objectives
• To demonstrated the usefulness of
perturbation techniques to analyze heat
transfer problems.
• The first purpose is to assist the unfamiliar
reader in understanding the perturbation
techniques
• seeing, with the help of detailed mathematics,
how these techniques are applied to specific
problems.
• The coverage begins with an overview of the
perturbation theory and includes a brief
• discussion of the basic concepts.
• regular perturbation method.
• singular perturbation techniques such as
1. method of strained coordinates
2. method of matched asymptotic expansions
3. the method of extended perturbation
series.
1 Introduction
• Most of engineering problems, especially
some heat transfer and fluid flow equations
are nonlinear, therefore
• some of them solved using computational
fluid dynamic (numerical) method and some
are solved using the
• analytical perurbation method [1-3].
• Analytical solutions play a very important role
in heat transfer
• The governing equations for the temperature
distribution along the surfaces are nonlinear.
• In consequence, exact analytic solutions of
such nonlinear problems are not available in
general and scientists use some
approximation techniques to approximate the
solutions of nonlinear equations as a series
solution such as perturbation method;
The perturbation method
• Many physics and engineering problems can be
modelled by differential equations.
• However, it is difficult to obtain closed-form
solutions for them, especially for nonlinearones.
In most cases, only approximate solutions (either
analytical ones or numerical ones)can be
expected.
• Perturbation method is one of the well-known
methods for solving nonlinear problems
analytically.
Importance of method
• In recent years, there has appeared an ever
increasing interest of scientist and engineers
in analytical techniques for studying nonlinear
problems. Such techniques have been
dominated by the perturbation methods and
have found many applications in science,
engineering and technology.
• Finding the small parameter and exerting it
into the equation are therefore the problems
with this method.
• Perturbation method is one of the well-known
methods to solve the nonlinear equations
which was studied by a large number of
researchers such as Bellman [5] and Cole [6].
• To solve limitations which depends upon the
existence of a small parameter, developing the
method for different applications is very difficult.
• Therefore, many different new methods have
recently introduced some ways to eliminate the
small parameter such as
1. artificial parameter method introduced by Liu
2. The homotopy analysis method by Liao
3. the variational iteration method by He.
perturbation methods limitations.
• all perturbation methods require the presence
of a small parameter in the nonlinear
equation and approximate solutions of
equation containing this parameter are
expressed as series expansions in the small
parameter.
• Selection of small parameter requires a special
skill and very important
• In general, the perturbation method is valid
only for weakly nonlinear problems[Nayfeh
• (2000)]. For example, consider the following
heat transfer problem governed by the
nonlinear ordinary differential equation, see
[Abbasbandy (2006)]:
• The main disadvantage of the method is the
increasing difficulty of obtaining higher order
terms.
• In this method the solution is considered as
the summation of an infinite series which
usually converges rapidly to the exact solution.
• This simple method has been applied to solve
linear and non-linear equations of heat
transfer
• Perturbation theory is based on the concept
of an asymptotic solution
• . If the basic equations describing a phase-
change problem can be expressed such that
one of the parameters or variables is small (or
very large) then the full equations can be
approximated by letting the perturbation
quantity approach its limitand an approximate
solution can be found in terms of this
perturbation quantity.
• Such a solution approaches a limit as the
perturbation quantity approaches zero (or
infinity) and is thus an asymptotic solution.
The result can often be improved by
expanding in a series of successive
approximations, the first term of which is the
limiting solution. One then has an asymptotic
series or expansion. Thus we perturb the
limiting solution by parameter or coordinates.
• The first step in a perturbation analysis is to
identify the perturbation quantity This is done by
expressing the mathematical model in a
dimensionless form, assessing the order of
magnitude of different terms and identifying the
term that is small compared to others. The
coefficient of this term, which could be a
dimensionless parameter or a dimensionless
variable, is then chosen as a perturbation
quantity and designated by the symbol ϵ.
• Once ϵ is identified, the solution is assumed as
an asymptotic series of ϵ. Next, this series
solution is substituted into the governing
equations for the problem. By equating the
coefficients of each power of ϵ to zero, one
can generate a sequence of subproblems.
These problems are solved in succession to
obtain the unknown coefficients of the series
solution.
