almost peakless profile.
Sulfonylureas
Mechanism of Action
✓ The mechanism of action of the sulfonylureas is to stimulate the release of insulin from the
functioning β-cells of the intact pancreas.
✓ Sulfonylureas acutely lower plasma glucose by
stimulating the release of insulin.
✓ The primary mechanism is through binding to
sulfonylurea receptors (SUR-1) on
functioning pancreatic beta-cells.
✓ Binding closes the linked ATP-sensitive
potassium channels, which leads to decreased
potassium influx and subsequent depolarization
of the beta-cell membrane.
✓ Voltage-dependent calcium channels open and result
in an influx of calcium, causing translocation
and exocytosis of secretory granules of insulin to
the cell surface.
✓ The sulfonylureas may have other actions, such as
inhibition of secretion of glucagon and action at post
receptor intracellular sites to increase insulin activity.
https://www.clinicalcorrelations.org/2007/10/17/clinical-pharmacy-corner-sulfonylureas/
SAR of SUR
The sulfonylureas may be represented by the following general Structure
The aliphatic group, R
confers lipophilic properties
to the molecule.
Maximal activity results
when R consists of three to
six carbon atoms.
Aryl groups at R generally
give toxic compounds.
The R group on the
aromatic ring primarily
influences the duration of
action of the compound.
These are urea derivatives with an aryl
sulfonyl group in the 1-position and an
aliphatic group at the 3-position.
In first-generation analogues, the aromatic substituent is a
relatively simple atom or group of atoms (e.g., methyl, amino,
acetyl, chloro, bromo, methylthio, or trifluoromethyl); however,
the second-generation analogues have a larger p-(β-
arylcarboxyamidoethyl) group that leads to significantly higher
potency
Sulfonylureas are weak acids, with pKa values of approximately 5.0 with proton dissociation from the
sulfonyl-attached nitrogen of the urea.
Tolbutamide
1-butyl-3-(p-tolylsulfonyl)urea
Chlorpropamide
1-[(p-chlorophenyl)-sulfonyl]-3-propylurea
This drug is more resistant to conversion to
inactive metabolites than is tolbutamide and, as a
result, has a much longer duration of action.
One study showed that about half of the drug is
excreted as metabolites, with the principal one
being hydroxylated (ω and ω-1) in the 2-position
of the propyl side chain.
Glipizide: 1-cyclohexyl-3-[[p-(2-(5-methylpyrazinecarboxamido) ethyl]phenyl]sulfonyl]urea is a
cyclohexylsulfonylurea analog similar to acetohexamide and glyburide, with a pKa of 5.9.
Metabolism of glipizide is generally through
oxidation of the cyclohexane ring to the p-hydroxy
and m-hydroxy metabolites.
A minor metabolite that occurs involves the
N - acetyl derivative, which results f rom the
acetylation of the primary amine following hydrolysis
of the amide system by amidase enzymes.
2nd GENERATION
Metabolism
Glimepiride:
1-[[p-[2-(3-ethyl-4-methyl-2-oxo-3-
pyrroline-1-carboxamido)ethyl]phenyl]
sulfonyl]- 3-(trans-4-methylcyclohexyl)
urea, is very similar to glipizide with the
exception of their heterocyclic rings.
Instead of the pyrazine ring found in
glipizide, glimepiride contains a
pyrrolidine system.
It is metabolized primarily through
oxidation of the alkyl side chain of the
pyrrolidine, with a minor metabolic route
involving acetylation of the amine.
Non-Sulfonylureas
(Meglitinides)
➢Meglitinide is the prototype structure that defines this class of insulin secretagogues.
The metaglinides are nonsulfonylurea oral hypoglycemic agents used in the management of
type 2 diabetes (non–insulin-dependent diabetes mellitus, NIDDM). These agents tend to have
a rapid onset and a short duration of action.
➢ Much like the sulfonylureas, these induce insulin release from functioning pancreatic
cells. The mechanism of action for the metaglinides, however, differs from that of the
sulfonylureas. The mechanism of action is through binding to specific receptors in the β-
cell membrane, leading to the closure of ATP-dependent K channels. The K channel
blockade depolarizes the β-cell membrane, which in turn leads to Ca2 influx, increased
intracellular Ca2, and stimulation of insulin secretion.
➢ There are two major differences between these seemingly similar classes of agents.
➢ The first is that the metaglinides cause much faster insulin production than the
sulfonylureas. As a result, the metaglinides should be taken during meals, as the
pancreas will produce insulin in a much shorter period.
➢ The second difference is that the effects of the metaglinides do not last as long as the
effects of the sulfonylureas. The effects of this class appear to last less than 1 hour,
whereas sulfonylureas continue to stimulate insulin production for several hours.
➢ One advantage of a short duration of action is that there is less risk of hypoglycemia.
Repaglinide: (+)-2-ethoxy-4-[N-[3- methyl- 1( S)-[ 2-( 1
piperidinyl) phenyl] butyl]carbamoyl-methyl]benzoic acid
represents a new class of nonsulfonylurea oral hypoglycemic
agents. With a fast onset and a short duration of action, the
medication should be taken with meals.
