FM 2002 ACTUARIAL MATHEMATICS I   1
CHAPTER 1



     FM 2002 ACTUARIAL MATHEMATICS I   2
Introduction
 Insurance policy: Two types of RISK
 life insurance: the variability in the claim
  is only the time at which the claim is
  made, since the amount of the claim is
  specified by the policy.
 Other types of insurance (such as auto or
  casualty): there is variability in both the
  time and amount of the claim.


                FM 2002 ACTUARIAL MATHEMATICS I   3
Why a Survival Model is Necessary
   Annuity base: to find present value, use discount
    factor.



            Discounting Process

   Life insurance:




                      FM 2002 ACTUARIAL MATHEMATICS I   4
Actuarial Present Value
   Present value
                                          n
                              Pv
   Actuarial Present Value                             n
                                                      Pv P (E )


In life insurance: Random Event is


                    FM 2002 ACTUARIAL MATHEMATICS I               5
Survival Function
   The basic of a survival model is a
    random lifetime variable and its
    corresponding distribution.
   X: Life time of a newborn.
   X: Cts,    X  [0,  ]
                                     f X ( x)
   Probability density function
   Probability distribution F ( x )
                                                     X




                   FM 2002 ACTUARIAL MATHEMATICS I       6
Survival Distribution
                                                              x

F X ( x )  P ( X  x )  P (new born dies before age x )       f X ( s ) ds
                                                              0




                          FM 2002 ACTUARIAL MATHEMATICS I                  7
Survival Function
   The survival function sX(x) is defined as the
    probability that a newborn survives to age x.
    Since this is the event that X>x we have


    s X ( x )  P ( X  x )  1  P ( X  x )  1  FX ( x )



                         FM 2002 ACTUARIAL MATHEMATICS I       8
 Suppose for example that sX(75)=0.12,
 so that FX (75)=0.88. MEANS?




              FM 2002 ACTUARIAL MATHEMATICS I   9
2
                    x 
 If s ( x )   1       , for 0  x  100, find F X (75), f X (75)
                   100 

                                                2
                                   x 
F X ( x )= 1 - s ( x )  1   1      
                                  100 
                              2
                     75 
F X (7 5)= 1 -  1         1  0 .2 5
                                        2
                         
                    100 
F X (7 5)= 0 .9 3 7 5
                                                 d         2       x 
                                  f X ( x )=    FX ( x)      1      
                                             dx           100     100 
                                              2       75 
                                  f X (7 5)=     1      
                                             100     100 
                                  f X (7 5)= 0 .0 0 5
                            FM 2002 ACTUARIAL MATHEMATICS I                10
DeMoivre Law
   Historical Model

                            x
             s( x)  1          , for 0  x  
                           
  is the limiting age by which all have died.
 X : uniform distribution on the interval (0,)




                    FM 2002 ACTUARIAL MATHEMATICS I   11
The Future Lifetime of Age (x)

  Life insurance is usually issued on a person who has
   already attained a certain age x.
  Life age (x).
  Future life time of age (x): T(x)

age
                  x                                       X
                 (today)                                (death)



  x years of past life                T years of future life
                     FM 2002 ACTUARIAL MATHEMATICS I              12
The Future Lifetime of Age (x)

W e are given that X  x , so
T  X x
S ince T is a function of X , its density function f T ( x ) ( t )
and distribution function FT ( x ) ( t ) shoud be re lated to X .




                         FM 2002 ACTUARIAL MATHEMATICS I             13
The Future Lifetime of Age (x)


         This gives the conditional probability that a newborn will die
          between the ages x and x+t. OR
         age (x) dies before reaching to age x+t, OR
         age (x) dies within next t years.


     t
         p x  the probability of survival to age x  t give n survival to age x.
           = P[T ( x )  t ]

t
    q x  the probability of death before age x  t giv en survival to age x.
         = P[T ( x )  t ]  1  t p x
                                         FM 2002 ACTUARIAL MATHEMATICS I            14
Remarks
T he sym bol, t q x can be interpreted as the p robability that ( x ) w ill die w ithin t years;
that is t q x is the distribution function of T ( x ).



  T he sym bol, t p x can be interpreted as the p robability that ( x) w ill survive another t years;
  that is t p x is the survival function of T ( x).



  W hen t  1 the prefix is om itted and one j ust w rites p x and q x respectively.
  p x = P [T ( x )  1], the probability that ( x) survive s another year.
  q x  P [T ( x )  1], the probability that ( x) w ill die w ithin next ye ar.