• The foregoing procedure is termedparameter perturbation
or coordinate perturbation depending on whether e is a
parameteror a coordinate. In either ease, a further
distinction is made between regular perturbation if the
expansion is uniformly valid and singular perturbation if
the expansion fails in certain regions ofthe domain. When
a singular perturbation expansion is encountered, the
usefulness ofthe solution is limited unless it can be
rendered uniformly valid. Note that the terms in the
expansion need not be convergent for the results to be
useful since its asymptotic nature assures that only a few
• terms may yield adequate accuracy for small values of e.
ASYMPTOTIC POINT OF VIEW
• In `classical' perturbation problems, the
solution can be written as a series expansion
in
• the small parameter. In singular perturbation
problems this can be done as well, but the
• domain where the problem is dened has to be
divided in subdomains, in each of which other
• series expansions are valid.
•a review of the perturbation theory and
outlines
1.the regular perturbation method method
of strained coordinates
2.method of matched asymptotic
expansions
3.recently developed method of extended
perturbation series.
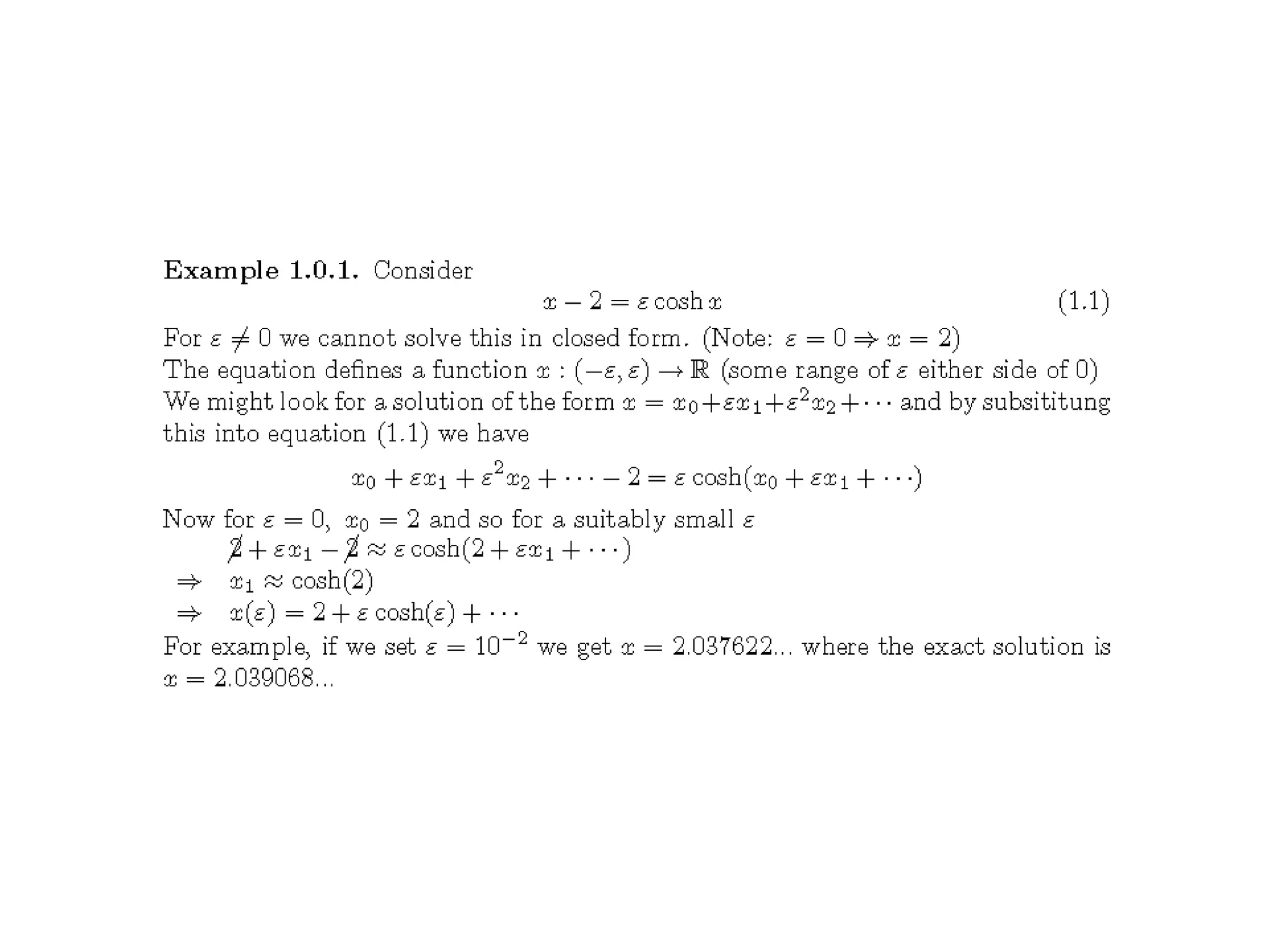
• Example 1.0.1. Consider
• x − 2 = ε cosh x (1.1)
• For ε = 0 we cannot solve this in closed form. (Note: ε = 0 ⇒ x = 2)
• The equation defines a function x : (−ε, ε) → R (some range of ε either side of 0)
• We might look for a solution of the form x = x0+εx1+ε2x2+· · · and by subsititung
• this into equation (1.1) we have
x0 + εx1 + ε2x2 + · · · − 2 = ε cosh(x0 + εx1 + · · ·)
Now for ε = 0, x0 = 2 and so for a suitably small ε
2 + εx1 − 2 ≈ ε cosh(2 + εx1 + · · · )
⇒ x1 ≈ cosh(2)
⇒ x(ε) = 2 + ε cosh(ε) + · · ·
For example, if we set ε = 10−2 we get x = 2.037622... where the exact solution is
x = 2.039068...
CONCLUDING REMARKS
• The perturbation approach has proved
effective and convenient in one-dimensional
situations, However, the method has also
limited success with two-dimensional cases;
• Despite their limited success in more complex
problems, perturbation methods often prove
invaluable in illuminating the physics of the
problem.

Perturbation methods last

  • 2.
    objectives • To demonstratedthe usefulness of perturbation techniques to analyze heat transfer problems. • The first purpose is to assist the unfamiliar reader in understanding the perturbation techniques • seeing, with the help of detailed mathematics, how these techniques are applied to specific problems.
