TUGAS KIMIA ORGANIK
SENYAWA METABOLIT SEKUNDER
POLIKETIDA
OLEH:
BAIQ LAELA PUSPITASARI
I2E 014 002
PROGRAM PASCASARJANA PENDIDIKAN IPA
UNIVERSITAS MATARAM
2015
KATA PENGANTAR
Puji syukur kehadirat Allah SWT atas segala limpahan Rahmat, Taufik dan Hidayah-
Nya sehingga saya dapat menyelesaikan tugas Kimia Organik dengan judul Senyawa
Metabolit Sekunder Poliketida tepat pada waktunya baik dalam bentuk maupun isinya yang
sangat sederhana.
Harapan saya semoga dapat menambah wawasan, pengetahuan dan pengalaman bagi
para pembaca dalam memahami tentang Senyawa Poliketida pada matakuliah Kimia
Organik.
Saya menyadari bahwa Makalah ini masih banyak kekurangan karena pengalaman,
dan reprensi yang kami miliki masih sangat kurang, oleh kerena itu kami berharap kepada
para pembaca untuk memberikan masukan-masukan yang sifatnya membangun untuk
kesempurnaan tugas ini.
Mataram, April 2015
Penyusun
BAB I
PENDAHULUAN
A. Latar Belakang
Alam mengandung beberapa senyawa, seperti pada tumbuhan. Setiap
komponen dari tumbuhan yaitu akar, batang daun dan bunga memiliki senyawa
yang terkandung di dalammnya. Bukan hanya tanaman beberapa organisme seperti
bakteri dan jamur/fungi juga memiliki beberapa senyawa yang tidak teridentifikasi
sampai dilakukannya penelitian lanjutan. Senyawa-senyawa yang terkandung
tersebut merupakan hasil samping dari metabolit primer yaitu metabolit sekunder.
Metabolit sekunder adalah metabolit antara atau produk metabolisme yang
ditemukan secara unik pada suatu kelompok taksonomi organisme tertentu, bukan
merupakan senyawa yang esensial untuk hidup dan tumbuh, dan dibiosintesis dari
satu atau lebih metabolit primer dengan jalur biosintesis yang berbeda dibanding
jalur metabolisme pada umumnya.
Penggolongan metabolit sekunder selain didasarkan pada struktur
senyawanya juga didasarkan pada jalur biosintesis metabolit sekunder itu terbentuk.
Fungsi utama metabolit sekunder adalah sebagai senyawa dalam mekanisme
pertahanan atau keberlangsungan hidup organisme terhadap kondisi lingkungannya.
Beberapa golongan metabolit sekunder utama adalah terpena dan terpenoid,
poliketida, fenilpropanoid, flavonoid dan stilbenoid dan alkaloid. Tetapi dalam
makalah ini akan di bahas tentang poliketida.
B. Rumusan Masalah
Dari latar belakang tersebut, dapat dirumuskan masalahnya sebagai berikut :
1. Bagaimanakah karakteristik dari senyawa poliketida?
2. Apa saja yang termasuk dalam senyawa poliketida?
3. Bagaimanakan biosintesis dari salah satu senyawa poliketida?
4. Dari mana saja sumber senyawa poliketida?
5. Apa saja kegunaan dari senyawa poliketida?
C. Tujuan
Adapun tujuan yang ingin diketahui antara lain :
1. Untuk mengetahui karakteristik senyawa poliketida.
2. Untuk mengetahui jenis dari senyawa poliketida.
3. Untuk mengetahui biosintesis dari salah satu senyawa poliketida.
4. Untuk mengetahui sumber dari senyawa poliketida.
5. Untuk mengetahui kegunaan dari senyaw poliketida..
BAB II
PEMBAHASAN MATERI
A. Karakteristik Poliketida
Poliketida merupakan metabolit sekunder yang mempunyai struktur dasar
poliketon, beberapa gugus karbonil yang diselingi rantai metilena. Poliketida dibentuk
dari reaksi kondensasi senyawa karbonil. Kebanyakan senyawa metabolit sekunder
poliketida sudah mengalami modifikasi reduksi gugus ketonnya (Raharjo, 2013).
Fitur umum dari produk alami poliketida adalah produk poliketida dibiosintesis
dengan penambahan secara berulang gugus karbonil yang biasanya terdiri dari dua atau
tiga karbon untuk membentuk rantai linear. Rantai yang dihasilkan bisa berupa suatu
poliketon atau dapat memiliki susunan gugus fungsi yang diturunkan dari modifikasi
reduktif sebagian besar atau semua kelompok keto dari sebuah poliketon (Battersy,
1998). Pada poliketika bentuk strukturnya berupa struktur heterosiklik yang banyak
ditemui dalam berbagai golongan senyawa metabolit sekunder. Sistem heterosiklik O
banyak ditemui dalam senyawa-senyawa poliketida (Raharjo, 2013).
Beberapa contoh yang mewakili kelompok poliketida yang dijelaskan dalam
Raharjo (2013) sebagai berikut :
1. Antrakuinon
Antrakuinon merupakan metabolit sekunder dengan struktur tersiklik dengan
dua cincin aromatis disamping dengan struktur siklik ditengah mengandung diketon.
