Course on
ANALOG COMMUNICATIONS
Presented by:
G Sandeep V Padmakar
Assistant Professor
Dept. of ECE
RCE
DEPARTMENT OF ELECTRONICS AND COMMUNICATION ENGINEERING
R16
Regulation
II year
II
Semester
contents
 Introduction to noise
 Classification
 Internal noises
 External noises
 Receiver
 Receiver model
 Figure of merit
 Noise in DSB-SC receiver
 Noise in SSB-SC receiver
Introduction to noise
 Noise is an unwanted electrical or electromagnetic energy that
interferes with the transmitted message and degrade the
quantity of message signal.
Classification of noise
NOISE
INTERNAL EXTERNAL
THERMAL NOISE or WHITE NOISE
or JHONSON NOISE
SHOT NOISE
TRANSIT TIME NOISE
MISCELLANEOUS NOISE
 FLICKER NOISE
 PARTITION NOISE
 ATMOSPHERIC NOISES
 EXTRATERRESTRIAL NOIS
 SOALR NOISE
 COSMIC NOISE
 MANMADE NOISES
or
 INDUSTRIAL NOISE
Cont…
 Internal noises are generated within the receiver or
communication system.
 External noises are generated from the external sources.
 If the noise gets added to the signal, then it is known as
additive noise.
x(t) + n(t) = additive noise
 If the noise gets multiplied to the signal, then it is known as
fading.
x(t) * n(t) = fading
Internal noises
 Thermal noise:
 This type of noise is generated by all resistances(e.g. Resistor,
transistor, semiconductor, the resistance of resonant circuit etc.)
 Due to thermal agitation, the molecules in the electrical
component gain energy, moves in random fashion and collide
each other therefore produces heat and this heat produced is
corresponds to the thermal noise.
 Thermal noise increases with temperature and resistance
values.
thermal noise power N = KTB watts
where KT = No = power spectral density
⇒ N = NoB watts
Cont…
N = KTB
K = Boltzmann Constant
= 1.38 x 10^-23 J/K
= 8.65 x 10^-5 ev/k
f
B
-B
f
B
No No/2
S(f)
S(f)
one sided PSD two sided PSD
Cont…
 Shot noise:
 Shot noise is produced by the random movement of electrons
or holes across a PN junction.
 Electrons or holes enter the junction region from one side, drift
or are accumulated across the junction and are collected on the
other side.
 The random movement give rise to a type of noise which is
referred to as shot noise.
 Shot noise is also encountered as a result of emission of
electrons from a heated surface.
P N
Cont…
 Transit time noise:
 This noise occurs in transistors
 It is the time duration that is taken by current carrier such as
electrons or holes to move from the input to the output.
 At low frequencies this time is negligible but when the
frequency of operation is high then problem arises.
 The transit time shows up as a kind of random noise within the
device and this is directly proportional to the frequency of
operation.
Cont…
 Flicker noise:
 Flicker noise is also known as modulation noise or pink noise.
 Inversely proportional to frequency.
 Also known as 1/f noise occurs in almost all electronic devices
and it has a variety of different causes although these are
related to the flow of direct current.
 Partition noise:
 Partition noise occurs whenever current has to divide between
two or more paths and results from the random fluctuations in
the division.
 Due to this noise diode would be less noisy than a transistor.
External noises
 Atmospheric noise:
 Caused by lightning discharges in thunderstorms and other
natural electrical disturbances occurring in the atmosphere.
 These electrical impulses are random in nature, hence the
energy is spread over the complete frequency spectrum used
for radio communication.
 Large atmospheric noise is generated in low and medium
frequency bands while very little noise is generated in VHF
and UHF bands.
 Therefore the atmospheric noise becomes less severe at
frequencies above 30 MHz
 Extraterrestrial noise:
 Solar noise:
 Electrical noise emerging from the sun
 Sun is a large body at a very high temperatures and radiates
electrical energy in the form of noise over a very wide range of
frequency spectrum used for radio communication.
 The intensity of noise produced by sun varies with time.
 Cosmic noise:
 Generated by distant stars having high temperatures .
 The noise receives from distant stars is cosmic noise and is
distributed almost uniformly over entire sky.
 Man – made noise or Industrial noise:
 Industrial noise is an electrical noise produced by the sources
such as automobiles and aircraft ignition, electrical motors and
switch gears, leakage from high voltage lines etc.
 Man – made noise is most intensive in industries & densely
populated areas.
Receiver model
 Receiver: a receiver is a collection of electronic circuits
designed to convert the signal back to the original information.
 It consists of amplifier, detector, mixer, oscillator, transducer etc.
 The model consists of modulated signal S(t) and noise signal n(t)
 The receiver input is the sum of S(t) & n(t).
 BPF is used for filtering action of tuned amplifier for the purpose
of signal amplification prior to demodulation.
Σ BPF
demodulato
r
noise
w(t)
Modulate
d signal
S(t)
x(t) Output
signal
Cont…
 The bandwidth of a BPF is kept just wide enough to pass the
modulated signal S(t) without distortion.
 We denote No/2 as the PSD of the noise w(t) for both +ve and
–ve frequencies.
f
fc
- fc 0
No/2
Sn(f
)
Ideal characteristics of BPF noise
Bt
Cont…
 No is the average noise power per unit bandwidth measured at
the front end of the receiver.
 Bandwidth of BPF is equal to the transmission bandwidth of
the modulated signal S(t) and it is denoted as ‘Bt’ or ‘w’.
 Midband frequency is equal to the corner frequency and it is
denoted as ‘fc’.
 The carrier frequency fc >> Bt and therefore we may consider
the filtered noise n(t) as a narrowband noise and it is defined in
the canonical form by
n(t) = nI(t) Cos(2πfct) – nQ(t) Sin(2πfct)
where nI(t) is in-phase noise component
and nQ(t) is quadrature noise component
Cont…
 The filtered signal x(t) available for demodulation is given by
x(t) = S(t) + n(t)
 The average noise power = (Avg noise power/unit BW) x BW
= 2 x No/2 x Bt = NoBt (or) Now
 Input signal
to noise ratio
 Output signal
to noise ratio
(S/N)
i
= Avg power of the modulated sig
S(t)
Avg power of filtered noise
n(t)
(S/N)
o
=
Avg power of filtered noise
n(t)
Avg power of the demodulated msg
sig
Cont…
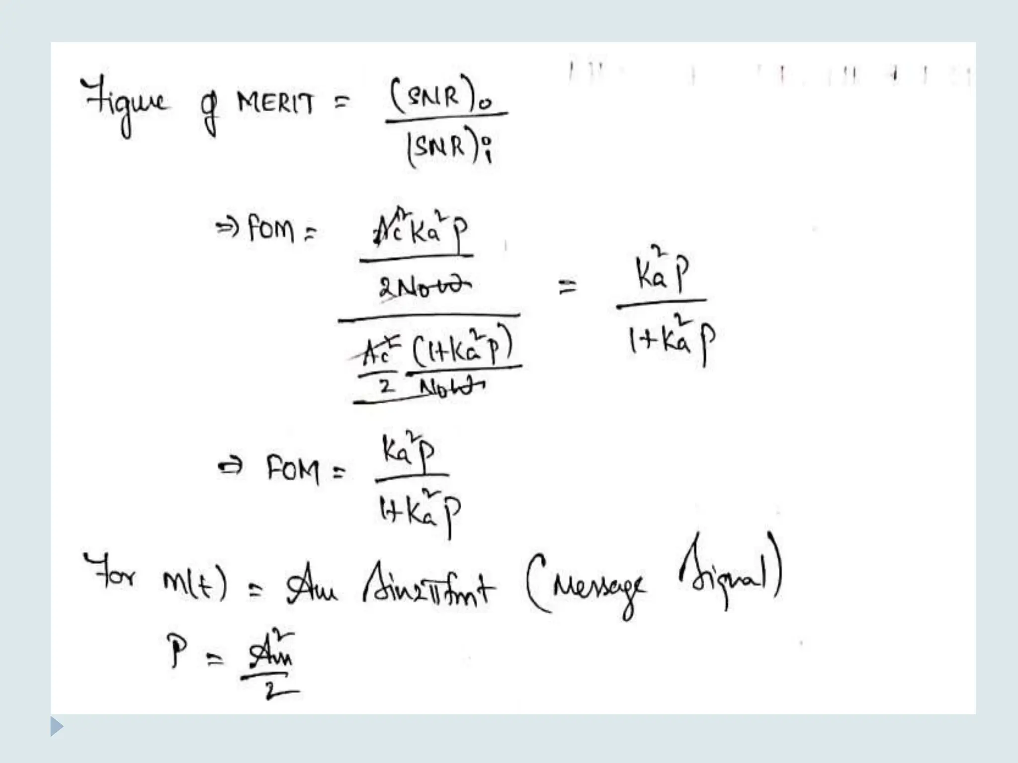
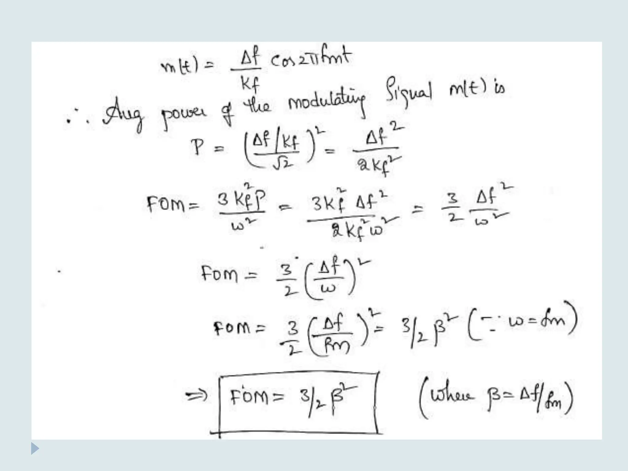
 Figure of merit is the ratio of signal to noise at output to the
signal to noise ratio at input i.e.
