Множество - набор различимых предметов,
объединенных по некоторому признаку.
Множество - набор различимых предметов,
объединенных по некоторому признаку.
{ … }
{ … , … , … , … , … }
Множество - набор различимых предметов,
объединенных по некоторому признаку.
{ … , … , … , … , … }
{ … , … , … , … , … }
{ 1 , 2 , 3 , 4 , 5 }
Чаще всего обозначаются большими буквами латинского алфавита: A,B,C...
{ … , … , … , … , … }
{ 1 , 2 , 3 , 4 , 5 }
Способы задания множеств
1) Перечисление
Способы задания множеств
2) Задание посредством свойств
{................. | ……………...}
Описание структуры
объекта
“такое, что” Свойство, которым
обладает объект
Способы задания множеств
2) Задание посредством свойств
{................. | ……………...}
{ цвет | ……………...}
{ страна | ……………...}
{ x | ……………...}
{ (x,y) | ……………...}
{ {.....} | ……………...}
Способы задания множеств
2) Задание посредством свойств
{................. | ……………...}
{ цвет | присутствует в радуге}
{ страна | находится в Африке}
{ x | ……………...}
{ (x,y) | ……………...}
{ {.....} | ……………...}
Способы задания множеств
2) Задание посредством свойств
{ x | ……………...}
{ x | x ∈ ℝ,ℕ,ℤ }
Знак принадлежности
множеству
Целые
Натуральные
Вещественные
Способы задания множеств
2) Задание посредством свойств
{ x | ……………...}
{ x | x ∈ ℕ и “делится на 3” }
= {3, 6, 9, ...}
Способы задания множеств
2) Задание посредством свойств
{ (x,y) | ……………...}
{ (x,y) | x ∈ {1,2,3,4,5,6}, y ∈ ℤ }
Мощность множества
A = {1,2,3,4,5,6,7}
|A| = 7
Обозначение мощности, может быть ∞
Подмножества
{ , , }
Подмножества
{ ∅ }
Мощность 0 1 2 3
{ }
{ }
{ }
{ , }
{ , }
{ , }
{ , , }
Действия над множествами
1) Объединение
Обозначение Смысл Пример
⋃
A⋃B
A B
A = {4, 7, 12, 25}
B = {2, 7, 12, 13, 28, 30}
A⋃B = {2,4,7,12,13,25,28,30}
Действия над множествами
2) Пересечение
Обозначение Смысл Пример
⋂
A⋂B
A B
A = {4, 7, 12, 25}
B = {2, 7, 12, 13, 28, 30}
A⋂B = {7,12}
Действия над множествами
3) Дополнение
Обозначение Смысл Пример
A
A
A = { , , }
X = {цвет | присутствует в радуге}
A = { , , , }X
Правило суммы
A B
Правило суммы
A B
|A⋃B| = |A|+|B|
Правило суммы
A
BA⋂B
Правило суммы
A
B
|A⋃B| ≠ |A|+|B|
A⋂B
Правило суммы
A
BA⋂B
A’ B’
A = A’ ⋃ (A⋂B)
B = B’ ⋃ (A⋂B)
➕
=
A⋃B = A’⋃B’⋃(A⋂B)
Правило суммы
A⋃B = A’⋃B’⋃(A⋂B)
A
BA⋂B
A’ B’
|A⋃B| = |A’ ⋃ B’ ⋃ (A⋂B)| =
=|A’| + |B’| + |(A⋂B)| =
= |A - (A⋂B)| + |B - (A⋂B)| +
+ |(A⋂B)| = |A| + |B| - |(A⋂B)|
Обобщенное правило суммы: |A| + |B| - |(A⋂B)|
Правило суммы
A B
A⋂B
1 12
Тот же результат: |A| + |B| - |(A⋂B)|
Декартово произведение
A B = {(a,b) | a ∈ A, b ∈
B}
Декартово произведение
A B = {(a,b) | a ∈ A, b ∈
B}
A = {1,2,3}, B = {4,5,6}
A B = {(1,4), (1,5), (1,6), (2,4), (2,5),
(2,6), (3,4), (3,5), (3,6)}
Декартово произведение
A B = {(a,b) | a ∈ A, b ∈
B}
|A B| = |A| * |B|
Декартово произведение
A B C = {(a,b,c) | a ∈ A, b ∈ B, c ∈ C}
|A B C| = |A| * |B| * |C|
Декартово произведение
A B C D = {(a,b,c,d) | a ∈ A, b ∈ B, c ∈ C, d ∈ D}
|A B C D| = |A| * |B| * |C| * |D|
Метод включения-исключения
|A ⋃ B ⋃ C| = |A| + |B| + |C| - |A ⋂ B| - |A ⋂ C| -
- |B ⋂ C| + |A ⋂ B ⋂ C|
Метод включения-исключения
|A ⋃ B ⋃ C| = |A| + |B| + |C| - ...
