Locus and Complex Numbers
Locus and Complex Numbers
       f  z  , find the locus of  or z
      given some condition for  or z
Locus and Complex Numbers
       f  z  , find the locus of  or z
      given some condition for  or z
      (Make the condition the subject)
Locus and Complex Numbers
          f  z  , find the locus of  or z
         given some condition for  or z
          (Make the condition the subject)
    is purely real  Im   0, arg   0 or 
Locus and Complex Numbers
          f  z  , find the locus of  or z
         given some condition for  or z
          (Make the condition the subject)
    is purely real  Im   0, arg   0 or 
                                                   
    is purely imaginary  Re   0, arg   
                                                   2
Locus and Complex Numbers
            f  z  , find the locus of  or z
           given some condition for  or z
            (Make the condition the subject)
      is purely real  Im   0, arg   0 or 
                                                     
     is purely imaginary  Re   0, arg   
                                                     2
       linear function 
  arg                      locus is an arc of a circle
       linear function 
Locus and Complex Numbers
            f  z  , find the locus of  or z
           given some condition for  or z
            (Make the condition the subject)
      is purely real  Im   0, arg   0 or 
                                                     
     is purely imaginary  Re   0, arg   
                                                     2
       linear function 
  arg                      locus is an arc of a circle
       linear function 
                                        
                   * minor arc if  
                                        2
Locus and Complex Numbers
            f  z  , find the locus of  or z
           given some condition for  or z
            (Make the condition the subject)
      is purely real  Im   0, arg   0 or 
                                                     
     is purely imaginary  Re   0, arg   
                                                     2
       linear function 
  arg                      locus is an arc of a circle
       linear function 
                                        
                   * minor arc if  
                                        2
                                        
                   * major arc if  
                                        2
Locus and Complex Numbers
            f  z  , find the locus of  or z
           given some condition for  or z
            (Make the condition the subject)
      is purely real  Im   0, arg   0 or 
                                                     
     is purely imaginary  Re   0, arg   
                                                     2
       linear function 
  arg                      locus is an arc of a circle
       linear function 
                                         
                   * minor arc if  
                                         2
                                        
                   * major arc if  
                                         2
                                         
                   * semicircle if  
                                         2
z2
e.g .i  Find the locus of w if w      ,z 4
                                      2
z2
e.g .i  Find the locus of w if w      ,z 4
                                      2

        z2
     w
         z
z2
e.g .i  Find the locus of w if w      ,z 4
                                      2

          z2
      w
            z
     zw  z  2
z2
e.g .i  Find the locus of w if w      ,z 4
                                      2

           z2
      w
             z
     zw  z  2
    z w  1  2
z2
e.g .i  Find the locus of w if w      ,z 4
                                      2

           z2
      w
             z
     zw  z  2
    z w  1  2
             2
      z
          w  1
z2
e.g .i  Find the locus of w if w      ,z 4
                                      2

           z2                             2
      w                                        4
             z                           w  1
     zw  z  2
    z w  1  2
             2
      z
          w  1
z2
e.g .i  Find the locus of w if w      ,z 4
                                      2

           z2                             2
      w                                        4
             z                           w  1
     zw  z  2                             2
    z w  1  2                                4
                                          w 1
             2
      z
          w  1
z2
e.g .i  Find the locus of w if w      ,z 4
                                      2

           z2                             2
      w                                        4
             z                           w  1
     zw  z  2                             2
    z w  1  2                                4
                                          w 1
             2
      z                                    w 1 
                                                     1
          w  1                                    2
z2
e.g .i  Find the locus of w if w      ,z 4
                                      2

           z2                             2
      w                                        4
             z                           w  1
     zw  z  2                             2
    z w  1  2                                4
                                          w 1
             2
      z                                    w 1 
                                                     1
          w  1                                    2
                                                                          1
                             locus is a circle, centre 1,0  and radius
                                                                          2
                                                  1
                             i.e.  x  1  y 
                                          2   2