Adanya struktur aromatis dan diketon menunjukkan bahwa struktur antrakuinon
mengikuti jalur biosintesis poliketida. Antrakuinon nerupakan hasil siklisasi dari
ester poliketo C16 hasil kondensasi asetil-CoA dengan 7 malonil-CoA yang
dilanjutkan dengan siklisasi mengikuti mekanisme reaksi aldol. Antrakuinon
kebanyakan terdapat pada jamur. Contoh senyawa yang di biosintesis dari
antrakuinon antara lain; endokokrin, hiperisin, karkarosida dan senosida. Struktur
umum dari antrakuinon diperlihatkan pada gambar 3:
O
O
Gambar 1 : Struktur Antrakuinon (Sumber : Raharjo, 2013)
2. Aflatoksin
Biosintesis aflatoksin melibatkan pembentukan metabolit antrakuinon, namun
demikian keberadaan rantai samping alkil menyebabkan terjadinya proses siklisasi
tambahan yang tidak terdapat pada antrakuinon yang berasal dari asetil-CoA. Di
antara senyawa aflatoksin adalah aflatoksin B1, B2, G1, G2 dan M1. Aflatoksin
merupakan sekelompok senyawa toksik dan karsinogenik dan dianggap bertanggung
jawab sebagai salah satu penyebab kanker hati. Berikut struktur dari aflatoksin B1 dan
G1 pada gambar 4 :
O
O
O
O
OO
H
H O O
O
O
O O
O
H
H
Gambar 2 : Aflatoksin B1 dan Aflatoksin G1 (Sumber : Raharjo, 2013)
3. Tetrasiklin
Tetrasiklik adalah metabolit lain dari yang dihasilkan melalui kondensasi
poliketida. Prekursor yang berkondensasi dengan malonil-CoA adalah kelompok
senyawa malanoamil-CoA seperti malonat semiamida, sehingga semua atom C pada
kerangka tetrasiklin berasal dari malonat. Tetrasiklin merupakan senyawa antibiotik
yang sudah dikenal mempunyai aktivitas yang luas terhadap mikroba dan telah
digunakan dalam bentuk obat oral. Selain tetrasiklin, struktur senyawa yang
terbentuk antara lain; klortetrasiklin, oksitetrasiklin, dan demeklosiklin. Struktur dari
tetrasiklin ditunjukkan pada gambar 5:
NH2
OH
OOOHOOH
H
H
H
H
N
OH
Gambar 3 : tetrasiklin (sumber : Raharjo, 2013)
4. Makrolida
Makrolida merupakan kelompok senyawa yang memiliki aktivitas antibiotik
yang ditandai dengan struktur cincin makrosiklik lakton biasanya merupakan cincin
beranggota 12, 14 dan 16. Eritromisin merupakan senyawa makrolida cincin 14 yang
merupakan senyawa antibiotik yang pertama kali dikarakteristik dari
Saccharopolyspora erythraea. Biosintesis eritromisin melibatkan kondensasi
propionil CoA dengan 6 metilmalonil-CoA. Eritromisin mempunyai tiga struktur,
eritromisin A, B, dan C. Struktur dari eritromisin A ditunjunkkan pada gambar 6:
O
CH3
CH3
CH3
CH3
OH
O
O
O
O
CH3
CH3
CH3
OH
O
OH
CH3
OCH3
CH3
O
N(CH3)2
CH3
OH
OH
Gambar 4 : Eritromisin A (Sumber : Raharjo, 2013)
5. Statin
Mevastatin dan lovastatin merupakan dua contoh senyawa statin yang cukup
terkenal. Senyawa-senyawa tersebut didapat dari biosintesis yang melibatkan
kondensasi asetil-CoA dengan 8 malonil-CoA. Modifikasi lain dari lovastatin selain
mevastatin adalah simvastatin. Simvastatin merupakan hasil hidrolisi lovastatin yang
diesterifikasi lagi dengan asam yang berbeda menghasilkan aktivitas yang jauh lebih
besar dibandingkan lovastatin. Struktur dari senyawa mevastatin dan lovastatin
ditunjukkan pada gambar 7:
O
H
O
O
OH O
O
H
O
O
OH O
Gambar 5: Lovastin dan mevastatin (Sumber : Raharjo, 2013)
B. Biosintesis Poliketida
Biosintesis metabolit sekunder pada poliketida melalui jalur yang bernama jalur
poliketida. Jalur poliketida merupakan jalur yang menggunakan prekursor asam asetat
dalam bentuk asetil-CoA (Asetil Koenzim A) yang berkondensasi membentuk struktur
poliketida yang diikuti berbagai tahap modifikasi menjadi berbagai bentuk metabolit
sekunder. Pada kondensasi poliketida asetil-CoA sering kali disebut sebagai prekursor
starter, sedangkan malonil-CoA dikenal sebagai prekursor extender.
Achmad (1986) menjelaskan bahwa asam asetat (suatu C2) adalah unit struktural
yang paling umum digunakan oleh organisme untuk menghasilkan senyawa-senyawa
bahan alam, kadangkala dengan struktur yang agak rumit. Asam asetat adalah sumber
utama bagi atom karbon untuk pembentukan poliketida melalui penggabungan unit-unit
asam asetat melalui kondensasi aldol ataupun kondensasi Claisen yang berupa rantai
poliasetil yang menurunkan senyawa-senyawa poliketida. Pada biosintesis poliketida
tahapan reduksi dan seterusnya tidak selalu terjadi tetapi proses kondensasi hanya
menghasilkan bentuk ester poli-β-keto. Bentuk ester poli-β-keto selanjutnya mengalami
proses siklisasi mengikuti mekanisme kondensasi aldol maupun Claissen yang diikuti
berbagai modifikasi yang menjadikan struktur poliketida yang beragam.
Proses siklisasi terhadap ester poli-β-keto menghasilkan struktur fenolik. Hal ini
menunjukkan bahwa jalur biosintesis metabolit sekunder melalui jalur poliketida
menggunakan PKS merupakan sumber senyawa aromatis selain jalur asam shikimat.
Proses siklisasi ester poliketo mengikuti dua reaksi, reaksi aldol dan reaksi Claisen.
Kondensasi aldol melibatkan kondensasi salah satu gugus keton pada poliketo dengan
enolat atau karbanion pada jarak tertentu. Kondensasi aldol menyisakan struktur ester
yang berada dalam bentuk ester koenzim A atau ester dengan gugus enzim tergantung
tipe PKS yang mengkatalisis reaksi. Pada reaksi siklisasi dengan kondensasi Claisen
terjadi kondensasi antara gugus karbonil ester dengan enolat atau karbanion. Karena ester
mengalami reaksi maka hasil siklisasi pada akhirnya adalah bentuk yang lebih tereduksi.
