МІНІСТЕРСТВО ОХОРОНИ ЗДОРОВ’Я УКРАЇНИ
ЛЬВІВСЬКИЙ НАЦІОНАЛЬНИЙ МЕДИЧНИЙ УНІВЕРСИТЕТ
ІМЕНІ ДАНИЛА ГАЛИЦЬКОГО
Х И Р К О В С Т Е Ф А Н В А Н Е В
УДК: 615.012.1 : 547.789] : 615.359
СИНТЕЗ ТА БІОЛОГІЧНА АКТИВНІСТЬ ПОХІДНИХ ТІАЗОЛІДИНУ З 2-ОКСО-1,3-
ДИГІДРОІНДОЛЬНИМ ФРАГМЕНТОМ У МОЛЕКУЛАХ
15.00.02 – фармацевтична хімія та фармакогнозія
Дисертація
на здобуття наукового ступеня
кандидата фармацевтичних наук
Науковий керівник
ЛЕСИК РОМАН БОГДАНОВИЧ
доктор фармацевтичних наук,
професор
Львів – 2014
4-ТІАЗОЛІДИНОНИ ТА ПОХІДНІ ІЗАТИНУ ЯК ПОТЕНЦІЙНІ
ПРОТИПУХЛИННІ АГЕНТИ
2
S
NH
O
OH
O
Me
N
N
S
O H
O
N
S
O
SB r
N
H
S
N
O
S
R
S
N
N
Me
CF3
S
N
O
NH
S
N
N
NH
F
N
H
N
H
Me
Me
ON
H
N N
H
O
Ar
N
H
N
S
S N
H
NH
O
N
N
H
O
N
+
O O
Інгібітор немембранної
протеїнтирозинфосфатази
Інгібітор звязуванняя антиапоптичних
білків Bcl-X L
та BH3
TNFa-TNFRc-1
інгібітори
Інгібітор некроптозу
Інгібітор
циклінзалежної кінази
Інгібітор
тирозинкінази Інгібітор ізоензиму карбонангідрази
N
H
S
N
O
Cl
O
Ph
N
HO
S
N
O
EtO O C
O Me
Me O
Me O
F
N
H
N
O
N
N
S
O
OH
Br
S
N
O
N
N
N
H O
Br
Me O
N
Br
O
O
N
O
N
Cl
Me O
Ц итостатична дія в концентрації
ІC50
= 0,016 мкМ (H T-29)
та 0,0037 мкМ (H 460)
П отенційний інгібітор TAK 1
з показниками ефективної
концентрації ІС50
= 8,9*10-9
М
Селективний вплив на лінії лейкемії
із діапазоном ефективної концентрації
G I50 = 0,69 - 3,35 мкM
Сполука-лідер із середніми показниками
ефективності G I50
та TG I 0,071 мкM та 0,76 мкM
Виражений цитостатичний
ефект на лінії лейкемії
(діапазон значень pG I50
= 5,64 -
5,90)
4-ТІАЗОЛІДИНОНИ З ІНДОЛІНОВИМ ФРАГМЕНТОМ ЯК
ПОТЕНЦІЙНІ ПРОТИПУХЛИННІ АГЕНТИ
3
ОБҐРУНТУВАННЯ СИНТЕЗУ N-ЗАМІЩЕНИХ ІЗАТИНІВ ТА 4-
ТІАЗОЛІДИНОН-ІНДОЛІНІВ ЯК ПОТЕНЦІЙНИХ БІОЛОГІЧНО
АКТИВНИХ СПОЛУК
N
N
Ar
1
Ar
2
O
S
N
H
O
X
X
S
N
H
O
N
O
R
1
R
2
N
O
R
1
N
H
O
A r
N
H
O
Het
NH
O
R
1
SNH
O
O
O
O
R
2
H , Cl, B r
O , S, NH
лінкерна
група
напрямки хімічної
модиф ікації
4
Фармакологічний скринінг протипухлинної, противірусної та
антиоксидантної активностей
SAR-аналіз, COMPARE-аналіз та докінгові дослідження
високоактивних сполук
Cl
NH
O
R
2
N
O
O
N
H
O
R
2
R
1
Cl
N
H
O
X
Y
N
NH
O
O
R
N
O
O
NH
O
X
Y
N
R
N
N
Me
Me
O
N
H
OC l
N
N
Me
Me
O NH
O
N
O
O
2.1 R1
= H, R2
= 3-M e-C6
H4
,
2.2 R1
= H, R2
= 4-Cl-C6
H4
,
2.3 R1
= H, R2
= 4-COOEt-C6
H4
,
2.4 R1
= H, R2
= 2-CF3
-C6
H4
,
2.5 R1
= H, R2
= 3-CF3
-C6
H4
,
2.6 R1
= Cl, R2
= 2-CF3
-C6
H4
,
2.7 R1
= Cl, R2
= 3-CF3
-C6
H4
K2
CO 3
, DM F
2.8 R = H, X = S, Y = CH,
2.9 R = Br, X = S, Y = CH,
2.10 R = Cl, X = S, Y = CH,
2.11 R = H, X = Y = N
K2
CO 3
, DM F
2.12
K2
CO 3
, DM F
СИНТЕЗ N-ЗАМІЩЕНИХ ІЗАТИНІВ З АРИЛЬНИМИ ТА
ГЕТЕРИЛЬНИМИ ФРАГМЕНТАМИ
5
NH
O
O
R
1
N
N
N
O
O
O
R
1
Ar
N
N
Ar
Cl
O
N
N
N
O
O
O
R
1
R
2
R
3
N
N
Cl
O
R
2
R
3
K2
CO 3
, DM F
2.13 R1
= H, Ar = 4-Cl-C6
H4
2.14 R1
= Br, Ar = 4-Cl-C6
H4
2.15 R1
= Cl, Ar = 4-OM e-C6
H4
2.16 R1
= Cl, Ar = 4-Cl-C6
H4
2.17 R1
= H, R2
= OM e, R3
= H,
2.18 R1
= H, R2
= Cl, R3
= H,
2.19 R1
= H, R2
= Cl, R3
= OM e,
2.20 R1
= Br, R2
= Cl, R3
= OM e
K2
CO 3
, DM F
СИНТЕЗ ПОХІДНИХ ІЗАТИНУ З 3,5-ДІАРИЛПІРАЗОЛІНОВИМИ
ФРАГМЕНТАМИ
6
СИНТЕЗ ПОХІДНИХ 4-ТІАЗОЛІДИНОНУ З ФРАГМЕНТАМИ N-
ЗАМІЩЕНИХ ІЗАТИНІВ В 5 ПОЛОЖЕННІ ТІАЗОЛІДИНОВОГО ЦИКЛУ
N
O
O
NH
O
R
S
N
H
O
X
S
N
O
NH2
N
NH
O
R
S
NH
O
X
O
N
NH
O
R
S
N
O
NH2
