1
7.4 Some Differentiation Formulas
 A.   Derivative of a Constant
 B.   Power Rule
 C.   Evaluation of a Derivative
 D.   Leibniz Notation
 E.   Derivatives in Business and Economics




                                              2
A. Derivative of a Constant
• The derivative of a constant is _______.
• Examples:




                                             3
B. Power Rule
• The power comes down front with the
  coefficient, and you deduct one from the power.
  Here’s the rule:
                   n
  If f x       x , then the    derivative   ,
              d                    n 1
   f   x or            f x   n x
              dx



                                                    4
5
Power Rule
• The power comes down front with the
  coefficient, and you deduct one from the
  power. Here are examples:




                                             6
What’s the derivative of x?




What about x-5?



                              7
What’s the derivative of x1/4?




What’s the derivative of 8x -1/2?



                                    8
What’s the derivative of 7x?




What’s the derivative of x3 + x5?



This is called ______by______ .     9
In order to find derivatives term by
term, they must actually be terms.

What are terms?




                                   10
What’s the derivative of x3 - x5?



What’s the derivative of
5x-2 - 6x1/3 + 4?



                                    11
What’s the derivative of 4x-3 - 3x1/4 + 171?




What’s the derivative of -4x1/2 - 6x-3 + x?




                                               12
C. Evaluation of a Derivative




                                13
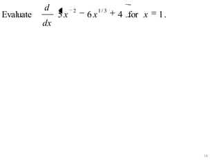
d         2        1/ 3
Evaluate        5x       6x          4 for x   1.
           dx




                                                    14
4
If f x   x , then find f 2 .




                               15
4
If f x    3x       2x, then find the slope of the
line that is tangent t o the curve at x   3.




                                                    16
The power rule can NOT be used
on this as it is written right now.
Why not?

                2
           2x       3x   1
   f   x
                    x



                                      17
Remember when your algebra teacher taught
               you this:
• Rewrite this so that it has no denominators:
                   2
              2x       3x    1
   f   x
                       x




                                                 18
The reason we need to that is …
• We are not able to use the power rule on
                2
           2x       3x   1
   f   x
                    x

• But we know to differentiate this:




• So rewriting it will be your very first step!

                                                  19
You try differentiating:
                3        2
           6x       3x       2x   1
f   x                    2
                    x




                                      20
DON’T FORGET WHAT A DERIVATIVE IS

• It’s a function for the slope of the tangent line.
• If you plug in a value for x. Let’s say, you find
  the derivative of f and call it f prime. Then
  suppose you plug in x = 3 into f prime and get
  4. So that f’(3) = 4. What does this mean?
• THE LINE THAT IS TANGENT TO f AT THE POINT
  x=3 HAS A SLOPE OF 4.



                                                   21
D. Leibniz Notation
                                               df
Instead of writing     f 2 , Leibniz   wrote
                                               dx   x 2




             3         df
If f x    4 x , find
                       dx   x   1




                                                          22
E. Derivatives in Business & Economics

• COST FUNCTIONS:
• C(x) is a function for
“total cost of producing x units.”

• MC(x) is for “MARGINAL COST” and it is the
  same as C’(x), the derivative of C(x).

• Marginal Cost gives you COST PER UNIT.

                                               23
REVENUE FUNCTIONS:
• R(x) is a function for the total revenue from
  selling x units.

• MR(x) is for “MARGINAL REVENUE,” and it is
  the same as R’(x), the derivative of R(x).

• Marginal Revenue gives you REVENUE PER
  UNIT.

                                                  24
PROFIT FUNCTIONS:
• P(x) is a function for the total profit from
  producing and selling x units.

• Profit = Revenue minus Cost
• P(x) = R(x) – C(x)

• MP(x) = P’(x) = Marginal Profit =       Profit
  per item
                                                   25
A company      manufactur   es cordless   telephone    s and finds
its cost function   (the total cost of making     x telepho nes) is

C ( x)   400    x   500 dollars. Find MC(x).




Find the marginal     cost when   100 telephone       s have been
made, and interpret    your answer.




                                                                     26
A researcher    finds that the    # of names that a person can
                                         3   2
memorize    in x minutes    is f x      6 x . Find the IRC of
this function   after 8 minutes    and interpret   your answer.




(How does that differ in meaning         from f(8)?)
                                                                  27
You try : A company      sells rocking    chairs and finds its
                                      2
revenue function    is R ( x )    23 x dollars. Find MR(x).