                                                  4
z 1
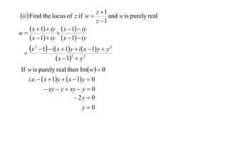
ii  Find the locus of z if w       and w is purely real
                                 z 1
z 1
ii  Find the locus of z if w        and w is purely real
                                  z 1
       x  1  iy  x  1  iy
w                 
       x  1  iy  x  1  iy
z 1
ii  Find the locus of z if w        and w is purely real
                                  z 1
       x  1  iy  x  1  iy
w                 
       x  1  iy  x  1  iy
  
    x   2
              1  i x  1 y  i x  1 y  y 2
                       x  12  y 2
z 1
ii  Find the locus of z if w        and w is purely real
                                  z 1
       x  1  iy  x  1  iy
w                 
       x  1  iy  x  1  iy
  
    x   2
              1  i x  1 y  i x  1 y  y 2
                       x  12  y 2
If w is purely real then Imw  0
z 1
ii  Find the locus of z if w        and w is purely real
                                  z 1
       x  1  iy  x  1  iy
w                 
       x  1  iy  x  1  iy
  
    x   2
              1  i x  1 y  i x  1 y  y 2
                       x  12  y 2
If w is purely real then Imw  0
   i.e.   x  1 y   x  1 y  0
z 1
ii  Find the locus of z if w        and w is purely real
                                  z 1
       x  1  iy  x  1  iy
w                 
       x  1  iy  x  1  iy
  
    x   2
              1  i x  1 y  i x  1 y  y 2
                       x  12  y 2
If w is purely real then Imw  0
   i.e.   x  1 y   x  1 y  0
            xy  y  xy  y  0
z 1
ii  Find the locus of z if w        and w is purely real
                                  z 1
       x  1  iy  x  1  iy
w                 
       x  1  iy  x  1  iy
  
    x   2
              1  i x  1 y  i x  1 y  y 2
                       x  12  y 2
If w is purely real then Imw  0
   i.e.   x  1 y   x  1 y  0
            xy  y  xy  y  0
                            2y  0
                                y0
z 1
ii  Find the locus of z if w        and w is purely real
                                  z 1
       x  1  iy  x  1  iy
w                 
       x  1  iy  x  1  iy
  
    x   2
              1  i x  1 y  i x  1 y  y 2
                       x  12  y 2
If w is purely real then Imw  0
   i.e.   x  1 y   x  1 y  0
            xy  y  xy  y  0
                            2y  0
                                y0
 locus is y  0, excluding 1,0 
 z  1  0, bottom of fraction  0 
z 1
ii  Find the locus of z if w        and w is purely real
                                  z 1
       x  1  iy  x  1  iy OR If w is purely real then arg w  0 or 
w                 
       x  1  iy  x  1  iy
  
    x   2
              1  i x  1 y  i x  1 y  y 2
                       x  12  y 2
If w is purely real then Imw  0
   i.e.   x  1 y   x  1 y  0
            xy  y  xy  y  0
                            2y  0
                                y0
 locus is y  0, excluding 1,0 
 z  1  0, bottom of fraction  0 
z 1
ii  Find the locus of z if w                and w is purely real
                                         z 1
       x  1  iy  x  1  iy OR If w is purely real then arg w  0 or 
w                  
       x  1  iy  x  1  iy
  
      x 2  1  i x  1 y  i x  1 y  y 2                 z  1   0 or 
                                                         i.e. arg       
                     x  1  y 2
                            2                                     z 1

If w is purely real then Imw  0
   i.e.   x  1 y   x  1 y  0
            xy  y  xy  y  0
                            2y  0
                                y0
 locus is y  0, excluding 1,0 
 z  1  0, bottom of fraction  0 
z 1
ii  Find the locus of z if w                and w is purely real
                                         z 1
       x  1  iy  x  1  iy OR If w is purely real then arg w  0 or 
w                  
       x  1  iy  x  1  iy
  
      x 2  1  i x  1 y  i x  1 y  y 2                 z  1   0 or 
                                                         i.e. arg       
                     x  1  y 2
                            2                                     z 1