O
2.21 X = O, R = 3-M e-C 6
H4
,
2.22 X = S, R = 3-M e-C 6
H4
,
2.23 X = O, R = 2-CF3
-C6
H4
,
2.24 X = S, R = 2-CF3
-C6
H4
,
2.25 X = S, R = 4-Cl-C 6
H4
,
2.26 X = O, R = тіазол-2-іл,
2.27 X = S, R = тіазол-2-іл,
2.28 X = S, R = тріазол-2-іл
2.29 R= 2-CF3
-C6
H4
,
2.30 R = 4-Cl-C6
H4
,
2.31 R = тіазол-2-іл
AcO Na, AcO H AcO Na, AcO H
NN
N
O O
R
3
R
1
R
2
S
N
H
X
O
N
N
N
O
O
O
R
3
R
1
R
2
S
N
H
X
O
S
N
O
NH2
N
N
N
O
OR
3
R
1
R
2
S
N
O
NH2
2.32 R1
= OM e, R2
= R3
= H, X = S
2.33 R1
= Cl, R2
= R3
= H, X = O
2.34 R1
= Cl, R2
= R3
= H, X =S
2.35 R1
= Cl, R2
= OM e, R3
= H, X = O
2.36 R1
= Cl, R2
= OM e, R3
= H, X = S
2.37 R1
= Cl, R2
= OM e, R3
= Br, X = O
2.38 R1
= Cl, R2
= OM e, R3
= Br, X = S
AcO Na,
AcO H
AcO Na,
AcO H
2.39 R1
= OM e, R2
= R3
= H
2.40 R1
= Cl, R2
= R3
= H
2.41 R1
= Cl, R2
= OM e, R3
= H
2.42 R1
= Cl, R2
= OM e, R3
= Br 7
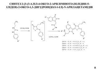
СИНТЕЗ 2-[3-(3-АЛІЛ-4-ОКСО-2-АРИЛІМІНОТІАЗОЛІДИН-5-
ІЛІДЕН)-2-ОКСО-1,3-ДИГІДРОІНДОЛ-1-ІЛ]-N-АРИЛАЦЕТАМІДІВ
N
O
O
NH
O
R
2
R
1
NH
NH
S
CH2
R
3
S
N
O
N
O
O
N
H
R
2
R
1
CH2
N
R
3
S
N
O
CH2
N
R
3
AcO Na, AcO H
2.43 R1
= H, R2
= 4-Cl-C6
H4
, R3
= Cl,
2.44 R1
= H, R2
= 4-Cl-C6
H4
, R3
= F,
2.45 R1
= H, R2
= 4-COOEt-C6
H4
, R3
= Cl,
2.46 R1
= H, R2
= 4-COOEt-C6
H4
, R3
= F,
2.47 R1
= H, R2
= 3-CF3
-C6
H4
, R3
= F
ClCH 2
CO O H
8
СИНТЕЗ 4-(2-ОКСО-1,3-ДИГІДРОІНДОЛ-3-ІЛІДЕНМЕТИЛ)-АРИЛ-
(2,4-ДІОКСОТІАЗОЛІДИН-5-ІЛ)-АЦЕТАТІВ
N
H
O
O
R
1
N
H
O
R
1
S
N
H
O
O
Cl
O
O H
R
2
O H
SNH
O
O
O
O
O
H
R
2
NH
O
R
1
SNH
O
O
O
O
R
2
S
N
H
O
O
OH
O
NH2
NH2
S
O
O O
2.48 R1
= H, R2
= H,
2.49 R1
= Cl, R2
= H,
2.50 R1
= Br, R2
= H,
2.51 R1
= H, R2
= OM e,
2.52 R1
= Cl, R2
= OM e
NH 2
NH 2
*H 2
O
AcO Na
AcO H
SO Cl2
H Cl
pyridine
9
ІНТЕРПРЕТАЦІЯ СПЕКТРІВ ПМР N-
АРИЛ(ГЕТЕРИЛ)ЗАМІЩЕНИХ ІЗАТИНІВ
N
O
O
N
H
O
Ar(Het)
9,48-12,48c
4,52-5,02c
6,91-7,12д
7,14-7,29т
7,38-7,49т
7,58-7,63д
Спектр ПМР сполуки 2.2.
10
ІНТЕРПРЕТАЦІЯ ПМР ТА ІЧ СПЕКТРІВ ТІАЗОЛІДИНОН-
ІНДОЛІНІВ
Спектр ПМР сполуки 2.25.
S
N
O
N
O
R
3
R
1
X
R
2
H
S
N
O
X
R
2
N
O
R
3
R
2
Z-ізомер E-ізомер
8.86-9.93 м.ч.
Обґрунтування Z-конфігурації
5-ізатиніліден-4-тіазолідинонів
на основі даних спектроскопії ПМР.
11
В ІЧ-спектрах ключових сполук характерними є
смуги поглинання груп νC=O 1590-1690 см-1,
νC=C 1530-1540 см-1 та νC=S 1170-1190 см-1.
ОБҐРУНТУВАННЯ ТА ДИЗАЙН НОВИХ ПОХІДНИХ 1,2,4-
ТРІАЗИНО[5,6-b]ІНДОЛУ
N
N
N
N
N
N
CH3
CH3
N
N
N
N
N
N
CH3
CH3
CH3
N
N
NN
CH3
N
H
O H
N
H
N
NN
N
R
2
R
1
S
N
Me
S N
N
N
NH
O
R
2
N
H
N
NNR
1
NH
O
O
R
1
N
H
N
NN
R
N
H
N
S
O
S
S
N
H
SO
П ротигрибкові агенти
П ротивірусний агент
Антигіпертензивна дія П ротипухлинний агент Inauhzin
Хімічна
модиф ікація
Гібридизація
12
СИНТЕЗ 3-МЕРКАПТОПОХІДНИХ
5H-1,2,4-ТРІАЗИНО[5,6-b]ІНДОЛУ
N
H
N
NN
R
1
SH
N
H
R
1
O
O
NH2
N
H
NH2
S
R1
= H (3.1), Br (3.2), Cl (3.3)
K2
CO 3
NH
NN
N
R
1
SH
NH
NN
N
R
1
SK
N
H
N
NN
S
O
O
Et
Cl
N
H
O
R
2
N
H
N
N
N
R
1
S
NHO
R
2
Cl
O
O
Et
3.1-3.3
3.4
KO H
EtO H
R1
= H , R2
= Ph (3.5), 2-CF3
-C6
H 4
(3.6),
4-M eC(O )-C6
H 4
(3.7), 4-SO 2
NH 2
-C6
H 4
(3.8),
R1
= Br, R2
= H (3.9), 2-O M e-C6
H 4
(3.10), 3-M e-C6
H 4
(3.11),
4-Cl-C6
H 4
(3.12), 2-Cl-5-CF3
-C6
H 3
(3.13),
R1
= Cl, R2
= 2-O M e-C6
H 4
(3.14), 3-M e-C6
H 4
(3.15),
4-Cl-C6
H 4
(3.16), 4-SO 2
NH 2
-C6
H 4
(3.17)