Find the marginal    revenue when 20 rocking        chairs have
been sold, and interpret     your answer.




(But how is that different       from what R(20) means?)
                                                                  28

125 7.4

  • 1.
  • 2.
    7.4 Some DifferentiationFormulas A. Derivative of a Constant B. Power Rule C. Evaluation of a Derivative D. Leibniz Notation E. Derivatives in Business and Economics 2
  • 3.
    A. Derivative ofa Constant • The derivative of a constant is _______. • Examples: 3
  • 4.
    B. Power Rule •The power comes down front with the coefficient, and you deduct one from the power. Here’s the rule: n If f x x , then the derivative , d n 1 f x or f x n x dx 4
  • 5.
  • 6.
    Power Rule • Thepower comes down front with the coefficient, and you deduct one from the power. Here are examples: 6
  • 7.
    What’s the derivativeof x? What about x-5? 7
  • 8.
    What’s the derivativeof x1/4? What’s the derivative of 8x -1/2? 8
  • 9.
    What’s the derivativeof 7x? What’s the derivative of x3 + x5? This is called ______by______ . 9
  • 10.
    In order tofind derivatives term by term, they must actually be terms. What are terms? 10
  • 11.
    What’s the derivativeof x3 - x5? What’s the derivative of 5x-2 - 6x1/3 + 4? 11
  • 12.
    What’s the derivativeof 4x-3 - 3x1/4 + 171? What’s the derivative of -4x1/2 - 6x-3 + x? 12
  • 13.
    C. Evaluation ofa Derivative 13
  • 14.
    d 2 1/ 3 Evaluate 5x 6x 4 for x 1. dx 14
  • 15.
    4 If f x x , then find f 2 . 15
  • 16.
    4 If f x 3x 2x, then find the slope of the line that is tangent t o the curve at x 3. 16
  • 17.
    The power rulecan NOT be used on this as it is written right now. Why not? 2 2x 3x 1 f x x 17
  • 18.
    Remember when youralgebra teacher taught you this: • Rewrite this so that it has no denominators: 2 2x 3x 1 f x x 18
  • 19.
    The reason weneed to that is … • We are not able to use the power rule on 2 2x 3x 1 f x x • But we know to differentiate this: • So rewriting it will be your very first step! 19
  • 20.
    You try differentiating: 3 2 6x 3x 2x 1 f x 2 x 20
  • 21.
    DON’T FORGET WHATA DERIVATIVE IS • It’s a function for the slope of the tangent line. • If you plug in a value for x. Let’s say, you find the derivative of f and call it f prime. Then suppose you plug in x = 3 into f prime and get 4. So that f’(3) = 4. What does this mean? • THE LINE THAT IS TANGENT TO f AT THE POINT x=3 HAS A SLOPE OF 4. 21
  • 22.
    D. Leibniz Notation df Instead of writing f 2 , Leibniz wrote dx x 2 3 df If f x 4 x , find dx x 1 22
  • 23.
    E. Derivatives inBusiness & Economics • COST FUNCTIONS: • C(x) is a function for “total cost of producing x units.” • MC(x) is for “MARGINAL COST” and it is the same as C’(x), the derivative of C(x). • Marginal Cost gives you COST PER UNIT. 23
  • 24.
    REVENUE FUNCTIONS: • R(x)is a function for the total revenue from selling x units. • MR(x) is for “MARGINAL REVENUE,” and it is the same as R’(x), the derivative of R(x). • Marginal Revenue gives you REVENUE PER UNIT. 24
  • 25.
    PROFIT FUNCTIONS: • P(x)is a function for the total profit from producing and selling x units. • Profit = Revenue minus Cost • P(x) = R(x) – C(x) • MP(x) = P’(x) = Marginal Profit = Profit per item 25
  • 26.
    A company manufactur es cordless telephone s and finds its cost function (the total cost of making x telepho nes) is C ( x) 400 x 500 dollars. Find MC(x). Find the marginal cost when 100 telephone s have been made, and interpret your answer. 26
  • 27.
    A researcher finds that the # of names that a person can 3 2 memorize in x minutes is f x 6 x . Find the IRC of this function after 8 minutes and interpret your answer. (How does that differ in meaning from f(8)?) 27
  • 28.
    You try :A company sells rocking chairs and finds its 2 revenue function is R ( x ) 23 x dollars. Find MR(x). Find the marginal revenue when 20 rocking chairs have been sold, and interpret your answer. (But how is that different from what R(20) means?) 28