ALKANA DAN SIKLOALKANA ELFI SUSANTI VH
Penggolongan senyawa Organik Hidrokarbon (hanya C & H) Senyawa Heteroatom aliphatik aromatik alkana alkena alkuna Senyawa siklik  alkohol eter aldehida keton Asam karboksilat ester amina amida
INDIKATOR Mahasiswa dapat : menggambarkan struktur alkana dan sikloalkana memberi nama senyawa alkana dan sikloalkana menuliskan isomer pada alkana mendeskripsikan sifat fisika alkana dan sikloalkana menggambarkan konfomasi pada alkana dan sikloalkana menuliskan reaksi halogenasi dan pembakaran pada alkana
Struktur Alkana dan sikloalkana Tata Nama Senyawa Alkana dan Sikloalkana Isomer pada Alkana Sifat Fisika Alkana dan Sikloalkana Konfomasi pada Alkana dan Sikloalkana Reaksi Halogenasi dan Pembakaran pada Alkana  RUANG LINGKUP
Struktur Alkana
A. Rumus Umum  :  C n H 2 n  + 2 CH 4 metana (Gas alam) CH 3 –CH 3 (C 2 H 6 ) etana CH 3 –CH 2 –CH 3 (C 3 H 8 ) propana (LPG) CH 3 CH 2 CH 2 CH 3 (C 4 H 10 ) butana 75-85% CH 4 5-10% C 2 H 6 1-5% C 3 H 8
Rumus Umum Alkana Rumus Umum Sikloalkana
Fraksi tertentu dari Destilasi langsung Minyak Bumi/mentah :   Bahan bakar pemanas Minyak gas berat 18 - 25 305 - 405 Bahan bakar diesel Minyak gas ringan 13 - 17 230 - 305 Bahan bakar memasak Minyak tanah 11 - 12 180 - 230 Bahan bakar mobil Bensin 5 -10 30 - 180 Bahan bakar gas Fraksi gas 1 - 4 < 30 Penggunaan Nama Jumlah C TD ( o C)
TATA NAMA ALKANA IUPAC  ( The International Union of Pure and Applied Chemistry ) temukan rantai karbon terpanjang, dan gunakan sebagai nama induk penomoran dengan substituen memperoleh nomor terendah berikan lokasi substituen alkil tempatkan substituen dengan urutan alfabet (contoh: etil sebelum metil)
Nama umum cabang alkana
 
Beri nama senyawa berikut:
Gambarkan struktur dari: 2,3,3-trimetilheptana 1-bromo-2-etil-3-(2-metilpropil)sikloheksana
ISOMER PADA ALKANA n -butane “ rantai lurus” Rantai bercabang isobutane Isomer  posisi C 4 H 10 “ butane” lighters: 5%  n -butane 95% isobutane
C 5 H 12 n -pentana isopentana neopentana C 6 H 14 5 isomers C 10 H 22 75 isomers C 20 H 42 366,319 isomers
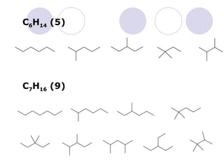
Gambarkan isomer posisi untuk senyawa : a. C 6 H 14  (5) b. C 7 H 16  (9)
C 6 H 14  (5) C 7 H 16  (9)
SIFAT FISIKA ALKANA Kepolaran  ;  alkana memiliki    = 0 : bersifat  tidak polar  Kelarutan ; alkana larut dalam pelarut nonpolar Inert ; karena perbedaan keelektronegatifan pada alkana kecil sehingga tidak memiliki momen ikatan yang cukup untuk melakukan reaksi heterolitik.
Titik didih Untuk suatu deret homolog ;  TD bertambah dengan bertambahnya  CH 2   (metilen) =  + 300C Untuk unsur dengan BM yang sama ; luas permukaan yang menentukan tinggi rendahnya TD dari senyawa sejenis. C1 – C4  : pada t dan p normal adalah gas C4 – C17  : pada t dan p normal adalah cair >  C18  : pada t dan p normal adalah padat
Titik didih senyawa alkana
Penguapan Perubahan fisika, bukan perubahan kimia Hanya dipengaruhi oleh interaksi antara molekul (interaksi intermolekul) Ikatan kimia tidak putus
Perkirakan urutan titik didih senyawa berikut:
SIKLOALKANA
Contoh Sikloalkana
Tata Nama Sikloalkana
 
Beri nama sikloalkana berikut:
Nama sikloalkana berikut:
Beri nama sikloalkana berikut:
Nama sikloalkana berikut :
KONFORMASI ALKANA Alkana mempunyai ikatan sigma, menurut Kekule atom yang terikat oleh ikatan sigma dapat diputar,  menimbulkan adanya molekul yang disebut konformer ( conformation Isomer )
Pada etana (CH 3 -CH 3 ); ada 1 ikatan C-C,  struktur rotasi (rotamer) yang ada yaitu  staggered   dan  eclipsed .