N a t e g l i n i d e : A l t h o u g h n a t e g l i n i d e , N-( 4
isopropylcyclohexanecarbonyl)- D-phenylalanine, belongs to
the metaglinides, it is a phenylalanine derivative and represents
a novel drug in the management of type 2 diabetes.
It is oxidized by CYP 3A4, and the carboxylic acid may be
conjugated to inactive compounds. Less than 0.2% is
excreted unchanged by the kidney, which may be an
advantage for elderly patients who are renally impaired.
The most common side effect involves hypoglycemia, resulting in shakiness, headache, cold sweats,
anxiety, and changes in mental state.
Thiazolindiones (TZD)
INSULIN SENSITIZERS, PEROXISOME PROLIFERATOR
ACTIVATED RECEPTOR [PPAR] AGONISTS, GLITAZONES
The thiazolindiones represent a novel nonsulfonylurea class of hypoglycemic agents for the
treatment of NIDDM. Much like the sulfonylureas, the use of these agents requires a functioning
pancreas that can successfully secrete insulin from cells.
Although insulin may be released in normal levels from the cells, peripheral sensitivity to this
hormone may be reduced or lacking. The thiazolidinediones are highly selective agonists for the
peroxisome proliferator activated receptor- (PPAR), which is responsible for improving glycemic
control, primarily through the improvement of insulin sensitivity in muscles and adipose tissue.
In addition, they inhibit hepatic gluconeogenesis. These agents normalize glucose metabolism and
reduce the amount of insulin needed to achieve glycemic control.
They are only effective in the presence of insulin.
➢ Activators of PPAR-γ in the treatment of insulin resistance and type 2 diabetes mellitus are a much
sought after target, because PPARs are central regulators of lipid, carbohydrate, and inflammatory
pathways and help maintain homeostasis.
➢ They belong to the nuclear hormone receptor superfamily of ligand activated transcription
factors and are closely related to steroid, retinoid, and thyroid hormone receptors.
➢ This receptor family is comprised of three members: PPAR-α, δ and γ.
▪ PPAR- δ is ubiquitously present in tissues of adult mammals,
▪ PPAR-α subtype is abundantly present in tissues catalyzing lipid oxidation, which include the
liver, kidney, and heart .
▪ PPAR γ is primarily expressed in adipose tissue, where it helps control its differentiation.
The thiazolidinediones (TZDs) are classic examples of PPAR- γ agonists and are commonly referred to
as the “glitazones.” These agents were developed when clofibric acid analogs were being screened for
antihyperglycemic and lipid-lowering activity.
Although initially the mechanism of action of the TZDs was unclear, it was soon discovered that they
enhanced adipocyte differentiation by activation of the nuclear hormone receptor superfamily, PPAR . A
ligand, which can be endogenous, upon binding to PPAR, induces a conformational change in the receptor,
thus stabilizing the interaction with the retinoid X receptor and, in turn, resulting in the stimulation of
transcription of target genes.
The endogenous ligands for PPAR- γ have not been identified; however, studies suggest that
certain arachidonic acid metabolites and long-chain unsaturated fatty acids such as linoleic acid are the
intrinsic agonists.
PPAR-γ agonists, such as the glitazones, act by increasing the sensitivity of cells to insulin. The
glitazones also decrease both systemic fatty acid production and fatty acid uptake, which contribute to
increased sensitization of cells to insulin.
Patients with type 2 diabetes are known to have high triglyceride and low high-density lipoprotein levels.
The glitazones increase the lipolysis of triglycerides in very low–density lipoproteins and, as a result,
increase high-density lipoprotein levels. However, during the lipolysis of very low–density lipoproteins,
the production of low-density lipoproteins could be a major drawback to the use of these drugs.
PPAR-γ activation improves glucose uptake by skeletal muscle and, at the same time, reduces
glucose production by slowing down gluconeogenesis. Hence, these drugs improve metabolism of
glucose in not only diabetic patients, but also in obese individuals who have impaired glucose
tolerance.
The pharmacophore responsible for activity is the thiazolidinedione moiety.
A phenyl ring attached to the central nucleus via a methylene group is essential for activity, and
in many instances, a saturated linker is found to be more potent than the unsaturated counterpart.
The first generation of TZDs includes pioglitazone, rosiglitazone, and ciglitazone.
The rationale used for the development of these agents was the fact that the structure of troglitazone
(the first drug in this class to be marketed) includes the structure of α-tocopherol, an antioxidant,
which retards the oxidation of low-density lipoproteins.
However, due to severe drug-induced hepatotoxicity and cardiovascular effects, troglitazone and
rosiglitazone have been withdrawn, leaving pioglitazone as the only clinically used drug in the TZD
family.
Recently, dual PPAR-α/γ agonists have become much sought after targets, and many research groups
are actively involved in synthesizing such bioactive compounds as novel antidiabetic agents.
Combined activation of PPAR-α and PPAR-γ is believed to induce complementary and synergistic
action on lipid metabolism, insulin sensitivity, and inflammation control, possibly circumventing or
reducing the side effects of PPAR-γ.