Enzim utama dalam biosintesis poliketida adalah poliketida sintase atau yang
lebih dikenal sebagai PKS (polyketide synthase). PKS juga memiliki beberapa tipe, yaitu
tipe I, tipe II dan tipe III. PKS tipe I pada mamalia di mana satu molekul enzim
besardengan berbagai aktivitas didalamnya. PKS tipe II pada mikroba dan tanaman di
mana aktivitas-aktivitas enzim dikandung oleh enzim-enzim yang berbeda meskipun
masih membentuk suatu klaster. PKS tipe III biasanya merupakan protein kecil dengan
hanya mempunyai aktivitas kondensasi dan siklisasi (Raharjo, 2013).
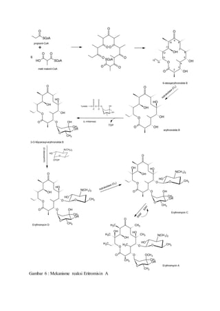
Salah satu senyawa poliketida adalah Eritromisin. Biosintesis eritromisin diawali
dengan kondensasi tipe Claisen antara 1 unit propionil-CoA dan 6 unit metilmalonil-
CoA. Dengan demikian, propionil-CoA disebut sebagai prekursor utama biosintesis
eritromisin. Senyawa 6-deoksieritronolid B merupakan senyawa antara pada proses
biosintesis eritromisin. Eritronolid merupakan hasil kondensasi antara satu unit
propionil-CoA dengan enam unit metilmalonil-CoA.
Pembentukan eritronolid diawali dengan kondensasi secara serempak satu unit
propionil-CoA sebagai unit pemula dengan enam unit metilmalonil-CoA sebagai unit
pengembang. Reduksi spesifik terjadi segera setelah poliketida terbentuk, baru kemudian
poliketida tereduksi ini mengalami laktonisasi membentuk 6-deoksieritronolida B.
Penggabungan antara satu unit propionil-CoA dan enam unit metil malonil-CoA
terjadi secara tahap demi tahap. Di setiap tahap kondensasinya, akan melibatkan satu unit
metilmalonil-CoA. Setiap tahap kondensasi yang terjadi akan segera diikuti dengan
reaksi reduksi β-keto kecuali pada tahap ketiga, sehingga gugus keto tetap terdapat pada
atom C-9. Pada tahap ke-empat, selain reduksi β-keto, juga terjadi dehidrasi dan reduksi
enoil. Yang kemudian setelah ke-enam tahap kondensasi selesai, baru terjadi laktonisasi
antara C-1 dengan C-13 membentuk 6-deoksieritronolida B.
Pembentukan eritronolida dari 6-deoksieritronolide B merupakan hidroksilasi
pada atom C-6 yang dikatalis oleh P450 hidroksilase (O2). Selanjutnya, dilakukan
pengikatan eritronolida B dengan L-mikarosa pada atom C-3 yang bereaksi dengan
tymidil difosfomikarosa (TDP/Tymidyl diphosphomycarose) membentuk monoglikosida,
yaitu 3-O-mikarosil eritronolida B. Kemudian D-desosamin berikatan pada C-5 yang
merupakan transfer dari TDP untuk membentuk glikosida yang merupakan percabangan
dalam biosintesis eritromisin, yaitu eritromisin D.
Reaksi hidroksilasi aglikon pada posisi C-12 dengan enzim P450 hidroksilasi
akan membentuk eritromisin C. Eritromisin C dapat diubah menjadi eritromisin A
melalui oksidasi C-12 dan O-metilasi pada C-3 melalui gugus dari mikarosa melalui
reaksi dengan S-adenosilmetionin (SAM) (Anonim). Gambaran mekanisme reaksi dari
Eritromisin A dipaparkan sebagai berikut :
O
SCoA
+
OH SCoA
O O
6
propionil-CoA
metil malonil-CoA
O
O O
O
OO
O
SCoA
O
OH
O
OH
OH
O
6-deoxyerythronolide B
1
2
3
4
5
6
7
8
9
10
11
12
13
14
15
O
OH
O
OH
OH
O
OH
erythronolide B
hidroksilase
(O 2
)
PO
O
-
O P O
O O
O
-
O
OH
OHTymidine
O
OH
O
O
OH
O
OH
O
OH
CH3
OH
CH3
TDP
(L-mikarosa)
3-O-Mycarosyl-erythronolide B
OTDP
O
N(CH3)2
OH
(D-desosamin)
O
OH
O
O
O
O
OH
O
OH
CH3
OH
CH3
O
N(CH3)2
CH3
OH
O
OH
O
O
O
O
OH
O
OH
CH3
OH
CH3
O
N(CH3)2
CH3
OH
OH
O
CH3
CH3
CH3
CH3
OH
O
O
O
O
CH3
CH3
CH3
OH
O
OH
CH3
OCH3
CH3
O
N(CH3)2
CH3
OH
OH
Erythromycin D
Erythromycin C
Erythromycin A
hidroksilase (O2
)
SAM
SAH
Gambar 6 : Mekanisme reaksi Eritromisin A
C. Sumber dan Kegunaan
1. Sumber
Setiap metabolit sekunder pasti terdapat di alam. Untuk menemukan
metabolit sekunder tersebut di dalam alam kita harus mencari tanaman dan
melakukan serangkaian proses untuk menentukan senyawa yang telah diisolasi.
Poliketida adalah famili terbesar dari produk alami yang ditemukan dalam bakteri,
jamur dan tanaman (Ben Shen, 2003). Berikut adalah percobaan dan atau penelitian
yang menemukan senyawa-senyawa yang termasuk poliketida.
a. Percobaan yang dilakukan oleh K.H. Timotius untuk melihat kimia pigmen
poliketida dari Monascus. Pigmen merupakan suatu senyawa yang menetukan
warna suatu bahan/materi, seperti cat untuk berbagai barang, pewarna makanan,
pewarna kosmetik dan sebagainya. Monascus sudah lama digunakan oleh
manusia sebagai pewarna alami makanan (natural food colorant). Monascus
adalah salah satu kapang homotalik yang termasuk kelompok Ascomycetes.
Pigmen poliketida Monascus disebut juga azaphilone. Struktur molekul
berbagai pigmen yang dibentuk Monascus antara lain ankaflavin dan monascin
adalah pigmen kuning. Rubropuktatin dan monaskurubrin adalah pigmen
oranye. Sedangkan rubropuktamin dan monoskorubramin adalah pigmen coklat.
