http://www.iaeme.com/IJCET/index.asp 164 editor@iaeme.com
International Journal of Computer Engineering & Technology (IJCET)
Volume 7, Issue 3, May-June 2016, pp. 164–173, Article ID: IJCET_07_03_015
Available online at
http://www.iaeme.com/IJCET/issues.asp?JType=IJCET&VType=7&IType=3
Journal Impact Factor (2016): 9.3590 (Calculated by GISI) www.jifactor.com
ISSN Print: 0976-6367 and ISSN Online: 0976–6375
© IAEME Publication
A NOVEL SLOTTED ALLOCATION
MECHANISM TO PROVIDE QOS FOR EDCF
PROTOCOL
Naveed Farhana
Research Scholar, R& D Cell
JNTUH, Kukatpally, Hyderabad
Dr. H. S. N Murthy
Retired Professor, Dept of ECE
JNTUH, Kukatpally, Hyderabad
ABSTRACT
The IEEE 802.11e EDCF mechanism cannot guarantee the QOS of high-
priority traffic as the bandwidth consumption of the low-priority traffic
increases. Also, in the presence of high priority traffic dampen link utilization
of low priority traffic. To overcome these problems, we propose the Novel
mechanism in our research that extends IEEE 802.11e EDCF by introducing a
Super Slot and Virtual Collision. Compared to EDCF, our proposed approach
has EDCF has two advantages: (a) Higher priority traffic achieves Quality of
service regardless of the amount of low priority traffic, and (b) Low priority
traffic obtains a higher throughput in the presence of same amount of high
priority traffic.
Key words: QOS, IEEE 802.11e, EDCF, Throughput, Slotted, Collision etc
Cite this Article: Naveed Farhana and Dr. H. S. N Murthy, A Novel Slotted
Allocation Mechanism To Provide QOS For EDCF Protocol, International
Journal of Computer Engineering and Technology, 7(3), 2016, pp. 164–173.
http://www.iaeme.com/IJCET/issues.asp?JType=IJCET&VType=7&IType=3
1. INTRODUCTION
Due to the rapid growth in multimedia applications in wireless network, demand of
the quality of service requirement increases tremendously over a past few years [1].
In Addition to many wireless technologies IEEE 802.11 has assumed to be legacy
standard due to its key features like deployment flexibility, simple and cost
effectiveness etc. [2].IEEE has introduces a basic channel mode which is known as
DCF (Distributed coordination Function), which is mandatory medium access
medium can be used to serve the best effort applications such as FTP, HTTP and
SMTP[3].
A Novel Slotted Allocation Mechanism To Provide QOS For EDCF Protocol
http://www.iaeme.com/IJCET/index.asp 165 editor@iaeme.com
The requirement for the real time application leads to the establishment of the
IEEE 802.11e group task on July 1999.On December 2005 ,the task group published
the IEEE 802.11e amendment and its provides differentiated levels of quality of
service(QOS) to application including voice and video over a WLAN’S.
The enhanced distributed channel function (EDCF), which supports traffic
differentiation and is based on user priorities; it also provides some additional
mechanism for QOS enhancements such as block acknowledgement, which allows the
single acknowledgement for a group of frames [4],[7].
As the original 802.11 DCF protocol, Carrier Sense Multiple Access with
Collision Avoidance (CSMA/CA) with binary exponential backoff mechanism is also
followed in the EDCF protocol [6]. Whenever two or more ACs simultaneously
transmit packets to the same station, the AC with the highest priority is allowed to
access the channel , and all the others results in a virtual collision [21,22] and are
randomly assigned with different backoff counters values . Since the EDCF protocol
is essentially relies on service differentiation parameters to obtain QOS requirements,
this single slot contention mechanism results in underutilization of channel , high
collision probabilities and longer backoff delay both in unsaturated and saturated
cases.
In order to overcome the mentioned deficiencies, static differentiation parameters
of EDCF protocol [10,11] , dynamic contention window control [15,16] and TXOP
allocation [17,18] schemes have been followed to maximize the throughput and
reduce the backoff delay. However, the admission control methods [19,20] were also
proposed to guarantee traffic QOS [21]. In addition, new backoff scheme was
proposed and also implemented to achieve resource reservation by reusing one or
multiple time slots for transmission in successive backoff cycles [22]. Moreover, all
these proposed methods are based on a single slot (per slot) contention mechanism
with exponential backoff, which still may , introduces high collision probability and
underutilization of the resources . In order to improve the performance of MAC
protocols with a single slot contention mechanism, Virtual Collision Mechanism has
been proposed to reduce the collisions by assembling multiple slots together into a
super slot [23]. Based on the backoff mechanism of multi-slot Virtual collision
mechanism, the backoff counter of each AC is decreased as a super slot not at each
time slot when the channel is sensed idle, which results in external delay in terms of
time compare to the MAC protocol, due to the reserved slots in a super slot, but
compare to other protocols total throughput increases as the collision probability
decreases. In the recent research paper [13] super slot mechanism is introduced here,
internal collision is converted into virtual collision [21,22] to guarantee the
transmission of ACs with the highest priority in the original EDCA protocol, although
the real collision is avoided by this mechanism, extra transmission delay and collision
may still introduced to the ACs with a lower priority unfortunately. However, the
internal collisions among ACs in one station are decreased, and may introduce the
delay but probability of collision is decreased effectively to improve the throughput
[24, 25].
2. MEDIUM ACCESS CONTROL FUNCTIONS IN IEEE 802.11
A. Distributed Coordination Function (DCF)
The majority of recent wireless LAN developments realize on contention based
mechanism called as distribution coordination function (DCF).According to it, the
Naveed Farhana and Dr. H. S. N Murthy
http://www.iaeme.com/IJCET/index.asp 166 editor@iaeme.com
station wishes to send the data must win the contention with its contending stations in
order the access the medium [5]. The contention is based on timing constraint’s as
well as on the random waiting periods between them called as inter-frame spaces
(IFS).
IEEE Standard distinguishes them as
 SIFS (Short inter-frame) as the shortest waiting period.
 Often Stations transmits user data, they must defer by (DIFS) defer inter-frame space
before they start the transmission.
