PSIKOLOGI KOGNITIF

Mata Kuliah : Psikologi Umum

DISUSUN OLEH :
1. Berlian Septinia Peking
2. Endang Siswati
3. Tri Wahyu Oktavianita

JURUSAN PSIKOLOGI FAKULTAS PSIKOLOGI
UNIVERSITAS MERCUBUANA

1
PENDAHULUAN

Arti dari kata kognisi (cognition) itu sendiri sebetulnya tidak ada kesepakatan
secara umum, namun kesadaran tetap yang dipelajari dalam psikologi kognitif adalah
berbagai hal seperti sikap, ide, harapan dan sebagainya. Dengan perkataan lain
psikologi kognitif mempelajari bagaimana arus informasi yang ditangkap oleh indra
dan diproses dalam jiwa seseorang sebelum diendapkan dalam kesadaran atau
diwujudkan dalam bentuk tingkah laku. Psikologi kognitif dikatakan sebagai
perpaduan antara psikolog I gestalt dan behaviorisme. Dari sejarahnya diketahui
bahwa perkembangan psikologi kognitif berawal dari hijrahnya Kurt Lewin ke
Amerika Serikat karena kejaran Nazi Jerman menjelang Perang Dunia II.

1. PEMBAHASAN
Psikologi kognitif dikatakan sebagai perpaduan antara psikologi gestalt dan
behaviorisme. Psikologi Gestalt itu sendiri merupakan sebuah teori yang menjelaskan
proses persepsi melalui pengorganisasian komponen-komponen sensasi yang
memiliki hubungan, pola, ataupun kemiripan menjadi kesatuan.Teori gestalt
beroposisi terhadap teori strukturalisme.Teori gestalt cenderung berupaya
mengurangi pembagian sensasi menjadi bagian-bagian yang kecil. Teori ini dibangun
oleh tiga orang, Kurt Koffka, Max Wertheimer, and Wolfgang Köhler. Mereka
menyimpulkan bahwa seseorang cenderung mempersepsikan apa yang terlihat dari
lingkungannya sebagai kesatuan yang utuh. Sedangkan psikologi behaviorisme
memaknai psikologi sebagai studi tentang perilaku sebagai adaptasi terhadap stimulus
lingkungan. Inti utama behaviorisme adalah bahwa organisme mempelajari adaptasi
perilaku dan pembelajaran tersebut dikendalikan oleh prinsip-prinsip asosiasi. Tokohtokoh yang memperkuat psikologi behaviorisme antara lain J.B Watson, Edward
Chance Tolman, dan B.F. Skinner.
Psikologi kognitif berawal dari hijrahnya Kurt Lewin ke Amerika Serikat karena
kejaran Nazi Jerman menjelang Perang Dunia II. Di Amerika Serikat, dari
universitas-universitas tempatnya ia bekerja di Iowa dan Massachussets, Lewin
2
menyebarkan teori-teori Psikologi Gestalt yang telah dikembangkannya menjadi
Teori Lapangan. Mula-mulai tertarik pada paham Gestalt tetapi kemudian ia
mengkritik teori Gestalt karena dianggapnya tidak adekuat. Lewin kurang setuju
dengan cara pendekatan Aristotelian yang mementingkan struktur dan isi gejalagejala kejiwaan. Ia lebih cenderung kepada cara pendekatan yang Galilean yaitu yang
mementingkan fungsi kejiwaan.
Teori lapangan yang dikemukankan oleh Lewin itu sendiri adalah teori yang
membahas proses psikologi yang terjadi dalam diri seseorang. Dengan perkataan lain
teori lapangan mempelajari unsur O (organisme) yang dalam teorinya Tolman
dinyatakan bahwa mempelajari O harus dilaksanakan dengan mencari hubungan
Antara B (behavior atau tingkah laku) dengan S (situasi) dan A (antecedent atau
peristiwa-peristiwa yang mendahului). Hubungan S_R dalamteori Thorndike,
menurut Tolman perlu dijadikan hubungan S-O-R dalam hubungan S-O-R inilah
teori-teori psikologi lapangan mendapat tempatnya dalam dunia psikologi di Amerika
Serikat yang pada waktu itu didominasi oleh Behaviorisme, untuk kemudian
berkembang menjadi teori kognitif.
(Sumber:Sarlito W. Sarwono, Berkenalandenganaliran-alirandantokohtokohPsikologi)
Psikologi kognitif mempelajari tentang cara manusia menerima, mempersepsi,
mempelajari, menalar, mengingat dan berpikir tentang suatu informasi. Psikologi
kognitif juga membahas mengenai pemrosesan informasi. Bagaimana cara kita
memperoleh informasi mengenai dunia dan bagaimana pemerosesannya, bagaimana
cara informasi itu disimpan dan di proses oleh otak, bagaimana informasi itu
disampaikan dengan struktur penyusunan bahasa, dan proses-proses tersebut
ditampilkan dengan sebuah prilaku yang dapat diamati dan juga yang tidak dapat
diamati. Psikologi kognitif juga mencakup keseluruhan proses psikologis dari sensasi
ke persepsi, pengenalan pola, atensi, kesadaran, belajar, memori, formasi konsep,
berpikir, imajinasi, bahasa, kecerdasan, emosi, dan bagaimana keseluruhan hal
tersebut berubah sepanjang hidup (terkait perkembangan manusia) dan bersilangan
3
dengan berbagai bidang prilaku. Dalam psikologi kognitif terdapat beberapa definisi
yaitu metafora adalah menjelaskan proses-proses kognitif. Dan model adalah sebuah
kerangka kerja organisasional yang digunakan untuk menjelaskan proses-proses
kognitif. Proses untuk mengetahui suatu informasi atau belajar yang dipandang
sebagai suatu usaha untuk memahami sesuatu. Kemudian cara mempersepsikan dan
menyusun informasi yang berasal dari lingkungan sekitar yang dilakukan secara aktif
oleh seorang pembelajar. Cara aktif yang dilakukan dapat berupa mencari
pengalaman baru, memecahkan suatu masalah, mencari informasi, mencermati
lingkungan, mempratekkan, mengabaikan respon-respon guna mencapai tujuan. Pada
teori kognitif pengetahuan yang diperoleh dari proses belajar sebelumnya sangat
mempengaruhi atau menentukan terhadap perolehan pengetahuan baru dipelajari.
Adapun teori yang sangat berkaitan erat dengan teori kognitif adalah teori
pemrosesan informasi karena menurut teori ini setelah proses pembelajaran ada
proses pengolahan informasi di dalam otak manusia yang dimulai dari pengamatan
seseorang terhadap informasi yang berada di lingkungannya, kemudian informasi
tersebut diterima oleh reseptor-reseptor yang berupa simbol-simbol yang kemudian
diteruskan pada registor pengindraan yang terdapat pada syaraf pusat.
(Sumber: Mahmud, Dimyati. 1989. Psikologi Pendidikan. Jakarta: Departemen
Pendidikan dan Kebudayaan.)
Reaksi terhadap rangsang tidak selalu keluar berupa tingkah laku yang nyata atau
respon (overt) akan tetapi mengendap berupa ingatan atau diproses menjadi gejolak
perasaan (gelisah, kepuasan, kekecewaan dsb) atau sikap (suka dan tidak suka) .
Teori kognitif ini tidak menyelidiki hal-hal yang lebih mendalam dari yang ada pada
kesadaran. Ia tidak mempelajari proses yang terjadi dalam alam bawah sadar dan
ketidaksadaran. Karena itu teori ini dengan mudah dapat dibedakan dari teori
behaviorisme dan struktualisme, psikologi kognitif agak sulit dibedakan, terutama
dalam aspek metodologinya. Behaviorisme tidak menyetujui metode introspeksi,
tetapi untuk mendapatkan data, psikologi behaviorisme dalam eksperimennya tetap

