5.3 Integration of
Logarithmic and
Exponential Functions
1
We recall that the derivative of ln x is .
                                        x
                               1
So if we go in reverse, then ∫ dx = ln x .
                               x
(Absolute values are necessary.)
CAREFUL!Don' t get this confused with the ones you
you have done like this one :
  1                 x −1      −1
∫ x 2 dx = ∫ x dx = − 1 + C = x + C
              −2
3
∫ 2v dv




∫t
     −1
          dt
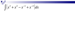
∫(x                                       )dx
                           −1        −2
      3
          +x −x +x 2




∫ ( 4e                         )dt
                          −1
          0 .5 t
                   + 2t
(            )
You try : ∫ x 2 − x + x −1 − x −3 dx




∫ ( 4e                      )
                       −1
         0.4 x
                 + 7 x dx
Figuring out how to undo the
derivative of exponentials
                                           x    x
You remember that the derivative of e is e .
So if you go in reverse, ∫ e x dx will be e x + C.
If only they were all that simple.


We need to consider what happens when they
                            3x
were a little fancier like e .
The derivative of e would be e ⋅ 3 = 3e .
                    3x            3x           3x


So it appears that in order to go in reverse,
the opposite of multiplying by the " tail, "
maybe we will divide by it. Let' s try it :
              3x
         3e
∫ 3e dx = 3 + C = e + C
    3x             3x
∫e
     7x
          dx




∫ e − x / 4 dx




∫ e.04 x dx
We can use u-substitution
with the exponentials

∫ e du = e + C
  u      u
Using ∫ e du = e + C
                   u        u



∫e
     x3    2
          x dx         It is obvious what u should be!
u=x       3


du = 3x dx     2
You try : ∫ e x
                4
            x       3
∫                   ∫
      3 x +1                − x2
  e            dx     5xe          dx
We can use u-substitution with
the logarithmic types too
  1
∫u  du = ln u + C
1
Using ∫ du = ln u + C
           u
    x3
∫ x 4 + 1 dx Let's call the stuff in the denominator u.
u = x +1
       4


du = 4 x 3 dx
    1
∫ x4 + 1 x 3 dx =
2
             x
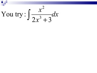
You try : ∫ 3 dx
           2x + 3
3             1           3x
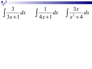
∫ 3x + 1 dx   ∫ 4x +1 dx   ∫ x2 + 4 dx

125 5.3

  • 1.
    5.3 Integration of Logarithmicand Exponential Functions
  • 2.
    1 We recall thatthe derivative of ln x is . x 1 So if we go in reverse, then ∫ dx = ln x . x (Absolute values are necessary.) CAREFUL!Don' t get this confused with the ones you you have done like this one : 1 x −1 −1 ∫ x 2 dx = ∫ x dx = − 1 + C = x + C −2
  • 3.
  • 4.
    ∫(x )dx −1 −2 3 +x −x +x 2 ∫ ( 4e )dt −1 0 .5 t + 2t
  • 5.
    ( ) You try : ∫ x 2 − x + x −1 − x −3 dx ∫ ( 4e ) −1 0.4 x + 7 x dx
  • 6.
    Figuring out howto undo the derivative of exponentials x x You remember that the derivative of e is e . So if you go in reverse, ∫ e x dx will be e x + C. If only they were all that simple. We need to consider what happens when they 3x were a little fancier like e .
  • 7.
    The derivative ofe would be e ⋅ 3 = 3e . 3x 3x 3x So it appears that in order to go in reverse, the opposite of multiplying by the " tail, " maybe we will divide by it. Let' s try it : 3x 3e ∫ 3e dx = 3 + C = e + C 3x 3x
  • 8.
    ∫e 7x dx ∫ e − x / 4 dx ∫ e.04 x dx
  • 9.
    We can useu-substitution with the exponentials ∫ e du = e + C u u
  • 10.
    Using ∫ edu = e + C u u ∫e x3 2 x dx It is obvious what u should be! u=x 3 du = 3x dx 2
  • 11.
    You try :∫ e x 4 x 3
  • 12.
    ∫ 3 x +1 − x2 e dx 5xe dx
  • 13.
    We can useu-substitution with the logarithmic types too 1 ∫u du = ln u + C
  • 14.
    1 Using ∫ du= ln u + C u x3 ∫ x 4 + 1 dx Let's call the stuff in the denominator u. u = x +1 4 du = 4 x 3 dx 1 ∫ x4 + 1 x 3 dx =
  • 15.
    2 x You try : ∫ 3 dx 2x + 3
  • 16.
    3 1 3x ∫ 3x + 1 dx ∫ 4x +1 dx ∫ x2 + 4 dx