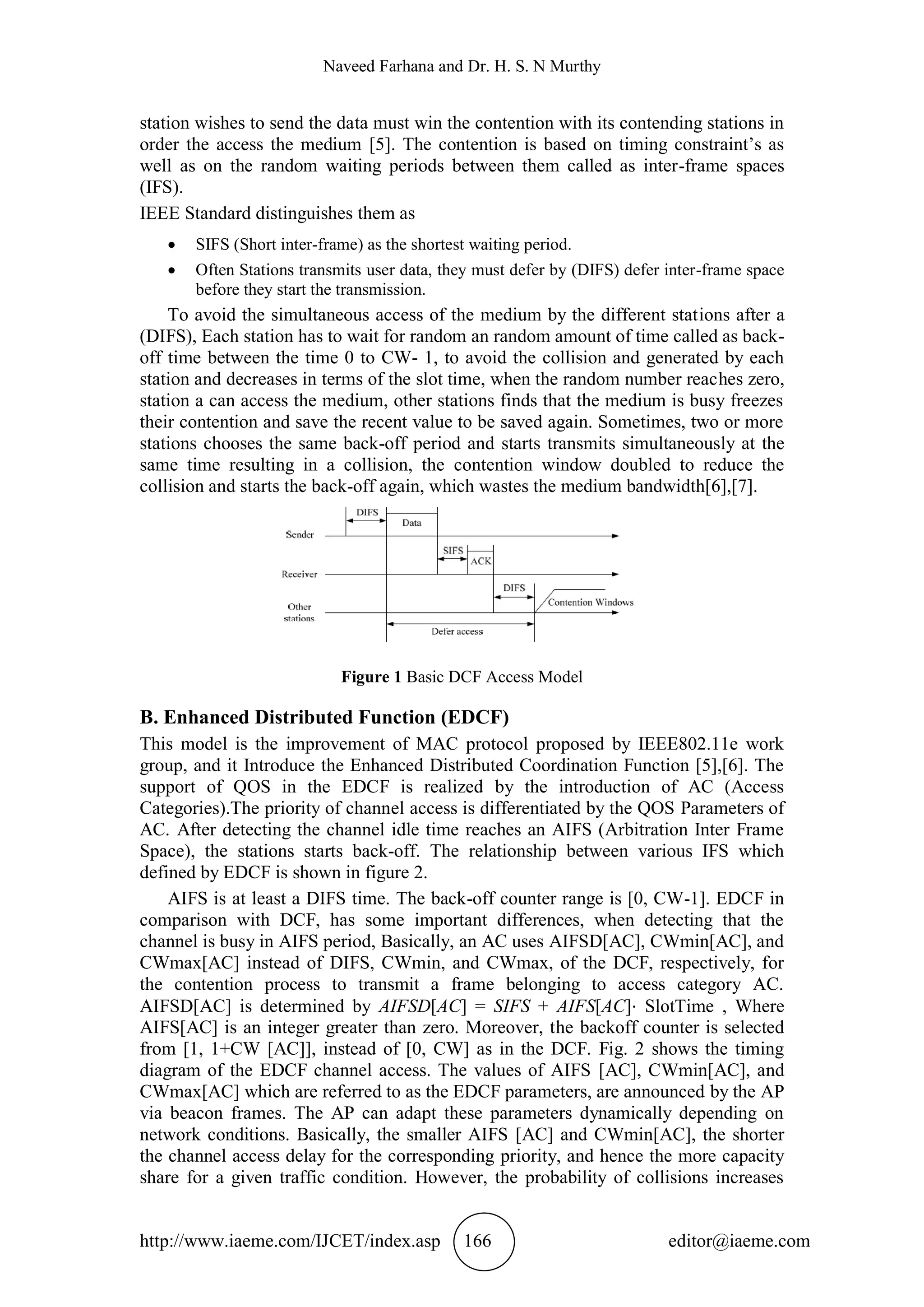
To avoid the simultaneous access of the medium by the different stations after a
(DIFS), Each station has to wait for random an random amount of time called as back-
off time between the time 0 to CW- 1, to avoid the collision and generated by each
station and decreases in terms of the slot time, when the random number reaches zero,
station a can access the medium, other stations finds that the medium is busy freezes
their contention and save the recent value to be saved again. Sometimes, two or more
stations chooses the same back-off period and starts transmits simultaneously at the
same time resulting in a collision, the contention window doubled to reduce the
collision and starts the back-off again, which wastes the medium bandwidth[6],[7].
Figure 1 Basic DCF Access Model
B. Enhanced Distributed Function (EDCF)
This model is the improvement of MAC protocol proposed by IEEE802.11e work
group, and it Introduce the Enhanced Distributed Coordination Function [5],[6]. The
support of QOS in the EDCF is realized by the introduction of AC (Access
Categories).The priority of channel access is differentiated by the QOS Parameters of
AC. After detecting the channel idle time reaches an AIFS (Arbitration Inter Frame
Space), the stations starts back-off. The relationship between various IFS which
defined by EDCF is shown in figure 2.
AIFS is at least a DIFS time. The back-off counter range is [0, CW-1]. EDCF in
comparison with DCF, has some important differences, when detecting that the
channel is busy in AIFS period, Basically, an AC uses AIFSD[AC], CWmin[AC], and
CWmax[AC] instead of DIFS, CWmin, and CWmax, of the DCF, respectively, for
the contention process to transmit a frame belonging to access category AC.
AIFSD[AC] is determined by AIFSD[AC] = SIFS + AIFS[AC]⋅ SlotTime , Where
AIFS[AC] is an integer greater than zero. Moreover, the backoff counter is selected
from [1, 1+CW [AC]], instead of [0, CW] as in the DCF. Fig. 2 shows the timing
diagram of the EDCF channel access. The values of AIFS [AC], CWmin[AC], and
CWmax[AC] which are referred to as the EDCF parameters, are announced by the AP
via beacon frames. The AP can adapt these parameters dynamically depending on
network conditions. Basically, the smaller AIFS [AC] and CWmin[AC], the shorter
the channel access delay for the corresponding priority, and hence the more capacity
share for a given traffic condition. However, the probability of collisions increases
A Novel Slotted Allocation Mechanism To Provide QOS For EDCF Protocol
http://www.iaeme.com/IJCET/index.asp 167 editor@iaeme.com
when operating with smaller CWmin[AC]. These parameters can be used in order to
differentiate the channel access among different priority traffic [8].
