‫اليمنية‬ ‫الجمهورية‬
‫وزارة‬
‫التعليم‬
‫والبحث‬ ‫العالي‬
‫العلم‬
‫ي‬
‫الطبية‬ ‫العلوم‬ ‫كلية‬
‫الصيدلة‬ ‫قسم‬
Republic of Yemen
Ministry of Higher Education
& Scientific Research
College of medical sciences
Department of pharmacy
Organic Chemistry 3
Dr. Arwa Al-Shargabi
Introduction
N
H
2
H
O
H
O
H
O
O
H
N
H
H
O
N
H
2
H
N
O
O
H
Dopamine
Epinephrine
L-tryptophan
N
N
Nicotine
Tobacco
Amino acid
Neurotransmitter
Adrenal hormone
N
H O
H O O H
Pyridoxine
Vitamin B6
Cocaine
N
O O
O
C
O
Coca leaves
Organic Chemistry 3 2
Amines
N H 2
C H 3
3-methyl-1-butanamine N-methyl-2-butanamine
H
3
C
N
H
2
Methanamine
Aminobenzene
N
H
2
Aniline
N
H
2
Cyclopent-2-en-1-amine
3-aminocyclopentene
Nomenclature of Amines
Methylamine 3-methyl-1-butaylamine N-methyl-2-butylamine
N
2,4,N,N-tetramethyl-3-hexan-
amine
Organic Chemistry 3 3
H
N
C
O
O
H
H
2
N H
2
N C
O
O
H
N
Diisopentylamine
Cyclohexyldimethylamine Diphenylamine
P-aminobenzoic acid γ-aminobutyric acid
4-aminobutanoic acid
4-aminobenzoic acid
H2N CH2CH2OH
2-aminoethanol
Organic Chemistry 3 4
N H 2
4-(ethylmethylamino)cyclohexanone 3-(dimethylamino)hexan-1-ol
3-aminocyclohexanol
H
2
N
4-methylaniline Or p-toluidine
H 3 C H 2 C N
C H 2 C H 3
C H 2 C H 3
C H 2 C H 3
I
 Draw the structures of the following compounds:
Tert-butylamine
N-ethyl-n-methylhexan-3-amine m-chloroaniline
N
H
2
O
H
Organic Chemistry 3 5
Structure and Physical Properties of Amines of Amines
N
Sp3
 Basicity of Amines: amine is a nucleophile
 Effects on Amine Basicity
 Resonance Effects on Basicity
Salts of Amines
 Amines are strongly polar, less electronegative than oxygen thus weaker
hydrogen bonds than do alcohols
R
N
H
H
H
3
C
I
+ R
N
C
H
3
H
H
I
+
R NH2 R2 NH
H NH2 <
<
H
3
C
N
H
2
N
H
2
<
N
H
2
+
H
C
l N
H
3
C
l
Organic Chemistry 3 6
Preparation of amines
Reduction of nitro compounds
Ethyl 4-nitrobenzoate Ethyl 4-aminobenzoate
1-nitropropane Propan-1-amine
4-nitrobenzenamine Benzene-1,4-diamine
C
2
H
5
O
O
C
N
O
2
H
2
,
P
t
C
O
O
C
2
H
5
H
2
N
N
O
2
N
H
2
F
e
,
H
C
l
N
H
2
O
2
N
N
H
2
H
2
N
S
n
,
H
C
l
Organic Chemistry 3 7
Reductive amination
Organic Chemistry 3 8
+
H
O
N
H
2
H
3
C
C
O
C
H
3
L
i
A
l
H
4 H
3
C
C
H
C
H
3
N
H
2
Primary Amines
Secondary Amines
+
C
2
H
5
N
H
2
H
3
C
C
O
H L
i
A
l
H
4 H
3
C
C
H
H
N
H
C
2
H
5
Diethylamine
Tertiary
Amines
+
C
2
H
5
N
H
H
3
C
C
O
H H
3
C
C
H
H
N
C
2
H
5
C
H
3 C
H
3
N
a
B
H
3
C
N
N-ethyl-N-methylethanamine
Organic Chemistry 3 9
Synthesis of Amines by Acylation–Reduction
+
C
2
H
5
N
H
2
H
3
C
C
O
C
l
L
i
A
l
H
4
H
3
C
C
N
H
C
2
H
5 H
3
C
C
H
H
N
H
C
2
H
5
O
+
N
H
3
C
O
C
l
L
i
A
l
H
4
C
N
H
2 C
H
H
N
H
2
O
+
H
N
C
O
C
l
L
i
A
l
H
4
C
N
O
H
3
C
C
H
3
H
2
C
N
C
H
3
Primary Amines
Secondary Amines
Tertiary
Amines
Reduction of halide with ammonia or amines
Benzylchloride Benzylamine
Organic Chemistry 3 10
C
H
2
C
l C
H
2
N
H
2
N
H
3
NH3
CH3COOH H2C
NH2
COONH4 H2C
NH2
COOH
H2C
Cl
COOH H
Cl2
2-chloroacetic acid 2-aminoacetic acid
Organic Chemistry 3 11
Reduction of Azides and Nitriles
C
H
2
C
l C
H
2
C
N
N
a
C
N
C
H
2
C
H
2
N
H
2
H
2
,
N
i
H
3
C
C
H
2
C
l
N
a
N
3 H
2
,
N
i
H
3
C
C
H
2
N
3 H
3
C
C
H
2
N
H
2
Hofmann degradation of amides
C
O
N
H
2 N
H
2
B
r B
r
K
O
B
r
Organic Chemistry 3 12
CH2CN
CH2CH2NH2
H
2 , Ni
2-phenylethanamine
CH2CH2CONH2
KOBr
Ni, H2
CH2CHO
NH3
CH2CH2Cl
NH3
CH2CH2NO2
Fe, HCl
3-phenylpropanamide
2-phenylacetaldehyde
2-phenylacetonitrile
CH2COCl
NH3
LiAlH4
Summary of amines synthesis
Organic Chemistry 3 13
 Show how to synthesize the following amines from the indicated starting materials by
reductive amination.
