Dr. S.MUTHUMANICKAM
Associate Professor
Department of ECE
1
EC8701 ANTENNAS
AND
MICROWAVE ENGINEERING PART I
Bloom's Taxonomy
2
Generating and producing knowledge
Differentiating, organizing and
attributing knowledge
Able to understand well enough to
give examples, interpret, classify,
summarize, infer, compare, or
explain knowledge
Checking and critiquing information
Executing and implementing knowledge
zing and recalling facts, processes, and patterns
ANTENNAS
MICROWAVES
UNIT V
MICROWAVE
DESIGN
PRINCIPLES
SYLLABUS
UNIT III
ANTENNA
ARRAYS AND
APPLICATIONS
ANTENNAS
AND
MICROWAVE
ENGINEERING
UNIT IV PASSIVE
AND ACTIVE
MICROWAVE
DEVICES
UNIT I
INTRODUCTIO
N TO
MICROWAVE
SYSTEMS AND
ANTENNAS
UNIT II
RADIATION
MECHANISMS
AND DESIGN
ASPECTS
3
OBJECTIVES:
•To enable the student to understand the basic
principles in antenna and microwave system design
•To enhance the student knowledge in the area of
various antenna designs
•To enhance the student knowledge in the area of
microwave components and antenna for practical
applications
4
OUTCOMES:
The student should be able to:
• Apply the basic principles and evaluate antenna
parameters and link power budgets
• Design and assess the performance of various antennas
• Design a microwave system given the application
specifications
TEXTBOOKS:
1. John D Krauss, Ronald J Marhefka and Ahmad S. Khan, "Antennas and Wave
Propagation: Fourth Edition, Tata McGraw-Hill, 2006. (UNIT I, II, III)
2. David M. Pozar, "Microwave Engineering", Fourth Edition, Wiley India,
2012.(UNIT I,IV, V)
REFERENCES:
1. Constantine A. Balanis, ―Antenna Theory Analysis and Design‖, Third
edition, John Wiley India Pvt Ltd., 2005.
2. R.E.Collin, "Foundations for Microwave Engineering", Second edition, IEEE
Press, 2001
5
UNIT I
INTRODUCTION TO MICROWAVE SYSTEMS AND
ANTENNAS
 EM Spectrum
 Microwave frequency bands
 What is an Antenna?
 Why Antennas?
 Physical concept of radiation
 Radian and Steradian
 Antenna Beam Solid Angle
 Isotropic Radiator
 Fields and Power Radiated by an Antenna
 Antenna Pattern Characteristics
 Front to Back Ratio(FBR)
 Antenna Beam Efficiency
 Radiation Power density
 Radiation Intensity
 Directivity
 Gain and Gain measurements
6
7
In 1886, Heinrich Hertz developed a wireless communication. He used a loop antenna as a
receiver, and observed a similar disturbance.
By 1901, Marconi was sending information across the Atlantic.
A painting of Michael Faraday. Being a great experimentalist, he naturally
dabbled in chemistry, shown here.
8
λ=c/f, where λ is wavelength, c is velocity of light, f is operating frequency 9
10
Designati
on
Frequency
range
Wavelength range Typical uses
L band 1 to 2 GHz 15 cm to 30 cm military telemetry, GPS, mobile phones (GSM), amateur radio
S band 2 to 4 GHz 7.5 cm to 15 cm
weather radar, surface ship radar, and some communications satellites (microwave
ovens, microwave devices/communications, radio astronomy, mobile phones, wireless
LAN, Bluetooth, ZigBee, GPS, amateur radio)
C band 4 to 8 GHz 3.75 cm to 7.5 cm long-distance radio telecommunications
X band 8 to 12 GHz 25 mm to 37.5 mm
satellite communications, radar, terrestrial broadband, space communications,
amateur radio, molecular rotational spectroscopy
Ku band 12 to 18 GHz 16.7 mm to 25 mm satellite communications, molecular rotational spectroscopy
K band 18 to 26.5 GHz 11.3 mm to 16.7 mm
radar, satellite communications, astronomical observations, automotive radar,
molecular rotational spectroscopy
Ka band 26.5 to 40 GHz 5.0 mm to 11.3 mm satellite communications, molecular rotational spectroscopy
Q band 33 to 50 GHz 6.0 mm to 9.0 mm
satellite communications, terrestrial microwave communications, radio astronomy,
automotive radar, molecular rotational spectroscopy
U band 40 to 60 GHz 5.0 mm to 7.5 mm
V band 50 to 75 GHz 4.0 mm to 6.0 mm
millimeter wave radar research, molecular rotational spectroscopy and other kinds of
scientific research
W band 75 to 110 GHz 2.7 mm to 4.0 mm
satellite communications, millimeter-wave radar research, military radar targeting and
tracking applications, and some non-military applications, automotive radar
F band 90 to 140 GHz 2.1 mm to 3.3 mm
SHF transmissions: Radio astronomy, microwave devices/communications, wireless
LAN, most modern radars, communications satellites, satellite television
broadcasting, DBS, amateur radio
D band 110 to 170 GHz 1.8 mm to 2.7 mm
EHF transmissions: Radio astronomy, high-frequency microwave radio relay,
microwave remote sensing, amateur radio, directed-energy weapon, millimeter wave
scanner
Microwave frequency bands
11
12
13
Antennas in snail
ANTENNA IN BIOLOGY
ANTENNA
1. A piece of conducting material in the form of a wire, rod or any other
shape with excitation.