In summary, EDCF provides different access priorities by modifying three control
parameters of DCF Competitive mechanism: 1) Inter-Frame Space 2) Adjustable
contention window.
Figure 2 EDCF access Model
Table I Priority of Access Category Mapping
Priority Access Category Traffic Class
0 0 Best Effort
1 0 Best Effort
2 0 Best Effort
3 1 Video probe
4 2 video
5 2 video
6 3 voice
7 3 voice
3. PROPOSED MODEL
In the section 2 , have discussed the basic DCF model and EDCF mechanism,
Although the EDCF overcome the drawbacks of DCF[9] and also provides QOS
Differentiation in wireless LANS, but when low priority traffic is increased ,the QOS
of high priority is stopped ,and also in the presence of high priority traffic ,decreases
the average throughput of the low priority traffic[7],[8] ,which decreases the overall
utilization of the medium[7],[10]. To overcome this problem, we propose a new
mechanism which is based on the super-slot and virtual collisions [5, 23]. Shown in
figure below, illustrates this mechanism, Here a Super-Slot consists of ‘N ‘number of
slots, Each sub-slot is equal to 20 S defined by 802.11 [10,11].
Figure 3 Proposed Algorithm
Naveed Farhana and Dr. H. S. N Murthy
http://www.iaeme.com/IJCET/index.asp 168 editor@iaeme.com
Hence, duration of each super-slot is equal to N *20 S.
Where, N is an integer and a predefined parameter.
Here, the contention window sizes such as CWmin and CWmax in IEEE 802.11
DCF are the multiples of the Super-Slot size, which is again N Sub -Slots. The
backoff Process is the same as the IEEE 802.11 DCF except that a Super-Slot is used
as the decreasing time unit instead of the Sub-Slot. When the backoff timer of Super-
Slot expires, the station does not transmit the packet immediately but it chooses
another random deferring time, which is equal to d* Sub-Slot (0 < d < N). If the
medium is idle until the chosen deferring time expires, the station transmits the
packet. Otherwise, if other station transmits a packet, it regards this attempt as a
Virtual Collision, and it doubles its CW and starts a new back-off process [11]. So,
our mechanism super-slot is obtained by assembling sub-slots. the first super slot is
allocated to the highest priority AC (0), the second super slot is allocated to the
medium priority AC(1), and the last super-slot is shared by AC(2) and AC(3) due to
their lower priorities and consists of NAC sub-slots , where N0, N1 and N2 are equal to
2,4 and 8 respectively and back-off is done performed with these parameters
depending upon the category to which packet belongs[13],[14].When the back-off
timer expires, a deferring time is chosen randomly in the range of [0, NAC-1]. If the
medium is idle until the deferring timer expires, it transmits the packet. Otherwise, it
deems this situation as a Virtual Collision, so that it performs an exponential back-off.
When Virtual Collision occurs, the retry counter is not increased since nothing has
been really transmitted.
Both Super- Slot and Virtual collision decrease the real collision probability and
hence increase the Total Throughput.
4. PERFORMANCE ANALYSIS
In order to prove the higher total throughput, we model a single class of traffic as
follows, which is based on the discrete-time Markov chain analysis in [2][15]. Which
assumes that Ideal channel conditions with no hidden nodes, with Constant
independent transmission probability independent of no of retransmissions suffered
and finite no of stations[13],[14] .
If ‘p’ is conditional probability of real and virtual collision.
(1)
Where is the probability that a station transmits in a randomly chosen slot time .
Let ptr (j) is the probability that there is at least one transmission in the Jth
Sub slot
time of super slot.
(2)
ptr (j) . ps(j) is the probability that there is a successful transmission in the jth
sub slot
time of the super slot.
(3)
Finally ‘N ’ are the number of slot
Stationary probability ( that the station transmit a packet in a generic (randomly
chosen) slot time.
A Novel Slotted Allocation Mechanism To Provide QOS For EDCF Protocol
http://www.iaeme.com/IJCET/index.asp 169 editor@iaeme.com
(4)
Here, w = CWmin
m is the maximum backoff stage
CWmax = 2m
W
Wi = 2i
W ,where i €(0,m) called the backoff stage.
Throughput (S) = E (payload information transmitted in a slot time)
(5)
N (Length of the slot time)
S = ______________________
+
Let Ps be the probability that a transmission occurring on the channel is successful
is given by the probability that exactly one station transmits on the channel
conditioned on the fact that at least one station transmits.
(7)
E(P) is the average packet payload size ,the average amount of payload size, the
average amount of payload information successfully transmitted in a slot time is
Ptr.Ps.E(P).
Since a successful transmission occurs in a slot time is readily obtained
considering that probability (1- Ptr ), Only if they exceed a given predetermined
threshold T on the packet payload.
5. RESULTS
To evaluate the performance of the our proposed mechanism , simulations are
conducted in a widely used OPNET Simulator and the results are compared EDCF
protocol .our approach has introduces slot allocation mechanism ,so all existing
optimization approaches can be applied directly The parameters of IEEE 802.11e
MAC-layer and PHY-layer used in simulations are listed in Table II .In our
simulations, a wireless local area network with one Access Point (AP) and n stations
within the same transmission range is considered.
Each station has four ACs transmitting packets simultaneously. The maximum
transmission packet size over the simulated network is 1024 bytes. The queue size of
all ACs are predefined as 50 packets.
