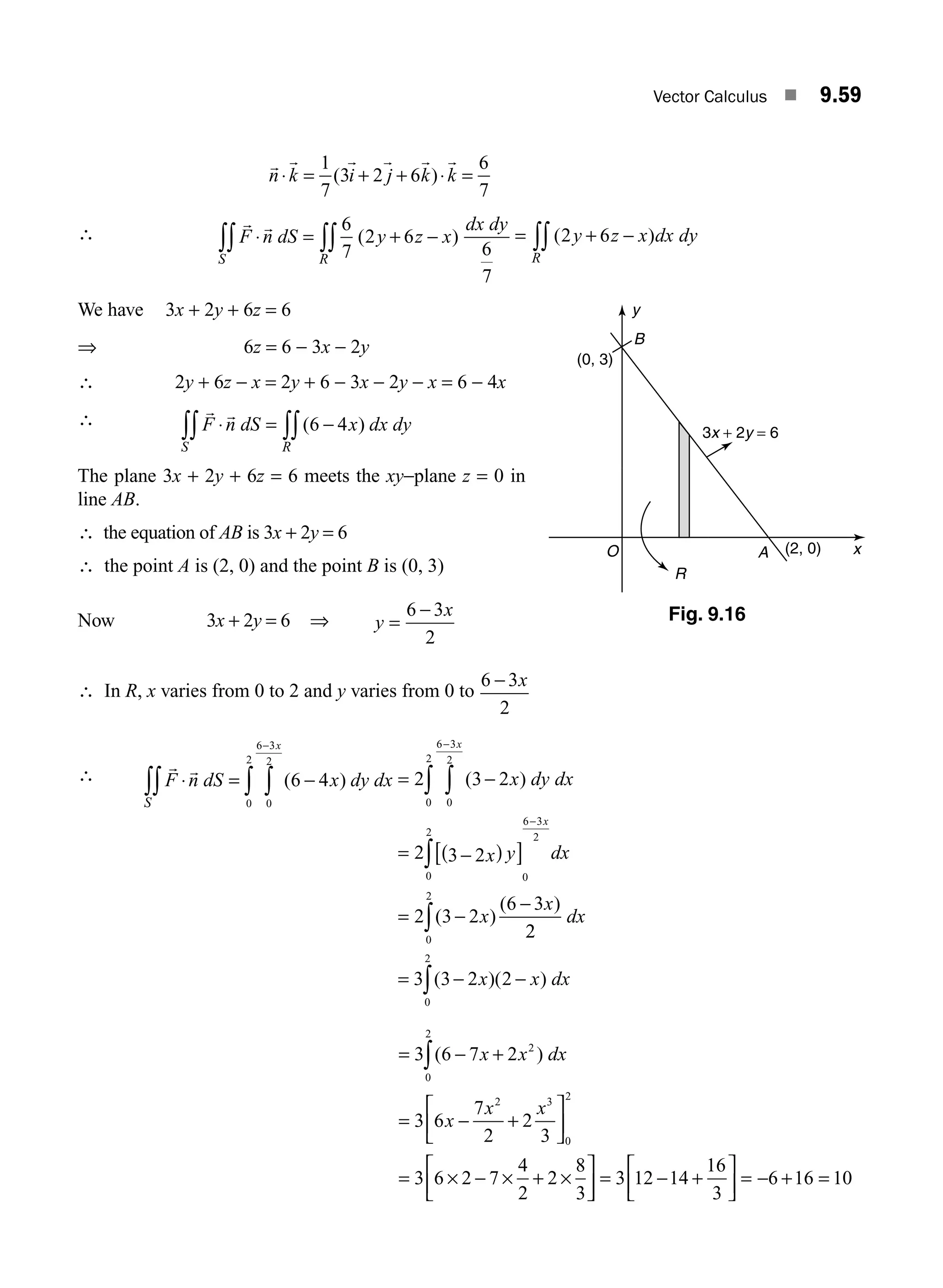
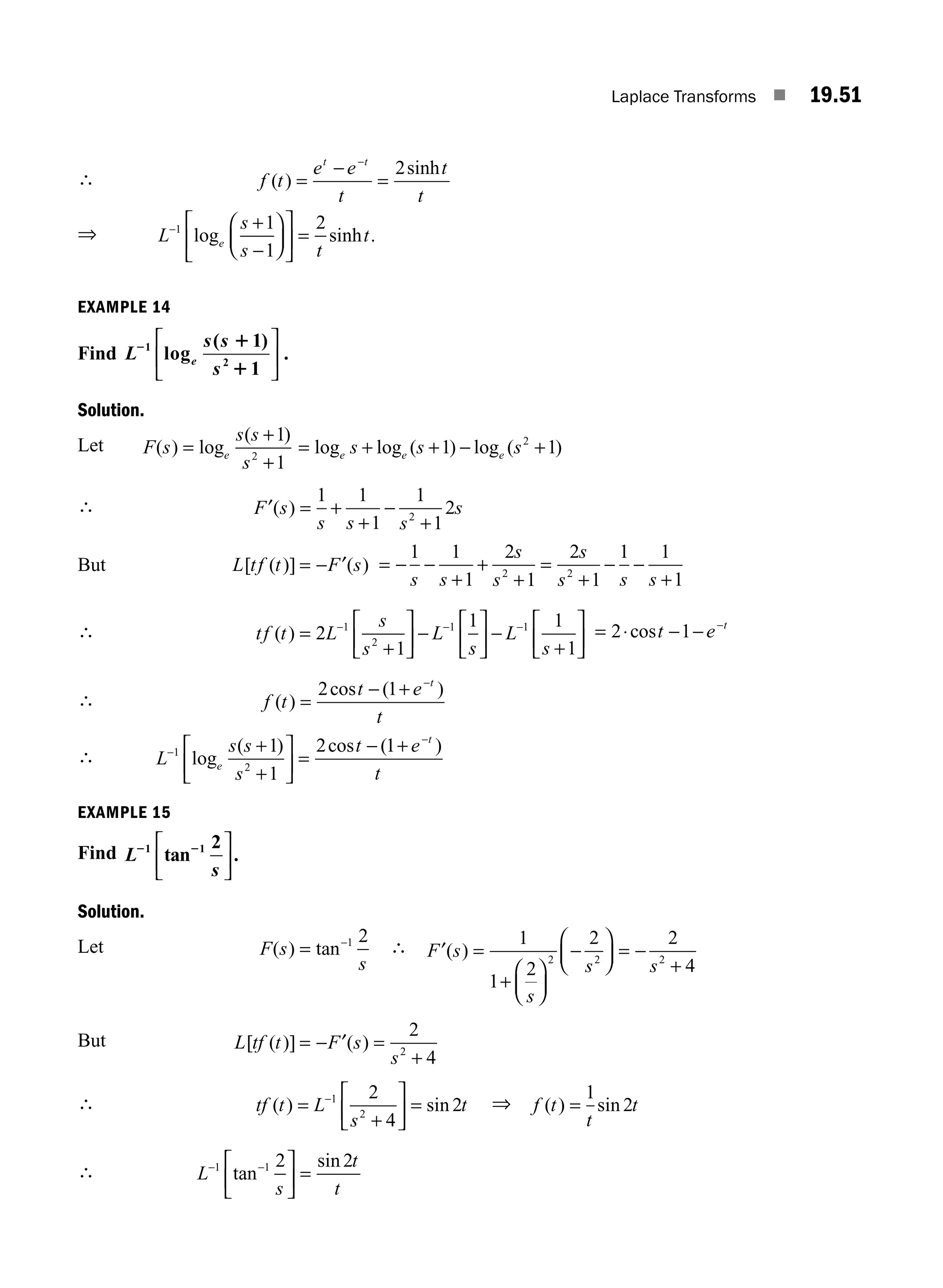
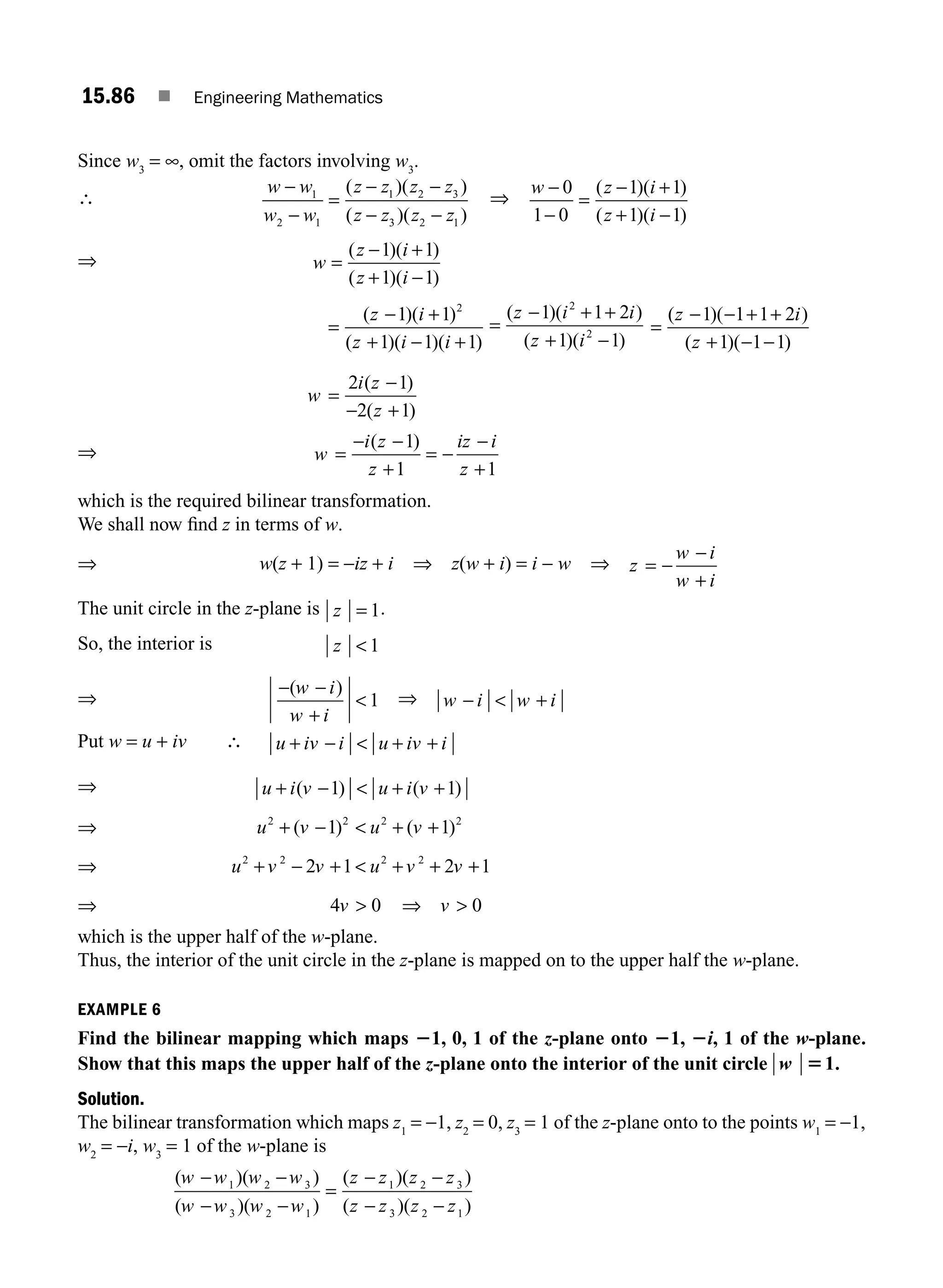
Pearson is the world’s learning company, with presence across 70 countries
worldwide. Our unique insights and world-class expertise comes from a long
history of working closely with renowned teachers, authors and thought leaders,
as a result of which, we have emerged as the preferred choice for millions of
teachers and learners across the world.
