Download free for 30 days
Sign in
Upload
Language (EN)
Support
Business
Mobile
Social Media
Marketing
Technology
Art & Photos
Career
Design
Education
Presentations & Public Speaking
Government & Nonprofit
Healthcare
Internet
Law
Leadership & Management
Automotive
Engineering
Software
Recruiting & HR
Retail
Sales
Services
Science
Small Business & Entrepreneurship
Food
Environment
Economy & Finance
Data & Analytics
Investor Relations
Sports
Spiritual
News & Politics
Travel
Self Improvement
Real Estate
Entertainment & Humor
Health & Medicine
Devices & Hardware
Lifestyle
Change Language
Language
English
Español
Português
Français
Deutsche
Cancel
Save
Submit search
EN
Uploaded by
NANDINI SHARMA
3,804 views
3D transformation - Unit 3 Computer grpahics
Notes of Computer Graphics according to RGPV syllabus. BE CSE Vth sem
Engineering
◦
Read more
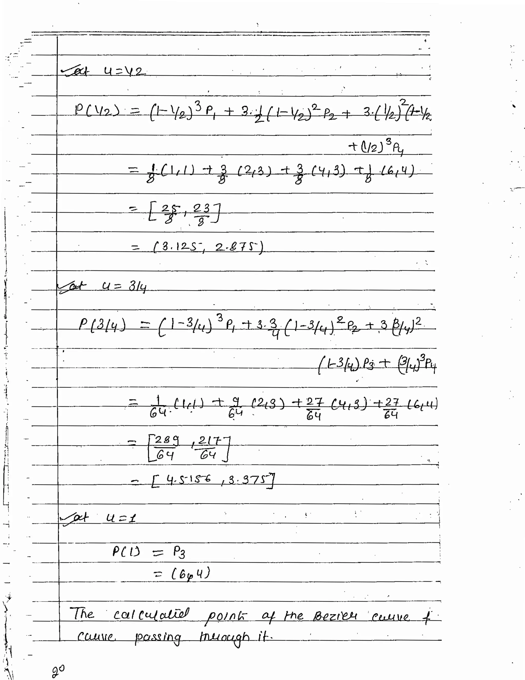
20
Save
Share
Embed
Embed presentation
Download
Downloaded 413 times
1
/ 53
2
/ 53
Most read
3
/ 53
4
/ 53
5
/ 53
6
/ 53
Most read
7
/ 53
8
/ 53
Most read
9
/ 53
10
/ 53
11
/ 53
12
/ 53
13
/ 53
14
/ 53
15
/ 53
16
/ 53
17
/ 53
18
/ 53
19
/ 53
20
/ 53
21
/ 53
22
/ 53
23
/ 53
24
/ 53
25
/ 53
26
/ 53
27
/ 53
28
/ 53
29
/ 53
30
/ 53
31
/ 53
32
/ 53
33
/ 53
34
/ 53
35
/ 53
36
/ 53
37
/ 53
38
/ 53
39
/ 53
40
/ 53
41
/ 53
42
/ 53
43
/ 53
44
/ 53
45
/ 53
46
/ 53
47
/ 53
48
/ 53
49
/ 53
50
/ 53
51
/ 53
52
/ 53
53
/ 53
More Related Content
PDF
Notes 2D-Transformation Unit 2 Computer graphics
by
NANDINI SHARMA
PDF
Unit-IV Windowing and Clipping.pdf
by
Amol Gaikwad
PPT
Clipping
by
Udayan Gupta
PPT
Ellipses drawing algo.
by
Mohd Arif
PPTX
Weiler atherton
by
Arvind Kumar
PPTX
COMPUTER GRAPHICS-"Projection"
by
Ankit Surti
PDF
Curves and fractals b spline and bezier
by
Mr. Amol Sawant
PPTX
Visible surface identification
by
Pooja Dixit
Notes 2D-Transformation Unit 2 Computer graphics
by
NANDINI SHARMA
Unit-IV Windowing and Clipping.pdf
by
Amol Gaikwad
Clipping
by
Udayan Gupta
Ellipses drawing algo.