(a) Benzylmethylamine from benzaldehyde (b) N-benzylaniline from aniline
 Show how you would prepare the following aromatic amines by aromatic nitration, followed
by reduction. You may use benzene and toluene as your aromatic starting materials.
(a) aniline (b) p-bromoaniline
(c) m-bromoaniline (d) m-aminobenzoic acid
 Show how you would accomplish the following synthetic conversions.
(a) benzyl bromide to benzylamine (b) 1-bromo-2-phenylethane to 3-phenylpropan-1-amine
(c) pentanoic acid to pentan-1-amine (d) pentanoic acid to hexan-1-amine
(e) 2-bromobutane to butan-2-amine (f) 2-bromobutane to 2-methylbutan-1-amine
Organic Chemistry 3 14
C H 2C l
+
H 3C N H 2 H 3C
H
N
H 2
C
C H 2C l
C H 3
N
H 2
C
C H 3
N
H 2
C
C H 2
H 2
C
C l
H 3C
H
N
H 2
C +
H 2
C
C H 3
N
H 2
C
H 2
C C H 2C l
+
Alkylation of Amines by Alkyl Halides
Reaction of amines
Organic Chemistry 3 15
Conversion into amides
NH2
(CH3CO)2O N
H
C
O
CH3
N-Phenylacetamide
C6H5SO2Cl
NaOH
N
H
S
O
O
N-Phenylbenzenesulfonamide
H
N
COCl
C
O
N-phenylbenzamide
N
Reaction with nitrous acid
N 2 C l
N H 2
N a N O 2
H C l
C l
C u C l
C u B r
C u C N
B r
C N
C h l o r o b e n z e n e
B r o m o b e n z e n e
C y a n o b e n z e n e
Sandmeyer reaction
N
2C
l
H
B
F
4 H
e
a
t
F
N
2B
F
4
Replacement by F
Organic Chemistry 3 16
Diazonium Salts as reaction
N 2 H S O 4
H 2 S O 4
N a N O 2
K I
H 2 O
H
H 3 P O 2
p
h
e
n
o
l
N a C N
C N
O H
N H 2
N N O H
I
Organic Chemistry 3 17
Organic Chemistry 3 18
 Give the products expected from the following reactions.
acetyl chloride + ethylamine
 Predict the major products formed when the following amines undergo exhaustive
methylation, treatment with and heating.
hexan-2-amine
 Show how you would convert aniline to the following compounds.
(a) fluorobenzene (b) chlorobenzene
(c) 1,3,5-trimethylbenzene (d) bromobenzene
(e) iodobenzene (f) benzonitrile
Organic Chemistry 3 19
Stereochemistry
Is the three dimensional of molecule
Hands are mirror image but not identical
O
H
O
O
H
H
O H
H
O H
C H 2O H
H
O
H
O
H
H
O H
H
O H
C H 2O H
H
O
H
O
H
H
O H
H
O H
C H 2O H
H
Cellulose Amylose
α
β
O
H
O O
H
H
O
H
H
O
H
C
H
2
O
H
H
O
H
O
H
H
O
H
H
O
H
C
H
2
O
H
H
O
H
O
H
H
O
H
H
O
H
C
H
2
O
H
H
Organic Chemistry 3 20
Isomers
H C C
C
H
3
H H
H
C
H
3
H
C
C
H
C
H
3
H
H
C
H
3
trans cis
 Constitutional isomer: have the same chemical formula but differ on the way of
atoms connected together.
 Stereochemistry: differ only on the oriented in space.
