Επιμέλεια : Χρήστος Χαρμπής
http://kritiria.blogspot.gr/
Ιστορία ΣΤ΄- Επανάληψη 2ης Ενότητας:
΄΄Οι Έλληνες κάτω από την οθωμανική
και τη λατινική κυριαρχία (1453-1821)΄΄
 Σχεδιαγράμματα - θεωρία
 Ερωτήσεις - απαντήσεις
 Επαναληπτικά
Επιμέλεια: Χρήστος Χαρμπής http://st-taksh.blogspot.gr σελ.1
www.PageBorders.net
ΠΕΡΙΕΧΟΜΕΝΑ
Σχεδιαγράμματα - Θεωρία σελ.
Ερωτήσεις – Απαντήσεις σελ.
Επαναληπτικά σελ.
3 - 73
74 - 118
119 - 233
Επιμέλεια: Χρήστος Χαρμπής http://st-taksh.blogspot.gr σελ.2
63
64 - 108
109 - 223
Σχεδιαγράμματα
Επιμέλεια: Χρήστος Χαρμπής http://st-taksh.blogspot.gr σελ.3
Ευχαριστούμε πολύ για τα σχεδιαγράμματα τους
εκλεκτούς δασκάλους:
Παύλο Κώτση
http://www.stintaxi.com/sigmachiepsilondeltaiotaalp
hagammarho940mumualphataualpha1.html
Βασίλη Παπαγιάννη
http://blogs.sch.gr/vpapagiann/?page_id=1461
Σοφία Ανθιμου
Θοδωρή Βούγα
Ανδρέα Γεωργακόπουλο
Μαρία Μαντζίλα
Δημοτικό Σχολείο Μενιδίου
και για την πολύτιμη προσφορά τους στην
εκπαιδευτική κοινότητα.
Επιμέλεια: Χρήστος Χαρμπής http://st-taksh.blogspot.gr σελ.4
Πολλοί κάτοικοι μετακινικθκαν ςε
ορεινά μζρθ.
Οι βυηαντινοί άρχοντεσ εξαφανίςτθκαν
Αρκετοί λόγιοι ζφυγαν ςτθ Δυτικι
Ευρώπθ
Θ περίοδοσ από τθν κατάκτθςθ τθσ ελλθνικισ
Χερςονιςου, ςτα μζςα του 15ου αιώνα, ζωσ και τθ
Μεγάλθ Επανάςταςθ του 1821, που οδιγθςε ςτον
ςχθματιςμό του νζου ελλθνικοφ κράτουσ,
ονομάηεται Τουρκοκρατία.
Ανατροπι τθσ ςυνοχισ του
ελλθνικοφ πλθκυςμοφ
Οι ςυνκικεσ ηωισ των Ελλινων ςτισ
Τουρκοκρατοφμενεσ περιοχζσ
Οι δφο πρώτοι
αιώνεσ ιταν
δφςκολοι
Στα μζςα του 16ου
αιώνα ςταδιακι
βελτίωςθ των
ςυνκθκών ηωισ
Ελαττώκθκαν οι πολεμικζσ ςυγκροφςεισ
Περιορίςτθκε θ φορολόγθςθ και το
παιδομάηωμα
Τονώκθκε θ παιδεία και θ εκπαίδευςθ
Ι΢ΣΟΡΙΑ ΢Σ΄
ΕΝΟΣΘΣΑ 2θ
– ΚΕΦ 1: ¨Θ ΚΑΣΑΚΣΘ΢Θ ΣΘ΢ ΕΛΛΘΝΙΚΘ΢ ΧΕΡ΢ΟΝΘ΢ΟΤ¨
27Ο
ΔΘΜΟΣΙΚΟ ΢ΧΟΛΕΙΟ ΣΡΙΚΑΛΩΝ
ΔΑ΢ΚΑΛΟ΢ ΒΑ΢ΙΛΘ΢ ΠΑΠΑΓΙΑΝΝΘ΢
Αίτια τθσ κατάκτθςθσ
Θ παρακμι τθσ Βυηαντινισ
Αυτοκρατορίασ από τον 13ο
αιώνα
και μετά.
Κοινωνικά, πολιτικά και
οικονομικά προβλιματα
Η περίοδοσ τθσ Τουρκοκρατίασ
Οι υπόδουλοι Ζλλθνεσ δεν
αφομοιώκθκαν, αφοφ κατάφεραν
να διαφυλάξουν, με τθ βοικεια
και τθσ Εκκλθςίασ, τρία βαςικά
ςτοιχεία τθσ εκνικισ τουσ
ταυτότθτασ: τθ κρθςκεία, τθ
γλώςςα και τθν παράδοςθ.
Οι ςυνκικεσ ηωισ των Ελλινων ςτισ
Βενετοκρατοφμενεσ περιοχζσ
Ωσ τον 16ο αι. αποκλειςμζνοι από τθ διοίκθςθ
βαριά φορολογία & καταπίεςθ
΢υχνζσ εξεγζρςεισ («Ρεμπελιό των Ποπολάρων»,
Ηάκυνκοσ 1628)
Με το πζραςμα των χρόνων θ ηωι καλυτερεφει
Προβλιματα Βενετών με τουσ Σοφρκουσ.
Μακραίωνθ ςυνφπαρξθ.
Σα Ιόνια νθςιά δεν πζραςαν ποτζ ςτουσ
Σοφρκουσ
Κ΢ΣΟΡΚΑ ΢Σ΄
ΕΝΟΣΗΣΑ 2θ
ΚΕΦ. 2: ¨ΟΚ ΢ΤΝΙΗΚΕ΢ ΖΩΗ΢ ΣΩΝ ΤΠΟΔΟΤΛΩΝ ΕΛΛΗΝΩΝ¨
27Ο
ΔΗΜΟΣΚΚΟ ΢ΧΟΛΕΚΟ ΣΡΚΚΑΛΩΝ
ΔΑ΢ΚΑΛΟ΢ ΒΑ΢ΚΛΗ΢ ΠΑΠΑΓΚΑΝΝΗ΢
Θταν μια νζα άρχουςα τάξθ των Χριςτιανών
υπθκόων τθσ Οκωμανικισ Αυτοκρατορίασ,
που ςχθματίςτθκε γφρω από το Πατριαρχείο
από μζλθ επιφανών βυηαντινών
οικογενειών και Ζλλθνεσ που ιρκαν ςτθν
Κωνςταντινοφπολθ από άλλεσ περιοχζσ τθσ
αυτοκρατορίασ μετά τθν άλωςθ.
Η ηωι των Ελλινων μετά τθν Άλωςθ
Περιοριςμοί και διακρίςεισ ςτουσ χριςτιανοφσ
υπθκόουσ
Υποχρεώνονταν να κατοικοφν ςε φτωχικζσ
ςυνοικίεσ και να κατζχουν γθ μόνο ςε άγονεσ
περιοχζσ.
Υπθρετοφςαν ςτον ςτρατό μόνο ςε βοθκθτικζσ
υπθρεςίεσ.
Απαγορεφονταν οι λιτανείεσ.
Δικαςτικζσ υποκζςεισ δικάηονταν ςτα
μουςουλμανικά ιεροδικεία.
Τποχρεώνονταν να κάνουν αγγαρείεσ.
Πλιρωναν περιςςότερουσ φόρουσ από τουσ
Μουςουλμάνουσ, τακτικοφσ & ζκτακτουσ.κεφαλικόσ φόροσ
όςοι δεν ιταν Μουςουλμάνοι
Οι τακτικοί φόροι
Οι Φαναριώτεσ
φόροσ εςτίασ
φόροσ για τα ςπίτια
ζγγειοσ φόροσ
φόροσ για τθ χριςθ τθσ γθσ
φόροσ τθσ δεκάτθσ
1/10 τθσ παραγωγισ τουσ
Μζτρα εναντίον των χριςτιανών τουσ πρώτουσ
αιώνεσ τθσ κατάκτθςθσ
Σφαγζσ και αιχμαλωςίεσ
εξιςλαμιςμοί
το παιδομάηωμα
εγκατάςταςθ τουρκικών & άλλων φφλων ςε
εφφορα εδάφθ
αναγκαςτικι μετακίνθςθ ελλθνικών πλθκυςμών
ςτο εξωτερικό ι ςε απομονωμζνα και ορεινά μζρθ
Πιο ζντονεσ οι
διακρίςεισ ςε
απομακρυςμζνεσ
περιοχζσ.
Σοπικοί άρχοντεσ –
δυνάςτεσ
ΙΣΤΟΡΙΑ ΣΤ΄
ΕΝΟΤΗΤΑ 2η
– ΚΕΦ. 3 «ΘΡΗΣΚΕΥΤΙΚΗ ΚΑΙ ΠΟΛΙΤΙΚΗ ΟΡΓΑΝΩΣΗ ΤΩΝ ΕΛΛΗΝΩΝ»
27o ΔΗΜΟΤΙΚΟ ΣΧΟΛΕΙΟ ΤΡΙΚΑΛΩΝ
ΔΑΣΚΑΛΟΣ ΒΑΣΙΛΗΣ ΠΑΠΑΓΙΑΝΝΗΣ
Πιο ανεκτικοί απέναντι στο Πατριαρχείο της Κωνσταντινούπολης.
Οι Οθωμανοί Τούρκοι κατήργησαν τη βυζαντινή διοίκηση στις χώρες που κατέκτησαν.
ΠΑΤΡΙΑΡΧΗΣ
 Θρησκευτικός ηγέτης.
 Εκπρόσωπος των Ορθόδοξων Χριστιανών.
 Λογοδοτούσε στον Σουλτάνο.
 Ιδρύει σχολεία.
 Επιβάλλει ειδική φορολογία στους πιστούς.
Η εκκλησία δεν είχε μόνο θρησκευτικά καθήκοντα
αλλά αποφάσιζε και για ποικίλες υποθέσεις,
π.χ για τις κληρονομιές.
Κάποιοι Ιεράρχες δε θεωρούν την τουρκική κατάκτηση ¨θεραπεία¨ σταλμένη από το Θεό.
Πατριάρχης Νεόφυτος ο Β΄.
Επηρεάστηκε από τις ευρωπαϊκές
ιδέες και αμφισβητούσε την υποταγή
στους Τούρκους.
Μοναχός Μάξιμος ο Γραικός.
 Καλλιέργησε σχέσεις με τη Ρωσία.
 Άγιος της Μόσχας.
 Οι Ρώσοι ταυτίστηκαν με τη σκέψη της
απελευθέρωσης της Κων/πολης από τους
απίστους.
Φανάρι. Συνοικία της Κων/πολης κοντά στο Πατριαρχείο.
Φαναριώτες.  Ζούσαν κοντά στο Φανάρι.
 Ηγετική ομάδα Ελλήνων.
 Πλούσιοι.
 Αξιόλογη μόρφωση.
 Γνώριζαν ξένες γλώσσες.
 Υψηλά αξιώματα στην οθωμανική διοίκηση.
Κοινοτικοί άρχοντες
επίτροποι, δημογέροντες, προεστοί,
και κοτζαμπάσηδες.
 Αδυναμία των Τούρκων για τη
συλλογή φόρων.
 Μεγάλη περιουσία.
 Πολιτική δύναμη.
ΙΣΤΟΡΙΑ ΣΤ΄
ΕΝΟΤΗΤΑ 2η – ΚΕΦ. 4 «Οι ΚΛΕΦΤΕΣ ΚΑΙ ΟΙ ΑΡΜΑΤΟΛΟΙ»
27ο
ΔΗΜΟΤΙΚΟ ΣΧΟΛΕΙΟ ΤΡΙΚΑΛΩΝ
ΔΑΣΚΑΛΟΣ ΒΑΣΙΛΗΣ ΠΑΠΑΓΙΑΝΝΗΣ
Κλέφτες
Οι Τούρκοι για να αντιμετωπίσουν τους
κλέφτες χρησιμοποιούσαν τους
αρματολούς.
Φημισμένοι αρματολοί
Οι Τούρκοι αντιμετωπίζουν εξεγέρσεις από ομάδες Ελλήνων.
 Ζούσαν στην ύπαιθρο σε
δύσβατα μέρη ( λημέρια).
 Μικρές ομάδες με αρχηγό
(καπετάνιο) και μπαϊράκι.
 Εχθρότητα για τους Τούρκους.
 Αγαπητοί στο λαό.
 Σύμβολο αντίστασης.
 Ένοπλοι Έλληνες.
 Πρώην κλέφτες.
 Συνήθως συνεργάζονταν με
τους κλέφτες.
 Εγκατέλειπαν τις θέσεις τους
και προσχωρούσαν σε αυτούς.
 Αρκετοί από τους απογόνους
τους έλαβαν μέρος στην
επανάσταση του 1821.
 Γεώργιος Ανδρίτζος
 Κατσαντώνης
 Γεώργιος Μπότσαρης
 Λάμπρος Τζαβέλλας
Κορκόδειλος Κλαδάς ( Ορμητήριο τη Μάνη η οποία δεν υποτάχτηκε
ποτέ)
Άλλοι ένοπλοι έλληνες
ΙΣΤΟΡΙΑ ΣΤ΄.
ΕΝΟΤΗΤΑ 2Η
- ΚΕΦ. 5 «Η ΟΙΚΟΝΟΜΙΚΗ ΖΩΗ»
27Ο
ΔΗΜΟΤΙΚΟ ΣΧΟΛΕΙΟ ΤΡΙΚΑΛΩΝ
ΔΑΣΚΑΛΟΣ ΒΑΣΙΛΗΣ ΠΑΠΑΓΙΑΝΝΗΣ
Παράγοντες που ωφέλησαν τις οικονομικές δραστηριότητες των Ελλήνων.
- Παρακμή της Οθωμανικής Αυτοκρατορίας - Συνθήκες
Η οικονομία της Οθωμανικής Αυτοκρατορίας στηριζόταν κυρίως…
Α. Αγροτικές καλλιέργειες
Σιτάρι
Κριθάρι
Βαμβάκι
Καπνός
Λάδι
Σταφίδα
Β. Κτηνοτρόφοι
Ζούσαν μόνιμα σε
ένα μέρος ή ήταν
νομάδες.
Προϊόντα
Ανάγκες σπιτιού
Πρώτες ύλες βιοτεχνίας
Τοπικές αγορές
Διάθεσή τους στο
εξωτερικό.
Γεωγραφικές ανακαλύψεις.
Νέοι εμπορικοί δρόμοι.
Τερματισμός κατακτήσεων.
Μείωση εσόδων από το εμπόριο.
Υποτίμηση του νομίσματος.
Κάρλοβιτς (1699)
Κιουτσούκ Καϊναρτζή (1774)
( Αυστρία και Ρωσία επηρεάζουν τα εσωτερικά της
Τουρκίας – εμπορικές συμφωνίες που ευνοούν το
ελληνικό εμπόριο. Οι έλληνες υψώνουν στα καράβια
τους τις σημαίες των χωρών αυτών.)
Ωφέλειες για τους Έλληνες
Δραστηριοποιούνται στην
Κεντρική, Δυτική Ευρώπη
και Ρωσία.
Ιδρύουν στα μέρη αυτά σημαντικές
παροικίες, αναλαμβάνουν μεγάλο
μέρος του εμπορίου, αποκτούν πολλά
πλούτη.
Φτάνουν και στην Ελλάδα οι
επαναστατικές ιδέες της Ευρώπης.
Αυξάνεται ο εμπορικός στόλος
αντιμετωπίζεται η πειρατεία .
Η οικονομική άνθηση, ο πολυάριθμος στόλος και οι εύπορες παροικίες του εξωτερικού
βελτιώνουν τη θέση των Ελλήνων, παραμονές της ελληνικής επανάστασης του 1821.
ΙΣΤΟΡΙΑ ΣΤ΄
ΕΝΟΤΗΤΑ 2Η
- ΚΕΦ. 6 «ΟΙ ΕΛΛΗΝΕΣ ΤΩΝ ΠΑΡΟΙΚΙΩΝ ΚΑΙ ΤΩΝ ΠΑΡΑΔΟΥΝΑΒΙΩΝ ΗΓΕΜΟΝΙΩΝ»
27Ο
ΔΗΜΟΤΙΚΟ ΣΧΟΛΕΙΟ ΤΡΙΚΑΛΩΝ
ΔΑΣΚΑΛΟΣ ΒΑΣΙΛΗΣ ΠΑΠΑΓΙΑΝΝΗΣ
 Έλληνες από τον Πόντο → Μετακινήθηκαν στον Καύκασο και στην Κριμαία
( Ιδρύουν παροικίες με πιο γνωστή την Οδησσό).
 Έλληνες από την Μακεδονία → εγκαταστάθηκαν κυρίως στη Βιέννη, την Τεργέστη, τη Σερβία και την
Ουγγαρία.
 Αρκετοί Έλληνες → δραστηριοποιούνται στις Παραδουνάβιες Ηγεμονίες, Βλαχία και Μολδαβία, που
κυβερνούσαν Φαναριώτες ηγεμόνες.
Μετανάστευση των Ελλήνων στο εξωτερικό σε δύο περιόδους
Πρώτη περίοδος
15ος - 16ος αιώνας.
( Αίτια) Πολεμικές συγκρούσεις,
επέκταση των Τούρκων
Υποχρεωτική μετανάστευση.
Λόγιοι – ευγενείς – στρατιώτες.
ΚΑΤΑΓΩΓΗ
ΜΕΤΑΝΑΣΤΩΝ:
Κύπρος
Κρήτη
Μονεμβασιά
Μάνη
Ναύπλιο
Ήπειρος
Δεύτερη περίοδος
17ος - 18ος αιώνας.
Οικονομικά αίτια
Η μετανάστευση είναι
εθελοντική και ειρηνική.
Σε αρκετές πόλεις κατά μήκος των
εμπορικών δρόμων ( Τουρκίας –
Ευρώπης – Ρωσίας )
εγκαταστάθηκαν Έλληνες.
Μετακινήσεις Ελλήνων
Δραστηριότητες των Ελλήνων της Διασποράς…
Ανέγερση ναών, κοινοτικών σχολείων, μοναστηριών. Έκδοση ελληνικών
βιβλίων, περιοδικών και εφημερίδων. Οικονομική ενίσχυση των
ελληνικών σχολείων, κατασκευή πολυτελών κατοικι στους τόπους
καταγωγής τους ( αρχοντικά).
Από τους έλληνες των παροικιών ξεκίνησε τον 18ο
αιώνα η πνευματική αναγέννηση του Έθνους.
Εγκαταστάθηκαν κυρίως σε
παραθαλάσσιες πόλεις της
Ιταλίας και της Ευρώπης,
ιδρύοντας παροικίες.
ΙΣΤΟΡΙΑ ΣΤ΄
ΕΝΟΤΗΤΑ 2Η
- ΚΕΦ. 7 «ΟΙ ΔΑΣΚΑΛΟΙ ΤΟΥ ΓΕΝΟΥΣ»
27Ο
ΔΗΜΟΤΙΚΟ ΣΧΟΛΕΙΟ ΤΡΙΚΑΛΩΝ
ΔΑΣΚΑΛΟΣ ΒΑΣΙΛΗΣ ΠΑΠΑΓΙΑΝΝΗΣ
Δάσκαλοι του Γένους
Μορφωμένοι Έλληνες που
κατά την περίοδο της
Τουρκοκρατίας, με την
προφορική διδασκαλία
τους ή με τα κείμενά τους,
καλλιέργησαν την ελληνική
Παιδεία.
Ήταν ή έγιναν κληρικοί.
Σπούδασαν στην Ελλάδα, Ιόνια
νησιά, Παραδουνάβιες Ηγεμονίες
και στο εξωτερικό.
Δίδασκαν σε σχολεία, δημόσιους
χώρους.
Ίδρυσαν σχολεία και τόνωσαν
την ελληνική παιδεία.
Αναπτύχθηκε ο Φιλελληνισμός
στη Δύση.
Νεοελληνικός Διαφωτισμός
Οι ιδέες και τα κηρύγματα του διαφωτισμού (18ος
– 19ος
) αιώνας – (διάβασε την ενότητα 1η, Κεφ. 2) –
φτάνουν και στην Ελλάδα, δυναμώνοντας την διάθεση των υπόδουλων Ελλήνων για επανάσταση.
Ελληνική Νομαρχία
Είναι ένα κείμενο του Νεοελληνικού Διαφωτισμού, που εκδόθηκε στην Ιταλία το 1806, άγνωστου
συγγραφέα αφιερωμένο στον Ρήγα Βελεστινλή. Καταδικάζει την «αναρχία» και την «μοναρχία».
Ιδανική διοίκηση ενός κράτους προβάλλεται η ¨νομαρχία¨, δηλαδή το πολίτευμα όπου εξουσιάζουν
οι νόμοι.
Ο άγιος Κοσμάς ο Αιτωλός
Ι΢ΣΟΡΙΑ ΢Σϋ
ΕΝΟΣΗΣΑ 2Η
ΚΕΦ. 8 ¨Ο ΡΗΓΑ΢ ΒΕΛΕ΢ΣΙΝΛΗ΢ ΚΑΙ Ο ΑΔΑΜΑΝΣΙΟ΢ ΚΟΡΑΗ΢¨
27Ο
ΔΗΜΟΣΙΚΟ ΢ΧΟΛΕΙΟ ΣΡΙΚΑΛΩΝ
ΔΑ΢ΚΑΛΟ΢ ΒΑ΢ΙΛΗ΢ ΠΑΠΑΓΙΑΝΝΗ΢
Ρήγασ Βελεςτινλήσ ( Φεραίοσ)
Γιοσ εμπόρου, γεννικ-
θκε το 1757 ςτο Βελε-
ςτίνο τθσ Θεςςαλίασ,
που ονομαηόταν και
Φερζσ.
Μετανάςτευςε ςτο
Βουκουρζςτι.
Επθρεάςτθκε από τισ
ευρωπαϊκζσ ιδζεσ.
Καταγωγή Το ζργο του
Εξζδωςε γαλλικά μυκιςτο-
ριματα ςτθ δθμοτικι, ζνα
βιβλίο Φυςικισ για μακθτζσ
και ζναν τεράςτιο χάρτθ τθσ
Ελλάδασ, τθν περίφθμθ
«Χάρτα τησ Ελλάδοσ».
Ζγραψε τον Θοφριο, ζναν
φλογερό επαναςτατικό φμνο,
ςφμβολο του αγϊνα για τθν
ελευκερία.
΢υνεργαςία βαλκανικϊν λαϊν
για τθν απελευκζρωςι τουσ
από τουσ Σοφρκουσ.
Δθμιουργία κράτουσ που κα
κυριαρχοφςε θ ελλθνικι
γλϊςςα και παιδεία.
Σο 1797 οι Αυςτριακοί τον
παραδίδουν ςτουσ Σοφρκουσ
οι οποίοι τoν κανατϊνουν και
τον ρίχνουν ςτον ποταμό
Δοφναβθ.
Το όραμα του
Αδαμάντιοσ Κοραήσ
Καταγωγή Το ζργο του
Καταγόταν από πλοφςια
οικογζνεια τθσ Χίου, αλλά
γεννικθκε ςτθ ΢μφρνθ το 1748.
Εγκαταςτάκθκε μόνιμα ςτθ
Γαλλία, όπου ςποφδαςε
ιατρική.
Αντιγραφι, και δθμοςίευςθ αρχαίων Ελλινων ςυγγραφζων.
Πίςτευε ότι θ απελευκζρωςθ των Ελλινων περνά μζςα από τθν
παιδεία του λαοφ, χρθςιμοποιϊντασ τθν ελλθνικι γλϊςςα ςτθν
απλοφςτερθ μορφι τθσ.
΢υνζβαλε ςθμαντικά ςτθν ιδεολογικι προετοιμαςία τθσ
Μεγάλθσ Επανάςταςθσ.
΢υντζλεςε ςτθν ίδρυςθ του Ελληνικοφ Κομιτάτου ςτο Παρίςι.
Είχε ωσ βαςικι φιλοςοφικι αρχι τθν πίςτθ ςτθ λογικι του
ανκρϊπου.
Δάςκαλοι του Γζνουσ που ξεχϊριςαν για τθ δράςθ τουσ ιταν
ο Ρήγασ Βελεςτινλήσ και ο Αδαμάντιοσ Κοραήσ
ΙΣΤΟΡΙΑ ΣΤ΄
ΕΝΟΤΗΤΑ 2Η
- ΚΕΦ. 9 «ΤΑ ΚΥΡΙΟΤΕΡΑ ΕΠΑΝΑΣΤΑΤΙΚΑ ΚΙΝΗΜΑΤΑ»
27Ο
ΔΗΜΟΤΙΚΟ ΣΧΟΛΕΙΟ ΤΡΙΚΑΛΩΝ
ΔΑΣΚΑΛΟΣ ΒΑΣΙΛΗΣ ΠΑΠΑΓΙΑΝΝΗΣ
(16ος
Αιώνας)
Κερκυραίοι - Κρητικοί – Μανιάτες
Πολεμούν τους Τούρκους στο πλευρό των Βενετών ή
των Ισπανών, στη ξηρά και στην θάλασσα. Στη Ναυμα-
χία της Ναυπάκτου το 1571 στην οποία καταστρέφεται
ο τούρκικος στόλος συμμετείχαν και ελληνικά πλοία.
1.600 μ.Χ.
Μητροπολίτης Λαρίσης Διόνυσος
(γνωστός ως Φιλόσοφος)
Ξεσηκώνει τους υπόδουλους Έλληνες στην ορεινή Θεσ-
σαλία. Το κίνημά του απέτυχε και ό ίδιος διαφεύγει
στη Ρώμη και έπειτα στην Ισπανία. Επιστρέφει μετά
από 9 χρόνια παροτρύνοντας τους κατοίκους της Θε-
σπρωτίας να ξεσηκωθούν.
(18ος
Αιώνας) Ρώσοι ¨ξανθό γένος¨
Το 1770 οι αδελφοί Ορλώφ φτάνουν στη Μάνη με Ρώσους
και Έλληνες στρατιώτες. Ο Ιωάννης Βλάχος (Δασκαλογιάν-
νης) ξεσηκώνει τα Σφακιά. Στη ναυμαχία του Τσεσμέ ο ορθό-
δοξος στόλος νικά τους Οθωμανούς. Οι συγκρούσεις σταμα-
τούν με τη Συνθήκη του Κιουτσούκ Καϊναρτζή –(Διάβασε
στην ενότητα 2,το Κεφ. 5)
Λάμπρος Κατσώνης
Έλληνας αξιωματικός του ρωσικού στρατού. Με μικρό στόλο
έπλεε στο Αιγαίο, κάνοντας επιθέσεις εναντίον των τουρκικών
πλοίων. Μαζί του ήταν και ο κλέφτης Γεώργιος Ανδρίτσος,
πατέρας του ήρωα της Επανάστασης Οδυσσέα Ανδρούτσου.
Τέλη 18ου
Αιώνα
Οι Έλληνες στράφηκαν για βοήθεια προς τους Γάλλους του Ναπολέοντα, αλλά γρήγορα οι ελπίδες τους δι-
αψεύστηκαν. Γύρω στο 1800 οι Έλληνες καταλαβαίνουν ότι η ελευθερία θα έλθει μόνο από τους ίδιους.
Κατά την διάρκεια των τεσσάρων αιώνων της Τουρκοκρατίας
έγιναν πολλές εξεγέρσεις των υπόδουλων Ελλήνων εναντίων
των Οθωμανών. Πολλές από αυτές έγιναν από ευρωπαϊκές δυ-
νάμεις που ήθελαν να αναστατώσουν το εσωτερικό της Τουρ-
κίας για δικό τους όφελος.
1.770 – Αδερφοί Ορλώφ
ΙΣΤΟΡΙΑ ΣΤ΄
ΕΝΟΤΗΤΑ 2Η
– ΚΕΦ. 10 «ΟΙ ΑΓΩΝΕΣ ΤΩΝ ΣΟΥΛΙΩΤΩΝ»
27Ο
ΔΗΜΟΤΙΚΟ ΣΧΟΛΕΙΟ ΤΡΙΚΑΛΩΝ
ΔΑΣΚΑΛΟΣ ΒΑΣΙΛΗΣ ΠΑΠΑΓΙΑΝΝΗΣ
Οι Σουλιώτες πρωταγωνιστούν σε
πολλές επαναστατικές ενέργειες κα-
τά των Τούρκων. Γνωστοί είναι οι
αγώνες τους εναντίον του Αλή Πασά
τον Ιωαννίνων.
Σουλιώτες
 Βοσκοί που μιλούσαν ελληνικά και αρβανίτικα.
 Ζούσαν κάτω από δύσκολες συνθήκες.
 Πολύχρονη ενασχόληση με τα όπλα.
 Άριστη γνώση εδάφους.
 Ομαδικό πνεύμα.
 Εξαιρετική τόλμη.
 Ικανότατοι πολεμιστές.
 Μάταιες οι προσπάθειες των Τούρκων για υποταγή.
Ο Αλή Πασάς των Ιωαννίνων - Η κατάκτηση του Σουλίου
 Πετυχαίνει με διάφορους τρόπους να διώξει από το Σούλι
ορισμένους αρχηγούς.
 Μ’ αυτόν τον τρόπο αδυνατίζει η άμυνα του Σουλίου.
 Το 1803 οι Τούρκοι κατακτούν το Σούλι.
 Ο καλόγερος Σαμουήλ ανατινάζει τον οχυρό λόφο Κούγκι.
 Σκοτώνεται ο ίδιος, και οι Έλληνες που ήταν κοντά του , κα-
θώς και πολλοί Τούρκοι.
 Οι Σουλιώτες καταφεύγουν στην Κέρκυρα, στην Πρέβεζα και
γενικότερα στα Επτάνησα
 Κάποιοι Σουλιώτες περνούν στην Κέρκυρα, ενώ κάποιοι άλ-
λοι θα καταφύγουν στην
Πρέβεζα. Οι Σουλιώτες στη Μεγάλη Επανάσταση
Το 1820 οι Τούρκοι καλούν τους Σουλιώτες να γυρίσουν πίσω
και να βοηθήσουν Σουλτάνο να εξοντώσει τον Αλή Πασά. Οι
Σουλιώτες αποκρούουν τον Αλή Πασά. Το 1822, μένουν αβοή-
θητοι και εγκαταλείπουν οριστικά το Σούλι και σκορπίζονται
στην Στερεά Ελλάδα και Πελοπόννησο.
Στην επανάσταση του 1821 πολλοί Σουλιώτες δρουν ως οπλαρ-
χηγοί, έχοντας φήμη γενναίων και αδάμαστων πολεμιστών.
Δημοτικό Σχολείο Μενιδίου
Ιστορία ΣΤ΄
Σχ. Έτος:2012 – 13
Ενότητα 2η – Κεφ. 3 “Θρησκευτική και Πολιτική Οργάνωση των Ελλήνων’
• Ανεκτικοί απέναντι στο Πατριαρχείο Κωνσταντινούπολης.
Οι Οθωμανοί Τούρκοι κατήργησαν τη βυζαντινή διοίκηση στις χώρες που κατέκτησαν.
Πατριάρχης
• Θρησκευτικός ηγέτης.
• Εκπρόσωπος των Ορθόδοξων Χριστιανών.
• Λογοδοτούσε στον Σουλτάνο.
• Ιδρύει σχολεία.
• Επιβάλλει ειδική φορολογία στους πιστούς.
Η εκκλησία δεν είχε μόνο θρησκευτικά καθήκοντα
αλλά αποφάσιζε και για άλλες υποθέσεις π.χ για τις
κληρονομιές.
Ιεράρχες που δε θεωρούν την τουρκική κατάκτηση ¨θεραπεία¨ σταλμένη από το Θεό.
Πατριάρχης Νεόφυτος ο Β΄.
Επηρεάστηκε από τις ευρωπαϊκές ιδέες
και αμφισβητούσε την υποταγή στους
Τούρκους.
Μοναχός Μάξιμος ο Γραικός.
• Καλλιέργησε σχέσεις με τη Ρωσία.
• Άγιος της Μόσχας.
• Οι Ρώσοι ταυτίστηκαν με τη σκέψη της
απελευθέρωσης της Κων/πολης από τους απίστους.
Φανάρι. Συνοικία της Κων/πολης κοντά στο Πατριαρχείο.
Φαναριώτες. • Ζούσαν κοντά στο Φανάρι.
• Ηγετική ομάδα Ελλήνων.
• Πλούσιοι.
• Αξιόλογη μόρφωση.
• Γνώριζαν ξένες γλώσσες.
• Υψηλά αξιώματα στην οθωμανική διοίκηση.
Κοινοτικοί άρχοντες
(επίτροποι, δημογέροντες, προεστοί,
και κοτσαμπάσηδες.
• Αδυναμία των Τούρκων για τη
συλλογή φόρων.
• Μεγάλη περιουσία.
• Πολιτική δύναμη.
Επιμέλεια: Χρήστος Χαρμπής http://st-taksh.blogspot.gr σελ.15
Δημοτικό Σχολείο Μενιδίου
Ιστορία ΣΤ΄
Σχ. Έτος:2012 – 13
Ενότητα 2η – Κεφ. 4 Οι Κλέφτες και οι Αρματολοί
Κλέφτες
Οι Τούρκοι για να αντιμετωπίσουν τους
κλέφτες χρησιμοποιούσαν τους
αρματολούς.
Φημισμένοι αρματολοί
Οι Τούρκοι αντιμετωπίζουν εξεγέρσεις από ομάδες Ελλήνων.
• Ζούσαν στην ύπαιθρο σε
δύσβατα μέρη ( λημέρια).
• Μικρές ομάδες με αρχηγό
(καπετάνιο) και μπαϊράκι.
• Εχθρότητα για τους Τούρκους.
• Αγαπητοί στο λαό.
• Σύμβολο αντίστασης.
• ΄Ενοπλοι Έλληνες.
• Πρώην κλέφτες.
• Συνήθως συνεργάζονταν με
τους κλέφτες.
• Εγκατέλειπαν τις θέσεις τους
και προσχωρούσαν σε αυτούς.
• Αρκετοί από τους απογόνους
τους έλαβαν μέρος στην
επανάσταση του 1821.
• Γεώργιος Ανδρίτζος
• Κατσαντώνης
• Γεώργιος Μπότσαρης
• Λάμπρος Τζαβέλλας
Κορκόδειλος Κλαδάς ( Ορμητήριο τη Μάνη η οποία δεν υποτάχτηκε ποτέ)
Άλλοι ένοπλοι έλληνες
Επιμέλεια: Χρήστος Χαρμπής http://st-taksh.blogspot.gr σελ.16
Δημοτικό Σχολείο Μενιδίου
Ιστορία ΣΤ΄.
Σχ. έτος: 2012 -13
Ενότητα 2η
- Κεφ.: 5 ¨Η οικονομική ζωή¨
Παρακμή της Οθωμανικής Αυτοκρατορίας Συνθήκες
Η οικονομία της Οθωμανικής Αυτοκρατορίας στηριζόταν κυρίως…
Αγροτικές καλλιέργειες
Σιτάρι
Κριθάρι
Βαμβάκι
Καπνός
Λάδι
Σταφίδα
Κτηνοτρόφοι
Ζούσαν μόνιμα σε
ένα μέρος ή ήταν
νομάδες.
Προϊόντα
Ανάγκες σπιτιού
Πρώτες ύλες βιοτεχνίας
Τοπικές αγορές
Διάθεσή τους στο εξωτερικό.
Παράγοντες που ωφέλησαν τις οικονομικές δραστηριότητες των Ελλήνων.
Γεωγραφικές ανακαλύψεις.
Νέοι εμπορικοί δρόμοι.
Τερματισμός κατακτήσεων.
Μείωση εσόδων από το εμπόριο.
Υποτίμηση του νομίσματος.
Κάρλοβιτς (1699)
Κιουτσούκ Καϊναρτζή (1774)
( Αυστρία και Ρωσία επηρεάζουν τα εσωτερικά της
Τουρκίας – εμπορικές συμφωνίες που ευνοούν το
ελληνικό εμπόριο. Οι έλληνες υψώνουν στα καράβια
τους τις σημαίες των χωρών αυτών.)
Ωφέλησαν τους Έλληνες
Δραστηριοποιούνται στην
Κεντρική ,Δυτική Ευρώπη
και Ρωσία.
Ιδρύουν στα μέρη αυτά σημαντικές
παροικίες, αναλαμβάνουν μεγάλο
μέρος του εμπορίου, αποκτούν πολλά
πλούτη.
Φτάνουν και στην Ελλάδα οι
επαναστατικές ιδέες της Ευρώπης.
Αυξάνεται ο εμπορικός στόλος
αντιμετωπίζεται η πειρατεία .
Η οικονομική άνθηση, ο πολυάριθμος στόλος και οι εύπορες παροικίες βελτιώνουν τη θέση
των ελλήνων. Σημαντική συνεισφορά στην επανάσταση του 1821.
Επιμέλεια: Χρήστος Χαρμπής http://st-taksh.blogspot.gr σελ.17
Δημοτικό Σχολείο Μενιδίου
Ιστορία ΣΤ΄
Σχ. Έτος: 2012 -13
Ενότητα 2η
- Κεφ.: 6 ¨ Οι Έλληνες των παροικιών και των Παραδουνάβιων Ηγεμονιών¨
• Έλληνες από τον Πόντο: Μετακινήθηκαν στον Καύκασο και στην Κριμαία ( Ιδρύουν παροικίες
με πιο γνωστή την Οδησσό).
• Έλληνες από την Μακεδονία: εγκαταστάθηκαν κυρίως στη Βιέννη, την Τεργέστη, τη Σερβία και
την Ουγγαρία.
• Αρκετοί Έλληνες; δραστηριοποιούνται στις Παραδουνάβιες Ηγεμονίες, Βλαχία και Μολδαβία,
που κυβερνούσαν Φαναριώτες ηγεμόνες.
Μετανάστευση των Ελλήνων
Πρώτη περίοδος
15ος - 16ος αιώνας.
( Αίτια) Πολεμικές συγκρούσεις,
επέκταση των Τούρκων
Υποχρεωτική.
Λόγιοι – ευγενείς – στρατιώτες.
ΚΑΤΑΓΩΓΗ:
Κύπρος
Κρήτη
Μονεμβασιά
Μάνη
Ναύπλιο
Ήπειρος
Δεύτερη περίοδος
17ος - 18ος αιώνας.
( Αίτια) Οικονομικά
Εθελοντική.
Ειρηνική.
Σε αρκετές πόλεις κατά μήκος των
εμπορικών δρόμων ( Τουρκίας –
Ευρώπης – Ρωσίας )
εγκαταστάθηκαν Έλληνες.
Μετακινήσεις Ελλήνων
Έλληνες μετανάστες ( Έλληνες της Διασποράς )
Ανέγερση ναών, κοινοτικών σχολείων, μοναστηριών. Έκδοση ελληνικών
βιβλίων, περιοδικών και εφημερίδων. Ενίσχυσαν οικονομικά τα ελληνικά
σχολεία, κατασκεύασαν πολυτελείς κατοικίες στους τόπους καταγωγής
τους ( αρχοντικά).
Από τους έλληνες των παροικιών ξεκίνησε τον 18ο
αιώνα η πνευματική αναγέννηση του Έθνους.
Εγκαταστάθηκαν κυρίως σε
παραθαλάσσιες περιοχές της
Ιταλίας και της Ευρώπης,
ιδρύοντας παροικίες.
Επιμέλεια: Χρήστος Χαρμπής http://st-taksh.blogspot.gr σελ.18
Δημοτικό Σχολείο Μενιδίου
Ιστορία ΣΤ΄
Σχ. Έτος: 2012 – 13
Ενότητα 2η
-Κεφ.: 7 ¨Οι δάσκαλοι του Γένους¨
Δάσκαλοι του Γένους
Μορφωμένοι Έλληνες που
κατά την περίοδο της
Τουρκοκρατίας, με την
προφορική διδασκαλία
τους ή με τα κείμενά τους,
καλλιέργησαν την ελληνική
Παιδεία.
Ήταν ή έγιναν κληρικοί.
Σπούδασαν στην Ελλάδα, Ιόνια
νησιά, Παραδουνάβιες Ηγεμονίες
και στο εξωτερικό.
Δίδασκαν σε σχολεία , δημόσιους
χώρους.
Ίδρυσαν σχολεία και τόνωσαν
την ελληνική παιδεία.
Αναπτύχθηκε ο Φιλελληνισμός
στη Δύση.
Νεοελληνικός Διαφωτισμός
Οι ιδέες και τα κηρύγματα του διαφωτισμού (18ος
– 19ος
) αιώνας – ενότητα 1η
Κεφ. 2 – έρχονται και στην
Ελλάδα, δυναμώνοντας την διάθεση των υπόδουλων Ελλήνων για επανάσταση.
Ελληνική Νομαρχία
Κείμενο του Νεοελληνικοί Διαφωτισμού που εκδόθηκε στην Ιταλία το 1806, άγνωστου συγγραφέα
αφιερωμένο στον Ρήγα Βελεστινλή. Καταδικάζει την «αναρχία» και την « μοναρχία». Ιδανική διοίκηση
ενός κράτους η ¨νομαρχία¨, δηλαδή το πολίτευμα που στηρίζεται στους νόμους.
Ο άγιος Κοσμάς ο Αιτωλός
Μοναχός του Άγιου Όρους, ιεροκήρυκας και μάρτυρας. Το κήρυγμά του είχε μεγάλη απήχηση στους
υπόδουλους έλληνες. Προσπάθησε να αναχαιτίσει τον εξισλαμισμό ιδρύοντας σχολεία.
Επιμέλεια: Χρήστος Χαρμπής http://st-taksh.blogspot.gr σελ.19
Δημοτικό Σχολείο Μενιδίου
Σχ. Έτος: 2012 – 13
Ιστορία ΣΤ΄
Ενότητα 2η
Κεφ. 8 ¨Ο Ρήγας Βελεστινλής και ο Αδαμάντιος Κοραής¨
Υπεύθυνος τάξης: Γεωργακόπουλος Ανδρέας
• Δάσκαλοι του Γένους που ξεχώρισαν για τη δράση τους ήταν ο Ρήγας Βελεστινλής και ο Αδαμάντιος
Ρήγας Βελεστινλής ( Φεραίος)
Γιος εμπόρου, γεννήθηκε το
1757 στο Βελεστίνο της
Θεσσαλονίκης, που ονομαζόταν
και Φερές.
Μετανάστευσε στο Βουκουρέστι.
Επηρεάστηκε από τις ευρωπαϊκές
ιδέες.
Καταγωγή Το έργο του
Εξέδωσε γαλλικά
μυθιστορήματα στη δημοτική,
ένα βιβλίο Φυσικής για
μαθητές και έναν τεράστιο
χάρτη της Ελλάδας
« Χάρτα της Ελλάδας».
Έγραψε τον Θούριο, έναν
επαναστατικό ύμνο, σύμβολο
του αγώνα για την ελευθερία.
Συνεργασία βαλκανικών λαών για
την απελευθέρωσή τους από
τους Τούρκους.
Δημιουργία κράτους που θα
κυριαρχούσε η ελληνική γλώσσα
και παιδεία.
Το 1797 οι Αυστριακοί τον
παραδίδουν στους Τούρκους οι
οποίοι των θανατώνουν και τον
ρίχνουν στον ποταμό Δούναβη.
Το όραμα του
Αδαμάντιος Κοραής
Καταγωγή Το έργο του
Καταγόταν από πλούσια οικογένεια
της Χίου, αλλά γεννήθηκε στη
Σμύρνη το 1748. Εγκαταστάθηκε
μόνιμα στη Γαλλία, όπου σπούδασε
ιατρική.
Αντιγραφή και δημοσίευση αρχαίων Ελλήνων συγγραφέων.
Η απελευθέρωση των Ελλήνων περνά μέσα από την παιδεία του
λαού, χρησιμοποιώντας την ελληνική γλώσσα στην απλούστερη
μορφή της.
Συνέβαλε σημαντικά στην προετοιμασία της Μεγάλης Επανάστα-
σης.
Συντέλεσε στην ίδρυση του Ελληνικού Κομιτάτου στο Παρίσι.
Επιμέλεια: Χρήστος Χαρμπής http://st-taksh.blogspot.gr σελ.20
Δημοτικό Σχολείο Μενιδίου
Σχ. Έτος: 2012-13
Ενότητα 2η
- Ιστορία ΣΤ΄-Κεφ: 9 ¨Τα κυριότερα επαναστατικά κινήματα¨
Υπεύθυνος τάξης: Γεωργακόπουλος Ανδρέας
Κατά την διάρκεια των τεσσάρων αιώνων της Τουρκοκρατίας έγιναν πολλές εξεγέρσεις των υπόδου-
λων Ελλήνων εναντίων των Οθωμανών. Πολλές από αυτές έγιναν από ευρωπαϊκές δυνάμεις που ήθε-
λαν να αναστατώσουν το εσωτερικό της Τουρκίας για δικό τους όφελος.
• (16ος
Αιώνας) Κερκυραίοι - Κρητικοί – Μανιάτες – Βενετοί - Ισπανοί
Πολεμούν τους Τούρκους, στην ξηρά και στην θάλασσα. Στη Ναυμαχία της
Ναυπάκτου το 1571 στην οποία καταστρέφεται ο τούρκικος στόλος συμμετείχαν
και ελληνικά καράβια.
• Μητροπολίτης Λαρίσης Διόνυσος ( Φιλόσοφος )
Ξεσηκώνει τους υπόδουλους Έλληνες στην ορεινή Θεσσαλία. Το κίνημά
του απέτυχε και ό ίδιος διαφεύγει στη Ρώμη και έπειτα στην Ισπανία.
• (18ος
Αιώνας) Ρώσοι ¨ξανθό γένος¨
Το 1770 οι αδελφοί Ορλώφ φτάνουν στη Μάνη με Ρώσους και Έλληνες στρατιώ-
τες. Ο Ιωάννης Βλάχος ( Δασκαλογιάννης) ξεσηκώνει τα Σφακιά. Στη ναυμαχία του Τσεσμέ
ο ορθόδοξος στόλος νικά τους Οθωμανούς. Οι συγκρούσεις σταματούν με τη Συνθήκη
του Κιουτσούκ Καϊναρτζή*. *Ενότητα 2η
Κεφ. 5.
• Λάμπρος Κατσώνης
Αξιωματικός του ρωσικού στρατού. Με μικρό στόλο πλέει στο αιγαίο, κάνοντας επιθέσεις
εναντίων των τούρκικων πλοίων. Μαζί του είναι και ο Γεώργιος Ανδρίτσος, πατέρας του ήρωα
της Επανάστασης Οδυσσέας Ανδρούτσος.
• Τέλη 18ου
Αιώνα
Οι Έλληνες στράφηκαν για βοήθεια προς τους Γάλλους του Ναπολέοντα, αλλά γρήγορα οι
ελπίδες τους διαψεύστηκαν. Γύρω στο 1800 οι Έλληνες καταλαβαίνουν ότι η ελευθερία θα έλθει
μόνο από τους ίδιους.
Επιμέλεια: Χρήστος Χαρμπής http://st-taksh.blogspot.gr σελ.21
Δημοτικό Σχολείο Μενιδίου
Σχ. Έτος: 2012-13
Ενότητα 2η
- Ιστορία ΣΤ΄-Κεφ: 10 ¨ Οι αγώνες των Σουλιωτών¨
Υπεύθυνος τάξης: Γεωργακόπουλος Ανδρέας
Οι Σουλιώτες πρωταγωνιστούν σε πολλές επαναστατικές ενέργειες κατά των Τούρκων. Γνωστοί είναι οι αγώνες
τους εναντίον του Αλή Πασά τον Ιωαννίνων.
Σουλιώτες
• Βοσκοί που μιλούσαν ελληνικά και αρβανίτικα.
• Δύσκολες συνθήκες ζωής.
• Πολύχρονη ενασχόληση με τα όπλα.
• Άριστη γνώση εδάφους.
• Ομαδικό πνεύμα.
• Εξαιρετική τόλμη.
• Ικανότατοι πολεμιστές.
• Μάταιες οι προσπάθειες των Τούρκων για υποταγή.
Ο Αλή Πασάς των Ιωαννίνων - Η κατάκτηση του Σουλίου
• Πετυχαίνει με διάφορους τρόπους να διώξει από το Σούλι ορισμένους αρχηγούς.
• Αδυνατίζει η άμυνα του Σουλίου.
• Το 1803 οι Τούρκοι κατακτούν το Σούλι.
• Ο καλόγερος Σαμουήλ ανατινάζει τον οχυρό λόφο Κούγκι.
• Σκοτώνεται ο ίδιος, Έλληνες που ήταν κοντά του , αλλά και Τούρκοι.
• Κάποιοι Σουλιώτες περνούν στην Κέρκυρα, ενώ κάποιοι άλλοι θα καταφύγουν στην
Πρέβεζα.
Οι Σουλιώτες στη Μεγάλη Επανάσταση
Το 1820 οι Τούρκοι καλούν τους Σουλιώτες να γυρίσουν πίσω και να βοηθήσουν Σουλτάνο
να εξοντώσει τον Αλή Πασά. Οι Σουλιώτες αποκρούουν τον Αλή Πασά. Το 1822, μένουν
αβοήθητοι και εγκαταλείπουν οριστικά το Σούλι και σκορπίζονται στην Στερεά Ελλάδα και
Πελοπόννησο.
Στην επανάσταση του 1821 πολλοί Σουλιώτες δρουν ως οπλαρχηγοί, έχοντας φήμη γενναίων
Και αδάμαστων πολεμιστών.
Επιμέλεια: Χρήστος Χαρμπής http://st-taksh.blogspot.gr σελ.22
ΚΕΦΑΛΑΙΟ 3:Η ΟΘΩΜΑΝΙΚΗ ΑΥΤΟΚΡΑΤΟΡΙΑ.
Η ΟΘΩΜΑΝΙΚΗ ΑΥΤΟΚΡΑΤΟΡΙΑ
1
Την εποχή του Σουλεϊμάν του
Μεγαλοπρεπούς η Ο.Α. εκείνεται στις τρεις
ηπείρους
(Ευρώπη-Ασία-Αφρική)
2
Τέλη 17ου αι. οι Τούρκοι επιχειρούν να
κατακτήσουν την κεντρική Ευρώπη αλλά
νικούνται
3 Ιεραρχικός τρόπος διακυβένησης του
κράτους ΣΟΥΛΤΑΝΟΣ
Μεγάλος Βεζίρης
Βεζίρηδες
Υψηλή
Πύλη
Πασάδες - διοικητές Αλή Πασάς των
Ιωαννίνων
στρατός
ΕΡΩΤΗΣΕΙΣ
1. Μέχρι πού έφτασε η έκταση της οθωμανικής αυτοκρατορίας στα χρόνια μετά τον Μωάμεθ Β';
2. Ποιο ήταν το αποτέλεσμα της προσπάθειας των Τούρκων να κατακτήσουν την κεντρική Ευρώπη, τον 17ο αιώνα;
3. Ποιος ήταν ο τρόπος διοίκησης της Οθωμανικής αυτοκρατορίας;
4. Γιατί παρήκμασε η Οθωμανική αυτοκρατορία;
5. Με ποιο τρόπο αποκτούσαν τα αξιώματά τους οι Τούρκοι διοικητές και ποιος κάλυπτε τις ανάγκες τους;
ΑΝΘΙΜΟΥ ΣΟΦΙΑ
Επιμέλεια: Χρήστος Χαρμπής http://st-taksh.blogspot.gr σελ.23
ΚΕΦΑΛΑΙΟ 4 : «ΒΕΝΕΤΟΙ ,ΓΕΝΟΥΑΤΕΣ ΚΑΙ ΑΛΛΟΙ ΚΑΤΑΚΤΗΤΕΣ»
• Οι Λατίνοι κατακτητές (Φράγκοι και Βενετοί ) διάλεγαν να κατακτήσουν εύφορες περιοχές με στρατηγική σημασία ανάπτυξη εμπορίου ,
τεχνών και γραμμάτων
• Έχτιζαν ακροπόλεις (με κατοικίες και εκκλησίες καθολικών ) και στρατολογούσαν τους ντόπιους Προσπάθεια αποδυνάμωσης του ορθόδοξου κλήρου
• Ασχολούνταν με το εμπόριο υποχρέωναν τους κατοίκους να καλλιεργούν είδη που μπορούσαν να πουληθούν στο εξωτερικό
• Ενδιαφέρονταν για τη διοίκηση . Ανώτατος άρχοντας= προβλεπτής (μια περιοχή )
Ευγενείς Βενετοί ή πλούσιοι Έλληνες(μικρότερες περιοχές)
Λαός που πλήρωνε φόρους και έκανε αγγαρείες
• Οι Έλληνες επαναστατούν διαφύλαξη κύρους –
υπεράσπιση του δίκιου τους
Διαφύλαξη ορθόδοξης πίστης
• αρκετά εδάφη των Βενετών κατακτούνται από Τούρκους Κύπρο
Κρήτη
Άγγλους - Γάλλους Επτάνησα
Γενουάτες νησιά Αιγαίου
• Διαφορές Λατίνων και Τούρκων
Πολιτισμένοι, απολίτιστοι
έμποροι, στρατιωτικοί
ομόθρησκοι αλλόθρησκοι
πολλοί δυνάστες ένας δυνάστης
ΕΡΩΤΗΣΕΙΣ
1. Τι περιοχές διάλεγαν οι Λατίνοι για να κατακτήσουν; Γιατί;
2. Πώς διοικούσαν οι Βενετοί τις περιοχές που είχαν κατακτήσει;
3. Πώς αντιδρούσαν οι Έλληνες τους Λατίνους κατακτητές; Τι ήταν το «ρεμπελιό των ποπολάρων»;
4. Τι συνέβη όταν οι λατινοκρατούμενες ελληνικές περιοχές κατακτήθηκαν από τους Τούρκους; Ανάφερε κάποιες περιπτώσεις.
5. Ποιες οι ομοιότητες και οι διαφορές ανάμεσα στους Λατίνους και στους Τούρκους κατακτητές;
«Ρεμπελιό των ποπολάρων»
Ζάκυνθος (1628)
ΑΝΘΙΜΟΥ ΣΟΦΙΑ
Επιμέλεια: Χρήστος Χαρμπής http://st-taksh.blogspot.gr σελ.24
ΚΕΦΑΛΑΙΟ 5 : Ο ΣΟΥΛΤΑΝΟΣ ΠΑΡΑΧΩΡΕΙ ΠΡΟΝΟΜΙΑ
ΟΜωάμεθοΒ΄
κάνειτηνΚων/ληπρωτεύουσα
τουνέουκράτους
ΟρίζειτονΓεννάδιο
(ανθενωτικός)στον
πατριαρχικόθρόνο
δίνειθρησκευτική-πολιτική
καιδικαστικήεξουσία
αποκόπτειδεσμούςμετη
Δύση
ΟιΈλληνεςδενέχασαν
τηνπίστη-γλώσσακαι
παιδείατους
Πατριαρχείο
Φανάρι-Φαναριώτες
Οι Τούρκοι δίνουν προνόμια στους
Έλληνες
εμπόριο βιοτεχνία γεωργία
μερική
αυτοδιοίκηση
ήθη γλώσσα
έθιμα παραδόσεις θρησκεία
ΕΡΩΤΗΣΕΙΣ
1. Ποια ήταν η επιθυμία του Μωάμεθ του Β΄΄;
2. Γιατί επέβαλε τον Γεννάδιο και ποιες αρμοδιότητες έδωσε στον κλήρο;
3. Τι ήταν οι Φαναριώτες και ποιος ο ρόλος τους;
4. Τι ήταν τα προνόμια και ποια ήταν ;
5. Ποιες ήταν οι συνέπειες των προνομίων για τους Έλληνες;
6. Γιατί ο Μωάμεθ ο Β΄ τοποθέτησε έναν ανθενωτικό στον πατριαρχικό θρόνο;
7. Για ποιους λόγους οι Τούρκοι παραχώρησαν τα «προνόμια» στους Έλληνες;
ΑΝΘΙΜΟΥ ΣΟΦΙΑ
Επιμέλεια: Χρήστος Χαρμπής http://st-taksh.blogspot.gr σελ.25
ΚΕΦΑΛΑΙΟ 6 : ΟΙ ΣΥΝΘΗΚΕΣ ΖΩΗΣ ΤΩΝ ΥΠΟΔΟΥΛΩΝ
ΕΡΩΤΗΣΕΙΣ
1. Τι ήταν το χαράτσι, και ποιο άλλο φόρο πλήρωναν στους
Τούρκους κατακτητές οι υπόδουλοι Έλληνες;
2. Τι ονομάζουμε φόρο αίματος;
3. Τι ήταν ο εξισλαμισμός;
4. Γιατί οι Τούρκοι υποχρέωναν τους χριστιανούς να υπηρετήσουν
στα τουρκικά καράβια;
5. Γιατί δημιουργήθηκαν οι ελληνικές παροικίες και ποιες ήταν οι
πιο σημαντικές;
6. Ποια ήταν η προσφορά των ελληνικών παροικιών στο
σκλαβωμένο έθνος;
ΟΙ ΣΥΝΘΗΚΕΣ
ΖΩΗΣ ΤΩΝ
ΥΠΟΔΟΥΛΩΝ
κεφαλικός
φόρος
φόρος γης
αίσθημα
κατωτερότητας
φόρος
αίματος
πειρατεία
παροικίες
παραδουνάβιες
παροικίες
(Βουκουρέστι-
Ιάσιο)
ναυτολογία
παιδομάζωμα
εξισλασμισμός
εμπόριο
βιοτεχνία
τέχνες
γράμματα
κρυπτοχριστιανοί -
νεομάρτυρες
προσφορά στην
Αναγέννηση του
Ελληνισμού και στον
Αγώνα της
Ανεξαρτησίας
ΑΝΘΙΜΟΥ ΣΟΦΙΑ
Επιμέλεια: Χρήστος Χαρμπής http://st-taksh.blogspot.gr σελ.26
ΚΕΦΑΛΑΙΟ 7: ΟΙ ΚΟΙΝΟΤΗΤΕΣ ΜΙΑ ΜΟΡΦΗ ΑΥΤΟΔΙΟΙΚΗΣΗΣ
ΚΟΙΝΟΤΙΚΗ
ΑΥΤΟΔΙΟΙΚΗΣΗ
1 χρονο
θητεία
εκλογή
από το
λαό
(μάζωξη)
έλεγχος
ραγιάδων=Ελλήνων
είσπραξη
φορων
κοινοτικοί άρχοντες
(κοτζαμπάσηδες,
δημογέροντες.πρόκριτοι,
προεστοί...)
έγκριση
από
Τούρκους
διατήρηση
τάξης
φορολογία
δίκαζαν
(με βάση τα ήθη
και τα έθιμα)
ενδιαφέρον
για την
παιδεία
κοινοτικά προνόμια
λιγότερους
φόρους
λιγότερη
καταπίεση
έργο των προεστών
ήταν
ΕΡΩΤΗΣΕΙΣ
1.Ποιοι ήταν οι κοινοτικοί άρχοντες ,πώς
τους έλεγαν και εκλέγονταν ;
2.Ποια ήταν τα καθήκοντα των προκρίτων;
3.Τι ήταν τα «κοινοτικά προνόμια»; Ποιες
περιοχές γνωρίζεται που είχαν «προνόμια;»
4.Τ ι είναι ο «κατής» και τι ο «βοεβόδας»;
ΑΝΘΙΜΟΥ ΣΟΦΙΑ
Επιμέλεια: Χρήστος Χαρμπής http://st-taksh.blogspot.gr σελ.27
ΚΕΦΑΛΑΙΟ 8 : ΟΙ ΟΙΚΟΝΟΜΙΚΕΣ ΔΡΑΣΤΗΡΙΟΤΗΤΕΣ ΤΩΝ ΕΛΛΗΝΩΝ
βιοτεχνία
(Καστοριά-Αμπελάκια-
24χωριά του Πηλίου)
εμποροπανύρη
(μια φορά το
χρόνο)
ναυτιλία
ΟΙΚΟΝΟΜΙΚΕΣ
ΔΡΑΣΤΗΡΙΟΤΗΤΕΣ
ΕΛΛΗΝΩΝ
γεωργία
κτηνοτροφία
εμπόριο
μεγάλες αγροτικές
ιδιοκτησιες
(τσιφλίκια)
λαϊκή
αγορά
εισαγωγές-
εξαγωγές
προϊόντων
ανάπτυξη μετά τη
Συνθήκη του Κιουτσούκ-
Καϊναρτζή
εμπορικός στόλος νησιών
(Ύδρα-Σπέτσες-Ψαρά)
συνεταιρισμοί(επαγγελματικές
παρέες)
ΕΡΩΤΗΣΕΙΣ
1. Με τι ασχολούνταν οι Έλληνες
μετά την τουρκική κατάκτηση;
2. Τι ήταν τα τσιφλίκια;
3. Πώς γινόταν το εμπόριο στη στεριά
και πώς στη θάλασσα στα χρόνια
της τουρκοκρατίας;
4. τι γνωρίζεις για την ανάπτυξη του
εμπορίου μετά τη Συνθήκη
Κιουτσούκ-Καϊναρτζή;
5. Για ποιο λόγο νομίζετε ότι οι Ρώσοι
υπέγραψαν με τους Τούρκους τη
Συνθήκη Κιουτσούκ-Καϊναρτζή;
6. Υπογράφονται σήμερα μεταξύ των
κρατών εμπορικές-οικονομικές
συνθήκες ; Τι εξυπηρετούν αυτές;
ΑΝΘΙΜΟΥ ΣΟΦΙΑ
Επιμέλεια: Χρήστος Χαρμπής http://st-taksh.blogspot.gr σελ.28
ΚΕΦΑΛΑΙΑ 9-10 : ΧΑΡΕΣ ΚΑΙ ΛΥΠΕΣ ΤΗΣ ΚΑΘΗΜΕΡΙΝΗΣ ΖΩΗΣ-ΘΡΥΛΟΙ ΚΑΙ ΠΑΡΑΔΟΣΕΙΣ ΣΥΝΤΗΡΟΥΝ ΤΗΝ ΕΛΠΙΔΑ
ΕΡΩΤΗΣΕΙΣ
1. Ποιες ομοιότητες και ποιες διαφορές διαπιστώνουμε σήμερα ανάμεσα στην καθημερινή ζωή των σκλαβωμένων και τη δική μας σήμερα;
2. Γιατί οι Έλληνες χρησιμοποιούσαν πολλές εκφράσεις με συμβολικό περιεχόμενο στα χρόνια της σκλαβιάς;
ΑΝΘΙΜΟΥ ΣΟΦΙΑ
Επιμέλεια: Χρήστος Χαρμπής http://st-taksh.blogspot.gr σελ.29
ΚΕΦΑΛΑΙΟ 11: ΤΑ ΣΧΟΛΕΙΑ ΚΑΙ ΟΙ ΔΑΣΚΑΛΟΙ ΤΟΥ ΓΕΝΟΥΣ
ΕΡΩΤΗΣΕΙΣ
1. Γιατί δημιουργήθηκε και
συντηρήθηκε ο θρύλος του «κρυφού
σχολειού»;
2. Πώς λειτούργησαν τα πρώτα σχολεία
κατά την περίοδο της τουρκοκρατίας;
3. Γιατί η τυπογραφία βοήθησε
αποφασιστικά στη μόρφωση του
λαού;
4. Ποια ήταν η προσφορά των
“δασκάλων του Γένους” και ποιοι
ήταν οι σημαντικότεροι;
5. Μόνο άντρες ήταν οι «δάσκαλοι του
Γένους»;
πλούσιων Ελλήνων
του εξωτερικού και
εσωτερικού
ιδρύονται τα πρώτα
σχολεια με τη βοηθεια
Αρχικά ο σκλαβωμένος λαός
μένει χωρίς δασκάλους
ΤΑ ΣΧΟΛΕΙΑ
ΚΑΙ
ΟΙ ΔΑΣΚΑΛΟΙ
ΤΟΥ ΓΕΝΟΥΣ
ο θρύλος του
"κρυφού σχολειού"
τυπογραφία
βιβλία ευρωπαϊκού
διαφωτισμού και
Γαλλικής Επανάστασης
ο λαός
μορφώνεται και
λαχταρά την
απελευθέρωση
της
εκκλησίας
προσφορά
"δασκάλων του
Γένους"
ΚΟΣΜΑΣ
ΑΙΤΩΛΟΣ
ΑΔΑΜΑΝΤΙΟΣ
ΚΟΡΑΗΣ
ιδρύει
σχολεία
200"κοινά"
10
"ελληνικά"
πιστεύει ότι με τη
μόρφωση ο λαός θα
απελευθερωθεί
διδάσκει την αρχαϊζουσα
και τους αρχαίους
Έλληνες συγγραφείς
ΑΝΘΙΜΟΥ ΣΟΦΙΑ
Επιμέλεια: Χρήστος Χαρμπής http://st-taksh.blogspot.gr σελ.30
ΚΕΦΑΛΑΙΟ 12 : ΠΝΕΥΜΑΤΙΚΗ ΑΝΑΠΤΥΞΗ ΜΕΣΑ ΣΤΗ ΣΚΛΑΒΙΑ
Ήπειρο
"Ερωτόκριτος"-
"Η θυσία του
Αβραάμ"
ΧΟΡΤΑΤΣΗΣ
ΤΈΧΝΕΣ
ΠΝΕΥΜΑΤΙΚΗ ΑΝΑΠΤΥΞΗ ΜΕΣΑ ΣΤΗ
ΣΚΛΑΒΙΑ
ΓΡΑΜΜΑΤΑ
(δημοτική
γλώσσα)
θέατρο -
ποίηση
κρητική
αναγέννηση
ΚΟΡΝΑΡΟΣ
"Ερωφίλη"
Επτάνησα
Βηλαράς
Βλαχία
Χριστόπουλος
δημοτικά
τραγούδια
βυζαντινή
μουσική αρχιτεκτονική
αρχοντικά
έργα κοινής
ωφέλειας
οχυρωματικά
εκκλησίες -
μοναστήρια
ζωγραφική
ΠΟΥΛΑΚΗΣ-
ΔΑΜΑΣΚΗΝΟΣ
ΕΡΩΤΗΣΕΙΣ
1. Σε ποιες περιοχές αναπτύχθηκαν οι
τέχνες και τα γράμματα; Γιατί
νομίζετε ότι αναπτύχθηκαν εκεί;
2. Ποια είναι τα γνωστότερα ποιητικά
και θεατρικά έργα;
3. Ποιοι ήταν οι πιο γνωστοί
χριστιανοί ζωγράφοι;
4. Τι σημαίνει η φράση «πώς ο λαός
ξεπέρασε τους ποιητές και τους
δημιουργούς»;
ΑΝΘΙΜΟΥ ΣΟΦΙΑ
Επιμέλεια: Χρήστος Χαρμπής http://st-taksh.blogspot.gr σελ.31
ΚΕΦΑΛΑΙΟ 13: ΚΛΕΦΤΕΣ ΚΑΙ ΑΡΜΑΤΟΛΟΙ
μπαϊράκι=σημαία
αν αποκτούσαν δύναμη ή
συμπάθεια ξαναγίνονταν
λαϊκοί ήρωες-
επαναστάτες
ΚΛΕΦΤΕΣ ΚΑΙ ΑΡΜΑΤΟΛΟΙ
Έλεγχαν μια
περιοχή το
"αρματολίκι"
ΚΛΕΦΤΕΣ
ΑΡΜΑΤΟΛΟΙ
πρωτοπαλίκαρο
ψυχογιούς
οι ανυπότακτοι κλέφτες
γίνονταν
καπετάνιο
Ζούσαν στα λημέρια
καθημερινή
άσκηση
ΕΡΩΤΗΣΕΙΣ
1. Τι ήταν οι κλέφτες;
2. Τι ήταν οι αρματολοί;
3. Πώς οι λέξεις “κλέφτης” και “αρματολός”
έφτασαν να σημαίνουν το ίδιο πράγμα;
4. Τι πρόσφεραν στο υπόδουλο Γένος οι
κλέφτες και οι αρματολοί;
5. Σας θυμίζουν οι κλέφτες και οι αρματολοί
χαρακτήρες από την περσινή μας ιστορία;
ΑΝΘΙΜΟΥ ΣΟΦΙΑ
Επιμέλεια: Χρήστος Χαρμπής http://st-taksh.blogspot.gr σελ.32
ΚΕΦΑΛΑΙΟ 14: ΤΑ ΚΑΣΤΡΑ ΤΗΣ ΛΕΥΤΕΡΙΑΣ
φάρες
(Τζαβέλα-
Μπότσαρη-
Κουτσονίκα
ΜΑΝΗ
(Πελοπόννησος)
ΣΟΥΛΙ
(Ήπειρος)
ΤΑ ΚΑΣΤΡΑ ΤΗΣ ΛΕΥΤΕΡΙΑΣ
ΣΦΑΚΙΑ
(Κρήτη)
συμβούλιο
γερόντων
αποτελούνταν
από
ισχυρή
στρατιωτική
δύναμη
Αλή Πασά
Ιωαννίνων
Κούγκι -
Σαμουήλ
ζούσαν
πρωτόγωνα
και
ανοργάνωτα
οικογένεια
πατριά
(πολλές οικογένειες
μαζί- "πύργος")
τάξεις
Νικλιάνοι
Αχαμνόμερους
Ζάλογγο -
Σουλιώτισσες
σεβασμό
ηλικιωμένων
βεντέταοικογενειακή
τιμή
"γεροντική"
=συμβούλιο
ηλικιωμένων
βεντέτα-
οικογενειακή
τιμή
ΕΡΩΤΗΣΕΙΣ
1. Ποιες ήταν οι περιοχές της Ελλάδας που κατάφεραν να διατηρήσουν σχετική ελευθερία;
2. Πώς ήταν οργανωμένοι οι Σουλιώτες και τι ξέρεις για το Σούλι;
3. Πώς ήταν οργανωμένοι οι Μανιάτες και τι ξέρεις για τη Μάνη;
4. Πώς ζούσαν οι Σφακιανοί και τι ξέρεις για τα Σφακιά;
5. Γιατί οι περιοχές αυτές είχαν σχετική ελευθερία; Υπάρχει σχέση ανάμεσα στην «ελευθερία» και τη
γεωγραφική τους θέση;
ΑΝΘΙΜΟΥ ΣΟΦΙΑ
Επιμέλεια: Χρήστος Χαρμπής http://st-taksh.blogspot.gr σελ.33
ΚΕΦΑΛΑΙΟ 15 :Η ΕΝΟΠΛΗ ΟΡΜΗ ΓΙΑ ΤΟΝ ΑΓΩΝΑ
ΕΝΟΠΛΗ ΟΡΜΗ ΓΙΑ ΑΠΕΛΕΥΘΕΡΩΣΗ
18 ος αι.17ος αι.
1611
Διονύσιος ο
Φιλόσοφος ή
Σκυλόσοφος
(Ήπειρο -
Θεσσαλία)
1769 1788
"Ορλωφικά"
(Πελοπόννησος)
Λάμπρο Κατσώνη
(Άνδρος)
ρωσοτουρκικός
πόλεμος
Συνθήκη
Κιουτσούκ-
Καϊναρτζή
όλες καταπνίγονται
από τους Τούρκους
ΕΡΩΤΗΣΕΙΣ
1. Ποια επαναστατική κίνηση έγινε τον 17ο
αι. και από ποιον;
2. Ποιες επαναστατικές κινήσεις έγιναν τον 18ο
αι. και από ποιους;
3. Τι ήταν τα «ορλωφικά»;
4. Βοήθησαν ουσιαστικά οι Ρώσοι; Ποια ήταν τα πραγματικά τους κίνητρα;
ΑΝΘΙΜΟΥ ΣΟΦΙΑ
Επιμέλεια: Χρήστος Χαρμπής http://st-taksh.blogspot.gr σελ.34
ΚΕΦΑΛΑΙΟ 16 : ΤΟ ΟΡΑΜΑ ΤΟΥ ΡΗΓΑ
ε μ π ό ρ ιο
α ν τ ίθ ε σ η μ ε
υ π ό λ ο ιπ η Ε υ ρ ώ π η
Ρ Η Γ Α Σ Φ Ε Ρ Α Ι Ο Σ
γ ε ν ν ή θ η κ ε σ τ ο
Β ε λ ε σ τ ίν ο Κ ω ν /π ο λ η
ε κ μ ά θ η σ η
ξ έ ν ω ν
γ λ ω σ σ ώ ν -
γ ν ω ρ ιμ ί α μ ε
ξ έ ν ο υ ς
" α ν τ ί σ τ α σ η "
Ο ι Έ λ λ η ν ε ς έ χ ο υ ν κ ο ι ν ό τ ρ ό π ο ζ ω ή ς μ ε τ ο υ ς υ π ό λ ο ιπ ο υ ς β α λ κ α ν ικ ο ύ ς λ α ο ύ ς
χ α ϊν τ ο ύ τ ο υ ς
Β Ο Υ Λ Γ Α Ρ Ι Α
χ α ϊν τ ο ύ κ ο υ ς
Σ Ε Ρ Β Ι Α
π α ν δ ο ύ ρ ο υ ς
Ρ Ο Υ Μ Α Ν Ι Α
( κ λ έ φ τ ε ς κ α ι
α ρ μ α τ ο λ ο ύ ς )
Ε Λ Λ Α Δ Α
ε π η ρ ε ά σ τ η κ ε
α π ό Γ α λ λ ί α
Ν α π ο λ έ ο ν τ α
Γ α λ λ .
ε π α ν ά σ τ α σ η
σ υ γ γ ρ α φ ή
ε π α ν α σ τ α τ ι κ ώ ν
κ ε ιμ έ ν ω ν
μ ε τ ά φ ρ α σ η σ τ α ε λ λ η ν ικ ά
ξ έ ν α β ιβ λ ί α μ ε σ κ ο π ό τ η ν
α φ ύ π ν ισ η τ ο υ ε λ λ η ν ισ μ ο ύ
Θ Ο Υ Ρ Ι Ο Σ
Β ι έ ν ν η Τ ε ρ γ έ σ τ η
σ ύ λ λ η ψ η α π ό
Α υ σ τ ρ ι α κ ο ύ ς
π α ρ ά δ ο σ η σ τ ο
Τ ο ύ ρ κ ο υ ς
θ ά ν α τ ο ς
1 7 8 9
Μ ε τ ά τ ο θ ά ν α τ ο τ ο υ Ρ ή γ α ξ ε σ π ο υ ν ε π α ν α σ τ α τ ι κ ά κ ι ν ή μ α τ αο δ η γ ο ύ ν τ α ι τ α Β α λ κ ά ν ι α π ρ ο ς τ η ν α π
ΕΡΩΤΗΣΕΙΣ
1. Για ποιο λόγο παρουσιάζουν
ομοιότητες οι βαλκανικοί λαοί;
2. Τι ξέρεις για το Ρήγα Φεραίο;
3. Ποιο ήταν το όραμα ζωής του Ρήγα
Φεραίου, πώς το πραγματοποίησε και
τι αποτέλεσμα είχε;
4. Τι ξέρεις για τον «Θούριο»;
5. Τι προέβλεπε η “Νέα Πολιτική
Διοίκηση” του Ρήγα Φεραίου;
ΑΝΘΙΜΟΥ ΣΟΦΙΑ
Επιμέλεια: Χρήστος Χαρμπής http://st-taksh.blogspot.gr σελ.35
• Ανεκτικοί απέναντι στο Πατριαρχείο Κωνσταντινούπολης.
Οι Οθωμανοί Τούρκοι κατήργησαν τη βυζαντινή διοίκηση στις χώρες που κατέκτησαν.
Πατριάρχης
• Θρησκευτικός ηγέτης.
• Εκπρόσωπος των Ορθόδοξων Χριστιανών.
• Λογοδοτούσε στον Σουλτάνο.
• Ιδρύει σχολεία.
• Επιβάλλει ειδική φορολογία στους πιστούς.
Η εκκλησία δεν είχε μόνο θρησκευτικά καθήκοντα
αλλά αποφάσιζε και για άλλες υποθέσεις π.χ για τις
κληρονομιές.
Ιεράρχες που δε θεωρούν την τουρκική κατάκτηση ¨θεραπεία¨ σταλμένη από το Θεό.
Πατριάρχης Νεόφυτος ο Β΄.
Επηρεάστηκε από τις ευρωπαϊκές ιδέες
και αμφισβητούσε την υποταγή στους
Τούρκους.
Μοναχός Μάξιμος ο Γραικός.
• Καλλιέργησε σχέσεις με τη Ρωσία.
• Άγιος της Μόσχας.
• Οι Ρώσοι ταυτίστηκαν με τη σκέψη της
απελευθέρωσης της Κων/πολης από τους απίστους.
Φανάρι. Συνοικία της Κων/πολης κοντά στο Πατριαρχείο.
Φαναριώτες. • Ζούσαν κοντά στο Φανάρι.
• Ηγετική ομάδα Ελλήνων.
• Πλούσιοι.
• Αξιόλογη μόρφωση.
• Γνώριζαν ξένες γλώσσες.
• Υψηλά αξιώματα στην οθωμανική διοίκηση.
Κοινοτικοί άρχοντες
(επίτροποι, δημογέροντες, προεστοί,
και κοτσαμπάσηδες.
• Αδυναμία των Τούρκων για τη
συλλογή φόρων.
• Μεγάλη περιουσία.
• Πολιτική δύναμη.
Γεωργακόπουλος Ανδρέας
Επιμέλεια: Χρήστος Χαρμπής http://st-taksh.blogspot.gr σελ.36
Κλέφτες
Οι Τούρκοι για να αντιμετωπίσουν τους
κλέφτες χρησιμοποιούσαν τους
αρματολούς.
Φημισμένοι αρματολοί
Οι Τούρκοι αντιμετωπίζουν εξεγέρσεις από ομάδες Ελλήνων.
• Ζούσαν στην ύπαιθρο σε
δύσβατα μέρη ( λημέρια).
• Μικρές ομάδες με αρχηγό
(καπετάνιο) και μπαϊράκι.
• Εχθρότητα για τους Τούρκους.
• Αγαπητοί στο λαό.
• Σύμβολο αντίστασης.
• ΄Ενοπλοι Έλληνες.
• Πρώην κλέφτες.
• Συνήθως συνεργάζονταν με
τους κλέφτες.
• Εγκατέλειπαν τις θέσεις τους
και προσχωρούσαν σε αυτούς.
• Αρκετοί από τους απογόνους
τους έλαβαν μέρος στην
επανάσταση του 1821.
• Γεώργιος Ανδρίτζος
• Κατσαντώνης
• Γεώργιος Μπότσαρης
• Λάμπρος Τζαβέλλας
Κορκόδειλος Κλαδάς ( Ορμητήριο τη Μάνη η οποία δεν υποτάχτηκε ποτέ)
Άλλοι ένοπλοι έλληνες
Γεωργακόπουλος Ανδρέας
Επιμέλεια: Χρήστος Χαρμπής http://st-taksh.blogspot.gr σελ.37
Παρακμή της Οθωμανικής Αυτοκρατορίας Συνθήκες
Η οικονομία της Οθωμανικής Αυτοκρατορίας στηριζόταν κυρίως…
Αγροτικές καλλιέργειες
Σιτάρι
Κριθάρι
Βαμβάκι
Καπνός
Λάδι
Σταφίδα
Κτηνοτρόφοι
Ζούσαν μόνιμα σε
ένα μέρος ή ήταν
νομάδες.
Προϊόντα
Ανάγκες σπιτιού
Πρώτες ύλες βιοτεχνίας
Τοπικές αγορές
Διάθεσή τους στο εξωτερικό.
Παράγοντες που ωφέλησαν τις οικονομικές δραστηριότητες των Ελλήνων.
Γεωγραφικές ανακαλύψεις.
Νέοι εμπορικοί δρόμοι.
Τερματισμός κατακτήσεων.
Μείωση εσόδων από το εμπόριο.
Υποτίμηση του νομίσματος.
Κάρλοβιτς (1699)
Κιουτσούκ Καϊναρτζή (1774)
( Αυστρία και Ρωσία επηρεάζουν τα εσωτερικά της
Τουρκίας – εμπορικές συμφωνίες που ευνοούν το
ελληνικό εμπόριο. Οι έλληνες υψώνουν στα καράβια
τους τις σημαίες των χωρών αυτών.)
Ωφέλησαν τους Έλληνες
Δραστηριοποιούνται στην
Κεντρική ,Δυτική Ευρώπη
και Ρωσία.
Ιδρύουν στα μέρη αυτά σημαντικές
παροικίες, αναλαμβάνουν μεγάλο
μέρος του εμπορίου, αποκτούν πολλά
πλούτη.
Φτάνουν και στην Ελλάδα οι
επαναστατικές ιδέες της Ευρώπης.
Αυξάνεται ο εμπορικός στόλος
αντιμετωπίζεται η πειρατεία .
Η οικονομική άνθηση, ο πολυάριθμος στόλος και οι εύπορες παροικίες βελτιώνουν τη θέση
των ελλήνων. Σημαντική συνεισφορά στην επανάσταση του 1821.
Γεωργακόπουλος Ανδρέας
Επιμέλεια: Χρήστος Χαρμπής http://st-taksh.blogspot.gr σελ.38
• Έλληνες από τον Πόντο: Μετακινήθηκαν στον Καύκασο και στην Κριμαία ( Ιδρύουν παροικίες
με πιο γνωστή την Οδησσό).
• Έλληνες από την Μακεδονία: εγκαταστάθηκαν κυρίως στη Βιέννη, την Τεργέστη, τη Σερβία και
την Ουγγαρία.
• Αρκετοί Έλληνες; δραστηριοποιούνται στις Παραδουνάβιες Ηγεμονίες, Βλαχία και Μολδαβία,
που κυβερνούσαν Φαναριώτες ηγεμόνες.
Μετανάστευση των Ελλήνων
Πρώτη περίοδος
15ος - 16ος αιώνας.
( Αίτια) Πολεμικές συγκρούσεις,
επέκταση των Τούρκων
Υποχρεωτική.
Λόγιοι – ευγενείς – στρατιώτες.
ΚΑΤΑΓΩΓΗ:
Κύπρος
Κρήτη
Μονεμβασιά
Μάνη
Ναύπλιο
Ήπειρος
Δεύτερη περίοδος
17ος - 18ος αιώνας.
( Αίτια) Οικονομικά
Εθελοντική.
Ειρηνική.
Σε αρκετές πόλεις κατά μήκος των
εμπορικών δρόμων ( Τουρκίας –
Ευρώπης – Ρωσίας )
εγκαταστάθηκαν Έλληνες.
Μετακινήσεις Ελλήνων
Έλληνες μετανάστες ( Έλληνες της Διασποράς )
Ανέγερση ναών, κοινοτικών σχολείων, μοναστηριών. Έκδοση ελληνικών
βιβλίων, περιοδικών και εφημερίδων. Ενίσχυσαν οικονομικά τα ελληνικά
σχολεία, κατασκεύασαν πολυτελείς κατοικίες στους τόπους καταγωγής
τους ( αρχοντικά).
Από τους έλληνες των παροικιών ξεκίνησε τον 18ο
αιώνα η πνευματική αναγέννηση του Έθνους.
Εγκαταστάθηκαν κυρίως σε
παραθαλάσσιες περιοχές της
Ιταλίας και της Ευρώπης,
ιδρύοντας παροικίες.
Γεωργακόπουλος Ανδρέας
Επιμέλεια: Χρήστος Χαρμπής http://st-taksh.blogspot.gr σελ.39
Δάσκαλοι του Γένους
Μορφωμένοι Έλληνες που
κατά την περίοδο της
Τουρκοκρατίας, με την
προφορική διδασκαλία
τους ή με τα κείμενά τους,
καλλιέργησαν την ελληνική
Παιδεία.
Ήταν ή έγιναν κληρικοί.
Σπούδασαν στην Ελλάδα, Ιόνια
νησιά, Παραδουνάβιες Ηγεμονίες
και στο εξωτερικό.
Δίδασκαν σε σχολεία , δημόσιους
χώρους.
Ίδρυσαν σχολεία και τόνωσαν
την ελληνική παιδεία.
Αναπτύχθηκε ο Φιλελληνισμός
στη Δύση.
Νεοελληνικός Διαφωτισμός
Οι ιδέες και τα κηρύγματα του διαφωτισμού (18ος
– 19ος
) αιώνας – ενότητα 1η
Κεφ. 2 – έρχονται και στην
Ελλάδα, δυναμώνοντας την διάθεση των υπόδουλων Ελλήνων για επανάσταση.
Ελληνική Νομαρχία
Κείμενο του Νεοελληνικοί Διαφωτισμού που εκδόθηκε στην Ιταλία το 1806, άγνωστου συγγραφέα
αφιερωμένο στον Ρήγα Βελεστινλή. Καταδικάζει την «αναρχία» και την « μοναρχία». Ιδανική διοίκηση
ενός κράτους η ¨νομαρχία¨, δηλαδή το πολίτευμα που στηρίζεται στους νόμους.
Ο άγιος Κοσμάς ο Αιτωλός
Μοναχός του Άγιου Όρους, ιεροκήρυκας και μάρτυρας. Το κήρυγμά του είχε μεγάλη απήχηση στους
υπόδουλους έλληνες. Προσπάθησε να αναχαιτίσει τον εξισλαμισμό ιδρύοντας σχολεία.
Γεωργακόπουλος Ανδρέας
Επιμέλεια: Χρήστος Χαρμπής http://st-taksh.blogspot.gr σελ.40
• Δάσκαλοι του Γένους που ξεχώρισαν για τη δράση τους ήταν ο Ρήγας Βελεστινλής και ο Αδαμάντιος
Κοραής.
Ρήγας Βελεστινλής ( Φεραίος)
Γιος εμπόρου, γεννήθηκε το
1757 στο Βελεστίνο της
Θεσσαλονίκης, που ονομαζόταν
και Φερές.
Μετανάστευσε στο Βουκουρέστι.
Επηρεάστηκε από τις ευρωπαϊκές
ιδέες.
Καταγωγή Το έργο του
Εξέδωσε γαλλικά
μυθιστορήματα στη δημοτική,
ένα βιβλίο Φυσικής για
μαθητές και έναν τεράστιο
χάρτη της Ελλάδας
« Χάρτα της Ελλάδας».
Έγραψε τον Θούριο, έναν
επαναστατικό ύμνο, σύμβολο
του αγώνα για την ελευθερία.
Συνεργασία βαλκανικών λαών για
την απελευθέρωσή τους από
τους Τούρκους.
Δημιουργία κράτους που θα
κυριαρχούσε η ελληνική γλώσσα
και παιδεία.
Το 1797 οι Αυστριακοί τον
παραδίδουν στους Τούρκους οι
οποίοι των θανατώνουν και τον
ρίχνουν στον ποταμό Δούναβη.
Το όραμα του
Αδαμάντιος Κοραής
Καταγωγή Το έργο του
Καταγόταν από πλούσια οικογένεια
της Χίου, αλλά γεννήθηκε στη
Σμύρνη το 1748. Εγκαταστάθηκε
μόνιμα στη Γαλλία, όπου σπούδασε
ιατρική.
Αντιγραφή και δημοσίευση αρχαίων Ελλήνων συγγραφέων.
Η απελευθέρωση των Ελλήνων περνά μέσα από την παιδεία του
λαού, χρησιμοποιώντας την ελληνική γλώσσα στην απλούστερη
μορφή της.
Συνέβαλε σημαντικά στην προετοιμασία της Μεγάλης Επανάστα-
σης.
Συντέλεσε στην ίδρυση του Ελληνικού Κομιτάτου στο Παρίσι.
Γεωργακόπουλος Ανδρέας
Επιμέλεια: Χρήστος Χαρμπής http://st-taksh.blogspot.gr σελ.41
Κατά την διάρκεια των τεσσάρων αιώνων της Τουρκοκρατίας έγιναν πολλές εξεγέρσεις των υπόδου-
λων Ελλήνων εναντίων των Οθωμανών. Πολλές από αυτές έγιναν από ευρωπαϊκές δυνάμεις που ήθε-
λαν να αναστατώσουν το εσωτερικό της Τουρκίας για δικό τους όφελος.
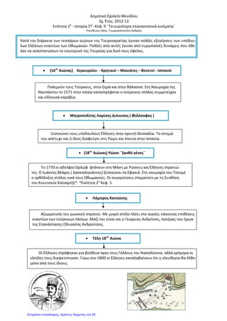
• (16ος
Αιώνας) Κερκυραίοι - Κρητικοί – Μανιάτες – Βενετοί - Ισπανοί
Πολεμούν τους Τούρκους, στην ξηρά και στην θάλασσα. Στη Ναυμαχία της
Ναυπάκτου το 1571 στην οποία καταστρέφεται ο τούρκικος στόλος συμμετείχαν
και ελληνικά καράβια.
• Μητροπολίτης Λαρίσης Διόνυσος ( Φιλόσοφος )
Ξεσηκώνει τους υπόδουλους Έλληνες στην ορεινή Θεσσαλία. Το κίνημά
του απέτυχε και ό ίδιος διαφεύγει στη Ρώμη και έπειτα στην Ισπανία.
• (18ος
Αιώνας) Ρώσοι ¨ξανθό γένος¨
Το 1770 οι αδελφοί Ορλώφ φτάνουν στη Μάνη με Ρώσους και Έλληνες στρατιώ-
τες. Ο Ιωάννης Βλάχος ( Δασκαλογιάννης) ξεσηκώνει τα Σφακιά. Στη ναυμαχία του Τσεσμέ
ο ορθόδοξος στόλος νικά τους Οθωμανούς. Οι συγκρούσεις σταματούν με τη Συνθήκη
του Κιουτσούκ Καϊναρτζή*. *Ενότητα 2η
Κεφ. 5.
• Λάμπρος Κατσώνης
Αξιωματικός του ρωσικού στρατού. Με μικρό στόλο πλέει στο αιγαίο, κάνοντας επιθέσεις
εναντίων των τούρκικων πλοίων. Μαζί του είναι και ο Γεώργιος Ανδρίτσος, πατέρας του ήρωα
της Επανάστασης Οδυσσέας Ανδρούτσος.
• Τέλη 18ου
Αιώνα
Οι Έλληνες στράφηκαν για βοήθεια προς τους Γάλλους του Ναπολέοντα, αλλά γρήγορα οι
ελπίδες τους διαψεύστηκαν. Γύρω στο 1800 οι Έλληνες καταλαβαίνουν ότι η ελευθερία θα έλθει
μόνο από τους ίδιους.
Γεωργακόπουλος Ανδρέας
Επιμέλεια: Χρήστος Χαρμπής http://st-taksh.blogspot.gr σελ.42
Οι Σουλιώτες πρωταγωνιστούν σε πολλές επαναστατικές ενέργειες κατά των Τούρκων. Γνωστοί είναι οι αγώνες
τους εναντίον του Αλή Πασά τον Ιωαννίνων.
Σουλιώτες
• Βοσκοί που μιλούσαν ελληνικά και αρβανίτικα.
• Δύσκολες συνθήκες ζωής.
• Πολύχρονη ενασχόληση με τα όπλα.
• Άριστη γνώση εδάφους.
• Ομαδικό πνεύμα.
• Εξαιρετική τόλμη.
• Ικανότατοι πολεμιστές.
• Μάταιες οι προσπάθειες των Τούρκων για υποταγή.
Ο Αλή Πασάς των Ιωαννίνων - Η κατάκτηση του Σουλίου
• Πετυχαίνει με διάφορους τρόπους να διώξει από το Σούλι ορισμένους αρχηγούς.
• Αδυνατίζει η άμυνα του Σουλίου.
• Το 1803 οι Τούρκοι κατακτούν το Σούλι.
• Ο καλόγερος Σαμουήλ ανατινάζει τον οχυρό λόφο Κούγκι.
• Σκοτώνεται ο ίδιος, Έλληνες που ήταν κοντά του , αλλά και Τούρκοι.
• Κάποιοι Σουλιώτες περνούν στην Κέρκυρα, ενώ κάποιοι άλλοι θα καταφύγουν στην
Πρέβεζα.
Οι Σουλιώτες στη Μεγάλη Επανάσταση
Το 1820 οι Τούρκοι καλούν τους Σουλιώτες να γυρίσουν πίσω και να βοηθήσουν Σουλτάνο
να εξοντώσει τον Αλή Πασά. Οι Σουλιώτες αποκρούουν τον Αλή Πασά. Το 1822, μένουν
αβοήθητοι και εγκαταλείπουν οριστικά το Σούλι και σκορπίζονται στην Στερεά Ελλάδα και
Πελοπόννησο.
Στην επανάσταση του 1821 πολλοί Σουλιώτες δρουν ως οπλαρχηγοί, έχοντας φήμη γενναίων
Και αδάμαστων πολεμιστών.
Γεωργακόπουλος Ανδρέας
Επιμέλεια: Χρήστος Χαρμπής http://st-taksh.blogspot.gr σελ.43
Θοδωρής Βούγας
Επιμέλεια: Χρήστος Χαρμπής http://st-taksh.blogspot.gr σελ.44
Θοδωρής Βούγας
Επιμέλεια: Χρήστος Χαρμπής http://st-taksh.blogspot.gr σελ.45
Θοδωρής Βούγας
Επιμέλεια: Χρήστος Χαρμπής http://st-taksh.blogspot.gr σελ.46
Θοδωρής Βούγας
Επιμέλεια: Χρήστος Χαρμπής http://st-taksh.blogspot.gr σελ.47
Θοδωρής Βούγας
Επιμέλεια: Χρήστος Χαρμπής http://st-taksh.blogspot.gr σελ.48
Θοδωρής Βούγας
Επιμέλεια: Χρήστος Χαρμπής http://st-taksh.blogspot.gr σελ.49
Θοδωρής Βούγας
Επιμέλεια: Χρήστος Χαρμπής http://st-taksh.blogspot.gr σελ.50
Θοδωρής Βούγας
Επιμέλεια: Χρήστος Χαρμπής http://st-taksh.blogspot.gr σελ.51
Θοδωρής Βούγας
Επιμέλεια: Χρήστος Χαρμπής http://st-taksh.blogspot.gr σελ.52
Θοδωρής ΒούγαςΕπιμέλεια: Χρήστος Χαρμπής http://st-taksh.blogspot.gr σελ.53
Η ΚΑΤΑΚΤΗΣΗ ΤΗΣ ΕΛΛΗΝΙΚΗΣ ΧΕΡΣΟΝΗΣΟΥ
Άλωση της Κωνσταντινούπολης από τους Οθωμανούς το 1453
Παρακμή της Βυζαντινής αυτοκρατορίας που είχε προβλήματα
Πολιτικά Κοινωνικά Οικονομικά
Μέσα σε δύο περίπου αιώνες
Η ελληνική χερσόνησος κατακτήθηκε
από τους Τούρκους
Τα Ιόνια νησιά (εκτός Λευκάδας) έμειναν
στους Βενετούς (1797), πέρασαν στους
Γάλλους και μετά στους Άγγλους.
Η περίοδος από την κατάκτηση της ελληνικής χερσονήσου, έως και τη μεγάλη Επανάσταση του 1821,
ονομάζεται Τουρκοκρατία.
Οι δύο πρώτοι αιώνες ήταν οι δυσκολότεροι για
τους Χριστιανούς.
• Κάτοικοι μετακινήθηκαν σε ορεινούς
τόπους.
• Οι βυζαντινοί άρχοντες εξαφανίστηκαν
• Αρκετοί λόγιοι έφυγαν στη Δυτική
Ευρώπη.
Τελικά οι Έλληνες δεν αφομοιώθηκαν.
Διαφύλαξαν τη θρησκεία, τη γλώσσα και την
παράδοση με τη βοήθεια της Εκκλησίας.
Από τα μέσα του 16ου
αιώνα η θέση των Ελλήνων
σταδιακά βελτιώθηκε.
• Μειώθηκαν οι στρατιωτικές συγκρούσεις.
• Περιορίστηκε η φορολογία.
• Περιορίστηκε το παιδομάζωμα.
Αυτές οι εξελίξεις με τη συμβολή των Ελλήνων
της Διασποράς:
• Τόνωσαν την παιδεία
• Οδήγησαν στην εκπαιδευτική αναγέννηση
του 18ου
αιώνα που προετοίμασε το
έδαφος για την Απελευθέρωση
Προβλήματα αντιμετώπισαν και οι Έλληνες
υπήκοοι των Βενετών
• Έως το 16ο
αιώνα δεν τους επιτρεπόταν η
συμμετοχή στη διοίκηση.
• Οι Βενετοί κατείχαν και θρησκευτικά αξιώματα
και την περιουσία της Εκκλησίας.
• Η φορολογία ήταν βαριά.
• Συμμετείχαν σε αγγαρείες για την κατασκευή
δημόσιων έργων.
Προκλήθηκαν διαμαρτυρίες και εξεγέρσεις όπως το
«ρεμπελιό των ποπολάρων» στη Ζάκυνθο το 1628.
Καθώς περνούσαν τα χρόνια οι βενετικές
κτήσεις γίνονταν οθωμανικές.
• Οι Βενετοί έγιναν πιο φιλικοί προς τους
Έλληνες γιατί αυτοί σήκωναν το βάρος
της άμυνας.
• Οι διακρίσεις περιορίσθηκαν λόγω της
μακραίωνης συνύπαρξης, των μικτών
γάμων και των κοινών οικονομικών
δραστηριοτήτων που είχαν Έλληνες και
Βενετοί.
Μαντζίλα Μαρία
Επιμέλεια: Χρήστος Χαρμπής http://st-taksh.blogspot.gr σελ.54
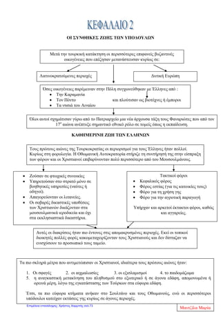
ΟΙ ΣΥΝΘΗΚΕΣ ΖΩΗΣ ΤΩΝ ΥΠΟΔΟΥΛΩΝ
ΚΑΘΗΜΕΡΙΝΗ ΖΩΗ ΤΩΝ ΕΛΛΗΝΩΝ
Μετά την τουρκική κατάκτηση οι περισσότερες επιφανείς βυζαντινές
οικογένειες που επέζησαν μετανάστευσαν κυρίως σε:
Λατινοκρατούμενες περιοχές Δυτική Ευρώπη
Όσες οικογένειες παρέμειναν στην Πόλη συγχωνεύθηκαν με Έλληνες από :
• Την Καραμανία
• Τον Πόντο και πλούτισαν ως βιοτέχνες ή έμποροι
• Τα νησιά του Αιγαίου
Όλοι αυτοί σχημάτισαν γύρω από το Πατριαρχείο μια νέα άρχουσα τάξη τους Φαναριώτες που από τον
17ο
αιώνα ανέπτυξε σημαντικό εθνικό ρόλο σε τομείς όπως η εκπαίδευση.
Τους πρώτους αιώνες της Τουρκοκρατίας οι περιορισμοί για τους Έλληνες ήταν πολλοί.
Κυρίως στη φορολογία. Η Οθωμανική Αυτοκρατορία στήριζε τη συντήρησή της στην είσπραξη
των φόρων και οι Χριστιανοί επιβαρύνονταν πολύ περισσότερο από του Μουσουλμάνους.
• Ζούσαν σε φτωχικές συνοικίες
• Υπηρετούσαν στο στρατό μόνο σε
βοηθητικές υπηρεσίες (ναύτες ή
οδηγοί).
• Απαγορεύονταν οι λιτανείες.
• Οι σοβαρές δικαστικές υποθέσεις
των Χριστιανών δικάζονταν στα
μουσουλμανικά ιεροδικεία και όχι
στα εκκλησιαστικά δικαστήρια.
Τακτικοί φόροι
• Κεφαλικός φόρος
• Φόρος εστίας (για τις κατοικίες τους)
• Φόρο για τη χρήση γης
• Φόρο για την αγροτική παραγωγή
Υπήρχαν και αρκετοί έκτακτοι φόροι, καθώς
και αγγαρείες.
Αυτές οι διακρίσεις ήταν πιο έντονες στις απομακρυσμένες περιοχές. Εκεί οι τοπικοί
διοικητές πολλές φορές κακομεταχειρίζονταν τους Χριστιανούς και δεν δίσταζαν να
ενισχύσουν το προσωπικό τους ταμείο.
Τα πιο σκληρά μέτρα που αντιμετώπισαν οι Χριστιανοί, ιδιαίτερα τους πρώτους αιώνες ήταν:
1. Οι σφαγές 2. οι αιχμαλωσίες 3. οι εξισλαμισμοί 4. το παιδομάζωμα
5. η αναγκαστική μετακίνηση του πληθυσμού στο εξωτερικό ή σε άγονα εδάφη, απομονωμένα ή
ορεινά μέρη, λόγω της εγκατάστασης των Τούρκων στα εύφορα εδάφη.
Έτσι, τα πιο εύφορα κτήματα ανήκαν στο Σουλτάνο και τους Οθωμανούς, ενώ οι περισσότεροι
υπόδουλοι κατείχαν εκτάσεις γης κυρίως σε άγονες περιοχές.
Μαντζίλα ΜαρίαΕπιμέλεια: Χρήστος Χαρμπής http://st-taksh.blogspot.gr σελ.55
Η ΘΡΗΣΚΕΥΤΙΚΗ ΚΑΙ Η ΠΟΛΙΤΙΚΗ ΟΡΓΑΝΩΣΗ ΤΩΝ ΕΛΛΗΝΩΝ
Οι Οθωμανοί Τούρκοι αν και κατήργησαν τη βυζαντινή διοίκηση διεύρυναν τις αρμοδιότητες
του Οικουμενικού πατριαρχείου της Κωνσταντινούπολης.
Ο Πατριάρχης ήταν
• Θρησκευτικός ηγέτης
• Εκπρόσωπος του ρουμ μιλέτ (των
υπόδουλων Ορθόδοξων
Χριστιανών) και λογοδοτούσε στο
Σουλτάνο για τις πράξεις τους.
• Ίδρυε σχολεία
• Μπορούσε να επιβάλλει ειδική
φορολογία στους πιστούς.
Η Εκκλησία λοιπόν δεν είχε μόνο
θρησκευτικά καθήκοντα αλλά
αποφάσιζε και για ποικίλες υποθέσεις,
όπως π.χ. για τις κληρονομιές.
Υπήρχαν διάφορες απόψεις ανάμεσα στους ορθόδοξους κληρικούς.
Κάποιοι πίστευαν ότι η
τουρκική κατάκτηση ήταν
μια θεραπεία σταλμένη από
το Θεό για τα σφάλματα
των Βυζαντινών
αυτοκρατόρων και του
βυζαντινού λαού.
Άλλοι, όπως ο Πατριάρχης
Νεόφυτος ο Β΄ είχαν
επηρεασθεί από τις
ευρωπαϊκές ιδέες και
αμφισβητούσαν την
υποταγή στους Τούρκους.
Μερικοί, όπως ο μοναχός
Μάξιμος ο Γραικός, που
αναγνωρίστηκε ως άγιος στη
Μόσχα, καλλιέργησαν
περαιτέρω σχέσεις με τη
Ρωσία. Έτσι οι Ρώσοι
ταυτίστηκαν στη σκέψη των
υπόδουλων Χριστιανών με το
«ξανθό γένος» που θα
ελευθέρωνε την
Κωνσταντινούπολη από τους
άπιστους.
Φαναριώτες Κοινοτικοί άρχοντες
Αποτελούσαν μια άλλη ηγετική ομάδα των Ελλήνων
κατά την περίοδο της Τουρκοκρατίας.
Ήταν ορισμένες πλούσιες οικογένειες που ζούσαν
στην συνοικία Φανάρι της Κωνσταντινούπολης, την
έδρα του Οικουμενικού Πατριαρχείου και είχαν
• Αξιόλογη μόρφωση
• Γνώριζαν ξένες γλώσσες
• Ανελάμβαναν υψηλά αξιώματα στην
οθωμανική διοίκηση
Παρά ταύτα ήταν, όπως και οι ιεράρχες, απόλυτα
εξαρτημένοι από τις διαθέσεις του κάθε Σουλτάνου.
Οι Τούρκοι αναγκάστηκαν να σεβαστούν την τοπική
ηγεσία κάθε χωριού, επειδή οι ίδιοι δεν είχαν
κατάλληλα οργανωμένο διοικητικό μηχανισμό για να
υπολογίσουν τον φόρο που αναλογούσε σε κάθε
κάτοικο. Οι κοινοτικοί άρχοντες της εποχής είχαν
μεγάλη εξουσία, αρκετοί απέκτησαν και μεγάλη
περιουσία και πολιτική δύναμη. Ήταν επίσης γνωστοί
και ως
• Επίτροποι
• Δημογέροντες
• Προεστοί
• Κοτζαμπάσηδες
Μαντζίλα ΜαρίαΕπιμέλεια: Χρήστος Χαρμπής http://st-taksh.blogspot.gr σελ.56
ΟΙ ΚΛΕΦΤΕΣ ΚΑΙ ΟΙ ΑΡΜΑΤΟΛΟΙ

Καθώς οι Οθωμανοί επέκτειναν την κυριαρχία τους στην βαλκανική χερσόνησο
Είχαν να αντιμετωπίσουν διάφορες εξεγέρσεις από ομάδες Ελλήνων που
συνέχιζαν την παράδοση των πολεμιστών του Βυζαντίου
Κορκόδειλος Κλαδάς
Ένας από τους σημαντικότερους
πολεμιστές που είχε για ορμητήριό του
τη Μάνη.
Η Μάνη ήταν μια από τις λίγες περιοχές
που δεν υποτάχθηκαν στους Τούρκους.
« Οι Μανιάτες ήταν ορεσίβιοι,
αγρυπνούσαν νύχτα μέρα για να
διατηρήσουν την ελευθερία τους και δεν
αναγνώριζαν κανένα ηγεμόνα επί της
γης» .
(περιγραφή)
Άλλοι ένοπλοι Έλληνες κατά την περίοδο
της Τουρκοκρατίας ήταν οι Κλέφτες οι
οποίοι
• Ζούσαν στην ύπαιθρο
• Είχαν τα λημέρια τους σε δύσβατα
μέρη.
• Ήταν οργανωμένοι σε μικρές ομάδες
• Κάθε ομάδα είχε δικό της καπετάνιο
(αρχηγό) και δικό της μπαϊράκι
(σημαία).
• Ένιωθαν εχθρότητα για τους
Τούρκους και για την εξουσία γενικά
και ήταν αγαπητοί στα λαό.
Οι κλέφτες έγιναν σύμβολο αντίστασης των
υπόδουλων Ελλήνων ενάντια στους
κατακτητές.
Προκειμένου να αντιμετωπίσουν τους κλέφτες και να αποκαταστήσουν την ασφάλεια στην ύπαιθρο
οι Οθωμανοί Τούρκοι χρησιμοποιούσαν ένοπλους Έλληνες, πρώην κλέφτες, τους αρματολούς.
Οι αρματολοί ήταν βοηθητικά
στρατεύματα των Τούρκων, όμως
συνεργάζονταν συνήθως με τους
κλέφτες
Έτσι, παρατηρήθηκε το φαινόμενο, ιδιαίτερα
κατά τους τελευταίους αιώνες της
Τουρκοκρατίας, πολλοί αρματολοί να
εγκαταλείπουν τις θέσεις τους και να
γίνονται κλέφτες.
Φημισμένοι αρματολοί ήταν
• Ο Γεώργιος Ανδρίτζος
• Ο Κατσαντώνης στη Ρούμελη
• Ο Νικοτσάρας στον Όλυμπο
• Ο Γεώργιος και ο Λάμπρος Μπότσαρης στο Σούλι
Υπήρχαν και πολλοί άλλοι
αρματολοί. Αρκετοί από τους
γιους, τους συγγενείς ή τα
πρωτοπαλίκαρα αυτών
συμμετείχαν αργότερα στη
Μεγάλη Επανάσταση του
1821.
Μαντζίλα Μαρία
Επιμέλεια: Χρήστος Χαρμπής http://st-taksh.blogspot.gr σελ.57
Η ΟΙΚΟΝΟΜΙΚΗ ΖΩΗ
αποτελέσματα
άρα
Η οικονομία της Οθωμανικής Αυτοκρατορίας στηριζόταν κυρίως στις αγροτικές καλλιέργειες (σιτάρι,
κριθάρι, βαμβάκι, καπνός, λάδι σταφίδα).
Οι κτηνοτρόφοι είτε ζούσαν μόνιμα σε ένα μέρος είτε ήταν νομάδες.
Μαζί με τους αγρότες πρόσφεραν τις πρώτες ύλες στη βιοτεχνία για την παραγωγή νημάτων και υφαντών
Η παραγωγή ικανοποιούσε κυρίως τις ανάγκες του σπιτιού. Όσα προϊόντα τους
περίσσευαν, οι γεωργοί τα πουλούσαν στις τοπικές αγορές ή τα διέθεταν στο
εξωτερικό. Ως αντάλλαγμα έπαιρναν βιομηχανικά εργαλεία και άλλα προϊόντα.
Κάποτε ήρθε η παρακμή της Οθωμανικής Αυτοκρατορίας
Λόγοι
• Γεωγραφικές ανακαλύψεις
• Χρήση νέων εμπορικών δρόμων
• Τερματισμός των κατακτήσεων
• Οι έμποροι από τη Δυτική Ευρώπη δεν ήταν
υποχρεωμένοι να περνούν από το έδαφός της για να
πάνε στην Κίνα ή την Ινδία.
Αποτελέσματα
• Τα κρατικά της έσοδα από τους
φόρους εμπορίου μειώθηκαν
• Το νόμισμά της υποτιμήθηκε
• Η οικονομική δραστηριότητα
πέρασε σταδιακά στα χέρια των
Ελλήνων.
Οι Έλληνες ωφελήθηκαν και από
• Τις συνθήκες του Κάρλοβιτς (1699) και
του Κιουτσούκ Καϊναρτζή (1774), που
υπέγραψε η ηττημένη Οθωμανική
Αυτοκρατορία και επέτρεψαν στην
Αυστρία και τη Ρωσία να επηρεάζουν τις
εξελίξεις στο εσωτερικό της.
• Τις Διομολογήσεις που ήταν εμπορικές
συμφωνίες των δυτικών χωρών με τους
Οθωμανούς Σουλτάνους . Οι Έλληνες
είχαν τη δυνατότητα να υψώνουν στα
καράβια τους τις σημαίες αυτών των
χωρών και έτσι ευνοήθηκαν το ελληνικό
εμπόριο και η ναυσιπλοΐα.
Οι Έλληνες έμποροι
• Επέκτειναν τη δραστηριότητά τους
στην Κεντρική και Δυτική Ευρώπη
καθώς και στη Ρωσία
• Ίδρυσαν στα μέρη αυτά παροικίες
• Ανέλαβαν μεγάλο μέρος του
εισαγωγικού και εξαγωγικού
εμπορίου της δύσης με την Ανατολή
κερδίζοντας πολλά χρήματα.
Επίσης
• Μαζί με τα αγαθά έφταναν στην
Οθωμανική Αυτοκρατορία και οι
επαναστατικές ιδέες.
• Σχηματίστηκε ένας αξιόλογος
εμπορικός στόλος με πληρώματα
έμπειρα στη ναυσιπλοΐα και την
αντιμετώπιση των πειρατών
• Μεγάλες πόλεις όπως η Κοζάνη, η
Μοσχόπολη, τα Ιωάννινα, η
Θεσσαλονίκη ή νησιά όπως η Χίος,
τα Ψαρά και η Ύδρα έγιναν
σημαντικά κέντρα του ελληνικού
εμπορίου.
• Η οικονομική άνθιση
• Ο πολυάριθμος εμπορικός στόλος
• Οι εύπορες παροικίες του εξωτερικού
Βελτίωσαν τη θέση των Ελλήνων παραμονές της
Μεγάλης Επανάστασης του 1821. Από αυτούς τους
πλούσιους εμπόρους αναδείχθηκαν οι πρωταγωνιστές
του ξεσηκωμού του γένους μαζί με τους υπόλοιπους
παραδοσιακούς ηγέτες του υπόδουλου γένους.
Μαντζίλα Μαρία
Επιμέλεια: Χρήστος Χαρμπής http://st-taksh.blogspot.gr σελ.58
ΟΙ ΕΛΛΗΝΕΣ ΤΩΝ ΠΑΡΟΙΚΙΩΝ ΚΑΙ ΤΩΝ ΠΑΡΑΔΟΥΝΑΒΙΩΝ
ΗΓΕΜΟΝΙΩΝ
Η μετανάστευση των Ελλήνων στο εξωτερικό πραγματοποιήθηκε κυρίως σε δύο χρονικές περιόδους
Πρώτη περίοδος 15ος
– 16ος
αιώνας
Η μετανάστευση ήταν συνήθως
υποχρεωτική. Κατά τη διάρκειά της λόγιοι,
ευγενείς και στρατιώτες (μόνοι ή με τις
οικογένειές τους) εγκατέλειψαν την υπόδουλη
Ελλάδα εξαιτίας των πολεμικών συγκρούσεων
και της επέκτασης των Τούρκων.