FOM =
 Noise figure:
noise figure =
 Higher the value of the figure of merit, better the performance
of the receiver.
 The value of the figure of merit also depends upon the type of
modulation used.
(S/N)o
(S/N)i
(S/N)i
(S/N)o
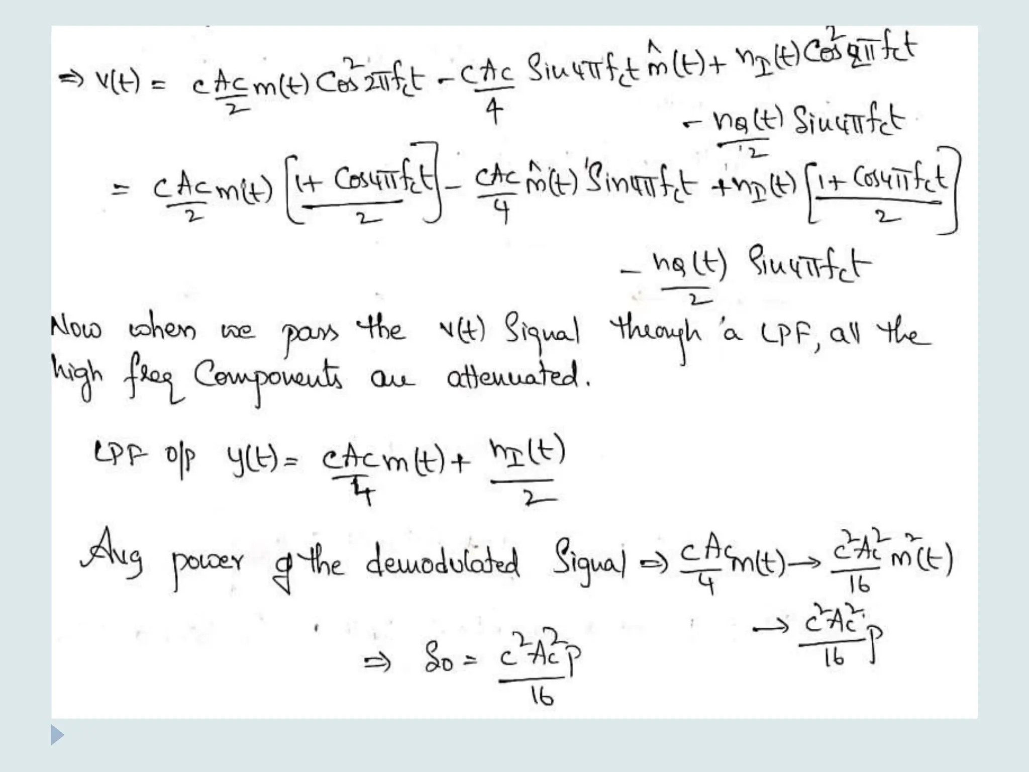
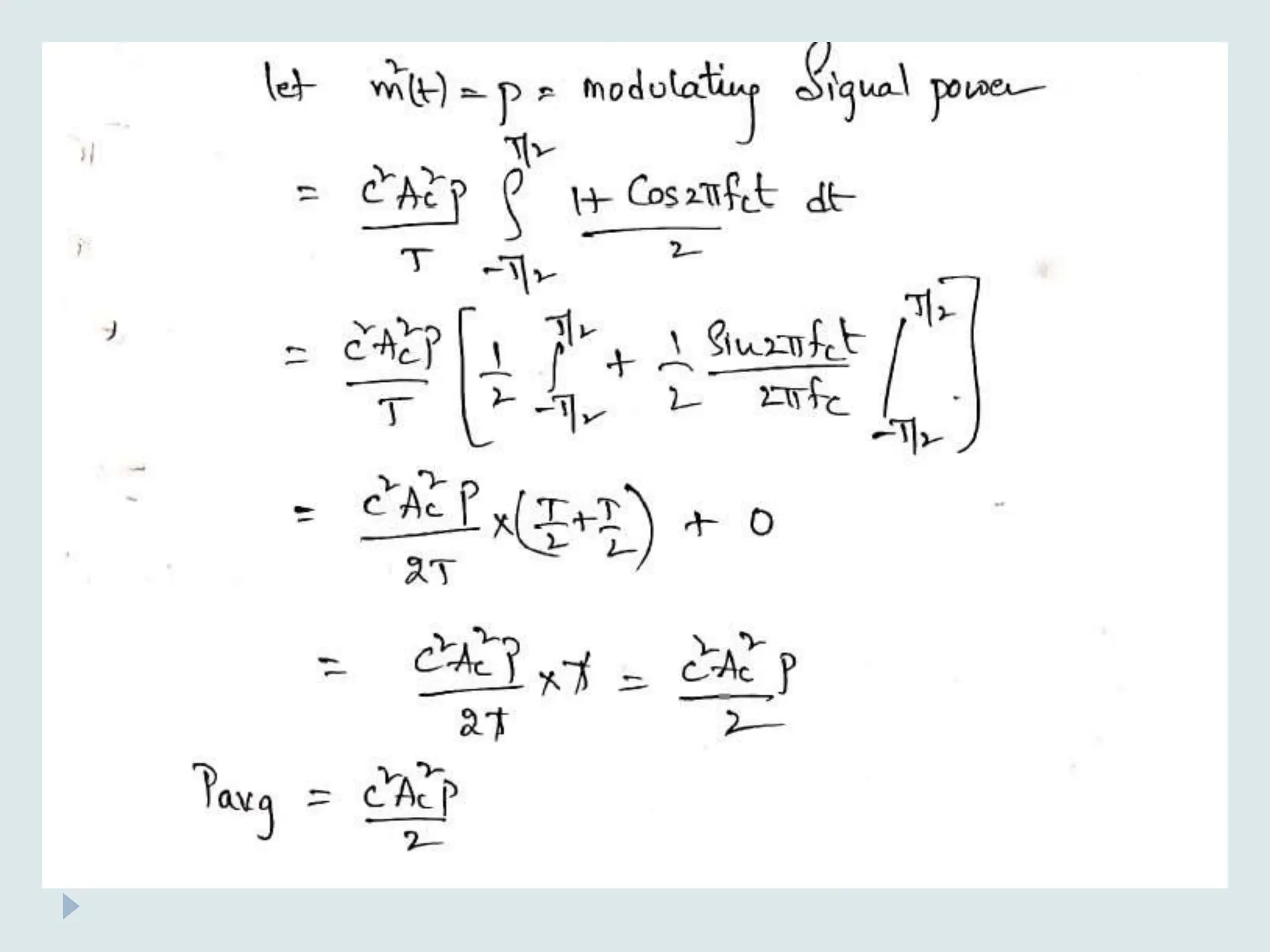
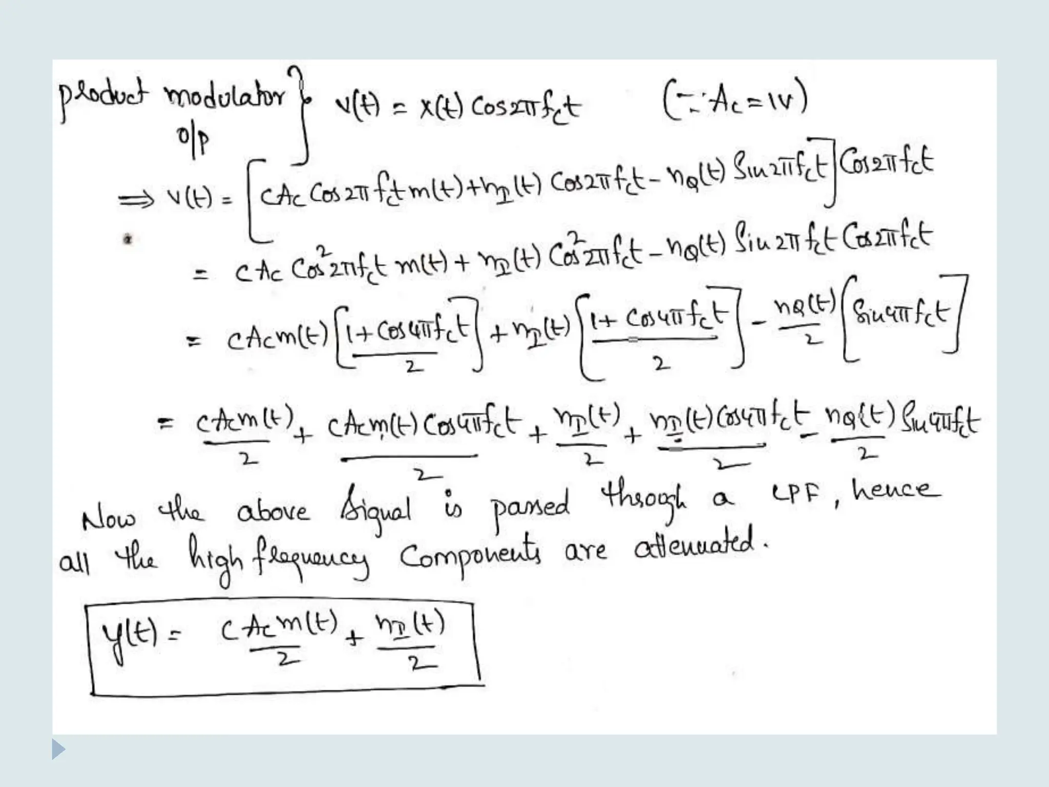
Noise in dsb-sc receiver