H
3
C
O
C
H
3 H
3
C
C
H
2
O
H
Ether Alcohol
Organic Chemistry 3 21
Chiral and Achiral molecules
Hands are mirror image but not identical
Chiral is the atom that attached to different group, not superimposed
on it mirror image (not plan symmetry and hence it called enantiomer)
Achiral is superimposed on it mirror image (plan symmetry)
CH
F
C
l
O
H
CB
r
H
H
O
H
Chiral and not superimposed Achiral and superimposed
CH3
H
Enantiomers
Organic Chemistry 3 22
Locate the chiral centre, cis and trans, symmetric and non symmetric molecule
O
H H
CC
F
C
l
C
H
3C
H
3
F
C
l
C
F
C
H
3
C
H
2
O
H
C OH
H
C H
HO
C OH
H
C OH
H
CH2OH
C
O H
H
2
N C
H
C
O
O
H
H
Br
F
Glycine Glucose
C
H
3
Thalidomide
N
H
N
O O
O
O
H
Organic Chemistry 3 23
Chiral centres: R and S isomers
R: clockwise
The atom with highest atomic number gets highest priority
1
2
3
4
C B r
C l
F
H
S: counter clockwise
C CH2CH3
OH
H
CH3
1
2
3
4
1
2
3
4
C B r
H
F
C l
Racemic mixture: When R equal to S
(optically inactive)
C H
OH
H3CH2C
CH3
1
2
3
4
Organic Chemistry 3 24
R: clockwise
C COOH
OH
CH3
H C CH2Br
OH
CH2Cl
H3C
Label the following compound as S and R Enantiomers: 2n n= chiral centres
Enantiomers
C
C
H
3
C
C
H
2
C
H
3
B
r B
r
H
H
Enantiomers
Rotation
1 2
C C
H
3
C
H
2
C C
H
3
B
r B
r
H H
C C
H
3
O
H
C
H
C
H
2
C
H
3
1
2
3
4
Organic Chemistry 3 25
C C
H3C CH2CH3
Br Br
H H
C
C
H
3
C
C
H
2
C
H
3
B
r B
r
H
H
Enantiomers
Diastereomers: NOT MIRROR IMAGE OF EACH OTHER
1 2
1 3 4
Diastereomers
C C
H
3
C
H
2
C C
H
3
B
r B
r
H H
Enantiomers
C
C
H
3
C
C
H
2
C
H
3
H
B
r
B
rH
CC
H
3
C
H
2
C C
H
3
B
r H
H B
r
Organic Chemistry 3 26
Draw the enantiomer and diasteromer for the following compound
CC
H
3
C C
O
O
H
H
O O
H
H H
Enantiomers
Enantiomers
Diastereomers
C C
H
O
O
C C
H
3
H H
H
O O
H
C
C
H
3
C C
O
O
H
H H
H
O O
H
C C
H3C COOH
HO H
H OH
C C
HOOC CH3
H OH
HO H
Organic Chemistry 3 27
R and S Assignment in compound with two or more chiral centres
2S, 3R,-2,3-dibromopentane
R: clockwise
S: counter clockwise
C C
H
O
O
C C
H
3
H O
H
H
O H
(2S,3R)-2,3-dihydroxybutanoic acid
Draw the following compounds:
1- (2R,3S)-2,3-hexanediol and (2R,3R)-2,3-hexanediol
2- (2R,3R)-2,3-hexanediol and (2S,3S)-2,3-hexanediol
1
2
3
4
C C
C
H
3 B
r
1
2
3
4
B
r
H H
C
H
2
C
H
3
 Defines as more complex ring systems having two or more fused benzene
rings.
 they have nonsystematic names and illogical numbering systems.
 In anthracene the rings are connected β in a linear manner, whereas in
phenanthrene they are connected angularly.
Naphthalene Anthracene Phenanthrene
Benzene
β
α
80 ºC 216 ºC 101 ºC
Polynuclear Aromatic Compounds
Organic Chemistry 3 28
1-methylnaphthalene 2-methylnaphthalene 1-methylanthracene
9-methylphenanthrene
 How many structurally different monomethyl derivatives are possible of the
naphthalene?
1-naphthoic acid
Nomenclature of polynuclear aromatic compounds
10-methylphenanthren-9-amine
Organic Chemistry 3 29
 the reactivity in substitution and addition reactions increase from benzene to
anthracene.
Physical and chemical properties of Napthalene
 Substitution usually occurs more readily at the 1 position than at the 2 position
because the intermediate for 1-substitution is more stable than that for 2-
substitution
Organic Chemistry 3 30
Halogenation
Nitration
Substitution reaction
Organic Chemistry 3 31
Sulphonation
Sometimes, small changes in the
reagents and conditions change
the pattern of orientation.
Organic Chemistry 3 32
Friedel craft acylation
Organic Chemistry 3 33
Addition reactions
Naphthalene can be reduced more easily than benzene. With sodium in alcohol.
Reduction
Organic Chemistry 3 34
Naphthalene can be similarly oxidized to 1,2-benzenedioic (phthalic) anhydride
naphthalene-1,4-dione
Oxidation
Organic Chemistry 3 35
 When a donating group (X, OH, CH3, NHR,) located at position 1,
hence the second substitution will occur at the same ring at position 4 or
maybe 2.