Οι περισσότεροι πρόσφυγες κατάγονταν από
νησιά (Κύπρος, Κρήτη) ή από παραθαλάσσιες
περιοχές ( Μονεμβασιά, Μάνη, Ναύπλιο,
Ήπειρος) και εγκαταστάθηκαν κυρίως σε
παραθαλάσσιες πόλεις της Ιταλίας καθώς και σε
άλλες πόλεις της Ευρώπης, ιδρύοντας παροικίες.
Οι Έλληνες μετανάστες εξασκούσαν
συνήθως το επάγγελμα του στρατιώτη, του
ναυτικού, του τεχνίτη, του εμπόρου, του
αντιγραφέα χειρογράφων και του δασκάλου σε
ανώτατα εκπαιδευτικά ιδρύματα.
Δεύτερη περίοδος 17ος
– 18ος
αιώνας
Η μετανάστευση ήταν εθελοντική και
ειρηνική, με οικονομικά κυρίως αίτια. Τα
εμπορεύματα μεταφέρονταν από την Οθωμανική
Αυτοκρατορία προς την Κεντρική Ευρώπη και τη
Ρωσία από συγκεκριμένους δρόμους με καραβάνια
που διέσχιζαν τα Βαλκάνια. Σε αρκετές πόλεις κατά
μήκος αυτών των δρόμων εγκαταστάθηκαν οι
Έλληνες.
Έλληνες από τον Πόντο μετακινήθηκαν
στον Καύκασο και την Κριμαία ιδρύοντας
παροικίες, με γνωστότερη την Οδησσό.
Οι Έλληνες από τη Μακεδονία
εγκαταστάθηκαν κυρίως στη Βιέννη, την Τεργέστη,
τη Σερβία και την Ουγγαρία. Ασχολήθηκαν με το
εμπόριο βαμβακερών, δερμάτων, χαλιών και άλλων
ειδών.
Τέλος, αρκετοί Έλληνες δραστηριο-
ποιήθηκαν στις Παραδουνάβιες Ηγεμονίες , τη
Βλαχία και τη Μολδαβία, όπου κυβερνούσαν
Φαναριώτες ηγεμόνες.
Οι Έλληνες μετανάστες στη νέα τους πατρίδα φρόντιζαν να
• γίνει ανέγερση ναού για να τελούν τα θρησκευτικά τους καθήκοντα.
• συντάξουν καταστατικό για τον τρόπο οργάνωσης της κοινότητάς τους. Στο καταστατικό
αναγράφονταν οι σκοποί, η οργάνωση, τα δικαιώματα και οι υποχρεώσεις των μελών της
κοινότητας.
• χτιστούν μοναστήρια
• ιδρυθούν κοινοτικά σχολεία, όπως το Φλαγγινιανό Φροντιστήριο στη Βενετία
• εκδοθούν ελληνικά βιβλία, περιοδικά και εφημερίδες.
Αυτοί οι μετανάστες ονομάστηκαν Έλληνες της Διασποράς. Με τα πλούτη που απέκτησαν
• ενίσχυσαν οικονομικά τα ελληνικά σχολεία στις τουρκοκρατούμενες περιοχές
• κατασκεύασαν πολυτελείς κατοικίες στους τόπους καταγωγής τους (Σιάτιστα,
Καστοριά, Κοζάνη, Ζαγοροχώρια, χωριά του Πηλίου), τα λεγόμενα αρχοντικά.
Από τους Έλληνες των παροικιών ξεκίνησε κατά τον 18ο
αιώνα η πνευματική ανάπτυξη
του υπόδουλου έθνους.
Μαντζίλα Μαρία
Επιμέλεια: Χρήστος Χαρμπής http://st-taksh.blogspot.gr σελ.59
ΟΙ ΔΑΣΚΑΛΟΙ ΤΟΥ ΓΕΝΟΥΣ
Αρκετοί από τους δασκάλους του γένους ήταν ή έγιναν αργότερα κληρικοί
Σπούδασαν
• Στην τουρκοκρατούμενη
Ελλάδα
• Στα Ιόνια νησιά
• Στις Παραδουνάβιες
Ηγεμονίες
• Στο εξωτερικό
• Δίδασκαν σε ναούς, σε σχολεία και σε δημόσιους
χώρους
• Έγραφαν επιστολές και άρθρα σε περιοδικά και
εφημερίδες
• Έγραφαν βιβλία που τα τύπωναν με την
υποστήριξη της Εκκλησίας, των Φαναριωτών
ηγεμόνων ή φιλομαθών εμπόρων.
Βοήθησαν
• στην ίδρυση σχολείων
• στην τόνωση της παιδείας
• στην ιδεολογική προετοιμασία της Μεγάλης
Επανάστασης του 1821
• στην ανάπτυξη του Φιλελληνισμού στη Δύση
Νεοελληνικός Διαφωτισμός
Είναι μια πνευματική δράση που σημειώθηκε
κατά τον 18ο
και τις αρχές του 19ου
αιώνα. Οι
ιδέες και τα κηρύγματα του Ευρωπαϊκού
Διαφωτισμού κυριαρχούσαν στη Δυτική
Ευρώπη. Οι νέες φιλελεύθερες και
ριζοσπαστικές ιδέες έφτασαν και στην
ελληνική Χερσόνησο δυναμώνοντας την
επαναστατική διάθεση των υπόδουλων
Ελλήνων. Σημαντικό ρόλο έπαιξε η δράση των
Ελλήνων λόγιων στη Δύση.
Μεγάλες μορφές στα ελληνικά γράμματα
Δημήτριος Καταρτζής
Ευγένιος Βούλγαρης (δίδαξε στην Αθωνιάδα Σχολή
φιλοσοφία και μαθηματικά)
Γεώργιος Κωνσταντάς, Δανιήλ Φιλιππίδης (συνέγραψαν
στη δημοτική τη «Γεωγραφία Νεωτερική»)
Μιχαήλ Περδικάρης (σατίρισε πρόσωπα και γεγονότα της
εποχής του).
Το 1806 εκδόθηκε στην Ιταλία η «Ελληνική Νομαρχία», έργο άγνωστου συγγραφέα αφιερωμένο
στον Ρήγα Βελεστινλή. Σε αυτό το σημαντικό κείμενο του νεοελληνικού Διαφωτισμού
καταδικάζεται η «αναρχία» και η «μοναρχία» και προβάλλεται ως ιδανική διοίκηση η «νομαρχία»,
δηλαδή το πολίτευμα όπου εξουσιάζουν οι νόμοι.
Ξεχωριστή προσωπικότητα αποτελεί ο Κοσμάς ο Αιτωλός.
Συνδύαζε το πνεύμα του Νεοελληνικού Διαφωτισμού και της παιδείας με τη θρησκευτική πίστη και
την εθνική συνείδηση.
Ήταν λόγιος μοναχός του Αγίου Όρους, ιεροκήρυκας και μάρτυρας. Περιόδευε στην ύπαιθρο για να
αναχαιτίσει τους εξισλαμισμούς ιδρύοντας σχολεία.
Μαντζίλα Μαρία
Επιμέλεια: Χρήστος Χαρμπής http://st-taksh.blogspot.gr σελ.60
Ο ΡΗΓΑΣ ΒΕΛΕΣΤΙΝΛΗΣ ΚΑΙ Ο ΑΔΑΜΑΝΤΙΟΣ ΚΟΡΑΗΣ
Ρήγας Βελεστινλής (Φεραίος)
• Γεννήθηκε το 1757 στο Βελεστίνο της
Θεσσαλίας ( Φερές). Ήταν γιος εμπόρου.
• Μπήκε στην υπηρεσία των Φαναριωτών
στην Κωνσταντινούπολη.
• Μετανάστευσε στο Βουκουρέστι ως
γραμματέας του ηγεμόνα της Βλαχίας.
• Επηρεάστηκε από τις ευρωπαϊκές
ριζοσπαστικές ιδέες.
• Έκανε κύριο στόχο του την
απελευθέρωση της πατρίδας.
• Το 1790 ταξίδεψε στη Βιέννη.
Συγγραφικό – εκδοτικό έργο
• Εξέδωσε γαλλικά μυθιστορήματα
μεταφρασμένα στη δημοτική.
• Βιβλίο Φυσικής για σχολική χρήση.
• Τη «Χάρτα της Ελλάδος», έναν
τεράστιο χάρτη της Ελλάδας.
• Μια εικόνα του μέγα Αλέξανδρου.
• Πολλά άλλα έργα
• Τον Θούριο. Έναν φλογερό
επαναστατικό ύμνο που συγκίνησε
πολλούς νέους της εποχής και έγινε
σύμβολο του αγώνα για την ελευθερία.
Το όραμα του Ρήγα ήταν η συνεργασία των υπόδουλων βαλκανικών λαών για την απελευθέρωσή
τους από τον οθωμανικό ζυγό και η δημιουργία ενός ευνομούμενου δημοκρατικού κράτους στο
οποίο θα κυριαρχούσε η ελληνική γλώσσα και παιδεία.
Η δράση του έγινε γρήγορα γνωστή και προκάλεσε την αντίδραση της Αυστρίας, η οποία τότε διατηρούσε
καλές σχέσεις με την Οθωμανική Αυτοκρατορία. Οι Αυστριακοί συνέλαβαν τον Ρήγα και τους συνεργάτες
του το Δεκέμβριο του 1797. Λίγο αργότερα τον παρέδωσαν με του επτά συντρόφους του στους Τούρκους,
οι οποίοι τους θανάτωσαν και τους έριξαν στον ποταμό Δούναβη.
Αδαμάντιος Κοραής
• Καταγόταν από πλούσια οικογένεια της Χίου.
• Γεννήθηκε στη Σμύρνη το 1748.
• Φοίτησε στην Ευαγγελική Σχολή της Σμύρνης.
• Εγκαταστάθηκε μόνιμα στη Γαλλία όπου
σπούδασε ιατρική.
• Γνώρισε τη Γαλλική επανάσταση και τις
φιλελεύθερες ιδέες της.
Ασχολήθηκε με
• Την αντιγραφή
• Την επιμέλεια
• Τη δημοσίευση χειρογράφων
αρχαίων Ελλήνων συγγραφέων
Ο Κοραής πίστευε ότι για να ελευθερωθεί το ελληνικό έθνος, έπρεπε πρώτα να φωτισθεί διαμέσου της
παιδείας, με κατάλληλη μέθοδο διδασκαλίας και χρησιμοποιώντας μια νέα ελληνική γλώσσα, με απλούστερη
μορφή από την αρχαία. Η απήχησή του ήταν μεγάλη και πολλοί δάσκαλοι ζητούσαν τις συμβουλές του.
Επίσης πρότεινε τη χρήση μιας γλώσσας που θα είχε ως βάση την καθομιλουμένη γλώσσα της εποχής
από την οποία θα είχαν αφαιρεθεί οι ξένες λέξεις και οι διάφορες ιδιωματικές εκφράσεις.
Ο Κοραής συνέβαλε σημαντικά στην ιδεολογική προετοιμασία της Μεγάλης Επανάστασης με
ποιήματά του, όπως το «Σάλπισμα Πολεμιστήριον» , αλλά και με συμβουλευτικές επιστολές του κατά τη
διάρκεια της Επανάστασης. Συντέλεσε επίσης στην ίδρυση του Ελληνικού Κομιτάτου στο Παρίσι. Ως
βασική του φιλοσοφία είχε την πίστη στη λογική του ανθρώπου.
Μαντζίλα Μαρία
Επιμέλεια: Χρήστος Χαρμπής http://st-taksh.blogspot.gr σελ.61
ΤΑ ΚΥΡΙΟΤΕΡΑ ΕΠΑΝΑΣΤΑΤΙΚΑ ΚΙΝΗΜΑΤΑ
Τον 16ο
αιώνα πολλοί Κερκυραίοι, Κρητικοί και ιδίως οι ανυπότακτοι Μανιάτες πολέμησαν τους
Οθωμανούς Τούρκους είτε στο πλευρό των Βενετών και των Ισπανών είτε μόνοι τους, με επιχειρήσεις στην
ξηρά και στη θάλασσα.
Στη σημαντική ναυμαχία της Ναυπάκτου το 1571 ο τουρκικός στόλος καταστράφηκε ολοκληρωτικά
από τους Δυτικούς με τη συμμετοχή και ελληνικών πλοίων.
Το 1600 ο Μητροπολίτης Λάρισας Διονύσιος, γνωστός ως Φιλόσοφος, ξεσήκωσε τους υπόδουλους
Έλληνες στην ορεινή Θεσσαλία. Το κίνημά του απέτυχε και ο ίδιος διέφυγε στη Ρώμη και έπειτα στην Ισπανία
ζητώντας ενισχύσεις. Εννέα χρόνια αργότερα επέστρεψε στην τουρκοκρατούμενη Ελλάδα, παροτρύνοντας τους
κατοίκους της Θεσπρωτίας να εξεγερθούν.
Οι Βενετοί πολιόρκησαν την Αθήνα το 1699 και κατέλαβαν σχεδόν όλη την Πελοπόννησο, η οποία
πέρασε ξανά στην κατοχή των Οθωμανών ύστερα από δύο δεκαετίες. Έκτοτε η Βενετία έπαψε να παίζει ενεργό
ρόλο στις ελληνικές υποθέσεις.
Το 18ο
αιώνα ανέλαβε δράση η Ρωσία. Οι ελπίδες των υποδούλων αναπτερώθηκαν, καθώς από την
εποχή της Άλωσης κυκλοφορούσαν διαδόσεις για το «ξανθό γένος» του Βορρά που θα ελευθέρωνε τους
Έλληνες.
• Οι αδελφοί Ορλώφ έφτασαν στη Μάνη με ΄Ρώσους και Έλληνες στρατιώτες
• Ο πρόκριτος Ιωάννης βλάχος (Δασκαλογιάννης) ξεσήκωσε τα Σφακιά της Κρήτης.
• Ναυμαχία του Τσεσμέ (απέναντι από τη Χίο) ο ολιγάριθμος ορθόδοξος στόλος νίκησε τους
Οθωμανούς
• Οι συγκρούσεις τερματίστηκαν με τη Συνθήκη του Κιουτσούκ Καϊναρτζή (1774). Η Συνθήκη αυτή
ήταν πολύ σημαντική γιατί η Ρωσία:
 Θεώρησε πως απέκτησε δικαίωμα να παρεμβαίνει στα εσωτερικά της Οθωμανικής
Αυτοκρατορίας προκειμένου να προστατεύσει τους Χριστιανούς που ζούσαν εκεί.
 Οι Έλληνες έμποροι απέκτησαν το δικαίωμα να υψώνουν στα καράβια τους τη ρώσικη σημαία
Λίγα χρόνια αργότερα ο Λάμπρος Κατσώνης (καταγόταν από τη Λιβαδειά και ήταν αξιωματικός του
ρωσικού στρατού) με ορμητήριο το νησί Κέα έπλεε στο Αιγαίο με έναν μικρό στόλο, κάνοντας επιθέσεις εναντίον
των τουρκικών πλοίων. Στις ναυτικές επιχειρήσεις ήταν μαζί του και ο κλέφτης Γεώργιος Ανδρίτσος, ο πατέρας
του ήρωα της Επανάστασης Οδυσσέα Ανδρούτσου.
Στα τέλη του 18ου
αιώνα λόγω της διάδοσης των φιλελεύθερων ιδεών της Γαλλικής Επανάστασης, οι
ελπίδες των Ελλήνων για απελευθέρωση στράφηκαν και προς τους Γάλλους του Ναπολέοντα. Τον
επαναστατικό αναβρασμό ενίσχυσαν και διάφορα δημοσιεύματα Ελλήνων διαφωτιστών υπέρ των Γάλλων.
Ωστόσο οι ελπίδες αυτές γρήγορα διαψεύστηκαν .
Γύρω στο 1800 οι υπόδουλοι Έλληνες είχαν πια συνειδητοποιήσει πως κάθε πρωτοβουλία για
απελευθέρωση έπρεπε να προέλθει από τους ίδιους.
Μαντζίλα Μαρία
Επιμέλεια: Χρήστος Χαρμπής http://st-taksh.blogspot.gr σελ.62
ΟΙ ΑΓΩΝΕΣ ΤΩΝ ΣΟΥΛΙΩΤΩΝ
ο Οι κάτοικοι του Σουλίου
• Ήταν βοσκοί
• Μιλούσαν ελληνικά και αρβανίτικα
• Συχνά έκαναν επιδρομές στα χωριά του κάμπου, για να εξασφαλίσουν ζώα και γεννήματα.
• Οι δύσκολες συνθήκες ζωής τους
• Η πολύχρονη ενασχόλησή τους με
τα όπλα
• Η άριστη γνώση του εδάφους
• Το ομαδικό πνεύμα
• Η εξαιρετική τους τόλμη
Είχαν μεταμορφώσει τους Σουλιώτες σε ικανότατους
πολεμιστές.
• Συνήθιζαν να πολεμούν οχυρωμένοι πίσω από
φυσικά εμπόδια
• Δρούσαν ακόμη και τη νύχτα
• Δεν δίσταζαν να επιτεθούν με τα σπαθιά τους
σε μεγαλύτερο αριθμό αντιπάλων
αιφνιδιάζοντάς τους.
Μάταια οι Τούρκοι προσπαθούσαν να υποτάξουν τους Σουλιώτες.
Το Σούλι απέχοντας 20 χιλιόμετρα από τη θάλασσα προμηθευόταν
χρήματα πυρομαχικά
όπλα
Αυτά τα έστελναν από τα Επτάνησα οι ξένες δυνάμεις κάθε φορά που συγκρούονταν με την Υψηλή Πύλη
Ο Αλή Πασάς των Ιωαννίνων ήταν περισσότερο αποτελεσματικός.
Πέτυχε με διάφορους τρόπους να διώξει από το Σούλι ορισμένους από τους
αρχηγούς, αδυνατίζοντας έτσι την άμυνά του.
Οι Τούρκοι κατέκτησαν το Σούλι το 1803 μετά από πολλές προσπάθειες.
Κατέλαβαν τον οχυρό λόφο Κούγκι, όμως ο καλόγερος Σαμουήλ που τον κρατούσε ελεύθερο μέχρι την
τελευταία στιγμή, ανατινάχθηκε μαζί τους.
Τότε
Κάποιοι Σουλιώτες έσπασαν τον Οι υπόλοιποι συνθηκολόγησαν, αφού
κλοιό των Τούρκων με έφοδο και τους υποσχέθηκαν ότι θα εγκαταλείψουν
πέρασαν στην Κέρκυρα με ασφάλεια το Σούλι και θα καταφύγουν
με τα όπλα τους στην Πρέβεζα.
Οι Σουλιώτες στα Επτάνησα υπηρέτησαν αρχικά τους Ρώσους και μετά τους Γάλλους
κυρίαρχους.
• Το 1820, λίγο πριν τη Μεγάλη Επανάσταση, κλήθηκαν από τους Τούρκους να
κατοικήσουν μόνιμα στο Σούλι, με τον όρο να βοηθήσουν το Σουλτάνο να εξοντώσει τον
Αλή Πασά, με τον οποίο βρίσκονταν σε πόλεμο. Οι Σουλιώτες συμφώνησαν και
επέστρεψαν στα χωριά τους, αποκρούοντας με επιτυχία τους στρατιώτες του Αλή Πασά.
• Το 1822 έμειναν αβοήθητοι. Καταπονημένοι, εγκατέλειψαν οριστικά το Σούλι και
διασκορπίστηκαν στη Στερεά Ελλάδα και την Πελοπόννησο.
• Κατά τη διάρκεια της Μεγάλης Επανάστασης του 1821 πολλοί Σουλιώτες ανέπτυξαν
σημαντική δράση ως οπλαρχηγοί, έχοντας τη φήμη των γενναίων και αδάμαστων
πολεμιστών του έθνους.
Μαντζίλα Μαρία
Επιμέλεια: Χρήστος Χαρμπής http://st-taksh.blogspot.gr σελ.63
Ερωτήσεις - Απαντήσεις
Επιμέλεια: Χρήστος Χαρμπής http://st-taksh.blogspot.gr σελ.64
Κεφάλαιο 1 Β ΄ ενότητα
Η κατάκτηση της ελληνικής Χερσονήσου
1. Πώς κατακτήθηκε ο ελληνικός χώρος;
Η άλωση της Κωνσταντινούπολης από τους Οθωμανούς Τούρκους, το 1453, ήταν η κατάληξη της
παρακμής του Βυζαντινού κόσμου. Ήδη από τον 13ο
αιώνα η άλλοτε ένδοξη Βυζαντινή Αυτοκρατορία
αντιμετώπιζε πολλά πολιτικά, κοινωνικά και οικονομικά προβλήματα. Ξένες φυλές από το Βορρά και την
Ανατολή εισέρχονταν στην περιοχή με ειρηνικό ή βίαιο τρόπο, ενώ Χριστιανοί της Δύσης, κυρίως οι
Βένετοι, εκμεταλλεύονταν τα σπουδαιότερα εμπορικά λιμάνια, με αποτέλεσμα τον οικονομικό μαρασμό
των εντοπίων. Μέσα σε δύο περίπου αιώνες ολόκληρη η ελληνική Χερσόνησος κατακτήθηκε από τους
Οθωμανούς Τούρκους.
2. Ποια ήταν η τύζη των νησιών του Ιονίου;
Τα Ιόνια Νησιά, με εξαίρεση τη Λευκάδα για κάποια χρονικά διαστήματα, δεν πέρασαν ποτέ στην
οθωμανική εξουσία. Παρέμειναν μάλιστα στην εξουσία των Βενετών έως το 1797, πότε πέρασαν στα χέρια
των Γάλλων και στη συνέχεια των Άγγλων.
3. Πώς ονομάστηκε η περίοδος από την κατάκτηση της ελληνικής χερσονήσου ως τον σχηματισμό του
νέου ελληνικού κράτους;
Η περίοδος από την κατάκτηση της ελληνικής Χερσονήσου, στα μέσα του 15ου
αιώνα, έως και τη Μεγάλη
Επανάσταση του 1821, που οδήγησε στον σχηματισμό του νέου ελληνικού κράτους, ονομάζεται
Τουρκοκρατία.
4. Τι έγινε τους δύο πρώτους αιώνες της Τουρκοκρατίας;
Οι δύο πρώτοι αιώνες της Τουρκοκρατίας ήταν οι δυσκολότεροι για τους Χριστιανούς. Οι δημογραφικές,
οικονομικές και κοινωνικές μεταβολές ήταν μεγάλες. Αρκετοί κάτοικοι μετακινήθηκαν σε ορεινούς τόπους
της Οθωμανικής Αυτοκρατορίας. Επίσης, οι βυζαντινοί άρχοντες εξαφανίστηκαν μετά την Άλωση. Τέλος,
αρκετοίλόγιοι έφυγαν στη Δυτική Ευρώπη. Όλα αυτά επηρέασαν αρνητικά τη συνοχή του ελληνικού
πληθυσμού. Τελικά όμως οι υπόδουλοι Έλληνες δεν αφομοιώθηκαν, αφού κατάφεραν να διαφυλάξουν, με
τη βοήθεια και της Εκκλησίας, τρία βασικά στοιχειά της εθνικής τους ταυτότητας: τη θρησκεία, τη γλώσσα
και την παράδοση.
5. Τι έγινε από τα μέσα του 16ου
αιώνα;
Από τα μέσα του 16ου
αιώνα, η θέση των Ελλήνων στις τουρκοκρατούμενες περιοχές σταδιακά
βελτιώθηκε. Την εποχή αυτή μειώθηκαν οι στρατιωτικές συγκρούσεις στην ελληνική Χερσόνησο και
περιορίστηκε η φορολογία και το παιδομάζωμα. Οι εξελίξεις αυτές στην τουρκοκρατούμενη Ελλάδα, με τη
συμβολή των Ελλήνων της Διασποράς, τόνωσαν την παιδεία και οδήγησαν προοδευτικά το έθνος στην
εκπαιδευτική αναγέννηση του 18ου
αιώνα, που προετοίμασε το έδαφος για την Απελευθέρωση.
6. Τι έγινε στις Βενετοκρατούμενες περιοχές;
Αρκετά προβλήματα αντιμετώπιζαν και οι Έλληνες υπήκοοι των Βενετών. Έως τον 16ο
αιώνα δεν τους
επιτρεπόταν η συμμετοχή στη διοίκηση, ενώ οι Βένετοι κατείχαν τα ανώτερα θρησκευτικά αξιώματα και
την περιουσία της Εκκλησίας. Αυτοί οι περιορισμοί, σε συνδυασμό με άλλες διακρίσεις, όπως η βαριά
φορολογία και η συμμετοχή σε αγγαρείες για την κατασκευή δημοσίων έργων, προκαλούσαν συχνά
διαμαρτυρίες ακόμη και εξεγέρσεις εναντίον των κατακτητών, με γνωστότερη την εξέγερση στη Ζάκυνθο
το 1628, γνωστή ως «ρεμπελιό των ποπολάρων».
7. Ποιες αλλαγές παρουσιάστηκαν στη στάση των Βενετών με την πάροδο των χρόνων;
Καθώς όμως περνούσαν τα χρόνια και αρκετές βενετικές κτήσεις έπεφταν στα χέρια των Οθωμανών
Τούρκων, οι Βένετοι άρχισαν να γίνονται πιο φιλικοί προς τους Έλληνες, που είχαν αναλάβει και το βάρος
της άμυνας. Οι διακρίσεις σε βάρος των Ελλήνων στις βενετοκρατούμενες περιοχές περιορίσθηκαν επίσης
και λόγω της μακραίωνης συνύπαρξης, που συχνά οδηγούσε σε μικτούς γάμους και σε κοινές οικονομικές
δραστηριότητες.
eimet08
Επιμέλεια: Χρήστος Χαρμπής http://st-taksh.blogspot.gr σελ.65
Κεφάλαιο 2 Β ΄ ενότητα
Οι συνθήκες ζωής των υποδούλων
1. Ποιες πληθυσμιακές μεταβολές έγιναν στην Πόλη μετά την κάκτησή της από τους Τούρκους;
Μετά την τουρκική κατάκτηση, οι περισσότερες από τις επιφανείς Βυζαντινές οικογένειες που επέζησαν,
μετανάστευσαν κυρίως σε λατινοκρατούμενες περιοχές ή στη Δυτική Ευρώπη. Όσες από αυτές
παρέμειναν στην Κωνσταντινούπολη, συγχωνεύθηκαν με Έλληνες που ήρθαν στην Πόλη από
την Καραμανία, τον Πόντο ή τα νησιά του Αιγαίου και πλούτισαν ως Βιοτέχνες ή έμποροι. Σχηματίστηκε,
έτσι, γύρω από τοΠατριαρχείο μια νέα άρχουσα τάξη, οι Φαναριώτες, που από τον 17ο
αιώνα ανέπτυξε
σημαντικό εθνικό ρόλο σε τομείς όπως η εκπαίδευση.
2. Ποιες διακρίσεις γίνονταν σε βάρος των χριστιανών;
Αν και θεωρητικά οι Οθωμανοί Σουλτάνοι παραχωρούσαν κάποιες ελευθερίες στους «απίστους»
υπηκόους τους, στην καθημερινή ζωή οι περιορισμοί ήταν πολλοί, ιδιαίτερα τους πρώτους αιώνες της
Τουρκοκρατίας. Οι Χριστιανοί υποχρεώνονταν να κατοικούν σε φτωχικές συνοικίες των πόλεων και
υπηρετούσαν στο στρατό μόνο σε Βοηθητικές υπηρεσίες είτε ως ναύτες και οδηγοί. Απαγορεύονταν
επίσης οι λιτανείες. Αλλά και οι σοβαρές δικαστικές υποθέσεις που αφορούσαν Χριστιανούς,
εξετάζονταν στα μουσουλμανικά ιεροδίκεια και όχι στα εκκλησιαστικά δικαστήρια.
3. Πώς γινόταν η φορολόγηση των χριστιανών;
Οι σημαντικότερες διακρίσεις όμως αφορούσαν την κατανομή των φόρων. Η Οθωμανική
Αυτοκρατορία ενδιαφερόταν εξαιρετικά για την είσπραξη τους, καθώς στα έσοδα από τη φορολογία
στήριζε κατά μεγάλο μέρος τη συντήρηση της. Οι Χριστιανοί επιβαρύνονταν οικονομικά πολύ
περισσότερο από τους Μουσουλμάνους, πληρώνοντας πολλούς τακτικούς φόρους, όπως τον κεφαλικό
φόρο, τον φόρο εστίας για τις κατοικίες τους, φόρο για τη χρήση της γης (έγγειος) αλλά και για την
αγροτική παραγωγή (δεκάτη).
4. Ποιες άλλες αυθαιρεσίες γίνονταν σε βάρος των χριστιανών;
Εκτός από τους τακτικούς, υπήρχαν και έκτακτοι φόροι, καθώς και αγγαρείες. Οι διακρίσεις σε βάρος
των Χριστιανών ήταν πιο έντονες σε απομακρυσμένες περιοχές. Οι τοπικοί διοικητές,
εκμεταλλευόμενοι το γεγονός ότι η κεντρική εξουσία δεν μπορούσε εύκολα να τους ελέγξει, δεν
δίσταζαν να τους κακομεταχειρίζονται, ιδίως σε περιόδους ταραχών αλλά και για την ενίσχυση του
προσωπικού τους ταμείου.
5. Ποια ήταν τα πιο σκληρά μέτρα που αντιμετώπιζαν οι χριστιανοί;
Τα πιο σκληρά όμως μέτρα που αντιμετώπισαν οι Χριστιανοί, ιδιαίτερα τους πρώτους αιώνες της
κατάκτησης, ήταν οι σφαγές και οι αιχμαλωσίες, οι εξισλαμισμοί, το παιδομάζωμα καθώς και η
εγκατάσταση τουρκικών και άλλων φύλων σε εύφορα εδάφη, με συνέπεια την αναγκαστική
μετακίνηση ελληνικών πληθυσμών στο εξωτερικό ή σε απομονωμένα και ορεινά μέρη στο εσωτερικό.
6. Τι έγινε με την ιδιοκτησία της γης;
Οι περισσότεροι υπόδουλοι κατείχαν εκτάσεις γης κυρίως σε άγονες περιοχές ή σε νησιά. Αντίθετα, τα
πιο εύφορα κτήματα ανήκαν στο Σουλτάνο και τους Οθωμανούς.
eimet08
Επιμέλεια: Χρήστος Χαρμπής http://st-taksh.blogspot.gr σελ.66
Κεφάλαιο 3 Β ΄ ενότητα
Η θρησκευτική και η πολιτική οργάνωση των
Ελλήνων
1. Ποια ήταν η στάση των Τούρκων απέναντι στον πατριάρχη;
Οι Οθωμανοί Τούρκοι κατήργησαν τη βυζαντινή διοίκηση στις χώρες που κατέκτησαν. Πιο ανεκτικοί
φάνηκαν απέναντι στο Οικουμενικό Πατριαρχείο της Κωνσταντινούπολης, διευρύνοντας τις
αρμοδιότητές του. Ο Πατριάρχης, εκτός από θρησκευτικός ηγέτης, ήταν και εκπρόσωπος του ρουμ
μιλέτ, των υπόδουλων δηλαδή Ορθόδοξων Χριστιανών και λογοδοτούσε στο Σουλτάνο για τις πράξεις
τους.
2. Ποιος ήταν ο ρόλος της εκκλησίας στα χρόνια της τουρκοκρατίας;
Κατά την περίοδο της Τουρκοκρατίας η Εκκλησία δεν είχε μόνο θρησκευτικά καθήκοντα αλλά
αποφάσιζε και για ποικίλες υποθέσεις, όπως π.χ. για τις κληρονομιές. Παράλληλα, ο Πατριάρχης είχε
τη δυνατότητα να ιδρύει σχολεία και να επιβάλλει ειδική φορολογία στους πιστούς.
3. Ποια ήταν η στάση του κλήρου απέναντι στους Τούρκους;
Κάποιοι ορθόδοξοι κληρικοί αντιμετώπιζαν την τουρκική κατάκτηση ως θεραπεία σταλμένη από τον
Θεό για τα σφάλματα των Βυζαντινών αυτοκρατόρων και του βυζαντινού λαού. Ωστόσο, υπήρχαν
ιεράρχες, όπως ο Πατριάρχης Νεόφυτος ο Β', που είχαν επηρεασθεί από τις ευρωπαϊκές ιδέες και
αμφισβητούσαν την υποταγή στους Τούρκους. Άλλα μέλη της Ορθόδοξης Εκκλησίας, πάλι, σαν το
μοναχό Μάξιμο τον Γραικό που αναγνωρίσθηκε ως άγιος στη Μόσχα, καλλιέργησαν περαιτέρω σχέσεις
με τη Ρωσία. Έτσι, οι Ρώσοι ταυτίστηκαν στη σκέψη των υπόδουλων Χριστιανών, με το «ξανθό
γένος», που θα ελευθέρωνε την Κωνσταντινούπολη από τους απίστους.
4. Τι ήταν οι Φαναριώτες και ποιος ήταν ο ρόλος τους στην περίοδο της τουρκοκρατίας;
Οι Φαναριώτες αποτελούσαν μια άλλη ηγετική ομάδα των Ελλήνων κατά την περίοδο της
Τουρκοκρατίας. Επρόκειτο για ορισμένες πλούσιες οικογένειες που ζούσαν στη συνοικία Φανάρι της
Κωνσταντινούπολης, την έδρα του Οικουμενικού Πατριαρχείου. Είχαν αξιόλογη μόρφωση, γνώριζαν
ξένες γλώσσες και ανελάμβαναν υψηλά αξιώματα στην οθωμανική διοίκηση. Οι Φαναριώτες, όπως και
οι ιεράρχες, ήταν απόλυτα εξαρτημένοι από τις διαθέσεις του κάθε Σουλτάνου.
5. Ποια άλλη κοινωνική ομάδα διέθετε μεγάλη εξουσία την περίοδο της τουρκοκρατίας;
Μεγάλη εξουσία είχαν οι κοινοτικοί άρχοντες της εποχής, γνωστοί ως επίτροποι, δημογέροντες,
προεστοί και κοτζαμπάσηδες. Οι Τούρκοι αναγκάστηκαν να σεβαστούν την τοπική ηγεσία κάθε
χωριού, επειδή οι ίδιοι δεν είχαν κατάλληλα οργανωμένο διοικητικό μηχανισμό για να υπολογίζουν τον
φόρο που αναλογούσε σε κάθε κάτοικο. Με το πέρασμα του χρόνου, αρκετοί κοινοτικοί άρχοντες
απέκτησαν μεγάλη περιουσία και πολιτική δύναμη.
eimet08
Επιμέλεια: Χρήστος Χαρμπής http://st-taksh.blogspot.gr σελ.67
Κεφάλαιο 4 Β ΄ ενότητα
Οι Κλέφτες και οι Αρματολοί
1. Ποιοι έκαναν εξεγέρσεις κατά των Τούρκων;
Καθώς οι Οθωμανοί Τούρκοι επέκτειναν την κυριαρχία τους στη Βαλκανική Χερσόνησο, είχαν να
αντιμετωπίσουν διάφορες εξεγέρσεις από ομάδες Ελλήνων που συνέχιζαν την παράδοση των
πολεμιστών του Βυζαντίου.
2. Τι γνωρίζετε για την αντίσταση στη Μάνη;
Ένας από τους σημαντικότερους πολεμιστές ήταν ο Κορκόδειλος Κλαδάς, ο οποίος είχε για ορμητήριο
του τη Μάνη, μια από τις λίγες περιοχές που δεν υποτάχθηκαν στους Τούρκους. Οι Μανιάτες
ήταν ορεσίβιοι, που «αγρυπνούν νύχτα μέρα για να διατηρήσουν την ελευθερία τους και δεν εννοούν
να αναγνωρίσουν κανένα ηγεμόνα επί της γης», όπως τους περιέγραψε Γάλλος περιηγητής.
3. Ποιος ήταν ο ρόλος των κλεφτών;
Άλλοι ένοπλοι Έλληνες κατά την περίοδο της Τουρκοκρατίας ήταν οι Κλέφτες. Οι κλέφτες ζούσαν
στην ύπαιθρο και είχαν τα λημέρια τους σε δύσβατα μέρη. Ήταν οργανωμένοι σε μικρές ομάδες, η
καθεμιά με τον καπετάνιο της και το δικό της μπαϊράκι. Βασικό χαρακτηριστικό των κλεφτών ήταν η
εχθρότητα που ένιωθαν για τους Τούρκους και γενικά για την εξουσία, στοιχείο που τους έκανε
αγαπητούς στο λαό. Έτσι, οι κλέφτες έγιναν σύμβολο της αντίστασης των υπόδουλων Ελλήνων
ενάντια στους κατακτητές.
4. Τι ήταν οι Αρματολοί και ποιος ήταν ο ρόλος τους στην περίοδο της τουρκοκρατίας;
Προκειμένου να αντιμετωπίσουν τους κλέφτες και να αποκαταστήσουν την ασφάλεια στην ύπαιθρο,
οι Οθωμανοί Τούρκοι χρησιμοποιούσαν ένοπλους Έλληνες, πρώην κλέφτες, τους αρματολούς.
Ωστόσο οιΑρματολοί, παρόλο που ήταν βοηθητικά στρατεύματα των Τούρκων, συνεργάζονταν
συνήθως με τους κλέφτες. Παρατηρήθηκε έτσι το φαινόμενο, ιδιαίτερα κατά τους τελευταίους αιώνες
της Τουρκοκρατίας, πολλοί αρματολοί να εγκαταλείπουν τις θέσεις τους και να προσχωρούν στις
τάξεις των κλεφτών.
5. Ποιοι ήταν οι πιο φημισμένοι Αρματολοί;
Φημισμένοι αρματολοί ήταν ο Γεώργιος Ανδρίτζος, ο Κατσαντώνης στη Ρούμελη, ο Νικοτσάρας στον
Όλυμπο, οι Σουλιώτες Γεώργιος Μπότσαρης και Λάμπρος Τζαβέλλας και πολλοί άλλοι. Αρκετοί από
τους γιους, τους συγγενείς ή τα πρωτοπαλίκαρα τους συμμετείχαν αργότερα στη Μεγάλη Επανάσταση
του 1821.
eimet08
Επιμέλεια: Χρήστος Χαρμπής http://st-taksh.blogspot.gr σελ.68
Κεφάλαιο 5 Β ΄ ενότητα
Η οικονομική ζωή
1. Ποια ήταν η βάση της οικονομίας της Οθωμανικής Αυτοκρατορίας;
Η οικονομία της Οθωμανικής Αυτοκρατορίας στηριζόταν κυρίως στις αγροτικές καλλιέργειες (σιτάρι,
κριθάρι, βαμβάκι, καπνός, λάδι, σταφίδα). Οι κτηνοτρόφοι, είτε ζούσαν μόνιμα σε ένα μέρος είτε
ήταννομάδες, πρόσφεραν μαζί με τους αγρότες πρώτες ύλες στη βιοτεχνία για την παραγωγή
νημάτων και υφαντών. Η παραγωγή ικανοποιούσε κυρίως τις ανάγκες του σπιτιού. Όσα προϊόντα τους
περίσσευαν, οι γεωργοί τα πουλούσαν στις τοπικές αγορές ή τα διέθεταν στο εξωτερικό, με
αντάλλαγμα κυρίως βιομηχανικά εργαλεία και άλλα προϊόντα.
2. Πού οφείλονταν η οικονομική παρακμή της Οθωμανικής Αυτοκρατορίας;
Οι γεωγραφικές ανακαλύψεις, η χρήση νέων εμπορικών δρόμων και ο τερματισμός των κατακτήσεων
συνέβαλαν στην παρακμή της Οθωμανικής Αυτοκρατορίας. Οι έμποροι από τη Δυτική Ευρώπη δεν
ήταν υποχρεωμένοι πλέον να περνούν από το έδαφος της για να πάνε στην Ινδία ή την Κίνα. Έτσι τα
κρατικά της έσοδα από τους φόρους του εμπορίου σταδιακά μειώθηκαν και το νόμισμά της
υποτιμήθηκε.
3. Ποιος επωφελήθηκε από το γεγονός αυτό;
Προοδευτικά η οικονομική δραστηριότητα πέρασε κυρίως στα χέρια των υπηκόων του Σουλτάνου και
ιδιαίτερα των Ελλήνων.
4. Ποιοι άλλοι παράγοντες ωφέλησαν τους Έλληνες;
Δύο ακόμη παράγοντες ωφέλησαν τους Έλληνες: οι συνθήκες του Κάρλοβιτς (1699) και του
Κιουτσούκ Καϊναρτζή (1774), που υπέγραψε η ηττημένη Οθωμανική Αυτοκρατορία, επέτρεψαν,
κυρίως στην Αυστρία και τη Ρωσία, να επηρεάζουν τις εξελίξεις στο εσωτερικό της. Επίσης, οι
Διομολογήσεις, δηλαδή οι εμπορικές συμφωνίες που έκαναν οι δυτικές χώρες με τους Οθωμανούς
Σουλτάνους, ευνόησαν το ελληνικό εμπόριο και τη ναυσιπλοΐα, αφού έδωσαν τη δυνατότητα στους
Έλληνες να υψώνουν στα καράβια τους τις σημαίες των χωρών αυτών.
5. Ποια ήταν τα αποτελέσματα των συνθηκών αυτών για τους Έλληνες;
Οι Έλληνες έμποροι επέκτειναν τη δραστηριότητά τους στην Κεντρική και τη Δυτική Ευρώπη καθώς
και τη Ρωσία, ίδρυσαν στα μέρη αυτά σημαντικές παροικίες και ανέλαβαν μεγάλο μέρος του
εισαγωγικού και εξαγωγικού εμπορίου της Δύσης με την Ανατολή, κερδίζοντας πολλά πλούτη. Μαζί
όμως με τα αγαθά έφταναν στην Οθωμανική Αυτοκρατορία και οι επαναστατικές ιδέες, που
επικρατούσαν την εποχή αυτή στην Ευρώπη. Παράλληλα σχηματίστηκε ένας αξιόλογος ελληνικός
εμπορικός στόλος, με πληρώματα έμπειρα στη ναυσιπλοΐα αλλά και στην αντιμετώπιση των πειρατών.
Μεγάλες πόλεις, όπως η Κοζάνη, η Μοσχόπολη, τα Ιωάννινα, η Θεσσαλονίκη αλλά και νησιά, όπως η
Χίος, η Ύδρα και τα Ψαρά, έγιναν σημαντικά κέντρα του ελληνικού εμπορίου.
6. Ποιες ήταν οι συνέπειες της οικονομικής ανάπτυξης των Ελλήνων;
Η οικονομική άνθηση, ο πολυάριθμος εμπορικός στόλος και οι εύπορες παροικίες του εξωτερικού
βελτίωσαν τη θέση των Ελλήνων, παραμονές της Μεγάλης Επανάστασης του 1821. Από αυτούς
λοιπόν τους πλούσιους εμπόρους αναδείχθηκαν εκείνοι που πρωταγωνίστησαν αργότερα στον
ξεσηκωμό του γένους μαζί με τους υπόλοιπους παραδοσιακούς ηγέτες του υπόδουλου ελληνισμού.
eimet08
Επιμέλεια: Χρήστος Χαρμπής http://st-taksh.blogspot.gr σελ.69
Κεφάλαιο 6 Β ΄ ενότητα
Οι Έλληνες των παροικιών και των
Παραδουνάβιων Ηγεμονιών
1. Τι γνωρίζετε για την πρώτη περίοδο της μετανάστευσης των Ελλήνων;
Ημετανάστευση των Ελλήνων στο εξωτερικό, κατά τη διάρκεια της Τουρκοκρατίας,
πραγματοποιήθηκε κυρίως σε δυο χρονικές περιόδους. Την πρώτη περίοδο, από τον 15ο
έως τον
16ο
αιώνα, η μετανάστευση ήταν συνήθως υποχρεωτική. Κατά τη διάρκειά της λόγιοι, ευγενείς και
στρατιώτες, άλλοτε μόνοι και άλλοτε συνοδευόμενοι από τις οικογένειές τους, εγκατέλειψαν την
υπόδουλη Ελλάδα εξαιτίας των πολεμικών συγκρούσεων και της επέκτασης των Τούρκων.
2. Ποιοι ήταν οι χώροι προέλευσης και οι χώροι εγκατάστασης των μεταναστών;
Οι περισσότεροι πρόσφυγες κατάγονταν από νησιά (Κύπρος, Κρήτη) ή παραθαλάσσια μέρη
(Μονεμβασιά, Μάνη, Ναύπλιο, Ήπειρος). Εγκαταστάθηκαν κυρίως σε παραθαλάσσιες πόλεις της
Ιταλίας καθώς και σε άλλα μέρη της Ευρώπης, ιδρύοντας παροικίες.
3. Ποια ήταν τα κύρια επαγγέλματα που εξασκούσαν οι μετανάστες;
Οι Έλληνες μετανάστες εξασκούσαν συνήθως το επάγγελμα του στρατιώτη, του ναυτικού, του
τεχνίτη, του εμπόρου, του αντιγραφέα χειρογράφων καθώς και του δασκάλου σε ανώτατα
εκπαιδευτικά ιδρύματα.
4. Τι γνωρίζετε για τη δεύτερη περίοδο της μετανάστευσης
Η δεύτερη περίοδος της μετανάστευσης, κατά τον 17ο
και 18ο
αιώνα, ήταν εθελοντική και ειρηνική, με
οικονομικά κυρίως αίτια. Τα εμπορεύματα μεταφέρονταν από την Οθωμανική Αυτοκρατορία προς την
Κεντρική Ευρώπη και τη Ρωσία διά ξηράς από συγκεκριμένους δρόμους, με καραβάνια που διέσχιζαν
τα Βαλκάνια. Σε αρκετές πόλεις κατά μήκος αυτών των δρόμων εγκαταστάθηκαν Έλληνες. Την ίδια
περίοδο, Έλληνες από τον Πόντο μετακινήθηκαν στον Καύκασο και την Κριμαία ιδρύοντας παροικίες,
με γνωστότερη την Οδησσό. Οι Έλληνες από τη Μακεδονία εγκαταστάθηκαν κυρίως στη Βιέννη, την
Τεργέστη, τη Σερβία και την Ουγγαρία, όπου ασχολήθηκαν με το εμπόριο βαμβακερών, δερμάτων,
χαλιών και άλλων ειδών. Αρκετοί Έλληνες, τέλος, δραστηριοποιήθηκαν στις Παραδουνάβιες
Ηγεμονίες, τη Βλαχία και τη Μολδαβία, περιοχές που κυβερνούσαν Φαναριώτες ηγεμόνες.
5. Ποια ήταν η οργάνωση των μεταναστών στις παροικίες;
Πρώτο μέλημα των Ελλήνων μεταναστών στη νέα τους πατρίδα ήταν η ανέγερση ναού, για να τελούν
τα θρησκευτικά τους καθήκοντα και η σύνταξη καταστατικού, για τον τρόπο οργάνωσης της
κοινότητάς τους. Στο καταστατικό αναγράφονταν οι σκοποί, η οργάνωση, τα δικαιώματα και οι
υποχρεώσεις των μελών της κοινότητας. Με την πάροδο του χρόνου χτίστηκαν μοναστήρια αλλά και
κοινοτικά σχολεία, όπως το Φλαγγινιανό Φροντιστήριο στη Βενετία. Οι Έλληνες μετανάστες φρόνησαν
για την έκδοση ελληνικών βιβλίων, περιοδικών και εφημερίδων.
6. Πως ονομάστηκαν οι μετανάστες και ποιος ήταν ο ρόλος τους απέναντι στη σκλαβωμένη πατρίδα;
Αυτοί οι μετανάστες που ονομάστηκαν Έλληνες της Διασποράς, με τα πλούτη που απέκτησαν,
ενίσχυαν οικονομικά τα ελληνικά σχολεία στις τουρκοκρατούμενες περιοχές και κατασκεύαζαν
πολυτελείς κατοικίες στους τόπους καταγωγής τους (π.χ. στη Σιάτιστα, την Καστοριά, την Κοζάνη, τα
Ζαγοροχώρια και τα χωριά του Πηλίου), τα λεγόμενα αρχοντικά. Από τους Έλληνες των
παροικιών ξεκίνησε κατά τον 18ο
αιώνα η πνευματική αναγέννηση του υπόδουλου έθνους.
eimet08
Επιμέλεια: Χρήστος Χαρμπής http://st-taksh.blogspot.gr σελ.70
Κεφάλαιο 7 Β ΄ ενότητα
Οι δάσκαλοι του Γένους
1. Ποιοι ονομάστηκαν δάσκαλοι του Γένους;
Δάσκαλοι του Γένους ονομάζονται οι μορφωμένοι Έλληνες που κατά την περίοδο της
Τουρκοκρατίας συνέβαλαν, με την προφορική διδασκαλία τους ή με τα κείμενα τους, στην
καλλιέργεια της ελληνικής παιδείας. Αρκετοί από τους δασκάλους του Γένους ήταν ή έγιναν
αργότερα κληρικοί. Κάποιοι σπούδασαν στην τουρκοκρατούμενη Ελλάδα ενώ άλλοι στα Ιόνια Νησιά,
στις Παραδουνάβιες Ηγεμονίες και στο εξωτερικό.
2. Ποιο ήταν το κύριο μέλημα και η προσφορά τους;
Οι δάσκαλοι του Γένους δίδασκαν σε ναούς, σε σχολεία και σε δημόσιους χώρους. Έγραφαν επίσης
επιστολές και άρθρα σε περιοδικά και εφημερίδες είτε ολόκληρα βιβλία, που τα τύπωναν με την
υποστήριξη της Εκκλησίας, των Φαναριωτών ηγεμόνων ή φιλομαθών εμπόρων. Με το έργο τους
βοήθησαν στην ίδρυση σχολείων και την τόνωση της ελληνικής παιδείας, στην ιδεολογική
προετοιμασία της Μεγάλης Επανάστασηςτου 1821 και στην ανάπτυξη του Φιλελληνισμού στη Δύση.
3. Τι ήταν ο Νεοελληνικός Διαφωτισμός;
Φωτισμένοι πνευματικοί άνδρες έδρασαν σε όλη τη διάρκεια της Τουρκοκρατίας. Ιδιαίτερα σημαντική
ήταν, όπως αναφέρθηκε, η δράση των Ελλήνων λογίων στη Δύση. Κατά τον 18ο
και στις αρχές του
19ου
αιώνα οι ιδέες και τα κηρύγματα του Ευρωπαϊκού Διαφωτισμού κυριαρχούσαν στη Δυτική
Ευρώπη. Οι νέες φιλελεύθερες και ριζοσπαστικές ιδέες έφτασαν γρήγορα και στην ελληνική
Χερσόνησο, δυναμώνοντας την επαναστατική διάθεση των υπόδουλων Ελλήνων. Η πνευματική αυτή
δραστηριότητα ονομάστηκε Νεοελληνικός Διαφωτισμός.
4. Ποιοι ήταν οι κύριοι εκπρόσωποι του Νεοελληνικού Διαφωτισμού;
Ο Νεοελληνικός Διαφωτισμός ανέδειξε μεγάλες μορφές στα ελληνικά γράμματα, όπως ο Φαναριώτης
νομικός Δημήτριος Καταρτζής και ο Κερκυραίος κληρικός Ευγένιος Βούλγαρης, που δίδαξε στην
Αθωνιάδα Σχολή φιλοσοφία και μαθηματικά. Επίσης δύο ξαδέλφια από τη Θεσσαλία, ο Γρηγόριος
Κωνσταντάς και ο Δανιήλ Φιλιππίδης, συνέγραψαν στη δημοτική γλώσσα τη «Γεωγραφία Νεωτερική»,
ενώ ο Κοζανίτης γιατρός Μιχαήλ Περδικάρης σατίρισε σε πεζά και σε στίχους πρόσωπα και γεγονότα
της εποχής του.
5. Τι ήταν η Ελληνική Νομαρχία;
Το 1806 εκδόθηκε στην Ιταλία η «Ελληνική Νομαρχία», ένα έργο άγνωστου συγγραφέα αφιερωμένο
στον Ρήγα Βελεστινλή. Στο σημαντικό αυτό κείμενο του Νεοελληνικού Διαφωτισμού καταδικάζεται η
«αναρχία» και η «μοναρχία» και προβάλλεται ως ιδανική διοίκηση η «νομαρχία», δηλαδή το
πολίτευμα όπου εξουσιάζουν οι νόμοι.
6. Ποιος ήταν ο Κοσμάς Ο Αιτωλός;
Ξεχωριστή προσωπικότητα αποτελεί ο άγιος Κοσμάς ο Αιτωλός, ο οποίος συνδύαζε το πνεύμα του
Νεοελληνικού Διαφωτισμού και της παιδείας με τη θρησκευτική πίστη και την εθνική συνείδηση. Ήταν
λόγιος μοναχός του Αγίου Όρους, ιεροκήρυκας και μάρτυρας. Το κήρυγμά του έβρισκε μεγάλη
απήχηση στον υπόδουλο ελληνικό πληθυσμό της υπαίθρου, όπου περιόδευσε για να αναχαιτίσει τους
εξισλαμισμούς, ιδρύοντας σχολεία.
eimet08
Επιμέλεια: Χρήστος Χαρμπής http://st-taksh.blogspot.gr σελ.71
Κεφάλαιο 8 Β ΄ ενότητα
Ο Ρήγας Βελεστινλής και ο Αδαμάντιος Κοραής
1. Ποιο ήταν το βιογραφικό του Ρήγα;
Ο Ρήγας, γιος εμπόρου, γεννήθηκε το 1757 στο Βελεστίνο της Θεσσαλίας, το οποίο στην αρχαιότητα
ονομαζόταν Φερές. Νεαρός ακόμη, μπήκε στην υπηρεσία των Φαναριωτών στην Κωνσταντινούπολη και
έπειτα μετανάστευσε στο Βουκουρέστι, ως γραμματέας του ηγεμόνα της Βλαχίας. Εκεί επηρεάστηκε απο
τις ευρωπαϊκές ριζοσπαστικές ιδέες, κάνοντας κύριο στόχο του την απελευθέρωση της πατρίδας. Το 1790
ταξίδεψε στη Βιέννη.
2. Ποιο ήταν το συγγραφικό και εκδοτικό έργο του Ρήγα;
Το συγγραφικό και εκδοτικό του έργο είναι μεγάλο. Ο Ρήγας εξέδωσε γαλλικά μυθιστορήματα
μεταφρασμένα στη δημοτική γλώσσα, ένα βιβλίο Φυσικής για σχολική χρήση, έναν τεράστιο χάρτη
της Ελλάδας, την περίφημη «Χάρτα της Ελλάδος», μια εικόνα του Μεγάλου Αλεξάνδρου και πολλά
άλλα. ΟΘούριος ήταν ένας φλογερός επαναστατικός ύμνος που συγκίνησε πολλούς νέους της εποχής
και έγινε σύμβολο του αγώνα για την ελευθερία.
3. Ποιο ήταν το όραμα του Ρήγα;
Ο Ρήγας Βελεστινλής οραματιζόταν τη συνεργασία των υπόδουλων βαλκανικών λαών για την
απελευθέρωσή τους από τον οθωμανικό ζυγό και τη δημιουργία ενός ευνομούμενου δημοκρατικού
κράτους, όπου θα κυριαρχούσε η ελληνική γλώσσα και παιδεία.
4. Ποιο ήταν το τέλος του Ρήγα;
Ωστόσο, η δράση του έγινε γρήγορα γνωστή και προκάλεσε την αντίδραση της Αυστρίας, η οποία
τότε διατηρούσε καλές σχέσεις με την Οθωμανική Αυτοκρατορία. Οι Αυστριακοί συνέλαβαν τον Ρήγα
και συνεργάτες του το Δεκέμβριο του 1797. Λίγους μήνες αργότερα τον παρέδωσαν μαζί με επτά
συντρόφους του στους Τούρκους, οι οποίοι τους θανάτωσαν και τους έριξαν στον ποταμό Δούναβη.
5. Ποιο ήταν το βιογραφικό του Αδαμάντιου Κοραή;
Ο Αδαμάντιος Κοραής καταγόταν από πλούσια οικογένεια της Χίου, αλλά γεννήθηκε στη Σμύρνη το
1748. Φοίτησε αρχικά στην Ευαγγελική Σχολή της Σμύρνης, ενώ αργότερα εγκαταστάθηκε μόνιμα στη
Γαλλία, όπου σπούδασε ιατρική. Εκεί γνώρισε από κοντά τη Γαλλική Επανάσταση και τις φιλελεύθερες
ιδέες της. Ασχολήθηκε κυρίως με την αναγραφή, την επιμέλεια και τη δημοσίευση των χειρογράφων
αρχαίων Ελλήνων συγγραφέων.
6. Ποιες ήταν οι απόψεις του Κοραή για την παιδεία και τη γλώσσα;
Ο Κοραής πίστευε ότι για να ελευθερωθεί το ελληνικό έθνος, έπρεπε πρώτα να φωτιστεί διαμέσου της
παιδείας, με κατάλληλη όμως μέθοδο διδασκαλίας και χρησιμοποιώντας μια νέα ελληνική γλώσσα, με
απλούστερη μορφή από την αρχαία. Η απήχησή του ήταν μεγάλη και πολλοί δάσκαλοι ζητούσαν τις
συμβουλές του. Γνωστές είναι επίσης οι θεωρίες του για τη γλώσσα. Ο Κοραής πρότεινε τη χρήση
μιας γλώσσας που θα είχε ως βάση της την καθομιλουμένη γλώσσα της εποχής, από την οποία όμως
θα είχαν αφαιρεθεί οι ξένες λέξεις καθώς και οι διάφορες ιδιωματικές εκφράσεις.
7. Ποια ήταν η προσφορά του Κοραή;
Ο Κοραής συνέβαλε σημαντικά στην ιδεολογική προετοιμασία της Μεγάλης Επανάστασης, π.χ. με το
ποίημά του «Σάλπισμα Πολεμιστήριον» αλλά και κατά τη διάρκειά της, γράφοντας συμβουλευτικές
επιστολές. Συντέλεσε επίσης στην ίδρυση του Ελληνικού Κομιτάτου στο Παρίσι.
8. Ποια ήταν η βασική φιλοσοφική αρχή του Κοραή;
Ο Αδαμάντιος Κοραής, όπως οι περισσότεροι από τους εκπροσώπους του Νεοελληνικού Διαφωτισμού,
είχε ως βασική φιλοσοφική αρχή την πίστη στη λογική του ανθρώπου.
eimet08
Επιμέλεια: Χρήστος Χαρμπής http://st-taksh.blogspot.gr σελ.72
Κεφάλαιο 9 Β ΄ ενότητα
Τα κυριότερα επαναστατικά κινήματα
1. Ποια ήταν το κυριότερα επαναστατικά κινήματα τον 16ο
αιώνα;
Τον 16ο
αιώνα πολλοί Κερκυραίοι, Κρητικοί και ιδίως οι πάντα ανυπότακτοι Μανιάτες πολέμησαν τους
Οθωμανούς Τούρκους είτε στο πλευρό των Βενετών και των Ισπανών είτε μόνοι τους, με επιχειρήσεις στην
ξηρά και στη θάλασσα. Μάλιστα, στη σημαντική Ναυμαχία της Ναυπάκτου το 1571, κατά την οποία ο
τουρκικός στόλος καταστράφηκε ολοκληρωτικά από τους Δυτικούς, συμμετείχαν και ελληνικά πλοία.
2. Τι γνωρίζετε για το κίνημα του μητροπολίτη Λαρίσης Διονύσιου;
Το 1600 ο Μητροπολίτης Λαρίσης Διονύσιος, γνωστός ως Φιλόσοφος, ξεσήκωσε τους υπόδουλους
Έλληνες στην ορεινή Θεσσαλία. Το κίνημά του όμως απέτυχε και ο ίδιος διέφυγε στη Ρώμη και έπειτα
στην Ισπανία ζητώντας ενισχύσεις. Εννέα χρόνια αργότερα επέστρεψε στην τουρκοκρατούμενη
Ελλάδα, παροτρύνοντας τους κατοίκους της Θεσπρωτίας να εξεγερθούν.
3. Ποιος ήταν ο ρόλος της Βενετίας στα κινήματα;
Οι Βενετοί, από την πλευρά τους, πολιόρκησαν την Αθήνα και το 1699 κατέλαβαν σχεδόν όλη την
Πελοπόννησο, η οποία όμως πέρασε ξανά στην κατοχή των Οθωμανών ύστερα από δύο δεκαετίες.
Έκτοτε η Βενετία σταμάτησε να παίζει ενεργό ρόλο στις ελληνικές υποθέσεις.
4. Τι ήταν τα Ορλωφικά;
Τον 18ο
αιώνα ανέλαβε δράση η Ρωσία. Οι ελπίδες των υποδούλων αναπτερώθηκαν, καθώς από την
εποχή της Άλωσης κυκλοφορούσαν διαδόσεις για το «ξανθό γένος» του Βορρά που θα απελευθέρωνε
τους Έλληνες. Το 1770 οι αδελφοί Ορλώφ έφτασαν στη Μάνη με Ρώσους και Έλληνες στρατιώτες,
ενώ παράλληλα ο πρόκριτος Ιωάννης Βλάχος ή Δασκαλογιάννης ξεσήκωσε τα Σφακιά της Κρήτης. Στη
Ναυμαχία του Τσεσμέ (στη σημερινή Τουρκία, απέναντι από τη Χίο) ο ολιγάριθμος ορθόδοξος στόλος
νίκησε τους Οθωμανούς, αλλά οι συγκρούσεις τερματίστηκαν με τη Συνθήκη του Κιουτσούκ
Καϊναρτζή (1774). Η συνθήκη αυτή είναι πολύ σημαντική, αφού η Ρωσία θεώρησε πως απέκτησε το
δικαίωμα να παρεμβαίνει στα εσωτερικά της Οθωμανικής Αυτοκρατορίας, προκειμένου να
προστατεύσει τους Χριστιανούς που ζούσαν εκεί. Επίσης, οι Έλληνες έμποροι απέκτησαν το δικαίωμα
να υψώνουν στα καράβια τους τη ρωσική σημαία.
5. Τι ήταν το κίνημα του Λάμπρου Κατσώνη;
Με παρόμοιο τρόπο έδρασε λίγα χρόνια αργότερα και ο Λάμπρος Κατσώνης, που καταγόταν από τη
Λιβαδειά και ήταν αξιωματικός του ρωσικού στρατού. Με ορμητήριο το νησί Κέα, έπλεε στο Αιγαίο με
έναν μικρό στόλο, κάνοντας επιθέσεις εναντίον τουρκικών πλοίων. Στις ναυτικές επιχειρήσεις ήταν
μαζί του και ο κλέφτης Γεώργιος Ανδρίτσος, ο πατέρας του ήρωα της Επανάστασης Οδυσσέα
Ανδρούτσου.
6. Πού στράφηκαν οι Έλληνες στα τέλη του 18ου
αιώνα και τι συνειδητοποίησαν;
Στα τέλη του 18ου
αιώνα, λόγω της διάδοσης των φιλελεύθερων ιδεών της Γαλλικής Επανάστασης, οι
ελπίδες των Ελλήνων για απελευθέρωση στράφηκαν και προς τους Γάλλους του Ναπολέοντα. Τον
επαναστατικό αναβρασμό ενίσχυσαν και διάφορα δημοσιεύματα Ελλήνων Διαφωτιστών υπέρ των
Γάλλων. Ωστόσο, πολύ σύντομα και αυτές οι ελπίδες διαψεύστηκαν. Γύρω στο 1800, οι υπόδουλοι
Έλληνες είχαν πια συνειδητοποιήσει πως κάθε πρωτοβουλία για απελευθέρωση έπρεπε να προέλθει
από τους ίδιους.
eimet08
Επιμέλεια: Χρήστος Χαρμπής http://st-taksh.blogspot.gr σελ.73
Κεφάλαιο 10 Β ΄ ενότητα
Οι αγώνες των Σουλιωτών
1. Πώς ήταν η ζωή των Σουλιωτών;
ι κάτοικοι του Σουλίου ήταν βοσκοί που μιλούσαν ελληνικά και αρβανίτικα. Συχνά έκαναν επιδρομές στα
χωριά του κάμπου, για να εξασφαλίσουν ζώα και γεννήματα.
2. Γιατί εξελίχτηκαν σε ικανότατους πολεμιστές;
Οι δύσκολες συνθήκες ζωής των Σουλιωτών, η πολύχρονη ενασχόλησή τους με τα όπλα, η άριστη
γνώση του εδάφους, το ομαδικό πνεύμα και κυρίως η εξαιρετική τους τόλμη, τους είχαν
μεταμορφώσει σε ικανότατους πολεμιστές. Οι Σουλιώτες συνήθιζαν να πολεμούν οχυρωμένοι πίσω
από φυσικά εμπόδια. Δρούσαν ακόμη και τη νύχτα, ενώ δεν δίσταζαν να επιτεθούν με τα σπαθιά τους
σε μεγαλύτερο αριθμό αντιπάλων, αιφνιδιάζοντάς τους.
3. Ποιες ήταν οι διαθέσεις των Τούρκων απέναντι στους Σουλιώτες;
Οι Τούρκοι προσπαθούσαν να υποτάξουν τους Σουλιώτες. Το Σούλι, απέχοντας 20 χιλιόμετρα από τη
θάλασσα, μπορούσε να προμηθεύεται χρήματα, όπλα και πυρομαχικά, τα οποία έστελναν από τα
Επτάνησα οι ξένες δυνάμεις κάθε φορά που συγκρούονταν με την Υψηλή Πύλη.
4. Πότε και γιατί έγινε η πρώτη εγκατάλειψη του Σουλίου;;
Περισσότερο αποτελεσματικός, ο Αλή Πασάς των Ιωαννίνων πέτυχε με διάφορους τρόπους να διώξει
από το Σούλι ορισμένους από τους αρχηγούς, αδυνατίζοντας έτσι την άμυνά του. Τελικά οι Τούρκοι
κατάφεραν να κατακτήσουν το Σούλι το 1803, μετά από πολλές προσπάθειες. Κατέλαβαν τον οχυρό
λόφο Κούγκι, όμως ο καλόγερος Σαμουήλ, που τον κρατούσε ελεύθερο ως την τελευταία στιγμή,
ανατινάχθηκε μαζί τους. Τότε κάποιοι Σουλιώτες έσπασαν τον κλοιό των Τούρκων με έφοδο και
πέρασαν τελικά στην Κέρκυρα, ενώ οι υπόλοιποι συνθηκολόγησαν, αφού τους υποσχέθηκαν ότι θα
εγκαταλείψουν με ασφάλεια το Σούλι και θα καταφύγουν με τα όπλα τους στην Πρέβεζα.
5. Τι έκαναν στα Επτάνησα οι Σουλιώτες και πότε επέστρεψαν στο Σούλι;
Οι Σουλιώτες στα Επτάνησα υπηρέτησαν αρχικά τους Ρώσους και στη συνέχεια τους Γάλλους
κυρίαρχους. Το 1820, λίγο πριν τη Μεγάλη Επανάσταση, κλήθηκαν από τους Τούρκους να
κατοικήσουν μόνιμα στο Σούλι, με τον όρο να βοηθήσουν το Σουλτάνο να εξοντώσει τον Αλή Πασά,
με τον οποίο βρισκόταν σε πόλεμο. Οι Σουλιώτες συμφώνησαν και επέστρεψαν στα χωριά τους,
αποκρούοντας με επιτυχία τους στρατιώτες του Αλή Πασά που έρχονταν εναντίον τους.
6. Πότε εγκατέλειψαν οριστικά οι Σουλιώτες το Σούλι και τι απέγιναν;
Το 1822, όμως, έμειναν αβοήθητοι. Καταπονημένοι, εγκατέλειψαν οριστικά το Σούλι και
διασκορπίσθηκαν στη Στερεά Ελλάδα και την Πελοπόννησο. Κατά τη διάρκεια της Μεγάλης
Επανάστασης του 1821 πολλοί Σουλιώτες ανέπτυξαν σημαντική δράση ως οπλαρχηγοί, έχοντας τη
φήμη των γενναίων και αδάμαστων πολεμιστών του έθνους.
eimet08
Επιμέλεια: Χρήστος Χαρμπής http://st-taksh.blogspot.gr σελ.74
ΕΝΟΤΗΤΑ Β: ΟΙ ΕΛΛΗΝΕΣ ΚΑΤΩ ΑΠΟ ΤΗΝ ΟΘΩΜΑΝΙΚΗ ΚΑΙ
ΤΗ ΛΑΤΙΝΙΚΗ ΚΥΡΙΑΡΧΙΑ (1453-1821)
ΚΕΦΑΛΑΙΟ 1 : Η ΚΑΤΑΚΤΗΣΗ ΤΗΣ ΕΛΛΗΝΙΚΗΣ ΧΕΡΣΟΝΗΣΟΥ
ΕΡΩΤΗΣΕΙΣ –ΑΠΑΝΤΗΣΕΙΣ
1) Πώς οδηγήθηκε στην παρακμή η Βυζαντινή αυτοκρατορία;
Η άλλοτε ένδοξη Βυζαντινή αυτοκρατορία ,ήδη από τον 13ο
αιώνα αντιμετώπιζε
πολλά πολιτικά, κοινωνικά και οικονομικά προβλήματα. Ξένες φυλές από το Βορρά
και την Ανατολή έμπαιναν στα εδάφη της με ειρηνικό ή βίαιο τρόπο, ενώ οι
Χριστιανοί της Δύσης, κυρίως οι Βενετοί εκμεταλλεύονταν τα σπουδαιότερα
εμπορικά λιμάνια προκαλώντας τον οικονομικό μαρασμό των ντόπιων κατοίκων.
Έτσι η άλωση της Κωνσταντινούπολης από τους Οθωμανούς Τούρκους το 1453,ήταν
το φυσικό αποτέλεσμα αυτής της παρακμής.
2) Πότε κατακτήθηκε η ελληνική χερσόνησος από τους Τούρκους;
Η ελληνική χερσόνησος κατακτήθηκε από τους Οθωμανούς Τούρκους μέσα σε δυο
αιώνες( 15ος
- 17ος
).
3)Όλες οι περιοχές της ελληνικής χερσονήσου ήταν στην κυριαρχία των
Τούρκων;
Όχι. Πολλές περιοχές στον ελλαδικό χώρο ήδη από το 1204 ήταν στην κυριαρχία των
Λατίνων και κυρίως των Βενετών, των Γενουατών και των Φράγκων όπου και
παρέμειναν σε αυτούς για μικρότερο ή μεγαλύτερο χρονικό διάστημα και μετά το
1453 .Μόνο τα Ιόνια Νησιά, εκτός τη Λευκάδα, δεν πέρασαν ποτέ στην οθωμανική
εξουσία. Από την εξουσία των Βενετών αρχικά ,πέρασαν στην εξουσία των Γάλλων
και στη συνέχεια των Άγγλων.
4) Τι ονομάζουμε Τουρκοκρατία;
Τουρκοκρατία ονομάζουμε το χρονικό διάστημα από την κατάκτηση της ελληνικής
Χερσονήσου, στα μέσα του 15ου
αιώνα, μέχρι και τη Μεγάλη Επανάσταση του 1821,
που οδήγησε στο σχηματισμό του νέου ελληνικού κράτους.
5)Πώς ήταν για τους Χριστιανούς οι δυο πρώτοι αιώνες της Τουρκοκρατίας;
Ήταν εξαιρετικά δύσκολοι. Στο χρονικό αυτό διάστημα παρατηρούνται μεγάλες
δημογραφικές, οικονομικές και κοινωνικές αλλαγές .Αρκετοί κάτοικοι
μετακινήθηκαν σε ορεινούς τόπους της Οθωμανικής Αυτοκρατορίας, βυζαντινοί
άρχοντες εξαφανίστηκαν μετά την Άλωση, αρκετοί λόγιοι ( μορφωμένοι και
πνευματικοί άνθρωποι) έφυγαν στη Δυτική Ευρώπη. Τελικά όμως οι υπόδουλοι
Έλληνες κατάφεραν να μη χάσουν την εθνική τους ταυτότητα ,αφού πέτυχαν με τη
Άννα Πουλή1
Επιμέλεια: Χρήστος Χαρμπής http://st-taksh.blogspot.gr σελ.75
βοήθεια της Εκκλησίας να διαφυλάξουν τρία βασικά στοιχεία αυτής της εθνικής
ταυτότητας: τη θρησκεία , τη γλώσσα και την παράδοση.
6)Πότε αρχίζει να καλυτερεύει η ζωή των υπόδουλων Ελλήνων στις
τουρκοκρατούμενες περιοχές;
Από τα μέσα του 16ου
αιώνα άρχισε να καλυτερεύει ,όταν μειώθηκαν οι στρατιωτικές
συγκρούσεις στην ελληνική Χερσόνησο και περιορίστηκε η φορολογία και το
παιδομάζωμα. Αυτά σε συνδυασμό με τη στήριξη των Ελλήνων της Διασποράς, δηλ.
των Ελλήνων που ζούσαν έξω από τα σύνορα της Οθωμανικής Αυτοκρατορίας ,είχαν
ως αποτέλεσμα να τονωθεί η παιδεία και οδήγησαν σιγά σιγά το έθνος στην
εκπαιδευτική αναγέννηση του 18ου
αιώνα. Αυτή η εκπαιδευτική αναγέννηση
προετοίμασε το έδαφος για την Απελευθέρωση.
7)Ποια προβλήματα αντιμετώπιζαν οι Έλληνες που ήταν στην κυριαρχία των
Βενετών;
Αντιμετώπιζαν αρκετά προβλήματα. Μέχρι το 16ο
αιώνα δεν τους επιτρεπόταν να
συμμετέχουν στη διοίκηση, ενώ οι Βενετοί κατείχαν τα ανώτερα θρησκευτικά
αξιώματα και την περιουσία της Εκκλησίας. Επίσης πλήρωναν βαριά φορολογία και
αναγκάζονταν να συμμετέχουν σε αγγαρείες για την κατασκευή δημοσίων έργων.
Όλα αυτά είχαν ως αποτέλεσμα να διαμαρτύρονται πολύ συχνά και να ξεσηκώνονται
εναντίον των κατακτητών. Η γνωστότερη εξέγερση είναι το <<ρεμπελιό των
ποπολάρων>>, στη Ζάκυνθο το 1628.
8)Ποια εξέλιξη έχουμε με τα χρόνια στις συνθήκες ζωής των Ελλήνων στις
βενετοκρατούμενες περιοχές;
Καθώς περνούσαν τα χρόνια και πολλές περιοχές που κατείχαν οι Βενετοί έπεφταν
στα χέρια των Τούρκων, οι Βενετοί άρχισαν να γίνονται πιο φιλικοί προς τους
Έλληνες οι οποίοι είχαν τώρα αναλάβει και το βάρος της άμυνας. Μετά από πολλούς
αιώνες συνύπαρξης ,μειώθηκαν οι διακρίσεις σε βάρος των Ελλήνων, αφού γίνονταν
μικτοί γάμοι, και συμμετείχαν σε κοινές οικονομικές δραστηριότητες.
Οι κατακτήσεις των Οθωμανών και των Λατίνων το 16ο
αιώνα
Άννα Πουλή2
Επιμέλεια: Χρήστος Χαρμπής http://st-taksh.blogspot.gr σελ.76
ΕΝΟΤΗΤΑ Β- ΚΕΦΑΛΑΙΟ 2
ΟΙ ΣΥΝΘΗΚΕΣ ΖΩΗΣ ΤΩΝ ΥΠΟΔΟΥΛΩΝ
ΕΡΩΤΗΣΕΙΣ-ΑΠΑΝΤΗΣΕΙΣ
1)Τι γνωρίζεις για τους Φαναριώτες;
Οι Φαναριώτες ήταν μια ανώτερη οικονομικά και κοινωνικά τάξη που σχηματίστηκε
γύρω από το Πατριαρχείο ,στη συνοικία Φανάρι της Κωνσταντινούπολης, από
ονομαστές βυζαντινές οικογένειες .Αυτές επέζησαν μετά την Άλωση και ενώθηκαν
με Έλληνες που ήρθαν στην Πόλη από την Καραμανία, τον Πόντο ή τα νησιά του
Αιγαίου και πλούτισαν ως βιοτέχνες ή έμποροι. Η προσφορά των Φαναριωτών στο
σκλαβωμένο έθνος θα είναι από το 17ο
αιώνα πολύ σημαντική, ιδιαίτερα στην
εκπαίδευση.
2)Στους πρώτους αιώνες της Τουρκοκρατίας, ποιοι περιορισμοί δυσκολεύουν
την καθημερινή ζωή των Χριστιανών υποδούλων;
Οι Χριστιανοί υποχρεώνονταν να κατοικούν σε φτωχικές συνοικίες των πόλεων και
υπηρετούσαν στο στρατό μόνο σε βοηθητικές υπηρεσίες είτε ως ναύτες και οδηγοί.
Απαγορεύονταν επίσης οι λιτανείες.
Οι σοβαρές δικαστικές υποθέσεις που αφορούσαν Χριστιανούς, εξετάζονταν στα
μουσουλμανικά δικαστήρια(ιεροδικεία) και όχι στα εκκλησιαστικά δικαστήρια.
3)Πού γίνονταν πολύ σημαντικές διακρίσεις σε βάρος των Χριστιανών;
Πολύ σημαντικές διακρίσεις γίνονταν στην κατανομή των φόρων. Η Οθωμανική
Αυτοκρατορία ενδιαφερόταν εξαιρετικά για την είσπραξη τους, αφού σε αυτά τα
έσοδα από τη φορολογία στήριζε κατά ένα μεγάλο μέρος τη συντήρησή της.
Οι Χριστιανοί όμως πλήρωναν περισσότερους φόρους από τους Μουσουλμάνους.
Πλήρωναν πολλούς τακτικούς φόρους, όπως τον κεφαλικό φόρο, το φόρο της
εστίας για τις κατοικίες τους, τον έγγειο φόρο για τη χρήση της γης και τη δεκάτη
για την αγροτική παραγωγή.
Εκτός από τους τακτικούς φόρους, υπήρχαν και έκτακτοι φόροι.
Οι Χριστιανοί επίσης υποχρεώνονταν να κάνουν διάφορες αγγαρείες και όσοι ζούσαν
σε απομακρυσμένες περιοχές ,γίνονταν θύματα κακομεταχείρησης και
εκμετάλλευσης από τους τοπικούς διοικητές ,τους οποίους η κεντρική εξουσία δεν
μπορούσε εύκολα να τους ελέγξει.
4) Ποια ήταν τα πιο σκληρά μέτρα που αντιμετώπισαν οι Χριστιανοί, ιδιαίτερα
τους πρώτες αιώνες της κατάκτησης;
Ήταν οι σφαγές και οι αιχμαλωσίες, οι εξισλαμισμοί, το παιδομάζωμα και η
εγκατάσταση τουρκικών και άλλων φυλών σε εύφορα εδάφη με αποτέλεσμα οι
ελληνικοί πληθυσμοί να αναγκάζονται να μετακινούνται στο εξωτερικό ή σε
απομονωμένα και ορεινά μέρη στο εσωτερικό.
5) Ποιοι κατείχαν τις εύφορες εκτάσεις γης και ποιοι τις άγονες;
Οι περισσότεροι υπόδουλοι κατείχαν εκτάσεις γης σε άγονες περιοχές ή σε νησιά,
ενώ τα εύφορα κτήματα ανήκαν στο Σουλτάνο και τους Οθωμανούς
Άννα Πουλή1
Επιμέλεια: Χρήστος Χαρμπής http://st-taksh.blogspot.gr σελ.77
ΕΝΟΤΗΤΑ Β- ΚΕΦΑΛΑΙΟ 3
Η ΘΡΗΣΚΕΥΤΙΚΗ ΚΑΙ Η ΠΟΛΙΤΙΚΗ ΟΡΓΑΝΩΣΗ ΤΩΝ ΕΛΛΗΝΩΝ
ΕΡΩΤΗΣΕΙΣ- ΑΠΑΝΤΗΣΕΙΣ
1)Ποιοι αποτελούσαν τη θρησκευτική και πολιτική ηγεσία των υπόδουλων
Ελλήνων στη διάρκεια της οθωμανικής κυριαρχίας;
Την αποτελούσαν ο Πατριάρχης, οι Φαναριώτες και οι προεστοί ή δημογέροντες
2) Ποια ήταν η θέση και ο ρόλος του Οικουμενικού Πατριαρχείου κατά την
Τουρκοκρατία;
Κατά την Τουρκοκρατία διευρύνθηκαν ( έγιναν περισσότερες) οι αρμοδιότητες του
Οικουμενικού Πατριαρχείου της Κωνσταντινούπολης. Ο Πατριάρχης, εκτός από
θρησκευτικός ηγέτης , ήταν και εκπρόσωπος του ρουμ μιλέτ, δηλ. των υπόδουλων
Ορθόδοξων Χριστιανών και λογοδοτούσε ( ήταν δηλ. υπεύθυνος) στο Σουλτάνο για
τις πράξεις τους.
Έτσι την περίοδο της Τουρκοκρατίας η Εκκλησία δεν είχε μόνο θρησκευτικά
καθήκοντα, αλλά αποφάσιζε και για ποικίλες υποθέσεις , όπως π.χ. για τις
κληρονομιές. Παράλληλα ο Πατριάρχης είχε τη δυνατότητα να ιδρύει σχολεία και να
επιβάλλει ειδική φορολογία στους πιστούς.
3) Πώς αντιμετώπιζε ο ορθόδοξος κλήρος την τουρκική κατάκτηση;
Για κάποιους ορθόδοξους κληρικούς η τουρκική κατάκτηση ήταν θεραπεία σταλμένη
από το Θεό για τα σφάλματα των Βυζαντινών αυτοκρατόρων και του βυζαντινού
λαού.
Άλλοι πάλι ιεράρχες όπως ο Πατριάρχης Νεόφυτος ο Β΄ που είχαν επηρεαστεί από
τις ευρωπαϊκές ιδέες, αμφισβητούσαν την υποταγή στους Τούρκους.
Τέλος, υπήρχαν μέλη της Ορθόδοξης Εκκλησίας , όπως ο μοναχός Μάξιμος ο
Γραικός που αναγνωρίστηκε ως άγιος στη Μόσχα. που καλλιέργησαν περαιτέρω
σχέσεις με τη Ρωσία .Έτσι, οι Ρώσοι ταυτίστηκαν στη σκέψη των υπόδουλων
Χριστιανών, με το <<ξανθό γένος>>, που θα ελευθέρωνε την Κωνσταντινούπολη από
τους απίστους.
4) Ποιος ήταν ο ρόλος των Φαναριωτών στην πολιτική ηγεσία;
Οι Φαναριώτες που αποτελούσαν μια άλλη ηγετική ομάδα των Ελλήνων κατά την
περίοδο της Τουρκοκρατίας, είχαν αξιόλογη μόρφωση, γνώριζαν ξένες γλώσσες και
ανελάμβαναν υψηλά αξιώματα στην οθωμανική διοίκηση. Βέβαια, όπως και οι
ιεράρχες, ήταν απόλυτα εξαρτημένοι από τις διαθέσεις του κάθε Σουλτάνου.
5) Ποιος ο ρόλος των κοινοτικών αρχόντων στην πολιτική ηγεσία;
Οι κοινοτικοί άρχοντες της εποχής , γνωστοί ως επίτροποι, δημογέροντες,
προεστοί και κοτσαμπάσηδες, είχαν μεγάλη εξουσία. Αποτελούσαν την τοπική
ηγεσία κάθε χωριού που οι Τούρκοι αναγκάστηκαν να σεβαστούν, επειδή οι ίδιοι δεν
είχαν κατάλληλα οργανωμένο διοικητικό μηχανισμό, ώστε να ξέρουν πόσος φόρος
αναλογούσε σε κάθε κάτοικο.
Οι Προεστοί ή Δημογέροντες σε άλλα μέρη προέρχονταν από τις ισχυρές οικογένειες,
ενώ σε άλλα εκλέγονταν από τη συνέλευση των Χριστιανών. Συγκέντρωναν τους
φόρους από τους ομόθρησκους τους και τους παρέδιδαν στην τουρκική εξουσία Με
το πέρασμα του χρόνου, αρκετοί κοινοτικοί άρχοντες απέκτησαν μεγάλη περιουσία
και πολιτική δύναμη.
Άννα Πουλή
Επιμέλεια: Χρήστος Χαρμπής http://st-taksh.blogspot.gr σελ.78
ΚΕΦΑΛΑΙΟ 4ο
– ΕΝΟΤΗΤΑ Β: ΟΙ ΚΛΕΦΤΕΣ ΚΑΙ ΟΙ ΑΡΜΑΤΟΛΟΙ
ΕΡΩΤΗΣΕΙΣ- ΑΠΑΝΤΗΣΕΙΣ
1) Ποιες περιοχές έμειναν γνωστές για το αδούλωτο πνεύμα τους στη
διάρκεια της οθωμανικής κυριαρχίας;
Οι περιοχές αυτές ήταν το Σούλι στην Ήπειρο, η Μάνη στην Πελοπόννησο και τα
Σφακιά στην Κρήτη, που κατάφεραν μάλιστα να διατηρήσουν σχετική ελευθερία.
2) Υπήρξαν Έλληνες που αντιστάθηκαν στην Οθωμανική κυριαρχία;
Πολλοί ήταν οι Έλληνες που αντιστάθηκαν στην Οθωμανική κυριαρχία, συνεχίζοντας
την παράδοση των πολεμιστών του Βυζαντίου. Ένας από τους σημαντικότερους
πολεμιστές ήταν ο Κορκόδειλος Κλαδάς που είχε για ορμητήριό του τη Μάνη ,μια
από τις περιοχές που δεν υποτάχτηκαν στους Τούρκους.
3) Τι ήταν οι Κλέφτες;
Ήταν ένοπλοι Έλληνες κατά την περίοδο της Τουρκοκρατίας. Ζούσαν στην ύπαιθρο
και είχαν τα λημέρια τους ( τα κρησφύγετά τους) σε μέρη δύσβατα (δυσκολοπάτητα).
Ήταν οργανωμένοι σε μικρές ομάδες, η καθεμιά με τον καπετάνιο της και το δικό
της μπαϊράκι (σημαία, λάβαρο).
Βασικό τους χαρακτηριστικό ήταν η εχθρότητα που ένιωθαν για τους Τούρκους και
γενικά για την εξουσία. Οι Αρχές τούς αντιμετώπιζαν σαν κακούργους, όμως ο λαός
θαύμαζε το ελεύθερο φρόνημά τους κι έκαμε τραγούδι τη ζωή και τα κατορθώματά
τους. Έτσι οι κλέφτες έγιναν λαϊκοί ήρωες.
4) Πώς ήταν η ζωή των κλεφτών και με ποιο τρόπο πολεμούσαν;
Η ζωή των κλεφτών ήταν γεμάτη κακουχίες και στερήσεις. Στα σαράντα τους χρόνια
οι περισσότεροι ήταν γέροι, λίγοι όμως πέθαναν από φυσικό θάνατο. Συχνά
αναγκάζονταν να αλλάξουν λημέρι για μεγαλύτερη ασφάλεια και πάντα έβαζαν γύρω
τους καραούλια, δηλαδή σκοπιές. Στις συγκρούσεις τους με τους Τούρκους έστηναν
ενέδρες ή έκαναν αιφνιδιασμούς. Αυτός ο τρόπος πολέμου ονομάστηκε
κλεφτοπόλεμος.
Άννα Πουλή1
Επιμέλεια: Χρήστος Χαρμπής http://st-taksh.blogspot.gr σελ.79
5) Τι ήταν οι Αρματολοί;
Προκειμένου να αντιμετωπίσουν τους κλέφτες και να αποκαταστήσουν την ασφάλεια
στην ύπαιθρο, οι Οθωμανοί Τούρκοι χρησιμοποιούσαν ένοπλους Έλληνες, τους
αρματολούς. Αυτοί αναλάμβαναν τη φύλαξη μιας περιοχής, που λεγόταν αρματολίκι.
Τις περισσότερες φορές το οθωμανικό κράτος έδινε τα αρματολίκια σε ξακουστούς
κλέφτες, που δεν μπορούσε να τους υποτάξει αλλιώς. Ωστόσο οι Αρματολοί, παρόλο
που ήταν βοηθητικά στρατεύματα των Τούρκων, συνεργάζονταν συνήθως με τους
κλέφτες. Έτσι παρατηρήθηκε το φαινόμενο ιδιαίτερα κατά τους τελευταίους αιώνες
της Τουρκοκρατίας, πολλοί αρματολοί να εγκαταλείπουν τις θέσεις τους και να
ενώνονται με τους κλέφτες, με αποτέλεσμα οι λέξεις κλέφτης και αρματολός να
σημαίνουν το ίδιο πράγμα.
6) Ποιους φημισμένους αρματολούς γνωρίζεις;
Φημισμένοι αρματολοί ήταν ο Γεώργιος Ανδρίτζος, ο Κατσαντώνης στη Ρούμελη,
ο Νικοτσάρας στον Όλυμπο, οι Σουλιώτες Γεώργιος Μπότσαρης και Λάμπρος
Τζαβέλλας και πολλοί άλλοι. Αρκετοί από τους γιους, τους συγγενείς ή τα
πρωτοπαλίκαρά τους συμμετείχαν αργότερα στη Μεγάλη Επανάσταση του 1821.
7) Τι προσέφεραν οι κλέφτες και οι αρματολοί στους σκλαβωμένους
ραγιάδες;
Οι κλέφτες και οι αρματολοί με τη δράση και τα κατορθώματά τους έδιναν κουράγιο
στους σκλαβωμένους Έλληνες και συντηρούσαν την ελπίδα για την ανάσταση του
Γένους. Κι όταν ήρθε η ώρα του μεγάλου ξεσηκωμού, αυτοί αποτέλεσαν τον πυρήνα
των αγωνιστών της ελευθερίας.
Άννα Πουλή2
Επιμέλεια: Χρήστος Χαρμπής http://st-taksh.blogspot.gr σελ.80
ΕΝΟΤΗΤΑ Β –ΚΕΦΑΛΑΙΟ 5 : Η ΟΙΚΟΝΟΜΙΚΗ ΖΩΗ
ΕΡΩΤΗΣΕΙΣ- ΑΠΑΝΤΗΣΕΙΣ
1) Πού βασιζόταν η οικονομία της Οθωμανικής αυτοκρατορίας πριν
την παρακμή της;
Βασιζόταν κυρίως στη γεωργία και την κτηνοτροφία. Καλλιεργούνταν
σιτάρι, κριθάρι, βαμβάκι, καπνός, λάδι, σταφίδα. Η παραγωγή
ικανοποιούσε κυρίως τις ανάγκες του σπιτιού. Όσα προϊόντα τους
περίσσευαν, οι γεωργοί τα πουλούσαν στις τοπικές αγορές ή τα διέθεταν
στο εξωτερικό, με αντάλλαγμα κυρίως βιομηχανικά εργαλεία και άλλα
προϊόντα.
Οι κτηνοτρόφοι, είτε ζούσαν μόνιμα σε ένα μέρος είτε ήταν νομάδες (
μετακινούνταν διαρκώς για την επιβίωση τους) πρόσφεραν μαζί με
τους αγρότες πρώτες ύλες στη βιοτεχνία για την παραγωγή νημάτων και
υφαντών.
2)Ποιοι λόγοι οδήγησαν στη σταδιακή παρακμή της Οθωμανικής
Αυτοκρατορίας;
Οι γεωγραφικές ανακαλύψεις, η χρήση νέων εμπορικών δρόμων και
ο τερματισμός των κατακτήσεων συνέβαλαν στην παρακμή της
Οθωμανικής Αυτοκρατορίας. Οι έμποροι από τη Δυτική Ευρώπη δεν
ήταν υποχρεωμένοι πλέον να περνούν από το έδαφός της για να πάνε στη
Ινδία ή την Κίνα. Έτσι τα έσοδα του οθωμανικού κράτους από τους
φόρους του εμπορίου σταδιακά μειώθηκαν και το νόμισμα του
υποτιμήθηκε( μειώθηκε η αξία του).
3)Σε τι ωφέλησε τους Έλληνες η παρακμή της Οθωμανικής
Αυτοκρατορίας;
Όσο παρήκμαζε το οθωμανικό κράτος η οικονομική δραστηριότητα
(κυρίως η εμπορική) άρχισε να περνά προοδευτικά στα χέρια των
Ελλήνων που πλούτισαν από αυτήν.
4) Ποιοι άλλοι παράγοντες ωφέλησαν τους Έλληνες;
Οι συνθήκες του Κάρλοβιτς (1699) και του Κιουτσούκ Καϊναρτζή
(1774),που υπέγραψε η ηττημένη Οθωμανική Αυτοκρατορία με την
Αυστρία και τη Ρωσία αντίστοιχα ,έδωσαν το δικαίωμα στις χώρες αυτές
να επηρεάζουν τις εξελίξεις στο εσωτερικό της.
Άννα Πουλή1
Επιμέλεια: Χρήστος Χαρμπής http://st-taksh.blogspot.gr σελ.81
5) Πώς ευνοήθηκε το ελληνικό εμπόριο και η ναυσιπλοϊα;
Οι Διομολογήσεις, δηλαδή οι εμπορικές συμφωνίες που έκαναν οι
δυτικές χώρες με τους Οθωμανούς Σουλτάνους, ευνόησαν το ελληνικό
εμπόριο και τη ναυσιπλοϊα , αφού έδωσαν τη δυνατότητα στους
Έλληνες να υψώνουν στα καράβια τους τις σημαίες των χωρών
αυτών.
6) Ποιες άλλες εξελίξεις βελτίωσαν τη θέση των Ελλήνων παραμονές
της Μεγάλης Επανάστασης του 1821;
Η μεγάλη οικονομική άνθηση, ο πολυάριθμος εμπορικός στόλος και
οι εύπορες παροικίες του εξωτερικού. Ας τα δούμε αναλυτικά:
α) Οι Έλληνες έμποροι ευνοημένοι από τις Διομολογήσεις, επέκτειναν τις
δραστηριότητες τους στην Κεντρική και Δυτική Ευρώπη καθώς και τη
Ρωσία και ίδρυσαν στα μέρη αυτά σημαντικές παροικίες(ελληνικές
κοινότητες σε ξένο κράτος). Έτσι ανέλαβαν μεγάλο μέρος του
εισαγωγικού και εξαγωγικού εμπορίου της Δύσης με την Ανατολή,
κερδίζοντας πολλά πλούτη. Μαζί όμως με τα αγαθά έφταναν στην
Οθωμανική Αυτοκρατορία και οι επαναστατικές ιδέες που επικρατούσαν
στη Ευρώπη την εποχή εκείνη.
β) Παράλληλα σχηματίστηκε ένας αξιόλογος εμπορικός στόλος, με
πληρώματα έμπειρα στη ναυσιπλοϊα και στην αντιμετώπιση των
πειρατών.
γ) Μεγάλες πόλεις, όπως η Κοζάνη, η Μοσχόπολη, τα Ιωάννινα, η
Θεσσαλονίκη αλλά και νησιά, όπως η Χίος, η Ύδρα και τα Ψαρά,
έγιναν σημαντικά κέντρα του ελληνικού εμπορίου
Από τους πλούσιους αυτούς εμπόρους αναδείχθηκαν εκείνοι που
πρωταγωνίστησαν αργότερα στο μεγάλο ξεσηκωμό του Γένους μαζί με
τους υπόλοιπους παραδοσιακούς ηγέτες του υπόδουλου ελληνισμού.
Άννα Πουλή2
Επιμέλεια: Χρήστος Χαρμπής http://st-taksh.blogspot.gr σελ.82
ΕΝΟΤΗΤΑ Β-ΚΕΦΑΛΑΙΟ 6: ΟΙ ΕΛΛΗΝΕΣ ΤΩΝ ΠΑΡΟΙΚΙΩΝ ΚΑΙ ΤΩΝ
ΠΑΡΑΔΟΥΝΑΒΙΩΝ ΗΓΕΜΟΝΙΩΝ
ΕΡΩΤΗΣΕΙΣ- ΑΠΑΝΤΗΣΕΙΣ
1)Σε πόσες χρονικές περιόδους πραγματοποιήθηκε μετανάστευση
Ελλήνων στο εξωτερικό, κατά τη διάρκεια της Τουρκοκρατίας;
Σε δύο χρονικές περιόδους. Από τον 15ο
–τον 16ο
αιώνα η πρώτη
μετανάστευση και κατά τον 17ο
και 18ο
αιώνα η δεύτερη.
2) Τι γνωρίζεις για την πρώτη μετανάστευση;
Η μετανάστευση που πραγματοποιήθηκε από τον 15ο
-16ο
αιώνα ήταν
συνήθως υποχρεωτική. Λόγιοι, ευγενείς και στρατιώτες άλλες φορές
μόνοι τους και άλλες φορές συνοδευόμενοι από τις οικογένειες τους,
εγκατέλειψαν την υπόδουλη Ελλάδα λόγω των πολεμικών
συγκρούσεων και της επέκτασης των Τούρκων.
3)Από πού κατάγονταν οι περισσότεροι Έλληνες που αναγκάστηκαν να
μεταναστεύσουν και πού πήγαν να εγκατασταθούν;
Οι περισσότεροι κατάγονταν από νησιά (Κύπρος, Κρήτη) ή
παραθαλάσσια μέρη (Μονεμβασιά ,Μάνη, Ναύπλιο, Ήπειρος) και
εγκαταστάθηκαν κυρίως σε παραθαλάσσιες πόλεις της Ιταλίας
καθώς και σε άλλα μέρη της Ευρώπης, ιδρύοντας παροικίες.
4) Ποια επαγγέλματα εξασκούσαν συνήθως οι Έλληνες μετανάστες;
Εξασκούσαν συνήθως το επάγγελμα του στρατιώτη, του ναυτικού, του
εμπόρου, του αντιγραφέα χειρογράφων καθώς και του δασκάλου σε
ανώτατα εκπαιδευτικά ιδρύματα.
5) Τι γνωρίζεις για τη δεύτερη μετανάστευση;
Η δεύτερη μετανάστευση που πραγματοποιήθηκε κατά τον 17ο
και 18ο
αιώνα, ήταν εθελοντική και ειρηνική και τα αίτιά της ήταν
οικονομικά.
Αυτή τη φορά οι Έλληνες μετανάστες εγκαταστάθηκαν σε αρκετές
πόλεις κατά μήκος εμπορικών δρόμων όπου τα εμπορεύματα
μεταφέρονταν από την Οθωμανική Αυτοκρατορία προς την Κεντρική
Ευρώπη και τη Ρωσία με καραβάνια( ομάδες ανθρώπων, συνήθως
εμπόρων που ταξίδευαν μαζί για λόγους ασφάλειας) που διέσχιζαν τα
Βαλκάνια.
Άννα Πουλή1
Επιμέλεια: Χρήστος Χαρμπής http://st-taksh.blogspot.gr σελ.83
6) Κατά την περίοδο της δεύτερης μετανάστευσης ανάφερε τις περιοχές
από τις οποίες μετακινήθηκαν Έλληνες και τις περιοχές στις οποίες
εγκαταστάθηκαν και δραστηριοποιήθηκαν.
Έλληνες από τον Πόντο μετακινήθηκαν στον Καύκασο και την
Κριμαία ιδρύοντας παροικίες με γνωστότερη την Οδησσό.
Έλληνες από τη Μακεδονία εγκαταστάθηκαν κυρίως στη Βιέννη, την
Τεργέστη, τη Σερβία και την Ουγγαρία, όπου ασχολήθηκαν με το
εμπόριο βαμβακερών, δερμάτων, χαλιών και άλλων ειδών.
Τέλος, αρκετοί Έλληνες δραστηριοποιήθηκαν στις Παραδουνάβιες
Ηγεμονίες, τη Βλαχία και τη Μολδαβία, περιοχές που κυβερνούσαν
Φαναριώτες ηγεμόνες.
7)Ποιο ήταν το πρώτο μέλημα των Ελλήνων μεταναστών στη νέα τους
πατρίδα;
Ήταν η ανέγερση ναού για να τελούν τα θρησκευτικά τους καθήκοντα
και η σύνταξη καταστατικού, για τον τρόπο οργάνωσης της κοινότητάς
τους.
8) Τι αναγράφονταν στο καταστατικό;
Αναγράφονταν οι σκοποί, η οργάνωση, τα δικαιώματα και οι
υποχρεώσεις των μελών της κοινότητας.
9)Για τι άλλο φρόντιζαν οι Έλληνες μετανάστες στη νέα τους πατρίδα;
Φρόντιζαν να χτιστούν μοναστήρια αλλά και κοινοτικά σχολεία. Τότε
ιδρύθηκε το Φλαγγινιανό Φροντιστήριο στη Βενετία. Φρόντιζαν
επίσης για την έκδοση ελληνικών βιβλίων, περιοδικών και
εφημερίδων.
10) Πώς ονομάστηκαν οι Έλληνες μετανάστες που ίδρυσαν παροικίες
στο εξωτερικό και ποια η προσφορά τους στο υπόδουλο έθνος;
Ονομάστηκαν Έλληνες της Διασποράς. Αυτοί με τα πλούτη που
απέκτησαν, ενίσχυαν οικονομικά τα ελληνικά σχολεία στις
τουρκοκρατούμενες περιοχές και κατασκεύαζαν πολυτελείς κατοικίες
στους τόπους καταγωγής τους(π.χ. στη Σιάτιστα, την Καστοριά, την
Κοζάνη, τα Ζαγοροχώρια και τα χωριά του Πηλίου), τα λεγόμενα
αρχοντικά.
Από τους Έλληνες των παροικιών ξεκίνησε κατά τον 18ο
αιώνα η
πνευματική αναγέννηση του υπόδουλου έθνους.
Άννα Πουλή2
Επιμέλεια: Χρήστος Χαρμπής http://st-taksh.blogspot.gr σελ.84
ΕΝΟΤΗΤΑ Β- ΚΕΦΑΛΑΙΟ 7ο
- ΟΙ ΔΑΣΚΑΛΟΙ ΤΟΥ ΓΕΝΟΥΣ
ΕΡΩΤΗΣΕΙΣ- ΑΠΑΝΤΗΣΕΙΣ
1) Ποιους ονομάζουμε δάσκαλους του Γένους;
Ονομάζουμε δάσκαλους του Γένους τους μορφωμένους Έλληνες που
κατά την περίοδο της Τουρκοκρατίας βοήθησαν είτε με την
προφορική διδασκαλία τους είτε με τα κείμενα τους να καλλιεργηθεί
η ελληνική παιδεία. Αρκετοί από αυτούς ήταν κληρικοί ή έγιναν
αργότερα.
2) Πού σπούδασαν οι δάσκαλοι του Γένους, πού δίδασκαν και τι
πέτυχαν με το έργο τους;
Κάποιοι σπούδασαν στην τουρκοκρατούμενη Ελλάδα, ενώ άλλοι στα
Ιόνια Νησιά, στις Παραδουνάβιες Ηγεμονίες και στο εξωτερικό.
Δίδασκαν σε ναούς, σε σχολεία και σε δημόσιους χώρους. Έγραφαν
επίσης επιστολές και άρθρα σε περιοδικά και εφημερίδες αλλά και
ολόκληρα βιβλία, που τα τύπωναν με την υποστήριξη της Εκκλησίας,
των Φαναριωτών ηγεμόνων ή φιλομαθών εμπόρων.
Με το έργο τους βοήθησαν να ιδρυθούν σχολεία και να τονωθεί η
ελληνική παιδεία, να αναπτυχθεί ο Φιλελληνισμός στη Δύση και
προετοίμασαν ιδεολογικά τη Μεγάλη Επανάσταση του 1821.
3) Τι ονομάζουμε Φιλελληνισμό;
Το κίνημα των ξένων που αγαπούσαν τους Έλληνες και τον ελληνικό
πολιτισμό.
4) Τι εννοούμε όταν λέμε ότι οι δάσκαλοι του Γένους προετοίμασαν
ιδεολογικά τη Μεγάλη Επανάσταση ;
Εννοούμε πως διέδωσαν και καλλιέργησαν τις επαναστατικές ιδέες
στο λαό.
5) Τι ονομάζουμε Νεοελληνικό Διαφωτισμό;
Νεοελληνικό Διαφωτισμό αποκαλούμε την πνευματική
δραστηριότητα κατά την οποία οι νέες φιλελεύθερες και
ριζοσπαστικές ιδέες του Ευρωπαϊκού Διαφωτισμού, που
κυριαρχούσαν στη Δυτική Ευρώπη το 18ο
αιώνα και στις αρχές του
Άννα Πουλή1
Επιμέλεια: Χρήστος Χαρμπής http://st-taksh.blogspot.gr σελ.85
19ου
αιώνα, έφτασαν και στην ελληνική Χερσόνησο και δυνάμωσαν
την επαναστατική διάθεση των υπόδουλων Ελλήνων.
6) Ανάφερε μερικούς εκπροσώπους του Νεοελληνικού
Διαφωτισμού.
Δημήτριος Καταρτζής( Φαναριώτης νομικός), Ευγένιος Βούλγαρης
(από την Κέρκυρα, δίδαξε στην Αθωνιάδα Σχολή φιλοσοφία και
μαθηματικά),Γρηγόριος Κωνσταντάς και Δανιήλ Φιλιππίδης(ξαδέρφια
από τη Θεσσαλία που έγραψαν στη δημοτική γλώσσα τη «Γεωγραφία
Νεωτερική»), Μιχαήλ Περδικάρης( Κοζανίτης γιατρός που σατίρισε σε
πεζά και σε στίχους πρόσωπα και γεγονότα της εποχής του).
7) Τι γνωρίζεις για την «Ελληνική Νομαρχία»;
Η «Ελληνική Νομαρχία» είναι ένα σημαντικό κείμενο του
Νεοελληνικού Διαφωτισμού που εκδόθηκε το 1806 στη Ιταλία, ο
συγγραφέας του είναι άγνωστος και είναι αφιερωμένο στο Ρήγα
Βελεστινλή. Στο κείμενο αυτό καταδικάζεται η «αναρχία» και η
«μοναρχία» και προβάλλεται ως ιδανική διοίκηση η «νομαρχία»,
δηλαδή το πολίτευμα όπου εξουσιάζουν οι νόμοι.
8) Τι γνωρίζεις για τον άγιο Κοσμά τον Αιτωλό;
Ο άγιος Κοσμάς ο Αιτωλός ήταν ένας δάσκαλος του Γένους που
κατάφερε να συνδυάσει το πνεύμα του Νεοελληνικού Διαφωτισμού
και της παιδείας με τη θρησκευτική πίστη και την εθνική συνείδηση.
Ήταν μορφωμένος μοναχός του Αγίου Όρους, ιεροκήρυκας και
μάρτυρας. Όργωσε την Ελλάδα διδάσκοντας και ιδρύοντας σχολεία.
Ο λαός τον λάτρευε και τον τιμούσε σαν άγιο. Πέθανε με μαρτυρικό
θάνατο στην Ήπειρο (1779).
Άγιος Κοσμάς ο Αιτωλός Ευγένιος Βούλγαρης
Άννα Πουλή2
Επιμέλεια: Χρήστος Χαρμπής http://st-taksh.blogspot.gr σελ.86
ΕΝΟΤΗΤΑ Β- ΚΕΦΑΛΑΙΟ 8ο
Ο ΡΗΓΑΣ ΒΕΛΕΣΤΙΝΛΗΣ ΚΑΙ Ο ΑΔΑΜΑΝΤΙΟΣ ΚΟΡΑΗΣ
ΕΡΩΤΗΣΕΙΣ-ΑΠΑΝΤΗΣΕΙΣ
1) Ανάμεσα στους δάσκαλους του Γένους ποιοι ξεχωρίζουν για τη
δράση τους;
Ξεχωρίζουν ο λόγιος επαναστάτης Ρήγας Βελεστινλής και ο φημισμένος
ακόμη και στην Ευρώπη Έλληνας φιλόλογος, ο Αδαμάντιος Κοραής.
2) Τι γνωρίζεις για τη ζωή του Ρήγα Βελεστινλή;
Ήταν γιος εμπόρου. Γεννήθηκε το 1757 στο Βελεστίνο της
Θεσσαλίας, το οποίο στην αρχαιότητα ονομαζόταν Φερές. Σε νεαρή
ηλικία μπήκε στη υπηρεσία των Φαναριωτών στην
Κωνσταντινούπολη και έπειτα μετανάστευσε στο Βουκουρέστι, ως
γραμματέας του ηγεμόνα της Βλαχίας. Εκεί επηρεάστηκε από τις
ευρωπαϊκές ριζοσπαστικές ιδέες, βάζοντας σκοπό να απελευθερώσει
την πατρίδα του. Το 1790 ταξίδεψε στη Βιέννη .Η επαναστατική του
δράση έγινε γρήγορα γνωστή και προκάλεσε την αντίδραση της
Αυστρίας που τότε είχε καλές σχέσεις με την Οθωμανική Αυτοκρατορία.
Οι Αυστριακοί συνέλαβαν το Ρήγα και συνεργάτες του, το Δεκέμβριο
του 1797.Λίγους μήνες αργότερα τον παρέδωσαν μαζί με επτά
συντρόφους του στους Τούρκους, οι οποίοι τους θανάτωσαν και τους
έριξαν στον ποταμό Δούναβη.
3) Τι περιλαμβάνει το συγγραφικό και εκδοτικό του έργο;
Το συγγραφικό και εκδοτικό του έργο είναι μεγάλο. Ο Ρήγας εξέδωσε
γαλλικά μυθιστορήματα μεταφρασμένα στη δημοτική γλώσσα, ένα
βιβλίο Φυσικής για σχολική χρήση, έναν τεράστιο χάρτη της
Ελλάδας, την περίφημη «Χάρτα της Ελλάδος», μια εικόνα του
Μεγάλου Αλεξάνδρου και πολλά άλλα. Ο Θούριος είναι ένα φλογερός
επαναστατικό ύμνος που συγκίνησε πολλούς νέους της εποχής και
έγινε σύμβολο του αγώνα για την ελευθερία.
4) Ποιο ήταν το όραμα του Ρήγα;
Ο Ρήγας οραματιζόταν τη συνεργασία των υπόδουλων βαλκανικών
λαών για την απελευθέρωσή τους από τους Τούρκους και τη
δημιουργία ενός δημοκρατικού κράτους που θα διοικούνταν με
δίκαιους νόμους. Στο κράτος αυτό θα κυριαρχούσε η ελληνική
γλώσσα και παιδεία.
5) Τι γνωρίζεις για τη ζωή του Αδαμάντιου Κοραή;
Άννα Πουλή1
Επιμέλεια: Χρήστος Χαρμπής http://st-taksh.blogspot.gr σελ.87
Ο Αδαμάντιος Κοραής καταγόταν από πλούσια οικογένεια της Χίου ,
αλλά γεννήθηκε στη Σμύρνη. Αρχικά φοίτησε στην Ευαγγελική Σχολή
της Σμύρνης, ενώ αργότερα εγκαταστάθηκε μόνιμα στη Γαλλία, όπου
σπούδασε ιατρική. Έζησε από κοντά τη Γαλλική Επανάσταση και
επηρεάστηκε από τις φιλελεύθερες ιδέες της. Πίστευε στην
ανθρώπινη λογική. Βοήθησε σημαντικά στον επαναστατικό αγώνα
των υπόδουλων Ελλήνων.
6) Ποιο είναι το συγγραφικό έργο του Κοραή;
Ο Κοραής ασχολήθηκε κυρίως με την αντιγραφή, την επιμέλεια και
τη δημοσίευση των χειρογράφων αρχαίων Ελλήνων συγγραφέων.
7)Ποια ήταν η άποψη του σχετικά με την απελευθέρωση του ελληνικού
έθνους;
Πίστευε ότι για να ελευθερωθεί το ελληνικό έθνος, έπρεπε πρώτα να
φωτιστεί διαμέσου της παιδείας, με κατάλληλη όμως μέθοδο
διδασκαλίας και χρησιμοποιώντας μια νέα ελληνική γλώσσα, με
απλούστερη μορφή από την αρχαία.
8)Ποιες είναι οι θεωρίες του για τη γλώσσα;
Πρότεινε τη χρήση μιας γλώσσας που θα είχε ως βάση της την
καθομιλουμένη γλώσσα της εποχής, από την οποία όμως θα είχαν
αφαιρεθεί οι ξένες λέξεις ακόμα και οι διάφορες ιδιωματικές
εκφράσεις.
9)Ποια η συμβολή του στη Μεγάλη Επανάσταση;
Ο Κοραής βοήθησε στην ιδεολογική προετοιμασία της Μεγάλης
Επανάστασης, π.χ. με το ποίημα του «Σάλπισμα Πολεμιστήριον»,
αλλά και κατά τη διάρκειά της γράφοντας συμβουλευτικές επιστολές.