13
СИНТЕЗ 3-МЕРКАПТОПОХІДНИХ
5H-1,2,4-ТРІАЗИНО[5,6-b]ІНДОЛУ З ПІРАЗОЛІНОВИМ
ФРАГМЕНТОМ
NH
NN
N
R
SH
NH
NN
N
R
SK
NH
N
N
N
R
S
N
O
N
Ar
2
Ar
1
N
O
N
Ar
2
Ar
1
Cl
3.1-3.3
KO H
EtO H
3.18 R = H, Ar1
= 4-Cl-C6
H4
, Ar2
= Ph
3.19 R = Br, Ar1
= 4-Cl-C6
H4
, Ar2
= Ph
3.20 R = H, Ar1
= 4-F-C6
H4
, Ar2
= нафтален-2-іл
3.21 R = Br, Ar1
= 4-F-C6
H4
, Ar2
= нафтален-2-іл
3.22 R = Cl, Ar1
= 4-F-C6
H4
, Ar2
= нафтален-2-іл
EtO H
14
СИНТЕЗ ПОХІДНИХ 4-ТІАЗОЛІДИНОНУ З 1,2,4-ТРІАЗИНО[5,6-
b]ІНДОЛЬНИМ ФРАГМЕНТОМ В ПОЛОЖЕННІ 3
ТІАЗОЛІДИНОВОГО ЦИКЛУ
N
H
N
NN
R
SH
N
H
N
NN
R
N
H
NH2
S
SCH2
CO O Na
SCH2
CO O Na
S
SCH2
CO O H
SCH2
CO O H
R = H (3.23), Cl (3.24)
NH 2
NH 2
3.1, 3.3
CS2
+ Na2
S Na2
CS3
ClCH 2
CO O Na H Cl
NH
NN
N
R
NH
NH2
NH
NN
N
R
NH
N S
O
S
S
S
S
O H
O
O H
O
R = H (3.23), Cl (3.24)
EtO H
R = H (3.25), Cl (3.26)
+ H SCH 2
CO O H + H 2
O+
15
СИНТЕЗ 5-АРИЛІДЕНПОХІДНИХ 3-(1,2,4-ТРІАЗИНО[5,6-b]ІНДОЛ-
3-ІЛАМІНО-2-ТІОКСОТІАЗОЛІДИН-4-ОНІВ
NH
NN
N
R
NH
N S
O
S
NH
NN
N
R
NH
N S
O
S
Ar
ArCH O
AcO Na,
AcO H
R = H, Ar = 3-Br-C6
H4
(3.27),
4-Br-C 6
H4
(3.28),
4-Cl-C 6
H4
(3.29),
4-F-C 6
H4
(3.30),
4-OM e-C 6
H4
(3.31),
4-NM e2
-C6
H4
(3.32),
2,6-Cl2
-C6
H3
(3.33),
R = Cl, Ar = 4-Br-C6
H4
(3.34),
4-Cl-C 6
H4
(3.35),
4-NO 2
-C6
H4
(3.36)3.25, 3.26
N
H
N
N
NN
H
N
S
O
S
N
H
N
N
NN
H
N
S
O
S
N
H
O
R
1
O
N
H
O
R
1
AcO Na,
AcO H
3.25
R1
= H (3.37), Br (3.38),
Cl (3.39), M e (3.40)
16
СИНТЕЗ ТА ПЕРЕТВОРЕННЯ ПОХІДНИХ 4-ТІАЗОЛІДИНОНУ З
1,3,4-ТІАДІАЗИНОІНДОЛЬНИМ ФРАГМЕНТОМ В 2
ПОЛОЖЕННІ ТІАЗОЛІДИНОВОГО ЦИКЛУ
N
H
O
O
R
1
N
R
1
S
N
N
NH2
NH2
N H
N H2
S
N
R
1
S
NN
N
H
O
Cl
EtO H ,
H 2
SO 4
ClCH 2
CO Cl
R1
= H , Cl
Et3
N,
діоксан
N
R
1
SN
N
NH O
Cl
N
R
1
SN
N
NH
O
S
N
N
R
1
S
N
N
S
N
NH
O
N
R
1
S
N
N
S
NH
N
O
N
R
1
S
N
N
S
N
H N
O
R
2
NH 4
SCN
ацетон
3.41 R1
= H ,
3.42 R1
= Cl
ArCH O
3.43 R1
= H , R2
= O M e
3.44 R1
= H , R2
= Cl
3.45 R1
= H , R2
= NO 2
3.46 R1
= Cl, R 2
= Cl
3.47 R1
= Cl, R 2
= NO 2
AcO Na, AcO H
17
ІНТЕРПРЕТАЦІЯ КЛЮЧОВИХ СИГНАЛІВ В СПЕКТРАХ ПМР 3-
МЕРКАПТОЗАМІЩЕНИХ 5H-1,2,4-ТРІАЗИНО[5,6-b]ІНДОЛІВ
NH
N
N
N
R
S
N
O
N
Ar
2H
H
H
Ar
1
H
H
NH
NN
N
R
1
S
N
H
O
R
2
4,57-4,63 д
4,85-4,91 д
3,23-3,38 дд
3,93-4,04 дд
5,63-5,70 дд
12,64-12,78шс
12,48-12,85 с
9,66-10,77 c
4,10-4,34 c
7,53-7,58 д
7,71-7,82 д
8,33-8,45 с
Спектр ПМР сполуки 3.11
18
ІНТЕРПРЕТАЦІЯ КЛЮЧОВИХ СИГНАЛІВ В СПЕКТРАХ ПМР
ПОХІДНИХ 4-ТІАЗОЛІДИНОНУ З 1,2,4-ТРІАЗИНО[5,6-b]ІНДОЛЬНИМ
ФРАГМЕНТОМ 3.28-3.36
NH
N
N
N
NH
N
S
O
S
Ar
12,25-12,53 с
11,16-12,24 с
8,21-8,43 с
Спектр ПМР сполуки 3.30.
19
В ІЧ-спектрах ключових
сполук характерними є
смуги поглинання груп
νC=O 1650-1710 см-1, νC=S
1080-1180 см-1 та νC=N
1570-1630 см-1.
ІНТЕРПРЕТАЦІЯ КЛЮЧОВИХ СИГНАЛІВ В СПЕКТРАХ ПМР
СПОЛУКИ 3.41
N
SN
N
N S
NH
O
N
SN
N
NH S
N
O
10,74 с
12,45 с
6,87 д
7,01 т
8,23 д
7,35 т
4,02 с
іміно-форма
аміно-форма
20
СИСТЕМАТИЗОВАНІ РЕЗУЛЬТАТИ ФАРМАКОЛОГІЧНОГО
СКРИНІНГУ
Протипухлинна та противірусна активності синтезованих сполук вивчались методом
високоефективного біологічного скринінгу згідно міжнародних наукових програм
Національного інституту здоров’я США - DTP (Developmental Therapeutic Program)
Національного інституту раку та AACF (Antimicrobial Acquisition and Coordinating
Facility) Національного інституту алергічних та інфекційних хвороб.
