SULPHONAMIDES
Presented by
ANJANA PAUDEL
Department of
B.pharmacy
INTRODUCTION
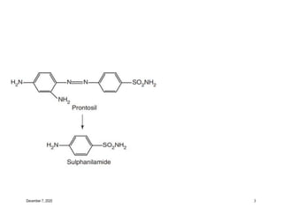
The sulphonamides were the first effective
chemotherapeutic agents to be employed systematically
for the treatment and prevention of bacterial infections in
humans.
It is found to be metabolic product of protonsil which is
rensponsible for antibacterial activity.
This has given initiation to develop sulphonamides as a
antibacterial agents.
December 7, 2020 2
December 7, 2020 3
MODE OF ACTION
Folinic acid (N5 -formyl tetrahydrofolic acid, N5 , N10 -
methylene-tetrahydrofolic acid and N10 -
formyltetrahydrofolic acid) are the important co-enzyme
required for several biosynthetic pathways in human,
bacteria, animals and plants.
In absence of these folate coenzymes, for e.g thymidine
monophosphate (TMP) will not be available to form
nucleic acid hence result in stoppage of cell division.
December 7, 2020 4
December 7, 2020 5
Sulfonamide and Trimethoprim acts as inhibitor of folinic acid
pathway and acts as bacteriostatic. They inhibit tetrahydrofolate
synthesis by inhibiting dihydro-pteroate synthase and folate
reductase respectively.
SAR OF
SULPHONAMIDES
December 7, 2020 6
The major features of SAR of sulphonamides include the
following:
Sulphanilamide skeleton is the
minimum structural requirement for
antibacterial activity.
December 7, 2020 7
The amino- and sulphonyl-groups on the benzene ring
are essential and should be in 1 and 4 position.
The N-4 amino group could be modified to be prodrugs,
which are converted to free amino function in vivo.
December 7, 2020 8
 Sulphur atom should be directly linked to the benzene ring.
 Replacement of benzene ring by other ring systems or the
introduction of additional substituents on it decreases or abolishes its
activity.
 Exchange of the –SO2NH group by –CONH reduces the activity.
On N-1-substituted sulphonamides, activity varies with the nature of
the substituent at the amino group. With substituents imparting
electron-rich characters to SO2 group, bacteriostatic activity increases.
December 7, 2020 9
Heterocyclic substituents lead to highly potent derivatives, while
sulphonamides, which contain a single benzene ring at N-1 position,
are considerably more toxic than heterocyclic ring analogues.
The free aromatic amino groups should reside para to the
sulphonamide group. Its replacement at ortho or meta position results
in compounds devoid of antibacterial activity.
The active form of sulphonamide is the ionized, maximum activity that
is observed between the pKa values 6.6–7.4.
December 7, 2020 10
Substitutions in the benzene ring of sulphonamides produced
inactive compounds.
 Substitution of free sulphonic acid (–SO3 H) group for
sulphonamido function destroys the activity, but replacement by a
sulphinic acid group (–SO2 H) and acetylation of N-4 position retains
back the activity.
The lipid solubility influences the pharmacokinetic and antibacterial
activity, and so increases the half-life and antibacterial activity in
vitro
CLASSIFICATION
Sulphonamides can be classified in various ways:
On the basis of the site of action
 Sulphonamides for general infection: Sulphanilamide,
Sulphapyridine, Sulphadiazine, Sulphamethoxacine,
Sulphamethoxazole.
 Sulphonamides for urinary tract infections:
Sulphaisoxazole, Sulphathiazole.
 Sulphonamides for intestinal infections:
Phthalylsulphathiazole, Succinyl sulphathiazole,
Sulphasalazine.
December 7, 2020 11
December 7, 2020 12
 Sulphonamides for local infections: Sulpahacetamide,
Mafenamide, Silver sulphadiazine.
 Sulphonamides for dermatitis: Dapsone, Solapsone.
 Sulphonamides in combination: Trimethoprim with
Sulphamethoxazole
December 7, 2020 13
On the basis of the pharmacokinetic properties
 Poorly absorbed sulphonamides (locally acting
sulphonamides)—Sulphasalazine, Phthalylsulphathiazole,
Sulphaguanidine, Salicylazo sulphapyridine, Succinyl sulpha
thiazole.
Rapidly absorbed and rapidly excreted (systemic sulphanamides):
Sulphamethoxazole, Sulphaisoxazole, Sulphadiazine,
Sulphadimidine, Sulphafurazole, Sulphasomidine,
Sulphamethiazole, Sulphacetamide Sulphachlorpyridazine.