Σ BPF
Low
pass
filter
Product
modulator
Local
oscillator
noise
w(t)
x(t)
y(t)
v(t)
DSB - SC
s(t)
Coherent
detector
Cos (2πfct )
Block diagram of DSB-SC receiver model using coherent
detection
+
+
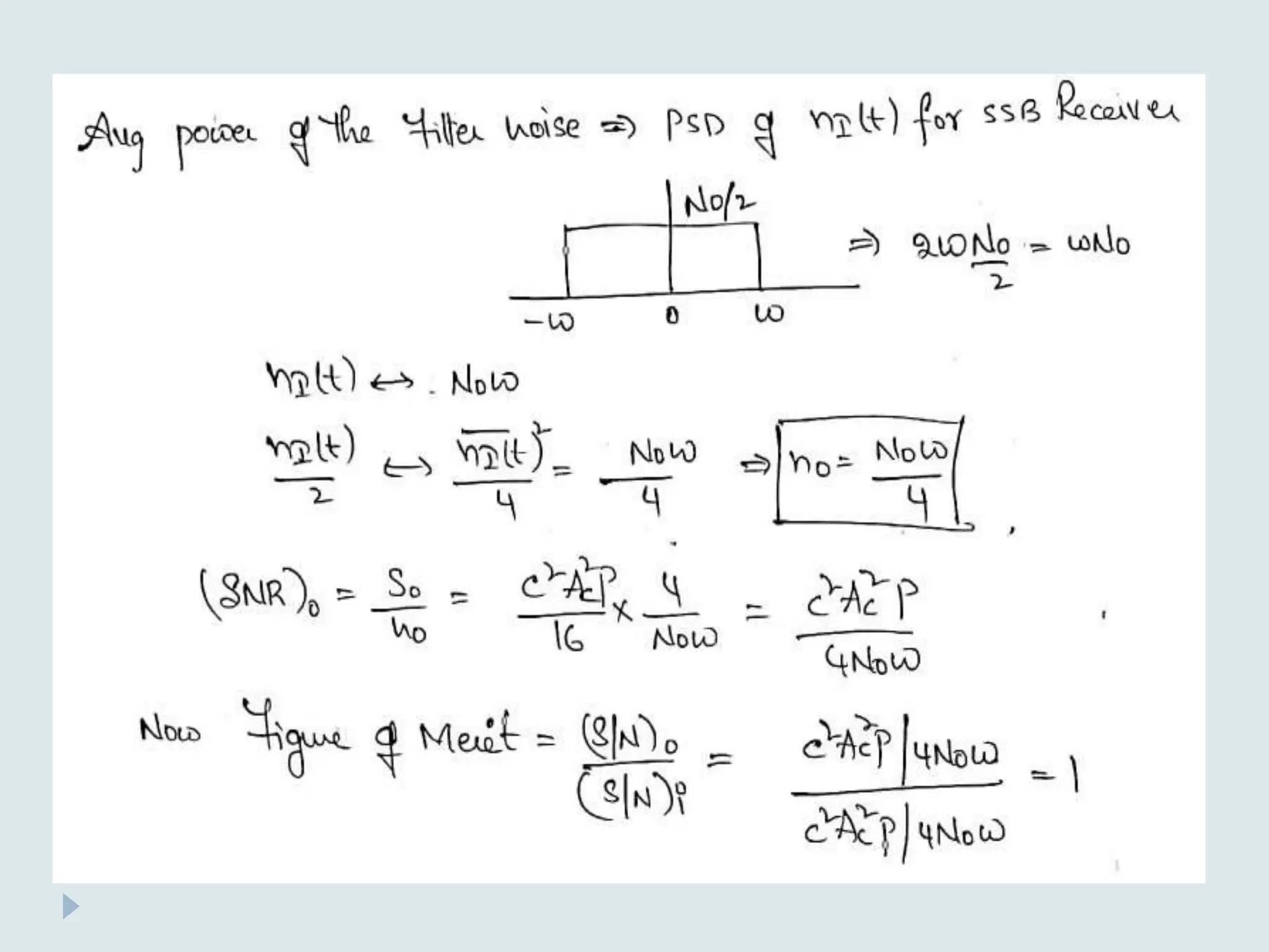
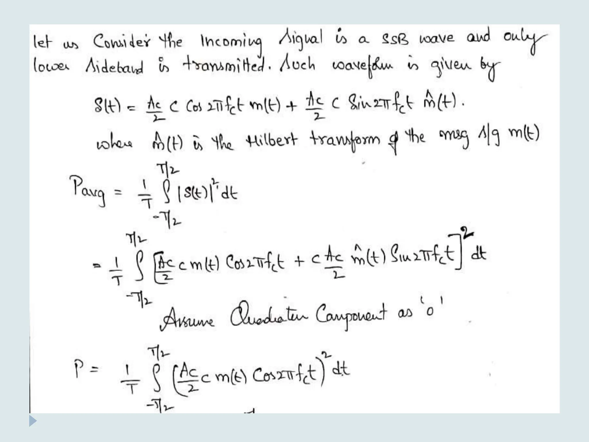
Noise in ssb-sc receiver
Σ BPF
Low
pass
filter
Product
modulator
Local
oscillator
noise
