ANTIANGINAL DRUGS
Prepared and presented
By
S.D.Shanmugakumar., M.Pharm., Ph.D, F.ASHP
Associate Professor & Principal
Jyothishmathi Institute of Pharmaceutical Sciences
Thimmapur, Karimnagar – 505527,
Telangana State
ANTIANGINAL DRUGS
1. Drugs acting on cardiovascular system :
2. Cardiotonic drugs 2. Antihypertensive drugs 3. Anti arrhythmic drugs 4. Anti anginal drugs
Anti angina drugs : These are the drugs used in the treatment of angina pectoris. Angina – severe chest pain
due to ischemia – Lack of oxygen supply in the blood especially on the coronary arteries.
Coronary arteries :The coronary arteries are major blood vessels in your body, supplying blood to your heart.
They make it possible for your heart to beat and pump blood throughout your body. You have a right coronary
artery (RCA) and a left main coronary artery (LMCA).
The right and left coronary arteries, and their two branches, the circumflex artery and the left anterior
descending artery.
Overweight, physical inactivity, unhealthy eating, and
smoking tobacco are risk factors for CAD. A family history of
heart disease also increases your risk for CAD, especially a
family history of having heart disease at an early age are the
causes for Coronary artery disease.
Angina Pectoris
Angina (an-JIE-nuh or AN-juh-nuh) is a type of chest pain caused by reduced blood flow to the heart. Angina is a
symptom of coronary artery disease. Angina is also called angina pectoris. Angina pain is often described as squeezing,
pressure, heaviness, tightness or pain in the chest.
It may feel like a heavy weight lying on the chest. Angina may be a new pain that needs to
be checked by a health care provider, or recurring pain that goes away with treatment.
There are different types of angina. The type depends on the cause and whether rest or medication relieve
symptoms.
•Stable angina. Stable angina is the most common form of angina. It usually happens during activity (exertion)
and goes away with rest or angina medication. For example, pain that comes on when you're walking uphill or
in the cold weather may be angina.
•Stable angina pain is predictable and usually similar to previous episodes of chest pain. The chest pain
typically lasts a short time, perhaps five minutes or less.
 Unstable angina (a medical emergency). Unstable angina is unpredictable and occurs at rest. Or the angina pain is
worsening and occurs with less physical effort. It's typically severe and lasts longer than stable angina, maybe 20
minutes or longer. The pain doesn't go away with rest or the usual angina medications. If the blood flow doesn't
improve, the heart is starved of oxygen and a heart attack occurs. Unstable angina is dangerous and requires
emergency treatment.
 Variant angina (Prinzmetal angina). Variant angina, also called Prinzmetal angina, isn't due to coronary artery
disease. It's caused by a spasm in the heart's arteries that temporarily reduces blood flow. Severe chest pain is the
main symptom of variant angina. It most often occurs in cycles, typically at rest and overnight. The pain may be
relieved by angina medication. Refractory angina. Angina episodes are frequent despite a combination of
medications and lifestyle changes.
Symptoms : Chest discomfort : Burning : Fullness : Pressure : Squeezing.
Pain may also be felt in the arms, neck, jaw, shoulder or back.
Other symptoms of angina include:
•Dizziness
•Fatigue
•Nausea
•Shortness of breath
•Sweating
Classification of drugs used
in angina pectoris
Purpose : Therapy of angina is directed mainly toward alleviating and preventing angina attacks by altering the
oxygen supply/ oxygen demand ration to the cardiac muscle or dilating the coronary arteries.
Vasodilators
Nitrates : A nitro vasodilator is a pharmaceutical agent that causes vasodilation ( Widening of blood vessels) by
donation of nitric oxide (NO) and is mostly used for the treatment and prevention of angina pectoris.
MOA : With in the body, organic nitrates are chemically reduced to release NO, NO is an endogenous signaling
molecule that causes vascular smooth muscle relaxation. The various organic nitrates give rise to NO by different
chemical and biochemical mehanisms.
SAR :
1. In a cell free system, the potency of organic nitrate
for guanylatecyclase activation is mainly determined by
the number of nitrate groups.
2. Since nitrate induced activation of guanylatecyclase
involve the formation of nitric oxide free radicals,
potency there fore increases as nitric group increases in
the group.
3. Increase in lipophilicity due to esterification of the
free OH group in isosorbide mononitrate had no major
influence on guanylatecyclase activation.
Amyl Nitrate
MOA : Amylnitrite’s antianginal action is thought to be the result of a
reduction in systemic and pulmonary arterial pressure and decreased
cardiac output because of peripheral vasodilation instead of coronary
vasodilation.