2. A source(Rxr) or radiator(Txr) of electromagnetic waves.
3. A sensor of electromagnetic waves.
4. A transducer.
5. An impedance matching device.
6. A coupler between a generator and space or vice-versa.
14
15
16
17
18
Charge uniformly distributed in a
circular cross section cylinder wire
In summary:
1.If a charge is not moving, current is not
created and there is no radiation.
2. If charge is moving with a uniform
velocity: a. There is no radiation if the
wire is straight, and infinite in extent. b.
There is radiation if the wire is curved,
bent, discontinuous, terminated, or
truncated, as shown in Figure.
3. If charge is oscillating in a time-motion,
it radiates even if the wire is straight.
Physical Concept of Radiation
19
20
21
22
23
Steradian
24
25
RADIAN AND STERADIAN
26
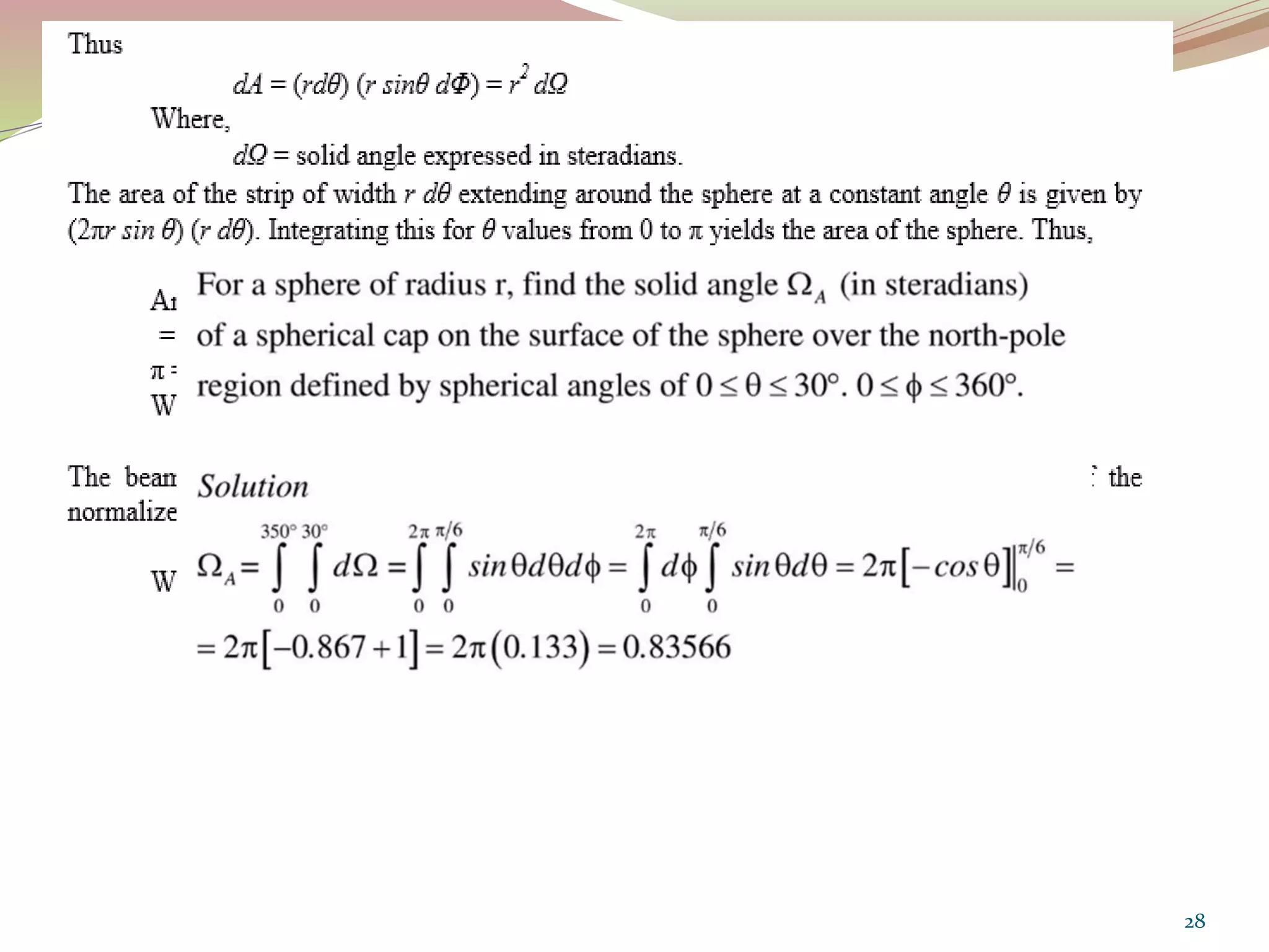
ANTENNA BEAM SOLID ANGLE
Side lobes are included for calculations
27
28
29
Problem
POWER FROM AN ISOTROPIC RADIATOR
30
RADIATION PATTERNS
31
32
33
34
FIELD PATTERN POWER PATTERN
Emax/√2 Pmax/2
NORMALIZED RADIATION PATTERN
35
36
FBR = 1
FBR > 1
Bidirectional Pattern
Unidirectional Pattern
FRONT
TO
BACK RATIO
37
TYPICAL VALUES OF ANTENNA PARAMETERS
38
39
RADIATION INTENSITY
40
41
DIRECTIVITY OF ANTENNA
4п = solid angles for sphere
Max. directivity of a current element
42
Antenna
Pi Pr
Pr = η Pi 0< η < 1
η is radiation efficiency
GAIN OF ANTENNA
Gain = U(θ,φ)
Input power accepted
4п
43
44
GAIN MEASUREMENTS
dBm = 10 x log (P/1 mw)
Where P is power in watts
45
POLAR GRAPH LOGARITHMIC GRAPH
46
30dB is 32 x times more than 15 dB
47

Antennas slideshare part 1

  • 1.
    Dr. S.MUTHUMANICKAM Associate Professor Departmentof ECE 1 EC8701 ANTENNAS AND MICROWAVE ENGINEERING PART I
  • 2.
    Bloom's Taxonomy 2 Generating andproducing knowledge Differentiating, organizing and attributing knowledge Able to understand well enough to give examples, interpret, classify, summarize, infer, compare, or explain knowledge Checking and critiquing information Executing and implementing knowledge zing and recalling facts, processes, and patterns