We believe learning opens up opportunities, creates fulfilling careers and hence
better lives. We hence collaborate with the best of minds to deliver you class-
leading products, spread across the Higher Education and K12 spectrum.
Superior learning experience and improved outcomes are at the heart of
everything we do. This product is the result of one such effort.
Your feedback plays a critical role in the evolution of our products and you can
reachus@pearson.com. We look forward to it.
About Pearson
A01_ENGINEERING_MATHEMATICS-I _FM - (Reprint).indd 1 3/2/2017 6:17:51 PM
This page is intentionally left blank
Engineering Mathematics
P. Sivaramakrishna Das
Professor of Mathematics
and
Head of the P.G. Department of Mathematics (Retired)
Ramakrishna Mission Vivekananda College
Mylapore, Chennai
Presently
Professor of Mathematics
and
Head of the Department of Science and Humanities
K.C.G College of Technology
(a unit of Hindustan Group of Institutions
Karapakkam, Chennai)
C. Vijayakumari
Professor of Mathematics (Retired)
Queen Mary’s College (Autonomous)
Mylapore, Chennai
A01_ENGINEERING_MATHEMATICS-I _FM - (Reprint).indd 3 3/2/2017 6:17:52 PM
A01_ENGINEERING_MATHEMATICS-I _FM - (Reprint).indd 4 3/2/2017 6:17:52 PM
Copyright © 2017 Pearson India Education Services Pvt. Ltd
Published by Pearson India Education Services Pvt. Ltd, CIN: U72200TN2005PTC057128, formerly
known as TutorVista Global Pvt. Ltd, licensee of Pearson Education in South Asia.
No part of this eBook may be used or reproduced in any manner whatsoever without the publisher’s
prior written consent.
This eBook may or may not include all assets that were part of the print version. The publisher
reserves the right to remove any material in this eBook at any time.
eISBN 978-93-325-8776-2
Registered office: 4th Floor, Software Block, Elnet Software City, TS-140, Block 2 & 9, Rajiv
Gandhi Salai, Taramani, Chennai 600 113, Tamil Nadu, India.
Fax: 080-30461003, Phone: 080-30461060
www.pearson.co.in, Email: companysecretary.india@pearson.com
Head Office: 15th Floor, Tower-B, World Trade Tower, Plot No. 1, Block-C, Sector 16,
Noida 201 301, Uttar Pradesh, India.
ISBN 978-93-325-1912-1
Dedicated
to
Our Beloved Parents
A01_ENGINEERING_MATHEMATICS-I _FM - (Reprint).indd 5 3/2/2017 6:17:52 PM
This page is intentionally left blank
Prefacexxxi
About the Authors xxxiii
A. ALGEBRA
1. Matrices 1.1