Επίσης βοήθησε στην ίδρυση φιλελληνικής οργάνωσης στο Παρίσι
με την ονομασία Ελληνικό Κομιτάτο.
Άννα Πουλή2
Επιμέλεια: Χρήστος Χαρμπής http://st-taksh.blogspot.gr σελ.88
ΕΝΟΤΗΤΑ Β- ΚΕΦΑΛΑΙΟ 9 : ΤΑ ΚΥΡΙΟΤΕΡΑ ΕΠΑΝΑΣΤΑΤΙΚΑ
ΚΙΝΗΜΑΤΑ
ΕΡΩΤΗΣΕΙΣ- ΑΠΑΝΤΗΣΕΙΣ
1)Στη διάρκεια της Τουρκοκρατίας οι υπόδουλοι Έλληνες είχαν
προσπαθήσει να απελευθερωθούν;
Στη διάρκεια της Τουρκοκρατίας οι Έλληνες έκαναν πολλές εξεγέρσεις
εναντίον των Οθωμανών. Τις περισσότερες από αυτές τις υποκινούσαν
ευρωπαϊκές δυνάμεις που βρίσκονταν σε πόλεμο με τους Τούρκους και
προσπαθούσαν με τον τρόπο αυτό να διασπάσουν τον τουρκικό στρατό
και να τον αποδυναμώσουν.
2)Τα επαναστατικά αυτά κινήματα πριν την Επανάσταση του 1821,
έφτασαν στο σκοπό τους; Ναι ή όχι και γιατί;
Τα κινήματα αυτά παρόλο που είχαν κάποιες επιτυχίες δεν κατάφεραν να
φτάσουν στο σκοπό τους, γιατί ήταν ανοργάνωτα και τοπικά
περιορισμένα.
3)Πότε ξεκίνησαν οι προσπάθειες για απελευθέρωση και από ποιους;
Το 16ο
αιώνα πολλοί Κερκυραίοι, Κρητικοί και Μανιάτες πολέμησαν
τους Οθωμανούς Τούρκους είτε στο πλευρό των Βενετών και των
Ισπανών είτε μόνοι τους, στην ξηρά και στη θάλασσα. Μάλιστα, στη
ναυμαχία της Ναυπάκτου το 1571 όπου ο τουρκικός στόλος
καταστράφηκε ολοκληρωτικά από τους Δυτικούς, συμμετείχαν και
ελληνικά πλοία.
4) Στη διάρκεια του 17ου
αιώνα ποιες αξιόλογες προσπάθειες για
απελευθέρωση έγιναν;
Το 1600 ο Μητροπολίτης Λαρίσης Διονύσιος ο Φιλόσοφος ξεσήκωσε
τους υπόδουλους Έλληνες στην ορεινή Θεσσαλία. Το κίνημα του όμως
απέτυχε και ο ίδιος διέφυγε στη Ρώμη και έπειτα στην Ισπανία ζητώντας
ενισχύσεις. Εννέα χρόνια αργότερα επέστρεψε στην τουρκοκρατούμενη
Ελλάδα, ξεσηκώνοντας τους κατοίκους της Θεσπρωτίας. Οι Τούρκοι
κατέπνιξαν το κίνημά του και τον ίδιο τον έπιασαν και τον θανάτωσαν με
μαρτυρικό θάνατο. Εξαιτίας των συνεπειών των αποτυχημένων
κινημάτων του οι εχθροί του τον αποκαλούσαν ειρωνικά «Σκυλόσοφο».
5) Από την πλευρά των Βενετών ποια προσπάθεια έγινε ;
Οι Βενετοί πολιόρκησαν την Αθήνα και το 1699 κατέλαβαν σχεδόν
όλη την Πελοπόννησο. Όμως μετά από δύο δεκαετίες αυτή πέρασε ξανά
στην κατοχή των Οθωμανών και από τότε η Βενετία έπαψε να παίζει
ενεργό ρόλο στις ελληνικές υποθέσεις.
6) Στα τέλη του 18ου
αιώνα οι ελπίδες των υπόδουλων Ελλήνων
αναπτερώθηκαν καθώς ανέλαβε δράση η Ρωσία. Ποιες
επαναστατικές ενέργειες σημειώθηκαν τότε και ποια τα
αποτελέσματά τους;
Η πρώτη επαναστατική προσπάθεια στα τέλη του 18ου
αιώνα ,άρχισε
το 1769 κι έμεινε γνωστή ως «Ορλωφικά», από το όνομα των Ορλώφ,
Άννα Πουλή1
Επιμέλεια: Χρήστος Χαρμπής http://st-taksh.blogspot.gr σελ.89
Ρώσων αρχηγών του κινήματος. Η Ρωσία που τότε βρισκόταν σε πόλεμο
με την Τουρκία, για να στρέψει την προσοχή του αντιπάλου της αλλού,
ξεσήκωσε τους Έλληνες. Η επανάσταση απλώθηκε γρήγορα στην
Πελοπόννησο, κι έφτασε και στη Στερεά. Οι επαναστάτες όμως
νικήθηκαν και έπαθαν μεγάλες συμφορές. Πιο πολύ πλήρωσε η
Πελοπόννησος.( Η φράση «ο κατακαημένος Μοριάς» έχει μείνει από την
εποχή εκείνη).
Παράλληλα ο πρόκριτος Ιωάννης Βλάχος( Δασκαλογιάννης)
ξεσήκωσε τα Σφακιά της Κρήτης και στη ναυμαχία του Τσεσμέ (στη
σημερινή Τουρκία απέναντι από τη Χίο)ο ολιγάριθμος ορθόδοξος
στόλος νίκησε τους Οθωμανούς.
Οι συγκρούσεις τερματίστηκαν με τη Συνθήκη του Κιουτσούκ
Καϊναρτζή το 1774.
Άλλη επαναστατική προσπάθεια πραγματοποιήθηκε λίγο αργότερα
(1788) με αρχηγό το Λάμπρο Κατσώνη, αξιωματικό του ρωσικού
στρατού. Ο Κατσώνης κατάφερε με το μικρό του στόλο να
κυριαρχήσει στο Αιγαίο και να γίνει ο φόβος και ο τρόμος των
Τούρκων και των πειρατών. Στις ναυτικές επιχειρήσεις ήταν μαζί του
και ο κλέφτης Γεώργιος Ανδρίτσος, πατέρας του Οδυσσέα Ανδρούτσου,
ήρωα της Επανάστασης. Όμως η Ρωσία που είχε κινήσει την
επανάσταση, έκαμε πάλι ειρήνη με τους Τούρκους και ο Κατσώνης
εγκαταλείφθηκε , αφού προηγουμένως ο στόλος του έπαθε πανωλεθρία
από τον τουρκικό ,έξω από τα στενά της Άνδρου.
7) Γιατί ήταν σημαντική η συνθήκη του Κιουτσούκ Καϊναρτζή ;
Η συνθήκη αυτή ήταν πολύ σημαντική , αφού η Ρωσία θεώρησε πως
απέκτησε το δικαίωμα να παρεμβαίνει στα εσωτερικά της Οθωμανικής
Αυτοκρατορίας, προκειμένου να προστατεύσει τους Χριστιανούς που
ζούσαν εκεί. Επίσης οι Έλληνες έμποροι απέκτησαν το δικαίωμα να
υψώνουν στα καράβια τους τη ρωσική σημαία.
8) Πού αλλού στράφηκαν οι ελπίδες των Ελλήνων για απελευθέρωση
στα τέλη του 18ου
αιώνα και γιατί;
Στράφηκαν και προς τους Γάλλους του Ναπολέοντα, λόγω της διάδοσης
των φιλελεύθερων ιδεών της Γαλλικής Επανάστασης. Τον επαναστατικό
αναβρασμό ενίσχυσαν και διάφορα δημοσιεύματα Ελλήνων
Διαφωτιστών υπέρ των Γάλλων. Γρήγορα όμως και οι ελπίδες αυτές
διαψεύστηκαν.
9) Τι συνειδητοποίησαν οι Έλληνες στις αρχές του 1800( 19ο
αι.);
Αρχές του 19ου
αι. συνειδητοποίησαν οι Έλληνες, μετά από όλα όσα
είχαν γίνει, ότι για να απελευθερωθούν έπρεπε να στηριχτούν στις δικές
τους δυνάμεις.
Άννα Πουλή2
Επιμέλεια: Χρήστος Χαρμπής http://st-taksh.blogspot.gr σελ.90
ΕΝΟΤΗΤΑ Β - ΚΕΦΑΛΑΙΟ 10: ΟΙ ΑΓΩΝΕΣ ΤΩΝ ΣΟΥΛΙΩΤΩΝ
ΕΡΩΤΗΣΕΙΣ-ΑΠΑΝΤΗΣΕΙΣ
1) Ποιοι ήταν οι Σουλιώτες ;
Οι Σουλιώτες ήταν οι κάτοικοι του Σουλίου, μιας από τις τρεις περιοχές
της Ελλάδας που είχαν καταφέρει να διατηρήσουν σχετική ελευθερία (οι
άλλες ήταν η Μάνη και τα Σφακιά).Οι ανυπότακτοι Σουλιώτες ήταν
βοσκοί που μιλούσαν ελληνικά και αρβανίτικα. Έκαναν συχνά επιδρομές
στα χωριά του κάμπου για να εξασφαλίσουν ζώα και γεννήματα
(δημητριακά).
2) Γιατί ήταν ικανότατοι πολεμιστές;
Οι δύσκολες συνθήκες ζωής των Σουλιωτών, η πολύχρονη ενασχόληση
τους με τα όπλα, η άριστη γνώση του εδάφους, το ομαδικό πνεύμα και
κυρίως η εξαιρετική τους τόλμη τους είχαν μεταμορφώσει σε
ικανότατους πολεμιστές. Οι Σουλιώτες συνήθιζαν να πολεμούν
οχυρωμένοι πίσω από φυσικά εμπόδια. Δρούσαν ακόμη και τη νύχτα,
ενώ δε δίσταζαν να επιτεθούν με τα σπαθιά τους σε μεγαλύτερο αριθμό
αντιπάλων, αιφνιδιάζοντάς τους.
3) Γιατί δεν μπορούσαν οι Τούρκοι να υποτάξουν το Σούλι;
Το Σούλι απέχοντας 20 χιλιόμετρα από τη θάλασσα, μπορούσε να
προμηθεύεται χρήματα, όπλα και πυρομαχικά, τα οποία έστελναν από τα
Επτάνησα οι ξένες δυνάμεις κάθε φορά που συγκρούονταν με την Υψηλή
Πύλη( Οθωμανική Αυτοκρατορία).
4) Τι γνωρίζεις για τον αγώνα των Σουλιωτών με τον Αλή πασά
των Ιωαννίνων;
Οι Σουλιώτες επειδή αποτελούσαν μια ισχυρή στρατιωτική δύναμη, ήταν
μεγάλο εμπόδιο για τον Αλή πασά των Ιωαννίνων που ήθελε να
επεκτείνει την κυριαρχία του. Γι’ αυτό ξέσπασε ανάμεσα στους
Σουλιώτες και τον Αλή πασά πόλεμος που κράτησε πολλά χρόνια. Στη
διάρκειά του οι Σουλιώτες βρέθηκαν σε δύσκολη θέση , γιατί τους
έλειψαν τα εφόδια-ψωμί και μολύβι. Τότε έκλεισαν συμφωνία με τον
Αλή να φύγουν από το Σούλι. Ο Αλής όμως δεν τήρησε τη συμφωνία.
Τις στιγμές εκείνες γράφτηκαν οι πιο ένδοξες σελίδες της σουλιώτικης
ιστορίας.
5) Πώς κατάφερε τελικά να κατακτήσει το Σούλι ο Αλή πασάς;
Πέτυχε με διάφορους τρόπους να διώξει από το Σούλι ορισμένους από
τους αρχηγούς, αδυνατίζοντας έτσι την άμυνά του. Το 1803 κατάφερε να
το κατακτήσει μετά από πολλές προσπάθειες. Οι Τούρκοι κατέλαβαν τον
οχυρό λόφο Κούγκι, όμως ο καλόγερος Σαμουήλ, που τον κρατούσε
ελεύθερο ως την τελευταία στιγμή, ανατινάχτηκε μαζί τους. Στο
Ζάλογγο μετά από μια απέλπιδα μάχη στην οποία σκοτώθηκαν πολλοί
Σουλιώτες, 60 περίπου Σουλιώτισσες προτίμησαν αντί την αιχμαλωσία
Άννα Πουλή1
Επιμέλεια: Χρήστος Χαρμπής http://st-taksh.blogspot.gr σελ.91
να γκρεμιστούν με τα παιδιά τους σε ένα «χορό θανάτου» που έμεινε
στην ιστορία ως χορός του Ζαλόγγου. Τελικά, κάποιοι Σουλιώτες
έσπασαν τον κλοιό των Τούρκων με έφοδο και πέρασαν στην Κέρκυρα,
ενώ οι υπόλοιποι συνθηκολόγησαν, αφού τους υποσχέθηκαν ότι θα
εγκαταλείψουν με ασφάλεια το Σούλι και θα καταφύγουν με τα όπλα
τους στην Πρέβεζα.
6)Τι έκαναν οι Σουλιώτες στα Επτάνησα;
Υπηρέτησαν αρχικά τους Ρώσους και στη συνέχεια τους Γάλλους
κυρίαρχους.
7)Πότε επέστρεψαν στο Σούλι και γιατί;
Το 1820, λίγο πριν τη Μεγάλη Επανάσταση, κλήθηκαν από τους
Τούρκους να κατοικήσουν μόνιμα στο Σούλι, με τον όρο να βοηθήσουν
το Σουλτάνο να εξοντώσει τον Αλή πασά, με τον οποίο βρισκόταν σε
πόλεμο. Οι Σουλιώτες συμφώνησαν και επέστρεψαν στα χωριά τους,
αποκρούοντας με επιτυχία τους στρατιώτες του Αλή πασά που έρχονταν
εναντίον τους.
8)Πότε εγκατέλειψαν οριστικά το Σούλι;
Το 1822 έμειναν αβοήθητοι. Καταπονημένοι εγκατέλειψαν οριστικά το
Σούλι και διασκορπίστηκαν στη Στερεά Ελλάδα και την Πελοπόννησο.
9)Ποια η προσφορά τους στη Μεγάλη Επανάσταση;
Κατά τη διάρκεια της Μεγάλης Επανάστασης του 1821 πολλοί
Σουλιώτες ανέπτυξαν σημαντική δράση ως οπλαρχηγοί, έχοντας τη φήμη
των γενναίων και αδάμαστων πολεμιστών του έθνους.
Άννα Πουλή2
Επιμέλεια: Χρήστος Χαρμπής http://st-taksh.blogspot.gr σελ.92
Άννα Πουλή3
Επιμέλεια: Χρήστος Χαρμπής http://st-taksh.blogspot.gr σελ.93
Κεφ. 6
Σκλαβοπάζαρο
Οι συνθήκες ζωής των υποδούλων
Εντόπισε στο βιβλίο σου και υπογράμμισε τις σειρές που απαντούν στις
Παρακάτω ερωτήσεις.
*** Στο επόμενο μάθημα θα πρέπει να γνωρίζεις τις απαντήσεις!!!
1. Τι ήταν ο κεφαλικός φόρος;(χαράτσι)
2. Τι ξέρεις για το φόρο της γης;
3. Τι γνωρίζεις για το παιδομάζωμα;
4. Τι ήταν ο εξισλαμισμός;
5. Ποιοι ήταν οι κρυπτοχριστιανοί ;
6. Ποια προβλήματα είχαν οι κάτοικοι των νησιών και των παραθαλάσσιων
περιοχών;
7. Τι ήταν οι παροικίες ; Ποιες ήταν οι σπουδαιότερες ;
Απόστολος Γιάγκας, Μαρία Γεωργιάδου, Άννα Κοτέογλου
Επιμέλεια: Χρήστος Χαρμπής http://st-taksh.blogspot.gr σελ.94
Κεφ. 7
Οι κοινότητες,
μια μορφή αυτοδιοίκησης
Εντόπισε στο βιβλίο σου και υπογράμμισε τις σειρές που απαντούν στις
Παρακάτω ερωτήσεις.
*** Στο επόμενο μάθημα θα πρέπει να γνωρίζεις τις απαντήσεις!!!
1. Πώς ονόμαζαν τους κοινοτικούς άρχοντες ;
2. Πως γινόταν η εκλογή των αρχόντων ;
3. Ποια ήταν τα καθήκοντα των προκρίτων ;
4. Τι ήταν ο εξισλαμισμός;
5. Τι γνωρίζετε για το κοινοτικό προνόμιο ;
6. Ποιες περιοχές της Ελλάδας βοήθησε το κοινοτικό προνόμιο;
Απόστολος Γιάγκας, Μαρία Γεωργιάδου, Άννα Κοτέογλου
Επιμέλεια: Χρήστος Χαρμπής http://st-taksh.blogspot.gr σελ.95
Κεφ. 8 Λιμάνι της Ρόδου
Οι οικονομικές δραστηριότητες
Των Ελλήνων
Εντόπισε στο βιβλίο σου και υπογράμμισε τις σειρές που απαντούν στις
Παρακάτω ερωτήσεις.
*** Στο επόμενο μάθημα θα πρέπει να γνωρίζεις τις απαντήσεις!!!
1. Με τι ασχολούνταν οι Έλληνες τα πρώτα χρόνια της τουρκοκρατίας ;
2. Τι είναι τα <<τσιφλίκια>> και τι καλλιεργούσαν εκεί ;
3. Πώς γίνοταν το εμπόριο στη στεριά
4. Τι γνωρίζετε για τη συνθήκη του Κιουτσούκ Καϊναρτζή ; Σε τι
ωφέλησε την Ελλάδα;
5. Πώς γινόταν το εμπόριο στην θάλασσα;
6. Τι ξέρουμε για τις ναυτικές επιχειρήσεις της εποχής εκείνης ;
Απόστολος Γιάγκας, Μαρία Γεωργιάδου, Άννα Κοτέογλου
Επιμέλεια: Χρήστος Χαρμπής http://st-taksh.blogspot.gr σελ.96
Κεφ. 9 Σκηνή ποιμενικής ζωής
Χαρές και λύπες
της καθημερινής ζωής
Εντόπισε στο βιβλίο σου και υπογράμμισε τις σειρές που απαντούν στις
Παρακάτω ερωτήσεις.
*** Στο επόμενο μάθημα θα πρέπει να γνωρίζεις τις απαντήσεις!!!
1. Πώς οργάνωσαν οι Έλληνες τη ζωή τους κατά τα χρόνια της τουρκοκρατίας ;
2. Τι έκαναν στις μεγάλες γιορτές της Χριστιανοσύνης
Και στη γιορτή του τοπικού Αγίου ;
3. Οι χαρές και οι λύπες τα χρόνια της σκλαβιάς.
4. Γιατί αναπτύχθηκε η συνεργασία και η αλληλοβοήθεια
ανάμεσα στους Έλληνες ;
5. Σε τι βοήθησε η διατήρηση των εθίμων και των παραδόσεων ;
Απόστολος Γιάγκας, Μαρία Γεωργιάδου, Άννα Κοτέογλου
Επιμέλεια: Χρήστος Χαρμπής http://st-taksh.blogspot.gr σελ.97
Αδαμάντιος Κοραής(1748-1833) Κοσμάς ο Αιτωλός (1714-1779)
Κεφ. 11
Τα σχολεία και
Οι δάσκαλοι το γένους
Εντόπισε στο βιβλίο σου και υπογράμμισε τις σειρές που απαντούν στις
Παρακάτω ερωτήσεις.
*** Στο επόμενο μάθημα θα πρέπει να γνωρίζεις τις απαντήσεις!!!
1. Τι συνέβη τον πρώτο καιρό της σκλαβιάς στα σχολεία
της πατρίδας μας ;
2. Από ποιους ιδρύθηκαν τα πρώτα σχολέια ;
Τι ξέρουμε για αυτά;
3. Εκτός από τα σχολεία τι άλλο βοήθησε αποτελεσματικά στη
μόρφωση του λαού ;
4. Γιατί κάποιοι πνευματικοί άνθρωποι ονομάστηκαν << δάσκαλοι του Γένους>> ;
Ποιους από αυτούς ξεχωρίζουμε ;
5. Τι ξέρετε για τον Κοσμά Αιτωλό και τα σχολεία που ίδρυσε ;
6. Τι γνωρίζετε για τον Αδαμάντιο Κοραή ;
Απόστολος Γιάγκας, Μαρία Γεωργιάδου, Άννα Κοτέογλου
Επιμέλεια: Χρήστος Χαρμπής http://st-taksh.blogspot.gr σελ.98
Κεφ. 12
Πνευματική ανάπτυξη
μέσα στη σκλαβιά
Εντόπισε στο βιβλίο σου και υπογράμμισε τις σειρές που απαντούν στις
Παρακάτω ερωτήσεις.
*** Στο επόμενο μάθημα θα πρέπει να γνωρίζεις τις απαντήσεις!!!
1. Τι λέμε κρητική αναγέννηση ;
Ποια είναι τα σπουδαιότερα έργα της εποχής;
2. Τι γνωρίζετε για την ανάπτυξη της ποίησης και της μουσικής
στα επτάνησα ;
3. Σε ποιες περιοχές ζούσαν οι Έλληνες;
Πώς ήταν χτισμένα τα σπίτια τους ;
4. Γιατί κάποιοι πνευματικοί άνθρωποι ονομάστηκαν << δάσκαλοι του Γένους>> ;
Ποιους από αυτούς ξεχωρίζουμε ;
5. Τι ξέρετε για τις εκκλησίες της εποχής ;
6. Τι επιδράσεις δέχτηκε η αρχιτεκτονική και η ζωγραφική στα ;
χρόνια της σκλαβιάς ;
Απόστολος Γιάγκας, Μαρία Γεωργιάδου, Άννα Κοτέογλου
Επιμέλεια: Χρήστος Χαρμπής http://st-taksh.blogspot.gr σελ.99
Επιμέλεια: Χρήστος Χαρμπής http://st-taksh.blogspot.gr σελ.100
Κεφ. 13
Κλέφτες και αρματολοί
Εντόπισε στο βιβλίο σου και υπογράμμισε τις σειρές που απαντούν στις
Παρακάτω ερωτήσεις.
*** Στο επόμενο μάθημα θα πρέπει να γνωρίζεις τις απαντήσεις!!!
1. Τι ήταν οι κλέφτες ; Γιατί αναγκάζονταν να ανεβαίνουν στα βουνά;
2. Ποιους ονομάζουμε αρματολούς ;
3. Γιατί κλέφτης και αρματολός σήμαινε το ίδιο πράγμα ;
4. Τι ήταν ; Ο καπετάνιος , το πρωτοπαλίκαρο , οι ψυχογιοί, τα λημέρια,
Το καραούλι ;
5. Τι ήταν ο κλεφτοπόλεμος ;
6. Πώς ήταν η ζωή των κλεφτών;
7. Πώς περνούσαν οι κλέφτες τις καλές και ειρηνικές ημέρες ;
Απόστολος Γιάγκας, Μαρία Γεωργιάδου, Άννα Κοτέογλου
Επιμέλεια: Χρήστος Χαρμπής http://st-taksh.blogspot.gr σελ.101
Επιμέλεια: Χρήστος Χαρμπής http://st-taksh.blogspot.gr σελ.102
Κεφ. 14
Τα κάστρα της λευτεριάς
Εντόπισε στο βιβλίο σου και υπογράμμισε τις σειρές που απαντούν στις
Παρακάτω ερωτήσεις.
*** Στο επόμενο μάθημα θα πρέπει να γνωρίζεις τις απαντήσεις!!!
1. Ποιες περιοχές της Ελλάδας κατάφεραν να διατηρήσουν μια σχετική
ελευθερία στα χρόνια της σκλαβιάς ;
2. Πού ζούσαν οι Σουλιώτες και πως ήταν οργανωμένοι ;
3. Με ποιον πολέμησαν οι Σουλιώτες ;
Τι έγινε κατά τη διάρκεια αυτού του πολέμου ;
4. Τι έκαναν οι Σουλιώτισσες όταν κατάλαβαν ότι κινδύνευαν
να πέσουν στα χέρια των Τούρκων ;
5. Πώς ήταν οργανωμένοι οι Μανιάτες ; Πού έχτιζαν τα σπίτια τους ;
6. Πού ήταν τα Σφακιά ; Πώς ζούσαν οι Σφακιανοί ;
Απόστολος Γιάγκας, Μαρία Γεωργιάδου, Άννα Κοτέογλου
Επιμέλεια: Χρήστος Χαρμπής http://st-taksh.blogspot.gr σελ.103
Κεφ. 15
Η ένοπλη ορμή
για απελευθέρωση
Εντόπισε στο βιβλίο σου και υπογράμμισε τις σειρές που απαντούν στις
Παρακάτω ερωτήσεις.
*** Στο επόμενο μάθημα θα πρέπει να γνωρίζεις τις απαντήσεις!!!
1. Γιατί απέτυχαν τα προεπαναστατικά κινήματα ;
2. Γιατί η εποχή εκείνη ευνοούσε την εκδήλωση
επαναστατικών κινημάτων
3. Τι ξέρετε για το επαναστατικό κίνημα του Διονύσιου του Φιλόσοφου ;
4. Τι γνωρίζετε για τα <<Ορλωφικά >>;
5. Τι ξέρετε για την επαναστατική ενέργεια του Λάμπρου Κατσώνη ;
Απόστολος Γιάγκας, Μαρία Γεωργιάδου, Άννα Κοτέογλου
Επιμέλεια: Χρήστος Χαρμπής http://st-taksh.blogspot.gr σελ.104
Επιμέλεια: Χρήστος Χαρμπής http://st-taksh.blogspot.gr σελ.105
Κεφ. 16
Το όραμα του Ρήγα Φεραίου
Εντόπισε στο βιβλίο σου και υπογράμμισε τις σειρές που απαντούν στις
Παρακάτω ερωτήσεις.
*** Στο επόμενο μάθημα θα πρέπει να γνωρίζεις τις απαντήσεις!!!
1. Τι ένωνε τους Έλληνες και τους άλλους λαούς της ;
βαλκανικής χερσονήσου ;
2. Τι δημιούργησε ο κοινός τρόπος ζωής των σκλαβωμένων ;
3. Τι εξέφρασε ο Ρήγας Φεραίος ;
4. Τι γνωρίζετε για τη ζωή του Ρήγα Φεραίου;
γιατί ονομάστηκε έτσι ;
5. Ποιος ήταν ο σκοπός της ζωής του Ρήγα Φεραίου και με ποιο τρόπο
προσπάθησε να το πραγματοποιήσει;
6. Τι οραματιζόταν ο Ρήγας Φεραίος για τους λαούς της Βαλκανικής ;
Απόστολος Γιάγκας, Μαρία Γεωργιάδου, Άννα Κοτέογλου
Επιμέλεια: Χρήστος Χαρμπής http://st-taksh.blogspot.gr σελ.106
Σαμούχος Πέτρος©
Ερωτήσεις για την επανάληψη της 2ης ενότητας της Ιστορίας,
«Οι Έλληνες κάτω από την οθωμανική και τη λατινική κυριαρχία»
Κεφάλαιο 1ο
«Η κατάκτηση της ελληνικής Χερσονήσου»
 Ποια περίοδο ονομάζουμε Τουρκοκρατία;
 Ποια στοιχεία της εθνικής τους ταυτότητας διαφύ-
λαξαν οι Έλληνες με τη βοήθεια και της Εκκλησίας;
 Τι ήταν το παιδομάζωμα;
Κεφάλαιο 2ο
«Οι συνθήκες ζωής των υπόδουλων»
 Ποιους φόρους επέβαλαν οι Οθωμανοί στους
Έλληνες και τι ξέρεις για τον καθένα;
Κεφάλαιο 3ο
«Η θρησκευτική και πολιτική οργάνωση των Ελλήνων»
 Ποιους ήταν ο ρόλος του Πατριαρχείου κατά την
Τουρκοκρατία;
 Τι γνωρίζεις για τους Φαναριώτες;
 Τι γνωρίζεις για τους κοινοτικούς άρχοντες;
 Ποιο λαό αποκαλούσαν οι Έλληνες «ξανθό γένος»;
Κεφάλαιο 4ο
«Οι κλέφτες και οι αρματολοί»
 Τι γνωρίζεις για τους κλέφτες και αρματολούς;
Κεφάλαιο 5ο
«Η οικονομική ζωή»
 Σε ποιους τομείς στηριζόταν η οικονομία
της Οθωμανικής Αυτοκρατορίας;
 Ποιες οι αιτίες της παρακμής της
Οθωμανικής Αυτοκρατορίας;
 Ποιοι παράγοντες ωφέλησαν τους Έλληνες;
Κεφάλαιο 6ο
«Οι Έλληνες των παροικιών και των
Παραδουνάβιων ηγεμονιών»
(Όχι)
Σαμούχος Πέτρος©
Κεφάλαιο 7ο
«Οι δάσκαλοι του Γένους»
 Ποιους ονομάζουμε δάσκαλους του Γένους;
 Τι γνωρίζεις για την «Ελληνική Νομαρχία»;
 Τι ονομάζουμε ελληνικό Διαφωτισμό;
 Τι γνωρίζεις για τον Κοσμά τον Αιτωλό;
Κεφάλαιο 8ο
«Ρήγας Βελεστινλής – Αδαμάντιος Κοραής»
 Τι γνωρίζεις για τον Ρήγα;
(Πού γεννήθηκε, το όραμά του, τα σημαντικότερα έργα του, το τέλος του)
 Τι γνωρίζεις για τον Κοραή;
(Πού γεννήθηκε, πού εγκαταστάθηκε, η άποψή του για την απελευθέρωση
του Γένους;)
Κεφάλαιο 9ο
«Τα κυριότερα επαναστατικά κινήματα»
 Τι γνωρίζεις τους Ορλώφ;
 Τι γνωρίζεις για τον Λάμπρο Κατσώνη;
Κεφάλαιο 10ο
«Οι αγώνες των Σουλιωτών»
 Για ποιους λόγους οι Σουλιώτες ήταν ικανότατοι πολεμιστές;
 Ποιος πασάς κατάφερε να κατακτήσει το Σούλι;
 Για ποιο λόγο οι Οθωμανοί ζήτησαν από τους Σουλιώτες να
επιστρέψουν στο Σούλι;
Την επόμενη φορά θα γράψουμε διαγώνισμα
στη 2η
ενότητα της Ιστορίας. Διαβάστε καλά
τις παραπάνω ερωτήσεις και τις ασκήσεις από
το τετράδιο εργασιών της Ιστορίας.
Αξιοποιήστε τα σχεδιαγράμματα που έχετε.
Καλό διάβασμα!
Επαναληπτικά
ΕΝΟΤΗΤΑ B
Οι Έλληνες κάτω από την οθωμανική και
τη λατινική κυριαρχία (1453-1821)
σελ.
46
Ιστορία Στ΄ Δημοτικού [Κριτήρια Αξιολόγησης & Διαγωνίσματα]
Ενότητα Β [Οι Έλληνες κάτω από την οθωμανική και τη λατινική κυριαρχία (1453-1821)]
Έκδοση taexeiola Χριστίνα Τζιτζιλή
1) Να αντιστοιχίσετε τις κατακτήσεις των Οθωμανών στον ελληνικό χώρο με τις
χρονολογίες.
1) Θεσσαλονίκη, Γιάννενα α) 1669
2) Πάτρα β) 1566
3) Μιστράς γ) 1446
4) Ρόδος δ) 1430
5) Χίος ε) 1571
6) Κύπρος στ) 1460
7) Κρήτη ζ) 1522
(Μονάδα 1)
2) Να αντιστοιχίσετε τα γεγονότα με τις ημερομηνίες τους.
1) Άλωση της Κωνσταντινούπολης α)1797
2) Εκπαιδευτική Αναγέννηση του
έθνους
β) 1821
3) Η εξουσία των Ιονίων νησιών γ) 18ος
αιώνας
περνάει από τους Βενετούς στους
Γάλλους
4) Εξέγερση στη Ζάκυνθο δ) 1628
(Μονάδα 1)
1o
Κριτήριο Αξιολόγησης
Κεφ.1: Η κατάκτηση της ελληνικής Χερσονήσου
σελ.
47
Ιστορία Στ΄ Δημοτικού [Κριτήρια Αξιολόγησης & Διαγωνίσματα]
Ενότητα Β [Οι Έλληνες κάτω από την οθωμανική και τη λατινική κυριαρχία (1453-1821)]
Έκδοση taexeiola Χριστίνα Τζιτζιλή
3) Να χαρακτηρίσετε τις προτάσεις με (Σ) αν είναι σωστές και με (Λ) αν είναι
λανθασμένες και να δικαιολογήσετε τις απαντήσεις σας.
α) Οι δύο πρώτοι αιώνες της Τουρκοκρατίας ήταν πιο εύκολοι για τους
Χριστιανούς και δυσκόλεψαν τους δύο επόμενους αιώνες, από τα μέσα
του 16ου
αιώνα.
β) Ολόκληρη η ελληνική Χερσόνησος πέρασε στην οθωμανική κυριαρχία.
γ) Οι Βενετοί έγιναν πιο φιλικοί με τους Έλληνες όταν οι βενετικές κτήσεις
άρχισαν να πέφτουν στα χέρια των Οθωμανών Τούρκων.
δ) Οι Χριστιανοί της Δύσης, κυρίως οι Βενετοί, συνέβαλαν στην
οικονομική ανάπτυξη των ντόπιων κατοίκων.
ε) Την περίοδο της Τουρκοκρατίας αρκετοί λόγιοι εγκαταστάθηκαν στη
Δυτική Ευρώπη.
στ) Οι Έλληνες των βενετοκρατούμενων περιοχών συμμετείχαν στη διοίκηση
και κατείχαν ανώτερα θρησκευτικά αξιώματα.
(Μονάδες 2)
4) Ποιοι ήταν οι λόγοι που οδήγησαν στην πτώση της Βυζαντινής αυτοκρατορίας;
____________________________________________________________________
____________________________________________________________________
____________________________________________________________________
____________________________________________________________________
____________________________________________________________________
____________________________________________________________________
____________________________________________________________________
σελ.
48
Ιστορία Στ΄ Δημοτικού [Κριτήρια Αξιολόγησης & Διαγωνίσματα]
Ενότητα Β [Οι Έλληνες κάτω από την οθωμανική και τη λατινική κυριαρχία (1453-1821)]
Έκδοση taexeiola Χριστίνα Τζιτζιλή
____________________________________________________________________
____________________________________________________________________
____________________________________________________________________
(Μονάδες 2)
5) Περιγράψτε τους δύο πρώτους αιώνες της Τουρκοκρατίας η ζωή για τους
Χριστιανούς;
____________________________________________________________________
____________________________________________________________________
____________________________________________________________________
____________________________________________________________________
____________________________________________________________________
____________________________________________________________________
____________________________________________________________________
____________________________________________________________________
____________________________________________________________________
(Μονάδες 2)
6) Ποια περίοδος ονομάζεται Τουρκοκρατία;
____________________________________________________________________
____________________________________________________________________
____________________________________________________________________
____________________________________________________________________
____________________________________________________________________
(Μονάδες 2)
σελ.
49
Ιστορία Στ΄ Δημοτικού [Κριτήρια Αξιολόγησης & Διαγωνίσματα]
Ενότητα Β [Οι Έλληνες κάτω από την οθωμανική και τη λατινική κυριαρχία (1453-1821)]
Έκδοση taexeiola Χριστίνα Τζιτζιλή
1) Να αντιστοιχίσετε τους φόρους με τους ορισμούς τους.
1) κεφαλικός φόρος
2) φόρος εστίας
α) φόρος για τις κατοικίες τους
β) φόρος που πλήρωναν όλοι όσοι δεν
ήταν Μουσουλμάνοι
3) έγγειος φόρος γ) φόρος για την αγροτική παραγωγή
4) δεκάτη δ) φόρος για τη χρήση της γης
(Μονάδα 1)
2) Να αντιστοιχίσετε τους όρους που ταιριάζουν
1) Παιδομάζωμα α) παλιές μεγάλες βυζαντινές
οικογένειες που μετά την Άλωση ήρθαν
στην Πόλη και εγκαταστάθηκαν γύρω
από το Πατριαρχείο
2) Εξισλαμισμοί β) μουσουλανικό δικαστήριο
3)Ιεροδικείο γ) Προσχώρηση στη μουσουλμανική
θρησκεία
4) Φαναριώτες δ) αρπαγή, εξισλαμισμός και
στρατιωτική εκπαίδευση νεαρών
αγοριών από τους Τούρκους
(Μονάδα 1)
2o
Κριτήριο Αξιολόγησης
Κεφ.2: Οι συνθήκες ζωής των υποδούλων
σελ.
50
Ιστορία Στ΄ Δημοτικού [Κριτήρια Αξιολόγησης & Διαγωνίσματα]
Ενότητα Β [Οι Έλληνες κάτω από την οθωμανική και τη λατινική κυριαρχία (1453-1821)]
Έκδοση taexeiola Χριστίνα Τζιτζιλή
3) Να χαρακτηρίσετε τις προτάσεις με (Σ) αν είναι σωστές και με (Λ) αν είναι
λανθασμένες και να δικαιολογήσετε τις απαντήσεις σας.
α) Οι φόροι ήταν ίδιοι για τους υπόδουλους Έλληνες και τους Μουσουλμάνους.
β) Οι υπόδουλοι Έλληνες συνέχιζαν να κατοικούν στα εύφορα εδάφη ακόμα
και μετά την εγκατάσταση τούρκικων και άλλων φύλων στις περιοχές αυτές.
γ) Τα σοβαρά παραπτώματα των χριστιανών δικάζονταν στα εκκλησιαστικά
δικαστήρια.
δ) Εκτός από τους τακτικούς φόρους, οι Χριστιανοί πλήρωναν και
έκτακτους φόρους αλλά έκαναν και αγγαρείες.
ε) Οι Οθωμανοί σουλτάνοι είχαν παραχωρήσει διάφορες ελευθερίες
στους υπηκόους τους και έτσι βελτίωσαν την καθημερινή τους ζωή.
στ) Στο στρατό οι υπόδουλοι Έλληνες υπηρετούσαν μόνο ως οδηγοί και
ναύτες.
(Μονάδες 2)
4) Ποιοι ήταν οι Φαναριώτες;
____________________________________________________________________
____________________________________________________________________
____________________________________________________________________
____________________________________________________________________
____________________________________________________________________
____________________________________________________________________
____________________________________________________________________
____________________________________________________________________
σελ.
51
Ιστορία Στ΄ Δημοτικού [Κριτήρια Αξιολόγησης & Διαγωνίσματα]
Ενότητα Β [Οι Έλληνες κάτω από την οθωμανική και τη λατινική κυριαρχία (1453-1821)]
Έκδοση taexeiola Χριστίνα Τζιτζιλή
____________________________________________________________________
____________________________________________________________________
(Μονάδες 2)
5) Ποιοι ήταν οι περιορισμοί που δυσκόλευαν την καθημερινότητα των
Χριστιανών υποδούλων;
____________________________________________________________________
____________________________________________________________________
____________________________________________________________________
____________________________________________________________________
____________________________________________________________________
____________________________________________________________________
____________________________________________________________________
____________________________________________________________________
____________________________________________________________________
____________________________________________________________________
(Μονάδες 2)
6) Ποια ήταν τα πιο σκληρά μέτρα που αντιμετώπισαν οι Χριστιανοί;
____________________________________________________________________
____________________________________________________________________
____________________________________________________________________
____________________________________________________________________
____________________________________________________________________
____________________________________________________________________
σελ.
52
Ιστορία Στ΄ Δημοτικού [Κριτήρια Αξιολόγησης & Διαγωνίσματα]
Ενότητα Β [Οι Έλληνες κάτω από την οθωμανική και τη λατινική κυριαρχία (1453-1821)]
Έκδοση taexeiola Χριστίνα Τζιτζιλή
____________________________________________________________________
____________________________________________________________________
____________________________________________________________________
____________________________________________________________________
(Μονάδες 2)
σελ.
53
Ιστορία Στ΄ Δημοτικού [Κριτήρια Αξιολόγησης & Διαγωνίσματα]
Ενότητα Β [Οι Έλληνες κάτω από την οθωμανική και τη λατινική κυριαρχία (1453-1821)]
Έκδοση taexeiola Χριστίνα Τζιτζιλή
1) Να αντιστοιχίσετε τα πρόσωπα με το ρόλο τους και την ιδιότητα τους.
1) Πατριάρχης Νεόφυτος ο Β’ α) Στη σκέψη των Χριστιανών ήταν το
«ξανθό γένος» που θα ελευθέρωνε την
Κωνσταντινούπολη από τους απίστους.
2) Μάξιμος ο Γραίκος β) Ιεράρχης που, επηρεασμένος από τις
ευρωπαϊκές ιδέες, αμφισβητούσε την
υποταγή στους Τούρκους.
3) Ρώσοι γ) Μοναχός που αναγνωρίσθηκε ο άγιος
στη Μόσχα και καλλιέργησε περαιτέρω
σχέσης με τη Ρωσία
(Μονάδα 1)
2) Να βάλετε στη σωστή στήλη τα καθήκοντα των εκπροσώπων της εξουσίας
κατά την Τουρκοκρατία.
(Εκπρόσωπος του ρουμ μιλέτ, Κοινοτικοί άρχοντες εποχής, Θρησκευτικά
καθήκοντα, Γνωστοί ως επίτροποι, Διοικητικές αρομοδιότητες, Υπολόγιζαν τον
φόρο που αναλογούσε σε κάθε κάτοικο, Ίδρυση σχολείων, Επιβολή φορολογίας
3o
Κριτήριο Αξιολόγησης
Κεφ.3: Η θρησκευτική και η πολιτική οργάνωση των Ελλήνων
σελ.
54
Ιστορία Στ΄ Δημοτικού [Κριτήρια Αξιολόγησης & Διαγωνίσματα]
Ενότητα Β [Οι Έλληνες κάτω από την οθωμανική και τη λατινική κυριαρχία (1453-1821)]
Έκδοση taexeiola Χριστίνα Τζιτζιλή
στους πιστούς, Κατείχαν υψηλά αξιώματα στην οθωμανική εξουσία, Είχαν αξιόλογη
μόρφωση και γνώριζαν ξένες γλώσσες)
Οικουμενικό
Πατριαρχείο
Φαναριώτες Προεστοί ή
Δημογέροντες
(Μονάδες 2)
σελ.
55
Ιστορία Στ΄ Δημοτικού [Κριτήρια Αξιολόγησης & Διαγωνίσματα]
Ενότητα Β [Οι Έλληνες κάτω από την οθωμανική και τη λατινική κυριαρχία (1453-1821)]
Έκδοση taexeiola Χριστίνα Τζιτζιλή
3) Να χαρακτηρίσετε τις προτάσεις με (Σ) αν είναι σωστές και με (Λ) αν είναι
λανθασμένες και να δικαιολογήσετε τις απαντήσεις σας.
α) Οι Οθωμανοί Τούρκοι κατήργησαν τη βυζαντινή διοίκηση και το Οικουμε-
νικό Πατριαρχείο.
β) Οι ιεράρχες και οι Φαναριώτες ήταν ανεξάρτητοι από τον Σουλτάνο.
γ) Στη διάρκεια της οθωμανικής κυριαρχίας την ηγεσία των υπόδουλων Ελλή-
νων αποτελούσαν ο Πατριάρχης, οι Φαναριώτες και οι προεστοί ή δημογέροντες.
δ) Όλοι οι ορθόδοξοι κληρικοί αμφισβητούσαν την υποταγή στους Τούρκους.
ε) Οι Φαναριώτες λέγονταν και κοτσαμπάσηδες.
στ) Οι υπόδουλοι Έλληνες περίμεναν την απελευθέρωση από τους Ρώσους.
(Μονάδες 2)
4) Ποιες ήταν οι διαφορετικές στάσεις που κράτησαν οι ορθόδοξοι κληρικοί
απέναντι στην τούρκικη κατάκτηση;
(Μόνάδες 2)
____________________________________________________________________
____________________________________________________________________
____________________________________________________________________
____________________________________________________________________
____________________________________________________________________
____________________________________________________________________
____________________________________________________________________
____________________________________________________________________
σελ.
56
Ιστορία Στ΄ Δημοτικού [Κριτήρια Αξιολόγησης & Διαγωνίσματα]
Ενότητα Β [Οι Έλληνες κάτω από την οθωμανική και τη λατινική κυριαρχία (1453-1821)]
Έκδοση taexeiola Χριστίνα Τζιτζιλή
____________________________________________________________________
____________________________________________________________________
5) Ποιες ήταν οι εξουσίες των κοινοτικών αρχόντων την εποχή της
Τουρκοκρατίας;
____________________________________________________________________
____________________________________________________________________
____________________________________________________________________
____________________________________________________________________
____________________________________________________________________
____________________________________________________________________
____________________________________________________________________
____________________________________________________________________
____________________________________________________________________
(Μονάδες 2)
6) Για ποιο λόγο οι Τούρκοι επέτρεψαν στους κοινοτικούς άρχοντες να
αναλάβουν την τοπική ηγεσία;
____________________________________________________________________
____________________________________________________________________
____________________________________________________________________
____________________________________________________________________
____________________________________________________________________
(Μονάδα 1)
σελ.
57
Ιστορία Στ΄ Δημοτικού [Κριτήρια Αξιολόγησης & Διαγωνίσματα]
Ενότητα Β [Οι Έλληνες κάτω από την οθωμανική και τη λατινική κυριαρχία (1453-1821)]
Έκδοση taexeiola Χριστίνα Τζιτζιλή
1) Να κάνετε την αντιστοίχιση.
1) Γεώργιος Ανδρίτσος α) ορεσίβιοι
2)Κορκόδειλος Κλαδάς β) φημισμένος αρματολός
3)Κλέφτες γ) είχε ορμητήριο τη Μάνη
4) Αρματολοί δ) σύμβολο αντίστασης ενάντια στους
κατακτητές
5) Μανιάτες ε) βοηθητικά στρατεύματα των
Τούρκων
(Μονάδα 1)
2) Να αντιστοιχίσετε τους όρους με τους ορισμούς τους.
1) Ορεσίβιος α) σημαία, λάβαρο
2) Περιηγητής β) το κρησφύγετο των Κλεφτών και των
Αρματολών κατά την Τουρκοκρατία
3) Λημέρι γ) αυτός που κατοικεί στα ορεινά
4) Μπαϊράκι δ) παλιότερα έτσι ονομάζονταν αυτοί
που ταξίδευαν
(Μονάδα 1)
4o
Κριτήριο Αξιολόγησης
Κεφ.4: Οι Κλέφτες και οι Αρματολοί
σελ.
58
Ιστορία Στ΄ Δημοτικού [Κριτήρια Αξιολόγησης & Διαγωνίσματα]
Ενότητα Β [Οι Έλληνες κάτω από την οθωμανική και τη λατινική κυριαρχία (1453-1821)]
Έκδοση taexeiola Χριστίνα Τζιτζιλή
3) Να χαρακτηρίσετε τις προτάσεις με (Σ) αν είναι σωστές και με (Λ) αν είναι
λανθασμένες και να δικαιολογήσετε τις απαντήσεις σας.
α) Οι Αρματολοί ήταν σύμβολο αντίστασης των υπόδουλων Ελλήνων ενάντια
στους κατακτητές.
β) Οι Αρματολοί ήταν εχθρικοί προς τους Κλέφτες.
γ) Η Μάνη ήταν το ορμητήριο του Μπότσαρη.
δ) Τα λήμερια των κλεφτών ήταν σε εύφορα εδάφη.
ε) Οι Οθωμανοί Τούρκοι χρησιμοποιούσαν τους Αρματολούς ως
βοηθητικά στρατεύματα.
στ) Βασικό χαρακτηριστικό των Κλεφτών ήταν η εχθρότητα για τους Τούρκους.
(Μονάδες 2)
4) Τι ήταν οι Κλέφτες και ποια η δράση τους;
____________________________________________________________________
____________________________________________________________________
____________________________________________________________________
____________________________________________________________________
____________________________________________________________________
____________________________________________________________________
____________________________________________________________________
____________________________________________________________________
____________________________________________________________________
____________________________________________________________________
(Μονάδες 2)
σελ.
59
Ιστορία Στ΄ Δημοτικού [Κριτήρια Αξιολόγησης & Διαγωνίσματα]
Ενότητα Β [Οι Έλληνες κάτω από την οθωμανική και τη λατινική κυριαρχία (1453-1821)]
Έκδοση taexeiola Χριστίνα Τζιτζιλή
5) Τι ήταν οι Αρματολοί και ποια η δράση τους;
____________________________________________________________________
____________________________________________________________________
____________________________________________________________________
____________________________________________________________________
____________________________________________________________________
____________________________________________________________________
____________________________________________________________________
____________________________________________________________________
____________________________________________________________________
____________________________________________________________________
(Μονάδες 2)
6) Να γράψετε όσα ονόματα φημισμένων αρματολών γνωρίζετε.
____________________________________________________________________
____________________________________________________________________
____________________________________________________________________
____________________________________________________________________
____________________________________________________________________
____________________________________________________________________
(Μονάδες 2)
σελ.
60
Ιστορία Στ΄ Δημοτικού [Κριτήρια Αξιολόγησης & Διαγωνίσματα]
Ενότητα Β [Οι Έλληνες κάτω από την οθωμανική και τη λατινική κυριαρχία (1453-1821)]
Έκδοση taexeiola Χριστίνα Τζιτζιλή
1) Να κάνετε την αντιστοίχιση.
1) διομολογήσεις α)1774
2) Συνθήκη του Κάρλοβιτς β) εμπορικές συμφωνίες δυτικών
κρατών με τους Οθωμανούς
Σουλτάνους
3) Συνθήκή του Κιουτσούκ Καϊναρτζή γ) 1669
4) παροικίες δ) πληθυσμοί που μετκινούνταν
συνεχώς για την επιβίωση τους
5) νομάδες ε) εγκατάσταση και σύσταση κοινότητας
σε ξένο κράτος
(Μονάδα 1)
2) Να κατατάξετε τους λόγους και τα αποτελέσματα για την παρακμή της
Οθωμανικής Αυτοκρατορίας στην κατάλληλη στήλη.
(Οι έμποροι της Δυτικής Ευρώπης δεν αναγκάζονταν να περνούν από τα εδάφη της
γα να πάνε στην Κίνα ή την Ινδία, Γεωγραφικές ανακαλύψεις, Το νόμισμα της
υποτιμήθηκε, Χρήση νέων εμπορικών δρόμων, Τα κρατικά έσοδα από τους φόρους
εμπορίου μειώθηκαν, Η οικονομική δραστηριότητα πέρασε στα χέρια των Ελλήνων,
Τέλος κατακτήσεων)
5o
Κριτήριο Αξιολόγησης
Κεφ.5: Η οικονομική ζωή
σελ.
61
Ιστορία Στ΄ Δημοτικού [Κριτήρια Αξιολόγησης & Διαγωνίσματα]
Ενότητα Β [Οι Έλληνες κάτω από την οθωμανική και τη λατινική κυριαρχία (1453-1821)]
Έκδοση taexeiola Χριστίνα Τζιτζιλή
Λόγοι παρακμής Αποτελέσματα παρακμής
(Μονάδες 2)
3) Να χαρακτηρίσετε τις προτάσεις με (Σ) αν είναι σωστές και με (Λ) αν είναι
λανθασμένες και να δικαιολογήσετε τις απαντήσεις σας.
α) Οι Διομολογήσεις υπογράφηκαν ανάμεσα στις χώρες της Αντολικής
Ευρώπης με τους Οθωμανούς Σουλτάνους.
β) Λίγο πριν ξεσπάσει η Επανάσταση του 1821 η θέση των Ελλήνων
είχε χειροτερέψει λόγω της οικονομικής παρακμής.
γ) Η Ύδρα, η Χίος και τα Ψαρά έγιναν σημαντικά εμπορικά κέντρα.
δ) Τα πληρώματα του ελληνικού εμπορικού στόλου δεν είχαν καμία
εμπερία και γνώση.
ε) Η παρακμή της Οθωμανικής Αυτοκρατορίας είχε ως αποτέλεσμα την
υποτίμηση του νομίσματος.
σελ.
62
Ιστορία Στ΄ Δημοτικού [Κριτήρια Αξιολόγησης & Διαγωνίσματα]
Ενότητα Β [Οι Έλληνες κάτω από την οθωμανική και τη λατινική κυριαρχία (1453-1821)]
Έκδοση taexeiola Χριστίνα Τζιτζιλή
στ) Η οικονομία της Οθωμανικής Αυτοκρατορίας στηριζόταν κυρίως στις
αγροτικές καλλιέργειες.
(Μονάδες 2)
4) Σε ποιες δραστηριότητες βασιζόταν η οικονομία της Οθωμανικής
αυτοκρατορίας πριν την παρακμή της;
____________________________________________________________________
____________________________________________________________________
____________________________________________________________________
____________________________________________________________________
____________________________________________________________________
____________________________________________________________________
____________________________________________________________________
____________________________________________________________________
____________________________________________________________________
____________________________________________________________________
(Μονάδες 2)
5) Ποια ήταν τα αποτελέσματα της ανάπτυξης του ελληνικού εμπορίου και της
ναυσιπλοϊας;
____________________________________________________________________
____________________________________________________________________
____________________________________________________________________
____________________________________________________________________
σελ.
63
Ιστορία Στ΄ Δημοτικού [Κριτήρια Αξιολόγησης & Διαγωνίσματα]
Ενότητα Β [Οι Έλληνες κάτω από την οθωμανική και τη λατινική κυριαρχία (1453-1821)]
Έκδοση taexeiola Χριστίνα Τζιτζιλή
____________________________________________________________________
____________________________________________________________________
____________________________________________________________________
____________________________________________________________________
____________________________________________________________________
____________________________________________________________________
(Μονάδες 2)
6) Ποιες ήταν οι δύο συνθήκες που ωφέλησαν τους Έλληνες και πότε
υπογράφτηκαν;
____________________________________________________________________
____________________________________________________________________
____________________________________________________________________
____________________________________________________________________
____________________________________________________________________
(Μονάδα 1)
σελ.
64
Ιστορία Στ΄ Δημοτικού [Κριτήρια Αξιολόγησης & Διαγωνίσματα]
Ενότητα Β [Οι Έλληνες κάτω από την οθωμανική και τη λατινική κυριαρχία (1453-1821)]
Έκδοση taexeiola Χριστίνα Τζιτζιλή
1) Να βάλετε τα ονόματα των παροικιών στη σωστή στήλη.
(Παραδουνάβιες Ηγεμονίες, Καύκασος, Βλαχία, Κριμαία, Ουγγαρία, Οδησσός,
Βιέννη, Σερβία, Μολδαβία, Τεργέστη)
Έλληνες του Πόντου Έλληνες της Μακεδονίας Άλλοι Έλληνες
(Μονάδα 1)
2) Να βάλετε τα γεγονότα στην κατάλληλη στήλη ανάλογα με την περίοδο της
μετανάστευσης που ανήκουν.
(Ειρηνική μετανάστευση, Υποχρεωτική μετανάστευση, 17ος
-18ος
αιώνας, Ίδρυση
παροικιών σε παραθαλάσσιες πόλεις της Ιταλίας, Εθελοντική μετανάστευση, 15ος
-
16ος
αιώνας, Οικονομικά αίτια μετανάστευσης, Εγκατάσταση Ελλήνων κατά μήκος
των εμπορικών δρόμων, Μετακίνηση προς τα Βαλκάνια,Μετανάστευση λόγω των
πολεμικών συγκρούσεων και της επέκτασης των Τούρκων Μετακίνηση προς τα
Βαλκάνια)
6o
Κριτήριο Αξιολόγησης
Κεφ.6: Οι Έλληνες των παροικιών και των Παραδουνάβιων
Ηγεμονιών
σελ.
65
Ιστορία Στ΄ Δημοτικού [Κριτήρια Αξιολόγησης & Διαγωνίσματα]
Ενότητα Β [Οι Έλληνες κάτω από την οθωμανική και τη λατινική κυριαρχία (1453-1821)]
Έκδοση taexeiola Χριστίνα Τζιτζιλή
Πρώτη περίοδος μετανάστευσης Δεύτερη περίοδος μετανάστευσης
(Μονάδα 1,5)
3) Να χαρακτηρίσετε τις προτάσεις με (Σ) αν είναι σωστές και με (Λ) αν είναι
λανθασμένες και να δικαιολογήσετε τις απαντήσεις σας.
α) Η μετανάστευση κατά τη διάρκεια της Τουρκοκρατίαςς πραγματοποιή-
θηκε σε δύο χρονικές περιόδους.
β) Οι περισσότεροι πρόσφυγες κατάγονταν από την ηπειρωτική Ελλάδα.
γ) Οι Έλληνες της Διασποράς δεν ενδιαφέρονταν για τις τουρκοκρα-
τούμενες περιοχές.
δ) Οι Έλληνες μετανάστες δεν ασχολήθηκαν ούτε με την θρησκέια ούτε
με τα γράμματα.
ε) Το καταστατικό που συνέτασαν οι πολίτες περιελάμβανε τους σκοπούς,
την οργάνωση, τα δικαιώματα και τις υποχρεώσεις των μελών της κοινότητας.
στ) Η πνευματική αναγέννηση των υπόδουλων Ελλήνων ξεκίνησε τον 18ο
αιώνα
από τους Έλληνες της Διασποράς.
(Μονάδα 1,5)
σελ.
66
Ιστορία Στ΄ Δημοτικού [Κριτήρια Αξιολόγησης & Διαγωνίσματα]
Ενότητα Β [Οι Έλληνες κάτω από την οθωμανική και τη λατινική κυριαρχία (1453-1821)]
Έκδοση taexeiola Χριστίνα Τζιτζιλή
4) α) Στην πρώτη περίοδο της μετανάστευσης από πού κατάγονταν οι
περισσότεροι πρόσφυγες και πού εγκαταστάθηκαν;
β) Ποια ήταν τα κυριότερα επαγγέλματα που άσκησαν;
____________________________________________________________________
____________________________________________________________________
____________________________________________________________________
____________________________________________________________________
____________________________________________________________________
____________________________________________________________________
____________________________________________________________________
____________________________________________________________________
____________________________________________________________________
____________________________________________________________________
(Μονάδες 2)
5) Τι έκαναν οι Έλληνες μετανάστες όταν έφταναν στους νέους τόπους
εγκατάστασης;
____________________________________________________________________
____________________________________________________________________
____________________________________________________________________
____________________________________________________________________
____________________________________________________________________
____________________________________________________________________
____________________________________________________________________
____________________________________________________________________
σελ.
67
Ιστορία Στ΄ Δημοτικού [Κριτήρια Αξιολόγησης & Διαγωνίσματα]
Ενότητα Β [Οι Έλληνες κάτω από την οθωμανική και τη λατινική κυριαρχία (1453-1821)]
Έκδοση taexeiola Χριστίνα Τζιτζιλή
____________________________________________________________________
____________________________________________________________________
(Μονάδες 2)
6) Τι προσέφεραν οι Έλληνες της Διασποράς στην Τουρκοκρατούμενη Ελλάδα;
____________________________________________________________________
____________________________________________________________________
____________________________________________________________________
____________________________________________________________________
____________________________________________________________________
____________________________________________________________________
____________________________________________________________________
____________________________________________________________________
____________________________________________________________________
____________________________________________________________________
(Μονάδες 2)
σελ.
68
Ιστορία Στ΄ Δημοτικού [Κριτήρια Αξιολόγησης & Διαγωνίσματα]
Ενότητα Β [Οι Έλληνες κάτω από την οθωμανική και τη λατινική κυριαρχία (1453-1821)]
Έκδοση taexeiola Χριστίνα Τζιτζιλή
1) Να αντιστοιχίσετε τις μορφές του Νεοελληνικού Διαφωτισμού με την ιδιότητα
τους.
1) Δημήτριος Καταρτζής α) λόγιος μοναχός του Άγιου Όρους
2) Ευγένιος Βούλγαρης β) Φαναριώτης νομικός
3) Γρηγόριος Κωνσταντάς γ) συγγραφέας του βιβλίου «Γεωγραφία
Νεωτερική»
4) Κοσμάς ο Αιτωλός δ) Κερκυραίος κληρικός
5) Μιχαήλ Περδικάρης ε) Κοζανίτης γιατρός
(Μονάδα 1)
2) Να συμπληρώσετε τα κενά στο παρακάτω κείμενο.
Το .............. εκδόθηκε στην Ιταλία η ........................... .............................. , ένα έργο
άγνωστου συγγραφέα αφιερωμένο στον .................... ........................... . Στο
σημαντικό αυτό κείμενο του Διαφωτισμού καταδικάζεται η ................................ και
η ............................ και προβάλλεται ως ιδανική διοίκηση η ................................,
δηλαδή το πολίτευμα όπου εξουσιάζουν οι νόμοι.
(Μονάδα 1)
7o
Κριτήριο Αξιολόγησης
Κεφ.7: Οι δάσκαλοι του Γένους
σελ.
69
Ιστορία Στ΄ Δημοτικού [Κριτήρια Αξιολόγησης & Διαγωνίσματα]
Ενότητα Β [Οι Έλληνες κάτω από την οθωμανική και τη λατινική κυριαρχία (1453-1821)]
Έκδοση taexeiola Χριστίνα Τζιτζιλή
3) Να χαρακτηρίσετε τις προτάσεις με (Σ) αν είναι σωστές και με (Λ) αν είναι
λανθασμένες και να δικαιολογήσετε τις απαντήσεις σας.
α) Το ιδανικό πολίτευμα που που προβάλλεται στην «Ελληνική Νομαρχία»
είναι η νομαρχία.
β) Το κήρυγμα του άγιου Κοσμά του Αιτωλού δεν είχε επιρροή στον υπόδουλο
ελληνικό λαό.
γ) Οι δάσκαλοι του Γένους δίδασκαν σε ναούς, σε σχολεία και σε δημόσιους
χώρους.
δ) Η «Γεωγραφία Νεωτερική» γράφτηκε στην καθαρέυουσα.
ε) Η «Ελληνική Νομαρχία» γράφτηκε από τον Ρήγα Βελεστινλή.
στ) Ο Νεοελληνικός Διαφωτισμός ενίσχυσε τη θέληση του ελληνικού λαού
να αγωνιστεί για την ελευθερία του.
(Μονάδες 2)
4) Τι ήταν η «Ελληνική Νομαρχία»;
____________________________________________________________________
____________________________________________________________________
____________________________________________________________________
____________________________________________________________________
____________________________________________________________________
____________________________________________________________________
____________________________________________________________________
____________________________________________________________________
(Μονάδα 1)
σελ.
70
Ιστορία Στ΄ Δημοτικού [Κριτήρια Αξιολόγησης & Διαγωνίσματα]
Ενότητα Β [Οι Έλληνες κάτω από την οθωμανική και τη λατινική κυριαρχία (1453-1821)]
Έκδοση taexeiola Χριστίνα Τζιτζιλή
5) Τι ήταν οι δάσκαλοι του Γένους και ποιο το έργο τους;
____________________________________________________________________
____________________________________________________________________
____________________________________________________________________
____________________________________________________________________
____________________________________________________________________
____________________________________________________________________
____________________________________________________________________
____________________________________________________________________
____________________________________________________________________
(Μονάδες 2,5)
6) α) Τι ονομάστηκε Νεοελληνικός Διαφωτισμός;
β) Ποιος ήταν ο Κοσμάς ο Αιτωλός;
____________________________________________________________________
____________________________________________________________________
____________________________________________________________________
____________________________________________________________________
____________________________________________________________________
____________________________________________________________________
____________________________________________________________________
____________________________________________________________________
____________________________________________________________________
____________________________________________________________________
(Μονάδες 2,5)
σελ.
71
Ιστορία Στ΄ Δημοτικού [Κριτήρια Αξιολόγησης & Διαγωνίσματα]
Ενότητα Β [Οι Έλληνες κάτω από την οθωμανική και τη λατινική κυριαρχία (1453-1821)]
Έκδοση taexeiola Χριστίνα Τζιτζιλή
1) Να γράψετε δίπλα στο κάθε γεγονός στον πίνακα τη σωστή χρονολογία από
την παρένθεση.
(1790, 1757, 1748, 1797)
Γεννήθηκε ο Ρήγας Βελεστνλής
Ο Ρήγας ταξίδεψε στη Βιέννη
Οι Αυστριακοί συνέλαβαν τον Ρήγα και
τους συνεργάτες του
Γεννήθηκε ο Αδαμάντιος Κοραής
(Μονάδα 1)
2) Να κατατάξετε τα γεγονότα στη στήλη που ανήκουν.
(Γεννήθηκε στο Βελστίνο, Πίστευε στη λογική του ανθρώπου, Μετανάστευσε στο
Βουκουρέστι, Καταγόταν από τη Χίο, Στόχος του ήταν η απελέυθέρωση της
πατρίδας, Σπόυδασε ιατρική στη Γαλλία, Υπερασπίστηκε τη χρήση μια νέας
ελληνικής γλώσσας βασισμένης στην καθομιλουμένη, Συνετέλεσε στην ίδρυση του
Ελληνικού Κομιτάτου, Έγραψε τον Θούριο, Τον θανάτωσαν και τον έριξαν στον
ποταμό Δούναβη)
8o
Κριτήριο Αξιολόγησης
Κεφ.8: Ο Ρήγας Βελεστινλής και ο Αδαμάντιος Κοραής
σελ.
72
Ιστορία Στ΄ Δημοτικού [Κριτήρια Αξιολόγησης & Διαγωνίσματα]
Ενότητα Β [Οι Έλληνες κάτω από την οθωμανική και τη λατινική κυριαρχία (1453-1821)]
Έκδοση taexeiola Χριστίνα Τζιτζιλή
Ρήγας Βελεστινλής Αδαμάντιος Κοραής
(Μονάδα 1,5)
3) Να χαρακτηρίσετε τις προτάσεις με (Σ) αν είναι σωστές και με (Λ) αν είναι
λανθασμένες και να δικαιολογήσετε τις απαντήσεις σας.
α) Ο Ρήγας καταγόταν από πολύ πλούσια οικογένεια.
β) Η Αυστρία υποστήριξε την δράση του Ρήγα λόγω των καλών σχέσεων που
είχε τότε με την Οθωμανική Αυτοκρατορία.
γ) Ο Αδαμάντιος Κοραής γνώρισε τις φιλελέυθερες ιδέες στην Βιέννη
όπου ταξίδεψε.
δ) Ο Κοραής υποστήριζε τη χρήση της καθαρεύουσας.
ε) Ο Κοραής εξέδωσε την περίφημη «Χάρτα της Ελλάδας» που ήταν ένας
τεράστιος χάρτης της Ελλάδας.
στ) Ο Θούριος ήταν ένας επαναστατικός ύμνος, σύμβολο του αγώνα
για την ελευθερία.
(Μονάδες 2)
σελ.
73
Ιστορία Στ΄ Δημοτικού [Κριτήρια Αξιολόγησης & Διαγωνίσματα]
Ενότητα Β [Οι Έλληνες κάτω από την οθωμανική και τη λατινική κυριαρχία (1453-1821)]
Έκδοση taexeiola Χριστίνα Τζιτζιλή
4) Ποιο ήταν το συγγραφικό και το εκδοτικό έργο του Ρήγα Βελεστινλή;
____________________________________________________________________
____________________________________________________________________
____________________________________________________________________
____________________________________________________________________
____________________________________________________________________
____________________________________________________________________
____________________________________________________________________
____________________________________________________________________
____________________________________________________________________
(Μονάδες 2)
5) Ποιο ήταν το συγγραφικό έργο του Αδαμάντιου Κοραή και ποια η βασική
φιλοσοφική του αρχή;
____________________________________________________________________
____________________________________________________________________
____________________________________________________________________
____________________________________________________________________
____________________________________________________________________
____________________________________________________________________
____________________________________________________________________
____________________________________________________________________
____________________________________________________________________
____________________________________________________________________
(Μονάδες 2)
σελ.
74
Ιστορία Στ΄ Δημοτικού [Κριτήρια Αξιολόγησης & Διαγωνίσματα]
Ενότητα Β [Οι Έλληνες κάτω από την οθωμανική και τη λατινική κυριαρχία (1453-1821)]
Έκδοση taexeiola Χριστίνα Τζιτζιλή
6) Ποιο ήταν το όραμα του Ρήγα Βελεστινλή;
____________________________________________________________________
____________________________________________________________________
____________________________________________________________________
____________________________________________________________________
____________________________________________________________________
(Μονάδα 1,5)
σελ.
75
Ιστορία Στ΄ Δημοτικού [Κριτήρια Αξιολόγησης & Διαγωνίσματα]
Ενότητα Β [Οι Έλληνες κάτω από την οθωμανική και τη λατινική κυριαρχία (1453-1821)]
Έκδοση taexeiola Χριστίνα Τζιτζιλή
1) Να αντιστοιχίσετε τα γεγονότα με τις ημερομηνίες.
1) Ναυμαχία της Ναυπάκτου α) 1600
2) Οι Βενετοί κατέλαβαν σχεδόν όλη την
Πελοπόννησο
β) 1571
3) Ο Μητροπολίτης Λαρίσης Διονύσιος
ξεσήκωσε τους υπόδουλους έλληνες
στην ορεινή Θεσσαλία
γ) 1699
4) Οι αδελφοί Ορλώφ έφτασαν στη
Μάνη
δ) 1774
5) Συνθήκη του Κιουτσούκ Καϊναρτζή ε) 1770
6) Οι Έλληνες συνειδητοποίησαν ότι
κάθε πρωτοβουλία για απελευθέρωση
έπρεπε να προέλθει από τους ίδιους.
στ) 1800
(Μονάδα 1,5)
2) Να κάνεις την αντιστόιχιση.
1) Μητροπολίτης Λαρίσης Διονύσιος α) Κλέφτης και πατέρας του ήρωα της
Επανάστασης Οδυσσέα Ανδρούτσου
2) Λάμπρος Κατσώνης β) Ξεσήκωσε τους υπόδουλους Έλληνες
9o
Κριτήριο Αξιολόγησης
Κεφ.9: Τα κυριότερα επαναστατικά κινήματα
σελ.
76
Ιστορία Στ΄ Δημοτικού [Κριτήρια Αξιολόγησης & Διαγωνίσματα]
Ενότητα Β [Οι Έλληνες κάτω από την οθωμανική και τη λατινική κυριαρχία (1453-1821)]
Έκδοση taexeiola Χριστίνα Τζιτζιλή
στην ορεινή Θεσσαλία
3) Γεώργιος Ανδρίτσος γ) Καταγόταν από τη Λιβαδειά και ήταν
αξιωματικός του ρωσικού στρατού.
(Μονάδα 1)
3) Να χαρακτηρίσετε τις προτάσεις με (Σ) αν είναι σωστές και με (Λ) αν είναι
λανθασμένες και να δικαιολογήσετε τις απαντήσεις σας.
α) Στη ναυμαχία της Ναυπάκτου ο τούρκικος στόλος νίκησε πανηγυρικά.
β) Οι ελπίδες των υπόδουλων Ελλήνων αναπτερώθηκαν καθώς κυκλοφο-
ρούσαν διαδόσεις ότι το «ξανθό γένος» θα τους απελευθέρωνε.
γ) Στα τέλη του 18ου
αιώνα η ελπίδα των Ελλήνων για
απελευθέρωση εξακολουθούσε να στηρίζεται τους Ρώσους.
δ) Το κίνημα του Μητροπολίτη Λαρίσης Διονύσιος πέτυχε.
(Μονάδα 1,5)
4) α) Πότε και πού έγιναν οι πρώτες εξεγέρσεις υπόδουλων Ελλήνων εναντίον
των Οθωμανών;
β) Ποια ήταν η δράση του Μητροπολίτη Λαρίσης Διονύσιος;
____________________________________________________________________
____________________________________________________________________
____________________________________________________________________
____________________________________________________________________
____________________________________________________________________
σελ.
77
Ιστορία Στ΄ Δημοτικού [Κριτήρια Αξιολόγησης & Διαγωνίσματα]
Ενότητα Β [Οι Έλληνες κάτω από την οθωμανική και τη λατινική κυριαρχία (1453-1821)]
Έκδοση taexeiola Χριστίνα Τζιτζιλή
____________________________________________________________________
____________________________________________________________________
____________________________________________________________________
____________________________________________________________________
____________________________________________________________________
(Μονάδες 2)
5) Πού εναπόθεσαν τις ελπίδες τους αρχικά οι υπόδουλοι Έλληνες και πως
εξελίχτηκαν οι ελπίδες αυτές;
____________________________________________________________________
____________________________________________________________________
____________________________________________________________________
____________________________________________________________________
____________________________________________________________________
____________________________________________________________________
____________________________________________________________________
____________________________________________________________________
____________________________________________________________________
____________________________________________________________________
(Μονάδες 2)
6) Ποιες ήταν οι συνέπειες τη συνθήκης του Κιουτσούκ Καϊναρτζή;
____________________________________________________________________
____________________________________________________________________
____________________________________________________________________
σελ.
78
Ιστορία Στ΄ Δημοτικού [Κριτήρια Αξιολόγησης & Διαγωνίσματα]
Ενότητα Β [Οι Έλληνες κάτω από την οθωμανική και τη λατινική κυριαρχία (1453-1821)]
Έκδοση taexeiola Χριστίνα Τζιτζιλή
____________________________________________________________________
____________________________________________________________________
____________________________________________________________________
____________________________________________________________________
____________________________________________________________________
____________________________________________________________________
____________________________________________________________________
(Μονάδες 2)
σελ.
79
Ιστορία Στ΄ Δημοτικού [Κριτήρια Αξιολόγησης & Διαγωνίσματα]
Ενότητα Β [Οι Έλληνες κάτω από την οθωμανική και τη λατινική κυριαρχία (1453-1821)]
Έκδοση taexeiola Χριστίνα Τζιτζιλή
1) Να χαρακτηρίσετε τις προτάσεις με (Σ) αν είναι σωστές και με (Λ) αν είναι
λανθασμένες και να δικαιολογήσετε τις απαντήσεις σας.
α) Οι Σουλιώτες δεν ήταν ικανοί πολεμιστές.
β) Οι Τούρκοι δεν μπορούσαν να υποτάξουν τους Σουλιώτες εύκολα.
γ) Οι Τούρκοι κατέκτησαν το Σούλι το 1803 μετά από πολλές προσπάθειες.
δ) Ο Αλή Πασάς των Ιωαννίνων δεν κατάφερε να μειώσει τη δύναμη του
Σουλίου.
ε) Ο καλόγερος Σαμουήλ τράπηκε σε φυγή όταν οι Τούρκοι κατέλαβαν τον
οχυρό λόφο Κούγκι.
στ) Οι Σουλιώτες αρνήθηκαν να βοηθήσουν τον Σουλτάνο να εξοντώσει
τον Αλή Πασά γιατί δεν τους προσφέρθηκε αντάλλαγμα .
(Μονάδες 2)
2) Να συμπληρώσεις τα κενά με τις κατάλληλες λέξεις.
Οι κάτοικοι του Σουλίου ήταν .................... που μιλούσαν ............................. και
............................. . Συχνά έκαναν ........................... στα χωριά του κάμπου, για να
εξασφαλίσουν ........................... και ............................... . Οι Σουλιώτες συνήθιζαν
να πολεμούν οχυρωμένοι πίσω από ................................... ............................. .
Δρούσαν ακόμα και τη ..................... και δε δίσταζαν να επιτεθούν με τα
....................... τους σε μεγαλύτερο αριθμό αντιπάλων.
(Μονάδα 1,5)
10o
Κριτήριο Αξιολόγησης
Κεφ.10: Οι αγώνες των Σουλιωτών
σελ.
80
Ιστορία Στ΄ Δημοτικού [Κριτήρια Αξιολόγησης & Διαγωνίσματα]
Ενότητα Β [Οι Έλληνες κάτω από την οθωμανική και τη λατινική κυριαρχία (1453-1821)]
Έκδοση taexeiola Χριστίνα Τζιτζιλή
3) Να βάλετε σε χρονολογική σειρά τα γεγονότα.
(Οι Σουλιώτες επέστρεψαν στα χωριά τους, Οι Τούρκοι κατέκτησαν το Σούλι, Οι
Σουλιώτες έσπασαν τον κλοιό των Τούρκων, Οι Σουλιώτες εγκατέλειψαν το Σούλι
και διασκορπίστηκαν στην Στερεά Ελλάδα και την Πελοπόννησο, Κατάληψη του
οχυρού λόφου Κούγκι)
1. ...........................................................................................................................
2. ...........................................................................................................................
3. ...........................................................................................................................
4. ...........................................................................................................................
5. ...........................................................................................................................
(Μονάδα 1,5)
4) Πότε κατέλαβε ο Αλή Πασάς το Σούλι και με ποια μέθοδο;
____________________________________________________________________
____________________________________________________________________
____________________________________________________________________
____________________________________________________________________
____________________________________________________________________
____________________________________________________________________
____________________________________________________________________
____________________________________________________________________
____________________________________________________________________
____________________________________________________________________
(Μονάδα 1,5)
σελ.
81
Ιστορία Στ΄ Δημοτικού [Κριτήρια Αξιολόγησης & Διαγωνίσματα]
Ενότητα Β [Οι Έλληνες κάτω από την οθωμανική και τη λατινική κυριαρχία (1453-1821)]
Έκδοση taexeiola Χριστίνα Τζιτζιλή
5) Γιατί οι Σουλιώτες θεωρούνταν ικανοί πολεμιστές;
____________________________________________________________________
____________________________________________________________________
____________________________________________________________________
____________________________________________________________________
____________________________________________________________________
____________________________________________________________________
____________________________________________________________________
____________________________________________________________________
____________________________________________________________________
____________________________________________________________________
(Μονάδα 1,5)
6) Τι συνέβη τελικά με τους Σουλιώτες;
____________________________________________________________________
____________________________________________________________________
____________________________________________________________________
____________________________________________________________________
____________________________________________________________________
____________________________________________________________________
____________________________________________________________________
____________________________________________________________________
____________________________________________________________________
____________________________________________________________________
(Μονάδες 2)
σελ.
82
Ιστορία Στ΄ Δημοτικού [Κριτήρια Αξιολόγησης & Διαγωνίσματα]
Ενότητα Β [Οι Έλληνες κάτω από την οθωμανική και τη λατινική κυριαρχία (1453-1821)]
Έκδοση taexeiola Χριστίνα Τζιτζιλή
1) Να αντιστοιχίσετε αυτά που ταιριάζουν.
1) Ρήγας Βελεστινλής α) Αξιωματικός του ρωσικού στρατού
2) Μάξιμος Γραίκος β) Δάσκαλος του Γένους
3) Κατσαντώνης γ) Μορφή του Νεοελληνικού
Διαφωτισμού, μοναχός, ιεροκήρυκας
και μάρτυρας
4) Κοσμάς ο Αιτωλός δ) Ορθόδοξος κληρικός που
καλλιέργησε τις σχέσεις με τους Ρώσους
5) Λάμπρος Κατσαντώνης ε) Αρματολός από τη Ρούμελη
(Μονάδα 1)
2) Να γράψετε τους ορισμούς για τις παρακάτω λέξεις.
 Παιδομάζωμα: _________________________________________________
_________________________________________________________________
 Εξισλαμισμοί: __________________________________________________
_________________________________________________________________
 Διομολογήσεις: _________________________________________________
_________________________________________________________________
 Παροικίες: _____________________________________________________
_________________________________________________________________
(Μονάδες 2)
1ο
Επαναληπτικό Διαγώνισμα
για την Β’ Ενότητα
σελ.
83
Ιστορία Στ΄ Δημοτικού [Κριτήρια Αξιολόγησης & Διαγωνίσματα]
Ενότητα Β [Οι Έλληνες κάτω από την οθωμανική και τη λατινική κυριαρχία (1453-1821)]
Έκδοση taexeiola Χριστίνα Τζιτζιλή
3) Να συμπληρώσεις τα κενά με τις κατάλληλες λέξεις.
Οι ............................... ανακαλύψεις, η χρήση νέων ...............................
........................... και ο τερματισμός των .................................. συνέβαλαν στην
................................. της Οθωμανικής Αυτοκρατορίας. Οι έμποροι από τη
............................... ............................ δεν ήταν υποχρεωμένοι να περνούν από το
................................... της για να πάνε στην ...................... ή την ............................. .
Έτσι τα κρατικά έσοδα από τους ................................ του εμπορίου σταδιακά
.................................. και το νόμισμα .............................. .
Ο ..................... , γιος εμπόρου, γεννήθηκε το ........................ στο Βελεστίνο της
Θεσσαλίας, το οποίο στην αρχαιότητα ονομαζόταν ............................. .Νεαρός
ακόμη, μπήκε στην υπηρεσία των .............................. στην Κωνσταντινούπολη και
έπετα μετανάστευσε στο ............................, ως γραμματέας του ηγεμόνα της
Βλαχίας. Εκεί επηρεάστηκε από τις ................................. ..................................
ιδέες, κάνοντας κύριο στόχο του την ................................. της
....................................
(Μονάδα 2)
4) Ποιους φημισμένους Αρματολούς γνωρίζετε;
____________________________________________________________________
____________________________________________________________________
____________________________________________________________________
____________________________________________________________________
____________________________________________________________________
____________________________________________________________________
σελ.
84
Ιστορία Στ΄ Δημοτικού [Κριτήρια Αξιολόγησης & Διαγωνίσματα]
Ενότητα Β [Οι Έλληνες κάτω από την οθωμανική και τη λατινική κυριαρχία (1453-1821)]
Έκδοση taexeiola Χριστίνα Τζιτζιλή
____________________________________________________________________
____________________________________________________________________
____________________________________________________________________
____________________________________________________________________
(Μονάδα 1)
5) Τι γνωρίζετε για την δεύτερη περίοδο μετανάστευσης;
____________________________________________________________________
____________________________________________________________________
____________________________________________________________________
____________________________________________________________________
____________________________________________________________________
____________________________________________________________________
____________________________________________________________________
____________________________________________________________________
____________________________________________________________________
____________________________________________________________________
(Μονάδες 2)
6) Ποια ήταν η θέση του Οικουμενικού Πατριαρχείου κατά την Τουρκοκρτία και
ποιες αρμοδιότητες είχε;
____________________________________________________________________
____________________________________________________________________
____________________________________________________________________
____________________________________________________________________
σελ.
85
Ιστορία Στ΄ Δημοτικού [Κριτήρια Αξιολόγησης & Διαγωνίσματα]
Ενότητα Β [Οι Έλληνες κάτω από την οθωμανική και τη λατινική κυριαρχία (1453-1821)]
Έκδοση taexeiola Χριστίνα Τζιτζιλή
____________________________________________________________________
____________________________________________________________________
____________________________________________________________________
____________________________________________________________________
____________________________________________________________________
____________________________________________________________________
(Μονάδες 2)
σελ.
86
Ιστορία Στ΄ Δημοτικού [Κριτήρια Αξιολόγησης & Διαγωνίσματα]
Ενότητα Β [Οι Έλληνες κάτω από την οθωμανική και τη λατινική κυριαρχία (1453-1821)]
Έκδοση taexeiola Χριστίνα Τζιτζιλή
1) Απαντήστε σύντομα στις ερωτήσεις.
α) Ποιος πολεμιστής είχε ορμητήριο του τη Μάνη;
____________________________________________________________________
β) Ποιοι λόγοι συνέβαλαν στην παρακμή της Οθωμανικής Αυτοκρατορίας;
____________________________________________________________________
γ) Πως λεγόταν οι εμπορικές συμφωνίες που έκανα οι δυτικές χώρες με τους
Οθωμανούς Σουλτάνους;
___________________________________________________________________
δ) Ποιο ήταν το πρώτο μέλημα των Ελλήνων μεταναστών στη νέα τους πατρίδα;
___________________________________________________________________
(Μονάδα 1)
2) Να χαρακτηρίσετε τις προτάσεις με (Σ) αν είναι σωστές και με (Λ) αν είναι
λανθασμένες και να δικαιολογήσετε τις απαντήσεις σας.
α) Οι Προεστοί είχαν αξιόλογη μόρφωση και κατείχαν υψηλά αξιώματα στην
οθωμανική διοίκηση.
β) Οι ιεράρχες και οι Φαναριώτες ήταν ανεξάρτητοι από τον Σουλτάνο.
γ) Την παροικία της Οδησσού την ίδρυσαν οι Έλληνες της Μακεδονίας.
δ) Οι ξένες δυνάμεις είχαν καλές σχέσεις με την Οθωμανική Αυτοκρατορία
και γι αυτό δεν βηθούσαν τους Σουλιώτες.
2ο
Επαναληπτικό Διαγώνισμα
για την Β’ Ενότητα
σελ.
87
Ιστορία Στ΄ Δημοτικού [Κριτήρια Αξιολόγησης & Διαγωνίσματα]
Ενότητα Β [Οι Έλληνες κάτω από την οθωμανική και τη λατινική κυριαρχία (1453-1821)]
Έκδοση taexeiola Χριστίνα Τζιτζιλή
ε) Την εξουσία στα Ιόνια νησιά κατείχαν οι Βενετοί ως το 1797.
(Μονάδα 1)
3) Να συμπληρώσετε το σταυρόλεξο.
σελ.
88
Ιστορία Στ΄ Δημοτικού [Κριτήρια Αξιολόγησης & Διαγωνίσματα]
Ενότητα Β [Οι Έλληνες κάτω από την οθωμανική και τη λατινική κυριαρχία (1453-1821)]
Έκδοση taexeiola Χριστίνα Τζιτζιλή
ΟΡΙΖΟΝΤΙΑ
1) Σε εκείνη τη συνοικία βρίσκεται σήμερα η έδρα του Πατριαρχείου.
2) Ονομάστηκαν οι Έλληνες μετανάστες. (αντίστροφα)
3) Σύμβολο αντίστασης των υπόδουλων Ελλήνων στους Οθωμανούε
Τούρκους.
ΚΑΘΕΤΑ
1) «Ελληνική ............» ονομάστηκε το κείμενο που αφιερώθηκε στον Ρήγα.
2) Αλλιώς οι Προεστοί.
3) Εκεί εγκαταστάθηκαν οι περισσότεροι μετανάστες την πρώτη περίοδο της
μετανάστευσης.
(Μονάδες 2)
4) Τι γνωρίζεις για τη ζωή του Αδαμάντιου Κοραή;
____________________________________________________________________
____________________________________________________________________
____________________________________________________________________
____________________________________________________________________
____________________________________________________________________
____________________________________________________________________
____________________________________________________________________
____________________________________________________________________
____________________________________________________________________
____________________________________________________________________
(Μονάδες 2)
σελ.
89
Ιστορία Στ΄ Δημοτικού [Κριτήρια Αξιολόγησης & Διαγωνίσματα]
Ενότητα Β [Οι Έλληνες κάτω από την οθωμανική και τη λατινική κυριαρχία (1453-1821)]
Έκδοση taexeiola Χριστίνα Τζιτζιλή
5) Πώς έδρασε ο Λάμπρος Κατσαντώνης και ποιος ήταν μαζί του στις
επιχειρήσεις;
____________________________________________________________________
____________________________________________________________________
____________________________________________________________________
____________________________________________________________________
____________________________________________________________________
____________________________________________________________________
____________________________________________________________________
____________________________________________________________________
____________________________________________________________________
(Μονάδα 1)
6) Πώς οδηγήθηκε στην παρακμή η Οθωαμνική Αυτοκρατορία και ποιες ήταν οι
συνέπειες της;
____________________________________________________________________
____________________________________________________________________
____________________________________________________________________
____________________________________________________________________
____________________________________________________________________
____________________________________________________________________
____________________________________________________________________
____________________________________________________________________
____________________________________________________________________
(Μονάδες 2)
σελ.
90
Ιστορία Στ΄ Δημοτικού [Κριτήρια Αξιολόγησης & Διαγωνίσματα]
Ενότητα Β [Οι Έλληνες κάτω από την οθωμανική και τη λατινική κυριαρχία (1453-1821)]
Έκδοση taexeiola Χριστίνα Τζιτζιλή
ΑΑππααννττήήσσεειιςς 11οουυ
ΚΚρριιττηηρρίίοουυ ΑΑξξιιοολλόόγγηησσηηςς
Απάντηση Θέματος 1
1-δ, 2-γ, 3-στ, 4-ζ, 5-β, 6-ε, 7-α
Απάντηση θέματος 2
1-β, 2-γ, 3-α, 4-δ
Απάντηση θέματος 3
α- Λ Οι δύο πρώτοι αιώνες της Τουρκοκρατίας ήταν δυσκολότεροι για τους
Χριστιανούς και βελτιώθηκαν τους δύο επόμενους αιώνες, από τα μέσα
του 16ου
αιώνα.
β- Λ Ολόκληρη η ελληνική Χερσόνησος πέρασε την οθωμανική κυριαρχία. Μόνο τα
Ιόνια Νησιά, με εξαίρεση τη Λευκάδα για κάποια χρονικά διαστήματα, δεν
πέρασαν στην οθωμανική εξουσία.
γ- Σ
δ- Λ Οι Χριστιανοί της Δύσης, κυρίως οι Βενετοί, συνέβαλαν στην οικονομική
παρακμή των ντόπιων κατοίκων.
ε- Σ
Απαντήσεις Θεμάτων Ενότητας Β΄
σελ.
91
Ιστορία Στ΄ Δημοτικού [Κριτήρια Αξιολόγησης & Διαγωνίσματα]
Ενότητα Β [Οι Έλληνες κάτω από την οθωμανική και τη λατινική κυριαρχία (1453-1821)]
Έκδοση taexeiola Χριστίνα Τζιτζιλή
στ- Λ Οι Έλληνες των βενετοκρατούμενων περιοχών δεν είχαν δικαίωμα να
συμμετέχουν στη διοίκηση ενώ τα ανώτερα θρησκευτικά αξιώματα κατείχαν οι
Βενετοί.
Απάντηση θέματος 4
Από τον 13ο
αιώνα η Βυζαντινή αυτοκρατορία αντιμετώπιζε πολλά πολιτικά,
κοινωνικά και οικονομικά προβλήματα . Ξένοι λαοί από το Βορρά και την Ανατολή
έρχονταν στα εδάφη τους ειρηνικά ή με βίαιο τρόπο. Επιπλέον, οι Χριστιανοί της
Δύσης, κυρίως οι Βενετοί εκμεταλλεύονταν τα σημαντικότερα εμπορικά λιμάνια
προκαλώντας την οικονομική παρακμή των ντόπιων. Η κατάληξη ήταν η άλωση της
Κωνσταντινούπολης το 1453.
Απάντηση θέματος 5
Οι δύο πρώτοι αιώνες της Τουρκοκρατίας ήταν οι δυσκολότεροι για τους
Χριστιανούς. Την περίοδο αυτή σημειώθηκαν μεγάλες δημογραφικές οικονομικές
και κοινωνικές αλλαγές. Κάτοικοι μετακινήθηκαν σε ορεινές περιοχές της
Οθωμανικής Αυτοκρατορίας ενώ βυζαντινοί αυτοκράτορες εξαφανίστηκαν μετά
την Άλωση και αρκετοί λόγιοι έφυγαν στην Δυτική Ευρώπη. Οι υπόδουλοι Έλληνες
όμως κατάφεραν να μην αφομοιωθούν από τους Οθωμανούς και να διαφυλάξουν
τη γλώσσα, την παράδοση και την θρησκεία με την βοήθεια της Εκκλησίας.
Απάντηση θέματος 6
Τουρκοκρατία ονομάζεται το χρονικό διάστημα από την κατάκτηση της
ελληνικής Χερσονήσου, στα μέσα του 15ου
αιώνα, μέχρι τη Μεγάλη Επανάσταση
του 1821, που οδήγησε στο σχηματισμό του νέου ελληνικού κράτους.
σελ.
92
Ιστορία Στ΄ Δημοτικού [Κριτήρια Αξιολόγησης & Διαγωνίσματα]
Ενότητα Β [Οι Έλληνες κάτω από την οθωμανική και τη λατινική κυριαρχία (1453-1821)]
Έκδοση taexeiola Χριστίνα Τζιτζιλή
ΑΑππααννττήήσσεειιςς 22οουυ
ΚΚρριιττηηρρίίοουυ ΑΑξξιιοολλόόγγηησσηηςς
Απάντηση θέματος 1
1-β, 2-α, 3-δ, 4-γ
Απάντηση θέματος 2
1-δ, 2-γ, 3-β, 4-α
Απάντηση θέματος 3
α- Λ Οι φόροι ήταν πολλοί περισσότεροι για τους υπόδουλους Έλληνες από
αυτούς που πλήρωναν οι Μουσουλμάνοι.
β-Λ Οι υπόδουλοι Έλληνες αναγκάστηκαν να μετακινηθούν σε απομακρυσμένες
και ορεινές περιοχές καθώς τούρκικα και άλλα φύλα εγκαταστάθηκαν στα
εύφορα εδάφη.
γ-Λ Τα σοβαρά παραπτώματα των χριστιανών δικάζονταν σε μουσουλμανικά
δικαστήρια, τα ιεροδικεία και όχι στα εκκλησιαστικά δικαστήρια.
δ-Σ
ε) Οι Οθωμανοί σουλτάνοι είχαν παραχωρήσει κάποιες ελευθερίες στους
υπηκόους τους ωστόσο στην καθημερινότητα υπήρχαν πολλοί περιορισμοί που
έκανα τη ζωή σκληρή.
στ-Σ
Απάντηση θέματος 4
σελ.
93
Ιστορία Στ΄ Δημοτικού [Κριτήρια Αξιολόγησης & Διαγωνίσματα]
Ενότητα Β [Οι Έλληνες κάτω από την οθωμανική και τη λατινική κυριαρχία (1453-1821)]
Έκδοση taexeiola Χριστίνα Τζιτζιλή
Οι Φαναριώτες ήταν παλιές σημαντικές βυζαντινές οικογένειες που την
περίοδο της τούρκικης κατάκτησης παρέμειναν στην Κωνσταντινούπολη και
ενώθηκαν με Έλληνες που έφτασαν στην Πόλη από την Καραμανια, τον Πόντο ή τα
νησιά του Αιγαίου. Σχημάτισαν μια νέα άρχουσα τάξη γύρω από το Πατριαρχείο
και ασχολήθηκαν με τη βιοτεχνία και το εμπόριο απ’ όπου πλούτισαν. Τον 17ο
αιώνα οι Φαναριώτες ανέπτυξαν σημαντικό εθνικό ρόλο και προσέφεραν πολλά σε
τομείς όπως η εκπαίδευση.
Απάντηση θέματος 5
Η καθημερινότητα των υποδούλων Χριστιανών, παρά τις κάποιες ελευθερίες
που τους παραχωρούσαν οι Οθωμανοί Σουλτάνοι, ήταν γεμάτη περιορισμούς
ειδικά τους πρώτους αιώνες της Τουρκοκρατίας. Πρώτα απ’ όλα, ήταν
αναγκασμένοι να κατοικούν σε φτωχικές γειτονιές και επιπλέον στον στρατό
κατείχαν μόνο βοηθητικές θέσεις ως ναύτες και ως οδηγοί. Ακόμη, οι σημαντικές
δικαστικές υποθέσεις τους δεν εξετάζονταν στα εκκλησιαστικά δικαστήρια αλλά
στα μουσουλμανικά ιεροδικεία.
Απάντηση θέματος 6
Οι Έλληνες αντιμετώπιζαν πολύ σκληρά μέτρα ειδικά τους πρώτους αιώνες της
τούρκικης κυριαρχίας. Συγκεκριμένα, τα μέτρα αυτά ήταν οι σφαγές, οι
αιχμαλωσίες, οι εξισλαμισμοί, το παιδομάζωμα αλλά και η εγκατάσταση
τούρκικων και άλλων φύλων στις εύφορες περιοχές. Το αποτέλεσμα ήταν να
μετακινηθούν οι Έλληνες υποχρεωτικά τόσο στο εξωτερικό όσο και σε
απομακρυσμένες και ορεινές περιοχές στο εσωτερικό.
σελ.
94
Ιστορία Στ΄ Δημοτικού [Κριτήρια Αξιολόγησης & Διαγωνίσματα]
Ενότητα Β [Οι Έλληνες κάτω από την οθωμανική και τη λατινική κυριαρχία (1453-1821)]
Έκδοση taexeiola Χριστίνα Τζιτζιλή
ΑΑππααννττήήσσεειιςς 33οουυ
ΚΚρριιττηηρρίίοουυ ΑΑξξιιοολλόόγγηησσηηςς
Απάντηση θέματος 1
1-β, 2-γ, 3-α
Απάντηση θέματος 2
Οικουμενικό Πατριαρχείο Φαναριώτες Προεστοί ή Δημογέροντες
Θρησκευτικά καθήκοντα
Διοικητικές αρομοδιότητες
Ίδρυση σχολείων
Επιβολή φορολογίας στους
πιστούς
Εκπρόσωπος του ρουμ
μιλέτ
Κατείχαν υψηλά
αξιώματα στην
οθωμανική εξουσία
Είχαν αξιόλογη
μόρφωση και γνώριζαν
ξένες γλώσσες
Κοινοτικοί άρχοντες
εποχής
Γνωστοί ως επίτροποι
Υπολόγιζαν τον φόρο που
αναλογούσε σε κάθε
κάτοικο
σελ.
95
Ιστορία Στ΄ Δημοτικού [Κριτήρια Αξιολόγησης & Διαγωνίσματα]
Ενότητα Β [Οι Έλληνες κάτω από την οθωμανική και τη λατινική κυριαρχία (1453-1821)]
Έκδοση taexeiola Χριστίνα Τζιτζιλή
Απάντηση θέματος 3
α-Λ Οι Οθωμανοί Τούρκοι κατήργησαν τη βυζαντινή διοίκηση αλλά φάνηκαν πιο
ανεκτικοί απέναντι στο Οικουμενικό Πατριαρχείο.
β-Λ Οι ιεράρχες και οι Φαναριώτες ήταν απόλυτα εξαρτημένοι από τον Σουλτάνο.
γ-Σ
δ-Λ Κάποιοι ορθόδοξοι κληρικοί αντιμετώπιζαν την τούρκικη κατάκτηση ως
θεραπεία σταλμένη από το Θεό για τα σφάλματα των Βυζαντινών
αυτοκρατόρων ενώ κάποιοι άλλοι αμφισβητούσαν την υποταγή στους Τούρκους.
ε-Λ Οι προεστοί ή δημογέροντες λέγονταν και κοτσαμπάσηδες.
στ-Σ
Απάντηση θέματος 4
Από τη μια πλευρά μερικοί ορθόδοξοι κληρικοί θεώρησαν την τούρκικη
κυριαρχία ως θεραπεία θεόσταλτη για τα λάθη που έκαναν οι Βυζαντινοί
αυτοκράτορες και ο βυζαντινός λαός.
Από την άλλη όμως υπήρχαν κάποιοι άλλοι κληρικοί που αμφισβητούσαν την
τούρκικη υποταγή. Αυτοί ήταν ο Πατριάρχης Νεόφυτος ο Β’ που ήταν
επηρεασμένος από τις ευρωπϊκές ιδέες και ο μοναχός Μάξιμος ο Γραίκος που
καλλιέργησε στενότερες επαφές με τους Ρώσους και ανακυρήχθηκε άγιος στη
Μόσχα. Μάλιστα οι σχέσεις που αναπύχθηκαν έκαναν τους υπόδουλους Έλληνες
να ταυτίζουν τους Ρώσους με το «ξανθό γένος» που θα απελευθέρωνε την
Κωνσταντινούπολη από τους άπιστους.
σελ.
96
Ιστορία Στ΄ Δημοτικού [Κριτήρια Αξιολόγησης & Διαγωνίσματα]
Ενότητα Β [Οι Έλληνες κάτω από την οθωμανική και τη λατινική κυριαρχία (1453-1821)]
Έκδοση taexeiola Χριστίνα Τζιτζιλή
Απάντηση θέματος 5
Οι κοινοτικοί άρχοντες την εποχή της Τουρκοκρατίας ήταν γνωστοί ως
επίτροποι, δημογέροντες, προεστοί και κοτζαμπάσηδες. Ο ρόλος τους ήταν να
υπολογίζουν τον φόρο που αναλογούσε σε κάθε κάτοικο για λογαριασμό της
οθωμανικής διοίκησης. Όσο περνούσε ο χρόνος αρκετοί από αυτούς απέκτησαν
μεγάλη περιουσία και πολιτική δύναμη.
Απάντηση θέματος 6
Οι Τούρκοι αναγνωρίζοντας ότι δεν είχαν κατάλληλα οργανωμένο διοικητικό
μηχανισμό υποχρεώθηκαν να σεβαστούν την τοπική ηγεσία κάθε χωριού και να
τους αναθέσουν τον υπολιγσμό της φορολογίας για τους κατοίκους.
σελ.
97
Ιστορία Στ΄ Δημοτικού [Κριτήρια Αξιολόγησης & Διαγωνίσματα]
Ενότητα Β [Οι Έλληνες κάτω από την οθωμανική και τη λατινική κυριαρχία (1453-1821)]
Έκδοση taexeiola Χριστίνα Τζιτζιλή
ΑΑππααννττήήσσεειιςς 44οουυ
ΚΚρριιττηηρρίίοουυ ΑΑξξιιοολλόόγγηησσηηςς
Απάντηση θέματος 1
1-β, 2-γ, 3-δ, 4-ε, 5-α
Απάντηση θέματος 2
1-γ, 2-δ, 3-β, 4-α
Απάντηση θέματος 3
α-Λ Οι Κλέφτες ήταν σύμβολο αντίστασης των υπόδουλων Ελλήνων ενάντια
στους κατακτητές.
β-Λ Οι Αρματολοί συνεργάζονταν συνήθων με τους Κλέφτες.
γ-Λ Η Μάνη ήταν το ορμητήριο του Κορκόδειλου Κλαδά.
δ-Λ Τα λήμερια των κλεφτών ήταν σε δύσβατα μέρη.
ε-Σ
στ-Σ
Απάντηση θέματος 4
Οι Κλέφτες ήταν ένοπλοι Έλληνες κατά την Τουρκοκρατία. Ζούσαν στην
ύπαιθρο και τα λήμέρια τους, δηλαδή τα κρυσφήγετα τους, ήταν σε δύσβατες
περιοχές. Είχαν οργανωθεί σε ομάδες με δικό τους καπετάνιο και λάβαρο που
ονομαζόταν μπαϊράκι. Το χαρακτηριστικό τους ήταν το μίσος απέναντι στους
Τούρκους και στην εξουσία. Ο λαός τους αγαπόυσε πολύ και τους θεωρούσε
σύμβολο τους αγώνα τους ενάντια στους κατακτητές.
σελ.
98
Ιστορία Στ΄ Δημοτικού [Κριτήρια Αξιολόγησης & Διαγωνίσματα]
Ενότητα Β [Οι Έλληνες κάτω από την οθωμανική και τη λατινική κυριαρχία (1453-1821)]
Έκδοση taexeiola Χριστίνα Τζιτζιλή
Απάντηση θέματος 5
Οι Αρματολοί ήταν πρώην κλέφτες που τους χρησιμοποιούσαν οι Τούρκοι για
την αποκατάσταση της ασφάλειας της υπαίθρου. Ήταν ένοπλες ομάδες και
αποτελούσαν βοηθητικά στρατεύματα των Τούρκων. Εκείνοι όμως συνήθως
συνεργάζονταν με τους Κλέφτες και μάλιστα τους τελευταίους αιώνες της
Τουρκοκρατίας πολλοί από αυτούς εγκατέλειψαν τις θέσεις τους και συμμετείχαν
στις ομάδες των Κλεφτών.
Απάντηση θέματος 6
Μερικοί από τους πιο φημισμένους αρματολούς της Τουρκοκρατίας ήταν ο
Γεώργιος Ανδρίτσος, ο Κατσαντώνης στη Ρούμελη, ο Νικοτσάρας στον Όλυμπο, οι
Σουλιώτες Γεώργιος Μπότσαρης και Λάμπρος Τζαβέλλας και άλλοι. Κάποιοι από
τους απογόνους τους συμμετείχαν στη Μεγάλη Επανάσταση του 1821.
σελ.
99
Ιστορία Στ΄ Δημοτικού [Κριτήρια Αξιολόγησης & Διαγωνίσματα]
Ενότητα Β [Οι Έλληνες κάτω από την οθωμανική και τη λατινική κυριαρχία (1453-1821)]
Έκδοση taexeiola Χριστίνα Τζιτζιλή
ΑΑππααννττήήσσεειιςς 55οουυ
ΚΚρριιττηηρρίίοουυ ΑΑξξιιοολλόόγγηησσηηςς
Απάντηση θέματος 1
1-β, 2-γ, 3-α, 4-ε, 5-δ
Απάντηση θέματος 2
Λόγοι παρακμής Αποτελέσματα παρακμής
Γεωγραφικές ανακαλύψεις
Χρήση νέων εμπορικών δρόμων
Οι έμποροι της Δυτικής Ευρώπης δεν
αναγκάζονταν να περνούν από τα
εδάφη της γα να πάνε στην Κίνα ή την
Ινδία
Τέλος κατακτήσεων
Το νόμισμα της υποτιμήθηκε
Τα κρατικά έσοδα από τους φόρους
εμπορίου μειώθηκαν
Η οικονομική δραστηριότητα πέρασε
στα χέρια των Ελλήνων
Απάντηση θέματος 3
α-Λ Οι Διομολογήσεις υπογράφηκαν ανάμεσα στις χώρες της Δυτικής
Ευρώπης με τους Οθωμανούς Σουλτάνους.
β-Λ Λίγο πριν ξεσπάσει η Επανάσταση του 1821 η θέση των Ελλήνων
είχε βελτιωθεί λόγω της οικονομικής άνθισης.
σελ.
100
Ιστορία Στ΄ Δημοτικού [Κριτήρια Αξιολόγησης & Διαγωνίσματα]
Ενότητα Β [Οι Έλληνες κάτω από την οθωμανική και τη λατινική κυριαρχία (1453-1821)]
Έκδοση taexeiola Χριστίνα Τζιτζιλή
γ -Σ
δ- Λ Τα πληρώματα του ελληνικού εμπορικού στόλου ήταν πολύ έμπειρα στη
ναυσιπλοϊα και την αντιμετώπιση πειρατών.
ε-Σ
στ-Σ
Απάντηση θέματος 4
Η οικονομία της Οθωμανικής Αυτοκρατορίας βασιζόταν στις αγροτικές
καλλιέργειες (σιτάρι, κριθάρι, βαμβάκι, καπνός, λάδι, σταφίδα). Οι αγρότες και οι
κτηνοτρόφοι ζούσαν μόνιμα σε ένα τόπο ή ήταν νομάδες. Προμήθευαν με πρώτες
ύλες τη βιοτεχνία για την παραγωγή νημάτων και υφαντών. Η παραγωγή
ικανοποιούσε κυρίως τις ανάγκες του σπιτιού. Τα προϊόντα που περίσσευαν τα
πουλούσαν στις τοπικές αγορές ή στο εξωτερικό και τα αντάλλασαν κυρίως με
βιομηχανικά εργαλεία και άλλα προϊόντα.
Απάντηση θέματος 5
Η ανάπτυξη του εμπορίου και της ναυσιπλοϊας είχαν θετικά αποτελέσματα για
τον ελληνικό λαό. Πρώτα απ’ όλα, οι Έλληνες έμποροι ανέπτυξαν τη
δραστηριότητα τους στην Κεντρική και τη Δυτική Ευρώπη και τη Ρωσία. Εκεί
ίδρυσαν παροικίες και ανέλαβαμ μεγάλο μέρος του εισαγωγικού και εξαγωγικού
εμπορίου της Δύσης και της Ανατολής. Με τον τρόπο αυτό πλούτισαν σημαντικά.
Εκτός όμως από τα προϊόντα που έρχονταν στην Οθωμανική Αυτοκρατορία
μεταδίδονταν και επαναστατικές ιδέες από την Ευρώπη. Επιπλέον στα θετικά
συγκαταλέγεται η δημιουργία σπουδαίου ελληνικού εμπορικού στόλοθ με έμπειρα
και ικανά πληρώματα στη ναυσιπλοϊα και την αντιμετώπιση των πειρατών. Τέλος,
σελ.
101
Ιστορία Στ΄ Δημοτικού [Κριτήρια Αξιολόγησης & Διαγωνίσματα]
Ενότητα Β [Οι Έλληνες κάτω από την οθωμανική και τη λατινική κυριαρχία (1453-1821)]
Έκδοση taexeiola Χριστίνα Τζιτζιλή
η Κοζάνη, η Μοσχόπολη, τα Ιωάννινα, η Θεσσαλονίκη, η Χίος, η Ύδρα, τα Ψαρά και
άλλα μέρη έγιναν σημαντικά εμπορικά κέντρα.
Απάντηση θέματος 6
Οι δύο συνθήκες που ωφέλησαν τους Έλληνες ήταν η Συνθήκη του Κάρλοβιτς
που υπογράφτηκε το 1669 όταν η Οθωμανική Αυτοκρατορία νικήθηκε στον πόλεμο
με τους Αυστριακούς και η Συνθήκη του Κιουτσούκ Καϊναρτζή που υπογράφτηκε το
1774 μετά την ήττα στον πόλεμο με τους Ρώσους. Οι δύο αυτές συνθήκες
επηρέαζαν τις εσωτερικές εξελίξεις στη Οθωμανική Αυτοκρατορία.
σελ.
102
Ιστορία Στ΄ Δημοτικού [Κριτήρια Αξιολόγησης & Διαγωνίσματα]
Ενότητα Β [Οι Έλληνες κάτω από την οθωμανική και τη λατινική κυριαρχία (1453-1821)]
Έκδοση taexeiola Χριστίνα Τζιτζιλή
ΑΑππααννττήήσσεειιςς 66οουυ
ΚΚρριιττηηρρίίοουυ ΑΑξξιιοολλόόγγηησσηηςς
Απάντηση θέματος 1
Έλληνες του Πόντου Έλληνες της Μακεδονίας Άλλοι Έλληνες
Καύκασος
Κριμαία
Οδησσός
Βιέννη
Τεργέστη
Σερβία
Ουγγαρία
Παραδουνάβιες
Ηγεμονίες
Βλαχία
Μολδαβία
Απάντηση θέματος 2
Πρώτη περίοδος μετανάστευσης Δεύτερη περίοδος μετανάστευσης
Υποχρεωτική μετανάστευση
Ίδρυση παροικιών σε παραθαλάσσιες
πόλεις της Ιταλίας
15ος
-16ος
αιώνας
Μετανάστευση λόγω των πολεμικών
συγκρούσεων και της επέκτασης των
Τούρκων
Ειρηνική μετανάστευση
17ος
-18ος
αιώνας
Εθελοντική μετανάστευση
Οικονομικά αίτια μετανάστευσης
Εγκατάσταση Ελλήνων κατά μήκος των
εμπορικών δρόμων
Μετακίνηση προς τα Βαλκάνια
Απάντηση θέματος 3
α -Σ
β –Λ Οι περισσότεροι πρόσφυγες κατάγονταν από νησιά και παραθαλάσσια μέρη.
σελ.
103
Ιστορία Στ΄ Δημοτικού [Κριτήρια Αξιολόγησης & Διαγωνίσματα]
Ενότητα Β [Οι Έλληνες κάτω από την οθωμανική και τη λατινική κυριαρχία (1453-1821)]
Έκδοση taexeiola Χριστίνα Τζιτζιλή
γ–Λ Οι Έλληνες της Διασποράς ενδιαφέρονταν για τις τουρκοκρατούμενες
περιοχές καθώς ενίσχυαν οικονομικά τα ελληνικά σχολεία και έχτιζαν πολυτελείς
κατοικίες στους τόπους καταγωγής με τα πλούτη που διέθεταν.
δ–Λ Οι Έλληνες μετανάστες είχαν ως πρώτο μέλημα την ανέγερση ναού για την
τέλεση των θρησκευτικών καθηκόντων τους και αργότερα έχτισαν σχολεά και
εξέδωσαν βιβλία.
ε –Σ
στ –Σ
Απάντηση θέματος 4
α)Την πρώτη περίοδο της μετανάστευσης οι περισσότεροι πρόσφυγες
κατάγονταν από νησία όπως η Κύπρος και η Κρήτη και από παραθαλάσσιες
περιοχές όπως η Μονεμβασιά, η Μάνη, το Ναύπλιο και η Ήπειρος.
Μετανάστευσαν σε παραθαλλάσια μέρη της Ιταλίας και άλλα μέρη της Ευρώπης
και ίδρυσαν εκεί παροικίες.
β) Τα κυριότερα επαγγέλματα που ασκούσαν ήταν το επάγγελμα του
στρατιώτη, του ναυτικού, του τεχνίτη, του εμπόρου,του αντιγραφέα χειρογράφων
και του δασκάλου σε ανώτατα εκπαιδευτικά ιδρύματα.