SAR : The small lipophilic ester character makes them
Volatile, Volatility is an important concern in drug
formulation because of the potential loss of the active
principle from the dosage form.
Metabolism : The drug is metabolized rapidly, probably by
hydrolytic denitration, 1/3rd of the amylnitrate excereted in
the urine.
Uses : To treat heart disease as well as angina.
Adv.Reactions : Head ache, giddiness, postural hypotension,
flushing, dizziness
Nitroglycerin
MOA : Nitroglycerin is converted to nitric oxide ( NO) an active
intermediate compound which activates the enzyme guanylate
cyclase. This stimulates the synthesis of cyclic guanosine 3’5’
monophosphate (cGMP) which then activates a series of protein-
kinase dependent phosphorylation in the smooth muscle cells
resulting in the dephosphorylation of the myosin light chain of the
smooth muscle fiber. The subsequent release of calcium ions
results in the relaxation of the smooth muscles cells and
vasodilation.
Metabolism : Hepatic, cytochrome P450 is a key enzyme of organic nitrate biotransformation.
Uses : Nitroglycerin extended relase capsules are used to prevent chest pain in people with a certain heart
condition.
Adverse effects : Headache, dizziness, lightheadness, nausea and flushing.
SYNTHESIS OF NITROGLYCERIN
Pentaerythritol tetranitrate
2,2 –Bis (nitrooxy) methyl) propane -1,3 –diyl dinitrate
MOA : Pentaerythritoltetranitrate is the lipid soluble polyol ester of nitric aid
belonging to the family of nitro-vasodilators. Pentaerythritol tetranitrate
releases free nitric oxide (NO) after the denitration reaction, which triggers
NO- dependent signaling transduction involving soluble guanylate acylase
(sGC). This enzyme activation results in increased cellular concentration of
cyclic guanosine monophosphate within the vascular smooth muscle,
resulting in vasodilation mediated by cGMP-dependent protein kinases.
Metabolism : Extensively metabolized in the liver.
Therapeutic uses: PETN is also used medically as a vasodilator in the treatment of heart conditions.
Adverse reactions : postural hypotension can also occur.
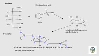
Isosorbide dinitrate
1,4,3,6-dianhydro-2,5-di-O-nitro-D-glucitol
MOA: It relaxes the vascular smooth muscle and consequent dilatation of peripheral
arteries and veins, especially the latter. Dilatation of the veins promotes peripheral
pooling of blood and decreases venous return to the heart, thereby reducing left
ventricular end – diastolic pressure and pulmonary capillary wedge pressure.
Arteriolar relaxation reduces systemic vascular resistance, systolic arterial pressure
and means arterial pressure.
Metabolism: Absorption of isosorbide dinitrate after oral dosing is nearly
complete, but bioavailability is highly variable (10% to 90%) with extensive first-
pass metabolism in the liver.
Therapeutic uses: ISDN is a medication used for heart failure, esophageal spasms
Adv.Reactions: Headache, light headedness, blurred vision.
Synthesis
OH
OH
H
H
O
H
OH
H
OH
H
OH
+
S
O
O
OH
CH3
O
O
OH
O
H H
H
Nitric acid /Sulphuric
acid mixture
O
O
OH
O
H H
H
7
6
O
5
8
4
O
1 2
3
O
9
H
8a
H
4a
O
12
N
13
O
14
O
16
N
10
O
11
O
15
Isosorbide dinitrite
(3S,3aS,6aS)-hexahydrofuro[3,2-b]furan-3,6-diyl dinitrate
D- Sorbitol
P-Tolyl sulphonic acid
Dipyridamole
2,2',2'',2'''-(4,8-di(piperidin-1-yl)pyrimido[5,4-d]pyrimidine-
2,6-diyl)bis(azanetriyl)tetraethanol
MOA : Dipyridamole has two known effects, acting via different
mechanisms of action:
1. Dipyridamole inhibits the phosphodiesterase enzymes that
normally break down cAMP.
2. Dipyridamole inhibits the cellular reuptake of adenosine into
playelets, redblood cells and endothelial cells leading to increased
extracellular concentrations of adenosine.
Metabolism : It is used in the liver mainly excereted as glucoronoids in
bile
Uses : Dipyridamole likely inhibits both adenosine deaminase and phosphodiesterase, preventing the degradation
of cAMP, an inhibitor of platelet function.
Adv.Reactions : Dizziness, stomah upset, diarrhea, vomiting, headache.