2. Sequences and Series 2.1
B. CALCULUS
3. Differential Calculus 3.1
4. Applications of Differential Calculus 4.1
5. Differential Calculus of Several Variables 5.1
6. Integral Calculus 6.1
7. Improper Integrals 7.1
8. Multiple Integrals 8.1
9. Vector Calculus 9.1
C. DIFFERENTIAL EQUATIONS
10. Ordinary First Order Differential Equations 10.1
11. Ordinary Second and Higher Order Differential Equations 11.1
12. Applications of Ordinary Differential Equations 12.1
13. Series Solution of Ordinary Differential Equations and Special Functions 13.1
14. Partial Differential Equations 14.1
Brief Contents
A01_ENGINEERING_MATHEMATICS-I _FM - (Reprint).indd 7 3/2/2017 6:17:52 PM
viii n Brief Contents
D. COMPLEX ANALYSIS
15. Analytic Functions 15.1
16. Complex Integration 16.1
E. SERIES AND TRANSFORMS
17. Fourier Series 17.1
18. Fourier Transforms 18.1
19. Laplace Transforms 19.1
F. APPLICATIONS
20. Applications of Partial Differential Equations 20.1
Index  I.1
A01_ENGINEERING_MATHEMATICS-I _FM - (Reprint).indd 8 3/2/2017 6:17:52 PM
Prefacexxxi
About the Authors xxxiii
1. Matrices 1.1
1.0 Introduction 1.1
1.1 Basic Concepts 1.1
1.1.1 Basic Operations on Matrices 1.4
1.1.2 Properties of Addition, Scalar Multiplication and Multiplication 1.5
1.2 Complex Matrices 1.7
		 Worked Examples 1.10
		 Exercise 1.1 1.13
		 Answers to Exercise 1.1 1.14
1.3 Rank of a Matrix 1.14
		 Worked Examples 1.16
		 Exercise 1.21.23
		 Answers to Exercise 1.21.24
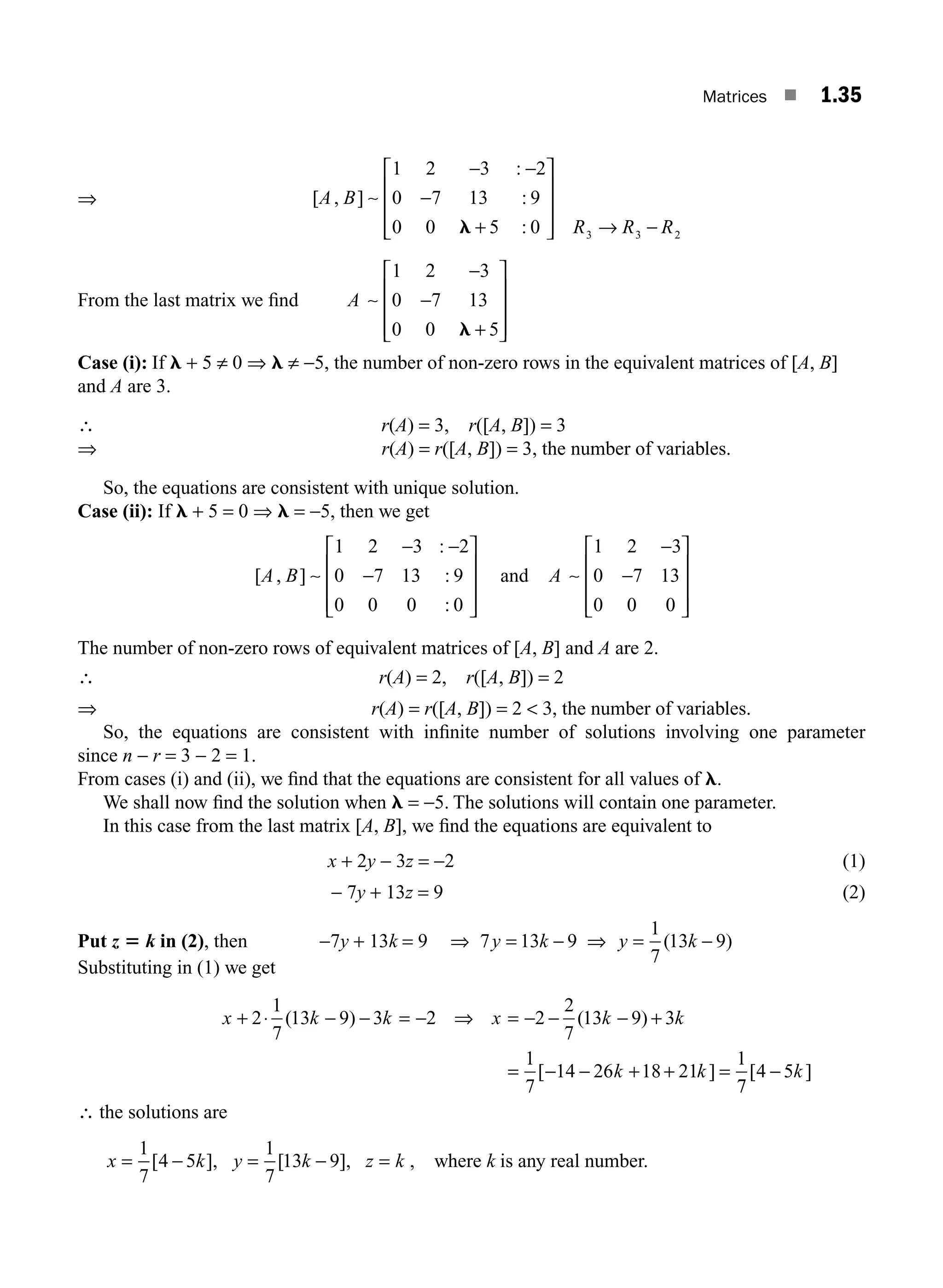
1.4 Solution of System of Linear Equations 1.24
1.4.1 Non-homogeneous System of Equations 1.24
1.4.2 Homogeneous System of Equations 1.25
1.4.3 Type 1: Solution of Non-homogeneous System of Equations 1.26
		 Worked Examples1.26
1.4.4 Type 2: Solution of Non-homogeneous Linear Equations Involving
Arbitrary Constants 1.34
		 Worked Examples1.34
1.4.5 Type 3: Solution of the System of Homogeneous Equations 1.38
		 Worked Examples1.38
1.4.6 Type 4: Solution of Homogeneous System of Equation Containing
Arbitrary Constants 1.41
		 Worked Examples1.41
		 Exercise 1.31.44
		 Answers to Exercise 1.31.45
1.5 Matrix Inverse by Gauss–Jordan method 1.46
		 Worked Examples1.47
		 Exercise 1.41.53
		 Answers to Exercise 1.41.53
Contents
A01_ENGINEERING_MATHEMATICS-I _FM - (Reprint).indd 9 3/2/2017 6:17:52 PM
x n Contents
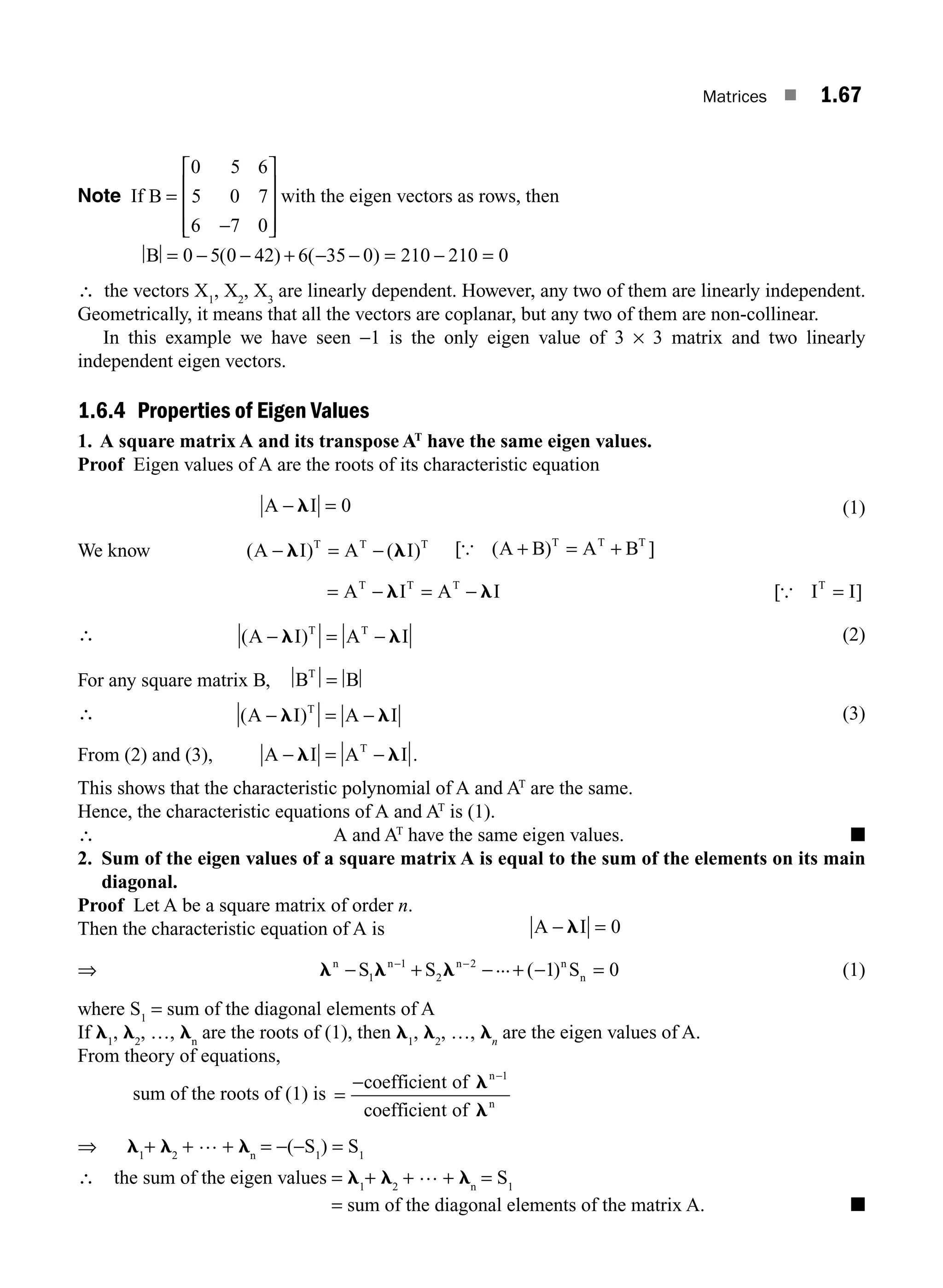
1.6 Eigen Values and Eigen Vectors 1.54