Антиоксидантну активність in vitro синтезованих сполук досліджено на кафедрі
загальної, біонеорганічної та фізколоїдної хімії під керівництвом
доцента В.В. Огурцова.
21
0
5
10
15
20
Протипухлинна Антиоксидантна Противірусна
20
13
15
4 3
6
Сполуки-
кандидати
Сполуки з
високим рівнем
активності
ЦИТОТОКСИЧНІСТЬ СИНТЕЗОВАНИХ СПОЛУК В
КОНЦЕНТРАЦІЇ 10-5 М НА 60 ЛІНІЯХ РАКОВИХ КЛІТИН
Середня
мітотична
активність
60 ліній,
% росту
0
20
40
60
80
100
120
2.2 2.4 2.8 2.11 2.12 2.13 2.14 2.15 2.16 2.24 2.28 2.29 2.3 3.5 3.7 3.8 3.9 3.1 3.11 3.12
48.7
70.09
58.63
55.41
N
O
O
NH
O
N
S
N
O
O
N
O
N
O
CH3
Cl
N
O
NH
O
S
N
O
NH2
F
F
F NH
N
N
N
S
N
H
O
CH3
2.8 2.15 2.29 3.11
22
Захворювання
Лейкемія
Рак легень
Епітеліальний рак
Рак ЦНС
Меланома
Рак яєчників
Рак нирок
Рак простати
Рак молочної залози
ВСТАНОВЛЕННЯ ВЗАЄМОЗВ’ЯЗКУ “СТРУКТУРА – ПРОТИПУХЛИННА
АКТИВНІСТЬ” ДЛЯ ГЕТЕРОЦИКЛІЧНИХ ПОХІДНИХ З ІНДОЛІНОВИМ
ТА ТРІАЗИНОІНДОЛЬНИМ ФРАГМЕНТАМИ
N
O
O
N
H
O Ar(Het)
R
NN
N
H
N
S
N
O
O
N
O
R
N
Ar
1
Ar
2
NN
H
O
S
N
O
NH2OF F
F
N
H
N
N
N
R
S
N
O
N
Ar
2
Ar
1
Ar < <
П оява
антилейкемічної
активності
Введення атома галогену має вирішальний
вплив на реалізацію активності:
Cl > Br > H
П отенціювання дії на прикладі:
Ar = 2-CF3
-C6
H 4
Заміна групи NH 2
на тіоксо-групу
зумовлює втрату активності
Втрата
активності
2.1 - 2.11
2.9
2.13 - 2.20
3.18 - 3.22
23
ПОКАЗНИКИ СЕРЕДНІХ ЗНАЧЕНЬ РЕЗУЛЬТАТІВ
ҐРУНТОВНОГО IN VITRO СКРИНІНГУ СПОЛУК В
ПОРІВНЯННІ З ТАМОКСIФЕНОМ
N
O
O
NH
O
N
S
N
O
NH
O
S
N
O
NH2
F
F
F NH
N
N
N
S
N
H
O
CH3
N
O
O
N
O
N
O
CH3
Cl
2.8 2.15 2.29 3.11
24
Результати протипухлинного ефекту
високоактивної
сполуки 2.15 на лініях лейкемії (SI = 13,83)
(залежність відсотків росту клітин від концентрації діючої
речовини в діапазоні 10-4 10-8 М).
Результати ґрунтовного in vitro
скринінгу сполуки-лідера 2.29
Cелективний вплив на лінії
простати SI = 8,7
N O
O
N
O
N
O
CH3
Cl
2.15
N
O
N
H
O
S
N
O
NH2
FF F
2.29
25
PCCa Стандартний агент NSC Механізм дії стандартного агентуb
TGI 0,790 Майтазин S153858 Інгібітор полімеризації мікротубуліну
0,576 L-цистеїну аналог S303861 Інгібітор Eg5 кінази
0,565 Естер флавонацетатної кислоти S293015 Судинноспрямований агент шляхом
впливу на судинний ентотеліальний
фактор росту
0,541 6-Діазо-5-оксо-L-норлейцин S7365 Інігібітор глутамінутилізуючих ферментів
0,535 Даунорубіцин (дауноміцин) S82151 Інгібітор топоізомерази II
0,534 Фазарабін (ARAAC) S281272 Інгібітор деоксицитидинкінази
РЕЗУЛЬТАТИ COMPARE АНАЛІЗУ ТА ДОКІНГОВИХ ДОСЛІДЖЕНЬ
СПОЛУКИ 2.15
Найвигідніша докована позиція сполуки 2.15 у гідрофобній
щілині, сформованій LEU:245,252, ALA:69, VAL:135 та
TYR:133 фрагменту тубуліну.
N O
O
N
O
N
O
CH3
Cl
2.15
26
Сполука РПА, %
2.2 5,4
2.3 15,9
2.9 6,1
2.10 5,4
2.23 4,4
2.25 5,4
2.29 25,7
2.43 7,1
2.45 26.4
2.46 5,4
2.47 5,4
2.51 9,5
2.52 6,0
АНТИОКСИДАНТНА АКТИВНІСТЬ СИНТЕЗОВАНИХ СПОЛУК
N
O
N
H
O
S
N
O
F
F F NH2
2.29
N
O
N
H
O
S
N
O
N
C2
H5
O O C
Cl
CH2
2.45
N
O
O
N
H
O
C2
H5
O O C
2.3
27
N
N
N
O
O
O
Cl
N
N
N
O
O
O
Cl
Me O
2.18 2.19
ПРОТИВІРУСНА АКТИВНІСТЬ СИНТЕЗОВАНИХ СПОЛУК
ДО ВІРУСІВ ГРИПУ, БІОЛОГІЧНОЇ ЗБРОЇ ТА SARS
28
N
N N
O
O
Cl
S
NH
O
OMe O
N
N N
O
O
Cl
S
NH
O
OMe O
Br
2.372.35
N
N
N
O
O
Cl
S
N
O
NH2
N
N
N
O
O
Cl
S
N
O
NH2
Me O
N
N
N
O
O S
N
O
NH2
O Me
2.39
2.40 2.41
Вірус грипу A H3N2 EC50 / SI = 5,3 µM / 19
Вірус грипу A H5N1 EC50 / SI = 3,2 / 31
Respiratory Syncytial Virus
EC50 / SI = 3,5 µM / 18
Вірус грипу В EC50 / SI = 10 µM / 10
Вірус грипу В EC50 / SI = 3,2 µM / 10
Вірус грипу A H5N1 EC50 / SI = 2,8 / 17
Вірус грипу A H5N1 EC50 / SI = 2,8 / 36
Вірус грипу A H3N2 EC50 / SI = 6,8 / 15
Вірус грипу A H5N1 EC50 / SI = 3,7 / 27 Вірус грипу A H5N1 EC50 / SI = 3,2 / 31
Вірус грипу В EC50 / SI = 6,1 µM / 16
Сполука 2.18 в області зв’язування нейрамінідази N2
(кристалографічна модель 1INH)
За матеріалами дисертації опубліковано 17 наукових робіт, з яких
6 статтей у наукових фахових виданнях:
 Pharmacia. – 2013. – Vol. 1. – P. 8-18.