4
bertanya kepada Orang Percobaan „OP‟ dan jawaban „OP‟ dicatat sebagai data.
Misalnya „OP‟ diminta membaca sesuatu dan pemimpin percobaan „PP‟ bertanya:
“Apa yang Anda baca?” , „OP‟menjawab misalnya “Tulisan itu berbunyi ZRT”.
Jawaban „OP‟ oleh kaum behaviorisme dinamakan respons verbal, akan tetapi oleh
penganut psikologi kognitif dinamakan introspeksi. Hanya saja apa yang dinamakan
introspeksi dalam psikologi kognitif terbatas pada apa yang diindrakan atau dirasakan
oleh „OP‟ secara langsung dan spontan, sedangkan introspeksi dalam aliran
struktualisme mengandung pertanyaan-pertanyaan yang harus dijawab secara lebih
mendalam dan untuk menjawab „OP‟ perlu memiliki pengalaman dan kemampuan
tertentu. Disinilah letak subjektivitias introspeksi model struktualisme.
Perbedaan antara psikologi kognitif dan psikologi behaviorisme antara lain:
Psikologi Behaviorisme

Psikologi Kognitif

Berkaitan dengan kondisioning dan

Lebih banyak mempelajari

proses belajar.

pembentukan konsep, proses, berpikir
dan membangun pengetahuan.

Mempelajari perilaku yang nyata

Membicarakan konsep-konsep

(overt)

mentalistik yaitu proses kejiwaan
yang tidak selalu nampak dari luar.

Lebih mementingkan tingkah laku

Lebih mementingkan tingkah laku

molekular (tingkah laku refleks)

molar (tingkah laku keseluruhan)

Mementingkan faktor kebutuhan

Berpendapat bahwa tanpa ada

pemuasan kebutuhan.

kebutuhnan-kebutuhan tertentu,
proses belajar dapat tetap terjadi.

5
Kemudian psikologi kognitif menaruh perhatian atas pertanyaan-pertanyaan yang
menunjuk pada cakupan psikologi kognitif antara lain:
1. Bagaimana kita memperoleh, mentransformasikan, merepresentasikan,
menyimpan, dan mendapatkan kembali suatu pengetahuan/informasi.
2. Bagaimana pengetahuan/informasi tersebut merebut perhatian kita.
3. Bagaimana kita merespon pengetahuan/informasi yang kita terima.Kognisi
merupakan proses internal yang tidak nampak.
Pengetahuan (teori-teori/model-model) yang dikembangkan untuk menjawab
pertanyaan-pertanyaan tersebut dibangun atas dasar asumsi-asumsi tertentu.
Asumsi-asumsi dan Topik-topik dalam Psikologi Kognitif
ASUMSI

TOPIK DALAM PSIKOGNITIF

Kemampuan untuk mendeteksi dan

Deteksisinyal-sinyal penginderaan

menginterpretasi stimulus penginderaan

dan neuro-science.

(sensory)

Kecenderungan untuk memusatkan pada

Perhatian (attention).

stimulus penginderaan tertentu dan
mengabaikan stimulus lainnya.

Pengetahuan yang mendetail tentang

Pengetahuan (knowledge).

karakteristik fisik dari lingkungan.

Kemampuan untuk mengabstraksi

Pengenalan pola( pattern

bagian- bagian dari suatu peristiwa dan

recognition).

mengintegrasikan bagian-bagian

6
tersebut kedalam skema yang terstruktur
dengan baik, yang memberikan
arti/makna bagi keseluruhan episode.

Kemampuan untuk memeras arti

Membaca dan pemrosesan

(memetik inti sari) dari tulisan dan kata-

informasi.

kata.

Kapasitas untuk menyimpan peristiwaperistiwa yang baru saja terjadi dan

Short –term memory.
( library online ).

mengintegrasikannya kedalam
rangkaian yang berkesinambungan.
(Sumber: Mahmud, Dimyati. 1989. Psikologi Pendidikan. Jakarta: Departemen Pendidikan
dan Kebudayaan.)

Tokoh yang tergolong paling awal dalam mengemukakan teori-teori yang dapat
digolongkan dalam aliran Psikologi Kognitif ini adalah F. Heider. Tulisannya yang
pertama, Attitudes and Cognitive Organisation, dipublikasikan pada tahun 1946.
Setelah itu muncul tokoh-tokoh seperti L. Festinger, C.E. Osgood, P.H. Tannenbaum
dan T.M. Newcomb.
1. F. Heider (Teori P-O-X): Dalam tulisannya yang telah disebutkan, Heider
mengemukakan teori yang berpangkal pada perasaan-perasaan yang ada pada
seorang terhadap seseorang lain dan sesuatu hal yang lain (pihak ketiga) yang
menyangkut orang pertama dan orang kedua. Orang pertama yang mengalami
perasaan itu diberinya lambang P (Person atau Pribadi). Orang kedua yang
berhubungan dengan P akan diberi lambang O (Others atau orang lain),
sedangkan pihak ketiga yang bisa berupa orang, benda, situasi dan sebagainya
dilambangkan dengan X. Dengan demikian hubungan tiga pihak itu disebut
hubungan P-O-X yang dapat diskemakan sebagai berikut:
Sejalan dengan prinsip-prinsip Psikologi Gestalt, hubungan P-O-X
dapat bersifat saling memiliki (yang satu merupakan bagian dari yang lain,
sangat erat) dan saling tidak memiliki. Hubungan yang saling memiliki
dinamakan hubungan tipe-U, sedangkan hubungan yang tidak saling memiliki
disebut hubungan tipe bukan-U. Tipe-tipe hubungan ini dipengaruhi oleh