                                         FM 2002 ACTUARIAL MATHEMATICS I                            15
Probability Concept




                                        t
                                            qx  1 t px




          FM 2002 ACTUARIAL MATHEMATICS I                  16
FM 2002 ACTUARIAL MATHEMATICS I   17
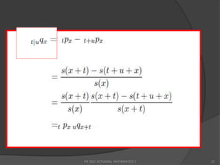
Special symbol
       (x) will survive t years and die within the
        following u years: i.e. (x) will die between ages
        x+t and x+t+u.


t |u
       q x  P [t  T ( x )  t  u ]  P [ x  t  X  x  t  u ]


              t |u
                     qx     t u
                                    qx  t qx              t
                                                                px    t u
                                                                              px


                     t |u
                            qx             t
                                                 px        u
                                                                q x t
                                    FM 2002 ACTUARIAL MATHEMATICS I                18
Prove that
             t |u
                  qx                      t
                                               p x u q xt




             FM 2002 ACTUARIAL MATHEMATICS I                 19
FM 2002 ACTUARIAL MATHEMATICS I   20
FM 2002 ACTUARIAL MATHEMATICS I   21
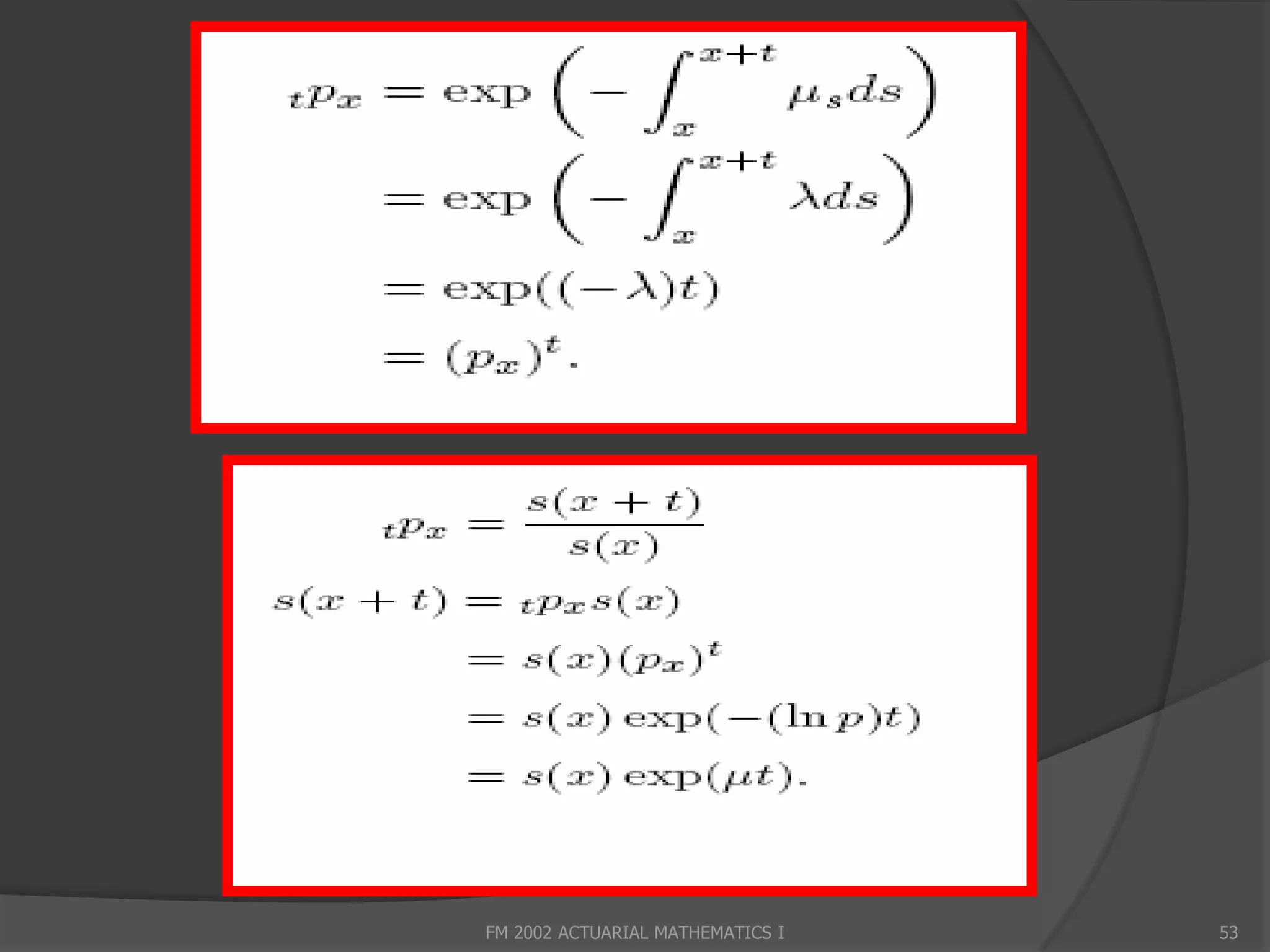
Compute tpx for the DeMoivre law of mortality.
Conclude that under the DeMoivre law T(x) has
the uniform distribution on the interval (0,ω-x)




                   FM 2002 ACTUARIAL MATHEMATICS I   22
Force of Mortality
        Consider                                                           s( x)  s( x  t)
                       t
                           q x  P[ x  X  x  t | X  x ] 
                                                                                 s(x)

        Now take t=Δx
     
                                                                 FX ( x   x )  FX ( x )
x
     q x  P[ x  X  x   x | X  x ] 
                                                                       1  FX ( x )

           FX ( x   x )  FX ( x )       x         f X ( x)x
         =                                          
                     x                1  FX ( x )  1  FX ( x )
                               FM 2002 ACTUARIAL MATHEMATICS I                            23
Force of Mortality
   f X ( x)
                For each age x, it gives the value of th e conditional p.d.f.
1  FX ( x )
                  of X at exact age x, given survival to that a g e.

