1ST UNIT
H2 ANTAGONIST
Prepared by
G. Nikitha, M.Pharmacy
Assistant Professor
Department of Pharmaceutical Chemistry
Sree Dattha Institute Of Pharmacy
Hyderabad
1
Subject: Medicinal Chemistry-II
Year: B.Pharmacy 3rd Year
Semister: 1st Semister
CONTENTS
 Introduction.
 Classification .
 Drugs used in H2 Antagonists
 Mechanism of action .
 SAR.
 Structure
 Synthesis.
 Adverse Drug Reactions .
 Uses.
 References
2
INTRODUCTION
 These are the drugs that effectively block the action of histamine for
binding with H2 receptor and hence Antagonizes its activity. H2
receptor are mainly located on the basolateral membrane of the
parietal cells of the Gastrointestinal tract and are responsible for
increasing gastric acid secretion.
 Drug included under H2 Antihistamines include Ranitidine,
Cimetidine, famotidine, roxatidine etc. These drugs are Found to be
highly effective in the treatment of peptic ulcers diseases as they
reduce gastric acid secretion.
3
GENERAL MECHANISM OF ACTION
 The H2 antagonists are competitive antagonists of histamine at the
parietal cell H2 receptor.
 They suppress the normal Secretion of acid by parietal cell and the
meal-stimulated secretion of acid.
 They accomplish this by two mechanisms: histamine released by
ECL cells in the stomach is blocked from binding on parietal cell H2
receptors which stimulates acid secretion therefore other substance
that promote acid secretion have a reduced effect on parietal cell
when the H2 receptors are blocked.
4
SAR OF H2 ANTAGONIST
Immidazole ring:
 Methylation at 5th position leads to arterial histamine selective
agonist action R-CH3.
 N-Guanylhistamine week antagonist.
 Increasing the side length of side chain from 2-4 carbon couple with
replacement of guanidine group by the neutral methyl thiourea
function.
5
 N-imidazo tautomer has prominent activity.
 Thiourea structural feature is eliminated by replacing the thiourea
sulphur with cyano-imino function to produce cimetidine which is
effective gastric anti-secretory agent that promotes the healing of
duodenal ulcer.
6
CLASSIFICATION
7
PROTON PUMP INHIBITOR
8
H2 ANTAGONISTS
9
H2 ANTAGONIST
Cimetidine
Structure:
IUPAC: 1-Cyano-3-methyl-2-(2-{[(5-methyl-1H-imidazole) methyl]
sulfanyl}ethyl)guanidine
Properties:
White or off white crystalline powder, unpleasant odor, sparingly
soluble in water but soluble in alcohol
10
Molecular structure:C10H16N6S
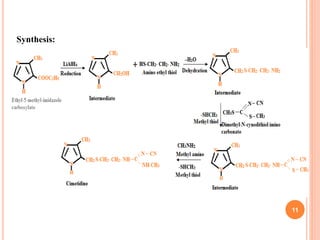
Synthesis:
11
Mechanism of Action:
Cimetidine causes potent inhibition of gastric acid secretion by
selectively and competitively binding to H2 receptors and
antagonizing the action of histamine. However it does not interfere
with the formation and release of endogenous histamine.
Pharmacokinetics:
Cimetidine is well absorbed orally and reaches peak plasma
concentration within 1-3 hrs of oral administration. Only small
amount of drug undergoes first pass metabolism while remaining 60-
80% reaches systemic circulation. It is generally taken after meals as
the presence of food increases its absorption.
12
Adverse Drug Reactions:
 Headache, dizziness
 Sleepiness
 Enlarged breasts in men
 Confusion (elderly), Convulsions, coma
 Impotence
 Diarrhea, Constipation
 Nausea, Vomiting, Dry mouth
 Fatigue
 Rashes
 Slurred speech
 Thrombocytophenia , neutropenia
 Temporary reduction of sperm count
Dose:
oral dose of 400mg b.i.d or 800 mg O.D at night.
13
 Famotidine
Structure:
IUPAC:3-[({2-[(diaminomethylidene)amino]-1,3-thiazole}methyl)
sulfanyl]-N'-sulfamoylpropanimidamide
Properties:
White to pale yellow crystals, freely soluble in glacial acetic acid,
slightly soluble in methanol, very slightly soluble in water, and
practically insoluble in ethanol.