December 7, 2020 14
Topically used sulphonamides: Sulphacetamide,
Mafenide, Sulphathiazole, Silver sulphadiazine.
On the basis of the pharamacological activity
 Antibacterial agents: Sulphadiazine, Sulfi soxazole.
Drugs used in dermatitis: Dapsone.
December 7, 2020 15
On the basis of the duration of action
 Extra long-acting sulphonamides (half-life greater than
50 h): Sulphasalazine, Sulphaclomide, Sulphalene.
 Long-acting sulphonamides (half-life greater than 24
h):Sulphadoxine, Sulphadimethoxine, Sulphamethoxy
pyridazine, Sulphamethoxydiazine, Sulphaphenazole,
Sulphamethoxine.
 Intermediate-acting sulphonamides (half-life between
10–24 h): Sulphasomizole, Sulphamethoxazole.
December 7, 2020 16
Short-acting sulphonamides (half-life less than 20 h):
Sulphamethiazole, sulphaisoxazole.
Injectables (soluble sulpha drugs): Sulphafurazole,
Sulphadiazine, Sulphamethoxine.
December 7, 2020 17
On the basis of the chemical structure
N-substituted sulphonamide:Sulphadiazine,
Sulphacetamide, Sulphadimidine.
 N-4 substituted sulphonamides (prodrugs): Prontosil.
 Both N-1 and N-4 substituted sulphonamides: Succinyl
sulphathiazole, Phthalylsulphathiazole.
 Miscellaneous: Mefenide sodium.
December 7, 2020 18
December 7, 2020 19
December 7, 2020 20
December 7, 2020 21
December 7, 2020 22
December 7, 2020 23
SULPHONAMIDE FOR TOPICAL
APPLICATION
Sulphacetamide
It is White in color.
 Highly soluble in water.
Highly soluble at biological pH 7.4
Used in the treatment of bacterial infections of urinary
tract.
DOSE :Dose for eyes, as drops 10%, 15%, 20%, and 30%;
in ointments 2.5% and 6% of Sulphacetamide
December 7, 2020 24
December 7, 2020 25
SYNTHESIS
When sulphanilamide is treated with acetic anhydride
and subsequent selective,reductive deacylation of the
resulting acetamide gives sulphacetamide.
MODE OF ACTION
Sulfacetamide is a synthetic sulfanylacetamide derivative
with bacteriostatic activity.
Sulfacetamide inhibits bacterial folic acid synthesis by
competing with para amino benzoic acid with a broad
spectrum of action.
December 7, 2020 26
SULPHONAMIDE FOR BURN
THERAPY
December 7, 2020 27
 Silver sulfadiazine
The silver salt of sulfadiazine applied in a
water miscible cream base has proven to
be an
effective topical antimicrobial agent,
especially against Pseudomonas species.
Salt form is slightly soluble and does not
penetrate the cell wall but acts on the
external cell
surface.
 Effective than Silver nitrate and mefenide.
MODE OF ACTION
Silver sulfadiazine may act through a combination of the
activity of silver and sulfadiazine.
When this agent interacts with sodium chloride-containing
body fluids, silver ions are released slowly and sustainably
into wounded areas.
Ionized silver atoms catalyze the formation of disulfide bonds
leading to protein structural changes and inactivating thiol-
containing enzymes; silver ions may also intercalate DNA
thereby interfering with replication and transcription of
bacteria.
As a competitive inhibitor of para- aminobenzoic acid (PABA),
sulfadiazine inhibits bacterial dihydropteroate synthase,
thereby resulting in disruption of folic acid metabolism and
ultimately DNA synthesis
USES ; Indicated for the prevention and treatment of wound
sepsis in patients with second and third degree burns.December 7, 2020 28
SULFASALAZINE
December 7, 2020 29
Sulphasalazine is a bright
yellow or brownish-yellow fine
powder.
 It is very slightly soluble in
alcohol, practically insoluble in
methylene chloride.
It dissolves in dilute solutions
of alkali hydroxides.
 It is used in the treatment of
ulcerative colitis.
December 7, 2020 30
SULFADOXINE
December 7, 2020 31
 Sulfadoxine is a sulfonamide
consisting of pyrimidine
having methoxy substituents
at the 5- and 6-positions and
a aminobenzenesulfonamido
group at the 4-position.