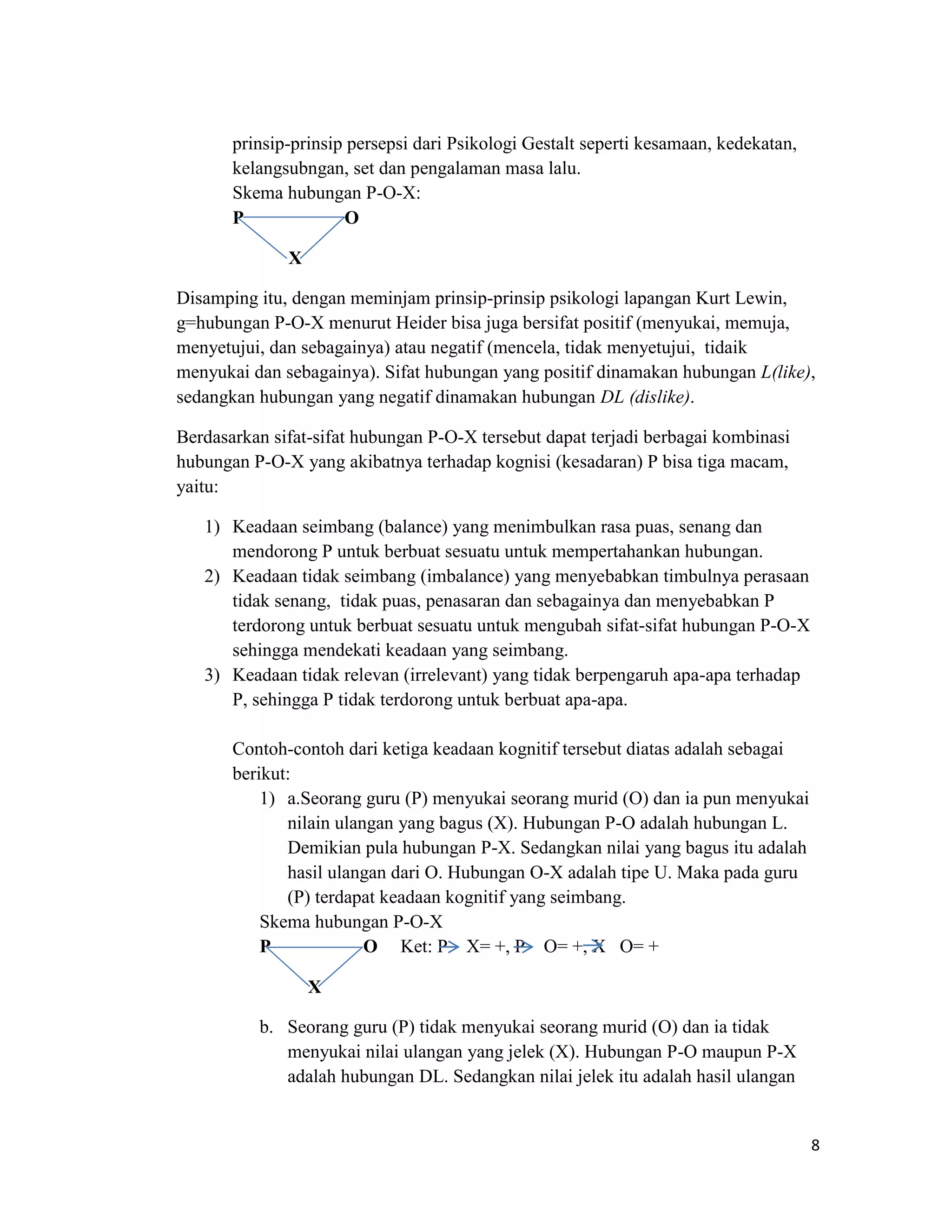
7
prinsip-prinsip persepsi dari Psikologi Gestalt seperti kesamaan, kedekatan,
kelangsubngan, set dan pengalaman masa lalu.
Skema hubungan P-O-X:
P
O
X
Disamping itu, dengan meminjam prinsip-prinsip psikologi lapangan Kurt Lewin,
g=hubungan P-O-X menurut Heider bisa juga bersifat positif (menyukai, memuja,
menyetujui, dan sebagainya) atau negatif (mencela, tidak menyetujui, tidaik
menyukai dan sebagainya). Sifat hubungan yang positif dinamakan hubungan L(like),
sedangkan hubungan yang negatif dinamakan hubungan DL (dislike).
Berdasarkan sifat-sifat hubungan P-O-X tersebut dapat terjadi berbagai kombinasi
hubungan P-O-X yang akibatnya terhadap kognisi (kesadaran) P bisa tiga macam,
yaitu:
1) Keadaan seimbang (balance) yang menimbulkan rasa puas, senang dan
mendorong P untuk berbuat sesuatu untuk mempertahankan hubungan.
2) Keadaan tidak seimbang (imbalance) yang menyebabkan timbulnya perasaan
tidak senang, tidak puas, penasaran dan sebagainya dan menyebabkan P
terdorong untuk berbuat sesuatu untuk mengubah sifat-sifat hubungan P-O-X
sehingga mendekati keadaan yang seimbang.
3) Keadaan tidak relevan (irrelevant) yang tidak berpengaruh apa-apa terhadap
P, sehingga P tidak terdorong untuk berbuat apa-apa.
Contoh-contoh dari ketiga keadaan kognitif tersebut diatas adalah sebagai
berikut:
1) a.Seorang guru (P) menyukai seorang murid (O) dan ia pun menyukai
nilain ulangan yang bagus (X). Hubungan P-O adalah hubungan L.
Demikian pula hubungan P-X. Sedangkan nilai yang bagus itu adalah
hasil ulangan dari O. Hubungan O-X adalah tipe U. Maka pada guru
(P) terdapat keadaan kognitif yang seimbang.
Skema hubungan P-O-X
P
O Ket: P X= +, P O= +, X O= +
X
b. Seorang guru (P) tidak menyukai seorang murid (O) dan ia tidak
menyukai nilai ulangan yang jelek (X). Hubungan P-O maupun P-X
adalah hubungan DL. Sedangkan nilai jelek itu adalah hasil ulangan

8
ulangan dari P, sehingga hubungan nilai O-X adalah hubungan tipe U.
Maka guru P mengalami keadaan kognitif yang seimbang.
1) Seorang guru (P) menyukai seorang murid (O) dan ia tidak menyukai
nilai yang jelek (X). Hubungan P-O adalah hubungan L, sedangkan
hubungan P-X adalah hubungan DL. Padahal nlai yang jelek itu adalah
hasil ulangan O, sehingga hubungan O-X adalah tipe U. Akibatnya
timbul perasaan tidak seimbang dalam diri P
P
O
X