    Force of mortality                                               f X ( x)
                                                                                    ( x)
                                                                   1  FX ( x )
                   f X ( x)x
      x
           qx                     ( x) ( x)
                  1  FX ( x )


    This means the probability that x dies in the "next
     instant" delta(x).

                                 FM 2002 ACTUARIAL MATHEMATICS I                             24
Force of Mortality
                       f X ( x)           s ( x )
          ( x)                     
                    1  FX ( x )           s( x)



   In Actuarial Science µ(x) is called the force of
    mortality. In reliability theory, the study of the
    survival probabilities of manufactured part
    system, µ(x) is called the failure rate or hazard
    rate or, more fully, the hazard rate function.

                          FM 2002 ACTUARIAL MATHEMATICS I   25
What is the meaning of qx = 0.008 versus the
meaning of µ(x) = 0.008?




                 FM 2002 ACTUARIAL MATHEMATICS I   26
   Prove that                                     x              
                                    s ( x )  exp     ( t ) dt 
                                                   0              



                                    ds( x)
                  s ( x )           dx
     ( x)                   
                   s( x)             s(x)
                      x
        ds( x)
       s( x)
                     (t ) d (t )
                      0

                       x
                                                          x                   
    ln ( s ( x ))     ( t ) d ( t )  s ( x )  ex p     ( t ) d ( t ) 
                      0                                   0                   

                                FM 2002 ACTUARIAL MATHEMATICS I                    27
Example
                  2
If  ( x )               for 0  x  100, find s ( x ), F X ( x ), f X ( x )
               100  x
Let x  40, find FT ( x ) ( t ) and f T ( x ) ( t )




                                FM 2002 ACTUARIAL MATHEMATICS I                 28
Properties of µ(x)
                     t              
      s ( x )  exp     ( t ) dt 
                     0              

          ( x)  0 x

           


             ( x ) dx  
           0




               FM 2002 ACTUARIAL MATHEMATICS I   29
Show that density function of T(x) can be
written in the following form
                fT ( x ) (t )  t p x  ( x  t )




               FM 2002 ACTUARIAL MATHEMATICS I      30
If the force of mortality is constant then the life random
variable X has an exponential distribution. Further T(x) is
also exponentially distributed.




                     FM 2002 ACTUARIAL MATHEMATICS I    31
Find the force of mortality for DeMoivers’ law.




                   FM 2002 ACTUARIAL MATHEMATICS I   32
FM 2002 ACTUARIAL MATHEMATICS I   33
FM 2002 ACTUARIAL MATHEMATICS I   34
Complete Expectation of Life
   The expected value of T(x), (E(T(x)) is known as
    the complete expectation of life at age x.
                                                         0
       C omplete expectation life= e x  E ( T ( x))
   Prove                            
             0
             e x  E (T ( x ))         t
                                             p x dt
                                     0




                       FM 2002 ACTUARIAL MATHEMATICS I       35

Show that           E (T ( x ) )  2  t t p x d t
                                    2


                                                    0




Remark:
          Var (T ( x ))  E (T ( x ) )  ( E (T ( x )))
                                                2         2




                     FM 2002 ACTUARIAL MATHEMATICS I          36
If X follows DeMoivres’ law, compute E(T(x))


             x
 s( x)              , 0  x 
               
            s( x  t)         ( x  t)
     px                                                 , 0  t  -x
                                    x
 t
             s( x)
                            x
 0
                                                           x
 e x  E (T ( x ))               t
                                       pxdt 
                                                            2
                             0




                        FM 2002 ACTUARIAL MATHEMATICS I                   37
Life Tables
   In practice the survival distribution is estimated by
    compiling mortality data in the form of a life table.
    Here is the conceptual model behind the entries in
    the table. Imagine that at time 0 there are l0
    newborns. Here l0 is called the radix of the life table
    and is usually taken to be some large number such as
    100,000. Denote by lx the number of these original
    newborns who are still alive at age x. Similarly ndx
    denotes the number of persons alive at age x who die
    before reaching age x + n.

                       FM 2002 ACTUARIAL MATHEMATICS I   38
   Show           d x  lx  lx n
               n




   Since ndx is the number alive at age x who die
    by age x + n, this is simply the number alive at
    age x, which is lx, minus the number alive at age
    x + n, which is lx+n.