 In combination with the
antiprotozoal pyrimethamine.
 It is used as an antimalaria
FOLATE REDUCTASE
INHIBITORS
December 7, 2020 32
 Trimethoprim
 Trimethoprim is a white or yellowish-
white powder.
 It very slightly soluble in water and
slightly soluble in ethanol.
 It is used as dihydrofolate reductase
inhibitor, effective against chloroquine
and pyrimethamine resistant strains of
Plasmodium falsiparum.
MODE OF ACTION
It works by blocking folate metabolism in some bacteria
which results in their death.
Trimethoprim binds to dihydrofolate reductase and
inhibits the reduction of dihydrofolic acid (DHF) to
tetrahydrofolic acid (THF).
Uses; is used in the treatment of bladder infections,
middle ear infections and travelers' diarrhea.
Originally introduced in combination with
sulfamethoxazole, it is now available as single agents.
December 7, 2020 33
SULFAMETHOXAZOLE
December 7, 2020 MEDICINAL CHEMISTRY 34
Properties
 It is crystal white or off-white powder.
It is practically odourless.
 It has half life 10hrs and may increased
in patient with renal failure.
 It is practically insoluble in water, ether
and chloroform.
 It is sparingly soluble in
ethanol,dissolves in dilute solution of
NaoH and in dilute acids.
 It is bacteriostatic sulfonamide
antibiotic that interferes with folic acid
synthesis in susceptible bacteria.
 It is generally given in combination
with trimethoprim that inhibits the
sequential step in bacterial folic acid
synthesis.
 It is used for urinary tract’s
MODE OF ACTION
December 7, 2020 35
 Sulfamethoxazole is a structural analog of para-aminobenzoic acid (PABA).
 They inhibit the conversion of PABA to folic acid which interferes with normal
bacterial synthesis of folic acid.
 Hence, blockage of folate production inhibits the folate-dependent metabolic
processes for bacterial growth.
December 7, 2020 36
 The carbamic acid , when lose the carbondioxide gives
5-methylisoxazol-3-amine.
 When 5-methylisoxazol3-amine is reacted with p-
acetamido benzene sulphonyl chloride (PABS) gives
sulphamethoxazole.
SYNERGISM OF
SULFONAMIDES AND FOLATE
REDUCTASE INHIBITORS
Blocking the biosynthesis of folate co-enzymes at
more than one point in the biosynthetic pathway of
bacteria will results in a synergistic antimicrobial
effect. It shows less chances of drug resistance.
Sulphonamides show synergistic action with
diaminopyrimidines such as trimethoprim.
 Trimethoprim is a potent and selective competitive
inhibitor of dihydrofolate reductase enzyme in
susceptible microorganisms, the enzyme required to
reduce dihydrofolate to tetrahydrofolate.
 Combination of sulphonamide and trimethoprim
produces sequential blocks in the synthesis of
tetrahydrofolate, the reduced form of folic acid that is
required for one carbon transfer reactions.December 7, 2020 37
December 7, 2020 38
SULFAMETHOXAZOLE AND
TRIMETHOPRIM COMBINATION
The fixed dose combination of sulfamethoxazole and
trimethoprim in the dose ratio of 5:1 is called as
cotrimoxazole.
Sulfamethoxazole was selected for combining with
trimethoprim because both have nearly half life (~10hrs).
December 7, 2020 39
December 7, 2020 40
Both trimethoprim and sulfamethoxazole works
sequentially in inhibition of enzyme systems in bacterial
synthesis of tetrahydrofolic acid.
Trimethoprim binds to bacterial dihydrofolate reductase
(in preference to human dihydrofolate reductase), also
preventing the formation of THF.
December 7, 2020 41
Uses;
 It is used for urinary tract infections, MRSA skin infections, travelers'
diarrhea, respiratory tract infections, and cholera, among others.
 It may be used both to treat and prevent pneumocystis pneumonia in
people with HIV/AIDS. It can be given by mouth or intravenously. It is used
to prevent or treat Pneumocystis jiroveci pneumonia or Pneumocystis
carinii pneumonia (PCP), a very serious kind of pneumonia
DAPSONE
Properties
1. It is white or slightly yellow white-crystalline powder.
1. It is very slightly soluble in water.
2. It is soluble in acetone and dilute mineral
acids,sparingly soluble in alcohol.
3. It is used as folic acid synthesis inhibitor in the
treatment of leprosy and nocardiosis.