1
1 1
22
2
3
A
B
C
Метод включения-исключения
|A ⋃ B ⋃ C| = |A| + |B| + |C| - |A ⋂ B| - |A ⋂ C| -
- |B ⋂ C| + ...
1
1 1
11
1
0
A
B
C
Метод включения-исключения
|A ⋃ B ⋃ C| = |A| + |B| + |C| - |A ⋂ B| - |A ⋂ C| -
- |B ⋂ C| + |A ⋂ B ⋂ C|
1
1 1
11
1
1
A
B
C
Метод включения-исключения
|Объединения множеств| = сумма (|каждого множества|) -
- сумма (|пересечения всех пар|) +
+ сумма (|пересечения всех троек|) -
- и т.д.
{ , , }
Подмножества = Сочетания
{ ∅ }
Мощность 0 1 2 3
{ }
{ }
{ }
{ , }
{ , }
{ , }
{ , , }
Сочетания
из 3 по 0 из 3 по 1 из 3 по 2 из 3 по 3
Принцип пастуха
Принцип пастуха
Если знаем количество ног -
легко посчитать количество овец
Принцип пастуха
Если знаем количество ног -
легко посчитать количество овец
Если знаем количество овец -
легко посчитать количество ног
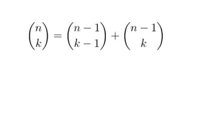
Количество сочетаний
n-множество сочетания из n
по m
m-перестановки
Количество сочетаний
n-множество сочетания из n
по m
m-перестановки
Знаем мощности
Количество сочетаний
1
2
3
(1,2,3)
(1,3,2)
(2,1,3)
(2,3,1)
(3,1,2)
(3,2,1)
Количество сочетаний
1
2
3
(1,2,3)
(1,3,2)
(2,1,3)
(2,3,1)
(3,1,2)
(3,2,1)
1 m-сочетание = m! перестановок
Количество сочетаний
Свойства сочетаний
Свойства сочетаний
1)
Свойства сочетаний
1)
Соответствует полному или пустому множеству
Свойства сочетаний
2)
Свойства сочетаний
3)
Свойства сочетаний
3)
1 2 3 4 5 6 7
Свойства сочетаний
3)
1 2 3 4 5 6 7
Подмножество размера 3
Свойства сочетаний
3)
1 2 3 4 5 6 7
Подмножество размера 3
Подмножество размера 4
Свойства сочетаний
3)
Принцип биекции: если мы можем
взаимооднозначно разбить элементы двух множеств
по парам, то мощности этих множеств равны
Свойства сочетаний
4)
Свойства сочетаний
4)
Общее количество подмножеств
Свойства сочетаний
4)
1 2 3 4 ……………………………. n
Свойства сочетаний
4)
1 2 3 4 ……………………………. n
берем не берем
2
Свойства сочетаний
4)
1 2 3 4 ……………………………. n
берем не берем
2 2
Свойства сочетаний
4)
1 2 3 4 ……………………………. n
2 2 2
берем не берем
Свойства сочетаний
4)
1 2 3 4 ……………………………. n
2 2 2 2 …………………………….. 2
берем не берем
Свойства сочетаний
4)
1 2 3 4 ……………………………. n
2 * 2 * 2 * 2 * …………………………….. * 2
Свойства сочетаний
5)
Свойства сочетаний
5)
Количество подмножеств
четной мощности
Количество подмножеств
нечетной мощности
Свойства сочетаний
5)
1
1
Свойства сочетаний
5)
1
1
удаление/добавление единицы
удаление/добавление единицы
Свойства сочетаний
6)
Свойства сочетаний
6)
Подмножества с единицей Подмножества без единицы
Свойства сочетаний
6)
Подмножества с единицей Подмножества без единицы
Свойства сочетаний
6)
Подмножества с единицей Подмножества без единицы
Свойства сочетаний
6)
1
1
1
1
1
1
1
1
1
1
1
1
1
1
1
1
1
2
3 3
4
510105
6 15 20 15 6
7212525217
8 28 46 50 46 28 8
64
1
1
1
1
1
1
1
1
1
1
1
1
1
1
1
1
1
2
3 3
4
510105
6 15 20 15 6
7212525217
8 28 46 50 46 28 8
64
Уровни
0
1
2
3
4
5
6
7
8
1
1
1
1
1
1
1
1
1
1
1
1
1
1
1
1
1
2
3 3
4
510105
6 15 20 15 6
7212525217
8 28 46 50 46 28 8
64
Уровни
0
1
2
3
4
5
6
7
8
Диагонали
0
1
2
3
4
5
6
7
8
(0,0)
(x,y)
(0,0)
(x,y)
Все искомые пути длины x+y
(0,0)
(x,y)
Все искомые пути длины x+y
Всего путей
Задача о разбиении числа на слагаемые
Задача о разбиении числа на слагаемые
Задача о разбиении числа на слагаемые
Задача о разбиении числа на слагаемые
Разбиения, отличающиеся лишь порядком слагаемых считаются различными.
