Phenolic and amino resins
Collected by :
Mohammed H. Rida
1
HISTORY
•The First phenolic resins were produced by poly
condensation of phenol with aldehyde in 1860.
•In 1860 ‘VON BAYER’ First reported the reaction
between phenol and aldehyde.
•The phenol resin condensation was used
industrially in 1902 by ‘BLUMMER’ for
production of novalacs.
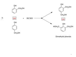
Phenol-formaldehyde (PF) resins are formed by the
polycondensation between phenol and formaldehyde,
The polycondensation reaction can be catalyzed either by acids
or bases. The acid-catalysed reaction proceeds as follows:
3
4
Similarly, the alkali-catalyzed reaction can be represented as follows:
5
In both the cases further condensation between methylol phenols
and phenols occurs to give the methylene compounds:
6
If excess of formaldehyde is taken and the reaction
allowed to continue to almost all the available ortho-
and para-positions of phenol molecules, a cross-linked
three-dimensional polymer will ultimately result:
7
Low stage of polymerization, leading only to linear molecules is done in two
ways:
1) phenol is reacted with 75% of the stoichiometric quantity of
formaldehyde using an acid catalyst .In this case, owing to an
insufficient quantity of the formaldehyde , only linear molecules are
formed :
The resin formed can be stored for any length of time without
hardening , and further cross-linking, whenever necessary, can
be effected by: adding excess of formaldehyde and then heating.
These types of PF resins are called 'novlak' resins or 'BakeIite'
resins.
8
9
2) In the second method, equimolar quantities of phenol and formaldehyde are
reacted under alkaline conditions and the reaction rate and the extent of
conversion are carefully controlled so that the reaction is carried out only up to
linear stage.
 The resin formed however, contains the entire quantity of methylol groups at
the
ortho and para positions and ,hence, on storage, slow reaction will continue
leading to the hardening of the resin. This type of resin which is called 'resol',
has, therefore, a limited 'shelf life'.
 Resols can be converted into the final cured product merely by heating Cure
reactions of 'resols' and 'novolak' .
 The Bakelite resins are usually compounded with fillers such as asbestos
powder sawdust and used for moulding electrical items telephone instruments.
10
The resols are used for making laminates.
Paper, fabric or asbestos cloth are impregnated with the
resols, and many layers of the impregnated material are
pressed together in a hydraulic press and heated to around
150oC.
The resin cures under pressure and bonds the various layers
firmly ,to form a single sheet of a. greater thickness.
Phenolic laminates are used in electrical circuits, Resols as
well as- novolak resins are used as coating compositions also.
Mixed with sand, they fined use as core binders in foundries.
11
Urea-formaldehyde And Melamine Formaldehyde Resins
 Urea can condense with formaldehyde to form Urea-
formaldehyde (UF) resins.
 The reaction proceeds in a manner similar to the
formation of the phenol-formaldehyde (PF) resin. Here
also, mono- and dimethylol derivatives are formed,
which further condense with urea to give the final
resin structure.
12
13
 The hydrogen atoms of the Imide group in the linear polymer can
be further replaced with methylol groups if excess of
formaldehyde is used:
 As in the case of PF resins, the final composition of the
polymer depends on the ratio of the urea to formaldehyde.
 If the linear polymers heated subsequently with more
formaldehyde a three dimensional network of the polymer
will be produced with the following structure :
14
15
Melamine and formaldehyde can also react to give
methylol derivatives of melamine as shown :
The poly-condensation of methylol melamine derivatives with
larger quantities of melamine will give a linear polymer this
polymer when reacted further with additional quantities of
formaldehyde, will give a three-dimensional network as shown
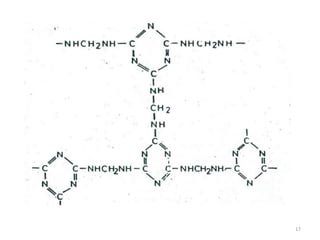
which is found to be insoluble in many solvents.
methylol melaminemelamine
16
17
uncross-linked UF and MF resins (amino resins) :
-are water soluble .
-find use as sizing agents and textile-finishing resins.
-used in the paper industry to improve the wet strength of paper.
-the plywood industry, they are used as adhesives.
Melamine-
formaldehyde
polymers
urea-formaldehyde
polymers
Heat resistance Better Less
Moisture resistance Better Less
hardness Higher Lower
18
Melamine resin also finds use in :
-manufacture of decorative laminates.