Keterangan: P

X= - , P

O= + , X

O= +

2) Seorang guru (P) menyukai seorang murid (O). Hubungsn P-O adalah
hubungan PL. Guru itu tidak menyukai nilai ulangan yang jelek (X),
sehingga hubungan P-X adalah hubungan DL. Tetapi nilai yang jelek
itu bukan hasil ulangan O, sehingga hubungan O-X adalah hubungan
tipe bukan U. Dalam hal ini dalam diri P tidak akan timbul apa-apa
(relevant)
P
O
Keterangan: P X= - , P
O= + , X O= X
2. Leon Festinger(Disonansi Kognitif): Dalam bukunya, A theory of Cognitive
Dissonance (1957), Festinger (1919-1989) mengemukakan teorinya yang banyak
dipengaruhi oleh Lewin. Dalam teori Festinger, sektor-sektor dalam lapangan
kesadaran dinamakan Elemen-elemen kognisi. Elemen-elemen kognisi itu saling
berhubungan satu sama lain dan jenis hubungan itu ada tiga macam, yaitu (1)
hubuyngan yang tidak relevan, (2) hubungan disonan, dan (3) hubungan
konsonan.
Contoh dari hubungan yang tidak relevan misalnya adalah jika seseorang tahu
bahwa setiap musim hujan kota Jakarta kebanjiran dan ia pun tahu bahwa di
Kalimantan Timur ada sebuah pabrik pupuk. Hubungan antara kedua elemen
kognisi itu tidak relevan sehingga tidak timbul reaksi apa-apa pada diri orang
yang bersangkutan.
Jika hubungan yang tidak relevan tiak menghasilkan reaksi apa-apa
pada seseorang, perasaan disonan menimbulkan perasaan tidak senang, janggal,
penasaran aneh, tidak puas dan sebagainya sehingga mendorong orang yang
bersangkutan untuk berbuat sesuatu untuk mencapai keadaan konsonan.
Hubungan konsonan itu sendiri menimbulkan rasa puas, senang, bisa mengerti
dan sebagainya. Hubungan yang disonan disebabkan oleh elemen-elemen kognisi

9
yang saling menyangkal, sedangkan hubungan konsonan adalah hubungan yang
tidak disonan. Misalnya, kita tahu bahwa jika seseorang berdiri di bawah hujan
(elemen pertama), maka ia akan basah (elemen kedua). Kalau kita melihat orang
karena berdiri di bawah hujan, maka kita merasakan sesuatu keadaan yang bisa
dimengerti sebagai akibat adanya hubungan yang konsonan antara elemen-elemen
kognisi. Tetapi kalau orang yang berdiri dibawah hujan itu tidak basah, maka kita
yang melihatnya akan merasa heran, aneh, curiga, dan sebagainya sebagai akibat
dari adanya hubungan yang disonan antara elemen kognisi yang kedua (tidak
basah) yang menyangkal elemen kognisi yang pertama (berdiri dibawah hujan).
Menurut Festinger, hubungan yang disonan juga dapat disebabkan
oleh nilai-nilai budaya dan pendapat umum. Misalnya, jika terjadi gejala-gejala
berikut: makan dengan tangan di restoran bertaraf internasional, orang kulit putih
bercakap bahasa Jawa, seorang kakek menyanyikan lagu rock atau seorang
menteri makan di warung di tepi jalan.
Untuk mengurangi disonansi ada tiga cara yang bisa ditempuh, yaitu:
1) Mengubah elemen tingkah laku, misalnya: seorang gadis membeli baju
yang mahal, tetapi kawan-kawannya mencela baju itu karena mereka
anggap jelek. Gadis itu merasa disonan karena baju mahal ternyata tidak
bagus (elemen I ditolak oleh elemen II). Reaksi gadis itu mungkin menjuak
kembali baju itu atau memberikannya pada orang lain.
2) Mengubah elemen kognisi dari lingkungan, misalnya: gadis tersebut di atas
mencoba meyakinkan teman-temannya bahwa baju tersebut sedang mode,
disukai oleh bontang-bintang film dan terlihat sangat cantik.
3) Mengubah elemen kognisi baru, misalnya mencari pendapat teman-teman
lainnya yang mendukung pendapat bahwa baju itu cantik sehingga
penyangkalan oleh elemen kedua bisa dinetralkan.
(Sumber:Sarlito W. Sarwono, Berkenalan dengan aliran-aliran dan tokoh-tokoh Psikologi)

3. P.H. Tannenbaum
P.H Tannenbaum terkenal dengan Proses Kognisi dan Peta Kognisi untuk
Wayfinding dan Berorientasi. Persepsi dan kognisi ternyata sangat berkaitan
dengan wayfinding and orientation skill. Hal ini dinyatakan oleh Boulding (1956)
dan Lynch (1960). Boulding (1956) menyatakan bahwa untuk memahami
tindakan seseorang, kita harus mengerti apa yang dia mengerti, dia tahu dan dia
percayai karena image atau citra yang tertanam dalam pikiran manusia dapat
mempengaruhi kehidupannya. Oleh sebab itu persepsi atau kognisi ini perlu
10
dipelajari untuk mengerti proses menemukan jalan dan berorientasi dengan baik
pada seseorang. Sementara itu Lynch (1960) menjelaskan citra atau peta kognitif
pada desain lingkungan binaan (environmental design) terutama dalam lingkup
perkotaan (urban).
Peta Kognitif atau Cognitive Map tidak dapat diamati secara langsung. Tetapi
dapat diketahui dengan penggunaan sketsa, foto, deskripsi verbal, model dan
bentuk pengaturan spasial yang lainnya. Hal ini juga tergantung kepada
kemampuan individu untuk menjelaskan peta kognisi ini. Kemampuan ini
biasanya berbeda – beda. Berbagai riset tentang hal ini telah dibuat oleh Beck dan
Wood (1976), Saarinen (1976), Canter (1977), Moore (1979), Evans (1980) dan
Garling (1980). Riset – riset di atas seringkali berkaitan dengan 3 pertanyaan
dasar yaitu:
- Apakah peta kognitif itu (isi dan organisasinya)?
- Apakah yang mempengaruhi peta itu (isi dan organisasinya)?
- Bagaimana peta kognitif dapat dibandingkan dengan bentuk geometrik dari
lingkungan fisiknya (physical environment).
Tipologi peta kognitif ini dapat dibagi dalam beberapa golongan
berdasarkan studi – studi terdahulu, seperti: Shemyakin (1962), Appleyard
(1970), Tolman (1948), Lord (1941), Passini (1984), yaitu Linier (Linear) dan
Spasial (Spatial). Pergerakan sebuah individu akan menghasilkan jenis peta
kognisi yang berbeda. Peta kognisi linier menunjukkan jalur pergerakan individu
dalam bangunan yang disusun dengan urutan waktu. Peta ini biasanya tidak
menunjukkan keseluruhan bangunan karena dibuat dari ingatan ketika bergerak di
dalam bangunan. Sehingga daerah yang tidak dilewati tidak akan dapat digambar.
Sedangkan peta kognitif spasial akan menggambarkan secara umum
bentuk makro bangunan dan zona – zona di dalamnya tanpa menggambarkan
pergerakan individu pembuatnya dalam bangunan. Hal ini kemungkinan didasari
oleh organisasi informasi individu yang lebih lengkap mengenai bangunan atau
lingkungan tersebut.