14
Molecular formula:C8H15N7O2S3
Pharmacokinetics:
It is a long acting drug has an elimination half-life of 2.5-3.5 hrs. It
possesses good oral bioavailability ranging up to 50%. It undergoes
less first pass metabolism and about 70% of the drug is excreted
unchanged in urine.
Adverse Drug Reactions:
 constipation, diarrhea,
 fatigue, dizziness, weakness,
 mood changes,
 headache,insomnia,
 muscle pain or cramps, joint pain,
 dry mouth, nausea, or vomiting.
Dose:
an oral dose of 20mg t.i.d or 40mg at night. 15
Ranitidine
Structure:
IUPAC:[1-({2-[({5-[(dimethylamino)methyl]furan}methyl)sulfanyl]
ethyl}amino)-2-nitroethenyl](methyl)amine
Properties:
white to pale yellow, granular substance, Characteristic odour, Bitter
taste, Water soluble, sensitive to light and moisture.
16
Molecular formula: C13H23N4O3S
Pharmacokinetics:
Ranitidine Tablets is 50% absorbed after oral administration, compared
to an intravenous (IV) injection with mean peak levels of 440 to 545
mg/ml occurring 2 to 3 hours after a 150 mg dose. Absorption is not
significantly impaired by the administration of food or antacids
undergoes metabolism in liver followed by urine elimination.
Adverse Drug Reactions:
 headache (may be severe);
 Dizziness, Confusion, drowsiness,
 sleep problems (insomnia);
 Decreased sex drive, impotence, or difficulty having an orgasm; or
swollen or tender breasts (in men);
 Nausea, vomiting, stomach pain; or Diarrhea, constipation.
Dose:
150 mg orally t.i.d or 300 mg at bed time.
17
Therapeutic uses of H2 receptors:
H2 antihistamines are regarded as highly effective class of
gastrointestinal drugs. They are widely used in the treatment of
gastric and peptic ulcers.
1. Treatment of Duodenal Ulcers.
2. Treatment of Gastric Ulcers.
3. Treatment of stress Induced Ulcers.
4. Treatment of Zollinger-Ellison syndrome.
5. Treatment of GERD.
6. To Prevent Aspiration Of Gastric Fluids.
18
PROTON PUMP INHIBITOR
19
Omeprazole
Structure:
IUPAC:6-methoxy-2-[(4-methoxy-3,5-
dimethylpyridine)methanesulfinyl]-1H-1,3-benzodiazole
Properties:
white hygroscopic powder, soluble in water, alcohol, propylene
glycol, very slightly soluble in methylene chloride. 20
Molecular formula: C17H19N3O3S
Pharmacokinetics:
Absorption takes place in small intestine. Oral, i.v route of
administration, metabolized in the liver by cytochrome enzyme,
eliminated through urine. Drug should be taken with glass of water
with an empty stomach before eating.
Adverse Drug Reactions:
 Head ache
 Dizziness
 Upper respiratory tract infections
 Cough, vomiting
 Abdominal pain
 Nausea
 Constipation
 Rashes
 Back pain
21
Therapeutic Uses:
 Used in the treatment of gastric ulcers, stomach infection Duodenal
ulcers, GERD.
Dose:
20 mg as a single dose for 4 weeks by oral route.
22
Pantoprazole
Structure:
IUPAC:6-(difluoromethoxy)-2-[(3,4-
dimethoxypyridine)methanesulfinyl]-1H-1,3-benzodiazole
Properties:
White color, soluble in water, insoluble in hexane, slightly soluble in
buffer pH 7.4.
23
Molecular formula:C16H14F2N3O4S
Pharmacokinetics:
Oral, i.v route of administration, metabolized in the liver by
cytochrome enzyme, eliminated through urine.
Adverse Drug Reactions:
 Head ache
 Dizziness, Diarrhea
 Vomiting, Nausea
 Abdominal pain
 Joint pain
 Constipation
 Dry mouth
 Hepatitis
 Decrease in white blood cells
 Muscle disorder
 Bone infection 24
Therapeutic Uses:
 Used in the treatment of gastric ulcers, GERD
Dose:
Oral route- 20 to 40 mg/day in morning for ulcers, GRED.
25
Lansoprazole
Structure:
IUPAC:2-{[3-methyl-4-(2,2,2-trifluoroethoxy)
pyridine]methanesulfinyl}-1H-1,3-benzodiazole
Properties:
White to Brownish white crystalline powder, odorless, freely soluble
in dimethyl formamide, soluble in methanol, slightly soluble in ethyl
acetate, acetonitrile, very slightly soluble in water, heaxanes 26
Molecular formula:C16H13F3N3NaO2S
Pharmacokinetics:
Oral, i.v route of administration, metabolized in the liver by
cytochrome enzyme, eliminated through urine.