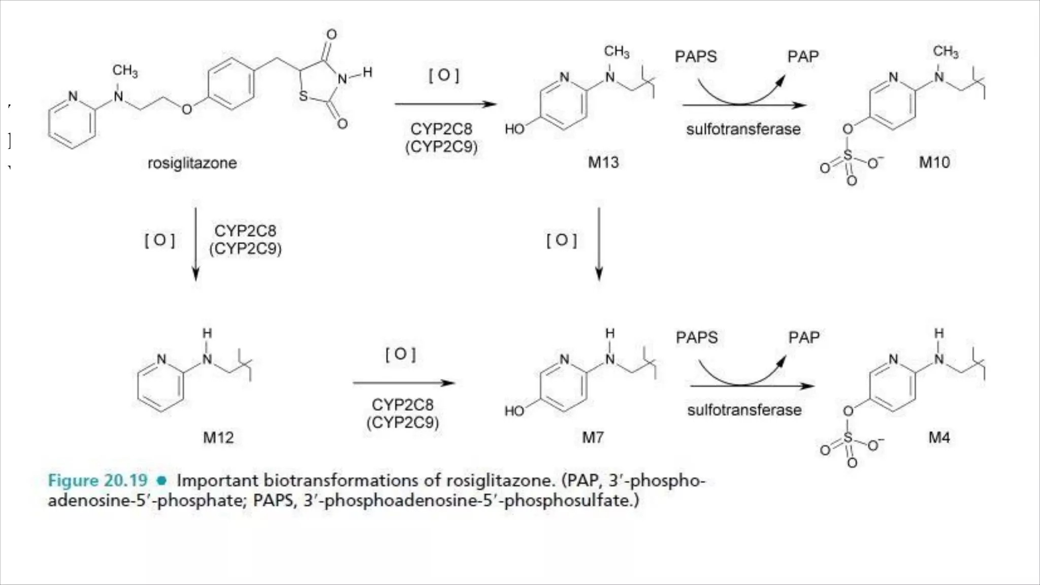
Rosiglitazone
The molecule has a single chiral center and is present as a racemate. Even so, the
enantiomers are functionally indistinguishable because of rapid interconversion.
Rosiglitazone: 5-[4-[2-(N-methyl-N-(2-pyridyl)amino)ethoxy]
benzyl] thiazolidine-2,4-dione.
The major routes of biotransformation are N-demethylation and
hydroxylation of the pyridine ring p
a
a
r to the amino nitrogen,
with CYP2C8.
Pioglitazone: 5-(4-[2-(5-ethylpyridin- 2-
yl)ethoxy]benzyl)thiazolidine-2,4-dione, the
compound is used as the racemic mixture.
This is primarily a result of the in vivo
interconversion of the two enantiomers. Thus,
there are no differences in the pharmacological
activity of the two enantiomers.
Bigunides
Biguanides/ Bisguanidines
Historically, goat's rue (Galega officinalis) had been used in
Europe as a traditional remedy for diabetes. It was
discovered that the active principle in this herb, galegine
(isoamyleneguanidine), apparently also was the toxic
principle in the plant, which caused the deaths of grazing
animals.
In 1918, guanidine itself was found to lower blood glucose levels in animals; however, it was too
toxic for therapeutic use.
In the 1950s, phenformin was found to have antidiabetic properties and was used in the United
States until 1977, when it was removed from the market because of patient deaths associated with
lactic acidosis.
Metformin was introduced in 1995 in the United States after a track record of safe and effective
use for decades overseas, and it is currently in wide use.
Mechanism ofAction
Metformin and the other biguanides are described as insulin sensitizers. Their complete mechanism
of action has not been fully elucidated.
The biguanides act in the liver by decreasing excessive glucose production, most likely via reduced
gluconeogenesis resulting from an increased sensitivity to insulin. They also improve glucose
utilization by restoring tissue sensitivity to insulin. They appear to have their main action in the
liver mitochondria via activation of adenosine 5′-monophosphate–activated protein kinase (AMPK).
Metformin can lower free fatty acid concentrations by 10 to 30%.
This antilipolytic effect may help to explain the reduction in gluconeogenesis through reduced
levels of available substrate.
When given as a monotherapy, metformin treatment does not lead to hypoglycemia, so it is better
described as an antihyperglycemic agent rather than a hypoglycemic agent.
The therapeutic effect of metformin requires the presence of insulin, and metformin does not
stimulate the release of insulin or other factors, such as glucagon. In fact, the secretion of
adiponectin, an insulin-sensitizing hormone, appears to be suppressed by metformin.
TherapeuticApplications
❑ Metformin is widely used as a monotherapy or in combination with a sulfonylurea in type 2
diabetes. For overweight and obese patients, it is the agent of choice. It is effective in patients of
normal weight as well.
❑ Other benefits of metformin therapy are the potential for weight reduction and a 15 to 20%
lowering of plasma triglycerides.
❑ Additional benefits of metformin therapy, particularly for patients with metabolic syndrome, are
increased fibrinolysis and decreased plasminogen activator inhibitor-1 (PAI-1), an
antithrombolytic protein.