  • 3.
    ANTENNAS MICROWAVES UNIT V MICROWAVE DESIGN PRINCIPLES SYLLABUS UNIT III ANTENNA ARRAYSAND APPLICATIONS ANTENNAS AND MICROWAVE ENGINEERING UNIT IV PASSIVE AND ACTIVE MICROWAVE DEVICES UNIT I INTRODUCTIO N TO MICROWAVE SYSTEMS AND ANTENNAS UNIT II RADIATION MECHANISMS AND DESIGN ASPECTS 3
  • 4.
    OBJECTIVES: •To enable thestudent to understand the basic principles in antenna and microwave system design •To enhance the student knowledge in the area of various antenna designs •To enhance the student knowledge in the area of microwave components and antenna for practical applications 4
  • 5.
    OUTCOMES: The student shouldbe able to: • Apply the basic principles and evaluate antenna parameters and link power budgets • Design and assess the performance of various antennas • Design a microwave system given the application specifications TEXTBOOKS: 1. John D Krauss, Ronald J Marhefka and Ahmad S. Khan, "Antennas and Wave Propagation: Fourth Edition, Tata McGraw-Hill, 2006. (UNIT I, II, III) 2. David M. Pozar, "Microwave Engineering", Fourth Edition, Wiley India, 2012.(UNIT I,IV, V) REFERENCES: 1. Constantine A. Balanis, ―Antenna Theory Analysis and Design‖, Third edition, John Wiley India Pvt Ltd., 2005. 2. R.E.Collin, "Foundations for Microwave Engineering", Second edition, IEEE Press, 2001 5
  • 6.
    UNIT I INTRODUCTION TOMICROWAVE SYSTEMS AND ANTENNAS  EM Spectrum  Microwave frequency bands  What is an Antenna?  Why Antennas?  Physical concept of radiation  Radian and Steradian  Antenna Beam Solid Angle  Isotropic Radiator  Fields and Power Radiated by an Antenna  Antenna Pattern Characteristics  Front to Back Ratio(FBR)  Antenna Beam Efficiency  Radiation Power density  Radiation Intensity  Directivity  Gain and Gain measurements 6
  • 7.
  • 8.