Konsentrasi pigmen dapat diestimasi dengan menggunakan spektrofotometer
pada panjang gelombang 370, 420, dan 500 nm untuk masing-masing pigmen
kuning, oranye dan merah. Berikut gambar struktur kimia pigmen poliketida
dari monascus :
OO
O
H15C7OC
O
OO
O
H15C7OC
O
NHO
O
H15C7OC
O
OO
O
H11C5OC
O
OO
O
H11C5OC
O
NHO
O
H11C5OC
O
Monascorubrin
Anklaflavin
Monascorubramine
Rubropunctatin Monascin Rubropunctamine
Gambar 7 : Struktur Kimia pigmen poliketida dari Monascus (Sumber :
Tomotius, 2004)
b. Penelitian yang dilakukan oleh R. Rachmaniar untuk mengidentifikasi
Antikanker Swinholide dari Spons Theonella swinhoei. Spons merupakan salah
satu sumber daya laut yang terdapat pada daerah terumbu karang. Spons salah
satu biota laut yang tidak dimanfaatkan secara langsung seperti beberapa hewan
vertebrata. Untuk meningkatkan nilai tambah spons dapat dilakukan melalui
pemanfaatan metabolit sekunder yang dikandungnya. Spons merupakan anggota
dari phylum porifera. Spons adalah hewan invertebrata, multisel yang
sederhana. Setelah dilakukan pemurnian struktur dari substansi tersebut adalah
Swinholide A yaitu suatu senyawa makrolide. Swinholide A memiliki bobot
molekul 1388.86 dengan rumus molekul C78H131O20 dan menunjukkan sifat
sitotoksik terhadap sel KB, sel L1210. Dengan bentuk struktur seperti berikut :
O
CH3
OH
CH3
O
CH3
O
CH3
OH
O
CH3
OMe
OH
OH
OMe
CH3
CH3
CH3
O
OMe
OH
O
O
CH3
OH
O
CH3
OMe
OH
OH
CH3
Gambar 8 : Struktur Swinholide A (Sumber Rachmaniar, 2003)
c. Penelitian yang dilakukan oleh Kathleen S. Rein yang mengidentifikasi senyawa
poliketida pada dinoflagelata. Dinoflagellata merupakan protista laut uniseluler,
yang memproduksi poliketida terbesar dan paling kompleks yang teridentifikasi.
Aktivitas biologi dari senyawa ini cukup beragam. Senyawa ini memiliki nilai
terapi yang berpotensi sebagai agen anti-kanker serta neurotoksin mematikan.
isotop stabil dari poliketida terdiri dari tiga struktural yaitu polieter (brevetoxin
A and B), makrocycle (amphidinolides A–S), dan polieter linier. Pengertian
yang mendasar tentang genetika biosintesis poliketida dengan dinoflagellata
bisa menjadi katalis untuk pengembangan beberapa kesempatan penelitian yang
bermanfaat. Polyketida yang berasal dari dinoplagellata merupakan ulasan
dengan penekanan khusus pada farmakologi dan biosintesis. Berikut gambar
struktur dari poliketida polieter yaitu brevetoxin A dan B.
Gambar 9 : Brevetoxin A dan Brevetoxin B
2. Kegunaan
Poliketida adalah famili terbesar dari produk alami yang ditemukan dalam
bakteri, jamur dan tanaman. Senyawa-senyawa poliketida juga digunakan sebagai
pigmen warna yang didapat dari kapang, yang biasanya sebagai pewarna makanan,
pewarna kosmetik, dan sebagainya. Senyawa-senyawa poliketida juga digunakan
pada obat klinis penting seperti antibiotik yaitu senyawa eritromisin dan tetrasiklin.
Tetrasiklin merupakan senyawa antibiotik yang sudah dikenal mempunyai aktivitas
yang luas terhadap mikroba yang telah digunakan dalam bentuk obat oral. Obat
antikanker (doxorubicin) dan lovastatin yang merupakan obat antihiperkolesterol
atau agen penurunan kolesterol (Ben Shen, 2003).
BAB III
PENUTUP
A. Kesimpulan
Dari pembahasan tentang poliketida maka dapat di simpulkan bahwa Poliketida
merupakan metabolit sekunder yang mempunyai struktur dasar poliketon, beberapa
gugus karbonil yang diselingi rantai metilena. Poliketida dibentuk dari reaksi kondensasi
senyawa karbonil. Kebanyakan senyawa metabolit sekunder poliketida sudah mengalami
modifikasi reduksi gugus ketonnya. Turunan dari poliketida meliputi antrakuinon,
aflatoksin, tetrasiklin, makrolida yang berupa eritromisin dan statin diantaranya adalah
lovastatin dan mevastatin.
Biosintesis melalui jalur poliketida menggunakan prekursor asam asetat dalam
bentuk asetil-CoA (Asetil Koenzim A) yang berkondensasi membentuk struktur
poliketida yang diikuti berbagai tahap modifikasi menjadi berbagai bentuk metabolit
sekunder.
Sumber dari poliketida famili terbesar dari produk alami yang ditemukan dalam
bakteri, jamur dan tanaman. Serta kegunaan dari poliketida adalah sebagai pigmen
warna, sebagai obat antibiotik, antikanker dan antikolesterol.
DAFTAR PUSTAKA
Achmad, S.A, 1986. Kimia Organik Bahan Alam. Jakarta : Universitas Terbuka
Anonim. Secondary Metabolites : An Introduction to Natural Product Chemistry.
www.cengage.com/resource_uploads/.../0495015253_60174.pdf. diakses 15 maret
2015.
Battersy, A.R. 1998. Biosynthesis Polyketide and Vitamins. Berlin : Spinger
Rachmaniar, R. 2003. Antikanker Swinholide A dari Spons Theonella swinhoei. Jurnal Bahan
Alam Indonesia ISSN 1412-2855 Vol. 2, No. 4, Juli 2003.