                      FM 2002 ACTUARIAL MATHEMATICS I   39
   Consider a group of newborns l0 .
 Each newborn's age-at-death has a distribution
  specified by survival function s(x).
 L(x) - random number of survivors at age x.
 Each newborn is viewed as a Bernoulli trial: survive –
  success, death – fail.
 Hence L(x) has a binomial distribution: n= l0 ,
  p=P(success) =s(x).
 lx means expected # of survivors:




                      FM 2002 ACTUARIAL MATHEMATICS I   40
Basic Relationships
                                                                        s( x)  s( x  n)            lx  lx n           dx
                s( x  n)           lx n                        qx                                                n

     n
         px                                                n
                                                                               s( x)                      lx              lx
                     s(x)            lx
                                                                     l x  l x 1       dx
            l x 1                                           qx                    
     px                                                                  lx            lx
                lx


                lx n  lx n m                 d x n
n |m
         qx                                m

                           lx                    lx                                           s ( x )          
                                                                                                               lx
                                                                            ( x)                        
                                                                                              s( x)            lx
            l x  n  l x  n 1        d xn
n|
     qx                            
                      lx                    lx



                                                 FM 2002 ACTUARIAL MATHEMATICS I                                               41
Curtate Future Lifetime
   A discrete random variable associated with the
    future lifetime is the number of future years
    completed by (x) prior to death. It is called the
    curtate future lifetime of (x), denoted by K(x), is
    defined by the relation:

                   K ( x )  T ( x ) 

   Here [ ] denote the greatest integer function.


                       FM 2002 ACTUARIAL MATHEMATICS I    42
The curtate future lifetime of (x), K(x) is a discrete
random variable with density:




   The curtate lifetime, K(x), represents the number of
    complete future years lived by (x).




                       FM 2002 ACTUARIAL MATHEMATICS I     43
Given the following portion of a life Table, find
  the distribution of K for x=90.




                    FM 2002 ACTUARIAL MATHEMATICS I   44
How to find fractional part???

 Three approaches:


 Uniform Distribution of Deaths in the Year of
  the Death (UDD)
 Constant Force of Mortality
 Balducci Assumption




                  FM 2002 ACTUARIAL MATHEMATICS I   45
Uniform Distribution of Deaths in the Year of the Death
    (UDD)
   The number alive at age x + t, where x is an integer and 0
    < t < 1, is given by:



   The UDD assumption means that the age at death of
    those who will die at curtate age x is uniformly
    distributed between the ages x and x + 1. In terms of the
    survival function the UDD assumption means:



Where x is an integer and 0<t<1.
                          FM 2002 ACTUARIAL MATHEMATICS I     46
S h o w th at t q x  tq x

t
    p x  1  tq x

                     qx
 (x  t) 
                1  tq x




                           FM 2002 ACTUARIAL MATHEMATICS I   47
Consider Previous Example
   The ideas here will be introduced in the context
    of previous Exercise , a 3-year, discrete survival
    model for 90-year-old. The UDD linearly
    interpolates among these 4 points to obtain the
    complete graph of lx for all x between 90 and 93.




                     FM 2002 ACTUARIAL MATHEMATICS I     48
   Now let T be the complete future lifetime of a
    90-year-old from previous problem where we
    have extended the life table to a continuous
    model via the UDD assumption.

                                                  l90  t  l90  t
                                                                         
                                                                          l90  t
           f T ( x ) ( t )  t p 90  (90  t )                    
                                                   l90  l90  t          l90




                           FM 2002 ACTUARIAL MATHEMATICS I                          49
Curtate Life Expectancy
   E(K) is known as the complete life expectancy and is
    denoted by ex
                                    x 1                             x 1

          ex  E [ K ]                      kf K ( x ) ( k )                k k pxqxk
                                      k 0                             k 0
                                                                              x


      0         x                           x
                                                         lxt
                                                                                     lxt dt
     ex                      p x dt                           dt           0
                           t
                    0                             0
                                                          lx                          lx
              x 1                    x 1
                                                 l x  k 1       l x  1  l x  2  ...  l 1
     ex               k 1
                               px                 lx
                                                              
                                                                                 lx
             k 0                      k 0


                                         FM 2002 ACTUARIAL MATHEMATICS I                            50
With UDD Assumption
   Let T=K+S, then S is uniformly distributed
    over [0, 1).




   Find the complete and curtate life expectancies at age 90
    for the survival model




                       FM 2002 ACTUARIAL MATHEMATICS I          51
Constant Force of Mortality
 The assumption of a constant force of mortality in
  each year of age means that
μ(x+t)=μ(x), for each integer age x and 0<t<1


        px  ( px )
                      t
    t

    s ( x  t )  s ( x ) exp(   t ), w here  =- ln p x




                          FM 2002 ACTUARIAL MATHEMATICS I    52
FM 2002 ACTUARIAL MATHEMATICS I   53
Balducci Assumption
                1           1 t               t
                                   
             s(x  t)       s(x)        s ( x  1)

Find expressions for tqx and μ(x+t), under this
assumption




                    FM 2002 ACTUARIAL MATHEMATICS I   54
The Expected Number of Years Lived by (x)

0
e x : n  T he expected num ber of years lived by ( x )
        before age x  n
e x :n  T he expected num ber of com plete years lived by ( x )
        before age x  n


           T if T  n                                     K if K  n  1
       
     T                                               
                                                    K 
          n if T  n                                    n if K  n

                        FM 2002 ACTUARIAL MATHEMATICS I                    55
FM 2002 ACTUARIAL MATHEMATICS I   56
0
                  2
If  ( x )              , fo r 0  x  1 0 0, co m p u te e 5 0:2 5
               100  x




                           FM 2002 ACTUARIAL MATHEMATICS I             57
Select Mortality and the Underwriting Process

   (x) may pass the medical test to buy insurance
    policy.
   Survival function is actually dependent on two
    variables.
   The age at the selection (application for insurance)
   The amount of time passed after the time of
    selection
   A life table which takes this effect into account is
    called a select table.