 Chemistry & Сhemical Technology. – 2013. – Vol. 7, № 4. – Р. 381-389.
 Актуальні питання фармацевтичної і медичної науки та практики. –
2012. – № 2(9). – С. 74-78 та № 3(10). – С. 32-41.
 Фармацевтичний часопис. – 2013. – № 2. – С. 7-11.
 Клінічна фармація, фармакотерапія та медична стандартизація. –
2012. – №. 3-4. –С. 98-112.
10 тез доповідей на вітчизняних та закордонних наукових форумах
різного рівня та 1 патент на корисну модель (Пат. 69856, заявл. 01.12.2011;
опубл. 10.05.2012, Бюл. №19. )
ПУБЛІКАЦІЇ ЗА МАТЕРІАЛАМИ ДИСЕРТАЦІЙНОЇ
РОБОТИ

СИНТЕЗ ТА БІОЛОГІЧНА АКТИВНІСТЬ ПОХІДНИХ ТІАЗОЛІДИНУ З 2-ОКСО-1,3-ДИГІДРОІНДОЛЬНИМ ФРАГМЕНТОМ У МОЛЕКУЛАХ

  • 1.
    МІНІСТЕРСТВО ОХОРОНИ ЗДОРОВ’ЯУКРАЇНИ ЛЬВІВСЬКИЙ НАЦІОНАЛЬНИЙ МЕДИЧНИЙ УНІВЕРСИТЕТ ІМЕНІ ДАНИЛА ГАЛИЦЬКОГО Х И Р К О В С Т Е Ф А Н В А Н Е В УДК: 615.012.1 : 547.789] : 615.359 СИНТЕЗ ТА БІОЛОГІЧНА АКТИВНІСТЬ ПОХІДНИХ ТІАЗОЛІДИНУ З 2-ОКСО-1,3- ДИГІДРОІНДОЛЬНИМ ФРАГМЕНТОМ У МОЛЕКУЛАХ 15.00.02 – фармацевтична хімія та фармакогнозія Дисертація на здобуття наукового ступеня кандидата фармацевтичних наук Науковий керівник ЛЕСИК РОМАН БОГДАНОВИЧ доктор фармацевтичних наук, професор Львів – 2014
  • 2.
    4-ТІАЗОЛІДИНОНИ ТА ПОХІДНІІЗАТИНУ ЯК ПОТЕНЦІЙНІ ПРОТИПУХЛИННІ АГЕНТИ 2 S NH O OH O Me N N S O H O N S O SB r N H S N O S R S N N Me CF3 S N O NH S N N NH F N H N H Me Me ON H N N H O Ar N H N S S N H NH O N N H O N + O O Інгібітор немембранної протеїнтирозинфосфатази Інгібітор звязуванняя антиапоптичних білків Bcl-X L та BH3 TNFa-TNFRc-1 інгібітори Інгібітор некроптозу Інгібітор циклінзалежної кінази Інгібітор тирозинкінази Інгібітор ізоензиму карбонангідрази
  • 3.
    N H S N O Cl O Ph N HO S N O EtO O C OMe Me O Me O F N H N O N N S O OH Br S N O N N N H O Br Me O N Br O O N O N Cl Me O Ц итостатична дія в концентрації ІC50 = 0,016 мкМ (H T-29) та 0,0037 мкМ (H 460) П отенційний інгібітор TAK 1 з показниками ефективної концентрації ІС50 = 8,9*10-9 М Селективний вплив на лінії лейкемії із діапазоном ефективної концентрації G I50 = 0,69 - 3,35 мкM Сполука-лідер із середніми показниками ефективності G I50 та TG I 0,071 мкM та 0,76 мкM Виражений цитостатичний ефект на лінії лейкемії (діапазон значень pG I50 = 5,64 - 5,90) 4-ТІАЗОЛІДИНОНИ З ІНДОЛІНОВИМ ФРАГМЕНТОМ ЯК ПОТЕНЦІЙНІ ПРОТИПУХЛИННІ АГЕНТИ 3
  • 4.
    ОБҐРУНТУВАННЯ СИНТЕЗУ N-ЗАМІЩЕНИХІЗАТИНІВ ТА 4- ТІАЗОЛІДИНОН-ІНДОЛІНІВ ЯК ПОТЕНЦІЙНИХ БІОЛОГІЧНО АКТИВНИХ СПОЛУК N N Ar 1 Ar 2 O S N H O X X S N H O N O R 1 R 2 N O R 1 N H O A r N H O Het NH O R 1 SNH O O O O R 2 H , Cl, B r O , S, NH лінкерна група напрямки хімічної модиф ікації 4 Фармакологічний скринінг протипухлинної, противірусної та антиоксидантної активностей SAR-аналіз, COMPARE-аналіз та докінгові дослідження високоактивних сполук
  • 5.
    Cl NH O R 2 N O O N H O R 2 R 1 Cl N H O X Y N NH O O R N O O NH O X Y N R N N Me Me O N H OC l N N Me Me O NH O N O O 2.1R1 = H, R2 = 3-M e-C6 H4 , 2.2 R1 = H, R2 = 4-Cl-C6 H4 , 2.3 R1 = H, R2 = 4-COOEt-C6 H4 , 2.4 R1 = H, R2 = 2-CF3 -C6 H4 , 2.5 R1 = H, R2 = 3-CF3 -C6 H4 , 2.6 R1 = Cl, R2 = 2-CF3 -C6 H4 , 2.7 R1 = Cl, R2 = 3-CF3 -C6 H4 K2 CO 3 , DM F 2.8 R = H, X = S, Y = CH, 2.9 R = Br, X = S, Y = CH, 2.10 R = Cl, X = S, Y = CH, 2.11 R = H, X = Y = N K2 CO 3 , DM F 2.12 K2 CO 3 , DM F СИНТЕЗ N-ЗАМІЩЕНИХ ІЗАТИНІВ З АРИЛЬНИМИ ТА ГЕТЕРИЛЬНИМИ ФРАГМЕНТАМИ 5
  • 6.
    NH O O R 1 N N N O O O R 1 Ar N N Ar Cl O N N N O O O R 1 R 2 R 3 N N Cl O R 2 R 3 K2 CO 3 , DMF 2.13 R1 = H, Ar = 4-Cl-C6 H4 2.14 R1 = Br, Ar = 4-Cl-C6 H4 2.15 R1 = Cl, Ar = 4-OM e-C6 H4 2.16 R1 = Cl, Ar = 4-Cl-C6 H4 2.17 R1 = H, R2 = OM e, R3 = H, 2.18 R1 = H, R2 = Cl, R3 = H, 2.19 R1 = H, R2 = Cl, R3 = OM e, 2.20 R1 = Br, R2 = Cl, R3 = OM e K2 CO 3 , DM F СИНТЕЗ ПОХІДНИХ ІЗАТИНУ З 3,5-ДІАРИЛПІРАЗОЛІНОВИМИ ФРАГМЕНТАМИ 6
  • 7.