❑ One study with overweight patients given metformin versus conventional treatment reported a
statistically significant, 39% reduced risk of myocardial infarction.
Contraindications for metformin include
✓ renal insufficiency,
✓ liver disease,
✓ alcohol abuse,
✓ cardiac insufficiency,
✓ metabolic acidosis or
✓ any hypoxia-related condition.
Metformin is a bisguanidine.
This class of agents is capable of reducing sugar absorption from the gastrointestinal tract. Also,
they can decrease gluconeogenesis while increasing glucose uptake by muscles and fat cells. These
effects, in turn, lead to lower blood glucose levels.
Unlike the sulfonylureas, these are not hypoglycemic agents but rather can act as
antihyperglycemics. This difference in nomenclature is caused by the inability of these agents to
stimulate the release of insulin from the pancreas.
Often, metformin is coadministered with
the nonsulfonylureas to improve the efficacy
of those agents.
α-GLUCOSIDASE
INHIBITORS
➢ α-Amylase and α-glucosidase are key enzymes responsible for the metabolism of carbohydrates.
The salivary and pancreatic α-amylases are responsible for the breakdown of complex
polysaccharides into oligo- and disaccharides, preparing them for intestinal absorption. α-
Glucosidase, which consists of maltase, sucrase, isomaltase and glucoamylase, is a membrane-
bound enzyme present in the brush border of the small intestine in relatively high concentrations
in the proximal part of the jejunum.
➢ This enzyme catalyzes the conversion of the disaccharide sucrose and maltose into glucose. The
resulting monosaccharides are then absorbed by the enterocytes of the jejunum and enter systemic
circulation, as well as various biochemical pathways for the production of energy.
➢ Thus, inhibiting α-glucosidase will delay the process of carbohydrate absorption in the gut by
moving these undigested disaccharides into the distal sections of the small intestine and colon. The
result is the prevention of glucose production, thereby reducing postprandial hyperglycemia.
➢ The α-glucosidase inhibitors were first introduced in 1996 with the drug acarbose. Acarbose is an
oligosaccharide obtained from Actinomyces utahensis and is the drug of choice in this category. It is
a competitive inhibitor with a high affinity for sucrase and a lesser affinity for glucoamylase and
pancreatic a-amylase in humans.
https://pdb101.rcsb.org/global-health/diabetes-mellitus/drugs/alpha-glucosidase-inhibitors/alpha-glucosidase
❖ Naturally occurring oligosaccharide,
which is obtained from the
microorganism actinoplanes utahensis
❖ Act as a competitive inhibitor, which in
turn reduces the intestinal absorption of
starch, dextrin, and dissacharides.
When used in monotherapy, there is no risk of hypoglycemia and weight gain, as seen with the first-
and second-generation sulfonylureas. However, gastrointestinal irritation, bloating, and flatulence
caused by fermentation of undigested sugars in the large bowel by intestinal microflora are some
drawbacks common to all a-glucosidase inhibitors. These side effects can be minimized to a certain
extent by gradual dose titration and the right combination therapy with other orally active
hypoglycemic drugs.
The presence of polyhydroxy groups on these compounds is critical for α -glucosidase inhibition
activity, because most mimic the natural substrates maltose and sucrose.
REFERENCE BOOKS:
1. Foye’s Principles of Medicinal Chemistry, Thomas L. Lemke, David A Williams, Lippincott
Williams & Wilkins.
2. Wilson and Gisvold’s Textbook of Organic Medicinal and Pharmaceutical Chemistry, John M.
Beale, John H. Block, Lippincott Williams & Wilkins.

Antidiabetic.pdf

  • 1.
    Antidiabetic Agents For BPharm (Sem V, PCI)
  • 2.
    CONTENTS: Insulin and itspreparations Sulfonyl ureas: Tolbutamide*, Chlorpropamide, Glipizide, Glimepiride. Biguanides: Metformin. Thiazolidinediones: Pioglitazone, Rosiglitazone. Meglitinides: Repaglinide, Nateglinide. Glucosidase inhibitors: Acrabose, Voglibose.
  • 3.
    Diabetes mellitus isa metabolic disorder characterized by hyperglycemia and associated with impaired fat, carbohydrate, and protein metabolism. The disease is the result of defects in insulin secretion and/or insulin action, which progressively leads to chronic microvascular, macrovascular, and neuropathic complications. was formerly called insulin-dependent diabetes mellitus or juvenile-onset diabetes. It accounts for 5% to 10% of patients with diabetes and is largely recognized as an autoimmune disease whereby the b-cells are destroyed by the body’s own antibodies. Because the pancreas can no longer produce insulin, type 1 diabetics have an absolute requirement for exogenous insulin. Symptoms: polydipsia ( thirst), polyuria (frequent urination), polyphagia (hunger), weight loss, fatigue, and diabetic ketoacidosis. diabetes (formerly called non–insulin dependent diabetes mellitus or adult-onset diabetes) accounts for 90% to 95% of adult cases of diabetes. Type 2 diabetes slowly progresses from a state where the patient develops insulin resistance to a state where the pancreas loses its ability to produce enough insulin to compensate for the insulin resistance of peripheral tissues. ( *Insulin resistance is the state where tissues do not utilize insulin properly). Insulin resistance is associated with a number of physiologic risk factors (hyperinsulinemia, hypertension, dyslipidemia, hypercoagulation, proinflammatory state, and abdominal obesity) most commonly referred to as “the metabolic syndrome.” Types of diabetes
  • 4.