 
 
 
Aspek penting dari Stereoisomer Konformasi: Interkonfersi konformasi   dalam molekul sederhana terjadi cepat pada temperatur kamar,  Isolasi konformer murni biasanya tidak mungkin. Konformer spesifik membutuhkan tatanama khusus, seperti  staggered ,  eclipsed ,  gauche  dan  anti Konformer spesifik tersusun dari sudut   dihedral.
konformasi Staggered sekitar ikatan tunggal C-C lebih stabil (punya energi potensial terendah) dibandingkan konformasi eklips.  Konformer Gauche pada butana kurang stabil dari pada konformer anti sekitar 0,9 Kkal/mol.  Konformer Butana B dan C memiliki struktur bayangan cermin yang tidak identik, sudut dihedral 2400 & 3000.
Konformasi Sikloalkana Siklopropana  B erbentuk planar, dengan atom karbon pada sudut segitiga samasisi.  Sudut ikatan 60 0  lebih kecil daripada sudut optimum atom karbon normal (109,50),  Siklobutana  siklobutana  mengurangi tegangan dari ikatan (keluar dari sudut dihedral sebesar 250), tetapi total eklip dan tegangan sudut juga besar.
siklopentana   mempunyai tegangan sudut sangat  kecil (sudut pentagon= 108 0 ),  tegangan eklip besar (10 kkal/mol) jika planar.  Akibatnya :  cincin anggota 5 mengambil   konformasi non planar sikloheksana   merupakan contoh baik untuk sistem siklik yang menghilangkan eklip dan tegangan sudut dengan mengambil konformasi nonplanar.
Beberapa konformasi sikloheksana:
Konfigurasi stereoisomer adalah stabil, dan tidak mudah merubah, sedangkan isomer konformasi biasanya berubah dengan cepat. Dalam pengujian struktur yang mungkin untuk sikloheksana tersubstitusi, mengikuti 2 prinsip, yaitu: 1.  Konformasi kursi umumnya lebih stabil  daripada yang lain. 2.  Substituen pada konformer kursi lebih suka  menempati posisi equatorial.
Struktur konformasi sikloheksana disubstitusi: 1,1-dimetilsikloheksana     1-t-butil-1-methilsikloheksana  
disubstitusi 1,2 cis-1,2-dimetilsikloheksana     trans-1,2-dimetilsikloheksana  
disubstitusi 1,3 cis-1,3- dimetilsikloheksana     trans-1,3- dimetilsikloheksana  
disubstitusi 1,4 cis-1,4- dimetilsikloheksana     trans-1,4- dimetilsikloheksana  
Reaksi-reaksi Alkana A. Halogenasi Alkana = Reaksi dengan Halogen  Reaksi substitusi (penggantian) satu atau lebih atom H pada alkana oleh unsur halogen (F,Cl,Br,I).  Reaksi terjadi dengan adanya sinar matahari atau suhu tinggi. R adikal halida akan menyerang terutama di tempat yang menghasilkan radikal alkil tersusbtitusi tinggi.  Karena radikal tersubstitusi lebih tinggi adalah lebih stabil .
Mekanisme Halogenasi Alkana 1. Tahap inisiasi ,  yaitu tahap pemecahan molekul halogen
kemudian reaksi radikal dengan molekul Cl 2 : 2. Tahap propagasi
3.  Tahap terminasi ; tahap penghentian reaksi
B. REAKSI DENGAN OKSIGEN = PEMBAKARAN 1.   Reaksi Pembakaran Sempurna   (menghasilkan CO 2 ) CH 4  +  2 O 2   CO 2   +  2 H 2 O   +  212,8  kkal/mol 2. Reaksi pembakaran tidak sempurna   (menghasilkan CO atau C) 3 CH 4   +  2 O 2   2 CO  +  4 H 2 O  CH 4   +  O 2   C  +  2 H 2 O

Alkana

  • 1.