Orientation of substitution in Naphthalene and its derivatives
Organic Chemistry 3 36
4-phenylazo1-naphthol
 When a donating group located at position 2, hence the second substitution will
occur at the same ring at position 1
Organic Chemistry 3 37
Reduction
Tetrahydronaphthol
 When a withdrawing group located at position 1 or 2, hence the second
substitution will occur at the other ring at positions 5, 8
Organic Chemistry 3 38
Predict the orientation in the following reactions:
a. I-methylnaphthalene + Br2,
b. 2-naphthalenecarboxylic acid + HNO3
C. 2-methylnaphthalene + HNO3
Show how to accomplish the synthesis of the following:
1- Naphthalene to aminonapthalene.
2- Naphthalene to 1-chloronaphthalene -2-carboxilic acid.
Organic Chemistry 3 39
Organic Chemistry 3 40
Nomenclature
 Heteroatoms are atoms other than carbon or hydrogen that may be present in organic
compounds. The most common heteroatoms are oxygen, nitrogen, and sulfur. In
heterocyclic compounds, one or more of these heteroatoms replaces carbon in a ring.
 Hetero-atom is to be counted as 1 or as low as possible.
 Substituents are numbered as low as possible.
 Heterocycles can be divided into two subgroups: nonaromatic and aromatic.
 Hantzsch-Widman System of systematic name of heterocyclic compounds.
Atom
O oxa
S thia
N aza
Priority decreases
Prefix
Old Soldiers Never Cry
Organic Chemistry 3 41
Hantzsch-Widman rules
N-present
Ring size N-absent
Unsat
irene
ete
ole
in
epin
sat
irane
etane
olane
ane
epane
Unsat
irine
ete etidine
ole
ine
epine
sat
iridine
olidine
a
a
Organic Chemistry 3 42
1H-Azole
pyrrole
1H-Azinane
piperidine
[1,3]-diazine
pyrimidine
1,2,5-Oxadiazole
1,2-oxazetidine
5-Amino-4-bromoisoxazole
2,3,4,5-Tetrahydroazine 1,2-Dihydroazine
Organic Chemistry 3 43
Explain how can you name the following heterocycles.
O S N N
N
O
N S
Br
44
Organic Chemistry 3
Five-Membered Heterocycles: Furan, Pyrrole, and
Thiophene
O S
N
H
furan pyrrole thiophene
Other Five-Membered Heterocycles: Azoles
N
O
N
N
H
N
S
Thiazole
Oxazole Imidazole Pyrazole
Organic Chemistry 3 45
Synthesis
Furan
Pyrrole
Thiophene
Organic Chemistry 3 46
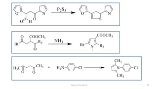
Organic Chemistry 3 47
Reactivity of Five-Membered Heterocycles: Furan, Pyrrole, and
Thiophene
O O O O O
As might be expected, this enhances their susceptibility to attack by
electrophiles.
O
H
N
O
3
O N
O
2
N
H
B
r
2
O B
r
E
t
h
e
r
S S
CC
H
3
O
H
3
C
C
O
C
l
2-methylthiophene
2-acetyl-5-methylthiophene
48
Organic Chemistry 3
Pyrazole
Synthesis
Triazoles
Isoxazoles
hydrazine
hydroxylamine
49
Organic Chemistry 3
N
N N
N
N
N
Pyridazine Pyrimidine Pyrazine
N
H
N
N
H
2
O N
H
H
N
O
O N
H
H
N
O
O
C
H
3
Cytosine Thymine Uracil
bases in nucleic acids
DNA and RNA
C
O
O
H
C
O
O
H
H
N
O
H
N
N
O
H
N
H
2
N
N
N
O H
N
N H 2
N
N
H O
N
xanthopterin folic acid
cancer chemotherapy vitamin B9
Other Six-Membered Heterocycles
Pyridine
Organic Chemistry 3 50
 Electrophilic substitution occur at carbons 3,5.
 Nucleophilic substitution occur at carbons 2,4,6.
Substitution in Pyridine
pyridine is miscible with most organic
solvents and also completely miscible
with water! polar !
weakly basic
React with strong acids
51
Organic Chemistry 3
R
2
R
1
OO
1 3 +
H
2
N
C
N
N
H
X
R
1
R
2
N
H
2
X
O
R
1
O
R
N
H
3
N
R
R
1
Synthesis
Pyridine
Pyrimidine
Pyridazine
52
Other Six-Membered Heterocycles Containing Oxygen
Organic Chemistry 3
3,4-dihydropyrans
2H-pyran-2-ones-5-
carboxilic acid
Pyran and pyron
Organic Chemistry 3 53
Antimicrobial drug
Antifungal agent
ciclopirox
Organic Chemistry 3 54
Antiinflammatory agent
prodolic acid
55
Organic Chemistry 3
Bicyclic rings contanining one or more
heteroatoms
N
H
Flavone
Indole
N
H
N N
N
N H
O
N
H
N
H
O
H
N
O
Carbazole Uric acid
Purine
N N
Quinoline Isoquinoline
Chromen-2-one
Acridine
Organic Chemistry 3 56
Electrophilic substitution in these amines occurs in the carbocyclic ring.