                     FM 2002 ACTUARIAL MATHEMATICS I       58
Notations
   q[x]+i denotes the probability that a person dies between years x +
    i and x + i + 1 given that selection occurred at age x.




   q25 - Probability that an insured 25-old will die in the
  next year.
 q25 values for individuals underwritten at ages 0, 1, 2,
  ...,24, 25 are respectively denoted by q[0]+25, q[1]+24, …, q[25].



                           FM 2002 ACTUARIAL MATHEMATICS I           59
   A select mortality table is based on this idea. As one
    might expect, after a certain period of time the effect of
    selection on mortality is negligible. The length of time
    until the selection effect becomes negligible is called the
    select period. The Society of Actuaries uses a 15 year
    select period in its mortality tables. The Institute of
    Actuaries in UK uses a 2 year select period. The
    implication of the select period of 15 years in
    computations is that for each j≥0




                        FM 2002 ACTUARIAL MATHEMATICS I      60
Aggregate Table
   A life table in which the survival functions are
    tabulated for attained ages only is called an aggregate
    table. Generally, a select life table contains a final
    column which constitutes an aggregate table. The
    whole table is then referred to as a select and
    ultimate table and the last column is usually called an
    ultimate table.




                       FM 2002 ACTUARIAL MATHEMATICS I   61
   Consider:
   3-year select period
   85%, 90%, 95% and 100% of general mortality in policy
    year 1,2,3 and 4, respectively.




   With a 3-year select period an individual underwritten at
    age 21 would be subject to mortality rates



at age 21, 22 and 23.



                        FM 2002 ACTUARIAL MATHEMATICS I     62
FM 2002 ACTUARIAL MATHEMATICS I   63
FM 2002 ACTUARIAL MATHEMATICS I   64
   You are given the following extract from a 3
    year select and ultimate mortality table.




Assume that the ultimate table follows
  DeMoivre’s law and that d[x]=d[x]+1=d[x]+2 for
  all x. Find 1000( 2|2q[71] )




                   FM 2002 ACTUARIAL MATHEMATICS I   65
2|2
      q [ 71]  P robability of age 71 survies tw o years and
             w ill die the follow ing 2 years.