11
Selain itu perlu disadari pentingnya antara image di atas dengan proses
menemukan jalan. Proses menemukan jalan atau merencanakan perjalanan sangat
dipengaruhi oleh peta kognitif atau image yang dimiliki oleh individu. Hal ini
mungkin didapatkan dari peta atau petunjuk orang yang mengetahui arah atau
pengalaman individu itu sendiri. Informasi ini selanjutnya dapat diintegrasikan
menjadi peta kognitif yang membantu pengambilan keputusan ketika menempuh
perjalanan. Jika proses ini dilakukan berulang maka akan menjadi sebuah
kebiasaan atau behaviour. Dapat disimpulkan bahwa peta kognitif ini akan
membantu individu untuk menemukan ruangan dalam bangunan atau lingkungan
binaan dengan lebih cepat. Hal ini juga akan meningkatkan kesejahteraan
individu.

12
DAFTAR PUSTAKA
Sarwono, Sarlito .W.(2008).Berkenalandenganaliran-alirandantokohtokohPsikologi: edisi ketiga. Jakarta: Bulan Bintang
Dimyati, Mahmud.( 1989). Psikologi Pendidikan. Jakarta: Departemen Pendidikan
dan Kebudayaan).

13

Psi Umum Kognitif - Endang Siswanti

  • 1.
    PSIKOLOGI KOGNITIF Mata Kuliah: Psikologi Umum DISUSUN OLEH : 1. Berlian Septinia Peking 2. Endang Siswati 3. Tri Wahyu Oktavianita JURUSAN PSIKOLOGI FAKULTAS PSIKOLOGI UNIVERSITAS MERCUBUANA 1
  • 2.
    PENDAHULUAN Arti dari katakognisi (cognition) itu sendiri sebetulnya tidak ada kesepakatan secara umum, namun kesadaran tetap yang dipelajari dalam psikologi kognitif adalah berbagai hal seperti sikap, ide, harapan dan sebagainya. Dengan perkataan lain psikologi kognitif mempelajari bagaimana arus informasi yang ditangkap oleh indra dan diproses dalam jiwa seseorang sebelum diendapkan dalam kesadaran atau diwujudkan dalam bentuk tingkah laku. Psikologi kognitif dikatakan sebagai perpaduan antara psikolog I gestalt dan behaviorisme. Dari sejarahnya diketahui bahwa perkembangan psikologi kognitif berawal dari hijrahnya Kurt Lewin ke Amerika Serikat karena kejaran Nazi Jerman menjelang Perang Dunia II. 1. PEMBAHASAN Psikologi kognitif dikatakan sebagai perpaduan antara psikologi gestalt dan behaviorisme. Psikologi Gestalt itu sendiri merupakan sebuah teori yang menjelaskan proses persepsi melalui pengorganisasian komponen-komponen sensasi yang memiliki hubungan, pola, ataupun kemiripan menjadi kesatuan.Teori gestalt beroposisi terhadap teori strukturalisme.Teori gestalt cenderung berupaya mengurangi pembagian sensasi menjadi bagian-bagian yang kecil. Teori ini dibangun oleh tiga orang, Kurt Koffka, Max Wertheimer, and Wolfgang Köhler. Mereka menyimpulkan bahwa seseorang cenderung mempersepsikan apa yang terlihat dari lingkungannya sebagai kesatuan yang utuh. Sedangkan psikologi behaviorisme memaknai psikologi sebagai studi tentang perilaku sebagai adaptasi terhadap stimulus lingkungan. Inti utama behaviorisme adalah bahwa organisme mempelajari adaptasi perilaku dan pembelajaran tersebut dikendalikan oleh prinsip-prinsip asosiasi. Tokohtokoh yang memperkuat psikologi behaviorisme antara lain J.B Watson, Edward Chance Tolman, dan B.F. Skinner. Psikologi kognitif berawal dari hijrahnya Kurt Lewin ke Amerika Serikat karena kejaran Nazi Jerman menjelang Perang Dunia II. Di Amerika Serikat, dari universitas-universitas tempatnya ia bekerja di Iowa dan Massachussets, Lewin 2
  • 3.
    menyebarkan teori-teori PsikologiGestalt yang telah dikembangkannya menjadi Teori Lapangan. Mula-mulai tertarik pada paham Gestalt tetapi kemudian ia mengkritik teori Gestalt karena dianggapnya tidak adekuat. Lewin kurang setuju dengan cara pendekatan Aristotelian yang mementingkan struktur dan isi gejalagejala kejiwaan. Ia lebih cenderung kepada cara pendekatan yang Galilean yaitu yang mementingkan fungsi kejiwaan. Teori lapangan yang dikemukankan oleh Lewin itu sendiri adalah teori yang membahas proses psikologi yang terjadi dalam diri seseorang. Dengan perkataan lain teori lapangan mempelajari unsur O (organisme) yang dalam teorinya Tolman dinyatakan bahwa mempelajari O harus dilaksanakan dengan mencari hubungan Antara B (behavior atau tingkah laku) dengan S (situasi) dan A (antecedent atau peristiwa-peristiwa yang mendahului). Hubungan S_R dalamteori Thorndike, menurut Tolman perlu dijadikan hubungan S-O-R dalam hubungan S-O-R inilah teori-teori psikologi lapangan mendapat tempatnya dalam dunia psikologi di Amerika Serikat yang pada waktu itu didominasi oleh Behaviorisme, untuk kemudian berkembang menjadi teori kognitif. (Sumber:Sarlito W. Sarwono, Berkenalandenganaliran-alirandantokohtokohPsikologi) Psikologi kognitif mempelajari tentang cara manusia menerima, mempersepsi, mempelajari, menalar, mengingat dan berpikir tentang suatu informasi. Psikologi kognitif juga membahas mengenai pemrosesan informasi. Bagaimana cara kita memperoleh informasi mengenai dunia dan bagaimana pemerosesannya, bagaimana cara informasi itu disimpan dan di proses oleh otak, bagaimana informasi itu disampaikan dengan struktur penyusunan bahasa, dan proses-proses tersebut ditampilkan dengan sebuah prilaku yang dapat diamati dan juga yang tidak dapat diamati. Psikologi kognitif juga mencakup keseluruhan proses psikologis dari sensasi ke persepsi, pengenalan pola, atensi, kesadaran, belajar, memori, formasi konsep, berpikir, imajinasi, bahasa, kecerdasan, emosi, dan bagaimana keseluruhan hal tersebut berubah sepanjang hidup (terkait perkembangan manusia) dan bersilangan 3