    СИНТЕЗ ПОХІДНИХ 4-ТІАЗОЛІДИНОНУЗ ФРАГМЕНТАМИ N- ЗАМІЩЕНИХ ІЗАТИНІВ В 5 ПОЛОЖЕННІ ТІАЗОЛІДИНОВОГО ЦИКЛУ N O O NH O R S N H O X S N O NH2 N NH O R S NH O X O N NH O R S N O NH2 O 2.21 X = O, R = 3-M e-C 6 H4 , 2.22 X = S, R = 3-M e-C 6 H4 , 2.23 X = O, R = 2-CF3 -C6 H4 , 2.24 X = S, R = 2-CF3 -C6 H4 , 2.25 X = S, R = 4-Cl-C 6 H4 , 2.26 X = O, R = тіазол-2-іл, 2.27 X = S, R = тіазол-2-іл, 2.28 X = S, R = тріазол-2-іл 2.29 R= 2-CF3 -C6 H4 , 2.30 R = 4-Cl-C6 H4 , 2.31 R = тіазол-2-іл AcO Na, AcO H AcO Na, AcO H NN N O O R 3 R 1 R 2 S N H X O N N N O O O R 3 R 1 R 2 S N H X O S N O NH2 N N N O OR 3 R 1 R 2 S N O NH2 2.32 R1 = OM e, R2 = R3 = H, X = S 2.33 R1 = Cl, R2 = R3 = H, X = O 2.34 R1 = Cl, R2 = R3 = H, X =S 2.35 R1 = Cl, R2 = OM e, R3 = H, X = O 2.36 R1 = Cl, R2 = OM e, R3 = H, X = S 2.37 R1 = Cl, R2 = OM e, R3 = Br, X = O 2.38 R1 = Cl, R2 = OM e, R3 = Br, X = S AcO Na, AcO H AcO Na, AcO H 2.39 R1 = OM e, R2 = R3 = H 2.40 R1 = Cl, R2 = R3 = H 2.41 R1 = Cl, R2 = OM e, R3 = H 2.42 R1 = Cl, R2 = OM e, R3 = Br 7
  • 8.
    СИНТЕЗ 2-[3-(3-АЛІЛ-4-ОКСО-2-АРИЛІМІНОТІАЗОЛІДИН-5- ІЛІДЕН)-2-ОКСО-1,3-ДИГІДРОІНДОЛ-1-ІЛ]-N-АРИЛАЦЕТАМІДІВ N O O NH O R 2 R 1 NH NH S CH2 R 3 S N O N O O N H R 2 R 1 CH2 N R 3 S N O CH2 N R 3 AcO Na,AcO H 2.43 R1 = H, R2 = 4-Cl-C6 H4 , R3 = Cl, 2.44 R1 = H, R2 = 4-Cl-C6 H4 , R3 = F, 2.45 R1 = H, R2 = 4-COOEt-C6 H4 , R3 = Cl, 2.46 R1 = H, R2 = 4-COOEt-C6 H4 , R3 = F, 2.47 R1 = H, R2 = 3-CF3 -C6 H4 , R3 = F ClCH 2 CO O H 8
  • 9.
    СИНТЕЗ 4-(2-ОКСО-1,3-ДИГІДРОІНДОЛ-3-ІЛІДЕНМЕТИЛ)-АРИЛ- (2,4-ДІОКСОТІАЗОЛІДИН-5-ІЛ)-АЦЕТАТІВ N H O O R 1 N H O R 1 S N H O O Cl O O H R 2 OH SNH O O O O O H R 2 NH O R 1 SNH O O O O R 2 S N H O O OH O NH2 NH2 S O O O 2.48 R1 = H, R2 = H, 2.49 R1 = Cl, R2 = H, 2.50 R1 = Br, R2 = H, 2.51 R1 = H, R2 = OM e, 2.52 R1 = Cl, R2 = OM e NH 2 NH 2 *H 2 O AcO Na AcO H SO Cl2 H Cl pyridine 9
  • 10.
    ІНТЕРПРЕТАЦІЯ СПЕКТРІВ ПМРN- АРИЛ(ГЕТЕРИЛ)ЗАМІЩЕНИХ ІЗАТИНІВ N O O N H O Ar(Het) 9,48-12,48c 4,52-5,02c 6,91-7,12д 7,14-7,29т 7,38-7,49т 7,58-7,63д Спектр ПМР сполуки 2.2. 10
  • 11.
    ІНТЕРПРЕТАЦІЯ ПМР ТАІЧ СПЕКТРІВ ТІАЗОЛІДИНОН- ІНДОЛІНІВ Спектр ПМР сполуки 2.25. S N O N O R 3 R 1 X R 2 H S N O X R 2 N O R 3 R 2 Z-ізомер E-ізомер 8.86-9.93 м.ч. Обґрунтування Z-конфігурації 5-ізатиніліден-4-тіазолідинонів на основі даних спектроскопії ПМР. 11 В ІЧ-спектрах ключових сполук характерними є смуги поглинання груп νC=O 1590-1690 см-1, νC=C 1530-1540 см-1 та νC=S 1170-1190 см-1.
  • 12.
    ОБҐРУНТУВАННЯ ТА ДИЗАЙННОВИХ ПОХІДНИХ 1,2,4- ТРІАЗИНО[5,6-b]ІНДОЛУ N N N N N N CH3 CH3 N N N N N N CH3 CH3 CH3 N N NN CH3 N H O H N H N NN N R 2 R 1 S N Me S N N N NH O R 2 N H N NNR 1 NH O O R 1 N H N NN R N H N S O S S N H SO П ротигрибкові агенти П ротивірусний агент Антигіпертензивна дія П ротипухлинний агент Inauhzin Хімічна модиф ікація Гібридизація 12
  • 13.
    СИНТЕЗ 3-МЕРКАПТОПОХІДНИХ 5H-1,2,4-ТРІАЗИНО[5,6-b]ІНДОЛУ N H N NN R 1 SH N H R 1 O O NH2 N H NH2 S R1 = H(3.1), Br (3.2), Cl (3.3) K2 CO 3 NH NN N R 1 SH NH NN N R 1 SK N H N NN S O O Et Cl N H O R 2 N H N N N R 1 S NHO R 2 Cl O O Et 3.1-3.3 3.4 KO H EtO H R1 = H , R2 = Ph (3.5), 2-CF3 -C6 H 4 (3.6), 4-M eC(O )-C6 H 4 (3.7), 4-SO 2 NH 2 -C6 H 4 (3.8), R1 = Br, R2 = H (3.9), 2-O M e-C6 H 4 (3.10), 3-M e-C6 H 4 (3.11), 4-Cl-C6 H 4 (3.12), 2-Cl-5-CF3 -C6 H 3 (3.13), R1 = Cl, R2 = 2-O M e-C6 H 4 (3.14), 3-M e-C6 H 4 (3.15), 4-Cl-C6 H 4 (3.16), 4-SO 2 NH 2 -C6 H 4 (3.17) 13
  • 14.