                         FM 2002 ACTUARIAL MATHEMATICS I        66
FM 2002 ACTUARIAL MATHEMATICS I   67

Acturial maths

  • 1.
    FM 2002 ACTUARIALMATHEMATICS I 1
  • 2.
    CHAPTER 1 FM 2002 ACTUARIAL MATHEMATICS I 2
  • 3.
    Introduction  Insurance policy:Two types of RISK  life insurance: the variability in the claim is only the time at which the claim is made, since the amount of the claim is specified by the policy.  Other types of insurance (such as auto or casualty): there is variability in both the time and amount of the claim. FM 2002 ACTUARIAL MATHEMATICS I 3
  • 4.
    Why a SurvivalModel is Necessary  Annuity base: to find present value, use discount factor. Discounting Process  Life insurance: FM 2002 ACTUARIAL MATHEMATICS I 4
  • 5.
    Actuarial Present Value  Present value n Pv  Actuarial Present Value n Pv P (E ) In life insurance: Random Event is FM 2002 ACTUARIAL MATHEMATICS I 5
  • 6.
    Survival Function  The basic of a survival model is a random lifetime variable and its corresponding distribution.  X: Life time of a newborn.  X: Cts, X  [0,  ] f X ( x)  Probability density function  Probability distribution F ( x ) X FM 2002 ACTUARIAL MATHEMATICS I 6
  • 7.
    Survival Distribution x F X ( x )  P ( X  x )  P (new born dies before age x )   f X ( s ) ds 0 FM 2002 ACTUARIAL MATHEMATICS I 7
  • 8.
    Survival Function  The survival function sX(x) is defined as the probability that a newborn survives to age x. Since this is the event that X>x we have s X ( x )  P ( X  x )  1  P ( X  x )  1  FX ( x ) FM 2002 ACTUARIAL MATHEMATICS I 8
  • 9.
     Suppose forexample that sX(75)=0.12, so that FX (75)=0.88. MEANS? FM 2002 ACTUARIAL MATHEMATICS I 9
  • 10.
    2  x  If s ( x )   1   , for 0  x  100, find F X (75), f X (75)  100  2  x  F X ( x )= 1 - s ( x )  1   1    100  2  75  F X (7 5)= 1 -  1   1  0 .2 5 2   100  F X (7 5)= 0 .9 3 7 5 d 2  x  f X ( x )= FX ( x)  1   dx 100  100  2  75  f X (7 5)= 1   100  100  f X (7 5)= 0 .0 0 5 FM 2002 ACTUARIAL MATHEMATICS I 10
  • 11.
    DeMoivre Law  Historical Model x s( x)  1  , for 0  x      is the limiting age by which all have died.  X : uniform distribution on the interval (0,) FM 2002 ACTUARIAL MATHEMATICS I 11
  • 12.
    The Future Lifetimeof Age (x)  Life insurance is usually issued on a person who has already attained a certain age x.  Life age (x).  Future life time of age (x): T(x) age x X (today) (death) x years of past life T years of future life FM 2002 ACTUARIAL MATHEMATICS I 12
  • 13.
    The Future Lifetimeof Age (x) W e are given that X  x , so T  X x S ince T is a function of X , its density function f T ( x ) ( t ) and distribution function FT ( x ) ( t ) shoud be re lated to X . FM 2002 ACTUARIAL MATHEMATICS I 13
  • 14.
    The Future Lifetimeof Age (x)  This gives the conditional probability that a newborn will die between the ages x and x+t. OR  age (x) dies before reaching to age x+t, OR  age (x) dies within next t years. t p x  the probability of survival to age x  t give n survival to age x. = P[T ( x )  t ] t q x  the probability of death before age x  t giv en survival to age x. = P[T ( x )  t ]  1  t p x FM 2002 ACTUARIAL MATHEMATICS I 14
  • 15.
    Remarks T he symbol, t q x can be interpreted as the p robability that ( x ) w ill die w ithin t years; that is t q x is the distribution function of T ( x ). T he sym bol, t p x can be interpreted as the p robability that ( x) w ill survive another t years; that is t p x is the survival function of T ( x). W hen t  1 the prefix is om itted and one j ust w rites p x and q x respectively. p x = P [T ( x )  1], the probability that ( x) survive s another year. q x  P [T ( x )  1], the probability that ( x) w ill die w ithin next ye ar. FM 2002 ACTUARIAL MATHEMATICS I 15
  • 16.
    Probability Concept t qx  1 t px FM 2002 ACTUARIAL MATHEMATICS I 16
  • 17.
    FM 2002 ACTUARIALMATHEMATICS I 17
  • 18.
    Special symbol  (x) will survive t years and die within the following u years: i.e. (x) will die between ages x+t and x+t+u. t |u q x  P [t  T ( x )  t  u ]  P [ x  t  X  x  t  u ] t |u qx  t u qx  t qx  t px  t u px t |u qx  t px u q x t FM 2002 ACTUARIAL MATHEMATICS I 18
  • 19.
    Prove that t |u qx  t p x u q xt FM 2002 ACTUARIAL MATHEMATICS I 19
  • 20.
    FM 2002 ACTUARIALMATHEMATICS I 20
  • 21.
    FM 2002 ACTUARIALMATHEMATICS I 21
  • 22.
    Compute tpx forthe DeMoivre law of mortality. Conclude that under the DeMoivre law T(x) has the uniform distribution on the interval (0,ω-x) FM 2002 ACTUARIAL MATHEMATICS I 22
  • 23.
    Force of Mortality  Consider s( x)  s( x  t) t q x  P[ x  X  x  t | X  x ]  s(x)  Now take t=Δx  FX ( x   x )  FX ( x ) x q x  P[ x  X  x   x | X  x ]  1  FX ( x )  FX ( x   x )  FX ( x )   x  f X ( x)x =    x   1  FX ( x )  1  FX ( x ) FM 2002 ACTUARIAL MATHEMATICS I 23
  • 24.