Απάντηση θέματος 5
‘Οταν έφταναν στους νέους τόπους εγκατάστασης οι Έλληνες μετανάστες
αρχικά φρόντιζαν να χτίσουν ναούς ώστε να έχουν μέρος να τελούν τα
θρησκευτικά καθήκοντα τους. Επιπλέον συνέτασσαν το καταστατικό που
περιελάμβανε τους σκοπούς, την οργάνωση , τα δικαιώματα και τις υποχρεώσεις
που είχαν τα μέλη της κοινότητας. Αργότερα, έχτισαν μοναστήρια και κοινοτικά
σελ.
104
Ιστορία Στ΄ Δημοτικού [Κριτήρια Αξιολόγησης & Διαγωνίσματα]
Ενότητα Β [Οι Έλληνες κάτω από την οθωμανική και τη λατινική κυριαρχία (1453-1821)]
Έκδοση taexeiola Χριστίνα Τζιτζιλή
σχολεία όπως το Φλαγγινιανό Φροντιστήριο στη Βενετία ενώ ασχολήθηκαν και με
την έκδοση ελληνικών βιβλίων, περιοδικών και εφημερίδων.
Απάντηση θέματος 6
Οι Έλληνες της Διασποράς, δηλαδή οι μετανάστες, κατάφεραν να πλουτίσουν
και με αυτόν τον τρόπο ενίσχυσαν οικονομικά τα ελληνικά σχολεία στην
Οθωμανική Αυτοκρατορία. Επίσης, έχτιζαν πολυτελείς κατοικίες, τα αρχοντικά,
στους τόπους καταγωγής τους τους όπως στη Σιάτιστα, τη Καστοριά, την Κοζάνη,
τα Ζαχοροχώρια και τα χωριά του Πηλίου. Από αυτούς ξεκίνησε η πνευματική
αναγέννηση του υποδουλωμένου λαού τον 18ο
αιώνα.
σελ.
105
Ιστορία Στ΄ Δημοτικού [Κριτήρια Αξιολόγησης & Διαγωνίσματα]
Ενότητα Β [Οι Έλληνες κάτω από την οθωμανική και τη λατινική κυριαρχία (1453-1821)]
Έκδοση taexeiola Χριστίνα Τζιτζιλή
ΑΑππααννττήήσσεειιςς 77οουυ
ΚΚρριιττηηρρίίοουυ ΑΑξξιιοολλόόγγηησσηηςς
Απάντηση θέματος 1
1-β, 2-δ, 3-γ, 4-α, 5-ε
Απάντηση θέματος 2
Το 1806 εκδόθηκε στην Ιταλία η «Ελληνική Νομαρχία», ένα έργο άγνωστου
συγγραφέα αφιερωμένο στον Ρήγα Βελεστινλή. Στο σημαντικό αυτό κείμενο του
Διαφωτισμού καταδικάζεται η «αναρχία» και η «μοναρχία» και προβάλλεται ως
ιδανική διοίκηση η «νομαρχία», δηλαδή το πολίτευμα όπου εξουσιάζουν οι νόμοι.
Απάντηση θέματος 3
α-Λ Το ιδανικό πολίτευμα που που προβάλλεται στην «Ελληνική Νομαρχία»
είναι η «νομαρχία», δηλαδή το πολίτευμα όπου εξουσιάζουν οι νόμοι.
β-Λ Το κήρυγμα του άγιου Κοσμά του Αιτωλού έβρισκε μεγάλη απήχηση στον
υπόδουλο ελληνικό λαό.
γ-Σ
δ-Λ Η «Γεωγραφία Νεωτερική» γράφτηκε στη δημοτική γλώσσα.
ε-Λ Η «Ελληνική Νομαρχία» αφιερώθηκε στον Ρήγα Βελεστινλή.
στ-Σ
Απάντηση θέματος 4
Η «Ελληνική Νομαρχία» ήταν ένα κείμενο χαρακτηριστικό του Νεοελληνικού
Διαφωτισμού. Εκδόθηκε το 1806 στην Ιταλία από άγνωστο συγγραφέα και είναι
σελ.
106
Ιστορία Στ΄ Δημοτικού [Κριτήρια Αξιολόγησης & Διαγωνίσματα]
Ενότητα Β [Οι Έλληνες κάτω από την οθωμανική και τη λατινική κυριαρχία (1453-1821)]
Έκδοση taexeiola Χριστίνα Τζιτζιλή
αφιερωμένο στον Ρήγα Βελεστινλή. Το έργο αυτό προβάλλει το ιδανικό πολίτευμα
που συντελεί στην πρόοδο των κοινωνιών ενώ ως ιδανική διοίκηση αναφέρει την
«νομαρχία» που είναι το πολίτευμα όπου εξουσιάζουν οι νόμοι. Μάλιστα
εναντιώνεται και απορρίπτει την «αναρχία» και την «μοναρχία».
Απάντηση θέματος 5
Οι δάσκαλοι του Γένους ήταν μορφωμένοι Έλληνες οι οποίοι κατά την
Τουρκοκρατία βοήθησαν στην πνευματική αναγέννηση του έθνους μέσω της
παιδείας. Αρκετοί από αυτούς ήταν ή έγιναν αργότερα κληρικοί. Μερικοί
σπούδασαν στην τουρκοκρατούμενη Ελλάδα ενώ άλλοι στα Ιόνια Νησιά, στις
Παραδουνάβιες Ηγεμονίες ή στο εξωτερικό.
Το έργο τους ήταν πολύ σημαντικό. Δίδασκαν σε ναούς, σχολεία και σε
δημόσιους χώρους. Ακόμη, έγραφαν επιστολές και άρθρα σε περιοδικά και
εφημερίδες αλλά και ολόκλητα βιβλία. Τα τελευταία τα τύπωναν με τη βοήθεια της
Εκκλησίας, των Φαναριωτών ηγεμόνων ή φιλομαθών εμπόρων. Βοήθησαν στην
ίδρυση σχολείων, την τόνωση της ελληνικής παιδείας και στην ιδεολογική
προετοιμασία της Μεγάλης Επανάστασης του 1821 αλλά και του Φιλελληνισμού
στη Δύση.
Απάντηση θέματος 6
α) Νεοελληνικός Διαφωτισμός ονομάστηκε το πνευματικό κίνημα του 18ου
και
αρχές 19ου
αιώνα, κατά το οποίο μεταδόθηκαν οι ιδέες του Ευρωπαϊκού
Διαφωτισμού στον υπόδουλο ελληνισμό από φωτισμένους πνευματικούς άντρες
που έζησαν στη Δύση. Οι ιδέες αυτές αφορούσαν φιλελεύθερες και ριζοσπαστικές
απόψεις που δυνάμωσαν την επαναστατική διάθεση των υπόδουλων Ελλήνων.
σελ.
107
Ιστορία Στ΄ Δημοτικού [Κριτήρια Αξιολόγησης & Διαγωνίσματα]
Ενότητα Β [Οι Έλληνες κάτω από την οθωμανική και τη λατινική κυριαρχία (1453-1821)]
Έκδοση taexeiola Χριστίνα Τζιτζιλή
β) Ο άγιος Κοσμάς ο Αιτωλός υπήρξε σημαντική μορφή του Νεοελληνικού
Διαφωτισμού. Ήταν λόγιος μοναχός του Αγίου Όρους, ιεροκήρυκας και μάρτυρας.
Κήρυττε ιδέες που συνδύαζαν την παιδεία, τη θρησκευτική πίστη και την εθνική
συνείδηση μαζί με το πνέυμα του Διαφωτισμού. Έκανε περιοδείες στην
τουρκοκρατούμενη ελληνική ύπαιθρο και κήρυττε στον υπόδουλο ελληνικό
πληθυσμό. Στόχευε στον περιορισμό των εξισλαμισμών και γι αυτό το λόγο ίδρυε
σχολεία.
σελ.
108
Ιστορία Στ΄ Δημοτικού [Κριτήρια Αξιολόγησης & Διαγωνίσματα]
Ενότητα Β [Οι Έλληνες κάτω από την οθωμανική και τη λατινική κυριαρχία (1453-1821)]
Έκδοση taexeiola Χριστίνα Τζιτζιλή
ΑΑππααννττήήσσεειιςς 88οουυ
ΚΚρριιττηηρρίίοουυ ΑΑξξιιοολλόόγγηησσηηςς
Απάντηση θέματος 1
Γεννήθηκε ο Ρήγας Βελεστινλής 1757
Ο Ρήγας ταξίδεψε στη Βιέννη 1790
Οι Αυστριακοί συνέλαβαν τον Ρήγα και
τους συνεργάτες του
1797
Γεννήθηκε ο Αδαμάντιος Κοραής 1748
Απάντηση θέματος 2
Ρήγας Βελεστινλής Αδαμάντιος Κοραής
Γεννήθηκε στο Βελστίνο
Μετανάστευσε στο Βουκουρέστι
Στόχος του ήταν η απελέυθέρωση της
πατρίδας
Έγραψε τον Θούριο
Τον θανάτωσαν και τον έριξαν στον
ποταμό Δούναβη
Καταγόταν από τη Χίο
Σπόυδασε ιατρική στη Γαλλία
Υπερασπίστηκε τη χρήση μια νέας
ελληνικής γλώσσας βασισμένης στην
καθομιλουμένη
Πίστευε στη λογική του ανθρώπου
Συνετέλεσε στην ίδρυση του Ελληνικού
Κομιτάτου
Απάντηση θέματος 3
α-Λ Ο Κοραής καταγόταν από πολύ πλούσια οικογένεια της Χίου.
β-Λ Η Αυστρία αντέδρασε στη δράση του Ρήγα παρά τις καλές σχέσεις που
σελ.
109
Ιστορία Στ΄ Δημοτικού [Κριτήρια Αξιολόγησης & Διαγωνίσματα]
Ενότητα Β [Οι Έλληνες κάτω από την οθωμανική και τη λατινική κυριαρχία (1453-1821)]
Έκδοση taexeiola Χριστίνα Τζιτζιλή
είχε τότε με την Οθωμανική Αυτοκρατορία.
γ-Λ Ο Αδαμάντιος Κοραής γνώρισε τις φιλελέυθερες ιδέες στη Γαλλία όπου
εγκαταστάθηκε και σπούδασε ιατρική και έζησε τη Γαλλική Επανάσταση.
δ-Λ Ο Κοραής υποστήριζε τη χρήση μια γλώσσας που θα είχε ως βάση της την
καθομιλουμένη γλώσσα της εποχής.
ε-Λ Ο Ρήγας εξέδωσε την περίφημη «Χάρτα της Ελλάδας» που ήταν ένας
τεράστιος χάρτης της Ελλάδας.
στ-Σ
Απάντηση 4
Ο Ρήγας είχε πολύ σημαντικό συγγραφικό και εκδοτικό έργο. Ανάμεσα σε αυτά
που εξέδωσε ήταν γαλλικά μυθιστορήματα μεταφρασμένα στη δημοτική γλώσσα,
ένα σχολικό βιβλίο Φυσικής, μία εικόνα του Μεγάλου Αλεξάνδρου και έναν πολύ
μεγάλο χάρτη της Ελλάδας, την «Χάρτα της Ελλάδας». Το πιο ξεχωριστό του έργο
ήταν ο «Θούριος», ένας επαναστατικό ύμνος γεμάτος πάθος, που μίλησε στις
ψυχές των υπόδουλων νλεων και έγινε σύμβολο του αγώνα για την
απελευθέρωση.
Απάντηση θέματος 5
Ο Κοραής είχε σπουδαίο συγγραφικό έργο και έπαιξε σημαντικό ρόλο στην
ιδεολογική προετοιμασία της Μεγάλης Επανάστασης. Έγραψε το ποίημα
«Σάλπισμα Πολεμιστήριον» και συμβουλευτικές επιστολές.
Η βασική φιλοσοφική του αρχή ήταν η πίστη στη λογική του ανθρώπου που
αποτελούσε αρχή και όλων των εκπροσώπων του Νεοελληνικού Διαφωτισμού.
σελ.
110
Ιστορία Στ΄ Δημοτικού [Κριτήρια Αξιολόγησης & Διαγωνίσματα]
Ενότητα Β [Οι Έλληνες κάτω από την οθωμανική και τη λατινική κυριαρχία (1453-1821)]
Έκδοση taexeiola Χριστίνα Τζιτζιλή
Απάντηση θέματος 6
Ο Ρήγας Βελεστινλής είχε ως όραμα την απελευθέρωση τους από τους
Τούρκους μέσω της συνεργασίας όλων των υπόδουλων βαλκανικών λαών και τη
δημιουργία ενός ευνομούμενου κράτους. Επιπλέον, οραματιζόταν ένα
δημοκρατικό κράτος βασισμένο στην ελληνική παιδεία και γλώσσα.
σελ.
111
Ιστορία Στ΄ Δημοτικού [Κριτήρια Αξιολόγησης & Διαγωνίσματα]
Ενότητα Β [Οι Έλληνες κάτω από την οθωμανική και τη λατινική κυριαρχία (1453-1821)]
Έκδοση taexeiola Χριστίνα Τζιτζιλή
ΑΑππααννττήήσσεειιςς 99οουυ
ΚΚρριιττηηρρίίοουυ ΑΑξξιιοολλόόγγηησσηηςς
Απάντηση θέματος 1
1-β, 2-γ, 3-α, 4-ε, 5-δ, 6-στ
Απάντηση θέματος 2
1-β, 2-γ, 3-α
Απάντηση θέματος 3
α-Λ Στη ναυμαχία της Ναυπάκτου ο τούρκικος στόλος καταστράφηκε
ολοκληρωτικά από τους Δυτικούς.
β-Σ
γ-Λ Στα τέλη του 18ου
αιώνα η ελπίδα των Ελλήνων για απελευθέρωση στράφηκαν
και προς τους Γάλλους του Ναπολέοντα.
δ-Λ Το κίνημα του Μητροπολίτη Λαρίσης Διονύσιος απέτυχε.
Απάντηση θέματος 4
α) Τον 16ο
αιώνα εκδηλώθηκαν πολλές εξεγέρσεις των υπόδουλων Ελλήνων
εναντίον των Οθωμανών. Πολλοί Κερκυραίοι, Κρητικοί και κυρίως Μανιάτες
πολέμησαν εναντίον των Τούρκων με το μέρος των Βενετών και των Ισπανών αλλά
και μόνοι τους. Οι συγκρόυσεις έγιναν τόσο στην ξηρά όσο και στη θάλασσα. Στη
Ναυμαχία της Ναυπάκτου το 1571 συμμετείχαν και ελληνικά πλοία και το
αποτέλεσμα ήταν να καταστραφεί ολοσχερώς ο τουρκικός στόλος.
σελ.
112
Ιστορία Στ΄ Δημοτικού [Κριτήρια Αξιολόγησης & Διαγωνίσματα]
Ενότητα Β [Οι Έλληνες κάτω από την οθωμανική και τη λατινική κυριαρχία (1453-1821)]
Έκδοση taexeiola Χριστίνα Τζιτζιλή
β) Παρόμοιες κινήσεις έγιναν και στη Θεσσαλία το 1600 με τον Μητροπολίτη
Λαρίσης Διονύσιο. Ο Μητροπολίτης ήταν γνωστός ως Φιλόσοφος και η δράση του
ήταν να παρακινήσει τους υπόδουλους Έλληνες να ξεσηκωθούν. Το κίνημα όμως
απέτυχε και έτσι αναγκάστηκε να διαφύγει στη Ρώμη και στη συνέχεα στην
Ισπανία για να ζητήσει ενισχύσεις. Επέστρεψε εννιά χρόνια αργότερα και έκανε
αγώνα για να παροτρύνει του κατοίκους της Θεσπρωτίας να ξεσηκωθούν
Απάντηση θέματος 5
Τον 18ο
αιώνα η Ρωσία ανέλαβε δράση ενεργά. Το γεγονός αυτό έκανε τους
υπόδουλους Έλληνες να εναποθέσουν τις ελπίδες τους στο «ξανθό γένος», δηλαδή
τους Ρώσους, λόφω των διαδόσεων που κυκλοφορούσαν ότι εκείνοι θα έφερναν
την απελευθέρωση στο υποδουλωμένο έθνος.
Αργότερα, στα τέλη του 18ου
αιώνα, άρχισαν να διαδίδονται οι φιλελέυθερες
ιδέες της Γαλλικής Επανάστασης και έτσι οι Έλληνες άρχισαν να στρέφουν τις
ελπίδες τους στους Γάλλους του Ναπολέοντα.
Μόνο όμως γύρω στο 1880 κατάλαβαν ότι πρέπει να στηρίζονται στις δικές
τους δυνάμεις και προσπάθειες για να απελευθερώσουν την πατρίδα τους.
Απάντηση θέματος 6
Η Συνθήκη του Κιουτσούκ Καϊναρτζή υπογράφτηκε το 1774 μετά την ναυμαχία
του Τσεσμέ. Με τη συνθήκη αυτή οι συγκρούσεις τερματίστηκαν. Η Ρωσία
απέκτησε έτσι το δικαίωμα να επεμβαίνει στα εσωτερικά της Οθωμανικής
Αυτοκρατορίας για να προστατεύεσει με αυτόν τον τρόπο τους Χριστιανούς
κατοίκους της περιοχής. Επιπλέον, οι Έλληνες έμποροι μπορούσαν πλέον να
υψώνουν στα καράβια τους τη ρωσική σημαία.
σελ.
113
Ιστορία Στ΄ Δημοτικού [Κριτήρια Αξιολόγησης & Διαγωνίσματα]
Ενότητα Β [Οι Έλληνες κάτω από την οθωμανική και τη λατινική κυριαρχία (1453-1821)]
Έκδοση taexeiola Χριστίνα Τζιτζιλή
ΑΑππααννττήήσσεειιςς 1100οουυ
ΚΚρριιττηηρρίίοουυ ΑΑξξιιοολλόόγγηησσηηςς
Απάντηση θέματος 1
α-Λ Οι Σουλιώτες ήταν ικανότατοι πολεμιστές.
β-Σ
γ-Σ
δ-Λ Ο Αλή Πασάς των Ιωαννίνων κατάφερε να μειώσει την άμυνα του
Σουλίου διώχνοντας κάποιους από τους αρχηγούς τους.
ε-Λ Ο καλόγερος Σαμουήλ ανατινάχτηκε όταν οι Τούρκοι κατέλαβαν τον
οχυρό λόφο Κούγκι.
στ-Λ Οι Σουλιώτες δέχτηκαν να βοηθήσουν τον Σουλτάνο να εξοντώσει
τον Αλή Πασά με αντάλλαγμα να επιστρέψουν στα χωριά τους και να
κατοικήσουν εκεί μόνιμα.
Απάντηση θέματος 2
Οι κάτοικοι του Σουλίου ήταν βοσκοί που μιλούσαν ελληνικά και αρβανίτικα.
Συχνά έκαναν επιδρομές στα χωριά του κάμπου, για να εξασφαλίσουν ζώα και
γεννήματα. Οι Σουλιώτες συνήθιζαν να πολεμούν οχυρωμένοι πίσω από φυσικά
εμπόδια. Δρούσαν ακόμα και τη νύχτα και δε δίσταζαν να επιτεθούν με τα σπαθιά
τους σε μεγαλύτερο αριθμό αντιπάλων.
Απάντηση θέματος 3
1. Οι Τούρκοι κατέκτησαν το Σούλι
σελ.
114
Ιστορία Στ΄ Δημοτικού [Κριτήρια Αξιολόγησης & Διαγωνίσματα]
Ενότητα Β [Οι Έλληνες κάτω από την οθωμανική και τη λατινική κυριαρχία (1453-1821)]
Έκδοση taexeiola Χριστίνα Τζιτζιλή
2. Κατάληψη του οχυρού λόφου Κούγκι
3. Οι Σουλιώτες έσπασαν τον κλοιό των Τούρκων
4. Οι Σουλιώτες επέστρεψαν στα χωριά τους
5. Οι Σουλιώτες εγκατέλειψαν το Σούλι και διασκορπίστηκαν στην Στερεά Ελλάδα
και την Πελοπόννησο
Απάντηση θέματος 4
Ο Αλή Πασάς των Ιωαννίνων κατέλαβε το Σούλι το 1803. Χρησιμοποίησε
διάφορα τεχνάσματα για να διώξει από το Σούλι κάποιους από τους αρχηγούς
τους. Με αυτόν τον τρόπο κατάφερε να αδυνατίσει την άμυνα του Σουλίου και έτσι
μετά από πολλές προσπάθειες οι Τούρκοι κατέκτησαν την περιοχή. Κατέλαβαν
μάλιστα και τον οχυρό λόφο Κούγκι. Εκεί βρισκόταν ο καλόγερος Σαμουήλ που τον
κρατούσε μέχρι στιγμής ελεύθερο και ανατινάχτηκε μαζί τους .
Απάντηση θέματος 5
Οι Σουλιώτες θεωρούνταν ικανότατοι πολεμιστές. Οι συνθήκες ζωής τους ήταν
σκληρές, ασχολούνταν πολλά χρόνια με τα όπλα και κατείχαν άριστα το έδαφος
στο οποίο κινούνταν. Επιπλέον, τους χαρακτήριζε η ομαδικότητα και το θάρρος και
η τόλμη. Εκμεταλλεύονταν τα φυσικά εμπόδια για να οχυρώνονται και τολμούσαν
να επιτίθενται νύχτα σε αντιπάλους που υπερτερούσαν αριθμητικά.
Απάντηση θέματος 6
Λίγο πριν τη Μεγάλη Επανάσταση, το 1820, οι Τούρκοι κάλεσαν τους
Σουλιώτες και τους πρότειναν να εγκατασταθούν ξανά στο Σούλι μόνιμα και
έθεσαν ως μοναδικό όρο να βοηθήσουν τον Σουλτάνο να εξοντώσει τον Αλή Πασά
σελ.
115
Ιστορία Στ΄ Δημοτικού [Κριτήρια Αξιολόγησης & Διαγωνίσματα]
Ενότητα Β [Οι Έλληνες κάτω από την οθωμανική και τη λατινική κυριαρχία (1453-1821)]
Έκδοση taexeiola Χριστίνα Τζιτζιλή
των Ιωαννίνων με τον ήταν σε σύγκρουση. Οι Σουλιώτες δέχτηκαν και έτσι
επανεγκαταστάθηκαν στο Σούλι και απέκρουσαν επιτυχώς τους στρατιώτες του
Αλή Πασά. Παρόλα αυτά το 1822 έμεινα χωρίς βοήθεια και έτσι μην έχοντας άλλες
δυνάμεις έφυγαν για πάντα από το Σούλι και διασκορπίστηκαν στη Στερεά Ελλάδα
και την Πελοπόννησο.
σελ.
116
Ιστορία Στ΄ Δημοτικού [Κριτήρια Αξιολόγησης & Διαγωνίσματα]
Ενότητα Β [Οι Έλληνες κάτω από την οθωμανική και τη λατινική κυριαρχία (1453-1821)]
Έκδοση taexeiola Χριστίνα Τζιτζιλή
ΑΑππααννττήήσσεειιςς 11οουυ
ΕΕππααννααλληηππττιικκοούύ ΔΔιιααγγωωννίίσσμμααττοοςς ΕΕννόόττηηττααςς ΒΒ’’
Απάντηση θέματος 1
1-β, 2-δ, 3-ε, 4-γ, 5-α
Απάντηση θέματος 2
 Παιδομάζωμα: Οι Οθωμανοί Τούρκοι στρατολογούσαν υποχρεωτικά τα
νεαρά αγόρια χριστιανικών οικογενειών με σκοπό να επαμδρώσουν το
σώμα των Γενιτσάρων
 Εξισλαμισμοί: Εξισλαμισμός είναι ο εξαναγκασμός των υπόδουλων από
τους κατακτητές Τούρκους να αλλάξουν την πίστη τους και να γίνουν
μουσουλμάνοι.
 Διομολογήσεις: Διομολογήσεις ήταν οι εμπορικές συμφωνίες που
υπέγραφαν οι χώρες της Δυτικής Ευρώπης με τους Οθωμανούς
Σουλτάνους.
 Παροικίες: Οι Έλληνες ίδρυαν παροικίες δηλαδή κοινότητες στις οποίες
κατοικούσαν στη συνέχεια μόνιμα.
Απάντηση θέματος 3
Οι γεωγραφικές ανακαλύψεις, η χρήση νέων εμπορικών δρόμων και ο
τερματισμός των κατακτήσεων συνέβαλαν στην παρακμή της Οθωμανικής
Αυτοκρατορίας. Οι έμποροι από τη Δυτική Ευρώπη δεν ήταν υποχρεωμένοι να
περνούν από το έδαφος της για να πάνε στην Ινδία ή την Κίνα. Έτσι τα κρατικά
σελ.
117
Ιστορία Στ΄ Δημοτικού [Κριτήρια Αξιολόγησης & Διαγωνίσματα]
Ενότητα Β [Οι Έλληνες κάτω από την οθωμανική και τη λατινική κυριαρχία (1453-1821)]
Έκδοση taexeiola Χριστίνα Τζιτζιλή
έσοδα από τους φόρους του εμπορίου σταδιακά μειώθηκαν και το νόμισμα
υποτιμήθηκε.
Ο Ρήγας, γιος εμπόρου, γεννήθηκε το 1757 στο Βελεστίνο της Θεσσαλίας, το οποίο
στην αρχαιότητα ονομαζόταν Φερές. Νεαρός ακόμη, μπήκε στην υπηρεσία των
Φαναριωτών στην Κωνσταντινούπολη και έπετα μετανάστευσε στο Βουκουρέστι,
ως γραμματέας του ηγεμόνα της Βλαχίας. Εκεί επηρεάστηκε από τις ευρωπαϊκές
ριζοσπαστικές ιδέες, κάνοντας κύριο στόχο του την απελευθέρωση της πατρίδας .
Απάντηση θέματος 4
Φημισμένοι Αρματολοί την περίοδο της Τουρκοκρατίας ήταν ο Γεώργιος
Ανδρίτσος, ο Κατσαντώνης στη Ρούμελη, ο Νικοτσάρας στον Όλυμπο, οι Σουλιώτες
Γεώργιος Μπότσαρης και ο Λάμπρος Τζαβέλλας. Επιπλέον, οι απόγονοι ή τα
πρωτοπολίκαρα τους συμμετείχαν στη Μεγάλη Επανάσταση του 1821.
Απάντηση θέματος 5
Η δεύτερη περίοδος μετανάστευσης πραγματοποιήθηκε κατά τον 17ο
και 18ο
αιώνα. Είχε χαρακτήρα εθελοντικό και ειρηνικό και οι αιτίες ήταν κατά βάση
οικονομικές. Καραβάνια διέσχιζαν τα Βαλκάνια και μετέφεραν εμπορεύματα από
την Οθωμανική Αυτοκρατορία προε την Κεντρική Ευρώπη και Ρωσία. Κατά μήκος
αυτών των δρόμων οι μετανάστες εγκαταστάθηκαν σε διάφορες πόλεις.
Οι Έλληνες από τον Πόντο ίδρυσαν παροικίες στον Καύκασο, την Κριμαία και
την φημισμένη Οδησσό ενώ οι Έλληνες της Μακεδονίας στη Βιέννη, την Τεργέστη,
τη Σερβία και την Ουγγαρία. Εκεί ασχολήθηκαν με το εμπόριο βαμβακερών,
δερμάτων, χαλιών και άλλων.
σελ.
118
Ιστορία Στ΄ Δημοτικού [Κριτήρια Αξιολόγησης & Διαγωνίσματα]
Ενότητα Β [Οι Έλληνες κάτω από την οθωμανική και τη λατινική κυριαρχία (1453-1821)]
Έκδοση taexeiola Χριστίνα Τζιτζιλή
Άλλοι Έλληνες ανέπτυξαν δραστηριότητα στις Παραδουνάβιες Ηγεμονίες, τη
Βλαχία και τη Μολδαβία, περιοχές στις οποίες κυβερνήτες ήταν Φαναριώτες
ηγεμόνες.
Απάντηση θέματος 6
Οι Οθωμανοί Τούρκοι ήταν ανεκτικοί απέναντι στο Οικουμενικού Πατριαρχείου
της Κωνσταντινούπολης και του ανέθεσαν αρκετές αρμοδιότητες. Ο Πατριάρχης
είχε διευρυμένο ρόλο. Ήταν θρησκευτικός ηγέτης και εκπρόσωπος το ρουμ μιλέτ,
δηλαδή των υπόδουλων Ορθόδοξων Χριστιανών. Για όλες όμως τις πράξεις του
ήταν υπόλογος στο Σουλτάνο. Επίσης, εκτός από τα θρησκευτικά καθήκοντα είχε
και άλλες αρμοδιότητες, όπως να αποφασίζει για διάφορες υποθέσεις , για
παράδειγμα τις κληρονομιές. Ακόμη, είχε τη δικαιοδοσία να ιδρύει σχολεία και να
επιβάλλει ειδική φορολογία στους πιστούς.
σελ.
119
Ιστορία Στ΄ Δημοτικού [Κριτήρια Αξιολόγησης & Διαγωνίσματα]
Ενότητα Β [Οι Έλληνες κάτω από την οθωμανική και τη λατινική κυριαρχία (1453-1821)]
Έκδοση taexeiola Χριστίνα Τζιτζιλή
ΑΑππααννττήήσσεειιςς 22οουυ
ΕΕππααννααλληηππττιικκοούύ ΔΔιιααγγωωννίίσσμμααττοοςς ΕΕννόόττηηττααςς ΒΒ’’
Απάντηση θέματος 1
α) Κροκόδειλος Κλαδάς
β) Η χρήση νέων εμπορικών δρόμων και ο τερματισμός των κατακτήσεων.
γ) Διομολογήσεις
δ) Η ανέγερση ναού και η σύνταξη καταστατικού.
Απάντηση θέματος 2
α-Λ Οι Φαναριώτες είχαν αξιόλογη μόρφωση και κατείχαν υψηλά αξιώματα στην
οθωμανική διοίκηση.
β-Λ Οι ιεράρχες και οι Φαναριώτες ήταν εξαρτμένοι από την του Σουλτάνου.
Γ-Λ Την παροικία της Οδησσού την ίδρυσαν οι Έλληνες του Πόντου.
δ-Λ Οι ξένες δυνάμεις όποτε βρίσκονταν σε διαμάχη με την Οθωμανική
Αυτοκρατορία βοηθούσαν τους Σουλιώτες με χρήματα και πολεμοφόδια.
ε-Σ
σελ.
120
Ιστορία Στ΄ Δημοτικού [Κριτήρια Αξιολόγησης & Διαγωνίσματα]
Ενότητα Β [Οι Έλληνες κάτω από την οθωμανική και τη λατινική κυριαρχία (1453-1821)]
Έκδοση taexeiola Χριστίνα Τζιτζιλή
Απάντηση θέματος 3
Απάντηση θέματος 4
Ο Αδαμάντιος Κοραής γεννήθηκε στη Σμύρνη το 1748 αλλά η καταγωγή του
ήταν από μια πλούσια οικογένεια της Χίου. Στην αρχή σπούδασε στην Ευαγγελική
Σχολή της Σμύρνης, αργότερα εγκαταστάθηκε στη Γαλλία κι εκεί σπούδασε ιατρική.
Στη Γαλλία ήρθε σε επαφή με τις φιλελεύθερες ιδέες της Γαλλικής Επανάστασης.
Ασχολήθηκε κυρίως με την αντιγραφή, την επιμέλεια και τη δημοσίευση των
χειρόγραφων αρχαίων Ελλήνων συγγραφέων.
σελ.
121
Ιστορία Στ΄ Δημοτικού [Κριτήρια Αξιολόγησης & Διαγωνίσματα]
Ενότητα Β [Οι Έλληνες κάτω από την οθωμανική και τη λατινική κυριαρχία (1453-1821)]
Έκδοση taexeiola Χριστίνα Τζιτζιλή
Απάντηση θέματος 5
Ο Λάμπρος Κατσαντώνης ήταν αξιωματικός του ρωσικού στρατού και
καταγόταν από τη Λιβαδειά. Έχοντας ως ορμητήριο το νησί Κέα, με έναν μικρό
στόλο έπλεε στο Αιγαίο και έκανε επιθέσεις εναντίον των τουρκικών πλοίων. Μαζί
τους στις επιχειρήσεις ήταν ο κλέφτης Γεώργιος Ανδρίτσος, ο πατέρας του ήρωα
της Επανάστασης Οδυσσέα Ανδρούτσου.
Απάντηση θέματος 6
Η Βυζαντινή Αυτοκρατορία οδηγήθηκε στην παρακμή λόγω των γεωγραφικών
ανακαλύψεων, της ανακάλυψης νέων εμπορικών δρόμων και του τέλος των
κατακτήσεων. Έτσι οι έμποροι από τη Δυτική Ευρώπη δεν χρειαζόταν να περνάν
από το έδαφος της για να πάνε στην Ινδία ή την Κίνα. Οι συνέπεις ήταν να
μειωθούν τα έσοδα από τους φόρους του εμπορίου και η υποτίμηση του
νομίσματος.
Οι ΈΑήΙηνεδ κάτω από την οθωμανική και τη λατινική κυριαρχία (1453-1821)
ΔΕΥΤΕΡΗ ΕΝΟΤΗΤΑ
Οι Έήήηνε5 κάτω από την οθωμανική και τη λατινική κυριαρχία
(1453-1821)
1. Ανπστοιχίστε τους όρους της στήλης Α' με τους ορισμούς της στήλης Β'.
Στήλη Α' Στήλη Β'
1. Σουλτάνος
2. Αόγιος
3. Κεφαλικός φόρος
4. Εξισλαμισμός
α. Αυτός που ασχολείται με τα γράμματα και τις τέχνες
6. Μεταστροφή κάποιου στο Ισλάμ
γ. Βασιλιάς των Οθωμανών
δ. Είδος φορολογίας
2. Τοποθετήστε τους όρους στη στήλη που ταιριάζουν: Πατριάρχης, καθολικοί, μουσουλμάνοι,
Σουλτάνος, ορθόδοξοι, τουρκικά, ιταλικά, ελληνικά, λιοντάρι Αγίου Μάρκου, Αγία Σοφία,
Μέκκα.
Οθωμανοί Έλληνες Βενετοί
3. Συμπληρώστε τα κενά που υπάρχουν στο παρακάτω κείμενο:
Μέσα σε δυο αιώνες (15ος
- 17ος
αιώνας) οι
ρη σχεδόν την Χερσόνησο. Οι δυο πρώτοι αιώνες της
ήταν οι δυσκολότεροι για τους Χριστιανούς. Αρκετοί κάτοικοι
κατέκτησαν ολόκλη-
σε
τόπους της Οθωμανικής Αυτοκρατορίας, ενώ αρκετοί
στη Δυτική Ευρώπη. Τελικά όμως οι
έφυγαν
Έλληνες κατάφεραν να διαφυλάξουν, με
τη Βοήθεια και της Εκκλησίας, τρία Βασικά στοιχεία της τους ταυτότητας: τη
, τη και την
11
Κόντου Πολυξένη
Επιμέλεια: Χρήστος Χαρμπής http://st-taksh.blogspot.gr σελ.187
μουσουλμάνοι
1γ-2α-3δ-4β
Πατριάρχης καθολικοί
Σουλτάνος ορθόδοξοι
τουρκικά ελληνικά λιοντάρι Αγίου Μάρκου
Αγία ΣοφίαΜέκκα
ιταλικά
Οθωμανοί Τούρκοι
ελληνική Τουρκοκρατίας
μετακινήθηκαν
ορεινούς λόγιοι
υπόδουλοι
εθνικής
θρησκεία γλώσσα παράδοση
ΕΠΑΝΑΛ.
1
ΕΠΑΝΑΛ.
1
ΕΠΑΝΑΛ.
1
Ιστορία του νεότερου και σύγχρονου κόσμου ΕΝΟΤΗΤΑ
4. Αντιστοιχίστε τους όρους της στήλης Α' με τους ορισμούς της στήλης Β'.
Στήλη Α' Στήλη Β'
1. Κλέφτες
2. Φαναριώτες
3. Αρματολοί
4. Πατριάρχης
5. Δημογέροντες
α. Επικεφαλής της Ορθόδοξης Εκκλησίας
6. Κοινοτικοί άρχοντες
γ. Έλληνες άρχοντες της Κωνσταντινούπολης
δ. Ανυπότακτοι στους Τούρκους
ε. Ένοπλα βοηθητικά σώματα των Τούρκων
5. Παρατηρήστε την ενδυμασία του κλέφτη από τη σχετική εικόνα του βιβλίου σας και προ-
σπαθήστε να την περιγράψετε.
Συζητήστε στην τάξη για τους τρόπους καλλιέργειας και τη χρησιμότητα των βασικών
αγροτικών καλλιεργειών επί Τουρκοκρατίας (σιτάρι, βαμβάκι, λάδι, κρασί). Αφού συγκε-
ντρώσετε πληροφορίες από εγκυκλοπαίδειες και το διαδίκτυο (ιστοσελίδα Ηϋρ://νυνυνν.ίΗνν.9τ),
εντοπίστε τους λόγους για τους οποίους καθεμία ήταν -και εξακολουθεί μέχρι και σήμε-
ρα να είναι- απαραίτητη.
7. Τοποθετήστε τις πόλεις στη στήλη που ταιριάζουν: Θεσσαλονίκη, Ύδρα, Μοσχόπολη, Ιωάν-
νινα, Χίος, Κοζάνη.
Πόλεις-Λιμάνια Πόλεις χωρίς λιμάνι
12
Κόντου Πολυξένη
Επιμέλεια: Χρήστος Χαρμπής http://st-taksh.blogspot.gr σελ.188
1δ-2γ- 3ε-4α-5β
Ο Κλέφτης φοράει τη συνηθισμένη για εκείνη την εποχή φουστανέλα, που ήταν πολεμικό
ρούχο. Είναι μακριά και έχει πολλές πτυχές. Το επάνω μέρος της φορεσιάς είναι κοκκινωπό,
με μακριά μανίκια. Στη μέση του φοράει ζωνάρι με ρίγες, όπου έχει στερεωμένα τα άρματά
του. Φοράει επίσης και δερμάτινο σελλάχι. Στο κεφάλι του έχει ένα κόκκινο φέσι. Τα πόδια του
καλύπτονται από χοντρές κάλτσες που καταλήγουν σε χαμηλά δερμάτινα παπούτσια και όχι
στα συνηθισμένα τσαρούχια.
Τα τέσσερα αυτά προϊόντα (σιτάρι, βαμβάκι, λάδι, κρασί) καλλιεργούνταν με τον παραδοσιακό τρόπο παραγωγής και με τη βοήθεια όλων των
μελών της οικογένειας. Μερικές φορές η καλλιέργεια και η επεξεργασία των προϊόντων γίνονταν με πιο οργανωμένο τρόπο, όπως για
παράδειγμα στο Συνεταιρισμό των Αμπελακίων. Η καλλιέργεια αυτών των προϊόντων ήταν απαραίτητη για πολλούς λόγους:
Σιτάρι: Καλλιεργείταιαπό τα αρχαιότερα χρόνια και αποτελεί ακόμη και σήμερα τη βασική πρώτη ύλη για μια σειρά από βασικά είδη τροφής που
έχουν ως βάση το αλεύρι (ψωμί, δημητριακά, ζυμαρικά κ.ά.)
Βαμβάκι: Χρησιμοποιούνταν και χρησιμοποιείται και σήμερα για την παραγωγή νημάτων και την επεξεργασία τους. Τα υφάσματα που
κατασκευάζονται από τα βαμβακερά νήματα είναι υγιεινά, εύκολα στη χρήση και έχουν πολλές εφαρμογές (ρούχα, είδη ύπνου, τέντες κ.ά.)
Λάδι: Το "χρυσό υγρό" σύμφωνα με τον Όμηρο κατά την αρχαιότητα αποτελούσε σύμβολο υγείας και δύναμης. η καλλιέργειά του χάνεται στα
βάθη των αιώνων. Αποτελούσε το βασικό εμπορικό είδος των χωρών που βρέχονται από τη Μεσόγειο. Σήμερα θεωρείται και επιστημονικά
εξαιρετική και απαραίτητη τροφή και βασικό στοιχείο της μεσογειακής διατροφής.
Κρασί: Η αμπελουργία και η παρασκευή κρασιού είναι πανάρχαια τακτική (5.000 π.Χ.). Αποτελούσε και αυτό ένα από τα βασικά εμπορεύσιμα
είδη του αρχαιοελληνικού κόσμου, όπως και το λάδι. Δεν είναι τυχαίο ότι το λάδι και το κρασί χρησιμοποιούνται με συμβολικό τρόπο στο
τελετουργικό της ορθόδοξης εκκλησίας (άρτος, θεία, κοινωνία, βάπτιση κτλ.)
Θεσσαλονίκη
Ύδρα
Χίος
Μοσχόπολη
Ιωάννινα
Κοζάνη
ΚΕΦ. Β4
ΚΕΦ. Β5
ΕΠΑΝΑΛ. 1
ΕΠΑΝΑΛ. 1
Οι ΈΑήΙηνεδ κάτω από την οθωμανική και τη λατινική κυριαρχία (1453-1821)
8. Συμπληρώστε στο χάρτη τα εξής τοπωνύμια: Κοζάνη, Μοσχόπολη, Ιωάννινα, Βόλος,
Κεφαλληνία, Μάνη, Σμύρνη.
ΕΥΞΕΙΝΟΣ ΠΟΝΤΟΣ
Θ
Α Λ Α Σ Σ Α
Υπογραμμίστε με κόκκινο χρώμα τις παροικίες, όπου κατά την προεπαναστατική περίοδο
εγκαταστάθηκαν κυρίως Μακεδόνες πρόσφυγες και με πράσινο εκείνες, όπου εγκαταστά-
θηκαν Πόντιοι. Κατόπιν μπορείτε να ανατρέξετε στο χάρτη του Βιβλίου της Γεωγραφίας
(σ. 99) και να εντοπίσετε με τη Βοήθεια του δασκάλου και των συμμαθητών σας σε ποιες
χώρες Βρίσκονται αυτές οι περιοχές σήμερα.
ΒΟΡΕΙΑ
ΘΑΛΑΣΣΑ
Λίβερπο
,ονδίνο
στερνταμ
ΑΤΛΑΝΤΙΚΟΙ
ΩΚΕΑΝΟΣ
Παρίσι
ρ ι ο ύ π ο λ η ^ ρ Τ α γ α ν ρ ό γ κ
ολάιεφ
Μόναχο
Μίσκολτς
Ο ·Τοκάι
Βιένντ
Ζάγκρεμπ
ησσος
ΟΚέτσκεμετ ,
< Μπρασοβ ΓαλατσιΤεργέστ  ινιπραο
ν ν . ^Νόβισαντ ο , Ο
Λιουμπλανα^ ηΖέυουν Σιμπίου
! ---Γ^Βελινβάδι ΒραιλαΟ
Βενετία
Ιασσαλία
Τολέδο Βαρκελώνη Βουκουρέστι
Καργκέζε Ο
Λυάκιε
Λισαβόνα Αγκών Ντουμπρόβνικ
ιΣκουτάρι
Μπαρλέτε
Μαόν ων/πολ
ρ <α Μινορκα Νεάπολη
Γιβραλτάρ Βαλώνα Δαρδανέλλια
(Αυλώνα)
'Αδραμύτιο
Μεσσήνη Βόνιχσ
Σμύρντ
Ταρσός
%·ο<4. Τύνιδε
Μάλτα
ΜΕΣΟΓΕΙΟΣ ΘΑΛΑΣΣΑ
Λεμεσός
Αλεξάνδρεια
Ο Σημαντικά παροικιακά κέντρα
ο Αξιόλογες ελληνικές εστίες
° Ολιγάριθμες ελληνικές παροικίες
13
Κόντου Πολυξένη
Επιμέλεια: Χρήστος Χαρμπής http://st-taksh.blogspot.gr σελ.189
Μοσχόπολη
Κοζάνη
Ιωάννινα
Βόλος
Κεφαλληνία
Σμύρνη
Μάνη
Μακεδόνες πρόσφυγες: Βιέννη (σημερινή Αυστρία), Τεργέστη (σημερινή Ιταλία)
Πόντιοι πρόσφυγες: Οδησσός και Μαριούπολη (σημερινή Ουκρανία)
ΕΠΑΝΑΛ. 1
Ιστορία του νεότερου και σύγχρονου κόσμου ΕΝΟΤΗΤΑ
10. Αφού χωριστείτε σε ομάδες, διαβάστε τους παρακάτω στίχους από τον Ερωτόκριτο και
αναζητήστε πληροφορίες για το έργο και τον δημιουργό του σε εγκυκλοπαίδειες και στο
διαδίκτυο, στις ιστοσελίδες Ηΐΐρ://λ/λ/λ/.9Γ00^_1ειη9υεΐ90.9Γ και Ηΐΐρ://ειη0ηιί.Ηΐ3.υοο.9Γ.
Στους περαζόμενους καιρούς, που οι Έλληνες ορίζαν,
κι οπού δεν είχε η Πίστη τως θεμελιωμένη ρίζαν, 20
τότες μια Αγάπη μπιστική στον Κόσμο εφανερώθη,
κ' εγράφτη μέσα στην καρδιά, κι ουδεποτέ τση ελιώθη.
Και με Καιρό σε δυο κορμιά ο Πόθος είχε μείνει,
και κάμωμα πολλά ακριβόν έτοιους καιρούς εγίνη.
Εις την Αθήνα, που ήτονε τση Μάθησης η βρώσις, 25
και το θρονί της Αφεντιάς, κι ο ποταμός τση Γνώσης,
Ρήγας μεγάλος όριζε την άξα Χώρα εκείνη,
μ' άλλες πολλές και θαυμαστές, και ξακουστός εγίνη.
Ηράκλη τον ελέγασι, ξεχωριστόν απ' άλλους,
από πολλούς, και φρόνιμους, κι απ' όλους τους μεγάλους·
ξετελειωμένος Βασιλιός, κι άξος σε κάθε τ[ρ]όπον, 31
ο λόγος του ήτονε σκολειό και νόμος των ανθρώπων.
(Ερωτόκριτος, Ενότητα Α', οχοίοΐ^πίοδ.ιΐ30Γ3.ιιίΗ.αι7οχοίοΐ^πίοδ.Ηίπι)
Ο Ερωτόκριτος
11. Αντιστοιχίστε τους όρους της στήλης Α' με τους ορισμούς της στήλης Β'.
Στήλη Α' Στήλη Β'
1. Ευγ. Βούλγαρης
2. Μ. Περδικάρης
3. Δ. Καταρτζής
4. Γ. Κωνσταντάς
α. Τόνιζε τη σημασία της αγωγής
β. Συνέγραψε τη Νεωτερική Γεωγραφία
γ. Σατίριζε πρόσωπα της εποχής του
δ. Δίδαξε στην Αθωνιάδα Σχολή
14
Κόντου Πολυξένη
Επιμέλεια: Χρήστος Χαρμπής http://st-taksh.blogspot.gr σελ.190
είναι έμμετρο μυθιστόρημα που γράφτηκε από το Βιτσέντζο Κορνάρο στην Κρήτη το 17ο αιώνα.
Ο Βιτσέντζος Κορνάρος είναι ένας από τους κυριότερους εκπροσώπους της Κρητικής Λογοτεχνίας. Γεννήθηκε
το 1553 και πέθανε μάλλον το 1613. Έζησε όλη του τη ζωή στην Κρήτη.
Το έργο αποτελείται από 10.000 περίπου στίχους σε ιαμβικό δεκαπεντασύλλαβο μέτρο. Οι στίχοι έχουν
ομοιοκαταληξία. Κεντρικό θέμα του μυθιστορήματος είναι ο έρωτας ανάμεσα σε δύο νέους, τον Ερωτόκριτο
και την Αρετούσα. Γύρω από αυτό το θέμα περιστρέφονται άλλα ζητήματα διαχρονικά ως προς την αξία τους,
όπως η τιμή, η φιλία, η γενναιότητα και το κουράγιο. Μαζί με την Ερωφίλη του Γεώργιου Χορτάτση είναι τα
σημαντικότερα έργα της Κρητικής Λογοτεχνίας.
Η υπόθεση του έργου έχει επηρεαστεί από γαλλικά μεσαιωνικά μυθιστορήματα, αλλά αυτό που έχει μεγάλη
σημασία είναι ότι δεν πρόκειται για μια αντιγραφή αλλά για μια πολύ δημιουργική διασκευή του πρωτότυπου έργου.
Ο Ερωτόκριτος αγαπήθηκε από τον απλό κόσμο της εποχής όχι μόνο για το θέμα
του αλλά και για τη γλώσσα που χρησιμοποιεί. Παραμένει δημοφιλές μέχρι και τις μέρες
μας: υπάρχουν γέροντες Κρητικοί και γερόντισσες που θυμούνται απ' έξω πολλούς
στίχους του Ερωτόκριτου. Ένας επιπλέον λόγος που το έργο είναι τόσο δημοφιλές είναι
ότι έχει μελοποιηθεί, έχει δηλ. επενδυθεί με μουσική και τραγουδιέται.
1δ-2γ-3α-4β
ΚΕΦ. Β1
Οι Έλληνε$ κακό από την οθωμανική και τη λατινική κυριαρχία (1453-1821)
12. Αναζητήστε σε εγκυκλοπαίδειες και στο διαδίκτυο, στις ιστοσελίδες Ηΐΐρ://νοά.δθΗ.9Γ και
Ηΐΐρ://Λ/λ/Λ/.ρί_δθΗοο1δ., πληροφορίες για τον άγιο Κοσμά τον Αιτωλό.
Ο άγιος Κοσμάς ο Αιτωλός
13. Τοποθετήστε τις ιδιότητες στη στήλη που ταιριάζουν: γεννήθηκε στη Σμύρνη, καταγόταν
από το Βελεστίνο, έζησε στη Βλαχία, σπούδασε ιατρική, τύπωσε την προσωπογραφία του
Μεγάλου Αλεξάνδρου, εξέδωσε έργα αρχαίων Ελλήνων συγγραφέων, φονεύθηκε από
τους Τούρκους.
Ρήγας Βελεστινλής Αδαμάντιος Κοραής
14. Αντιστοιχίσιε τους όρους της στήλης Α' με τις χρονολογίες της στήλης Β'.
Στήλη Α' Στήλη Β'
1. Διονύσιος «Σκυλόσοφος»
2. Συνθήκη Κιουτσούκ Καϊναρτζή
3. Δασκαλογιάννης
4. Ναυμαχία Ναυπάκτου
α. 1770 μ.Χ.
6. 1774 μ.Χ.
γ. 1571 μ.Χ.
δ. 1600 μ.Χ.
15
Κόντου Πολυξένη
Επιμέλεια: Χρήστος Χαρμπής http://st-taksh.blogspot.gr σελ.191
γεννήθηκε στο χωριό Μέγα Δέντρο της Αιτωλίας.
Εκεί ακόμα και σήμερα σώζεται το σπίτι του.
Τα πρώτα γράμματα τα έμαθε στο μοναστήρι της Αγίας Παρασκευής, βόρεια της
Ναυπάκτου, ενώ αργότερα πήγε στο Άγιο Όρος στην παλαιά Αθωνιάδα Σχολή.
σ' αυτή τη σχολή δίδαξε και ο φημισμένοε Ευγένιος Βούλγαρης, δάσκαλος του Γένους
και φαίνεται ότι από εκεί πέρασε και ο μάρτυρας της Επανάστασης Ρήγας Φεραίος.
Το κοσμικό του όνομα ήταν Κώνστας, ενώ το επώνυμό του παραμένει άγνωστο.
Το 1759 εγκατέλειψε το μοναστήρι και με εντολή του Πατριάρχη ξεκίνησε τις
περιοδείες του στη Δυτική, τη Βόρεια Ελλάδα και την Ήπειρο, με βασικό σκοπό να
αντιμετωπίσει το συνεχόμενο εξισλαμισμό των χριστιανών. Δίδασκε με θέρμη και
συμβούλευε τους ορθόδοξους χριστιανούς να ιδρύσουν σχολεία, και μέσα από αυτά να
διδαχτούν την ορθοδοξία. Πίστευε πάρα πολύ στη σπουδαιότητα της ελληνικής
γλώσσας και της χριστιανικής διδασκαλίας. Έντονη ήταν η επιθυμία του να
απελευθερώσει το Γένος. Ίδρυσε περίπου 250 σχολεία μέσα σε 16 χρόνια.
Φυσικά είχε απέναντί του όλους τους ισχυρούς της εποχής που ένιωθαν ότι
απειλούνταν από τη διδασκαλία του. Συνελήφθη από τους Τούρκους έπειτα από κατηγορίες ότι ήταν πράκτορας των Ρώσων και
εκτελέστηκε στις 24 Αυγούστου του 1779. Ο Κοσμάς ο Αιτωλός ανακηρύχτηκε άγιος επίσημα από το Πατριαρχείο της
Κωνσταντινούπολης στις 20 Απριλίου 1961 και η μνήμη του τιμάται στις 24 Αυγούστου.
γεννήθηκε στη Σμύρνη
σπούδασε ιατρική
καταγόταν από το Βελεστίνο
έζησε στη Βλαχία
τύπωσε την προσωπογραφία του
Μεγάλου Αλεξάνδρου
εξέδωσε έργα αρχαίων Ελλήνων
συγγραφέων
φονεύθηκε από τους Τούρκους
1δ-2β-3α-4γ
ΚΕΦ. 7
Ιστορία του νεότερου και σύγχρονου κόσμου ΕΝΟΤΗΤΑ
15. Αναζητήστε σε εγκυκλοπαίδειες και στο διαδίκτυο, στις ιστοσελίδες Ηΐίρ://λΑλΑλ/.ΪΓηΓηει.6άυ.9Γ
και Ηϋρ://ννν.5ΘΓΜ.οοπι, πληροφορίες για τους Ρωσοτουρκικούς Πολέμους και συζη-
τήστε στην τάξη τη σημασία τους για τους Έλληνες.
Οι Ρώσοι
16. Συμπληρώστε στο χάρτη με τη βοήθεια του δασκάλου και των συμμαθητών σας τις εξής
περιοχές και τοπωνύμια: Σφακιά, Μάνη, Σούλι, Θράκη, Μακεδονία, Ήπειρος, Χαλκιδική.
16
Κόντου Πολυξένη
Επιμέλεια: Χρήστος Χαρμπής http://st-taksh.blogspot.gr σελ.192
βρίσκονται σε εμπόλεμη κατάσταση από το 1568. Ρωσοτουρκικοί πόλεμοι έγιναν και πριν από την
Επανάσταση του 1821 αλλά και μετά την Επανάσταση φτάνοντας μέχρι και τον 20ό αιώνα το 1818. Ο πιο
σημαντικός από αυτούς για τους Έλληνες ήταν ο πρώτος Ρωσοτουρκικός πόλεμος, γιατί με τη λήξη του
υπογράφηκε η Συνθήκη του Κιουτσούκ Καϊναρτζή το 1774. Σύμφωνα με αυτή τη συνθήκη αναγνωρίστηκε με
επίσημο τρόποη δυνατότητα της Ρωσίας να επεμβαίνει στα εσωτερικά ζητήματα της Οθωμανικής Αυτοκρατορίας.
Ταυτόχρονα έδωσε και τη δυνατότητα στους Έλληνες ναυτικούς και εμπόρους να πλέουν στα τουρκικά παράλια
χρησιμοποιώντας τη ρωσική σημαία. Η συνθήκη αυτή ήταν η αρχή της κατάρρευσης της Οθωμανικής
Αυτοκρατορίας. Οι πόλεμοι που ακολούθησαν συνέβαλαν και αυτοί, διότι αποδυνάμωσαν την αμυντική
ικανότητα της Οθωμανικής Αυτοκρατορίας.
Μακεδονία
Θράκη
Χαλκιδική
Ήπειρος
Σούλι
Μάνη
Σφακιά
ΚΕΦ. 5
Οι ΈΑήΙηνεδ κάτω από την οθωμανική και τη λατινική κυριαρχία (1453-1821)
17. Τοποθετήστε ία γεγονότα στη σειρά αρχίζοντας από ίο παλαιότερο: Συνθήκη του Κιου-
τσούκ Καϊναρτζή, Επανάσταση 1821, εκτέλεση Ρήγα, παραχώρηση προνομίων στο
Πατριαρχείο.
1.
3.
18. Παρατηρήστε την εικόνα 6 στη σελίδα 47 του Βιβλίου σας και σημειώστε τις αγροτικές
εργασίες που παρουσιάζονται. Κατόπιν συζητήστε στην τάξη ποιες από αυτές γίνονται
σήμερα με τον ίδιο τρόπο και ποιες με διαφορετικό (π.χ. χρήση μηχανημάτων).
19. Συμπληρώστε με τη βοήθεια του δασκάλου σας τα κενά που υπάρχουν στο παρακάτω κεί-
μενο:
Δάσκαλοι του
κρατία
έγιναν αργότερα
τα κηρύγματα του
ονομάζονται οι μορφωμένοι Έλληνες που κατά την Τουρκο-
με την διδασκαλίας τους ή με τα κείμενά τους στην
της ελληνικής παιδείας. Αρκετοί από τους δασκάλους του Γένους ήταν ή
. Κατά τον 18° και στις αρχές του 19ου
αιώνα οι ιδέες και
έκαναν την εμφάνισή τους στη Δυτική Ευρώπη.
_ Χερσόνησο δυναμώνοντας τηνΟι ιδέες αυτές έφτασαν γρήγορα και στην _
διάθεση των υπόδουλων Ελλήνων.
17
Κόντου Πολυξένη
Επιμέλεια: Χρήστος Χαρμπής http://st-taksh.blogspot.gr σελ.193
παραχώρηση προνομίων στο Πατριαρχείο
Συνθήκη του Κιουτσούκ Καϊναρτζή
εκτέλεση Ρήγα
Επανάσταση 1821
Το μάζεμα των φρούτων, το τίναγμα και το μάζεμα της ελιάς, το κούρεμα των προβάτων και η βοσκή
των ζώων εξακολουθούν να γίνονται ακόμα και σήμερα από τους ανθρώπους. Σε κάποιες από αυτές
χρησιμοποιούνται μηχανήματα, όπως π.χ. στο τίναγμα των ελιών και στο κούρεμα των προβάτων
(ηλεκτρικά ψαλίδια). Όμως εξακολουθεί να είναι σημαντική η επιδεξιότητα του ανθρώπου, η τέχνη
και το μεράκι, ώστε το αποτέλεσμα να είναι ικανοποιητικό.
Γένους
συνέβαλαν μορφή
καλλιέργεια
κληρικοί
Ευρωπαϊκού Διαφωτισμού
βαλκανική
επαναστατική
ΚΕΦ. Β5
ΟΝΟΜΑ:………………………………………………………………… ΗΜ/ΝΙΑ:……………
1. Κυκλώνω τη σωστή απάντηση:
α. Από τον 14ο ως τον 18ο αιώνα τα Ιόνια νησιά τα κατείχαν:
1. οι Οθωμανοί Τούρκοι
2. οι Βενετοί
3. οι Άγγλοι
4. οι Γάλλοι
β. Η περίοδος της Τουρκοκρατίας στον ελληνικό χώρο αρχίζει από:
1. το 1453
2. το 1204
3. το 1821
4. το 1789
γ. οι σοβαρές δικαστικές υποθέσεις των Χριστιανών εξετάζονταν:
1. στα ελληνικά δικαστήρια
2. στο Πατριαρχείο
3. στα μουσουλμανικά Ιεροδικεία
4. στις Ορθόδοξες εκκλησίες
δ. « Έλληνες της Διασποράς» ονομάζονται:
1. οι Βυζαντινοί άρχοντες που κατέφυγαν στη Δύση μετά την άλωση της Κων/πολης
2. οι Χριστιανοί που μετακινήθηκαν σε ορεινούς τόπους της Οθ. Αυτοκρατορίας
3. οι Έλληνες λόγιοι που κατέφυγαν στα Ιόνια Νησιά
4. οι Έλληνες που ζούσαν έξω από τα όρια της Οθωμανικής Αυτοκρατορίας
ε. Το «ξανθό γένος» ήταν:
1. οι Οθωμανοί Τούρκοι
2. οι δυτικοευρωπαίοι
3. οι Ρώσοι
4. οι Έλληνες της Διασποράς
Παπαπέτρου Βάσω
Επιμέλεια: Χρήστος Χαρμπής http://st-taksh.blogspot.gr σελ.194
2. Απαντώ με συντομία στις παρακάτω ερωτήσεις:
Α)Τι ήταν το παιδομάζωμα;
……………………………………………………………………………………………………………………
……………………………………………………………………………………………………………………
……………………………………………………………………………………………………………………
Β)Τι γνωρίζετε για τους Φαναριώτες;
……………………………………………………………………………………………………………………
……………………………………………………………………………………………………………………
……………………………………………………………………………………………………………………
……………………………………………………………………………………………………………………
Γ)Ποιοι ήταν οι τακτικοί φόροι που πλήρωναν οι Χριστιανοί;
……………………………………………………………………………………………………………………
……………………………………………………………………………………………………………………
……………………………………………………………………………………………………………………
Δ)Ποιοι ήταν οι κλέφτες και ποιοι οι αρματολοί;
……………………………………………………………………………………………………………………
……………………………………………………………………………………………………………………
……………………………………………………………………………………………………………………
……………………………………………………………………………………………………………………
……………………………………………………………………………………………………………………
Ε)Τι ήταν οι Διομολογήσεις και με ποιον τρόπο βοήθησαν το ελληνικό εμπόριο;
……………………………………………………………………………………………………………………
……………………………………………………………………………………………………………………
……………………………………………………………………………………………………………………
……………………………………………………………………………………………………………………
3. Σημειώνω Σ για το σωστό και Λ για το λάθος:
 Η τόνωση της παιδείας δεν ήταν απαραίτητα για την επανάσταση.
 Η Μάνη υποτάχθηκε στους Τούρκους.
 Οι Έλληνες σταδιακά ανέλαβαν το εμπόριο και έγιναν πλούσιοι.
 Η οικονομία της Οθ. Αυτοκρατορίας στηριζόταν στις αγροτικές καλλιέργειες.
 Ο Γεώργιος Ανδρίτζος ήταν γνωστός Κλέφτης.
 Οι Αρματολοί ήταν Έλληνες και Τούρκοι.
 Ο Πατριάρχης είχε τη δυνατότητα να ιδρύει σχολεία και να επιβάλει φόρους.
 Ο Πατριάρχης λογοδοτούσε στο Σουλτάνο για τις πράξεις των Ορθοδόξων.
 Μετά την Άλωση, οι Χριστιανοί κράτησαν τις πιο εύφορες περιοχές.
 Οι Έλληνες της Διασποράς βοήθησαν στην τόνωση της παιδείας.
Παπαπέτρου Βάσω
Επιμέλεια: Χρήστος Χαρμπής http://st-taksh.blogspot.gr σελ.195
4. Συμπληρώνω τα κενά:
 Οι υπόδουλοι Έλληνες δεν αφομοιώθηκαν από τους Τούρκους επειδή
κατάφεραν να κρατήσουν τη ____________, τη ____________ και τις
________________ τους.
 Ο ____________ ήταν ο θρησκευτικός ηγέτης όλων των υπόδουλων
Χριστιανών και λογοδοτούσε στο _____________ για τις πράξεις τους. Είχε τη
δυνατότητα εάν ήθελε να επιβάλει ειδική _____________ στους πιστούς.
 Οι ___________ ονομάστηκαν έτσι γιατί συγκεντρώθηκαν στη συνοικία
___________ γύρω από το Πατριαρχείο.
 Ο μοναχός Μάξιμος ο _________ καλλιέργησε περαιτέρω σχέσεις με τη
__________, ελπίζοντας να βοηθήσουν τους Έλληνες στην Επανάσταση.
5. Πώς φέρονταν οι Βενετοί κατακτητές στους Έλληνες υπήκοους ως το
16ο
αιώνα;
………………………………………………………………………………………………………………
………………………………………………………………………………………………………………
………………………………………………………………………………………………………………
………………………………………………………………………………………………………………
………………………………………………………………………………………………………………
………………………………………………………………………………………………………………
……………………………………………………………………………………………………………..
6. Μπορείς να περιγράψεις σύντομα τους λόγους που οδήγησαν στην
παρακμή της Οθωμανικής Αυτοκρατορίας;
………………………………………………………………………………………………………………
………………………………………………………………………………………………………………
………………………………………………………………………………………………………………
………………………………………………………………………………………………………………
………………………………………………………………………………………………………………
………………………………………………………………………………………………………………
………………………………………………………………………………………………………………
………………………………………………………………………………………………………………
………………………………………………………………………………………………………………
……………………………………………………………………………………………………………..
Καλή Επιτυχία!
Παπαπέτρου Βάσω
Επιμέλεια: Χρήστος Χαρμπής http://st-taksh.blogspot.gr σελ.196
ΟΝΟΜΑ:…………………………………………………………… ΗΜ/ΝΙΑ:………………
1. Τοποθετώ στην ιστοριογραμμή τα παρακάτω γεγονότα με τη σωστή χρονολογική
σειρά:
α) Ορλωφικά β)Εξεγέρσεις στη Θεσσαλία γ)Ναυμαχία Ναυπάκτου
δ)Κίνημα Λάμπρου Κατσώνη ε) Ελληνική Επανάσταση
2. Κυκλώνω τη σωστή απάντηση:
α)Κατά το 15ο
και 16ο
αιώνα, η μετανάστευση των Ελλήνων γίνονταν:
1.Προαιρετικά 3. Υποχρεωτικά
2.Για οικονομικούς λόγους 4. Για εκπαιδευτικούς λόγους
β) Η πνευματική αναγέννηση του υπόδουλου έθνους ξεκίνησε από:
1. Τους Έλληνες των παροικιών 3. Το ‘’ξανθό γένος’’
2. τις χώρες της Δυτικής Ευρώπης 4. τους ίδιους τους υπόδουλους
γ) Η ‘’Χάρτα της Ελλάδος και ο ‘’Θούριος’’ είναι έργα του:
1. Ρήγα Βελεστινλή 3. Αδαμάντιου Κοραή
2. Κοσμά του Αιτωλού 4. Λάμπρου Κατσώνη
δ) Η Ναυμαχία της Ναυπάκτου τέλειωσε με :
1. Ισοπαλία Ελλάδας – Τουρκίας 3. Ολοκληρωτική καταστροφή του τουρκικού στόλου
2.Μικρή ήττα του τουρκικού στρατού 4. Ολοκληρωτική καταστροφή του τουρκικού στρατού
ε) Οι Τούρκοι:
1. Δεν κατέκτησαν ποτέ το Σούλι 3. Δεν κατέκτησαν ποτέ την Πελοπόννησο
2. Κατέκτησαν το 1803 τη Μάνη 4. Κατέκτησαν το Σούλι το 1803
1571 1600 1770 1787 1821
Παπαπέτρου Βάσω
Επιμέλεια: Χρήστος Χαρμπής http://st-taksh.blogspot.gr σελ.197
3. Κάνω την αντιστοίχιση:
Δάσκαλος του Γένους Αλή Πασάς
Αξιωματικός του ρωσικού στρατού Ρήγας Φεραίος
Τούρκος άρχοντας των Ιωαννίνων Σαμουήλ
Έβαλε φωτιά στο Κούγκι Λάμπρος Κατσώνης
4. Σημειώνω Σ για τις σωστές και Λ για τις λάθος απαντήσεις:
 Η Οδησσός είναι μία από τις γνωστότερες παροικίες των Ελλήνων.
 Πολλοί από του Δασκάλους του Γένους ήταν ή έγιναν κληρικοί.
 Ο καλόγερος Σαμουήλ ανατινάχτηκε στη Μάνη.
 Οι Σουλιώτες προμηθεύονταν όπλα από τα Δωδεκάνησα.
 Ο Αλή πασάς των Ιωαννίνων κατάφερε να αδυνατίσει την άμυνα του Σουλίου.
 Πολλοί από τους δασκάλους του Γένους ήταν ή έγιναν κληρικοί.
 Το κίνημα του μητροπολίτη Διονύσιου στην ορεινή Θεσσαλία απέτυχε.
 Ο Ρήγας Φεραίος πρότεινε να απλουστευτεί η ελληνική γλώσσα.
 Ο Κοραής έγραψε το ποίημα ‘’Σάλπισμα Πολεμιστήριον’’.
 Η δεύτερη περίοδος της μετανάστευσης (17ος
-18ος
αι.) ήταν υποχρεωτική.
5. Συμπληρώνω τα κενά:
 Η πνευματική δραστηριότητα όπου οι νέες φιλελεύθερες και ριζοσπαστικές ιδέες
που επικρατούσαν στη Δύση επηρέασαν την επαναστατική διάθεση των
υπόδουλων Ελλήνων ονομάστηκε _____________________
____________________ .
 Στη _________________ του Τσεσμέ, ο ολιγάριθμος ορθόδοξος στόλος νίκησε τους
_______________________, αλλά οι συγκρούσεις τερματίστηκαν τελικά με τη
Συνθήκη του _____________ ___________________ .
 Η δεύτερη περίοδος της μετανάστευσης κατά το _____ και _____ αιώνα, ήταν
_______________και ειρηνική, με ______________ κυρίως αίτια.
Παπαπέτρου Βάσω
Επιμέλεια: Χρήστος Χαρμπής http://st-taksh.blogspot.gr σελ.198
6. Απαντώ σύντομα:
 Ποιοι ονομάστηκαν Δάσκαλοι του Γένους; Ποιες σημαντικές μορφές
γνωρίζετε; (Να αναφέρετε τουλάχιστον τρεις).
……………………………………………………………………………………………………………………
……………………………………………………………………………………………………………………
……………………………………………………………………………………………………………………
……………………………………………………………………………………………………………………
…………………………………………………………………………………………………………………
 Πώς οργάνωναν οι Έλληνες μετανάστες τη ζωή στη νέα τους πατρίδα;
……………………………………………………………………………………………………………………
……………………………………………………………………………………………………………………
……………………………………………………………………………………………………………………
……………………………………………………………………………………………………………………
……………………………………………………………………………………………………………………
…………………………………………………………………………………………………………………
 Ποια στοιχεία μεταμόρφωσαν τους Σουλιώτες σε ικανότατους πολεμιστές;
Τι γνωρίζετε για τον τρόπο που πολεμούσαν;
……………………………………………………………………………………………………………………
……………………………………………………………………………………………………………………
……………………………………………………………………………………………………………………
……………………………………………………………………………………………………………………
……………………………………………………………………………………………………………………
…………………………………………………………………………………………………………………
Καλή Επιτυχία!
Παπαπέτρου Βάσω
Επιμέλεια: Χρήστος Χαρμπής http://st-taksh.blogspot.gr σελ.199
Ο
Ι ΕΛΛΗΝΕΣ ΚΑΤΩ ΑΠΟ ΤΗΝ ΟΘΩΜΑΝΙΚΗ ΚΑΙ ΤΗ ΛΑΤΙΝΙΚΗ ΚΥΡΙΑΡΧΙΑ
1453-1821 ΕΝΟΤΗΤΕΣ 1-5
6
Νοεμβρίο
υ 2012
Ζήτημα πρώτο:
Α. Ποιες ήταν οι διακρίσεις και οι περιορισμοί που επέβαλαν οι
Οθωμανοί στους σκλαβωμένους;
________________________________________________________________________________
________________________________________________________________________________
________________________________________________________________________________
________________________________________________________________________________
________________________________________________________________________________
________________________________________________________________________________
________________________________________________________________________________
________________________________________________________________________________
________________________________________________________________________________
________________________________________________________________________________
________________________________________________________________________________
________________________________________________________________________________
________________________________________________________________________________
________________________________________________________________________________
________________________________________________________________________________
Β. Αναφέρετε ποιοι αποτελούσαν τη Θρησκευτική και πολιτική
ηγεσία των Ελλήνων κατά τη διάρκεια της οθωμανικής
αυτοκρατορίας; Τι γνωρίζετε για τους Φαναριώτες; (η απάντηση να
στηριχτεί στα κεφάλαια 2 και 3.
________________________________________________________________________________
________________________________________________________________________________
________________________________________________________________________________
________________________________________________________________________________
________________________________________________________________________________
Δημήτρης Βογιατζάκης
Επιμέλεια: Χρήστος Χαρμπής http://st-taksh.blogspot.gr σελ.200
Ο
Ι ΕΛΛΗΝΕΣ ΚΑΤΩ ΑΠΟ ΤΗΝ ΟΘΩΜΑΝΙΚΗ ΚΑΙ ΤΗ ΛΑΤΙΝΙΚΗ ΚΥΡΙΑΡΧΙΑ
1453-1821 ΕΝΟΤΗΤΕΣ 1-5
6
Νοεμβρίο
υ 2012
________________________________________________________________________________
________________________________________________________________________________
________________________________________________________________________________
________________________________________________________________________________
________________________________________________________________________________
________________________________________________________________________________
________________________________________________________________________________
Ζήτημα Δεύτερο:
Α. Αντιστοιχίστε τους όρους της α΄ στήλης με αυτούς της β΄ στήλης:
1. Επίτροποι Α. Ορμητήριό του
η Μάνη
2. Βοηθητικά στρατεύματα
των Τούρκων
Β. Διομολογήσεις
3. Κορκόδειλος Κλαδάς Γ. Ρουμ Μιλέτ
4. Μπαϊράκι Δ. Ιόνια νησιά
5. Πατριάρχης Ε. Παιδομάζωμα
6. Βενετοί Ζ. Προεστοί
7. Φόρος αίματος Η. Κλέφτες
8. Εμπορικές συμφωνίες των
Δυτικών χωρών με τους
Σουλτάνους
Θ. Αρματολοί
Β. Τοποθετήστε τις ακόλουθες έννοιες στη στήλη που ταιριάζουν:
( λημέρι  δημογέροντες  Κατσαντώνης  διομολογήσεις 
ορεσίβιοι  πατριάρχης  κεφαλικός φόρος  παιδομάζωμα 
Δημήτρης Βογιατζάκης
Επιμέλεια: Χρήστος Χαρμπής http://st-taksh.blogspot.gr σελ.201
Ο
Ι ΕΛΛΗΝΕΣ ΚΑΤΩ ΑΠΟ ΤΗΝ ΟΘΩΜΑΝΙΚΗ ΚΑΙ ΤΗ ΛΑΤΙΝΙΚΗ ΚΥΡΙΑΡΧΙΑ
1453-1821 ΕΝΟΤΗΤΕΣ 1-5
6
Νοεμβρίο
υ 2012
μικρές ομάδες  Κιουτσούκ Καϊναρτζή  καπετάνιος  σουλτάνος
 υπηρετούσαν στο στρατό σε βοηθητικές υπηρεσίες  σφαγές και
αιχμαλωσίες  εξισλαμισμός )
ΟΘΩΜΑΝΟΙ ΚΛΕΦΤΕΣ ΕΛΛΗΝΕΣ
Ζήτημα Τρίτο:
Α. Ποιος κατά τη γνώμη σας ήταν ο απώτερος σκοπός των
Τούρκων με το παιδομάζωμα και τους εξισλαμισμούς;
________________________________________________________________________________
________________________________________________________________________________
________________________________________________________________________________
________________________________________________________________________________
________________________________________________________________________________
Β. Τι γνωρίζετε για το "ρεμπελιό των ποπολάρων";
________________________________________________________________________________
________________________________________________________________________________
________________________________________________________________________________
________________________________________________________________________________
________________________________________________________________________________
________________________________________________________________________________
Δημήτρης Βογιατζάκης
Επιμέλεια: Χρήστος Χαρμπής http://st-taksh.blogspot.gr σελ.202
1ο
Δημοτικό Σχολείο Κέρκυρας, Στ΄Τάξη
Ονοματεπώνυμο......................................................................................Ημερομηνία..............
Βαθμός ....../100 ...........%
Τεστ στην Ιστορία Ενότητα Β΄ ( Κεφάλαια 6ο
,7ο
,8ο
,9ο
,10ο
)
1.Κυκλώστε και υπογραμμίστε τη σωστή απάντηση(10 μονάδες):
α)Γιατί μετανάστευαν οι Έλληνες κατά την πρώτη περίοδο της Τουρκοκρατίας:
1.Προαιρετικά
2.Για οικονομικούς λόγους
3. Υποχρεωτικά
4. Για εκπαιδευτικούς λόγους
β) Πότε είναι η δεύτερη περίοδος μετανάστευσης και γιατί μετανάστευαν τότε οι
Έλληνες:
1. 15ο
-16ο
αιώνας υποχρεωτική μετανάστευση.
2. 16ο
-17ο
αιώνας προαιρετική μετανάστευση
3. 15ο
-16ο
αιώνας εξαιτίας των πολεμικών συγκρούσεων
4. 16ο
-17ο
αιώνας εξαιτίας της επέκτασης των Τούρκων
γ) Ποιό ήταν το πρώτο μέλημα των Ελλήνων μεταναστών στο νέο τόπο κατοικίας
τους:
1. Η ίδρυση καταστατικού.
2. Το χτίσιμο μοναστηριών
3. Το χτίσιμο κοινοτικών σχολείων.
4. Η ανέγερση ναού.
δ) Οι Παραδουνάβιες Ηγεμονίες ήταν :
1. Η Βενετία και η Τεργέστη.
2. Η Οδησσός, ο Καύκασος και η Κριμαία.
3.Η Λειψία και το Μόναχο.
4. Η Μολδαβία και η Βλαχία.
ε) Τα καραβάνια ήταν:
Kitili Μaria
Επιμέλεια: Χρήστος Χαρμπής http://st-taksh.blogspot.gr σελ.203
1. Τρόπος μεταφοράς εμπορευμάτων δια ξηράς.
2.Τρόπος μεταφοράς εμπορευμάτων δια θαλάσσης.
3. Τρόπος μεταφοράς εμπορευμάτων και ανθρώπων δια ξηράς.
4. Τρόπος μεταφοράς εμπορευμάτων και ανθρώπων δια θαλάσσης.
2.Αντιστοιχίστε τους όρους της δεξιάς με τους όρους της αριστερής στήλης( μονάδες 8 ):
Δάσκαλος του Γένους Αλή Πασάς
Αξιωματικός του ρωσικού στρατού Ρήγας Φεραίος
Τούρκος άρχοντας των Ιωαννίνων Σαμουήλ
Έβαλε φωτιά στο Κούγκι Λάμπρος Κατσώνης
3. Σημειώστε Σ για τις σωστές και Λ για τις λάθος απαντήσεις: ( μονάδες 12)
 Ο Άγιος Κοσμάς ο Αιτωλός δίδαξε στην Αθωνιάδα Σχολή .......
 Ο Γρηγόριος Κωνσταντάς και ο Δανιήλ Φιλιππίδης συνέγραψαν τη «Γεωγραφία
Νεωτερική» .......
 Η «Ελληνική Νομαρχία»είναι αφιερωμένη στον Αδαμάντιο Κοραή. ......
 Ο Ευγένιος Βούλγαρης καταγόταν από τη Χίο. ......
 Ο Άγιος Κοσμάς ο Αιτωλός έκανε πολλές περιοδείες στην τουρκοκρατούμενη
Ελλάδα και πέρασε και από την Κέρκυρα. ........
 Πολλοί από τους δασκάλους του Γένους ήταν ή έγιναν κληρικοί. ........
4. Συμπλήρωσε τα κενά ( 24 μονάδες):
Οι δάσκαλοι του Γένους δίδασκαν σε................................., .................................. και
.................. .................. Με το έργο τους βοήθησαν στην ίδρυση................... και την
τόνωση της ......................... ...................., στην ..................................... προετοιμασία της
Μεγάλης .................................. του 1821 και στην ανάπτυξη
του...............................................στη Δύση. Αποτέλεσμα των δραστηριοτήτων των
δασκάλων του Γένους ήταν οι νέες φιλελεύθερες ιδέες να φτάνουν γρήγορα στην ελληνική
Χερσόνησο. Όλη αυτή η πνευματική δραστηριότητα ονομάστηκε......................
..........................................
5. Τι γνωρίζετε για το Ρήγα Βελεστινλή ( μονάδες 8):
....................................................................................................................................................
Kitili Μaria
Επιμέλεια: Χρήστος Χαρμπής http://st-taksh.blogspot.gr σελ.204
.....................................................................................................................................................
.....................................................................................................................................................
.....................................................................................................................................................
.....................................................................................................................................................
.....................................................................................................................................................
.....................................................................................................................................................
.....................................................................................................................................................
6. Κυκλώστε και υπογραμμίστε τη σωστή απάντηση ( μονάδες 12):
α)Ο Αδαμάντιος Κοραής έγραψε :
1. Το «Θούριο».
2. Το «Σάλπισμα Πολεμιστήριον».
3. Την «Ελληνική Νομαρχία».
4.Τη «Χάρτα της Ελλάδας».
β) Το 16ο
αιώνα πολλοί Κερκυραίοι, Κρητικοί και Μανιάτες πολέμησαν τους
Οθωμανούς Τούρκους στο πλευρό των:
1. Βενετών και Ισπανών.
2. Αδελφών Ορλώφ.
3. Του Λάμπρου Κατσώνη.
4. Του Ναπολέοντα Βοναπάρτη.
γ)Στα τέλη του 18ου
αιώνα οι υπόδουλοι Έλληνες συνειδητοποίησαν ότι :
1. Κάθε πρωτοβουλία για απελευθέρωση έπρεπε να προέλθει από τους Γάλλους.
2. Κάθε πρωτοβουλία για απελευθέρωση έπρεπε να προέλθει από τους Ρώσους.
3. Κάθε πρωτοβουλία για απελευθέρωση έπρεπε να προέλθει από τους ίδιους.
4. . Κάθε πρωτοβουλία για απελευθέρωση έπρεπε να προέλθει από τους Βενετούς.
δ) Το 1600 ο Μητροπολίτης Διονύσιος ο Φιλόσοφος ξεσήκωσε τους υπόδουλους
Έλληνες:
1. Στη Θεσπρωτία.
2. Στα Σφακιά της Κρήτης.
3. Στη Λιβαδειά .
4. Στην ορεινή Θεσσαλία.
Kitili Μaria
Επιμέλεια: Χρήστος Χαρμπής http://st-taksh.blogspot.gr σελ.205
ε) Ο Γεώργιος Ανδρίτσος ήταν πατέρας του :
1. Ιωάννη Βλάχου.
2. Λάμπρου Κατσώνη.
3. Οδυσσέα Ανδρούτσου.
4.Μητροπολίτη Διονυσίου.
στ. Οι κάτοικοι του Σουλίου ήταν :
1. Ναυτικοί.
2. Βοσκοί.
3. Έμποροι.
4. Λόγιοι.
7. Σημειώστε Σ για τις σωστές και Λ για τις λάθος απαντήσεις ( μονάδες 14):
 Η Υψηλή Πύλη ήταν η ανώτερη εξουσία των Τούρκων. .........
 Ο Αλή Πασάς των Ιωαννίνων πέτυχε να διώξει με διάφορους τρόπους αρκετούς
Σουλιώτες. ........
 Οι Σουλιώτες στα Επτάνησα υπηρέτησαν αρχικά τους Βενετούς. ........
 Το 1820 οι Τούρκοι μετά από πολλές προσπάθειες κατέλαβαν το Σούλι. .........
 Κατά τη διάρκεια της Επανάστασης πολλοί Σουλιώτες ανέπτυξαν σημαντική δράση
ως οπλαρχηγοί. ........
 Στο Κιούγκι ανατινάχτηκε ο Σαμουήλ μόνο με πολεμιστές Σουλιώτες. .......
 Οι Σουλιώτες μιλούσαν ελληνικά και αρβανίτικα. .........
8.Τι γνωρίζεις για τους αγώνες των Σουλιωτών ( μονάδες 12):
.....................................................................................................................................................
.....................................................................................................................................................
.....................................................................................................................................................
.....................................................................................................................................................
.....................................................................................................................................................
.....................................................................................................................................................
.....................................................................................................................................................
.....................................................................................................................................................
.......................................................................................................Καλή επιτυχία!!
Kitili Μaria
Επιμέλεια: Χρήστος Χαρμπής http://st-taksh.blogspot.gr σελ.206
5ο
Δ.Σ. ΜΟΣΧΑΤΟΥ ΤΑΞΗ ΣΤ΄ 2012-13
ΚΡΙΤΗΡΙΟ ΑΞΙΟΛΟΓΗΣΗΣ ΣΤΗΝ ΙΣΤΟΡΙΑ
2η
ΕΝΟΤΗΤΑ ΚΕΦ 1-6
ΟΝΟΜΑΤΕΠΩΝΥΜΟ: ___________________________________________________
1.Ποιες ήταν οι συνθήκες ζωής των υποδούλων Ελλήνων κατά τη διάρκεια της Τουρκοκρατίας ;
Οι συνθήκες ζωής των υποδούλων ήταν πολύ σκληρές ιδιαίτερα τα πρώτα χρόνια της
Τουρκοκρατίας. Υποχρεώνονταν να κατοικούν σε φτωχικές συνοικίες, υπηρετούσαν στο στρατό
σε βοηθητικές υπηρεσίες, απαγορεύονταν οι λιτανείες και σοβαρές δικαστικές υποθέσεις
εξετάζονταν μόνο σε μουσουλμανικά ιεροδικεία και όχι στα εκκλησιαστικά δικαστήρια. Το
σημαντικότερο όμως ήταν ότι οι Χριστιανοί πλήρωναν περισσότερους φόρους από τους
Μουσουλμάνους, όπως τον κεφαλικό φόρο, τον φόρο εστίας, τον έγγειο φόρο (φόρος για χρήση
της γης) αλλά και τον φόρο με την αγροτική παραγωγή, τη γνωστή δεκάτη. Τα πιο σκληρά όμως
μέτρα ακόμα και από τη φορολογία ιδιαίτερα τους πρώτους χρόνους της σκλαβιάς ήταν οι σφαγές,
οι αιχμαλωσίες, οι εξισλαμισμοί και φυσικά το παιδομάζωμα. Επίσης η αναγκαστική μετακίνηση
ελληνικών πληθυσμών.
2.Τι ήταν οι Κλέφτες;
Ήταν ένοπλοι Έλληνες κατά την περίοδο της Τουρκοκρατίας. Ζούσαν στην ύπαιθρο και είχαν τα
λημέρια τους ( τα κρησφύγετά τους) σε μέρη δύσβατα (δυσκολοπάτητα).
Ήταν οργανωμένοι σε μικρές ομάδες, η καθεμιά με τον καπετάνιο της και το δικό της μπαϊράκι
(σημαία, λάβαρο).
Βασικό τους χαρακτηριστικό ήταν η εχθρότητα που ένιωθαν για τους Τούρκους και γενικά για την
εξουσία. Οι Αρχές τούς αντιμετώπιζαν σαν κακούργους, όμως ο λαός θαύμαζε το ελεύθερο
φρόνημά τους κι έκαμε τραγούδι τη ζωή και τα κατορθώματά τους. Έτσι οι κλέφτες έγιναν λαϊκοί
ήρωες.
3.Σωστό ή λάθος ;
Κατά την εποχή της Τουρκοκρατίας Χριστιανοί και Μουσουλμάνοι είχαν τα ίδια δικαιώματα. Λ
Κάποιοι ορθόδοξοι κληρικοί δέχονταν την Τουρκική κατάκτηση ενώ άλλοι ήθελαν την απελευθέρωση
από τους Τούρκους. Σ
Φαναριώτες ήταν οι αρματολοί που φιλούσαν το Οικουμενικό Πατριαρχείο. Λ
Παροικία : η εγκατάσταση και η συγκρότηση κοινότητας σε ένα ξένο κράτος. Σ
Η δεύτερη περίοδος της μετανάστευσης των Ελλήνων στο εξωτερικό , κατά τη διάρκεια της
Τουρκοκρατίας τον 17Ο
και 18Ο
αιώνα ήταν συνήθως υποχρεωτική. Λ
Επιμέλεια: Χρήστος Χαρμπής http://st-taksh.blogspot.gr σελ.207
ΙΣΤΟΡΙΑ
Οι Έλληνες κάτω από την οθωμανική
και τη λατινική κυριαρχία
1. Ποια περίοδος ονομάζεται Τουρκοκρατία;
____________________________________________________________________________________
2. Κύκλωσε το σωστό:
Λέγονταν και κοτζαμπάσηδες οι:
α) Φαναριώτες β) υπόδουλοι χριστιανοί
γ) κοινοτικοί άρχοντες δ) κληρικοί
Έλληνες της Διασποράς ονομάζονται:
α) οι Βυζαντινοί άρχοντες που κατέφυγαν στη Δύση, μετά την Άλωση της Πόλης
β) οι χριστιανοί που μετακινήθηκαν σε ορεινούς τόπους της Οθωμανικής Αυτοκρατορίας
γ) οι Έλληνες λόγιοι που κατέφυγαν στα νησιά του Ιονίου
δ) οι Έλληνες που ζούσαν έξω από τα όρια της Οθωμανικής Αυτοκρατορίας
Την περίοδο της Τουρκοκρατίας ο Πατριάρχης ήταν ο εκπρόσωπος:
α) των Ελλήνων
β) των χριστιανών Ελλήνων και Ρώσων
γ) όλων των υπόδουλων πληθυσμών, ανεξαρτήτως θρησκείας, γλώσσας και εθνικότητας
δ) όλων των ορθόδοξων χριστιανών, ανεξαρτήτως γλώσσας και εθνικότητας
Οι Φαναριώτες ήταν:
α) Τούρκοι αξιωματούχοι της οθωμανικής διοίκησης
β) Έλληνες αξιωματούχοι της οθωμανικής διοίκησης
γ) κοινοτικοί άρχοντες
Οι δάσκαλοι του Γένους ήταν κυρίως:
α) κληρικοί β) Έλληνες της Διασποράς
γ) Φαναριώτες δ) προεστοί των κοινοτήτων
Στην ανάπτυξη του ελληνικού εμπορίου το 18ο
αιώνα συνέβαλε:
α) η νίκη των Ελλήνων στη ναυμαχία της Ναυπάκτου
β) το «ρεμπελιό των ποπολάρων» στα Επτάνησα
γ) η Συνθήκη του Κιουτσούκ Καϊναρτζή
Όνομα ______________
Ημερομηνία _________
Βαθμός ____
Κάρκαλου Άννα
Επιμέλεια: Χρήστος Χαρμπής http://st-taksh.blogspot.gr σελ.208
δ) η εμφάνιση του Νεοελληνικού Διαφωτισμού
3. Με ποιον τρόπο κατάφεραν οι Έλληνες να μην αφομοιωθούν από τους Τούρκους;
____________________________________________________________________________________
4. Χαρακτήρισε τις παρακάτω προτάσεις ως σωστές (Σ) ή λανθασμένες (Λ):
Οι παροικίες ήταν ελληνικές πόλεις που έγιναν σημαντικά εμπορικά κέντρα.
Οι Έλληνες ασχολήθηκαν με το εμπόριο και τη ναυτιλία γιατί οι Τούρκοι τους παρείχαν προνόμια.
Οι δάσκαλοι του Γένους ενίσχυαν την εθνική συνείδηση των Ελλήνων.
Οι Τούρκοι κατέκτησαν το Σούλι το 1803.
Η 2η
περίοδος μετανάστευσης ήταν υποχρεωτική.
5. Τι είναι ο Νεοελληνικός Διαφωτισμός;
____________________________________________________________________________________
____________________________________________________________________________________
6. Αντιστοίχισε τα πρόσωπα με τα στοιχεία που ταιριάζουν στον καθένα.
7. Τι ξέρεις για τους κλέφτες; Με ποιον τρόπο προσπάθησαν να τους αντιμετωπίσουν οι Τούρκοι;
____________________________________________________________________________________
____________________________________________________________________________________
____________________________________________________________________________________
____________________________________________________________________________________
8. Γιατί οι Σουλιώτες ήταν τόσο ικανοί πολεμιστές;
____________________________________________________________________________________
____________________________________________________________________________________
____________________________________________________________________________________
____________________________________________________________________________________
• Έζησε στο Παρίσι
• Εξέδωσε έργα του στη Βιέννη
• Τον θανάτωσαν οι Τούρκοι
• Πρότεινε τη χρήση μιας απλούστερης γλώσσας
• Εργάστηκε ως γραμματέας Φαναριώτη ηγεμόνα
Ρήγας Βελεστινλής •
Αδαμάντιος Κοραής •
Κάρκαλου Άννα
Επιμέλεια: Χρήστος Χαρμπής http://st-taksh.blogspot.gr σελ.209
ΕΠΑΝΑΛΗΠΤΙΚΟ ΙΣΤΟΡΙΑ
ΕΝΟΤΗΤΑ Β: ΟΙ ΕΛΛΗΝΕΣ ΚΑΤΩ ΑΠΟ ΤΗΝ ΟΘΩΜΑΝΙΚΗ ΚΑΙ ΤΗ
ΛΑΤΙΝΙΚΗ ΚΥΡΙΑΡΧΙΑ (1453-1821)
ΟΝΟΜΑ:…………………………..
ΗΜΕΡΟΜΗΝΙΑ:………………….
1) Αντιστοιχίζω τα γεγονότα και τα ονόματα της πρώτης στήλης με τις
χρονολογίες της δεύτερης.
Διονύσιος Φιλόσοφος 1700 μ.Χ
Ορλωφικά 1774 μ.Χ
Συνθήκη Κιουτσούκ Καϊναρτζή 16ος αι.
Λάμπρος Κατσώνης 1821 μ.Χ
Μεγάλη Επανάσταση 1778 μ.Χ
2) Συμπληρώνω τα κενά:
Οι υπόδουλοι Έλληνες με τη βοήθεια της …………………κατάφεραν να
διατηρήσουν τρία βασικά στοιχεία της εθνικής τους ταυτότητας: τη ……………,
τη …………………και την ……………………..
Πολλές σημαντικές διακρίσεις σε βάρος των χριστιανών γίνονταν και στην
κατανομή των φόρων. Πλήρωναν πολλούς ………………….φόρους όπως τον
………………………φόρο, το φόρο της……………για τα σπίτια τους, τον
………………..φόρο για τη χρήση της γης και τη …………………..για την
αγροτική παραγωγή.
Υπήρχαν βέβαια και οι ……………………φόροι.
Οι Έλληνες μετανάστες που ίδρυσαν παροικίες στο εξωτερικό ονομάστηκαν
…………………της………………….Από αυτούς ξεκίνησε η πνευματική
………………..του υπόδουλου έθνους κατά το 18ο αιώνα.
Μεγάλες πόλεις όπως η Κ………….., η Μ………………...., τα Ι…………….,
η Θ………………………,αλλά και νησιά όπως η Χ…………, η Ύ………….,
και τα Ψ……….. έγιναν σημαντικά κέντρα του ελληνικού εμπορίου.
Ένα σημαντικό κείμενο του Νεοελληνικού Διαφωτισμού ήταν η
«…………..........................................» άγνωστου συγγραφέα. Στο κείμενο
αυτό καταδικάζονται η «…………………….»και η «…………………..»
και προβάλλεται η «………………………….»δηλαδή το πολίτευμα όπου
εξουσιάζουν οι νόμοι.
Τα προεπαναστατικά κινήματα απέτυχαν γιατί ήταν ……………………..και
……………………………………………….
Άννα Πουλή1
Επιμέλεια: Χρήστος Χαρμπής http://st-taksh.blogspot.gr σελ.210
3) ΑΝΤΙΣΤΟΙΧΊΖΩ:
Είχαν αξιόλογη μόρφωση και Πατριάρχης
κατείχαν υψηλά αξιώματα στην
οθωμανική διοίκηση.
Αποτελούσαν την τοπική εξουσία
και γνώριζαν πόσο φόρο αναλογούσε Φαναριώτες
σε κάθε κάτοικο.
Ήταν εκπρόσωπος του Ρουμ μιλέτ. Προεστοί
4) ΑΝΤΙΣΤΟΙΧΙΖΩ:
Κοσμάς Αιτωλός Οραματιζόταν τη δημιουργία
ενός δημοκρατικού κράτους
με κυρίαρχη την ελληνική
γλώσσα και παιδεία.
Ρήγας Βελεστινλής Όργωσε την Ελλάδα
διδάσκοντας και ιδρύοντας
σχολεία.
Αδαμάντιος Κοραής Για να ελευθερωθεί το έθνος
έπρεπε πρώτα να φωτιστεί
διαμέσου της παιδείας.
5) Ποιους ονομάζουμε δάσκαλους του Γένους;
…………………………………………………………………………………………
…………………………………………………………………………………………
…………………………………………………………………………………………
…………………………………………………………………………………………
………………………………………………………………………………………....
6) Τι πέτυχαν με το έργο τους;
…………………………………………………………………………………………
…………………………………………………………………………………………
…………………………………………………………………………………………
…………………………………………………………………………………………
…………………………………………………………………………………………
ΚΑΛΗ ΕΠΙΤΥΧΙΑ!!!
Άννα Πουλή2
Επιμέλεια: Χρήστος Χαρμπής http://st-taksh.blogspot.gr σελ.211
ΤΕΣΤ ΙΣΤΟΡΙΑΣ ΣΤ’
30/10/2014
ΚΕΦ.1-4 ΟΝΟΜΑ............................................................................
ΕΡΩΤΗΣΕΙΣ
1. Γιατί δεν αφομοιώθηκαν οι υπόδουλοι Έλληνες;
...............................................................................................................................................
...............................................................................................................................................
...............................................................................................................................................
...............................................................................................................................................
...............................................................................................................................................
...............................................................................................................................................
...............................................................................................................................................
2. Με ποιους φόρους επιβαρύνονταν οι Χριστιανοί την περίοδο της
Τουρκοκρατίας;
...............................................................................................................................................
...............................................................................................................................................
...............................................................................................................................................
...............................................................................................................................................
...............................................................................................................................................
...............................................................................................................................................
...............................................................................................................................................
...............................................................................................................................................
...............................................................................................................................................
...............................................................................................................................................
...............................................................................................................................................
3. Τι γνωρίζεις για τους Φαναριώτες;
...............................................................................................................................................
...............................................................................................................................................
...............................................................................................................................................
...............................................................................................................................................
...............................................................................................................................................
...............................................................................................................................................
...............................................................................................................................................
4. Τι ήταν οι Κλέφτες και τι οι Αρματολοί;
...............................................................................................................................................
...............................................................................................................................................
...............................................................................................................................................
...............................................................................................................................................
...............................................................................................................................................
Στέφου Βασίλειος
Επιμέλεια: Χρήστος Χαρμπής http://st-taksh.blogspot.gr σελ.212
...............................................................................................................................................
...............................................................................................................................................
5. Βάλε Σ στο σωστό και Λ στο λάθος.
Η άρχουσα τάξη που σχηματίστηκε γύρω από το Πατριαρχείο ονομάστηκε
Πατριώτες.
Οι περισσότεροι υπόδουλοι κατείχαν εκτάσεις γης κυρίως σε άγονες περιοχές
ή νησιά.
Οι Τούρκοι που μάζευαν τους φόρους στα χωριά λέγονταν προεστοί ή
δημογέροντες.
Η εξέγερση στη Ζάκυνθο το 1628 γνωστή ως το «ρεμπελιό των ποπολάρων»
έγινε κατά των Τούρκων κατακτητών.
Οι Αρματολοί διορίζονταν από τους Τούρκους.
6. Συμπλήρωσε την ακροστιχίδα.
1. Κ _ _ _ _ _ _ _ _ _ _ _ _ _ _ _ _ _ _
2. Λ _ _ _ _ _ _
3. Ε_ _ _ _ _ _ _ _ _
4. Φ_ _ _ _ _ _ _ _ _
5. Τ_ _ _ _ _ _ _ _ _ _ _
6. Ε_ _ _ _ _ _ _ _ _ _ _
7. Σ_ _ _ _ _ _ _ _
1. Έτσι λέγονταν αλλιώς οι προεστοί ή οι δημογέροντες.
2. Στα βουνά είχαν τα .......... οι κλέφτες.
3. Το 1821 έγινε η ελληνική .........
4. Άρχουσα τάξη γύρω από το Πατριαρχείο.
5. Έτσι ονομάστηκε η περίοδος αυτή.
7. Ο Πατριάρχης και οι Φαναριώτες έδιναν λογαριασμό σε αυτόν.
ΚΑΛΗ ΕΠΙΤΥΧΙΑ.
Στέφου Βασίλειος
Επιμέλεια: Χρήστος Χαρμπής http://st-taksh.blogspot.gr σελ.213
Διαγώνισμα στην Ιστορία ( Ενότητα Β΄)
Ονοματεπώνυμο: ……………………………………………………………………………………
1. Συμπληρώνω τα κενά:
Τα τρία βασικά στοιχεία που έκαναν τους Έλληνες να μη χάσουν την εθνική τους ταυτότητα κατά την
περίοδο της Τουρκοκρατίας ήταν η ……………. τους, η ……………. και οι ………………. τους.
Ωστόσο, οι Έλληνες είχαν μια πολύ δύσκολη ζωή, ειδικά τους δυο πρώτους αιώνες της
Τουρκοκρατίας καθώς έπρεπε να πληρώνουν μια σειρά από φόρους, όπως τον ………………… φόρο,
το φόρο της ……………… για τις κατοικίες τους, και τη …………… για την αγροτική παραγωγή.
Βέβαια, σκληρότερα από όλα αυτά ήταν οι ………………….. και το …………………, καθώς
μετέτρεπαν τα μικρά ελληνόπουλα σε …………………..
Οι ……………………. κατάγονταν από πλούσιες οικογένειες που έμεναν σε μια συνοικία της Πόλης ,
η οποία ονομαζόταν ……………., από όπου πήραν κι εκείνοι την ονομασία τους.
2. Βάζω Σ για σωστό και Λ για Λάθος στις παρακάτω προτάσεις:
Ο Ρήγας Φεραίος έγραψε το Θούριο.
Η ναυμαχία της Ναυπάκτου έγινε το 1600.
Οι Έλληνες συνειδητοποίησαν ότι έπρεπε να βασιστούν μόνο σε ξένες δυνάμεις για την ελευθερία
τους.
Σύμφωνα με τη συνθήκη του Κιουτσούκ Καϊναρτζή, οι Έλληνες μπορούσαν να υψώνουν στα καράβια
τους τη ρωσική σημαία.
Ο Λάμπρος Κατσώνης ήταν αξιωματικός του αυστριακού στρατού.
Ο καλόγερος Σαμουήλ πρόλαβε και διέφυγε από τον λόφο του Κούγκι πριν το καταλάβουν οι
Τούρκοι.
3. Αντιστοιχίζω τα γεγονότα με τις σωστές ημερομηνίες:
Οι Τούρκοι κατέλαβαν το Σούλι. ● ● 1774
Αυτή την χρονολογία γεννήθηκε ο Ρήγας Φεραίος. ● ● 1453
Τότε υπογράφηκε η συνθήκη του Κιουτσούκ Καϊναρτζή ● ● 1803
Οι αδερφοί Ορλώφ έφτασαν στη Μάνη. ● ● 1821
Η άλωση της Πόλης από τους Τούρκους. ● ● 1757
Η έναρξη της Ελληνικής Επανάστασης. ● ● 1770
4. Αναφέρω μερικούς εκπροσώπους του Νεοελληνικού Διαφωτισμού:
……………………………………………………………………………………………………………
……………………………………………………………………………………………………………
……………………………………………………………………………………………………………
……………………………………………………………………………………………………………
Κορτσαλιουδάκη Κατερίνα
Επιμέλεια: Χρήστος Χαρμπής http://st-taksh.blogspot.gr σελ.214
5. Απαντώ με συντομία στις παρακάτω ερωτήσεις:
α) Ποια είναι η διαφορά μεταξύ κλεφτών και αρματολών;
……………………………………………………………………………………………………………
……………………………………………………………………………………………………………
……………………………………………………………………………………………………………
……………………………………………………………………………………………………………
β) Ποια είναι εκείνα τα στοιχεία που χαρακτηρίζουν τους Σουλιώτες σαν ικανούς πολεμιστές;
……………………………………………………………………………………………………………
……………………………………………………………………………………………………………
……………………………………………………………………………………………………………
……………………………………………………………………………………………………………
……………………………………………………………………………………………………………
.
γ) Ανάμεσα σε ποιους υπογράφηκε η συνθήκη του Κιουτσούκ Καϊναρτζή , πότε και τι έλεγε;
……………………………………………………………………………………………………………
……………………………………………………………………………………………………………
……………………………………………………………………………………………………………
……………………………………………………………………………………………………………
…………………………………………………………………………………………………………….
δ) Ποια ήταν σημαντική προσφορά των Δασκάλων του Γένους στην υποδουλωμένη Ελλάδα;
……………………………………………………………………………………………………………
……………………………………………………………………………………………………………
……………………………………………………………………………………………………………
……………………………………………………………………………………………………………
……………………………………………………………………………………………………………
……………………………………………………………………………………………………………
……………………………………………………………………………………………………………
……………………………………………………………………………………………………………
Κορτσαλιουδάκη Κατερίνα
Επιμέλεια: Χρήστος Χαρμπής http://st-taksh.blogspot.gr σελ.215
Θοδωρής Βούγας
Επιμέλεια: Χρήστος Χαρμπής http://st-taksh.blogspot.gr σελ.216
Θοδωρής Βούγας
Επιμέλεια: Χρήστος Χαρμπής http://st-taksh.blogspot.gr σελ.217
Σελίδα 1 από 4
Τετάρτη, 07 Νοεμβρίου 2012
Ονοματεπώνυμο: …………………………………………………………………………………
………. / 100 …………… % Βαθμός: ………………………………….
Τεστ στο μάθημα της Ιστορίας (Β’ Ενότητα – Κεφ. 1ο
,2ο
,3ο
,4ο
,5ο
)
1. Κυκλώστε και υπογραμμίστε τη σωστή απάντηση: [10 μονάδες]
α. Από τον 14ο ως τον 18ο αιώνα τα Ιόνια νησιά τα κατείχαν:
1. οι Οθωμανοί Τούρκοι
2. οι Βενετοί
3. οι Άγγλοι
4. οι Γάλλοι
β. Η περίοδος της Τουρκοκρατίας στον ελληνικό χώρο αρχίζει από τα μέσα του:
1. του 13ου
αιώνα
2. του 14ου
αιώνα
3. του 15ου
αιώνα
4. του 16ου
αιώνα
γ. Η θέση των Ελλήνων τόσο στις τουρκοκρατούμενες όσο και στις
βενετοκρατούμενες περιοχές ήταν:
1. αρχικά πολύ δύσκολη, αργότερα όμως κάπως καλύτερη
2. αρχικά κάπως καλή, αργότερα όμως πολύ δύσκολη
3. σχετικά καλή σε σχέση με τα προηγούμενα χρόνια
δ. « Έλληνες της Διασποράς» ονομάζονται:
1. οι Βυζαντινοί άρχοντες που κατέφυγαν στη Δύση μετά την άλωση της Κων/πολης
2. οι Χριστιανοί που μετακινήθηκαν σε ορεινούς τόπους της Οθ. Αυτοκρατορίας
3. οι Έλληνες λόγιοι που κατέφυγαν στα Ιόνια Νησιά
4. οι Έλληνες που ζούσαν έξω από τα όρια της Οθωμανικής Αυτοκρατορίας
ε. Το «ρεμπελιό των ποπολάρων» ήταν:
1. η εξέγερση των Ελλήνων κατά των Βενετών το 1797
2. η εξέγερση των αστών και του λαού κατά των Βενετών στη Ζάκυνθο το 1628
3. η εξέγερση των αστών και του λαού κατά των Τούρκων στη Λευκάδα το 1628
4. η κατάληψη της Κωνσταντινούπολης από τους Λατίνους το 1204
2. Αντιστοιχίστε τους όρους της αριστερής στήλης με τους όρους της δεξιάς
στήλης: [8 μονάδες]
Σουλτάνος   Αυτός που ασχολείται με τα γράμματα και τις τέχνες
Λόγιος   Μεταστροφή κάποιου στο Ισλάμ
Κεφαλικός φόρος   Βασιλιάς των Οθωμανών
Εξισλαμισμός   Είδος φορολογίας
Γεώργιος Π. Μαυροειδάκος
Επιμέλεια: Χρήστος Χαρμπής http://st-taksh.blogspot.gr σελ.218
Σελίδα 2 από 4
Τετάρτη, 07 Νοεμβρίου 2012
3. Συμπληρώστε τα κενά που υπάρχουν στο παρακάτω κείμενο: [24 μονάδες]
Μέσα σε δύο αιώνες (15ος
-17ος
αιώνας) οι ………………………. ……………………….
κατέκτησαν ολόκληρη την ………………………. Χερσόνησο. Οι δύο πρώτοι αιώνες της
………………………. ήταν οι δυσκολότεροι για τους Χριστιανούς. Αρκετοί κάτοικοι
………………………. σε ………………………. τόπους της Οθωμανικής Αυτοκρατορίας, ενώ
αρκετοί ………………………. έφυγαν στη Δυτική Ευρώπη. Τελικά όμως οι
………………………. Έλληνες κατάφεραν να διαφυλάξουν, με τη βοήθεια και της
Εκκλησίας, τρία βασικά στοιχεία της ………………………. τους ταυτότητας: τη
………………………. , τη ………………………. και την ………………………. .
4. Να χαρακτηρίσετε ως σωστές (Σ) ή λανθασμένες (Λ) τις παρακάτω προτάσεις:
[12 μονάδες]

Η ανώτατη πολιτική και θρησκευτική αρχή των Χριστιανών κατά την
περίοδο της Τουρκοκρατίας ήταν το Πατριαρχείο.
(………..)

Όλοι οι Φαναριώτες ήταν από την Κωνσταντινούπολη και ήταν
έμποροι ή βιοτέχνες.
(………..)

Οι Χριστιανοί υπήκοοι της Οθωμανικής Αυτοκρατορίας είχαν
κάποιες ελευθερίες, οι διάφοροι όμως περιορισμοί που τους
επιβάλλονταν έκαναν τη ζωή τους πολύ δύσκολη.
(………..)

Οι σοβαρές δικαστικές υποθέσεις των Χριστιανών εξετάζονταν στα
εκκλησιαστικά δικαστήρια.
(………..)

Τακτικοί φόροι που πλήρωναν οι υπόδουλοι Χριστιανοί στο
οθωμανικό κράτος ήταν ο κεφαλικός φόρος, ο φόρος της εστίας, ο
έγγειος φόρος και ο φόρος της δεκάτης.
(………..)

Οι Χριστιανοί των πόλεων καταπιέζονταν πιο πολύ από εκείνους
των πιο απομακρυσμένων περιοχών, γιατί ελέγχονταν άμεσα από
την κεντρική οθωμανική εξουσία.
(………..)
5. Κυκλώστε και υπογραμμίστε τη σωστή απάντηση: [12 μονάδες]
α. Την περίοδο της Τουρκοκρατίας ο Πατριάρχης ήταν ο εκπρόσωπος:
1. των Ελλήνων
2. των Χριστιανών Ελλήνων και Ρώσων
3. όλων των υπόδουλων πληθυσμών, ανεξάρτητα από θρησκεία, γλώσσα και εθνικότητα
4. όλων των Ορθόδοξων Χριστιανών, ανεξάρτητα από γλώσσα και εθνικότητα
β. Ο Πατριάρχης, οι Φαναριώτες και οι προεστοί:
1. ήταν εντελώς ανεξάρτητες αρχές
2. λογοδοτούσε ο ένας στον άλλο
3. εξαρτιόνταν από τις διαθέσεις των Οθωμανών
Γεώργιος Π. Μαυροειδάκος
Επιμέλεια: Χρήστος Χαρμπής http://st-taksh.blogspot.gr σελ.219
Σελίδα 3 από 4
Τετάρτη, 07 Νοεμβρίου 2012
γ. Ο μοναχός Μάξιμος ο Γραικός καλλιέργησε στους υπόδουλους Χριστιανούς:
1. πνεύμα εξέγερσης ενάντιων των Τούρκων
2. πνεύμα υπακοής και υποταγής στους Τούρκων
3. σχέση με τη με τη Ρωμαιοκαθολική Εκκλησία
4. σχέσεις με τη Ρωσία
δ. Το «ξανθό γένος» ήταν:
1. οι Ρώσοι
2. οι αρχαίοι Έλληνες
3. οι Οθωμανοί Τούρκοι
4. οι Δυτικοευρωπαίοι
ε. Οι Φαναριώτες ήταν:
1. Τούρκοι αξιωματούχοι της οθωμανικής διοίκησης
2. Έλληνες αξιωματούχοι της Οθωμανικής διοίκησης
3. κοινοτικοί άρχοντες
στ. Λέγονταν και «κοτζαμπάσηδες» οι:
1. Φαναριώτες
2. υπόδουλοι Χριστιανοί
3. κοινοτικοί άρχοντες
4. κληρικοί
6. Αντιστοιχίστε τους όρους της αριστερής στήλης με τους όρους της δεξιάς
στήλης: [10 μονάδες]
Κλέφτες   Επικεφαλής της ορθόδοξης Εκκλησίας
Φαναριώτες   Κοινοτικοί άρχοντες
Αρματολοί   Έλληνες άρχοντες της Κωνσταντινούπολης
Πατριάρχης   Ανυπότακτοι στους Τούρκους
Δημογέροντες   Ένοπλα βοηθητικά σώματα των Τούρκων
7. Να αναφέρετε συνοπτικά τι γνωρίζετε για τη «Συνθήκη του Κιουτσούκ
Καϊναρτζή»; [6 μονάδες]
……………………………………………………………………………………………………………………………
……………………………………………………………………………………………………………………………
……………………………………………………………………………………………………………………………
……………………………………………………………………………………………………………………………
……………………………………………………………………………………………………………………………
………………………………………………………………………………………………………………………..