If w is purely real then Imw  0            arg z  1  arg z  1  0 or 
                                                              y
   i.e.   x  1 y   x  1 y  0
            xy  y  xy  y  0
                            2y  0
                                y0                                            x
 locus is y  0, excluding 1,0 
 z  1  0, bottom of fraction  0 
z 1
ii  Find the locus of z if w                and w is purely real
                                         z 1
       x  1  iy  x  1  iy OR If w is purely real then arg w  0 or 
w                  
       x  1  iy  x  1  iy
  
      x 2  1  i x  1 y  i x  1 y  y 2                 z  1   0 or 
                                                         i.e. arg       
                     x  1  y 2
                            2                                     z 1

If w is purely real then Imw  0            arg z  1  arg z  1  0 or 
                                                              y
   i.e.   x  1 y   x  1 y  0
            xy  y  xy  y  0
                            2y  0
                                y0                     -1           1         x
 locus is y  0, excluding 1,0 
 z  1  0, bottom of fraction  0 
z 1
ii  Find the locus of z if w                and w is purely real
                                         z 1
       x  1  iy  x  1  iy OR If w is purely real then arg w  0 or 
w                  
       x  1  iy  x  1  iy
  
      x 2  1  i x  1 y  i x  1 y  y 2                 z  1   0 or 
                                                         i.e. arg       
                     x  1  y 2
                            2                                     z 1

If w is purely real then Imw  0            arg z  1  arg z  1  0 or 
                                                              y
   i.e.   x  1 y   x  1 y  0
            xy  y  xy  y  0
                            2y  0
                                y0                     -1           1         x
 locus is y  0, excluding 1,0 
 z  1  0, bottom of fraction  0 
z 1
ii  Find the locus of z if w                and w is purely real
                                         z 1
       x  1  iy  x  1  iy OR If w is purely real then arg w  0 or 
w                  
       x  1  iy  x  1  iy
  
      x 2  1  i x  1 y  i x  1 y  y 2                 z  1   0 or 
                                                         i.e. arg       
                     x  1  y 2
                            2                                     z 1

If w is purely real then Imw  0            arg z  1  arg z  1  0 or 
                                                              y
   i.e.   x  1 y   x  1 y  0
            xy  y  xy  y  0
                            2y  0
                                y0                     -1           1         x
 locus is y  0, excluding 1,0 
 z  1  0, bottom of fraction  0 
z 1
ii  Find the locus of z if w                and w is purely real
                                         z 1
       x  1  iy  x  1  iy OR If w is purely real then arg w  0 or 
w                  
       x  1  iy  x  1  iy
  
      x 2  1  i x  1 y  i x  1 y  y 2                 z  1   0 or 
                                                         i.e. arg       
                     x  1  y 2
                            2                                     z 1

If w is purely real then Imw  0            arg z  1  arg z  1  0 or 
                                                              y
   i.e.   x  1 y   x  1 y  0
            xy  y  xy  y  0
                            2y  0
                                y0                     -1           1         x
 locus is y  0, excluding 1,0 
 z  1  0, bottom of fraction  0 
                                              locus is y  0, excluding  1,0 
z 1
ii  Find the locus of z if w                and w is purely real
                                         z 1
       x  1  iy  x  1  iy OR If w is purely real then arg w  0 or 
w                  
       x  1  iy  x  1  iy
  
      x 2  1  i x  1 y  i x  1 y  y 2                 z  1   0 or 
                                                         i.e. arg       
                     x  1  y 2
                            2                                     z 1