    ALKANA DAN SIKLOALKANAELFI SUSANTI VH
  • 2.
    Penggolongan senyawa OrganikHidrokarbon (hanya C & H) Senyawa Heteroatom aliphatik aromatik alkana alkena alkuna Senyawa siklik alkohol eter aldehida keton Asam karboksilat ester amina amida
  • 3.
    INDIKATOR Mahasiswa dapat: menggambarkan struktur alkana dan sikloalkana memberi nama senyawa alkana dan sikloalkana menuliskan isomer pada alkana mendeskripsikan sifat fisika alkana dan sikloalkana menggambarkan konfomasi pada alkana dan sikloalkana menuliskan reaksi halogenasi dan pembakaran pada alkana
  • 4.
    Struktur Alkana dansikloalkana Tata Nama Senyawa Alkana dan Sikloalkana Isomer pada Alkana Sifat Fisika Alkana dan Sikloalkana Konfomasi pada Alkana dan Sikloalkana Reaksi Halogenasi dan Pembakaran pada Alkana RUANG LINGKUP
  • 5.
  • 6.
    A. Rumus Umum : C n H 2 n + 2 CH 4 metana (Gas alam) CH 3 –CH 3 (C 2 H 6 ) etana CH 3 –CH 2 –CH 3 (C 3 H 8 ) propana (LPG) CH 3 CH 2 CH 2 CH 3 (C 4 H 10 ) butana 75-85% CH 4 5-10% C 2 H 6 1-5% C 3 H 8
  • 7.
    Rumus Umum AlkanaRumus Umum Sikloalkana
  • 8.
    Fraksi tertentu dariDestilasi langsung Minyak Bumi/mentah :   Bahan bakar pemanas Minyak gas berat 18 - 25 305 - 405 Bahan bakar diesel Minyak gas ringan 13 - 17 230 - 305 Bahan bakar memasak Minyak tanah 11 - 12 180 - 230 Bahan bakar mobil Bensin 5 -10 30 - 180 Bahan bakar gas Fraksi gas 1 - 4 < 30 Penggunaan Nama Jumlah C TD ( o C)
  • 9.
    TATA NAMA ALKANAIUPAC ( The International Union of Pure and Applied Chemistry ) temukan rantai karbon terpanjang, dan gunakan sebagai nama induk penomoran dengan substituen memperoleh nomor terendah berikan lokasi substituen alkil tempatkan substituen dengan urutan alfabet (contoh: etil sebelum metil)
  • 10.
  • 11.
  • 12.
  • 13.
    Gambarkan struktur dari:2,3,3-trimetilheptana 1-bromo-2-etil-3-(2-metilpropil)sikloheksana
  • 14.
    ISOMER PADA ALKANAn -butane “ rantai lurus” Rantai bercabang isobutane Isomer posisi C 4 H 10 “ butane” lighters: 5% n -butane 95% isobutane
  • 15.
    C 5 H12 n -pentana isopentana neopentana C 6 H 14 5 isomers C 10 H 22 75 isomers C 20 H 42 366,319 isomers
  • 16.
    Gambarkan isomer posisiuntuk senyawa : a. C 6 H 14 (5) b. C 7 H 16 (9)
  • 17.
    C 6 H14 (5) C 7 H 16 (9)
  • 18.
    SIFAT FISIKA ALKANAKepolaran ; alkana memiliki  = 0 : bersifat tidak polar Kelarutan ; alkana larut dalam pelarut nonpolar Inert ; karena perbedaan keelektronegatifan pada alkana kecil sehingga tidak memiliki momen ikatan yang cukup untuk melakukan reaksi heterolitik.
  • 19.
    Titik didih Untuksuatu deret homolog ; TD bertambah dengan bertambahnya CH 2 (metilen) = + 300C Untuk unsur dengan BM yang sama ; luas permukaan yang menentukan tinggi rendahnya TD dari senyawa sejenis. C1 – C4 : pada t dan p normal adalah gas C4 – C17 : pada t dan p normal adalah cair > C18 : pada t dan p normal adalah padat
  • 20.
  • 21.
    Penguapan Perubahan fisika,bukan perubahan kimia Hanya dipengaruhi oleh interaksi antara molekul (interaksi intermolekul) Ikatan kimia tidak putus
  • 22.
    Perkirakan urutan titikdidih senyawa berikut:
  • 23.
  • 24.
  • 25.
  • 26.
  • 27.
  • 28.
  • 29.