  • 5.
    Insulin plays avital role in a number of biochemical processes, including more than 100 examples of gene regulation. In the liver and muscle tissues, insulin ✓ promotes the storage of excess glucose as glycogen. ✓ suppresses hepatic glucose production and the breakdown of fats into fatty acids and glycerol. ✓ facilitates absorption of amino acids into cells and their conversion into proteins. ✓ converts excess carbohydrates, which cannot be used as glycogen, into fats and then promotes the storage of fat in adipose tissue. When bound to cell sur face receptors, insulin initiates a cascade of events that are integral to the transport of glucose into cells.
  • 6.
    The insulin receptoris a large, transmembrane glycoprotein composed of two α subunits and two β subunits linked by disulfide bonds. The α subunits, which possess the insulin binding domain, are located extracellularly. The β subunits are transmembrane proteins that also possess enzymatic activity. When insulin binds to and activates this receptor, intramolecular autophosphorylation of several β-subunit tyrosine residues occurs. This enhances the receptor 's tyrosine kinase activity, which is responsible for phosphorylating insulin receptor substrates (IRS-1 to IRS-4) . These phosphorylated proteins serve as intracellular signals for processes essential to cell survival and proliferation. This includes translocation of the glucose transporters to the cell surface and synthesis of glycogen, protein, mRNAs, and nuclear DNA
  • 7.
    The insulin analogsavailable for treatment of diabetes are classified according to their rate of onset and duration of action. Structure–activity relationship studies revealed that variations or removal of amino acid residues from the C-terminus of the B chain could influence the rate of dimer formation while not drastically changing the biologic activity. Inhibiting dimer formation can allow for rapid-acting insulin. Thus, the various insulin analogs that have been developed have substitutions in or additions to the C- terminus of the B chain starting at residue B28. The resulting analogs have either a faster onset or a longer duration of action relative to native insulin. These analogs are all produced by recombinant DNA technology using a modified DNAtemplate.
  • 8.
    Lispro ✓ Rapid-acting insulinanalogs include insulin lispro in which the LysB29 is switched with ProB28. ✓ These modifications, as already stated, result in insulin analogs that do not form dimers in solution and that dissociate immediately into monomers, producing a very quick onset of action. ✓ Pharmacodynamically, lispro, bind as well to insulin receptors as human insulin and have a ✓ low mitogenic potency. Mitogenic activity is the ability of insulin to induce cell division and is believed to be associated with insulin’s binding to insulin-like growth factor receptors I and II. ✓ Lispro have an onset of action within 15 minutes, peak activity at 30 to 90 minutes, and duration of action of 3 to 4 hours.
  • 9.
    Glargine ✓ The firstlong-acting insulin analog to be introduced to the market was insulin glargine. This analog results from the replacement of AsnA21 by glycine (Gly) and the addition of two Arg amino acids to the C-terminus of the B chain. ✓ The resulting analog has an isoelectric point close to 7, but is formulated at an acidic pH 4, where it is completely water soluble. After subcutaneous injection of the acidic solution into tissue at physiologic pH (approximately 7.4), the increase in pH to 7.4 causes the analog to precipitate from solution, forming microcrystals of insulin hexamers, which then slowly dissociate into insulin monomers. The slow dissolution of the hexamer to monomeric insulin from the site of injection results in an onset of 1 to 4 hours, a peak between 5 and 24 hours, and a duration of 20 to 24 hours, which represents a fairly constant release of insulin glargine over 24 hours, giving an almost peakless profile.
  • 10.
  • 11.
    Mechanism of Action ✓The mechanism of action of the sulfonylureas is to stimulate the release of insulin from the functioning β-cells of the intact pancreas. ✓ Sulfonylureas acutely lower plasma glucose by stimulating the release of insulin. ✓ The primary mechanism is through binding to sulfonylurea receptors (SUR-1) on functioning pancreatic beta-cells. ✓ Binding closes the linked ATP-sensitive potassium channels, which leads to decreased potassium influx and subsequent depolarization of the beta-cell membrane. ✓ Voltage-dependent calcium channels open and result in an influx of calcium, causing translocation and exocytosis of secretory granules of insulin to the cell surface. ✓ The sulfonylureas may have other actions, such as inhibition of secretion of glucagon and action at post receptor intracellular sites to increase insulin activity. https://www.clinicalcorrelations.org/2007/10/17/clinical-pharmacy-corner-sulfonylureas/
  • 12.
  • 13.