Calcium channel Blockers
Calcium channel blockers (CCBs) are medicines that are often used to treat high blood pressure. These are an important
class of cardiovascular drugs which acted by inhibiting 1. Type voltage sensitive calcium channel in smooth muscle and
heart.
There are five Pharmacologically distinct subclasses of calcium channel blockers.
MOA : Calcium channel blockers are medications used to lower blood pressure. They work by preventing calcium from
entering the cells of the heart and arteries. Calcium causes the heart and arteries to squeeze (contract) more strongly. By
blocking calcium, calcium channel blockers allow blood vessels to relax and open.
Several types of calcium channels occur, with a number of
classes of blockers exclusively block the L-type voltage – gated
calcium channel.
Chemical Classification of calcium
channel blockers
Class –I : Phenylalkyl amines
19
N
20
5
6
4
1
3
2
O
7
CH3
8
O
9
C
H3
10
11
14
15
16
N
17
CH3
18
22
23
26
27
25
28
24
29
O
30
O
32
CH3
31
CH3
33
12
CH3
13
C
H3
21
2-(3,4 -Dimethoxyphenyl)-5-(2-(3,4 -Dimethoxy phenyl) ethyl) - (methyl)
amino)-2 -prop-2-yl) pentanitrile.
Verapamil
MOA: Verapamil inhibits voltage –
dependent calcium channels. Its effect
on L- type calcium channels in the heart
causes a reduction in ionotropy and
chronotropy, thus reducing the heart
rate and blood pressure.
SAR : 1. It is a chiral compound ( +) isomer is more potent that the (-) isomer as a calcium channel blocker.
2. Removal of orthomethoxy group gives inactive species.
3. Benzene ring, tertiary amino nitrogen is essential for the prevention of chest pain.
It is metabolized in to 12 inactive
metabolites. The most important
metabolites are :
D-703 ; norverapamil -6%: D-620:
D-617.
Uses : Verapamil is also used to
prevent chest pain.
Adv.effects : Constipation – 7.3%
; Dizziness – 3.3% ; Nausea –
2.7%, low blood pressure -2.5% :
headache -2.2%
Bepridil Hydrochloride
C
H3
10
9
8
CH3
22
7
O
+
6
11
12
13
N
14
15
19
18
20
17
21
16
25
26
24
27
23
28
3
2
4
N
1
5
N-Benzyl-N- (3-(2-methylpropoxy)-2-(pyrrolidin-1-yl) propyl) aniline hydrate
hydrochloride
MOA: It is a long –acting calcium –
blocking agent with significant anti-
angina activity. The drug produces a
significant coronary vasodilation and
modest peripheral.
Metabolism : It is rapidly and
absorbed after oral
administration. D-07520 – 70%
metabolite, remaining 30% of the
drug is excereted in the urine as
unmetabolized.
C
H3
10
9
8
CH3
22
7
O
+
6
11
12
13
N
14
15
19
18
20
17
21
16
25
26
24
27
23
28
3
2
4
N
1
5
N-Benzyl-N- (3-(2-methylpropoxy)-2-(pyrrolidin-1-yl) propyl) aniline hydrate
hydrochloride
Uses : Treatment of hypertension, atrial
fibrillation .
Adv.effects : Gastrointestinal disorders.
Benzothiazepines :Dilitazem hydrochloride
7
6
8
11
9
10
S
1
N
5
2
3
4
15
14
16
13
17
12
O
26
CH3
27
O
21
O
18
19
CH3
28
O
20
22
23
N
24
CH3
25
C
H3
29
cis (+) - (2 (2 -dimethylaminoethyl) -5-(4-methoxyphenyl)-3-oxo-6-thia-2-azabicylo
(5.4.0) undeca -7,9,11 -trien -4-yl) ethanoate
MOA: It relaxes the smooth muscles in the walls of the
artheries, which opens the arteries, allows blood to flow
more easily and lowers blood pressure.It lowers blood
pressure by acting on the heart rate to reduce the rate,
strength and conduction speed of each beat.
SAR : Tertiary basic nitrogen is essential for activity, N-
Demethyl derivative.
Metabolism : Dilitazem is metabolized by and acts as an
inhibitor of the CYP3A4 enzyme. – diacetyl diltazem ; N-
methyl diltiazem : O-Methyl diltiazem.
Uses : Treatment of hypertension, angina pectoris and
some types of arrhythymia.
Therapeutic uses :
Hypertenison : angina pectoris
: some types arrhythmia.
Adverse reactions : Dizziness,
lightheadness, weakness,
nausea, flushing, constipation
and head ache.