1.6.0 Introduction 1.54
1.6.1 Vector 1.54
		 Worked Examples 1.55
1.6.2 Eigen Values and Eigen Vectors 1.56
1.6.3 Properties of Eigen Vectors 1.57
		 Worked Examples 1.58
1.6.4 Properties of Eigen Values 1.67
		 Worked Examples 1.70
		 Exercise 1.5 1.72
		 Answers to Exercise 1.5 1.73
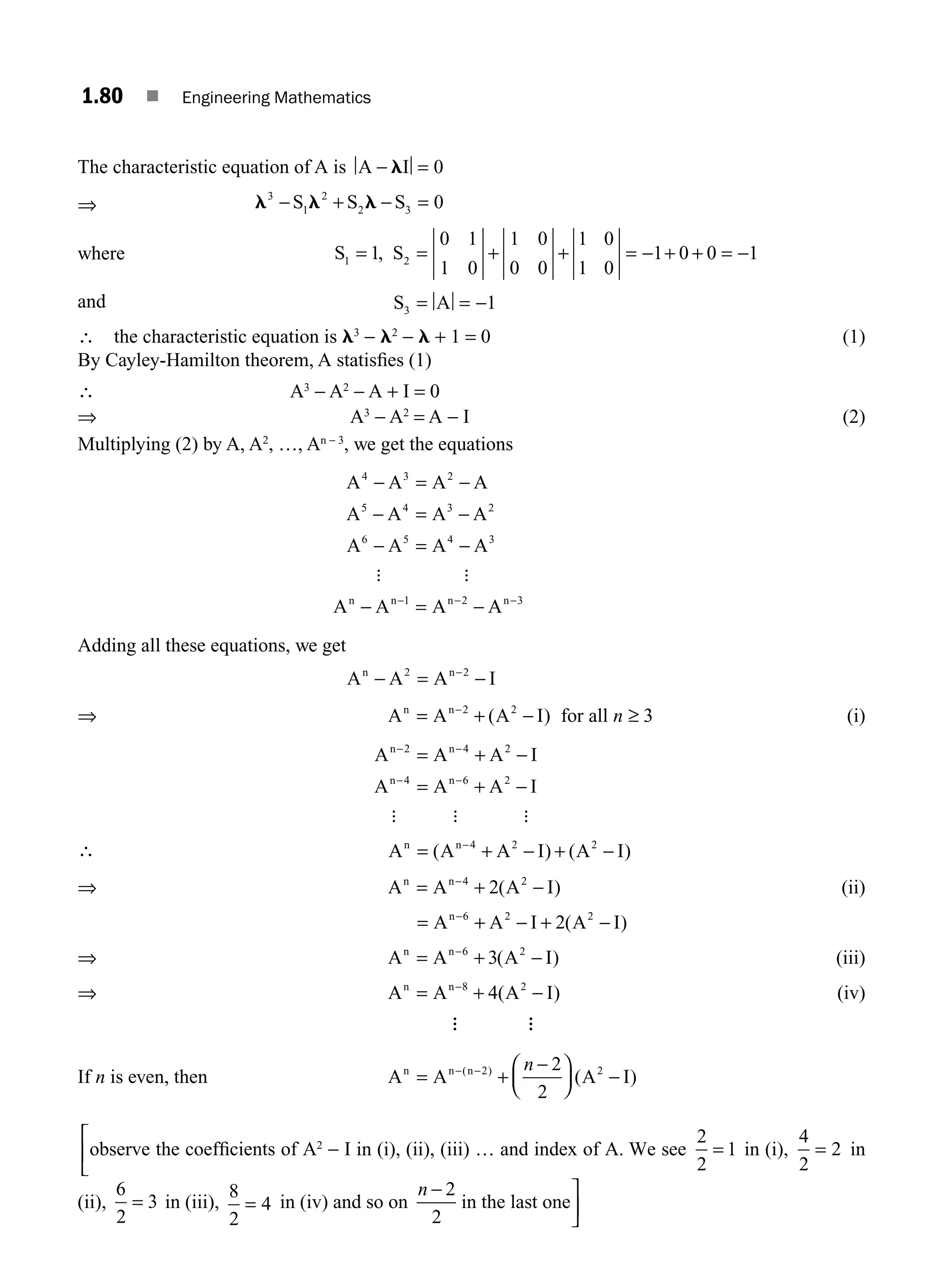
1.6.5 Cayley-Hamilton Theorem 1.73
		 Worked Examples 1.75
		 Exercise 1.6 1.82
		 Answers to Exercise 1.6 1.83
1.7 Similarity Transformation and Orthogonal Transformation 1.83
1.7.1 Similar Matrices 1.83
1.7.2 Diagonalisation of a Square Matrix 1.84
1.7.3 Computation of the Powers of a Square Matrix 1.85
1.7.4 Orthogonal matrix 1.86
1.7.5 Properties of orthogonal matrix 1.86
1.7.6 Symmetric Matrix 1.87
1.7.7 Properties of Symmetric Matrices 1.88
1.7.8	
Diagonalisation by Orthogonal Transformation or Orthogonal Reduction   1.89
		 Worked Examples 1.90
1.8 Real Quadratic Form. Reduction to Canonical Form 1.96
		 Worked Examples 1.99
		 Exercise 1.7 1.111
		 Answers to Exercise 1.7 1.112
		 Short Answer Questions1.113
		 Objective Type Questions1.114
		Answers1.116
2. Sequences and Series 2.1
2.0 Introduction 2.1
2.1 Sequence 2.1
2.1.1 Infinite Sequence 2.1
2.1.2 Finite sequence 2.2
2.1.3 Limit of a sequence 2.2
2.1.4 Convergent sequence 2.2
2.1.5 Oscillating sequence 2.2
2.1.6 Bounded sequence 2.2
2.1.7 Monotonic Sequence 2.3
Worked Examples 2.3
		 Exercise 2.1 2.9
		 Answers to Exercise 2.1 2.9
A01_ENGINEERING_MATHEMATICS-I _FM - (Reprint).indd 10 3/2/2017 6:17:52 PM
Contents n xi
2.2 Series 2.9
2.2.1 Convergent Series 2.9
2.2.2 Divergent series2.10
2.2.3 Oscillatory series2.10
2.2.4 General properties of series2.10
2.3 Series of Positive Terms 2.10
2.3.1 Necessary Condition for Convergence of a Series 2.10
2.3.2 Test for convergence of positive term series2.11
2.3.3 Comparison tests2.11
		 Worked Examples2.13
		 Exercise 2.22.17
		 Answers to Exercise 2.22.18
2.3.4 De’ Alembert’s Ratio Test 2.18
Worked Examples2.21
		 Exercise 2.32.25
		 Answers to Exercise 2.32.26
2.3.5 Cauchy’s Root Test 2.27
Worked Examples2.28
2.3.6 Cauchy’s Integral Test 2.30
		 Worked Examples2.32
		 Exercise 2.42.36
		 Answers to Exercise 2.42.36
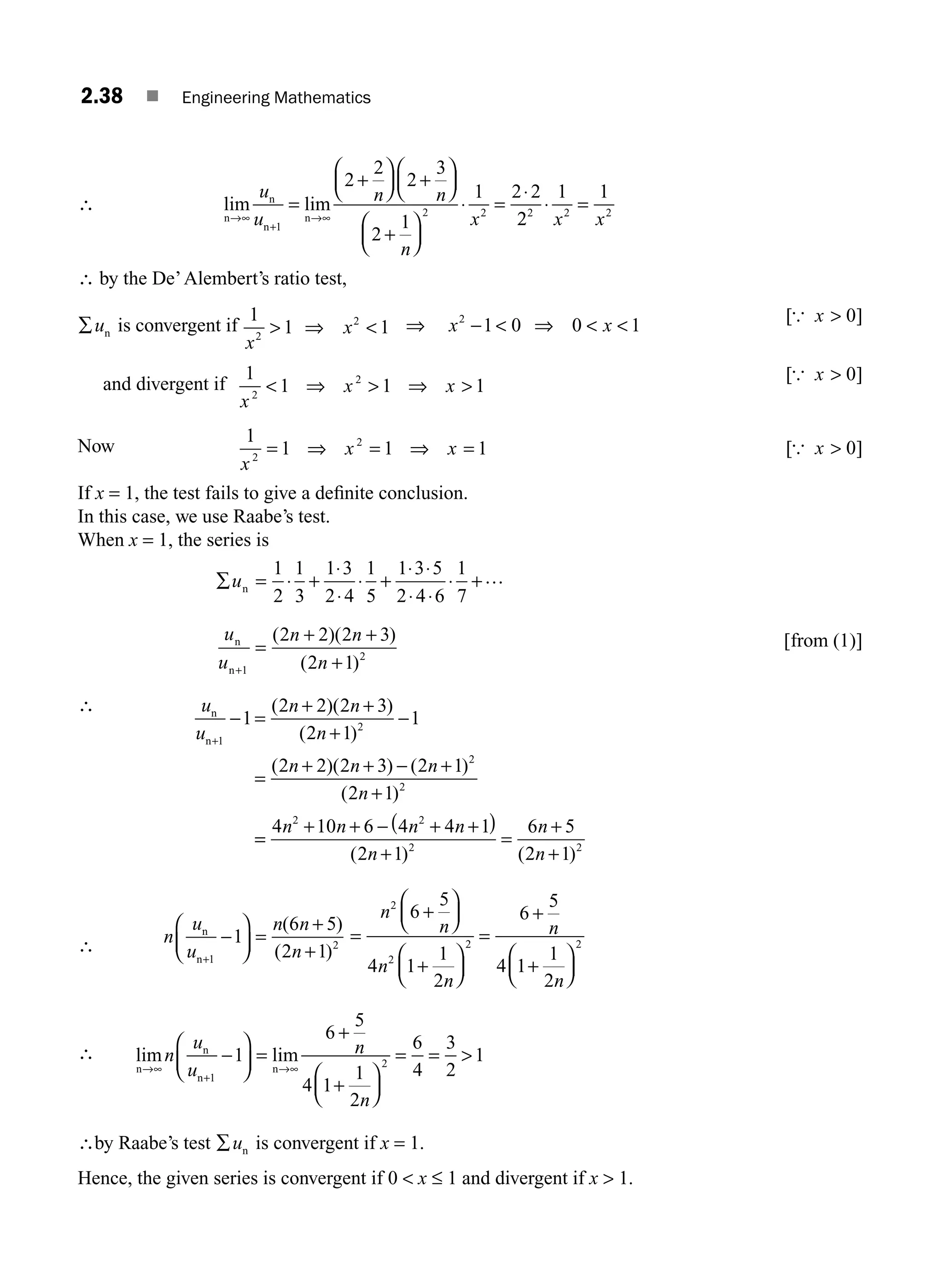
2.3.7 Raabe’s Test 2.36
		 Worked Examples2.37
		 Exercise 2.52.41
		 Answers to Exercise 2.52.42
2.3.8 Logarithmic Test 2.42
		 Worked Examples2.44
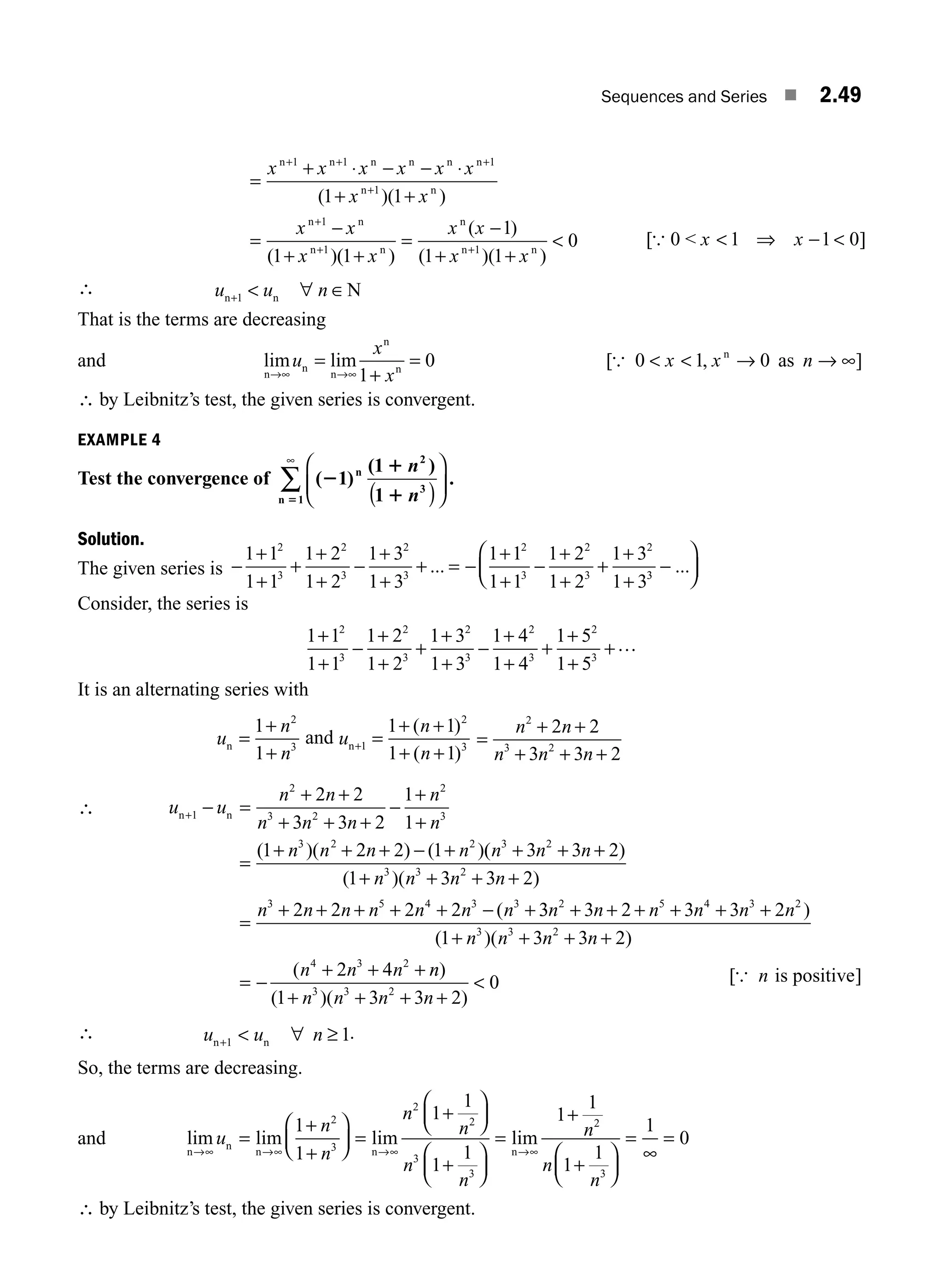