N
1
2
4
3
5
6 H 2 S O 4
H N O 3
-C O 2
N
K M n O 4
7
8
N
N O 2
N
N O 2
H O O C
H O O C N
H O O C
+
quinolinic acid
5-nitroquinoline
Quinterenol,
beta adrenergic
Stimulant
Organic Chemistry 3 57
Clamoxyquine is an
antidiarrheal drug
Antiviral agent
memotine
Quinoline
Isoquinoline
Organic Chemistry 3 58
Fibrinolytic agent, bisobrin, is the
breakdown (lysis) of blood clots
formed in blood vessels.
Isoquinoline
Organic Chemistry 3 59
Indoramin, antihypertensive
Indole
Organic Chemistry 3 60
Muscle relaxant rolodine
Purine
Organic Chemistry 3 61
Acridone anticancer, antimicrobial,
antiviral, antimalarial and anti-
inflammatory activities.
Amustaline is a quinacrine mustard
compound with potential antineoplastic
activity.
Acridine
Synthesis
Organic Chemistry 3 62
Carbazole
Organic Chemistry 3 63
Synthesis
Hepatitis C virus (HCV)

organic Chemistry 3.pptx

  • 1.
    ‫اليمنية‬ ‫الجمهورية‬ ‫وزارة‬ ‫التعليم‬ ‫والبحث‬ ‫العالي‬ ‫العلم‬ ‫ي‬ ‫الطبية‬‫العلوم‬ ‫كلية‬ ‫الصيدلة‬ ‫قسم‬ Republic of Yemen Ministry of Higher Education & Scientific Research College of medical sciences Department of pharmacy Organic Chemistry 3 Dr. Arwa Al-Shargabi
  • 2.
  • 3.
    N H 2 CH 3 3-methyl-1-butanamine N-methyl-2-butanamine H 3 C N H 2 Methanamine Aminobenzene N H 2 Aniline N H 2 Cyclopent-2-en-1-amine 3-aminocyclopentene Nomenclature of Amines Methylamine 3-methyl-1-butaylamine N-methyl-2-butylamine N 2,4,N,N-tetramethyl-3-hexan- amine Organic Chemistry 3 3
  • 4.
    H N C O O H H 2 N H 2 N C O O H N Diisopentylamine CyclohexyldimethylamineDiphenylamine P-aminobenzoic acid γ-aminobutyric acid 4-aminobutanoic acid 4-aminobenzoic acid H2N CH2CH2OH 2-aminoethanol Organic Chemistry 3 4
  • 5.
    N H 2 4-(ethylmethylamino)cyclohexanone3-(dimethylamino)hexan-1-ol 3-aminocyclohexanol H 2 N 4-methylaniline Or p-toluidine H 3 C H 2 C N C H 2 C H 3 C H 2 C H 3 C H 2 C H 3 I  Draw the structures of the following compounds: Tert-butylamine N-ethyl-n-methylhexan-3-amine m-chloroaniline N H 2 O H Organic Chemistry 3 5
  • 6.
    Structure and PhysicalProperties of Amines of Amines N Sp3  Basicity of Amines: amine is a nucleophile  Effects on Amine Basicity  Resonance Effects on Basicity Salts of Amines  Amines are strongly polar, less electronegative than oxygen thus weaker hydrogen bonds than do alcohols R N H H H 3 C I + R N C H 3 H H I + R NH2 R2 NH H NH2 < < H 3 C N H 2 N H 2 < N H 2 + H C l N H 3 C l Organic Chemistry 3 6
  • 7.
    Preparation of amines Reductionof nitro compounds Ethyl 4-nitrobenzoate Ethyl 4-aminobenzoate 1-nitropropane Propan-1-amine 4-nitrobenzenamine Benzene-1,4-diamine C 2 H 5 O O C N O 2 H 2 , P t C O O C 2 H 5 H 2 N N O 2 N H 2 F e , H C l N H 2 O 2 N N H 2 H 2 N S n , H C l Organic Chemistry 3 7
  • 8.
    Reductive amination Organic Chemistry3 8 + H O N H 2 H 3 C C O C H 3 L i A l H 4 H 3 C C H C H 3 N H 2 Primary Amines Secondary Amines + C 2 H 5 N H 2 H 3 C C O H L i A l H 4 H 3 C C H H N H C 2 H 5 Diethylamine Tertiary Amines + C 2 H 5 N H H 3 C C O H H 3 C C H H N C 2 H 5 C H 3 C H 3 N a B H 3 C N N-ethyl-N-methylethanamine
  • 9.
    Organic Chemistry 39 Synthesis of Amines by Acylation–Reduction + C 2 H 5 N H 2 H 3 C C O C l L i A l H 4 H 3 C C N H C 2 H 5 H 3 C C H H N H C 2 H 5 O + N H 3 C O C l L i A l H 4 C N H 2 C H H N H 2 O + H N C O C l L i A l H 4 C N O H 3 C C H 3 H 2 C N C H 3 Primary Amines Secondary Amines Tertiary Amines
  • 10.