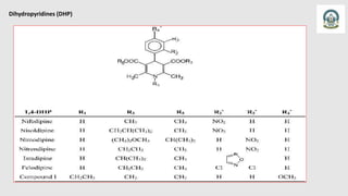
Dihydropyridines (DHP)
•1, 4-Dihydro pyridine ring is essential for activity. Substitution at
N or oxidation or reduction of the ring reduces or abolishes the
activity.
•A phenyl substitution at the 4th position is optimum for the
activity. Substitution at para or unsubstituted phenyl ring reduces
the activity.
• The 3rd and 5th position ester group optimizes activity. Placement
of electron withdrawing substitution results in agonistic activity.
•When the ester at C3 and C5 are nonidentical, the C4 become chiral
and stereo selectivity is observed. S-enantiomers found to be more
effective.
Nifedipine
dimethyl 2,6-dimethyl-4-(2-nitrophenyl)-1,4-dihydropyridine-
3,5-dicarboxylate
MOA : Nifedipine is a calcium channel blocker. It is a L-Type
calcium channel.
Metabolism : It is metabolized by cytochrome P450, it forms
M-III.
Uses : To mange angina, blood pressure, Raynaud’s
phenomenon and premature labor.
Adv.effects : Lightheadness, headache, feeling tired, leg
swelling, cough and shortness of breath.
Amlodipine
C20H25ClN2O5
Amlodipine is a synthetic dihydropyridine and a calcium channel blocker
with antihypertensive and antianginal properties. Amlodipine inhibits the
influx of extracellular calcium ions into myocardial and peripheral vascular
smooth muscle cells, thereby preventing vascular and myocardial
contraction. This results in a dilatation of the main coronary and systemic
arteries, decreased myocardial contractility, increased blood flow
and oxygen delivery to the myocardial tissue, and decreased total peripheral
resistance. This agent may also modulate multi-drug resistance (MDR)
activity through inhibition of the p-glycoprotein efflux pump.
3-O-ethyl 5-O-methyl 2-(2-aminoethoxymethyl)-4-(2-
chlorophenyl)-6-methyl-1,4-dihydropyridine-3,5-dicarboxylate
Metabolism : 90% of the drug is metabolized by amino delakylation and addition of hydroxyl group. Via –Cytochrome
P450 3A4 isoenzyme.
Therapeutic uses : It is used in the management of hypertension and coronary artery disease. ( Stable angina &
Vasospasti angina).
Adv.Reactions : Vasodilatory effects, pheripheral edema, dizziness and palpitations.
Felodipine Felodipine is a dihydropyridine calcium channel blocking agent. Felodipine
inhibits the influx of extracellular calcium ions into myocardial and vascular
smooth muscle cells, causing dilatation of the main coronary and systemic
arteries and decreasing myocardial contractility. This agent also inhibits the
drug efflux pump P-glycoprotein which is overexpressed in some multi-
drug resistant tumors and may improve the efficacy of some antineoplastic
agents. Felodipine is the mixed (methyl, ethyl) diester of 4-(2,3-
dichlorophenyl)-2,6-dimethyl-1,4-dihydropyridine-3,5-dicarboxylic acid.
A calcium-channel blocker, it lowers blood pressure by reducing peripheral
vascular resistance through a highly selective action on smooth muscle in
arteriolar resistance vessels. It is used in the management of hypertension
and angina pectoris. It has a role as a calcium channel blocker, an
antihypertensive agent, a vasodilator agent and an anti-arrhythmia drug. It
is a dihydropyridine, a dichlorobenzene, an ethyl ester and a methyl ester
MOA : Felodipine is an calcium channel blocker. It act as an antagonist of
the mineralocorticoid receptor.
Nicardipine
2-[benzyl(methyl)amino]ethylmethyl-2,6-dimethyl-4-(3-
nitrophenyl)-1,4-dihydropyridine-3,5-dicarboxylate
MOA: It has similar activities like niedipine and amlodipine.
Nicardipine is more selective for cereberal and coronary blood
vessels.
Metabolism : Nicardipine is metabolized extensively by liver.
Therapeutic uses : High blood pressure, to prevent strokes, heart
attacks and kidney problems.
Adv.effects : Dizziness, Lightheadedness, headache, flushing,
swelling of ankles & feets.
Nimodipine
3-(2-Methoxyethyl) 5-propan-2-yl 2,6-dimethyl-4-(3-nitrophenyl)-1,4-
dihydropyridine-3,5-dicarboxylate
MOA: Nimodipine bind specifically L-Type voltage –gated calcium
channels.