Задача о разбиении числа на слагаемые
Разбиения, отличающиеся лишь порядком слагаемых считаются различными.
Пример:
Различны, если
Задача о разбиении числа на слагаемые
2 = 2 + 0 + 0
2 = 0 + 2 + 0
2 = 0 + 0 + 2
2 = 1 + 1 + 0
2 = 1 + 0 + 1
2 = 0 + 1 + 1
Перевод числа в унарную систему счисления
0 = (пустое место)
1 = 1
2 = 11
3 = 111
4 = 1111
…
Перевод числа в унарную систему счисления
8 = 3 + 2 + 0 + 3
8 = 111 + 11 + + 111
в обычной системе счисления
в унарной системе счисления
Перевод числа в унарную систему счисления
8 = 3 + 2 + 0 + 3
8 = 111 + 11 + + 111
в обычной системе счисления
в унарной системе счисления
Наблюдение: разложение числа n в унарной системе счисления на m слагаемых имеет
n + m - 1 знак
Задача и о разбиении числа на слагаемые
8 = 111 + 11 + + 111 в унарной системе счисления
Наблюдение: разложение числа n в унарной системе счисления на m слагаемых имеет
n + m - 1 знак
……………………………………….
n+m-1 позиция, необходимо выбрать m-1, чтобы поставить “+”
Задача о разбиении числа на слагаемые
8 = 111 + 11 + + 111 в унарной системе счисления
Наблюдение: разложение числа n в унарной системе счисления на m слагаемых имеет
n + m - 1 знак
Количество разбиений числа m на n
неотрицательных слагаемых:
Задача о сумме треугольных чисел
Задача о сумме треугольных чисел
Задача о сумме треугольных чисел
Задача о сумме треугольных чисел
Задача о сумме треугольных чисел
Задача о сумме треугольных чисел
Задача о сумме треугольных чисел
Задача о сумме треугольных чисел
n 1 2 3 4 5
1 3 6 10 15
Задача о сумме треугольных чисел
n 1 2 3 4 5
1 3 6 10 15
Задача о сумме треугольных чисел
n 1 2 3 4 5
1 3 6 10 15
Задача о сумме треугольных чисел
Задача о сумме треугольных чисел
Задача о сумме треугольных чисел
Задача о сумме треугольных чисел
Задача о сумме треугольных чисел
Пусть k = 3, а n = 7
3-я диагональ
Задача о сумме треугольных чисел
Пусть k = 3, а n = 7
3-я диагональ
Задача о сумме треугольных чисел
Пусть k = 3, а n = 7
3-я диагональ
Задача о сумме треугольных чисел
Пусть k = 3, а n = 7
3-я диагональ
Задача о сумме треугольных чисел
Пусть k = 3, а n = 7
3-я диагональ
Задача о сумме треугольных чисел
Пусть k = 3, а n = 7
3-я диагональ
Задача о сумме треугольных чисел
Пусть k = 3, а n = 7
3-я диагональ
Задача о сумме треугольных чисел
Пусть k = 3, а n = 7
3-я диагональ
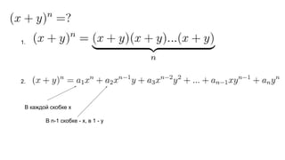
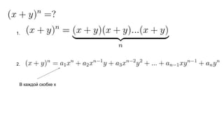
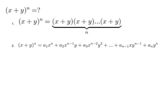
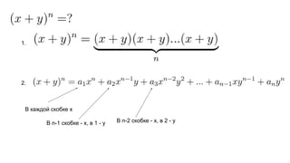
1.