  • 4.
    dengan berbagai bidangprilaku. Dalam psikologi kognitif terdapat beberapa definisi yaitu metafora adalah menjelaskan proses-proses kognitif. Dan model adalah sebuah kerangka kerja organisasional yang digunakan untuk menjelaskan proses-proses kognitif. Proses untuk mengetahui suatu informasi atau belajar yang dipandang sebagai suatu usaha untuk memahami sesuatu. Kemudian cara mempersepsikan dan menyusun informasi yang berasal dari lingkungan sekitar yang dilakukan secara aktif oleh seorang pembelajar. Cara aktif yang dilakukan dapat berupa mencari pengalaman baru, memecahkan suatu masalah, mencari informasi, mencermati lingkungan, mempratekkan, mengabaikan respon-respon guna mencapai tujuan. Pada teori kognitif pengetahuan yang diperoleh dari proses belajar sebelumnya sangat mempengaruhi atau menentukan terhadap perolehan pengetahuan baru dipelajari. Adapun teori yang sangat berkaitan erat dengan teori kognitif adalah teori pemrosesan informasi karena menurut teori ini setelah proses pembelajaran ada proses pengolahan informasi di dalam otak manusia yang dimulai dari pengamatan seseorang terhadap informasi yang berada di lingkungannya, kemudian informasi tersebut diterima oleh reseptor-reseptor yang berupa simbol-simbol yang kemudian diteruskan pada registor pengindraan yang terdapat pada syaraf pusat. (Sumber: Mahmud, Dimyati. 1989. Psikologi Pendidikan. Jakarta: Departemen Pendidikan dan Kebudayaan.) Reaksi terhadap rangsang tidak selalu keluar berupa tingkah laku yang nyata atau respon (overt) akan tetapi mengendap berupa ingatan atau diproses menjadi gejolak perasaan (gelisah, kepuasan, kekecewaan dsb) atau sikap (suka dan tidak suka) . Teori kognitif ini tidak menyelidiki hal-hal yang lebih mendalam dari yang ada pada kesadaran. Ia tidak mempelajari proses yang terjadi dalam alam bawah sadar dan ketidaksadaran. Karena itu teori ini dengan mudah dapat dibedakan dari teori behaviorisme dan struktualisme, psikologi kognitif agak sulit dibedakan, terutama dalam aspek metodologinya. Behaviorisme tidak menyetujui metode introspeksi, tetapi untuk mendapatkan data, psikologi behaviorisme dalam eksperimennya tetap 4
  • 5.
    bertanya kepada OrangPercobaan „OP‟ dan jawaban „OP‟ dicatat sebagai data. Misalnya „OP‟ diminta membaca sesuatu dan pemimpin percobaan „PP‟ bertanya: “Apa yang Anda baca?” , „OP‟menjawab misalnya “Tulisan itu berbunyi ZRT”. Jawaban „OP‟ oleh kaum behaviorisme dinamakan respons verbal, akan tetapi oleh penganut psikologi kognitif dinamakan introspeksi. Hanya saja apa yang dinamakan introspeksi dalam psikologi kognitif terbatas pada apa yang diindrakan atau dirasakan oleh „OP‟ secara langsung dan spontan, sedangkan introspeksi dalam aliran struktualisme mengandung pertanyaan-pertanyaan yang harus dijawab secara lebih mendalam dan untuk menjawab „OP‟ perlu memiliki pengalaman dan kemampuan tertentu. Disinilah letak subjektivitias introspeksi model struktualisme. Perbedaan antara psikologi kognitif dan psikologi behaviorisme antara lain: Psikologi Behaviorisme Psikologi Kognitif Berkaitan dengan kondisioning dan Lebih banyak mempelajari proses belajar. pembentukan konsep, proses, berpikir dan membangun pengetahuan. Mempelajari perilaku yang nyata Membicarakan konsep-konsep (overt) mentalistik yaitu proses kejiwaan yang tidak selalu nampak dari luar. Lebih mementingkan tingkah laku Lebih mementingkan tingkah laku molekular (tingkah laku refleks) molar (tingkah laku keseluruhan) Mementingkan faktor kebutuhan Berpendapat bahwa tanpa ada pemuasan kebutuhan. kebutuhnan-kebutuhan tertentu, proses belajar dapat tetap terjadi. 5
  • 6.
    Kemudian psikologi kognitifmenaruh perhatian atas pertanyaan-pertanyaan yang menunjuk pada cakupan psikologi kognitif antara lain: 1. Bagaimana kita memperoleh, mentransformasikan, merepresentasikan, menyimpan, dan mendapatkan kembali suatu pengetahuan/informasi. 2. Bagaimana pengetahuan/informasi tersebut merebut perhatian kita. 3. Bagaimana kita merespon pengetahuan/informasi yang kita terima.Kognisi merupakan proses internal yang tidak nampak. Pengetahuan (teori-teori/model-model) yang dikembangkan untuk menjawab pertanyaan-pertanyaan tersebut dibangun atas dasar asumsi-asumsi tertentu. Asumsi-asumsi dan Topik-topik dalam Psikologi Kognitif ASUMSI TOPIK DALAM PSIKOGNITIF Kemampuan untuk mendeteksi dan Deteksisinyal-sinyal penginderaan menginterpretasi stimulus penginderaan dan neuro-science. (sensory) Kecenderungan untuk memusatkan pada Perhatian (attention). stimulus penginderaan tertentu dan mengabaikan stimulus lainnya. Pengetahuan yang mendetail tentang Pengetahuan (knowledge). karakteristik fisik dari lingkungan. Kemampuan untuk mengabstraksi Pengenalan pola( pattern bagian- bagian dari suatu peristiwa dan recognition). mengintegrasikan bagian-bagian 6
  • 7.
