Trigonometric Functions
Trigonometric Functions
        360  2 radians
Trigonometric Functions
         360  2 radians


Arcs & Sectors
Trigonometric Functions
         360  2 radians


Arcs & Sectors
           C  2r
Trigonometric Functions
         360  2 radians


Arcs & Sectors
           C  2r           A  r 2
Trigonometric Functions
              360  2 radians


Arcs & Sectors
          A     C  2r           A  r 2

    O 

          B
Trigonometric Functions
                    360  2 radians


Arcs & Sectors
                A     C  2r           A  r 2

        O 

                B



 AB is an arc
Trigonometric Functions
                        360  2 radians


Arcs & Sectors
                A         C  2r           A  r 2

        O          l

                B



 AB is an arc
Trigonometric Functions
                        360  2 radians


Arcs & Sectors
                A         C  2r           A  r 2
                              
                           l     2r
        O          l         2

                B



 AB is an arc
Trigonometric Functions
                        360  2 radians


Arcs & Sectors
                A         C  2r           A  r 2
                               
                           l     2r
        O          l         2
                          l  r
                B



 AB is an arc
Trigonometric Functions
                        360  2 radians


Arcs & Sectors
                A         C  2r                 A  r 2
                               
                           l     2r
        O          l         2
                          l  r
                B


                              Length of an arc;      l  r
 AB is an arc
Trigonometric Functions
                           360  2 radians


Arcs & Sectors
                   A         C  2r                 A  r 2
                                  
                              l     2r
        O             l         2
                             l  r
                   B

 OAB is a sector
                                 Length of an arc;      l  r
 AB is an arc
Trigonometric Functions
                           360  2 radians


Arcs & Sectors
                   A         C  2r                 A  r 2
                                                        
                              l     2r      AOAB         r 2
        O             l         2                      2
                             l  r
                   B

 OAB is a sector
                                 Length of an arc;      l  r
 AB is an arc
Trigonometric Functions
                           360  2 radians


Arcs & Sectors
                   A         C  2r                 A  r 2
                                                        
                              l     2r      AOAB         r 2
        O             l         2                      2
                             l  r                  1
                   B                           AOAB  r 2
                                                     2
 OAB is a sector
                                 Length of an arc;      l  r
 AB is an arc
Trigonometric Functions
                           360  2 radians


Arcs & Sectors
                   A         C  2r                 A  r 2
                                                        
                              l     2r      AOAB         r 2
        O             l         2                      2
                             l  r                  1
                   B                           AOAB  r 2
                                                     2
 OAB is a sector
                                 Length of an arc;  l  r
 AB is an arc                                           1 2
                                 Area of a sector; A  r 
                                                        2
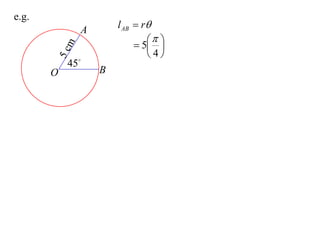
e.g.
               A


           m
       5c  45
       O           B
e.g.
               A       l AB  r



           m
       5c  45
       O           B
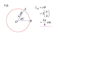
e.g.
               A       l AB  r
                                
                             5 

           m
                               4
       5c  45
       O           B
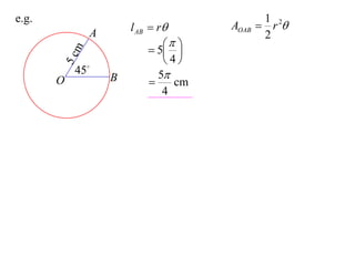
e.g.
               A       l AB  r
                                
                             5 

           m
                               4
       5c  45
                   B          5
       O                        cm
                               4
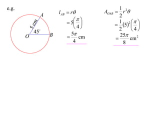
e.g.                                        1
                       l AB  r      AOAB  r 2
               A                            2
                                
                             5 

           m
                               4
       5c  45
                   B          5
       O                        cm
                               4
e.g.                                        1
                       l AB  r      AOAB  r 2
               A                            2
                                         1 2 
                             5           5  
           m
                               4                 
       5c  45
                                            2     4
                   B          5
       O                        cm
                               4
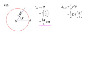
e.g.                                         1
                       l AB  r      AOAB  r 2
               A                             2
                                          1 2 
                             5           5  
           m
                               4                 
       5c  45
                                             2    4
                   B          5             25
       O                        cm              cm 2
                               4               8
e.g.                                               1
                        l AB  r           AOAB  r 2
               A                                   2
                                                1 2 
                              5                5  
           m
                                4                      
       5c  45
                                                   2    4
                   B           5                  25
       O                         cm                   cm 2
                                4                    8
                       Area minor segment AB 
e.g.                                                  1
                        l AB  r              AOAB  r 2
               A                                      2
                                                   1 2 
                              5                   5  
           m
                                4                          
       5c  45
                                                      2     4
                   B           5                     25
       O                         cm                       cm 2
                                4                       8
                                                 1        1
                       Area minor segment AB    r 2  r 2 sin 
                                                 2        2
                                                 1 2
                                                r   sin  
                                                 2
e.g.                                                  1
                        l AB  r              AOAB  r 2
               A                                      2
                                                   1 2 
                              5                   5  
           m
                                4                          
       5c  45
                                                      2     4
                   B           5                     25
       O                         cm                       cm 2
                                4                       8
                                                 1        1
                       Area minor segment AB    r 2  r 2 sin 
                                                 2        2
                                                 1 2
                                                r   sin  
                                                 2
e.g.                                                   1
                        l AB  r              AOAB  r 2
               A                                       2
                                                    1 2 
                              5                   5  
           m
                                4                           
       5c  45
                                                       2     4
                   B           5                      25
       O                         cm                        cm 2
                                4                        8
                                                 1         1
                       Area minor segment AB    r 2  r 2 sin 
                                                 2         2
                                                 1 2
                                                r   sin  
                                                 2
                                                 1 2            
                                                5   sin 
                                                 2     4         4
                                                 25   1 
                                                           