Raharjo, Tri Joko. 2013. Kimia Hasil Alam. Yogyakarta : Pustaka Belajar
Rein, Kathleen S., James Borrone. 1999. Polyketides from dinoflagellates: origins,
pharmacology and biosynthesis. Comparative Biochemistry and Physiology Part B 124
(1999) 117–131
Shen, Ben. 2003. Polyketide biosynthesis beyond the type I, II and III polyketide synthase
paradigms. USA : Current Opinion in Chemical Biology
Timotius, K.H. 2004. Produksi Pigmen Angkak oleh Monascus. Jurnal Teknologi dan Industri
Pangan, Vol. XV, No.1 (79-86)

Poliketida

  • 1.
    TUGAS KIMIA ORGANIK SENYAWAMETABOLIT SEKUNDER POLIKETIDA OLEH: BAIQ LAELA PUSPITASARI I2E 014 002 PROGRAM PASCASARJANA PENDIDIKAN IPA UNIVERSITAS MATARAM 2015
  • 2.
    KATA PENGANTAR Puji syukurkehadirat Allah SWT atas segala limpahan Rahmat, Taufik dan Hidayah- Nya sehingga saya dapat menyelesaikan tugas Kimia Organik dengan judul Senyawa Metabolit Sekunder Poliketida tepat pada waktunya baik dalam bentuk maupun isinya yang sangat sederhana. Harapan saya semoga dapat menambah wawasan, pengetahuan dan pengalaman bagi para pembaca dalam memahami tentang Senyawa Poliketida pada matakuliah Kimia Organik. Saya menyadari bahwa Makalah ini masih banyak kekurangan karena pengalaman, dan reprensi yang kami miliki masih sangat kurang, oleh kerena itu kami berharap kepada para pembaca untuk memberikan masukan-masukan yang sifatnya membangun untuk kesempurnaan tugas ini. Mataram, April 2015 Penyusun
  • 3.
    BAB I PENDAHULUAN A. LatarBelakang Alam mengandung beberapa senyawa, seperti pada tumbuhan. Setiap komponen dari tumbuhan yaitu akar, batang daun dan bunga memiliki senyawa yang terkandung di dalammnya. Bukan hanya tanaman beberapa organisme seperti bakteri dan jamur/fungi juga memiliki beberapa senyawa yang tidak teridentifikasi sampai dilakukannya penelitian lanjutan. Senyawa-senyawa yang terkandung tersebut merupakan hasil samping dari metabolit primer yaitu metabolit sekunder. Metabolit sekunder adalah metabolit antara atau produk metabolisme yang ditemukan secara unik pada suatu kelompok taksonomi organisme tertentu, bukan merupakan senyawa yang esensial untuk hidup dan tumbuh, dan dibiosintesis dari satu atau lebih metabolit primer dengan jalur biosintesis yang berbeda dibanding jalur metabolisme pada umumnya. Penggolongan metabolit sekunder selain didasarkan pada struktur senyawanya juga didasarkan pada jalur biosintesis metabolit sekunder itu terbentuk. Fungsi utama metabolit sekunder adalah sebagai senyawa dalam mekanisme pertahanan atau keberlangsungan hidup organisme terhadap kondisi lingkungannya. Beberapa golongan metabolit sekunder utama adalah terpena dan terpenoid, poliketida, fenilpropanoid, flavonoid dan stilbenoid dan alkaloid. Tetapi dalam makalah ini akan di bahas tentang poliketida.
  • 4.
    B. Rumusan Masalah Darilatar belakang tersebut, dapat dirumuskan masalahnya sebagai berikut : 1. Bagaimanakah karakteristik dari senyawa poliketida? 2. Apa saja yang termasuk dalam senyawa poliketida? 3. Bagaimanakan biosintesis dari salah satu senyawa poliketida? 4. Dari mana saja sumber senyawa poliketida? 5. Apa saja kegunaan dari senyawa poliketida? C. Tujuan Adapun tujuan yang ingin diketahui antara lain : 1. Untuk mengetahui karakteristik senyawa poliketida. 2. Untuk mengetahui jenis dari senyawa poliketida. 3. Untuk mengetahui biosintesis dari salah satu senyawa poliketida. 4. Untuk mengetahui sumber dari senyawa poliketida. 5. Untuk mengetahui kegunaan dari senyaw poliketida..
  • 5.
    BAB II PEMBAHASAN MATERI A.Karakteristik Poliketida Poliketida merupakan metabolit sekunder yang mempunyai struktur dasar poliketon, beberapa gugus karbonil yang diselingi rantai metilena. Poliketida dibentuk dari reaksi kondensasi senyawa karbonil. Kebanyakan senyawa metabolit sekunder poliketida sudah mengalami modifikasi reduksi gugus ketonnya (Raharjo, 2013). Fitur umum dari produk alami poliketida adalah produk poliketida dibiosintesis dengan penambahan secara berulang gugus karbonil yang biasanya terdiri dari dua atau tiga karbon untuk membentuk rantai linear. Rantai yang dihasilkan bisa berupa suatu poliketon atau dapat memiliki susunan gugus fungsi yang diturunkan dari modifikasi reduktif sebagian besar atau semua kelompok keto dari sebuah poliketon (Battersy, 1998). Pada poliketika bentuk strukturnya berupa struktur heterosiklik yang banyak ditemui dalam berbagai golongan senyawa metabolit sekunder. Sistem heterosiklik O banyak ditemui dalam senyawa-senyawa poliketida (Raharjo, 2013). Beberapa contoh yang mewakili kelompok poliketida yang dijelaskan dalam Raharjo (2013) sebagai berikut : 1. Antrakuinon Antrakuinon merupakan metabolit sekunder dengan struktur tersiklik dengan dua cincin aromatis disamping dengan struktur siklik ditengah mengandung diketon. Adanya struktur aromatis dan diketon menunjukkan bahwa struktur antrakuinon mengikuti jalur biosintesis poliketida. Antrakuinon nerupakan hasil siklisasi dari ester poliketo C16 hasil kondensasi asetil-CoA dengan 7 malonil-CoA yang dilanjutkan dengan siklisasi mengikuti mekanisme reaksi aldol. Antrakuinon kebanyakan terdapat pada jamur. Contoh senyawa yang di biosintesis dari antrakuinon antara lain; endokokrin, hiperisin, karkarosida dan senosida. Struktur umum dari antrakuinon diperlihatkan pada gambar 3: O O Gambar 1 : Struktur Antrakuinon (Sumber : Raharjo, 2013)
  • 6.