Metabolism : It is metabolized in the first pass metabolism – Via CYP 3A.
Uses: Cereberal vasospasm and ischemia
Adv.effects : Itching, gastro intestinal hemorrhage, neurological
deterioration, deep vein thromobosis.

ANTIANGINAL DRUGS.ppt

  • 1.
    ANTIANGINAL DRUGS Prepared andpresented By S.D.Shanmugakumar., M.Pharm., Ph.D, F.ASHP Associate Professor & Principal Jyothishmathi Institute of Pharmaceutical Sciences Thimmapur, Karimnagar – 505527, Telangana State
  • 2.
    ANTIANGINAL DRUGS 1. Drugsacting on cardiovascular system : 2. Cardiotonic drugs 2. Antihypertensive drugs 3. Anti arrhythmic drugs 4. Anti anginal drugs Anti angina drugs : These are the drugs used in the treatment of angina pectoris. Angina – severe chest pain due to ischemia – Lack of oxygen supply in the blood especially on the coronary arteries. Coronary arteries :The coronary arteries are major blood vessels in your body, supplying blood to your heart. They make it possible for your heart to beat and pump blood throughout your body. You have a right coronary artery (RCA) and a left main coronary artery (LMCA). The right and left coronary arteries, and their two branches, the circumflex artery and the left anterior descending artery. Overweight, physical inactivity, unhealthy eating, and smoking tobacco are risk factors for CAD. A family history of heart disease also increases your risk for CAD, especially a family history of having heart disease at an early age are the causes for Coronary artery disease.
  • 3.
    Angina Pectoris Angina (an-JIE-nuhor AN-juh-nuh) is a type of chest pain caused by reduced blood flow to the heart. Angina is a symptom of coronary artery disease. Angina is also called angina pectoris. Angina pain is often described as squeezing, pressure, heaviness, tightness or pain in the chest. It may feel like a heavy weight lying on the chest. Angina may be a new pain that needs to be checked by a health care provider, or recurring pain that goes away with treatment. There are different types of angina. The type depends on the cause and whether rest or medication relieve symptoms. •Stable angina. Stable angina is the most common form of angina. It usually happens during activity (exertion) and goes away with rest or angina medication. For example, pain that comes on when you're walking uphill or in the cold weather may be angina. •Stable angina pain is predictable and usually similar to previous episodes of chest pain. The chest pain typically lasts a short time, perhaps five minutes or less.
  • 4.
     Unstable angina(a medical emergency). Unstable angina is unpredictable and occurs at rest. Or the angina pain is worsening and occurs with less physical effort. It's typically severe and lasts longer than stable angina, maybe 20 minutes or longer. The pain doesn't go away with rest or the usual angina medications. If the blood flow doesn't improve, the heart is starved of oxygen and a heart attack occurs. Unstable angina is dangerous and requires emergency treatment.  Variant angina (Prinzmetal angina). Variant angina, also called Prinzmetal angina, isn't due to coronary artery disease. It's caused by a spasm in the heart's arteries that temporarily reduces blood flow. Severe chest pain is the main symptom of variant angina. It most often occurs in cycles, typically at rest and overnight. The pain may be relieved by angina medication. Refractory angina. Angina episodes are frequent despite a combination of medications and lifestyle changes. Symptoms : Chest discomfort : Burning : Fullness : Pressure : Squeezing. Pain may also be felt in the arms, neck, jaw, shoulder or back. Other symptoms of angina include: •Dizziness •Fatigue •Nausea •Shortness of breath •Sweating
  • 6.
    Classification of drugsused in angina pectoris Purpose : Therapy of angina is directed mainly toward alleviating and preventing angina attacks by altering the oxygen supply/ oxygen demand ration to the cardiac muscle or dilating the coronary arteries.
  • 7.
    Vasodilators Nitrates : Anitro vasodilator is a pharmaceutical agent that causes vasodilation ( Widening of blood vessels) by donation of nitric oxide (NO) and is mostly used for the treatment and prevention of angina pectoris. MOA : With in the body, organic nitrates are chemically reduced to release NO, NO is an endogenous signaling molecule that causes vascular smooth muscle relaxation. The various organic nitrates give rise to NO by different chemical and biochemical mehanisms. SAR : 1. In a cell free system, the potency of organic nitrate for guanylatecyclase activation is mainly determined by the number of nitrate groups. 2. Since nitrate induced activation of guanylatecyclase involve the formation of nitric oxide free radicals, potency there fore increases as nitric group increases in the group. 3. Increase in lipophilicity due to esterification of the free OH group in isosorbide mononitrate had no major influence on guanylatecyclase activation.