    In 1886, HeinrichHertz developed a wireless communication. He used a loop antenna as a receiver, and observed a similar disturbance. By 1901, Marconi was sending information across the Atlantic. A painting of Michael Faraday. Being a great experimentalist, he naturally dabbled in chemistry, shown here. 8
  • 9.
    λ=c/f, where λis wavelength, c is velocity of light, f is operating frequency 9
  • 10.
  • 11.
    Designati on Frequency range Wavelength range Typicaluses L band 1 to 2 GHz 15 cm to 30 cm military telemetry, GPS, mobile phones (GSM), amateur radio S band 2 to 4 GHz 7.5 cm to 15 cm weather radar, surface ship radar, and some communications satellites (microwave ovens, microwave devices/communications, radio astronomy, mobile phones, wireless LAN, Bluetooth, ZigBee, GPS, amateur radio) C band 4 to 8 GHz 3.75 cm to 7.5 cm long-distance radio telecommunications X band 8 to 12 GHz 25 mm to 37.5 mm satellite communications, radar, terrestrial broadband, space communications, amateur radio, molecular rotational spectroscopy Ku band 12 to 18 GHz 16.7 mm to 25 mm satellite communications, molecular rotational spectroscopy K band 18 to 26.5 GHz 11.3 mm to 16.7 mm radar, satellite communications, astronomical observations, automotive radar, molecular rotational spectroscopy Ka band 26.5 to 40 GHz 5.0 mm to 11.3 mm satellite communications, molecular rotational spectroscopy Q band 33 to 50 GHz 6.0 mm to 9.0 mm satellite communications, terrestrial microwave communications, radio astronomy, automotive radar, molecular rotational spectroscopy U band 40 to 60 GHz 5.0 mm to 7.5 mm V band 50 to 75 GHz 4.0 mm to 6.0 mm millimeter wave radar research, molecular rotational spectroscopy and other kinds of scientific research W band 75 to 110 GHz 2.7 mm to 4.0 mm satellite communications, millimeter-wave radar research, military radar targeting and tracking applications, and some non-military applications, automotive radar F band 90 to 140 GHz 2.1 mm to 3.3 mm SHF transmissions: Radio astronomy, microwave devices/communications, wireless LAN, most modern radars, communications satellites, satellite television broadcasting, DBS, amateur radio D band 110 to 170 GHz 1.8 mm to 2.7 mm EHF transmissions: Radio astronomy, high-frequency microwave radio relay, microwave remote sensing, amateur radio, directed-energy weapon, millimeter wave scanner Microwave frequency bands 11
  • 12.
  • 13.
  • 14.
    ANTENNA 1. A pieceof conducting material in the form of a wire, rod or any other shape with excitation. 2. A source(Rxr) or radiator(Txr) of electromagnetic waves. 3. A sensor of electromagnetic waves. 4. A transducer. 5. An impedance matching device. 6. A coupler between a generator and space or vice-versa. 14
  • 15.
  • 16.
  • 17.
  • 18.
  • 19.
    Charge uniformly distributedin a circular cross section cylinder wire In summary: 1.If a charge is not moving, current is not created and there is no radiation. 2. If charge is moving with a uniform velocity: a. There is no radiation if the wire is straight, and infinite in extent. b. There is radiation if the wire is curved, bent, discontinuous, terminated, or truncated, as shown in Figure. 3. If charge is oscillating in a time-motion, it radiates even if the wire is straight. Physical Concept of Radiation 19
  • 20.
  • 21.
  • 22.
  • 23.
  • 24.
  • 25.
  • 26.
  • 27.
    ANTENNA BEAM SOLIDANGLE Side lobes are included for calculations 27
  • 28.
  • 29.
  • 30.
    POWER FROM ANISOTROPIC RADIATOR 30
  • 31.
  • 32.
  • 33.
  • 34.
    34 FIELD PATTERN POWERPATTERN Emax/√2 Pmax/2
  • 35.
  • 36.
    36 FBR = 1 FBR> 1 Bidirectional Pattern Unidirectional Pattern FRONT TO BACK RATIO
  • 37.
    37 TYPICAL VALUES OFANTENNA PARAMETERS
  • 38.
  • 39.
  • 40.
  • 41.
    41 DIRECTIVITY OF ANTENNA 4п= solid angles for sphere Max. directivity of a current element
  • 42.
    42 Antenna Pi Pr Pr =η Pi 0< η < 1 η is radiation efficiency GAIN OF ANTENNA Gain = U(θ,φ) Input power accepted 4п
  • 43.
  • 44.
    44 GAIN MEASUREMENTS dBm =10 x log (P/1 mw) Where P is power in watts
  • 45.
  • 46.
    46 30dB is 32x times more than 15 dB
  • 47.