w(t)
x(t)
y(t)
v(t)
SSB - SC
s(t)
Coherent
detector
Cos (2πfct )
Block diagram of SSB-SC receiver model using coherent
detection
+
+
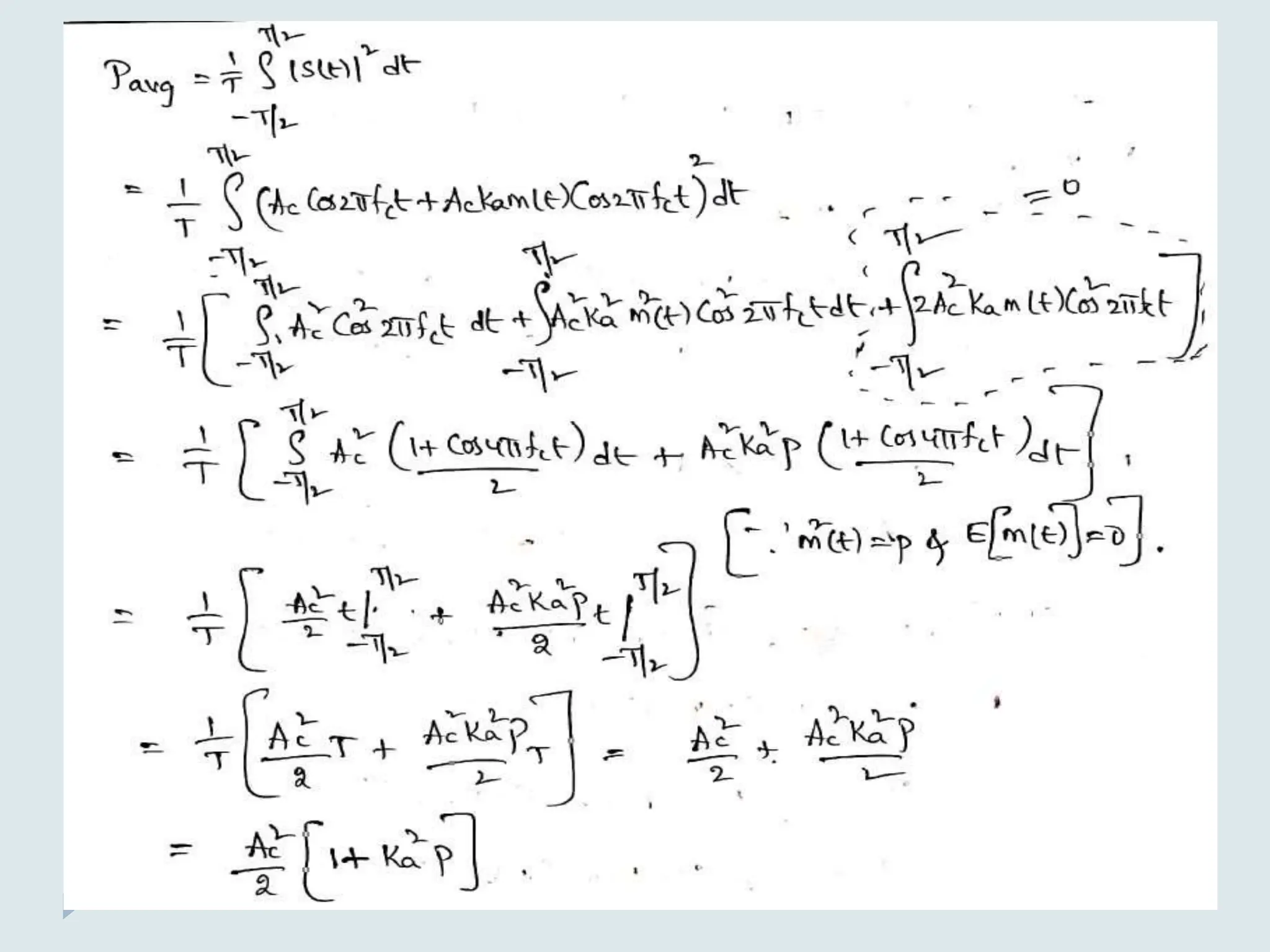
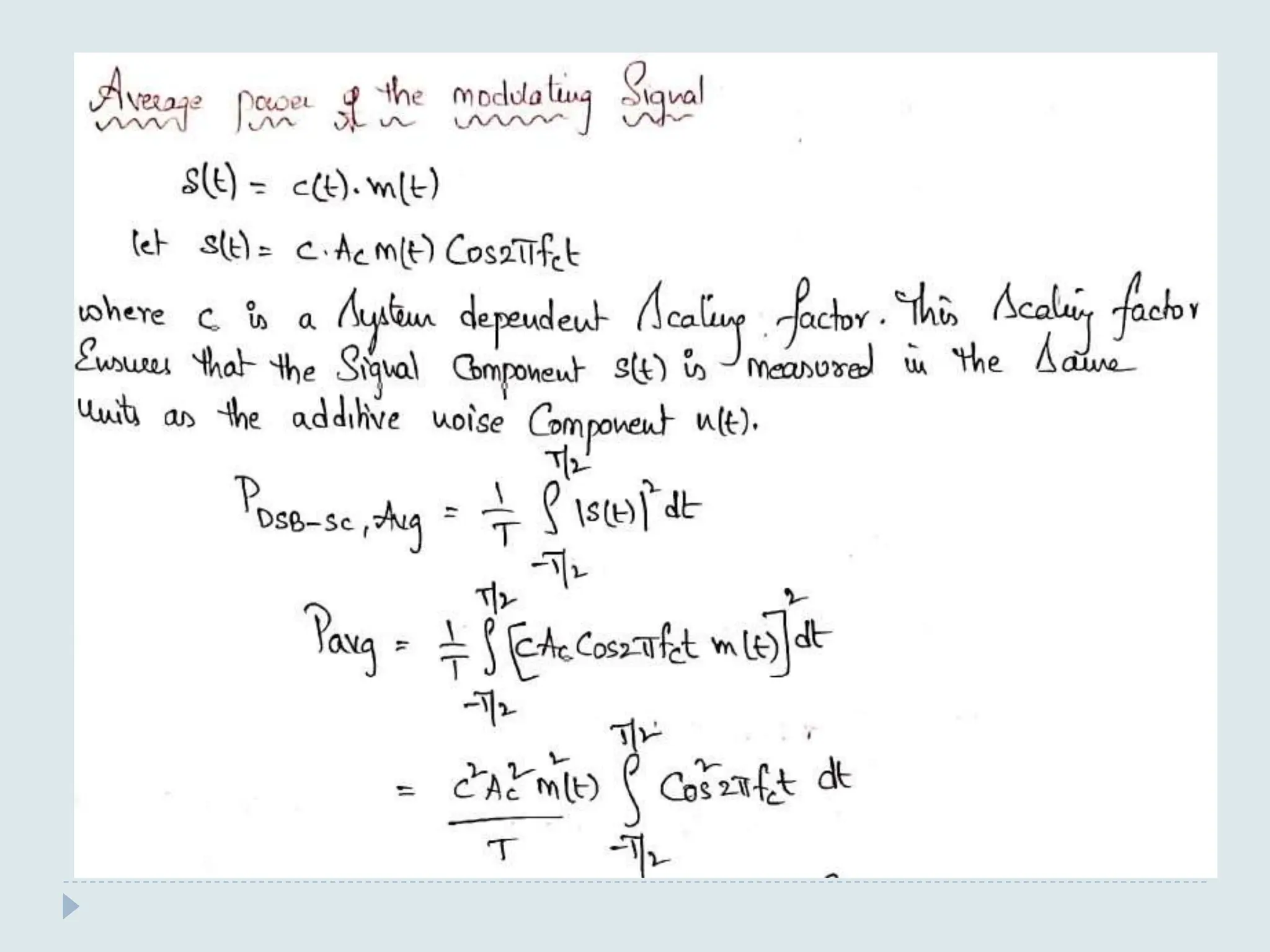
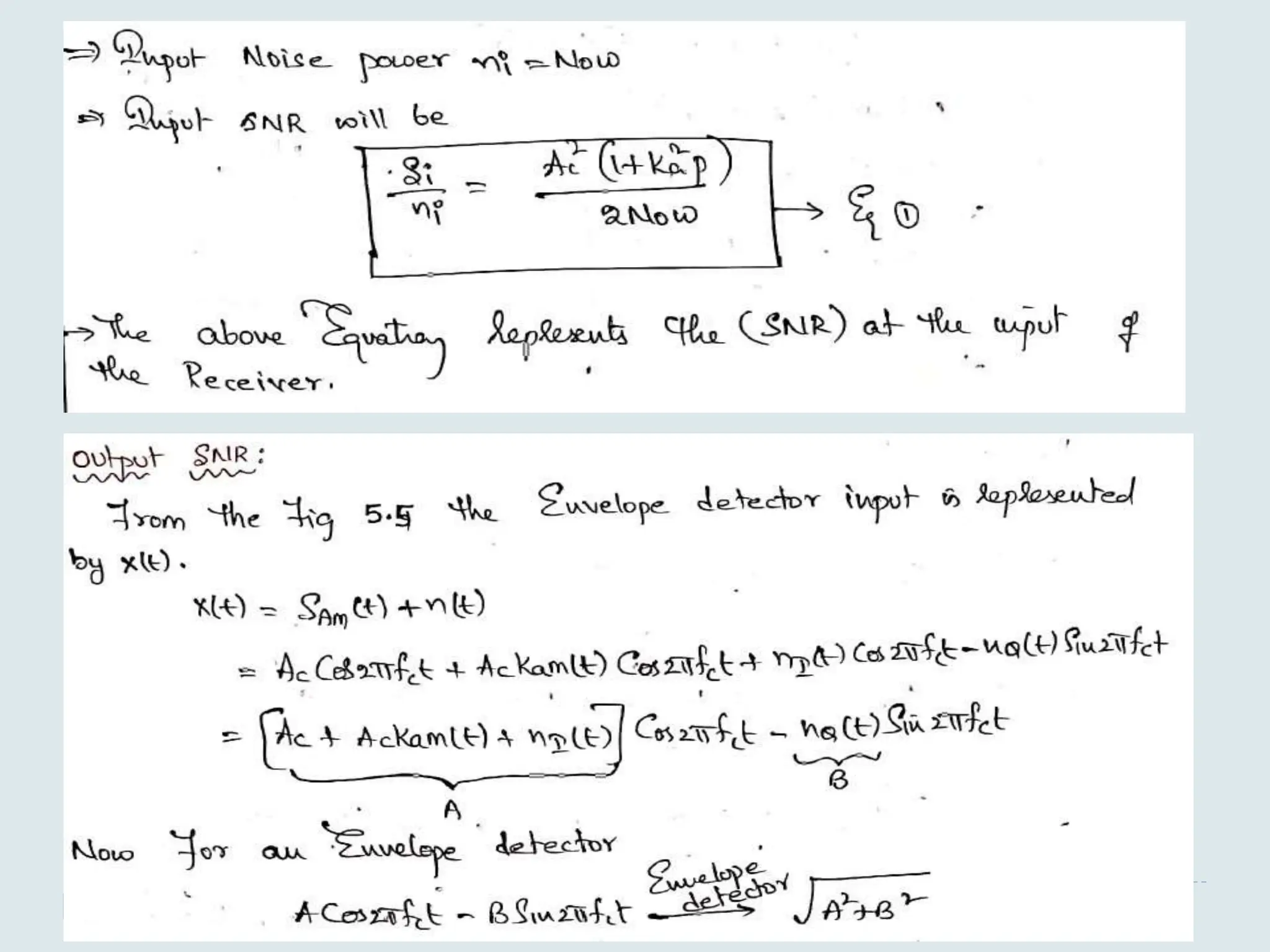
Noise in AM receiver using envelope detector
 In the case of AM signal both sidebands and the carrier is
transmitted.
