Superconductivity
Dr Chinky Jaggi_Gp (29-35)
1911: Discovery of Superconductivity
Discovered by Kamerlingh
Onnes in 1911 during first low
temperature measurements to
liquefy helium
1913
Dr Chinky Jaggi_Gp (29-35)
• The temperature at which a normal material turns into a superconducting state is
called critical temperature. Every superconducting material has its own critical
temperature.
WHAT IS SUPERCONDUCTIVITY?
The electrical resistivity drops suddenly to zero when cooled
below a certain temperature. This phenomenon is called
Superconductivity and the materials that exhibit this behaviour
are called Superconductors.
Dr Chinky Jaggi_Gp (29-35)
PROPERTIES OF SUPERCONDUCTORS
1. Electrical Property:
A superconductor is characterized by zero resistivity. Once the current is started to
flow, it will continue for years without any detectable decay even if the applied
volatge is removed.
2. Magnetic Property:
An important property of the superconducting phase is the repulsion of magnetic
flux lines from the bulk of superconductor. It is called Meissner Effect.
When a specimen is placed in a magnetic field, the magnetic flux lines pass through
it. Now when the temperature is decreased below the transition temperature, it
expels the magnetic flux lines from inside of the specimen. Hence,
Since, diamagnetic materials have negative
magnetic susceptibility, the specimen becomes
an ideal “diamagnetic” in superconducting
state.
If a specimen of superconductor is placed in a strong magnetic field, the specimen loses its
property of superconductivity and becomes normal material.
Dr Chinky Jaggi_Gp (29-35)
Dr Chinky Jaggi_Gp (29-35)
Dr Chinky Jaggi_Gp (29-35)
3. Thermal Properties:
3.1. Entropy: Entropy is the measure of the disorder of a system. In all the
superconductors, entropy decreases significantly on cooling below the critical
temperature. So, the reduced entropy means that the superconducting state is more
ordered than the normal state.
Dr Chinky Jaggi_Gp (29-35)
3.2. Specific Heat: The specific heat of a superconductor shows a jump at critical
temperature.
3.3. Thermal Conductivity: The thermal conductivity is uaually lower in
superconducting phase.
Dr Chinky Jaggi_Gp (29-35)
TYPE-I SUPERCONDUCTORS
 There are 30 pure metals which exhibit zero resistivity at low temperature.
 They are called Type I superconductors (Soft Superconductors).
 The superconductivity exists only below their critical temperature and below a critical
magnetic field strength.
(These are superconductors which exhibit Complete Meissner effect.)
Dr Chinky Jaggi_Gp (29-35)
TYPE-II SUPERCONDUCTORS
 Starting in 1930 with lead-bismuth alloys, were found which exhibited superconductivity;
they are called Type II superconductors (Hard Superconductors).
 They were found to have much higher critical fields and therefore could carry much higher
current densities while remaining in the superconducting state.
(These are superconductors which do not exhibit Meissner effect strictly)
Dr Chinky Jaggi_Gp (29-35)
Different isotopes of an element have the same number of protons in the nucleus,
giving them the same atomic number, but a different number of neutrons giving each
elemental isotope a different atomic weight.
ISOTOPE:
Dr Chinky Jaggi_Gp (29-35)
where M is the isotopic mass and Tc the superconducting transition
temperature.
Dr Chinky Jaggi_Gp (29-35)
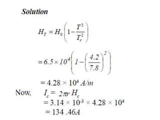
The maximum value of current flowing through the
superconductor at which superconductivityi s destroyed is called
critical current (Ic).
Critical current (Ic).
PRACTICE QUESTIONS:
1. The critical temperature for Hg with isotopic mass 199.5 is 4.185K. What will be
its critical temperature when the isotopic mass is increased to 203.4.
2. The critical temperature of a given superconductor is 1.19K With mass 26.91.
Determine the critical temperature when the isotope mass changes to 32.13.
3. Calculate the critical current for 1.0mm diameter wire of lead at 4.2K. Critical
Temperature for lead is 7.18K and Ho for lead is 6.51 X 10^4 A/m.