2.
1.
2.
1.
2.
1.
2.
В каждой скобке x
1.
2.
В каждой скобке x
В n-1 скобке - x, в 1 - y
1.
2.
В каждой скобке x
В n-1 скобке - x, в 1 - y В n-2 скобке - x, в 2 - y
1.
2.
В каждой скобке x
В n-1 скобке - x, в 1 - y В n-2 скобке - x, в 2 - y
В 1 скобке - x, в (n-1) - y
В каждой скобке y
Бином Ньютона
Бином Ньютона
Перестановки
Перестановки
Перестановки
Перестановки
…………………...
…………………...1 2 3 N-1 N
Варианты
Позиции
Перестановки
…………………...
…………………...1 2 3 N-1 N
Варианты
Позиции
N
Перестановки
…………………...
…………………...1 2 3 N-1 N
Варианты
Позиции
N N-1
Перестановки
…………………...
…………………...1 2 3 N-1 N
Варианты
Позиции
N N-1 N-2
Перестановки
…………………...
…………………...1 2 3 N-1 N
Варианты
Позиции
N N-1 N-2 2 1
Перестановки
…………………...
…………………...1 2 3 N-1 N
Варианты
Позиции
N N-1 N-2 2 1
Перестановки
Перестановки
…………………...
…………………...1 2 3 K-1 K
Варианты
Позиции
Перестановки
…………………...
…………………...1 2 3 K-1 K
Варианты
Позиции
N
Перестановки
…………………...
…………………...1 2 3 K-1 K
Варианты
Позиции
N N-1
Перестановки
…………………...
…………………...1 2 3 K-1 K
Варианты
Позиции
N N-1 N-2
Перестановки
…………………...
…………………...1 2 3 K-1 K
Варианты
Позиции
N N-1 N-2 N-K-2
Перестановки
…………………...
…………………...1 2 3 K-1 K
Варианты
Позиции
N N-1 N-2 N-K-2 N-K-1
Перестановки
…………………...
…………………...1 2 3 K-1 K
Варианты
Позиции
N N-1 N-2 N-K-2 N-K-1
Перестановки с повторениями
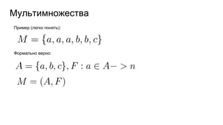
Мультимножества
Пример (легко понять):
Мультимножества
Пример (легко понять):
Формально верно:
Перестановки с повторениями
Перестановки с повторениями
Перестановки с повторениями
Перестановки с повторениями
Перестановки с повторениями
Перестановки с повторениями
Перестановки с повторениями
Перестановки с повторениями
MISSISSIPPI
Перестановки с повторениями
MISSISSIPPI
Циклические перестановки
Циклические перестановки
Циклические перестановки
1
2
3
4
5
Циклические перестановки
1
2
3
4
5
1
2
3 4
5
Циклические перестановки
1
2
3
4
5
1
2
3 4
5
5
1
2 3
4
Циклические перестановки
1
2
3
4
5
1
2
3 4
5
5
1
2 3
4
Циклические перестановки
1
2
3
4
5
5
1
2 3
4
5
1
2 3
4
Циклические перестановки
5
1
2
3
4
Циклические перестановки
5
1
2
3
4
2
3
4
5
1
4
5
1
2
31
2
3
4
5
3
4
5
1
2
Циклические перестановки
5
1
2
3
4
Общее количество перестановок с “помеченным местом”
Циклические перестановки
5
1
2
3
4
Общее количество перестановок с “помеченным местом”
Для каждых перестановок с “помеченным местом” - одна
без пометок
Циклические перестановки
5
1
2
3
4
Общее количество перестановок с “помеченным местом”
Для каждых перестановок с “помеченным местом” - одна
без пометок
Количество перестановок без пометок -
Циклические перестановки
5
1
2
3
4
Общее количество перестановок с “помеченным местом”
Для каждых перестановок с “помеченным местом” - одна
без пометок
Количество перестановок без пометок -
А если гостей больше чем мест, то

01 - Введение в дискретную математику. Теория множеств и комбинаторика