2.4 Alternating Series 2.46
2.4.1 Leibnitz’s Test 2.46
		 Worked Examples2.47
2.5 Series of Positive and Negative Terms 2.50
2.5.1 Absolute Convergence and Conditional Convergence 2.50
2.5.2 Tests for absolute convergence2.50
		 Worked Examples2.51
		 Exercise 2.62.55
		 Answers to Exercise 2.62.55
2.6 Convergence of Binomial Series 2.56
2.7 Convergence of the Exponential Series 2.57
2.8 Convergence of the Logarithmic Series 2.57
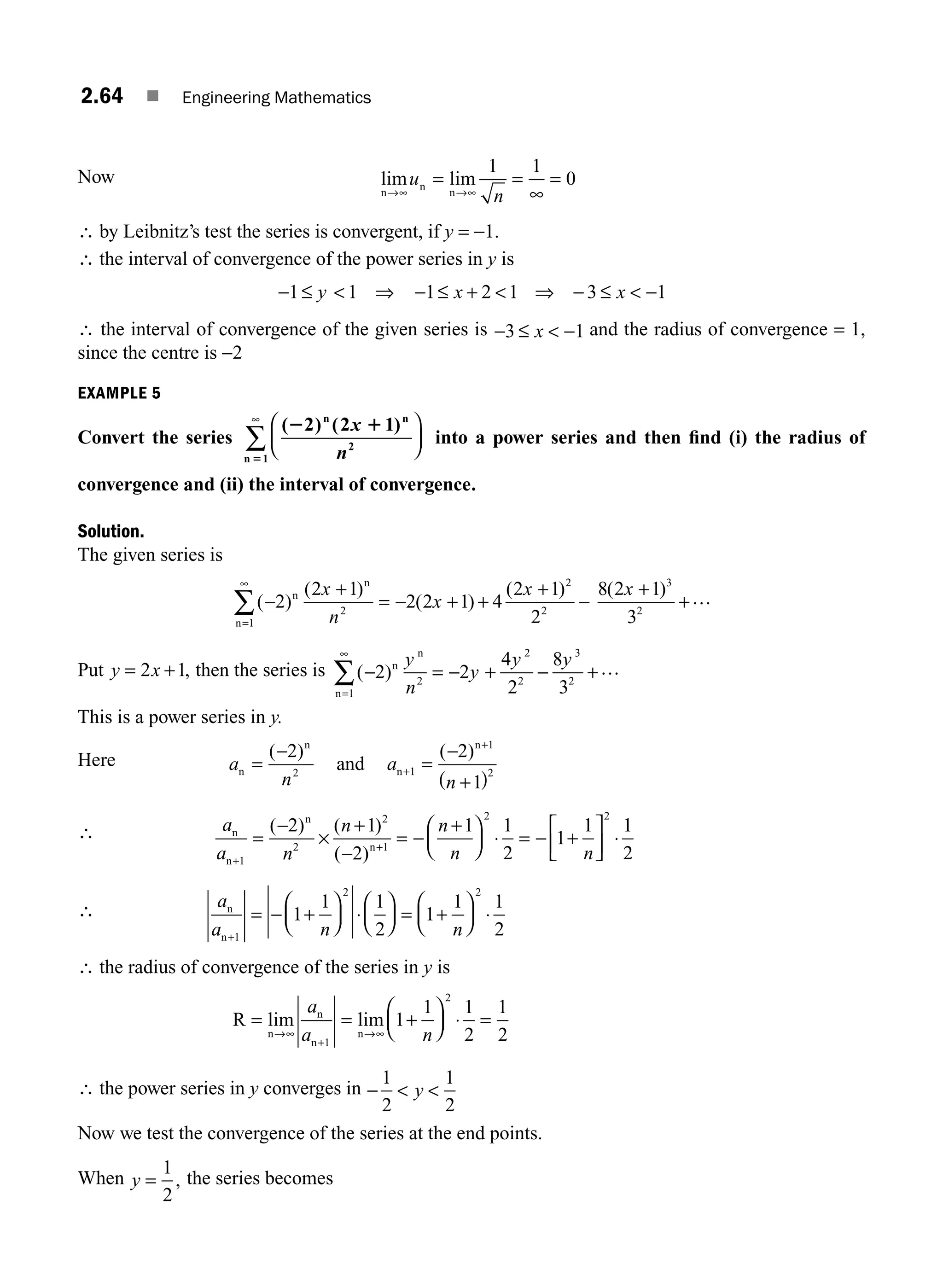
2.9 Power Series 2.58
2.9.1 Hadmard’s Formula 2.59
2.9.2 Properties of power series2.60
		 Worked Examples2.60
		 Exercise 2.72.66
		 Answers to Exercise 2.72.67
A01_ENGINEERING_MATHEMATICS-I _FM - (Reprint).indd 11 3/2/2017 6:17:52 PM
xii n Contents
		 Short Answer Questions 2.67
		 Objective Type Questions 2.69
		 Answers 2.70
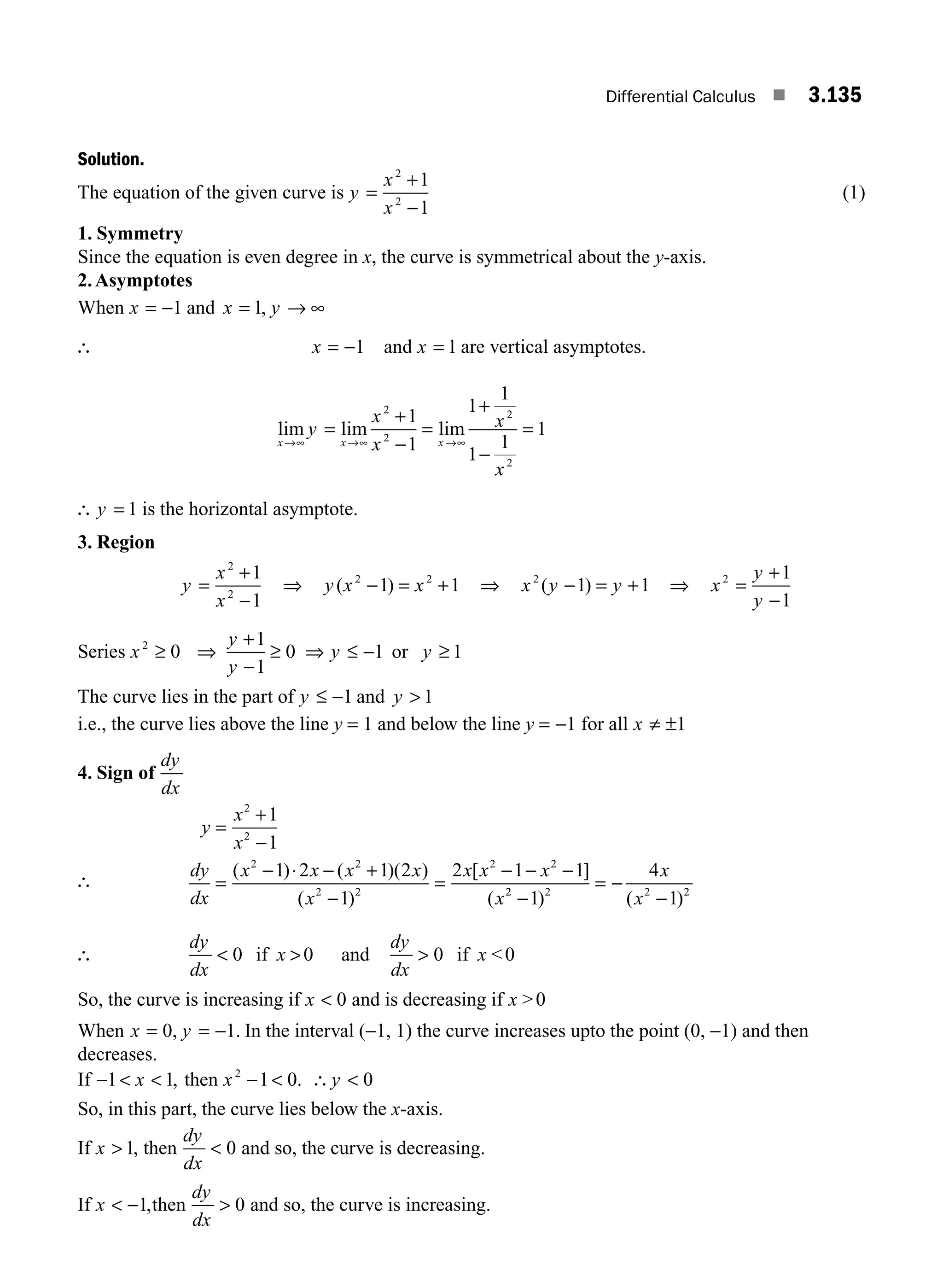
3. Differential Calculus 3.1
3.0 Introduction 3.1
3.1 Successive Differentiation 3.2
		 Worked Examples 3.3
		 Exercise 3.1 3.6
3.1.1 The nth
Derivative of Standard Functions 3.7
		 Worked Examples 3.11
		 Exercise 3.2 3.16
		 Answers to Exercise 3.2 3.17
		 Worked Examples 3.18
		 Exercise 3.33.24
3.2 Applications of Derivative 3.25
3.2.1 Geometrical Interpretation of Derivative 3.25
3.2.2 Equation of the Tangent and the Normal to the Curve y = f(x)3.25
		 Worked Examples3.26
		 Exercise 3.43.33
		 Answers to Exercise 3.43.34
3.2.3 Length of the Tangent, the Sub-Tangent, the Normal and the Sub-normal 3.34
		 Worked Examples3.36
		 Exercise 3.53.38
		 Answers to Exercise 3.53.38
3.2.4 Angle between the Two Curves 3.38
		 Worked Examples3.39
		 Exercise 3.63.42
		 Answers to Exercise 3.63.43
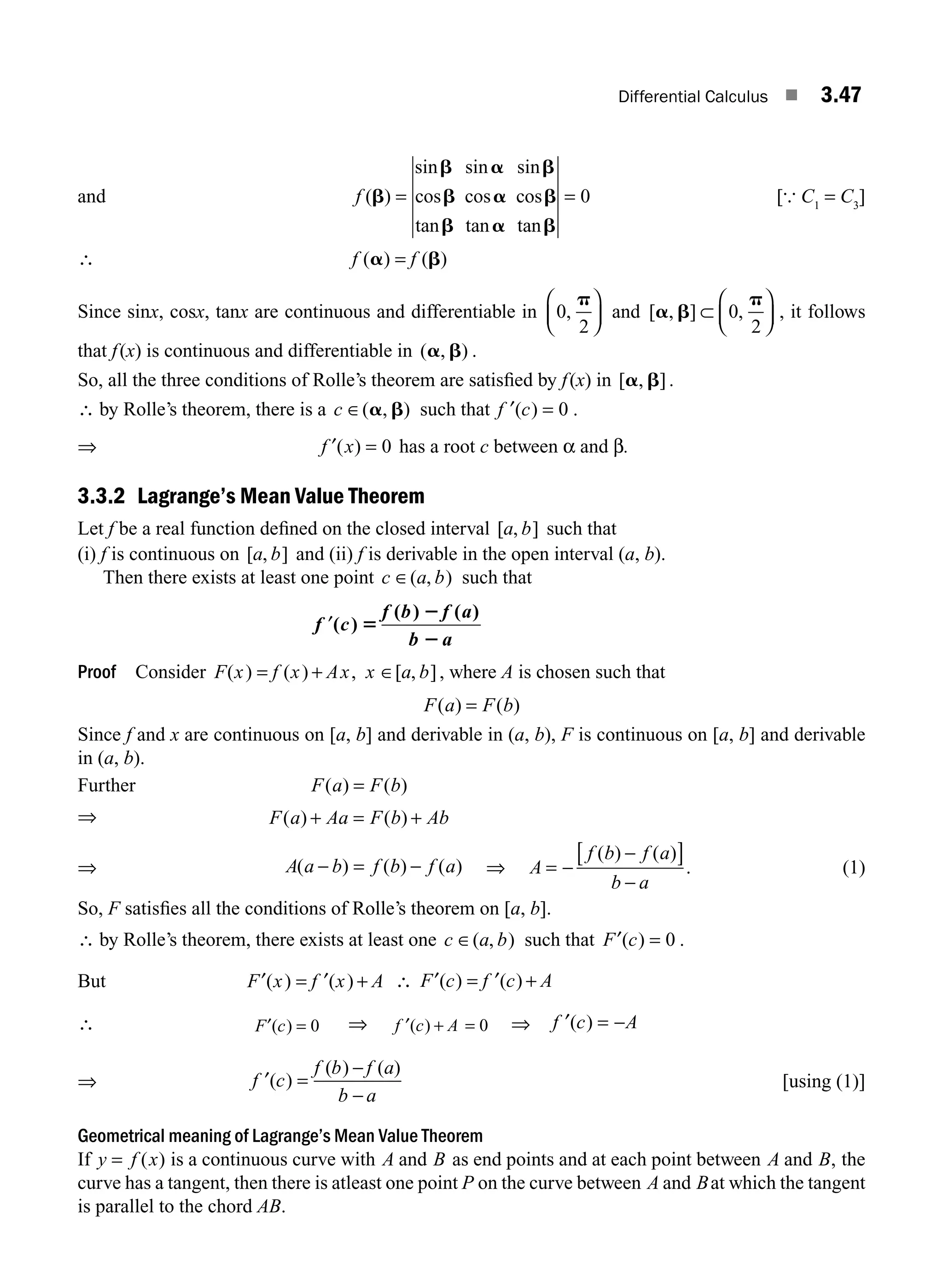
3.3 Mean-value Theorems of Derivatives 3.43
3.3.1 Rolle’s Theorem 3.43
		 Worked Examples3.44
3.3.2 Lagrange’s Mean Value Theorem 3.47
		 Worked Examples3.49
3.3.3 Cauchy’s Mean Value Theorem 3.53
		 Worked Examples3.54
		 Exercise 3.73.56
		 Answers to Exercise 3.73.58
3.4 Monotonic Functions 3.58
3.4.1 Increasing and Decreasing Functions 3.58
3.4.2 Piece-wise Monotonic Function 3.58
3.4.3 Test for increasing or decreasing functions3.59
		 Worked Examples3.60
		 Exercise 3.83.65
		 Answers to Exercise 3.83.66
A01_ENGINEERING_MATHEMATICS-I _FM - (Reprint).indd 12 3/2/2017 6:17:52 PM
Contents n xiii
3.5 Generalised Mean Value Theorem 3.66
3.5.1 Taylor’s Theorem with Lagrange’s Form of Remainder 3.66