    The sulfonylureas maybe represented by the following general Structure The aliphatic group, R confers lipophilic properties to the molecule. Maximal activity results when R consists of three to six carbon atoms. Aryl groups at R generally give toxic compounds. The R group on the aromatic ring primarily influences the duration of action of the compound. These are urea derivatives with an aryl sulfonyl group in the 1-position and an aliphatic group at the 3-position. In first-generation analogues, the aromatic substituent is a relatively simple atom or group of atoms (e.g., methyl, amino, acetyl, chloro, bromo, methylthio, or trifluoromethyl); however, the second-generation analogues have a larger p-(β- arylcarboxyamidoethyl) group that leads to significantly higher potency Sulfonylureas are weak acids, with pKa values of approximately 5.0 with proton dissociation from the sulfonyl-attached nitrogen of the urea.
  • 14.
    Tolbutamide 1-butyl-3-(p-tolylsulfonyl)urea Chlorpropamide 1-[(p-chlorophenyl)-sulfonyl]-3-propylurea This drug ismore resistant to conversion to inactive metabolites than is tolbutamide and, as a result, has a much longer duration of action. One study showed that about half of the drug is excreted as metabolites, with the principal one being hydroxylated (ω and ω-1) in the 2-position of the propyl side chain.
  • 15.
    Glipizide: 1-cyclohexyl-3-[[p-(2-(5-methylpyrazinecarboxamido) ethyl]phenyl]sulfonyl]ureais a cyclohexylsulfonylurea analog similar to acetohexamide and glyburide, with a pKa of 5.9. Metabolism of glipizide is generally through oxidation of the cyclohexane ring to the p-hydroxy and m-hydroxy metabolites. A minor metabolite that occurs involves the N - acetyl derivative, which results f rom the acetylation of the primary amine following hydrolysis of the amide system by amidase enzymes. 2nd GENERATION
  • 16.
  • 17.
    Glimepiride: 1-[[p-[2-(3-ethyl-4-methyl-2-oxo-3- pyrroline-1-carboxamido)ethyl]phenyl] sulfonyl]- 3-(trans-4-methylcyclohexyl) urea, isvery similar to glipizide with the exception of their heterocyclic rings. Instead of the pyrazine ring found in glipizide, glimepiride contains a pyrrolidine system. It is metabolized primarily through oxidation of the alkyl side chain of the pyrrolidine, with a minor metabolic route involving acetylation of the amine.
  • 19.
  • 20.
    ➢Meglitinide is theprototype structure that defines this class of insulin secretagogues. The metaglinides are nonsulfonylurea oral hypoglycemic agents used in the management of type 2 diabetes (non–insulin-dependent diabetes mellitus, NIDDM). These agents tend to have a rapid onset and a short duration of action. ➢ Much like the sulfonylureas, these induce insulin release from functioning pancreatic cells. The mechanism of action for the metaglinides, however, differs from that of the sulfonylureas. The mechanism of action is through binding to specific receptors in the β- cell membrane, leading to the closure of ATP-dependent K channels. The K channel blockade depolarizes the β-cell membrane, which in turn leads to Ca2 influx, increased intracellular Ca2, and stimulation of insulin secretion.
  • 21.
    ➢ There aretwo major differences between these seemingly similar classes of agents. ➢ The first is that the metaglinides cause much faster insulin production than the sulfonylureas. As a result, the metaglinides should be taken during meals, as the pancreas will produce insulin in a much shorter period. ➢ The second difference is that the effects of the metaglinides do not last as long as the effects of the sulfonylureas. The effects of this class appear to last less than 1 hour, whereas sulfonylureas continue to stimulate insulin production for several hours. ➢ One advantage of a short duration of action is that there is less risk of hypoglycemia.
  • 22.
    Repaglinide: (+)-2-ethoxy-4-[N-[3- methyl-1( S)-[ 2-( 1 piperidinyl) phenyl] butyl]carbamoyl-methyl]benzoic acid represents a new class of nonsulfonylurea oral hypoglycemic agents. With a fast onset and a short duration of action, the medication should be taken with meals. N a t e g l i n i d e : A l t h o u g h n a t e g l i n i d e , N-( 4 isopropylcyclohexanecarbonyl)- D-phenylalanine, belongs to the metaglinides, it is a phenylalanine derivative and represents a novel drug in the management of type 2 diabetes. It is oxidized by CYP 3A4, and the carboxylic acid may be conjugated to inactive compounds. Less than 0.2% is excreted unchanged by the kidney, which may be an advantage for elderly patients who are renally impaired. The most common side effect involves hypoglycemia, resulting in shakiness, headache, cold sweats, anxiety, and changes in mental state.
  • 23.
    Thiazolindiones (TZD) INSULIN SENSITIZERS,PEROXISOME PROLIFERATOR ACTIVATED RECEPTOR [PPAR] AGONISTS, GLITAZONES
  • 24.
    The thiazolindiones representa novel nonsulfonylurea class of hypoglycemic agents for the treatment of NIDDM. Much like the sulfonylureas, the use of these agents requires a functioning pancreas that can successfully secrete insulin from cells. Although insulin may be released in normal levels from the cells, peripheral sensitivity to this hormone may be reduced or lacking. The thiazolidinediones are highly selective agonists for the peroxisome proliferator activated receptor- (PPAR), which is responsible for improving glycemic control, primarily through the improvement of insulin sensitivity in muscles and adipose tissue. In addition, they inhibit hepatic gluconeogenesis. These agents normalize glucose metabolism and reduce the amount of insulin needed to achieve glycemic control. They are only effective in the presence of insulin.