    СИНТЕЗ 3-МЕРКАПТОПОХІДНИХ 5H-1,2,4-ТРІАЗИНО[5,6-b]ІНДОЛУ ЗПІРАЗОЛІНОВИМ ФРАГМЕНТОМ NH NN N R SH NH NN N R SK NH N N N R S N O N Ar 2 Ar 1 N O N Ar 2 Ar 1 Cl 3.1-3.3 KO H EtO H 3.18 R = H, Ar1 = 4-Cl-C6 H4 , Ar2 = Ph 3.19 R = Br, Ar1 = 4-Cl-C6 H4 , Ar2 = Ph 3.20 R = H, Ar1 = 4-F-C6 H4 , Ar2 = нафтален-2-іл 3.21 R = Br, Ar1 = 4-F-C6 H4 , Ar2 = нафтален-2-іл 3.22 R = Cl, Ar1 = 4-F-C6 H4 , Ar2 = нафтален-2-іл EtO H 14
  • 15.
    СИНТЕЗ ПОХІДНИХ 4-ТІАЗОЛІДИНОНУЗ 1,2,4-ТРІАЗИНО[5,6- b]ІНДОЛЬНИМ ФРАГМЕНТОМ В ПОЛОЖЕННІ 3 ТІАЗОЛІДИНОВОГО ЦИКЛУ N H N NN R SH N H N NN R N H NH2 S SCH2 CO O Na SCH2 CO O Na S SCH2 CO O H SCH2 CO O H R = H (3.23), Cl (3.24) NH 2 NH 2 3.1, 3.3 CS2 + Na2 S Na2 CS3 ClCH 2 CO O Na H Cl NH NN N R NH NH2 NH NN N R NH N S O S S S S O H O O H O R = H (3.23), Cl (3.24) EtO H R = H (3.25), Cl (3.26) + H SCH 2 CO O H + H 2 O+ 15
  • 16.
    СИНТЕЗ 5-АРИЛІДЕНПОХІДНИХ 3-(1,2,4-ТРІАЗИНО[5,6-b]ІНДОЛ- 3-ІЛАМІНО-2-ТІОКСОТІАЗОЛІДИН-4-ОНІВ NH NN N R NH NS O S NH NN N R NH N S O S Ar ArCH O AcO Na, AcO H R = H, Ar = 3-Br-C6 H4 (3.27), 4-Br-C 6 H4 (3.28), 4-Cl-C 6 H4 (3.29), 4-F-C 6 H4 (3.30), 4-OM e-C 6 H4 (3.31), 4-NM e2 -C6 H4 (3.32), 2,6-Cl2 -C6 H3 (3.33), R = Cl, Ar = 4-Br-C6 H4 (3.34), 4-Cl-C 6 H4 (3.35), 4-NO 2 -C6 H4 (3.36)3.25, 3.26 N H N N NN H N S O S N H N N NN H N S O S N H O R 1 O N H O R 1 AcO Na, AcO H 3.25 R1 = H (3.37), Br (3.38), Cl (3.39), M e (3.40) 16
  • 17.
    СИНТЕЗ ТА ПЕРЕТВОРЕННЯПОХІДНИХ 4-ТІАЗОЛІДИНОНУ З 1,3,4-ТІАДІАЗИНОІНДОЛЬНИМ ФРАГМЕНТОМ В 2 ПОЛОЖЕННІ ТІАЗОЛІДИНОВОГО ЦИКЛУ N H O O R 1 N R 1 S N N NH2 NH2 N H N H2 S N R 1 S NN N H O Cl EtO H , H 2 SO 4 ClCH 2 CO Cl R1 = H , Cl Et3 N, діоксан N R 1 SN N NH O Cl N R 1 SN N NH O S N N R 1 S N N S N NH O N R 1 S N N S NH N O N R 1 S N N S N H N O R 2 NH 4 SCN ацетон 3.41 R1 = H , 3.42 R1 = Cl ArCH O 3.43 R1 = H , R2 = O M e 3.44 R1 = H , R2 = Cl 3.45 R1 = H , R2 = NO 2 3.46 R1 = Cl, R 2 = Cl 3.47 R1 = Cl, R 2 = NO 2 AcO Na, AcO H 17
  • 18.
    ІНТЕРПРЕТАЦІЯ КЛЮЧОВИХ СИГНАЛІВВ СПЕКТРАХ ПМР 3- МЕРКАПТОЗАМІЩЕНИХ 5H-1,2,4-ТРІАЗИНО[5,6-b]ІНДОЛІВ NH N N N R S N O N Ar 2H H H Ar 1 H H NH NN N R 1 S N H O R 2 4,57-4,63 д 4,85-4,91 д 3,23-3,38 дд 3,93-4,04 дд 5,63-5,70 дд 12,64-12,78шс 12,48-12,85 с 9,66-10,77 c 4,10-4,34 c 7,53-7,58 д 7,71-7,82 д 8,33-8,45 с Спектр ПМР сполуки 3.11 18
  • 19.
    ІНТЕРПРЕТАЦІЯ КЛЮЧОВИХ СИГНАЛІВВ СПЕКТРАХ ПМР ПОХІДНИХ 4-ТІАЗОЛІДИНОНУ З 1,2,4-ТРІАЗИНО[5,6-b]ІНДОЛЬНИМ ФРАГМЕНТОМ 3.28-3.36 NH N N N NH N S O S Ar 12,25-12,53 с 11,16-12,24 с 8,21-8,43 с Спектр ПМР сполуки 3.30. 19 В ІЧ-спектрах ключових сполук характерними є смуги поглинання груп νC=O 1650-1710 см-1, νC=S 1080-1180 см-1 та νC=N 1570-1630 см-1.
  • 20.
    ІНТЕРПРЕТАЦІЯ КЛЮЧОВИХ СИГНАЛІВВ СПЕКТРАХ ПМР СПОЛУКИ 3.41 N SN N N S NH O N SN N NH S N O 10,74 с 12,45 с 6,87 д 7,01 т 8,23 д 7,35 т 4,02 с іміно-форма аміно-форма 20
  • 21.
    СИСТЕМАТИЗОВАНІ РЕЗУЛЬТАТИ ФАРМАКОЛОГІЧНОГО СКРИНІНГУ Протипухлинната противірусна активності синтезованих сполук вивчались методом високоефективного біологічного скринінгу згідно міжнародних наукових програм Національного інституту здоров’я США - DTP (Developmental Therapeutic Program) Національного інституту раку та AACF (Antimicrobial Acquisition and Coordinating Facility) Національного інституту алергічних та інфекційних хвороб. Антиоксидантну активність in vitro синтезованих сполук досліджено на кафедрі загальної, біонеорганічної та фізколоїдної хімії під керівництвом доцента В.В. Огурцова. 21 0 5 10 15 20 Протипухлинна Антиоксидантна Противірусна 20 13 15 4 3 6 Сполуки- кандидати Сполуки з високим рівнем активності
  • 22.