3.5.2 Taylor’s series 3.68
3.5.3 Maclaurin’s theorem with Lagrange’s form of remainder 3.68
3.5.4 Maclaurin’s series 3.68
		 Worked Examples 3.69
		 Exercise 3.9 3.74
		 Answers to Exercise 3.9 3.74
3.5.5 Expansion by Using Maclaurin’s Series of Some Standard Functions 3.75
		 Worked Examples 3.75
3.5.6 Expansion of Certain Functions Using Differential Equations 3.78
		 Worked Examples 3.78
		 Exercise 3.10 3.81
		 Answers to Exercise 3.10 3.82
3.6 Indeterminate Forms 3.82
3.6.1 General L’Hopital’s Rule for
0
0
Form 3.84
		 Worked Examples 3.85
		 Exercise 3.11 3.94
		 Answers to Exercise 3.11 3.94
3.7 Maxima and Minima of a Function of One Variable 3.94
3.7.1 Geometrical Meaning 3.96
3.7.2 Tests for Maxima and Minima 3.96
		Summary 3.97
		 Worked Examples 3.97
		 Exercise 3.12 3.103
		 Answers to Exercise 3.123.104
3.8 Asymptotes 3.104
		 Worked Examples3.105
3.8.1 A General Method 3.108
3.8.2 Asymptotes Parallel to the Coordinates Axes 3.110
		 Worked Examples 3.110
3.8.3 Another Method for Finding the Asymptotes 3.113
		 Worked Examples 3.114
3.8.4 Asymptotes by Inspection 3.115
		 Worked Examples 3.116
3.8.5 Intersection of a Curve and Its Asymptotes 3.116
		 Worked Examples 3.116
		 Exercise 3.13 3.121
		 Answers to Exercise 3.13 3.122
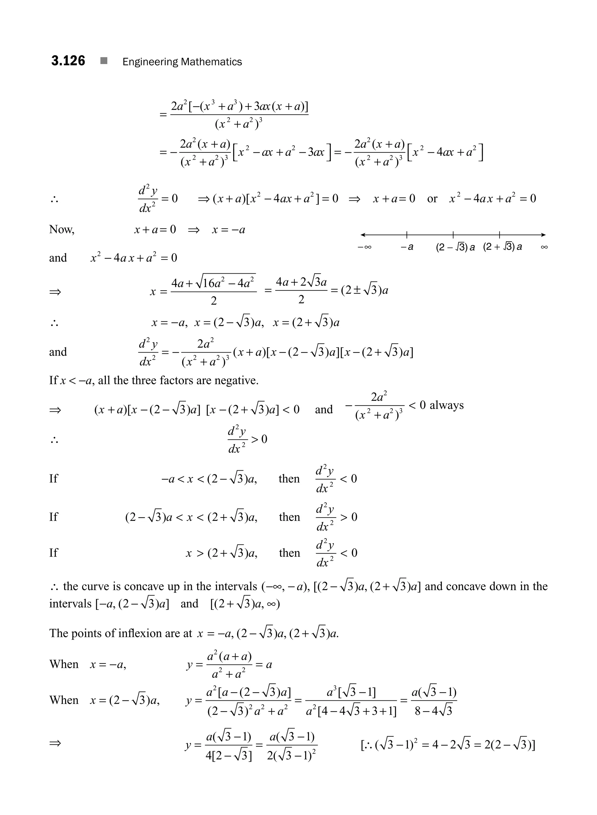
3.9 Concavity 3.122
		 Worked Examples3.124
		 Exercise 3.143.127
		 Answers to Exercise 3.143.128
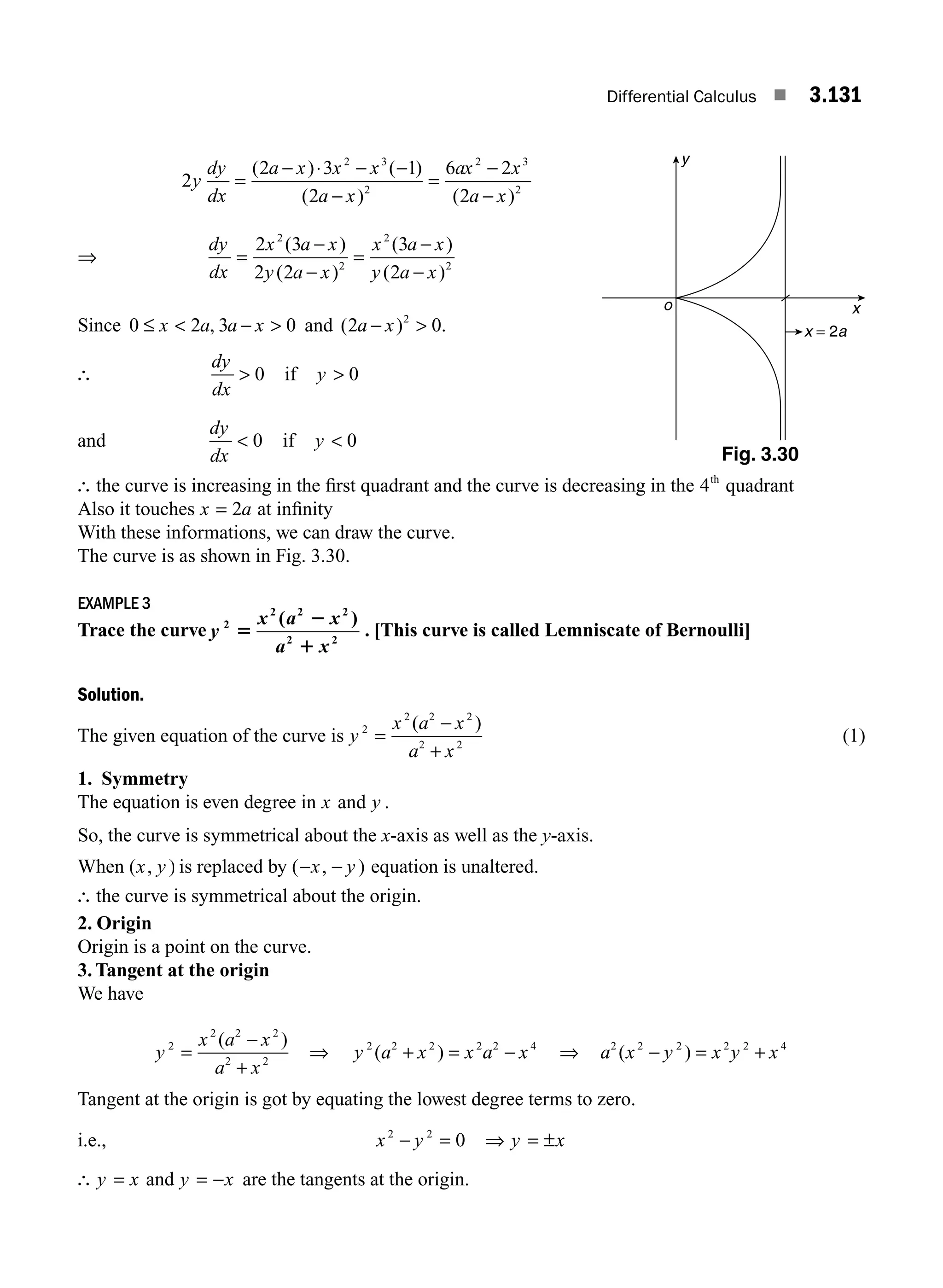
3.10 Curve Tracing 3.128
3.10.1 Procedure for Tracing the Curve Given by the Cartesian
Equation f(x, y) = 0. 3.128
		 Worked Examples3.129
A01_ENGINEERING_MATHEMATICS-I _FM - (Reprint).indd 13 3/2/2017 6:17:52 PM
xiv n Contents
3.10.2 Procedure for Tracing of Curve Given by Parametric Equations
x = f(t), y = g(t)3.137
		 Worked Examples3.137
3.10.3 Procedure for Tracing of Curve Given by Equation in Polar
Coordinates f(r, u) = 0 3.141
		 Worked Examples3.142
		 Exercise 3.153.146
		 Answers to Exercise 3.153.146
Short Answer Questions3.148
Objective Type Questions3.149
Answers3.152
4. Applications of Differential Calculus 4.1
4.1 Curvature in Cartesian Coordinates 4.1
4.1.0 Introduction 4.1
4.1.1 Measure of Curvature 4.1
4.1.2 Radius of Curvature for Cartesian Equation of a Given Curve 4.2
4.1.3 Radius of Curvature for Parametric Equations 4.4
		 Worked Examples 4.4
4.1.4 Centre of Curvature and Circle of Curvature 4.11