  • 3.
    • The coveragebegins with an overview of the perturbation theory and includes a brief • discussion of the basic concepts. • regular perturbation method. • singular perturbation techniques such as 1. method of strained coordinates 2. method of matched asymptotic expansions 3. the method of extended perturbation series.
  • 4.
    1 Introduction • Mostof engineering problems, especially some heat transfer and fluid flow equations are nonlinear, therefore • some of them solved using computational fluid dynamic (numerical) method and some are solved using the • analytical perurbation method [1-3].
  • 5.
    • Analytical solutionsplay a very important role in heat transfer
  • 6.
    • The governingequations for the temperature distribution along the surfaces are nonlinear. • In consequence, exact analytic solutions of such nonlinear problems are not available in general and scientists use some approximation techniques to approximate the solutions of nonlinear equations as a series solution such as perturbation method;
  • 7.
    The perturbation method •Many physics and engineering problems can be modelled by differential equations. • However, it is difficult to obtain closed-form solutions for them, especially for nonlinearones. In most cases, only approximate solutions (either analytical ones or numerical ones)can be expected. • Perturbation method is one of the well-known methods for solving nonlinear problems analytically.
  • 8.
    Importance of method •In recent years, there has appeared an ever increasing interest of scientist and engineers in analytical techniques for studying nonlinear problems. Such techniques have been dominated by the perturbation methods and have found many applications in science, engineering and technology.
  • 9.
    • Finding thesmall parameter and exerting it into the equation are therefore the problems with this method. • Perturbation method is one of the well-known methods to solve the nonlinear equations which was studied by a large number of researchers such as Bellman [5] and Cole [6].
  • 10.
    • To solvelimitations which depends upon the existence of a small parameter, developing the method for different applications is very difficult. • Therefore, many different new methods have recently introduced some ways to eliminate the small parameter such as 1. artificial parameter method introduced by Liu 2. The homotopy analysis method by Liao 3. the variational iteration method by He.