S(t) = Ac [1 + Ka m(t)] Cos(2πfct)
 The average power of AM signal is calculated as follows
S(t) = Ac Cos(2πfct) + Ac Ka m(t) Cos(2πfct)
Σ BPF
Envelope
detector
x(t)
w(t)
y(t)
S(t)
AM
signal
o/p
signal
noise
signa
l Model of AM Receiver
+
+
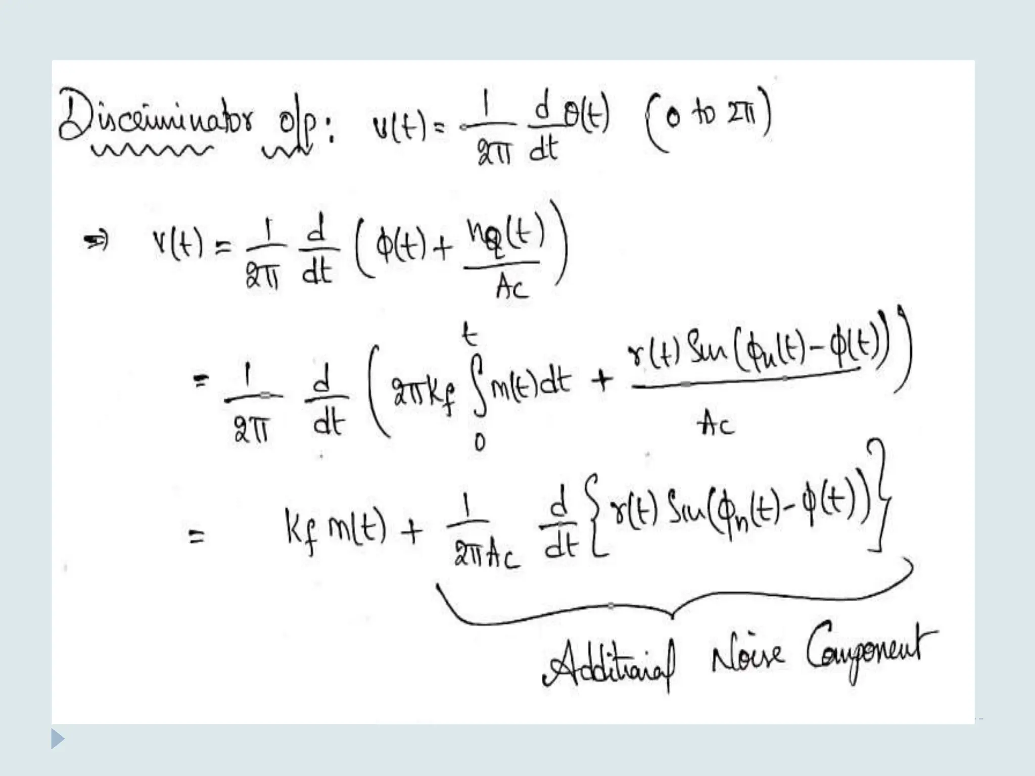
Noise in FM receiver
BPF limiter
discriminato
r
Baseba
nd
LPF
Σ
w(t)
y(t)
x(t) v(t)
S(t
)
FM
signal +
+
SNR at output
 The output of the BPF is distorted FM signal.
 It is passed through a limiter which is a type of clipper circuit.
 It clips the undesired amplitude levels and produces a clipped
FM wave.
 The output of a limiter is passed through a discriminator which
performs two operations as a differentiator and then as a
envelope detector.
 Finally the output of the discriminator is passed through a LPF
to recover the msg signal.
we have S(t) = Ac Cos(2πfct + 2π Kf ∫m(t) dt)
Pre-emphasis & de-emphasis
 Capacitor, Resistor  HPF  differentiator
 Resistor, Capacitor  LPF  integrator
 Pre-emphasis and de-emphasis are used to improve fidelity of
FM transmission of audio signals
 Fidelity: fidelity is defined as the ability of the receiver to
reproduce all audio frequencies at the output.
pre –
emphasi
s
HPF
FM
modulator
FM
demodulato
r
De-
emphasi
s
LPF
m(t)
Tx Rx
o/p
PSD of
audio
signal
PSD of noise
f
f
f₁
f₁
0
0
s(f)
S/N ↑
S/N ↓
up to freq f₁:
S/N >>> 1, so the low
frequency component
can be reproduced
comfortably
above f₁:
S/N <<< 1, so the high
frequency component
cannot be reproduced
comfortably
Cont…
 In FM noise has a greater effect on the higher modulating
frequencies.
 This effect can be reduced by increasing the value of
modulation index for higher modulation frequencies.
 This can be done by increasing the deviation by increasing the
amplitude of modulating signal at higher modulating
frequencies.
 Thus if we boost the amplitude of higher frequency modulating
signals artificially then it will be possible to improve the noise
immunity at higher modulating frequencies.
 The artificial boosting of higher modulating frequencies is
known as pre-emphasis.
pre –
emphasi
s ckt
f₁
f₁
f₁
0 0
H(f)
 Pre-emphasis is done at the transmitter before frequency
modulation.
de -emphasis
 It is the process of decreasing the strength of high frequency
component of message signal to get back the original
transmitted message signal.
de –
emphasi
s ckt
0
0 f₁
f₁
H(f)
Cont…
 De – emphasis is performed at the receiver after demodulation.
CAPTURE EFFECT
 In the frequency modulation, the signal can be affected by another
frequency modulated signal whose frequency content is close to the carrier
frequency of the desired FM wave.
 The receiver may lock such an interference signal & suppress the desired
FM signal when interference signal is stronger than the desired signal.
 When strength of the desired signal and the interference signal are nearly
equal, the receiver fluctuates back and forth between them, i.e. receiver
locks interference signal for sometime and desired signal for sometime and
this goes on randomly.
 This phenomenon is known as capture effect.