Ptr Ps . E[P]
(6)
Naveed Farhana and Dr. H. S. N Murthy
http://www.iaeme.com/IJCET/index.asp 170 editor@iaeme.com
TABLE II Simulation Parameters
Parameter Definition Value
PHY Header Physical layer header 192 bits
MAC Header MAC layer Header 272 bits
ACK Frame Acknowledgement Frame 304 bits
RTS Frame Request to sent 352 bits
CTS Frame Clear to sent 304 bits
Payload Data Payload 8000 bits
Data Rate Sending Data rate 54 Mbps
Time Slot Time Slot 20µsec
SIFS Short inter frame space 10 µsec
AIFS Arbitrary inter frame [2,2,3,7]
CWmin
Minimum Contention window
size
[7,15,31,31]
CWmax
Maximum Contention
window size
[15,31,1023,1023]
Under various network conditions, we observed the average delay and loss rate for
voice traffic, and the throughput for video traffic. Basic parameters for the IEEE
802.11e EDCF are given in Table 1, depending on the priority (access category)
The real collision probability and the throughput by this analysis are plotted in Fig
4 & Fig 5
Figure 4 Collision Probability Figure 5 Throughput
Fig. 6 shows the average delay for different traffic flows under the proposed
algorithm and EDCF. As our proposed mechanism is used it prevents the average
delay for voice from increasing as the number of video connections increases. When
there are 10 video connections, the average delay experienced by voice connections is
about 2 ms with proposed mechanism. While it is 3 ms seconds with EDCF.
A Novel Slotted Allocation Mechanism To Provide QOS For EDCF Protocol
http://www.iaeme.com/IJCET/index.asp 171 editor@iaeme.com
Figure 6 Average Delay
Fig. 7 Shows the average packet loss rate for 10 voice connections. When
proposed mechanism is used, there is no voice packet loss regardless on the number
of video connections and data packets presents. However, in EDCF, voice packet loss
rate continues to increase as the number of video connections increases. Fig. 6 and 7
shows that the proposed mechanism can guarantee the QOS for high priority traffic
despite increasing low priority traffic.
Figure 7 Loss Rate
6. CONCLUSIONS
We proposed the concepts of Super-Slot and virtual collision which enhances IEEE
802.11e EDCF. Unlike EDCF, proposed mechanism provides strict QOS for high
priority traffic regardless of amount of low-priority traffic. It also is also able to
achieve more efficient resource utilization for low-priority traffic even with high-
priority traffic.
REFERENCES
[1] Mohammed A, Al-Maqri , Mohamed Othman, Borhanuddin, Mohd Ali, Adaptive
Multi-polling Scheduler for QoS Support of Video Transmission in IEEE 802.11e
WLANs, Arvix February 2016
[2] Raimundo Viegas Jr, Luiz Affonso Guedes, Francisco Vasques, A new MAC
scheme specifically suited for real-time industrial communication based on IEEE
802.11e, Computers and Electrical Engineering 39 (2013) 1684–1704
[3] Jiho Ryu, Yongho Seok, S-EDCF based on SuperSlot and Pseudo Collision,
Poster presentation in mobicom, 2005 seoul.
Naveed Farhana and Dr. H. S. N Murthy
http://www.iaeme.com/IJCET/index.asp 172 editor@iaeme.com
[4] Y. Li, C. S. Chen, Y.-Q. Song, Z. Wang et al, Real-time QoS support in wireless
sensor networks: a survey, in 7th
IFAC International Conference on Fieldbuses &
Networks in Industrial & Embedded Systems-FeT’2007
[5] IEEE (2012) IEEE std 802.11-2012. Technical report.
[6] Pavel Rajmic1, Jirí Hošek, Michal Fusek, Sergey Andreev and Julius Stecík,
Simplified Probabilistic Modelling and Analysis of Enhanced Distributed
Coordination Access in IEEE 802.11, The Computer Journal Advance Access
published August , 2014.
[7] Sunghyun Choi, Javier del Prado, Sai Shankar N, Stefan Mangold, IEEE 802.11e
Contention-Based Channel Access (EDCF) performance Evaluation, IEEE
Magazine.
[8] Saurabh Sehrawat, Revoti Prasad Bora, Dheeraj Harihar, Performance Analysis
of QoS supported by Enhanced Distributed Channel Access (EDCA) mechanism
in IEEE 802.11e, IAENG International Journal of Computer Science IEEE (2012)
IEEE std 802.11-2012. Technical report. IEEE.
[9] Siwaruk Siwamogsatham, A Hybrid Coordination Function Scheme for WLANs
International Journal of Hybrid Information Technology 1(3), July, 2008
[10] E.Charfi, L.Chaari, L.Kamoun, PHY/MAC enhancements and QoS mechanisms
for very high throughput WLANs: A Survey, IEEE Commun. Surv. Tutor.
15(4)(2013)
[11] M.A. Santos, J. Villalon, L. Orozco-Barbosa, A novel QoE-aware multicast
Mechisnism for video Communications over IEEE 802.11 WLANs, IEEE J. Sel.
Areas Communication magzine. 30 (7) (2012) 1205-1214.
[12] Boris Bellaltaa, Luciano Bononib, Raffaele Brunoc, Andreas Kassler, Next
generation IEEE802.11 Wireless Local Area, etworks: Current status future
directions and open challenges, Computer Communications 75 (2 016) 1–25.
[13] Jiang T, Shao S, Wei K etc. Research on an Improved Algorithm Based on
IEEE802.11e EDCF Mechanism[C], Wireless Communications, Networking and
Mobile Computing, 2008. 4th International Conference on Dalian China, p. 1–3.
[14] IEEE WG, IEEE 802.11e/D4.0, Draft Supplement to Part 11: Wireless Medium
Access Control (MAC). and Physical Layer (PHY) specifications: Medium
Access Control (MAC) Enhancements for Quality of Service (QOS), November
2002.
[15] Performance analysis of the IEEE 802.11 distributed coordination function, IEEE
Journal of Selected Areas Communications, 18, pp. 535–547, Mar. 2000.
[16] B.A.H. Sithira Abeysekera, T. Matsuda, T. Takine, Dynamic contention window
control scheme in IEEE 802.11e EDCA-based wireless LANs, IEICE Trans.
Commun. E93–B (1) (2010) 56–64.
[17] C. Cano, B. Bellalta, A. Sfairopoulou, J. Barcelo, Tuning the EDCA parameters
in WLANs with heterogeneous traffic: A flow-level analysis, Comput. Network
54 (13) (2010) 2199–2214.
[18] J. Misic, S. Rashwand, Analysis of impact of TXOP allocation on IEEE 802.11e
EDCA under variable network load, IEEE Trans. Parallel Distribution System. 23
(5) (2012) 785–799.
[19] G. Cecchetti, A.L. Ruscelli, A. Mastropaolo, G. Lipari, Providing variable TXOP
for IEEE 802.11e HCCA real-time networks, in: 2012 IEEE Wireless
Communications and Networking Conference (WCNC), 2012, pp. 1508–1513.