by
Mohd Arif
Weiler atherton
by
Arvind Kumar
COMPUTER GRAPHICS-"Projection"
by
Ankit Surti
Curves and fractals b spline and bezier
by
Mr. Amol Sawant
Visible surface identification
by
Pooja Dixit
What's hot
PDF
Computer Graphics Unit 1 - Introduction(RGPV syllabus)
by
NANDINI SHARMA
PPT
Three dimensional concepts - Computer Graphics
by
Kongunadu College of engineering and Technology, Namakkal
PPTX
Polygons - Computer Graphics - Notes
by
Omprakash Chauhan
PDF
Unit 3
by
ypnrao
PPT
Video display devices
by
Mohd Arif
PPT
3 d viewing
by
Deepak Singh
PPTX
Mid-Point Cirle Drawing Algorithm
by
Neha Kaurav
PPTX
Raster scan system & random scan system
by
shalinikarunakaran1
PPTX
Segments in Graphics
by
Rajani Thite
PPTX
BRESENHAM’S LINE DRAWING ALGORITHM
by
St Mary's College,Thrissur,Kerala
PPTX
2 d viewing computer graphics
by
KALESHWAR KUMAR
PPTX
Polygon filling
by
Mohanlal Sukhadia University (MLSU)
PDF
COLOR CRT MONITORS IN COMPUTER GRAPHICS
by
nehrurevathy
PPTX
Computer graphics basic transformation
by
Selvakumar Gna
PPTX
Depth Buffer Method
by
Ummiya Mohammedi
PPTX
Polygon filling algorithm
by
Aparna Joshi
PPTX
Animation in Computer Graphics
by
RinkuNahar
PPTX
Projections.pptx
by
jyoti_lakhani
PPTX
The sutherland hodgeman polygon clipping algorithm
by
Mani Kanth
PPT
fractals
by
Yogesh jatin Gupta
Computer Graphics Unit 1 - Introduction(RGPV syllabus)
by
NANDINI SHARMA
Three dimensional concepts - Computer Graphics
by
Kongunadu College of engineering and Technology, Namakkal
Polygons - Computer Graphics - Notes
by
Omprakash Chauhan
Unit 3
by
ypnrao
Video display devices
by
Mohd Arif
3 d viewing
by
Deepak Singh
Mid-Point Cirle Drawing Algorithm
by
Neha Kaurav
Raster scan system & random scan system
by
shalinikarunakaran1
Segments in Graphics
by
Rajani Thite
BRESENHAM’S LINE DRAWING ALGORITHM
by
St Mary's College,Thrissur,Kerala
2 d viewing computer graphics
by
KALESHWAR KUMAR
Polygon filling
by
Mohanlal Sukhadia University (MLSU)
COLOR CRT MONITORS IN COMPUTER GRAPHICS
by
nehrurevathy
Computer graphics basic transformation
by
Selvakumar Gna
Depth Buffer Method
by
Ummiya Mohammedi
Polygon filling algorithm
by
Aparna Joshi
Animation in Computer Graphics
by
RinkuNahar
Projections.pptx
by
jyoti_lakhani
The sutherland hodgeman polygon clipping algorithm
by
Mani Kanth
fractals
by
Yogesh jatin Gupta
Viewers also liked
PDF
Computer Network notes (handwritten) UNIT 1
by
NANDINI SHARMA
PDF
Unit 5 animation notes
by
NANDINI SHARMA
PDF
Unit 4 Multimedia CSE Vth sem
by
NANDINI SHARMA
PPTX
3D transformation in computer graphics
by
SHIVANI SONI
PPTX
Computer Graphics
by
Deepak Kumar Mohapatra
PDF
Operating system concepts (notes)
by
Sohaib Danish
DOCX
Operating system notes
by
SANTOSH RATH
DOCX
Database Management System
by
NANDINI SHARMA
DOCX
Bce notes unit 1 be 205
by
NANDINI SHARMA
DOC
Dbms Lecture Notes
by
dM Technologies
PDF
Imp notes dbms
by
vishal jadav
Computer Network notes (handwritten) UNIT 1
by