4.1.5 Coordinates of the Centre of Curvature 4.12
		 Worked Examples 4.13
		 Exercise 4.1 4.15
		 Answers to Exercise 4.1 4.16
4.1.6 Radius of Curvature in Polar Coordinates 4.17
		 Worked Examples 4.19
4.1.7 Radius of Curvature at the Origin 4.22
		 Worked Examples 4.23
4.1.8 Pedal Equation or p - r Equation of a Curve 4.25
		 Worked Examples 4.26
4.1.9 Radius of Curvature Using the p - r Equation of a Curve 4.28
		 Worked Examples 4.29
		 Exercise 4.2 4.30
		 Answers to Exercise 4.2 4.31
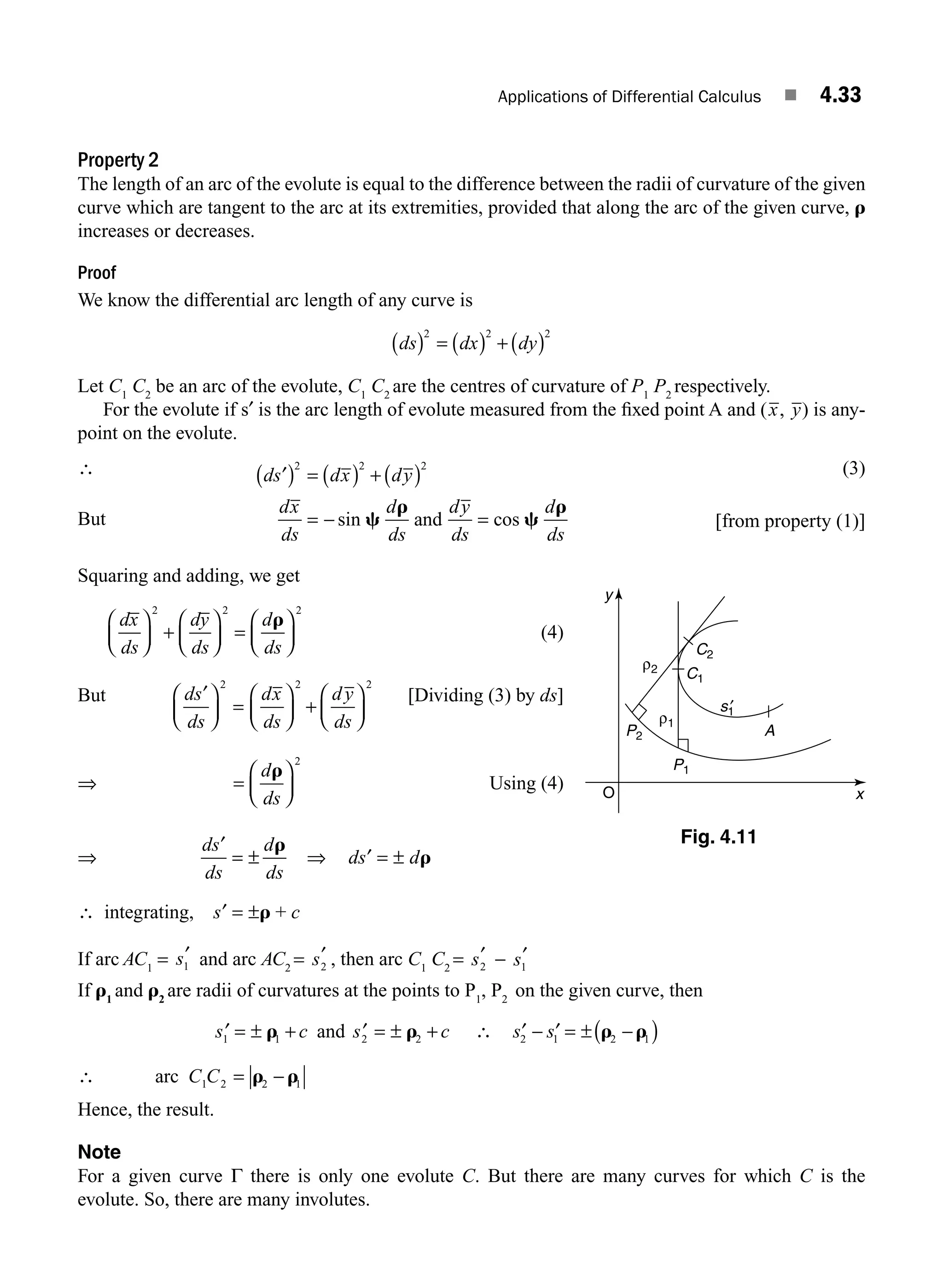
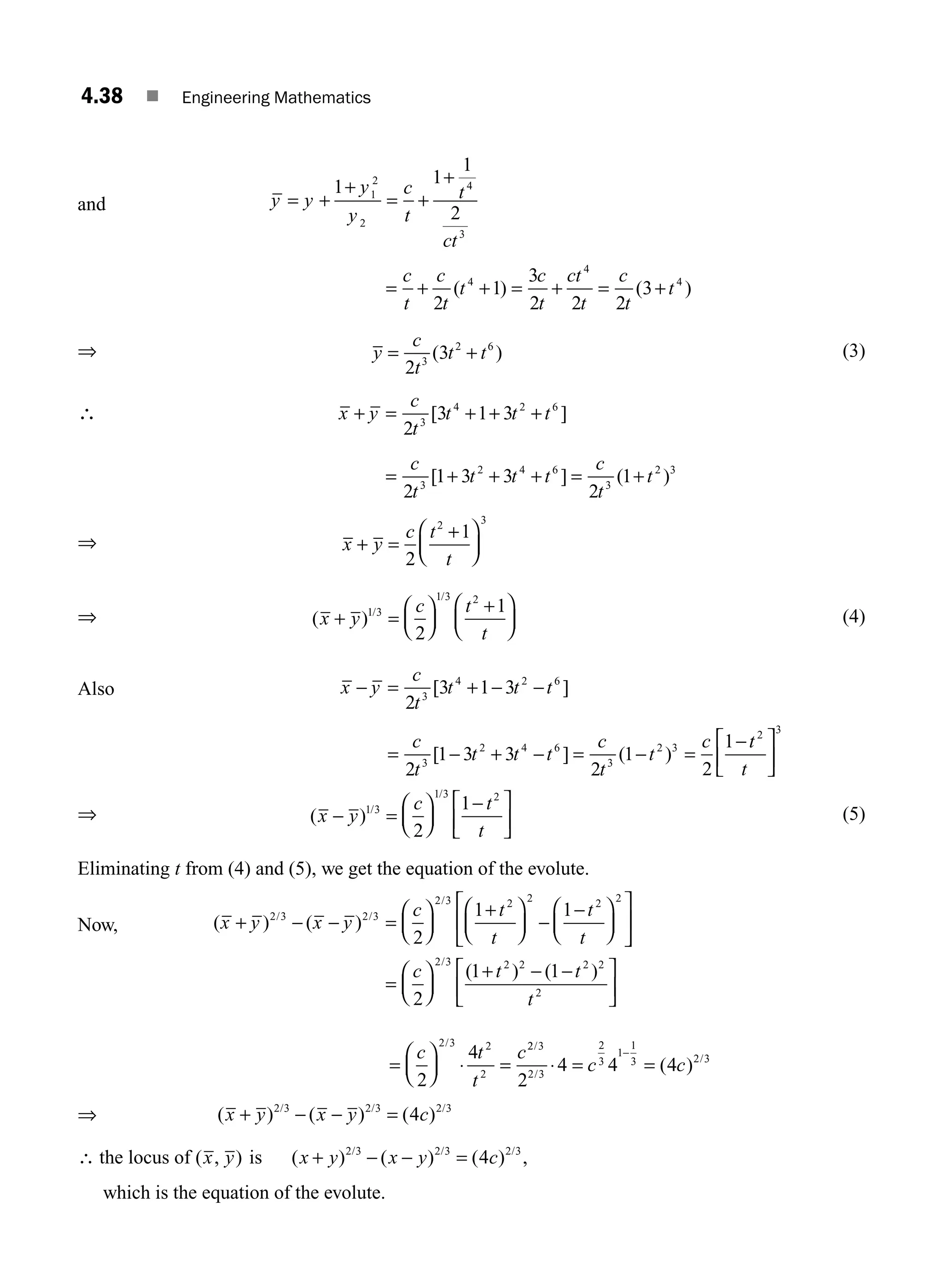
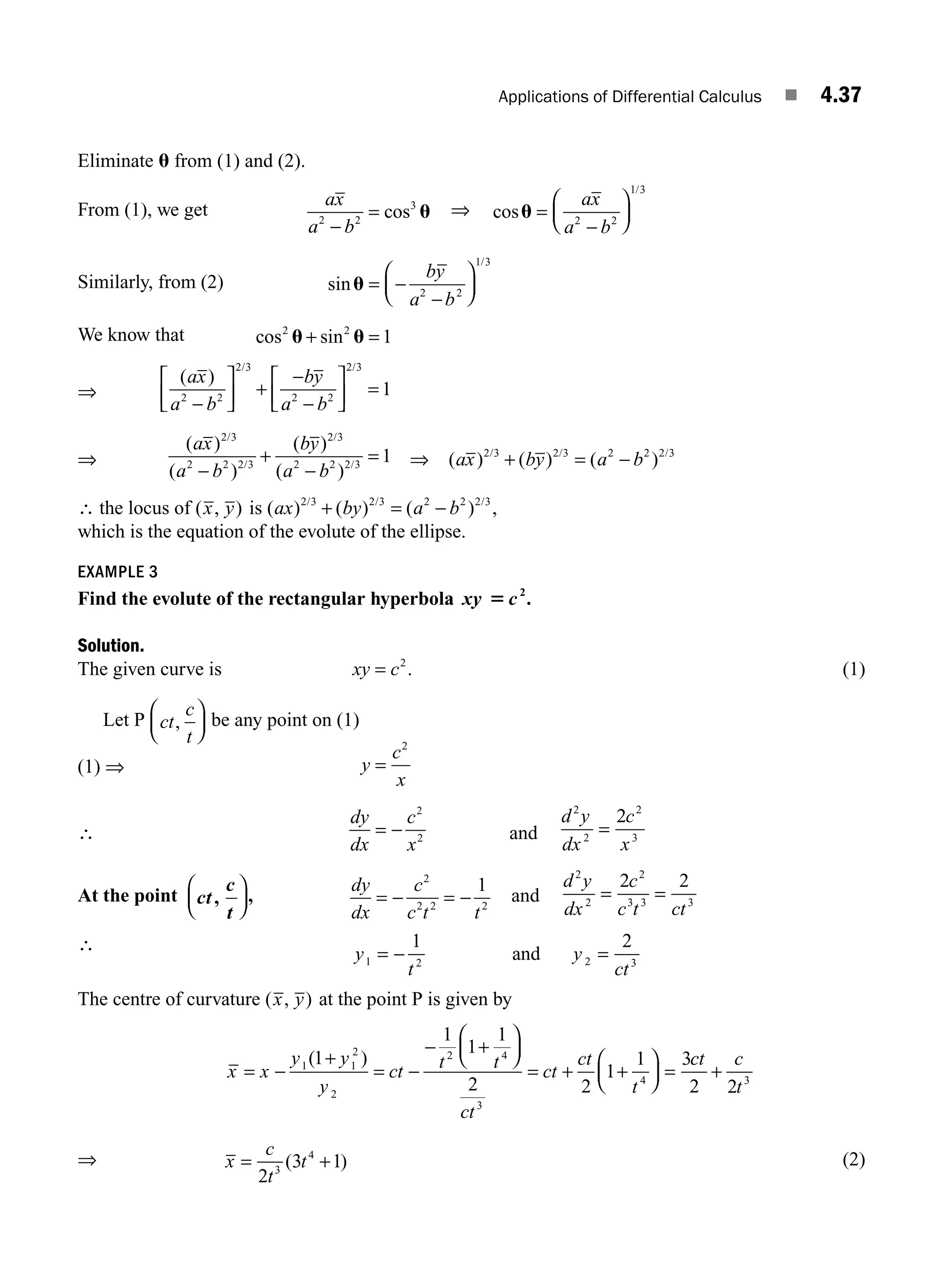
4.2 Evolute 4.31
4.2.1 Properties of Evolute 4.31
4.2.2 Procedure to Find the Evolute 4.34
		 Worked Examples 4.34
		 Exercise 4.3 4.41
		 Answers to Exercise 4.3 4.41
4.3 Envelope 4.42
4.3.1	
Method of Finding Envelope of Single Parameter Family of Curves 4.42
		 Worked Examples 4.43
4.3.2 Envelope of Two Parameter Family of Curves 4.45
		 Worked Examples 4.45
A01_ENGINEERING_MATHEMATICS-I _FM - (Reprint).indd 14 3/2/2017 6:17:53 PM
Contents n xv
4.3.3 Evolute as the Envelope of Normals 4.48
		 Worked Examples4.49
		 Exercise 4.44.52
		 Answers to Exercise 4.44.53
Short Answer Questions4.54
Objective Type Questions4.54
Answers4.56
5. Differential Calculus of Several Variables 5.1
5.0 Introduction 5.1
5.1 Limit and Continuity 5.1
		 Worked Examples 5.4
		 Exercise 5.1 5.6
		 Answers to Exercise 5.1 5.6
5.2 Partial Derivatives 5.6
5.2.1 Geometrical Meaning of
∂
∂
∂
∂
z
x
z
y
, 5.7
5.2.2 Partial Derivatives of Higher Order 5.8
5.2.3 Homogeneous Functions and Euler’s Theorem 5.8
		 Worked Examples 5.9
5.2.4 Total Derivatives 5.15
		 Worked Examples 5.17
		 Exercise 5.25.24
		 Answers to Exercise 5.25.26
5.3 Jacobians 5.26
5.3.1 Properties of Jacobians 5.27
		 Worked Examples5.29
5.3.2 Jacobian of Implicit Functions 5.35
		 Worked Examples5.35
		 Exercise 5.35.37
		 Answers to Exercise 5.35.38
5.4	
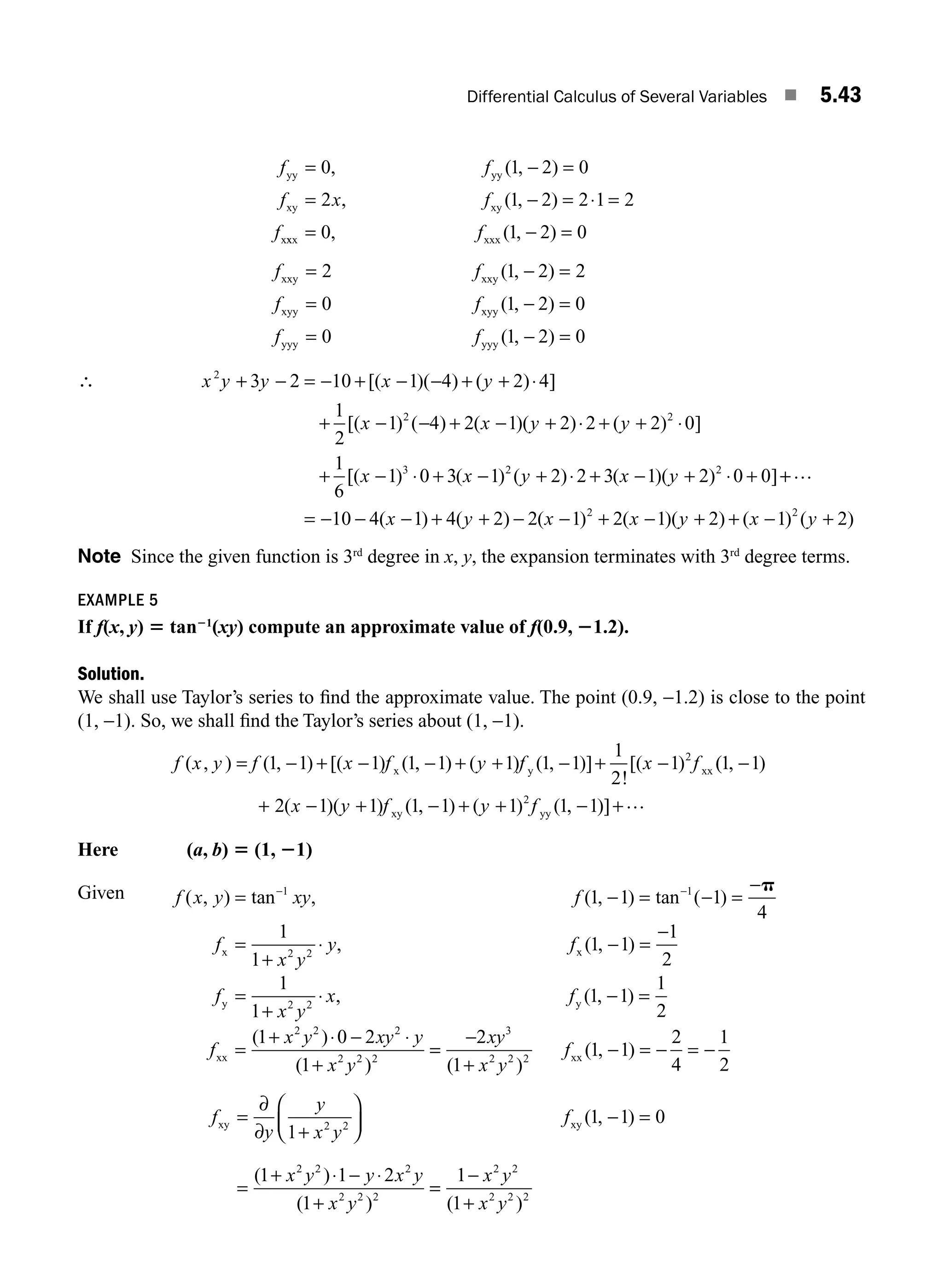
Taylor’s Series Expansion for Function of Two Variables 5.38
		 Worked Examples5.39
		 Exercise 5.45.44
		 Answers to Exercise 5.45.44
5.5	
Maxima and Minima for Functions of Two Variables 5.45
5.5.1 Necessary Conditions for Maximum or Minimum 5.46
5.5.2 Sufficient Conditions for Extreme Values of f(x, y) 5.46
5.5.3 Working Rule to Find Maxima and Minima of f(x, y) 5.46
		 Worked Examples5.47