[20] J. Hu, G. Min, W. Jia, M.E. Woodward, Admission control in the IEEE 802.11e
WLANs based on analytical modeling and game theory, in 2009 IEEE
GLOBECOM, 2009, pp. 1–6.
A Novel Slotted Allocation Mechanism To Provide QOS For EDCF Protocol
http://www.iaeme.com/IJCET/index.asp 173 editor@iaeme.com
[21] Y. Liu, M. Meng, Survey of admission control algorithms in IEEE 802.11e
wireless LANs, in: 2009 International Conference on Future Computer and
Communication, 2009, pp. 230–233.
[22] A. Leonovich, H.-W. Ferng, A time slots coordination mechanism for IEEE
802.11 WLANs, IEEE Communication. Letter. 14 (4) (2010) 360–362.
[23] Y. He, J. Sun, R. Yuan, W. Gong, A reservation based back off method for video
streaming in 802.11 home networks, IEEE J. Sel. Areas Communication 28 (3)
(2010) 332–343.
[24] K. Kang, H. Jiang, X. Lin, Research on multi-slot virtual collision mechanism for
IEEE 802.11 DCF, in: 2008 Vehicular Technology Conference, Fall 2008, pp. 1–
6.
[25] Parvinder And Dr. V.K. Suman, A Review On Routing Protocol In Manet,
International Journal of Advanced Research in Engineering and Technology,
4(5), 2013, pp. 243–250.
[26] Anjumol O N and P.K.K Thampi, An Energy Efficient Protocol Based Study of
WSN To Increase The Lifetime, International Journal of Computer Engineering
and Technology, 5(12), 2014, pp. 70–75.
[27] Roshan Singh Sachan, Raghav Yadav and Ajeet Kumar Rai, A Survey of Energy-
Efficient Communication Protocols In WSN, International Journal of Computer
Engineering and Technology, 7(3), 2015, pp. 7–16.
[28] Xin-Wei Yao A, Wan-Liang Wang, A Novel Hybrid Slot Allocation Mechanism
for 802.11e EDCA Protocol, Information Processing Letters (Elsevier) 114
(2014) 25–30.

A NOVEL SLOTTED ALLOCATION MECHANISM TO PROVIDE QOS FOR EDCF PROTOCOL

  • 1.
    http://www.iaeme.com/IJCET/index.asp 164 editor@iaeme.com InternationalJournal of Computer Engineering & Technology (IJCET) Volume 7, Issue 3, May-June 2016, pp. 164–173, Article ID: IJCET_07_03_015 Available online at http://www.iaeme.com/IJCET/issues.asp?JType=IJCET&VType=7&IType=3 Journal Impact Factor (2016): 9.3590 (Calculated by GISI) www.jifactor.com ISSN Print: 0976-6367 and ISSN Online: 0976–6375 © IAEME Publication A NOVEL SLOTTED ALLOCATION MECHANISM TO PROVIDE QOS FOR EDCF PROTOCOL Naveed Farhana Research Scholar, R& D Cell JNTUH, Kukatpally, Hyderabad Dr. H. S. N Murthy Retired Professor, Dept of ECE JNTUH, Kukatpally, Hyderabad ABSTRACT The IEEE 802.11e EDCF mechanism cannot guarantee the QOS of high- priority traffic as the bandwidth consumption of the low-priority traffic increases. Also, in the presence of high priority traffic dampen link utilization of low priority traffic. To overcome these problems, we propose the Novel mechanism in our research that extends IEEE 802.11e EDCF by introducing a Super Slot and Virtual Collision. Compared to EDCF, our proposed approach has EDCF has two advantages: (a) Higher priority traffic achieves Quality of service regardless of the amount of low priority traffic, and (b) Low priority traffic obtains a higher throughput in the presence of same amount of high priority traffic. Key words: QOS, IEEE 802.11e, EDCF, Throughput, Slotted, Collision etc Cite this Article: Naveed Farhana and Dr. H. S. N Murthy, A Novel Slotted Allocation Mechanism To Provide QOS For EDCF Protocol, International Journal of Computer Engineering and Technology, 7(3), 2016, pp. 164–173. http://www.iaeme.com/IJCET/issues.asp?JType=IJCET&VType=7&IType=3 1. INTRODUCTION Due to the rapid growth in multimedia applications in wireless network, demand of the quality of service requirement increases tremendously over a past few years [1]. In Addition to many wireless technologies IEEE 802.11 has assumed to be legacy standard due to its key features like deployment flexibility, simple and cost effectiveness etc. [2].IEEE has introduces a basic channel mode which is known as DCF (Distributed coordination Function), which is mandatory medium access medium can be used to serve the best effort applications such as FTP, HTTP and SMTP[3].
  • 2.