………………………………………………………………………………………………………………………..
Γεώργιος Π. Μαυροειδάκος
Επιμέλεια: Χρήστος Χαρμπής http://st-taksh.blogspot.gr σελ.220
Σελίδα 4 από 4
Τετάρτη, 07 Νοεμβρίου 2012
8. Να χαρακτηρίσετε ως σωστές (Σ) ή λανθασμένες (Λ) τις παρακάτω προτάσεις:
[10 μονάδες]

Οι Οθωμανοί ενδιαφέρονταν ιδιαίτερα για το εμπόριο, γι’ αυτό
έκαναν τις Διομολογήσεις.
(………..)

Χάρη στο εμπόριο και στη ναυτιλία οι Έλληνες καλυτέρεψαν σιγά-
σιγά τη ζωή τους την περίοδο της Τουρκοκρατίας.
(………..)

Οι Έλληνες ασχολήθηκαν με το εμπόριο και τη ναυτιλία γιατί οι
Οθωμανοί Σουλτάνοι τους παρείχαν προνόμια.
(………..)

Η Οθωμανική Αυτοκρατορία από τα μέσα περίπου του 16ου
αιώνα
άρχισε να παρακμάζει.
(………..)

Οι παροικίες ήταν ελληνικές πόλεις που έγιναν σημαντικά εμπορικά
κέντρα.
(………..)
9. Τι γνωρίζετε για την πολιτική οργάνωση των Ελλήνων κατά την περίοδο της
Τουρκοκρατίας; [8 μονάδες]
……………………………………………………………………………………………………………………………
……………………………………………………………………………………………………………………………
……………………………………………………………………………………………………………………………
……………………………………………………………………………………………………………………………
……………………………………………………………………………………………………………………………
……………………………………………………………………………………………………………………………
……………………………………………………………………………………………………………………………
……………………………………………………………………………………………………………………………
……………………………………………………………………………………………………………………………
………………………………………………………………………………………………………………………...
ΚΑΛΗ ΕΠΙΤΥΧΙΑ !!!
Γεώργιος Π. Μαυροειδάκος
Επιμέλεια: Χρήστος Χαρμπής http://st-taksh.blogspot.gr σελ.221
Καλή επιτυχία!
Επιμέλεια: Χρήστος Χαρμπής http://st-taksh.blogspot.gr σελ.222
Έντεκα μηνών
Ημερομηνία:
Βάρος: [Βάρος[ Ύψος: [Ύψος]
Σημειώσεις:
[Τοποθετήστε φωτογραφίες εδώ]
ΠΕΡΙΕΧΟΜΕΝΑ
Θεωρία - Παρουσιάσεις σελ. 3 - 82
Επαναληπτικά σελ. 83 - 125
Επιμέλεια: Χρήστος Χαρμπής http://st-taksh.blogspot.gr σελ.223

Ιστορία ΣΤ΄ - Επανάληψη 2ης ενότητας.΄΄ Οι Έλληνες κάτω από την οθωμανική και τη λατινική κυριαρχία (1453-1821)΄΄

  • 1.
    Επιμέλεια : ΧρήστοςΧαρμπής http://kritiria.blogspot.gr/ Ιστορία ΣΤ΄- Επανάληψη 2ης Ενότητας: ΄΄Οι Έλληνες κάτω από την οθωμανική και τη λατινική κυριαρχία (1453-1821)΄΄  Σχεδιαγράμματα - θεωρία  Ερωτήσεις - απαντήσεις  Επαναληπτικά Επιμέλεια: Χρήστος Χαρμπής http://st-taksh.blogspot.gr σελ.1
  • 2.
    www.PageBorders.net ΠΕΡΙΕΧΟΜΕΝΑ Σχεδιαγράμματα - Θεωρίασελ. Ερωτήσεις – Απαντήσεις σελ. Επαναληπτικά σελ. 3 - 73 74 - 118 119 - 233 Επιμέλεια: Χρήστος Χαρμπής http://st-taksh.blogspot.gr σελ.2 63 64 - 108 109 - 223
  • 3.
  • 4.
    Ευχαριστούμε πολύ γιατα σχεδιαγράμματα τους εκλεκτούς δασκάλους: Παύλο Κώτση http://www.stintaxi.com/sigmachiepsilondeltaiotaalp hagammarho940mumualphataualpha1.html Βασίλη Παπαγιάννη http://blogs.sch.gr/vpapagiann/?page_id=1461 Σοφία Ανθιμου Θοδωρή Βούγα Ανδρέα Γεωργακόπουλο Μαρία Μαντζίλα Δημοτικό Σχολείο Μενιδίου και για την πολύτιμη προσφορά τους στην εκπαιδευτική κοινότητα. Επιμέλεια: Χρήστος Χαρμπής http://st-taksh.blogspot.gr σελ.4
  • 5.
    Πολλοί κάτοικοι μετακινικθκανςε ορεινά μζρθ. Οι βυηαντινοί άρχοντεσ εξαφανίςτθκαν Αρκετοί λόγιοι ζφυγαν ςτθ Δυτικι Ευρώπθ Θ περίοδοσ από τθν κατάκτθςθ τθσ ελλθνικισ Χερςονιςου, ςτα μζςα του 15ου αιώνα, ζωσ και τθ Μεγάλθ Επανάςταςθ του 1821, που οδιγθςε ςτον ςχθματιςμό του νζου ελλθνικοφ κράτουσ, ονομάηεται Τουρκοκρατία. Ανατροπι τθσ ςυνοχισ του ελλθνικοφ πλθκυςμοφ Οι ςυνκικεσ ηωισ των Ελλινων ςτισ Τουρκοκρατοφμενεσ περιοχζσ Οι δφο πρώτοι αιώνεσ ιταν δφςκολοι Στα μζςα του 16ου αιώνα ςταδιακι βελτίωςθ των ςυνκθκών ηωισ Ελαττώκθκαν οι πολεμικζσ ςυγκροφςεισ Περιορίςτθκε θ φορολόγθςθ και το παιδομάηωμα Τονώκθκε θ παιδεία και θ εκπαίδευςθ Ι΢ΣΟΡΙΑ ΢Σ΄ ΕΝΟΣΘΣΑ 2θ – ΚΕΦ 1: ¨Θ ΚΑΣΑΚΣΘ΢Θ ΣΘ΢ ΕΛΛΘΝΙΚΘ΢ ΧΕΡ΢ΟΝΘ΢ΟΤ¨ 27Ο ΔΘΜΟΣΙΚΟ ΢ΧΟΛΕΙΟ ΣΡΙΚΑΛΩΝ ΔΑ΢ΚΑΛΟ΢ ΒΑ΢ΙΛΘ΢ ΠΑΠΑΓΙΑΝΝΘ΢ Αίτια τθσ κατάκτθςθσ Θ παρακμι τθσ Βυηαντινισ Αυτοκρατορίασ από τον 13ο αιώνα και μετά. Κοινωνικά, πολιτικά και οικονομικά προβλιματα Η περίοδοσ τθσ Τουρκοκρατίασ Οι υπόδουλοι Ζλλθνεσ δεν αφομοιώκθκαν, αφοφ κατάφεραν να διαφυλάξουν, με τθ βοικεια και τθσ Εκκλθςίασ, τρία βαςικά ςτοιχεία τθσ εκνικισ τουσ ταυτότθτασ: τθ κρθςκεία, τθ γλώςςα και τθν παράδοςθ. Οι ςυνκικεσ ηωισ των Ελλινων ςτισ Βενετοκρατοφμενεσ περιοχζσ Ωσ τον 16ο αι. αποκλειςμζνοι από τθ διοίκθςθ βαριά φορολογία & καταπίεςθ ΢υχνζσ εξεγζρςεισ («Ρεμπελιό των Ποπολάρων», Ηάκυνκοσ 1628) Με το πζραςμα των χρόνων θ ηωι καλυτερεφει Προβλιματα Βενετών με τουσ Σοφρκουσ. Μακραίωνθ ςυνφπαρξθ. Σα Ιόνια νθςιά δεν πζραςαν ποτζ ςτουσ Σοφρκουσ
  • 6.
    Κ΢ΣΟΡΚΑ ΢Σ΄ ΕΝΟΣΗΣΑ 2θ ΚΕΦ.2: ¨ΟΚ ΢ΤΝΙΗΚΕ΢ ΖΩΗ΢ ΣΩΝ ΤΠΟΔΟΤΛΩΝ ΕΛΛΗΝΩΝ¨ 27Ο ΔΗΜΟΣΚΚΟ ΢ΧΟΛΕΚΟ ΣΡΚΚΑΛΩΝ ΔΑ΢ΚΑΛΟ΢ ΒΑ΢ΚΛΗ΢ ΠΑΠΑΓΚΑΝΝΗ΢ Θταν μια νζα άρχουςα τάξθ των Χριςτιανών υπθκόων τθσ Οκωμανικισ Αυτοκρατορίασ, που ςχθματίςτθκε γφρω από το Πατριαρχείο από μζλθ επιφανών βυηαντινών οικογενειών και Ζλλθνεσ που ιρκαν ςτθν Κωνςταντινοφπολθ από άλλεσ περιοχζσ τθσ αυτοκρατορίασ μετά τθν άλωςθ. Η ηωι των Ελλινων μετά τθν Άλωςθ Περιοριςμοί και διακρίςεισ ςτουσ χριςτιανοφσ υπθκόουσ Υποχρεώνονταν να κατοικοφν ςε φτωχικζσ ςυνοικίεσ και να κατζχουν γθ μόνο ςε άγονεσ περιοχζσ. Υπθρετοφςαν ςτον ςτρατό μόνο ςε βοθκθτικζσ υπθρεςίεσ. Απαγορεφονταν οι λιτανείεσ. Δικαςτικζσ υποκζςεισ δικάηονταν ςτα μουςουλμανικά ιεροδικεία. Τποχρεώνονταν να κάνουν αγγαρείεσ. Πλιρωναν περιςςότερουσ φόρουσ από τουσ Μουςουλμάνουσ, τακτικοφσ & ζκτακτουσ.κεφαλικόσ φόροσ όςοι δεν ιταν Μουςουλμάνοι Οι τακτικοί φόροι Οι Φαναριώτεσ φόροσ εςτίασ φόροσ για τα ςπίτια ζγγειοσ φόροσ φόροσ για τθ χριςθ τθσ γθσ φόροσ τθσ δεκάτθσ 1/10 τθσ παραγωγισ τουσ Μζτρα εναντίον των χριςτιανών τουσ πρώτουσ αιώνεσ τθσ κατάκτθςθσ Σφαγζσ και αιχμαλωςίεσ εξιςλαμιςμοί το παιδομάηωμα εγκατάςταςθ τουρκικών & άλλων φφλων ςε εφφορα εδάφθ αναγκαςτικι μετακίνθςθ ελλθνικών πλθκυςμών ςτο εξωτερικό ι ςε απομονωμζνα και ορεινά μζρθ Πιο ζντονεσ οι διακρίςεισ ςε απομακρυςμζνεσ περιοχζσ. Σοπικοί άρχοντεσ – δυνάςτεσ
  • 7.
    ΙΣΤΟΡΙΑ ΣΤ΄ ΕΝΟΤΗΤΑ 2η –ΚΕΦ. 3 «ΘΡΗΣΚΕΥΤΙΚΗ ΚΑΙ ΠΟΛΙΤΙΚΗ ΟΡΓΑΝΩΣΗ ΤΩΝ ΕΛΛΗΝΩΝ» 27o ΔΗΜΟΤΙΚΟ ΣΧΟΛΕΙΟ ΤΡΙΚΑΛΩΝ ΔΑΣΚΑΛΟΣ ΒΑΣΙΛΗΣ ΠΑΠΑΓΙΑΝΝΗΣ Πιο ανεκτικοί απέναντι στο Πατριαρχείο της Κωνσταντινούπολης. Οι Οθωμανοί Τούρκοι κατήργησαν τη βυζαντινή διοίκηση στις χώρες που κατέκτησαν. ΠΑΤΡΙΑΡΧΗΣ  Θρησκευτικός ηγέτης.  Εκπρόσωπος των Ορθόδοξων Χριστιανών.  Λογοδοτούσε στον Σουλτάνο.  Ιδρύει σχολεία.  Επιβάλλει ειδική φορολογία στους πιστούς. Η εκκλησία δεν είχε μόνο θρησκευτικά καθήκοντα αλλά αποφάσιζε και για ποικίλες υποθέσεις, π.χ για τις κληρονομιές. Κάποιοι Ιεράρχες δε θεωρούν την τουρκική κατάκτηση ¨θεραπεία¨ σταλμένη από το Θεό. Πατριάρχης Νεόφυτος ο Β΄. Επηρεάστηκε από τις ευρωπαϊκές ιδέες και αμφισβητούσε την υποταγή στους Τούρκους. Μοναχός Μάξιμος ο Γραικός.  Καλλιέργησε σχέσεις με τη Ρωσία.  Άγιος της Μόσχας.  Οι Ρώσοι ταυτίστηκαν με τη σκέψη της απελευθέρωσης της Κων/πολης από τους απίστους. Φανάρι. Συνοικία της Κων/πολης κοντά στο Πατριαρχείο. Φαναριώτες.  Ζούσαν κοντά στο Φανάρι.  Ηγετική ομάδα Ελλήνων.  Πλούσιοι.  Αξιόλογη μόρφωση.  Γνώριζαν ξένες γλώσσες.  Υψηλά αξιώματα στην οθωμανική διοίκηση. Κοινοτικοί άρχοντες επίτροποι, δημογέροντες, προεστοί, και κοτζαμπάσηδες.  Αδυναμία των Τούρκων για τη συλλογή φόρων.  Μεγάλη περιουσία.  Πολιτική δύναμη.
  • 8.
    ΙΣΤΟΡΙΑ ΣΤ΄ ΕΝΟΤΗΤΑ 2η– ΚΕΦ. 4 «Οι ΚΛΕΦΤΕΣ ΚΑΙ ΟΙ ΑΡΜΑΤΟΛΟΙ» 27ο ΔΗΜΟΤΙΚΟ ΣΧΟΛΕΙΟ ΤΡΙΚΑΛΩΝ ΔΑΣΚΑΛΟΣ ΒΑΣΙΛΗΣ ΠΑΠΑΓΙΑΝΝΗΣ Κλέφτες Οι Τούρκοι για να αντιμετωπίσουν τους κλέφτες χρησιμοποιούσαν τους αρματολούς. Φημισμένοι αρματολοί Οι Τούρκοι αντιμετωπίζουν εξεγέρσεις από ομάδες Ελλήνων.  Ζούσαν στην ύπαιθρο σε δύσβατα μέρη ( λημέρια).  Μικρές ομάδες με αρχηγό (καπετάνιο) και μπαϊράκι.  Εχθρότητα για τους Τούρκους.  Αγαπητοί στο λαό.  Σύμβολο αντίστασης.  Ένοπλοι Έλληνες.  Πρώην κλέφτες.  Συνήθως συνεργάζονταν με τους κλέφτες.  Εγκατέλειπαν τις θέσεις τους και προσχωρούσαν σε αυτούς.  Αρκετοί από τους απογόνους τους έλαβαν μέρος στην επανάσταση του 1821.  Γεώργιος Ανδρίτζος  Κατσαντώνης  Γεώργιος Μπότσαρης  Λάμπρος Τζαβέλλας Κορκόδειλος Κλαδάς ( Ορμητήριο τη Μάνη η οποία δεν υποτάχτηκε ποτέ) Άλλοι ένοπλοι έλληνες
  • 9.
    ΙΣΤΟΡΙΑ ΣΤ΄. ΕΝΟΤΗΤΑ 2Η -ΚΕΦ. 5 «Η ΟΙΚΟΝΟΜΙΚΗ ΖΩΗ» 27Ο ΔΗΜΟΤΙΚΟ ΣΧΟΛΕΙΟ ΤΡΙΚΑΛΩΝ ΔΑΣΚΑΛΟΣ ΒΑΣΙΛΗΣ ΠΑΠΑΓΙΑΝΝΗΣ Παράγοντες που ωφέλησαν τις οικονομικές δραστηριότητες των Ελλήνων. - Παρακμή της Οθωμανικής Αυτοκρατορίας - Συνθήκες Η οικονομία της Οθωμανικής Αυτοκρατορίας στηριζόταν κυρίως… Α. Αγροτικές καλλιέργειες Σιτάρι Κριθάρι Βαμβάκι Καπνός Λάδι Σταφίδα Β. Κτηνοτρόφοι Ζούσαν μόνιμα σε ένα μέρος ή ήταν νομάδες. Προϊόντα Ανάγκες σπιτιού Πρώτες ύλες βιοτεχνίας Τοπικές αγορές Διάθεσή τους στο εξωτερικό. Γεωγραφικές ανακαλύψεις. Νέοι εμπορικοί δρόμοι. Τερματισμός κατακτήσεων. Μείωση εσόδων από το εμπόριο. Υποτίμηση του νομίσματος. Κάρλοβιτς (1699) Κιουτσούκ Καϊναρτζή (1774) ( Αυστρία και Ρωσία επηρεάζουν τα εσωτερικά της Τουρκίας – εμπορικές συμφωνίες που ευνοούν το ελληνικό εμπόριο. Οι έλληνες υψώνουν στα καράβια τους τις σημαίες των χωρών αυτών.) Ωφέλειες για τους Έλληνες Δραστηριοποιούνται στην Κεντρική, Δυτική Ευρώπη και Ρωσία. Ιδρύουν στα μέρη αυτά σημαντικές παροικίες, αναλαμβάνουν μεγάλο μέρος του εμπορίου, αποκτούν πολλά πλούτη. Φτάνουν και στην Ελλάδα οι επαναστατικές ιδέες της Ευρώπης. Αυξάνεται ο εμπορικός στόλος αντιμετωπίζεται η πειρατεία . Η οικονομική άνθηση, ο πολυάριθμος στόλος και οι εύπορες παροικίες του εξωτερικού βελτιώνουν τη θέση των Ελλήνων, παραμονές της ελληνικής επανάστασης του 1821.
  • 10.
    ΙΣΤΟΡΙΑ ΣΤ΄ ΕΝΟΤΗΤΑ 2Η -ΚΕΦ. 6 «ΟΙ ΕΛΛΗΝΕΣ ΤΩΝ ΠΑΡΟΙΚΙΩΝ ΚΑΙ ΤΩΝ ΠΑΡΑΔΟΥΝΑΒΙΩΝ ΗΓΕΜΟΝΙΩΝ» 27Ο ΔΗΜΟΤΙΚΟ ΣΧΟΛΕΙΟ ΤΡΙΚΑΛΩΝ ΔΑΣΚΑΛΟΣ ΒΑΣΙΛΗΣ ΠΑΠΑΓΙΑΝΝΗΣ  Έλληνες από τον Πόντο → Μετακινήθηκαν στον Καύκασο και στην Κριμαία ( Ιδρύουν παροικίες με πιο γνωστή την Οδησσό).  Έλληνες από την Μακεδονία → εγκαταστάθηκαν κυρίως στη Βιέννη, την Τεργέστη, τη Σερβία και την Ουγγαρία.  Αρκετοί Έλληνες → δραστηριοποιούνται στις Παραδουνάβιες Ηγεμονίες, Βλαχία και Μολδαβία, που κυβερνούσαν Φαναριώτες ηγεμόνες. Μετανάστευση των Ελλήνων στο εξωτερικό σε δύο περιόδους Πρώτη περίοδος 15ος - 16ος αιώνας. ( Αίτια) Πολεμικές συγκρούσεις, επέκταση των Τούρκων Υποχρεωτική μετανάστευση. Λόγιοι – ευγενείς – στρατιώτες. ΚΑΤΑΓΩΓΗ ΜΕΤΑΝΑΣΤΩΝ: Κύπρος Κρήτη Μονεμβασιά Μάνη Ναύπλιο Ήπειρος Δεύτερη περίοδος 17ος - 18ος αιώνας. Οικονομικά αίτια Η μετανάστευση είναι εθελοντική και ειρηνική. Σε αρκετές πόλεις κατά μήκος των εμπορικών δρόμων ( Τουρκίας – Ευρώπης – Ρωσίας ) εγκαταστάθηκαν Έλληνες. Μετακινήσεις Ελλήνων Δραστηριότητες των Ελλήνων της Διασποράς… Ανέγερση ναών, κοινοτικών σχολείων, μοναστηριών. Έκδοση ελληνικών βιβλίων, περιοδικών και εφημερίδων. Οικονομική ενίσχυση των ελληνικών σχολείων, κατασκευή πολυτελών κατοικι στους τόπους καταγωγής τους ( αρχοντικά). Από τους έλληνες των παροικιών ξεκίνησε τον 18ο αιώνα η πνευματική αναγέννηση του Έθνους. Εγκαταστάθηκαν κυρίως σε παραθαλάσσιες πόλεις της Ιταλίας και της Ευρώπης, ιδρύοντας παροικίες.
  • 11.
    ΙΣΤΟΡΙΑ ΣΤ΄ ΕΝΟΤΗΤΑ 2Η -ΚΕΦ. 7 «ΟΙ ΔΑΣΚΑΛΟΙ ΤΟΥ ΓΕΝΟΥΣ» 27Ο ΔΗΜΟΤΙΚΟ ΣΧΟΛΕΙΟ ΤΡΙΚΑΛΩΝ ΔΑΣΚΑΛΟΣ ΒΑΣΙΛΗΣ ΠΑΠΑΓΙΑΝΝΗΣ Δάσκαλοι του Γένους Μορφωμένοι Έλληνες που κατά την περίοδο της Τουρκοκρατίας, με την προφορική διδασκαλία τους ή με τα κείμενά τους, καλλιέργησαν την ελληνική Παιδεία. Ήταν ή έγιναν κληρικοί. Σπούδασαν στην Ελλάδα, Ιόνια νησιά, Παραδουνάβιες Ηγεμονίες και στο εξωτερικό. Δίδασκαν σε σχολεία, δημόσιους χώρους. Ίδρυσαν σχολεία και τόνωσαν την ελληνική παιδεία. Αναπτύχθηκε ο Φιλελληνισμός στη Δύση. Νεοελληνικός Διαφωτισμός Οι ιδέες και τα κηρύγματα του διαφωτισμού (18ος – 19ος ) αιώνας – (διάβασε την ενότητα 1η, Κεφ. 2) – φτάνουν και στην Ελλάδα, δυναμώνοντας την διάθεση των υπόδουλων Ελλήνων για επανάσταση. Ελληνική Νομαρχία Είναι ένα κείμενο του Νεοελληνικού Διαφωτισμού, που εκδόθηκε στην Ιταλία το 1806, άγνωστου συγγραφέα αφιερωμένο στον Ρήγα Βελεστινλή. Καταδικάζει την «αναρχία» και την «μοναρχία». Ιδανική διοίκηση ενός κράτους προβάλλεται η ¨νομαρχία¨, δηλαδή το πολίτευμα όπου εξουσιάζουν οι νόμοι. Ο άγιος Κοσμάς ο Αιτωλός
  • 12.
    Ι΢ΣΟΡΙΑ ΢Σϋ ΕΝΟΣΗΣΑ 2Η ΚΕΦ.8 ¨Ο ΡΗΓΑ΢ ΒΕΛΕ΢ΣΙΝΛΗ΢ ΚΑΙ Ο ΑΔΑΜΑΝΣΙΟ΢ ΚΟΡΑΗ΢¨ 27Ο ΔΗΜΟΣΙΚΟ ΢ΧΟΛΕΙΟ ΣΡΙΚΑΛΩΝ ΔΑ΢ΚΑΛΟ΢ ΒΑ΢ΙΛΗ΢ ΠΑΠΑΓΙΑΝΝΗ΢ Ρήγασ Βελεςτινλήσ ( Φεραίοσ) Γιοσ εμπόρου, γεννικ- θκε το 1757 ςτο Βελε- ςτίνο τθσ Θεςςαλίασ, που ονομαηόταν και Φερζσ. Μετανάςτευςε ςτο Βουκουρζςτι. Επθρεάςτθκε από τισ ευρωπαϊκζσ ιδζεσ. Καταγωγή Το ζργο του Εξζδωςε γαλλικά μυκιςτο- ριματα ςτθ δθμοτικι, ζνα βιβλίο Φυςικισ για μακθτζσ και ζναν τεράςτιο χάρτθ τθσ Ελλάδασ, τθν περίφθμθ «Χάρτα τησ Ελλάδοσ». Ζγραψε τον Θοφριο, ζναν φλογερό επαναςτατικό φμνο, ςφμβολο του αγϊνα για τθν ελευκερία. ΢υνεργαςία βαλκανικϊν λαϊν για τθν απελευκζρωςι τουσ από τουσ Σοφρκουσ. Δθμιουργία κράτουσ που κα κυριαρχοφςε θ ελλθνικι γλϊςςα και παιδεία. Σο 1797 οι Αυςτριακοί τον παραδίδουν ςτουσ Σοφρκουσ οι οποίοι τoν κανατϊνουν και τον ρίχνουν ςτον ποταμό Δοφναβθ. Το όραμα του Αδαμάντιοσ Κοραήσ Καταγωγή Το ζργο του Καταγόταν από πλοφςια οικογζνεια τθσ Χίου, αλλά γεννικθκε ςτθ ΢μφρνθ το 1748. Εγκαταςτάκθκε μόνιμα ςτθ Γαλλία, όπου ςποφδαςε ιατρική. Αντιγραφι, και δθμοςίευςθ αρχαίων Ελλινων ςυγγραφζων. Πίςτευε ότι θ απελευκζρωςθ των Ελλινων περνά μζςα από τθν παιδεία του λαοφ, χρθςιμοποιϊντασ τθν ελλθνικι γλϊςςα ςτθν απλοφςτερθ μορφι τθσ. ΢υνζβαλε ςθμαντικά ςτθν ιδεολογικι προετοιμαςία τθσ Μεγάλθσ Επανάςταςθσ. ΢υντζλεςε ςτθν ίδρυςθ του Ελληνικοφ Κομιτάτου ςτο Παρίςι. Είχε ωσ βαςικι φιλοςοφικι αρχι τθν πίςτθ ςτθ λογικι του ανκρϊπου. Δάςκαλοι του Γζνουσ που ξεχϊριςαν για τθ δράςθ τουσ ιταν ο Ρήγασ Βελεςτινλήσ και ο Αδαμάντιοσ Κοραήσ
  • 13.
    ΙΣΤΟΡΙΑ ΣΤ΄ ΕΝΟΤΗΤΑ 2Η -ΚΕΦ. 9 «ΤΑ ΚΥΡΙΟΤΕΡΑ ΕΠΑΝΑΣΤΑΤΙΚΑ ΚΙΝΗΜΑΤΑ» 27Ο ΔΗΜΟΤΙΚΟ ΣΧΟΛΕΙΟ ΤΡΙΚΑΛΩΝ ΔΑΣΚΑΛΟΣ ΒΑΣΙΛΗΣ ΠΑΠΑΓΙΑΝΝΗΣ (16ος Αιώνας) Κερκυραίοι - Κρητικοί – Μανιάτες Πολεμούν τους Τούρκους στο πλευρό των Βενετών ή των Ισπανών, στη ξηρά και στην θάλασσα. Στη Ναυμα- χία της Ναυπάκτου το 1571 στην οποία καταστρέφεται ο τούρκικος στόλος συμμετείχαν και ελληνικά πλοία. 1.600 μ.Χ. Μητροπολίτης Λαρίσης Διόνυσος (γνωστός ως Φιλόσοφος) Ξεσηκώνει τους υπόδουλους Έλληνες στην ορεινή Θεσ- σαλία. Το κίνημά του απέτυχε και ό ίδιος διαφεύγει στη Ρώμη και έπειτα στην Ισπανία. Επιστρέφει μετά από 9 χρόνια παροτρύνοντας τους κατοίκους της Θε- σπρωτίας να ξεσηκωθούν. (18ος Αιώνας) Ρώσοι ¨ξανθό γένος¨ Το 1770 οι αδελφοί Ορλώφ φτάνουν στη Μάνη με Ρώσους και Έλληνες στρατιώτες. Ο Ιωάννης Βλάχος (Δασκαλογιάν- νης) ξεσηκώνει τα Σφακιά. Στη ναυμαχία του Τσεσμέ ο ορθό- δοξος στόλος νικά τους Οθωμανούς. Οι συγκρούσεις σταμα- τούν με τη Συνθήκη του Κιουτσούκ Καϊναρτζή –(Διάβασε στην ενότητα 2,το Κεφ. 5) Λάμπρος Κατσώνης Έλληνας αξιωματικός του ρωσικού στρατού. Με μικρό στόλο έπλεε στο Αιγαίο, κάνοντας επιθέσεις εναντίον των τουρκικών πλοίων. Μαζί του ήταν και ο κλέφτης Γεώργιος Ανδρίτσος, πατέρας του ήρωα της Επανάστασης Οδυσσέα Ανδρούτσου. Τέλη 18ου Αιώνα Οι Έλληνες στράφηκαν για βοήθεια προς τους Γάλλους του Ναπολέοντα, αλλά γρήγορα οι ελπίδες τους δι- αψεύστηκαν. Γύρω στο 1800 οι Έλληνες καταλαβαίνουν ότι η ελευθερία θα έλθει μόνο από τους ίδιους. Κατά την διάρκεια των τεσσάρων αιώνων της Τουρκοκρατίας έγιναν πολλές εξεγέρσεις των υπόδουλων Ελλήνων εναντίων των Οθωμανών. Πολλές από αυτές έγιναν από ευρωπαϊκές δυ- νάμεις που ήθελαν να αναστατώσουν το εσωτερικό της Τουρ- κίας για δικό τους όφελος. 1.770 – Αδερφοί Ορλώφ
  • 14.
    ΙΣΤΟΡΙΑ ΣΤ΄ ΕΝΟΤΗΤΑ 2Η –ΚΕΦ. 10 «ΟΙ ΑΓΩΝΕΣ ΤΩΝ ΣΟΥΛΙΩΤΩΝ» 27Ο ΔΗΜΟΤΙΚΟ ΣΧΟΛΕΙΟ ΤΡΙΚΑΛΩΝ ΔΑΣΚΑΛΟΣ ΒΑΣΙΛΗΣ ΠΑΠΑΓΙΑΝΝΗΣ Οι Σουλιώτες πρωταγωνιστούν σε πολλές επαναστατικές ενέργειες κα- τά των Τούρκων. Γνωστοί είναι οι αγώνες τους εναντίον του Αλή Πασά τον Ιωαννίνων. Σουλιώτες  Βοσκοί που μιλούσαν ελληνικά και αρβανίτικα.  Ζούσαν κάτω από δύσκολες συνθήκες.  Πολύχρονη ενασχόληση με τα όπλα.  Άριστη γνώση εδάφους.  Ομαδικό πνεύμα.  Εξαιρετική τόλμη.  Ικανότατοι πολεμιστές.  Μάταιες οι προσπάθειες των Τούρκων για υποταγή. Ο Αλή Πασάς των Ιωαννίνων - Η κατάκτηση του Σουλίου  Πετυχαίνει με διάφορους τρόπους να διώξει από το Σούλι ορισμένους αρχηγούς.  Μ’ αυτόν τον τρόπο αδυνατίζει η άμυνα του Σουλίου.  Το 1803 οι Τούρκοι κατακτούν το Σούλι.  Ο καλόγερος Σαμουήλ ανατινάζει τον οχυρό λόφο Κούγκι.  Σκοτώνεται ο ίδιος, και οι Έλληνες που ήταν κοντά του , κα- θώς και πολλοί Τούρκοι.  Οι Σουλιώτες καταφεύγουν στην Κέρκυρα, στην Πρέβεζα και γενικότερα στα Επτάνησα  Κάποιοι Σουλιώτες περνούν στην Κέρκυρα, ενώ κάποιοι άλ- λοι θα καταφύγουν στην Πρέβεζα. Οι Σουλιώτες στη Μεγάλη Επανάσταση Το 1820 οι Τούρκοι καλούν τους Σουλιώτες να γυρίσουν πίσω και να βοηθήσουν Σουλτάνο να εξοντώσει τον Αλή Πασά. Οι Σουλιώτες αποκρούουν τον Αλή Πασά. Το 1822, μένουν αβοή- θητοι και εγκαταλείπουν οριστικά το Σούλι και σκορπίζονται στην Στερεά Ελλάδα και Πελοπόννησο. Στην επανάσταση του 1821 πολλοί Σουλιώτες δρουν ως οπλαρ- χηγοί, έχοντας φήμη γενναίων και αδάμαστων πολεμιστών.
  • 15.
    Δημοτικό Σχολείο Μενιδίου ΙστορίαΣΤ΄ Σχ. Έτος:2012 – 13 Ενότητα 2η – Κεφ. 3 “Θρησκευτική και Πολιτική Οργάνωση των Ελλήνων’ • Ανεκτικοί απέναντι στο Πατριαρχείο Κωνσταντινούπολης. Οι Οθωμανοί Τούρκοι κατήργησαν τη βυζαντινή διοίκηση στις χώρες που κατέκτησαν. Πατριάρχης • Θρησκευτικός ηγέτης. • Εκπρόσωπος των Ορθόδοξων Χριστιανών. • Λογοδοτούσε στον Σουλτάνο. • Ιδρύει σχολεία. • Επιβάλλει ειδική φορολογία στους πιστούς. Η εκκλησία δεν είχε μόνο θρησκευτικά καθήκοντα αλλά αποφάσιζε και για άλλες υποθέσεις π.χ για τις κληρονομιές. Ιεράρχες που δε θεωρούν την τουρκική κατάκτηση ¨θεραπεία¨ σταλμένη από το Θεό. Πατριάρχης Νεόφυτος ο Β΄. Επηρεάστηκε από τις ευρωπαϊκές ιδέες και αμφισβητούσε την υποταγή στους Τούρκους. Μοναχός Μάξιμος ο Γραικός. • Καλλιέργησε σχέσεις με τη Ρωσία. • Άγιος της Μόσχας. • Οι Ρώσοι ταυτίστηκαν με τη σκέψη της απελευθέρωσης της Κων/πολης από τους απίστους. Φανάρι. Συνοικία της Κων/πολης κοντά στο Πατριαρχείο. Φαναριώτες. • Ζούσαν κοντά στο Φανάρι. • Ηγετική ομάδα Ελλήνων. • Πλούσιοι. • Αξιόλογη μόρφωση. • Γνώριζαν ξένες γλώσσες. • Υψηλά αξιώματα στην οθωμανική διοίκηση. Κοινοτικοί άρχοντες (επίτροποι, δημογέροντες, προεστοί, και κοτσαμπάσηδες. • Αδυναμία των Τούρκων για τη συλλογή φόρων. • Μεγάλη περιουσία. • Πολιτική δύναμη. Επιμέλεια: Χρήστος Χαρμπής http://st-taksh.blogspot.gr σελ.15
  • 16.
    Δημοτικό Σχολείο Μενιδίου ΙστορίαΣΤ΄ Σχ. Έτος:2012 – 13 Ενότητα 2η – Κεφ. 4 Οι Κλέφτες και οι Αρματολοί Κλέφτες Οι Τούρκοι για να αντιμετωπίσουν τους κλέφτες χρησιμοποιούσαν τους αρματολούς. Φημισμένοι αρματολοί Οι Τούρκοι αντιμετωπίζουν εξεγέρσεις από ομάδες Ελλήνων. • Ζούσαν στην ύπαιθρο σε δύσβατα μέρη ( λημέρια). • Μικρές ομάδες με αρχηγό (καπετάνιο) και μπαϊράκι. • Εχθρότητα για τους Τούρκους. • Αγαπητοί στο λαό. • Σύμβολο αντίστασης. • ΄Ενοπλοι Έλληνες. • Πρώην κλέφτες. • Συνήθως συνεργάζονταν με τους κλέφτες. • Εγκατέλειπαν τις θέσεις τους και προσχωρούσαν σε αυτούς. • Αρκετοί από τους απογόνους τους έλαβαν μέρος στην επανάσταση του 1821. • Γεώργιος Ανδρίτζος • Κατσαντώνης • Γεώργιος Μπότσαρης • Λάμπρος Τζαβέλλας Κορκόδειλος Κλαδάς ( Ορμητήριο τη Μάνη η οποία δεν υποτάχτηκε ποτέ) Άλλοι ένοπλοι έλληνες Επιμέλεια: Χρήστος Χαρμπής http://st-taksh.blogspot.gr σελ.16
  • 17.
    Δημοτικό Σχολείο Μενιδίου ΙστορίαΣΤ΄. Σχ. έτος: 2012 -13 Ενότητα 2η - Κεφ.: 5 ¨Η οικονομική ζωή¨ Παρακμή της Οθωμανικής Αυτοκρατορίας Συνθήκες Η οικονομία της Οθωμανικής Αυτοκρατορίας στηριζόταν κυρίως… Αγροτικές καλλιέργειες Σιτάρι Κριθάρι Βαμβάκι Καπνός Λάδι Σταφίδα Κτηνοτρόφοι Ζούσαν μόνιμα σε ένα μέρος ή ήταν νομάδες. Προϊόντα Ανάγκες σπιτιού Πρώτες ύλες βιοτεχνίας Τοπικές αγορές Διάθεσή τους στο εξωτερικό. Παράγοντες που ωφέλησαν τις οικονομικές δραστηριότητες των Ελλήνων. Γεωγραφικές ανακαλύψεις. Νέοι εμπορικοί δρόμοι. Τερματισμός κατακτήσεων. Μείωση εσόδων από το εμπόριο. Υποτίμηση του νομίσματος. Κάρλοβιτς (1699) Κιουτσούκ Καϊναρτζή (1774) ( Αυστρία και Ρωσία επηρεάζουν τα εσωτερικά της Τουρκίας – εμπορικές συμφωνίες που ευνοούν το ελληνικό εμπόριο. Οι έλληνες υψώνουν στα καράβια τους τις σημαίες των χωρών αυτών.) Ωφέλησαν τους Έλληνες Δραστηριοποιούνται στην Κεντρική ,Δυτική Ευρώπη και Ρωσία. Ιδρύουν στα μέρη αυτά σημαντικές παροικίες, αναλαμβάνουν μεγάλο μέρος του εμπορίου, αποκτούν πολλά πλούτη. Φτάνουν και στην Ελλάδα οι επαναστατικές ιδέες της Ευρώπης. Αυξάνεται ο εμπορικός στόλος αντιμετωπίζεται η πειρατεία . Η οικονομική άνθηση, ο πολυάριθμος στόλος και οι εύπορες παροικίες βελτιώνουν τη θέση των ελλήνων. Σημαντική συνεισφορά στην επανάσταση του 1821. Επιμέλεια: Χρήστος Χαρμπής http://st-taksh.blogspot.gr σελ.17
  • 18.
    Δημοτικό Σχολείο Μενιδίου ΙστορίαΣΤ΄ Σχ. Έτος: 2012 -13 Ενότητα 2η - Κεφ.: 6 ¨ Οι Έλληνες των παροικιών και των Παραδουνάβιων Ηγεμονιών¨ • Έλληνες από τον Πόντο: Μετακινήθηκαν στον Καύκασο και στην Κριμαία ( Ιδρύουν παροικίες με πιο γνωστή την Οδησσό). • Έλληνες από την Μακεδονία: εγκαταστάθηκαν κυρίως στη Βιέννη, την Τεργέστη, τη Σερβία και την Ουγγαρία. • Αρκετοί Έλληνες; δραστηριοποιούνται στις Παραδουνάβιες Ηγεμονίες, Βλαχία και Μολδαβία, που κυβερνούσαν Φαναριώτες ηγεμόνες. Μετανάστευση των Ελλήνων Πρώτη περίοδος 15ος - 16ος αιώνας. ( Αίτια) Πολεμικές συγκρούσεις, επέκταση των Τούρκων Υποχρεωτική. Λόγιοι – ευγενείς – στρατιώτες. ΚΑΤΑΓΩΓΗ: Κύπρος Κρήτη Μονεμβασιά Μάνη Ναύπλιο Ήπειρος Δεύτερη περίοδος 17ος - 18ος αιώνας. ( Αίτια) Οικονομικά Εθελοντική. Ειρηνική. Σε αρκετές πόλεις κατά μήκος των εμπορικών δρόμων ( Τουρκίας – Ευρώπης – Ρωσίας ) εγκαταστάθηκαν Έλληνες. Μετακινήσεις Ελλήνων Έλληνες μετανάστες ( Έλληνες της Διασποράς ) Ανέγερση ναών, κοινοτικών σχολείων, μοναστηριών. Έκδοση ελληνικών βιβλίων, περιοδικών και εφημερίδων. Ενίσχυσαν οικονομικά τα ελληνικά σχολεία, κατασκεύασαν πολυτελείς κατοικίες στους τόπους καταγωγής τους ( αρχοντικά). Από τους έλληνες των παροικιών ξεκίνησε τον 18ο αιώνα η πνευματική αναγέννηση του Έθνους. Εγκαταστάθηκαν κυρίως σε παραθαλάσσιες περιοχές της Ιταλίας και της Ευρώπης, ιδρύοντας παροικίες. Επιμέλεια: Χρήστος Χαρμπής http://st-taksh.blogspot.gr σελ.18
  • 19.
    Δημοτικό Σχολείο Μενιδίου ΙστορίαΣΤ΄ Σχ. Έτος: 2012 – 13 Ενότητα 2η -Κεφ.: 7 ¨Οι δάσκαλοι του Γένους¨ Δάσκαλοι του Γένους Μορφωμένοι Έλληνες που κατά την περίοδο της Τουρκοκρατίας, με την προφορική διδασκαλία τους ή με τα κείμενά τους, καλλιέργησαν την ελληνική Παιδεία. Ήταν ή έγιναν κληρικοί. Σπούδασαν στην Ελλάδα, Ιόνια νησιά, Παραδουνάβιες Ηγεμονίες και στο εξωτερικό. Δίδασκαν σε σχολεία , δημόσιους χώρους. Ίδρυσαν σχολεία και τόνωσαν την ελληνική παιδεία. Αναπτύχθηκε ο Φιλελληνισμός στη Δύση. Νεοελληνικός Διαφωτισμός Οι ιδέες και τα κηρύγματα του διαφωτισμού (18ος – 19ος ) αιώνας – ενότητα 1η Κεφ. 2 – έρχονται και στην Ελλάδα, δυναμώνοντας την διάθεση των υπόδουλων Ελλήνων για επανάσταση. Ελληνική Νομαρχία Κείμενο του Νεοελληνικοί Διαφωτισμού που εκδόθηκε στην Ιταλία το 1806, άγνωστου συγγραφέα αφιερωμένο στον Ρήγα Βελεστινλή. Καταδικάζει την «αναρχία» και την « μοναρχία». Ιδανική διοίκηση ενός κράτους η ¨νομαρχία¨, δηλαδή το πολίτευμα που στηρίζεται στους νόμους. Ο άγιος Κοσμάς ο Αιτωλός Μοναχός του Άγιου Όρους, ιεροκήρυκας και μάρτυρας. Το κήρυγμά του είχε μεγάλη απήχηση στους υπόδουλους έλληνες. Προσπάθησε να αναχαιτίσει τον εξισλαμισμό ιδρύοντας σχολεία. Επιμέλεια: Χρήστος Χαρμπής http://st-taksh.blogspot.gr σελ.19
  • 20.
    Δημοτικό Σχολείο Μενιδίου Σχ.Έτος: 2012 – 13 Ιστορία ΣΤ΄ Ενότητα 2η Κεφ. 8 ¨Ο Ρήγας Βελεστινλής και ο Αδαμάντιος Κοραής¨ Υπεύθυνος τάξης: Γεωργακόπουλος Ανδρέας • Δάσκαλοι του Γένους που ξεχώρισαν για τη δράση τους ήταν ο Ρήγας Βελεστινλής και ο Αδαμάντιος Ρήγας Βελεστινλής ( Φεραίος) Γιος εμπόρου, γεννήθηκε το 1757 στο Βελεστίνο της Θεσσαλονίκης, που ονομαζόταν και Φερές. Μετανάστευσε στο Βουκουρέστι. Επηρεάστηκε από τις ευρωπαϊκές ιδέες. Καταγωγή Το έργο του Εξέδωσε γαλλικά μυθιστορήματα στη δημοτική, ένα βιβλίο Φυσικής για μαθητές και έναν τεράστιο χάρτη της Ελλάδας « Χάρτα της Ελλάδας». Έγραψε τον Θούριο, έναν επαναστατικό ύμνο, σύμβολο του αγώνα για την ελευθερία. Συνεργασία βαλκανικών λαών για την απελευθέρωσή τους από τους Τούρκους. Δημιουργία κράτους που θα κυριαρχούσε η ελληνική γλώσσα και παιδεία. Το 1797 οι Αυστριακοί τον παραδίδουν στους Τούρκους οι οποίοι των θανατώνουν και τον ρίχνουν στον ποταμό Δούναβη. Το όραμα του Αδαμάντιος Κοραής Καταγωγή Το έργο του Καταγόταν από πλούσια οικογένεια της Χίου, αλλά γεννήθηκε στη Σμύρνη το 1748. Εγκαταστάθηκε μόνιμα στη Γαλλία, όπου σπούδασε ιατρική. Αντιγραφή και δημοσίευση αρχαίων Ελλήνων συγγραφέων. Η απελευθέρωση των Ελλήνων περνά μέσα από την παιδεία του λαού, χρησιμοποιώντας την ελληνική γλώσσα στην απλούστερη μορφή της. Συνέβαλε σημαντικά στην προετοιμασία της Μεγάλης Επανάστα- σης. Συντέλεσε στην ίδρυση του Ελληνικού Κομιτάτου στο Παρίσι. Επιμέλεια: Χρήστος Χαρμπής http://st-taksh.blogspot.gr σελ.20
  • 21.
    Δημοτικό Σχολείο Μενιδίου Σχ.Έτος: 2012-13 Ενότητα 2η - Ιστορία ΣΤ΄-Κεφ: 9 ¨Τα κυριότερα επαναστατικά κινήματα¨ Υπεύθυνος τάξης: Γεωργακόπουλος Ανδρέας Κατά την διάρκεια των τεσσάρων αιώνων της Τουρκοκρατίας έγιναν πολλές εξεγέρσεις των υπόδου- λων Ελλήνων εναντίων των Οθωμανών. Πολλές από αυτές έγιναν από ευρωπαϊκές δυνάμεις που ήθε- λαν να αναστατώσουν το εσωτερικό της Τουρκίας για δικό τους όφελος. • (16ος Αιώνας) Κερκυραίοι - Κρητικοί – Μανιάτες – Βενετοί - Ισπανοί Πολεμούν τους Τούρκους, στην ξηρά και στην θάλασσα. Στη Ναυμαχία της Ναυπάκτου το 1571 στην οποία καταστρέφεται ο τούρκικος στόλος συμμετείχαν και ελληνικά καράβια. • Μητροπολίτης Λαρίσης Διόνυσος ( Φιλόσοφος ) Ξεσηκώνει τους υπόδουλους Έλληνες στην ορεινή Θεσσαλία. Το κίνημά του απέτυχε και ό ίδιος διαφεύγει στη Ρώμη και έπειτα στην Ισπανία. • (18ος Αιώνας) Ρώσοι ¨ξανθό γένος¨ Το 1770 οι αδελφοί Ορλώφ φτάνουν στη Μάνη με Ρώσους και Έλληνες στρατιώ- τες. Ο Ιωάννης Βλάχος ( Δασκαλογιάννης) ξεσηκώνει τα Σφακιά. Στη ναυμαχία του Τσεσμέ ο ορθόδοξος στόλος νικά τους Οθωμανούς. Οι συγκρούσεις σταματούν με τη Συνθήκη του Κιουτσούκ Καϊναρτζή*. *Ενότητα 2η Κεφ. 5. • Λάμπρος Κατσώνης Αξιωματικός του ρωσικού στρατού. Με μικρό στόλο πλέει στο αιγαίο, κάνοντας επιθέσεις εναντίων των τούρκικων πλοίων. Μαζί του είναι και ο Γεώργιος Ανδρίτσος, πατέρας του ήρωα της Επανάστασης Οδυσσέας Ανδρούτσος. • Τέλη 18ου Αιώνα Οι Έλληνες στράφηκαν για βοήθεια προς τους Γάλλους του Ναπολέοντα, αλλά γρήγορα οι ελπίδες τους διαψεύστηκαν. Γύρω στο 1800 οι Έλληνες καταλαβαίνουν ότι η ελευθερία θα έλθει μόνο από τους ίδιους. Επιμέλεια: Χρήστος Χαρμπής http://st-taksh.blogspot.gr σελ.21
  • 22.
    Δημοτικό Σχολείο Μενιδίου Σχ.Έτος: 2012-13 Ενότητα 2η - Ιστορία ΣΤ΄-Κεφ: 10 ¨ Οι αγώνες των Σουλιωτών¨ Υπεύθυνος τάξης: Γεωργακόπουλος Ανδρέας Οι Σουλιώτες πρωταγωνιστούν σε πολλές επαναστατικές ενέργειες κατά των Τούρκων. Γνωστοί είναι οι αγώνες τους εναντίον του Αλή Πασά τον Ιωαννίνων. Σουλιώτες • Βοσκοί που μιλούσαν ελληνικά και αρβανίτικα. • Δύσκολες συνθήκες ζωής. • Πολύχρονη ενασχόληση με τα όπλα. • Άριστη γνώση εδάφους. • Ομαδικό πνεύμα. • Εξαιρετική τόλμη. • Ικανότατοι πολεμιστές. • Μάταιες οι προσπάθειες των Τούρκων για υποταγή. Ο Αλή Πασάς των Ιωαννίνων - Η κατάκτηση του Σουλίου • Πετυχαίνει με διάφορους τρόπους να διώξει από το Σούλι ορισμένους αρχηγούς. • Αδυνατίζει η άμυνα του Σουλίου. • Το 1803 οι Τούρκοι κατακτούν το Σούλι. • Ο καλόγερος Σαμουήλ ανατινάζει τον οχυρό λόφο Κούγκι. • Σκοτώνεται ο ίδιος, Έλληνες που ήταν κοντά του , αλλά και Τούρκοι. • Κάποιοι Σουλιώτες περνούν στην Κέρκυρα, ενώ κάποιοι άλλοι θα καταφύγουν στην Πρέβεζα. Οι Σουλιώτες στη Μεγάλη Επανάσταση Το 1820 οι Τούρκοι καλούν τους Σουλιώτες να γυρίσουν πίσω και να βοηθήσουν Σουλτάνο να εξοντώσει τον Αλή Πασά. Οι Σουλιώτες αποκρούουν τον Αλή Πασά. Το 1822, μένουν αβοήθητοι και εγκαταλείπουν οριστικά το Σούλι και σκορπίζονται στην Στερεά Ελλάδα και Πελοπόννησο. Στην επανάσταση του 1821 πολλοί Σουλιώτες δρουν ως οπλαρχηγοί, έχοντας φήμη γενναίων Και αδάμαστων πολεμιστών. Επιμέλεια: Χρήστος Χαρμπής http://st-taksh.blogspot.gr σελ.22
  • 23.
    ΚΕΦΑΛΑΙΟ 3:Η ΟΘΩΜΑΝΙΚΗΑΥΤΟΚΡΑΤΟΡΙΑ. Η ΟΘΩΜΑΝΙΚΗ ΑΥΤΟΚΡΑΤΟΡΙΑ 1 Την εποχή του Σουλεϊμάν του Μεγαλοπρεπούς η Ο.Α. εκείνεται στις τρεις ηπείρους (Ευρώπη-Ασία-Αφρική) 2 Τέλη 17ου αι. οι Τούρκοι επιχειρούν να κατακτήσουν την κεντρική Ευρώπη αλλά νικούνται 3 Ιεραρχικός τρόπος διακυβένησης του κράτους ΣΟΥΛΤΑΝΟΣ Μεγάλος Βεζίρης Βεζίρηδες Υψηλή Πύλη Πασάδες - διοικητές Αλή Πασάς των Ιωαννίνων στρατός ΕΡΩΤΗΣΕΙΣ 1. Μέχρι πού έφτασε η έκταση της οθωμανικής αυτοκρατορίας στα χρόνια μετά τον Μωάμεθ Β'; 2. Ποιο ήταν το αποτέλεσμα της προσπάθειας των Τούρκων να κατακτήσουν την κεντρική Ευρώπη, τον 17ο αιώνα; 3. Ποιος ήταν ο τρόπος διοίκησης της Οθωμανικής αυτοκρατορίας; 4. Γιατί παρήκμασε η Οθωμανική αυτοκρατορία; 5. Με ποιο τρόπο αποκτούσαν τα αξιώματά τους οι Τούρκοι διοικητές και ποιος κάλυπτε τις ανάγκες τους; ΑΝΘΙΜΟΥ ΣΟΦΙΑ Επιμέλεια: Χρήστος Χαρμπής http://st-taksh.blogspot.gr σελ.23
  • 24.
    ΚΕΦΑΛΑΙΟ 4 :«ΒΕΝΕΤΟΙ ,ΓΕΝΟΥΑΤΕΣ ΚΑΙ ΑΛΛΟΙ ΚΑΤΑΚΤΗΤΕΣ» • Οι Λατίνοι κατακτητές (Φράγκοι και Βενετοί ) διάλεγαν να κατακτήσουν εύφορες περιοχές με στρατηγική σημασία ανάπτυξη εμπορίου , τεχνών και γραμμάτων • Έχτιζαν ακροπόλεις (με κατοικίες και εκκλησίες καθολικών ) και στρατολογούσαν τους ντόπιους Προσπάθεια αποδυνάμωσης του ορθόδοξου κλήρου • Ασχολούνταν με το εμπόριο υποχρέωναν τους κατοίκους να καλλιεργούν είδη που μπορούσαν να πουληθούν στο εξωτερικό • Ενδιαφέρονταν για τη διοίκηση . Ανώτατος άρχοντας= προβλεπτής (μια περιοχή ) Ευγενείς Βενετοί ή πλούσιοι Έλληνες(μικρότερες περιοχές) Λαός που πλήρωνε φόρους και έκανε αγγαρείες • Οι Έλληνες επαναστατούν διαφύλαξη κύρους – υπεράσπιση του δίκιου τους Διαφύλαξη ορθόδοξης πίστης • αρκετά εδάφη των Βενετών κατακτούνται από Τούρκους Κύπρο Κρήτη Άγγλους - Γάλλους Επτάνησα Γενουάτες νησιά Αιγαίου • Διαφορές Λατίνων και Τούρκων Πολιτισμένοι, απολίτιστοι έμποροι, στρατιωτικοί ομόθρησκοι αλλόθρησκοι πολλοί δυνάστες ένας δυνάστης ΕΡΩΤΗΣΕΙΣ 1. Τι περιοχές διάλεγαν οι Λατίνοι για να κατακτήσουν; Γιατί; 2. Πώς διοικούσαν οι Βενετοί τις περιοχές που είχαν κατακτήσει; 3. Πώς αντιδρούσαν οι Έλληνες τους Λατίνους κατακτητές; Τι ήταν το «ρεμπελιό των ποπολάρων»; 4. Τι συνέβη όταν οι λατινοκρατούμενες ελληνικές περιοχές κατακτήθηκαν από τους Τούρκους; Ανάφερε κάποιες περιπτώσεις. 5. Ποιες οι ομοιότητες και οι διαφορές ανάμεσα στους Λατίνους και στους Τούρκους κατακτητές; «Ρεμπελιό των ποπολάρων» Ζάκυνθος (1628) ΑΝΘΙΜΟΥ ΣΟΦΙΑ Επιμέλεια: Χρήστος Χαρμπής http://st-taksh.blogspot.gr σελ.24
  • 25.
    ΚΕΦΑΛΑΙΟ 5 :Ο ΣΟΥΛΤΑΝΟΣ ΠΑΡΑΧΩΡΕΙ ΠΡΟΝΟΜΙΑ ΟΜωάμεθοΒ΄ κάνειτηνΚων/ληπρωτεύουσα τουνέουκράτους ΟρίζειτονΓεννάδιο (ανθενωτικός)στον πατριαρχικόθρόνο δίνειθρησκευτική-πολιτική καιδικαστικήεξουσία αποκόπτειδεσμούςμετη Δύση ΟιΈλληνεςδενέχασαν τηνπίστη-γλώσσακαι παιδείατους Πατριαρχείο Φανάρι-Φαναριώτες Οι Τούρκοι δίνουν προνόμια στους Έλληνες εμπόριο βιοτεχνία γεωργία μερική αυτοδιοίκηση ήθη γλώσσα έθιμα παραδόσεις θρησκεία ΕΡΩΤΗΣΕΙΣ 1. Ποια ήταν η επιθυμία του Μωάμεθ του Β΄΄; 2. Γιατί επέβαλε τον Γεννάδιο και ποιες αρμοδιότητες έδωσε στον κλήρο; 3. Τι ήταν οι Φαναριώτες και ποιος ο ρόλος τους; 4. Τι ήταν τα προνόμια και ποια ήταν ; 5. Ποιες ήταν οι συνέπειες των προνομίων για τους Έλληνες; 6. Γιατί ο Μωάμεθ ο Β΄ τοποθέτησε έναν ανθενωτικό στον πατριαρχικό θρόνο; 7. Για ποιους λόγους οι Τούρκοι παραχώρησαν τα «προνόμια» στους Έλληνες; ΑΝΘΙΜΟΥ ΣΟΦΙΑ Επιμέλεια: Χρήστος Χαρμπής http://st-taksh.blogspot.gr σελ.25
  • 26.
    ΚΕΦΑΛΑΙΟ 6 :ΟΙ ΣΥΝΘΗΚΕΣ ΖΩΗΣ ΤΩΝ ΥΠΟΔΟΥΛΩΝ ΕΡΩΤΗΣΕΙΣ 1. Τι ήταν το χαράτσι, και ποιο άλλο φόρο πλήρωναν στους Τούρκους κατακτητές οι υπόδουλοι Έλληνες; 2. Τι ονομάζουμε φόρο αίματος; 3. Τι ήταν ο εξισλαμισμός; 4. Γιατί οι Τούρκοι υποχρέωναν τους χριστιανούς να υπηρετήσουν στα τουρκικά καράβια; 5. Γιατί δημιουργήθηκαν οι ελληνικές παροικίες και ποιες ήταν οι πιο σημαντικές; 6. Ποια ήταν η προσφορά των ελληνικών παροικιών στο σκλαβωμένο έθνος; ΟΙ ΣΥΝΘΗΚΕΣ ΖΩΗΣ ΤΩΝ ΥΠΟΔΟΥΛΩΝ κεφαλικός φόρος φόρος γης αίσθημα κατωτερότητας φόρος αίματος πειρατεία παροικίες παραδουνάβιες παροικίες (Βουκουρέστι- Ιάσιο) ναυτολογία παιδομάζωμα εξισλασμισμός εμπόριο βιοτεχνία τέχνες γράμματα κρυπτοχριστιανοί - νεομάρτυρες προσφορά στην Αναγέννηση του Ελληνισμού και στον Αγώνα της Ανεξαρτησίας ΑΝΘΙΜΟΥ ΣΟΦΙΑ Επιμέλεια: Χρήστος Χαρμπής http://st-taksh.blogspot.gr σελ.26
  • 27.
    ΚΕΦΑΛΑΙΟ 7: ΟΙΚΟΙΝΟΤΗΤΕΣ ΜΙΑ ΜΟΡΦΗ ΑΥΤΟΔΙΟΙΚΗΣΗΣ ΚΟΙΝΟΤΙΚΗ ΑΥΤΟΔΙΟΙΚΗΣΗ 1 χρονο θητεία εκλογή από το λαό (μάζωξη) έλεγχος ραγιάδων=Ελλήνων είσπραξη φορων κοινοτικοί άρχοντες (κοτζαμπάσηδες, δημογέροντες.πρόκριτοι, προεστοί...) έγκριση από Τούρκους διατήρηση τάξης φορολογία δίκαζαν (με βάση τα ήθη και τα έθιμα) ενδιαφέρον για την παιδεία κοινοτικά προνόμια λιγότερους φόρους λιγότερη καταπίεση έργο των προεστών ήταν ΕΡΩΤΗΣΕΙΣ 1.Ποιοι ήταν οι κοινοτικοί άρχοντες ,πώς τους έλεγαν και εκλέγονταν ; 2.Ποια ήταν τα καθήκοντα των προκρίτων; 3.Τι ήταν τα «κοινοτικά προνόμια»; Ποιες περιοχές γνωρίζεται που είχαν «προνόμια;» 4.Τ ι είναι ο «κατής» και τι ο «βοεβόδας»; ΑΝΘΙΜΟΥ ΣΟΦΙΑ Επιμέλεια: Χρήστος Χαρμπής http://st-taksh.blogspot.gr σελ.27
  • 28.
    ΚΕΦΑΛΑΙΟ 8 :ΟΙ ΟΙΚΟΝΟΜΙΚΕΣ ΔΡΑΣΤΗΡΙΟΤΗΤΕΣ ΤΩΝ ΕΛΛΗΝΩΝ βιοτεχνία (Καστοριά-Αμπελάκια- 24χωριά του Πηλίου) εμποροπανύρη (μια φορά το χρόνο) ναυτιλία ΟΙΚΟΝΟΜΙΚΕΣ ΔΡΑΣΤΗΡΙΟΤΗΤΕΣ ΕΛΛΗΝΩΝ γεωργία κτηνοτροφία εμπόριο μεγάλες αγροτικές ιδιοκτησιες (τσιφλίκια) λαϊκή αγορά εισαγωγές- εξαγωγές προϊόντων ανάπτυξη μετά τη Συνθήκη του Κιουτσούκ- Καϊναρτζή εμπορικός στόλος νησιών (Ύδρα-Σπέτσες-Ψαρά) συνεταιρισμοί(επαγγελματικές παρέες) ΕΡΩΤΗΣΕΙΣ 1. Με τι ασχολούνταν οι Έλληνες μετά την τουρκική κατάκτηση; 2. Τι ήταν τα τσιφλίκια; 3. Πώς γινόταν το εμπόριο στη στεριά και πώς στη θάλασσα στα χρόνια της τουρκοκρατίας; 4. τι γνωρίζεις για την ανάπτυξη του εμπορίου μετά τη Συνθήκη Κιουτσούκ-Καϊναρτζή; 5. Για ποιο λόγο νομίζετε ότι οι Ρώσοι υπέγραψαν με τους Τούρκους τη Συνθήκη Κιουτσούκ-Καϊναρτζή; 6. Υπογράφονται σήμερα μεταξύ των κρατών εμπορικές-οικονομικές συνθήκες ; Τι εξυπηρετούν αυτές; ΑΝΘΙΜΟΥ ΣΟΦΙΑ Επιμέλεια: Χρήστος Χαρμπής http://st-taksh.blogspot.gr σελ.28
  • 29.
    ΚΕΦΑΛΑΙΑ 9-10 :ΧΑΡΕΣ ΚΑΙ ΛΥΠΕΣ ΤΗΣ ΚΑΘΗΜΕΡΙΝΗΣ ΖΩΗΣ-ΘΡΥΛΟΙ ΚΑΙ ΠΑΡΑΔΟΣΕΙΣ ΣΥΝΤΗΡΟΥΝ ΤΗΝ ΕΛΠΙΔΑ ΕΡΩΤΗΣΕΙΣ 1. Ποιες ομοιότητες και ποιες διαφορές διαπιστώνουμε σήμερα ανάμεσα στην καθημερινή ζωή των σκλαβωμένων και τη δική μας σήμερα; 2. Γιατί οι Έλληνες χρησιμοποιούσαν πολλές εκφράσεις με συμβολικό περιεχόμενο στα χρόνια της σκλαβιάς; ΑΝΘΙΜΟΥ ΣΟΦΙΑ Επιμέλεια: Χρήστος Χαρμπής http://st-taksh.blogspot.gr σελ.29
  • 30.
    ΚΕΦΑΛΑΙΟ 11: ΤΑΣΧΟΛΕΙΑ ΚΑΙ ΟΙ ΔΑΣΚΑΛΟΙ ΤΟΥ ΓΕΝΟΥΣ ΕΡΩΤΗΣΕΙΣ 1. Γιατί δημιουργήθηκε και συντηρήθηκε ο θρύλος του «κρυφού σχολειού»; 2. Πώς λειτούργησαν τα πρώτα σχολεία κατά την περίοδο της τουρκοκρατίας; 3. Γιατί η τυπογραφία βοήθησε αποφασιστικά στη μόρφωση του λαού; 4. Ποια ήταν η προσφορά των “δασκάλων του Γένους” και ποιοι ήταν οι σημαντικότεροι; 5. Μόνο άντρες ήταν οι «δάσκαλοι του Γένους»; πλούσιων Ελλήνων του εξωτερικού και εσωτερικού ιδρύονται τα πρώτα σχολεια με τη βοηθεια Αρχικά ο σκλαβωμένος λαός μένει χωρίς δασκάλους ΤΑ ΣΧΟΛΕΙΑ ΚΑΙ ΟΙ ΔΑΣΚΑΛΟΙ ΤΟΥ ΓΕΝΟΥΣ ο θρύλος του "κρυφού σχολειού" τυπογραφία βιβλία ευρωπαϊκού διαφωτισμού και Γαλλικής Επανάστασης ο λαός μορφώνεται και λαχταρά την απελευθέρωση της εκκλησίας προσφορά "δασκάλων του Γένους" ΚΟΣΜΑΣ ΑΙΤΩΛΟΣ ΑΔΑΜΑΝΤΙΟΣ ΚΟΡΑΗΣ ιδρύει σχολεία 200"κοινά" 10 "ελληνικά" πιστεύει ότι με τη μόρφωση ο λαός θα απελευθερωθεί διδάσκει την αρχαϊζουσα και τους αρχαίους Έλληνες συγγραφείς ΑΝΘΙΜΟΥ ΣΟΦΙΑ Επιμέλεια: Χρήστος Χαρμπής http://st-taksh.blogspot.gr σελ.30
  • 31.
    ΚΕΦΑΛΑΙΟ 12 :ΠΝΕΥΜΑΤΙΚΗ ΑΝΑΠΤΥΞΗ ΜΕΣΑ ΣΤΗ ΣΚΛΑΒΙΑ Ήπειρο "Ερωτόκριτος"- "Η θυσία του Αβραάμ" ΧΟΡΤΑΤΣΗΣ ΤΈΧΝΕΣ ΠΝΕΥΜΑΤΙΚΗ ΑΝΑΠΤΥΞΗ ΜΕΣΑ ΣΤΗ ΣΚΛΑΒΙΑ ΓΡΑΜΜΑΤΑ (δημοτική γλώσσα) θέατρο - ποίηση κρητική αναγέννηση ΚΟΡΝΑΡΟΣ "Ερωφίλη" Επτάνησα Βηλαράς Βλαχία Χριστόπουλος δημοτικά τραγούδια βυζαντινή μουσική αρχιτεκτονική αρχοντικά έργα κοινής ωφέλειας οχυρωματικά εκκλησίες - μοναστήρια ζωγραφική ΠΟΥΛΑΚΗΣ- ΔΑΜΑΣΚΗΝΟΣ ΕΡΩΤΗΣΕΙΣ 1. Σε ποιες περιοχές αναπτύχθηκαν οι τέχνες και τα γράμματα; Γιατί νομίζετε ότι αναπτύχθηκαν εκεί; 2. Ποια είναι τα γνωστότερα ποιητικά και θεατρικά έργα; 3. Ποιοι ήταν οι πιο γνωστοί χριστιανοί ζωγράφοι; 4. Τι σημαίνει η φράση «πώς ο λαός ξεπέρασε τους ποιητές και τους δημιουργούς»; ΑΝΘΙΜΟΥ ΣΟΦΙΑ Επιμέλεια: Χρήστος Χαρμπής http://st-taksh.blogspot.gr σελ.31
  • 32.
    ΚΕΦΑΛΑΙΟ 13: ΚΛΕΦΤΕΣΚΑΙ ΑΡΜΑΤΟΛΟΙ μπαϊράκι=σημαία αν αποκτούσαν δύναμη ή συμπάθεια ξαναγίνονταν λαϊκοί ήρωες- επαναστάτες ΚΛΕΦΤΕΣ ΚΑΙ ΑΡΜΑΤΟΛΟΙ Έλεγχαν μια περιοχή το "αρματολίκι" ΚΛΕΦΤΕΣ ΑΡΜΑΤΟΛΟΙ πρωτοπαλίκαρο ψυχογιούς οι ανυπότακτοι κλέφτες γίνονταν καπετάνιο Ζούσαν στα λημέρια καθημερινή άσκηση ΕΡΩΤΗΣΕΙΣ 1. Τι ήταν οι κλέφτες; 2. Τι ήταν οι αρματολοί; 3. Πώς οι λέξεις “κλέφτης” και “αρματολός” έφτασαν να σημαίνουν το ίδιο πράγμα; 4. Τι πρόσφεραν στο υπόδουλο Γένος οι κλέφτες και οι αρματολοί; 5. Σας θυμίζουν οι κλέφτες και οι αρματολοί χαρακτήρες από την περσινή μας ιστορία; ΑΝΘΙΜΟΥ ΣΟΦΙΑ Επιμέλεια: Χρήστος Χαρμπής http://st-taksh.blogspot.gr σελ.32
  • 33.
    ΚΕΦΑΛΑΙΟ 14: ΤΑΚΑΣΤΡΑ ΤΗΣ ΛΕΥΤΕΡΙΑΣ φάρες (Τζαβέλα- Μπότσαρη- Κουτσονίκα ΜΑΝΗ (Πελοπόννησος) ΣΟΥΛΙ (Ήπειρος) ΤΑ ΚΑΣΤΡΑ ΤΗΣ ΛΕΥΤΕΡΙΑΣ ΣΦΑΚΙΑ (Κρήτη) συμβούλιο γερόντων αποτελούνταν από ισχυρή στρατιωτική δύναμη Αλή Πασά Ιωαννίνων Κούγκι - Σαμουήλ ζούσαν πρωτόγωνα και ανοργάνωτα οικογένεια πατριά (πολλές οικογένειες μαζί- "πύργος") τάξεις Νικλιάνοι Αχαμνόμερους Ζάλογγο - Σουλιώτισσες σεβασμό ηλικιωμένων βεντέταοικογενειακή τιμή "γεροντική" =συμβούλιο ηλικιωμένων βεντέτα- οικογενειακή τιμή ΕΡΩΤΗΣΕΙΣ 1. Ποιες ήταν οι περιοχές της Ελλάδας που κατάφεραν να διατηρήσουν σχετική ελευθερία; 2. Πώς ήταν οργανωμένοι οι Σουλιώτες και τι ξέρεις για το Σούλι; 3. Πώς ήταν οργανωμένοι οι Μανιάτες και τι ξέρεις για τη Μάνη; 4. Πώς ζούσαν οι Σφακιανοί και τι ξέρεις για τα Σφακιά; 5. Γιατί οι περιοχές αυτές είχαν σχετική ελευθερία; Υπάρχει σχέση ανάμεσα στην «ελευθερία» και τη γεωγραφική τους θέση; ΑΝΘΙΜΟΥ ΣΟΦΙΑ Επιμέλεια: Χρήστος Χαρμπής http://st-taksh.blogspot.gr σελ.33
  • 34.
    ΚΕΦΑΛΑΙΟ 15 :ΗΕΝΟΠΛΗ ΟΡΜΗ ΓΙΑ ΤΟΝ ΑΓΩΝΑ ΕΝΟΠΛΗ ΟΡΜΗ ΓΙΑ ΑΠΕΛΕΥΘΕΡΩΣΗ 18 ος αι.17ος αι. 1611 Διονύσιος ο Φιλόσοφος ή Σκυλόσοφος (Ήπειρο - Θεσσαλία) 1769 1788 "Ορλωφικά" (Πελοπόννησος) Λάμπρο Κατσώνη (Άνδρος) ρωσοτουρκικός πόλεμος Συνθήκη Κιουτσούκ- Καϊναρτζή όλες καταπνίγονται από τους Τούρκους ΕΡΩΤΗΣΕΙΣ 1. Ποια επαναστατική κίνηση έγινε τον 17ο αι. και από ποιον; 2. Ποιες επαναστατικές κινήσεις έγιναν τον 18ο αι. και από ποιους; 3. Τι ήταν τα «ορλωφικά»; 4. Βοήθησαν ουσιαστικά οι Ρώσοι; Ποια ήταν τα πραγματικά τους κίνητρα; ΑΝΘΙΜΟΥ ΣΟΦΙΑ Επιμέλεια: Χρήστος Χαρμπής http://st-taksh.blogspot.gr σελ.34
  • 35.
    ΚΕΦΑΛΑΙΟ 16 :ΤΟ ΟΡΑΜΑ ΤΟΥ ΡΗΓΑ ε μ π ό ρ ιο α ν τ ίθ ε σ η μ ε υ π ό λ ο ιπ η Ε υ ρ ώ π η Ρ Η Γ Α Σ Φ Ε Ρ Α Ι Ο Σ γ ε ν ν ή θ η κ ε σ τ ο Β ε λ ε σ τ ίν ο Κ ω ν /π ο λ η ε κ μ ά θ η σ η ξ έ ν ω ν γ λ ω σ σ ώ ν - γ ν ω ρ ιμ ί α μ ε ξ έ ν ο υ ς " α ν τ ί σ τ α σ η " Ο ι Έ λ λ η ν ε ς έ χ ο υ ν κ ο ι ν ό τ ρ ό π ο ζ ω ή ς μ ε τ ο υ ς υ π ό λ ο ιπ ο υ ς β α λ κ α ν ικ ο ύ ς λ α ο ύ ς χ α ϊν τ ο ύ τ ο υ ς Β Ο Υ Λ Γ Α Ρ Ι Α χ α ϊν τ ο ύ κ ο υ ς Σ Ε Ρ Β Ι Α π α ν δ ο ύ ρ ο υ ς Ρ Ο Υ Μ Α Ν Ι Α ( κ λ έ φ τ ε ς κ α ι α ρ μ α τ ο λ ο ύ ς ) Ε Λ Λ Α Δ Α ε π η ρ ε ά σ τ η κ ε α π ό Γ α λ λ ί α Ν α π ο λ έ ο ν τ α Γ α λ λ . ε π α ν ά σ τ α σ η σ υ γ γ ρ α φ ή ε π α ν α σ τ α τ ι κ ώ ν κ ε ιμ έ ν ω ν μ ε τ ά φ ρ α σ η σ τ α ε λ λ η ν ικ ά ξ έ ν α β ιβ λ ί α μ ε σ κ ο π ό τ η ν α φ ύ π ν ισ η τ ο υ ε λ λ η ν ισ μ ο ύ Θ Ο Υ Ρ Ι Ο Σ Β ι έ ν ν η Τ ε ρ γ έ σ τ η σ ύ λ λ η ψ η α π ό Α υ σ τ ρ ι α κ ο ύ ς π α ρ ά δ ο σ η σ τ ο Τ ο ύ ρ κ ο υ ς θ ά ν α τ ο ς 1 7 8 9 Μ ε τ ά τ ο θ ά ν α τ ο τ ο υ Ρ ή γ α ξ ε σ π ο υ ν ε π α ν α σ τ α τ ι κ ά κ ι ν ή μ α τ αο δ η γ ο ύ ν τ α ι τ α Β α λ κ ά ν ι α π ρ ο ς τ η ν α π ΕΡΩΤΗΣΕΙΣ 1. Για ποιο λόγο παρουσιάζουν ομοιότητες οι βαλκανικοί λαοί; 2. Τι ξέρεις για το Ρήγα Φεραίο; 3. Ποιο ήταν το όραμα ζωής του Ρήγα Φεραίου, πώς το πραγματοποίησε και τι αποτέλεσμα είχε; 4. Τι ξέρεις για τον «Θούριο»; 5. Τι προέβλεπε η “Νέα Πολιτική Διοίκηση” του Ρήγα Φεραίου; ΑΝΘΙΜΟΥ ΣΟΦΙΑ Επιμέλεια: Χρήστος Χαρμπής http://st-taksh.blogspot.gr σελ.35
  • 36.
    • Ανεκτικοί απέναντιστο Πατριαρχείο Κωνσταντινούπολης. Οι Οθωμανοί Τούρκοι κατήργησαν τη βυζαντινή διοίκηση στις χώρες που κατέκτησαν. Πατριάρχης • Θρησκευτικός ηγέτης. • Εκπρόσωπος των Ορθόδοξων Χριστιανών. • Λογοδοτούσε στον Σουλτάνο. • Ιδρύει σχολεία. • Επιβάλλει ειδική φορολογία στους πιστούς. Η εκκλησία δεν είχε μόνο θρησκευτικά καθήκοντα αλλά αποφάσιζε και για άλλες υποθέσεις π.χ για τις κληρονομιές. Ιεράρχες που δε θεωρούν την τουρκική κατάκτηση ¨θεραπεία¨ σταλμένη από το Θεό. Πατριάρχης Νεόφυτος ο Β΄. Επηρεάστηκε από τις ευρωπαϊκές ιδέες και αμφισβητούσε την υποταγή στους Τούρκους. Μοναχός Μάξιμος ο Γραικός. • Καλλιέργησε σχέσεις με τη Ρωσία. • Άγιος της Μόσχας. • Οι Ρώσοι ταυτίστηκαν με τη σκέψη της απελευθέρωσης της Κων/πολης από τους απίστους. Φανάρι. Συνοικία της Κων/πολης κοντά στο Πατριαρχείο. Φαναριώτες. • Ζούσαν κοντά στο Φανάρι. • Ηγετική ομάδα Ελλήνων. • Πλούσιοι. • Αξιόλογη μόρφωση. • Γνώριζαν ξένες γλώσσες. • Υψηλά αξιώματα στην οθωμανική διοίκηση. Κοινοτικοί άρχοντες (επίτροποι, δημογέροντες, προεστοί, και κοτσαμπάσηδες. • Αδυναμία των Τούρκων για τη συλλογή φόρων. • Μεγάλη περιουσία. • Πολιτική δύναμη. Γεωργακόπουλος Ανδρέας Επιμέλεια: Χρήστος Χαρμπής http://st-taksh.blogspot.gr σελ.36
  • 37.
    Κλέφτες Οι Τούρκοι γιανα αντιμετωπίσουν τους κλέφτες χρησιμοποιούσαν τους αρματολούς. Φημισμένοι αρματολοί Οι Τούρκοι αντιμετωπίζουν εξεγέρσεις από ομάδες Ελλήνων. • Ζούσαν στην ύπαιθρο σε δύσβατα μέρη ( λημέρια). • Μικρές ομάδες με αρχηγό (καπετάνιο) και μπαϊράκι. • Εχθρότητα για τους Τούρκους. • Αγαπητοί στο λαό. • Σύμβολο αντίστασης. • ΄Ενοπλοι Έλληνες. • Πρώην κλέφτες. • Συνήθως συνεργάζονταν με τους κλέφτες. • Εγκατέλειπαν τις θέσεις τους και προσχωρούσαν σε αυτούς. • Αρκετοί από τους απογόνους τους έλαβαν μέρος στην επανάσταση του 1821. • Γεώργιος Ανδρίτζος • Κατσαντώνης • Γεώργιος Μπότσαρης • Λάμπρος Τζαβέλλας Κορκόδειλος Κλαδάς ( Ορμητήριο τη Μάνη η οποία δεν υποτάχτηκε ποτέ) Άλλοι ένοπλοι έλληνες Γεωργακόπουλος Ανδρέας Επιμέλεια: Χρήστος Χαρμπής http://st-taksh.blogspot.gr σελ.37
  • 38.
    Παρακμή της ΟθωμανικήςΑυτοκρατορίας Συνθήκες Η οικονομία της Οθωμανικής Αυτοκρατορίας στηριζόταν κυρίως… Αγροτικές καλλιέργειες Σιτάρι Κριθάρι Βαμβάκι Καπνός Λάδι Σταφίδα Κτηνοτρόφοι Ζούσαν μόνιμα σε ένα μέρος ή ήταν νομάδες. Προϊόντα Ανάγκες σπιτιού Πρώτες ύλες βιοτεχνίας Τοπικές αγορές Διάθεσή τους στο εξωτερικό. Παράγοντες που ωφέλησαν τις οικονομικές δραστηριότητες των Ελλήνων. Γεωγραφικές ανακαλύψεις. Νέοι εμπορικοί δρόμοι. Τερματισμός κατακτήσεων. Μείωση εσόδων από το εμπόριο. Υποτίμηση του νομίσματος. Κάρλοβιτς (1699) Κιουτσούκ Καϊναρτζή (1774) ( Αυστρία και Ρωσία επηρεάζουν τα εσωτερικά της Τουρκίας – εμπορικές συμφωνίες που ευνοούν το ελληνικό εμπόριο. Οι έλληνες υψώνουν στα καράβια τους τις σημαίες των χωρών αυτών.) Ωφέλησαν τους Έλληνες Δραστηριοποιούνται στην Κεντρική ,Δυτική Ευρώπη και Ρωσία. Ιδρύουν στα μέρη αυτά σημαντικές παροικίες, αναλαμβάνουν μεγάλο μέρος του εμπορίου, αποκτούν πολλά πλούτη. Φτάνουν και στην Ελλάδα οι επαναστατικές ιδέες της Ευρώπης. Αυξάνεται ο εμπορικός στόλος αντιμετωπίζεται η πειρατεία . Η οικονομική άνθηση, ο πολυάριθμος στόλος και οι εύπορες παροικίες βελτιώνουν τη θέση των ελλήνων. Σημαντική συνεισφορά στην επανάσταση του 1821. Γεωργακόπουλος Ανδρέας Επιμέλεια: Χρήστος Χαρμπής http://st-taksh.blogspot.gr σελ.38
  • 39.
    • Έλληνες απότον Πόντο: Μετακινήθηκαν στον Καύκασο και στην Κριμαία ( Ιδρύουν παροικίες με πιο γνωστή την Οδησσό). • Έλληνες από την Μακεδονία: εγκαταστάθηκαν κυρίως στη Βιέννη, την Τεργέστη, τη Σερβία και την Ουγγαρία. • Αρκετοί Έλληνες; δραστηριοποιούνται στις Παραδουνάβιες Ηγεμονίες, Βλαχία και Μολδαβία, που κυβερνούσαν Φαναριώτες ηγεμόνες. Μετανάστευση των Ελλήνων Πρώτη περίοδος 15ος - 16ος αιώνας. ( Αίτια) Πολεμικές συγκρούσεις, επέκταση των Τούρκων Υποχρεωτική. Λόγιοι – ευγενείς – στρατιώτες. ΚΑΤΑΓΩΓΗ: Κύπρος Κρήτη Μονεμβασιά Μάνη Ναύπλιο Ήπειρος Δεύτερη περίοδος 17ος - 18ος αιώνας. ( Αίτια) Οικονομικά Εθελοντική. Ειρηνική. Σε αρκετές πόλεις κατά μήκος των εμπορικών δρόμων ( Τουρκίας – Ευρώπης – Ρωσίας ) εγκαταστάθηκαν Έλληνες. Μετακινήσεις Ελλήνων Έλληνες μετανάστες ( Έλληνες της Διασποράς ) Ανέγερση ναών, κοινοτικών σχολείων, μοναστηριών. Έκδοση ελληνικών βιβλίων, περιοδικών και εφημερίδων. Ενίσχυσαν οικονομικά τα ελληνικά σχολεία, κατασκεύασαν πολυτελείς κατοικίες στους τόπους καταγωγής τους ( αρχοντικά). Από τους έλληνες των παροικιών ξεκίνησε τον 18ο αιώνα η πνευματική αναγέννηση του Έθνους. Εγκαταστάθηκαν κυρίως σε παραθαλάσσιες περιοχές της Ιταλίας και της Ευρώπης, ιδρύοντας παροικίες. Γεωργακόπουλος Ανδρέας Επιμέλεια: Χρήστος Χαρμπής http://st-taksh.blogspot.gr σελ.39
  • 40.
    Δάσκαλοι του Γένους ΜορφωμένοιΈλληνες που κατά την περίοδο της Τουρκοκρατίας, με την προφορική διδασκαλία τους ή με τα κείμενά τους, καλλιέργησαν την ελληνική Παιδεία. Ήταν ή έγιναν κληρικοί. Σπούδασαν στην Ελλάδα, Ιόνια νησιά, Παραδουνάβιες Ηγεμονίες και στο εξωτερικό. Δίδασκαν σε σχολεία , δημόσιους χώρους. Ίδρυσαν σχολεία και τόνωσαν την ελληνική παιδεία. Αναπτύχθηκε ο Φιλελληνισμός στη Δύση. Νεοελληνικός Διαφωτισμός Οι ιδέες και τα κηρύγματα του διαφωτισμού (18ος – 19ος ) αιώνας – ενότητα 1η Κεφ. 2 – έρχονται και στην Ελλάδα, δυναμώνοντας την διάθεση των υπόδουλων Ελλήνων για επανάσταση. Ελληνική Νομαρχία Κείμενο του Νεοελληνικοί Διαφωτισμού που εκδόθηκε στην Ιταλία το 1806, άγνωστου συγγραφέα αφιερωμένο στον Ρήγα Βελεστινλή. Καταδικάζει την «αναρχία» και την « μοναρχία». Ιδανική διοίκηση ενός κράτους η ¨νομαρχία¨, δηλαδή το πολίτευμα που στηρίζεται στους νόμους. Ο άγιος Κοσμάς ο Αιτωλός Μοναχός του Άγιου Όρους, ιεροκήρυκας και μάρτυρας. Το κήρυγμά του είχε μεγάλη απήχηση στους υπόδουλους έλληνες. Προσπάθησε να αναχαιτίσει τον εξισλαμισμό ιδρύοντας σχολεία. Γεωργακόπουλος Ανδρέας Επιμέλεια: Χρήστος Χαρμπής http://st-taksh.blogspot.gr σελ.40
  • 41.
    • Δάσκαλοι τουΓένους που ξεχώρισαν για τη δράση τους ήταν ο Ρήγας Βελεστινλής και ο Αδαμάντιος Κοραής. Ρήγας Βελεστινλής ( Φεραίος) Γιος εμπόρου, γεννήθηκε το 1757 στο Βελεστίνο της Θεσσαλονίκης, που ονομαζόταν και Φερές. Μετανάστευσε στο Βουκουρέστι. Επηρεάστηκε από τις ευρωπαϊκές ιδέες. Καταγωγή Το έργο του Εξέδωσε γαλλικά μυθιστορήματα στη δημοτική, ένα βιβλίο Φυσικής για μαθητές και έναν τεράστιο χάρτη της Ελλάδας « Χάρτα της Ελλάδας». Έγραψε τον Θούριο, έναν επαναστατικό ύμνο, σύμβολο του αγώνα για την ελευθερία. Συνεργασία βαλκανικών λαών για την απελευθέρωσή τους από τους Τούρκους. Δημιουργία κράτους που θα κυριαρχούσε η ελληνική γλώσσα και παιδεία. Το 1797 οι Αυστριακοί τον παραδίδουν στους Τούρκους οι οποίοι των θανατώνουν και τον ρίχνουν στον ποταμό Δούναβη. Το όραμα του Αδαμάντιος Κοραής Καταγωγή Το έργο του Καταγόταν από πλούσια οικογένεια της Χίου, αλλά γεννήθηκε στη Σμύρνη το 1748. Εγκαταστάθηκε μόνιμα στη Γαλλία, όπου σπούδασε ιατρική. Αντιγραφή και δημοσίευση αρχαίων Ελλήνων συγγραφέων. Η απελευθέρωση των Ελλήνων περνά μέσα από την παιδεία του λαού, χρησιμοποιώντας την ελληνική γλώσσα στην απλούστερη μορφή της. Συνέβαλε σημαντικά στην προετοιμασία της Μεγάλης Επανάστα- σης. Συντέλεσε στην ίδρυση του Ελληνικού Κομιτάτου στο Παρίσι. Γεωργακόπουλος Ανδρέας Επιμέλεια: Χρήστος Χαρμπής http://st-taksh.blogspot.gr σελ.41
  • 42.
    Κατά την διάρκειατων τεσσάρων αιώνων της Τουρκοκρατίας έγιναν πολλές εξεγέρσεις των υπόδου- λων Ελλήνων εναντίων των Οθωμανών. Πολλές από αυτές έγιναν από ευρωπαϊκές δυνάμεις που ήθε- λαν να αναστατώσουν το εσωτερικό της Τουρκίας για δικό τους όφελος. • (16ος Αιώνας) Κερκυραίοι - Κρητικοί – Μανιάτες – Βενετοί - Ισπανοί Πολεμούν τους Τούρκους, στην ξηρά και στην θάλασσα. Στη Ναυμαχία της Ναυπάκτου το 1571 στην οποία καταστρέφεται ο τούρκικος στόλος συμμετείχαν και ελληνικά καράβια. • Μητροπολίτης Λαρίσης Διόνυσος ( Φιλόσοφος ) Ξεσηκώνει τους υπόδουλους Έλληνες στην ορεινή Θεσσαλία. Το κίνημά του απέτυχε και ό ίδιος διαφεύγει στη Ρώμη και έπειτα στην Ισπανία. • (18ος Αιώνας) Ρώσοι ¨ξανθό γένος¨ Το 1770 οι αδελφοί Ορλώφ φτάνουν στη Μάνη με Ρώσους και Έλληνες στρατιώ- τες. Ο Ιωάννης Βλάχος ( Δασκαλογιάννης) ξεσηκώνει τα Σφακιά. Στη ναυμαχία του Τσεσμέ ο ορθόδοξος στόλος νικά τους Οθωμανούς. Οι συγκρούσεις σταματούν με τη Συνθήκη του Κιουτσούκ Καϊναρτζή*. *Ενότητα 2η Κεφ. 5. • Λάμπρος Κατσώνης Αξιωματικός του ρωσικού στρατού. Με μικρό στόλο πλέει στο αιγαίο, κάνοντας επιθέσεις εναντίων των τούρκικων πλοίων. Μαζί του είναι και ο Γεώργιος Ανδρίτσος, πατέρας του ήρωα της Επανάστασης Οδυσσέας Ανδρούτσος. • Τέλη 18ου Αιώνα Οι Έλληνες στράφηκαν για βοήθεια προς τους Γάλλους του Ναπολέοντα, αλλά γρήγορα οι ελπίδες τους διαψεύστηκαν. Γύρω στο 1800 οι Έλληνες καταλαβαίνουν ότι η ελευθερία θα έλθει μόνο από τους ίδιους. Γεωργακόπουλος Ανδρέας Επιμέλεια: Χρήστος Χαρμπής http://st-taksh.blogspot.gr σελ.42
  • 43.
    Οι Σουλιώτες πρωταγωνιστούνσε πολλές επαναστατικές ενέργειες κατά των Τούρκων. Γνωστοί είναι οι αγώνες τους εναντίον του Αλή Πασά τον Ιωαννίνων. Σουλιώτες • Βοσκοί που μιλούσαν ελληνικά και αρβανίτικα. • Δύσκολες συνθήκες ζωής. • Πολύχρονη ενασχόληση με τα όπλα. • Άριστη γνώση εδάφους. • Ομαδικό πνεύμα. • Εξαιρετική τόλμη. • Ικανότατοι πολεμιστές. • Μάταιες οι προσπάθειες των Τούρκων για υποταγή. Ο Αλή Πασάς των Ιωαννίνων - Η κατάκτηση του Σουλίου • Πετυχαίνει με διάφορους τρόπους να διώξει από το Σούλι ορισμένους αρχηγούς. • Αδυνατίζει η άμυνα του Σουλίου. • Το 1803 οι Τούρκοι κατακτούν το Σούλι. • Ο καλόγερος Σαμουήλ ανατινάζει τον οχυρό λόφο Κούγκι. • Σκοτώνεται ο ίδιος, Έλληνες που ήταν κοντά του , αλλά και Τούρκοι. • Κάποιοι Σουλιώτες περνούν στην Κέρκυρα, ενώ κάποιοι άλλοι θα καταφύγουν στην Πρέβεζα. Οι Σουλιώτες στη Μεγάλη Επανάσταση Το 1820 οι Τούρκοι καλούν τους Σουλιώτες να γυρίσουν πίσω και να βοηθήσουν Σουλτάνο να εξοντώσει τον Αλή Πασά. Οι Σουλιώτες αποκρούουν τον Αλή Πασά. Το 1822, μένουν αβοήθητοι και εγκαταλείπουν οριστικά το Σούλι και σκορπίζονται στην Στερεά Ελλάδα και Πελοπόννησο. Στην επανάσταση του 1821 πολλοί Σουλιώτες δρουν ως οπλαρχηγοί, έχοντας φήμη γενναίων Και αδάμαστων πολεμιστών. Γεωργακόπουλος Ανδρέας Επιμέλεια: Χρήστος Χαρμπής http://st-taksh.blogspot.gr σελ.43
  • 44.
    Θοδωρής Βούγας Επιμέλεια: ΧρήστοςΧαρμπής http://st-taksh.blogspot.gr σελ.44
  • 45.
    Θοδωρής Βούγας Επιμέλεια: ΧρήστοςΧαρμπής http://st-taksh.blogspot.gr σελ.45
  • 46.
    Θοδωρής Βούγας Επιμέλεια: ΧρήστοςΧαρμπής http://st-taksh.blogspot.gr σελ.46
  • 47.
    Θοδωρής Βούγας Επιμέλεια: ΧρήστοςΧαρμπής http://st-taksh.blogspot.gr σελ.47
  • 48.
    Θοδωρής Βούγας Επιμέλεια: ΧρήστοςΧαρμπής http://st-taksh.blogspot.gr σελ.48
  • 49.
    Θοδωρής Βούγας Επιμέλεια: ΧρήστοςΧαρμπής http://st-taksh.blogspot.gr σελ.49
  • 50.
    Θοδωρής Βούγας Επιμέλεια: ΧρήστοςΧαρμπής http://st-taksh.blogspot.gr σελ.50
  • 51.
    Θοδωρής Βούγας Επιμέλεια: ΧρήστοςΧαρμπής http://st-taksh.blogspot.gr σελ.51
  • 52.
    Θοδωρής Βούγας Επιμέλεια: ΧρήστοςΧαρμπής http://st-taksh.blogspot.gr σελ.52
  • 53.
    Θοδωρής ΒούγαςΕπιμέλεια: ΧρήστοςΧαρμπής http://st-taksh.blogspot.gr σελ.53
  • 54.
    Η ΚΑΤΑΚΤΗΣΗ ΤΗΣΕΛΛΗΝΙΚΗΣ ΧΕΡΣΟΝΗΣΟΥ Άλωση της Κωνσταντινούπολης από τους Οθωμανούς το 1453 Παρακμή της Βυζαντινής αυτοκρατορίας που είχε προβλήματα Πολιτικά Κοινωνικά Οικονομικά Μέσα σε δύο περίπου αιώνες Η ελληνική χερσόνησος κατακτήθηκε από τους Τούρκους Τα Ιόνια νησιά (εκτός Λευκάδας) έμειναν στους Βενετούς (1797), πέρασαν στους Γάλλους και μετά στους Άγγλους. Η περίοδος από την κατάκτηση της ελληνικής χερσονήσου, έως και τη μεγάλη Επανάσταση του 1821, ονομάζεται Τουρκοκρατία. Οι δύο πρώτοι αιώνες ήταν οι δυσκολότεροι για τους Χριστιανούς. • Κάτοικοι μετακινήθηκαν σε ορεινούς τόπους. • Οι βυζαντινοί άρχοντες εξαφανίστηκαν • Αρκετοί λόγιοι έφυγαν στη Δυτική Ευρώπη. Τελικά οι Έλληνες δεν αφομοιώθηκαν. Διαφύλαξαν τη θρησκεία, τη γλώσσα και την παράδοση με τη βοήθεια της Εκκλησίας. Από τα μέσα του 16ου αιώνα η θέση των Ελλήνων σταδιακά βελτιώθηκε. • Μειώθηκαν οι στρατιωτικές συγκρούσεις. • Περιορίστηκε η φορολογία. • Περιορίστηκε το παιδομάζωμα. Αυτές οι εξελίξεις με τη συμβολή των Ελλήνων της Διασποράς: • Τόνωσαν την παιδεία • Οδήγησαν στην εκπαιδευτική αναγέννηση του 18ου αιώνα που προετοίμασε το έδαφος για την Απελευθέρωση Προβλήματα αντιμετώπισαν και οι Έλληνες υπήκοοι των Βενετών • Έως το 16ο αιώνα δεν τους επιτρεπόταν η συμμετοχή στη διοίκηση. • Οι Βενετοί κατείχαν και θρησκευτικά αξιώματα και την περιουσία της Εκκλησίας. • Η φορολογία ήταν βαριά. • Συμμετείχαν σε αγγαρείες για την κατασκευή δημόσιων έργων. Προκλήθηκαν διαμαρτυρίες και εξεγέρσεις όπως το «ρεμπελιό των ποπολάρων» στη Ζάκυνθο το 1628. Καθώς περνούσαν τα χρόνια οι βενετικές κτήσεις γίνονταν οθωμανικές. • Οι Βενετοί έγιναν πιο φιλικοί προς τους Έλληνες γιατί αυτοί σήκωναν το βάρος της άμυνας. • Οι διακρίσεις περιορίσθηκαν λόγω της μακραίωνης συνύπαρξης, των μικτών γάμων και των κοινών οικονομικών δραστηριοτήτων που είχαν Έλληνες και Βενετοί. Μαντζίλα Μαρία Επιμέλεια: Χρήστος Χαρμπής http://st-taksh.blogspot.gr σελ.54
  • 55.
    ΟΙ ΣΥΝΘΗΚΕΣ ΖΩΗΣΤΩΝ ΥΠΟΔΟΥΛΩΝ ΚΑΘΗΜΕΡΙΝΗ ΖΩΗ ΤΩΝ ΕΛΛΗΝΩΝ Μετά την τουρκική κατάκτηση οι περισσότερες επιφανείς βυζαντινές οικογένειες που επέζησαν μετανάστευσαν κυρίως σε: Λατινοκρατούμενες περιοχές Δυτική Ευρώπη Όσες οικογένειες παρέμειναν στην Πόλη συγχωνεύθηκαν με Έλληνες από : • Την Καραμανία • Τον Πόντο και πλούτισαν ως βιοτέχνες ή έμποροι • Τα νησιά του Αιγαίου Όλοι αυτοί σχημάτισαν γύρω από το Πατριαρχείο μια νέα άρχουσα τάξη τους Φαναριώτες που από τον 17ο αιώνα ανέπτυξε σημαντικό εθνικό ρόλο σε τομείς όπως η εκπαίδευση. Τους πρώτους αιώνες της Τουρκοκρατίας οι περιορισμοί για τους Έλληνες ήταν πολλοί. Κυρίως στη φορολογία. Η Οθωμανική Αυτοκρατορία στήριζε τη συντήρησή της στην είσπραξη των φόρων και οι Χριστιανοί επιβαρύνονταν πολύ περισσότερο από του Μουσουλμάνους. • Ζούσαν σε φτωχικές συνοικίες • Υπηρετούσαν στο στρατό μόνο σε βοηθητικές υπηρεσίες (ναύτες ή οδηγοί). • Απαγορεύονταν οι λιτανείες. • Οι σοβαρές δικαστικές υποθέσεις των Χριστιανών δικάζονταν στα μουσουλμανικά ιεροδικεία και όχι στα εκκλησιαστικά δικαστήρια. Τακτικοί φόροι • Κεφαλικός φόρος • Φόρος εστίας (για τις κατοικίες τους) • Φόρο για τη χρήση γης • Φόρο για την αγροτική παραγωγή Υπήρχαν και αρκετοί έκτακτοι φόροι, καθώς και αγγαρείες. Αυτές οι διακρίσεις ήταν πιο έντονες στις απομακρυσμένες περιοχές. Εκεί οι τοπικοί διοικητές πολλές φορές κακομεταχειρίζονταν τους Χριστιανούς και δεν δίσταζαν να ενισχύσουν το προσωπικό τους ταμείο. Τα πιο σκληρά μέτρα που αντιμετώπισαν οι Χριστιανοί, ιδιαίτερα τους πρώτους αιώνες ήταν: 1. Οι σφαγές 2. οι αιχμαλωσίες 3. οι εξισλαμισμοί 4. το παιδομάζωμα 5. η αναγκαστική μετακίνηση του πληθυσμού στο εξωτερικό ή σε άγονα εδάφη, απομονωμένα ή ορεινά μέρη, λόγω της εγκατάστασης των Τούρκων στα εύφορα εδάφη. Έτσι, τα πιο εύφορα κτήματα ανήκαν στο Σουλτάνο και τους Οθωμανούς, ενώ οι περισσότεροι υπόδουλοι κατείχαν εκτάσεις γης κυρίως σε άγονες περιοχές. Μαντζίλα ΜαρίαΕπιμέλεια: Χρήστος Χαρμπής http://st-taksh.blogspot.gr σελ.55
  • 56.
    Η ΘΡΗΣΚΕΥΤΙΚΗ ΚΑΙΗ ΠΟΛΙΤΙΚΗ ΟΡΓΑΝΩΣΗ ΤΩΝ ΕΛΛΗΝΩΝ Οι Οθωμανοί Τούρκοι αν και κατήργησαν τη βυζαντινή διοίκηση διεύρυναν τις αρμοδιότητες του Οικουμενικού πατριαρχείου της Κωνσταντινούπολης. Ο Πατριάρχης ήταν • Θρησκευτικός ηγέτης • Εκπρόσωπος του ρουμ μιλέτ (των υπόδουλων Ορθόδοξων Χριστιανών) και λογοδοτούσε στο Σουλτάνο για τις πράξεις τους. • Ίδρυε σχολεία • Μπορούσε να επιβάλλει ειδική φορολογία στους πιστούς. Η Εκκλησία λοιπόν δεν είχε μόνο θρησκευτικά καθήκοντα αλλά αποφάσιζε και για ποικίλες υποθέσεις, όπως π.χ. για τις κληρονομιές. Υπήρχαν διάφορες απόψεις ανάμεσα στους ορθόδοξους κληρικούς. Κάποιοι πίστευαν ότι η τουρκική κατάκτηση ήταν μια θεραπεία σταλμένη από το Θεό για τα σφάλματα των Βυζαντινών αυτοκρατόρων και του βυζαντινού λαού. Άλλοι, όπως ο Πατριάρχης Νεόφυτος ο Β΄ είχαν επηρεασθεί από τις ευρωπαϊκές ιδέες και αμφισβητούσαν την υποταγή στους Τούρκους. Μερικοί, όπως ο μοναχός Μάξιμος ο Γραικός, που αναγνωρίστηκε ως άγιος στη Μόσχα, καλλιέργησαν περαιτέρω σχέσεις με τη Ρωσία. Έτσι οι Ρώσοι ταυτίστηκαν στη σκέψη των υπόδουλων Χριστιανών με το «ξανθό γένος» που θα ελευθέρωνε την Κωνσταντινούπολη από τους άπιστους. Φαναριώτες Κοινοτικοί άρχοντες Αποτελούσαν μια άλλη ηγετική ομάδα των Ελλήνων κατά την περίοδο της Τουρκοκρατίας. Ήταν ορισμένες πλούσιες οικογένειες που ζούσαν στην συνοικία Φανάρι της Κωνσταντινούπολης, την έδρα του Οικουμενικού Πατριαρχείου και είχαν • Αξιόλογη μόρφωση • Γνώριζαν ξένες γλώσσες • Ανελάμβαναν υψηλά αξιώματα στην οθωμανική διοίκηση Παρά ταύτα ήταν, όπως και οι ιεράρχες, απόλυτα εξαρτημένοι από τις διαθέσεις του κάθε Σουλτάνου. Οι Τούρκοι αναγκάστηκαν να σεβαστούν την τοπική ηγεσία κάθε χωριού, επειδή οι ίδιοι δεν είχαν κατάλληλα οργανωμένο διοικητικό μηχανισμό για να υπολογίσουν τον φόρο που αναλογούσε σε κάθε κάτοικο. Οι κοινοτικοί άρχοντες της εποχής είχαν μεγάλη εξουσία, αρκετοί απέκτησαν και μεγάλη περιουσία και πολιτική δύναμη. Ήταν επίσης γνωστοί και ως • Επίτροποι • Δημογέροντες • Προεστοί • Κοτζαμπάσηδες Μαντζίλα ΜαρίαΕπιμέλεια: Χρήστος Χαρμπής http://st-taksh.blogspot.gr σελ.56
  • 57.
    ΟΙ ΚΛΕΦΤΕΣ ΚΑΙΟΙ ΑΡΜΑΤΟΛΟΙ Καθώς οι Οθωμανοί επέκτειναν την κυριαρχία τους στην βαλκανική χερσόνησο Είχαν να αντιμετωπίσουν διάφορες εξεγέρσεις από ομάδες Ελλήνων που συνέχιζαν την παράδοση των πολεμιστών του Βυζαντίου Κορκόδειλος Κλαδάς Ένας από τους σημαντικότερους πολεμιστές που είχε για ορμητήριό του τη Μάνη. Η Μάνη ήταν μια από τις λίγες περιοχές που δεν υποτάχθηκαν στους Τούρκους. « Οι Μανιάτες ήταν ορεσίβιοι, αγρυπνούσαν νύχτα μέρα για να διατηρήσουν την ελευθερία τους και δεν αναγνώριζαν κανένα ηγεμόνα επί της γης» . (περιγραφή) Άλλοι ένοπλοι Έλληνες κατά την περίοδο της Τουρκοκρατίας ήταν οι Κλέφτες οι οποίοι • Ζούσαν στην ύπαιθρο • Είχαν τα λημέρια τους σε δύσβατα μέρη. • Ήταν οργανωμένοι σε μικρές ομάδες • Κάθε ομάδα είχε δικό της καπετάνιο (αρχηγό) και δικό της μπαϊράκι (σημαία). • Ένιωθαν εχθρότητα για τους Τούρκους και για την εξουσία γενικά και ήταν αγαπητοί στα λαό. Οι κλέφτες έγιναν σύμβολο αντίστασης των υπόδουλων Ελλήνων ενάντια στους κατακτητές. Προκειμένου να αντιμετωπίσουν τους κλέφτες και να αποκαταστήσουν την ασφάλεια στην ύπαιθρο οι Οθωμανοί Τούρκοι χρησιμοποιούσαν ένοπλους Έλληνες, πρώην κλέφτες, τους αρματολούς. Οι αρματολοί ήταν βοηθητικά στρατεύματα των Τούρκων, όμως συνεργάζονταν συνήθως με τους κλέφτες Έτσι, παρατηρήθηκε το φαινόμενο, ιδιαίτερα κατά τους τελευταίους αιώνες της Τουρκοκρατίας, πολλοί αρματολοί να εγκαταλείπουν τις θέσεις τους και να γίνονται κλέφτες. Φημισμένοι αρματολοί ήταν • Ο Γεώργιος Ανδρίτζος • Ο Κατσαντώνης στη Ρούμελη • Ο Νικοτσάρας στον Όλυμπο • Ο Γεώργιος και ο Λάμπρος Μπότσαρης στο Σούλι Υπήρχαν και πολλοί άλλοι αρματολοί. Αρκετοί από τους γιους, τους συγγενείς ή τα πρωτοπαλίκαρα αυτών συμμετείχαν αργότερα στη Μεγάλη Επανάσταση του 1821. Μαντζίλα Μαρία Επιμέλεια: Χρήστος Χαρμπής http://st-taksh.blogspot.gr σελ.57
  • 58.
    Η ΟΙΚΟΝΟΜΙΚΗ ΖΩΗ αποτελέσματα άρα Ηοικονομία της Οθωμανικής Αυτοκρατορίας στηριζόταν κυρίως στις αγροτικές καλλιέργειες (σιτάρι, κριθάρι, βαμβάκι, καπνός, λάδι σταφίδα). Οι κτηνοτρόφοι είτε ζούσαν μόνιμα σε ένα μέρος είτε ήταν νομάδες. Μαζί με τους αγρότες πρόσφεραν τις πρώτες ύλες στη βιοτεχνία για την παραγωγή νημάτων και υφαντών Η παραγωγή ικανοποιούσε κυρίως τις ανάγκες του σπιτιού. Όσα προϊόντα τους περίσσευαν, οι γεωργοί τα πουλούσαν στις τοπικές αγορές ή τα διέθεταν στο εξωτερικό. Ως αντάλλαγμα έπαιρναν βιομηχανικά εργαλεία και άλλα προϊόντα. Κάποτε ήρθε η παρακμή της Οθωμανικής Αυτοκρατορίας Λόγοι • Γεωγραφικές ανακαλύψεις • Χρήση νέων εμπορικών δρόμων • Τερματισμός των κατακτήσεων • Οι έμποροι από τη Δυτική Ευρώπη δεν ήταν υποχρεωμένοι να περνούν από το έδαφός της για να πάνε στην Κίνα ή την Ινδία. Αποτελέσματα • Τα κρατικά της έσοδα από τους φόρους εμπορίου μειώθηκαν • Το νόμισμά της υποτιμήθηκε • Η οικονομική δραστηριότητα πέρασε σταδιακά στα χέρια των Ελλήνων. Οι Έλληνες ωφελήθηκαν και από • Τις συνθήκες του Κάρλοβιτς (1699) και του Κιουτσούκ Καϊναρτζή (1774), που υπέγραψε η ηττημένη Οθωμανική Αυτοκρατορία και επέτρεψαν στην Αυστρία και τη Ρωσία να επηρεάζουν τις εξελίξεις στο εσωτερικό της. • Τις Διομολογήσεις που ήταν εμπορικές συμφωνίες των δυτικών χωρών με τους Οθωμανούς Σουλτάνους . Οι Έλληνες είχαν τη δυνατότητα να υψώνουν στα καράβια τους τις σημαίες αυτών των χωρών και έτσι ευνοήθηκαν το ελληνικό εμπόριο και η ναυσιπλοΐα. Οι Έλληνες έμποροι • Επέκτειναν τη δραστηριότητά τους στην Κεντρική και Δυτική Ευρώπη καθώς και στη Ρωσία • Ίδρυσαν στα μέρη αυτά παροικίες • Ανέλαβαν μεγάλο μέρος του εισαγωγικού και εξαγωγικού εμπορίου της δύσης με την Ανατολή κερδίζοντας πολλά χρήματα. Επίσης • Μαζί με τα αγαθά έφταναν στην Οθωμανική Αυτοκρατορία και οι επαναστατικές ιδέες. • Σχηματίστηκε ένας αξιόλογος εμπορικός στόλος με πληρώματα έμπειρα στη ναυσιπλοΐα και την αντιμετώπιση των πειρατών • Μεγάλες πόλεις όπως η Κοζάνη, η Μοσχόπολη, τα Ιωάννινα, η Θεσσαλονίκη ή νησιά όπως η Χίος, τα Ψαρά και η Ύδρα έγιναν σημαντικά κέντρα του ελληνικού εμπορίου. • Η οικονομική άνθιση • Ο πολυάριθμος εμπορικός στόλος • Οι εύπορες παροικίες του εξωτερικού Βελτίωσαν τη θέση των Ελλήνων παραμονές της Μεγάλης Επανάστασης του 1821. Από αυτούς τους πλούσιους εμπόρους αναδείχθηκαν οι πρωταγωνιστές του ξεσηκωμού του γένους μαζί με τους υπόλοιπους παραδοσιακούς ηγέτες του υπόδουλου γένους. Μαντζίλα Μαρία Επιμέλεια: Χρήστος Χαρμπής http://st-taksh.blogspot.gr σελ.58
  • 59.