                                                  2 4       2
                                                 25 2  100 2
                                                               cm
                                                      8 2
e.g.                                                   1
                        l AB  r              AOAB  r 2
               A                                       2
                                                    1 2 
                              5                   5  
           m
                                4                           
         5c45
                                                       2     4
                   B           5                      25
       O                         cm                        cm 2
                                4                        8
                                                 1         1
                       Area minor segment AB    r 2  r 2 sin 
                                                 2         2
                                                 1 2
                                                r   sin  
                                                 2
                                                 1 2            
                                                5   sin 
  Exercise 14B; 2 to 24 evens, 25, 28*           2     4         4
                                                 25   1 
                                                           
                                                  2 4       2
                                                 25 2  100 2
                                                               cm
                                                      8 2

12X1 T03 01 arcs & sectors

  • 1.
  • 2.
    Trigonometric Functions 360  2 radians
  • 3.
    Trigonometric Functions 360  2 radians Arcs & Sectors
  • 4.
    Trigonometric Functions 360  2 radians Arcs & Sectors C  2r
  • 5.
    Trigonometric Functions 360  2 radians Arcs & Sectors C  2r A  r 2
  • 6.
    Trigonometric Functions 360  2 radians Arcs & Sectors A C  2r A  r 2 O  B
  • 7.
    Trigonometric Functions 360  2 radians Arcs & Sectors A C  2r A  r 2 O  B AB is an arc
  • 8.
    Trigonometric Functions 360  2 radians Arcs & Sectors A C  2r A  r 2 O  l B AB is an arc
  • 9.
    Trigonometric Functions 360  2 radians Arcs & Sectors A C  2r A  r 2  l  2r O  l 2 B AB is an arc
  • 10.
    Trigonometric Functions 360  2 radians Arcs & Sectors A C  2r A  r 2  l  2r O  l 2 l  r B AB is an arc
  • 11.
    Trigonometric Functions 360  2 radians Arcs & Sectors A C  2r A  r 2  l  2r O  l 2 l  r B Length of an arc; l  r AB is an arc
  • 12.
    Trigonometric Functions 360  2 radians Arcs & Sectors A C  2r A  r 2  l  2r O  l 2 l  r B OAB is a sector Length of an arc; l  r AB is an arc
  • 13.
    Trigonometric Functions 360  2 radians Arcs & Sectors A C  2r A  r 2   l  2r AOAB   r 2 O  l 2 2 l  r B OAB is a sector Length of an arc; l  r AB is an arc
  • 14.
    Trigonometric Functions 360  2 radians Arcs & Sectors A C  2r A  r 2   l  2r AOAB   r 2 O  l 2 2 l  r 1 B AOAB  r 2 2 OAB is a sector Length of an arc; l  r AB is an arc
  • 15.
    Trigonometric Functions 360  2 radians Arcs & Sectors A C  2r A  r 2   l  2r AOAB   r 2 O  l 2 2 l  r 1 B AOAB  r 2 2 OAB is a sector Length of an arc; l  r AB is an arc 1 2 Area of a sector; A  r  2
  • 16.
    e.g. A m 5c 45 O B
  • 17.
    e.g. A l AB  r m 5c 45 O B
  • 18.
    e.g. A l AB  r    5  m 4 5c 45 O B
  • 19.
    e.g. A l AB  r    5  m 4 5c 45 B 5 O  cm 4
  • 20.
    e.g. 1 l AB  r AOAB  r 2 A 2    5  m 4 5c 45 B 5 O  cm 4
  • 21.
    e.g. 1 l AB  r AOAB  r 2 A 2   1 2   5   5   m 4   5c 45 2 4 B 5 O  cm 4
  • 22.
    e.g. 1 l AB  r AOAB  r 2 A 2   1 2   5   5   m 4   5c 45 2 4 B 5 25 O  cm  cm 2 4 8
  • 23.
    e.g. 1 l AB  r AOAB  r 2 A 2   1 2   5   5   m 4   5c 45 2 4 B 5 25 O  cm  cm 2 4 8 Area minor segment AB 
  • 24.
    e.g. 1 l AB  r AOAB  r 2 A 2   1 2   5   5   m 4   5c 45 2 4 B 5 25 O  cm  cm 2 4 8 1 1 Area minor segment AB  r 2  r 2 sin  2 2 1 2  r   sin   2
  • 25.
    e.g. 1 l AB  r AOAB  r 2 A 2   1 2   5   5   m 4   5c 45 2 4 B 5 25 O  cm  cm 2 4 8 1 1 Area minor segment AB  r 2  r 2 sin  2 2 1 2  r   sin   2
  • 26.
    e.g. 1 l AB  r AOAB  r 2 A 2   1 2   5   5   m 4   5c 45 2 4 B 5 25 O  cm  cm 2 4 8 1 1 Area minor segment AB  r 2  r 2 sin  2 2 1 2  r   sin   2 1 2   5   sin  2 4 4 25   1      2 4 2 25 2  100 2  cm 8 2
  • 27.
    e.g. 1 l AB  r AOAB  r 2 A 2   1 2   5   5   m 4   5c45 2 4 B 5 25 O  cm  cm 2 4 8 1 1 Area minor segment AB  r 2  r 2 sin  2 2 1 2  r   sin   2 1 2   5   sin  Exercise 14B; 2 to 24 evens, 25, 28* 2 4 4 25   1      2 4 2 25 2  100 2  cm 8 2