    Reduction of halidewith ammonia or amines Benzylchloride Benzylamine Organic Chemistry 3 10 C H 2 C l C H 2 N H 2 N H 3 NH3 CH3COOH H2C NH2 COONH4 H2C NH2 COOH H2C Cl COOH H Cl2 2-chloroacetic acid 2-aminoacetic acid
  • 11.
    Organic Chemistry 311 Reduction of Azides and Nitriles C H 2 C l C H 2 C N N a C N C H 2 C H 2 N H 2 H 2 , N i H 3 C C H 2 C l N a N 3 H 2 , N i H 3 C C H 2 N 3 H 3 C C H 2 N H 2 Hofmann degradation of amides C O N H 2 N H 2 B r B r K O B r
  • 12.
    Organic Chemistry 312 CH2CN CH2CH2NH2 H 2 , Ni 2-phenylethanamine CH2CH2CONH2 KOBr Ni, H2 CH2CHO NH3 CH2CH2Cl NH3 CH2CH2NO2 Fe, HCl 3-phenylpropanamide 2-phenylacetaldehyde 2-phenylacetonitrile CH2COCl NH3 LiAlH4 Summary of amines synthesis
  • 13.
    Organic Chemistry 313  Show how to synthesize the following amines from the indicated starting materials by reductive amination. (a) Benzylmethylamine from benzaldehyde (b) N-benzylaniline from aniline  Show how you would prepare the following aromatic amines by aromatic nitration, followed by reduction. You may use benzene and toluene as your aromatic starting materials. (a) aniline (b) p-bromoaniline (c) m-bromoaniline (d) m-aminobenzoic acid  Show how you would accomplish the following synthetic conversions. (a) benzyl bromide to benzylamine (b) 1-bromo-2-phenylethane to 3-phenylpropan-1-amine (c) pentanoic acid to pentan-1-amine (d) pentanoic acid to hexan-1-amine (e) 2-bromobutane to butan-2-amine (f) 2-bromobutane to 2-methylbutan-1-amine
  • 14.
    Organic Chemistry 314 C H 2C l + H 3C N H 2 H 3C H N H 2 C C H 2C l C H 3 N H 2 C C H 3 N H 2 C C H 2 H 2 C C l H 3C H N H 2 C + H 2 C C H 3 N H 2 C H 2 C C H 2C l + Alkylation of Amines by Alkyl Halides Reaction of amines
  • 15.
    Organic Chemistry 315 Conversion into amides NH2 (CH3CO)2O N H C O CH3 N-Phenylacetamide C6H5SO2Cl NaOH N H S O O N-Phenylbenzenesulfonamide H N COCl C O N-phenylbenzamide N
  • 16.
    Reaction with nitrousacid N 2 C l N H 2 N a N O 2 H C l C l C u C l C u B r C u C N B r C N C h l o r o b e n z e n e B r o m o b e n z e n e C y a n o b e n z e n e Sandmeyer reaction N 2C l H B F 4 H e a t F N 2B F 4 Replacement by F Organic Chemistry 3 16
  • 17.
    Diazonium Salts asreaction N 2 H S O 4 H 2 S O 4 N a N O 2 K I H 2 O H H 3 P O 2 p h e n o l N a C N C N O H N H 2 N N O H I Organic Chemistry 3 17
  • 18.
    Organic Chemistry 318  Give the products expected from the following reactions. acetyl chloride + ethylamine  Predict the major products formed when the following amines undergo exhaustive methylation, treatment with and heating. hexan-2-amine  Show how you would convert aniline to the following compounds. (a) fluorobenzene (b) chlorobenzene (c) 1,3,5-trimethylbenzene (d) bromobenzene (e) iodobenzene (f) benzonitrile
  • 19.
    Organic Chemistry 319 Stereochemistry Is the three dimensional of molecule Hands are mirror image but not identical O H O O H H O H H O H C H 2O H H O H O H H O H H O H C H 2O H H O H O H H O H H O H C H 2O H H Cellulose Amylose α β O H O O H H O H H O H C H 2 O H H O H O H H O H H O H C H 2 O H H O H O H H O H H O H C H 2 O H H
  • 20.
    Organic Chemistry 320 Isomers H C C C H 3 H H H C H 3 H C C H C H 3 H H C H 3 trans cis  Constitutional isomer: have the same chemical formula but differ on the way of atoms connected together.  Stereochemistry: differ only on the oriented in space. H 3 C O C H 3 H 3 C C H 2 O H Ether Alcohol
  • 21.
    Organic Chemistry 321 Chiral and Achiral molecules Hands are mirror image but not identical Chiral is the atom that attached to different group, not superimposed on it mirror image (not plan symmetry and hence it called enantiomer) Achiral is superimposed on it mirror image (plan symmetry) CH F C l O H CB r H H O H Chiral and not superimposed Achiral and superimposed CH3 H Enantiomers
  • 22.