THRESHOLD EFFECT IN FM
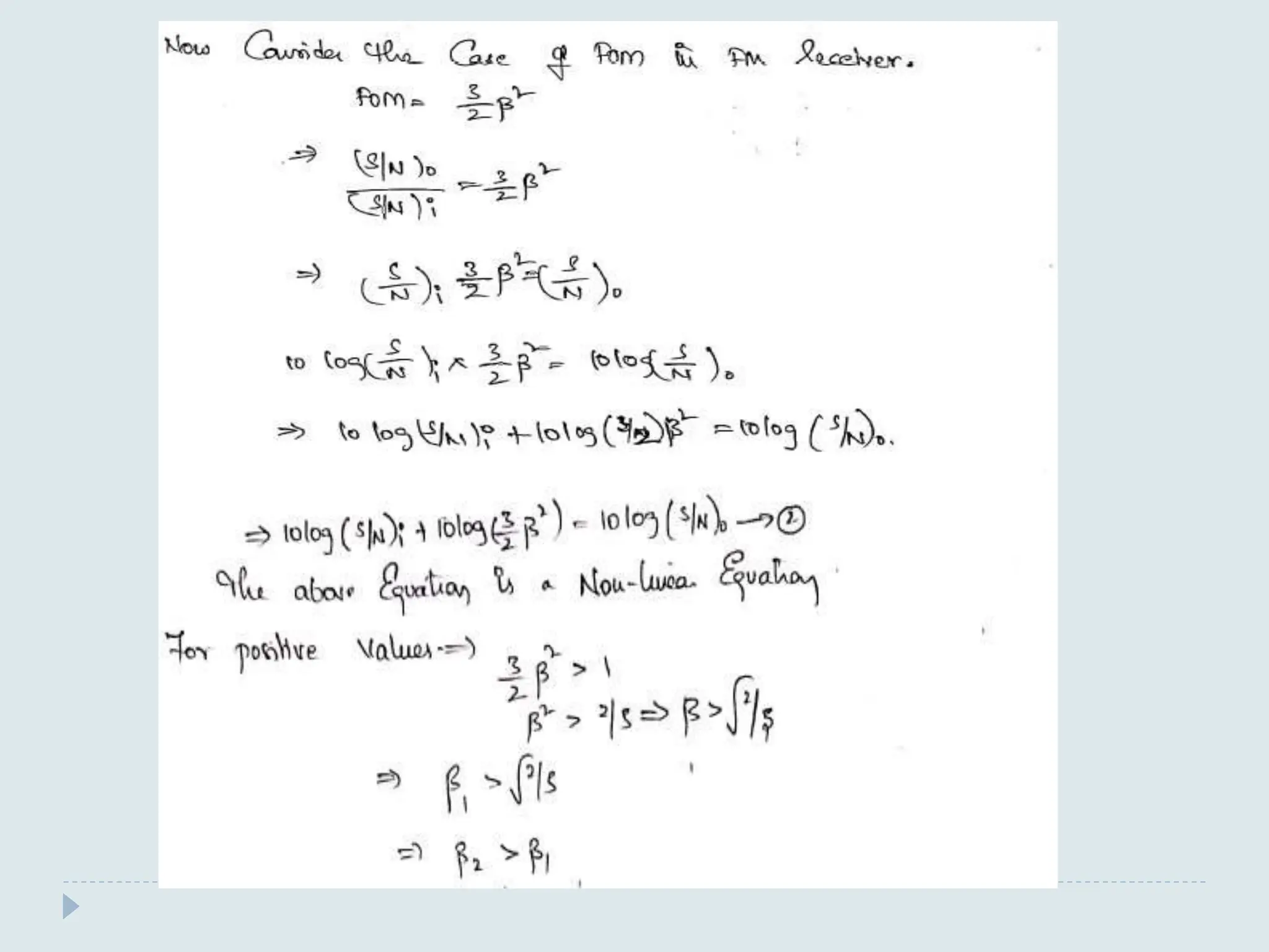
 Let us consider the concept of FOM in both DSB and SSB
modulation techniques.
 In these both techniques FOM = 1
 (s/n)o/(s/n)i = 1
⇒ (s/n)o = (s/n)I
 Converting the above equation in to DB scale by applying log
on both sides
⇒ 10 log (s/n)o = 10 log (s/n)I
 The above equation gives the linear relation between the SNR
at output and input.
Questions to prepare from noise
 Define figure of merit and noise figure?
 Define pre-emphasis and de-emphasis.
 Explain threshold effect in FM.
 Classify various sources of noise.
 Write a short note on thermal noise, shot noise and solar noise.
 Explain the effect of noise in AM receiver using envelope
detector.
 Explain noise performance in DSB-SC receiver.
 Explain the effect of noise in SSB receiver.
 Define capture effect.
 Explain the effect of noise in FM receiver.
Post your Questions at
gsandeep4567@gmail.com
THANK YOU

Presentation on Noise from Analog Communication

  • 1.
    Course on ANALOG COMMUNICATIONS Presentedby: G Sandeep V Padmakar Assistant Professor Dept. of ECE RCE DEPARTMENT OF ELECTRONICS AND COMMUNICATION ENGINEERING R16 Regulation II year II Semester
  • 2.
    contents  Introduction tonoise  Classification  Internal noises  External noises  Receiver  Receiver model  Figure of merit  Noise in DSB-SC receiver  Noise in SSB-SC receiver
  • 3.
    Introduction to noise Noise is an unwanted electrical or electromagnetic energy that interferes with the transmitted message and degrade the quantity of message signal.
  • 4.
    Classification of noise NOISE INTERNALEXTERNAL THERMAL NOISE or WHITE NOISE or JHONSON NOISE SHOT NOISE TRANSIT TIME NOISE MISCELLANEOUS NOISE  FLICKER NOISE  PARTITION NOISE  ATMOSPHERIC NOISES  EXTRATERRESTRIAL NOIS  SOALR NOISE  COSMIC NOISE  MANMADE NOISES or  INDUSTRIAL NOISE
  • 5.
    Cont…  Internal noisesare generated within the receiver or communication system.  External noises are generated from the external sources.  If the noise gets added to the signal, then it is known as additive noise. x(t) + n(t) = additive noise  If the noise gets multiplied to the signal, then it is known as fading. x(t) * n(t) = fading
  • 6.
    Internal noises  Thermalnoise:  This type of noise is generated by all resistances(e.g. Resistor, transistor, semiconductor, the resistance of resonant circuit etc.)  Due to thermal agitation, the molecules in the electrical component gain energy, moves in random fashion and collide each other therefore produces heat and this heat produced is corresponds to the thermal noise.  Thermal noise increases with temperature and resistance values. thermal noise power N = KTB watts where KT = No = power spectral density ⇒ N = NoB watts
  • 7.
    Cont… N = KTB K= Boltzmann Constant = 1.38 x 10^-23 J/K = 8.65 x 10^-5 ev/k f B -B f B No No/2 S(f) S(f) one sided PSD two sided PSD
  • 8.
    Cont…  Shot noise: Shot noise is produced by the random movement of electrons or holes across a PN junction.  Electrons or holes enter the junction region from one side, drift or are accumulated across the junction and are collected on the other side.  The random movement give rise to a type of noise which is referred to as shot noise.  Shot noise is also encountered as a result of emission of electrons from a heated surface. P N
  • 9.
    Cont…  Transit timenoise:  This noise occurs in transistors  It is the time duration that is taken by current carrier such as electrons or holes to move from the input to the output.  At low frequencies this time is negligible but when the frequency of operation is high then problem arises.  The transit time shows up as a kind of random noise within the device and this is directly proportional to the frequency of operation.
  • 10.
    Cont…  Flicker noise: Flicker noise is also known as modulation noise or pink noise.  Inversely proportional to frequency.  Also known as 1/f noise occurs in almost all electronic devices and it has a variety of different causes although these are related to the flow of direct current.  Partition noise:  Partition noise occurs whenever current has to divide between two or more paths and results from the random fluctuations in the division.  Due to this noise diode would be less noisy than a transistor.
  • 11.
    External noises  Atmosphericnoise:  Caused by lightning discharges in thunderstorms and other natural electrical disturbances occurring in the atmosphere.  These electrical impulses are random in nature, hence the energy is spread over the complete frequency spectrum used for radio communication.  Large atmospheric noise is generated in low and medium frequency bands while very little noise is generated in VHF and UHF bands.  Therefore the atmospheric noise becomes less severe at frequencies above 30 MHz
  • 12.
     Extraterrestrial noise: Solar noise:  Electrical noise emerging from the sun  Sun is a large body at a very high temperatures and radiates electrical energy in the form of noise over a very wide range of frequency spectrum used for radio communication.  The intensity of noise produced by sun varies with time.  Cosmic noise:  Generated by distant stars having high temperatures .  The noise receives from distant stars is cosmic noise and is distributed almost uniformly over entire sky.
  • 13.
     Man –made noise or Industrial noise:  Industrial noise is an electrical noise produced by the sources such as automobiles and aircraft ignition, electrical motors and switch gears, leakage from high voltage lines etc.  Man – made noise is most intensive in industries & densely populated areas.
  • 14.
    Receiver model  Receiver:a receiver is a collection of electronic circuits designed to convert the signal back to the original information.  It consists of amplifier, detector, mixer, oscillator, transducer etc.  The model consists of modulated signal S(t) and noise signal n(t)  The receiver input is the sum of S(t) & n(t).  BPF is used for filtering action of tuned amplifier for the purpose of signal amplification prior to demodulation. Σ BPF demodulato r noise w(t) Modulate d signal S(t) x(t) Output signal
  • 15.
    Cont…  The bandwidthof a BPF is kept just wide enough to pass the modulated signal S(t) without distortion.  We denote No/2 as the PSD of the noise w(t) for both +ve and –ve frequencies. f fc - fc 0 No/2 Sn(f ) Ideal characteristics of BPF noise Bt
  • 16.