    ΟΙ ΕΛΛΗΝΕΣ ΤΩΝΠΑΡΟΙΚΙΩΝ ΚΑΙ ΤΩΝ ΠΑΡΑΔΟΥΝΑΒΙΩΝ ΗΓΕΜΟΝΙΩΝ Η μετανάστευση των Ελλήνων στο εξωτερικό πραγματοποιήθηκε κυρίως σε δύο χρονικές περιόδους Πρώτη περίοδος 15ος – 16ος αιώνας Η μετανάστευση ήταν συνήθως υποχρεωτική. Κατά τη διάρκειά της λόγιοι, ευγενείς και στρατιώτες (μόνοι ή με τις οικογένειές τους) εγκατέλειψαν την υπόδουλη Ελλάδα εξαιτίας των πολεμικών συγκρούσεων και της επέκτασης των Τούρκων. Οι περισσότεροι πρόσφυγες κατάγονταν από νησιά (Κύπρος, Κρήτη) ή από παραθαλάσσιες περιοχές ( Μονεμβασιά, Μάνη, Ναύπλιο, Ήπειρος) και εγκαταστάθηκαν κυρίως σε παραθαλάσσιες πόλεις της Ιταλίας καθώς και σε άλλες πόλεις της Ευρώπης, ιδρύοντας παροικίες. Οι Έλληνες μετανάστες εξασκούσαν συνήθως το επάγγελμα του στρατιώτη, του ναυτικού, του τεχνίτη, του εμπόρου, του αντιγραφέα χειρογράφων και του δασκάλου σε ανώτατα εκπαιδευτικά ιδρύματα. Δεύτερη περίοδος 17ος – 18ος αιώνας Η μετανάστευση ήταν εθελοντική και ειρηνική, με οικονομικά κυρίως αίτια. Τα εμπορεύματα μεταφέρονταν από την Οθωμανική Αυτοκρατορία προς την Κεντρική Ευρώπη και τη Ρωσία από συγκεκριμένους δρόμους με καραβάνια που διέσχιζαν τα Βαλκάνια. Σε αρκετές πόλεις κατά μήκος αυτών των δρόμων εγκαταστάθηκαν οι Έλληνες. Έλληνες από τον Πόντο μετακινήθηκαν στον Καύκασο και την Κριμαία ιδρύοντας παροικίες, με γνωστότερη την Οδησσό. Οι Έλληνες από τη Μακεδονία εγκαταστάθηκαν κυρίως στη Βιέννη, την Τεργέστη, τη Σερβία και την Ουγγαρία. Ασχολήθηκαν με το εμπόριο βαμβακερών, δερμάτων, χαλιών και άλλων ειδών. Τέλος, αρκετοί Έλληνες δραστηριο- ποιήθηκαν στις Παραδουνάβιες Ηγεμονίες , τη Βλαχία και τη Μολδαβία, όπου κυβερνούσαν Φαναριώτες ηγεμόνες. Οι Έλληνες μετανάστες στη νέα τους πατρίδα φρόντιζαν να • γίνει ανέγερση ναού για να τελούν τα θρησκευτικά τους καθήκοντα. • συντάξουν καταστατικό για τον τρόπο οργάνωσης της κοινότητάς τους. Στο καταστατικό αναγράφονταν οι σκοποί, η οργάνωση, τα δικαιώματα και οι υποχρεώσεις των μελών της κοινότητας. • χτιστούν μοναστήρια • ιδρυθούν κοινοτικά σχολεία, όπως το Φλαγγινιανό Φροντιστήριο στη Βενετία • εκδοθούν ελληνικά βιβλία, περιοδικά και εφημερίδες. Αυτοί οι μετανάστες ονομάστηκαν Έλληνες της Διασποράς. Με τα πλούτη που απέκτησαν • ενίσχυσαν οικονομικά τα ελληνικά σχολεία στις τουρκοκρατούμενες περιοχές • κατασκεύασαν πολυτελείς κατοικίες στους τόπους καταγωγής τους (Σιάτιστα, Καστοριά, Κοζάνη, Ζαγοροχώρια, χωριά του Πηλίου), τα λεγόμενα αρχοντικά. Από τους Έλληνες των παροικιών ξεκίνησε κατά τον 18ο αιώνα η πνευματική ανάπτυξη του υπόδουλου έθνους. Μαντζίλα Μαρία Επιμέλεια: Χρήστος Χαρμπής http://st-taksh.blogspot.gr σελ.59
  • 60.
    ΟΙ ΔΑΣΚΑΛΟΙ ΤΟΥΓΕΝΟΥΣ Αρκετοί από τους δασκάλους του γένους ήταν ή έγιναν αργότερα κληρικοί Σπούδασαν • Στην τουρκοκρατούμενη Ελλάδα • Στα Ιόνια νησιά • Στις Παραδουνάβιες Ηγεμονίες • Στο εξωτερικό • Δίδασκαν σε ναούς, σε σχολεία και σε δημόσιους χώρους • Έγραφαν επιστολές και άρθρα σε περιοδικά και εφημερίδες • Έγραφαν βιβλία που τα τύπωναν με την υποστήριξη της Εκκλησίας, των Φαναριωτών ηγεμόνων ή φιλομαθών εμπόρων. Βοήθησαν • στην ίδρυση σχολείων • στην τόνωση της παιδείας • στην ιδεολογική προετοιμασία της Μεγάλης Επανάστασης του 1821 • στην ανάπτυξη του Φιλελληνισμού στη Δύση Νεοελληνικός Διαφωτισμός Είναι μια πνευματική δράση που σημειώθηκε κατά τον 18ο και τις αρχές του 19ου αιώνα. Οι ιδέες και τα κηρύγματα του Ευρωπαϊκού Διαφωτισμού κυριαρχούσαν στη Δυτική Ευρώπη. Οι νέες φιλελεύθερες και ριζοσπαστικές ιδέες έφτασαν και στην ελληνική Χερσόνησο δυναμώνοντας την επαναστατική διάθεση των υπόδουλων Ελλήνων. Σημαντικό ρόλο έπαιξε η δράση των Ελλήνων λόγιων στη Δύση. Μεγάλες μορφές στα ελληνικά γράμματα Δημήτριος Καταρτζής Ευγένιος Βούλγαρης (δίδαξε στην Αθωνιάδα Σχολή φιλοσοφία και μαθηματικά) Γεώργιος Κωνσταντάς, Δανιήλ Φιλιππίδης (συνέγραψαν στη δημοτική τη «Γεωγραφία Νεωτερική») Μιχαήλ Περδικάρης (σατίρισε πρόσωπα και γεγονότα της εποχής του). Το 1806 εκδόθηκε στην Ιταλία η «Ελληνική Νομαρχία», έργο άγνωστου συγγραφέα αφιερωμένο στον Ρήγα Βελεστινλή. Σε αυτό το σημαντικό κείμενο του νεοελληνικού Διαφωτισμού καταδικάζεται η «αναρχία» και η «μοναρχία» και προβάλλεται ως ιδανική διοίκηση η «νομαρχία», δηλαδή το πολίτευμα όπου εξουσιάζουν οι νόμοι. Ξεχωριστή προσωπικότητα αποτελεί ο Κοσμάς ο Αιτωλός. Συνδύαζε το πνεύμα του Νεοελληνικού Διαφωτισμού και της παιδείας με τη θρησκευτική πίστη και την εθνική συνείδηση. Ήταν λόγιος μοναχός του Αγίου Όρους, ιεροκήρυκας και μάρτυρας. Περιόδευε στην ύπαιθρο για να αναχαιτίσει τους εξισλαμισμούς ιδρύοντας σχολεία. Μαντζίλα Μαρία Επιμέλεια: Χρήστος Χαρμπής http://st-taksh.blogspot.gr σελ.60
  • 61.
    Ο ΡΗΓΑΣ ΒΕΛΕΣΤΙΝΛΗΣΚΑΙ Ο ΑΔΑΜΑΝΤΙΟΣ ΚΟΡΑΗΣ Ρήγας Βελεστινλής (Φεραίος) • Γεννήθηκε το 1757 στο Βελεστίνο της Θεσσαλίας ( Φερές). Ήταν γιος εμπόρου. • Μπήκε στην υπηρεσία των Φαναριωτών στην Κωνσταντινούπολη. • Μετανάστευσε στο Βουκουρέστι ως γραμματέας του ηγεμόνα της Βλαχίας. • Επηρεάστηκε από τις ευρωπαϊκές ριζοσπαστικές ιδέες. • Έκανε κύριο στόχο του την απελευθέρωση της πατρίδας. • Το 1790 ταξίδεψε στη Βιέννη. Συγγραφικό – εκδοτικό έργο • Εξέδωσε γαλλικά μυθιστορήματα μεταφρασμένα στη δημοτική. • Βιβλίο Φυσικής για σχολική χρήση. • Τη «Χάρτα της Ελλάδος», έναν τεράστιο χάρτη της Ελλάδας. • Μια εικόνα του μέγα Αλέξανδρου. • Πολλά άλλα έργα • Τον Θούριο. Έναν φλογερό επαναστατικό ύμνο που συγκίνησε πολλούς νέους της εποχής και έγινε σύμβολο του αγώνα για την ελευθερία. Το όραμα του Ρήγα ήταν η συνεργασία των υπόδουλων βαλκανικών λαών για την απελευθέρωσή τους από τον οθωμανικό ζυγό και η δημιουργία ενός ευνομούμενου δημοκρατικού κράτους στο οποίο θα κυριαρχούσε η ελληνική γλώσσα και παιδεία. Η δράση του έγινε γρήγορα γνωστή και προκάλεσε την αντίδραση της Αυστρίας, η οποία τότε διατηρούσε καλές σχέσεις με την Οθωμανική Αυτοκρατορία. Οι Αυστριακοί συνέλαβαν τον Ρήγα και τους συνεργάτες του το Δεκέμβριο του 1797. Λίγο αργότερα τον παρέδωσαν με του επτά συντρόφους του στους Τούρκους, οι οποίοι τους θανάτωσαν και τους έριξαν στον ποταμό Δούναβη. Αδαμάντιος Κοραής • Καταγόταν από πλούσια οικογένεια της Χίου. • Γεννήθηκε στη Σμύρνη το 1748. • Φοίτησε στην Ευαγγελική Σχολή της Σμύρνης. • Εγκαταστάθηκε μόνιμα στη Γαλλία όπου σπούδασε ιατρική. • Γνώρισε τη Γαλλική επανάσταση και τις φιλελεύθερες ιδέες της. Ασχολήθηκε με • Την αντιγραφή • Την επιμέλεια • Τη δημοσίευση χειρογράφων αρχαίων Ελλήνων συγγραφέων Ο Κοραής πίστευε ότι για να ελευθερωθεί το ελληνικό έθνος, έπρεπε πρώτα να φωτισθεί διαμέσου της παιδείας, με κατάλληλη μέθοδο διδασκαλίας και χρησιμοποιώντας μια νέα ελληνική γλώσσα, με απλούστερη μορφή από την αρχαία. Η απήχησή του ήταν μεγάλη και πολλοί δάσκαλοι ζητούσαν τις συμβουλές του. Επίσης πρότεινε τη χρήση μιας γλώσσας που θα είχε ως βάση την καθομιλουμένη γλώσσα της εποχής από την οποία θα είχαν αφαιρεθεί οι ξένες λέξεις και οι διάφορες ιδιωματικές εκφράσεις. Ο Κοραής συνέβαλε σημαντικά στην ιδεολογική προετοιμασία της Μεγάλης Επανάστασης με ποιήματά του, όπως το «Σάλπισμα Πολεμιστήριον» , αλλά και με συμβουλευτικές επιστολές του κατά τη διάρκεια της Επανάστασης. Συντέλεσε επίσης στην ίδρυση του Ελληνικού Κομιτάτου στο Παρίσι. Ως βασική του φιλοσοφία είχε την πίστη στη λογική του ανθρώπου. Μαντζίλα Μαρία Επιμέλεια: Χρήστος Χαρμπής http://st-taksh.blogspot.gr σελ.61
  • 62.
    ΤΑ ΚΥΡΙΟΤΕΡΑ ΕΠΑΝΑΣΤΑΤΙΚΑΚΙΝΗΜΑΤΑ Τον 16ο αιώνα πολλοί Κερκυραίοι, Κρητικοί και ιδίως οι ανυπότακτοι Μανιάτες πολέμησαν τους Οθωμανούς Τούρκους είτε στο πλευρό των Βενετών και των Ισπανών είτε μόνοι τους, με επιχειρήσεις στην ξηρά και στη θάλασσα. Στη σημαντική ναυμαχία της Ναυπάκτου το 1571 ο τουρκικός στόλος καταστράφηκε ολοκληρωτικά από τους Δυτικούς με τη συμμετοχή και ελληνικών πλοίων. Το 1600 ο Μητροπολίτης Λάρισας Διονύσιος, γνωστός ως Φιλόσοφος, ξεσήκωσε τους υπόδουλους Έλληνες στην ορεινή Θεσσαλία. Το κίνημά του απέτυχε και ο ίδιος διέφυγε στη Ρώμη και έπειτα στην Ισπανία ζητώντας ενισχύσεις. Εννέα χρόνια αργότερα επέστρεψε στην τουρκοκρατούμενη Ελλάδα, παροτρύνοντας τους κατοίκους της Θεσπρωτίας να εξεγερθούν. Οι Βενετοί πολιόρκησαν την Αθήνα το 1699 και κατέλαβαν σχεδόν όλη την Πελοπόννησο, η οποία πέρασε ξανά στην κατοχή των Οθωμανών ύστερα από δύο δεκαετίες. Έκτοτε η Βενετία έπαψε να παίζει ενεργό ρόλο στις ελληνικές υποθέσεις. Το 18ο αιώνα ανέλαβε δράση η Ρωσία. Οι ελπίδες των υποδούλων αναπτερώθηκαν, καθώς από την εποχή της Άλωσης κυκλοφορούσαν διαδόσεις για το «ξανθό γένος» του Βορρά που θα ελευθέρωνε τους Έλληνες. • Οι αδελφοί Ορλώφ έφτασαν στη Μάνη με ΄Ρώσους και Έλληνες στρατιώτες • Ο πρόκριτος Ιωάννης βλάχος (Δασκαλογιάννης) ξεσήκωσε τα Σφακιά της Κρήτης. • Ναυμαχία του Τσεσμέ (απέναντι από τη Χίο) ο ολιγάριθμος ορθόδοξος στόλος νίκησε τους Οθωμανούς • Οι συγκρούσεις τερματίστηκαν με τη Συνθήκη του Κιουτσούκ Καϊναρτζή (1774). Η Συνθήκη αυτή ήταν πολύ σημαντική γιατί η Ρωσία:  Θεώρησε πως απέκτησε δικαίωμα να παρεμβαίνει στα εσωτερικά της Οθωμανικής Αυτοκρατορίας προκειμένου να προστατεύσει τους Χριστιανούς που ζούσαν εκεί.  Οι Έλληνες έμποροι απέκτησαν το δικαίωμα να υψώνουν στα καράβια τους τη ρώσικη σημαία Λίγα χρόνια αργότερα ο Λάμπρος Κατσώνης (καταγόταν από τη Λιβαδειά και ήταν αξιωματικός του ρωσικού στρατού) με ορμητήριο το νησί Κέα έπλεε στο Αιγαίο με έναν μικρό στόλο, κάνοντας επιθέσεις εναντίον των τουρκικών πλοίων. Στις ναυτικές επιχειρήσεις ήταν μαζί του και ο κλέφτης Γεώργιος Ανδρίτσος, ο πατέρας του ήρωα της Επανάστασης Οδυσσέα Ανδρούτσου. Στα τέλη του 18ου αιώνα λόγω της διάδοσης των φιλελεύθερων ιδεών της Γαλλικής Επανάστασης, οι ελπίδες των Ελλήνων για απελευθέρωση στράφηκαν και προς τους Γάλλους του Ναπολέοντα. Τον επαναστατικό αναβρασμό ενίσχυσαν και διάφορα δημοσιεύματα Ελλήνων διαφωτιστών υπέρ των Γάλλων. Ωστόσο οι ελπίδες αυτές γρήγορα διαψεύστηκαν . Γύρω στο 1800 οι υπόδουλοι Έλληνες είχαν πια συνειδητοποιήσει πως κάθε πρωτοβουλία για απελευθέρωση έπρεπε να προέλθει από τους ίδιους. Μαντζίλα Μαρία Επιμέλεια: Χρήστος Χαρμπής http://st-taksh.blogspot.gr σελ.62
  • 63.
    ΟΙ ΑΓΩΝΕΣ ΤΩΝΣΟΥΛΙΩΤΩΝ ο Οι κάτοικοι του Σουλίου • Ήταν βοσκοί • Μιλούσαν ελληνικά και αρβανίτικα • Συχνά έκαναν επιδρομές στα χωριά του κάμπου, για να εξασφαλίσουν ζώα και γεννήματα. • Οι δύσκολες συνθήκες ζωής τους • Η πολύχρονη ενασχόλησή τους με τα όπλα • Η άριστη γνώση του εδάφους • Το ομαδικό πνεύμα • Η εξαιρετική τους τόλμη Είχαν μεταμορφώσει τους Σουλιώτες σε ικανότατους πολεμιστές. • Συνήθιζαν να πολεμούν οχυρωμένοι πίσω από φυσικά εμπόδια • Δρούσαν ακόμη και τη νύχτα • Δεν δίσταζαν να επιτεθούν με τα σπαθιά τους σε μεγαλύτερο αριθμό αντιπάλων αιφνιδιάζοντάς τους. Μάταια οι Τούρκοι προσπαθούσαν να υποτάξουν τους Σουλιώτες. Το Σούλι απέχοντας 20 χιλιόμετρα από τη θάλασσα προμηθευόταν χρήματα πυρομαχικά όπλα Αυτά τα έστελναν από τα Επτάνησα οι ξένες δυνάμεις κάθε φορά που συγκρούονταν με την Υψηλή Πύλη Ο Αλή Πασάς των Ιωαννίνων ήταν περισσότερο αποτελεσματικός. Πέτυχε με διάφορους τρόπους να διώξει από το Σούλι ορισμένους από τους αρχηγούς, αδυνατίζοντας έτσι την άμυνά του. Οι Τούρκοι κατέκτησαν το Σούλι το 1803 μετά από πολλές προσπάθειες. Κατέλαβαν τον οχυρό λόφο Κούγκι, όμως ο καλόγερος Σαμουήλ που τον κρατούσε ελεύθερο μέχρι την τελευταία στιγμή, ανατινάχθηκε μαζί τους. Τότε Κάποιοι Σουλιώτες έσπασαν τον Οι υπόλοιποι συνθηκολόγησαν, αφού κλοιό των Τούρκων με έφοδο και τους υποσχέθηκαν ότι θα εγκαταλείψουν πέρασαν στην Κέρκυρα με ασφάλεια το Σούλι και θα καταφύγουν με τα όπλα τους στην Πρέβεζα. Οι Σουλιώτες στα Επτάνησα υπηρέτησαν αρχικά τους Ρώσους και μετά τους Γάλλους κυρίαρχους. • Το 1820, λίγο πριν τη Μεγάλη Επανάσταση, κλήθηκαν από τους Τούρκους να κατοικήσουν μόνιμα στο Σούλι, με τον όρο να βοηθήσουν το Σουλτάνο να εξοντώσει τον Αλή Πασά, με τον οποίο βρίσκονταν σε πόλεμο. Οι Σουλιώτες συμφώνησαν και επέστρεψαν στα χωριά τους, αποκρούοντας με επιτυχία τους στρατιώτες του Αλή Πασά. • Το 1822 έμειναν αβοήθητοι. Καταπονημένοι, εγκατέλειψαν οριστικά το Σούλι και διασκορπίστηκαν στη Στερεά Ελλάδα και την Πελοπόννησο. • Κατά τη διάρκεια της Μεγάλης Επανάστασης του 1821 πολλοί Σουλιώτες ανέπτυξαν σημαντική δράση ως οπλαρχηγοί, έχοντας τη φήμη των γενναίων και αδάμαστων πολεμιστών του έθνους. Μαντζίλα Μαρία Επιμέλεια: Χρήστος Χαρμπής http://st-taksh.blogspot.gr σελ.63
  • 64.
    Ερωτήσεις - Απαντήσεις Επιμέλεια:Χρήστος Χαρμπής http://st-taksh.blogspot.gr σελ.64
  • 65.
    Κεφάλαιο 1 Β΄ ενότητα Η κατάκτηση της ελληνικής Χερσονήσου 1. Πώς κατακτήθηκε ο ελληνικός χώρος; Η άλωση της Κωνσταντινούπολης από τους Οθωμανούς Τούρκους, το 1453, ήταν η κατάληξη της παρακμής του Βυζαντινού κόσμου. Ήδη από τον 13ο αιώνα η άλλοτε ένδοξη Βυζαντινή Αυτοκρατορία αντιμετώπιζε πολλά πολιτικά, κοινωνικά και οικονομικά προβλήματα. Ξένες φυλές από το Βορρά και την Ανατολή εισέρχονταν στην περιοχή με ειρηνικό ή βίαιο τρόπο, ενώ Χριστιανοί της Δύσης, κυρίως οι Βένετοι, εκμεταλλεύονταν τα σπουδαιότερα εμπορικά λιμάνια, με αποτέλεσμα τον οικονομικό μαρασμό των εντοπίων. Μέσα σε δύο περίπου αιώνες ολόκληρη η ελληνική Χερσόνησος κατακτήθηκε από τους Οθωμανούς Τούρκους. 2. Ποια ήταν η τύζη των νησιών του Ιονίου; Τα Ιόνια Νησιά, με εξαίρεση τη Λευκάδα για κάποια χρονικά διαστήματα, δεν πέρασαν ποτέ στην οθωμανική εξουσία. Παρέμειναν μάλιστα στην εξουσία των Βενετών έως το 1797, πότε πέρασαν στα χέρια των Γάλλων και στη συνέχεια των Άγγλων. 3. Πώς ονομάστηκε η περίοδος από την κατάκτηση της ελληνικής χερσονήσου ως τον σχηματισμό του νέου ελληνικού κράτους; Η περίοδος από την κατάκτηση της ελληνικής Χερσονήσου, στα μέσα του 15ου αιώνα, έως και τη Μεγάλη Επανάσταση του 1821, που οδήγησε στον σχηματισμό του νέου ελληνικού κράτους, ονομάζεται Τουρκοκρατία. 4. Τι έγινε τους δύο πρώτους αιώνες της Τουρκοκρατίας; Οι δύο πρώτοι αιώνες της Τουρκοκρατίας ήταν οι δυσκολότεροι για τους Χριστιανούς. Οι δημογραφικές, οικονομικές και κοινωνικές μεταβολές ήταν μεγάλες. Αρκετοί κάτοικοι μετακινήθηκαν σε ορεινούς τόπους της Οθωμανικής Αυτοκρατορίας. Επίσης, οι βυζαντινοί άρχοντες εξαφανίστηκαν μετά την Άλωση. Τέλος, αρκετοίλόγιοι έφυγαν στη Δυτική Ευρώπη. Όλα αυτά επηρέασαν αρνητικά τη συνοχή του ελληνικού πληθυσμού. Τελικά όμως οι υπόδουλοι Έλληνες δεν αφομοιώθηκαν, αφού κατάφεραν να διαφυλάξουν, με τη βοήθεια και της Εκκλησίας, τρία βασικά στοιχειά της εθνικής τους ταυτότητας: τη θρησκεία, τη γλώσσα και την παράδοση. 5. Τι έγινε από τα μέσα του 16ου αιώνα; Από τα μέσα του 16ου αιώνα, η θέση των Ελλήνων στις τουρκοκρατούμενες περιοχές σταδιακά βελτιώθηκε. Την εποχή αυτή μειώθηκαν οι στρατιωτικές συγκρούσεις στην ελληνική Χερσόνησο και περιορίστηκε η φορολογία και το παιδομάζωμα. Οι εξελίξεις αυτές στην τουρκοκρατούμενη Ελλάδα, με τη συμβολή των Ελλήνων της Διασποράς, τόνωσαν την παιδεία και οδήγησαν προοδευτικά το έθνος στην εκπαιδευτική αναγέννηση του 18ου αιώνα, που προετοίμασε το έδαφος για την Απελευθέρωση. 6. Τι έγινε στις Βενετοκρατούμενες περιοχές; Αρκετά προβλήματα αντιμετώπιζαν και οι Έλληνες υπήκοοι των Βενετών. Έως τον 16ο αιώνα δεν τους επιτρεπόταν η συμμετοχή στη διοίκηση, ενώ οι Βένετοι κατείχαν τα ανώτερα θρησκευτικά αξιώματα και την περιουσία της Εκκλησίας. Αυτοί οι περιορισμοί, σε συνδυασμό με άλλες διακρίσεις, όπως η βαριά φορολογία και η συμμετοχή σε αγγαρείες για την κατασκευή δημοσίων έργων, προκαλούσαν συχνά διαμαρτυρίες ακόμη και εξεγέρσεις εναντίον των κατακτητών, με γνωστότερη την εξέγερση στη Ζάκυνθο το 1628, γνωστή ως «ρεμπελιό των ποπολάρων». 7. Ποιες αλλαγές παρουσιάστηκαν στη στάση των Βενετών με την πάροδο των χρόνων; Καθώς όμως περνούσαν τα χρόνια και αρκετές βενετικές κτήσεις έπεφταν στα χέρια των Οθωμανών Τούρκων, οι Βένετοι άρχισαν να γίνονται πιο φιλικοί προς τους Έλληνες, που είχαν αναλάβει και το βάρος της άμυνας. Οι διακρίσεις σε βάρος των Ελλήνων στις βενετοκρατούμενες περιοχές περιορίσθηκαν επίσης και λόγω της μακραίωνης συνύπαρξης, που συχνά οδηγούσε σε μικτούς γάμους και σε κοινές οικονομικές δραστηριότητες. eimet08 Επιμέλεια: Χρήστος Χαρμπής http://st-taksh.blogspot.gr σελ.65
  • 66.
    Κεφάλαιο 2 Β΄ ενότητα Οι συνθήκες ζωής των υποδούλων 1. Ποιες πληθυσμιακές μεταβολές έγιναν στην Πόλη μετά την κάκτησή της από τους Τούρκους; Μετά την τουρκική κατάκτηση, οι περισσότερες από τις επιφανείς Βυζαντινές οικογένειες που επέζησαν, μετανάστευσαν κυρίως σε λατινοκρατούμενες περιοχές ή στη Δυτική Ευρώπη. Όσες από αυτές παρέμειναν στην Κωνσταντινούπολη, συγχωνεύθηκαν με Έλληνες που ήρθαν στην Πόλη από την Καραμανία, τον Πόντο ή τα νησιά του Αιγαίου και πλούτισαν ως Βιοτέχνες ή έμποροι. Σχηματίστηκε, έτσι, γύρω από τοΠατριαρχείο μια νέα άρχουσα τάξη, οι Φαναριώτες, που από τον 17ο αιώνα ανέπτυξε σημαντικό εθνικό ρόλο σε τομείς όπως η εκπαίδευση. 2. Ποιες διακρίσεις γίνονταν σε βάρος των χριστιανών; Αν και θεωρητικά οι Οθωμανοί Σουλτάνοι παραχωρούσαν κάποιες ελευθερίες στους «απίστους» υπηκόους τους, στην καθημερινή ζωή οι περιορισμοί ήταν πολλοί, ιδιαίτερα τους πρώτους αιώνες της Τουρκοκρατίας. Οι Χριστιανοί υποχρεώνονταν να κατοικούν σε φτωχικές συνοικίες των πόλεων και υπηρετούσαν στο στρατό μόνο σε Βοηθητικές υπηρεσίες είτε ως ναύτες και οδηγοί. Απαγορεύονταν επίσης οι λιτανείες. Αλλά και οι σοβαρές δικαστικές υποθέσεις που αφορούσαν Χριστιανούς, εξετάζονταν στα μουσουλμανικά ιεροδίκεια και όχι στα εκκλησιαστικά δικαστήρια. 3. Πώς γινόταν η φορολόγηση των χριστιανών; Οι σημαντικότερες διακρίσεις όμως αφορούσαν την κατανομή των φόρων. Η Οθωμανική Αυτοκρατορία ενδιαφερόταν εξαιρετικά για την είσπραξη τους, καθώς στα έσοδα από τη φορολογία στήριζε κατά μεγάλο μέρος τη συντήρηση της. Οι Χριστιανοί επιβαρύνονταν οικονομικά πολύ περισσότερο από τους Μουσουλμάνους, πληρώνοντας πολλούς τακτικούς φόρους, όπως τον κεφαλικό φόρο, τον φόρο εστίας για τις κατοικίες τους, φόρο για τη χρήση της γης (έγγειος) αλλά και για την αγροτική παραγωγή (δεκάτη). 4. Ποιες άλλες αυθαιρεσίες γίνονταν σε βάρος των χριστιανών; Εκτός από τους τακτικούς, υπήρχαν και έκτακτοι φόροι, καθώς και αγγαρείες. Οι διακρίσεις σε βάρος των Χριστιανών ήταν πιο έντονες σε απομακρυσμένες περιοχές. Οι τοπικοί διοικητές, εκμεταλλευόμενοι το γεγονός ότι η κεντρική εξουσία δεν μπορούσε εύκολα να τους ελέγξει, δεν δίσταζαν να τους κακομεταχειρίζονται, ιδίως σε περιόδους ταραχών αλλά και για την ενίσχυση του προσωπικού τους ταμείου. 5. Ποια ήταν τα πιο σκληρά μέτρα που αντιμετώπιζαν οι χριστιανοί; Τα πιο σκληρά όμως μέτρα που αντιμετώπισαν οι Χριστιανοί, ιδιαίτερα τους πρώτους αιώνες της κατάκτησης, ήταν οι σφαγές και οι αιχμαλωσίες, οι εξισλαμισμοί, το παιδομάζωμα καθώς και η εγκατάσταση τουρκικών και άλλων φύλων σε εύφορα εδάφη, με συνέπεια την αναγκαστική μετακίνηση ελληνικών πληθυσμών στο εξωτερικό ή σε απομονωμένα και ορεινά μέρη στο εσωτερικό. 6. Τι έγινε με την ιδιοκτησία της γης; Οι περισσότεροι υπόδουλοι κατείχαν εκτάσεις γης κυρίως σε άγονες περιοχές ή σε νησιά. Αντίθετα, τα πιο εύφορα κτήματα ανήκαν στο Σουλτάνο και τους Οθωμανούς. eimet08 Επιμέλεια: Χρήστος Χαρμπής http://st-taksh.blogspot.gr σελ.66
  • 67.
    Κεφάλαιο 3 Β΄ ενότητα Η θρησκευτική και η πολιτική οργάνωση των Ελλήνων 1. Ποια ήταν η στάση των Τούρκων απέναντι στον πατριάρχη; Οι Οθωμανοί Τούρκοι κατήργησαν τη βυζαντινή διοίκηση στις χώρες που κατέκτησαν. Πιο ανεκτικοί φάνηκαν απέναντι στο Οικουμενικό Πατριαρχείο της Κωνσταντινούπολης, διευρύνοντας τις αρμοδιότητές του. Ο Πατριάρχης, εκτός από θρησκευτικός ηγέτης, ήταν και εκπρόσωπος του ρουμ μιλέτ, των υπόδουλων δηλαδή Ορθόδοξων Χριστιανών και λογοδοτούσε στο Σουλτάνο για τις πράξεις τους. 2. Ποιος ήταν ο ρόλος της εκκλησίας στα χρόνια της τουρκοκρατίας; Κατά την περίοδο της Τουρκοκρατίας η Εκκλησία δεν είχε μόνο θρησκευτικά καθήκοντα αλλά αποφάσιζε και για ποικίλες υποθέσεις, όπως π.χ. για τις κληρονομιές. Παράλληλα, ο Πατριάρχης είχε τη δυνατότητα να ιδρύει σχολεία και να επιβάλλει ειδική φορολογία στους πιστούς. 3. Ποια ήταν η στάση του κλήρου απέναντι στους Τούρκους; Κάποιοι ορθόδοξοι κληρικοί αντιμετώπιζαν την τουρκική κατάκτηση ως θεραπεία σταλμένη από τον Θεό για τα σφάλματα των Βυζαντινών αυτοκρατόρων και του βυζαντινού λαού. Ωστόσο, υπήρχαν ιεράρχες, όπως ο Πατριάρχης Νεόφυτος ο Β', που είχαν επηρεασθεί από τις ευρωπαϊκές ιδέες και αμφισβητούσαν την υποταγή στους Τούρκους. Άλλα μέλη της Ορθόδοξης Εκκλησίας, πάλι, σαν το μοναχό Μάξιμο τον Γραικό που αναγνωρίσθηκε ως άγιος στη Μόσχα, καλλιέργησαν περαιτέρω σχέσεις με τη Ρωσία. Έτσι, οι Ρώσοι ταυτίστηκαν στη σκέψη των υπόδουλων Χριστιανών, με το «ξανθό γένος», που θα ελευθέρωνε την Κωνσταντινούπολη από τους απίστους. 4. Τι ήταν οι Φαναριώτες και ποιος ήταν ο ρόλος τους στην περίοδο της τουρκοκρατίας; Οι Φαναριώτες αποτελούσαν μια άλλη ηγετική ομάδα των Ελλήνων κατά την περίοδο της Τουρκοκρατίας. Επρόκειτο για ορισμένες πλούσιες οικογένειες που ζούσαν στη συνοικία Φανάρι της Κωνσταντινούπολης, την έδρα του Οικουμενικού Πατριαρχείου. Είχαν αξιόλογη μόρφωση, γνώριζαν ξένες γλώσσες και ανελάμβαναν υψηλά αξιώματα στην οθωμανική διοίκηση. Οι Φαναριώτες, όπως και οι ιεράρχες, ήταν απόλυτα εξαρτημένοι από τις διαθέσεις του κάθε Σουλτάνου. 5. Ποια άλλη κοινωνική ομάδα διέθετε μεγάλη εξουσία την περίοδο της τουρκοκρατίας; Μεγάλη εξουσία είχαν οι κοινοτικοί άρχοντες της εποχής, γνωστοί ως επίτροποι, δημογέροντες, προεστοί και κοτζαμπάσηδες. Οι Τούρκοι αναγκάστηκαν να σεβαστούν την τοπική ηγεσία κάθε χωριού, επειδή οι ίδιοι δεν είχαν κατάλληλα οργανωμένο διοικητικό μηχανισμό για να υπολογίζουν τον φόρο που αναλογούσε σε κάθε κάτοικο. Με το πέρασμα του χρόνου, αρκετοί κοινοτικοί άρχοντες απέκτησαν μεγάλη περιουσία και πολιτική δύναμη. eimet08 Επιμέλεια: Χρήστος Χαρμπής http://st-taksh.blogspot.gr σελ.67
  • 68.
    Κεφάλαιο 4 Β΄ ενότητα Οι Κλέφτες και οι Αρματολοί 1. Ποιοι έκαναν εξεγέρσεις κατά των Τούρκων; Καθώς οι Οθωμανοί Τούρκοι επέκτειναν την κυριαρχία τους στη Βαλκανική Χερσόνησο, είχαν να αντιμετωπίσουν διάφορες εξεγέρσεις από ομάδες Ελλήνων που συνέχιζαν την παράδοση των πολεμιστών του Βυζαντίου. 2. Τι γνωρίζετε για την αντίσταση στη Μάνη; Ένας από τους σημαντικότερους πολεμιστές ήταν ο Κορκόδειλος Κλαδάς, ο οποίος είχε για ορμητήριο του τη Μάνη, μια από τις λίγες περιοχές που δεν υποτάχθηκαν στους Τούρκους. Οι Μανιάτες ήταν ορεσίβιοι, που «αγρυπνούν νύχτα μέρα για να διατηρήσουν την ελευθερία τους και δεν εννοούν να αναγνωρίσουν κανένα ηγεμόνα επί της γης», όπως τους περιέγραψε Γάλλος περιηγητής. 3. Ποιος ήταν ο ρόλος των κλεφτών; Άλλοι ένοπλοι Έλληνες κατά την περίοδο της Τουρκοκρατίας ήταν οι Κλέφτες. Οι κλέφτες ζούσαν στην ύπαιθρο και είχαν τα λημέρια τους σε δύσβατα μέρη. Ήταν οργανωμένοι σε μικρές ομάδες, η καθεμιά με τον καπετάνιο της και το δικό της μπαϊράκι. Βασικό χαρακτηριστικό των κλεφτών ήταν η εχθρότητα που ένιωθαν για τους Τούρκους και γενικά για την εξουσία, στοιχείο που τους έκανε αγαπητούς στο λαό. Έτσι, οι κλέφτες έγιναν σύμβολο της αντίστασης των υπόδουλων Ελλήνων ενάντια στους κατακτητές. 4. Τι ήταν οι Αρματολοί και ποιος ήταν ο ρόλος τους στην περίοδο της τουρκοκρατίας; Προκειμένου να αντιμετωπίσουν τους κλέφτες και να αποκαταστήσουν την ασφάλεια στην ύπαιθρο, οι Οθωμανοί Τούρκοι χρησιμοποιούσαν ένοπλους Έλληνες, πρώην κλέφτες, τους αρματολούς. Ωστόσο οιΑρματολοί, παρόλο που ήταν βοηθητικά στρατεύματα των Τούρκων, συνεργάζονταν συνήθως με τους κλέφτες. Παρατηρήθηκε έτσι το φαινόμενο, ιδιαίτερα κατά τους τελευταίους αιώνες της Τουρκοκρατίας, πολλοί αρματολοί να εγκαταλείπουν τις θέσεις τους και να προσχωρούν στις τάξεις των κλεφτών. 5. Ποιοι ήταν οι πιο φημισμένοι Αρματολοί; Φημισμένοι αρματολοί ήταν ο Γεώργιος Ανδρίτζος, ο Κατσαντώνης στη Ρούμελη, ο Νικοτσάρας στον Όλυμπο, οι Σουλιώτες Γεώργιος Μπότσαρης και Λάμπρος Τζαβέλλας και πολλοί άλλοι. Αρκετοί από τους γιους, τους συγγενείς ή τα πρωτοπαλίκαρα τους συμμετείχαν αργότερα στη Μεγάλη Επανάσταση του 1821. eimet08 Επιμέλεια: Χρήστος Χαρμπής http://st-taksh.blogspot.gr σελ.68
  • 69.
    Κεφάλαιο 5 Β΄ ενότητα Η οικονομική ζωή 1. Ποια ήταν η βάση της οικονομίας της Οθωμανικής Αυτοκρατορίας; Η οικονομία της Οθωμανικής Αυτοκρατορίας στηριζόταν κυρίως στις αγροτικές καλλιέργειες (σιτάρι, κριθάρι, βαμβάκι, καπνός, λάδι, σταφίδα). Οι κτηνοτρόφοι, είτε ζούσαν μόνιμα σε ένα μέρος είτε ήταννομάδες, πρόσφεραν μαζί με τους αγρότες πρώτες ύλες στη βιοτεχνία για την παραγωγή νημάτων και υφαντών. Η παραγωγή ικανοποιούσε κυρίως τις ανάγκες του σπιτιού. Όσα προϊόντα τους περίσσευαν, οι γεωργοί τα πουλούσαν στις τοπικές αγορές ή τα διέθεταν στο εξωτερικό, με αντάλλαγμα κυρίως βιομηχανικά εργαλεία και άλλα προϊόντα. 2. Πού οφείλονταν η οικονομική παρακμή της Οθωμανικής Αυτοκρατορίας; Οι γεωγραφικές ανακαλύψεις, η χρήση νέων εμπορικών δρόμων και ο τερματισμός των κατακτήσεων συνέβαλαν στην παρακμή της Οθωμανικής Αυτοκρατορίας. Οι έμποροι από τη Δυτική Ευρώπη δεν ήταν υποχρεωμένοι πλέον να περνούν από το έδαφος της για να πάνε στην Ινδία ή την Κίνα. Έτσι τα κρατικά της έσοδα από τους φόρους του εμπορίου σταδιακά μειώθηκαν και το νόμισμά της υποτιμήθηκε. 3. Ποιος επωφελήθηκε από το γεγονός αυτό; Προοδευτικά η οικονομική δραστηριότητα πέρασε κυρίως στα χέρια των υπηκόων του Σουλτάνου και ιδιαίτερα των Ελλήνων. 4. Ποιοι άλλοι παράγοντες ωφέλησαν τους Έλληνες; Δύο ακόμη παράγοντες ωφέλησαν τους Έλληνες: οι συνθήκες του Κάρλοβιτς (1699) και του Κιουτσούκ Καϊναρτζή (1774), που υπέγραψε η ηττημένη Οθωμανική Αυτοκρατορία, επέτρεψαν, κυρίως στην Αυστρία και τη Ρωσία, να επηρεάζουν τις εξελίξεις στο εσωτερικό της. Επίσης, οι Διομολογήσεις, δηλαδή οι εμπορικές συμφωνίες που έκαναν οι δυτικές χώρες με τους Οθωμανούς Σουλτάνους, ευνόησαν το ελληνικό εμπόριο και τη ναυσιπλοΐα, αφού έδωσαν τη δυνατότητα στους Έλληνες να υψώνουν στα καράβια τους τις σημαίες των χωρών αυτών. 5. Ποια ήταν τα αποτελέσματα των συνθηκών αυτών για τους Έλληνες; Οι Έλληνες έμποροι επέκτειναν τη δραστηριότητά τους στην Κεντρική και τη Δυτική Ευρώπη καθώς και τη Ρωσία, ίδρυσαν στα μέρη αυτά σημαντικές παροικίες και ανέλαβαν μεγάλο μέρος του εισαγωγικού και εξαγωγικού εμπορίου της Δύσης με την Ανατολή, κερδίζοντας πολλά πλούτη. Μαζί όμως με τα αγαθά έφταναν στην Οθωμανική Αυτοκρατορία και οι επαναστατικές ιδέες, που επικρατούσαν την εποχή αυτή στην Ευρώπη. Παράλληλα σχηματίστηκε ένας αξιόλογος ελληνικός εμπορικός στόλος, με πληρώματα έμπειρα στη ναυσιπλοΐα αλλά και στην αντιμετώπιση των πειρατών. Μεγάλες πόλεις, όπως η Κοζάνη, η Μοσχόπολη, τα Ιωάννινα, η Θεσσαλονίκη αλλά και νησιά, όπως η Χίος, η Ύδρα και τα Ψαρά, έγιναν σημαντικά κέντρα του ελληνικού εμπορίου. 6. Ποιες ήταν οι συνέπειες της οικονομικής ανάπτυξης των Ελλήνων; Η οικονομική άνθηση, ο πολυάριθμος εμπορικός στόλος και οι εύπορες παροικίες του εξωτερικού βελτίωσαν τη θέση των Ελλήνων, παραμονές της Μεγάλης Επανάστασης του 1821. Από αυτούς λοιπόν τους πλούσιους εμπόρους αναδείχθηκαν εκείνοι που πρωταγωνίστησαν αργότερα στον ξεσηκωμό του γένους μαζί με τους υπόλοιπους παραδοσιακούς ηγέτες του υπόδουλου ελληνισμού. eimet08 Επιμέλεια: Χρήστος Χαρμπής http://st-taksh.blogspot.gr σελ.69
  • 70.
    Κεφάλαιο 6 Β΄ ενότητα Οι Έλληνες των παροικιών και των Παραδουνάβιων Ηγεμονιών 1. Τι γνωρίζετε για την πρώτη περίοδο της μετανάστευσης των Ελλήνων; Ημετανάστευση των Ελλήνων στο εξωτερικό, κατά τη διάρκεια της Τουρκοκρατίας, πραγματοποιήθηκε κυρίως σε δυο χρονικές περιόδους. Την πρώτη περίοδο, από τον 15ο έως τον 16ο αιώνα, η μετανάστευση ήταν συνήθως υποχρεωτική. Κατά τη διάρκειά της λόγιοι, ευγενείς και στρατιώτες, άλλοτε μόνοι και άλλοτε συνοδευόμενοι από τις οικογένειές τους, εγκατέλειψαν την υπόδουλη Ελλάδα εξαιτίας των πολεμικών συγκρούσεων και της επέκτασης των Τούρκων. 2. Ποιοι ήταν οι χώροι προέλευσης και οι χώροι εγκατάστασης των μεταναστών; Οι περισσότεροι πρόσφυγες κατάγονταν από νησιά (Κύπρος, Κρήτη) ή παραθαλάσσια μέρη (Μονεμβασιά, Μάνη, Ναύπλιο, Ήπειρος). Εγκαταστάθηκαν κυρίως σε παραθαλάσσιες πόλεις της Ιταλίας καθώς και σε άλλα μέρη της Ευρώπης, ιδρύοντας παροικίες. 3. Ποια ήταν τα κύρια επαγγέλματα που εξασκούσαν οι μετανάστες; Οι Έλληνες μετανάστες εξασκούσαν συνήθως το επάγγελμα του στρατιώτη, του ναυτικού, του τεχνίτη, του εμπόρου, του αντιγραφέα χειρογράφων καθώς και του δασκάλου σε ανώτατα εκπαιδευτικά ιδρύματα. 4. Τι γνωρίζετε για τη δεύτερη περίοδο της μετανάστευσης Η δεύτερη περίοδος της μετανάστευσης, κατά τον 17ο και 18ο αιώνα, ήταν εθελοντική και ειρηνική, με οικονομικά κυρίως αίτια. Τα εμπορεύματα μεταφέρονταν από την Οθωμανική Αυτοκρατορία προς την Κεντρική Ευρώπη και τη Ρωσία διά ξηράς από συγκεκριμένους δρόμους, με καραβάνια που διέσχιζαν τα Βαλκάνια. Σε αρκετές πόλεις κατά μήκος αυτών των δρόμων εγκαταστάθηκαν Έλληνες. Την ίδια περίοδο, Έλληνες από τον Πόντο μετακινήθηκαν στον Καύκασο και την Κριμαία ιδρύοντας παροικίες, με γνωστότερη την Οδησσό. Οι Έλληνες από τη Μακεδονία εγκαταστάθηκαν κυρίως στη Βιέννη, την Τεργέστη, τη Σερβία και την Ουγγαρία, όπου ασχολήθηκαν με το εμπόριο βαμβακερών, δερμάτων, χαλιών και άλλων ειδών. Αρκετοί Έλληνες, τέλος, δραστηριοποιήθηκαν στις Παραδουνάβιες Ηγεμονίες, τη Βλαχία και τη Μολδαβία, περιοχές που κυβερνούσαν Φαναριώτες ηγεμόνες. 5. Ποια ήταν η οργάνωση των μεταναστών στις παροικίες; Πρώτο μέλημα των Ελλήνων μεταναστών στη νέα τους πατρίδα ήταν η ανέγερση ναού, για να τελούν τα θρησκευτικά τους καθήκοντα και η σύνταξη καταστατικού, για τον τρόπο οργάνωσης της κοινότητάς τους. Στο καταστατικό αναγράφονταν οι σκοποί, η οργάνωση, τα δικαιώματα και οι υποχρεώσεις των μελών της κοινότητας. Με την πάροδο του χρόνου χτίστηκαν μοναστήρια αλλά και κοινοτικά σχολεία, όπως το Φλαγγινιανό Φροντιστήριο στη Βενετία. Οι Έλληνες μετανάστες φρόνησαν για την έκδοση ελληνικών βιβλίων, περιοδικών και εφημερίδων. 6. Πως ονομάστηκαν οι μετανάστες και ποιος ήταν ο ρόλος τους απέναντι στη σκλαβωμένη πατρίδα; Αυτοί οι μετανάστες που ονομάστηκαν Έλληνες της Διασποράς, με τα πλούτη που απέκτησαν, ενίσχυαν οικονομικά τα ελληνικά σχολεία στις τουρκοκρατούμενες περιοχές και κατασκεύαζαν πολυτελείς κατοικίες στους τόπους καταγωγής τους (π.χ. στη Σιάτιστα, την Καστοριά, την Κοζάνη, τα Ζαγοροχώρια και τα χωριά του Πηλίου), τα λεγόμενα αρχοντικά. Από τους Έλληνες των παροικιών ξεκίνησε κατά τον 18ο αιώνα η πνευματική αναγέννηση του υπόδουλου έθνους. eimet08 Επιμέλεια: Χρήστος Χαρμπής http://st-taksh.blogspot.gr σελ.70
  • 71.
    Κεφάλαιο 7 Β΄ ενότητα Οι δάσκαλοι του Γένους 1. Ποιοι ονομάστηκαν δάσκαλοι του Γένους; Δάσκαλοι του Γένους ονομάζονται οι μορφωμένοι Έλληνες που κατά την περίοδο της Τουρκοκρατίας συνέβαλαν, με την προφορική διδασκαλία τους ή με τα κείμενα τους, στην καλλιέργεια της ελληνικής παιδείας. Αρκετοί από τους δασκάλους του Γένους ήταν ή έγιναν αργότερα κληρικοί. Κάποιοι σπούδασαν στην τουρκοκρατούμενη Ελλάδα ενώ άλλοι στα Ιόνια Νησιά, στις Παραδουνάβιες Ηγεμονίες και στο εξωτερικό. 2. Ποιο ήταν το κύριο μέλημα και η προσφορά τους; Οι δάσκαλοι του Γένους δίδασκαν σε ναούς, σε σχολεία και σε δημόσιους χώρους. Έγραφαν επίσης επιστολές και άρθρα σε περιοδικά και εφημερίδες είτε ολόκληρα βιβλία, που τα τύπωναν με την υποστήριξη της Εκκλησίας, των Φαναριωτών ηγεμόνων ή φιλομαθών εμπόρων. Με το έργο τους βοήθησαν στην ίδρυση σχολείων και την τόνωση της ελληνικής παιδείας, στην ιδεολογική προετοιμασία της Μεγάλης Επανάστασηςτου 1821 και στην ανάπτυξη του Φιλελληνισμού στη Δύση. 3. Τι ήταν ο Νεοελληνικός Διαφωτισμός; Φωτισμένοι πνευματικοί άνδρες έδρασαν σε όλη τη διάρκεια της Τουρκοκρατίας. Ιδιαίτερα σημαντική ήταν, όπως αναφέρθηκε, η δράση των Ελλήνων λογίων στη Δύση. Κατά τον 18ο και στις αρχές του 19ου αιώνα οι ιδέες και τα κηρύγματα του Ευρωπαϊκού Διαφωτισμού κυριαρχούσαν στη Δυτική Ευρώπη. Οι νέες φιλελεύθερες και ριζοσπαστικές ιδέες έφτασαν γρήγορα και στην ελληνική Χερσόνησο, δυναμώνοντας την επαναστατική διάθεση των υπόδουλων Ελλήνων. Η πνευματική αυτή δραστηριότητα ονομάστηκε Νεοελληνικός Διαφωτισμός. 4. Ποιοι ήταν οι κύριοι εκπρόσωποι του Νεοελληνικού Διαφωτισμού; Ο Νεοελληνικός Διαφωτισμός ανέδειξε μεγάλες μορφές στα ελληνικά γράμματα, όπως ο Φαναριώτης νομικός Δημήτριος Καταρτζής και ο Κερκυραίος κληρικός Ευγένιος Βούλγαρης, που δίδαξε στην Αθωνιάδα Σχολή φιλοσοφία και μαθηματικά. Επίσης δύο ξαδέλφια από τη Θεσσαλία, ο Γρηγόριος Κωνσταντάς και ο Δανιήλ Φιλιππίδης, συνέγραψαν στη δημοτική γλώσσα τη «Γεωγραφία Νεωτερική», ενώ ο Κοζανίτης γιατρός Μιχαήλ Περδικάρης σατίρισε σε πεζά και σε στίχους πρόσωπα και γεγονότα της εποχής του. 5. Τι ήταν η Ελληνική Νομαρχία; Το 1806 εκδόθηκε στην Ιταλία η «Ελληνική Νομαρχία», ένα έργο άγνωστου συγγραφέα αφιερωμένο στον Ρήγα Βελεστινλή. Στο σημαντικό αυτό κείμενο του Νεοελληνικού Διαφωτισμού καταδικάζεται η «αναρχία» και η «μοναρχία» και προβάλλεται ως ιδανική διοίκηση η «νομαρχία», δηλαδή το πολίτευμα όπου εξουσιάζουν οι νόμοι. 6. Ποιος ήταν ο Κοσμάς Ο Αιτωλός; Ξεχωριστή προσωπικότητα αποτελεί ο άγιος Κοσμάς ο Αιτωλός, ο οποίος συνδύαζε το πνεύμα του Νεοελληνικού Διαφωτισμού και της παιδείας με τη θρησκευτική πίστη και την εθνική συνείδηση. Ήταν λόγιος μοναχός του Αγίου Όρους, ιεροκήρυκας και μάρτυρας. Το κήρυγμά του έβρισκε μεγάλη απήχηση στον υπόδουλο ελληνικό πληθυσμό της υπαίθρου, όπου περιόδευσε για να αναχαιτίσει τους εξισλαμισμούς, ιδρύοντας σχολεία. eimet08 Επιμέλεια: Χρήστος Χαρμπής http://st-taksh.blogspot.gr σελ.71
  • 72.
    Κεφάλαιο 8 Β΄ ενότητα Ο Ρήγας Βελεστινλής και ο Αδαμάντιος Κοραής 1. Ποιο ήταν το βιογραφικό του Ρήγα; Ο Ρήγας, γιος εμπόρου, γεννήθηκε το 1757 στο Βελεστίνο της Θεσσαλίας, το οποίο στην αρχαιότητα ονομαζόταν Φερές. Νεαρός ακόμη, μπήκε στην υπηρεσία των Φαναριωτών στην Κωνσταντινούπολη και έπειτα μετανάστευσε στο Βουκουρέστι, ως γραμματέας του ηγεμόνα της Βλαχίας. Εκεί επηρεάστηκε απο τις ευρωπαϊκές ριζοσπαστικές ιδέες, κάνοντας κύριο στόχο του την απελευθέρωση της πατρίδας. Το 1790 ταξίδεψε στη Βιέννη. 2. Ποιο ήταν το συγγραφικό και εκδοτικό έργο του Ρήγα; Το συγγραφικό και εκδοτικό του έργο είναι μεγάλο. Ο Ρήγας εξέδωσε γαλλικά μυθιστορήματα μεταφρασμένα στη δημοτική γλώσσα, ένα βιβλίο Φυσικής για σχολική χρήση, έναν τεράστιο χάρτη της Ελλάδας, την περίφημη «Χάρτα της Ελλάδος», μια εικόνα του Μεγάλου Αλεξάνδρου και πολλά άλλα. ΟΘούριος ήταν ένας φλογερός επαναστατικός ύμνος που συγκίνησε πολλούς νέους της εποχής και έγινε σύμβολο του αγώνα για την ελευθερία. 3. Ποιο ήταν το όραμα του Ρήγα; Ο Ρήγας Βελεστινλής οραματιζόταν τη συνεργασία των υπόδουλων βαλκανικών λαών για την απελευθέρωσή τους από τον οθωμανικό ζυγό και τη δημιουργία ενός ευνομούμενου δημοκρατικού κράτους, όπου θα κυριαρχούσε η ελληνική γλώσσα και παιδεία. 4. Ποιο ήταν το τέλος του Ρήγα; Ωστόσο, η δράση του έγινε γρήγορα γνωστή και προκάλεσε την αντίδραση της Αυστρίας, η οποία τότε διατηρούσε καλές σχέσεις με την Οθωμανική Αυτοκρατορία. Οι Αυστριακοί συνέλαβαν τον Ρήγα και συνεργάτες του το Δεκέμβριο του 1797. Λίγους μήνες αργότερα τον παρέδωσαν μαζί με επτά συντρόφους του στους Τούρκους, οι οποίοι τους θανάτωσαν και τους έριξαν στον ποταμό Δούναβη. 5. Ποιο ήταν το βιογραφικό του Αδαμάντιου Κοραή; Ο Αδαμάντιος Κοραής καταγόταν από πλούσια οικογένεια της Χίου, αλλά γεννήθηκε στη Σμύρνη το 1748. Φοίτησε αρχικά στην Ευαγγελική Σχολή της Σμύρνης, ενώ αργότερα εγκαταστάθηκε μόνιμα στη Γαλλία, όπου σπούδασε ιατρική. Εκεί γνώρισε από κοντά τη Γαλλική Επανάσταση και τις φιλελεύθερες ιδέες της. Ασχολήθηκε κυρίως με την αναγραφή, την επιμέλεια και τη δημοσίευση των χειρογράφων αρχαίων Ελλήνων συγγραφέων. 6. Ποιες ήταν οι απόψεις του Κοραή για την παιδεία και τη γλώσσα; Ο Κοραής πίστευε ότι για να ελευθερωθεί το ελληνικό έθνος, έπρεπε πρώτα να φωτιστεί διαμέσου της παιδείας, με κατάλληλη όμως μέθοδο διδασκαλίας και χρησιμοποιώντας μια νέα ελληνική γλώσσα, με απλούστερη μορφή από την αρχαία. Η απήχησή του ήταν μεγάλη και πολλοί δάσκαλοι ζητούσαν τις συμβουλές του. Γνωστές είναι επίσης οι θεωρίες του για τη γλώσσα. Ο Κοραής πρότεινε τη χρήση μιας γλώσσας που θα είχε ως βάση της την καθομιλουμένη γλώσσα της εποχής, από την οποία όμως θα είχαν αφαιρεθεί οι ξένες λέξεις καθώς και οι διάφορες ιδιωματικές εκφράσεις. 7. Ποια ήταν η προσφορά του Κοραή; Ο Κοραής συνέβαλε σημαντικά στην ιδεολογική προετοιμασία της Μεγάλης Επανάστασης, π.χ. με το ποίημά του «Σάλπισμα Πολεμιστήριον» αλλά και κατά τη διάρκειά της, γράφοντας συμβουλευτικές επιστολές. Συντέλεσε επίσης στην ίδρυση του Ελληνικού Κομιτάτου στο Παρίσι. 8. Ποια ήταν η βασική φιλοσοφική αρχή του Κοραή; Ο Αδαμάντιος Κοραής, όπως οι περισσότεροι από τους εκπροσώπους του Νεοελληνικού Διαφωτισμού, είχε ως βασική φιλοσοφική αρχή την πίστη στη λογική του ανθρώπου. eimet08 Επιμέλεια: Χρήστος Χαρμπής http://st-taksh.blogspot.gr σελ.72
  • 73.
    Κεφάλαιο 9 Β΄ ενότητα Τα κυριότερα επαναστατικά κινήματα 1. Ποια ήταν το κυριότερα επαναστατικά κινήματα τον 16ο αιώνα; Τον 16ο αιώνα πολλοί Κερκυραίοι, Κρητικοί και ιδίως οι πάντα ανυπότακτοι Μανιάτες πολέμησαν τους Οθωμανούς Τούρκους είτε στο πλευρό των Βενετών και των Ισπανών είτε μόνοι τους, με επιχειρήσεις στην ξηρά και στη θάλασσα. Μάλιστα, στη σημαντική Ναυμαχία της Ναυπάκτου το 1571, κατά την οποία ο τουρκικός στόλος καταστράφηκε ολοκληρωτικά από τους Δυτικούς, συμμετείχαν και ελληνικά πλοία. 2. Τι γνωρίζετε για το κίνημα του μητροπολίτη Λαρίσης Διονύσιου; Το 1600 ο Μητροπολίτης Λαρίσης Διονύσιος, γνωστός ως Φιλόσοφος, ξεσήκωσε τους υπόδουλους Έλληνες στην ορεινή Θεσσαλία. Το κίνημά του όμως απέτυχε και ο ίδιος διέφυγε στη Ρώμη και έπειτα στην Ισπανία ζητώντας ενισχύσεις. Εννέα χρόνια αργότερα επέστρεψε στην τουρκοκρατούμενη Ελλάδα, παροτρύνοντας τους κατοίκους της Θεσπρωτίας να εξεγερθούν. 3. Ποιος ήταν ο ρόλος της Βενετίας στα κινήματα; Οι Βενετοί, από την πλευρά τους, πολιόρκησαν την Αθήνα και το 1699 κατέλαβαν σχεδόν όλη την Πελοπόννησο, η οποία όμως πέρασε ξανά στην κατοχή των Οθωμανών ύστερα από δύο δεκαετίες. Έκτοτε η Βενετία σταμάτησε να παίζει ενεργό ρόλο στις ελληνικές υποθέσεις. 4. Τι ήταν τα Ορλωφικά; Τον 18ο αιώνα ανέλαβε δράση η Ρωσία. Οι ελπίδες των υποδούλων αναπτερώθηκαν, καθώς από την εποχή της Άλωσης κυκλοφορούσαν διαδόσεις για το «ξανθό γένος» του Βορρά που θα απελευθέρωνε τους Έλληνες. Το 1770 οι αδελφοί Ορλώφ έφτασαν στη Μάνη με Ρώσους και Έλληνες στρατιώτες, ενώ παράλληλα ο πρόκριτος Ιωάννης Βλάχος ή Δασκαλογιάννης ξεσήκωσε τα Σφακιά της Κρήτης. Στη Ναυμαχία του Τσεσμέ (στη σημερινή Τουρκία, απέναντι από τη Χίο) ο ολιγάριθμος ορθόδοξος στόλος νίκησε τους Οθωμανούς, αλλά οι συγκρούσεις τερματίστηκαν με τη Συνθήκη του Κιουτσούκ Καϊναρτζή (1774). Η συνθήκη αυτή είναι πολύ σημαντική, αφού η Ρωσία θεώρησε πως απέκτησε το δικαίωμα να παρεμβαίνει στα εσωτερικά της Οθωμανικής Αυτοκρατορίας, προκειμένου να προστατεύσει τους Χριστιανούς που ζούσαν εκεί. Επίσης, οι Έλληνες έμποροι απέκτησαν το δικαίωμα να υψώνουν στα καράβια τους τη ρωσική σημαία. 5. Τι ήταν το κίνημα του Λάμπρου Κατσώνη; Με παρόμοιο τρόπο έδρασε λίγα χρόνια αργότερα και ο Λάμπρος Κατσώνης, που καταγόταν από τη Λιβαδειά και ήταν αξιωματικός του ρωσικού στρατού. Με ορμητήριο το νησί Κέα, έπλεε στο Αιγαίο με έναν μικρό στόλο, κάνοντας επιθέσεις εναντίον τουρκικών πλοίων. Στις ναυτικές επιχειρήσεις ήταν μαζί του και ο κλέφτης Γεώργιος Ανδρίτσος, ο πατέρας του ήρωα της Επανάστασης Οδυσσέα Ανδρούτσου. 6. Πού στράφηκαν οι Έλληνες στα τέλη του 18ου αιώνα και τι συνειδητοποίησαν; Στα τέλη του 18ου αιώνα, λόγω της διάδοσης των φιλελεύθερων ιδεών της Γαλλικής Επανάστασης, οι ελπίδες των Ελλήνων για απελευθέρωση στράφηκαν και προς τους Γάλλους του Ναπολέοντα. Τον επαναστατικό αναβρασμό ενίσχυσαν και διάφορα δημοσιεύματα Ελλήνων Διαφωτιστών υπέρ των Γάλλων. Ωστόσο, πολύ σύντομα και αυτές οι ελπίδες διαψεύστηκαν. Γύρω στο 1800, οι υπόδουλοι Έλληνες είχαν πια συνειδητοποιήσει πως κάθε πρωτοβουλία για απελευθέρωση έπρεπε να προέλθει από τους ίδιους. eimet08 Επιμέλεια: Χρήστος Χαρμπής http://st-taksh.blogspot.gr σελ.73
  • 74.
    Κεφάλαιο 10 Β΄ ενότητα Οι αγώνες των Σουλιωτών 1. Πώς ήταν η ζωή των Σουλιωτών; ι κάτοικοι του Σουλίου ήταν βοσκοί που μιλούσαν ελληνικά και αρβανίτικα. Συχνά έκαναν επιδρομές στα χωριά του κάμπου, για να εξασφαλίσουν ζώα και γεννήματα. 2. Γιατί εξελίχτηκαν σε ικανότατους πολεμιστές; Οι δύσκολες συνθήκες ζωής των Σουλιωτών, η πολύχρονη ενασχόλησή τους με τα όπλα, η άριστη γνώση του εδάφους, το ομαδικό πνεύμα και κυρίως η εξαιρετική τους τόλμη, τους είχαν μεταμορφώσει σε ικανότατους πολεμιστές. Οι Σουλιώτες συνήθιζαν να πολεμούν οχυρωμένοι πίσω από φυσικά εμπόδια. Δρούσαν ακόμη και τη νύχτα, ενώ δεν δίσταζαν να επιτεθούν με τα σπαθιά τους σε μεγαλύτερο αριθμό αντιπάλων, αιφνιδιάζοντάς τους. 3. Ποιες ήταν οι διαθέσεις των Τούρκων απέναντι στους Σουλιώτες; Οι Τούρκοι προσπαθούσαν να υποτάξουν τους Σουλιώτες. Το Σούλι, απέχοντας 20 χιλιόμετρα από τη θάλασσα, μπορούσε να προμηθεύεται χρήματα, όπλα και πυρομαχικά, τα οποία έστελναν από τα Επτάνησα οι ξένες δυνάμεις κάθε φορά που συγκρούονταν με την Υψηλή Πύλη. 4. Πότε και γιατί έγινε η πρώτη εγκατάλειψη του Σουλίου;; Περισσότερο αποτελεσματικός, ο Αλή Πασάς των Ιωαννίνων πέτυχε με διάφορους τρόπους να διώξει από το Σούλι ορισμένους από τους αρχηγούς, αδυνατίζοντας έτσι την άμυνά του. Τελικά οι Τούρκοι κατάφεραν να κατακτήσουν το Σούλι το 1803, μετά από πολλές προσπάθειες. Κατέλαβαν τον οχυρό λόφο Κούγκι, όμως ο καλόγερος Σαμουήλ, που τον κρατούσε ελεύθερο ως την τελευταία στιγμή, ανατινάχθηκε μαζί τους. Τότε κάποιοι Σουλιώτες έσπασαν τον κλοιό των Τούρκων με έφοδο και πέρασαν τελικά στην Κέρκυρα, ενώ οι υπόλοιποι συνθηκολόγησαν, αφού τους υποσχέθηκαν ότι θα εγκαταλείψουν με ασφάλεια το Σούλι και θα καταφύγουν με τα όπλα τους στην Πρέβεζα. 5. Τι έκαναν στα Επτάνησα οι Σουλιώτες και πότε επέστρεψαν στο Σούλι; Οι Σουλιώτες στα Επτάνησα υπηρέτησαν αρχικά τους Ρώσους και στη συνέχεια τους Γάλλους κυρίαρχους. Το 1820, λίγο πριν τη Μεγάλη Επανάσταση, κλήθηκαν από τους Τούρκους να κατοικήσουν μόνιμα στο Σούλι, με τον όρο να βοηθήσουν το Σουλτάνο να εξοντώσει τον Αλή Πασά, με τον οποίο βρισκόταν σε πόλεμο. Οι Σουλιώτες συμφώνησαν και επέστρεψαν στα χωριά τους, αποκρούοντας με επιτυχία τους στρατιώτες του Αλή Πασά που έρχονταν εναντίον τους. 6. Πότε εγκατέλειψαν οριστικά οι Σουλιώτες το Σούλι και τι απέγιναν; Το 1822, όμως, έμειναν αβοήθητοι. Καταπονημένοι, εγκατέλειψαν οριστικά το Σούλι και διασκορπίσθηκαν στη Στερεά Ελλάδα και την Πελοπόννησο. Κατά τη διάρκεια της Μεγάλης Επανάστασης του 1821 πολλοί Σουλιώτες ανέπτυξαν σημαντική δράση ως οπλαρχηγοί, έχοντας τη φήμη των γενναίων και αδάμαστων πολεμιστών του έθνους. eimet08 Επιμέλεια: Χρήστος Χαρμπής http://st-taksh.blogspot.gr σελ.74
  • 75.
    ΕΝΟΤΗΤΑ Β: ΟΙΕΛΛΗΝΕΣ ΚΑΤΩ ΑΠΟ ΤΗΝ ΟΘΩΜΑΝΙΚΗ ΚΑΙ ΤΗ ΛΑΤΙΝΙΚΗ ΚΥΡΙΑΡΧΙΑ (1453-1821) ΚΕΦΑΛΑΙΟ 1 : Η ΚΑΤΑΚΤΗΣΗ ΤΗΣ ΕΛΛΗΝΙΚΗΣ ΧΕΡΣΟΝΗΣΟΥ ΕΡΩΤΗΣΕΙΣ –ΑΠΑΝΤΗΣΕΙΣ 1) Πώς οδηγήθηκε στην παρακμή η Βυζαντινή αυτοκρατορία; Η άλλοτε ένδοξη Βυζαντινή αυτοκρατορία ,ήδη από τον 13ο αιώνα αντιμετώπιζε πολλά πολιτικά, κοινωνικά και οικονομικά προβλήματα. Ξένες φυλές από το Βορρά και την Ανατολή έμπαιναν στα εδάφη της με ειρηνικό ή βίαιο τρόπο, ενώ οι Χριστιανοί της Δύσης, κυρίως οι Βενετοί εκμεταλλεύονταν τα σπουδαιότερα εμπορικά λιμάνια προκαλώντας τον οικονομικό μαρασμό των ντόπιων κατοίκων. Έτσι η άλωση της Κωνσταντινούπολης από τους Οθωμανούς Τούρκους το 1453,ήταν το φυσικό αποτέλεσμα αυτής της παρακμής. 2) Πότε κατακτήθηκε η ελληνική χερσόνησος από τους Τούρκους; Η ελληνική χερσόνησος κατακτήθηκε από τους Οθωμανούς Τούρκους μέσα σε δυο αιώνες( 15ος - 17ος ). 3)Όλες οι περιοχές της ελληνικής χερσονήσου ήταν στην κυριαρχία των Τούρκων; Όχι. Πολλές περιοχές στον ελλαδικό χώρο ήδη από το 1204 ήταν στην κυριαρχία των Λατίνων και κυρίως των Βενετών, των Γενουατών και των Φράγκων όπου και παρέμειναν σε αυτούς για μικρότερο ή μεγαλύτερο χρονικό διάστημα και μετά το 1453 .Μόνο τα Ιόνια Νησιά, εκτός τη Λευκάδα, δεν πέρασαν ποτέ στην οθωμανική εξουσία. Από την εξουσία των Βενετών αρχικά ,πέρασαν στην εξουσία των Γάλλων και στη συνέχεια των Άγγλων. 4) Τι ονομάζουμε Τουρκοκρατία; Τουρκοκρατία ονομάζουμε το χρονικό διάστημα από την κατάκτηση της ελληνικής Χερσονήσου, στα μέσα του 15ου αιώνα, μέχρι και τη Μεγάλη Επανάσταση του 1821, που οδήγησε στο σχηματισμό του νέου ελληνικού κράτους. 5)Πώς ήταν για τους Χριστιανούς οι δυο πρώτοι αιώνες της Τουρκοκρατίας; Ήταν εξαιρετικά δύσκολοι. Στο χρονικό αυτό διάστημα παρατηρούνται μεγάλες δημογραφικές, οικονομικές και κοινωνικές αλλαγές .Αρκετοί κάτοικοι μετακινήθηκαν σε ορεινούς τόπους της Οθωμανικής Αυτοκρατορίας, βυζαντινοί άρχοντες εξαφανίστηκαν μετά την Άλωση, αρκετοί λόγιοι ( μορφωμένοι και πνευματικοί άνθρωποι) έφυγαν στη Δυτική Ευρώπη. Τελικά όμως οι υπόδουλοι Έλληνες κατάφεραν να μη χάσουν την εθνική τους ταυτότητα ,αφού πέτυχαν με τη Άννα Πουλή1 Επιμέλεια: Χρήστος Χαρμπής http://st-taksh.blogspot.gr σελ.75
  • 76.
    βοήθεια της Εκκλησίαςνα διαφυλάξουν τρία βασικά στοιχεία αυτής της εθνικής ταυτότητας: τη θρησκεία , τη γλώσσα και την παράδοση. 6)Πότε αρχίζει να καλυτερεύει η ζωή των υπόδουλων Ελλήνων στις τουρκοκρατούμενες περιοχές; Από τα μέσα του 16ου αιώνα άρχισε να καλυτερεύει ,όταν μειώθηκαν οι στρατιωτικές συγκρούσεις στην ελληνική Χερσόνησο και περιορίστηκε η φορολογία και το παιδομάζωμα. Αυτά σε συνδυασμό με τη στήριξη των Ελλήνων της Διασποράς, δηλ. των Ελλήνων που ζούσαν έξω από τα σύνορα της Οθωμανικής Αυτοκρατορίας ,είχαν ως αποτέλεσμα να τονωθεί η παιδεία και οδήγησαν σιγά σιγά το έθνος στην εκπαιδευτική αναγέννηση του 18ου αιώνα. Αυτή η εκπαιδευτική αναγέννηση προετοίμασε το έδαφος για την Απελευθέρωση. 7)Ποια προβλήματα αντιμετώπιζαν οι Έλληνες που ήταν στην κυριαρχία των Βενετών; Αντιμετώπιζαν αρκετά προβλήματα. Μέχρι το 16ο αιώνα δεν τους επιτρεπόταν να συμμετέχουν στη διοίκηση, ενώ οι Βενετοί κατείχαν τα ανώτερα θρησκευτικά αξιώματα και την περιουσία της Εκκλησίας. Επίσης πλήρωναν βαριά φορολογία και αναγκάζονταν να συμμετέχουν σε αγγαρείες για την κατασκευή δημοσίων έργων. Όλα αυτά είχαν ως αποτέλεσμα να διαμαρτύρονται πολύ συχνά και να ξεσηκώνονται εναντίον των κατακτητών. Η γνωστότερη εξέγερση είναι το <<ρεμπελιό των ποπολάρων>>, στη Ζάκυνθο το 1628. 8)Ποια εξέλιξη έχουμε με τα χρόνια στις συνθήκες ζωής των Ελλήνων στις βενετοκρατούμενες περιοχές; Καθώς περνούσαν τα χρόνια και πολλές περιοχές που κατείχαν οι Βενετοί έπεφταν στα χέρια των Τούρκων, οι Βενετοί άρχισαν να γίνονται πιο φιλικοί προς τους Έλληνες οι οποίοι είχαν τώρα αναλάβει και το βάρος της άμυνας. Μετά από πολλούς αιώνες συνύπαρξης ,μειώθηκαν οι διακρίσεις σε βάρος των Ελλήνων, αφού γίνονταν μικτοί γάμοι, και συμμετείχαν σε κοινές οικονομικές δραστηριότητες. Οι κατακτήσεις των Οθωμανών και των Λατίνων το 16ο αιώνα Άννα Πουλή2 Επιμέλεια: Χρήστος Χαρμπής http://st-taksh.blogspot.gr σελ.76
  • 77.
    ΕΝΟΤΗΤΑ Β- ΚΕΦΑΛΑΙΟ2 ΟΙ ΣΥΝΘΗΚΕΣ ΖΩΗΣ ΤΩΝ ΥΠΟΔΟΥΛΩΝ ΕΡΩΤΗΣΕΙΣ-ΑΠΑΝΤΗΣΕΙΣ 1)Τι γνωρίζεις για τους Φαναριώτες; Οι Φαναριώτες ήταν μια ανώτερη οικονομικά και κοινωνικά τάξη που σχηματίστηκε γύρω από το Πατριαρχείο ,στη συνοικία Φανάρι της Κωνσταντινούπολης, από ονομαστές βυζαντινές οικογένειες .Αυτές επέζησαν μετά την Άλωση και ενώθηκαν με Έλληνες που ήρθαν στην Πόλη από την Καραμανία, τον Πόντο ή τα νησιά του Αιγαίου και πλούτισαν ως βιοτέχνες ή έμποροι. Η προσφορά των Φαναριωτών στο σκλαβωμένο έθνος θα είναι από το 17ο αιώνα πολύ σημαντική, ιδιαίτερα στην εκπαίδευση. 2)Στους πρώτους αιώνες της Τουρκοκρατίας, ποιοι περιορισμοί δυσκολεύουν την καθημερινή ζωή των Χριστιανών υποδούλων; Οι Χριστιανοί υποχρεώνονταν να κατοικούν σε φτωχικές συνοικίες των πόλεων και υπηρετούσαν στο στρατό μόνο σε βοηθητικές υπηρεσίες είτε ως ναύτες και οδηγοί. Απαγορεύονταν επίσης οι λιτανείες. Οι σοβαρές δικαστικές υποθέσεις που αφορούσαν Χριστιανούς, εξετάζονταν στα μουσουλμανικά δικαστήρια(ιεροδικεία) και όχι στα εκκλησιαστικά δικαστήρια. 3)Πού γίνονταν πολύ σημαντικές διακρίσεις σε βάρος των Χριστιανών; Πολύ σημαντικές διακρίσεις γίνονταν στην κατανομή των φόρων. Η Οθωμανική Αυτοκρατορία ενδιαφερόταν εξαιρετικά για την είσπραξη τους, αφού σε αυτά τα έσοδα από τη φορολογία στήριζε κατά ένα μεγάλο μέρος τη συντήρησή της. Οι Χριστιανοί όμως πλήρωναν περισσότερους φόρους από τους Μουσουλμάνους. Πλήρωναν πολλούς τακτικούς φόρους, όπως τον κεφαλικό φόρο, το φόρο της εστίας για τις κατοικίες τους, τον έγγειο φόρο για τη χρήση της γης και τη δεκάτη για την αγροτική παραγωγή. Εκτός από τους τακτικούς φόρους, υπήρχαν και έκτακτοι φόροι. Οι Χριστιανοί επίσης υποχρεώνονταν να κάνουν διάφορες αγγαρείες και όσοι ζούσαν σε απομακρυσμένες περιοχές ,γίνονταν θύματα κακομεταχείρησης και εκμετάλλευσης από τους τοπικούς διοικητές ,τους οποίους η κεντρική εξουσία δεν μπορούσε εύκολα να τους ελέγξει. 4) Ποια ήταν τα πιο σκληρά μέτρα που αντιμετώπισαν οι Χριστιανοί, ιδιαίτερα τους πρώτες αιώνες της κατάκτησης; Ήταν οι σφαγές και οι αιχμαλωσίες, οι εξισλαμισμοί, το παιδομάζωμα και η εγκατάσταση τουρκικών και άλλων φυλών σε εύφορα εδάφη με αποτέλεσμα οι ελληνικοί πληθυσμοί να αναγκάζονται να μετακινούνται στο εξωτερικό ή σε απομονωμένα και ορεινά μέρη στο εσωτερικό. 5) Ποιοι κατείχαν τις εύφορες εκτάσεις γης και ποιοι τις άγονες; Οι περισσότεροι υπόδουλοι κατείχαν εκτάσεις γης σε άγονες περιοχές ή σε νησιά, ενώ τα εύφορα κτήματα ανήκαν στο Σουλτάνο και τους Οθωμανούς Άννα Πουλή1 Επιμέλεια: Χρήστος Χαρμπής http://st-taksh.blogspot.gr σελ.77
  • 78.
    ΕΝΟΤΗΤΑ Β- ΚΕΦΑΛΑΙΟ3 Η ΘΡΗΣΚΕΥΤΙΚΗ ΚΑΙ Η ΠΟΛΙΤΙΚΗ ΟΡΓΑΝΩΣΗ ΤΩΝ ΕΛΛΗΝΩΝ ΕΡΩΤΗΣΕΙΣ- ΑΠΑΝΤΗΣΕΙΣ 1)Ποιοι αποτελούσαν τη θρησκευτική και πολιτική ηγεσία των υπόδουλων Ελλήνων στη διάρκεια της οθωμανικής κυριαρχίας; Την αποτελούσαν ο Πατριάρχης, οι Φαναριώτες και οι προεστοί ή δημογέροντες 2) Ποια ήταν η θέση και ο ρόλος του Οικουμενικού Πατριαρχείου κατά την Τουρκοκρατία; Κατά την Τουρκοκρατία διευρύνθηκαν ( έγιναν περισσότερες) οι αρμοδιότητες του Οικουμενικού Πατριαρχείου της Κωνσταντινούπολης. Ο Πατριάρχης, εκτός από θρησκευτικός ηγέτης , ήταν και εκπρόσωπος του ρουμ μιλέτ, δηλ. των υπόδουλων Ορθόδοξων Χριστιανών και λογοδοτούσε ( ήταν δηλ. υπεύθυνος) στο Σουλτάνο για τις πράξεις τους. Έτσι την περίοδο της Τουρκοκρατίας η Εκκλησία δεν είχε μόνο θρησκευτικά καθήκοντα, αλλά αποφάσιζε και για ποικίλες υποθέσεις , όπως π.χ. για τις κληρονομιές. Παράλληλα ο Πατριάρχης είχε τη δυνατότητα να ιδρύει σχολεία και να επιβάλλει ειδική φορολογία στους πιστούς. 3) Πώς αντιμετώπιζε ο ορθόδοξος κλήρος την τουρκική κατάκτηση; Για κάποιους ορθόδοξους κληρικούς η τουρκική κατάκτηση ήταν θεραπεία σταλμένη από το Θεό για τα σφάλματα των Βυζαντινών αυτοκρατόρων και του βυζαντινού λαού. Άλλοι πάλι ιεράρχες όπως ο Πατριάρχης Νεόφυτος ο Β΄ που είχαν επηρεαστεί από τις ευρωπαϊκές ιδέες, αμφισβητούσαν την υποταγή στους Τούρκους. Τέλος, υπήρχαν μέλη της Ορθόδοξης Εκκλησίας , όπως ο μοναχός Μάξιμος ο Γραικός που αναγνωρίστηκε ως άγιος στη Μόσχα. που καλλιέργησαν περαιτέρω σχέσεις με τη Ρωσία .Έτσι, οι Ρώσοι ταυτίστηκαν στη σκέψη των υπόδουλων Χριστιανών, με το <<ξανθό γένος>>, που θα ελευθέρωνε την Κωνσταντινούπολη από τους απίστους. 4) Ποιος ήταν ο ρόλος των Φαναριωτών στην πολιτική ηγεσία; Οι Φαναριώτες που αποτελούσαν μια άλλη ηγετική ομάδα των Ελλήνων κατά την περίοδο της Τουρκοκρατίας, είχαν αξιόλογη μόρφωση, γνώριζαν ξένες γλώσσες και ανελάμβαναν υψηλά αξιώματα στην οθωμανική διοίκηση. Βέβαια, όπως και οι ιεράρχες, ήταν απόλυτα εξαρτημένοι από τις διαθέσεις του κάθε Σουλτάνου. 5) Ποιος ο ρόλος των κοινοτικών αρχόντων στην πολιτική ηγεσία; Οι κοινοτικοί άρχοντες της εποχής , γνωστοί ως επίτροποι, δημογέροντες, προεστοί και κοτσαμπάσηδες, είχαν μεγάλη εξουσία. Αποτελούσαν την τοπική ηγεσία κάθε χωριού που οι Τούρκοι αναγκάστηκαν να σεβαστούν, επειδή οι ίδιοι δεν είχαν κατάλληλα οργανωμένο διοικητικό μηχανισμό, ώστε να ξέρουν πόσος φόρος αναλογούσε σε κάθε κάτοικο. Οι Προεστοί ή Δημογέροντες σε άλλα μέρη προέρχονταν από τις ισχυρές οικογένειες, ενώ σε άλλα εκλέγονταν από τη συνέλευση των Χριστιανών. Συγκέντρωναν τους φόρους από τους ομόθρησκους τους και τους παρέδιδαν στην τουρκική εξουσία Με το πέρασμα του χρόνου, αρκετοί κοινοτικοί άρχοντες απέκτησαν μεγάλη περιουσία και πολιτική δύναμη. Άννα Πουλή Επιμέλεια: Χρήστος Χαρμπής http://st-taksh.blogspot.gr σελ.78
  • 79.
    ΚΕΦΑΛΑΙΟ 4ο – ΕΝΟΤΗΤΑΒ: ΟΙ ΚΛΕΦΤΕΣ ΚΑΙ ΟΙ ΑΡΜΑΤΟΛΟΙ ΕΡΩΤΗΣΕΙΣ- ΑΠΑΝΤΗΣΕΙΣ 1) Ποιες περιοχές έμειναν γνωστές για το αδούλωτο πνεύμα τους στη διάρκεια της οθωμανικής κυριαρχίας; Οι περιοχές αυτές ήταν το Σούλι στην Ήπειρο, η Μάνη στην Πελοπόννησο και τα Σφακιά στην Κρήτη, που κατάφεραν μάλιστα να διατηρήσουν σχετική ελευθερία. 2) Υπήρξαν Έλληνες που αντιστάθηκαν στην Οθωμανική κυριαρχία; Πολλοί ήταν οι Έλληνες που αντιστάθηκαν στην Οθωμανική κυριαρχία, συνεχίζοντας την παράδοση των πολεμιστών του Βυζαντίου. Ένας από τους σημαντικότερους πολεμιστές ήταν ο Κορκόδειλος Κλαδάς που είχε για ορμητήριό του τη Μάνη ,μια από τις περιοχές που δεν υποτάχτηκαν στους Τούρκους. 3) Τι ήταν οι Κλέφτες; Ήταν ένοπλοι Έλληνες κατά την περίοδο της Τουρκοκρατίας. Ζούσαν στην ύπαιθρο και είχαν τα λημέρια τους ( τα κρησφύγετά τους) σε μέρη δύσβατα (δυσκολοπάτητα). Ήταν οργανωμένοι σε μικρές ομάδες, η καθεμιά με τον καπετάνιο της και το δικό της μπαϊράκι (σημαία, λάβαρο). Βασικό τους χαρακτηριστικό ήταν η εχθρότητα που ένιωθαν για τους Τούρκους και γενικά για την εξουσία. Οι Αρχές τούς αντιμετώπιζαν σαν κακούργους, όμως ο λαός θαύμαζε το ελεύθερο φρόνημά τους κι έκαμε τραγούδι τη ζωή και τα κατορθώματά τους. Έτσι οι κλέφτες έγιναν λαϊκοί ήρωες. 4) Πώς ήταν η ζωή των κλεφτών και με ποιο τρόπο πολεμούσαν; Η ζωή των κλεφτών ήταν γεμάτη κακουχίες και στερήσεις. Στα σαράντα τους χρόνια οι περισσότεροι ήταν γέροι, λίγοι όμως πέθαναν από φυσικό θάνατο. Συχνά αναγκάζονταν να αλλάξουν λημέρι για μεγαλύτερη ασφάλεια και πάντα έβαζαν γύρω τους καραούλια, δηλαδή σκοπιές. Στις συγκρούσεις τους με τους Τούρκους έστηναν ενέδρες ή έκαναν αιφνιδιασμούς. Αυτός ο τρόπος πολέμου ονομάστηκε κλεφτοπόλεμος. Άννα Πουλή1 Επιμέλεια: Χρήστος Χαρμπής http://st-taksh.blogspot.gr σελ.79
  • 80.
    5) Τι ήτανοι Αρματολοί; Προκειμένου να αντιμετωπίσουν τους κλέφτες και να αποκαταστήσουν την ασφάλεια στην ύπαιθρο, οι Οθωμανοί Τούρκοι χρησιμοποιούσαν ένοπλους Έλληνες, τους αρματολούς. Αυτοί αναλάμβαναν τη φύλαξη μιας περιοχής, που λεγόταν αρματολίκι. Τις περισσότερες φορές το οθωμανικό κράτος έδινε τα αρματολίκια σε ξακουστούς κλέφτες, που δεν μπορούσε να τους υποτάξει αλλιώς. Ωστόσο οι Αρματολοί, παρόλο που ήταν βοηθητικά στρατεύματα των Τούρκων, συνεργάζονταν συνήθως με τους κλέφτες. Έτσι παρατηρήθηκε το φαινόμενο ιδιαίτερα κατά τους τελευταίους αιώνες της Τουρκοκρατίας, πολλοί αρματολοί να εγκαταλείπουν τις θέσεις τους και να ενώνονται με τους κλέφτες, με αποτέλεσμα οι λέξεις κλέφτης και αρματολός να σημαίνουν το ίδιο πράγμα. 6) Ποιους φημισμένους αρματολούς γνωρίζεις; Φημισμένοι αρματολοί ήταν ο Γεώργιος Ανδρίτζος, ο Κατσαντώνης στη Ρούμελη, ο Νικοτσάρας στον Όλυμπο, οι Σουλιώτες Γεώργιος Μπότσαρης και Λάμπρος Τζαβέλλας και πολλοί άλλοι. Αρκετοί από τους γιους, τους συγγενείς ή τα πρωτοπαλίκαρά τους συμμετείχαν αργότερα στη Μεγάλη Επανάσταση του 1821. 7) Τι προσέφεραν οι κλέφτες και οι αρματολοί στους σκλαβωμένους ραγιάδες; Οι κλέφτες και οι αρματολοί με τη δράση και τα κατορθώματά τους έδιναν κουράγιο στους σκλαβωμένους Έλληνες και συντηρούσαν την ελπίδα για την ανάσταση του Γένους. Κι όταν ήρθε η ώρα του μεγάλου ξεσηκωμού, αυτοί αποτέλεσαν τον πυρήνα των αγωνιστών της ελευθερίας. Άννα Πουλή2 Επιμέλεια: Χρήστος Χαρμπής http://st-taksh.blogspot.gr σελ.80
  • 81.
    ΕΝΟΤΗΤΑ Β –ΚΕΦΑΛΑΙΟ5 : Η ΟΙΚΟΝΟΜΙΚΗ ΖΩΗ ΕΡΩΤΗΣΕΙΣ- ΑΠΑΝΤΗΣΕΙΣ 1) Πού βασιζόταν η οικονομία της Οθωμανικής αυτοκρατορίας πριν την παρακμή της; Βασιζόταν κυρίως στη γεωργία και την κτηνοτροφία. Καλλιεργούνταν σιτάρι, κριθάρι, βαμβάκι, καπνός, λάδι, σταφίδα. Η παραγωγή ικανοποιούσε κυρίως τις ανάγκες του σπιτιού. Όσα προϊόντα τους περίσσευαν, οι γεωργοί τα πουλούσαν στις τοπικές αγορές ή τα διέθεταν στο εξωτερικό, με αντάλλαγμα κυρίως βιομηχανικά εργαλεία και άλλα προϊόντα. Οι κτηνοτρόφοι, είτε ζούσαν μόνιμα σε ένα μέρος είτε ήταν νομάδες ( μετακινούνταν διαρκώς για την επιβίωση τους) πρόσφεραν μαζί με τους αγρότες πρώτες ύλες στη βιοτεχνία για την παραγωγή νημάτων και υφαντών. 2)Ποιοι λόγοι οδήγησαν στη σταδιακή παρακμή της Οθωμανικής Αυτοκρατορίας; Οι γεωγραφικές ανακαλύψεις, η χρήση νέων εμπορικών δρόμων και ο τερματισμός των κατακτήσεων συνέβαλαν στην παρακμή της Οθωμανικής Αυτοκρατορίας. Οι έμποροι από τη Δυτική Ευρώπη δεν ήταν υποχρεωμένοι πλέον να περνούν από το έδαφός της για να πάνε στη Ινδία ή την Κίνα. Έτσι τα έσοδα του οθωμανικού κράτους από τους φόρους του εμπορίου σταδιακά μειώθηκαν και το νόμισμα του υποτιμήθηκε( μειώθηκε η αξία του). 3)Σε τι ωφέλησε τους Έλληνες η παρακμή της Οθωμανικής Αυτοκρατορίας; Όσο παρήκμαζε το οθωμανικό κράτος η οικονομική δραστηριότητα (κυρίως η εμπορική) άρχισε να περνά προοδευτικά στα χέρια των Ελλήνων που πλούτισαν από αυτήν. 4) Ποιοι άλλοι παράγοντες ωφέλησαν τους Έλληνες; Οι συνθήκες του Κάρλοβιτς (1699) και του Κιουτσούκ Καϊναρτζή (1774),που υπέγραψε η ηττημένη Οθωμανική Αυτοκρατορία με την Αυστρία και τη Ρωσία αντίστοιχα ,έδωσαν το δικαίωμα στις χώρες αυτές να επηρεάζουν τις εξελίξεις στο εσωτερικό της. Άννα Πουλή1 Επιμέλεια: Χρήστος Χαρμπής http://st-taksh.blogspot.gr σελ.81
  • 82.
    5) Πώς ευνοήθηκετο ελληνικό εμπόριο και η ναυσιπλοϊα; Οι Διομολογήσεις, δηλαδή οι εμπορικές συμφωνίες που έκαναν οι δυτικές χώρες με τους Οθωμανούς Σουλτάνους, ευνόησαν το ελληνικό εμπόριο και τη ναυσιπλοϊα , αφού έδωσαν τη δυνατότητα στους Έλληνες να υψώνουν στα καράβια τους τις σημαίες των χωρών αυτών. 6) Ποιες άλλες εξελίξεις βελτίωσαν τη θέση των Ελλήνων παραμονές της Μεγάλης Επανάστασης του 1821; Η μεγάλη οικονομική άνθηση, ο πολυάριθμος εμπορικός στόλος και οι εύπορες παροικίες του εξωτερικού. Ας τα δούμε αναλυτικά: α) Οι Έλληνες έμποροι ευνοημένοι από τις Διομολογήσεις, επέκτειναν τις δραστηριότητες τους στην Κεντρική και Δυτική Ευρώπη καθώς και τη Ρωσία και ίδρυσαν στα μέρη αυτά σημαντικές παροικίες(ελληνικές κοινότητες σε ξένο κράτος). Έτσι ανέλαβαν μεγάλο μέρος του εισαγωγικού και εξαγωγικού εμπορίου της Δύσης με την Ανατολή, κερδίζοντας πολλά πλούτη. Μαζί όμως με τα αγαθά έφταναν στην Οθωμανική Αυτοκρατορία και οι επαναστατικές ιδέες που επικρατούσαν στη Ευρώπη την εποχή εκείνη. β) Παράλληλα σχηματίστηκε ένας αξιόλογος εμπορικός στόλος, με πληρώματα έμπειρα στη ναυσιπλοϊα και στην αντιμετώπιση των πειρατών. γ) Μεγάλες πόλεις, όπως η Κοζάνη, η Μοσχόπολη, τα Ιωάννινα, η Θεσσαλονίκη αλλά και νησιά, όπως η Χίος, η Ύδρα και τα Ψαρά, έγιναν σημαντικά κέντρα του ελληνικού εμπορίου Από τους πλούσιους αυτούς εμπόρους αναδείχθηκαν εκείνοι που πρωταγωνίστησαν αργότερα στο μεγάλο ξεσηκωμό του Γένους μαζί με τους υπόλοιπους παραδοσιακούς ηγέτες του υπόδουλου ελληνισμού. Άννα Πουλή2 Επιμέλεια: Χρήστος Χαρμπής http://st-taksh.blogspot.gr σελ.82
  • 83.
    ΕΝΟΤΗΤΑ Β-ΚΕΦΑΛΑΙΟ 6:ΟΙ ΕΛΛΗΝΕΣ ΤΩΝ ΠΑΡΟΙΚΙΩΝ ΚΑΙ ΤΩΝ ΠΑΡΑΔΟΥΝΑΒΙΩΝ ΗΓΕΜΟΝΙΩΝ ΕΡΩΤΗΣΕΙΣ- ΑΠΑΝΤΗΣΕΙΣ 1)Σε πόσες χρονικές περιόδους πραγματοποιήθηκε μετανάστευση Ελλήνων στο εξωτερικό, κατά τη διάρκεια της Τουρκοκρατίας; Σε δύο χρονικές περιόδους. Από τον 15ο –τον 16ο αιώνα η πρώτη μετανάστευση και κατά τον 17ο και 18ο αιώνα η δεύτερη. 2) Τι γνωρίζεις για την πρώτη μετανάστευση; Η μετανάστευση που πραγματοποιήθηκε από τον 15ο -16ο αιώνα ήταν συνήθως υποχρεωτική. Λόγιοι, ευγενείς και στρατιώτες άλλες φορές μόνοι τους και άλλες φορές συνοδευόμενοι από τις οικογένειες τους, εγκατέλειψαν την υπόδουλη Ελλάδα λόγω των πολεμικών συγκρούσεων και της επέκτασης των Τούρκων. 3)Από πού κατάγονταν οι περισσότεροι Έλληνες που αναγκάστηκαν να μεταναστεύσουν και πού πήγαν να εγκατασταθούν; Οι περισσότεροι κατάγονταν από νησιά (Κύπρος, Κρήτη) ή παραθαλάσσια μέρη (Μονεμβασιά ,Μάνη, Ναύπλιο, Ήπειρος) και εγκαταστάθηκαν κυρίως σε παραθαλάσσιες πόλεις της Ιταλίας καθώς και σε άλλα μέρη της Ευρώπης, ιδρύοντας παροικίες. 4) Ποια επαγγέλματα εξασκούσαν συνήθως οι Έλληνες μετανάστες; Εξασκούσαν συνήθως το επάγγελμα του στρατιώτη, του ναυτικού, του εμπόρου, του αντιγραφέα χειρογράφων καθώς και του δασκάλου σε ανώτατα εκπαιδευτικά ιδρύματα. 5) Τι γνωρίζεις για τη δεύτερη μετανάστευση; Η δεύτερη μετανάστευση που πραγματοποιήθηκε κατά τον 17ο και 18ο αιώνα, ήταν εθελοντική και ειρηνική και τα αίτιά της ήταν οικονομικά. Αυτή τη φορά οι Έλληνες μετανάστες εγκαταστάθηκαν σε αρκετές πόλεις κατά μήκος εμπορικών δρόμων όπου τα εμπορεύματα μεταφέρονταν από την Οθωμανική Αυτοκρατορία προς την Κεντρική Ευρώπη και τη Ρωσία με καραβάνια( ομάδες ανθρώπων, συνήθως εμπόρων που ταξίδευαν μαζί για λόγους ασφάλειας) που διέσχιζαν τα Βαλκάνια. Άννα Πουλή1 Επιμέλεια: Χρήστος Χαρμπής http://st-taksh.blogspot.gr σελ.83
  • 84.
    6) Κατά τηνπερίοδο της δεύτερης μετανάστευσης ανάφερε τις περιοχές από τις οποίες μετακινήθηκαν Έλληνες και τις περιοχές στις οποίες εγκαταστάθηκαν και δραστηριοποιήθηκαν. Έλληνες από τον Πόντο μετακινήθηκαν στον Καύκασο και την Κριμαία ιδρύοντας παροικίες με γνωστότερη την Οδησσό. Έλληνες από τη Μακεδονία εγκαταστάθηκαν κυρίως στη Βιέννη, την Τεργέστη, τη Σερβία και την Ουγγαρία, όπου ασχολήθηκαν με το εμπόριο βαμβακερών, δερμάτων, χαλιών και άλλων ειδών. Τέλος, αρκετοί Έλληνες δραστηριοποιήθηκαν στις Παραδουνάβιες Ηγεμονίες, τη Βλαχία και τη Μολδαβία, περιοχές που κυβερνούσαν Φαναριώτες ηγεμόνες. 7)Ποιο ήταν το πρώτο μέλημα των Ελλήνων μεταναστών στη νέα τους πατρίδα; Ήταν η ανέγερση ναού για να τελούν τα θρησκευτικά τους καθήκοντα και η σύνταξη καταστατικού, για τον τρόπο οργάνωσης της κοινότητάς τους. 8) Τι αναγράφονταν στο καταστατικό; Αναγράφονταν οι σκοποί, η οργάνωση, τα δικαιώματα και οι υποχρεώσεις των μελών της κοινότητας. 9)Για τι άλλο φρόντιζαν οι Έλληνες μετανάστες στη νέα τους πατρίδα; Φρόντιζαν να χτιστούν μοναστήρια αλλά και κοινοτικά σχολεία. Τότε ιδρύθηκε το Φλαγγινιανό Φροντιστήριο στη Βενετία. Φρόντιζαν επίσης για την έκδοση ελληνικών βιβλίων, περιοδικών και εφημερίδων. 10) Πώς ονομάστηκαν οι Έλληνες μετανάστες που ίδρυσαν παροικίες στο εξωτερικό και ποια η προσφορά τους στο υπόδουλο έθνος; Ονομάστηκαν Έλληνες της Διασποράς. Αυτοί με τα πλούτη που απέκτησαν, ενίσχυαν οικονομικά τα ελληνικά σχολεία στις τουρκοκρατούμενες περιοχές και κατασκεύαζαν πολυτελείς κατοικίες στους τόπους καταγωγής τους(π.χ. στη Σιάτιστα, την Καστοριά, την Κοζάνη, τα Ζαγοροχώρια και τα χωριά του Πηλίου), τα λεγόμενα αρχοντικά. Από τους Έλληνες των παροικιών ξεκίνησε κατά τον 18ο αιώνα η πνευματική αναγέννηση του υπόδουλου έθνους. Άννα Πουλή2 Επιμέλεια: Χρήστος Χαρμπής http://st-taksh.blogspot.gr σελ.84
  • 85.
    ΕΝΟΤΗΤΑ Β- ΚΕΦΑΛΑΙΟ7ο - ΟΙ ΔΑΣΚΑΛΟΙ ΤΟΥ ΓΕΝΟΥΣ ΕΡΩΤΗΣΕΙΣ- ΑΠΑΝΤΗΣΕΙΣ 1) Ποιους ονομάζουμε δάσκαλους του Γένους; Ονομάζουμε δάσκαλους του Γένους τους μορφωμένους Έλληνες που κατά την περίοδο της Τουρκοκρατίας βοήθησαν είτε με την προφορική διδασκαλία τους είτε με τα κείμενα τους να καλλιεργηθεί η ελληνική παιδεία. Αρκετοί από αυτούς ήταν κληρικοί ή έγιναν αργότερα. 2) Πού σπούδασαν οι δάσκαλοι του Γένους, πού δίδασκαν και τι πέτυχαν με το έργο τους; Κάποιοι σπούδασαν στην τουρκοκρατούμενη Ελλάδα, ενώ άλλοι στα Ιόνια Νησιά, στις Παραδουνάβιες Ηγεμονίες και στο εξωτερικό. Δίδασκαν σε ναούς, σε σχολεία και σε δημόσιους χώρους. Έγραφαν επίσης επιστολές και άρθρα σε περιοδικά και εφημερίδες αλλά και ολόκληρα βιβλία, που τα τύπωναν με την υποστήριξη της Εκκλησίας, των Φαναριωτών ηγεμόνων ή φιλομαθών εμπόρων. Με το έργο τους βοήθησαν να ιδρυθούν σχολεία και να τονωθεί η ελληνική παιδεία, να αναπτυχθεί ο Φιλελληνισμός στη Δύση και προετοίμασαν ιδεολογικά τη Μεγάλη Επανάσταση του 1821. 3) Τι ονομάζουμε Φιλελληνισμό; Το κίνημα των ξένων που αγαπούσαν τους Έλληνες και τον ελληνικό πολιτισμό. 4) Τι εννοούμε όταν λέμε ότι οι δάσκαλοι του Γένους προετοίμασαν ιδεολογικά τη Μεγάλη Επανάσταση ; Εννοούμε πως διέδωσαν και καλλιέργησαν τις επαναστατικές ιδέες στο λαό. 5) Τι ονομάζουμε Νεοελληνικό Διαφωτισμό; Νεοελληνικό Διαφωτισμό αποκαλούμε την πνευματική δραστηριότητα κατά την οποία οι νέες φιλελεύθερες και ριζοσπαστικές ιδέες του Ευρωπαϊκού Διαφωτισμού, που κυριαρχούσαν στη Δυτική Ευρώπη το 18ο αιώνα και στις αρχές του Άννα Πουλή1 Επιμέλεια: Χρήστος Χαρμπής http://st-taksh.blogspot.gr σελ.85
  • 86.
    19ου αιώνα, έφτασαν καιστην ελληνική Χερσόνησο και δυνάμωσαν την επαναστατική διάθεση των υπόδουλων Ελλήνων. 6) Ανάφερε μερικούς εκπροσώπους του Νεοελληνικού Διαφωτισμού. Δημήτριος Καταρτζής( Φαναριώτης νομικός), Ευγένιος Βούλγαρης (από την Κέρκυρα, δίδαξε στην Αθωνιάδα Σχολή φιλοσοφία και μαθηματικά),Γρηγόριος Κωνσταντάς και Δανιήλ Φιλιππίδης(ξαδέρφια από τη Θεσσαλία που έγραψαν στη δημοτική γλώσσα τη «Γεωγραφία Νεωτερική»), Μιχαήλ Περδικάρης( Κοζανίτης γιατρός που σατίρισε σε πεζά και σε στίχους πρόσωπα και γεγονότα της εποχής του). 7) Τι γνωρίζεις για την «Ελληνική Νομαρχία»; Η «Ελληνική Νομαρχία» είναι ένα σημαντικό κείμενο του Νεοελληνικού Διαφωτισμού που εκδόθηκε το 1806 στη Ιταλία, ο συγγραφέας του είναι άγνωστος και είναι αφιερωμένο στο Ρήγα Βελεστινλή. Στο κείμενο αυτό καταδικάζεται η «αναρχία» και η «μοναρχία» και προβάλλεται ως ιδανική διοίκηση η «νομαρχία», δηλαδή το πολίτευμα όπου εξουσιάζουν οι νόμοι. 8) Τι γνωρίζεις για τον άγιο Κοσμά τον Αιτωλό; Ο άγιος Κοσμάς ο Αιτωλός ήταν ένας δάσκαλος του Γένους που κατάφερε να συνδυάσει το πνεύμα του Νεοελληνικού Διαφωτισμού και της παιδείας με τη θρησκευτική πίστη και την εθνική συνείδηση. Ήταν μορφωμένος μοναχός του Αγίου Όρους, ιεροκήρυκας και μάρτυρας. Όργωσε την Ελλάδα διδάσκοντας και ιδρύοντας σχολεία. Ο λαός τον λάτρευε και τον τιμούσε σαν άγιο. Πέθανε με μαρτυρικό θάνατο στην Ήπειρο (1779). Άγιος Κοσμάς ο Αιτωλός Ευγένιος Βούλγαρης Άννα Πουλή2 Επιμέλεια: Χρήστος Χαρμπής http://st-taksh.blogspot.gr σελ.86
  • 87.
    ΕΝΟΤΗΤΑ Β- ΚΕΦΑΛΑΙΟ8ο Ο ΡΗΓΑΣ ΒΕΛΕΣΤΙΝΛΗΣ ΚΑΙ Ο ΑΔΑΜΑΝΤΙΟΣ ΚΟΡΑΗΣ ΕΡΩΤΗΣΕΙΣ-ΑΠΑΝΤΗΣΕΙΣ 1) Ανάμεσα στους δάσκαλους του Γένους ποιοι ξεχωρίζουν για τη δράση τους; Ξεχωρίζουν ο λόγιος επαναστάτης Ρήγας Βελεστινλής και ο φημισμένος ακόμη και στην Ευρώπη Έλληνας φιλόλογος, ο Αδαμάντιος Κοραής. 2) Τι γνωρίζεις για τη ζωή του Ρήγα Βελεστινλή; Ήταν γιος εμπόρου. Γεννήθηκε το 1757 στο Βελεστίνο της Θεσσαλίας, το οποίο στην αρχαιότητα ονομαζόταν Φερές. Σε νεαρή ηλικία μπήκε στη υπηρεσία των Φαναριωτών στην Κωνσταντινούπολη και έπειτα μετανάστευσε στο Βουκουρέστι, ως γραμματέας του ηγεμόνα της Βλαχίας. Εκεί επηρεάστηκε από τις ευρωπαϊκές ριζοσπαστικές ιδέες, βάζοντας σκοπό να απελευθερώσει την πατρίδα του. Το 1790 ταξίδεψε στη Βιέννη .Η επαναστατική του δράση έγινε γρήγορα γνωστή και προκάλεσε την αντίδραση της Αυστρίας που τότε είχε καλές σχέσεις με την Οθωμανική Αυτοκρατορία. Οι Αυστριακοί συνέλαβαν το Ρήγα και συνεργάτες του, το Δεκέμβριο του 1797.Λίγους μήνες αργότερα τον παρέδωσαν μαζί με επτά συντρόφους του στους Τούρκους, οι οποίοι τους θανάτωσαν και τους έριξαν στον ποταμό Δούναβη. 3) Τι περιλαμβάνει το συγγραφικό και εκδοτικό του έργο; Το συγγραφικό και εκδοτικό του έργο είναι μεγάλο. Ο Ρήγας εξέδωσε γαλλικά μυθιστορήματα μεταφρασμένα στη δημοτική γλώσσα, ένα βιβλίο Φυσικής για σχολική χρήση, έναν τεράστιο χάρτη της Ελλάδας, την περίφημη «Χάρτα της Ελλάδος», μια εικόνα του Μεγάλου Αλεξάνδρου και πολλά άλλα. Ο Θούριος είναι ένα φλογερός επαναστατικό ύμνος που συγκίνησε πολλούς νέους της εποχής και έγινε σύμβολο του αγώνα για την ελευθερία. 4) Ποιο ήταν το όραμα του Ρήγα; Ο Ρήγας οραματιζόταν τη συνεργασία των υπόδουλων βαλκανικών λαών για την απελευθέρωσή τους από τους Τούρκους και τη δημιουργία ενός δημοκρατικού κράτους που θα διοικούνταν με δίκαιους νόμους. Στο κράτος αυτό θα κυριαρχούσε η ελληνική γλώσσα και παιδεία. 5) Τι γνωρίζεις για τη ζωή του Αδαμάντιου Κοραή; Άννα Πουλή1 Επιμέλεια: Χρήστος Χαρμπής http://st-taksh.blogspot.gr σελ.87
  • 88.
    Ο Αδαμάντιος Κοραήςκαταγόταν από πλούσια οικογένεια της Χίου , αλλά γεννήθηκε στη Σμύρνη. Αρχικά φοίτησε στην Ευαγγελική Σχολή της Σμύρνης, ενώ αργότερα εγκαταστάθηκε μόνιμα στη Γαλλία, όπου σπούδασε ιατρική. Έζησε από κοντά τη Γαλλική Επανάσταση και επηρεάστηκε από τις φιλελεύθερες ιδέες της. Πίστευε στην ανθρώπινη λογική. Βοήθησε σημαντικά στον επαναστατικό αγώνα των υπόδουλων Ελλήνων. 6) Ποιο είναι το συγγραφικό έργο του Κοραή; Ο Κοραής ασχολήθηκε κυρίως με την αντιγραφή, την επιμέλεια και τη δημοσίευση των χειρογράφων αρχαίων Ελλήνων συγγραφέων. 7)Ποια ήταν η άποψη του σχετικά με την απελευθέρωση του ελληνικού έθνους; Πίστευε ότι για να ελευθερωθεί το ελληνικό έθνος, έπρεπε πρώτα να φωτιστεί διαμέσου της παιδείας, με κατάλληλη όμως μέθοδο διδασκαλίας και χρησιμοποιώντας μια νέα ελληνική γλώσσα, με απλούστερη μορφή από την αρχαία. 8)Ποιες είναι οι θεωρίες του για τη γλώσσα; Πρότεινε τη χρήση μιας γλώσσας που θα είχε ως βάση της την καθομιλουμένη γλώσσα της εποχής, από την οποία όμως θα είχαν αφαιρεθεί οι ξένες λέξεις ακόμα και οι διάφορες ιδιωματικές εκφράσεις. 9)Ποια η συμβολή του στη Μεγάλη Επανάσταση; Ο Κοραής βοήθησε στην ιδεολογική προετοιμασία της Μεγάλης Επανάστασης, π.χ. με το ποίημα του «Σάλπισμα Πολεμιστήριον», αλλά και κατά τη διάρκειά της γράφοντας συμβουλευτικές επιστολές. Επίσης βοήθησε στην ίδρυση φιλελληνικής οργάνωσης στο Παρίσι με την ονομασία Ελληνικό Κομιτάτο. Άννα Πουλή2 Επιμέλεια: Χρήστος Χαρμπής http://st-taksh.blogspot.gr σελ.88
  • 89.