    2. Aflatoksin Biosintesis aflatoksinmelibatkan pembentukan metabolit antrakuinon, namun demikian keberadaan rantai samping alkil menyebabkan terjadinya proses siklisasi tambahan yang tidak terdapat pada antrakuinon yang berasal dari asetil-CoA. Di antara senyawa aflatoksin adalah aflatoksin B1, B2, G1, G2 dan M1. Aflatoksin merupakan sekelompok senyawa toksik dan karsinogenik dan dianggap bertanggung jawab sebagai salah satu penyebab kanker hati. Berikut struktur dari aflatoksin B1 dan G1 pada gambar 4 : O O O O OO H H O O O O O O O H H Gambar 2 : Aflatoksin B1 dan Aflatoksin G1 (Sumber : Raharjo, 2013) 3. Tetrasiklin Tetrasiklik adalah metabolit lain dari yang dihasilkan melalui kondensasi poliketida. Prekursor yang berkondensasi dengan malonil-CoA adalah kelompok senyawa malanoamil-CoA seperti malonat semiamida, sehingga semua atom C pada kerangka tetrasiklin berasal dari malonat. Tetrasiklin merupakan senyawa antibiotik yang sudah dikenal mempunyai aktivitas yang luas terhadap mikroba dan telah digunakan dalam bentuk obat oral. Selain tetrasiklin, struktur senyawa yang terbentuk antara lain; klortetrasiklin, oksitetrasiklin, dan demeklosiklin. Struktur dari tetrasiklin ditunjukkan pada gambar 5: NH2 OH OOOHOOH H H H H N OH Gambar 3 : tetrasiklin (sumber : Raharjo, 2013) 4. Makrolida Makrolida merupakan kelompok senyawa yang memiliki aktivitas antibiotik yang ditandai dengan struktur cincin makrosiklik lakton biasanya merupakan cincin beranggota 12, 14 dan 16. Eritromisin merupakan senyawa makrolida cincin 14 yang merupakan senyawa antibiotik yang pertama kali dikarakteristik dari
  • 7.
    Saccharopolyspora erythraea. Biosintesiseritromisin melibatkan kondensasi propionil CoA dengan 6 metilmalonil-CoA. Eritromisin mempunyai tiga struktur, eritromisin A, B, dan C. Struktur dari eritromisin A ditunjunkkan pada gambar 6: O CH3 CH3 CH3 CH3 OH O O O O CH3 CH3 CH3 OH O OH CH3 OCH3 CH3 O N(CH3)2 CH3 OH OH Gambar 4 : Eritromisin A (Sumber : Raharjo, 2013) 5. Statin Mevastatin dan lovastatin merupakan dua contoh senyawa statin yang cukup terkenal. Senyawa-senyawa tersebut didapat dari biosintesis yang melibatkan kondensasi asetil-CoA dengan 8 malonil-CoA. Modifikasi lain dari lovastatin selain mevastatin adalah simvastatin. Simvastatin merupakan hasil hidrolisi lovastatin yang diesterifikasi lagi dengan asam yang berbeda menghasilkan aktivitas yang jauh lebih besar dibandingkan lovastatin. Struktur dari senyawa mevastatin dan lovastatin ditunjukkan pada gambar 7: O H O O OH O O H O O OH O Gambar 5: Lovastin dan mevastatin (Sumber : Raharjo, 2013) B. Biosintesis Poliketida Biosintesis metabolit sekunder pada poliketida melalui jalur yang bernama jalur poliketida. Jalur poliketida merupakan jalur yang menggunakan prekursor asam asetat dalam bentuk asetil-CoA (Asetil Koenzim A) yang berkondensasi membentuk struktur poliketida yang diikuti berbagai tahap modifikasi menjadi berbagai bentuk metabolit
  • 8.
    sekunder. Pada kondensasipoliketida asetil-CoA sering kali disebut sebagai prekursor starter, sedangkan malonil-CoA dikenal sebagai prekursor extender. Achmad (1986) menjelaskan bahwa asam asetat (suatu C2) adalah unit struktural yang paling umum digunakan oleh organisme untuk menghasilkan senyawa-senyawa bahan alam, kadangkala dengan struktur yang agak rumit. Asam asetat adalah sumber utama bagi atom karbon untuk pembentukan poliketida melalui penggabungan unit-unit asam asetat melalui kondensasi aldol ataupun kondensasi Claisen yang berupa rantai poliasetil yang menurunkan senyawa-senyawa poliketida. Pada biosintesis poliketida tahapan reduksi dan seterusnya tidak selalu terjadi tetapi proses kondensasi hanya menghasilkan bentuk ester poli-β-keto. Bentuk ester poli-β-keto selanjutnya mengalami proses siklisasi mengikuti mekanisme kondensasi aldol maupun Claissen yang diikuti berbagai modifikasi yang menjadikan struktur poliketida yang beragam. Proses siklisasi terhadap ester poli-β-keto menghasilkan struktur fenolik. Hal ini menunjukkan bahwa jalur biosintesis metabolit sekunder melalui jalur poliketida menggunakan PKS merupakan sumber senyawa aromatis selain jalur asam shikimat. Proses siklisasi ester poliketo mengikuti dua reaksi, reaksi aldol dan reaksi Claisen. Kondensasi aldol melibatkan kondensasi salah satu gugus keton pada poliketo dengan enolat atau karbanion pada jarak tertentu. Kondensasi aldol menyisakan struktur ester yang berada dalam bentuk ester koenzim A atau ester dengan gugus enzim tergantung tipe PKS yang mengkatalisis reaksi. Pada reaksi siklisasi dengan kondensasi Claisen terjadi kondensasi antara gugus karbonil ester dengan enolat atau karbanion. Karena ester mengalami reaksi maka hasil siklisasi pada akhirnya adalah bentuk yang lebih tereduksi. Enzim utama dalam biosintesis poliketida adalah poliketida sintase atau yang lebih dikenal sebagai PKS (polyketide synthase). PKS juga memiliki beberapa tipe, yaitu tipe I, tipe II dan tipe III. PKS tipe I pada mamalia di mana satu molekul enzim besardengan berbagai aktivitas didalamnya. PKS tipe II pada mikroba dan tanaman di mana aktivitas-aktivitas enzim dikandung oleh enzim-enzim yang berbeda meskipun masih membentuk suatu klaster. PKS tipe III biasanya merupakan protein kecil dengan hanya mempunyai aktivitas kondensasi dan siklisasi (Raharjo, 2013). Salah satu senyawa poliketida adalah Eritromisin. Biosintesis eritromisin diawali dengan kondensasi tipe Claisen antara 1 unit propionil-CoA dan 6 unit metilmalonil- CoA. Dengan demikian, propionil-CoA disebut sebagai prekursor utama biosintesis eritromisin. Senyawa 6-deoksieritronolid B merupakan senyawa antara pada proses
  • 9.