If w is purely real then Imw  0            arg z  1  arg z  1  0 or 
                                                              y
   i.e.   x  1 y   x  1 y  0
            xy  y  xy  y  0
                            2y  0
                                y0                     -1           1         x
 locus is y  0, excluding 1,0 
 z  1  0, bottom of fraction  0 
                                          locus is y  0, excluding  1,0 
 Note : locus is y  0, excluding 1,0  only
 i.e. answer the original question
 z 
iii  Find the locus of z if arg      
                                  z  4 6
 z 
iii  Find the locus of z if arg      
                                  z  4 6
  arg  z 
              
        z  4 6
 z 
iii  Find the locus of z if arg      
                                  z  4 6
  arg  z 
              
        z  4 6
 z 
iii  Find the locus of z if arg      
                                  z  4 6
  arg  z 
              
        z  4 6
                         
  arg z  arg z  4  
                         6
                y




                            x
 z 
iii  Find the locus of z if arg      
                                  z  4 6
  arg  z 
              
        z  4 6
                         
  arg z  arg z  4  
                         6
                y




                           4x


                      
                       6
 z 
iii  Find the locus of z if arg      
                                  z  4 6
  arg  z 
              
        z  4 6
                         
  arg z  arg z  4  
                         6
                y




                           4x


                      
                       6

NOTE: arg z  arg z-4 
    below axis
 z 
iii  Find the locus of z if arg      
                                  z  4 6
  arg  z 
              
        z  4 6
                         
  arg z  arg z  4  
                         6
                y


                     2
                             4x


                      
                         6

NOTE: arg z  arg z-4 
    below axis
 z 
iii  Find the locus of z if arg      
                                  z  4 6
  arg  z 
              
        z  4 6
                         
  arg z  arg z  4  
                         6
                y


                     2
                             r 4x
                   (2,y)
                      
                         6

NOTE: arg z  arg z-4 
    below axis
 z 
iii  Find the locus of z if arg      
                                  z  4 6
  arg  z 
              
        z  4 6
                         
  arg z  arg z  4  
                         6
                y


                     2
                             r 4x
                   (2,y)
                                    30
                      
                         6

NOTE: arg z  arg z-4 
    below axis
 z 
iii  Find the locus of z if arg      
                                  z  4 6
  arg  z                           y
                                           tan 60
              
        z  4 6                       2
                           
  arg z  arg z  4  
                           6
              y


                           2
                                   r 4x
                     (2,y)
                                          30
                           
                               6

NOTE: arg z  arg z-4 
    below axis
 z 
iii  Find the locus of z if arg      
                                  z  4 6
  arg  z                           y
                                           tan 60
              
        z  4 6                       2
                                       y  2 tan 60
  arg z  arg z  4  
                         6
                y                         2 3



                      2
                              r 4x
                    (2,y)
                                     30
                       
                          6

NOTE: arg z  arg z-4 
    below axis
 z 
iii  Find the locus of z if arg      
                                  z  4 6
  arg  z                           y
                                           tan 60
              
        z  4 6                       2
                                       y  2 tan 60
  arg z  arg z  4  
                         6
                y                         2 3
                                      centre is 2,2 3 

                      2
                              r 4x
                    (2,y)
                                     30
                       
                          6

NOTE: arg z  arg z-4 
    below axis
 z 
iii  Find the locus of z if arg      
                                  z  4 6
  arg  z                           y
                                           tan 60           r 2  2 2  2 3 
                                                                              2
              
        z  4 6                       2
                                       y  2 tan 60
  arg z  arg z  4  
                         6
                y                         2 3
                                      centre is 2,2 3 

                      2
                              r 4x
                    (2,y)
                                     30
                       
                          6

NOTE: arg z  arg z-4 
    below axis
 z 
iii  Find the locus of z if arg      
                                  z  4 6
  arg  z                           y
                                           tan 60           r 2  2 2  2 3 
                                                                              2
              
        z  4 6                       2
                                                            r 2  16
  arg z  arg z  4                  y  2 tan 60
                         6                                    r4
                y                         2 3
                                      centre is 2,2 3 

                      2
                              r 4x
                    (2,y)
                                     30
                       
                          6

NOTE: arg z  arg z-4 
    below axis
 z 
iii  Find the locus of z if arg      
                                  z  4 6
  arg  z                           y
                                           tan 60                 r 2  2 2  2 3 
                                                                                    2
              
        z  4 6                       2
                                                                  r 2  16
  arg z  arg z  4                  y  2 tan 60
                         6                                          r4
                y                         2 3
                                      centre is 2,2 3 
                                          locus is the major arc of the circle
                      2
                                          x  2   y  2 3   16 formed by the
                                                2            2

                              r 4x
                                         chord joining 0,0  and 4,0  but not
                    (2,y)
                                     30 including these points.
                       