NANDINI SHARMA
Unit 5 animation notes
by
NANDINI SHARMA
Unit 4 Multimedia CSE Vth sem
by
NANDINI SHARMA
3D transformation in computer graphics
by
SHIVANI SONI
Computer Graphics
by
Deepak Kumar Mohapatra
Operating system concepts (notes)
by
Sohaib Danish
Operating system notes
by
SANTOSH RATH
Database Management System
by
NANDINI SHARMA
Bce notes unit 1 be 205
by
NANDINI SHARMA
Dbms Lecture Notes
by
dM Technologies
Imp notes dbms
by
vishal jadav
More from NANDINI SHARMA
PDF
Computer Network Notes (Handwritten) UNIT 2
by
NANDINI SHARMA
PDF
LATTICE in Discrete Structure
by
NANDINI SHARMA
PDF
FIELD in Discrete Structure
by
NANDINI SHARMA
PDF
Mathematical Induction in Discrete Structure
by
NANDINI SHARMA
PDF
Rules of Inference in Discrete Structure
by
NANDINI SHARMA
PDF
DSTL: TREES AND GRAPH
by
NANDINI SHARMA
PDF
Data Structure Part III
by
NANDINI SHARMA
PDF
Number System (Computer)
by
NANDINI SHARMA
PDF
Predicate logic
by
NANDINI SHARMA
PDF
5 variable kmap questions
by
NANDINI SHARMA
PPTX
Computer Graphics
by
NANDINI SHARMA
PDF
Function and Recursively defined function
by
NANDINI SHARMA
PPTX
Multimedia
by
NANDINI SHARMA
PDF
Algebraic Structure Part 2 DSTL
by
NANDINI SHARMA
PDF
Proposition Logic in Discrete Structure
by
NANDINI SHARMA
PDF
Relation in Discrete Mathematics
by
NANDINI SHARMA
DOCX
Computer Architecture & Organization
by
NANDINI SHARMA
PDF
Algebraic Structure
by
NANDINI SHARMA
PDF
Data Structure Part II
by
NANDINI SHARMA
PDF
SETS in Discrete Structure
by
NANDINI SHARMA
Computer Network Notes (Handwritten) UNIT 2
by
NANDINI SHARMA
LATTICE in Discrete Structure
by
NANDINI SHARMA
FIELD in Discrete Structure
by
NANDINI SHARMA
Mathematical Induction in Discrete Structure
by
NANDINI SHARMA
Rules of Inference in Discrete Structure
by
NANDINI SHARMA
DSTL: TREES AND GRAPH
by
NANDINI SHARMA
Data Structure Part III
by
NANDINI SHARMA
Number System (Computer)
by
NANDINI SHARMA
Predicate logic
by
NANDINI SHARMA
5 variable kmap questions
by
NANDINI SHARMA
Computer Graphics
by
NANDINI SHARMA
Function and Recursively defined function
by
NANDINI SHARMA
Multimedia
by
NANDINI SHARMA
Algebraic Structure Part 2 DSTL
by
NANDINI SHARMA
Proposition Logic in Discrete Structure
by
NANDINI SHARMA
Relation in Discrete Mathematics
by
NANDINI SHARMA
Computer Architecture & Organization
by
NANDINI SHARMA
Algebraic Structure
by
NANDINI SHARMA
Data Structure Part II
by
NANDINI SHARMA
SETS in Discrete Structure
by
NANDINI SHARMA
Recently uploaded
PPTX
UnrealGameplayAbilitySystemPresentation.pptx
by
BenHowenstein
PDF
Narrows Planning Collective Transportation Capstone.pdf
by
cj2392
PPTX
Data Science with R Final yrUnit II.pptx
by
Osmania University
PDF
Handheld_Laser_Welding_Presentation 2.pdf
by
sinezioveluz
PPTX
Revolutionizing Facilities Management with MaintWiz — AI CMMS for Smart FMaaS
by
MaintWiz Technologies Private Limited
PPTX
Shutdown Maintenance Explained — Full Plant Turnaround & Best Practices with ...