    biosintesis eritromisin. Eritronolidmerupakan hasil kondensasi antara satu unit propionil-CoA dengan enam unit metilmalonil-CoA. Pembentukan eritronolid diawali dengan kondensasi secara serempak satu unit propionil-CoA sebagai unit pemula dengan enam unit metilmalonil-CoA sebagai unit pengembang. Reduksi spesifik terjadi segera setelah poliketida terbentuk, baru kemudian poliketida tereduksi ini mengalami laktonisasi membentuk 6-deoksieritronolida B. Penggabungan antara satu unit propionil-CoA dan enam unit metil malonil-CoA terjadi secara tahap demi tahap. Di setiap tahap kondensasinya, akan melibatkan satu unit metilmalonil-CoA. Setiap tahap kondensasi yang terjadi akan segera diikuti dengan reaksi reduksi β-keto kecuali pada tahap ketiga, sehingga gugus keto tetap terdapat pada atom C-9. Pada tahap ke-empat, selain reduksi β-keto, juga terjadi dehidrasi dan reduksi enoil. Yang kemudian setelah ke-enam tahap kondensasi selesai, baru terjadi laktonisasi antara C-1 dengan C-13 membentuk 6-deoksieritronolida B. Pembentukan eritronolida dari 6-deoksieritronolide B merupakan hidroksilasi pada atom C-6 yang dikatalis oleh P450 hidroksilase (O2). Selanjutnya, dilakukan pengikatan eritronolida B dengan L-mikarosa pada atom C-3 yang bereaksi dengan tymidil difosfomikarosa (TDP/Tymidyl diphosphomycarose) membentuk monoglikosida, yaitu 3-O-mikarosil eritronolida B. Kemudian D-desosamin berikatan pada C-5 yang merupakan transfer dari TDP untuk membentuk glikosida yang merupakan percabangan dalam biosintesis eritromisin, yaitu eritromisin D. Reaksi hidroksilasi aglikon pada posisi C-12 dengan enzim P450 hidroksilasi akan membentuk eritromisin C. Eritromisin C dapat diubah menjadi eritromisin A melalui oksidasi C-12 dan O-metilasi pada C-3 melalui gugus dari mikarosa melalui reaksi dengan S-adenosilmetionin (SAM) (Anonim). Gambaran mekanisme reaksi dari Eritromisin A dipaparkan sebagai berikut :
  • 10.
    O SCoA + OH SCoA O O 6 propionil-CoA metilmalonil-CoA O O O O OO O SCoA O OH O OH OH O 6-deoxyerythronolide B 1 2 3 4 5 6 7 8 9 10 11 12 13 14 15 O OH O OH OH O OH erythronolide B hidroksilase (O 2 ) PO O - O P O O O O - O OH OHTymidine O OH O O OH O OH O OH CH3 OH CH3 TDP (L-mikarosa) 3-O-Mycarosyl-erythronolide B OTDP O N(CH3)2 OH (D-desosamin) O OH O O O O OH O OH CH3 OH CH3 O N(CH3)2 CH3 OH O OH O O O O OH O OH CH3 OH CH3 O N(CH3)2 CH3 OH OH O CH3 CH3 CH3 CH3 OH O O O O CH3 CH3 CH3 OH O OH CH3 OCH3 CH3 O N(CH3)2 CH3 OH OH Erythromycin D Erythromycin C Erythromycin A hidroksilase (O2 ) SAM SAH Gambar 6 : Mekanisme reaksi Eritromisin A
  • 11.
    C. Sumber danKegunaan 1. Sumber Setiap metabolit sekunder pasti terdapat di alam. Untuk menemukan metabolit sekunder tersebut di dalam alam kita harus mencari tanaman dan melakukan serangkaian proses untuk menentukan senyawa yang telah diisolasi. Poliketida adalah famili terbesar dari produk alami yang ditemukan dalam bakteri, jamur dan tanaman (Ben Shen, 2003). Berikut adalah percobaan dan atau penelitian yang menemukan senyawa-senyawa yang termasuk poliketida. a. Percobaan yang dilakukan oleh K.H. Timotius untuk melihat kimia pigmen poliketida dari Monascus. Pigmen merupakan suatu senyawa yang menetukan warna suatu bahan/materi, seperti cat untuk berbagai barang, pewarna makanan, pewarna kosmetik dan sebagainya. Monascus sudah lama digunakan oleh manusia sebagai pewarna alami makanan (natural food colorant). Monascus adalah salah satu kapang homotalik yang termasuk kelompok Ascomycetes. Pigmen poliketida Monascus disebut juga azaphilone. Struktur molekul berbagai pigmen yang dibentuk Monascus antara lain ankaflavin dan monascin adalah pigmen kuning. Rubropuktatin dan monaskurubrin adalah pigmen oranye. Sedangkan rubropuktamin dan monoskorubramin adalah pigmen coklat. Konsentrasi pigmen dapat diestimasi dengan menggunakan spektrofotometer pada panjang gelombang 370, 420, dan 500 nm untuk masing-masing pigmen kuning, oranye dan merah. Berikut gambar struktur kimia pigmen poliketida dari monascus : OO O H15C7OC O OO O H15C7OC O NHO O H15C7OC O OO O H11C5OC O OO O H11C5OC O NHO O H11C5OC O Monascorubrin Anklaflavin Monascorubramine Rubropunctatin Monascin Rubropunctamine Gambar 7 : Struktur Kimia pigmen poliketida dari Monascus (Sumber : Tomotius, 2004)
  • 12.