    ЦИТОТОКСИЧНІСТЬ СИНТЕЗОВАНИХ СПОЛУКВ КОНЦЕНТРАЦІЇ 10-5 М НА 60 ЛІНІЯХ РАКОВИХ КЛІТИН Середня мітотична активність 60 ліній, % росту 0 20 40 60 80 100 120 2.2 2.4 2.8 2.11 2.12 2.13 2.14 2.15 2.16 2.24 2.28 2.29 2.3 3.5 3.7 3.8 3.9 3.1 3.11 3.12 48.7 70.09 58.63 55.41 N O O NH O N S N O O N O N O CH3 Cl N O NH O S N O NH2 F F F NH N N N S N H O CH3 2.8 2.15 2.29 3.11 22 Захворювання Лейкемія Рак легень Епітеліальний рак Рак ЦНС Меланома Рак яєчників Рак нирок Рак простати Рак молочної залози
  • 23.
    ВСТАНОВЛЕННЯ ВЗАЄМОЗВ’ЯЗКУ “СТРУКТУРА– ПРОТИПУХЛИННА АКТИВНІСТЬ” ДЛЯ ГЕТЕРОЦИКЛІЧНИХ ПОХІДНИХ З ІНДОЛІНОВИМ ТА ТРІАЗИНОІНДОЛЬНИМ ФРАГМЕНТАМИ N O O N H O Ar(Het) R NN N H N S N O O N O R N Ar 1 Ar 2 NN H O S N O NH2OF F F N H N N N R S N O N Ar 2 Ar 1 Ar < < П оява антилейкемічної активності Введення атома галогену має вирішальний вплив на реалізацію активності: Cl > Br > H П отенціювання дії на прикладі: Ar = 2-CF3 -C6 H 4 Заміна групи NH 2 на тіоксо-групу зумовлює втрату активності Втрата активності 2.1 - 2.11 2.9 2.13 - 2.20 3.18 - 3.22 23
  • 24.
    ПОКАЗНИКИ СЕРЕДНІХ ЗНАЧЕНЬРЕЗУЛЬТАТІВ ҐРУНТОВНОГО IN VITRO СКРИНІНГУ СПОЛУК В ПОРІВНЯННІ З ТАМОКСIФЕНОМ N O O NH O N S N O NH O S N O NH2 F F F NH N N N S N H O CH3 N O O N O N O CH3 Cl 2.8 2.15 2.29 3.11 24
  • 25.
    Результати протипухлинного ефекту високоактивної сполуки2.15 на лініях лейкемії (SI = 13,83) (залежність відсотків росту клітин від концентрації діючої речовини в діапазоні 10-4 10-8 М). Результати ґрунтовного in vitro скринінгу сполуки-лідера 2.29 Cелективний вплив на лінії простати SI = 8,7 N O O N O N O CH3 Cl 2.15 N O N H O S N O NH2 FF F 2.29 25
  • 26.
    PCCa Стандартний агентNSC Механізм дії стандартного агентуb TGI 0,790 Майтазин S153858 Інгібітор полімеризації мікротубуліну 0,576 L-цистеїну аналог S303861 Інгібітор Eg5 кінази 0,565 Естер флавонацетатної кислоти S293015 Судинноспрямований агент шляхом впливу на судинний ентотеліальний фактор росту 0,541 6-Діазо-5-оксо-L-норлейцин S7365 Інігібітор глутамінутилізуючих ферментів 0,535 Даунорубіцин (дауноміцин) S82151 Інгібітор топоізомерази II 0,534 Фазарабін (ARAAC) S281272 Інгібітор деоксицитидинкінази РЕЗУЛЬТАТИ COMPARE АНАЛІЗУ ТА ДОКІНГОВИХ ДОСЛІДЖЕНЬ СПОЛУКИ 2.15 Найвигідніша докована позиція сполуки 2.15 у гідрофобній щілині, сформованій LEU:245,252, ALA:69, VAL:135 та TYR:133 фрагменту тубуліну. N O O N O N O CH3 Cl 2.15 26
  • 27.
    Сполука РПА, % 2.25,4 2.3 15,9 2.9 6,1 2.10 5,4 2.23 4,4 2.25 5,4 2.29 25,7 2.43 7,1 2.45 26.4 2.46 5,4 2.47 5,4 2.51 9,5 2.52 6,0 АНТИОКСИДАНТНА АКТИВНІСТЬ СИНТЕЗОВАНИХ СПОЛУК N O N H O S N O F F F NH2 2.29 N O N H O S N O N C2 H5 O O C Cl CH2 2.45 N O O N H O C2 H5 O O C 2.3 27
  • 28.
    N N N O O O Cl N N N O O O Cl Me O 2.18 2.19 ПРОТИВІРУСНААКТИВНІСТЬ СИНТЕЗОВАНИХ СПОЛУК ДО ВІРУСІВ ГРИПУ, БІОЛОГІЧНОЇ ЗБРОЇ ТА SARS 28 N N N O O Cl S NH O OMe O N N N O O Cl S NH O OMe O Br 2.372.35 N N N O O Cl S N O NH2 N N N O O Cl S N O NH2 Me O N N N O O S N O NH2 O Me 2.39 2.40 2.41 Вірус грипу A H3N2 EC50 / SI = 5,3 µM / 19 Вірус грипу A H5N1 EC50 / SI = 3,2 / 31 Respiratory Syncytial Virus EC50 / SI = 3,5 µM / 18 Вірус грипу В EC50 / SI = 10 µM / 10 Вірус грипу В EC50 / SI = 3,2 µM / 10 Вірус грипу A H5N1 EC50 / SI = 2,8 / 17 Вірус грипу A H5N1 EC50 / SI = 2,8 / 36 Вірус грипу A H3N2 EC50 / SI = 6,8 / 15 Вірус грипу A H5N1 EC50 / SI = 3,7 / 27 Вірус грипу A H5N1 EC50 / SI = 3,2 / 31 Вірус грипу В EC50 / SI = 6,1 µM / 16 Сполука 2.18 в області зв’язування нейрамінідази N2 (кристалографічна модель 1INH)
  • 29.
    За матеріалами дисертаціїопубліковано 17 наукових робіт, з яких 6 статтей у наукових фахових виданнях:  Pharmacia. – 2013. – Vol. 1. – P. 8-18.  Chemistry & Сhemical Technology. – 2013. – Vol. 7, № 4. – Р. 381-389.  Актуальні питання фармацевтичної і медичної науки та практики. – 2012. – № 2(9). – С. 74-78 та № 3(10). – С. 32-41.  Фармацевтичний часопис. – 2013. – № 2. – С. 7-11.  Клінічна фармація, фармакотерапія та медична стандартизація. – 2012. – №. 3-4. –С. 98-112. 10 тез доповідей на вітчизняних та закордонних наукових форумах різного рівня та 1 патент на корисну модель (Пат. 69856, заявл. 01.12.2011; опубл. 10.05.2012, Бюл. №19. ) ПУБЛІКАЦІЇ ЗА МАТЕРІАЛАМИ ДИСЕРТАЦІЙНОЇ РОБОТИ