Dr Chinky Jaggi_Gp (29-35)
Dr Chinky Jaggi_Gp (29-35)
Dr Chinky Jaggi_Gp (29-35)
Dr Chinky Jaggi_Gp (29-35)
Dr Chinky Jaggi_Gp (29-35)
Dr Chinky Jaggi_Gp (29-35)
1935: Brothers London theory
Dr Chinky Jaggi_Gp (29-35)
Basic assumptions
i) A superconductor is supposed of two distinct types of electrons and
superelectrons.
ii) The normal electron behaves in a usual manner. However the
superelectrons behave in much different way, such as they experience no
scattering, have zero entropy
n = ns + nn
ns and nn respectively are the densities of normal electrons and superelectrons
(1)
(2)
(3)
Dr Chinky Jaggi_Gp (29-35)
J = σ E
Which shows that no current is possible without Electric Field. So, according to London’s theory,
it was assumed that two types of the electrons, i.e. normal and superconducting electrons are
present in the superconductors. The normal electrons don’t respond to the electric field while
only superconducting electrons respond to the electric field. Considering Maxwell’s 3rd equation
Taking curl on both side of equation( 3)
(4)
(5)
Using (5) in (4) we get,
Integarting, we get
Dr Chinky Jaggi_Gp (29-35)
Explanation of flux penetration
using London second equation, we get
Taking curl both sides, we get
Using standard identiy , we get
The one dimension form of above equation
The solution of one dimension equation
Dr Chinky Jaggi_Gp (29-35)
Dr Chinky Jaggi_Gp (29-35)
Dr Chinky Jaggi_Gp (29-35)
1. The critical Temp. of lead is 7.2 K. Determine the penetration depth in
lead at 5.1K if the penetration depth at 0K is 380Å.
2. Determine the penetration depth in mercury at 0K, if the critical
temperature of mercury is 4.3K and the penetration depth is 57nm at
2.9K.
Dr Chinky Jaggi_Gp (29-35)
Dr Chinky Jaggi_Gp (29-35)
Dr Chinky Jaggi_Gp (29-35)
Dr Chinky Jaggi_Gp (29-35)
Dr Chinky Jaggi_Gp (29-35)
Dr Chinky Jaggi_Gp (29-35)
Dr Chinky Jaggi_Gp (29-35)
Dr Chinky Jaggi_Gp (29-35)
Transformers for railway power supply
Dr Chinky Jaggi_Gp (29-35)
Powerful superconducting magnets
Dr Chinky Jaggi_Gp (29-35)
Scientific and industrial NMR
facilities
900 MHz superconductive
NMR installation. It is used
For pharmacological
investigations of various
bio-macromolecules.
Yokohama City University
Dr Chinky Jaggi_Gp (29-35)
Medical NMR tomography
equipment
Dr Chinky Jaggi_Gp (29-35)
Dr Chinky Jaggi_Gp (29-35)

superconductivity_ppt.pptx

  • 1.
  • 2.
    1911: Discovery ofSuperconductivity Discovered by Kamerlingh Onnes in 1911 during first low temperature measurements to liquefy helium 1913 Dr Chinky Jaggi_Gp (29-35)
  • 3.
    • The temperatureat which a normal material turns into a superconducting state is called critical temperature. Every superconducting material has its own critical temperature. WHAT IS SUPERCONDUCTIVITY? The electrical resistivity drops suddenly to zero when cooled below a certain temperature. This phenomenon is called Superconductivity and the materials that exhibit this behaviour are called Superconductors. Dr Chinky Jaggi_Gp (29-35)
  • 4.
    PROPERTIES OF SUPERCONDUCTORS 1.Electrical Property: A superconductor is characterized by zero resistivity. Once the current is started to flow, it will continue for years without any detectable decay even if the applied volatge is removed. 2. Magnetic Property: An important property of the superconducting phase is the repulsion of magnetic flux lines from the bulk of superconductor. It is called Meissner Effect. When a specimen is placed in a magnetic field, the magnetic flux lines pass through it. Now when the temperature is decreased below the transition temperature, it expels the magnetic flux lines from inside of the specimen. Hence, Since, diamagnetic materials have negative magnetic susceptibility, the specimen becomes an ideal “diamagnetic” in superconducting state. If a specimen of superconductor is placed in a strong magnetic field, the specimen loses its property of superconductivity and becomes normal material. Dr Chinky Jaggi_Gp (29-35)
  • 5.
  • 6.
  • 7.
    3. Thermal Properties: 3.1.Entropy: Entropy is the measure of the disorder of a system. In all the superconductors, entropy decreases significantly on cooling below the critical temperature. So, the reduced entropy means that the superconducting state is more ordered than the normal state. Dr Chinky Jaggi_Gp (29-35)
  • 8.