    Organic Chemistry 322 Locate the chiral centre, cis and trans, symmetric and non symmetric molecule O H H CC F C l C H 3C H 3 F C l C F C H 3 C H 2 O H C OH H C H HO C OH H C OH H CH2OH C O H H 2 N C H C O O H H Br F Glycine Glucose C H 3 Thalidomide N H N O O O O H
  • 23.
    Organic Chemistry 323 Chiral centres: R and S isomers R: clockwise The atom with highest atomic number gets highest priority 1 2 3 4 C B r C l F H S: counter clockwise C CH2CH3 OH H CH3 1 2 3 4 1 2 3 4 C B r H F C l Racemic mixture: When R equal to S (optically inactive) C H OH H3CH2C CH3 1 2 3 4
  • 24.
    Organic Chemistry 324 R: clockwise C COOH OH CH3 H C CH2Br OH CH2Cl H3C Label the following compound as S and R Enantiomers: 2n n= chiral centres Enantiomers C C H 3 C C H 2 C H 3 B r B r H H Enantiomers Rotation 1 2 C C H 3 C H 2 C C H 3 B r B r H H C C H 3 O H C H C H 2 C H 3 1 2 3 4
  • 25.
    Organic Chemistry 325 C C H3C CH2CH3 Br Br H H C C H 3 C C H 2 C H 3 B r B r H H Enantiomers Diastereomers: NOT MIRROR IMAGE OF EACH OTHER 1 2 1 3 4 Diastereomers C C H 3 C H 2 C C H 3 B r B r H H Enantiomers C C H 3 C C H 2 C H 3 H B r B rH CC H 3 C H 2 C C H 3 B r H H B r
  • 26.
    Organic Chemistry 326 Draw the enantiomer and diasteromer for the following compound CC H 3 C C O O H H O O H H H Enantiomers Enantiomers Diastereomers C C H O O C C H 3 H H H O O H C C H 3 C C O O H H H H O O H C C H3C COOH HO H H OH C C HOOC CH3 H OH HO H
  • 27.
    Organic Chemistry 327 R and S Assignment in compound with two or more chiral centres 2S, 3R,-2,3-dibromopentane R: clockwise S: counter clockwise C C H O O C C H 3 H O H H O H (2S,3R)-2,3-dihydroxybutanoic acid Draw the following compounds: 1- (2R,3S)-2,3-hexanediol and (2R,3R)-2,3-hexanediol 2- (2R,3R)-2,3-hexanediol and (2S,3S)-2,3-hexanediol 1 2 3 4 C C C H 3 B r 1 2 3 4 B r H H C H 2 C H 3
  • 28.
     Defines asmore complex ring systems having two or more fused benzene rings.  they have nonsystematic names and illogical numbering systems.  In anthracene the rings are connected β in a linear manner, whereas in phenanthrene they are connected angularly. Naphthalene Anthracene Phenanthrene Benzene β α 80 ºC 216 ºC 101 ºC Polynuclear Aromatic Compounds Organic Chemistry 3 28
  • 29.
    1-methylnaphthalene 2-methylnaphthalene 1-methylanthracene 9-methylphenanthrene How many structurally different monomethyl derivatives are possible of the naphthalene? 1-naphthoic acid Nomenclature of polynuclear aromatic compounds 10-methylphenanthren-9-amine Organic Chemistry 3 29
  • 30.
     the reactivityin substitution and addition reactions increase from benzene to anthracene. Physical and chemical properties of Napthalene  Substitution usually occurs more readily at the 1 position than at the 2 position because the intermediate for 1-substitution is more stable than that for 2- substitution Organic Chemistry 3 30
  • 31.
  • 32.
    Sulphonation Sometimes, small changesin the reagents and conditions change the pattern of orientation. Organic Chemistry 3 32
  • 33.
  • 34.
    Addition reactions Naphthalene canbe reduced more easily than benzene. With sodium in alcohol. Reduction Organic Chemistry 3 34
  • 35.
    Naphthalene can besimilarly oxidized to 1,2-benzenedioic (phthalic) anhydride naphthalene-1,4-dione Oxidation Organic Chemistry 3 35
  • 36.
     When adonating group (X, OH, CH3, NHR,) located at position 1, hence the second substitution will occur at the same ring at position 4 or maybe 2. Orientation of substitution in Naphthalene and its derivatives Organic Chemistry 3 36
  • 37.
    4-phenylazo1-naphthol  When adonating group located at position 2, hence the second substitution will occur at the same ring at position 1 Organic Chemistry 3 37
  • 38.
    Reduction Tetrahydronaphthol  When awithdrawing group located at position 1 or 2, hence the second substitution will occur at the other ring at positions 5, 8 Organic Chemistry 3 38
  • 39.
    Predict the orientationin the following reactions: a. I-methylnaphthalene + Br2, b. 2-naphthalenecarboxylic acid + HNO3 C. 2-methylnaphthalene + HNO3 Show how to accomplish the synthesis of the following: 1- Naphthalene to aminonapthalene. 2- Naphthalene to 1-chloronaphthalene -2-carboxilic acid. Organic Chemistry 3 39
  • 40.