  • 8.
    Amyl Nitrate MOA :Amylnitrite’s antianginal action is thought to be the result of a reduction in systemic and pulmonary arterial pressure and decreased cardiac output because of peripheral vasodilation instead of coronary vasodilation. SAR : The small lipophilic ester character makes them Volatile, Volatility is an important concern in drug formulation because of the potential loss of the active principle from the dosage form. Metabolism : The drug is metabolized rapidly, probably by hydrolytic denitration, 1/3rd of the amylnitrate excereted in the urine. Uses : To treat heart disease as well as angina. Adv.Reactions : Head ache, giddiness, postural hypotension, flushing, dizziness
  • 9.
    Nitroglycerin MOA : Nitroglycerinis converted to nitric oxide ( NO) an active intermediate compound which activates the enzyme guanylate cyclase. This stimulates the synthesis of cyclic guanosine 3’5’ monophosphate (cGMP) which then activates a series of protein- kinase dependent phosphorylation in the smooth muscle cells resulting in the dephosphorylation of the myosin light chain of the smooth muscle fiber. The subsequent release of calcium ions results in the relaxation of the smooth muscles cells and vasodilation. Metabolism : Hepatic, cytochrome P450 is a key enzyme of organic nitrate biotransformation. Uses : Nitroglycerin extended relase capsules are used to prevent chest pain in people with a certain heart condition. Adverse effects : Headache, dizziness, lightheadness, nausea and flushing.
  • 10.
  • 11.
    Pentaerythritol tetranitrate 2,2 –Bis(nitrooxy) methyl) propane -1,3 –diyl dinitrate MOA : Pentaerythritoltetranitrate is the lipid soluble polyol ester of nitric aid belonging to the family of nitro-vasodilators. Pentaerythritol tetranitrate releases free nitric oxide (NO) after the denitration reaction, which triggers NO- dependent signaling transduction involving soluble guanylate acylase (sGC). This enzyme activation results in increased cellular concentration of cyclic guanosine monophosphate within the vascular smooth muscle, resulting in vasodilation mediated by cGMP-dependent protein kinases. Metabolism : Extensively metabolized in the liver. Therapeutic uses: PETN is also used medically as a vasodilator in the treatment of heart conditions. Adverse reactions : postural hypotension can also occur.
  • 12.
    Isosorbide dinitrate 1,4,3,6-dianhydro-2,5-di-O-nitro-D-glucitol MOA: Itrelaxes the vascular smooth muscle and consequent dilatation of peripheral arteries and veins, especially the latter. Dilatation of the veins promotes peripheral pooling of blood and decreases venous return to the heart, thereby reducing left ventricular end – diastolic pressure and pulmonary capillary wedge pressure. Arteriolar relaxation reduces systemic vascular resistance, systolic arterial pressure and means arterial pressure. Metabolism: Absorption of isosorbide dinitrate after oral dosing is nearly complete, but bioavailability is highly variable (10% to 90%) with extensive first- pass metabolism in the liver. Therapeutic uses: ISDN is a medication used for heart failure, esophageal spasms Adv.Reactions: Headache, light headedness, blurred vision.
  • 13.
    Synthesis OH OH H H O H OH H OH H OH + S O O OH CH3 O O OH O H H H Nitric acid/Sulphuric acid mixture O O OH O H H H 7 6 O 5 8 4 O 1 2 3 O 9 H 8a H 4a O 12 N 13 O 14 O 16 N 10 O 11 O 15 Isosorbide dinitrite (3S,3aS,6aS)-hexahydrofuro[3,2-b]furan-3,6-diyl dinitrate D- Sorbitol P-Tolyl sulphonic acid
  • 14.
    Dipyridamole 2,2',2'',2'''-(4,8-di(piperidin-1-yl)pyrimido[5,4-d]pyrimidine- 2,6-diyl)bis(azanetriyl)tetraethanol MOA : Dipyridamolehas two known effects, acting via different mechanisms of action: 1. Dipyridamole inhibits the phosphodiesterase enzymes that normally break down cAMP. 2. Dipyridamole inhibits the cellular reuptake of adenosine into playelets, redblood cells and endothelial cells leading to increased extracellular concentrations of adenosine. Metabolism : It is used in the liver mainly excereted as glucoronoids in bile Uses : Dipyridamole likely inhibits both adenosine deaminase and phosphodiesterase, preventing the degradation of cAMP, an inhibitor of platelet function. Adv.Reactions : Dizziness, stomah upset, diarrhea, vomiting, headache.