December 7, 2020 42
SYNTHESIS OF DAPSONE
December 7, 2020 43
REFERENCES
V.Alagarsamy- Textbook of Medicinal Chemistry
Textbook of medicinal chemistry-Ashutosh Kar
Slideshare.net
December 7, 2020 44

Sulphonamides

  • 1.
  • 2.
    INTRODUCTION The sulphonamides werethe first effective chemotherapeutic agents to be employed systematically for the treatment and prevention of bacterial infections in humans. It is found to be metabolic product of protonsil which is rensponsible for antibacterial activity. This has given initiation to develop sulphonamides as a antibacterial agents. December 7, 2020 2
  • 3.
  • 4.
    MODE OF ACTION Folinicacid (N5 -formyl tetrahydrofolic acid, N5 , N10 - methylene-tetrahydrofolic acid and N10 - formyltetrahydrofolic acid) are the important co-enzyme required for several biosynthetic pathways in human, bacteria, animals and plants. In absence of these folate coenzymes, for e.g thymidine monophosphate (TMP) will not be available to form nucleic acid hence result in stoppage of cell division. December 7, 2020 4
  • 5.
    December 7, 20205 Sulfonamide and Trimethoprim acts as inhibitor of folinic acid pathway and acts as bacteriostatic. They inhibit tetrahydrofolate synthesis by inhibiting dihydro-pteroate synthase and folate reductase respectively.
  • 6.
    SAR OF SULPHONAMIDES December 7,2020 6 The major features of SAR of sulphonamides include the following: Sulphanilamide skeleton is the minimum structural requirement for antibacterial activity.
  • 7.
    December 7, 20207 The amino- and sulphonyl-groups on the benzene ring are essential and should be in 1 and 4 position. The N-4 amino group could be modified to be prodrugs, which are converted to free amino function in vivo.
  • 8.
    December 7, 20208  Sulphur atom should be directly linked to the benzene ring.  Replacement of benzene ring by other ring systems or the introduction of additional substituents on it decreases or abolishes its activity.  Exchange of the –SO2NH group by –CONH reduces the activity. On N-1-substituted sulphonamides, activity varies with the nature of the substituent at the amino group. With substituents imparting electron-rich characters to SO2 group, bacteriostatic activity increases.
  • 9.
    December 7, 20209 Heterocyclic substituents lead to highly potent derivatives, while sulphonamides, which contain a single benzene ring at N-1 position, are considerably more toxic than heterocyclic ring analogues. The free aromatic amino groups should reside para to the sulphonamide group. Its replacement at ortho or meta position results in compounds devoid of antibacterial activity. The active form of sulphonamide is the ionized, maximum activity that is observed between the pKa values 6.6–7.4.
  • 10.
    December 7, 202010 Substitutions in the benzene ring of sulphonamides produced inactive compounds.  Substitution of free sulphonic acid (–SO3 H) group for sulphonamido function destroys the activity, but replacement by a sulphinic acid group (–SO2 H) and acetylation of N-4 position retains back the activity. The lipid solubility influences the pharmacokinetic and antibacterial activity, and so increases the half-life and antibacterial activity in vitro
  • 11.
    CLASSIFICATION Sulphonamides can beclassified in various ways: On the basis of the site of action  Sulphonamides for general infection: Sulphanilamide, Sulphapyridine, Sulphadiazine, Sulphamethoxacine, Sulphamethoxazole.  Sulphonamides for urinary tract infections: Sulphaisoxazole, Sulphathiazole.  Sulphonamides for intestinal infections: Phthalylsulphathiazole, Succinyl sulphathiazole, Sulphasalazine. December 7, 2020 11
  • 12.
    December 7, 202012  Sulphonamides for local infections: Sulpahacetamide, Mafenamide, Silver sulphadiazine.  Sulphonamides for dermatitis: Dapsone, Solapsone.  Sulphonamides in combination: Trimethoprim with Sulphamethoxazole
  • 13.
    December 7, 202013 On the basis of the pharmacokinetic properties  Poorly absorbed sulphonamides (locally acting sulphonamides)—Sulphasalazine, Phthalylsulphathiazole, Sulphaguanidine, Salicylazo sulphapyridine, Succinyl sulpha thiazole. Rapidly absorbed and rapidly excreted (systemic sulphanamides): Sulphamethoxazole, Sulphaisoxazole, Sulphadiazine, Sulphadimidine, Sulphafurazole, Sulphasomidine, Sulphamethiazole, Sulphacetamide Sulphachlorpyridazine.