- used for the preparation of lacquers.
amino resins phenolic resins
color colorless colorful
tensile strength Better less
Hardness Better Less
Heat resistance Lower Higher
Moisture resistance lower Higher
19
20

Phenolic and amino resins

  • 1.
    Phenolic and aminoresins Collected by : Mohammed H. Rida 1
  • 2.
    HISTORY •The First phenolicresins were produced by poly condensation of phenol with aldehyde in 1860. •In 1860 ‘VON BAYER’ First reported the reaction between phenol and aldehyde. •The phenol resin condensation was used industrially in 1902 by ‘BLUMMER’ for production of novalacs.
  • 3.
    Phenol-formaldehyde (PF) resinsare formed by the polycondensation between phenol and formaldehyde, The polycondensation reaction can be catalyzed either by acids or bases. The acid-catalysed reaction proceeds as follows: 3
  • 4.
  • 5.
    Similarly, the alkali-catalyzedreaction can be represented as follows: 5
  • 6.
    In both thecases further condensation between methylol phenols and phenols occurs to give the methylene compounds: 6
  • 7.
    If excess offormaldehyde is taken and the reaction allowed to continue to almost all the available ortho- and para-positions of phenol molecules, a cross-linked three-dimensional polymer will ultimately result: 7
  • 8.
    Low stage ofpolymerization, leading only to linear molecules is done in two ways: 1) phenol is reacted with 75% of the stoichiometric quantity of formaldehyde using an acid catalyst .In this case, owing to an insufficient quantity of the formaldehyde , only linear molecules are formed : The resin formed can be stored for any length of time without hardening , and further cross-linking, whenever necessary, can be effected by: adding excess of formaldehyde and then heating. These types of PF resins are called 'novlak' resins or 'BakeIite' resins. 8
  • 9.
  • 10.
    2) In thesecond method, equimolar quantities of phenol and formaldehyde are reacted under alkaline conditions and the reaction rate and the extent of conversion are carefully controlled so that the reaction is carried out only up to linear stage.  The resin formed however, contains the entire quantity of methylol groups at the ortho and para positions and ,hence, on storage, slow reaction will continue leading to the hardening of the resin. This type of resin which is called 'resol', has, therefore, a limited 'shelf life'.  Resols can be converted into the final cured product merely by heating Cure reactions of 'resols' and 'novolak' .  The Bakelite resins are usually compounded with fillers such as asbestos powder sawdust and used for moulding electrical items telephone instruments. 10
  • 11.
    The resols areused for making laminates. Paper, fabric or asbestos cloth are impregnated with the resols, and many layers of the impregnated material are pressed together in a hydraulic press and heated to around 150oC. The resin cures under pressure and bonds the various layers firmly ,to form a single sheet of a. greater thickness. Phenolic laminates are used in electrical circuits, Resols as well as- novolak resins are used as coating compositions also. Mixed with sand, they fined use as core binders in foundries. 11
  • 12.
    Urea-formaldehyde And MelamineFormaldehyde Resins  Urea can condense with formaldehyde to form Urea- formaldehyde (UF) resins.  The reaction proceeds in a manner similar to the formation of the phenol-formaldehyde (PF) resin. Here also, mono- and dimethylol derivatives are formed, which further condense with urea to give the final resin structure. 12
  • 13.
  • 14.
     The hydrogenatoms of the Imide group in the linear polymer can be further replaced with methylol groups if excess of formaldehyde is used:  As in the case of PF resins, the final composition of the polymer depends on the ratio of the urea to formaldehyde.  If the linear polymers heated subsequently with more formaldehyde a three dimensional network of the polymer will be produced with the following structure : 14
  • 15.
  • 16.
    Melamine and formaldehydecan also react to give methylol derivatives of melamine as shown : The poly-condensation of methylol melamine derivatives with larger quantities of melamine will give a linear polymer this polymer when reacted further with additional quantities of formaldehyde, will give a three-dimensional network as shown which is found to be insoluble in many solvents. methylol melaminemelamine 16
  • 17.
  • 18.
    uncross-linked UF andMF resins (amino resins) : -are water soluble . -find use as sizing agents and textile-finishing resins. -used in the paper industry to improve the wet strength of paper. -the plywood industry, they are used as adhesives. Melamine- formaldehyde polymers urea-formaldehyde polymers Heat resistance Better Less Moisture resistance Better Less hardness Higher Lower 18
  • 19.
    Melamine resin alsofinds use in : -manufacture of decorative laminates. - used for the preparation of lacquers. amino resins phenolic resins color colorless colorful tensile strength Better less Hardness Better Less Heat resistance Lower Higher Moisture resistance lower Higher 19
  • 20.