                          6

NOTE: arg z  arg z-4 
    below axis
 z 
iii  Find the locus of z if arg      
                                  z  4 6
  arg  z                           y
                                           tan 60                 r 2  2 2  2 3 
                                                                                    2
              
        z  4 6                       2
                                                                  r 2  16
  arg z  arg z  4                  y  2 tan 60
                         6                                           r4
                y                         2 3
                                      centre is 2,2 3 
                                          locus is the major arc of the circle
                      2
                                          x  2   y  2 3   16 formed by the
                                                2              2

                              r 4x
                                         chord joining 0,0  and 4,0  but not
                    (2,y)
                                     30 including these points.
                       
                          6                         Exercise 4N; 5, 6
                                          Exercise 4O; 3 to 10, 12, 13a, 14, 17,
NOTE: arg z  arg z-4                            20b, 21a, 22, 25, 26
    below axis                      HSC Geometrical Complex Numbers Questions

X2 t01 12 locus & complex nos 3 (2012)

  • 1.
  • 2.
    Locus and ComplexNumbers   f  z  , find the locus of  or z given some condition for  or z
  • 3.
    Locus and ComplexNumbers   f  z  , find the locus of  or z given some condition for  or z (Make the condition the subject)
  • 4.
    Locus and ComplexNumbers   f  z  , find the locus of  or z given some condition for  or z (Make the condition the subject)  is purely real  Im   0, arg   0 or 
  • 5.
    Locus and ComplexNumbers   f  z  , find the locus of  or z given some condition for  or z (Make the condition the subject)  is purely real  Im   0, arg   0 or    is purely imaginary  Re   0, arg    2
  • 6.
    Locus and ComplexNumbers   f  z  , find the locus of  or z given some condition for  or z (Make the condition the subject)  is purely real  Im   0, arg   0 or    is purely imaginary  Re   0, arg    2  linear function  arg      locus is an arc of a circle  linear function 
  • 7.
    Locus and ComplexNumbers   f  z  , find the locus of  or z given some condition for  or z (Make the condition the subject)  is purely real  Im   0, arg   0 or    is purely imaginary  Re   0, arg    2  linear function  arg      locus is an arc of a circle  linear function   * minor arc if   2
  • 8.
    Locus and ComplexNumbers   f  z  , find the locus of  or z given some condition for  or z (Make the condition the subject)  is purely real  Im   0, arg   0 or    is purely imaginary  Re   0, arg    2  linear function  arg      locus is an arc of a circle  linear function   * minor arc if   2  * major arc if   2