  • 14.
    December 7, 202014 Topically used sulphonamides: Sulphacetamide, Mafenide, Sulphathiazole, Silver sulphadiazine. On the basis of the pharamacological activity  Antibacterial agents: Sulphadiazine, Sulfi soxazole. Drugs used in dermatitis: Dapsone.
  • 15.
    December 7, 202015 On the basis of the duration of action  Extra long-acting sulphonamides (half-life greater than 50 h): Sulphasalazine, Sulphaclomide, Sulphalene.  Long-acting sulphonamides (half-life greater than 24 h):Sulphadoxine, Sulphadimethoxine, Sulphamethoxy pyridazine, Sulphamethoxydiazine, Sulphaphenazole, Sulphamethoxine.  Intermediate-acting sulphonamides (half-life between 10–24 h): Sulphasomizole, Sulphamethoxazole.
  • 16.
    December 7, 202016 Short-acting sulphonamides (half-life less than 20 h): Sulphamethiazole, sulphaisoxazole. Injectables (soluble sulpha drugs): Sulphafurazole, Sulphadiazine, Sulphamethoxine.
  • 17.
    December 7, 202017 On the basis of the chemical structure N-substituted sulphonamide:Sulphadiazine, Sulphacetamide, Sulphadimidine.  N-4 substituted sulphonamides (prodrugs): Prontosil.  Both N-1 and N-4 substituted sulphonamides: Succinyl sulphathiazole, Phthalylsulphathiazole.  Miscellaneous: Mefenide sodium.
  • 18.
  • 19.
  • 20.
  • 21.
  • 22.
  • 23.
  • 24.
    SULPHONAMIDE FOR TOPICAL APPLICATION Sulphacetamide Itis White in color.  Highly soluble in water. Highly soluble at biological pH 7.4 Used in the treatment of bacterial infections of urinary tract. DOSE :Dose for eyes, as drops 10%, 15%, 20%, and 30%; in ointments 2.5% and 6% of Sulphacetamide December 7, 2020 24
  • 25.
    December 7, 202025 SYNTHESIS When sulphanilamide is treated with acetic anhydride and subsequent selective,reductive deacylation of the resulting acetamide gives sulphacetamide.
  • 26.
    MODE OF ACTION Sulfacetamideis a synthetic sulfanylacetamide derivative with bacteriostatic activity. Sulfacetamide inhibits bacterial folic acid synthesis by competing with para amino benzoic acid with a broad spectrum of action. December 7, 2020 26
  • 27.
    SULPHONAMIDE FOR BURN THERAPY December7, 2020 27  Silver sulfadiazine The silver salt of sulfadiazine applied in a water miscible cream base has proven to be an effective topical antimicrobial agent, especially against Pseudomonas species. Salt form is slightly soluble and does not penetrate the cell wall but acts on the external cell surface.  Effective than Silver nitrate and mefenide.
  • 28.
    MODE OF ACTION Silversulfadiazine may act through a combination of the activity of silver and sulfadiazine. When this agent interacts with sodium chloride-containing body fluids, silver ions are released slowly and sustainably into wounded areas. Ionized silver atoms catalyze the formation of disulfide bonds leading to protein structural changes and inactivating thiol- containing enzymes; silver ions may also intercalate DNA thereby interfering with replication and transcription of bacteria. As a competitive inhibitor of para- aminobenzoic acid (PABA), sulfadiazine inhibits bacterial dihydropteroate synthase, thereby resulting in disruption of folic acid metabolism and ultimately DNA synthesis USES ; Indicated for the prevention and treatment of wound sepsis in patients with second and third degree burns.December 7, 2020 28
  • 29.
    SULFASALAZINE December 7, 202029 Sulphasalazine is a bright yellow or brownish-yellow fine powder.  It is very slightly soluble in alcohol, practically insoluble in methylene chloride. It dissolves in dilute solutions of alkali hydroxides.  It is used in the treatment of ulcerative colitis.
  • 30.
  • 31.
    SULFADOXINE December 7, 202031  Sulfadoxine is a sulfonamide consisting of pyrimidine having methoxy substituents at the 5- and 6-positions and a aminobenzenesulfonamido group at the 4-position.  In combination with the antiprotozoal pyrimethamine.  It is used as an antimalaria
  • 32.