by
MaintWiz Technologies Private Limited
PPTX
Cloud vs On-Premises CMMS — Which Maintenance Platform Is Better for Your Plant?
by
MaintWiz Technologies Private Limited
PDF
TechSprint: Innovate for Impact Hackathon
by
DeepakkumarSingh415123
PDF
AI-Driven CTI for Business: Emerging Threats, Attack Strategies, and Defensiv...
by
AIRCC Publishing Corporation
PPTX
firewall Selection in production life pptx
by
ssuserb1479b
PPTX
Preventive Maintenance Program for Compressors – Complete Guide
by
MaintWiz Technologies Private Limited
PPTX
How to Select the Right CMMS Software for Your Organization — A Complete Buye...
by
MaintWiz Technologies Private Limited
PPTX
The Complete Guide to Energy Audits_ Unlocking Savings, Sustainability, and P...
by
greentechnexus2024
PDF
Human computer Interface ppt aUNIT 3.pdf
by
Osmania University
PPTX
How to Create an Effective Monthly Maintenance Plan for Reliable Plant Operat...
by
MaintWiz Technologies Private Limited
PPTX
How to Implement Kaizen in Your Organization for Continuous Improvement Success
by
MaintWiz Technologies Private Limited
PPTX
Step-by-step guide to designing standard a microbiology laboratory in pharmac...
by
shawkyabdo1
PPTX
MODULE 1-UNIT_1.pptx MODULE 1-UNIT_1.pptx MODULE 1-UNIT_1.pptx
by
pavanscholar123
PPTX
Vertical turbine pump explains installed in power plants
by
sadanandyadav25
PPTX
Takt Time vs Cycle Time vs Lead Time.pptx
by
E Concepts
UnrealGameplayAbilitySystemPresentation.pptx
by
BenHowenstein
Narrows Planning Collective Transportation Capstone.pdf
by
cj2392
Data Science with R Final yrUnit II.pptx
by
Osmania University
Handheld_Laser_Welding_Presentation 2.pdf
by
sinezioveluz
Revolutionizing Facilities Management with MaintWiz — AI CMMS for Smart FMaaS
by
MaintWiz Technologies Private Limited
Shutdown Maintenance Explained — Full Plant Turnaround & Best Practices with ...
by
MaintWiz Technologies Private Limited
Cloud vs On-Premises CMMS — Which Maintenance Platform Is Better for Your Plant?
by
MaintWiz Technologies Private Limited
TechSprint: Innovate for Impact Hackathon
by
DeepakkumarSingh415123
AI-Driven CTI for Business: Emerging Threats, Attack Strategies, and Defensiv...
by
AIRCC Publishing Corporation
firewall Selection in production life pptx
by
ssuserb1479b
Preventive Maintenance Program for Compressors – Complete Guide
by
MaintWiz Technologies Private Limited
How to Select the Right CMMS Software for Your Organization — A Complete Buye...
by
MaintWiz Technologies Private Limited
The Complete Guide to Energy Audits_ Unlocking Savings, Sustainability, and P...
by
greentechnexus2024
Human computer Interface ppt aUNIT 3.pdf
by
Osmania University
How to Create an Effective Monthly Maintenance Plan for Reliable Plant Operat...
by
MaintWiz Technologies Private Limited
How to Implement Kaizen in Your Organization for Continuous Improvement Success
by
MaintWiz Technologies Private Limited
Step-by-step guide to designing standard a microbiology laboratory in pharmac...
by
shawkyabdo1
MODULE 1-UNIT_1.pptx MODULE 1-UNIT_1.pptx MODULE 1-UNIT_1.pptx
by
pavanscholar123
Vertical turbine pump explains installed in power plants
by
sadanandyadav25
Takt Time vs Cycle Time vs Lead Time.pptx
by
E Concepts
Download