    b. Penelitian yangdilakukan oleh R. Rachmaniar untuk mengidentifikasi Antikanker Swinholide dari Spons Theonella swinhoei. Spons merupakan salah satu sumber daya laut yang terdapat pada daerah terumbu karang. Spons salah satu biota laut yang tidak dimanfaatkan secara langsung seperti beberapa hewan vertebrata. Untuk meningkatkan nilai tambah spons dapat dilakukan melalui pemanfaatan metabolit sekunder yang dikandungnya. Spons merupakan anggota dari phylum porifera. Spons adalah hewan invertebrata, multisel yang sederhana. Setelah dilakukan pemurnian struktur dari substansi tersebut adalah Swinholide A yaitu suatu senyawa makrolide. Swinholide A memiliki bobot molekul 1388.86 dengan rumus molekul C78H131O20 dan menunjukkan sifat sitotoksik terhadap sel KB, sel L1210. Dengan bentuk struktur seperti berikut : O CH3 OH CH3 O CH3 O CH3 OH O CH3 OMe OH OH OMe CH3 CH3 CH3 O OMe OH O O CH3 OH O CH3 OMe OH OH CH3 Gambar 8 : Struktur Swinholide A (Sumber Rachmaniar, 2003) c. Penelitian yang dilakukan oleh Kathleen S. Rein yang mengidentifikasi senyawa poliketida pada dinoflagelata. Dinoflagellata merupakan protista laut uniseluler, yang memproduksi poliketida terbesar dan paling kompleks yang teridentifikasi. Aktivitas biologi dari senyawa ini cukup beragam. Senyawa ini memiliki nilai terapi yang berpotensi sebagai agen anti-kanker serta neurotoksin mematikan. isotop stabil dari poliketida terdiri dari tiga struktural yaitu polieter (brevetoxin A and B), makrocycle (amphidinolides A–S), dan polieter linier. Pengertian yang mendasar tentang genetika biosintesis poliketida dengan dinoflagellata
  • 13.
    bisa menjadi katalisuntuk pengembangan beberapa kesempatan penelitian yang bermanfaat. Polyketida yang berasal dari dinoplagellata merupakan ulasan dengan penekanan khusus pada farmakologi dan biosintesis. Berikut gambar struktur dari poliketida polieter yaitu brevetoxin A dan B. Gambar 9 : Brevetoxin A dan Brevetoxin B 2. Kegunaan Poliketida adalah famili terbesar dari produk alami yang ditemukan dalam bakteri, jamur dan tanaman. Senyawa-senyawa poliketida juga digunakan sebagai pigmen warna yang didapat dari kapang, yang biasanya sebagai pewarna makanan, pewarna kosmetik, dan sebagainya. Senyawa-senyawa poliketida juga digunakan pada obat klinis penting seperti antibiotik yaitu senyawa eritromisin dan tetrasiklin. Tetrasiklin merupakan senyawa antibiotik yang sudah dikenal mempunyai aktivitas yang luas terhadap mikroba yang telah digunakan dalam bentuk obat oral. Obat antikanker (doxorubicin) dan lovastatin yang merupakan obat antihiperkolesterol atau agen penurunan kolesterol (Ben Shen, 2003).
  • 14.
    BAB III PENUTUP A. Kesimpulan Daripembahasan tentang poliketida maka dapat di simpulkan bahwa Poliketida merupakan metabolit sekunder yang mempunyai struktur dasar poliketon, beberapa gugus karbonil yang diselingi rantai metilena. Poliketida dibentuk dari reaksi kondensasi senyawa karbonil. Kebanyakan senyawa metabolit sekunder poliketida sudah mengalami modifikasi reduksi gugus ketonnya. Turunan dari poliketida meliputi antrakuinon, aflatoksin, tetrasiklin, makrolida yang berupa eritromisin dan statin diantaranya adalah lovastatin dan mevastatin. Biosintesis melalui jalur poliketida menggunakan prekursor asam asetat dalam bentuk asetil-CoA (Asetil Koenzim A) yang berkondensasi membentuk struktur poliketida yang diikuti berbagai tahap modifikasi menjadi berbagai bentuk metabolit sekunder. Sumber dari poliketida famili terbesar dari produk alami yang ditemukan dalam bakteri, jamur dan tanaman. Serta kegunaan dari poliketida adalah sebagai pigmen warna, sebagai obat antibiotik, antikanker dan antikolesterol.
  • 15.
    DAFTAR PUSTAKA Achmad, S.A,1986. Kimia Organik Bahan Alam. Jakarta : Universitas Terbuka Anonim. Secondary Metabolites : An Introduction to Natural Product Chemistry. www.cengage.com/resource_uploads/.../0495015253_60174.pdf. diakses 15 maret 2015. Battersy, A.R. 1998. Biosynthesis Polyketide and Vitamins. Berlin : Spinger Rachmaniar, R. 2003. Antikanker Swinholide A dari Spons Theonella swinhoei. Jurnal Bahan Alam Indonesia ISSN 1412-2855 Vol. 2, No. 4, Juli 2003. Raharjo, Tri Joko. 2013. Kimia Hasil Alam. Yogyakarta : Pustaka Belajar Rein, Kathleen S., James Borrone. 1999. Polyketides from dinoflagellates: origins, pharmacology and biosynthesis. Comparative Biochemistry and Physiology Part B 124 (1999) 117–131 Shen, Ben. 2003. Polyketide biosynthesis beyond the type I, II and III polyketide synthase paradigms. USA : Current Opinion in Chemical Biology Timotius, K.H. 2004. Produksi Pigmen Angkak oleh Monascus. Jurnal Teknologi dan Industri Pangan, Vol. XV, No.1 (79-86)