    3.2. Specific Heat:The specific heat of a superconductor shows a jump at critical temperature. 3.3. Thermal Conductivity: The thermal conductivity is uaually lower in superconducting phase. Dr Chinky Jaggi_Gp (29-35)
  • 9.
    TYPE-I SUPERCONDUCTORS  Thereare 30 pure metals which exhibit zero resistivity at low temperature.  They are called Type I superconductors (Soft Superconductors).  The superconductivity exists only below their critical temperature and below a critical magnetic field strength. (These are superconductors which exhibit Complete Meissner effect.) Dr Chinky Jaggi_Gp (29-35)
  • 10.
    TYPE-II SUPERCONDUCTORS  Startingin 1930 with lead-bismuth alloys, were found which exhibited superconductivity; they are called Type II superconductors (Hard Superconductors).  They were found to have much higher critical fields and therefore could carry much higher current densities while remaining in the superconducting state. (These are superconductors which do not exhibit Meissner effect strictly) Dr Chinky Jaggi_Gp (29-35)
  • 11.
    Different isotopes ofan element have the same number of protons in the nucleus, giving them the same atomic number, but a different number of neutrons giving each elemental isotope a different atomic weight. ISOTOPE: Dr Chinky Jaggi_Gp (29-35)
  • 12.
    where M isthe isotopic mass and Tc the superconducting transition temperature. Dr Chinky Jaggi_Gp (29-35)
  • 13.
    The maximum valueof current flowing through the superconductor at which superconductivityi s destroyed is called critical current (Ic). Critical current (Ic).
  • 14.
    PRACTICE QUESTIONS: 1. Thecritical temperature for Hg with isotopic mass 199.5 is 4.185K. What will be its critical temperature when the isotopic mass is increased to 203.4. 2. The critical temperature of a given superconductor is 1.19K With mass 26.91. Determine the critical temperature when the isotope mass changes to 32.13. 3. Calculate the critical current for 1.0mm diameter wire of lead at 4.2K. Critical Temperature for lead is 7.18K and Ho for lead is 6.51 X 10^4 A/m. Dr Chinky Jaggi_Gp (29-35)
  • 15.
  • 16.
  • 17.
  • 18.
  • 19.
  • 20.
    1935: Brothers Londontheory Dr Chinky Jaggi_Gp (29-35)
  • 21.
    Basic assumptions i) Asuperconductor is supposed of two distinct types of electrons and superelectrons. ii) The normal electron behaves in a usual manner. However the superelectrons behave in much different way, such as they experience no scattering, have zero entropy n = ns + nn ns and nn respectively are the densities of normal electrons and superelectrons (1) (2) (3) Dr Chinky Jaggi_Gp (29-35)
  • 22.
    J = σE Which shows that no current is possible without Electric Field. So, according to London’s theory, it was assumed that two types of the electrons, i.e. normal and superconducting electrons are present in the superconductors. The normal electrons don’t respond to the electric field while only superconducting electrons respond to the electric field. Considering Maxwell’s 3rd equation Taking curl on both side of equation( 3) (4) (5) Using (5) in (4) we get, Integarting, we get Dr Chinky Jaggi_Gp (29-35)
  • 23.
    Explanation of fluxpenetration using London second equation, we get Taking curl both sides, we get Using standard identiy , we get The one dimension form of above equation The solution of one dimension equation Dr Chinky Jaggi_Gp (29-35)
  • 24.
  • 25.
  • 26.
    1. The criticalTemp. of lead is 7.2 K. Determine the penetration depth in lead at 5.1K if the penetration depth at 0K is 380Å. 2. Determine the penetration depth in mercury at 0K, if the critical temperature of mercury is 4.3K and the penetration depth is 57nm at 2.9K. Dr Chinky Jaggi_Gp (29-35)
  • 27.
  • 28.
  • 29.
  • 30.
  • 31.
  • 32.
  • 33.
  • 34.
    Transformers for railwaypower supply Dr Chinky Jaggi_Gp (29-35)
  • 35.
    Powerful superconducting magnets DrChinky Jaggi_Gp (29-35)
  • 36.
    Scientific and industrialNMR facilities 900 MHz superconductive NMR installation. It is used For pharmacological investigations of various bio-macromolecules. Yokohama City University Dr Chinky Jaggi_Gp (29-35)
  • 37.
    Medical NMR tomography equipment DrChinky Jaggi_Gp (29-35)
  • 38.