    Force of Mortality f X ( x)  For each age x, it gives the value of th e conditional p.d.f. 1  FX ( x ) of X at exact age x, given survival to that a g e.  Force of mortality f X ( x)   ( x) 1  FX ( x ) f X ( x)x x qx    ( x) ( x) 1  FX ( x )  This means the probability that x dies in the "next instant" delta(x). FM 2002 ACTUARIAL MATHEMATICS I 24
  • 25.
    Force of Mortality f X ( x)  s ( x )  ( x)   1  FX ( x ) s( x)  In Actuarial Science µ(x) is called the force of mortality. In reliability theory, the study of the survival probabilities of manufactured part system, µ(x) is called the failure rate or hazard rate or, more fully, the hazard rate function. FM 2002 ACTUARIAL MATHEMATICS I 25
  • 26.
    What is themeaning of qx = 0.008 versus the meaning of µ(x) = 0.008? FM 2002 ACTUARIAL MATHEMATICS I 26
  • 27.
    Prove that  x  s ( x )  exp     ( t ) dt   0  ds( x)  s ( x ) dx  ( x)     s( x) s(x) x ds( x)  s( x)     (t ) d (t ) 0 x  x  ln ( s ( x ))     ( t ) d ( t )  s ( x )  ex p     ( t ) d ( t )  0  0  FM 2002 ACTUARIAL MATHEMATICS I 27
  • 28.
    Example 2 If  ( x )  for 0  x  100, find s ( x ), F X ( x ), f X ( x ) 100  x Let x  40, find FT ( x ) ( t ) and f T ( x ) ( t ) FM 2002 ACTUARIAL MATHEMATICS I 28
  • 29.
    Properties of µ(x)  t  s ( x )  exp     ( t ) dt   0   ( x)  0 x    ( x ) dx   0 FM 2002 ACTUARIAL MATHEMATICS I 29
  • 30.
    Show that densityfunction of T(x) can be written in the following form fT ( x ) (t )  t p x  ( x  t ) FM 2002 ACTUARIAL MATHEMATICS I 30
  • 31.
    If the forceof mortality is constant then the life random variable X has an exponential distribution. Further T(x) is also exponentially distributed. FM 2002 ACTUARIAL MATHEMATICS I 31
  • 32.
    Find the forceof mortality for DeMoivers’ law. FM 2002 ACTUARIAL MATHEMATICS I 32
  • 33.
    FM 2002 ACTUARIALMATHEMATICS I 33
  • 34.
    FM 2002 ACTUARIALMATHEMATICS I 34
  • 35.
    Complete Expectation ofLife  The expected value of T(x), (E(T(x)) is known as the complete expectation of life at age x. 0 C omplete expectation life= e x  E ( T ( x))  Prove  0 e x  E (T ( x ))   t p x dt 0 FM 2002 ACTUARIAL MATHEMATICS I 35
  • 36.
     Show that E (T ( x ) )  2  t t p x d t 2 0 Remark: Var (T ( x ))  E (T ( x ) )  ( E (T ( x ))) 2 2 FM 2002 ACTUARIAL MATHEMATICS I 36
  • 37.
    If X followsDeMoivres’ law, compute E(T(x))  x s( x)  , 0  x   s( x  t)   ( x  t) px   , 0  t  -x  x t s( x) x 0  x e x  E (T ( x ))   t pxdt  2 0 FM 2002 ACTUARIAL MATHEMATICS I 37
  • 38.
    Life Tables  In practice the survival distribution is estimated by compiling mortality data in the form of a life table. Here is the conceptual model behind the entries in the table. Imagine that at time 0 there are l0 newborns. Here l0 is called the radix of the life table and is usually taken to be some large number such as 100,000. Denote by lx the number of these original newborns who are still alive at age x. Similarly ndx denotes the number of persons alive at age x who die before reaching age x + n. FM 2002 ACTUARIAL MATHEMATICS I 38
  • 39.
    Show d x  lx  lx n n  Since ndx is the number alive at age x who die by age x + n, this is simply the number alive at age x, which is lx, minus the number alive at age x + n, which is lx+n. FM 2002 ACTUARIAL MATHEMATICS I 39
  • 40.
    Consider a group of newborns l0 .  Each newborn's age-at-death has a distribution specified by survival function s(x).  L(x) - random number of survivors at age x.  Each newborn is viewed as a Bernoulli trial: survive – success, death – fail.  Hence L(x) has a binomial distribution: n= l0 , p=P(success) =s(x).  lx means expected # of survivors: FM 2002 ACTUARIAL MATHEMATICS I 40
  • 41.
    Basic Relationships s( x)  s( x  n) lx  lx n dx s( x  n) lx n qx    n n px   n s( x) lx lx s(x) lx l x  l x 1 dx l x 1 qx   px  lx lx lx lx n  lx n m d x n n |m qx   m lx lx  s ( x )  lx  ( x)   s( x) lx l x  n  l x  n 1 d xn n| qx   lx lx FM 2002 ACTUARIAL MATHEMATICS I 41
  • 42.
    Curtate Future Lifetime  A discrete random variable associated with the future lifetime is the number of future years completed by (x) prior to death. It is called the curtate future lifetime of (x), denoted by K(x), is defined by the relation: K ( x )  T ( x )   Here [ ] denote the greatest integer function. FM 2002 ACTUARIAL MATHEMATICS I 42
  • 43.
    The curtate futurelifetime of (x), K(x) is a discrete random variable with density:  The curtate lifetime, K(x), represents the number of complete future years lived by (x). FM 2002 ACTUARIAL MATHEMATICS I 43
  • 44.
    Given the followingportion of a life Table, find the distribution of K for x=90. FM 2002 ACTUARIAL MATHEMATICS I 44
  • 45.
    How to findfractional part???  Three approaches:  Uniform Distribution of Deaths in the Year of the Death (UDD)  Constant Force of Mortality  Balducci Assumption FM 2002 ACTUARIAL MATHEMATICS I 45
  • 46.