Adverse Drug Reactions:
 Head ache, Diarrhea, Constipation
 Stomach pain, Joint pain
 Nausea, Dry mouth
 Kidney problem
 Itching
 Breathing problem
 Blood in stool
 Rashes on nose, cheeks
 Fever, weakness, dizziness,
 Blood disorder
27
Therapeutic Uses:
 Used to treat certain stomach problems such as ulcers, acid reflux
Dose:
 60 mg/day for pathological hypersecretory condition
 30 mg/day for peptic ulcers.
28
Rabeprazole
Structure:
IUPAC:2-{[4-(3-methoxypropoxy)-3-methylpyridine]
methanesulfinyl}-1H-1,3-benzodiazole
Properties:
White to yellow solid, soluble in water, methanol, freely soluble in
ethanol, chloroform, ethylacetate, insoluble in ether. 29
Molecular formual:C18H21N3O3S
Pharmacokinetics:
Oral, i.v route of administration, metabolized in the liver by
cytochrome enzyme, eliminated through urine.
Adverse Drug Reactions:
 Head ache
 Dizziness
 Diarrhea
 Constipation
 Rashes
 Liver injury
 Coma, death
30
Therapeutic Uses:
 Used in the treatment of gastric ulcer, peptic ulcer, duodenal ulcers.
Dose:
 2omg /day Used for the treatment of gastric ulcer, peptic ulcer,
duodenal ulcers.
31
Reference books
 Text book of Medicinal chemistry volume-1-3rd edition by
V.Alagarasamy.
 Text book of Medicinal chemistry volume-2-3rd edition by
V.Alagarasamy.
 Medicinal chemistry by Rama Rao Nadendla.
 Faye’s Principles of Medicinal Chemistry- 7th edition by Thoms
L.Lemke, Victoria F.Roche, S. Willam Zito.
 Medicinal Chemistry- 4th edition by Ashutosh Kar
 Medicinal and Pharmaceutical Chemistry by Harkishan Singh, V.K
Kapoor.
 Wilson and Gisvolid’s Textbook of Organic Medicinal and
Pharmaceutical chemistry-12th edition by John M. Beale, John. H.
Block.
32
THANK YOU
33

1 st unit h2 antagonist

  • 1.
    1ST UNIT H2 ANTAGONIST Preparedby G. Nikitha, M.Pharmacy Assistant Professor Department of Pharmaceutical Chemistry Sree Dattha Institute Of Pharmacy Hyderabad 1 Subject: Medicinal Chemistry-II Year: B.Pharmacy 3rd Year Semister: 1st Semister
  • 2.
    CONTENTS  Introduction.  Classification.  Drugs used in H2 Antagonists  Mechanism of action .  SAR.  Structure  Synthesis.  Adverse Drug Reactions .  Uses.  References 2
  • 3.
    INTRODUCTION  These arethe drugs that effectively block the action of histamine for binding with H2 receptor and hence Antagonizes its activity. H2 receptor are mainly located on the basolateral membrane of the parietal cells of the Gastrointestinal tract and are responsible for increasing gastric acid secretion.  Drug included under H2 Antihistamines include Ranitidine, Cimetidine, famotidine, roxatidine etc. These drugs are Found to be highly effective in the treatment of peptic ulcers diseases as they reduce gastric acid secretion. 3
  • 4.
    GENERAL MECHANISM OFACTION  The H2 antagonists are competitive antagonists of histamine at the parietal cell H2 receptor.  They suppress the normal Secretion of acid by parietal cell and the meal-stimulated secretion of acid.  They accomplish this by two mechanisms: histamine released by ECL cells in the stomach is blocked from binding on parietal cell H2 receptors which stimulates acid secretion therefore other substance that promote acid secretion have a reduced effect on parietal cell when the H2 receptors are blocked. 4
  • 5.
    SAR OF H2ANTAGONIST Immidazole ring:  Methylation at 5th position leads to arterial histamine selective agonist action R-CH3.  N-Guanylhistamine week antagonist.  Increasing the side length of side chain from 2-4 carbon couple with replacement of guanidine group by the neutral methyl thiourea function. 5
  • 6.