  • 30.
  • 31.
    KONFORMASI ALKANA Alkanamempunyai ikatan sigma, menurut Kekule atom yang terikat oleh ikatan sigma dapat diputar, menimbulkan adanya molekul yang disebut konformer ( conformation Isomer )
  • 32.
    Pada etana (CH3 -CH 3 ); ada 1 ikatan C-C, struktur rotasi (rotamer) yang ada yaitu staggered dan eclipsed .
  • 33.
  • 34.
  • 35.
  • 36.
    Aspek penting dariStereoisomer Konformasi: Interkonfersi konformasi dalam molekul sederhana terjadi cepat pada temperatur kamar, Isolasi konformer murni biasanya tidak mungkin. Konformer spesifik membutuhkan tatanama khusus, seperti staggered , eclipsed , gauche dan anti Konformer spesifik tersusun dari sudut dihedral.
  • 37.
    konformasi Staggered sekitarikatan tunggal C-C lebih stabil (punya energi potensial terendah) dibandingkan konformasi eklips. Konformer Gauche pada butana kurang stabil dari pada konformer anti sekitar 0,9 Kkal/mol. Konformer Butana B dan C memiliki struktur bayangan cermin yang tidak identik, sudut dihedral 2400 & 3000.
  • 38.
    Konformasi Sikloalkana Siklopropana B erbentuk planar, dengan atom karbon pada sudut segitiga samasisi. Sudut ikatan 60 0 lebih kecil daripada sudut optimum atom karbon normal (109,50), Siklobutana siklobutana mengurangi tegangan dari ikatan (keluar dari sudut dihedral sebesar 250), tetapi total eklip dan tegangan sudut juga besar.
  • 39.
    siklopentana mempunyai tegangan sudut sangat kecil (sudut pentagon= 108 0 ), tegangan eklip besar (10 kkal/mol) jika planar. Akibatnya : cincin anggota 5 mengambil konformasi non planar sikloheksana merupakan contoh baik untuk sistem siklik yang menghilangkan eklip dan tegangan sudut dengan mengambil konformasi nonplanar.
  • 40.
  • 41.
    Konfigurasi stereoisomer adalahstabil, dan tidak mudah merubah, sedangkan isomer konformasi biasanya berubah dengan cepat. Dalam pengujian struktur yang mungkin untuk sikloheksana tersubstitusi, mengikuti 2 prinsip, yaitu: 1. Konformasi kursi umumnya lebih stabil daripada yang lain. 2. Substituen pada konformer kursi lebih suka menempati posisi equatorial.
  • 42.
    Struktur konformasi sikloheksanadisubstitusi: 1,1-dimetilsikloheksana   1-t-butil-1-methilsikloheksana  
  • 43.
    disubstitusi 1,2 cis-1,2-dimetilsikloheksana  trans-1,2-dimetilsikloheksana  
  • 44.
    disubstitusi 1,3 cis-1,3-dimetilsikloheksana   trans-1,3- dimetilsikloheksana  
  • 45.
    disubstitusi 1,4 cis-1,4-dimetilsikloheksana   trans-1,4- dimetilsikloheksana  
  • 46.
    Reaksi-reaksi Alkana A.Halogenasi Alkana = Reaksi dengan Halogen Reaksi substitusi (penggantian) satu atau lebih atom H pada alkana oleh unsur halogen (F,Cl,Br,I). Reaksi terjadi dengan adanya sinar matahari atau suhu tinggi. R adikal halida akan menyerang terutama di tempat yang menghasilkan radikal alkil tersusbtitusi tinggi. Karena radikal tersubstitusi lebih tinggi adalah lebih stabil .
  • 47.
    Mekanisme Halogenasi Alkana1. Tahap inisiasi , yaitu tahap pemecahan molekul halogen
  • 48.
    kemudian reaksi radikaldengan molekul Cl 2 : 2. Tahap propagasi
  • 49.
    3. Tahapterminasi ; tahap penghentian reaksi
  • 50.
    B. REAKSI DENGANOKSIGEN = PEMBAKARAN 1. Reaksi Pembakaran Sempurna (menghasilkan CO 2 ) CH 4 + 2 O 2 CO 2 + 2 H 2 O + 212,8 kkal/mol 2. Reaksi pembakaran tidak sempurna (menghasilkan CO atau C) 3 CH 4 + 2 O 2 2 CO + 4 H 2 O CH 4 + O 2 C + 2 H 2 O