    Uniform Distribution ofDeaths in the Year of the Death (UDD)  The number alive at age x + t, where x is an integer and 0 < t < 1, is given by:  The UDD assumption means that the age at death of those who will die at curtate age x is uniformly distributed between the ages x and x + 1. In terms of the survival function the UDD assumption means: Where x is an integer and 0<t<1. FM 2002 ACTUARIAL MATHEMATICS I 46
  • 47.
    S h ow th at t q x  tq x t p x  1  tq x qx  (x  t)  1  tq x FM 2002 ACTUARIAL MATHEMATICS I 47
  • 48.
    Consider Previous Example  The ideas here will be introduced in the context of previous Exercise , a 3-year, discrete survival model for 90-year-old. The UDD linearly interpolates among these 4 points to obtain the complete graph of lx for all x between 90 and 93. FM 2002 ACTUARIAL MATHEMATICS I 48
  • 49.
    Now let T be the complete future lifetime of a 90-year-old from previous problem where we have extended the life table to a continuous model via the UDD assumption. l90  t  l90  t    l90  t f T ( x ) ( t )  t p 90  (90  t )    l90  l90  t  l90 FM 2002 ACTUARIAL MATHEMATICS I 49
  • 50.
    Curtate Life Expectancy  E(K) is known as the complete life expectancy and is denoted by ex   x 1   x 1 ex  E [ K ]   kf K ( x ) ( k )   k k pxqxk k 0 k 0 x 0 x x lxt  lxt dt ex   p x dt   dt  0 t 0 0 lx lx   x 1   x 1 l x  k 1 l x  1  l x  2  ...  l 1 ex   k 1 px   lx  lx k 0 k 0 FM 2002 ACTUARIAL MATHEMATICS I 50
  • 51.
    With UDD Assumption  Let T=K+S, then S is uniformly distributed over [0, 1).  Find the complete and curtate life expectancies at age 90 for the survival model FM 2002 ACTUARIAL MATHEMATICS I 51
  • 52.
    Constant Force ofMortality  The assumption of a constant force of mortality in each year of age means that μ(x+t)=μ(x), for each integer age x and 0<t<1 px  ( px ) t t s ( x  t )  s ( x ) exp(   t ), w here  =- ln p x FM 2002 ACTUARIAL MATHEMATICS I 52
  • 53.
    FM 2002 ACTUARIALMATHEMATICS I 53
  • 54.
    Balducci Assumption 1 1 t t   s(x  t) s(x) s ( x  1) Find expressions for tqx and μ(x+t), under this assumption FM 2002 ACTUARIAL MATHEMATICS I 54
  • 55.
    The Expected Numberof Years Lived by (x) 0 e x : n  T he expected num ber of years lived by ( x ) before age x  n e x :n  T he expected num ber of com plete years lived by ( x ) before age x  n T if T  n K if K  n  1   T    K   n if T  n  n if K  n FM 2002 ACTUARIAL MATHEMATICS I 55
  • 56.
    FM 2002 ACTUARIALMATHEMATICS I 56
  • 57.
    0 2 If  ( x )  , fo r 0  x  1 0 0, co m p u te e 5 0:2 5 100  x FM 2002 ACTUARIAL MATHEMATICS I 57
  • 58.
    Select Mortality andthe Underwriting Process  (x) may pass the medical test to buy insurance policy.  Survival function is actually dependent on two variables.  The age at the selection (application for insurance)  The amount of time passed after the time of selection  A life table which takes this effect into account is called a select table. FM 2002 ACTUARIAL MATHEMATICS I 58
  • 59.
    Notations  q[x]+i denotes the probability that a person dies between years x + i and x + i + 1 given that selection occurred at age x.  q25 - Probability that an insured 25-old will die in the next year.  q25 values for individuals underwritten at ages 0, 1, 2, ...,24, 25 are respectively denoted by q[0]+25, q[1]+24, …, q[25]. FM 2002 ACTUARIAL MATHEMATICS I 59
  • 60.
    A select mortality table is based on this idea. As one might expect, after a certain period of time the effect of selection on mortality is negligible. The length of time until the selection effect becomes negligible is called the select period. The Society of Actuaries uses a 15 year select period in its mortality tables. The Institute of Actuaries in UK uses a 2 year select period. The implication of the select period of 15 years in computations is that for each j≥0 FM 2002 ACTUARIAL MATHEMATICS I 60
  • 61.
    Aggregate Table  A life table in which the survival functions are tabulated for attained ages only is called an aggregate table. Generally, a select life table contains a final column which constitutes an aggregate table. The whole table is then referred to as a select and ultimate table and the last column is usually called an ultimate table. FM 2002 ACTUARIAL MATHEMATICS I 61
  • 62.
    Consider:  3-year select period  85%, 90%, 95% and 100% of general mortality in policy year 1,2,3 and 4, respectively.  With a 3-year select period an individual underwritten at age 21 would be subject to mortality rates at age 21, 22 and 23. FM 2002 ACTUARIAL MATHEMATICS I 62
  • 63.
    FM 2002 ACTUARIALMATHEMATICS I 63
  • 64.
    FM 2002 ACTUARIALMATHEMATICS I 64
  • 65.
    You are given the following extract from a 3 year select and ultimate mortality table. Assume that the ultimate table follows DeMoivre’s law and that d[x]=d[x]+1=d[x]+2 for all x. Find 1000( 2|2q[71] ) FM 2002 ACTUARIAL MATHEMATICS I 65
  • 66.
    2|2 q [ 71]  P robability of age 71 survies tw o years and w ill die the follow ing 2 years. FM 2002 ACTUARIAL MATHEMATICS I 66
  • 67.
    FM 2002 ACTUARIALMATHEMATICS I 67