STRUCTURAL
THEORY 2
Introduction to Statically
Indeterminate Structures
Prep by: Engr. Buluran
Introduction
The support reactions and internal forces of statically determinate structures can
be determined from the equations of equilibrium.
the equilibrium equations alone are not sufficient for determining the reactions and
internal forces of such structures and must be supplemented by additional
relationships based on the geometry of deformation of structures.
Compatibility conditions, ensure that the continuity of the displacements is
maintained throughout the structure and that the structure’s various parts fit
together.
Advantages
1. Smaller Stresses
2. Greater Stiffness
3. Redundancies
Disadvantages
1. Stresses due to support settlements
2. Stresses due to temperature
changes and fabrication errors
Analysis of
Indeterminate
Structures
• Regardless of whether a structure is
statically determinate or indeterminate, its
complete analysis requires the use of
three types of relationships:
1. Equilibrium Equations
2. Compatibility Conditions
3. Member force-deformation relations
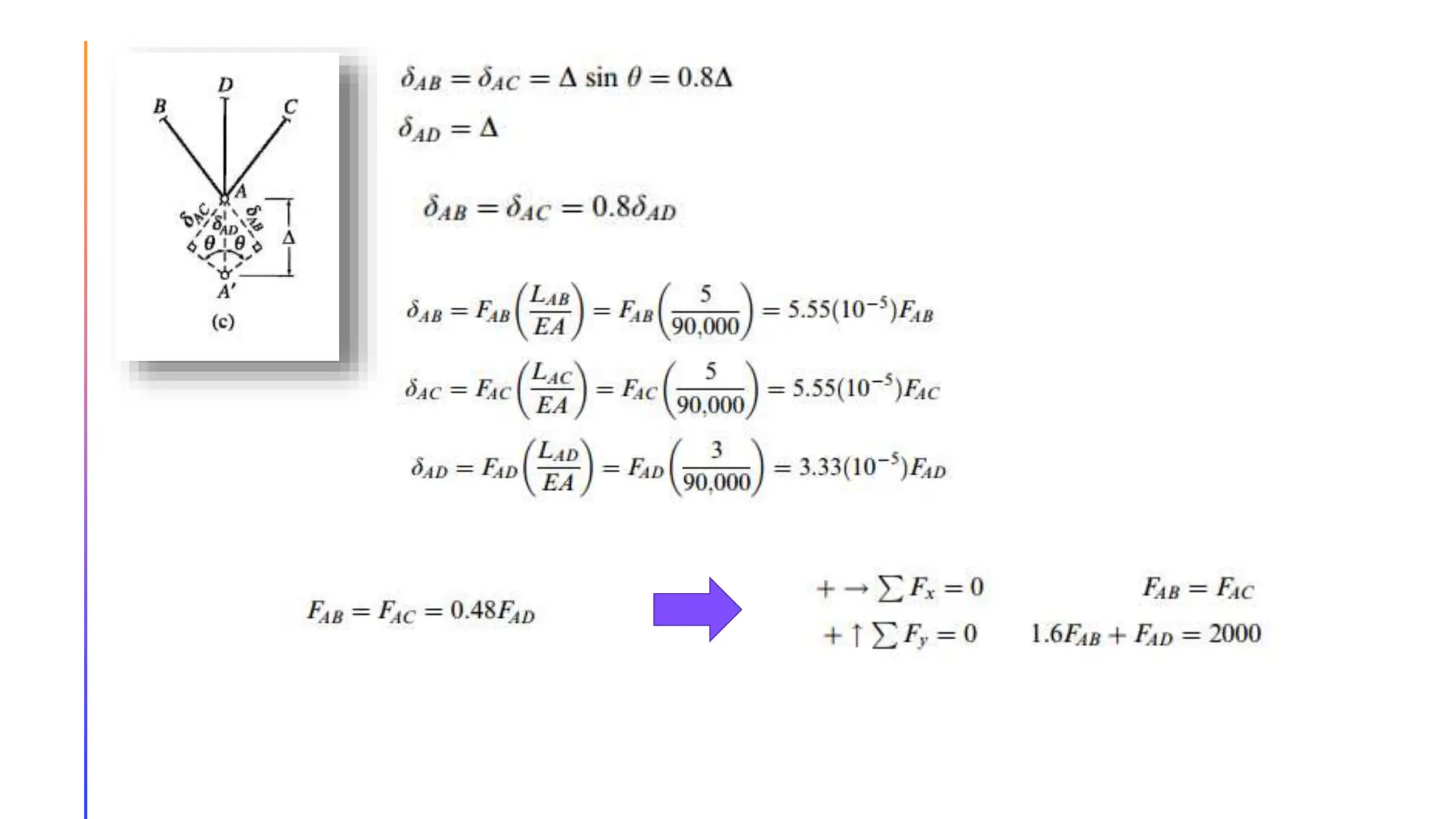
Sample Problem
FBD
At joint A
Indeterminate Structures
In the analysis of indeterminate
structures, it is necessary to
solve the equilibrium equations
in conjunction with the
compatibility conditions of the
structure to determine its
response.