  • 9.
    Locus and ComplexNumbers   f  z  , find the locus of  or z given some condition for  or z (Make the condition the subject)  is purely real  Im   0, arg   0 or    is purely imaginary  Re   0, arg    2  linear function  arg      locus is an arc of a circle  linear function   * minor arc if   2  * major arc if   2  * semicircle if   2
  • 10.
    z2 e.g .i Find the locus of w if w  ,z 4 2
  • 11.
    z2 e.g .i Find the locus of w if w  ,z 4 2 z2 w z
  • 12.
    z2 e.g .i Find the locus of w if w  ,z 4 2 z2 w z zw  z  2
  • 13.
    z2 e.g .i Find the locus of w if w  ,z 4 2 z2 w z zw  z  2 z w  1  2
  • 14.
    z2 e.g .i Find the locus of w if w  ,z 4 2 z2 w z zw  z  2 z w  1  2 2 z w  1
  • 15.
    z2 e.g .i Find the locus of w if w  ,z 4 2 z2 2 w  4 z w  1 zw  z  2 z w  1  2 2 z w  1
  • 16.
    z2 e.g .i Find the locus of w if w  ,z 4 2 z2 2 w  4 z w  1 zw  z  2 2 z w  1  2 4 w 1 2 z w  1
  • 17.
    z2 e.g .i Find the locus of w if w  ,z 4 2 z2 2 w  4 z w  1 zw  z  2 2 z w  1  2 4 w 1 2 z w 1  1 w  1 2
  • 18.
    z2 e.g .i Find the locus of w if w  ,z 4 2 z2 2 w  4 z w  1 zw  z  2 2 z w  1  2 4 w 1 2 z w 1  1 w  1 2 1  locus is a circle, centre 1,0  and radius 2 1 i.e.  x  1  y  2 2 4
  • 19.
    z 1 ii Find the locus of z if w  and w is purely real z 1
  • 20.
    z 1 ii Find the locus of z if w  and w is purely real z 1  x  1  iy  x  1  iy w   x  1  iy  x  1  iy
  • 21.
    z 1 ii Find the locus of z if w  and w is purely real z 1  x  1  iy  x  1  iy w   x  1  iy  x  1  iy  x 2  1  i x  1 y  i x  1 y  y 2  x  12  y 2
  • 22.
    z 1 ii Find the locus of z if w  and w is purely real z 1  x  1  iy  x  1  iy w   x  1  iy  x  1  iy  x 2  1  i x  1 y  i x  1 y  y 2  x  12  y 2 If w is purely real then Imw  0
  • 23.
    z 1 ii Find the locus of z if w  and w is purely real z 1  x  1  iy  x  1  iy w   x  1  iy  x  1  iy  x 2  1  i x  1 y  i x  1 y  y 2  x  12  y 2 If w is purely real then Imw  0 i.e.   x  1 y   x  1 y  0
  • 24.
    z 1 ii Find the locus of z if w  and w is purely real z 1  x  1  iy  x  1  iy w   x  1  iy  x  1  iy  x 2  1  i x  1 y  i x  1 y  y 2  x  12  y 2 If w is purely real then Imw  0 i.e.   x  1 y   x  1 y  0  xy  y  xy  y  0
  • 25.
    z 1 ii Find the locus of z if w  and w is purely real z 1  x  1  iy  x  1  iy w   x  1  iy  x  1  iy  x 2  1  i x  1 y  i x  1 y  y 2  x  12  y 2 If w is purely real then Imw  0 i.e.   x  1 y   x  1 y  0  xy  y  xy  y  0  2y  0 y0
  • 26.
    z 1 ii Find the locus of z if w  and w is purely real z 1  x  1  iy  x  1  iy w   x  1  iy  x  1  iy  x 2  1  i x  1 y  i x  1 y  y 2  x  12  y 2 If w is purely real then Imw  0 i.e.   x  1 y   x  1 y  0  xy  y  xy  y  0  2y  0 y0  locus is y  0, excluding 1,0   z  1  0, bottom of fraction  0 
  • 27.