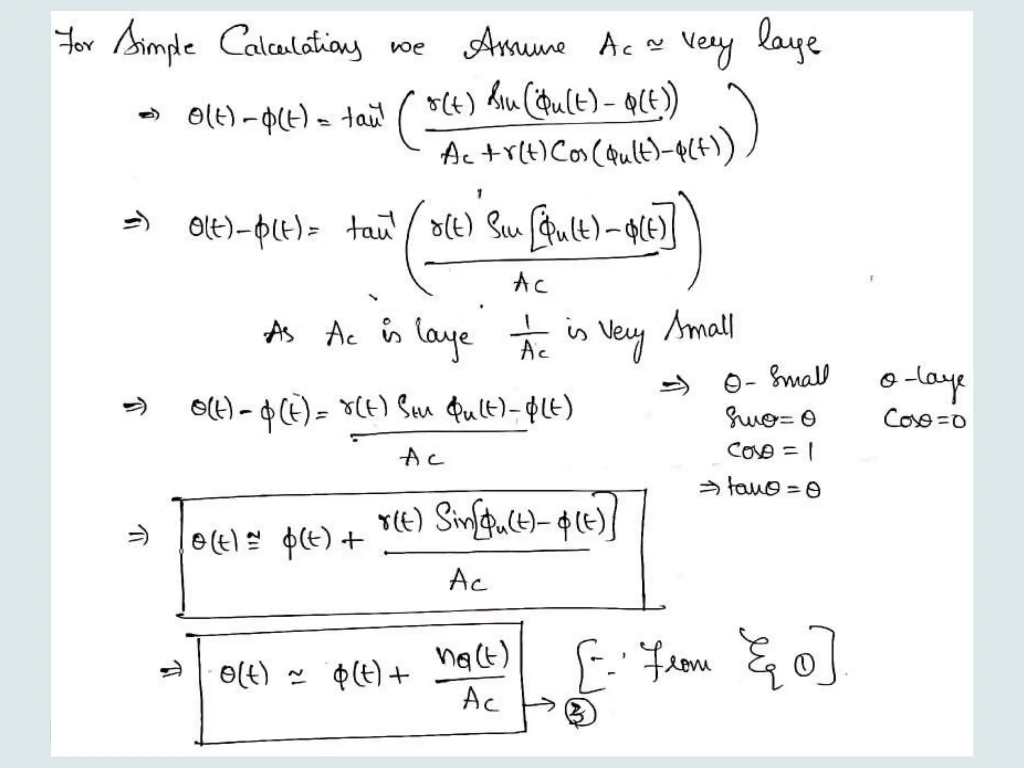
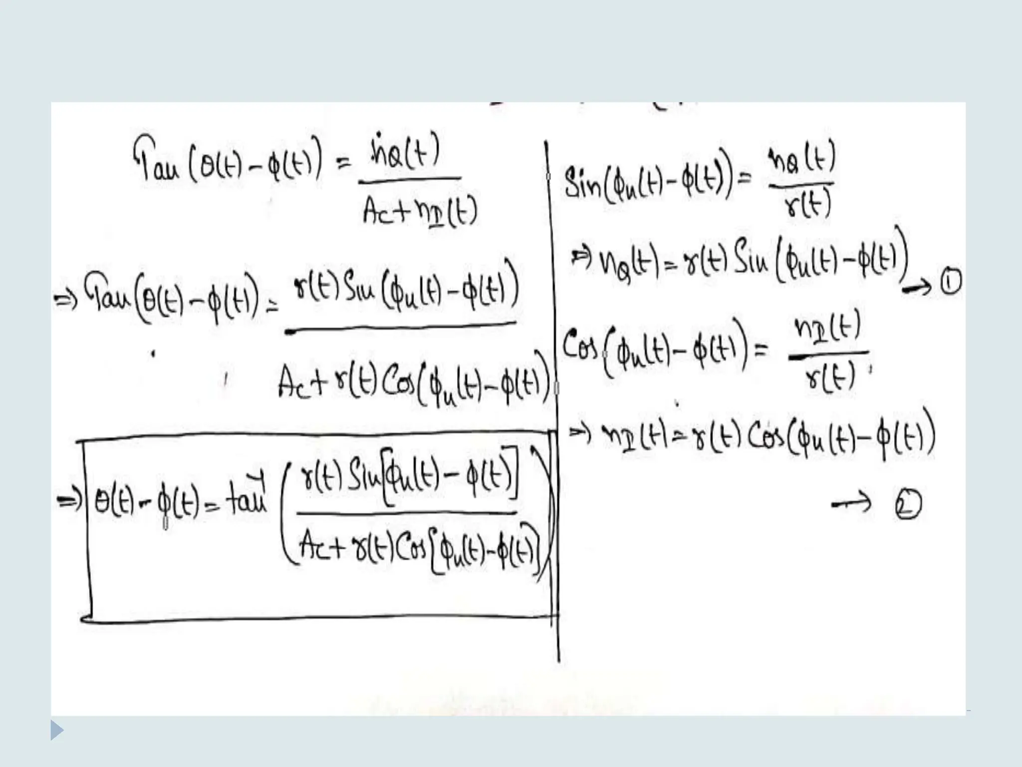
    Cont…  No isthe average noise power per unit bandwidth measured at the front end of the receiver.  Bandwidth of BPF is equal to the transmission bandwidth of the modulated signal S(t) and it is denoted as ‘Bt’ or ‘w’.  Midband frequency is equal to the corner frequency and it is denoted as ‘fc’.  The carrier frequency fc >> Bt and therefore we may consider the filtered noise n(t) as a narrowband noise and it is defined in the canonical form by n(t) = nI(t) Cos(2πfct) – nQ(t) Sin(2πfct) where nI(t) is in-phase noise component and nQ(t) is quadrature noise component
  • 17.
    Cont…  The filteredsignal x(t) available for demodulation is given by x(t) = S(t) + n(t)  The average noise power = (Avg noise power/unit BW) x BW = 2 x No/2 x Bt = NoBt (or) Now  Input signal to noise ratio  Output signal to noise ratio (S/N) i = Avg power of the modulated sig S(t) Avg power of filtered noise n(t) (S/N) o = Avg power of filtered noise n(t) Avg power of the demodulated msg sig
  • 18.
    Cont…  Figure ofmerit is the ratio of signal to noise at output to the signal to noise ratio at input i.e. FOM =  Noise figure: noise figure =  Higher the value of the figure of merit, better the performance of the receiver.  The value of the figure of merit also depends upon the type of modulation used. (S/N)o (S/N)i (S/N)i (S/N)o
  • 19.
    Noise in dsb-screceiver Σ BPF Low pass filter Product modulator Local oscillator noise w(t) x(t) y(t) v(t) DSB - SC s(t) Coherent detector Cos (2πfct ) Block diagram of DSB-SC receiver model using coherent detection + +
  • 25.
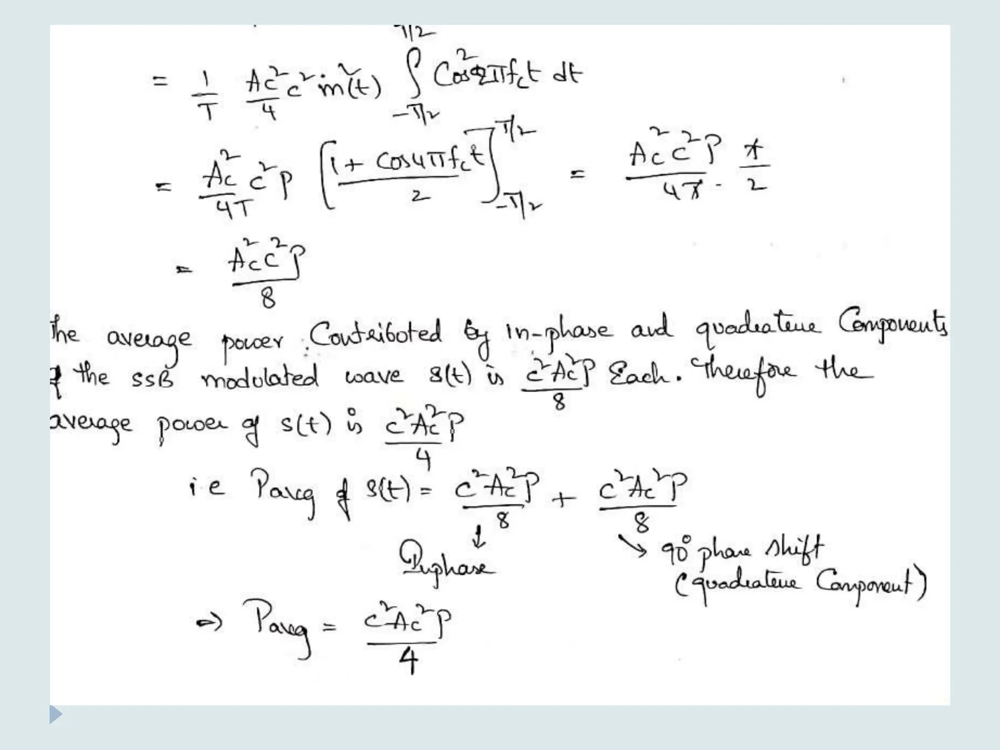
    Noise in ssb-screceiver Σ BPF Low pass filter Product modulator Local oscillator noise w(t) x(t) y(t) v(t) SSB - SC s(t) Coherent detector Cos (2πfct ) Block diagram of SSB-SC receiver model using coherent detection + +
  • 31.