  • 15.
    Calcium channel Blockers Calciumchannel blockers (CCBs) are medicines that are often used to treat high blood pressure. These are an important class of cardiovascular drugs which acted by inhibiting 1. Type voltage sensitive calcium channel in smooth muscle and heart. There are five Pharmacologically distinct subclasses of calcium channel blockers. MOA : Calcium channel blockers are medications used to lower blood pressure. They work by preventing calcium from entering the cells of the heart and arteries. Calcium causes the heart and arteries to squeeze (contract) more strongly. By blocking calcium, calcium channel blockers allow blood vessels to relax and open. Several types of calcium channels occur, with a number of classes of blockers exclusively block the L-type voltage – gated calcium channel.
  • 16.
    Chemical Classification ofcalcium channel blockers
  • 17.
    Class –I :Phenylalkyl amines 19 N 20 5 6 4 1 3 2 O 7 CH3 8 O 9 C H3 10 11 14 15 16 N 17 CH3 18 22 23 26 27 25 28 24 29 O 30 O 32 CH3 31 CH3 33 12 CH3 13 C H3 21 2-(3,4 -Dimethoxyphenyl)-5-(2-(3,4 -Dimethoxy phenyl) ethyl) - (methyl) amino)-2 -prop-2-yl) pentanitrile. Verapamil MOA: Verapamil inhibits voltage – dependent calcium channels. Its effect on L- type calcium channels in the heart causes a reduction in ionotropy and chronotropy, thus reducing the heart rate and blood pressure. SAR : 1. It is a chiral compound ( +) isomer is more potent that the (-) isomer as a calcium channel blocker. 2. Removal of orthomethoxy group gives inactive species. 3. Benzene ring, tertiary amino nitrogen is essential for the prevention of chest pain.
  • 18.
    It is metabolizedin to 12 inactive metabolites. The most important metabolites are : D-703 ; norverapamil -6%: D-620: D-617. Uses : Verapamil is also used to prevent chest pain. Adv.effects : Constipation – 7.3% ; Dizziness – 3.3% ; Nausea – 2.7%, low blood pressure -2.5% : headache -2.2%
  • 19.
    Bepridil Hydrochloride C H3 10 9 8 CH3 22 7 O + 6 11 12 13 N 14 15 19 18 20 17 21 16 25 26 24 27 23 28 3 2 4 N 1 5 N-Benzyl-N- (3-(2-methylpropoxy)-2-(pyrrolidin-1-yl)propyl) aniline hydrate hydrochloride MOA: It is a long –acting calcium – blocking agent with significant anti- angina activity. The drug produces a significant coronary vasodilation and modest peripheral. Metabolism : It is rapidly and absorbed after oral administration. D-07520 – 70% metabolite, remaining 30% of the drug is excereted in the urine as unmetabolized.
  • 20.
    C H3 10 9 8 CH3 22 7 O + 6 11 12 13 N 14 15 19 18 20 17 21 16 25 26 24 27 23 28 3 2 4 N 1 5 N-Benzyl-N- (3-(2-methylpropoxy)-2-(pyrrolidin-1-yl) propyl)aniline hydrate hydrochloride Uses : Treatment of hypertension, atrial fibrillation . Adv.effects : Gastrointestinal disorders.
  • 21.
    Benzothiazepines :Dilitazem hydrochloride 7 6 8 11 9 10 S 1 N 5 2 3 4 15 14 16 13 17 12 O 26 CH3 27 O 21 O 18 19 CH3 28 O 20 22 23 N 24 CH3 25 C H3 29 cis(+) - (2 (2 -dimethylaminoethyl) -5-(4-methoxyphenyl)-3-oxo-6-thia-2-azabicylo (5.4.0) undeca -7,9,11 -trien -4-yl) ethanoate MOA: It relaxes the smooth muscles in the walls of the artheries, which opens the arteries, allows blood to flow more easily and lowers blood pressure.It lowers blood pressure by acting on the heart rate to reduce the rate, strength and conduction speed of each beat. SAR : Tertiary basic nitrogen is essential for activity, N- Demethyl derivative. Metabolism : Dilitazem is metabolized by and acts as an inhibitor of the CYP3A4 enzyme. – diacetyl diltazem ; N- methyl diltiazem : O-Methyl diltiazem. Uses : Treatment of hypertension, angina pectoris and some types of arrhythymia.
  • 22.