    ΕΝΟΤΗΤΑ Β- ΚΕΦΑΛΑΙΟ9 : ΤΑ ΚΥΡΙΟΤΕΡΑ ΕΠΑΝΑΣΤΑΤΙΚΑ ΚΙΝΗΜΑΤΑ ΕΡΩΤΗΣΕΙΣ- ΑΠΑΝΤΗΣΕΙΣ 1)Στη διάρκεια της Τουρκοκρατίας οι υπόδουλοι Έλληνες είχαν προσπαθήσει να απελευθερωθούν; Στη διάρκεια της Τουρκοκρατίας οι Έλληνες έκαναν πολλές εξεγέρσεις εναντίον των Οθωμανών. Τις περισσότερες από αυτές τις υποκινούσαν ευρωπαϊκές δυνάμεις που βρίσκονταν σε πόλεμο με τους Τούρκους και προσπαθούσαν με τον τρόπο αυτό να διασπάσουν τον τουρκικό στρατό και να τον αποδυναμώσουν. 2)Τα επαναστατικά αυτά κινήματα πριν την Επανάσταση του 1821, έφτασαν στο σκοπό τους; Ναι ή όχι και γιατί; Τα κινήματα αυτά παρόλο που είχαν κάποιες επιτυχίες δεν κατάφεραν να φτάσουν στο σκοπό τους, γιατί ήταν ανοργάνωτα και τοπικά περιορισμένα. 3)Πότε ξεκίνησαν οι προσπάθειες για απελευθέρωση και από ποιους; Το 16ο αιώνα πολλοί Κερκυραίοι, Κρητικοί και Μανιάτες πολέμησαν τους Οθωμανούς Τούρκους είτε στο πλευρό των Βενετών και των Ισπανών είτε μόνοι τους, στην ξηρά και στη θάλασσα. Μάλιστα, στη ναυμαχία της Ναυπάκτου το 1571 όπου ο τουρκικός στόλος καταστράφηκε ολοκληρωτικά από τους Δυτικούς, συμμετείχαν και ελληνικά πλοία. 4) Στη διάρκεια του 17ου αιώνα ποιες αξιόλογες προσπάθειες για απελευθέρωση έγιναν; Το 1600 ο Μητροπολίτης Λαρίσης Διονύσιος ο Φιλόσοφος ξεσήκωσε τους υπόδουλους Έλληνες στην ορεινή Θεσσαλία. Το κίνημα του όμως απέτυχε και ο ίδιος διέφυγε στη Ρώμη και έπειτα στην Ισπανία ζητώντας ενισχύσεις. Εννέα χρόνια αργότερα επέστρεψε στην τουρκοκρατούμενη Ελλάδα, ξεσηκώνοντας τους κατοίκους της Θεσπρωτίας. Οι Τούρκοι κατέπνιξαν το κίνημά του και τον ίδιο τον έπιασαν και τον θανάτωσαν με μαρτυρικό θάνατο. Εξαιτίας των συνεπειών των αποτυχημένων κινημάτων του οι εχθροί του τον αποκαλούσαν ειρωνικά «Σκυλόσοφο». 5) Από την πλευρά των Βενετών ποια προσπάθεια έγινε ; Οι Βενετοί πολιόρκησαν την Αθήνα και το 1699 κατέλαβαν σχεδόν όλη την Πελοπόννησο. Όμως μετά από δύο δεκαετίες αυτή πέρασε ξανά στην κατοχή των Οθωμανών και από τότε η Βενετία έπαψε να παίζει ενεργό ρόλο στις ελληνικές υποθέσεις. 6) Στα τέλη του 18ου αιώνα οι ελπίδες των υπόδουλων Ελλήνων αναπτερώθηκαν καθώς ανέλαβε δράση η Ρωσία. Ποιες επαναστατικές ενέργειες σημειώθηκαν τότε και ποια τα αποτελέσματά τους; Η πρώτη επαναστατική προσπάθεια στα τέλη του 18ου αιώνα ,άρχισε το 1769 κι έμεινε γνωστή ως «Ορλωφικά», από το όνομα των Ορλώφ, Άννα Πουλή1 Επιμέλεια: Χρήστος Χαρμπής http://st-taksh.blogspot.gr σελ.89
  • 90.
    Ρώσων αρχηγών τουκινήματος. Η Ρωσία που τότε βρισκόταν σε πόλεμο με την Τουρκία, για να στρέψει την προσοχή του αντιπάλου της αλλού, ξεσήκωσε τους Έλληνες. Η επανάσταση απλώθηκε γρήγορα στην Πελοπόννησο, κι έφτασε και στη Στερεά. Οι επαναστάτες όμως νικήθηκαν και έπαθαν μεγάλες συμφορές. Πιο πολύ πλήρωσε η Πελοπόννησος.( Η φράση «ο κατακαημένος Μοριάς» έχει μείνει από την εποχή εκείνη). Παράλληλα ο πρόκριτος Ιωάννης Βλάχος( Δασκαλογιάννης) ξεσήκωσε τα Σφακιά της Κρήτης και στη ναυμαχία του Τσεσμέ (στη σημερινή Τουρκία απέναντι από τη Χίο)ο ολιγάριθμος ορθόδοξος στόλος νίκησε τους Οθωμανούς. Οι συγκρούσεις τερματίστηκαν με τη Συνθήκη του Κιουτσούκ Καϊναρτζή το 1774. Άλλη επαναστατική προσπάθεια πραγματοποιήθηκε λίγο αργότερα (1788) με αρχηγό το Λάμπρο Κατσώνη, αξιωματικό του ρωσικού στρατού. Ο Κατσώνης κατάφερε με το μικρό του στόλο να κυριαρχήσει στο Αιγαίο και να γίνει ο φόβος και ο τρόμος των Τούρκων και των πειρατών. Στις ναυτικές επιχειρήσεις ήταν μαζί του και ο κλέφτης Γεώργιος Ανδρίτσος, πατέρας του Οδυσσέα Ανδρούτσου, ήρωα της Επανάστασης. Όμως η Ρωσία που είχε κινήσει την επανάσταση, έκαμε πάλι ειρήνη με τους Τούρκους και ο Κατσώνης εγκαταλείφθηκε , αφού προηγουμένως ο στόλος του έπαθε πανωλεθρία από τον τουρκικό ,έξω από τα στενά της Άνδρου. 7) Γιατί ήταν σημαντική η συνθήκη του Κιουτσούκ Καϊναρτζή ; Η συνθήκη αυτή ήταν πολύ σημαντική , αφού η Ρωσία θεώρησε πως απέκτησε το δικαίωμα να παρεμβαίνει στα εσωτερικά της Οθωμανικής Αυτοκρατορίας, προκειμένου να προστατεύσει τους Χριστιανούς που ζούσαν εκεί. Επίσης οι Έλληνες έμποροι απέκτησαν το δικαίωμα να υψώνουν στα καράβια τους τη ρωσική σημαία. 8) Πού αλλού στράφηκαν οι ελπίδες των Ελλήνων για απελευθέρωση στα τέλη του 18ου αιώνα και γιατί; Στράφηκαν και προς τους Γάλλους του Ναπολέοντα, λόγω της διάδοσης των φιλελεύθερων ιδεών της Γαλλικής Επανάστασης. Τον επαναστατικό αναβρασμό ενίσχυσαν και διάφορα δημοσιεύματα Ελλήνων Διαφωτιστών υπέρ των Γάλλων. Γρήγορα όμως και οι ελπίδες αυτές διαψεύστηκαν. 9) Τι συνειδητοποίησαν οι Έλληνες στις αρχές του 1800( 19ο αι.); Αρχές του 19ου αι. συνειδητοποίησαν οι Έλληνες, μετά από όλα όσα είχαν γίνει, ότι για να απελευθερωθούν έπρεπε να στηριχτούν στις δικές τους δυνάμεις. Άννα Πουλή2 Επιμέλεια: Χρήστος Χαρμπής http://st-taksh.blogspot.gr σελ.90
  • 91.
    ΕΝΟΤΗΤΑ Β -ΚΕΦΑΛΑΙΟ 10: ΟΙ ΑΓΩΝΕΣ ΤΩΝ ΣΟΥΛΙΩΤΩΝ ΕΡΩΤΗΣΕΙΣ-ΑΠΑΝΤΗΣΕΙΣ 1) Ποιοι ήταν οι Σουλιώτες ; Οι Σουλιώτες ήταν οι κάτοικοι του Σουλίου, μιας από τις τρεις περιοχές της Ελλάδας που είχαν καταφέρει να διατηρήσουν σχετική ελευθερία (οι άλλες ήταν η Μάνη και τα Σφακιά).Οι ανυπότακτοι Σουλιώτες ήταν βοσκοί που μιλούσαν ελληνικά και αρβανίτικα. Έκαναν συχνά επιδρομές στα χωριά του κάμπου για να εξασφαλίσουν ζώα και γεννήματα (δημητριακά). 2) Γιατί ήταν ικανότατοι πολεμιστές; Οι δύσκολες συνθήκες ζωής των Σουλιωτών, η πολύχρονη ενασχόληση τους με τα όπλα, η άριστη γνώση του εδάφους, το ομαδικό πνεύμα και κυρίως η εξαιρετική τους τόλμη τους είχαν μεταμορφώσει σε ικανότατους πολεμιστές. Οι Σουλιώτες συνήθιζαν να πολεμούν οχυρωμένοι πίσω από φυσικά εμπόδια. Δρούσαν ακόμη και τη νύχτα, ενώ δε δίσταζαν να επιτεθούν με τα σπαθιά τους σε μεγαλύτερο αριθμό αντιπάλων, αιφνιδιάζοντάς τους. 3) Γιατί δεν μπορούσαν οι Τούρκοι να υποτάξουν το Σούλι; Το Σούλι απέχοντας 20 χιλιόμετρα από τη θάλασσα, μπορούσε να προμηθεύεται χρήματα, όπλα και πυρομαχικά, τα οποία έστελναν από τα Επτάνησα οι ξένες δυνάμεις κάθε φορά που συγκρούονταν με την Υψηλή Πύλη( Οθωμανική Αυτοκρατορία). 4) Τι γνωρίζεις για τον αγώνα των Σουλιωτών με τον Αλή πασά των Ιωαννίνων; Οι Σουλιώτες επειδή αποτελούσαν μια ισχυρή στρατιωτική δύναμη, ήταν μεγάλο εμπόδιο για τον Αλή πασά των Ιωαννίνων που ήθελε να επεκτείνει την κυριαρχία του. Γι’ αυτό ξέσπασε ανάμεσα στους Σουλιώτες και τον Αλή πασά πόλεμος που κράτησε πολλά χρόνια. Στη διάρκειά του οι Σουλιώτες βρέθηκαν σε δύσκολη θέση , γιατί τους έλειψαν τα εφόδια-ψωμί και μολύβι. Τότε έκλεισαν συμφωνία με τον Αλή να φύγουν από το Σούλι. Ο Αλής όμως δεν τήρησε τη συμφωνία. Τις στιγμές εκείνες γράφτηκαν οι πιο ένδοξες σελίδες της σουλιώτικης ιστορίας. 5) Πώς κατάφερε τελικά να κατακτήσει το Σούλι ο Αλή πασάς; Πέτυχε με διάφορους τρόπους να διώξει από το Σούλι ορισμένους από τους αρχηγούς, αδυνατίζοντας έτσι την άμυνά του. Το 1803 κατάφερε να το κατακτήσει μετά από πολλές προσπάθειες. Οι Τούρκοι κατέλαβαν τον οχυρό λόφο Κούγκι, όμως ο καλόγερος Σαμουήλ, που τον κρατούσε ελεύθερο ως την τελευταία στιγμή, ανατινάχτηκε μαζί τους. Στο Ζάλογγο μετά από μια απέλπιδα μάχη στην οποία σκοτώθηκαν πολλοί Σουλιώτες, 60 περίπου Σουλιώτισσες προτίμησαν αντί την αιχμαλωσία Άννα Πουλή1 Επιμέλεια: Χρήστος Χαρμπής http://st-taksh.blogspot.gr σελ.91
  • 92.
    να γκρεμιστούν μετα παιδιά τους σε ένα «χορό θανάτου» που έμεινε στην ιστορία ως χορός του Ζαλόγγου. Τελικά, κάποιοι Σουλιώτες έσπασαν τον κλοιό των Τούρκων με έφοδο και πέρασαν στην Κέρκυρα, ενώ οι υπόλοιποι συνθηκολόγησαν, αφού τους υποσχέθηκαν ότι θα εγκαταλείψουν με ασφάλεια το Σούλι και θα καταφύγουν με τα όπλα τους στην Πρέβεζα. 6)Τι έκαναν οι Σουλιώτες στα Επτάνησα; Υπηρέτησαν αρχικά τους Ρώσους και στη συνέχεια τους Γάλλους κυρίαρχους. 7)Πότε επέστρεψαν στο Σούλι και γιατί; Το 1820, λίγο πριν τη Μεγάλη Επανάσταση, κλήθηκαν από τους Τούρκους να κατοικήσουν μόνιμα στο Σούλι, με τον όρο να βοηθήσουν το Σουλτάνο να εξοντώσει τον Αλή πασά, με τον οποίο βρισκόταν σε πόλεμο. Οι Σουλιώτες συμφώνησαν και επέστρεψαν στα χωριά τους, αποκρούοντας με επιτυχία τους στρατιώτες του Αλή πασά που έρχονταν εναντίον τους. 8)Πότε εγκατέλειψαν οριστικά το Σούλι; Το 1822 έμειναν αβοήθητοι. Καταπονημένοι εγκατέλειψαν οριστικά το Σούλι και διασκορπίστηκαν στη Στερεά Ελλάδα και την Πελοπόννησο. 9)Ποια η προσφορά τους στη Μεγάλη Επανάσταση; Κατά τη διάρκεια της Μεγάλης Επανάστασης του 1821 πολλοί Σουλιώτες ανέπτυξαν σημαντική δράση ως οπλαρχηγοί, έχοντας τη φήμη των γενναίων και αδάμαστων πολεμιστών του έθνους. Άννα Πουλή2 Επιμέλεια: Χρήστος Χαρμπής http://st-taksh.blogspot.gr σελ.92
  • 93.
    Άννα Πουλή3 Επιμέλεια: ΧρήστοςΧαρμπής http://st-taksh.blogspot.gr σελ.93
  • 94.
    Κεφ. 6 Σκλαβοπάζαρο Οι συνθήκεςζωής των υποδούλων Εντόπισε στο βιβλίο σου και υπογράμμισε τις σειρές που απαντούν στις Παρακάτω ερωτήσεις. *** Στο επόμενο μάθημα θα πρέπει να γνωρίζεις τις απαντήσεις!!! 1. Τι ήταν ο κεφαλικός φόρος;(χαράτσι) 2. Τι ξέρεις για το φόρο της γης; 3. Τι γνωρίζεις για το παιδομάζωμα; 4. Τι ήταν ο εξισλαμισμός; 5. Ποιοι ήταν οι κρυπτοχριστιανοί ; 6. Ποια προβλήματα είχαν οι κάτοικοι των νησιών και των παραθαλάσσιων περιοχών; 7. Τι ήταν οι παροικίες ; Ποιες ήταν οι σπουδαιότερες ; Απόστολος Γιάγκας, Μαρία Γεωργιάδου, Άννα Κοτέογλου Επιμέλεια: Χρήστος Χαρμπής http://st-taksh.blogspot.gr σελ.94
  • 95.
    Κεφ. 7 Οι κοινότητες, μιαμορφή αυτοδιοίκησης Εντόπισε στο βιβλίο σου και υπογράμμισε τις σειρές που απαντούν στις Παρακάτω ερωτήσεις. *** Στο επόμενο μάθημα θα πρέπει να γνωρίζεις τις απαντήσεις!!! 1. Πώς ονόμαζαν τους κοινοτικούς άρχοντες ; 2. Πως γινόταν η εκλογή των αρχόντων ; 3. Ποια ήταν τα καθήκοντα των προκρίτων ; 4. Τι ήταν ο εξισλαμισμός; 5. Τι γνωρίζετε για το κοινοτικό προνόμιο ; 6. Ποιες περιοχές της Ελλάδας βοήθησε το κοινοτικό προνόμιο; Απόστολος Γιάγκας, Μαρία Γεωργιάδου, Άννα Κοτέογλου Επιμέλεια: Χρήστος Χαρμπής http://st-taksh.blogspot.gr σελ.95
  • 96.
    Κεφ. 8 Λιμάνιτης Ρόδου Οι οικονομικές δραστηριότητες Των Ελλήνων Εντόπισε στο βιβλίο σου και υπογράμμισε τις σειρές που απαντούν στις Παρακάτω ερωτήσεις. *** Στο επόμενο μάθημα θα πρέπει να γνωρίζεις τις απαντήσεις!!! 1. Με τι ασχολούνταν οι Έλληνες τα πρώτα χρόνια της τουρκοκρατίας ; 2. Τι είναι τα <<τσιφλίκια>> και τι καλλιεργούσαν εκεί ; 3. Πώς γίνοταν το εμπόριο στη στεριά 4. Τι γνωρίζετε για τη συνθήκη του Κιουτσούκ Καϊναρτζή ; Σε τι ωφέλησε την Ελλάδα; 5. Πώς γινόταν το εμπόριο στην θάλασσα; 6. Τι ξέρουμε για τις ναυτικές επιχειρήσεις της εποχής εκείνης ; Απόστολος Γιάγκας, Μαρία Γεωργιάδου, Άννα Κοτέογλου Επιμέλεια: Χρήστος Χαρμπής http://st-taksh.blogspot.gr σελ.96
  • 97.
    Κεφ. 9 Σκηνήποιμενικής ζωής Χαρές και λύπες της καθημερινής ζωής Εντόπισε στο βιβλίο σου και υπογράμμισε τις σειρές που απαντούν στις Παρακάτω ερωτήσεις. *** Στο επόμενο μάθημα θα πρέπει να γνωρίζεις τις απαντήσεις!!! 1. Πώς οργάνωσαν οι Έλληνες τη ζωή τους κατά τα χρόνια της τουρκοκρατίας ; 2. Τι έκαναν στις μεγάλες γιορτές της Χριστιανοσύνης Και στη γιορτή του τοπικού Αγίου ; 3. Οι χαρές και οι λύπες τα χρόνια της σκλαβιάς. 4. Γιατί αναπτύχθηκε η συνεργασία και η αλληλοβοήθεια ανάμεσα στους Έλληνες ; 5. Σε τι βοήθησε η διατήρηση των εθίμων και των παραδόσεων ; Απόστολος Γιάγκας, Μαρία Γεωργιάδου, Άννα Κοτέογλου Επιμέλεια: Χρήστος Χαρμπής http://st-taksh.blogspot.gr σελ.97
  • 98.
    Αδαμάντιος Κοραής(1748-1833) Κοσμάςο Αιτωλός (1714-1779) Κεφ. 11 Τα σχολεία και Οι δάσκαλοι το γένους Εντόπισε στο βιβλίο σου και υπογράμμισε τις σειρές που απαντούν στις Παρακάτω ερωτήσεις. *** Στο επόμενο μάθημα θα πρέπει να γνωρίζεις τις απαντήσεις!!! 1. Τι συνέβη τον πρώτο καιρό της σκλαβιάς στα σχολεία της πατρίδας μας ; 2. Από ποιους ιδρύθηκαν τα πρώτα σχολέια ; Τι ξέρουμε για αυτά; 3. Εκτός από τα σχολεία τι άλλο βοήθησε αποτελεσματικά στη μόρφωση του λαού ; 4. Γιατί κάποιοι πνευματικοί άνθρωποι ονομάστηκαν << δάσκαλοι του Γένους>> ; Ποιους από αυτούς ξεχωρίζουμε ; 5. Τι ξέρετε για τον Κοσμά Αιτωλό και τα σχολεία που ίδρυσε ; 6. Τι γνωρίζετε για τον Αδαμάντιο Κοραή ; Απόστολος Γιάγκας, Μαρία Γεωργιάδου, Άννα Κοτέογλου Επιμέλεια: Χρήστος Χαρμπής http://st-taksh.blogspot.gr σελ.98
  • 99.
    Κεφ. 12 Πνευματική ανάπτυξη μέσαστη σκλαβιά Εντόπισε στο βιβλίο σου και υπογράμμισε τις σειρές που απαντούν στις Παρακάτω ερωτήσεις. *** Στο επόμενο μάθημα θα πρέπει να γνωρίζεις τις απαντήσεις!!! 1. Τι λέμε κρητική αναγέννηση ; Ποια είναι τα σπουδαιότερα έργα της εποχής; 2. Τι γνωρίζετε για την ανάπτυξη της ποίησης και της μουσικής στα επτάνησα ; 3. Σε ποιες περιοχές ζούσαν οι Έλληνες; Πώς ήταν χτισμένα τα σπίτια τους ; 4. Γιατί κάποιοι πνευματικοί άνθρωποι ονομάστηκαν << δάσκαλοι του Γένους>> ; Ποιους από αυτούς ξεχωρίζουμε ; 5. Τι ξέρετε για τις εκκλησίες της εποχής ; 6. Τι επιδράσεις δέχτηκε η αρχιτεκτονική και η ζωγραφική στα ; χρόνια της σκλαβιάς ; Απόστολος Γιάγκας, Μαρία Γεωργιάδου, Άννα Κοτέογλου Επιμέλεια: Χρήστος Χαρμπής http://st-taksh.blogspot.gr σελ.99
  • 100.
    Επιμέλεια: Χρήστος Χαρμπήςhttp://st-taksh.blogspot.gr σελ.100
  • 101.
    Κεφ. 13 Κλέφτες καιαρματολοί Εντόπισε στο βιβλίο σου και υπογράμμισε τις σειρές που απαντούν στις Παρακάτω ερωτήσεις. *** Στο επόμενο μάθημα θα πρέπει να γνωρίζεις τις απαντήσεις!!! 1. Τι ήταν οι κλέφτες ; Γιατί αναγκάζονταν να ανεβαίνουν στα βουνά; 2. Ποιους ονομάζουμε αρματολούς ; 3. Γιατί κλέφτης και αρματολός σήμαινε το ίδιο πράγμα ; 4. Τι ήταν ; Ο καπετάνιος , το πρωτοπαλίκαρο , οι ψυχογιοί, τα λημέρια, Το καραούλι ; 5. Τι ήταν ο κλεφτοπόλεμος ; 6. Πώς ήταν η ζωή των κλεφτών; 7. Πώς περνούσαν οι κλέφτες τις καλές και ειρηνικές ημέρες ; Απόστολος Γιάγκας, Μαρία Γεωργιάδου, Άννα Κοτέογλου Επιμέλεια: Χρήστος Χαρμπής http://st-taksh.blogspot.gr σελ.101
  • 102.
    Επιμέλεια: Χρήστος Χαρμπήςhttp://st-taksh.blogspot.gr σελ.102
  • 103.
    Κεφ. 14 Τα κάστρατης λευτεριάς Εντόπισε στο βιβλίο σου και υπογράμμισε τις σειρές που απαντούν στις Παρακάτω ερωτήσεις. *** Στο επόμενο μάθημα θα πρέπει να γνωρίζεις τις απαντήσεις!!! 1. Ποιες περιοχές της Ελλάδας κατάφεραν να διατηρήσουν μια σχετική ελευθερία στα χρόνια της σκλαβιάς ; 2. Πού ζούσαν οι Σουλιώτες και πως ήταν οργανωμένοι ; 3. Με ποιον πολέμησαν οι Σουλιώτες ; Τι έγινε κατά τη διάρκεια αυτού του πολέμου ; 4. Τι έκαναν οι Σουλιώτισσες όταν κατάλαβαν ότι κινδύνευαν να πέσουν στα χέρια των Τούρκων ; 5. Πώς ήταν οργανωμένοι οι Μανιάτες ; Πού έχτιζαν τα σπίτια τους ; 6. Πού ήταν τα Σφακιά ; Πώς ζούσαν οι Σφακιανοί ; Απόστολος Γιάγκας, Μαρία Γεωργιάδου, Άννα Κοτέογλου Επιμέλεια: Χρήστος Χαρμπής http://st-taksh.blogspot.gr σελ.103
  • 104.
    Κεφ. 15 Η ένοπληορμή για απελευθέρωση Εντόπισε στο βιβλίο σου και υπογράμμισε τις σειρές που απαντούν στις Παρακάτω ερωτήσεις. *** Στο επόμενο μάθημα θα πρέπει να γνωρίζεις τις απαντήσεις!!! 1. Γιατί απέτυχαν τα προεπαναστατικά κινήματα ; 2. Γιατί η εποχή εκείνη ευνοούσε την εκδήλωση επαναστατικών κινημάτων 3. Τι ξέρετε για το επαναστατικό κίνημα του Διονύσιου του Φιλόσοφου ; 4. Τι γνωρίζετε για τα <<Ορλωφικά >>; 5. Τι ξέρετε για την επαναστατική ενέργεια του Λάμπρου Κατσώνη ; Απόστολος Γιάγκας, Μαρία Γεωργιάδου, Άννα Κοτέογλου Επιμέλεια: Χρήστος Χαρμπής http://st-taksh.blogspot.gr σελ.104
  • 105.
    Επιμέλεια: Χρήστος Χαρμπήςhttp://st-taksh.blogspot.gr σελ.105
  • 106.
    Κεφ. 16 Το όραματου Ρήγα Φεραίου Εντόπισε στο βιβλίο σου και υπογράμμισε τις σειρές που απαντούν στις Παρακάτω ερωτήσεις. *** Στο επόμενο μάθημα θα πρέπει να γνωρίζεις τις απαντήσεις!!! 1. Τι ένωνε τους Έλληνες και τους άλλους λαούς της ; βαλκανικής χερσονήσου ; 2. Τι δημιούργησε ο κοινός τρόπος ζωής των σκλαβωμένων ; 3. Τι εξέφρασε ο Ρήγας Φεραίος ; 4. Τι γνωρίζετε για τη ζωή του Ρήγα Φεραίου; γιατί ονομάστηκε έτσι ; 5. Ποιος ήταν ο σκοπός της ζωής του Ρήγα Φεραίου και με ποιο τρόπο προσπάθησε να το πραγματοποιήσει; 6. Τι οραματιζόταν ο Ρήγας Φεραίος για τους λαούς της Βαλκανικής ; Απόστολος Γιάγκας, Μαρία Γεωργιάδου, Άννα Κοτέογλου Επιμέλεια: Χρήστος Χαρμπής http://st-taksh.blogspot.gr σελ.106
  • 107.
    Σαμούχος Πέτρος© Ερωτήσεις γιατην επανάληψη της 2ης ενότητας της Ιστορίας, «Οι Έλληνες κάτω από την οθωμανική και τη λατινική κυριαρχία» Κεφάλαιο 1ο «Η κατάκτηση της ελληνικής Χερσονήσου»  Ποια περίοδο ονομάζουμε Τουρκοκρατία;  Ποια στοιχεία της εθνικής τους ταυτότητας διαφύ- λαξαν οι Έλληνες με τη βοήθεια και της Εκκλησίας;  Τι ήταν το παιδομάζωμα; Κεφάλαιο 2ο «Οι συνθήκες ζωής των υπόδουλων»  Ποιους φόρους επέβαλαν οι Οθωμανοί στους Έλληνες και τι ξέρεις για τον καθένα; Κεφάλαιο 3ο «Η θρησκευτική και πολιτική οργάνωση των Ελλήνων»  Ποιους ήταν ο ρόλος του Πατριαρχείου κατά την Τουρκοκρατία;  Τι γνωρίζεις για τους Φαναριώτες;  Τι γνωρίζεις για τους κοινοτικούς άρχοντες;  Ποιο λαό αποκαλούσαν οι Έλληνες «ξανθό γένος»; Κεφάλαιο 4ο «Οι κλέφτες και οι αρματολοί»  Τι γνωρίζεις για τους κλέφτες και αρματολούς; Κεφάλαιο 5ο «Η οικονομική ζωή»  Σε ποιους τομείς στηριζόταν η οικονομία της Οθωμανικής Αυτοκρατορίας;  Ποιες οι αιτίες της παρακμής της Οθωμανικής Αυτοκρατορίας;  Ποιοι παράγοντες ωφέλησαν τους Έλληνες; Κεφάλαιο 6ο «Οι Έλληνες των παροικιών και των Παραδουνάβιων ηγεμονιών» (Όχι)
  • 108.
    Σαμούχος Πέτρος© Κεφάλαιο 7ο «Οιδάσκαλοι του Γένους»  Ποιους ονομάζουμε δάσκαλους του Γένους;  Τι γνωρίζεις για την «Ελληνική Νομαρχία»;  Τι ονομάζουμε ελληνικό Διαφωτισμό;  Τι γνωρίζεις για τον Κοσμά τον Αιτωλό; Κεφάλαιο 8ο «Ρήγας Βελεστινλής – Αδαμάντιος Κοραής»  Τι γνωρίζεις για τον Ρήγα; (Πού γεννήθηκε, το όραμά του, τα σημαντικότερα έργα του, το τέλος του)  Τι γνωρίζεις για τον Κοραή; (Πού γεννήθηκε, πού εγκαταστάθηκε, η άποψή του για την απελευθέρωση του Γένους;) Κεφάλαιο 9ο «Τα κυριότερα επαναστατικά κινήματα»  Τι γνωρίζεις τους Ορλώφ;  Τι γνωρίζεις για τον Λάμπρο Κατσώνη; Κεφάλαιο 10ο «Οι αγώνες των Σουλιωτών»  Για ποιους λόγους οι Σουλιώτες ήταν ικανότατοι πολεμιστές;  Ποιος πασάς κατάφερε να κατακτήσει το Σούλι;  Για ποιο λόγο οι Οθωμανοί ζήτησαν από τους Σουλιώτες να επιστρέψουν στο Σούλι; Την επόμενη φορά θα γράψουμε διαγώνισμα στη 2η ενότητα της Ιστορίας. Διαβάστε καλά τις παραπάνω ερωτήσεις και τις ασκήσεις από το τετράδιο εργασιών της Ιστορίας. Αξιοποιήστε τα σχεδιαγράμματα που έχετε. Καλό διάβασμα!
  • 109.
  • 110.
    ΕΝΟΤΗΤΑ B Οι Έλληνεςκάτω από την οθωμανική και τη λατινική κυριαρχία (1453-1821)
  • 111.
    σελ. 46 Ιστορία Στ΄ Δημοτικού[Κριτήρια Αξιολόγησης & Διαγωνίσματα] Ενότητα Β [Οι Έλληνες κάτω από την οθωμανική και τη λατινική κυριαρχία (1453-1821)] Έκδοση taexeiola Χριστίνα Τζιτζιλή 1) Να αντιστοιχίσετε τις κατακτήσεις των Οθωμανών στον ελληνικό χώρο με τις χρονολογίες. 1) Θεσσαλονίκη, Γιάννενα α) 1669 2) Πάτρα β) 1566 3) Μιστράς γ) 1446 4) Ρόδος δ) 1430 5) Χίος ε) 1571 6) Κύπρος στ) 1460 7) Κρήτη ζ) 1522 (Μονάδα 1) 2) Να αντιστοιχίσετε τα γεγονότα με τις ημερομηνίες τους. 1) Άλωση της Κωνσταντινούπολης α)1797 2) Εκπαιδευτική Αναγέννηση του έθνους β) 1821 3) Η εξουσία των Ιονίων νησιών γ) 18ος αιώνας περνάει από τους Βενετούς στους Γάλλους 4) Εξέγερση στη Ζάκυνθο δ) 1628 (Μονάδα 1) 1o Κριτήριο Αξιολόγησης Κεφ.1: Η κατάκτηση της ελληνικής Χερσονήσου
  • 112.
    σελ. 47 Ιστορία Στ΄ Δημοτικού[Κριτήρια Αξιολόγησης & Διαγωνίσματα] Ενότητα Β [Οι Έλληνες κάτω από την οθωμανική και τη λατινική κυριαρχία (1453-1821)] Έκδοση taexeiola Χριστίνα Τζιτζιλή 3) Να χαρακτηρίσετε τις προτάσεις με (Σ) αν είναι σωστές και με (Λ) αν είναι λανθασμένες και να δικαιολογήσετε τις απαντήσεις σας. α) Οι δύο πρώτοι αιώνες της Τουρκοκρατίας ήταν πιο εύκολοι για τους Χριστιανούς και δυσκόλεψαν τους δύο επόμενους αιώνες, από τα μέσα του 16ου αιώνα. β) Ολόκληρη η ελληνική Χερσόνησος πέρασε στην οθωμανική κυριαρχία. γ) Οι Βενετοί έγιναν πιο φιλικοί με τους Έλληνες όταν οι βενετικές κτήσεις άρχισαν να πέφτουν στα χέρια των Οθωμανών Τούρκων. δ) Οι Χριστιανοί της Δύσης, κυρίως οι Βενετοί, συνέβαλαν στην οικονομική ανάπτυξη των ντόπιων κατοίκων. ε) Την περίοδο της Τουρκοκρατίας αρκετοί λόγιοι εγκαταστάθηκαν στη Δυτική Ευρώπη. στ) Οι Έλληνες των βενετοκρατούμενων περιοχών συμμετείχαν στη διοίκηση και κατείχαν ανώτερα θρησκευτικά αξιώματα. (Μονάδες 2) 4) Ποιοι ήταν οι λόγοι που οδήγησαν στην πτώση της Βυζαντινής αυτοκρατορίας; ____________________________________________________________________ ____________________________________________________________________ ____________________________________________________________________ ____________________________________________________________________ ____________________________________________________________________ ____________________________________________________________________ ____________________________________________________________________
  • 113.
    σελ. 48 Ιστορία Στ΄ Δημοτικού[Κριτήρια Αξιολόγησης & Διαγωνίσματα] Ενότητα Β [Οι Έλληνες κάτω από την οθωμανική και τη λατινική κυριαρχία (1453-1821)] Έκδοση taexeiola Χριστίνα Τζιτζιλή ____________________________________________________________________ ____________________________________________________________________ ____________________________________________________________________ (Μονάδες 2) 5) Περιγράψτε τους δύο πρώτους αιώνες της Τουρκοκρατίας η ζωή για τους Χριστιανούς; ____________________________________________________________________ ____________________________________________________________________ ____________________________________________________________________ ____________________________________________________________________ ____________________________________________________________________ ____________________________________________________________________ ____________________________________________________________________ ____________________________________________________________________ ____________________________________________________________________ (Μονάδες 2) 6) Ποια περίοδος ονομάζεται Τουρκοκρατία; ____________________________________________________________________ ____________________________________________________________________ ____________________________________________________________________ ____________________________________________________________________ ____________________________________________________________________ (Μονάδες 2)
  • 114.
    σελ. 49 Ιστορία Στ΄ Δημοτικού[Κριτήρια Αξιολόγησης & Διαγωνίσματα] Ενότητα Β [Οι Έλληνες κάτω από την οθωμανική και τη λατινική κυριαρχία (1453-1821)] Έκδοση taexeiola Χριστίνα Τζιτζιλή 1) Να αντιστοιχίσετε τους φόρους με τους ορισμούς τους. 1) κεφαλικός φόρος 2) φόρος εστίας α) φόρος για τις κατοικίες τους β) φόρος που πλήρωναν όλοι όσοι δεν ήταν Μουσουλμάνοι 3) έγγειος φόρος γ) φόρος για την αγροτική παραγωγή 4) δεκάτη δ) φόρος για τη χρήση της γης (Μονάδα 1) 2) Να αντιστοιχίσετε τους όρους που ταιριάζουν 1) Παιδομάζωμα α) παλιές μεγάλες βυζαντινές οικογένειες που μετά την Άλωση ήρθαν στην Πόλη και εγκαταστάθηκαν γύρω από το Πατριαρχείο 2) Εξισλαμισμοί β) μουσουλανικό δικαστήριο 3)Ιεροδικείο γ) Προσχώρηση στη μουσουλμανική θρησκεία 4) Φαναριώτες δ) αρπαγή, εξισλαμισμός και στρατιωτική εκπαίδευση νεαρών αγοριών από τους Τούρκους (Μονάδα 1) 2o Κριτήριο Αξιολόγησης Κεφ.2: Οι συνθήκες ζωής των υποδούλων
  • 115.
    σελ. 50 Ιστορία Στ΄ Δημοτικού[Κριτήρια Αξιολόγησης & Διαγωνίσματα] Ενότητα Β [Οι Έλληνες κάτω από την οθωμανική και τη λατινική κυριαρχία (1453-1821)] Έκδοση taexeiola Χριστίνα Τζιτζιλή 3) Να χαρακτηρίσετε τις προτάσεις με (Σ) αν είναι σωστές και με (Λ) αν είναι λανθασμένες και να δικαιολογήσετε τις απαντήσεις σας. α) Οι φόροι ήταν ίδιοι για τους υπόδουλους Έλληνες και τους Μουσουλμάνους. β) Οι υπόδουλοι Έλληνες συνέχιζαν να κατοικούν στα εύφορα εδάφη ακόμα και μετά την εγκατάσταση τούρκικων και άλλων φύλων στις περιοχές αυτές. γ) Τα σοβαρά παραπτώματα των χριστιανών δικάζονταν στα εκκλησιαστικά δικαστήρια. δ) Εκτός από τους τακτικούς φόρους, οι Χριστιανοί πλήρωναν και έκτακτους φόρους αλλά έκαναν και αγγαρείες. ε) Οι Οθωμανοί σουλτάνοι είχαν παραχωρήσει διάφορες ελευθερίες στους υπηκόους τους και έτσι βελτίωσαν την καθημερινή τους ζωή. στ) Στο στρατό οι υπόδουλοι Έλληνες υπηρετούσαν μόνο ως οδηγοί και ναύτες. (Μονάδες 2) 4) Ποιοι ήταν οι Φαναριώτες; ____________________________________________________________________ ____________________________________________________________________ ____________________________________________________________________ ____________________________________________________________________ ____________________________________________________________________ ____________________________________________________________________ ____________________________________________________________________ ____________________________________________________________________
  • 116.
    σελ. 51 Ιστορία Στ΄ Δημοτικού[Κριτήρια Αξιολόγησης & Διαγωνίσματα] Ενότητα Β [Οι Έλληνες κάτω από την οθωμανική και τη λατινική κυριαρχία (1453-1821)] Έκδοση taexeiola Χριστίνα Τζιτζιλή ____________________________________________________________________ ____________________________________________________________________ (Μονάδες 2) 5) Ποιοι ήταν οι περιορισμοί που δυσκόλευαν την καθημερινότητα των Χριστιανών υποδούλων; ____________________________________________________________________ ____________________________________________________________________ ____________________________________________________________________ ____________________________________________________________________ ____________________________________________________________________ ____________________________________________________________________ ____________________________________________________________________ ____________________________________________________________________ ____________________________________________________________________ ____________________________________________________________________ (Μονάδες 2) 6) Ποια ήταν τα πιο σκληρά μέτρα που αντιμετώπισαν οι Χριστιανοί; ____________________________________________________________________ ____________________________________________________________________ ____________________________________________________________________ ____________________________________________________________________ ____________________________________________________________________ ____________________________________________________________________
  • 117.
    σελ. 52 Ιστορία Στ΄ Δημοτικού[Κριτήρια Αξιολόγησης & Διαγωνίσματα] Ενότητα Β [Οι Έλληνες κάτω από την οθωμανική και τη λατινική κυριαρχία (1453-1821)] Έκδοση taexeiola Χριστίνα Τζιτζιλή ____________________________________________________________________ ____________________________________________________________________ ____________________________________________________________________ ____________________________________________________________________ (Μονάδες 2)
  • 118.
    σελ. 53 Ιστορία Στ΄ Δημοτικού[Κριτήρια Αξιολόγησης & Διαγωνίσματα] Ενότητα Β [Οι Έλληνες κάτω από την οθωμανική και τη λατινική κυριαρχία (1453-1821)] Έκδοση taexeiola Χριστίνα Τζιτζιλή 1) Να αντιστοιχίσετε τα πρόσωπα με το ρόλο τους και την ιδιότητα τους. 1) Πατριάρχης Νεόφυτος ο Β’ α) Στη σκέψη των Χριστιανών ήταν το «ξανθό γένος» που θα ελευθέρωνε την Κωνσταντινούπολη από τους απίστους. 2) Μάξιμος ο Γραίκος β) Ιεράρχης που, επηρεασμένος από τις ευρωπαϊκές ιδέες, αμφισβητούσε την υποταγή στους Τούρκους. 3) Ρώσοι γ) Μοναχός που αναγνωρίσθηκε ο άγιος στη Μόσχα και καλλιέργησε περαιτέρω σχέσης με τη Ρωσία (Μονάδα 1) 2) Να βάλετε στη σωστή στήλη τα καθήκοντα των εκπροσώπων της εξουσίας κατά την Τουρκοκρατία. (Εκπρόσωπος του ρουμ μιλέτ, Κοινοτικοί άρχοντες εποχής, Θρησκευτικά καθήκοντα, Γνωστοί ως επίτροποι, Διοικητικές αρομοδιότητες, Υπολόγιζαν τον φόρο που αναλογούσε σε κάθε κάτοικο, Ίδρυση σχολείων, Επιβολή φορολογίας 3o Κριτήριο Αξιολόγησης Κεφ.3: Η θρησκευτική και η πολιτική οργάνωση των Ελλήνων
  • 119.
    σελ. 54 Ιστορία Στ΄ Δημοτικού[Κριτήρια Αξιολόγησης & Διαγωνίσματα] Ενότητα Β [Οι Έλληνες κάτω από την οθωμανική και τη λατινική κυριαρχία (1453-1821)] Έκδοση taexeiola Χριστίνα Τζιτζιλή στους πιστούς, Κατείχαν υψηλά αξιώματα στην οθωμανική εξουσία, Είχαν αξιόλογη μόρφωση και γνώριζαν ξένες γλώσσες) Οικουμενικό Πατριαρχείο Φαναριώτες Προεστοί ή Δημογέροντες (Μονάδες 2)
  • 120.
    σελ. 55 Ιστορία Στ΄ Δημοτικού[Κριτήρια Αξιολόγησης & Διαγωνίσματα] Ενότητα Β [Οι Έλληνες κάτω από την οθωμανική και τη λατινική κυριαρχία (1453-1821)] Έκδοση taexeiola Χριστίνα Τζιτζιλή 3) Να χαρακτηρίσετε τις προτάσεις με (Σ) αν είναι σωστές και με (Λ) αν είναι λανθασμένες και να δικαιολογήσετε τις απαντήσεις σας. α) Οι Οθωμανοί Τούρκοι κατήργησαν τη βυζαντινή διοίκηση και το Οικουμε- νικό Πατριαρχείο. β) Οι ιεράρχες και οι Φαναριώτες ήταν ανεξάρτητοι από τον Σουλτάνο. γ) Στη διάρκεια της οθωμανικής κυριαρχίας την ηγεσία των υπόδουλων Ελλή- νων αποτελούσαν ο Πατριάρχης, οι Φαναριώτες και οι προεστοί ή δημογέροντες. δ) Όλοι οι ορθόδοξοι κληρικοί αμφισβητούσαν την υποταγή στους Τούρκους. ε) Οι Φαναριώτες λέγονταν και κοτσαμπάσηδες. στ) Οι υπόδουλοι Έλληνες περίμεναν την απελευθέρωση από τους Ρώσους. (Μονάδες 2) 4) Ποιες ήταν οι διαφορετικές στάσεις που κράτησαν οι ορθόδοξοι κληρικοί απέναντι στην τούρκικη κατάκτηση; (Μόνάδες 2) ____________________________________________________________________ ____________________________________________________________________ ____________________________________________________________________ ____________________________________________________________________ ____________________________________________________________________ ____________________________________________________________________ ____________________________________________________________________ ____________________________________________________________________
  • 121.
    σελ. 56 Ιστορία Στ΄ Δημοτικού[Κριτήρια Αξιολόγησης & Διαγωνίσματα] Ενότητα Β [Οι Έλληνες κάτω από την οθωμανική και τη λατινική κυριαρχία (1453-1821)] Έκδοση taexeiola Χριστίνα Τζιτζιλή ____________________________________________________________________ ____________________________________________________________________ 5) Ποιες ήταν οι εξουσίες των κοινοτικών αρχόντων την εποχή της Τουρκοκρατίας; ____________________________________________________________________ ____________________________________________________________________ ____________________________________________________________________ ____________________________________________________________________ ____________________________________________________________________ ____________________________________________________________________ ____________________________________________________________________ ____________________________________________________________________ ____________________________________________________________________ (Μονάδες 2) 6) Για ποιο λόγο οι Τούρκοι επέτρεψαν στους κοινοτικούς άρχοντες να αναλάβουν την τοπική ηγεσία; ____________________________________________________________________ ____________________________________________________________________ ____________________________________________________________________ ____________________________________________________________________ ____________________________________________________________________ (Μονάδα 1)
  • 122.
    σελ. 57 Ιστορία Στ΄ Δημοτικού[Κριτήρια Αξιολόγησης & Διαγωνίσματα] Ενότητα Β [Οι Έλληνες κάτω από την οθωμανική και τη λατινική κυριαρχία (1453-1821)] Έκδοση taexeiola Χριστίνα Τζιτζιλή 1) Να κάνετε την αντιστοίχιση. 1) Γεώργιος Ανδρίτσος α) ορεσίβιοι 2)Κορκόδειλος Κλαδάς β) φημισμένος αρματολός 3)Κλέφτες γ) είχε ορμητήριο τη Μάνη 4) Αρματολοί δ) σύμβολο αντίστασης ενάντια στους κατακτητές 5) Μανιάτες ε) βοηθητικά στρατεύματα των Τούρκων (Μονάδα 1) 2) Να αντιστοιχίσετε τους όρους με τους ορισμούς τους. 1) Ορεσίβιος α) σημαία, λάβαρο 2) Περιηγητής β) το κρησφύγετο των Κλεφτών και των Αρματολών κατά την Τουρκοκρατία 3) Λημέρι γ) αυτός που κατοικεί στα ορεινά 4) Μπαϊράκι δ) παλιότερα έτσι ονομάζονταν αυτοί που ταξίδευαν (Μονάδα 1) 4o Κριτήριο Αξιολόγησης Κεφ.4: Οι Κλέφτες και οι Αρματολοί
  • 123.
    σελ. 58 Ιστορία Στ΄ Δημοτικού[Κριτήρια Αξιολόγησης & Διαγωνίσματα] Ενότητα Β [Οι Έλληνες κάτω από την οθωμανική και τη λατινική κυριαρχία (1453-1821)] Έκδοση taexeiola Χριστίνα Τζιτζιλή 3) Να χαρακτηρίσετε τις προτάσεις με (Σ) αν είναι σωστές και με (Λ) αν είναι λανθασμένες και να δικαιολογήσετε τις απαντήσεις σας. α) Οι Αρματολοί ήταν σύμβολο αντίστασης των υπόδουλων Ελλήνων ενάντια στους κατακτητές. β) Οι Αρματολοί ήταν εχθρικοί προς τους Κλέφτες. γ) Η Μάνη ήταν το ορμητήριο του Μπότσαρη. δ) Τα λήμερια των κλεφτών ήταν σε εύφορα εδάφη. ε) Οι Οθωμανοί Τούρκοι χρησιμοποιούσαν τους Αρματολούς ως βοηθητικά στρατεύματα. στ) Βασικό χαρακτηριστικό των Κλεφτών ήταν η εχθρότητα για τους Τούρκους. (Μονάδες 2) 4) Τι ήταν οι Κλέφτες και ποια η δράση τους; ____________________________________________________________________ ____________________________________________________________________ ____________________________________________________________________ ____________________________________________________________________ ____________________________________________________________________ ____________________________________________________________________ ____________________________________________________________________ ____________________________________________________________________ ____________________________________________________________________ ____________________________________________________________________ (Μονάδες 2)
  • 124.
    σελ. 59 Ιστορία Στ΄ Δημοτικού[Κριτήρια Αξιολόγησης & Διαγωνίσματα] Ενότητα Β [Οι Έλληνες κάτω από την οθωμανική και τη λατινική κυριαρχία (1453-1821)] Έκδοση taexeiola Χριστίνα Τζιτζιλή 5) Τι ήταν οι Αρματολοί και ποια η δράση τους; ____________________________________________________________________ ____________________________________________________________________ ____________________________________________________________________ ____________________________________________________________________ ____________________________________________________________________ ____________________________________________________________________ ____________________________________________________________________ ____________________________________________________________________ ____________________________________________________________________ ____________________________________________________________________ (Μονάδες 2) 6) Να γράψετε όσα ονόματα φημισμένων αρματολών γνωρίζετε. ____________________________________________________________________ ____________________________________________________________________ ____________________________________________________________________ ____________________________________________________________________ ____________________________________________________________________ ____________________________________________________________________ (Μονάδες 2)
  • 125.
    σελ. 60 Ιστορία Στ΄ Δημοτικού[Κριτήρια Αξιολόγησης & Διαγωνίσματα] Ενότητα Β [Οι Έλληνες κάτω από την οθωμανική και τη λατινική κυριαρχία (1453-1821)] Έκδοση taexeiola Χριστίνα Τζιτζιλή 1) Να κάνετε την αντιστοίχιση. 1) διομολογήσεις α)1774 2) Συνθήκη του Κάρλοβιτς β) εμπορικές συμφωνίες δυτικών κρατών με τους Οθωμανούς Σουλτάνους 3) Συνθήκή του Κιουτσούκ Καϊναρτζή γ) 1669 4) παροικίες δ) πληθυσμοί που μετκινούνταν συνεχώς για την επιβίωση τους 5) νομάδες ε) εγκατάσταση και σύσταση κοινότητας σε ξένο κράτος (Μονάδα 1) 2) Να κατατάξετε τους λόγους και τα αποτελέσματα για την παρακμή της Οθωμανικής Αυτοκρατορίας στην κατάλληλη στήλη. (Οι έμποροι της Δυτικής Ευρώπης δεν αναγκάζονταν να περνούν από τα εδάφη της γα να πάνε στην Κίνα ή την Ινδία, Γεωγραφικές ανακαλύψεις, Το νόμισμα της υποτιμήθηκε, Χρήση νέων εμπορικών δρόμων, Τα κρατικά έσοδα από τους φόρους εμπορίου μειώθηκαν, Η οικονομική δραστηριότητα πέρασε στα χέρια των Ελλήνων, Τέλος κατακτήσεων) 5o Κριτήριο Αξιολόγησης Κεφ.5: Η οικονομική ζωή
  • 126.
    σελ. 61 Ιστορία Στ΄ Δημοτικού[Κριτήρια Αξιολόγησης & Διαγωνίσματα] Ενότητα Β [Οι Έλληνες κάτω από την οθωμανική και τη λατινική κυριαρχία (1453-1821)] Έκδοση taexeiola Χριστίνα Τζιτζιλή Λόγοι παρακμής Αποτελέσματα παρακμής (Μονάδες 2) 3) Να χαρακτηρίσετε τις προτάσεις με (Σ) αν είναι σωστές και με (Λ) αν είναι λανθασμένες και να δικαιολογήσετε τις απαντήσεις σας. α) Οι Διομολογήσεις υπογράφηκαν ανάμεσα στις χώρες της Αντολικής Ευρώπης με τους Οθωμανούς Σουλτάνους. β) Λίγο πριν ξεσπάσει η Επανάσταση του 1821 η θέση των Ελλήνων είχε χειροτερέψει λόγω της οικονομικής παρακμής. γ) Η Ύδρα, η Χίος και τα Ψαρά έγιναν σημαντικά εμπορικά κέντρα. δ) Τα πληρώματα του ελληνικού εμπορικού στόλου δεν είχαν καμία εμπερία και γνώση. ε) Η παρακμή της Οθωμανικής Αυτοκρατορίας είχε ως αποτέλεσμα την υποτίμηση του νομίσματος.
  • 127.
    σελ. 62 Ιστορία Στ΄ Δημοτικού[Κριτήρια Αξιολόγησης & Διαγωνίσματα] Ενότητα Β [Οι Έλληνες κάτω από την οθωμανική και τη λατινική κυριαρχία (1453-1821)] Έκδοση taexeiola Χριστίνα Τζιτζιλή στ) Η οικονομία της Οθωμανικής Αυτοκρατορίας στηριζόταν κυρίως στις αγροτικές καλλιέργειες. (Μονάδες 2) 4) Σε ποιες δραστηριότητες βασιζόταν η οικονομία της Οθωμανικής αυτοκρατορίας πριν την παρακμή της; ____________________________________________________________________ ____________________________________________________________________ ____________________________________________________________________ ____________________________________________________________________ ____________________________________________________________________ ____________________________________________________________________ ____________________________________________________________________ ____________________________________________________________________ ____________________________________________________________________ ____________________________________________________________________ (Μονάδες 2) 5) Ποια ήταν τα αποτελέσματα της ανάπτυξης του ελληνικού εμπορίου και της ναυσιπλοϊας; ____________________________________________________________________ ____________________________________________________________________ ____________________________________________________________________ ____________________________________________________________________
  • 128.
    σελ. 63 Ιστορία Στ΄ Δημοτικού[Κριτήρια Αξιολόγησης & Διαγωνίσματα] Ενότητα Β [Οι Έλληνες κάτω από την οθωμανική και τη λατινική κυριαρχία (1453-1821)] Έκδοση taexeiola Χριστίνα Τζιτζιλή ____________________________________________________________________ ____________________________________________________________________ ____________________________________________________________________ ____________________________________________________________________ ____________________________________________________________________ ____________________________________________________________________ (Μονάδες 2) 6) Ποιες ήταν οι δύο συνθήκες που ωφέλησαν τους Έλληνες και πότε υπογράφτηκαν; ____________________________________________________________________ ____________________________________________________________________ ____________________________________________________________________ ____________________________________________________________________ ____________________________________________________________________ (Μονάδα 1)
  • 129.
    σελ. 64 Ιστορία Στ΄ Δημοτικού[Κριτήρια Αξιολόγησης & Διαγωνίσματα] Ενότητα Β [Οι Έλληνες κάτω από την οθωμανική και τη λατινική κυριαρχία (1453-1821)] Έκδοση taexeiola Χριστίνα Τζιτζιλή 1) Να βάλετε τα ονόματα των παροικιών στη σωστή στήλη. (Παραδουνάβιες Ηγεμονίες, Καύκασος, Βλαχία, Κριμαία, Ουγγαρία, Οδησσός, Βιέννη, Σερβία, Μολδαβία, Τεργέστη) Έλληνες του Πόντου Έλληνες της Μακεδονίας Άλλοι Έλληνες (Μονάδα 1) 2) Να βάλετε τα γεγονότα στην κατάλληλη στήλη ανάλογα με την περίοδο της μετανάστευσης που ανήκουν. (Ειρηνική μετανάστευση, Υποχρεωτική μετανάστευση, 17ος -18ος αιώνας, Ίδρυση παροικιών σε παραθαλάσσιες πόλεις της Ιταλίας, Εθελοντική μετανάστευση, 15ος - 16ος αιώνας, Οικονομικά αίτια μετανάστευσης, Εγκατάσταση Ελλήνων κατά μήκος των εμπορικών δρόμων, Μετακίνηση προς τα Βαλκάνια,Μετανάστευση λόγω των πολεμικών συγκρούσεων και της επέκτασης των Τούρκων Μετακίνηση προς τα Βαλκάνια) 6o Κριτήριο Αξιολόγησης Κεφ.6: Οι Έλληνες των παροικιών και των Παραδουνάβιων Ηγεμονιών
  • 130.
    σελ. 65 Ιστορία Στ΄ Δημοτικού[Κριτήρια Αξιολόγησης & Διαγωνίσματα] Ενότητα Β [Οι Έλληνες κάτω από την οθωμανική και τη λατινική κυριαρχία (1453-1821)] Έκδοση taexeiola Χριστίνα Τζιτζιλή Πρώτη περίοδος μετανάστευσης Δεύτερη περίοδος μετανάστευσης (Μονάδα 1,5) 3) Να χαρακτηρίσετε τις προτάσεις με (Σ) αν είναι σωστές και με (Λ) αν είναι λανθασμένες και να δικαιολογήσετε τις απαντήσεις σας. α) Η μετανάστευση κατά τη διάρκεια της Τουρκοκρατίαςς πραγματοποιή- θηκε σε δύο χρονικές περιόδους. β) Οι περισσότεροι πρόσφυγες κατάγονταν από την ηπειρωτική Ελλάδα. γ) Οι Έλληνες της Διασποράς δεν ενδιαφέρονταν για τις τουρκοκρα- τούμενες περιοχές. δ) Οι Έλληνες μετανάστες δεν ασχολήθηκαν ούτε με την θρησκέια ούτε με τα γράμματα. ε) Το καταστατικό που συνέτασαν οι πολίτες περιελάμβανε τους σκοπούς, την οργάνωση, τα δικαιώματα και τις υποχρεώσεις των μελών της κοινότητας. στ) Η πνευματική αναγέννηση των υπόδουλων Ελλήνων ξεκίνησε τον 18ο αιώνα από τους Έλληνες της Διασποράς. (Μονάδα 1,5)
  • 131.
    σελ. 66 Ιστορία Στ΄ Δημοτικού[Κριτήρια Αξιολόγησης & Διαγωνίσματα] Ενότητα Β [Οι Έλληνες κάτω από την οθωμανική και τη λατινική κυριαρχία (1453-1821)] Έκδοση taexeiola Χριστίνα Τζιτζιλή 4) α) Στην πρώτη περίοδο της μετανάστευσης από πού κατάγονταν οι περισσότεροι πρόσφυγες και πού εγκαταστάθηκαν; β) Ποια ήταν τα κυριότερα επαγγέλματα που άσκησαν; ____________________________________________________________________ ____________________________________________________________________ ____________________________________________________________________ ____________________________________________________________________ ____________________________________________________________________ ____________________________________________________________________ ____________________________________________________________________ ____________________________________________________________________ ____________________________________________________________________ ____________________________________________________________________ (Μονάδες 2) 5) Τι έκαναν οι Έλληνες μετανάστες όταν έφταναν στους νέους τόπους εγκατάστασης; ____________________________________________________________________ ____________________________________________________________________ ____________________________________________________________________ ____________________________________________________________________ ____________________________________________________________________ ____________________________________________________________________ ____________________________________________________________________ ____________________________________________________________________
  • 132.
    σελ. 67 Ιστορία Στ΄ Δημοτικού[Κριτήρια Αξιολόγησης & Διαγωνίσματα] Ενότητα Β [Οι Έλληνες κάτω από την οθωμανική και τη λατινική κυριαρχία (1453-1821)] Έκδοση taexeiola Χριστίνα Τζιτζιλή ____________________________________________________________________ ____________________________________________________________________ (Μονάδες 2) 6) Τι προσέφεραν οι Έλληνες της Διασποράς στην Τουρκοκρατούμενη Ελλάδα; ____________________________________________________________________ ____________________________________________________________________ ____________________________________________________________________ ____________________________________________________________________ ____________________________________________________________________ ____________________________________________________________________ ____________________________________________________________________ ____________________________________________________________________ ____________________________________________________________________ ____________________________________________________________________ (Μονάδες 2)
  • 133.
    σελ. 68 Ιστορία Στ΄ Δημοτικού[Κριτήρια Αξιολόγησης & Διαγωνίσματα] Ενότητα Β [Οι Έλληνες κάτω από την οθωμανική και τη λατινική κυριαρχία (1453-1821)] Έκδοση taexeiola Χριστίνα Τζιτζιλή 1) Να αντιστοιχίσετε τις μορφές του Νεοελληνικού Διαφωτισμού με την ιδιότητα τους. 1) Δημήτριος Καταρτζής α) λόγιος μοναχός του Άγιου Όρους 2) Ευγένιος Βούλγαρης β) Φαναριώτης νομικός 3) Γρηγόριος Κωνσταντάς γ) συγγραφέας του βιβλίου «Γεωγραφία Νεωτερική» 4) Κοσμάς ο Αιτωλός δ) Κερκυραίος κληρικός 5) Μιχαήλ Περδικάρης ε) Κοζανίτης γιατρός (Μονάδα 1) 2) Να συμπληρώσετε τα κενά στο παρακάτω κείμενο. Το .............. εκδόθηκε στην Ιταλία η ........................... .............................. , ένα έργο άγνωστου συγγραφέα αφιερωμένο στον .................... ........................... . Στο σημαντικό αυτό κείμενο του Διαφωτισμού καταδικάζεται η ................................ και η ............................ και προβάλλεται ως ιδανική διοίκηση η ................................, δηλαδή το πολίτευμα όπου εξουσιάζουν οι νόμοι. (Μονάδα 1) 7o Κριτήριο Αξιολόγησης Κεφ.7: Οι δάσκαλοι του Γένους
  • 134.
    σελ. 69 Ιστορία Στ΄ Δημοτικού[Κριτήρια Αξιολόγησης & Διαγωνίσματα] Ενότητα Β [Οι Έλληνες κάτω από την οθωμανική και τη λατινική κυριαρχία (1453-1821)] Έκδοση taexeiola Χριστίνα Τζιτζιλή 3) Να χαρακτηρίσετε τις προτάσεις με (Σ) αν είναι σωστές και με (Λ) αν είναι λανθασμένες και να δικαιολογήσετε τις απαντήσεις σας. α) Το ιδανικό πολίτευμα που που προβάλλεται στην «Ελληνική Νομαρχία» είναι η νομαρχία. β) Το κήρυγμα του άγιου Κοσμά του Αιτωλού δεν είχε επιρροή στον υπόδουλο ελληνικό λαό. γ) Οι δάσκαλοι του Γένους δίδασκαν σε ναούς, σε σχολεία και σε δημόσιους χώρους. δ) Η «Γεωγραφία Νεωτερική» γράφτηκε στην καθαρέυουσα. ε) Η «Ελληνική Νομαρχία» γράφτηκε από τον Ρήγα Βελεστινλή. στ) Ο Νεοελληνικός Διαφωτισμός ενίσχυσε τη θέληση του ελληνικού λαού να αγωνιστεί για την ελευθερία του. (Μονάδες 2) 4) Τι ήταν η «Ελληνική Νομαρχία»; ____________________________________________________________________ ____________________________________________________________________ ____________________________________________________________________ ____________________________________________________________________ ____________________________________________________________________ ____________________________________________________________________ ____________________________________________________________________ ____________________________________________________________________ (Μονάδα 1)
  • 135.
    σελ. 70 Ιστορία Στ΄ Δημοτικού[Κριτήρια Αξιολόγησης & Διαγωνίσματα] Ενότητα Β [Οι Έλληνες κάτω από την οθωμανική και τη λατινική κυριαρχία (1453-1821)] Έκδοση taexeiola Χριστίνα Τζιτζιλή 5) Τι ήταν οι δάσκαλοι του Γένους και ποιο το έργο τους; ____________________________________________________________________ ____________________________________________________________________ ____________________________________________________________________ ____________________________________________________________________ ____________________________________________________________________ ____________________________________________________________________ ____________________________________________________________________ ____________________________________________________________________ ____________________________________________________________________ (Μονάδες 2,5) 6) α) Τι ονομάστηκε Νεοελληνικός Διαφωτισμός; β) Ποιος ήταν ο Κοσμάς ο Αιτωλός; ____________________________________________________________________ ____________________________________________________________________ ____________________________________________________________________ ____________________________________________________________________ ____________________________________________________________________ ____________________________________________________________________ ____________________________________________________________________ ____________________________________________________________________ ____________________________________________________________________ ____________________________________________________________________ (Μονάδες 2,5)
  • 136.
    σελ. 71 Ιστορία Στ΄ Δημοτικού[Κριτήρια Αξιολόγησης & Διαγωνίσματα] Ενότητα Β [Οι Έλληνες κάτω από την οθωμανική και τη λατινική κυριαρχία (1453-1821)] Έκδοση taexeiola Χριστίνα Τζιτζιλή 1) Να γράψετε δίπλα στο κάθε γεγονός στον πίνακα τη σωστή χρονολογία από την παρένθεση. (1790, 1757, 1748, 1797) Γεννήθηκε ο Ρήγας Βελεστνλής Ο Ρήγας ταξίδεψε στη Βιέννη Οι Αυστριακοί συνέλαβαν τον Ρήγα και τους συνεργάτες του Γεννήθηκε ο Αδαμάντιος Κοραής (Μονάδα 1) 2) Να κατατάξετε τα γεγονότα στη στήλη που ανήκουν. (Γεννήθηκε στο Βελστίνο, Πίστευε στη λογική του ανθρώπου, Μετανάστευσε στο Βουκουρέστι, Καταγόταν από τη Χίο, Στόχος του ήταν η απελέυθέρωση της πατρίδας, Σπόυδασε ιατρική στη Γαλλία, Υπερασπίστηκε τη χρήση μια νέας ελληνικής γλώσσας βασισμένης στην καθομιλουμένη, Συνετέλεσε στην ίδρυση του Ελληνικού Κομιτάτου, Έγραψε τον Θούριο, Τον θανάτωσαν και τον έριξαν στον ποταμό Δούναβη) 8o Κριτήριο Αξιολόγησης Κεφ.8: Ο Ρήγας Βελεστινλής και ο Αδαμάντιος Κοραής
  • 137.
    σελ. 72 Ιστορία Στ΄ Δημοτικού[Κριτήρια Αξιολόγησης & Διαγωνίσματα] Ενότητα Β [Οι Έλληνες κάτω από την οθωμανική και τη λατινική κυριαρχία (1453-1821)] Έκδοση taexeiola Χριστίνα Τζιτζιλή Ρήγας Βελεστινλής Αδαμάντιος Κοραής (Μονάδα 1,5) 3) Να χαρακτηρίσετε τις προτάσεις με (Σ) αν είναι σωστές και με (Λ) αν είναι λανθασμένες και να δικαιολογήσετε τις απαντήσεις σας. α) Ο Ρήγας καταγόταν από πολύ πλούσια οικογένεια. β) Η Αυστρία υποστήριξε την δράση του Ρήγα λόγω των καλών σχέσεων που είχε τότε με την Οθωμανική Αυτοκρατορία. γ) Ο Αδαμάντιος Κοραής γνώρισε τις φιλελέυθερες ιδέες στην Βιέννη όπου ταξίδεψε. δ) Ο Κοραής υποστήριζε τη χρήση της καθαρεύουσας. ε) Ο Κοραής εξέδωσε την περίφημη «Χάρτα της Ελλάδας» που ήταν ένας τεράστιος χάρτης της Ελλάδας. στ) Ο Θούριος ήταν ένας επαναστατικός ύμνος, σύμβολο του αγώνα για την ελευθερία. (Μονάδες 2)
  • 138.
    σελ. 73 Ιστορία Στ΄ Δημοτικού[Κριτήρια Αξιολόγησης & Διαγωνίσματα] Ενότητα Β [Οι Έλληνες κάτω από την οθωμανική και τη λατινική κυριαρχία (1453-1821)] Έκδοση taexeiola Χριστίνα Τζιτζιλή 4) Ποιο ήταν το συγγραφικό και το εκδοτικό έργο του Ρήγα Βελεστινλή; ____________________________________________________________________ ____________________________________________________________________ ____________________________________________________________________ ____________________________________________________________________ ____________________________________________________________________ ____________________________________________________________________ ____________________________________________________________________ ____________________________________________________________________ ____________________________________________________________________ (Μονάδες 2) 5) Ποιο ήταν το συγγραφικό έργο του Αδαμάντιου Κοραή και ποια η βασική φιλοσοφική του αρχή; ____________________________________________________________________ ____________________________________________________________________ ____________________________________________________________________ ____________________________________________________________________ ____________________________________________________________________ ____________________________________________________________________ ____________________________________________________________________ ____________________________________________________________________ ____________________________________________________________________ ____________________________________________________________________ (Μονάδες 2)
  • 139.
    σελ. 74 Ιστορία Στ΄ Δημοτικού[Κριτήρια Αξιολόγησης & Διαγωνίσματα] Ενότητα Β [Οι Έλληνες κάτω από την οθωμανική και τη λατινική κυριαρχία (1453-1821)] Έκδοση taexeiola Χριστίνα Τζιτζιλή 6) Ποιο ήταν το όραμα του Ρήγα Βελεστινλή; ____________________________________________________________________ ____________________________________________________________________ ____________________________________________________________________ ____________________________________________________________________ ____________________________________________________________________ (Μονάδα 1,5)
  • 140.
    σελ. 75 Ιστορία Στ΄ Δημοτικού[Κριτήρια Αξιολόγησης & Διαγωνίσματα] Ενότητα Β [Οι Έλληνες κάτω από την οθωμανική και τη λατινική κυριαρχία (1453-1821)] Έκδοση taexeiola Χριστίνα Τζιτζιλή 1) Να αντιστοιχίσετε τα γεγονότα με τις ημερομηνίες. 1) Ναυμαχία της Ναυπάκτου α) 1600 2) Οι Βενετοί κατέλαβαν σχεδόν όλη την Πελοπόννησο β) 1571 3) Ο Μητροπολίτης Λαρίσης Διονύσιος ξεσήκωσε τους υπόδουλους έλληνες στην ορεινή Θεσσαλία γ) 1699 4) Οι αδελφοί Ορλώφ έφτασαν στη Μάνη δ) 1774 5) Συνθήκη του Κιουτσούκ Καϊναρτζή ε) 1770 6) Οι Έλληνες συνειδητοποίησαν ότι κάθε πρωτοβουλία για απελευθέρωση έπρεπε να προέλθει από τους ίδιους. στ) 1800 (Μονάδα 1,5) 2) Να κάνεις την αντιστόιχιση. 1) Μητροπολίτης Λαρίσης Διονύσιος α) Κλέφτης και πατέρας του ήρωα της Επανάστασης Οδυσσέα Ανδρούτσου 2) Λάμπρος Κατσώνης β) Ξεσήκωσε τους υπόδουλους Έλληνες 9o Κριτήριο Αξιολόγησης Κεφ.9: Τα κυριότερα επαναστατικά κινήματα
  • 141.
    σελ. 76 Ιστορία Στ΄ Δημοτικού[Κριτήρια Αξιολόγησης & Διαγωνίσματα] Ενότητα Β [Οι Έλληνες κάτω από την οθωμανική και τη λατινική κυριαρχία (1453-1821)] Έκδοση taexeiola Χριστίνα Τζιτζιλή στην ορεινή Θεσσαλία 3) Γεώργιος Ανδρίτσος γ) Καταγόταν από τη Λιβαδειά και ήταν αξιωματικός του ρωσικού στρατού. (Μονάδα 1) 3) Να χαρακτηρίσετε τις προτάσεις με (Σ) αν είναι σωστές και με (Λ) αν είναι λανθασμένες και να δικαιολογήσετε τις απαντήσεις σας. α) Στη ναυμαχία της Ναυπάκτου ο τούρκικος στόλος νίκησε πανηγυρικά. β) Οι ελπίδες των υπόδουλων Ελλήνων αναπτερώθηκαν καθώς κυκλοφο- ρούσαν διαδόσεις ότι το «ξανθό γένος» θα τους απελευθέρωνε. γ) Στα τέλη του 18ου αιώνα η ελπίδα των Ελλήνων για απελευθέρωση εξακολουθούσε να στηρίζεται τους Ρώσους. δ) Το κίνημα του Μητροπολίτη Λαρίσης Διονύσιος πέτυχε. (Μονάδα 1,5) 4) α) Πότε και πού έγιναν οι πρώτες εξεγέρσεις υπόδουλων Ελλήνων εναντίον των Οθωμανών; β) Ποια ήταν η δράση του Μητροπολίτη Λαρίσης Διονύσιος; ____________________________________________________________________ ____________________________________________________________________ ____________________________________________________________________ ____________________________________________________________________ ____________________________________________________________________
  • 142.
    σελ. 77 Ιστορία Στ΄ Δημοτικού[Κριτήρια Αξιολόγησης & Διαγωνίσματα] Ενότητα Β [Οι Έλληνες κάτω από την οθωμανική και τη λατινική κυριαρχία (1453-1821)] Έκδοση taexeiola Χριστίνα Τζιτζιλή ____________________________________________________________________ ____________________________________________________________________ ____________________________________________________________________ ____________________________________________________________________ ____________________________________________________________________ (Μονάδες 2) 5) Πού εναπόθεσαν τις ελπίδες τους αρχικά οι υπόδουλοι Έλληνες και πως εξελίχτηκαν οι ελπίδες αυτές; ____________________________________________________________________ ____________________________________________________________________ ____________________________________________________________________ ____________________________________________________________________ ____________________________________________________________________ ____________________________________________________________________ ____________________________________________________________________ ____________________________________________________________________ ____________________________________________________________________ ____________________________________________________________________ (Μονάδες 2) 6) Ποιες ήταν οι συνέπειες τη συνθήκης του Κιουτσούκ Καϊναρτζή; ____________________________________________________________________ ____________________________________________________________________ ____________________________________________________________________
  • 143.
    σελ. 78 Ιστορία Στ΄ Δημοτικού[Κριτήρια Αξιολόγησης & Διαγωνίσματα] Ενότητα Β [Οι Έλληνες κάτω από την οθωμανική και τη λατινική κυριαρχία (1453-1821)] Έκδοση taexeiola Χριστίνα Τζιτζιλή ____________________________________________________________________ ____________________________________________________________________ ____________________________________________________________________ ____________________________________________________________________ ____________________________________________________________________ ____________________________________________________________________ ____________________________________________________________________ (Μονάδες 2)
  • 144.
    σελ. 79 Ιστορία Στ΄ Δημοτικού[Κριτήρια Αξιολόγησης & Διαγωνίσματα] Ενότητα Β [Οι Έλληνες κάτω από την οθωμανική και τη λατινική κυριαρχία (1453-1821)] Έκδοση taexeiola Χριστίνα Τζιτζιλή 1) Να χαρακτηρίσετε τις προτάσεις με (Σ) αν είναι σωστές και με (Λ) αν είναι λανθασμένες και να δικαιολογήσετε τις απαντήσεις σας. α) Οι Σουλιώτες δεν ήταν ικανοί πολεμιστές. β) Οι Τούρκοι δεν μπορούσαν να υποτάξουν τους Σουλιώτες εύκολα. γ) Οι Τούρκοι κατέκτησαν το Σούλι το 1803 μετά από πολλές προσπάθειες. δ) Ο Αλή Πασάς των Ιωαννίνων δεν κατάφερε να μειώσει τη δύναμη του Σουλίου. ε) Ο καλόγερος Σαμουήλ τράπηκε σε φυγή όταν οι Τούρκοι κατέλαβαν τον οχυρό λόφο Κούγκι. στ) Οι Σουλιώτες αρνήθηκαν να βοηθήσουν τον Σουλτάνο να εξοντώσει τον Αλή Πασά γιατί δεν τους προσφέρθηκε αντάλλαγμα . (Μονάδες 2) 2) Να συμπληρώσεις τα κενά με τις κατάλληλες λέξεις. Οι κάτοικοι του Σουλίου ήταν .................... που μιλούσαν ............................. και ............................. . Συχνά έκαναν ........................... στα χωριά του κάμπου, για να εξασφαλίσουν ........................... και ............................... . Οι Σουλιώτες συνήθιζαν να πολεμούν οχυρωμένοι πίσω από ................................... ............................. . Δρούσαν ακόμα και τη ..................... και δε δίσταζαν να επιτεθούν με τα ....................... τους σε μεγαλύτερο αριθμό αντιπάλων. (Μονάδα 1,5) 10o Κριτήριο Αξιολόγησης Κεφ.10: Οι αγώνες των Σουλιωτών
  • 145.
    σελ. 80 Ιστορία Στ΄ Δημοτικού[Κριτήρια Αξιολόγησης & Διαγωνίσματα] Ενότητα Β [Οι Έλληνες κάτω από την οθωμανική και τη λατινική κυριαρχία (1453-1821)] Έκδοση taexeiola Χριστίνα Τζιτζιλή 3) Να βάλετε σε χρονολογική σειρά τα γεγονότα. (Οι Σουλιώτες επέστρεψαν στα χωριά τους, Οι Τούρκοι κατέκτησαν το Σούλι, Οι Σουλιώτες έσπασαν τον κλοιό των Τούρκων, Οι Σουλιώτες εγκατέλειψαν το Σούλι και διασκορπίστηκαν στην Στερεά Ελλάδα και την Πελοπόννησο, Κατάληψη του οχυρού λόφου Κούγκι) 1. ........................................................................................................................... 2. ........................................................................................................................... 3. ........................................................................................................................... 4. ........................................................................................................................... 5. ........................................................................................................................... (Μονάδα 1,5) 4) Πότε κατέλαβε ο Αλή Πασάς το Σούλι και με ποια μέθοδο; ____________________________________________________________________ ____________________________________________________________________ ____________________________________________________________________ ____________________________________________________________________ ____________________________________________________________________ ____________________________________________________________________ ____________________________________________________________________ ____________________________________________________________________ ____________________________________________________________________ ____________________________________________________________________ (Μονάδα 1,5)
  • 146.
    σελ. 81 Ιστορία Στ΄ Δημοτικού[Κριτήρια Αξιολόγησης & Διαγωνίσματα] Ενότητα Β [Οι Έλληνες κάτω από την οθωμανική και τη λατινική κυριαρχία (1453-1821)] Έκδοση taexeiola Χριστίνα Τζιτζιλή 5) Γιατί οι Σουλιώτες θεωρούνταν ικανοί πολεμιστές; ____________________________________________________________________ ____________________________________________________________________ ____________________________________________________________________ ____________________________________________________________________ ____________________________________________________________________ ____________________________________________________________________ ____________________________________________________________________ ____________________________________________________________________ ____________________________________________________________________ ____________________________________________________________________ (Μονάδα 1,5) 6) Τι συνέβη τελικά με τους Σουλιώτες; ____________________________________________________________________ ____________________________________________________________________ ____________________________________________________________________ ____________________________________________________________________ ____________________________________________________________________ ____________________________________________________________________ ____________________________________________________________________ ____________________________________________________________________ ____________________________________________________________________ ____________________________________________________________________ (Μονάδες 2)
  • 147.
    σελ. 82 Ιστορία Στ΄ Δημοτικού[Κριτήρια Αξιολόγησης & Διαγωνίσματα] Ενότητα Β [Οι Έλληνες κάτω από την οθωμανική και τη λατινική κυριαρχία (1453-1821)] Έκδοση taexeiola Χριστίνα Τζιτζιλή 1) Να αντιστοιχίσετε αυτά που ταιριάζουν. 1) Ρήγας Βελεστινλής α) Αξιωματικός του ρωσικού στρατού 2) Μάξιμος Γραίκος β) Δάσκαλος του Γένους 3) Κατσαντώνης γ) Μορφή του Νεοελληνικού Διαφωτισμού, μοναχός, ιεροκήρυκας και μάρτυρας 4) Κοσμάς ο Αιτωλός δ) Ορθόδοξος κληρικός που καλλιέργησε τις σχέσεις με τους Ρώσους 5) Λάμπρος Κατσαντώνης ε) Αρματολός από τη Ρούμελη (Μονάδα 1) 2) Να γράψετε τους ορισμούς για τις παρακάτω λέξεις.  Παιδομάζωμα: _________________________________________________ _________________________________________________________________  Εξισλαμισμοί: __________________________________________________ _________________________________________________________________  Διομολογήσεις: _________________________________________________ _________________________________________________________________  Παροικίες: _____________________________________________________ _________________________________________________________________ (Μονάδες 2) 1ο Επαναληπτικό Διαγώνισμα για την Β’ Ενότητα
  • 148.
    σελ. 83 Ιστορία Στ΄ Δημοτικού[Κριτήρια Αξιολόγησης & Διαγωνίσματα] Ενότητα Β [Οι Έλληνες κάτω από την οθωμανική και τη λατινική κυριαρχία (1453-1821)] Έκδοση taexeiola Χριστίνα Τζιτζιλή 3) Να συμπληρώσεις τα κενά με τις κατάλληλες λέξεις. Οι ............................... ανακαλύψεις, η χρήση νέων ............................... ........................... και ο τερματισμός των .................................. συνέβαλαν στην ................................. της Οθωμανικής Αυτοκρατορίας. Οι έμποροι από τη ............................... ............................ δεν ήταν υποχρεωμένοι να περνούν από το ................................... της για να πάνε στην ...................... ή την ............................. . Έτσι τα κρατικά έσοδα από τους ................................ του εμπορίου σταδιακά .................................. και το νόμισμα .............................. . Ο ..................... , γιος εμπόρου, γεννήθηκε το ........................ στο Βελεστίνο της Θεσσαλίας, το οποίο στην αρχαιότητα ονομαζόταν ............................. .Νεαρός ακόμη, μπήκε στην υπηρεσία των .............................. στην Κωνσταντινούπολη και έπετα μετανάστευσε στο ............................, ως γραμματέας του ηγεμόνα της Βλαχίας. Εκεί επηρεάστηκε από τις ................................. .................................. ιδέες, κάνοντας κύριο στόχο του την ................................. της .................................... (Μονάδα 2) 4) Ποιους φημισμένους Αρματολούς γνωρίζετε; ____________________________________________________________________ ____________________________________________________________________ ____________________________________________________________________ ____________________________________________________________________ ____________________________________________________________________ ____________________________________________________________________
  • 149.
    σελ. 84 Ιστορία Στ΄ Δημοτικού[Κριτήρια Αξιολόγησης & Διαγωνίσματα] Ενότητα Β [Οι Έλληνες κάτω από την οθωμανική και τη λατινική κυριαρχία (1453-1821)] Έκδοση taexeiola Χριστίνα Τζιτζιλή ____________________________________________________________________ ____________________________________________________________________ ____________________________________________________________________ ____________________________________________________________________ (Μονάδα 1) 5) Τι γνωρίζετε για την δεύτερη περίοδο μετανάστευσης; ____________________________________________________________________ ____________________________________________________________________ ____________________________________________________________________ ____________________________________________________________________ ____________________________________________________________________ ____________________________________________________________________ ____________________________________________________________________ ____________________________________________________________________ ____________________________________________________________________ ____________________________________________________________________ (Μονάδες 2) 6) Ποια ήταν η θέση του Οικουμενικού Πατριαρχείου κατά την Τουρκοκρτία και ποιες αρμοδιότητες είχε; ____________________________________________________________________ ____________________________________________________________________ ____________________________________________________________________ ____________________________________________________________________
  • 150.
    σελ. 85 Ιστορία Στ΄ Δημοτικού[Κριτήρια Αξιολόγησης & Διαγωνίσματα] Ενότητα Β [Οι Έλληνες κάτω από την οθωμανική και τη λατινική κυριαρχία (1453-1821)] Έκδοση taexeiola Χριστίνα Τζιτζιλή ____________________________________________________________________ ____________________________________________________________________ ____________________________________________________________________ ____________________________________________________________________ ____________________________________________________________________ ____________________________________________________________________ (Μονάδες 2)
  • 151.
    σελ. 86 Ιστορία Στ΄ Δημοτικού[Κριτήρια Αξιολόγησης & Διαγωνίσματα] Ενότητα Β [Οι Έλληνες κάτω από την οθωμανική και τη λατινική κυριαρχία (1453-1821)] Έκδοση taexeiola Χριστίνα Τζιτζιλή 1) Απαντήστε σύντομα στις ερωτήσεις. α) Ποιος πολεμιστής είχε ορμητήριο του τη Μάνη; ____________________________________________________________________ β) Ποιοι λόγοι συνέβαλαν στην παρακμή της Οθωμανικής Αυτοκρατορίας; ____________________________________________________________________ γ) Πως λεγόταν οι εμπορικές συμφωνίες που έκανα οι δυτικές χώρες με τους Οθωμανούς Σουλτάνους; ___________________________________________________________________ δ) Ποιο ήταν το πρώτο μέλημα των Ελλήνων μεταναστών στη νέα τους πατρίδα; ___________________________________________________________________ (Μονάδα 1) 2) Να χαρακτηρίσετε τις προτάσεις με (Σ) αν είναι σωστές και με (Λ) αν είναι λανθασμένες και να δικαιολογήσετε τις απαντήσεις σας. α) Οι Προεστοί είχαν αξιόλογη μόρφωση και κατείχαν υψηλά αξιώματα στην οθωμανική διοίκηση. β) Οι ιεράρχες και οι Φαναριώτες ήταν ανεξάρτητοι από τον Σουλτάνο. γ) Την παροικία της Οδησσού την ίδρυσαν οι Έλληνες της Μακεδονίας. δ) Οι ξένες δυνάμεις είχαν καλές σχέσεις με την Οθωμανική Αυτοκρατορία και γι αυτό δεν βηθούσαν τους Σουλιώτες. 2ο Επαναληπτικό Διαγώνισμα για την Β’ Ενότητα
  • 152.
    σελ. 87 Ιστορία Στ΄ Δημοτικού[Κριτήρια Αξιολόγησης & Διαγωνίσματα] Ενότητα Β [Οι Έλληνες κάτω από την οθωμανική και τη λατινική κυριαρχία (1453-1821)] Έκδοση taexeiola Χριστίνα Τζιτζιλή ε) Την εξουσία στα Ιόνια νησιά κατείχαν οι Βενετοί ως το 1797. (Μονάδα 1) 3) Να συμπληρώσετε το σταυρόλεξο.
  • 153.
    σελ. 88 Ιστορία Στ΄ Δημοτικού[Κριτήρια Αξιολόγησης & Διαγωνίσματα] Ενότητα Β [Οι Έλληνες κάτω από την οθωμανική και τη λατινική κυριαρχία (1453-1821)] Έκδοση taexeiola Χριστίνα Τζιτζιλή ΟΡΙΖΟΝΤΙΑ 1) Σε εκείνη τη συνοικία βρίσκεται σήμερα η έδρα του Πατριαρχείου. 2) Ονομάστηκαν οι Έλληνες μετανάστες. (αντίστροφα) 3) Σύμβολο αντίστασης των υπόδουλων Ελλήνων στους Οθωμανούε Τούρκους. ΚΑΘΕΤΑ 1) «Ελληνική ............» ονομάστηκε το κείμενο που αφιερώθηκε στον Ρήγα. 2) Αλλιώς οι Προεστοί. 3) Εκεί εγκαταστάθηκαν οι περισσότεροι μετανάστες την πρώτη περίοδο της μετανάστευσης. (Μονάδες 2) 4) Τι γνωρίζεις για τη ζωή του Αδαμάντιου Κοραή; ____________________________________________________________________ ____________________________________________________________________ ____________________________________________________________________ ____________________________________________________________________ ____________________________________________________________________ ____________________________________________________________________ ____________________________________________________________________ ____________________________________________________________________ ____________________________________________________________________ ____________________________________________________________________ (Μονάδες 2)
  • 154.
    σελ. 89 Ιστορία Στ΄ Δημοτικού[Κριτήρια Αξιολόγησης & Διαγωνίσματα] Ενότητα Β [Οι Έλληνες κάτω από την οθωμανική και τη λατινική κυριαρχία (1453-1821)] Έκδοση taexeiola Χριστίνα Τζιτζιλή 5) Πώς έδρασε ο Λάμπρος Κατσαντώνης και ποιος ήταν μαζί του στις επιχειρήσεις; ____________________________________________________________________ ____________________________________________________________________ ____________________________________________________________________ ____________________________________________________________________ ____________________________________________________________________ ____________________________________________________________________ ____________________________________________________________________ ____________________________________________________________________ ____________________________________________________________________ (Μονάδα 1) 6) Πώς οδηγήθηκε στην παρακμή η Οθωαμνική Αυτοκρατορία και ποιες ήταν οι συνέπειες της; ____________________________________________________________________ ____________________________________________________________________ ____________________________________________________________________ ____________________________________________________________________ ____________________________________________________________________ ____________________________________________________________________ ____________________________________________________________________ ____________________________________________________________________ ____________________________________________________________________ (Μονάδες 2)
  • 155.
    σελ. 90 Ιστορία Στ΄ Δημοτικού[Κριτήρια Αξιολόγησης & Διαγωνίσματα] Ενότητα Β [Οι Έλληνες κάτω από την οθωμανική και τη λατινική κυριαρχία (1453-1821)] Έκδοση taexeiola Χριστίνα Τζιτζιλή ΑΑππααννττήήσσεειιςς 11οουυ ΚΚρριιττηηρρίίοουυ ΑΑξξιιοολλόόγγηησσηηςς Απάντηση Θέματος 1 1-δ, 2-γ, 3-στ, 4-ζ, 5-β, 6-ε, 7-α Απάντηση θέματος 2 1-β, 2-γ, 3-α, 4-δ Απάντηση θέματος 3 α- Λ Οι δύο πρώτοι αιώνες της Τουρκοκρατίας ήταν δυσκολότεροι για τους Χριστιανούς και βελτιώθηκαν τους δύο επόμενους αιώνες, από τα μέσα του 16ου αιώνα. β- Λ Ολόκληρη η ελληνική Χερσόνησος πέρασε την οθωμανική κυριαρχία. Μόνο τα Ιόνια Νησιά, με εξαίρεση τη Λευκάδα για κάποια χρονικά διαστήματα, δεν πέρασαν στην οθωμανική εξουσία. γ- Σ δ- Λ Οι Χριστιανοί της Δύσης, κυρίως οι Βενετοί, συνέβαλαν στην οικονομική παρακμή των ντόπιων κατοίκων. ε- Σ Απαντήσεις Θεμάτων Ενότητας Β΄
  • 156.
    σελ. 91 Ιστορία Στ΄ Δημοτικού[Κριτήρια Αξιολόγησης & Διαγωνίσματα] Ενότητα Β [Οι Έλληνες κάτω από την οθωμανική και τη λατινική κυριαρχία (1453-1821)] Έκδοση taexeiola Χριστίνα Τζιτζιλή στ- Λ Οι Έλληνες των βενετοκρατούμενων περιοχών δεν είχαν δικαίωμα να συμμετέχουν στη διοίκηση ενώ τα ανώτερα θρησκευτικά αξιώματα κατείχαν οι Βενετοί. Απάντηση θέματος 4 Από τον 13ο αιώνα η Βυζαντινή αυτοκρατορία αντιμετώπιζε πολλά πολιτικά, κοινωνικά και οικονομικά προβλήματα . Ξένοι λαοί από το Βορρά και την Ανατολή έρχονταν στα εδάφη τους ειρηνικά ή με βίαιο τρόπο. Επιπλέον, οι Χριστιανοί της Δύσης, κυρίως οι Βενετοί εκμεταλλεύονταν τα σημαντικότερα εμπορικά λιμάνια προκαλώντας την οικονομική παρακμή των ντόπιων. Η κατάληξη ήταν η άλωση της Κωνσταντινούπολης το 1453. Απάντηση θέματος 5 Οι δύο πρώτοι αιώνες της Τουρκοκρατίας ήταν οι δυσκολότεροι για τους Χριστιανούς. Την περίοδο αυτή σημειώθηκαν μεγάλες δημογραφικές οικονομικές και κοινωνικές αλλαγές. Κάτοικοι μετακινήθηκαν σε ορεινές περιοχές της Οθωμανικής Αυτοκρατορίας ενώ βυζαντινοί αυτοκράτορες εξαφανίστηκαν μετά την Άλωση και αρκετοί λόγιοι έφυγαν στην Δυτική Ευρώπη. Οι υπόδουλοι Έλληνες όμως κατάφεραν να μην αφομοιωθούν από τους Οθωμανούς και να διαφυλάξουν τη γλώσσα, την παράδοση και την θρησκεία με την βοήθεια της Εκκλησίας. Απάντηση θέματος 6 Τουρκοκρατία ονομάζεται το χρονικό διάστημα από την κατάκτηση της ελληνικής Χερσονήσου, στα μέσα του 15ου αιώνα, μέχρι τη Μεγάλη Επανάσταση του 1821, που οδήγησε στο σχηματισμό του νέου ελληνικού κράτους.
  • 157.
    σελ. 92 Ιστορία Στ΄ Δημοτικού[Κριτήρια Αξιολόγησης & Διαγωνίσματα] Ενότητα Β [Οι Έλληνες κάτω από την οθωμανική και τη λατινική κυριαρχία (1453-1821)] Έκδοση taexeiola Χριστίνα Τζιτζιλή ΑΑππααννττήήσσεειιςς 22οουυ ΚΚρριιττηηρρίίοουυ ΑΑξξιιοολλόόγγηησσηηςς Απάντηση θέματος 1 1-β, 2-α, 3-δ, 4-γ Απάντηση θέματος 2 1-δ, 2-γ, 3-β, 4-α Απάντηση θέματος 3 α- Λ Οι φόροι ήταν πολλοί περισσότεροι για τους υπόδουλους Έλληνες από αυτούς που πλήρωναν οι Μουσουλμάνοι. β-Λ Οι υπόδουλοι Έλληνες αναγκάστηκαν να μετακινηθούν σε απομακρυσμένες και ορεινές περιοχές καθώς τούρκικα και άλλα φύλα εγκαταστάθηκαν στα εύφορα εδάφη. γ-Λ Τα σοβαρά παραπτώματα των χριστιανών δικάζονταν σε μουσουλμανικά δικαστήρια, τα ιεροδικεία και όχι στα εκκλησιαστικά δικαστήρια. δ-Σ ε) Οι Οθωμανοί σουλτάνοι είχαν παραχωρήσει κάποιες ελευθερίες στους υπηκόους τους ωστόσο στην καθημερινότητα υπήρχαν πολλοί περιορισμοί που έκανα τη ζωή σκληρή. στ-Σ Απάντηση θέματος 4
  • 158.
    σελ. 93 Ιστορία Στ΄ Δημοτικού[Κριτήρια Αξιολόγησης & Διαγωνίσματα] Ενότητα Β [Οι Έλληνες κάτω από την οθωμανική και τη λατινική κυριαρχία (1453-1821)] Έκδοση taexeiola Χριστίνα Τζιτζιλή Οι Φαναριώτες ήταν παλιές σημαντικές βυζαντινές οικογένειες που την περίοδο της τούρκικης κατάκτησης παρέμειναν στην Κωνσταντινούπολη και ενώθηκαν με Έλληνες που έφτασαν στην Πόλη από την Καραμανια, τον Πόντο ή τα νησιά του Αιγαίου. Σχημάτισαν μια νέα άρχουσα τάξη γύρω από το Πατριαρχείο και ασχολήθηκαν με τη βιοτεχνία και το εμπόριο απ’ όπου πλούτισαν. Τον 17ο αιώνα οι Φαναριώτες ανέπτυξαν σημαντικό εθνικό ρόλο και προσέφεραν πολλά σε τομείς όπως η εκπαίδευση. Απάντηση θέματος 5 Η καθημερινότητα των υποδούλων Χριστιανών, παρά τις κάποιες ελευθερίες που τους παραχωρούσαν οι Οθωμανοί Σουλτάνοι, ήταν γεμάτη περιορισμούς ειδικά τους πρώτους αιώνες της Τουρκοκρατίας. Πρώτα απ’ όλα, ήταν αναγκασμένοι να κατοικούν σε φτωχικές γειτονιές και επιπλέον στον στρατό κατείχαν μόνο βοηθητικές θέσεις ως ναύτες και ως οδηγοί. Ακόμη, οι σημαντικές δικαστικές υποθέσεις τους δεν εξετάζονταν στα εκκλησιαστικά δικαστήρια αλλά στα μουσουλμανικά ιεροδικεία. Απάντηση θέματος 6 Οι Έλληνες αντιμετώπιζαν πολύ σκληρά μέτρα ειδικά τους πρώτους αιώνες της τούρκικης κυριαρχίας. Συγκεκριμένα, τα μέτρα αυτά ήταν οι σφαγές, οι αιχμαλωσίες, οι εξισλαμισμοί, το παιδομάζωμα αλλά και η εγκατάσταση τούρκικων και άλλων φύλων στις εύφορες περιοχές. Το αποτέλεσμα ήταν να μετακινηθούν οι Έλληνες υποχρεωτικά τόσο στο εξωτερικό όσο και σε απομακρυσμένες και ορεινές περιοχές στο εσωτερικό.
  • 159.
    σελ. 94 Ιστορία Στ΄ Δημοτικού[Κριτήρια Αξιολόγησης & Διαγωνίσματα] Ενότητα Β [Οι Έλληνες κάτω από την οθωμανική και τη λατινική κυριαρχία (1453-1821)] Έκδοση taexeiola Χριστίνα Τζιτζιλή ΑΑππααννττήήσσεειιςς 33οουυ ΚΚρριιττηηρρίίοουυ ΑΑξξιιοολλόόγγηησσηηςς Απάντηση θέματος 1 1-β, 2-γ, 3-α Απάντηση θέματος 2 Οικουμενικό Πατριαρχείο Φαναριώτες Προεστοί ή Δημογέροντες Θρησκευτικά καθήκοντα Διοικητικές αρομοδιότητες Ίδρυση σχολείων Επιβολή φορολογίας στους πιστούς Εκπρόσωπος του ρουμ μιλέτ Κατείχαν υψηλά αξιώματα στην οθωμανική εξουσία Είχαν αξιόλογη μόρφωση και γνώριζαν ξένες γλώσσες Κοινοτικοί άρχοντες εποχής Γνωστοί ως επίτροποι Υπολόγιζαν τον φόρο που αναλογούσε σε κάθε κάτοικο
  • 160.
    σελ. 95 Ιστορία Στ΄ Δημοτικού[Κριτήρια Αξιολόγησης & Διαγωνίσματα] Ενότητα Β [Οι Έλληνες κάτω από την οθωμανική και τη λατινική κυριαρχία (1453-1821)] Έκδοση taexeiola Χριστίνα Τζιτζιλή Απάντηση θέματος 3 α-Λ Οι Οθωμανοί Τούρκοι κατήργησαν τη βυζαντινή διοίκηση αλλά φάνηκαν πιο ανεκτικοί απέναντι στο Οικουμενικό Πατριαρχείο. β-Λ Οι ιεράρχες και οι Φαναριώτες ήταν απόλυτα εξαρτημένοι από τον Σουλτάνο. γ-Σ δ-Λ Κάποιοι ορθόδοξοι κληρικοί αντιμετώπιζαν την τούρκικη κατάκτηση ως θεραπεία σταλμένη από το Θεό για τα σφάλματα των Βυζαντινών αυτοκρατόρων ενώ κάποιοι άλλοι αμφισβητούσαν την υποταγή στους Τούρκους. ε-Λ Οι προεστοί ή δημογέροντες λέγονταν και κοτσαμπάσηδες. στ-Σ Απάντηση θέματος 4 Από τη μια πλευρά μερικοί ορθόδοξοι κληρικοί θεώρησαν την τούρκικη κυριαρχία ως θεραπεία θεόσταλτη για τα λάθη που έκαναν οι Βυζαντινοί αυτοκράτορες και ο βυζαντινός λαός. Από την άλλη όμως υπήρχαν κάποιοι άλλοι κληρικοί που αμφισβητούσαν την τούρκικη υποταγή. Αυτοί ήταν ο Πατριάρχης Νεόφυτος ο Β’ που ήταν επηρεασμένος από τις ευρωπϊκές ιδέες και ο μοναχός Μάξιμος ο Γραίκος που καλλιέργησε στενότερες επαφές με τους Ρώσους και ανακυρήχθηκε άγιος στη Μόσχα. Μάλιστα οι σχέσεις που αναπύχθηκαν έκαναν τους υπόδουλους Έλληνες να ταυτίζουν τους Ρώσους με το «ξανθό γένος» που θα απελευθέρωνε την Κωνσταντινούπολη από τους άπιστους.
  • 161.
    σελ. 96 Ιστορία Στ΄ Δημοτικού[Κριτήρια Αξιολόγησης & Διαγωνίσματα] Ενότητα Β [Οι Έλληνες κάτω από την οθωμανική και τη λατινική κυριαρχία (1453-1821)] Έκδοση taexeiola Χριστίνα Τζιτζιλή Απάντηση θέματος 5 Οι κοινοτικοί άρχοντες την εποχή της Τουρκοκρατίας ήταν γνωστοί ως επίτροποι, δημογέροντες, προεστοί και κοτζαμπάσηδες. Ο ρόλος τους ήταν να υπολογίζουν τον φόρο που αναλογούσε σε κάθε κάτοικο για λογαριασμό της οθωμανικής διοίκησης. Όσο περνούσε ο χρόνος αρκετοί από αυτούς απέκτησαν μεγάλη περιουσία και πολιτική δύναμη. Απάντηση θέματος 6 Οι Τούρκοι αναγνωρίζοντας ότι δεν είχαν κατάλληλα οργανωμένο διοικητικό μηχανισμό υποχρεώθηκαν να σεβαστούν την τοπική ηγεσία κάθε χωριού και να τους αναθέσουν τον υπολιγσμό της φορολογίας για τους κατοίκους.
  • 162.
    σελ. 97 Ιστορία Στ΄ Δημοτικού[Κριτήρια Αξιολόγησης & Διαγωνίσματα] Ενότητα Β [Οι Έλληνες κάτω από την οθωμανική και τη λατινική κυριαρχία (1453-1821)] Έκδοση taexeiola Χριστίνα Τζιτζιλή ΑΑππααννττήήσσεειιςς 44οουυ ΚΚρριιττηηρρίίοουυ ΑΑξξιιοολλόόγγηησσηηςς Απάντηση θέματος 1 1-β, 2-γ, 3-δ, 4-ε, 5-α Απάντηση θέματος 2 1-γ, 2-δ, 3-β, 4-α Απάντηση θέματος 3 α-Λ Οι Κλέφτες ήταν σύμβολο αντίστασης των υπόδουλων Ελλήνων ενάντια στους κατακτητές. β-Λ Οι Αρματολοί συνεργάζονταν συνήθων με τους Κλέφτες. γ-Λ Η Μάνη ήταν το ορμητήριο του Κορκόδειλου Κλαδά. δ-Λ Τα λήμερια των κλεφτών ήταν σε δύσβατα μέρη. ε-Σ στ-Σ Απάντηση θέματος 4 Οι Κλέφτες ήταν ένοπλοι Έλληνες κατά την Τουρκοκρατία. Ζούσαν στην ύπαιθρο και τα λήμέρια τους, δηλαδή τα κρυσφήγετα τους, ήταν σε δύσβατες περιοχές. Είχαν οργανωθεί σε ομάδες με δικό τους καπετάνιο και λάβαρο που ονομαζόταν μπαϊράκι. Το χαρακτηριστικό τους ήταν το μίσος απέναντι στους Τούρκους και στην εξουσία. Ο λαός τους αγαπόυσε πολύ και τους θεωρούσε σύμβολο τους αγώνα τους ενάντια στους κατακτητές.
  • 163.
    σελ. 98 Ιστορία Στ΄ Δημοτικού[Κριτήρια Αξιολόγησης & Διαγωνίσματα] Ενότητα Β [Οι Έλληνες κάτω από την οθωμανική και τη λατινική κυριαρχία (1453-1821)] Έκδοση taexeiola Χριστίνα Τζιτζιλή Απάντηση θέματος 5 Οι Αρματολοί ήταν πρώην κλέφτες που τους χρησιμοποιούσαν οι Τούρκοι για την αποκατάσταση της ασφάλειας της υπαίθρου. Ήταν ένοπλες ομάδες και αποτελούσαν βοηθητικά στρατεύματα των Τούρκων. Εκείνοι όμως συνήθως συνεργάζονταν με τους Κλέφτες και μάλιστα τους τελευταίους αιώνες της Τουρκοκρατίας πολλοί από αυτούς εγκατέλειψαν τις θέσεις τους και συμμετείχαν στις ομάδες των Κλεφτών. Απάντηση θέματος 6 Μερικοί από τους πιο φημισμένους αρματολούς της Τουρκοκρατίας ήταν ο Γεώργιος Ανδρίτσος, ο Κατσαντώνης στη Ρούμελη, ο Νικοτσάρας στον Όλυμπο, οι Σουλιώτες Γεώργιος Μπότσαρης και Λάμπρος Τζαβέλλας και άλλοι. Κάποιοι από τους απογόνους τους συμμετείχαν στη Μεγάλη Επανάσταση του 1821.
  • 164.
    σελ. 99 Ιστορία Στ΄ Δημοτικού[Κριτήρια Αξιολόγησης & Διαγωνίσματα] Ενότητα Β [Οι Έλληνες κάτω από την οθωμανική και τη λατινική κυριαρχία (1453-1821)] Έκδοση taexeiola Χριστίνα Τζιτζιλή ΑΑππααννττήήσσεειιςς 55οουυ ΚΚρριιττηηρρίίοουυ ΑΑξξιιοολλόόγγηησσηηςς Απάντηση θέματος 1 1-β, 2-γ, 3-α, 4-ε, 5-δ Απάντηση θέματος 2 Λόγοι παρακμής Αποτελέσματα παρακμής Γεωγραφικές ανακαλύψεις Χρήση νέων εμπορικών δρόμων Οι έμποροι της Δυτικής Ευρώπης δεν αναγκάζονταν να περνούν από τα εδάφη της γα να πάνε στην Κίνα ή την Ινδία Τέλος κατακτήσεων Το νόμισμα της υποτιμήθηκε Τα κρατικά έσοδα από τους φόρους εμπορίου μειώθηκαν Η οικονομική δραστηριότητα πέρασε στα χέρια των Ελλήνων Απάντηση θέματος 3 α-Λ Οι Διομολογήσεις υπογράφηκαν ανάμεσα στις χώρες της Δυτικής Ευρώπης με τους Οθωμανούς Σουλτάνους. β-Λ Λίγο πριν ξεσπάσει η Επανάσταση του 1821 η θέση των Ελλήνων είχε βελτιωθεί λόγω της οικονομικής άνθισης.
  • 165.
    σελ. 100 Ιστορία Στ΄ Δημοτικού[Κριτήρια Αξιολόγησης & Διαγωνίσματα] Ενότητα Β [Οι Έλληνες κάτω από την οθωμανική και τη λατινική κυριαρχία (1453-1821)] Έκδοση taexeiola Χριστίνα Τζιτζιλή γ -Σ δ- Λ Τα πληρώματα του ελληνικού εμπορικού στόλου ήταν πολύ έμπειρα στη ναυσιπλοϊα και την αντιμετώπιση πειρατών. ε-Σ στ-Σ Απάντηση θέματος 4 Η οικονομία της Οθωμανικής Αυτοκρατορίας βασιζόταν στις αγροτικές καλλιέργειες (σιτάρι, κριθάρι, βαμβάκι, καπνός, λάδι, σταφίδα). Οι αγρότες και οι κτηνοτρόφοι ζούσαν μόνιμα σε ένα τόπο ή ήταν νομάδες. Προμήθευαν με πρώτες ύλες τη βιοτεχνία για την παραγωγή νημάτων και υφαντών. Η παραγωγή ικανοποιούσε κυρίως τις ανάγκες του σπιτιού. Τα προϊόντα που περίσσευαν τα πουλούσαν στις τοπικές αγορές ή στο εξωτερικό και τα αντάλλασαν κυρίως με βιομηχανικά εργαλεία και άλλα προϊόντα. Απάντηση θέματος 5 Η ανάπτυξη του εμπορίου και της ναυσιπλοϊας είχαν θετικά αποτελέσματα για τον ελληνικό λαό. Πρώτα απ’ όλα, οι Έλληνες έμποροι ανέπτυξαν τη δραστηριότητα τους στην Κεντρική και τη Δυτική Ευρώπη και τη Ρωσία. Εκεί ίδρυσαν παροικίες και ανέλαβαμ μεγάλο μέρος του εισαγωγικού και εξαγωγικού εμπορίου της Δύσης και της Ανατολής. Με τον τρόπο αυτό πλούτισαν σημαντικά. Εκτός όμως από τα προϊόντα που έρχονταν στην Οθωμανική Αυτοκρατορία μεταδίδονταν και επαναστατικές ιδέες από την Ευρώπη. Επιπλέον στα θετικά συγκαταλέγεται η δημιουργία σπουδαίου ελληνικού εμπορικού στόλοθ με έμπειρα και ικανά πληρώματα στη ναυσιπλοϊα και την αντιμετώπιση των πειρατών. Τέλος,
  • 166.
    σελ. 101 Ιστορία Στ΄ Δημοτικού[Κριτήρια Αξιολόγησης & Διαγωνίσματα] Ενότητα Β [Οι Έλληνες κάτω από την οθωμανική και τη λατινική κυριαρχία (1453-1821)] Έκδοση taexeiola Χριστίνα Τζιτζιλή η Κοζάνη, η Μοσχόπολη, τα Ιωάννινα, η Θεσσαλονίκη, η Χίος, η Ύδρα, τα Ψαρά και άλλα μέρη έγιναν σημαντικά εμπορικά κέντρα. Απάντηση θέματος 6 Οι δύο συνθήκες που ωφέλησαν τους Έλληνες ήταν η Συνθήκη του Κάρλοβιτς που υπογράφτηκε το 1669 όταν η Οθωμανική Αυτοκρατορία νικήθηκε στον πόλεμο με τους Αυστριακούς και η Συνθήκη του Κιουτσούκ Καϊναρτζή που υπογράφτηκε το 1774 μετά την ήττα στον πόλεμο με τους Ρώσους. Οι δύο αυτές συνθήκες επηρέαζαν τις εσωτερικές εξελίξεις στη Οθωμανική Αυτοκρατορία.
  • 167.
    σελ. 102 Ιστορία Στ΄ Δημοτικού[Κριτήρια Αξιολόγησης & Διαγωνίσματα] Ενότητα Β [Οι Έλληνες κάτω από την οθωμανική και τη λατινική κυριαρχία (1453-1821)] Έκδοση taexeiola Χριστίνα Τζιτζιλή ΑΑππααννττήήσσεειιςς 66οουυ ΚΚρριιττηηρρίίοουυ ΑΑξξιιοολλόόγγηησσηηςς Απάντηση θέματος 1 Έλληνες του Πόντου Έλληνες της Μακεδονίας Άλλοι Έλληνες Καύκασος Κριμαία Οδησσός Βιέννη Τεργέστη Σερβία Ουγγαρία Παραδουνάβιες Ηγεμονίες Βλαχία Μολδαβία Απάντηση θέματος 2 Πρώτη περίοδος μετανάστευσης Δεύτερη περίοδος μετανάστευσης Υποχρεωτική μετανάστευση Ίδρυση παροικιών σε παραθαλάσσιες πόλεις της Ιταλίας 15ος -16ος αιώνας Μετανάστευση λόγω των πολεμικών συγκρούσεων και της επέκτασης των Τούρκων Ειρηνική μετανάστευση 17ος -18ος αιώνας Εθελοντική μετανάστευση Οικονομικά αίτια μετανάστευσης Εγκατάσταση Ελλήνων κατά μήκος των εμπορικών δρόμων Μετακίνηση προς τα Βαλκάνια Απάντηση θέματος 3 α -Σ β –Λ Οι περισσότεροι πρόσφυγες κατάγονταν από νησιά και παραθαλάσσια μέρη.
  • 168.
    σελ. 103 Ιστορία Στ΄ Δημοτικού[Κριτήρια Αξιολόγησης & Διαγωνίσματα] Ενότητα Β [Οι Έλληνες κάτω από την οθωμανική και τη λατινική κυριαρχία (1453-1821)] Έκδοση taexeiola Χριστίνα Τζιτζιλή γ–Λ Οι Έλληνες της Διασποράς ενδιαφέρονταν για τις τουρκοκρατούμενες περιοχές καθώς ενίσχυαν οικονομικά τα ελληνικά σχολεία και έχτιζαν πολυτελείς κατοικίες στους τόπους καταγωγής με τα πλούτη που διέθεταν. δ–Λ Οι Έλληνες μετανάστες είχαν ως πρώτο μέλημα την ανέγερση ναού για την τέλεση των θρησκευτικών καθηκόντων τους και αργότερα έχτισαν σχολεά και εξέδωσαν βιβλία. ε –Σ στ –Σ Απάντηση θέματος 4 α)Την πρώτη περίοδο της μετανάστευσης οι περισσότεροι πρόσφυγες κατάγονταν από νησία όπως η Κύπρος και η Κρήτη και από παραθαλάσσιες περιοχές όπως η Μονεμβασιά, η Μάνη, το Ναύπλιο και η Ήπειρος. Μετανάστευσαν σε παραθαλλάσια μέρη της Ιταλίας και άλλα μέρη της Ευρώπης και ίδρυσαν εκεί παροικίες. β) Τα κυριότερα επαγγέλματα που ασκούσαν ήταν το επάγγελμα του στρατιώτη, του ναυτικού, του τεχνίτη, του εμπόρου,του αντιγραφέα χειρογράφων και του δασκάλου σε ανώτατα εκπαιδευτικά ιδρύματα. Απάντηση θέματος 5 ‘Οταν έφταναν στους νέους τόπους εγκατάστασης οι Έλληνες μετανάστες αρχικά φρόντιζαν να χτίσουν ναούς ώστε να έχουν μέρος να τελούν τα θρησκευτικά καθήκοντα τους. Επιπλέον συνέτασσαν το καταστατικό που περιελάμβανε τους σκοπούς, την οργάνωση , τα δικαιώματα και τις υποχρεώσεις που είχαν τα μέλη της κοινότητας. Αργότερα, έχτισαν μοναστήρια και κοινοτικά
  • 169.
    σελ. 104 Ιστορία Στ΄ Δημοτικού[Κριτήρια Αξιολόγησης & Διαγωνίσματα] Ενότητα Β [Οι Έλληνες κάτω από την οθωμανική και τη λατινική κυριαρχία (1453-1821)] Έκδοση taexeiola Χριστίνα Τζιτζιλή σχολεία όπως το Φλαγγινιανό Φροντιστήριο στη Βενετία ενώ ασχολήθηκαν και με την έκδοση ελληνικών βιβλίων, περιοδικών και εφημερίδων. Απάντηση θέματος 6 Οι Έλληνες της Διασποράς, δηλαδή οι μετανάστες, κατάφεραν να πλουτίσουν και με αυτόν τον τρόπο ενίσχυσαν οικονομικά τα ελληνικά σχολεία στην Οθωμανική Αυτοκρατορία. Επίσης, έχτιζαν πολυτελείς κατοικίες, τα αρχοντικά, στους τόπους καταγωγής τους τους όπως στη Σιάτιστα, τη Καστοριά, την Κοζάνη, τα Ζαχοροχώρια και τα χωριά του Πηλίου. Από αυτούς ξεκίνησε η πνευματική αναγέννηση του υποδουλωμένου λαού τον 18ο αιώνα.
  • 170.