  • 11.
    perturbation methods limitations. •all perturbation methods require the presence of a small parameter in the nonlinear equation and approximate solutions of equation containing this parameter are expressed as series expansions in the small parameter. • Selection of small parameter requires a special skill and very important
  • 12.
    • In general,the perturbation method is valid only for weakly nonlinear problems[Nayfeh • (2000)]. For example, consider the following heat transfer problem governed by the nonlinear ordinary differential equation, see [Abbasbandy (2006)]:
  • 13.
    • The maindisadvantage of the method is the increasing difficulty of obtaining higher order terms.
  • 14.
    • In thismethod the solution is considered as the summation of an infinite series which usually converges rapidly to the exact solution. • This simple method has been applied to solve linear and non-linear equations of heat transfer
  • 15.
    • Perturbation theoryis based on the concept of an asymptotic solution
  • 16.
    • . Ifthe basic equations describing a phase- change problem can be expressed such that one of the parameters or variables is small (or very large) then the full equations can be approximated by letting the perturbation quantity approach its limitand an approximate solution can be found in terms of this perturbation quantity.
  • 17.
    • Such asolution approaches a limit as the perturbation quantity approaches zero (or infinity) and is thus an asymptotic solution. The result can often be improved by expanding in a series of successive approximations, the first term of which is the limiting solution. One then has an asymptotic series or expansion. Thus we perturb the limiting solution by parameter or coordinates.
  • 18.
    • The firststep in a perturbation analysis is to identify the perturbation quantity This is done by expressing the mathematical model in a dimensionless form, assessing the order of magnitude of different terms and identifying the term that is small compared to others. The coefficient of this term, which could be a dimensionless parameter or a dimensionless variable, is then chosen as a perturbation quantity and designated by the symbol ϵ.
  • 19.
    • Once ϵis identified, the solution is assumed as an asymptotic series of ϵ. Next, this series solution is substituted into the governing equations for the problem. By equating the coefficients of each power of ϵ to zero, one can generate a sequence of subproblems. These problems are solved in succession to obtain the unknown coefficients of the series solution.
  • 20.
    • The foregoingprocedure is termedparameter perturbation or coordinate perturbation depending on whether e is a parameteror a coordinate. In either ease, a further distinction is made between regular perturbation if the expansion is uniformly valid and singular perturbation if the expansion fails in certain regions ofthe domain. When a singular perturbation expansion is encountered, the usefulness ofthe solution is limited unless it can be rendered uniformly valid. Note that the terms in the expansion need not be convergent for the results to be useful since its asymptotic nature assures that only a few • terms may yield adequate accuracy for small values of e.
  • 21.
    ASYMPTOTIC POINT OFVIEW • In `classical' perturbation problems, the solution can be written as a series expansion in • the small parameter. In singular perturbation problems this can be done as well, but the • domain where the problem is dened has to be divided in subdomains, in each of which other • series expansions are valid.
  • 22.
    •a review ofthe perturbation theory and outlines 1.the regular perturbation method method of strained coordinates 2.method of matched asymptotic expansions 3.recently developed method of extended perturbation series.
  • 24.
    • Example 1.0.1.Consider • x − 2 = ε cosh x (1.1) • For ε = 0 we cannot solve this in closed form. (Note: ε = 0 ⇒ x = 2) • The equation defines a function x : (−ε, ε) → R (some range of ε either side of 0) • We might look for a solution of the form x = x0+εx1+ε2x2+· · · and by subsititung • this into equation (1.1) we have x0 + εx1 + ε2x2 + · · · − 2 = ε cosh(x0 + εx1 + · · ·) Now for ε = 0, x0 = 2 and so for a suitably small ε 2 + εx1 − 2 ≈ ε cosh(2 + εx1 + · · · ) ⇒ x1 ≈ cosh(2) ⇒ x(ε) = 2 + ε cosh(ε) + · · · For example, if we set ε = 10−2 we get x = 2.037622... where the exact solution is x = 2.039068...
  • 25.
    CONCLUDING REMARKS • Theperturbation approach has proved effective and convenient in one-dimensional situations, However, the method has also limited success with two-dimensional cases; • Despite their limited success in more complex problems, perturbation methods often prove invaluable in illuminating the physics of the problem.