Embed presentation
Downloaded 27 times











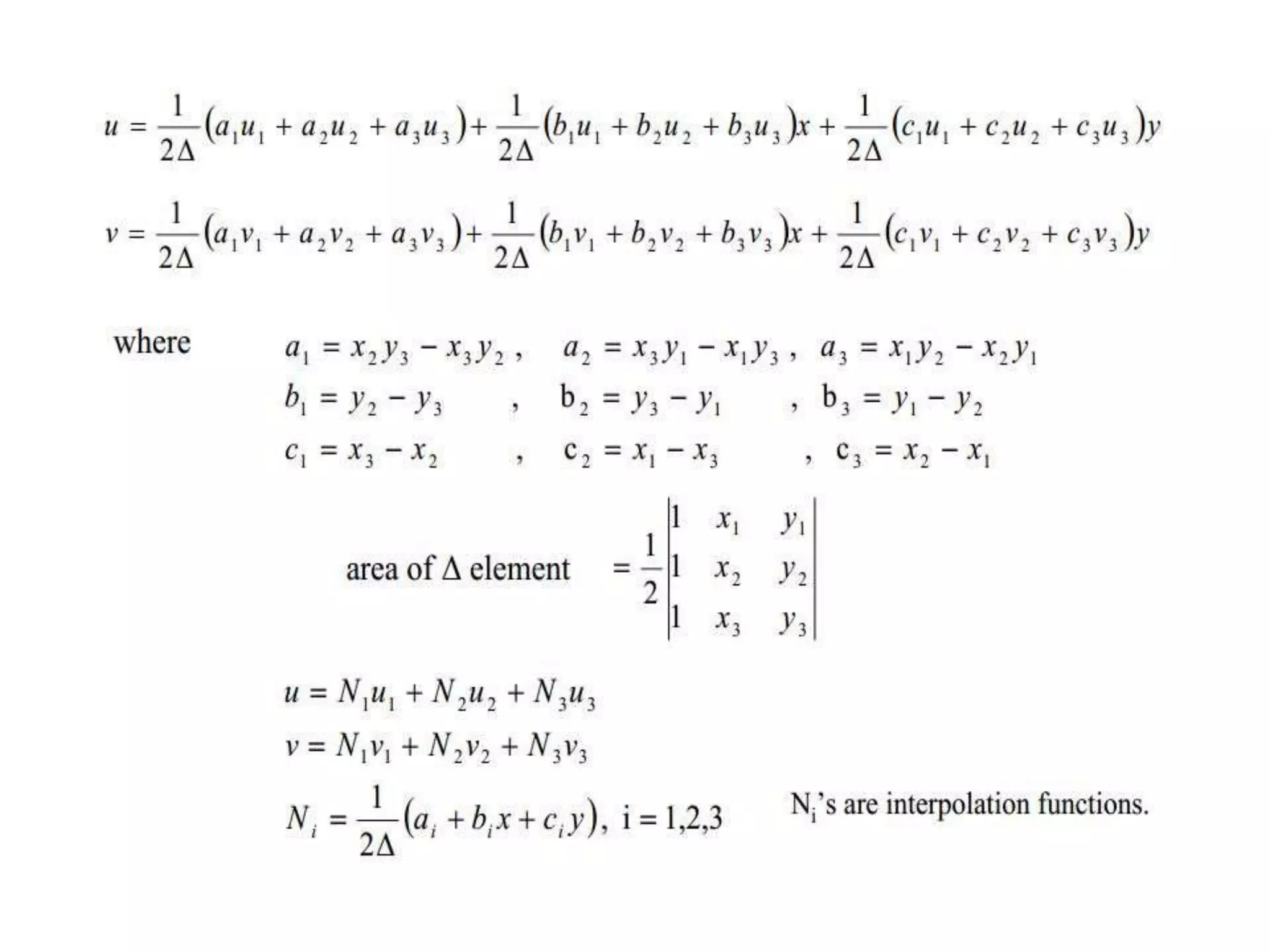
The document discusses the stiffness matrix for a 3-node triangular element. It provides the stiffness matrix that defines the relationship between forces and displacements for a basic 3-node triangular element used in finite element analysis. The matrix captures the element's geometric and material properties to model how it resists deformation when external forces are applied.