    A Novel SlottedAllocation Mechanism To Provide QOS For EDCF Protocol http://www.iaeme.com/IJCET/index.asp 165 editor@iaeme.com The requirement for the real time application leads to the establishment of the IEEE 802.11e group task on July 1999.On December 2005 ,the task group published the IEEE 802.11e amendment and its provides differentiated levels of quality of service(QOS) to application including voice and video over a WLAN’S. The enhanced distributed channel function (EDCF), which supports traffic differentiation and is based on user priorities; it also provides some additional mechanism for QOS enhancements such as block acknowledgement, which allows the single acknowledgement for a group of frames [4],[7]. As the original 802.11 DCF protocol, Carrier Sense Multiple Access with Collision Avoidance (CSMA/CA) with binary exponential backoff mechanism is also followed in the EDCF protocol [6]. Whenever two or more ACs simultaneously transmit packets to the same station, the AC with the highest priority is allowed to access the channel , and all the others results in a virtual collision [21,22] and are randomly assigned with different backoff counters values . Since the EDCF protocol is essentially relies on service differentiation parameters to obtain QOS requirements, this single slot contention mechanism results in underutilization of channel , high collision probabilities and longer backoff delay both in unsaturated and saturated cases. In order to overcome the mentioned deficiencies, static differentiation parameters of EDCF protocol [10,11] , dynamic contention window control [15,16] and TXOP allocation [17,18] schemes have been followed to maximize the throughput and reduce the backoff delay. However, the admission control methods [19,20] were also proposed to guarantee traffic QOS [21]. In addition, new backoff scheme was proposed and also implemented to achieve resource reservation by reusing one or multiple time slots for transmission in successive backoff cycles [22]. Moreover, all these proposed methods are based on a single slot (per slot) contention mechanism with exponential backoff, which still may , introduces high collision probability and underutilization of the resources . In order to improve the performance of MAC protocols with a single slot contention mechanism, Virtual Collision Mechanism has been proposed to reduce the collisions by assembling multiple slots together into a super slot [23]. Based on the backoff mechanism of multi-slot Virtual collision mechanism, the backoff counter of each AC is decreased as a super slot not at each time slot when the channel is sensed idle, which results in external delay in terms of time compare to the MAC protocol, due to the reserved slots in a super slot, but compare to other protocols total throughput increases as the collision probability decreases. In the recent research paper [13] super slot mechanism is introduced here, internal collision is converted into virtual collision [21,22] to guarantee the transmission of ACs with the highest priority in the original EDCA protocol, although the real collision is avoided by this mechanism, extra transmission delay and collision may still introduced to the ACs with a lower priority unfortunately. However, the internal collisions among ACs in one station are decreased, and may introduce the delay but probability of collision is decreased effectively to improve the throughput [24, 25]. 2. MEDIUM ACCESS CONTROL FUNCTIONS IN IEEE 802.11 A. Distributed Coordination Function (DCF) The majority of recent wireless LAN developments realize on contention based mechanism called as distribution coordination function (DCF).According to it, the
  • 3.
    Naveed Farhana andDr. H. S. N Murthy http://www.iaeme.com/IJCET/index.asp 166 editor@iaeme.com station wishes to send the data must win the contention with its contending stations in order the access the medium [5]. The contention is based on timing constraint’s as well as on the random waiting periods between them called as inter-frame spaces (IFS). IEEE Standard distinguishes them as  SIFS (Short inter-frame) as the shortest waiting period.  Often Stations transmits user data, they must defer by (DIFS) defer inter-frame space before they start the transmission. To avoid the simultaneous access of the medium by the different stations after a (DIFS), Each station has to wait for random an random amount of time called as back- off time between the time 0 to CW- 1, to avoid the collision and generated by each station and decreases in terms of the slot time, when the random number reaches zero, station a can access the medium, other stations finds that the medium is busy freezes their contention and save the recent value to be saved again. Sometimes, two or more stations chooses the same back-off period and starts transmits simultaneously at the same time resulting in a collision, the contention window doubled to reduce the collision and starts the back-off again, which wastes the medium bandwidth[6],[7]. Figure 1 Basic DCF Access Model B. Enhanced Distributed Function (EDCF) This model is the improvement of MAC protocol proposed by IEEE802.11e work group, and it Introduce the Enhanced Distributed Coordination Function [5],[6]. The support of QOS in the EDCF is realized by the introduction of AC (Access Categories).The priority of channel access is differentiated by the QOS Parameters of AC. After detecting the channel idle time reaches an AIFS (Arbitration Inter Frame Space), the stations starts back-off. The relationship between various IFS which defined by EDCF is shown in figure 2. AIFS is at least a DIFS time. The back-off counter range is [0, CW-1]. EDCF in comparison with DCF, has some important differences, when detecting that the channel is busy in AIFS period, Basically, an AC uses AIFSD[AC], CWmin[AC], and CWmax[AC] instead of DIFS, CWmin, and CWmax, of the DCF, respectively, for the contention process to transmit a frame belonging to access category AC. AIFSD[AC] is determined by AIFSD[AC] = SIFS + AIFS[AC]⋅ SlotTime , Where AIFS[AC] is an integer greater than zero. Moreover, the backoff counter is selected from [1, 1+CW [AC]], instead of [0, CW] as in the DCF. Fig. 2 shows the timing diagram of the EDCF channel access. The values of AIFS [AC], CWmin[AC], and CWmax[AC] which are referred to as the EDCF parameters, are announced by the AP via beacon frames. The AP can adapt these parameters dynamically depending on network conditions. Basically, the smaller AIFS [AC] and CWmin[AC], the shorter the channel access delay for the corresponding priority, and hence the more capacity share for a given traffic condition. However, the probability of collisions increases
  • 4.
    A Novel SlottedAllocation Mechanism To Provide QOS For EDCF Protocol http://www.iaeme.com/IJCET/index.asp 167 editor@iaeme.com when operating with smaller CWmin[AC]. These parameters can be used in order to differentiate the channel access among different priority traffic [8]. In summary, EDCF provides different access priorities by modifying three control parameters of DCF Competitive mechanism: 1) Inter-Frame Space 2) Adjustable contention window. Figure 2 EDCF access Model Table I Priority of Access Category Mapping Priority Access Category Traffic Class 0 0 Best Effort 1 0 Best Effort 2 0 Best Effort 3 1 Video probe 4 2 video 5 2 video 6 3 voice 7 3 voice 3. PROPOSED MODEL In the section 2 , have discussed the basic DCF model and EDCF mechanism, Although the EDCF overcome the drawbacks of DCF[9] and also provides QOS Differentiation in wireless LANS, but when low priority traffic is increased ,the QOS of high priority is stopped ,and also in the presence of high priority traffic ,decreases the average throughput of the low priority traffic[7],[8] ,which decreases the overall utilization of the medium[7],[10]. To overcome this problem, we propose a new mechanism which is based on the super-slot and virtual collisions [5, 23]. Shown in figure below, illustrates this mechanism, Here a Super-Slot consists of ‘N ‘number of slots, Each sub-slot is equal to 20 S defined by 802.11 [10,11]. Figure 3 Proposed Algorithm
  • 5.