    σελ. 105 Ιστορία Στ΄ Δημοτικού[Κριτήρια Αξιολόγησης & Διαγωνίσματα] Ενότητα Β [Οι Έλληνες κάτω από την οθωμανική και τη λατινική κυριαρχία (1453-1821)] Έκδοση taexeiola Χριστίνα Τζιτζιλή ΑΑππααννττήήσσεειιςς 77οουυ ΚΚρριιττηηρρίίοουυ ΑΑξξιιοολλόόγγηησσηηςς Απάντηση θέματος 1 1-β, 2-δ, 3-γ, 4-α, 5-ε Απάντηση θέματος 2 Το 1806 εκδόθηκε στην Ιταλία η «Ελληνική Νομαρχία», ένα έργο άγνωστου συγγραφέα αφιερωμένο στον Ρήγα Βελεστινλή. Στο σημαντικό αυτό κείμενο του Διαφωτισμού καταδικάζεται η «αναρχία» και η «μοναρχία» και προβάλλεται ως ιδανική διοίκηση η «νομαρχία», δηλαδή το πολίτευμα όπου εξουσιάζουν οι νόμοι. Απάντηση θέματος 3 α-Λ Το ιδανικό πολίτευμα που που προβάλλεται στην «Ελληνική Νομαρχία» είναι η «νομαρχία», δηλαδή το πολίτευμα όπου εξουσιάζουν οι νόμοι. β-Λ Το κήρυγμα του άγιου Κοσμά του Αιτωλού έβρισκε μεγάλη απήχηση στον υπόδουλο ελληνικό λαό. γ-Σ δ-Λ Η «Γεωγραφία Νεωτερική» γράφτηκε στη δημοτική γλώσσα. ε-Λ Η «Ελληνική Νομαρχία» αφιερώθηκε στον Ρήγα Βελεστινλή. στ-Σ Απάντηση θέματος 4 Η «Ελληνική Νομαρχία» ήταν ένα κείμενο χαρακτηριστικό του Νεοελληνικού Διαφωτισμού. Εκδόθηκε το 1806 στην Ιταλία από άγνωστο συγγραφέα και είναι
  • 171.
    σελ. 106 Ιστορία Στ΄ Δημοτικού[Κριτήρια Αξιολόγησης & Διαγωνίσματα] Ενότητα Β [Οι Έλληνες κάτω από την οθωμανική και τη λατινική κυριαρχία (1453-1821)] Έκδοση taexeiola Χριστίνα Τζιτζιλή αφιερωμένο στον Ρήγα Βελεστινλή. Το έργο αυτό προβάλλει το ιδανικό πολίτευμα που συντελεί στην πρόοδο των κοινωνιών ενώ ως ιδανική διοίκηση αναφέρει την «νομαρχία» που είναι το πολίτευμα όπου εξουσιάζουν οι νόμοι. Μάλιστα εναντιώνεται και απορρίπτει την «αναρχία» και την «μοναρχία». Απάντηση θέματος 5 Οι δάσκαλοι του Γένους ήταν μορφωμένοι Έλληνες οι οποίοι κατά την Τουρκοκρατία βοήθησαν στην πνευματική αναγέννηση του έθνους μέσω της παιδείας. Αρκετοί από αυτούς ήταν ή έγιναν αργότερα κληρικοί. Μερικοί σπούδασαν στην τουρκοκρατούμενη Ελλάδα ενώ άλλοι στα Ιόνια Νησιά, στις Παραδουνάβιες Ηγεμονίες ή στο εξωτερικό. Το έργο τους ήταν πολύ σημαντικό. Δίδασκαν σε ναούς, σχολεία και σε δημόσιους χώρους. Ακόμη, έγραφαν επιστολές και άρθρα σε περιοδικά και εφημερίδες αλλά και ολόκλητα βιβλία. Τα τελευταία τα τύπωναν με τη βοήθεια της Εκκλησίας, των Φαναριωτών ηγεμόνων ή φιλομαθών εμπόρων. Βοήθησαν στην ίδρυση σχολείων, την τόνωση της ελληνικής παιδείας και στην ιδεολογική προετοιμασία της Μεγάλης Επανάστασης του 1821 αλλά και του Φιλελληνισμού στη Δύση. Απάντηση θέματος 6 α) Νεοελληνικός Διαφωτισμός ονομάστηκε το πνευματικό κίνημα του 18ου και αρχές 19ου αιώνα, κατά το οποίο μεταδόθηκαν οι ιδέες του Ευρωπαϊκού Διαφωτισμού στον υπόδουλο ελληνισμό από φωτισμένους πνευματικούς άντρες που έζησαν στη Δύση. Οι ιδέες αυτές αφορούσαν φιλελεύθερες και ριζοσπαστικές απόψεις που δυνάμωσαν την επαναστατική διάθεση των υπόδουλων Ελλήνων.
  • 172.
    σελ. 107 Ιστορία Στ΄ Δημοτικού[Κριτήρια Αξιολόγησης & Διαγωνίσματα] Ενότητα Β [Οι Έλληνες κάτω από την οθωμανική και τη λατινική κυριαρχία (1453-1821)] Έκδοση taexeiola Χριστίνα Τζιτζιλή β) Ο άγιος Κοσμάς ο Αιτωλός υπήρξε σημαντική μορφή του Νεοελληνικού Διαφωτισμού. Ήταν λόγιος μοναχός του Αγίου Όρους, ιεροκήρυκας και μάρτυρας. Κήρυττε ιδέες που συνδύαζαν την παιδεία, τη θρησκευτική πίστη και την εθνική συνείδηση μαζί με το πνέυμα του Διαφωτισμού. Έκανε περιοδείες στην τουρκοκρατούμενη ελληνική ύπαιθρο και κήρυττε στον υπόδουλο ελληνικό πληθυσμό. Στόχευε στον περιορισμό των εξισλαμισμών και γι αυτό το λόγο ίδρυε σχολεία.
  • 173.
    σελ. 108 Ιστορία Στ΄ Δημοτικού[Κριτήρια Αξιολόγησης & Διαγωνίσματα] Ενότητα Β [Οι Έλληνες κάτω από την οθωμανική και τη λατινική κυριαρχία (1453-1821)] Έκδοση taexeiola Χριστίνα Τζιτζιλή ΑΑππααννττήήσσεειιςς 88οουυ ΚΚρριιττηηρρίίοουυ ΑΑξξιιοολλόόγγηησσηηςς Απάντηση θέματος 1 Γεννήθηκε ο Ρήγας Βελεστινλής 1757 Ο Ρήγας ταξίδεψε στη Βιέννη 1790 Οι Αυστριακοί συνέλαβαν τον Ρήγα και τους συνεργάτες του 1797 Γεννήθηκε ο Αδαμάντιος Κοραής 1748 Απάντηση θέματος 2 Ρήγας Βελεστινλής Αδαμάντιος Κοραής Γεννήθηκε στο Βελστίνο Μετανάστευσε στο Βουκουρέστι Στόχος του ήταν η απελέυθέρωση της πατρίδας Έγραψε τον Θούριο Τον θανάτωσαν και τον έριξαν στον ποταμό Δούναβη Καταγόταν από τη Χίο Σπόυδασε ιατρική στη Γαλλία Υπερασπίστηκε τη χρήση μια νέας ελληνικής γλώσσας βασισμένης στην καθομιλουμένη Πίστευε στη λογική του ανθρώπου Συνετέλεσε στην ίδρυση του Ελληνικού Κομιτάτου Απάντηση θέματος 3 α-Λ Ο Κοραής καταγόταν από πολύ πλούσια οικογένεια της Χίου. β-Λ Η Αυστρία αντέδρασε στη δράση του Ρήγα παρά τις καλές σχέσεις που
  • 174.
    σελ. 109 Ιστορία Στ΄ Δημοτικού[Κριτήρια Αξιολόγησης & Διαγωνίσματα] Ενότητα Β [Οι Έλληνες κάτω από την οθωμανική και τη λατινική κυριαρχία (1453-1821)] Έκδοση taexeiola Χριστίνα Τζιτζιλή είχε τότε με την Οθωμανική Αυτοκρατορία. γ-Λ Ο Αδαμάντιος Κοραής γνώρισε τις φιλελέυθερες ιδέες στη Γαλλία όπου εγκαταστάθηκε και σπούδασε ιατρική και έζησε τη Γαλλική Επανάσταση. δ-Λ Ο Κοραής υποστήριζε τη χρήση μια γλώσσας που θα είχε ως βάση της την καθομιλουμένη γλώσσα της εποχής. ε-Λ Ο Ρήγας εξέδωσε την περίφημη «Χάρτα της Ελλάδας» που ήταν ένας τεράστιος χάρτης της Ελλάδας. στ-Σ Απάντηση 4 Ο Ρήγας είχε πολύ σημαντικό συγγραφικό και εκδοτικό έργο. Ανάμεσα σε αυτά που εξέδωσε ήταν γαλλικά μυθιστορήματα μεταφρασμένα στη δημοτική γλώσσα, ένα σχολικό βιβλίο Φυσικής, μία εικόνα του Μεγάλου Αλεξάνδρου και έναν πολύ μεγάλο χάρτη της Ελλάδας, την «Χάρτα της Ελλάδας». Το πιο ξεχωριστό του έργο ήταν ο «Θούριος», ένας επαναστατικό ύμνος γεμάτος πάθος, που μίλησε στις ψυχές των υπόδουλων νλεων και έγινε σύμβολο του αγώνα για την απελευθέρωση. Απάντηση θέματος 5 Ο Κοραής είχε σπουδαίο συγγραφικό έργο και έπαιξε σημαντικό ρόλο στην ιδεολογική προετοιμασία της Μεγάλης Επανάστασης. Έγραψε το ποίημα «Σάλπισμα Πολεμιστήριον» και συμβουλευτικές επιστολές. Η βασική φιλοσοφική του αρχή ήταν η πίστη στη λογική του ανθρώπου που αποτελούσε αρχή και όλων των εκπροσώπων του Νεοελληνικού Διαφωτισμού.
  • 175.
    σελ. 110 Ιστορία Στ΄ Δημοτικού[Κριτήρια Αξιολόγησης & Διαγωνίσματα] Ενότητα Β [Οι Έλληνες κάτω από την οθωμανική και τη λατινική κυριαρχία (1453-1821)] Έκδοση taexeiola Χριστίνα Τζιτζιλή Απάντηση θέματος 6 Ο Ρήγας Βελεστινλής είχε ως όραμα την απελευθέρωση τους από τους Τούρκους μέσω της συνεργασίας όλων των υπόδουλων βαλκανικών λαών και τη δημιουργία ενός ευνομούμενου κράτους. Επιπλέον, οραματιζόταν ένα δημοκρατικό κράτος βασισμένο στην ελληνική παιδεία και γλώσσα.
  • 176.
    σελ. 111 Ιστορία Στ΄ Δημοτικού[Κριτήρια Αξιολόγησης & Διαγωνίσματα] Ενότητα Β [Οι Έλληνες κάτω από την οθωμανική και τη λατινική κυριαρχία (1453-1821)] Έκδοση taexeiola Χριστίνα Τζιτζιλή ΑΑππααννττήήσσεειιςς 99οουυ ΚΚρριιττηηρρίίοουυ ΑΑξξιιοολλόόγγηησσηηςς Απάντηση θέματος 1 1-β, 2-γ, 3-α, 4-ε, 5-δ, 6-στ Απάντηση θέματος 2 1-β, 2-γ, 3-α Απάντηση θέματος 3 α-Λ Στη ναυμαχία της Ναυπάκτου ο τούρκικος στόλος καταστράφηκε ολοκληρωτικά από τους Δυτικούς. β-Σ γ-Λ Στα τέλη του 18ου αιώνα η ελπίδα των Ελλήνων για απελευθέρωση στράφηκαν και προς τους Γάλλους του Ναπολέοντα. δ-Λ Το κίνημα του Μητροπολίτη Λαρίσης Διονύσιος απέτυχε. Απάντηση θέματος 4 α) Τον 16ο αιώνα εκδηλώθηκαν πολλές εξεγέρσεις των υπόδουλων Ελλήνων εναντίον των Οθωμανών. Πολλοί Κερκυραίοι, Κρητικοί και κυρίως Μανιάτες πολέμησαν εναντίον των Τούρκων με το μέρος των Βενετών και των Ισπανών αλλά και μόνοι τους. Οι συγκρόυσεις έγιναν τόσο στην ξηρά όσο και στη θάλασσα. Στη Ναυμαχία της Ναυπάκτου το 1571 συμμετείχαν και ελληνικά πλοία και το αποτέλεσμα ήταν να καταστραφεί ολοσχερώς ο τουρκικός στόλος.
  • 177.
    σελ. 112 Ιστορία Στ΄ Δημοτικού[Κριτήρια Αξιολόγησης & Διαγωνίσματα] Ενότητα Β [Οι Έλληνες κάτω από την οθωμανική και τη λατινική κυριαρχία (1453-1821)] Έκδοση taexeiola Χριστίνα Τζιτζιλή β) Παρόμοιες κινήσεις έγιναν και στη Θεσσαλία το 1600 με τον Μητροπολίτη Λαρίσης Διονύσιο. Ο Μητροπολίτης ήταν γνωστός ως Φιλόσοφος και η δράση του ήταν να παρακινήσει τους υπόδουλους Έλληνες να ξεσηκωθούν. Το κίνημα όμως απέτυχε και έτσι αναγκάστηκε να διαφύγει στη Ρώμη και στη συνέχεα στην Ισπανία για να ζητήσει ενισχύσεις. Επέστρεψε εννιά χρόνια αργότερα και έκανε αγώνα για να παροτρύνει του κατοίκους της Θεσπρωτίας να ξεσηκωθούν Απάντηση θέματος 5 Τον 18ο αιώνα η Ρωσία ανέλαβε δράση ενεργά. Το γεγονός αυτό έκανε τους υπόδουλους Έλληνες να εναποθέσουν τις ελπίδες τους στο «ξανθό γένος», δηλαδή τους Ρώσους, λόφω των διαδόσεων που κυκλοφορούσαν ότι εκείνοι θα έφερναν την απελευθέρωση στο υποδουλωμένο έθνος. Αργότερα, στα τέλη του 18ου αιώνα, άρχισαν να διαδίδονται οι φιλελέυθερες ιδέες της Γαλλικής Επανάστασης και έτσι οι Έλληνες άρχισαν να στρέφουν τις ελπίδες τους στους Γάλλους του Ναπολέοντα. Μόνο όμως γύρω στο 1880 κατάλαβαν ότι πρέπει να στηρίζονται στις δικές τους δυνάμεις και προσπάθειες για να απελευθερώσουν την πατρίδα τους. Απάντηση θέματος 6 Η Συνθήκη του Κιουτσούκ Καϊναρτζή υπογράφτηκε το 1774 μετά την ναυμαχία του Τσεσμέ. Με τη συνθήκη αυτή οι συγκρούσεις τερματίστηκαν. Η Ρωσία απέκτησε έτσι το δικαίωμα να επεμβαίνει στα εσωτερικά της Οθωμανικής Αυτοκρατορίας για να προστατεύεσει με αυτόν τον τρόπο τους Χριστιανούς κατοίκους της περιοχής. Επιπλέον, οι Έλληνες έμποροι μπορούσαν πλέον να υψώνουν στα καράβια τους τη ρωσική σημαία.
  • 178.
    σελ. 113 Ιστορία Στ΄ Δημοτικού[Κριτήρια Αξιολόγησης & Διαγωνίσματα] Ενότητα Β [Οι Έλληνες κάτω από την οθωμανική και τη λατινική κυριαρχία (1453-1821)] Έκδοση taexeiola Χριστίνα Τζιτζιλή ΑΑππααννττήήσσεειιςς 1100οουυ ΚΚρριιττηηρρίίοουυ ΑΑξξιιοολλόόγγηησσηηςς Απάντηση θέματος 1 α-Λ Οι Σουλιώτες ήταν ικανότατοι πολεμιστές. β-Σ γ-Σ δ-Λ Ο Αλή Πασάς των Ιωαννίνων κατάφερε να μειώσει την άμυνα του Σουλίου διώχνοντας κάποιους από τους αρχηγούς τους. ε-Λ Ο καλόγερος Σαμουήλ ανατινάχτηκε όταν οι Τούρκοι κατέλαβαν τον οχυρό λόφο Κούγκι. στ-Λ Οι Σουλιώτες δέχτηκαν να βοηθήσουν τον Σουλτάνο να εξοντώσει τον Αλή Πασά με αντάλλαγμα να επιστρέψουν στα χωριά τους και να κατοικήσουν εκεί μόνιμα. Απάντηση θέματος 2 Οι κάτοικοι του Σουλίου ήταν βοσκοί που μιλούσαν ελληνικά και αρβανίτικα. Συχνά έκαναν επιδρομές στα χωριά του κάμπου, για να εξασφαλίσουν ζώα και γεννήματα. Οι Σουλιώτες συνήθιζαν να πολεμούν οχυρωμένοι πίσω από φυσικά εμπόδια. Δρούσαν ακόμα και τη νύχτα και δε δίσταζαν να επιτεθούν με τα σπαθιά τους σε μεγαλύτερο αριθμό αντιπάλων. Απάντηση θέματος 3 1. Οι Τούρκοι κατέκτησαν το Σούλι
  • 179.
    σελ. 114 Ιστορία Στ΄ Δημοτικού[Κριτήρια Αξιολόγησης & Διαγωνίσματα] Ενότητα Β [Οι Έλληνες κάτω από την οθωμανική και τη λατινική κυριαρχία (1453-1821)] Έκδοση taexeiola Χριστίνα Τζιτζιλή 2. Κατάληψη του οχυρού λόφου Κούγκι 3. Οι Σουλιώτες έσπασαν τον κλοιό των Τούρκων 4. Οι Σουλιώτες επέστρεψαν στα χωριά τους 5. Οι Σουλιώτες εγκατέλειψαν το Σούλι και διασκορπίστηκαν στην Στερεά Ελλάδα και την Πελοπόννησο Απάντηση θέματος 4 Ο Αλή Πασάς των Ιωαννίνων κατέλαβε το Σούλι το 1803. Χρησιμοποίησε διάφορα τεχνάσματα για να διώξει από το Σούλι κάποιους από τους αρχηγούς τους. Με αυτόν τον τρόπο κατάφερε να αδυνατίσει την άμυνα του Σουλίου και έτσι μετά από πολλές προσπάθειες οι Τούρκοι κατέκτησαν την περιοχή. Κατέλαβαν μάλιστα και τον οχυρό λόφο Κούγκι. Εκεί βρισκόταν ο καλόγερος Σαμουήλ που τον κρατούσε μέχρι στιγμής ελεύθερο και ανατινάχτηκε μαζί τους . Απάντηση θέματος 5 Οι Σουλιώτες θεωρούνταν ικανότατοι πολεμιστές. Οι συνθήκες ζωής τους ήταν σκληρές, ασχολούνταν πολλά χρόνια με τα όπλα και κατείχαν άριστα το έδαφος στο οποίο κινούνταν. Επιπλέον, τους χαρακτήριζε η ομαδικότητα και το θάρρος και η τόλμη. Εκμεταλλεύονταν τα φυσικά εμπόδια για να οχυρώνονται και τολμούσαν να επιτίθενται νύχτα σε αντιπάλους που υπερτερούσαν αριθμητικά. Απάντηση θέματος 6 Λίγο πριν τη Μεγάλη Επανάσταση, το 1820, οι Τούρκοι κάλεσαν τους Σουλιώτες και τους πρότειναν να εγκατασταθούν ξανά στο Σούλι μόνιμα και έθεσαν ως μοναδικό όρο να βοηθήσουν τον Σουλτάνο να εξοντώσει τον Αλή Πασά
  • 180.
    σελ. 115 Ιστορία Στ΄ Δημοτικού[Κριτήρια Αξιολόγησης & Διαγωνίσματα] Ενότητα Β [Οι Έλληνες κάτω από την οθωμανική και τη λατινική κυριαρχία (1453-1821)] Έκδοση taexeiola Χριστίνα Τζιτζιλή των Ιωαννίνων με τον ήταν σε σύγκρουση. Οι Σουλιώτες δέχτηκαν και έτσι επανεγκαταστάθηκαν στο Σούλι και απέκρουσαν επιτυχώς τους στρατιώτες του Αλή Πασά. Παρόλα αυτά το 1822 έμεινα χωρίς βοήθεια και έτσι μην έχοντας άλλες δυνάμεις έφυγαν για πάντα από το Σούλι και διασκορπίστηκαν στη Στερεά Ελλάδα και την Πελοπόννησο.
  • 181.
    σελ. 116 Ιστορία Στ΄ Δημοτικού[Κριτήρια Αξιολόγησης & Διαγωνίσματα] Ενότητα Β [Οι Έλληνες κάτω από την οθωμανική και τη λατινική κυριαρχία (1453-1821)] Έκδοση taexeiola Χριστίνα Τζιτζιλή ΑΑππααννττήήσσεειιςς 11οουυ ΕΕππααννααλληηππττιικκοούύ ΔΔιιααγγωωννίίσσμμααττοοςς ΕΕννόόττηηττααςς ΒΒ’’ Απάντηση θέματος 1 1-β, 2-δ, 3-ε, 4-γ, 5-α Απάντηση θέματος 2  Παιδομάζωμα: Οι Οθωμανοί Τούρκοι στρατολογούσαν υποχρεωτικά τα νεαρά αγόρια χριστιανικών οικογενειών με σκοπό να επαμδρώσουν το σώμα των Γενιτσάρων  Εξισλαμισμοί: Εξισλαμισμός είναι ο εξαναγκασμός των υπόδουλων από τους κατακτητές Τούρκους να αλλάξουν την πίστη τους και να γίνουν μουσουλμάνοι.  Διομολογήσεις: Διομολογήσεις ήταν οι εμπορικές συμφωνίες που υπέγραφαν οι χώρες της Δυτικής Ευρώπης με τους Οθωμανούς Σουλτάνους.  Παροικίες: Οι Έλληνες ίδρυαν παροικίες δηλαδή κοινότητες στις οποίες κατοικούσαν στη συνέχεια μόνιμα. Απάντηση θέματος 3 Οι γεωγραφικές ανακαλύψεις, η χρήση νέων εμπορικών δρόμων και ο τερματισμός των κατακτήσεων συνέβαλαν στην παρακμή της Οθωμανικής Αυτοκρατορίας. Οι έμποροι από τη Δυτική Ευρώπη δεν ήταν υποχρεωμένοι να περνούν από το έδαφος της για να πάνε στην Ινδία ή την Κίνα. Έτσι τα κρατικά
  • 182.
    σελ. 117 Ιστορία Στ΄ Δημοτικού[Κριτήρια Αξιολόγησης & Διαγωνίσματα] Ενότητα Β [Οι Έλληνες κάτω από την οθωμανική και τη λατινική κυριαρχία (1453-1821)] Έκδοση taexeiola Χριστίνα Τζιτζιλή έσοδα από τους φόρους του εμπορίου σταδιακά μειώθηκαν και το νόμισμα υποτιμήθηκε. Ο Ρήγας, γιος εμπόρου, γεννήθηκε το 1757 στο Βελεστίνο της Θεσσαλίας, το οποίο στην αρχαιότητα ονομαζόταν Φερές. Νεαρός ακόμη, μπήκε στην υπηρεσία των Φαναριωτών στην Κωνσταντινούπολη και έπετα μετανάστευσε στο Βουκουρέστι, ως γραμματέας του ηγεμόνα της Βλαχίας. Εκεί επηρεάστηκε από τις ευρωπαϊκές ριζοσπαστικές ιδέες, κάνοντας κύριο στόχο του την απελευθέρωση της πατρίδας . Απάντηση θέματος 4 Φημισμένοι Αρματολοί την περίοδο της Τουρκοκρατίας ήταν ο Γεώργιος Ανδρίτσος, ο Κατσαντώνης στη Ρούμελη, ο Νικοτσάρας στον Όλυμπο, οι Σουλιώτες Γεώργιος Μπότσαρης και ο Λάμπρος Τζαβέλλας. Επιπλέον, οι απόγονοι ή τα πρωτοπολίκαρα τους συμμετείχαν στη Μεγάλη Επανάσταση του 1821. Απάντηση θέματος 5 Η δεύτερη περίοδος μετανάστευσης πραγματοποιήθηκε κατά τον 17ο και 18ο αιώνα. Είχε χαρακτήρα εθελοντικό και ειρηνικό και οι αιτίες ήταν κατά βάση οικονομικές. Καραβάνια διέσχιζαν τα Βαλκάνια και μετέφεραν εμπορεύματα από την Οθωμανική Αυτοκρατορία προε την Κεντρική Ευρώπη και Ρωσία. Κατά μήκος αυτών των δρόμων οι μετανάστες εγκαταστάθηκαν σε διάφορες πόλεις. Οι Έλληνες από τον Πόντο ίδρυσαν παροικίες στον Καύκασο, την Κριμαία και την φημισμένη Οδησσό ενώ οι Έλληνες της Μακεδονίας στη Βιέννη, την Τεργέστη, τη Σερβία και την Ουγγαρία. Εκεί ασχολήθηκαν με το εμπόριο βαμβακερών, δερμάτων, χαλιών και άλλων.
  • 183.
    σελ. 118 Ιστορία Στ΄ Δημοτικού[Κριτήρια Αξιολόγησης & Διαγωνίσματα] Ενότητα Β [Οι Έλληνες κάτω από την οθωμανική και τη λατινική κυριαρχία (1453-1821)] Έκδοση taexeiola Χριστίνα Τζιτζιλή Άλλοι Έλληνες ανέπτυξαν δραστηριότητα στις Παραδουνάβιες Ηγεμονίες, τη Βλαχία και τη Μολδαβία, περιοχές στις οποίες κυβερνήτες ήταν Φαναριώτες ηγεμόνες. Απάντηση θέματος 6 Οι Οθωμανοί Τούρκοι ήταν ανεκτικοί απέναντι στο Οικουμενικού Πατριαρχείου της Κωνσταντινούπολης και του ανέθεσαν αρκετές αρμοδιότητες. Ο Πατριάρχης είχε διευρυμένο ρόλο. Ήταν θρησκευτικός ηγέτης και εκπρόσωπος το ρουμ μιλέτ, δηλαδή των υπόδουλων Ορθόδοξων Χριστιανών. Για όλες όμως τις πράξεις του ήταν υπόλογος στο Σουλτάνο. Επίσης, εκτός από τα θρησκευτικά καθήκοντα είχε και άλλες αρμοδιότητες, όπως να αποφασίζει για διάφορες υποθέσεις , για παράδειγμα τις κληρονομιές. Ακόμη, είχε τη δικαιοδοσία να ιδρύει σχολεία και να επιβάλλει ειδική φορολογία στους πιστούς.
  • 184.
    σελ. 119 Ιστορία Στ΄ Δημοτικού[Κριτήρια Αξιολόγησης & Διαγωνίσματα] Ενότητα Β [Οι Έλληνες κάτω από την οθωμανική και τη λατινική κυριαρχία (1453-1821)] Έκδοση taexeiola Χριστίνα Τζιτζιλή ΑΑππααννττήήσσεειιςς 22οουυ ΕΕππααννααλληηππττιικκοούύ ΔΔιιααγγωωννίίσσμμααττοοςς ΕΕννόόττηηττααςς ΒΒ’’ Απάντηση θέματος 1 α) Κροκόδειλος Κλαδάς β) Η χρήση νέων εμπορικών δρόμων και ο τερματισμός των κατακτήσεων. γ) Διομολογήσεις δ) Η ανέγερση ναού και η σύνταξη καταστατικού. Απάντηση θέματος 2 α-Λ Οι Φαναριώτες είχαν αξιόλογη μόρφωση και κατείχαν υψηλά αξιώματα στην οθωμανική διοίκηση. β-Λ Οι ιεράρχες και οι Φαναριώτες ήταν εξαρτμένοι από την του Σουλτάνου. Γ-Λ Την παροικία της Οδησσού την ίδρυσαν οι Έλληνες του Πόντου. δ-Λ Οι ξένες δυνάμεις όποτε βρίσκονταν σε διαμάχη με την Οθωμανική Αυτοκρατορία βοηθούσαν τους Σουλιώτες με χρήματα και πολεμοφόδια. ε-Σ
  • 185.
    σελ. 120 Ιστορία Στ΄ Δημοτικού[Κριτήρια Αξιολόγησης & Διαγωνίσματα] Ενότητα Β [Οι Έλληνες κάτω από την οθωμανική και τη λατινική κυριαρχία (1453-1821)] Έκδοση taexeiola Χριστίνα Τζιτζιλή Απάντηση θέματος 3 Απάντηση θέματος 4 Ο Αδαμάντιος Κοραής γεννήθηκε στη Σμύρνη το 1748 αλλά η καταγωγή του ήταν από μια πλούσια οικογένεια της Χίου. Στην αρχή σπούδασε στην Ευαγγελική Σχολή της Σμύρνης, αργότερα εγκαταστάθηκε στη Γαλλία κι εκεί σπούδασε ιατρική. Στη Γαλλία ήρθε σε επαφή με τις φιλελεύθερες ιδέες της Γαλλικής Επανάστασης. Ασχολήθηκε κυρίως με την αντιγραφή, την επιμέλεια και τη δημοσίευση των χειρόγραφων αρχαίων Ελλήνων συγγραφέων.
  • 186.
    σελ. 121 Ιστορία Στ΄ Δημοτικού[Κριτήρια Αξιολόγησης & Διαγωνίσματα] Ενότητα Β [Οι Έλληνες κάτω από την οθωμανική και τη λατινική κυριαρχία (1453-1821)] Έκδοση taexeiola Χριστίνα Τζιτζιλή Απάντηση θέματος 5 Ο Λάμπρος Κατσαντώνης ήταν αξιωματικός του ρωσικού στρατού και καταγόταν από τη Λιβαδειά. Έχοντας ως ορμητήριο το νησί Κέα, με έναν μικρό στόλο έπλεε στο Αιγαίο και έκανε επιθέσεις εναντίον των τουρκικών πλοίων. Μαζί τους στις επιχειρήσεις ήταν ο κλέφτης Γεώργιος Ανδρίτσος, ο πατέρας του ήρωα της Επανάστασης Οδυσσέα Ανδρούτσου. Απάντηση θέματος 6 Η Βυζαντινή Αυτοκρατορία οδηγήθηκε στην παρακμή λόγω των γεωγραφικών ανακαλύψεων, της ανακάλυψης νέων εμπορικών δρόμων και του τέλος των κατακτήσεων. Έτσι οι έμποροι από τη Δυτική Ευρώπη δεν χρειαζόταν να περνάν από το έδαφος της για να πάνε στην Ινδία ή την Κίνα. Οι συνέπεις ήταν να μειωθούν τα έσοδα από τους φόρους του εμπορίου και η υποτίμηση του νομίσματος.
  • 187.
    Οι ΈΑήΙηνεδ κάτωαπό την οθωμανική και τη λατινική κυριαρχία (1453-1821) ΔΕΥΤΕΡΗ ΕΝΟΤΗΤΑ Οι Έήήηνε5 κάτω από την οθωμανική και τη λατινική κυριαρχία (1453-1821) 1. Ανπστοιχίστε τους όρους της στήλης Α' με τους ορισμούς της στήλης Β'. Στήλη Α' Στήλη Β' 1. Σουλτάνος 2. Αόγιος 3. Κεφαλικός φόρος 4. Εξισλαμισμός α. Αυτός που ασχολείται με τα γράμματα και τις τέχνες 6. Μεταστροφή κάποιου στο Ισλάμ γ. Βασιλιάς των Οθωμανών δ. Είδος φορολογίας 2. Τοποθετήστε τους όρους στη στήλη που ταιριάζουν: Πατριάρχης, καθολικοί, μουσουλμάνοι, Σουλτάνος, ορθόδοξοι, τουρκικά, ιταλικά, ελληνικά, λιοντάρι Αγίου Μάρκου, Αγία Σοφία, Μέκκα. Οθωμανοί Έλληνες Βενετοί 3. Συμπληρώστε τα κενά που υπάρχουν στο παρακάτω κείμενο: Μέσα σε δυο αιώνες (15ος - 17ος αιώνας) οι ρη σχεδόν την Χερσόνησο. Οι δυο πρώτοι αιώνες της ήταν οι δυσκολότεροι για τους Χριστιανούς. Αρκετοί κάτοικοι κατέκτησαν ολόκλη- σε τόπους της Οθωμανικής Αυτοκρατορίας, ενώ αρκετοί στη Δυτική Ευρώπη. Τελικά όμως οι έφυγαν Έλληνες κατάφεραν να διαφυλάξουν, με τη Βοήθεια και της Εκκλησίας, τρία Βασικά στοιχεία της τους ταυτότητας: τη , τη και την 11 Κόντου Πολυξένη Επιμέλεια: Χρήστος Χαρμπής http://st-taksh.blogspot.gr σελ.187 μουσουλμάνοι 1γ-2α-3δ-4β Πατριάρχης καθολικοί Σουλτάνος ορθόδοξοι τουρκικά ελληνικά λιοντάρι Αγίου Μάρκου Αγία ΣοφίαΜέκκα ιταλικά Οθωμανοί Τούρκοι ελληνική Τουρκοκρατίας μετακινήθηκαν ορεινούς λόγιοι υπόδουλοι εθνικής θρησκεία γλώσσα παράδοση ΕΠΑΝΑΛ. 1 ΕΠΑΝΑΛ. 1 ΕΠΑΝΑΛ. 1
  • 188.
    Ιστορία του νεότερουκαι σύγχρονου κόσμου ΕΝΟΤΗΤΑ 4. Αντιστοιχίστε τους όρους της στήλης Α' με τους ορισμούς της στήλης Β'. Στήλη Α' Στήλη Β' 1. Κλέφτες 2. Φαναριώτες 3. Αρματολοί 4. Πατριάρχης 5. Δημογέροντες α. Επικεφαλής της Ορθόδοξης Εκκλησίας 6. Κοινοτικοί άρχοντες γ. Έλληνες άρχοντες της Κωνσταντινούπολης δ. Ανυπότακτοι στους Τούρκους ε. Ένοπλα βοηθητικά σώματα των Τούρκων 5. Παρατηρήστε την ενδυμασία του κλέφτη από τη σχετική εικόνα του βιβλίου σας και προ- σπαθήστε να την περιγράψετε. Συζητήστε στην τάξη για τους τρόπους καλλιέργειας και τη χρησιμότητα των βασικών αγροτικών καλλιεργειών επί Τουρκοκρατίας (σιτάρι, βαμβάκι, λάδι, κρασί). Αφού συγκε- ντρώσετε πληροφορίες από εγκυκλοπαίδειες και το διαδίκτυο (ιστοσελίδα Ηϋρ://νυνυνν.ίΗνν.9τ), εντοπίστε τους λόγους για τους οποίους καθεμία ήταν -και εξακολουθεί μέχρι και σήμε- ρα να είναι- απαραίτητη. 7. Τοποθετήστε τις πόλεις στη στήλη που ταιριάζουν: Θεσσαλονίκη, Ύδρα, Μοσχόπολη, Ιωάν- νινα, Χίος, Κοζάνη. Πόλεις-Λιμάνια Πόλεις χωρίς λιμάνι 12 Κόντου Πολυξένη Επιμέλεια: Χρήστος Χαρμπής http://st-taksh.blogspot.gr σελ.188 1δ-2γ- 3ε-4α-5β Ο Κλέφτης φοράει τη συνηθισμένη για εκείνη την εποχή φουστανέλα, που ήταν πολεμικό ρούχο. Είναι μακριά και έχει πολλές πτυχές. Το επάνω μέρος της φορεσιάς είναι κοκκινωπό, με μακριά μανίκια. Στη μέση του φοράει ζωνάρι με ρίγες, όπου έχει στερεωμένα τα άρματά του. Φοράει επίσης και δερμάτινο σελλάχι. Στο κεφάλι του έχει ένα κόκκινο φέσι. Τα πόδια του καλύπτονται από χοντρές κάλτσες που καταλήγουν σε χαμηλά δερμάτινα παπούτσια και όχι στα συνηθισμένα τσαρούχια. Τα τέσσερα αυτά προϊόντα (σιτάρι, βαμβάκι, λάδι, κρασί) καλλιεργούνταν με τον παραδοσιακό τρόπο παραγωγής και με τη βοήθεια όλων των μελών της οικογένειας. Μερικές φορές η καλλιέργεια και η επεξεργασία των προϊόντων γίνονταν με πιο οργανωμένο τρόπο, όπως για παράδειγμα στο Συνεταιρισμό των Αμπελακίων. Η καλλιέργεια αυτών των προϊόντων ήταν απαραίτητη για πολλούς λόγους: Σιτάρι: Καλλιεργείταιαπό τα αρχαιότερα χρόνια και αποτελεί ακόμη και σήμερα τη βασική πρώτη ύλη για μια σειρά από βασικά είδη τροφής που έχουν ως βάση το αλεύρι (ψωμί, δημητριακά, ζυμαρικά κ.ά.) Βαμβάκι: Χρησιμοποιούνταν και χρησιμοποιείται και σήμερα για την παραγωγή νημάτων και την επεξεργασία τους. Τα υφάσματα που κατασκευάζονται από τα βαμβακερά νήματα είναι υγιεινά, εύκολα στη χρήση και έχουν πολλές εφαρμογές (ρούχα, είδη ύπνου, τέντες κ.ά.) Λάδι: Το "χρυσό υγρό" σύμφωνα με τον Όμηρο κατά την αρχαιότητα αποτελούσε σύμβολο υγείας και δύναμης. η καλλιέργειά του χάνεται στα βάθη των αιώνων. Αποτελούσε το βασικό εμπορικό είδος των χωρών που βρέχονται από τη Μεσόγειο. Σήμερα θεωρείται και επιστημονικά εξαιρετική και απαραίτητη τροφή και βασικό στοιχείο της μεσογειακής διατροφής. Κρασί: Η αμπελουργία και η παρασκευή κρασιού είναι πανάρχαια τακτική (5.000 π.Χ.). Αποτελούσε και αυτό ένα από τα βασικά εμπορεύσιμα είδη του αρχαιοελληνικού κόσμου, όπως και το λάδι. Δεν είναι τυχαίο ότι το λάδι και το κρασί χρησιμοποιούνται με συμβολικό τρόπο στο τελετουργικό της ορθόδοξης εκκλησίας (άρτος, θεία, κοινωνία, βάπτιση κτλ.) Θεσσαλονίκη Ύδρα Χίος Μοσχόπολη Ιωάννινα Κοζάνη ΚΕΦ. Β4 ΚΕΦ. Β5 ΕΠΑΝΑΛ. 1 ΕΠΑΝΑΛ. 1
  • 189.
    Οι ΈΑήΙηνεδ κάτωαπό την οθωμανική και τη λατινική κυριαρχία (1453-1821) 8. Συμπληρώστε στο χάρτη τα εξής τοπωνύμια: Κοζάνη, Μοσχόπολη, Ιωάννινα, Βόλος, Κεφαλληνία, Μάνη, Σμύρνη. ΕΥΞΕΙΝΟΣ ΠΟΝΤΟΣ Θ Α Λ Α Σ Σ Α Υπογραμμίστε με κόκκινο χρώμα τις παροικίες, όπου κατά την προεπαναστατική περίοδο εγκαταστάθηκαν κυρίως Μακεδόνες πρόσφυγες και με πράσινο εκείνες, όπου εγκαταστά- θηκαν Πόντιοι. Κατόπιν μπορείτε να ανατρέξετε στο χάρτη του Βιβλίου της Γεωγραφίας (σ. 99) και να εντοπίσετε με τη Βοήθεια του δασκάλου και των συμμαθητών σας σε ποιες χώρες Βρίσκονται αυτές οι περιοχές σήμερα. ΒΟΡΕΙΑ ΘΑΛΑΣΣΑ Λίβερπο ,ονδίνο στερνταμ ΑΤΛΑΝΤΙΚΟΙ ΩΚΕΑΝΟΣ Παρίσι ρ ι ο ύ π ο λ η ^ ρ Τ α γ α ν ρ ό γ κ ολάιεφ Μόναχο Μίσκολτς Ο ·Τοκάι Βιένντ Ζάγκρεμπ ησσος ΟΚέτσκεμετ , < Μπρασοβ ΓαλατσιΤεργέστ ινιπραο ν ν . ^Νόβισαντ ο , Ο Λιουμπλανα^ ηΖέυουν Σιμπίου ! ---Γ^Βελινβάδι ΒραιλαΟ Βενετία Ιασσαλία Τολέδο Βαρκελώνη Βουκουρέστι Καργκέζε Ο Λυάκιε Λισαβόνα Αγκών Ντουμπρόβνικ ιΣκουτάρι Μπαρλέτε Μαόν ων/πολ ρ <α Μινορκα Νεάπολη Γιβραλτάρ Βαλώνα Δαρδανέλλια (Αυλώνα) 'Αδραμύτιο Μεσσήνη Βόνιχσ Σμύρντ Ταρσός %·ο<4. Τύνιδε Μάλτα ΜΕΣΟΓΕΙΟΣ ΘΑΛΑΣΣΑ Λεμεσός Αλεξάνδρεια Ο Σημαντικά παροικιακά κέντρα ο Αξιόλογες ελληνικές εστίες ° Ολιγάριθμες ελληνικές παροικίες 13 Κόντου Πολυξένη Επιμέλεια: Χρήστος Χαρμπής http://st-taksh.blogspot.gr σελ.189 Μοσχόπολη Κοζάνη Ιωάννινα Βόλος Κεφαλληνία Σμύρνη Μάνη Μακεδόνες πρόσφυγες: Βιέννη (σημερινή Αυστρία), Τεργέστη (σημερινή Ιταλία) Πόντιοι πρόσφυγες: Οδησσός και Μαριούπολη (σημερινή Ουκρανία) ΕΠΑΝΑΛ. 1
  • 190.
    Ιστορία του νεότερουκαι σύγχρονου κόσμου ΕΝΟΤΗΤΑ 10. Αφού χωριστείτε σε ομάδες, διαβάστε τους παρακάτω στίχους από τον Ερωτόκριτο και αναζητήστε πληροφορίες για το έργο και τον δημιουργό του σε εγκυκλοπαίδειες και στο διαδίκτυο, στις ιστοσελίδες Ηΐΐρ://λ/λ/λ/.9Γ00^_1ειη9υεΐ90.9Γ και Ηΐΐρ://ειη0ηιί.Ηΐ3.υοο.9Γ. Στους περαζόμενους καιρούς, που οι Έλληνες ορίζαν, κι οπού δεν είχε η Πίστη τως θεμελιωμένη ρίζαν, 20 τότες μια Αγάπη μπιστική στον Κόσμο εφανερώθη, κ' εγράφτη μέσα στην καρδιά, κι ουδεποτέ τση ελιώθη. Και με Καιρό σε δυο κορμιά ο Πόθος είχε μείνει, και κάμωμα πολλά ακριβόν έτοιους καιρούς εγίνη. Εις την Αθήνα, που ήτονε τση Μάθησης η βρώσις, 25 και το θρονί της Αφεντιάς, κι ο ποταμός τση Γνώσης, Ρήγας μεγάλος όριζε την άξα Χώρα εκείνη, μ' άλλες πολλές και θαυμαστές, και ξακουστός εγίνη. Ηράκλη τον ελέγασι, ξεχωριστόν απ' άλλους, από πολλούς, και φρόνιμους, κι απ' όλους τους μεγάλους· ξετελειωμένος Βασιλιός, κι άξος σε κάθε τ[ρ]όπον, 31 ο λόγος του ήτονε σκολειό και νόμος των ανθρώπων. (Ερωτόκριτος, Ενότητα Α', οχοίοΐ^πίοδ.ιΐ30Γ3.ιιίΗ.αι7οχοίοΐ^πίοδ.Ηίπι) Ο Ερωτόκριτος 11. Αντιστοιχίστε τους όρους της στήλης Α' με τους ορισμούς της στήλης Β'. Στήλη Α' Στήλη Β' 1. Ευγ. Βούλγαρης 2. Μ. Περδικάρης 3. Δ. Καταρτζής 4. Γ. Κωνσταντάς α. Τόνιζε τη σημασία της αγωγής β. Συνέγραψε τη Νεωτερική Γεωγραφία γ. Σατίριζε πρόσωπα της εποχής του δ. Δίδαξε στην Αθωνιάδα Σχολή 14 Κόντου Πολυξένη Επιμέλεια: Χρήστος Χαρμπής http://st-taksh.blogspot.gr σελ.190 είναι έμμετρο μυθιστόρημα που γράφτηκε από το Βιτσέντζο Κορνάρο στην Κρήτη το 17ο αιώνα. Ο Βιτσέντζος Κορνάρος είναι ένας από τους κυριότερους εκπροσώπους της Κρητικής Λογοτεχνίας. Γεννήθηκε το 1553 και πέθανε μάλλον το 1613. Έζησε όλη του τη ζωή στην Κρήτη. Το έργο αποτελείται από 10.000 περίπου στίχους σε ιαμβικό δεκαπεντασύλλαβο μέτρο. Οι στίχοι έχουν ομοιοκαταληξία. Κεντρικό θέμα του μυθιστορήματος είναι ο έρωτας ανάμεσα σε δύο νέους, τον Ερωτόκριτο και την Αρετούσα. Γύρω από αυτό το θέμα περιστρέφονται άλλα ζητήματα διαχρονικά ως προς την αξία τους, όπως η τιμή, η φιλία, η γενναιότητα και το κουράγιο. Μαζί με την Ερωφίλη του Γεώργιου Χορτάτση είναι τα σημαντικότερα έργα της Κρητικής Λογοτεχνίας. Η υπόθεση του έργου έχει επηρεαστεί από γαλλικά μεσαιωνικά μυθιστορήματα, αλλά αυτό που έχει μεγάλη σημασία είναι ότι δεν πρόκειται για μια αντιγραφή αλλά για μια πολύ δημιουργική διασκευή του πρωτότυπου έργου. Ο Ερωτόκριτος αγαπήθηκε από τον απλό κόσμο της εποχής όχι μόνο για το θέμα του αλλά και για τη γλώσσα που χρησιμοποιεί. Παραμένει δημοφιλές μέχρι και τις μέρες μας: υπάρχουν γέροντες Κρητικοί και γερόντισσες που θυμούνται απ' έξω πολλούς στίχους του Ερωτόκριτου. Ένας επιπλέον λόγος που το έργο είναι τόσο δημοφιλές είναι ότι έχει μελοποιηθεί, έχει δηλ. επενδυθεί με μουσική και τραγουδιέται. 1δ-2γ-3α-4β ΚΕΦ. Β1
  • 191.
    Οι Έλληνε$ κακόαπό την οθωμανική και τη λατινική κυριαρχία (1453-1821) 12. Αναζητήστε σε εγκυκλοπαίδειες και στο διαδίκτυο, στις ιστοσελίδες Ηΐΐρ://νοά.δθΗ.9Γ και Ηΐΐρ://Λ/λ/Λ/.ρί_δθΗοο1δ., πληροφορίες για τον άγιο Κοσμά τον Αιτωλό. Ο άγιος Κοσμάς ο Αιτωλός 13. Τοποθετήστε τις ιδιότητες στη στήλη που ταιριάζουν: γεννήθηκε στη Σμύρνη, καταγόταν από το Βελεστίνο, έζησε στη Βλαχία, σπούδασε ιατρική, τύπωσε την προσωπογραφία του Μεγάλου Αλεξάνδρου, εξέδωσε έργα αρχαίων Ελλήνων συγγραφέων, φονεύθηκε από τους Τούρκους. Ρήγας Βελεστινλής Αδαμάντιος Κοραής 14. Αντιστοιχίσιε τους όρους της στήλης Α' με τις χρονολογίες της στήλης Β'. Στήλη Α' Στήλη Β' 1. Διονύσιος «Σκυλόσοφος» 2. Συνθήκη Κιουτσούκ Καϊναρτζή 3. Δασκαλογιάννης 4. Ναυμαχία Ναυπάκτου α. 1770 μ.Χ. 6. 1774 μ.Χ. γ. 1571 μ.Χ. δ. 1600 μ.Χ. 15 Κόντου Πολυξένη Επιμέλεια: Χρήστος Χαρμπής http://st-taksh.blogspot.gr σελ.191 γεννήθηκε στο χωριό Μέγα Δέντρο της Αιτωλίας. Εκεί ακόμα και σήμερα σώζεται το σπίτι του. Τα πρώτα γράμματα τα έμαθε στο μοναστήρι της Αγίας Παρασκευής, βόρεια της Ναυπάκτου, ενώ αργότερα πήγε στο Άγιο Όρος στην παλαιά Αθωνιάδα Σχολή. σ' αυτή τη σχολή δίδαξε και ο φημισμένοε Ευγένιος Βούλγαρης, δάσκαλος του Γένους και φαίνεται ότι από εκεί πέρασε και ο μάρτυρας της Επανάστασης Ρήγας Φεραίος. Το κοσμικό του όνομα ήταν Κώνστας, ενώ το επώνυμό του παραμένει άγνωστο. Το 1759 εγκατέλειψε το μοναστήρι και με εντολή του Πατριάρχη ξεκίνησε τις περιοδείες του στη Δυτική, τη Βόρεια Ελλάδα και την Ήπειρο, με βασικό σκοπό να αντιμετωπίσει το συνεχόμενο εξισλαμισμό των χριστιανών. Δίδασκε με θέρμη και συμβούλευε τους ορθόδοξους χριστιανούς να ιδρύσουν σχολεία, και μέσα από αυτά να διδαχτούν την ορθοδοξία. Πίστευε πάρα πολύ στη σπουδαιότητα της ελληνικής γλώσσας και της χριστιανικής διδασκαλίας. Έντονη ήταν η επιθυμία του να απελευθερώσει το Γένος. Ίδρυσε περίπου 250 σχολεία μέσα σε 16 χρόνια. Φυσικά είχε απέναντί του όλους τους ισχυρούς της εποχής που ένιωθαν ότι απειλούνταν από τη διδασκαλία του. Συνελήφθη από τους Τούρκους έπειτα από κατηγορίες ότι ήταν πράκτορας των Ρώσων και εκτελέστηκε στις 24 Αυγούστου του 1779. Ο Κοσμάς ο Αιτωλός ανακηρύχτηκε άγιος επίσημα από το Πατριαρχείο της Κωνσταντινούπολης στις 20 Απριλίου 1961 και η μνήμη του τιμάται στις 24 Αυγούστου. γεννήθηκε στη Σμύρνη σπούδασε ιατρική καταγόταν από το Βελεστίνο έζησε στη Βλαχία τύπωσε την προσωπογραφία του Μεγάλου Αλεξάνδρου εξέδωσε έργα αρχαίων Ελλήνων συγγραφέων φονεύθηκε από τους Τούρκους 1δ-2β-3α-4γ ΚΕΦ. 7
  • 192.
    Ιστορία του νεότερουκαι σύγχρονου κόσμου ΕΝΟΤΗΤΑ 15. Αναζητήστε σε εγκυκλοπαίδειες και στο διαδίκτυο, στις ιστοσελίδες Ηΐίρ://λΑλΑλ/.ΪΓηΓηει.6άυ.9Γ και Ηϋρ://ννν.5ΘΓΜ.οοπι, πληροφορίες για τους Ρωσοτουρκικούς Πολέμους και συζη- τήστε στην τάξη τη σημασία τους για τους Έλληνες. Οι Ρώσοι 16. Συμπληρώστε στο χάρτη με τη βοήθεια του δασκάλου και των συμμαθητών σας τις εξής περιοχές και τοπωνύμια: Σφακιά, Μάνη, Σούλι, Θράκη, Μακεδονία, Ήπειρος, Χαλκιδική. 16 Κόντου Πολυξένη Επιμέλεια: Χρήστος Χαρμπής http://st-taksh.blogspot.gr σελ.192 βρίσκονται σε εμπόλεμη κατάσταση από το 1568. Ρωσοτουρκικοί πόλεμοι έγιναν και πριν από την Επανάσταση του 1821 αλλά και μετά την Επανάσταση φτάνοντας μέχρι και τον 20ό αιώνα το 1818. Ο πιο σημαντικός από αυτούς για τους Έλληνες ήταν ο πρώτος Ρωσοτουρκικός πόλεμος, γιατί με τη λήξη του υπογράφηκε η Συνθήκη του Κιουτσούκ Καϊναρτζή το 1774. Σύμφωνα με αυτή τη συνθήκη αναγνωρίστηκε με επίσημο τρόποη δυνατότητα της Ρωσίας να επεμβαίνει στα εσωτερικά ζητήματα της Οθωμανικής Αυτοκρατορίας. Ταυτόχρονα έδωσε και τη δυνατότητα στους Έλληνες ναυτικούς και εμπόρους να πλέουν στα τουρκικά παράλια χρησιμοποιώντας τη ρωσική σημαία. Η συνθήκη αυτή ήταν η αρχή της κατάρρευσης της Οθωμανικής Αυτοκρατορίας. Οι πόλεμοι που ακολούθησαν συνέβαλαν και αυτοί, διότι αποδυνάμωσαν την αμυντική ικανότητα της Οθωμανικής Αυτοκρατορίας. Μακεδονία Θράκη Χαλκιδική Ήπειρος Σούλι Μάνη Σφακιά ΚΕΦ. 5
  • 193.
    Οι ΈΑήΙηνεδ κάτωαπό την οθωμανική και τη λατινική κυριαρχία (1453-1821) 17. Τοποθετήστε ία γεγονότα στη σειρά αρχίζοντας από ίο παλαιότερο: Συνθήκη του Κιου- τσούκ Καϊναρτζή, Επανάσταση 1821, εκτέλεση Ρήγα, παραχώρηση προνομίων στο Πατριαρχείο. 1. 3. 18. Παρατηρήστε την εικόνα 6 στη σελίδα 47 του Βιβλίου σας και σημειώστε τις αγροτικές εργασίες που παρουσιάζονται. Κατόπιν συζητήστε στην τάξη ποιες από αυτές γίνονται σήμερα με τον ίδιο τρόπο και ποιες με διαφορετικό (π.χ. χρήση μηχανημάτων). 19. Συμπληρώστε με τη βοήθεια του δασκάλου σας τα κενά που υπάρχουν στο παρακάτω κεί- μενο: Δάσκαλοι του κρατία έγιναν αργότερα τα κηρύγματα του ονομάζονται οι μορφωμένοι Έλληνες που κατά την Τουρκο- με την διδασκαλίας τους ή με τα κείμενά τους στην της ελληνικής παιδείας. Αρκετοί από τους δασκάλους του Γένους ήταν ή . Κατά τον 18° και στις αρχές του 19ου αιώνα οι ιδέες και έκαναν την εμφάνισή τους στη Δυτική Ευρώπη. _ Χερσόνησο δυναμώνοντας τηνΟι ιδέες αυτές έφτασαν γρήγορα και στην _ διάθεση των υπόδουλων Ελλήνων. 17 Κόντου Πολυξένη Επιμέλεια: Χρήστος Χαρμπής http://st-taksh.blogspot.gr σελ.193 παραχώρηση προνομίων στο Πατριαρχείο Συνθήκη του Κιουτσούκ Καϊναρτζή εκτέλεση Ρήγα Επανάσταση 1821 Το μάζεμα των φρούτων, το τίναγμα και το μάζεμα της ελιάς, το κούρεμα των προβάτων και η βοσκή των ζώων εξακολουθούν να γίνονται ακόμα και σήμερα από τους ανθρώπους. Σε κάποιες από αυτές χρησιμοποιούνται μηχανήματα, όπως π.χ. στο τίναγμα των ελιών και στο κούρεμα των προβάτων (ηλεκτρικά ψαλίδια). Όμως εξακολουθεί να είναι σημαντική η επιδεξιότητα του ανθρώπου, η τέχνη και το μεράκι, ώστε το αποτέλεσμα να είναι ικανοποιητικό. Γένους συνέβαλαν μορφή καλλιέργεια κληρικοί Ευρωπαϊκού Διαφωτισμού βαλκανική επαναστατική ΚΕΦ. Β5
  • 194.
    ΟΝΟΜΑ:………………………………………………………………… ΗΜ/ΝΙΑ:…………… 1. Κυκλώνωτη σωστή απάντηση: α. Από τον 14ο ως τον 18ο αιώνα τα Ιόνια νησιά τα κατείχαν: 1. οι Οθωμανοί Τούρκοι 2. οι Βενετοί 3. οι Άγγλοι 4. οι Γάλλοι β. Η περίοδος της Τουρκοκρατίας στον ελληνικό χώρο αρχίζει από: 1. το 1453 2. το 1204 3. το 1821 4. το 1789 γ. οι σοβαρές δικαστικές υποθέσεις των Χριστιανών εξετάζονταν: 1. στα ελληνικά δικαστήρια 2. στο Πατριαρχείο 3. στα μουσουλμανικά Ιεροδικεία 4. στις Ορθόδοξες εκκλησίες δ. « Έλληνες της Διασποράς» ονομάζονται: 1. οι Βυζαντινοί άρχοντες που κατέφυγαν στη Δύση μετά την άλωση της Κων/πολης 2. οι Χριστιανοί που μετακινήθηκαν σε ορεινούς τόπους της Οθ. Αυτοκρατορίας 3. οι Έλληνες λόγιοι που κατέφυγαν στα Ιόνια Νησιά 4. οι Έλληνες που ζούσαν έξω από τα όρια της Οθωμανικής Αυτοκρατορίας ε. Το «ξανθό γένος» ήταν: 1. οι Οθωμανοί Τούρκοι 2. οι δυτικοευρωπαίοι 3. οι Ρώσοι 4. οι Έλληνες της Διασποράς Παπαπέτρου Βάσω Επιμέλεια: Χρήστος Χαρμπής http://st-taksh.blogspot.gr σελ.194
  • 195.
    2. Απαντώ μεσυντομία στις παρακάτω ερωτήσεις: Α)Τι ήταν το παιδομάζωμα; …………………………………………………………………………………………………………………… …………………………………………………………………………………………………………………… …………………………………………………………………………………………………………………… Β)Τι γνωρίζετε για τους Φαναριώτες; …………………………………………………………………………………………………………………… …………………………………………………………………………………………………………………… …………………………………………………………………………………………………………………… …………………………………………………………………………………………………………………… Γ)Ποιοι ήταν οι τακτικοί φόροι που πλήρωναν οι Χριστιανοί; …………………………………………………………………………………………………………………… …………………………………………………………………………………………………………………… …………………………………………………………………………………………………………………… Δ)Ποιοι ήταν οι κλέφτες και ποιοι οι αρματολοί; …………………………………………………………………………………………………………………… …………………………………………………………………………………………………………………… …………………………………………………………………………………………………………………… …………………………………………………………………………………………………………………… …………………………………………………………………………………………………………………… Ε)Τι ήταν οι Διομολογήσεις και με ποιον τρόπο βοήθησαν το ελληνικό εμπόριο; …………………………………………………………………………………………………………………… …………………………………………………………………………………………………………………… …………………………………………………………………………………………………………………… …………………………………………………………………………………………………………………… 3. Σημειώνω Σ για το σωστό και Λ για το λάθος:  Η τόνωση της παιδείας δεν ήταν απαραίτητα για την επανάσταση.  Η Μάνη υποτάχθηκε στους Τούρκους.  Οι Έλληνες σταδιακά ανέλαβαν το εμπόριο και έγιναν πλούσιοι.  Η οικονομία της Οθ. Αυτοκρατορίας στηριζόταν στις αγροτικές καλλιέργειες.  Ο Γεώργιος Ανδρίτζος ήταν γνωστός Κλέφτης.  Οι Αρματολοί ήταν Έλληνες και Τούρκοι.  Ο Πατριάρχης είχε τη δυνατότητα να ιδρύει σχολεία και να επιβάλει φόρους.  Ο Πατριάρχης λογοδοτούσε στο Σουλτάνο για τις πράξεις των Ορθοδόξων.  Μετά την Άλωση, οι Χριστιανοί κράτησαν τις πιο εύφορες περιοχές.  Οι Έλληνες της Διασποράς βοήθησαν στην τόνωση της παιδείας. Παπαπέτρου Βάσω Επιμέλεια: Χρήστος Χαρμπής http://st-taksh.blogspot.gr σελ.195
  • 196.
    4. Συμπληρώνω τακενά:  Οι υπόδουλοι Έλληνες δεν αφομοιώθηκαν από τους Τούρκους επειδή κατάφεραν να κρατήσουν τη ____________, τη ____________ και τις ________________ τους.  Ο ____________ ήταν ο θρησκευτικός ηγέτης όλων των υπόδουλων Χριστιανών και λογοδοτούσε στο _____________ για τις πράξεις τους. Είχε τη δυνατότητα εάν ήθελε να επιβάλει ειδική _____________ στους πιστούς.  Οι ___________ ονομάστηκαν έτσι γιατί συγκεντρώθηκαν στη συνοικία ___________ γύρω από το Πατριαρχείο.  Ο μοναχός Μάξιμος ο _________ καλλιέργησε περαιτέρω σχέσεις με τη __________, ελπίζοντας να βοηθήσουν τους Έλληνες στην Επανάσταση. 5. Πώς φέρονταν οι Βενετοί κατακτητές στους Έλληνες υπήκοους ως το 16ο αιώνα; ……………………………………………………………………………………………………………… ……………………………………………………………………………………………………………… ……………………………………………………………………………………………………………… ……………………………………………………………………………………………………………… ……………………………………………………………………………………………………………… ……………………………………………………………………………………………………………… …………………………………………………………………………………………………………….. 6. Μπορείς να περιγράψεις σύντομα τους λόγους που οδήγησαν στην παρακμή της Οθωμανικής Αυτοκρατορίας; ……………………………………………………………………………………………………………… ……………………………………………………………………………………………………………… ……………………………………………………………………………………………………………… ……………………………………………………………………………………………………………… ……………………………………………………………………………………………………………… ……………………………………………………………………………………………………………… ……………………………………………………………………………………………………………… ……………………………………………………………………………………………………………… ……………………………………………………………………………………………………………… …………………………………………………………………………………………………………….. Καλή Επιτυχία! Παπαπέτρου Βάσω Επιμέλεια: Χρήστος Χαρμπής http://st-taksh.blogspot.gr σελ.196
  • 197.
    ΟΝΟΜΑ:…………………………………………………………… ΗΜ/ΝΙΑ:……………… 1. Τοποθετώστην ιστοριογραμμή τα παρακάτω γεγονότα με τη σωστή χρονολογική σειρά: α) Ορλωφικά β)Εξεγέρσεις στη Θεσσαλία γ)Ναυμαχία Ναυπάκτου δ)Κίνημα Λάμπρου Κατσώνη ε) Ελληνική Επανάσταση 2. Κυκλώνω τη σωστή απάντηση: α)Κατά το 15ο και 16ο αιώνα, η μετανάστευση των Ελλήνων γίνονταν: 1.Προαιρετικά 3. Υποχρεωτικά 2.Για οικονομικούς λόγους 4. Για εκπαιδευτικούς λόγους β) Η πνευματική αναγέννηση του υπόδουλου έθνους ξεκίνησε από: 1. Τους Έλληνες των παροικιών 3. Το ‘’ξανθό γένος’’ 2. τις χώρες της Δυτικής Ευρώπης 4. τους ίδιους τους υπόδουλους γ) Η ‘’Χάρτα της Ελλάδος και ο ‘’Θούριος’’ είναι έργα του: 1. Ρήγα Βελεστινλή 3. Αδαμάντιου Κοραή 2. Κοσμά του Αιτωλού 4. Λάμπρου Κατσώνη δ) Η Ναυμαχία της Ναυπάκτου τέλειωσε με : 1. Ισοπαλία Ελλάδας – Τουρκίας 3. Ολοκληρωτική καταστροφή του τουρκικού στόλου 2.Μικρή ήττα του τουρκικού στρατού 4. Ολοκληρωτική καταστροφή του τουρκικού στρατού ε) Οι Τούρκοι: 1. Δεν κατέκτησαν ποτέ το Σούλι 3. Δεν κατέκτησαν ποτέ την Πελοπόννησο 2. Κατέκτησαν το 1803 τη Μάνη 4. Κατέκτησαν το Σούλι το 1803 1571 1600 1770 1787 1821 Παπαπέτρου Βάσω Επιμέλεια: Χρήστος Χαρμπής http://st-taksh.blogspot.gr σελ.197
  • 198.
    3. Κάνω τηναντιστοίχιση: Δάσκαλος του Γένους Αλή Πασάς Αξιωματικός του ρωσικού στρατού Ρήγας Φεραίος Τούρκος άρχοντας των Ιωαννίνων Σαμουήλ Έβαλε φωτιά στο Κούγκι Λάμπρος Κατσώνης 4. Σημειώνω Σ για τις σωστές και Λ για τις λάθος απαντήσεις:  Η Οδησσός είναι μία από τις γνωστότερες παροικίες των Ελλήνων.  Πολλοί από του Δασκάλους του Γένους ήταν ή έγιναν κληρικοί.  Ο καλόγερος Σαμουήλ ανατινάχτηκε στη Μάνη.  Οι Σουλιώτες προμηθεύονταν όπλα από τα Δωδεκάνησα.  Ο Αλή πασάς των Ιωαννίνων κατάφερε να αδυνατίσει την άμυνα του Σουλίου.  Πολλοί από τους δασκάλους του Γένους ήταν ή έγιναν κληρικοί.  Το κίνημα του μητροπολίτη Διονύσιου στην ορεινή Θεσσαλία απέτυχε.  Ο Ρήγας Φεραίος πρότεινε να απλουστευτεί η ελληνική γλώσσα.  Ο Κοραής έγραψε το ποίημα ‘’Σάλπισμα Πολεμιστήριον’’.  Η δεύτερη περίοδος της μετανάστευσης (17ος -18ος αι.) ήταν υποχρεωτική. 5. Συμπληρώνω τα κενά:  Η πνευματική δραστηριότητα όπου οι νέες φιλελεύθερες και ριζοσπαστικές ιδέες που επικρατούσαν στη Δύση επηρέασαν την επαναστατική διάθεση των υπόδουλων Ελλήνων ονομάστηκε _____________________ ____________________ .  Στη _________________ του Τσεσμέ, ο ολιγάριθμος ορθόδοξος στόλος νίκησε τους _______________________, αλλά οι συγκρούσεις τερματίστηκαν τελικά με τη Συνθήκη του _____________ ___________________ .  Η δεύτερη περίοδος της μετανάστευσης κατά το _____ και _____ αιώνα, ήταν _______________και ειρηνική, με ______________ κυρίως αίτια. Παπαπέτρου Βάσω Επιμέλεια: Χρήστος Χαρμπής http://st-taksh.blogspot.gr σελ.198
  • 199.
    6. Απαντώ σύντομα: Ποιοι ονομάστηκαν Δάσκαλοι του Γένους; Ποιες σημαντικές μορφές γνωρίζετε; (Να αναφέρετε τουλάχιστον τρεις). …………………………………………………………………………………………………………………… …………………………………………………………………………………………………………………… …………………………………………………………………………………………………………………… …………………………………………………………………………………………………………………… …………………………………………………………………………………………………………………  Πώς οργάνωναν οι Έλληνες μετανάστες τη ζωή στη νέα τους πατρίδα; …………………………………………………………………………………………………………………… …………………………………………………………………………………………………………………… …………………………………………………………………………………………………………………… …………………………………………………………………………………………………………………… …………………………………………………………………………………………………………………… …………………………………………………………………………………………………………………  Ποια στοιχεία μεταμόρφωσαν τους Σουλιώτες σε ικανότατους πολεμιστές; Τι γνωρίζετε για τον τρόπο που πολεμούσαν; …………………………………………………………………………………………………………………… …………………………………………………………………………………………………………………… …………………………………………………………………………………………………………………… …………………………………………………………………………………………………………………… …………………………………………………………………………………………………………………… ………………………………………………………………………………………………………………… Καλή Επιτυχία! Παπαπέτρου Βάσω Επιμέλεια: Χρήστος Χαρμπής http://st-taksh.blogspot.gr σελ.199
  • 200.
    Ο Ι ΕΛΛΗΝΕΣ ΚΑΤΩΑΠΟ ΤΗΝ ΟΘΩΜΑΝΙΚΗ ΚΑΙ ΤΗ ΛΑΤΙΝΙΚΗ ΚΥΡΙΑΡΧΙΑ 1453-1821 ΕΝΟΤΗΤΕΣ 1-5 6 Νοεμβρίο υ 2012 Ζήτημα πρώτο: Α. Ποιες ήταν οι διακρίσεις και οι περιορισμοί που επέβαλαν οι Οθωμανοί στους σκλαβωμένους; ________________________________________________________________________________ ________________________________________________________________________________ ________________________________________________________________________________ ________________________________________________________________________________ ________________________________________________________________________________ ________________________________________________________________________________ ________________________________________________________________________________ ________________________________________________________________________________ ________________________________________________________________________________ ________________________________________________________________________________ ________________________________________________________________________________ ________________________________________________________________________________ ________________________________________________________________________________ ________________________________________________________________________________ ________________________________________________________________________________ Β. Αναφέρετε ποιοι αποτελούσαν τη Θρησκευτική και πολιτική ηγεσία των Ελλήνων κατά τη διάρκεια της οθωμανικής αυτοκρατορίας; Τι γνωρίζετε για τους Φαναριώτες; (η απάντηση να στηριχτεί στα κεφάλαια 2 και 3. ________________________________________________________________________________ ________________________________________________________________________________ ________________________________________________________________________________ ________________________________________________________________________________ ________________________________________________________________________________ Δημήτρης Βογιατζάκης Επιμέλεια: Χρήστος Χαρμπής http://st-taksh.blogspot.gr σελ.200
  • 201.
    Ο Ι ΕΛΛΗΝΕΣ ΚΑΤΩΑΠΟ ΤΗΝ ΟΘΩΜΑΝΙΚΗ ΚΑΙ ΤΗ ΛΑΤΙΝΙΚΗ ΚΥΡΙΑΡΧΙΑ 1453-1821 ΕΝΟΤΗΤΕΣ 1-5 6 Νοεμβρίο υ 2012 ________________________________________________________________________________ ________________________________________________________________________________ ________________________________________________________________________________ ________________________________________________________________________________ ________________________________________________________________________________ ________________________________________________________________________________ ________________________________________________________________________________ Ζήτημα Δεύτερο: Α. Αντιστοιχίστε τους όρους της α΄ στήλης με αυτούς της β΄ στήλης: 1. Επίτροποι Α. Ορμητήριό του η Μάνη 2. Βοηθητικά στρατεύματα των Τούρκων Β. Διομολογήσεις 3. Κορκόδειλος Κλαδάς Γ. Ρουμ Μιλέτ 4. Μπαϊράκι Δ. Ιόνια νησιά 5. Πατριάρχης Ε. Παιδομάζωμα 6. Βενετοί Ζ. Προεστοί 7. Φόρος αίματος Η. Κλέφτες 8. Εμπορικές συμφωνίες των Δυτικών χωρών με τους Σουλτάνους Θ. Αρματολοί Β. Τοποθετήστε τις ακόλουθες έννοιες στη στήλη που ταιριάζουν: ( λημέρι δημογέροντες Κατσαντώνης διομολογήσεις ορεσίβιοι πατριάρχης κεφαλικός φόρος παιδομάζωμα Δημήτρης Βογιατζάκης Επιμέλεια: Χρήστος Χαρμπής http://st-taksh.blogspot.gr σελ.201
  • 202.
    Ο Ι ΕΛΛΗΝΕΣ ΚΑΤΩΑΠΟ ΤΗΝ ΟΘΩΜΑΝΙΚΗ ΚΑΙ ΤΗ ΛΑΤΙΝΙΚΗ ΚΥΡΙΑΡΧΙΑ 1453-1821 ΕΝΟΤΗΤΕΣ 1-5 6 Νοεμβρίο υ 2012 μικρές ομάδες Κιουτσούκ Καϊναρτζή καπετάνιος σουλτάνος υπηρετούσαν στο στρατό σε βοηθητικές υπηρεσίες σφαγές και αιχμαλωσίες εξισλαμισμός ) ΟΘΩΜΑΝΟΙ ΚΛΕΦΤΕΣ ΕΛΛΗΝΕΣ Ζήτημα Τρίτο: Α. Ποιος κατά τη γνώμη σας ήταν ο απώτερος σκοπός των Τούρκων με το παιδομάζωμα και τους εξισλαμισμούς; ________________________________________________________________________________ ________________________________________________________________________________ ________________________________________________________________________________ ________________________________________________________________________________ ________________________________________________________________________________ Β. Τι γνωρίζετε για το "ρεμπελιό των ποπολάρων"; ________________________________________________________________________________ ________________________________________________________________________________ ________________________________________________________________________________ ________________________________________________________________________________ ________________________________________________________________________________ ________________________________________________________________________________ Δημήτρης Βογιατζάκης Επιμέλεια: Χρήστος Χαρμπής http://st-taksh.blogspot.gr σελ.202
  • 203.
    1ο Δημοτικό Σχολείο Κέρκυρας,Στ΄Τάξη Ονοματεπώνυμο......................................................................................Ημερομηνία.............. Βαθμός ....../100 ...........% Τεστ στην Ιστορία Ενότητα Β΄ ( Κεφάλαια 6ο ,7ο ,8ο ,9ο ,10ο ) 1.Κυκλώστε και υπογραμμίστε τη σωστή απάντηση(10 μονάδες): α)Γιατί μετανάστευαν οι Έλληνες κατά την πρώτη περίοδο της Τουρκοκρατίας: 1.Προαιρετικά 2.Για οικονομικούς λόγους 3. Υποχρεωτικά 4. Για εκπαιδευτικούς λόγους β) Πότε είναι η δεύτερη περίοδος μετανάστευσης και γιατί μετανάστευαν τότε οι Έλληνες: 1. 15ο -16ο αιώνας υποχρεωτική μετανάστευση. 2. 16ο -17ο αιώνας προαιρετική μετανάστευση 3. 15ο -16ο αιώνας εξαιτίας των πολεμικών συγκρούσεων 4. 16ο -17ο αιώνας εξαιτίας της επέκτασης των Τούρκων γ) Ποιό ήταν το πρώτο μέλημα των Ελλήνων μεταναστών στο νέο τόπο κατοικίας τους: 1. Η ίδρυση καταστατικού. 2. Το χτίσιμο μοναστηριών 3. Το χτίσιμο κοινοτικών σχολείων. 4. Η ανέγερση ναού. δ) Οι Παραδουνάβιες Ηγεμονίες ήταν : 1. Η Βενετία και η Τεργέστη. 2. Η Οδησσός, ο Καύκασος και η Κριμαία. 3.Η Λειψία και το Μόναχο. 4. Η Μολδαβία και η Βλαχία. ε) Τα καραβάνια ήταν: Kitili Μaria Επιμέλεια: Χρήστος Χαρμπής http://st-taksh.blogspot.gr σελ.203
  • 204.
    1. Τρόπος μεταφοράςεμπορευμάτων δια ξηράς. 2.Τρόπος μεταφοράς εμπορευμάτων δια θαλάσσης. 3. Τρόπος μεταφοράς εμπορευμάτων και ανθρώπων δια ξηράς. 4. Τρόπος μεταφοράς εμπορευμάτων και ανθρώπων δια θαλάσσης. 2.Αντιστοιχίστε τους όρους της δεξιάς με τους όρους της αριστερής στήλης( μονάδες 8 ): Δάσκαλος του Γένους Αλή Πασάς Αξιωματικός του ρωσικού στρατού Ρήγας Φεραίος Τούρκος άρχοντας των Ιωαννίνων Σαμουήλ Έβαλε φωτιά στο Κούγκι Λάμπρος Κατσώνης 3. Σημειώστε Σ για τις σωστές και Λ για τις λάθος απαντήσεις: ( μονάδες 12)  Ο Άγιος Κοσμάς ο Αιτωλός δίδαξε στην Αθωνιάδα Σχολή .......  Ο Γρηγόριος Κωνσταντάς και ο Δανιήλ Φιλιππίδης συνέγραψαν τη «Γεωγραφία Νεωτερική» .......  Η «Ελληνική Νομαρχία»είναι αφιερωμένη στον Αδαμάντιο Κοραή. ......  Ο Ευγένιος Βούλγαρης καταγόταν από τη Χίο. ......  Ο Άγιος Κοσμάς ο Αιτωλός έκανε πολλές περιοδείες στην τουρκοκρατούμενη Ελλάδα και πέρασε και από την Κέρκυρα. ........  Πολλοί από τους δασκάλους του Γένους ήταν ή έγιναν κληρικοί. ........ 4. Συμπλήρωσε τα κενά ( 24 μονάδες): Οι δάσκαλοι του Γένους δίδασκαν σε................................., .................................. και .................. .................. Με το έργο τους βοήθησαν στην ίδρυση................... και την τόνωση της ......................... ...................., στην ..................................... προετοιμασία της Μεγάλης .................................. του 1821 και στην ανάπτυξη του...............................................στη Δύση. Αποτέλεσμα των δραστηριοτήτων των δασκάλων του Γένους ήταν οι νέες φιλελεύθερες ιδέες να φτάνουν γρήγορα στην ελληνική Χερσόνησο. Όλη αυτή η πνευματική δραστηριότητα ονομάστηκε...................... .......................................... 5. Τι γνωρίζετε για το Ρήγα Βελεστινλή ( μονάδες 8): .................................................................................................................................................... Kitili Μaria Επιμέλεια: Χρήστος Χαρμπής http://st-taksh.blogspot.gr σελ.204
  • 205.
    ..................................................................................................................................................... ..................................................................................................................................................... ..................................................................................................................................................... ..................................................................................................................................................... ..................................................................................................................................................... ..................................................................................................................................................... ..................................................................................................................................................... 6. Κυκλώστε καιυπογραμμίστε τη σωστή απάντηση ( μονάδες 12): α)Ο Αδαμάντιος Κοραής έγραψε : 1. Το «Θούριο». 2. Το «Σάλπισμα Πολεμιστήριον». 3. Την «Ελληνική Νομαρχία». 4.Τη «Χάρτα της Ελλάδας». β) Το 16ο αιώνα πολλοί Κερκυραίοι, Κρητικοί και Μανιάτες πολέμησαν τους Οθωμανούς Τούρκους στο πλευρό των: 1. Βενετών και Ισπανών. 2. Αδελφών Ορλώφ. 3. Του Λάμπρου Κατσώνη. 4. Του Ναπολέοντα Βοναπάρτη. γ)Στα τέλη του 18ου αιώνα οι υπόδουλοι Έλληνες συνειδητοποίησαν ότι : 1. Κάθε πρωτοβουλία για απελευθέρωση έπρεπε να προέλθει από τους Γάλλους. 2. Κάθε πρωτοβουλία για απελευθέρωση έπρεπε να προέλθει από τους Ρώσους. 3. Κάθε πρωτοβουλία για απελευθέρωση έπρεπε να προέλθει από τους ίδιους. 4. . Κάθε πρωτοβουλία για απελευθέρωση έπρεπε να προέλθει από τους Βενετούς. δ) Το 1600 ο Μητροπολίτης Διονύσιος ο Φιλόσοφος ξεσήκωσε τους υπόδουλους Έλληνες: 1. Στη Θεσπρωτία. 2. Στα Σφακιά της Κρήτης. 3. Στη Λιβαδειά . 4. Στην ορεινή Θεσσαλία. Kitili Μaria Επιμέλεια: Χρήστος Χαρμπής http://st-taksh.blogspot.gr σελ.205
  • 206.
    ε) Ο ΓεώργιοςΑνδρίτσος ήταν πατέρας του : 1. Ιωάννη Βλάχου. 2. Λάμπρου Κατσώνη. 3. Οδυσσέα Ανδρούτσου. 4.Μητροπολίτη Διονυσίου. στ. Οι κάτοικοι του Σουλίου ήταν : 1. Ναυτικοί. 2. Βοσκοί. 3. Έμποροι. 4. Λόγιοι. 7. Σημειώστε Σ για τις σωστές και Λ για τις λάθος απαντήσεις ( μονάδες 14):  Η Υψηλή Πύλη ήταν η ανώτερη εξουσία των Τούρκων. .........  Ο Αλή Πασάς των Ιωαννίνων πέτυχε να διώξει με διάφορους τρόπους αρκετούς Σουλιώτες. ........  Οι Σουλιώτες στα Επτάνησα υπηρέτησαν αρχικά τους Βενετούς. ........  Το 1820 οι Τούρκοι μετά από πολλές προσπάθειες κατέλαβαν το Σούλι. .........  Κατά τη διάρκεια της Επανάστασης πολλοί Σουλιώτες ανέπτυξαν σημαντική δράση ως οπλαρχηγοί. ........  Στο Κιούγκι ανατινάχτηκε ο Σαμουήλ μόνο με πολεμιστές Σουλιώτες. .......  Οι Σουλιώτες μιλούσαν ελληνικά και αρβανίτικα. ......... 8.Τι γνωρίζεις για τους αγώνες των Σουλιωτών ( μονάδες 12): ..................................................................................................................................................... ..................................................................................................................................................... ..................................................................................................................................................... ..................................................................................................................................................... ..................................................................................................................................................... ..................................................................................................................................................... ..................................................................................................................................................... ..................................................................................................................................................... .......................................................................................................Καλή επιτυχία!! Kitili Μaria Επιμέλεια: Χρήστος Χαρμπής http://st-taksh.blogspot.gr σελ.206
  • 207.
    5ο Δ.Σ. ΜΟΣΧΑΤΟΥ ΤΑΞΗΣΤ΄ 2012-13 ΚΡΙΤΗΡΙΟ ΑΞΙΟΛΟΓΗΣΗΣ ΣΤΗΝ ΙΣΤΟΡΙΑ 2η ΕΝΟΤΗΤΑ ΚΕΦ 1-6 ΟΝΟΜΑΤΕΠΩΝΥΜΟ: ___________________________________________________ 1.Ποιες ήταν οι συνθήκες ζωής των υποδούλων Ελλήνων κατά τη διάρκεια της Τουρκοκρατίας ; Οι συνθήκες ζωής των υποδούλων ήταν πολύ σκληρές ιδιαίτερα τα πρώτα χρόνια της Τουρκοκρατίας. Υποχρεώνονταν να κατοικούν σε φτωχικές συνοικίες, υπηρετούσαν στο στρατό σε βοηθητικές υπηρεσίες, απαγορεύονταν οι λιτανείες και σοβαρές δικαστικές υποθέσεις εξετάζονταν μόνο σε μουσουλμανικά ιεροδικεία και όχι στα εκκλησιαστικά δικαστήρια. Το σημαντικότερο όμως ήταν ότι οι Χριστιανοί πλήρωναν περισσότερους φόρους από τους Μουσουλμάνους, όπως τον κεφαλικό φόρο, τον φόρο εστίας, τον έγγειο φόρο (φόρος για χρήση της γης) αλλά και τον φόρο με την αγροτική παραγωγή, τη γνωστή δεκάτη. Τα πιο σκληρά όμως μέτρα ακόμα και από τη φορολογία ιδιαίτερα τους πρώτους χρόνους της σκλαβιάς ήταν οι σφαγές, οι αιχμαλωσίες, οι εξισλαμισμοί και φυσικά το παιδομάζωμα. Επίσης η αναγκαστική μετακίνηση ελληνικών πληθυσμών. 2.Τι ήταν οι Κλέφτες; Ήταν ένοπλοι Έλληνες κατά την περίοδο της Τουρκοκρατίας. Ζούσαν στην ύπαιθρο και είχαν τα λημέρια τους ( τα κρησφύγετά τους) σε μέρη δύσβατα (δυσκολοπάτητα). Ήταν οργανωμένοι σε μικρές ομάδες, η καθεμιά με τον καπετάνιο της και το δικό της μπαϊράκι (σημαία, λάβαρο). Βασικό τους χαρακτηριστικό ήταν η εχθρότητα που ένιωθαν για τους Τούρκους και γενικά για την εξουσία. Οι Αρχές τούς αντιμετώπιζαν σαν κακούργους, όμως ο λαός θαύμαζε το ελεύθερο φρόνημά τους κι έκαμε τραγούδι τη ζωή και τα κατορθώματά τους. Έτσι οι κλέφτες έγιναν λαϊκοί ήρωες. 3.Σωστό ή λάθος ; Κατά την εποχή της Τουρκοκρατίας Χριστιανοί και Μουσουλμάνοι είχαν τα ίδια δικαιώματα. Λ Κάποιοι ορθόδοξοι κληρικοί δέχονταν την Τουρκική κατάκτηση ενώ άλλοι ήθελαν την απελευθέρωση από τους Τούρκους. Σ Φαναριώτες ήταν οι αρματολοί που φιλούσαν το Οικουμενικό Πατριαρχείο. Λ Παροικία : η εγκατάσταση και η συγκρότηση κοινότητας σε ένα ξένο κράτος. Σ Η δεύτερη περίοδος της μετανάστευσης των Ελλήνων στο εξωτερικό , κατά τη διάρκεια της Τουρκοκρατίας τον 17Ο και 18Ο αιώνα ήταν συνήθως υποχρεωτική. Λ Επιμέλεια: Χρήστος Χαρμπής http://st-taksh.blogspot.gr σελ.207
  • 208.
    ΙΣΤΟΡΙΑ Οι Έλληνες κάτωαπό την οθωμανική και τη λατινική κυριαρχία 1. Ποια περίοδος ονομάζεται Τουρκοκρατία; ____________________________________________________________________________________ 2. Κύκλωσε το σωστό: Λέγονταν και κοτζαμπάσηδες οι: α) Φαναριώτες β) υπόδουλοι χριστιανοί γ) κοινοτικοί άρχοντες δ) κληρικοί Έλληνες της Διασποράς ονομάζονται: α) οι Βυζαντινοί άρχοντες που κατέφυγαν στη Δύση, μετά την Άλωση της Πόλης β) οι χριστιανοί που μετακινήθηκαν σε ορεινούς τόπους της Οθωμανικής Αυτοκρατορίας γ) οι Έλληνες λόγιοι που κατέφυγαν στα νησιά του Ιονίου δ) οι Έλληνες που ζούσαν έξω από τα όρια της Οθωμανικής Αυτοκρατορίας Την περίοδο της Τουρκοκρατίας ο Πατριάρχης ήταν ο εκπρόσωπος: α) των Ελλήνων β) των χριστιανών Ελλήνων και Ρώσων γ) όλων των υπόδουλων πληθυσμών, ανεξαρτήτως θρησκείας, γλώσσας και εθνικότητας δ) όλων των ορθόδοξων χριστιανών, ανεξαρτήτως γλώσσας και εθνικότητας Οι Φαναριώτες ήταν: α) Τούρκοι αξιωματούχοι της οθωμανικής διοίκησης β) Έλληνες αξιωματούχοι της οθωμανικής διοίκησης γ) κοινοτικοί άρχοντες Οι δάσκαλοι του Γένους ήταν κυρίως: α) κληρικοί β) Έλληνες της Διασποράς γ) Φαναριώτες δ) προεστοί των κοινοτήτων Στην ανάπτυξη του ελληνικού εμπορίου το 18ο αιώνα συνέβαλε: α) η νίκη των Ελλήνων στη ναυμαχία της Ναυπάκτου β) το «ρεμπελιό των ποπολάρων» στα Επτάνησα γ) η Συνθήκη του Κιουτσούκ Καϊναρτζή Όνομα ______________ Ημερομηνία _________ Βαθμός ____ Κάρκαλου Άννα Επιμέλεια: Χρήστος Χαρμπής http://st-taksh.blogspot.gr σελ.208
  • 209.
    δ) η εμφάνισητου Νεοελληνικού Διαφωτισμού 3. Με ποιον τρόπο κατάφεραν οι Έλληνες να μην αφομοιωθούν από τους Τούρκους; ____________________________________________________________________________________ 4. Χαρακτήρισε τις παρακάτω προτάσεις ως σωστές (Σ) ή λανθασμένες (Λ): Οι παροικίες ήταν ελληνικές πόλεις που έγιναν σημαντικά εμπορικά κέντρα. Οι Έλληνες ασχολήθηκαν με το εμπόριο και τη ναυτιλία γιατί οι Τούρκοι τους παρείχαν προνόμια. Οι δάσκαλοι του Γένους ενίσχυαν την εθνική συνείδηση των Ελλήνων. Οι Τούρκοι κατέκτησαν το Σούλι το 1803. Η 2η περίοδος μετανάστευσης ήταν υποχρεωτική. 5. Τι είναι ο Νεοελληνικός Διαφωτισμός; ____________________________________________________________________________________ ____________________________________________________________________________________ 6. Αντιστοίχισε τα πρόσωπα με τα στοιχεία που ταιριάζουν στον καθένα. 7. Τι ξέρεις για τους κλέφτες; Με ποιον τρόπο προσπάθησαν να τους αντιμετωπίσουν οι Τούρκοι; ____________________________________________________________________________________ ____________________________________________________________________________________ ____________________________________________________________________________________ ____________________________________________________________________________________ 8. Γιατί οι Σουλιώτες ήταν τόσο ικανοί πολεμιστές; ____________________________________________________________________________________ ____________________________________________________________________________________ ____________________________________________________________________________________ ____________________________________________________________________________________ • Έζησε στο Παρίσι • Εξέδωσε έργα του στη Βιέννη • Τον θανάτωσαν οι Τούρκοι • Πρότεινε τη χρήση μιας απλούστερης γλώσσας • Εργάστηκε ως γραμματέας Φαναριώτη ηγεμόνα Ρήγας Βελεστινλής • Αδαμάντιος Κοραής • Κάρκαλου Άννα Επιμέλεια: Χρήστος Χαρμπής http://st-taksh.blogspot.gr σελ.209
  • 210.
    ΕΠΑΝΑΛΗΠΤΙΚΟ ΙΣΤΟΡΙΑ ΕΝΟΤΗΤΑ Β:ΟΙ ΕΛΛΗΝΕΣ ΚΑΤΩ ΑΠΟ ΤΗΝ ΟΘΩΜΑΝΙΚΗ ΚΑΙ ΤΗ ΛΑΤΙΝΙΚΗ ΚΥΡΙΑΡΧΙΑ (1453-1821) ΟΝΟΜΑ:………………………….. ΗΜΕΡΟΜΗΝΙΑ:…………………. 1) Αντιστοιχίζω τα γεγονότα και τα ονόματα της πρώτης στήλης με τις χρονολογίες της δεύτερης. Διονύσιος Φιλόσοφος 1700 μ.Χ Ορλωφικά 1774 μ.Χ Συνθήκη Κιουτσούκ Καϊναρτζή 16ος αι. Λάμπρος Κατσώνης 1821 μ.Χ Μεγάλη Επανάσταση 1778 μ.Χ 2) Συμπληρώνω τα κενά: Οι υπόδουλοι Έλληνες με τη βοήθεια της …………………κατάφεραν να διατηρήσουν τρία βασικά στοιχεία της εθνικής τους ταυτότητας: τη ……………, τη …………………και την …………………….. Πολλές σημαντικές διακρίσεις σε βάρος των χριστιανών γίνονταν και στην κατανομή των φόρων. Πλήρωναν πολλούς ………………….φόρους όπως τον ………………………φόρο, το φόρο της……………για τα σπίτια τους, τον ………………..φόρο για τη χρήση της γης και τη …………………..για την αγροτική παραγωγή. Υπήρχαν βέβαια και οι ……………………φόροι. Οι Έλληνες μετανάστες που ίδρυσαν παροικίες στο εξωτερικό ονομάστηκαν …………………της………………….Από αυτούς ξεκίνησε η πνευματική ………………..του υπόδουλου έθνους κατά το 18ο αιώνα. Μεγάλες πόλεις όπως η Κ………….., η Μ………………...., τα Ι……………., η Θ………………………,αλλά και νησιά όπως η Χ…………, η Ύ…………., και τα Ψ……….. έγιναν σημαντικά κέντρα του ελληνικού εμπορίου. Ένα σημαντικό κείμενο του Νεοελληνικού Διαφωτισμού ήταν η «…………..........................................» άγνωστου συγγραφέα. Στο κείμενο αυτό καταδικάζονται η «…………………….»και η «…………………..» και προβάλλεται η «………………………….»δηλαδή το πολίτευμα όπου εξουσιάζουν οι νόμοι. Τα προεπαναστατικά κινήματα απέτυχαν γιατί ήταν ……………………..και ………………………………………………. Άννα Πουλή1 Επιμέλεια: Χρήστος Χαρμπής http://st-taksh.blogspot.gr σελ.210
  • 211.
    3) ΑΝΤΙΣΤΟΙΧΊΖΩ: Είχαν αξιόλογημόρφωση και Πατριάρχης κατείχαν υψηλά αξιώματα στην οθωμανική διοίκηση. Αποτελούσαν την τοπική εξουσία και γνώριζαν πόσο φόρο αναλογούσε Φαναριώτες σε κάθε κάτοικο. Ήταν εκπρόσωπος του Ρουμ μιλέτ. Προεστοί 4) ΑΝΤΙΣΤΟΙΧΙΖΩ: Κοσμάς Αιτωλός Οραματιζόταν τη δημιουργία ενός δημοκρατικού κράτους με κυρίαρχη την ελληνική γλώσσα και παιδεία. Ρήγας Βελεστινλής Όργωσε την Ελλάδα διδάσκοντας και ιδρύοντας σχολεία. Αδαμάντιος Κοραής Για να ελευθερωθεί το έθνος έπρεπε πρώτα να φωτιστεί διαμέσου της παιδείας. 5) Ποιους ονομάζουμε δάσκαλους του Γένους; ………………………………………………………………………………………… ………………………………………………………………………………………… ………………………………………………………………………………………… ………………………………………………………………………………………… ……………………………………………………………………………………….... 6) Τι πέτυχαν με το έργο τους; ………………………………………………………………………………………… ………………………………………………………………………………………… ………………………………………………………………………………………… ………………………………………………………………………………………… ………………………………………………………………………………………… ΚΑΛΗ ΕΠΙΤΥΧΙΑ!!! Άννα Πουλή2 Επιμέλεια: Χρήστος Χαρμπής http://st-taksh.blogspot.gr σελ.211
  • 212.
    ΤΕΣΤ ΙΣΤΟΡΙΑΣ ΣΤ’ 30/10/2014 ΚΕΦ.1-4ΟΝΟΜΑ............................................................................ ΕΡΩΤΗΣΕΙΣ 1. Γιατί δεν αφομοιώθηκαν οι υπόδουλοι Έλληνες; ............................................................................................................................................... ............................................................................................................................................... ............................................................................................................................................... ............................................................................................................................................... ............................................................................................................................................... ............................................................................................................................................... ............................................................................................................................................... 2. Με ποιους φόρους επιβαρύνονταν οι Χριστιανοί την περίοδο της Τουρκοκρατίας; ............................................................................................................................................... ............................................................................................................................................... ............................................................................................................................................... ............................................................................................................................................... ............................................................................................................................................... ............................................................................................................................................... ............................................................................................................................................... ............................................................................................................................................... ............................................................................................................................................... ............................................................................................................................................... ............................................................................................................................................... 3. Τι γνωρίζεις για τους Φαναριώτες; ............................................................................................................................................... ............................................................................................................................................... ............................................................................................................................................... ............................................................................................................................................... ............................................................................................................................................... ............................................................................................................................................... ............................................................................................................................................... 4. Τι ήταν οι Κλέφτες και τι οι Αρματολοί; ............................................................................................................................................... ............................................................................................................................................... ............................................................................................................................................... ............................................................................................................................................... ............................................................................................................................................... Στέφου Βασίλειος Επιμέλεια: Χρήστος Χαρμπής http://st-taksh.blogspot.gr σελ.212
  • 213.
    ............................................................................................................................................... ............................................................................................................................................... 5. Βάλε Σστο σωστό και Λ στο λάθος. Η άρχουσα τάξη που σχηματίστηκε γύρω από το Πατριαρχείο ονομάστηκε Πατριώτες. Οι περισσότεροι υπόδουλοι κατείχαν εκτάσεις γης κυρίως σε άγονες περιοχές ή νησιά. Οι Τούρκοι που μάζευαν τους φόρους στα χωριά λέγονταν προεστοί ή δημογέροντες. Η εξέγερση στη Ζάκυνθο το 1628 γνωστή ως το «ρεμπελιό των ποπολάρων» έγινε κατά των Τούρκων κατακτητών. Οι Αρματολοί διορίζονταν από τους Τούρκους. 6. Συμπλήρωσε την ακροστιχίδα. 1. Κ _ _ _ _ _ _ _ _ _ _ _ _ _ _ _ _ _ _ 2. Λ _ _ _ _ _ _ 3. Ε_ _ _ _ _ _ _ _ _ 4. Φ_ _ _ _ _ _ _ _ _ 5. Τ_ _ _ _ _ _ _ _ _ _ _ 6. Ε_ _ _ _ _ _ _ _ _ _ _ 7. Σ_ _ _ _ _ _ _ _ 1. Έτσι λέγονταν αλλιώς οι προεστοί ή οι δημογέροντες. 2. Στα βουνά είχαν τα .......... οι κλέφτες. 3. Το 1821 έγινε η ελληνική ......... 4. Άρχουσα τάξη γύρω από το Πατριαρχείο. 5. Έτσι ονομάστηκε η περίοδος αυτή. 7. Ο Πατριάρχης και οι Φαναριώτες έδιναν λογαριασμό σε αυτόν. ΚΑΛΗ ΕΠΙΤΥΧΙΑ. Στέφου Βασίλειος Επιμέλεια: Χρήστος Χαρμπής http://st-taksh.blogspot.gr σελ.213
  • 214.
    Διαγώνισμα στην Ιστορία( Ενότητα Β΄) Ονοματεπώνυμο: …………………………………………………………………………………… 1. Συμπληρώνω τα κενά: Τα τρία βασικά στοιχεία που έκαναν τους Έλληνες να μη χάσουν την εθνική τους ταυτότητα κατά την περίοδο της Τουρκοκρατίας ήταν η ……………. τους, η ……………. και οι ………………. τους. Ωστόσο, οι Έλληνες είχαν μια πολύ δύσκολη ζωή, ειδικά τους δυο πρώτους αιώνες της Τουρκοκρατίας καθώς έπρεπε να πληρώνουν μια σειρά από φόρους, όπως τον ………………… φόρο, το φόρο της ……………… για τις κατοικίες τους, και τη …………… για την αγροτική παραγωγή. Βέβαια, σκληρότερα από όλα αυτά ήταν οι ………………….. και το …………………, καθώς μετέτρεπαν τα μικρά ελληνόπουλα σε ………………….. Οι ……………………. κατάγονταν από πλούσιες οικογένειες που έμεναν σε μια συνοικία της Πόλης , η οποία ονομαζόταν ……………., από όπου πήραν κι εκείνοι την ονομασία τους. 2. Βάζω Σ για σωστό και Λ για Λάθος στις παρακάτω προτάσεις: Ο Ρήγας Φεραίος έγραψε το Θούριο. Η ναυμαχία της Ναυπάκτου έγινε το 1600. Οι Έλληνες συνειδητοποίησαν ότι έπρεπε να βασιστούν μόνο σε ξένες δυνάμεις για την ελευθερία τους. Σύμφωνα με τη συνθήκη του Κιουτσούκ Καϊναρτζή, οι Έλληνες μπορούσαν να υψώνουν στα καράβια τους τη ρωσική σημαία. Ο Λάμπρος Κατσώνης ήταν αξιωματικός του αυστριακού στρατού. Ο καλόγερος Σαμουήλ πρόλαβε και διέφυγε από τον λόφο του Κούγκι πριν το καταλάβουν οι Τούρκοι. 3. Αντιστοιχίζω τα γεγονότα με τις σωστές ημερομηνίες: Οι Τούρκοι κατέλαβαν το Σούλι. ● ● 1774 Αυτή την χρονολογία γεννήθηκε ο Ρήγας Φεραίος. ● ● 1453 Τότε υπογράφηκε η συνθήκη του Κιουτσούκ Καϊναρτζή ● ● 1803 Οι αδερφοί Ορλώφ έφτασαν στη Μάνη. ● ● 1821 Η άλωση της Πόλης από τους Τούρκους. ● ● 1757 Η έναρξη της Ελληνικής Επανάστασης. ● ● 1770 4. Αναφέρω μερικούς εκπροσώπους του Νεοελληνικού Διαφωτισμού: …………………………………………………………………………………………………………… …………………………………………………………………………………………………………… …………………………………………………………………………………………………………… …………………………………………………………………………………………………………… Κορτσαλιουδάκη Κατερίνα Επιμέλεια: Χρήστος Χαρμπής http://st-taksh.blogspot.gr σελ.214
  • 215.
    5. Απαντώ μεσυντομία στις παρακάτω ερωτήσεις: α) Ποια είναι η διαφορά μεταξύ κλεφτών και αρματολών; …………………………………………………………………………………………………………… …………………………………………………………………………………………………………… …………………………………………………………………………………………………………… …………………………………………………………………………………………………………… β) Ποια είναι εκείνα τα στοιχεία που χαρακτηρίζουν τους Σουλιώτες σαν ικανούς πολεμιστές; …………………………………………………………………………………………………………… …………………………………………………………………………………………………………… …………………………………………………………………………………………………………… …………………………………………………………………………………………………………… …………………………………………………………………………………………………………… . γ) Ανάμεσα σε ποιους υπογράφηκε η συνθήκη του Κιουτσούκ Καϊναρτζή , πότε και τι έλεγε; …………………………………………………………………………………………………………… …………………………………………………………………………………………………………… …………………………………………………………………………………………………………… …………………………………………………………………………………………………………… ……………………………………………………………………………………………………………. δ) Ποια ήταν σημαντική προσφορά των Δασκάλων του Γένους στην υποδουλωμένη Ελλάδα; …………………………………………………………………………………………………………… …………………………………………………………………………………………………………… …………………………………………………………………………………………………………… …………………………………………………………………………………………………………… …………………………………………………………………………………………………………… …………………………………………………………………………………………………………… …………………………………………………………………………………………………………… …………………………………………………………………………………………………………… Κορτσαλιουδάκη Κατερίνα Επιμέλεια: Χρήστος Χαρμπής http://st-taksh.blogspot.gr σελ.215
  • 216.
    Θοδωρής Βούγας Επιμέλεια: ΧρήστοςΧαρμπής http://st-taksh.blogspot.gr σελ.216
  • 217.
    Θοδωρής Βούγας Επιμέλεια: ΧρήστοςΧαρμπής http://st-taksh.blogspot.gr σελ.217
  • 218.
    Σελίδα 1 από4 Τετάρτη, 07 Νοεμβρίου 2012 Ονοματεπώνυμο: ………………………………………………………………………………… ………. / 100 …………… % Βαθμός: …………………………………. Τεστ στο μάθημα της Ιστορίας (Β’ Ενότητα – Κεφ. 1ο ,2ο ,3ο ,4ο ,5ο ) 1. Κυκλώστε και υπογραμμίστε τη σωστή απάντηση: [10 μονάδες] α. Από τον 14ο ως τον 18ο αιώνα τα Ιόνια νησιά τα κατείχαν: 1. οι Οθωμανοί Τούρκοι 2. οι Βενετοί 3. οι Άγγλοι 4. οι Γάλλοι β. Η περίοδος της Τουρκοκρατίας στον ελληνικό χώρο αρχίζει από τα μέσα του: 1. του 13ου αιώνα 2. του 14ου αιώνα 3. του 15ου αιώνα 4. του 16ου αιώνα γ. Η θέση των Ελλήνων τόσο στις τουρκοκρατούμενες όσο και στις βενετοκρατούμενες περιοχές ήταν: 1. αρχικά πολύ δύσκολη, αργότερα όμως κάπως καλύτερη 2. αρχικά κάπως καλή, αργότερα όμως πολύ δύσκολη 3. σχετικά καλή σε σχέση με τα προηγούμενα χρόνια δ. « Έλληνες της Διασποράς» ονομάζονται: 1. οι Βυζαντινοί άρχοντες που κατέφυγαν στη Δύση μετά την άλωση της Κων/πολης 2. οι Χριστιανοί που μετακινήθηκαν σε ορεινούς τόπους της Οθ. Αυτοκρατορίας 3. οι Έλληνες λόγιοι που κατέφυγαν στα Ιόνια Νησιά 4. οι Έλληνες που ζούσαν έξω από τα όρια της Οθωμανικής Αυτοκρατορίας ε. Το «ρεμπελιό των ποπολάρων» ήταν: 1. η εξέγερση των Ελλήνων κατά των Βενετών το 1797 2. η εξέγερση των αστών και του λαού κατά των Βενετών στη Ζάκυνθο το 1628 3. η εξέγερση των αστών και του λαού κατά των Τούρκων στη Λευκάδα το 1628 4. η κατάληψη της Κωνσταντινούπολης από τους Λατίνους το 1204 2. Αντιστοιχίστε τους όρους της αριστερής στήλης με τους όρους της δεξιάς στήλης: [8 μονάδες] Σουλτάνος   Αυτός που ασχολείται με τα γράμματα και τις τέχνες Λόγιος   Μεταστροφή κάποιου στο Ισλάμ Κεφαλικός φόρος   Βασιλιάς των Οθωμανών Εξισλαμισμός   Είδος φορολογίας Γεώργιος Π. Μαυροειδάκος Επιμέλεια: Χρήστος Χαρμπής http://st-taksh.blogspot.gr σελ.218
  • 219.
    Σελίδα 2 από4 Τετάρτη, 07 Νοεμβρίου 2012 3. Συμπληρώστε τα κενά που υπάρχουν στο παρακάτω κείμενο: [24 μονάδες] Μέσα σε δύο αιώνες (15ος -17ος αιώνας) οι ………………………. ………………………. κατέκτησαν ολόκληρη την ………………………. Χερσόνησο. Οι δύο πρώτοι αιώνες της ………………………. ήταν οι δυσκολότεροι για τους Χριστιανούς. Αρκετοί κάτοικοι ………………………. σε ………………………. τόπους της Οθωμανικής Αυτοκρατορίας, ενώ αρκετοί ………………………. έφυγαν στη Δυτική Ευρώπη. Τελικά όμως οι ………………………. Έλληνες κατάφεραν να διαφυλάξουν, με τη βοήθεια και της Εκκλησίας, τρία βασικά στοιχεία της ………………………. τους ταυτότητας: τη ………………………. , τη ………………………. και την ………………………. . 4. Να χαρακτηρίσετε ως σωστές (Σ) ή λανθασμένες (Λ) τις παρακάτω προτάσεις: [12 μονάδες]  Η ανώτατη πολιτική και θρησκευτική αρχή των Χριστιανών κατά την περίοδο της Τουρκοκρατίας ήταν το Πατριαρχείο. (………..)  Όλοι οι Φαναριώτες ήταν από την Κωνσταντινούπολη και ήταν έμποροι ή βιοτέχνες. (………..)  Οι Χριστιανοί υπήκοοι της Οθωμανικής Αυτοκρατορίας είχαν κάποιες ελευθερίες, οι διάφοροι όμως περιορισμοί που τους επιβάλλονταν έκαναν τη ζωή τους πολύ δύσκολη. (………..)  Οι σοβαρές δικαστικές υποθέσεις των Χριστιανών εξετάζονταν στα εκκλησιαστικά δικαστήρια. (………..)  Τακτικοί φόροι που πλήρωναν οι υπόδουλοι Χριστιανοί στο οθωμανικό κράτος ήταν ο κεφαλικός φόρος, ο φόρος της εστίας, ο έγγειος φόρος και ο φόρος της δεκάτης. (………..)  Οι Χριστιανοί των πόλεων καταπιέζονταν πιο πολύ από εκείνους των πιο απομακρυσμένων περιοχών, γιατί ελέγχονταν άμεσα από την κεντρική οθωμανική εξουσία. (………..) 5. Κυκλώστε και υπογραμμίστε τη σωστή απάντηση: [12 μονάδες] α. Την περίοδο της Τουρκοκρατίας ο Πατριάρχης ήταν ο εκπρόσωπος: 1. των Ελλήνων 2. των Χριστιανών Ελλήνων και Ρώσων 3. όλων των υπόδουλων πληθυσμών, ανεξάρτητα από θρησκεία, γλώσσα και εθνικότητα 4. όλων των Ορθόδοξων Χριστιανών, ανεξάρτητα από γλώσσα και εθνικότητα β. Ο Πατριάρχης, οι Φαναριώτες και οι προεστοί: 1. ήταν εντελώς ανεξάρτητες αρχές 2. λογοδοτούσε ο ένας στον άλλο 3. εξαρτιόνταν από τις διαθέσεις των Οθωμανών Γεώργιος Π. Μαυροειδάκος Επιμέλεια: Χρήστος Χαρμπής http://st-taksh.blogspot.gr σελ.219
  • 220.
    Σελίδα 3 από4 Τετάρτη, 07 Νοεμβρίου 2012 γ. Ο μοναχός Μάξιμος ο Γραικός καλλιέργησε στους υπόδουλους Χριστιανούς: 1. πνεύμα εξέγερσης ενάντιων των Τούρκων 2. πνεύμα υπακοής και υποταγής στους Τούρκων 3. σχέση με τη με τη Ρωμαιοκαθολική Εκκλησία 4. σχέσεις με τη Ρωσία δ. Το «ξανθό γένος» ήταν: 1. οι Ρώσοι 2. οι αρχαίοι Έλληνες 3. οι Οθωμανοί Τούρκοι 4. οι Δυτικοευρωπαίοι ε. Οι Φαναριώτες ήταν: 1. Τούρκοι αξιωματούχοι της οθωμανικής διοίκησης 2. Έλληνες αξιωματούχοι της Οθωμανικής διοίκησης 3. κοινοτικοί άρχοντες στ. Λέγονταν και «κοτζαμπάσηδες» οι: 1. Φαναριώτες 2. υπόδουλοι Χριστιανοί 3. κοινοτικοί άρχοντες 4. κληρικοί 6. Αντιστοιχίστε τους όρους της αριστερής στήλης με τους όρους της δεξιάς στήλης: [10 μονάδες] Κλέφτες   Επικεφαλής της ορθόδοξης Εκκλησίας Φαναριώτες   Κοινοτικοί άρχοντες Αρματολοί   Έλληνες άρχοντες της Κωνσταντινούπολης Πατριάρχης   Ανυπότακτοι στους Τούρκους Δημογέροντες   Ένοπλα βοηθητικά σώματα των Τούρκων 7. Να αναφέρετε συνοπτικά τι γνωρίζετε για τη «Συνθήκη του Κιουτσούκ Καϊναρτζή»; [6 μονάδες] …………………………………………………………………………………………………………………………… …………………………………………………………………………………………………………………………… …………………………………………………………………………………………………………………………… …………………………………………………………………………………………………………………………… …………………………………………………………………………………………………………………………… ……………………………………………………………………………………………………………………….. ……………………………………………………………………………………………………………………….. Γεώργιος Π. Μαυροειδάκος Επιμέλεια: Χρήστος Χαρμπής http://st-taksh.blogspot.gr σελ.220
  • 221.
    Σελίδα 4 από4 Τετάρτη, 07 Νοεμβρίου 2012 8. Να χαρακτηρίσετε ως σωστές (Σ) ή λανθασμένες (Λ) τις παρακάτω προτάσεις: [10 μονάδες]  Οι Οθωμανοί ενδιαφέρονταν ιδιαίτερα για το εμπόριο, γι’ αυτό έκαναν τις Διομολογήσεις. (………..)  Χάρη στο εμπόριο και στη ναυτιλία οι Έλληνες καλυτέρεψαν σιγά- σιγά τη ζωή τους την περίοδο της Τουρκοκρατίας. (………..)  Οι Έλληνες ασχολήθηκαν με το εμπόριο και τη ναυτιλία γιατί οι Οθωμανοί Σουλτάνοι τους παρείχαν προνόμια. (………..)  Η Οθωμανική Αυτοκρατορία από τα μέσα περίπου του 16ου αιώνα άρχισε να παρακμάζει. (………..)  Οι παροικίες ήταν ελληνικές πόλεις που έγιναν σημαντικά εμπορικά κέντρα. (………..) 9. Τι γνωρίζετε για την πολιτική οργάνωση των Ελλήνων κατά την περίοδο της Τουρκοκρατίας; [8 μονάδες] …………………………………………………………………………………………………………………………… …………………………………………………………………………………………………………………………… …………………………………………………………………………………………………………………………… …………………………………………………………………………………………………………………………… …………………………………………………………………………………………………………………………… …………………………………………………………………………………………………………………………… …………………………………………………………………………………………………………………………… …………………………………………………………………………………………………………………………… …………………………………………………………………………………………………………………………… ………………………………………………………………………………………………………………………... ΚΑΛΗ ΕΠΙΤΥΧΙΑ !!! Γεώργιος Π. Μαυροειδάκος Επιμέλεια: Χρήστος Χαρμπής http://st-taksh.blogspot.gr σελ.221
  • 222.
    Καλή επιτυχία! Επιμέλεια: ΧρήστοςΧαρμπής http://st-taksh.blogspot.gr σελ.222
  • 223.
    Έντεκα μηνών Ημερομηνία: Βάρος: [Βάρος[Ύψος: [Ύψος] Σημειώσεις: [Τοποθετήστε φωτογραφίες εδώ] ΠΕΡΙΕΧΟΜΕΝΑ Θεωρία - Παρουσιάσεις σελ. 3 - 82 Επαναληπτικά σελ. 83 - 125 Επιμέλεια: Χρήστος Χαρμπής http://st-taksh.blogspot.gr σελ.223