    tersebut kedalam skemayang terstruktur dengan baik, yang memberikan arti/makna bagi keseluruhan episode. Kemampuan untuk memeras arti Membaca dan pemrosesan (memetik inti sari) dari tulisan dan kata- informasi. kata. Kapasitas untuk menyimpan peristiwaperistiwa yang baru saja terjadi dan Short –term memory. ( library online ). mengintegrasikannya kedalam rangkaian yang berkesinambungan. (Sumber: Mahmud, Dimyati. 1989. Psikologi Pendidikan. Jakarta: Departemen Pendidikan dan Kebudayaan.) Tokoh yang tergolong paling awal dalam mengemukakan teori-teori yang dapat digolongkan dalam aliran Psikologi Kognitif ini adalah F. Heider. Tulisannya yang pertama, Attitudes and Cognitive Organisation, dipublikasikan pada tahun 1946. Setelah itu muncul tokoh-tokoh seperti L. Festinger, C.E. Osgood, P.H. Tannenbaum dan T.M. Newcomb. 1. F. Heider (Teori P-O-X): Dalam tulisannya yang telah disebutkan, Heider mengemukakan teori yang berpangkal pada perasaan-perasaan yang ada pada seorang terhadap seseorang lain dan sesuatu hal yang lain (pihak ketiga) yang menyangkut orang pertama dan orang kedua. Orang pertama yang mengalami perasaan itu diberinya lambang P (Person atau Pribadi). Orang kedua yang berhubungan dengan P akan diberi lambang O (Others atau orang lain), sedangkan pihak ketiga yang bisa berupa orang, benda, situasi dan sebagainya dilambangkan dengan X. Dengan demikian hubungan tiga pihak itu disebut hubungan P-O-X yang dapat diskemakan sebagai berikut: Sejalan dengan prinsip-prinsip Psikologi Gestalt, hubungan P-O-X dapat bersifat saling memiliki (yang satu merupakan bagian dari yang lain, sangat erat) dan saling tidak memiliki. Hubungan yang saling memiliki dinamakan hubungan tipe-U, sedangkan hubungan yang tidak saling memiliki disebut hubungan tipe bukan-U. Tipe-tipe hubungan ini dipengaruhi oleh 7
  • 8.
    prinsip-prinsip persepsi dariPsikologi Gestalt seperti kesamaan, kedekatan, kelangsubngan, set dan pengalaman masa lalu. Skema hubungan P-O-X: P O X Disamping itu, dengan meminjam prinsip-prinsip psikologi lapangan Kurt Lewin, g=hubungan P-O-X menurut Heider bisa juga bersifat positif (menyukai, memuja, menyetujui, dan sebagainya) atau negatif (mencela, tidak menyetujui, tidaik menyukai dan sebagainya). Sifat hubungan yang positif dinamakan hubungan L(like), sedangkan hubungan yang negatif dinamakan hubungan DL (dislike). Berdasarkan sifat-sifat hubungan P-O-X tersebut dapat terjadi berbagai kombinasi hubungan P-O-X yang akibatnya terhadap kognisi (kesadaran) P bisa tiga macam, yaitu: 1) Keadaan seimbang (balance) yang menimbulkan rasa puas, senang dan mendorong P untuk berbuat sesuatu untuk mempertahankan hubungan. 2) Keadaan tidak seimbang (imbalance) yang menyebabkan timbulnya perasaan tidak senang, tidak puas, penasaran dan sebagainya dan menyebabkan P terdorong untuk berbuat sesuatu untuk mengubah sifat-sifat hubungan P-O-X sehingga mendekati keadaan yang seimbang. 3) Keadaan tidak relevan (irrelevant) yang tidak berpengaruh apa-apa terhadap P, sehingga P tidak terdorong untuk berbuat apa-apa. Contoh-contoh dari ketiga keadaan kognitif tersebut diatas adalah sebagai berikut: 1) a.Seorang guru (P) menyukai seorang murid (O) dan ia pun menyukai nilain ulangan yang bagus (X). Hubungan P-O adalah hubungan L. Demikian pula hubungan P-X. Sedangkan nilai yang bagus itu adalah hasil ulangan dari O. Hubungan O-X adalah tipe U. Maka pada guru (P) terdapat keadaan kognitif yang seimbang. Skema hubungan P-O-X P O Ket: P X= +, P O= +, X O= + X b. Seorang guru (P) tidak menyukai seorang murid (O) dan ia tidak menyukai nilai ulangan yang jelek (X). Hubungan P-O maupun P-X adalah hubungan DL. Sedangkan nilai jelek itu adalah hasil ulangan 8
  • 9.
    ulangan dari P,sehingga hubungan nilai O-X adalah hubungan tipe U. Maka guru P mengalami keadaan kognitif yang seimbang. 1) Seorang guru (P) menyukai seorang murid (O) dan ia tidak menyukai nilai yang jelek (X). Hubungan P-O adalah hubungan L, sedangkan hubungan P-X adalah hubungan DL. Padahal nlai yang jelek itu adalah hasil ulangan O, sehingga hubungan O-X adalah tipe U. Akibatnya timbul perasaan tidak seimbang dalam diri P P O X Keterangan: P X= - , P O= + , X O= + 2) Seorang guru (P) menyukai seorang murid (O). Hubungsn P-O adalah hubungan PL. Guru itu tidak menyukai nilai ulangan yang jelek (X), sehingga hubungan P-X adalah hubungan DL. Tetapi nilai yang jelek itu bukan hasil ulangan O, sehingga hubungan O-X adalah hubungan tipe bukan U. Dalam hal ini dalam diri P tidak akan timbul apa-apa (relevant) P O Keterangan: P X= - , P O= + , X O= X 2. Leon Festinger(Disonansi Kognitif): Dalam bukunya, A theory of Cognitive Dissonance (1957), Festinger (1919-1989) mengemukakan teorinya yang banyak dipengaruhi oleh Lewin. Dalam teori Festinger, sektor-sektor dalam lapangan kesadaran dinamakan Elemen-elemen kognisi. Elemen-elemen kognisi itu saling berhubungan satu sama lain dan jenis hubungan itu ada tiga macam, yaitu (1) hubuyngan yang tidak relevan, (2) hubungan disonan, dan (3) hubungan konsonan. Contoh dari hubungan yang tidak relevan misalnya adalah jika seseorang tahu bahwa setiap musim hujan kota Jakarta kebanjiran dan ia pun tahu bahwa di Kalimantan Timur ada sebuah pabrik pupuk. Hubungan antara kedua elemen kognisi itu tidak relevan sehingga tidak timbul reaksi apa-apa pada diri orang yang bersangkutan. Jika hubungan yang tidak relevan tiak menghasilkan reaksi apa-apa pada seseorang, perasaan disonan menimbulkan perasaan tidak senang, janggal, penasaran aneh, tidak puas dan sebagainya sehingga mendorong orang yang bersangkutan untuk berbuat sesuatu untuk mencapai keadaan konsonan. Hubungan konsonan itu sendiri menimbulkan rasa puas, senang, bisa mengerti dan sebagainya. Hubungan yang disonan disebabkan oleh elemen-elemen kognisi 9
  • 10.