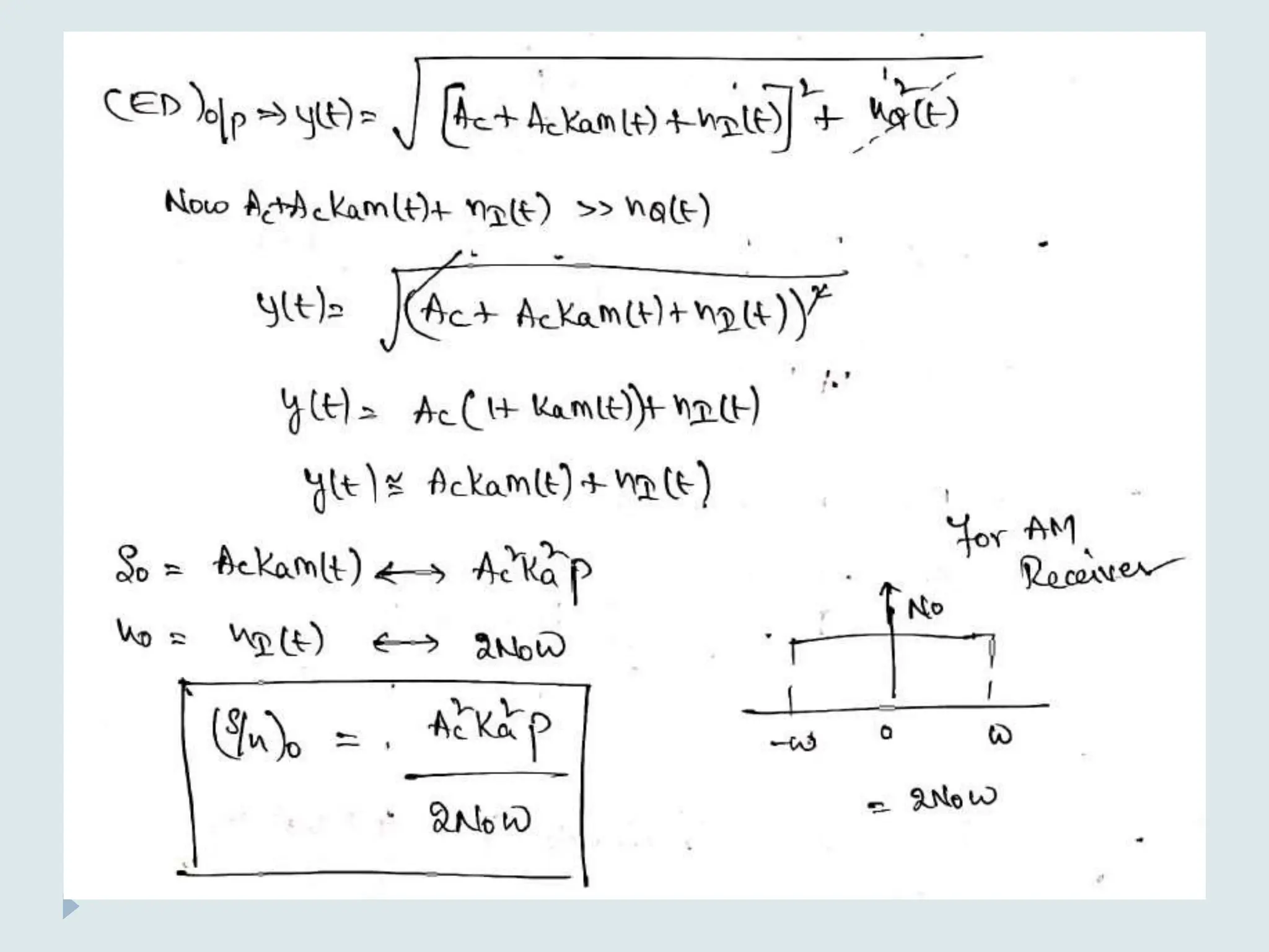
    Noise in AMreceiver using envelope detector  In the case of AM signal both sidebands and the carrier is transmitted. S(t) = Ac [1 + Ka m(t)] Cos(2πfct)  The average power of AM signal is calculated as follows S(t) = Ac Cos(2πfct) + Ac Ka m(t) Cos(2πfct) Σ BPF Envelope detector x(t) w(t) y(t) S(t) AM signal o/p signal noise signa l Model of AM Receiver + +
  • 37.
    Noise in FMreceiver BPF limiter discriminato r Baseba nd LPF Σ w(t) y(t) x(t) v(t) S(t ) FM signal + +
  • 38.
    SNR at output The output of the BPF is distorted FM signal.  It is passed through a limiter which is a type of clipper circuit.  It clips the undesired amplitude levels and produces a clipped FM wave.  The output of a limiter is passed through a discriminator which performs two operations as a differentiator and then as a envelope detector.  Finally the output of the discriminator is passed through a LPF to recover the msg signal. we have S(t) = Ac Cos(2πfct + 2π Kf ∫m(t) dt)
  • 49.
    Pre-emphasis & de-emphasis Capacitor, Resistor  HPF  differentiator  Resistor, Capacitor  LPF  integrator  Pre-emphasis and de-emphasis are used to improve fidelity of FM transmission of audio signals  Fidelity: fidelity is defined as the ability of the receiver to reproduce all audio frequencies at the output. pre – emphasi s HPF FM modulator FM demodulato r De- emphasi s LPF m(t) Tx Rx o/p
  • 50.
    PSD of audio signal PSD ofnoise f f f₁ f₁ 0 0 s(f) S/N ↑ S/N ↓ up to freq f₁: S/N >>> 1, so the low frequency component can be reproduced comfortably above f₁: S/N <<< 1, so the high frequency component cannot be reproduced comfortably
  • 51.
    Cont…  In FMnoise has a greater effect on the higher modulating frequencies.  This effect can be reduced by increasing the value of modulation index for higher modulation frequencies.  This can be done by increasing the deviation by increasing the amplitude of modulating signal at higher modulating frequencies.  Thus if we boost the amplitude of higher frequency modulating signals artificially then it will be possible to improve the noise immunity at higher modulating frequencies.  The artificial boosting of higher modulating frequencies is known as pre-emphasis.
  • 52.
  • 53.
     Pre-emphasis isdone at the transmitter before frequency modulation.
  • 54.
    de -emphasis  Itis the process of decreasing the strength of high frequency component of message signal to get back the original transmitted message signal. de – emphasi s ckt 0 0 f₁ f₁ H(f)
  • 55.
    Cont…  De –emphasis is performed at the receiver after demodulation.
  • 56.
    CAPTURE EFFECT  Inthe frequency modulation, the signal can be affected by another frequency modulated signal whose frequency content is close to the carrier frequency of the desired FM wave.  The receiver may lock such an interference signal & suppress the desired FM signal when interference signal is stronger than the desired signal.  When strength of the desired signal and the interference signal are nearly equal, the receiver fluctuates back and forth between them, i.e. receiver locks interference signal for sometime and desired signal for sometime and this goes on randomly.  This phenomenon is known as capture effect.
  • 57.
    THRESHOLD EFFECT INFM  Let us consider the concept of FOM in both DSB and SSB modulation techniques.  In these both techniques FOM = 1  (s/n)o/(s/n)i = 1 ⇒ (s/n)o = (s/n)I  Converting the above equation in to DB scale by applying log on both sides ⇒ 10 log (s/n)o = 10 log (s/n)I  The above equation gives the linear relation between the SNR at output and input.
  • 60.
    Questions to preparefrom noise  Define figure of merit and noise figure?  Define pre-emphasis and de-emphasis.  Explain threshold effect in FM.  Classify various sources of noise.  Write a short note on thermal noise, shot noise and solar noise.  Explain the effect of noise in AM receiver using envelope detector.  Explain noise performance in DSB-SC receiver.  Explain the effect of noise in SSB receiver.  Define capture effect.  Explain the effect of noise in FM receiver.
  • 61.
    Post your Questionsat gsandeep4567@gmail.com THANK YOU