    FOLATE REDUCTASE INHIBITORS December 7,2020 32  Trimethoprim  Trimethoprim is a white or yellowish- white powder.  It very slightly soluble in water and slightly soluble in ethanol.  It is used as dihydrofolate reductase inhibitor, effective against chloroquine and pyrimethamine resistant strains of Plasmodium falsiparum.
  • 33.
    MODE OF ACTION Itworks by blocking folate metabolism in some bacteria which results in their death. Trimethoprim binds to dihydrofolate reductase and inhibits the reduction of dihydrofolic acid (DHF) to tetrahydrofolic acid (THF). Uses; is used in the treatment of bladder infections, middle ear infections and travelers' diarrhea. Originally introduced in combination with sulfamethoxazole, it is now available as single agents. December 7, 2020 33
  • 34.
    SULFAMETHOXAZOLE December 7, 2020MEDICINAL CHEMISTRY 34 Properties  It is crystal white or off-white powder. It is practically odourless.  It has half life 10hrs and may increased in patient with renal failure.  It is practically insoluble in water, ether and chloroform.  It is sparingly soluble in ethanol,dissolves in dilute solution of NaoH and in dilute acids.  It is bacteriostatic sulfonamide antibiotic that interferes with folic acid synthesis in susceptible bacteria.  It is generally given in combination with trimethoprim that inhibits the sequential step in bacterial folic acid synthesis.  It is used for urinary tract’s
  • 35.
    MODE OF ACTION December7, 2020 35  Sulfamethoxazole is a structural analog of para-aminobenzoic acid (PABA).  They inhibit the conversion of PABA to folic acid which interferes with normal bacterial synthesis of folic acid.  Hence, blockage of folate production inhibits the folate-dependent metabolic processes for bacterial growth.
  • 36.
    December 7, 202036  The carbamic acid , when lose the carbondioxide gives 5-methylisoxazol-3-amine.  When 5-methylisoxazol3-amine is reacted with p- acetamido benzene sulphonyl chloride (PABS) gives sulphamethoxazole.
  • 37.
    SYNERGISM OF SULFONAMIDES ANDFOLATE REDUCTASE INHIBITORS Blocking the biosynthesis of folate co-enzymes at more than one point in the biosynthetic pathway of bacteria will results in a synergistic antimicrobial effect. It shows less chances of drug resistance. Sulphonamides show synergistic action with diaminopyrimidines such as trimethoprim.  Trimethoprim is a potent and selective competitive inhibitor of dihydrofolate reductase enzyme in susceptible microorganisms, the enzyme required to reduce dihydrofolate to tetrahydrofolate.  Combination of sulphonamide and trimethoprim produces sequential blocks in the synthesis of tetrahydrofolate, the reduced form of folic acid that is required for one carbon transfer reactions.December 7, 2020 37
  • 38.
  • 39.
    SULFAMETHOXAZOLE AND TRIMETHOPRIM COMBINATION Thefixed dose combination of sulfamethoxazole and trimethoprim in the dose ratio of 5:1 is called as cotrimoxazole. Sulfamethoxazole was selected for combining with trimethoprim because both have nearly half life (~10hrs). December 7, 2020 39
  • 40.
    December 7, 202040 Both trimethoprim and sulfamethoxazole works sequentially in inhibition of enzyme systems in bacterial synthesis of tetrahydrofolic acid. Trimethoprim binds to bacterial dihydrofolate reductase (in preference to human dihydrofolate reductase), also preventing the formation of THF.
  • 41.
    December 7, 202041 Uses;  It is used for urinary tract infections, MRSA skin infections, travelers' diarrhea, respiratory tract infections, and cholera, among others.  It may be used both to treat and prevent pneumocystis pneumonia in people with HIV/AIDS. It can be given by mouth or intravenously. It is used to prevent or treat Pneumocystis jiroveci pneumonia or Pneumocystis carinii pneumonia (PCP), a very serious kind of pneumonia
  • 42.
    DAPSONE Properties 1. It iswhite or slightly yellow white-crystalline powder. 1. It is very slightly soluble in water. 2. It is soluble in acetone and dilute mineral acids,sparingly soluble in alcohol. 3. It is used as folic acid synthesis inhibitor in the treatment of leprosy and nocardiosis. December 7, 2020 42
  • 43.
  • 44.
    REFERENCES V.Alagarsamy- Textbook ofMedicinal Chemistry Textbook of medicinal chemistry-Ashutosh Kar Slideshare.net December 7, 2020 44