  • 25.
    ➢ Activators ofPPAR-γ in the treatment of insulin resistance and type 2 diabetes mellitus are a much sought after target, because PPARs are central regulators of lipid, carbohydrate, and inflammatory pathways and help maintain homeostasis. ➢ They belong to the nuclear hormone receptor superfamily of ligand activated transcription factors and are closely related to steroid, retinoid, and thyroid hormone receptors. ➢ This receptor family is comprised of three members: PPAR-α, δ and γ. ▪ PPAR- δ is ubiquitously present in tissues of adult mammals, ▪ PPAR-α subtype is abundantly present in tissues catalyzing lipid oxidation, which include the liver, kidney, and heart . ▪ PPAR γ is primarily expressed in adipose tissue, where it helps control its differentiation.
  • 26.
    The thiazolidinediones (TZDs)are classic examples of PPAR- γ agonists and are commonly referred to as the “glitazones.” These agents were developed when clofibric acid analogs were being screened for antihyperglycemic and lipid-lowering activity. Although initially the mechanism of action of the TZDs was unclear, it was soon discovered that they enhanced adipocyte differentiation by activation of the nuclear hormone receptor superfamily, PPAR . A ligand, which can be endogenous, upon binding to PPAR, induces a conformational change in the receptor, thus stabilizing the interaction with the retinoid X receptor and, in turn, resulting in the stimulation of transcription of target genes. The endogenous ligands for PPAR- γ have not been identified; however, studies suggest that certain arachidonic acid metabolites and long-chain unsaturated fatty acids such as linoleic acid are the intrinsic agonists. PPAR-γ agonists, such as the glitazones, act by increasing the sensitivity of cells to insulin. The glitazones also decrease both systemic fatty acid production and fatty acid uptake, which contribute to increased sensitization of cells to insulin. Patients with type 2 diabetes are known to have high triglyceride and low high-density lipoprotein levels. The glitazones increase the lipolysis of triglycerides in very low–density lipoproteins and, as a result, increase high-density lipoprotein levels. However, during the lipolysis of very low–density lipoproteins, the production of low-density lipoproteins could be a major drawback to the use of these drugs.
  • 27.
    PPAR-γ activation improvesglucose uptake by skeletal muscle and, at the same time, reduces glucose production by slowing down gluconeogenesis. Hence, these drugs improve metabolism of glucose in not only diabetic patients, but also in obese individuals who have impaired glucose tolerance. The pharmacophore responsible for activity is the thiazolidinedione moiety. A phenyl ring attached to the central nucleus via a methylene group is essential for activity, and in many instances, a saturated linker is found to be more potent than the unsaturated counterpart. The first generation of TZDs includes pioglitazone, rosiglitazone, and ciglitazone. The rationale used for the development of these agents was the fact that the structure of troglitazone (the first drug in this class to be marketed) includes the structure of α-tocopherol, an antioxidant, which retards the oxidation of low-density lipoproteins. However, due to severe drug-induced hepatotoxicity and cardiovascular effects, troglitazone and rosiglitazone have been withdrawn, leaving pioglitazone as the only clinically used drug in the TZD family.
  • 28.
    Recently, dual PPAR-α/γagonists have become much sought after targets, and many research groups are actively involved in synthesizing such bioactive compounds as novel antidiabetic agents. Combined activation of PPAR-α and PPAR-γ is believed to induce complementary and synergistic action on lipid metabolism, insulin sensitivity, and inflammation control, possibly circumventing or reducing the side effects of PPAR-γ. Rosiglitazone The molecule has a single chiral center and is present as a racemate. Even so, the enantiomers are functionally indistinguishable because of rapid interconversion.
  • 29.
    Rosiglitazone: 5-[4-[2-(N-methyl-N-(2-pyridyl)amino)ethoxy] benzyl] thiazolidine-2,4-dione. Themajor routes of biotransformation are N-demethylation and hydroxylation of the pyridine ring p a a r to the amino nitrogen, with CYP2C8.
  • 30.
    Pioglitazone: 5-(4-[2-(5-ethylpyridin- 2- yl)ethoxy]benzyl)thiazolidine-2,4-dione,the compound is used as the racemic mixture. This is primarily a result of the in vivo interconversion of the two enantiomers. Thus, there are no differences in the pharmacological activity of the two enantiomers.
  • 32.
  • 33.
    Biguanides/ Bisguanidines Historically, goat'srue (Galega officinalis) had been used in Europe as a traditional remedy for diabetes. It was discovered that the active principle in this herb, galegine (isoamyleneguanidine), apparently also was the toxic principle in the plant, which caused the deaths of grazing animals. In 1918, guanidine itself was found to lower blood glucose levels in animals; however, it was too toxic for therapeutic use. In the 1950s, phenformin was found to have antidiabetic properties and was used in the United States until 1977, when it was removed from the market because of patient deaths associated with lactic acidosis. Metformin was introduced in 1995 in the United States after a track record of safe and effective use for decades overseas, and it is currently in wide use.