    Naveed Farhana andDr. H. S. N Murthy http://www.iaeme.com/IJCET/index.asp 168 editor@iaeme.com Hence, duration of each super-slot is equal to N *20 S. Where, N is an integer and a predefined parameter. Here, the contention window sizes such as CWmin and CWmax in IEEE 802.11 DCF are the multiples of the Super-Slot size, which is again N Sub -Slots. The backoff Process is the same as the IEEE 802.11 DCF except that a Super-Slot is used as the decreasing time unit instead of the Sub-Slot. When the backoff timer of Super- Slot expires, the station does not transmit the packet immediately but it chooses another random deferring time, which is equal to d* Sub-Slot (0 < d < N). If the medium is idle until the chosen deferring time expires, the station transmits the packet. Otherwise, if other station transmits a packet, it regards this attempt as a Virtual Collision, and it doubles its CW and starts a new back-off process [11]. So, our mechanism super-slot is obtained by assembling sub-slots. the first super slot is allocated to the highest priority AC (0), the second super slot is allocated to the medium priority AC(1), and the last super-slot is shared by AC(2) and AC(3) due to their lower priorities and consists of NAC sub-slots , where N0, N1 and N2 are equal to 2,4 and 8 respectively and back-off is done performed with these parameters depending upon the category to which packet belongs[13],[14].When the back-off timer expires, a deferring time is chosen randomly in the range of [0, NAC-1]. If the medium is idle until the deferring timer expires, it transmits the packet. Otherwise, it deems this situation as a Virtual Collision, so that it performs an exponential back-off. When Virtual Collision occurs, the retry counter is not increased since nothing has been really transmitted. Both Super- Slot and Virtual collision decrease the real collision probability and hence increase the Total Throughput. 4. PERFORMANCE ANALYSIS In order to prove the higher total throughput, we model a single class of traffic as follows, which is based on the discrete-time Markov chain analysis in [2][15]. Which assumes that Ideal channel conditions with no hidden nodes, with Constant independent transmission probability independent of no of retransmissions suffered and finite no of stations[13],[14] . If ‘p’ is conditional probability of real and virtual collision. (1) Where is the probability that a station transmits in a randomly chosen slot time . Let ptr (j) is the probability that there is at least one transmission in the Jth Sub slot time of super slot. (2) ptr (j) . ps(j) is the probability that there is a successful transmission in the jth sub slot time of the super slot. (3) Finally ‘N ’ are the number of slot Stationary probability ( that the station transmit a packet in a generic (randomly chosen) slot time.
  • 6.
    A Novel SlottedAllocation Mechanism To Provide QOS For EDCF Protocol http://www.iaeme.com/IJCET/index.asp 169 editor@iaeme.com (4) Here, w = CWmin m is the maximum backoff stage CWmax = 2m W Wi = 2i W ,where i €(0,m) called the backoff stage. Throughput (S) = E (payload information transmitted in a slot time) (5) N (Length of the slot time) S = ______________________ + Let Ps be the probability that a transmission occurring on the channel is successful is given by the probability that exactly one station transmits on the channel conditioned on the fact that at least one station transmits. (7) E(P) is the average packet payload size ,the average amount of payload size, the average amount of payload information successfully transmitted in a slot time is Ptr.Ps.E(P). Since a successful transmission occurs in a slot time is readily obtained considering that probability (1- Ptr ), Only if they exceed a given predetermined threshold T on the packet payload. 5. RESULTS To evaluate the performance of the our proposed mechanism , simulations are conducted in a widely used OPNET Simulator and the results are compared EDCF protocol .our approach has introduces slot allocation mechanism ,so all existing optimization approaches can be applied directly The parameters of IEEE 802.11e MAC-layer and PHY-layer used in simulations are listed in Table II .In our simulations, a wireless local area network with one Access Point (AP) and n stations within the same transmission range is considered. Each station has four ACs transmitting packets simultaneously. The maximum transmission packet size over the simulated network is 1024 bytes. The queue size of all ACs are predefined as 50 packets. Ptr Ps . E[P] (6)
  • 7.
    Naveed Farhana andDr. H. S. N Murthy http://www.iaeme.com/IJCET/index.asp 170 editor@iaeme.com TABLE II Simulation Parameters Parameter Definition Value PHY Header Physical layer header 192 bits MAC Header MAC layer Header 272 bits ACK Frame Acknowledgement Frame 304 bits RTS Frame Request to sent 352 bits CTS Frame Clear to sent 304 bits Payload Data Payload 8000 bits Data Rate Sending Data rate 54 Mbps Time Slot Time Slot 20µsec SIFS Short inter frame space 10 µsec AIFS Arbitrary inter frame [2,2,3,7] CWmin Minimum Contention window size [7,15,31,31] CWmax Maximum Contention window size [15,31,1023,1023] Under various network conditions, we observed the average delay and loss rate for voice traffic, and the throughput for video traffic. Basic parameters for the IEEE 802.11e EDCF are given in Table 1, depending on the priority (access category) The real collision probability and the throughput by this analysis are plotted in Fig 4 & Fig 5 Figure 4 Collision Probability Figure 5 Throughput Fig. 6 shows the average delay for different traffic flows under the proposed algorithm and EDCF. As our proposed mechanism is used it prevents the average delay for voice from increasing as the number of video connections increases. When there are 10 video connections, the average delay experienced by voice connections is about 2 ms with proposed mechanism. While it is 3 ms seconds with EDCF.
  • 8.
    A Novel SlottedAllocation Mechanism To Provide QOS For EDCF Protocol http://www.iaeme.com/IJCET/index.asp 171 editor@iaeme.com Figure 6 Average Delay Fig. 7 Shows the average packet loss rate for 10 voice connections. When proposed mechanism is used, there is no voice packet loss regardless on the number of video connections and data packets presents. However, in EDCF, voice packet loss rate continues to increase as the number of video connections increases. Fig. 6 and 7 shows that the proposed mechanism can guarantee the QOS for high priority traffic despite increasing low priority traffic. Figure 7 Loss Rate 6. CONCLUSIONS We proposed the concepts of Super-Slot and virtual collision which enhances IEEE 802.11e EDCF. Unlike EDCF, proposed mechanism provides strict QOS for high priority traffic regardless of amount of low-priority traffic. It also is also able to achieve more efficient resource utilization for low-priority traffic even with high- priority traffic. REFERENCES [1] Mohammed A, Al-Maqri , Mohamed Othman, Borhanuddin, Mohd Ali, Adaptive Multi-polling Scheduler for QoS Support of Video Transmission in IEEE 802.11e WLANs, Arvix February 2016 [2] Raimundo Viegas Jr, Luiz Affonso Guedes, Francisco Vasques, A new MAC scheme specifically suited for real-time industrial communication based on IEEE 802.11e, Computers and Electrical Engineering 39 (2013) 1684–1704 [3] Jiho Ryu, Yongho Seok, S-EDCF based on SuperSlot and Pseudo Collision, Poster presentation in mobicom, 2005 seoul.