    Therapeutic uses : Hypertenison: angina pectoris : some types arrhythmia. Adverse reactions : Dizziness, lightheadness, weakness, nausea, flushing, constipation and head ache.
  • 23.
  • 24.
    •1, 4-Dihydro pyridinering is essential for activity. Substitution at N or oxidation or reduction of the ring reduces or abolishes the activity. •A phenyl substitution at the 4th position is optimum for the activity. Substitution at para or unsubstituted phenyl ring reduces the activity. • The 3rd and 5th position ester group optimizes activity. Placement of electron withdrawing substitution results in agonistic activity. •When the ester at C3 and C5 are nonidentical, the C4 become chiral and stereo selectivity is observed. S-enantiomers found to be more effective.
  • 25.
  • 26.
    MOA : Nifedipineis a calcium channel blocker. It is a L-Type calcium channel. Metabolism : It is metabolized by cytochrome P450, it forms M-III. Uses : To mange angina, blood pressure, Raynaud’s phenomenon and premature labor. Adv.effects : Lightheadness, headache, feeling tired, leg swelling, cough and shortness of breath.
  • 27.
    Amlodipine C20H25ClN2O5 Amlodipine is asynthetic dihydropyridine and a calcium channel blocker with antihypertensive and antianginal properties. Amlodipine inhibits the influx of extracellular calcium ions into myocardial and peripheral vascular smooth muscle cells, thereby preventing vascular and myocardial contraction. This results in a dilatation of the main coronary and systemic arteries, decreased myocardial contractility, increased blood flow and oxygen delivery to the myocardial tissue, and decreased total peripheral resistance. This agent may also modulate multi-drug resistance (MDR) activity through inhibition of the p-glycoprotein efflux pump. 3-O-ethyl 5-O-methyl 2-(2-aminoethoxymethyl)-4-(2- chlorophenyl)-6-methyl-1,4-dihydropyridine-3,5-dicarboxylate
  • 28.
    Metabolism : 90%of the drug is metabolized by amino delakylation and addition of hydroxyl group. Via –Cytochrome P450 3A4 isoenzyme. Therapeutic uses : It is used in the management of hypertension and coronary artery disease. ( Stable angina & Vasospasti angina). Adv.Reactions : Vasodilatory effects, pheripheral edema, dizziness and palpitations.
  • 29.
    Felodipine Felodipine isa dihydropyridine calcium channel blocking agent. Felodipine inhibits the influx of extracellular calcium ions into myocardial and vascular smooth muscle cells, causing dilatation of the main coronary and systemic arteries and decreasing myocardial contractility. This agent also inhibits the drug efflux pump P-glycoprotein which is overexpressed in some multi- drug resistant tumors and may improve the efficacy of some antineoplastic agents. Felodipine is the mixed (methyl, ethyl) diester of 4-(2,3- dichlorophenyl)-2,6-dimethyl-1,4-dihydropyridine-3,5-dicarboxylic acid. A calcium-channel blocker, it lowers blood pressure by reducing peripheral vascular resistance through a highly selective action on smooth muscle in arteriolar resistance vessels. It is used in the management of hypertension and angina pectoris. It has a role as a calcium channel blocker, an antihypertensive agent, a vasodilator agent and an anti-arrhythmia drug. It is a dihydropyridine, a dichlorobenzene, an ethyl ester and a methyl ester MOA : Felodipine is an calcium channel blocker. It act as an antagonist of the mineralocorticoid receptor.
  • 31.
    Nicardipine 2-[benzyl(methyl)amino]ethylmethyl-2,6-dimethyl-4-(3- nitrophenyl)-1,4-dihydropyridine-3,5-dicarboxylate MOA: It hassimilar activities like niedipine and amlodipine. Nicardipine is more selective for cereberal and coronary blood vessels. Metabolism : Nicardipine is metabolized extensively by liver. Therapeutic uses : High blood pressure, to prevent strokes, heart attacks and kidney problems. Adv.effects : Dizziness, Lightheadedness, headache, flushing, swelling of ankles & feets.
  • 32.
    Nimodipine 3-(2-Methoxyethyl) 5-propan-2-yl 2,6-dimethyl-4-(3-nitrophenyl)-1,4- dihydropyridine-3,5-dicarboxylate MOA:Nimodipine bind specifically L-Type voltage –gated calcium channels. Metabolism : It is metabolized in the first pass metabolism – Via CYP 3A. Uses: Cereberal vasospasm and ischemia Adv.effects : Itching, gastro intestinal hemorrhage, neurological deterioration, deep vein thromobosis.