    Organic Chemistry 340 Nomenclature  Heteroatoms are atoms other than carbon or hydrogen that may be present in organic compounds. The most common heteroatoms are oxygen, nitrogen, and sulfur. In heterocyclic compounds, one or more of these heteroatoms replaces carbon in a ring.  Hetero-atom is to be counted as 1 or as low as possible.  Substituents are numbered as low as possible.  Heterocycles can be divided into two subgroups: nonaromatic and aromatic.  Hantzsch-Widman System of systematic name of heterocyclic compounds. Atom O oxa S thia N aza Priority decreases Prefix Old Soldiers Never Cry
  • 41.
    Organic Chemistry 341 Hantzsch-Widman rules N-present Ring size N-absent Unsat irene ete ole in epin sat irane etane olane ane epane Unsat irine ete etidine ole ine epine sat iridine olidine a a
  • 42.
    Organic Chemistry 342 1H-Azole pyrrole 1H-Azinane piperidine [1,3]-diazine pyrimidine 1,2,5-Oxadiazole 1,2-oxazetidine 5-Amino-4-bromoisoxazole 2,3,4,5-Tetrahydroazine 1,2-Dihydroazine
  • 43.
    Organic Chemistry 343 Explain how can you name the following heterocycles. O S N N N O N S Br
  • 44.
    44 Organic Chemistry 3 Five-MemberedHeterocycles: Furan, Pyrrole, and Thiophene O S N H furan pyrrole thiophene Other Five-Membered Heterocycles: Azoles N O N N H N S Thiazole Oxazole Imidazole Pyrazole
  • 45.
    Organic Chemistry 345 Synthesis Furan Pyrrole Thiophene
  • 46.
  • 47.
    Organic Chemistry 347 Reactivity of Five-Membered Heterocycles: Furan, Pyrrole, and Thiophene O O O O O As might be expected, this enhances their susceptibility to attack by electrophiles. O H N O 3 O N O 2 N H B r 2 O B r E t h e r S S CC H 3 O H 3 C C O C l 2-methylthiophene 2-acetyl-5-methylthiophene
  • 48.
  • 49.
    49 Organic Chemistry 3 N NN N N N Pyridazine Pyrimidine Pyrazine N H N N H 2 O N H H N O O N H H N O O C H 3 Cytosine Thymine Uracil bases in nucleic acids DNA and RNA C O O H C O O H H N O H N N O H N H 2 N N N O H N N H 2 N N H O N xanthopterin folic acid cancer chemotherapy vitamin B9 Other Six-Membered Heterocycles Pyridine
  • 50.
    Organic Chemistry 350  Electrophilic substitution occur at carbons 3,5.  Nucleophilic substitution occur at carbons 2,4,6. Substitution in Pyridine pyridine is miscible with most organic solvents and also completely miscible with water! polar ! weakly basic React with strong acids
  • 51.
    51 Organic Chemistry 3 R 2 R 1 OO 13 + H 2 N C N N H X R 1 R 2 N H 2 X O R 1 O R N H 3 N R R 1 Synthesis Pyridine Pyrimidine Pyridazine
  • 52.
    52 Other Six-Membered HeterocyclesContaining Oxygen Organic Chemistry 3 3,4-dihydropyrans 2H-pyran-2-ones-5- carboxilic acid Pyran and pyron
  • 53.
    Organic Chemistry 353 Antimicrobial drug Antifungal agent ciclopirox
  • 54.
    Organic Chemistry 354 Antiinflammatory agent prodolic acid
  • 55.
    55 Organic Chemistry 3 Bicyclicrings contanining one or more heteroatoms N H Flavone Indole N H N N N N H O N H N H O H N O Carbazole Uric acid Purine N N Quinoline Isoquinoline Chromen-2-one Acridine
  • 56.
    Organic Chemistry 356 Electrophilic substitution in these amines occurs in the carbocyclic ring. N 1 2 4 3 5 6 H 2 S O 4 H N O 3 -C O 2 N K M n O 4 7 8 N N O 2 N N O 2 H O O C H O O C N H O O C + quinolinic acid 5-nitroquinoline Quinterenol, beta adrenergic Stimulant
  • 57.
    Organic Chemistry 357 Clamoxyquine is an antidiarrheal drug Antiviral agent memotine Quinoline Isoquinoline
  • 58.
    Organic Chemistry 358 Fibrinolytic agent, bisobrin, is the breakdown (lysis) of blood clots formed in blood vessels. Isoquinoline
  • 59.
    Organic Chemistry 359 Indoramin, antihypertensive Indole
  • 60.
    Organic Chemistry 360 Muscle relaxant rolodine Purine
  • 61.
    Organic Chemistry 361 Acridone anticancer, antimicrobial, antiviral, antimalarial and anti- inflammatory activities. Amustaline is a quinacrine mustard compound with potential antineoplastic activity. Acridine Synthesis
  • 62.
    Organic Chemistry 362 Carbazole
  • 63.
    Organic Chemistry 363 Synthesis Hepatitis C virus (HCV)