The resulting system of equations
containing only one type of unknowns
is then solved for the unknown forces
or displacements, which are then
substituted into the fundamental
relationships to determine the
remaining response of the structure
Sample Problem
FB at joint A:
Methods of Analysis
SINCE THE MID-1800S, MANY METHODS HAVE BEEN DEVELOPED FOR ANALYZING
STATICALLY INDETERMINATE STRUCTURES.
FORCE (FLEXIBILITY) METHODS DISPLACEMENT (STIFFNESS) METHODS
Approximate Analysis of
Rectangular Building Frames
• Force and displacement methods are exact because they satisfy
the equilibrium and compatibility of the structure.
• The preliminary designs of indeterminate structures are often
based on the result of the approximate analysis.
• Internal forces are estimated by making certain assumptions
about the deformations or the distribution of forces
Statical
Determinacy
Statically indeterminate
structures have more supports
or members than required for
static stability
The excess reactions and
internal forces of
indeterminate structure are
referred as Redundants.
The number of redundants is
termed as degree of
indeterminacy.
Degree of Statical Indeterminacy for Beams and
Frames
Where:
n = Degree of Statical Indeterminacy
s = Number of support reactions
i = Number of internal forces at hinges
m = Number of closed loops without hinge
p = number of parts
Sample Problem
• Determine the Degree of Indeterminacy of the figure given
below.
Degree of Statical Indeterminacy for Trusses
Where:
n = degree of statical indeterminacy
s = number of support reactions
m = number of truss members
nn = number of nodes
Sample Problem
• Determine the Degree of Indeterminacy of the figure given
below.
References
Structural
Analysis by
Hibbeler
Understanding
Structural
Analysis by
David Brohn

01 - Introduction to Statically Indeterminate Structures.pptx

  • 1.
    STRUCTURAL THEORY 2 Introduction toStatically Indeterminate Structures Prep by: Engr. Buluran
  • 2.
    Introduction The support reactionsand internal forces of statically determinate structures can be determined from the equations of equilibrium. the equilibrium equations alone are not sufficient for determining the reactions and internal forces of such structures and must be supplemented by additional relationships based on the geometry of deformation of structures. Compatibility conditions, ensure that the continuity of the displacements is maintained throughout the structure and that the structure’s various parts fit together.
  • 3.
    Advantages 1. Smaller Stresses 2.Greater Stiffness 3. Redundancies
  • 4.
    Disadvantages 1. Stresses dueto support settlements 2. Stresses due to temperature changes and fabrication errors
  • 5.
    Analysis of Indeterminate Structures • Regardlessof whether a structure is statically determinate or indeterminate, its complete analysis requires the use of three types of relationships: 1. Equilibrium Equations 2. Compatibility Conditions 3. Member force-deformation relations
  • 6.
  • 8.
    Indeterminate Structures In theanalysis of indeterminate structures, it is necessary to solve the equilibrium equations in conjunction with the compatibility conditions of the structure to determine its response. The resulting system of equations containing only one type of unknowns is then solved for the unknown forces or displacements, which are then substituted into the fundamental relationships to determine the remaining response of the structure
  • 9.
  • 12.
    Methods of Analysis SINCETHE MID-1800S, MANY METHODS HAVE BEEN DEVELOPED FOR ANALYZING STATICALLY INDETERMINATE STRUCTURES. FORCE (FLEXIBILITY) METHODS DISPLACEMENT (STIFFNESS) METHODS
  • 13.
    Approximate Analysis of RectangularBuilding Frames • Force and displacement methods are exact because they satisfy the equilibrium and compatibility of the structure. • The preliminary designs of indeterminate structures are often based on the result of the approximate analysis. • Internal forces are estimated by making certain assumptions about the deformations or the distribution of forces
  • 14.
    Statical Determinacy Statically indeterminate structures havemore supports or members than required for static stability The excess reactions and internal forces of indeterminate structure are referred as Redundants. The number of redundants is termed as degree of indeterminacy.
  • 15.
    Degree of StaticalIndeterminacy for Beams and Frames Where: n = Degree of Statical Indeterminacy s = Number of support reactions i = Number of internal forces at hinges m = Number of closed loops without hinge p = number of parts
  • 16.
    Sample Problem • Determinethe Degree of Indeterminacy of the figure given below.
  • 18.
    Degree of StaticalIndeterminacy for Trusses Where: n = degree of statical indeterminacy s = number of support reactions m = number of truss members nn = number of nodes
  • 19.
    Sample Problem • Determinethe Degree of Indeterminacy of the figure given below.
  • 21.