     N-imidazo tautomerhas prominent activity.  Thiourea structural feature is eliminated by replacing the thiourea sulphur with cyano-imino function to produce cimetidine which is effective gastric anti-secretory agent that promotes the healing of duodenal ulcer. 6
  • 7.
  • 8.
  • 9.
  • 10.
    H2 ANTAGONIST Cimetidine Structure: IUPAC: 1-Cyano-3-methyl-2-(2-{[(5-methyl-1H-imidazole)methyl] sulfanyl}ethyl)guanidine Properties: White or off white crystalline powder, unpleasant odor, sparingly soluble in water but soluble in alcohol 10 Molecular structure:C10H16N6S
  • 11.
  • 12.
    Mechanism of Action: Cimetidinecauses potent inhibition of gastric acid secretion by selectively and competitively binding to H2 receptors and antagonizing the action of histamine. However it does not interfere with the formation and release of endogenous histamine. Pharmacokinetics: Cimetidine is well absorbed orally and reaches peak plasma concentration within 1-3 hrs of oral administration. Only small amount of drug undergoes first pass metabolism while remaining 60- 80% reaches systemic circulation. It is generally taken after meals as the presence of food increases its absorption. 12
  • 13.
    Adverse Drug Reactions: Headache, dizziness  Sleepiness  Enlarged breasts in men  Confusion (elderly), Convulsions, coma  Impotence  Diarrhea, Constipation  Nausea, Vomiting, Dry mouth  Fatigue  Rashes  Slurred speech  Thrombocytophenia , neutropenia  Temporary reduction of sperm count Dose: oral dose of 400mg b.i.d or 800 mg O.D at night. 13
  • 14.
     Famotidine Structure: IUPAC:3-[({2-[(diaminomethylidene)amino]-1,3-thiazole}methyl) sulfanyl]-N'-sulfamoylpropanimidamide Properties: White topale yellow crystals, freely soluble in glacial acetic acid, slightly soluble in methanol, very slightly soluble in water, and practically insoluble in ethanol. 14 Molecular formula:C8H15N7O2S3
  • 15.
    Pharmacokinetics: It is along acting drug has an elimination half-life of 2.5-3.5 hrs. It possesses good oral bioavailability ranging up to 50%. It undergoes less first pass metabolism and about 70% of the drug is excreted unchanged in urine. Adverse Drug Reactions:  constipation, diarrhea,  fatigue, dizziness, weakness,  mood changes,  headache,insomnia,  muscle pain or cramps, joint pain,  dry mouth, nausea, or vomiting. Dose: an oral dose of 20mg t.i.d or 40mg at night. 15
  • 16.
    Ranitidine Structure: IUPAC:[1-({2-[({5-[(dimethylamino)methyl]furan}methyl)sulfanyl] ethyl}amino)-2-nitroethenyl](methyl)amine Properties: white to paleyellow, granular substance, Characteristic odour, Bitter taste, Water soluble, sensitive to light and moisture. 16 Molecular formula: C13H23N4O3S
  • 17.
    Pharmacokinetics: Ranitidine Tablets is50% absorbed after oral administration, compared to an intravenous (IV) injection with mean peak levels of 440 to 545 mg/ml occurring 2 to 3 hours after a 150 mg dose. Absorption is not significantly impaired by the administration of food or antacids undergoes metabolism in liver followed by urine elimination. Adverse Drug Reactions:  headache (may be severe);  Dizziness, Confusion, drowsiness,  sleep problems (insomnia);  Decreased sex drive, impotence, or difficulty having an orgasm; or swollen or tender breasts (in men);  Nausea, vomiting, stomach pain; or Diarrhea, constipation. Dose: 150 mg orally t.i.d or 300 mg at bed time. 17
  • 18.
    Therapeutic uses ofH2 receptors: H2 antihistamines are regarded as highly effective class of gastrointestinal drugs. They are widely used in the treatment of gastric and peptic ulcers. 1. Treatment of Duodenal Ulcers. 2. Treatment of Gastric Ulcers. 3. Treatment of stress Induced Ulcers. 4. Treatment of Zollinger-Ellison syndrome. 5. Treatment of GERD. 6. To Prevent Aspiration Of Gastric Fluids. 18
  • 19.
  • 20.
    Omeprazole Structure: IUPAC:6-methoxy-2-[(4-methoxy-3,5- dimethylpyridine)methanesulfinyl]-1H-1,3-benzodiazole Properties: white hygroscopic powder,soluble in water, alcohol, propylene glycol, very slightly soluble in methylene chloride. 20 Molecular formula: C17H19N3O3S
  • 21.