    yang saling menyangkal,sedangkan hubungan konsonan adalah hubungan yang tidak disonan. Misalnya, kita tahu bahwa jika seseorang berdiri di bawah hujan (elemen pertama), maka ia akan basah (elemen kedua). Kalau kita melihat orang karena berdiri di bawah hujan, maka kita merasakan sesuatu keadaan yang bisa dimengerti sebagai akibat adanya hubungan yang konsonan antara elemen-elemen kognisi. Tetapi kalau orang yang berdiri dibawah hujan itu tidak basah, maka kita yang melihatnya akan merasa heran, aneh, curiga, dan sebagainya sebagai akibat dari adanya hubungan yang disonan antara elemen kognisi yang kedua (tidak basah) yang menyangkal elemen kognisi yang pertama (berdiri dibawah hujan). Menurut Festinger, hubungan yang disonan juga dapat disebabkan oleh nilai-nilai budaya dan pendapat umum. Misalnya, jika terjadi gejala-gejala berikut: makan dengan tangan di restoran bertaraf internasional, orang kulit putih bercakap bahasa Jawa, seorang kakek menyanyikan lagu rock atau seorang menteri makan di warung di tepi jalan. Untuk mengurangi disonansi ada tiga cara yang bisa ditempuh, yaitu: 1) Mengubah elemen tingkah laku, misalnya: seorang gadis membeli baju yang mahal, tetapi kawan-kawannya mencela baju itu karena mereka anggap jelek. Gadis itu merasa disonan karena baju mahal ternyata tidak bagus (elemen I ditolak oleh elemen II). Reaksi gadis itu mungkin menjuak kembali baju itu atau memberikannya pada orang lain. 2) Mengubah elemen kognisi dari lingkungan, misalnya: gadis tersebut di atas mencoba meyakinkan teman-temannya bahwa baju tersebut sedang mode, disukai oleh bontang-bintang film dan terlihat sangat cantik. 3) Mengubah elemen kognisi baru, misalnya mencari pendapat teman-teman lainnya yang mendukung pendapat bahwa baju itu cantik sehingga penyangkalan oleh elemen kedua bisa dinetralkan. (Sumber:Sarlito W. Sarwono, Berkenalan dengan aliran-aliran dan tokoh-tokoh Psikologi) 3. P.H. Tannenbaum P.H Tannenbaum terkenal dengan Proses Kognisi dan Peta Kognisi untuk Wayfinding dan Berorientasi. Persepsi dan kognisi ternyata sangat berkaitan dengan wayfinding and orientation skill. Hal ini dinyatakan oleh Boulding (1956) dan Lynch (1960). Boulding (1956) menyatakan bahwa untuk memahami tindakan seseorang, kita harus mengerti apa yang dia mengerti, dia tahu dan dia percayai karena image atau citra yang tertanam dalam pikiran manusia dapat mempengaruhi kehidupannya. Oleh sebab itu persepsi atau kognisi ini perlu 10
  • 11.
    dipelajari untuk mengertiproses menemukan jalan dan berorientasi dengan baik pada seseorang. Sementara itu Lynch (1960) menjelaskan citra atau peta kognitif pada desain lingkungan binaan (environmental design) terutama dalam lingkup perkotaan (urban). Peta Kognitif atau Cognitive Map tidak dapat diamati secara langsung. Tetapi dapat diketahui dengan penggunaan sketsa, foto, deskripsi verbal, model dan bentuk pengaturan spasial yang lainnya. Hal ini juga tergantung kepada kemampuan individu untuk menjelaskan peta kognisi ini. Kemampuan ini biasanya berbeda – beda. Berbagai riset tentang hal ini telah dibuat oleh Beck dan Wood (1976), Saarinen (1976), Canter (1977), Moore (1979), Evans (1980) dan Garling (1980). Riset – riset di atas seringkali berkaitan dengan 3 pertanyaan dasar yaitu: - Apakah peta kognitif itu (isi dan organisasinya)? - Apakah yang mempengaruhi peta itu (isi dan organisasinya)? - Bagaimana peta kognitif dapat dibandingkan dengan bentuk geometrik dari lingkungan fisiknya (physical environment). Tipologi peta kognitif ini dapat dibagi dalam beberapa golongan berdasarkan studi – studi terdahulu, seperti: Shemyakin (1962), Appleyard (1970), Tolman (1948), Lord (1941), Passini (1984), yaitu Linier (Linear) dan Spasial (Spatial). Pergerakan sebuah individu akan menghasilkan jenis peta kognisi yang berbeda. Peta kognisi linier menunjukkan jalur pergerakan individu dalam bangunan yang disusun dengan urutan waktu. Peta ini biasanya tidak menunjukkan keseluruhan bangunan karena dibuat dari ingatan ketika bergerak di dalam bangunan. Sehingga daerah yang tidak dilewati tidak akan dapat digambar. Sedangkan peta kognitif spasial akan menggambarkan secara umum bentuk makro bangunan dan zona – zona di dalamnya tanpa menggambarkan pergerakan individu pembuatnya dalam bangunan. Hal ini kemungkinan didasari oleh organisasi informasi individu yang lebih lengkap mengenai bangunan atau lingkungan tersebut. 11
  • 12.
    Selain itu perludisadari pentingnya antara image di atas dengan proses menemukan jalan. Proses menemukan jalan atau merencanakan perjalanan sangat dipengaruhi oleh peta kognitif atau image yang dimiliki oleh individu. Hal ini mungkin didapatkan dari peta atau petunjuk orang yang mengetahui arah atau pengalaman individu itu sendiri. Informasi ini selanjutnya dapat diintegrasikan menjadi peta kognitif yang membantu pengambilan keputusan ketika menempuh perjalanan. Jika proses ini dilakukan berulang maka akan menjadi sebuah kebiasaan atau behaviour. Dapat disimpulkan bahwa peta kognitif ini akan membantu individu untuk menemukan ruangan dalam bangunan atau lingkungan binaan dengan lebih cepat. Hal ini juga akan meningkatkan kesejahteraan individu. 12
  • 13.
    DAFTAR PUSTAKA Sarwono, Sarlito.W.(2008).Berkenalandenganaliran-alirandantokohtokohPsikologi: edisi ketiga. Jakarta: Bulan Bintang Dimyati, Mahmud.( 1989). Psikologi Pendidikan. Jakarta: Departemen Pendidikan dan Kebudayaan). 13