    z 1 ii Find the locus of z if w  and w is purely real z 1  x  1  iy  x  1  iy OR If w is purely real then arg w  0 or  w   x  1  iy  x  1  iy  x 2  1  i x  1 y  i x  1 y  y 2  x  12  y 2 If w is purely real then Imw  0 i.e.   x  1 y   x  1 y  0  xy  y  xy  y  0  2y  0 y0  locus is y  0, excluding 1,0   z  1  0, bottom of fraction  0 
  • 28.
    z 1 ii Find the locus of z if w  and w is purely real z 1  x  1  iy  x  1  iy OR If w is purely real then arg w  0 or  w   x  1  iy  x  1  iy  x 2  1  i x  1 y  i x  1 y  y 2  z  1   0 or  i.e. arg   x  1  y 2 2  z 1 If w is purely real then Imw  0 i.e.   x  1 y   x  1 y  0  xy  y  xy  y  0  2y  0 y0  locus is y  0, excluding 1,0   z  1  0, bottom of fraction  0 
  • 29.
    z 1 ii Find the locus of z if w  and w is purely real z 1  x  1  iy  x  1  iy OR If w is purely real then arg w  0 or  w   x  1  iy  x  1  iy  x 2  1  i x  1 y  i x  1 y  y 2  z  1   0 or  i.e. arg   x  1  y 2 2  z 1 If w is purely real then Imw  0 arg z  1  arg z  1  0 or  y i.e.   x  1 y   x  1 y  0  xy  y  xy  y  0  2y  0 y0 x  locus is y  0, excluding 1,0   z  1  0, bottom of fraction  0 
  • 30.
    z 1 ii Find the locus of z if w  and w is purely real z 1  x  1  iy  x  1  iy OR If w is purely real then arg w  0 or  w   x  1  iy  x  1  iy  x 2  1  i x  1 y  i x  1 y  y 2  z  1   0 or  i.e. arg   x  1  y 2 2  z 1 If w is purely real then Imw  0 arg z  1  arg z  1  0 or  y i.e.   x  1 y   x  1 y  0  xy  y  xy  y  0  2y  0 y0 -1 1 x  locus is y  0, excluding 1,0   z  1  0, bottom of fraction  0 
  • 31.
    z 1 ii Find the locus of z if w  and w is purely real z 1  x  1  iy  x  1  iy OR If w is purely real then arg w  0 or  w   x  1  iy  x  1  iy  x 2  1  i x  1 y  i x  1 y  y 2  z  1   0 or  i.e. arg   x  1  y 2 2  z 1 If w is purely real then Imw  0 arg z  1  arg z  1  0 or  y i.e.   x  1 y   x  1 y  0  xy  y  xy  y  0  2y  0 y0 -1 1 x  locus is y  0, excluding 1,0   z  1  0, bottom of fraction  0 
  • 32.
    z 1 ii Find the locus of z if w  and w is purely real z 1  x  1  iy  x  1  iy OR If w is purely real then arg w  0 or  w   x  1  iy  x  1  iy  x 2  1  i x  1 y  i x  1 y  y 2  z  1   0 or  i.e. arg   x  1  y 2 2  z 1 If w is purely real then Imw  0 arg z  1  arg z  1  0 or  y i.e.   x  1 y   x  1 y  0  xy  y  xy  y  0  2y  0 y0 -1 1 x  locus is y  0, excluding 1,0   z  1  0, bottom of fraction  0 
  • 33.
    z 1 ii Find the locus of z if w  and w is purely real z 1  x  1  iy  x  1  iy OR If w is purely real then arg w  0 or  w   x  1  iy  x  1  iy  x 2  1  i x  1 y  i x  1 y  y 2  z  1   0 or  i.e. arg   x  1  y 2 2  z 1 If w is purely real then Imw  0 arg z  1  arg z  1  0 or  y i.e.   x  1 y   x  1 y  0  xy  y  xy  y  0  2y  0 y0 -1 1 x  locus is y  0, excluding 1,0   z  1  0, bottom of fraction  0  locus is y  0, excluding  1,0 
  • 34.
    z 1 ii Find the locus of z if w  and w is purely real z 1  x  1  iy  x  1  iy OR If w is purely real then arg w  0 or  w   x  1  iy  x  1  iy  x 2  1  i x  1 y  i x  1 y  y 2  z  1   0 or  i.e. arg   x  1  y 2 2  z 1 If w is purely real then Imw  0 arg z  1  arg z  1  0 or  y i.e.   x  1 y   x  1 y  0  xy  y  xy  y  0  2y  0 y0 -1 1 x  locus is y  0, excluding 1,0   z  1  0, bottom of fraction  0  locus is y  0, excluding  1,0  Note : locus is y  0, excluding 1,0  only i.e. answer the original question