    Pharmacokinetics: Absorption takes placein small intestine. Oral, i.v route of administration, metabolized in the liver by cytochrome enzyme, eliminated through urine. Drug should be taken with glass of water with an empty stomach before eating. Adverse Drug Reactions:  Head ache  Dizziness  Upper respiratory tract infections  Cough, vomiting  Abdominal pain  Nausea  Constipation  Rashes  Back pain 21
  • 22.
    Therapeutic Uses:  Usedin the treatment of gastric ulcers, stomach infection Duodenal ulcers, GERD. Dose: 20 mg as a single dose for 4 weeks by oral route. 22
  • 23.
    Pantoprazole Structure: IUPAC:6-(difluoromethoxy)-2-[(3,4- dimethoxypyridine)methanesulfinyl]-1H-1,3-benzodiazole Properties: White color, solublein water, insoluble in hexane, slightly soluble in buffer pH 7.4. 23 Molecular formula:C16H14F2N3O4S
  • 24.
    Pharmacokinetics: Oral, i.v routeof administration, metabolized in the liver by cytochrome enzyme, eliminated through urine. Adverse Drug Reactions:  Head ache  Dizziness, Diarrhea  Vomiting, Nausea  Abdominal pain  Joint pain  Constipation  Dry mouth  Hepatitis  Decrease in white blood cells  Muscle disorder  Bone infection 24
  • 25.
    Therapeutic Uses:  Usedin the treatment of gastric ulcers, GERD Dose: Oral route- 20 to 40 mg/day in morning for ulcers, GRED. 25
  • 26.
    Lansoprazole Structure: IUPAC:2-{[3-methyl-4-(2,2,2-trifluoroethoxy) pyridine]methanesulfinyl}-1H-1,3-benzodiazole Properties: White to Brownishwhite crystalline powder, odorless, freely soluble in dimethyl formamide, soluble in methanol, slightly soluble in ethyl acetate, acetonitrile, very slightly soluble in water, heaxanes 26 Molecular formula:C16H13F3N3NaO2S
  • 27.
    Pharmacokinetics: Oral, i.v routeof administration, metabolized in the liver by cytochrome enzyme, eliminated through urine. Adverse Drug Reactions:  Head ache, Diarrhea, Constipation  Stomach pain, Joint pain  Nausea, Dry mouth  Kidney problem  Itching  Breathing problem  Blood in stool  Rashes on nose, cheeks  Fever, weakness, dizziness,  Blood disorder 27
  • 28.
    Therapeutic Uses:  Usedto treat certain stomach problems such as ulcers, acid reflux Dose:  60 mg/day for pathological hypersecretory condition  30 mg/day for peptic ulcers. 28
  • 29.
    Rabeprazole Structure: IUPAC:2-{[4-(3-methoxypropoxy)-3-methylpyridine] methanesulfinyl}-1H-1,3-benzodiazole Properties: White to yellowsolid, soluble in water, methanol, freely soluble in ethanol, chloroform, ethylacetate, insoluble in ether. 29 Molecular formual:C18H21N3O3S
  • 30.
    Pharmacokinetics: Oral, i.v routeof administration, metabolized in the liver by cytochrome enzyme, eliminated through urine. Adverse Drug Reactions:  Head ache  Dizziness  Diarrhea  Constipation  Rashes  Liver injury  Coma, death 30
  • 31.
    Therapeutic Uses:  Usedin the treatment of gastric ulcer, peptic ulcer, duodenal ulcers. Dose:  2omg /day Used for the treatment of gastric ulcer, peptic ulcer, duodenal ulcers. 31
  • 32.
    Reference books  Textbook of Medicinal chemistry volume-1-3rd edition by V.Alagarasamy.  Text book of Medicinal chemistry volume-2-3rd edition by V.Alagarasamy.  Medicinal chemistry by Rama Rao Nadendla.  Faye’s Principles of Medicinal Chemistry- 7th edition by Thoms L.Lemke, Victoria F.Roche, S. Willam Zito.  Medicinal Chemistry- 4th edition by Ashutosh Kar  Medicinal and Pharmaceutical Chemistry by Harkishan Singh, V.K Kapoor.  Wilson and Gisvolid’s Textbook of Organic Medicinal and Pharmaceutical chemistry-12th edition by John M. Beale, John. H. Block. 32
  • 33.