  • 9.
    Naveed Farhana andDr. H. S. N Murthy http://www.iaeme.com/IJCET/index.asp 172 editor@iaeme.com [4] Y. Li, C. S. Chen, Y.-Q. Song, Z. Wang et al, Real-time QoS support in wireless sensor networks: a survey, in 7th IFAC International Conference on Fieldbuses & Networks in Industrial & Embedded Systems-FeT’2007 [5] IEEE (2012) IEEE std 802.11-2012. Technical report. [6] Pavel Rajmic1, Jirí Hošek, Michal Fusek, Sergey Andreev and Julius Stecík, Simplified Probabilistic Modelling and Analysis of Enhanced Distributed Coordination Access in IEEE 802.11, The Computer Journal Advance Access published August , 2014. [7] Sunghyun Choi, Javier del Prado, Sai Shankar N, Stefan Mangold, IEEE 802.11e Contention-Based Channel Access (EDCF) performance Evaluation, IEEE Magazine. [8] Saurabh Sehrawat, Revoti Prasad Bora, Dheeraj Harihar, Performance Analysis of QoS supported by Enhanced Distributed Channel Access (EDCA) mechanism in IEEE 802.11e, IAENG International Journal of Computer Science IEEE (2012) IEEE std 802.11-2012. Technical report. IEEE. [9] Siwaruk Siwamogsatham, A Hybrid Coordination Function Scheme for WLANs International Journal of Hybrid Information Technology 1(3), July, 2008 [10] E.Charfi, L.Chaari, L.Kamoun, PHY/MAC enhancements and QoS mechanisms for very high throughput WLANs: A Survey, IEEE Commun. Surv. Tutor. 15(4)(2013) [11] M.A. Santos, J. Villalon, L. Orozco-Barbosa, A novel QoE-aware multicast Mechisnism for video Communications over IEEE 802.11 WLANs, IEEE J. Sel. Areas Communication magzine. 30 (7) (2012) 1205-1214. [12] Boris Bellaltaa, Luciano Bononib, Raffaele Brunoc, Andreas Kassler, Next generation IEEE802.11 Wireless Local Area, etworks: Current status future directions and open challenges, Computer Communications 75 (2 016) 1–25. [13] Jiang T, Shao S, Wei K etc. Research on an Improved Algorithm Based on IEEE802.11e EDCF Mechanism[C], Wireless Communications, Networking and Mobile Computing, 2008. 4th International Conference on Dalian China, p. 1–3. [14] IEEE WG, IEEE 802.11e/D4.0, Draft Supplement to Part 11: Wireless Medium Access Control (MAC). and Physical Layer (PHY) specifications: Medium Access Control (MAC) Enhancements for Quality of Service (QOS), November 2002. [15] Performance analysis of the IEEE 802.11 distributed coordination function, IEEE Journal of Selected Areas Communications, 18, pp. 535–547, Mar. 2000. [16] B.A.H. Sithira Abeysekera, T. Matsuda, T. Takine, Dynamic contention window control scheme in IEEE 802.11e EDCA-based wireless LANs, IEICE Trans. Commun. E93–B (1) (2010) 56–64. [17] C. Cano, B. Bellalta, A. Sfairopoulou, J. Barcelo, Tuning the EDCA parameters in WLANs with heterogeneous traffic: A flow-level analysis, Comput. Network 54 (13) (2010) 2199–2214. [18] J. Misic, S. Rashwand, Analysis of impact of TXOP allocation on IEEE 802.11e EDCA under variable network load, IEEE Trans. Parallel Distribution System. 23 (5) (2012) 785–799. [19] G. Cecchetti, A.L. Ruscelli, A. Mastropaolo, G. Lipari, Providing variable TXOP for IEEE 802.11e HCCA real-time networks, in: 2012 IEEE Wireless Communications and Networking Conference (WCNC), 2012, pp. 1508–1513. [20] J. Hu, G. Min, W. Jia, M.E. Woodward, Admission control in the IEEE 802.11e WLANs based on analytical modeling and game theory, in 2009 IEEE GLOBECOM, 2009, pp. 1–6.
  • 10.
    A Novel SlottedAllocation Mechanism To Provide QOS For EDCF Protocol http://www.iaeme.com/IJCET/index.asp 173 editor@iaeme.com [21] Y. Liu, M. Meng, Survey of admission control algorithms in IEEE 802.11e wireless LANs, in: 2009 International Conference on Future Computer and Communication, 2009, pp. 230–233. [22] A. Leonovich, H.-W. Ferng, A time slots coordination mechanism for IEEE 802.11 WLANs, IEEE Communication. Letter. 14 (4) (2010) 360–362. [23] Y. He, J. Sun, R. Yuan, W. Gong, A reservation based back off method for video streaming in 802.11 home networks, IEEE J. Sel. Areas Communication 28 (3) (2010) 332–343. [24] K. Kang, H. Jiang, X. Lin, Research on multi-slot virtual collision mechanism for IEEE 802.11 DCF, in: 2008 Vehicular Technology Conference, Fall 2008, pp. 1– 6. [25] Parvinder And Dr. V.K. Suman, A Review On Routing Protocol In Manet, International Journal of Advanced Research in Engineering and Technology, 4(5), 2013, pp. 243–250. [26] Anjumol O N and P.K.K Thampi, An Energy Efficient Protocol Based Study of WSN To Increase The Lifetime, International Journal of Computer Engineering and Technology, 5(12), 2014, pp. 70–75. [27] Roshan Singh Sachan, Raghav Yadav and Ajeet Kumar Rai, A Survey of Energy- Efficient Communication Protocols In WSN, International Journal of Computer Engineering and Technology, 7(3), 2015, pp. 7–16. [28] Xin-Wei Yao A, Wan-Liang Wang, A Novel Hybrid Slot Allocation Mechanism for 802.11e EDCA Protocol, Information Processing Letters (Elsevier) 114 (2014) 25–30.