  • 35.
     z  iii Find the locus of z if arg   z  4 6
  • 36.
     z  iii Find the locus of z if arg   z  4 6 arg  z    z  4 6
  • 37.
     z  iii Find the locus of z if arg   z  4 6 arg  z    z  4 6
  • 38.
     z  iii Find the locus of z if arg   z  4 6 arg  z    z  4 6  arg z  arg z  4   6 y x
  • 39.
     z  iii Find the locus of z if arg   z  4 6 arg  z    z  4 6  arg z  arg z  4   6 y 4x  6
  • 40.
     z  iii Find the locus of z if arg   z  4 6 arg  z    z  4 6  arg z  arg z  4   6 y 4x  6 NOTE: arg z  arg z-4   below axis
  • 41.
     z  iii Find the locus of z if arg   z  4 6 arg  z    z  4 6  arg z  arg z  4   6 y 2 4x  6 NOTE: arg z  arg z-4   below axis
  • 42.
     z  iii Find the locus of z if arg   z  4 6 arg  z    z  4 6  arg z  arg z  4   6 y 2 r 4x (2,y)  6 NOTE: arg z  arg z-4   below axis
  • 43.
     z  iii Find the locus of z if arg   z  4 6 arg  z    z  4 6  arg z  arg z  4   6 y 2 r 4x (2,y) 30  6 NOTE: arg z  arg z-4   below axis
  • 44.
     z  iii Find the locus of z if arg   z  4 6 arg  z  y  tan 60   z  4 6 2  arg z  arg z  4   6 y 2 r 4x (2,y) 30  6 NOTE: arg z  arg z-4   below axis
  • 45.
     z  iii Find the locus of z if arg   z  4 6 arg  z  y  tan 60   z  4 6 2  y  2 tan 60 arg z  arg z  4   6 y 2 3 2 r 4x (2,y) 30  6 NOTE: arg z  arg z-4   below axis
  • 46.
     z  iii Find the locus of z if arg   z  4 6 arg  z  y  tan 60   z  4 6 2  y  2 tan 60 arg z  arg z  4   6 y 2 3  centre is 2,2 3  2 r 4x (2,y) 30  6 NOTE: arg z  arg z-4   below axis
  • 47.
     z  iii Find the locus of z if arg   z  4 6 arg  z  y  tan 60 r 2  2 2  2 3  2   z  4 6 2  y  2 tan 60 arg z  arg z  4   6 y 2 3  centre is 2,2 3  2 r 4x (2,y) 30  6 NOTE: arg z  arg z-4   below axis
  • 48.
     z  iii Find the locus of z if arg   z  4 6 arg  z  y  tan 60 r 2  2 2  2 3  2   z  4 6 2  r 2  16 arg z  arg z  4   y  2 tan 60 6 r4 y 2 3  centre is 2,2 3  2 r 4x (2,y) 30  6 NOTE: arg z  arg z-4   below axis
  • 49.
     z  iii Find the locus of z if arg   z  4 6 arg  z  y  tan 60 r 2  2 2  2 3  2   z  4 6 2  r 2  16 arg z  arg z  4   y  2 tan 60 6 r4 y 2 3  centre is 2,2 3   locus is the major arc of the circle 2  x  2   y  2 3   16 formed by the 2 2 r 4x chord joining 0,0  and 4,0  but not (2,y) 30 including these points.  6 NOTE: arg z  arg z-4   below axis
  • 50.
     z  iii Find the locus of z if arg   z  4 6 arg  z  y  tan 60 r 2  2 2  2 3  2   z  4 6 2  r 2  16 arg z  arg z  4   y  2 tan 60 6 r4 y 2 3  centre is 2,2 3   locus is the major arc of the circle 2  x  2   y  2 3   16 formed by the 2 2 r 4x chord joining 0,0  and 4,0  but not (2,y) 30 including these points.  6 Exercise 4N; 5, 6 Exercise 4O; 3 to 10, 12, 13a, 14, 17, NOTE: arg z  arg z-4  20b, 21a, 22, 25, 26  below axis HSC Geometrical Complex Numbers Questions