  • 34.
    Mechanism ofAction Metformin andthe other biguanides are described as insulin sensitizers. Their complete mechanism of action has not been fully elucidated. The biguanides act in the liver by decreasing excessive glucose production, most likely via reduced gluconeogenesis resulting from an increased sensitivity to insulin. They also improve glucose utilization by restoring tissue sensitivity to insulin. They appear to have their main action in the liver mitochondria via activation of adenosine 5′-monophosphate–activated protein kinase (AMPK). Metformin can lower free fatty acid concentrations by 10 to 30%. This antilipolytic effect may help to explain the reduction in gluconeogenesis through reduced levels of available substrate. When given as a monotherapy, metformin treatment does not lead to hypoglycemia, so it is better described as an antihyperglycemic agent rather than a hypoglycemic agent. The therapeutic effect of metformin requires the presence of insulin, and metformin does not stimulate the release of insulin or other factors, such as glucagon. In fact, the secretion of adiponectin, an insulin-sensitizing hormone, appears to be suppressed by metformin.
  • 35.
    TherapeuticApplications ❑ Metformin iswidely used as a monotherapy or in combination with a sulfonylurea in type 2 diabetes. For overweight and obese patients, it is the agent of choice. It is effective in patients of normal weight as well. ❑ Other benefits of metformin therapy are the potential for weight reduction and a 15 to 20% lowering of plasma triglycerides. ❑ Additional benefits of metformin therapy, particularly for patients with metabolic syndrome, are increased fibrinolysis and decreased plasminogen activator inhibitor-1 (PAI-1), an antithrombolytic protein. ❑ One study with overweight patients given metformin versus conventional treatment reported a statistically significant, 39% reduced risk of myocardial infarction. Contraindications for metformin include ✓ renal insufficiency, ✓ liver disease, ✓ alcohol abuse, ✓ cardiac insufficiency, ✓ metabolic acidosis or ✓ any hypoxia-related condition.
  • 36.
    Metformin is abisguanidine. This class of agents is capable of reducing sugar absorption from the gastrointestinal tract. Also, they can decrease gluconeogenesis while increasing glucose uptake by muscles and fat cells. These effects, in turn, lead to lower blood glucose levels. Unlike the sulfonylureas, these are not hypoglycemic agents but rather can act as antihyperglycemics. This difference in nomenclature is caused by the inability of these agents to stimulate the release of insulin from the pancreas. Often, metformin is coadministered with the nonsulfonylureas to improve the efficacy of those agents.
  • 37.
  • 38.
    ➢ α-Amylase andα-glucosidase are key enzymes responsible for the metabolism of carbohydrates. The salivary and pancreatic α-amylases are responsible for the breakdown of complex polysaccharides into oligo- and disaccharides, preparing them for intestinal absorption. α- Glucosidase, which consists of maltase, sucrase, isomaltase and glucoamylase, is a membrane- bound enzyme present in the brush border of the small intestine in relatively high concentrations in the proximal part of the jejunum. ➢ This enzyme catalyzes the conversion of the disaccharide sucrose and maltose into glucose. The resulting monosaccharides are then absorbed by the enterocytes of the jejunum and enter systemic circulation, as well as various biochemical pathways for the production of energy. ➢ Thus, inhibiting α-glucosidase will delay the process of carbohydrate absorption in the gut by moving these undigested disaccharides into the distal sections of the small intestine and colon. The result is the prevention of glucose production, thereby reducing postprandial hyperglycemia. ➢ The α-glucosidase inhibitors were first introduced in 1996 with the drug acarbose. Acarbose is an oligosaccharide obtained from Actinomyces utahensis and is the drug of choice in this category. It is a competitive inhibitor with a high affinity for sucrase and a lesser affinity for glucoamylase and pancreatic a-amylase in humans.
  • 39.
  • 40.
    ❖ Naturally occurringoligosaccharide, which is obtained from the microorganism actinoplanes utahensis ❖ Act as a competitive inhibitor, which in turn reduces the intestinal absorption of starch, dextrin, and dissacharides.
  • 41.
    When used inmonotherapy, there is no risk of hypoglycemia and weight gain, as seen with the first- and second-generation sulfonylureas. However, gastrointestinal irritation, bloating, and flatulence caused by fermentation of undigested sugars in the large bowel by intestinal microflora are some drawbacks common to all a-glucosidase inhibitors. These side effects can be minimized to a certain extent by gradual dose titration and the right combination therapy with other orally active hypoglycemic drugs. The presence of polyhydroxy groups on these compounds is critical for α -glucosidase inhibition activity, because most mimic the natural substrates maltose and sucrose.
  • 42.
    REFERENCE BOOKS: 1. Foye’sPrinciples of Medicinal Chemistry, Thomas L. Lemke, David A Williams, Lippincott Williams & Wilkins. 2. Wilson and Gisvold’s Textbook of Organic Medicinal and Pharmaceutical Chemistry, John M. Beale, John H. Block, Lippincott Williams & Wilkins.