5.5.4 Constrained Maxima and Minima 5.51
5.5.5 Lagrange’s Method of (undetermined) Multiplier 5.51
5.5.6 Method to Decide Maxima or Minima 5.52
		 Worked Examples5.56
		 Exercise 5.55.65
		 Answers to Exercise 5.55.66
A01_ENGINEERING_MATHEMATICS-I _FM - (Reprint).indd 15 3/2/2017 6:17:53 PM
xvi n Contents
5.6 Errors and Approximations 5.67
		 Worked Examples 5.68
		 Exercise 5.6 5.72
		 Answers to Exercise 5.6 5.73
Short Answer Questions 5.73
Objective Type Questions 5.74
Answers		 5.76
6. Integral Calculus 6.1
6.0 Introduction 6.1
6.1 Indefinite Integral 6.1
6.1.1 Properties of Indefinite Integral 6.1
6.1.2 Integration by Parts 6.3
6.1.3 Bernoulli’s Formula 6.3
6.1.4 Special Integrals 6.3
		 Worked Examples 6.4
		 Exercise 6.1 6.9
		 Answers to Exercise 6.1 6.9
6.2 Definite Integral (Newton–Leibnitz formula) 6.10
6.2.1 Properties of Definite Integral 6.10
		 Worked Examples6.15
		 Exercise 6.26.27
		 Answers to Exercise 6.26.27
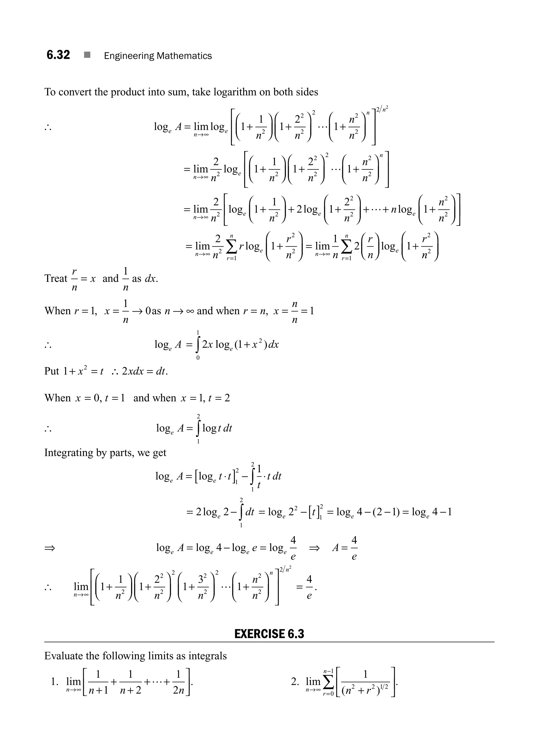
6.3 Definite Integral f x dx
a
b
( )
∫ as Limit of a Sum 6.28
6.3.1 Working Rule 6.28
		 Worked Examples6.29
		 Exercise 6.36.32
		 Answers to Exercise 6.36.33
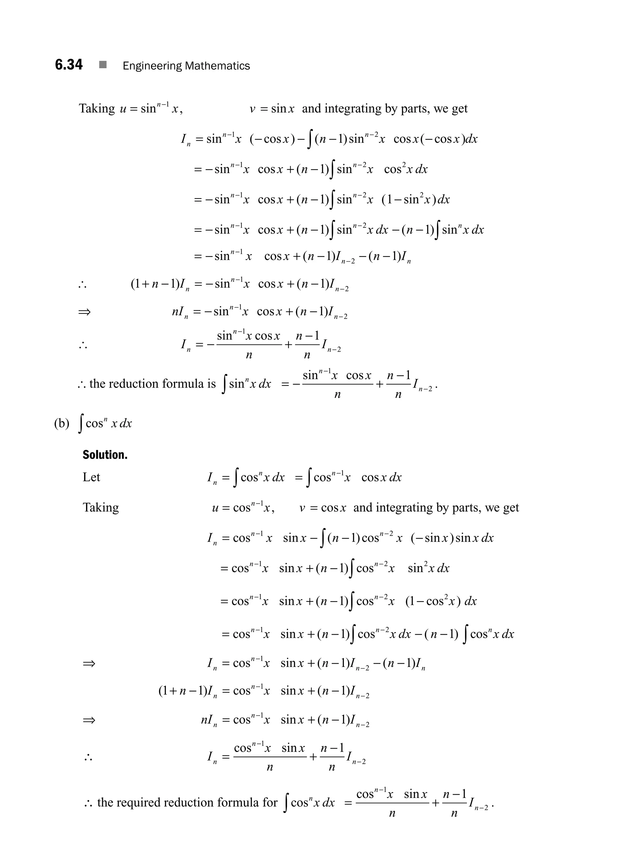
6.4 Reduction Formulae 6.33
6.4.1 The Reduction Formula for (a) sinn
x dx
∫ and (b) cosn
x dx
∫ 6.33
6.4.2 The Reduction Formula for (a) tann
x dx
∫ and (b) cotn
xdx
∫ 6.36
6.4.3 The Reduction Formula for (a) secn
x dx
∫ and (b) cosecn
x dx
∫ 6.37
		 Worked Examples6.38
6.4.4	
The Reduction Formula for sin cos
m n
x x dx
∫ , Where m, n are
Non-negative Integers6.45
		 Worked Examples6.47
6.4.5	
The Reduction Formula for (a) ∫xm
(log x)n
dx, (b) ∫xn
sin mx dx,
(c) ∫ xn
cos mx dx6.49
6.4.6 The Reduction Formula for (a) e x dx
ax m
sin
∫ and (b) e x dx
ax n
cos
∫ 6.51
A01_ENGINEERING_MATHEMATICS-I _FM - (Reprint).indd 16 3/2/2017 6:17:54 PM
Contents n xvii
6.4.7 The Reduction Formula for (a) cos sin
m
x nx dx
∫ and (b) cos cos
m
x nx dx
∫ 6.52
		 Exercise 6.4 6.55
		 Answers to Exercise 6.4 6.55
6.5 Application of Integral Calculus 6.55
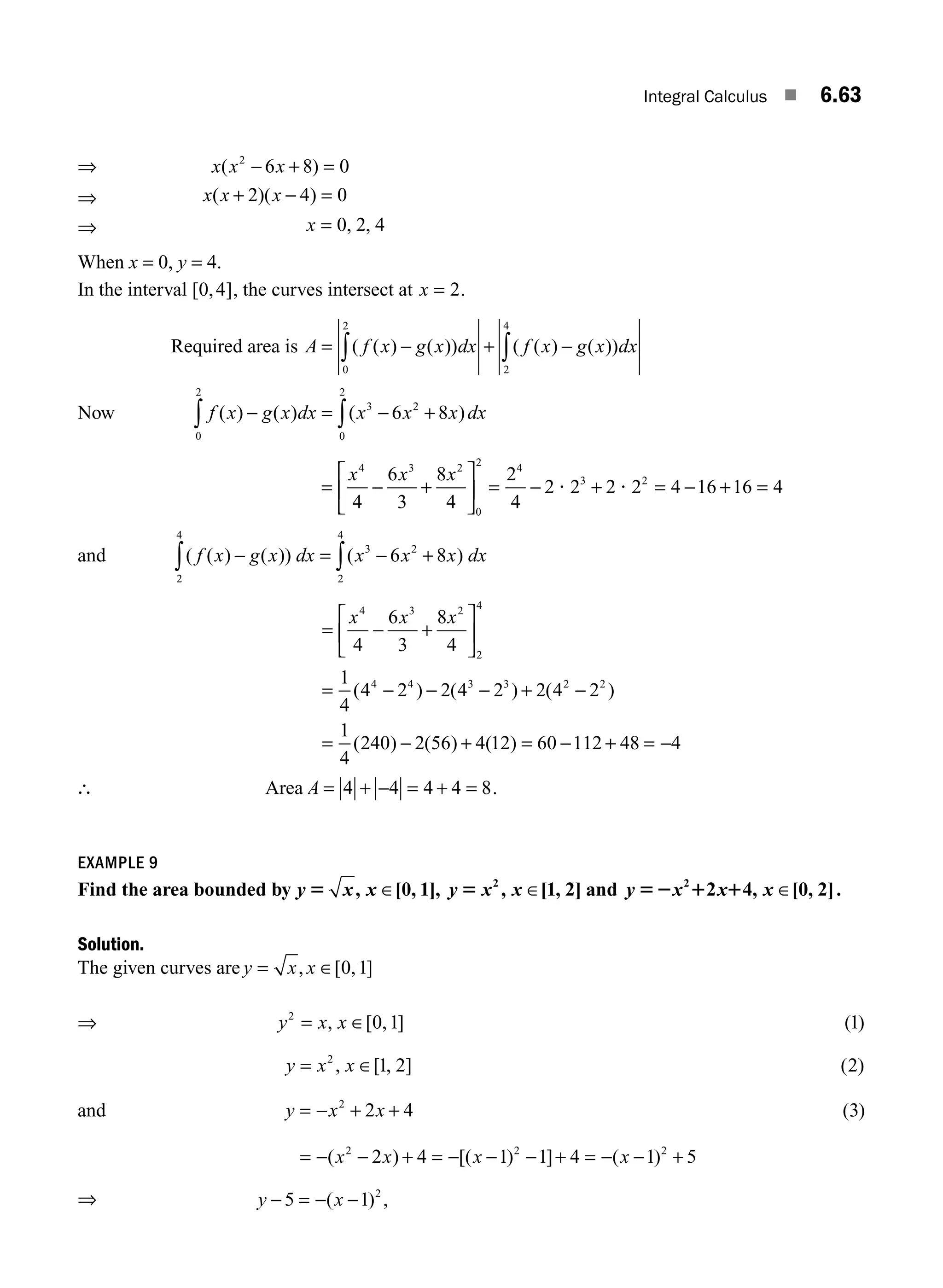
6.5.1 Area of Plane Curves 6.56
6.5.1 (a) Area of Plane Curves in Cartesian Coordinates 6.56
Worked Examples 6.57
Exercise 6.5 6.66
Answers to Exercise 6.5 6.67
6.5.1 (b) Area in Polar Coordinates 6.67
Worked Examples 6.68
Exercise 6.6 6.72
Answers to Exercise 6.6 6.72
6.5.2 Length of the Arc of a Curve 6.72
6.5.2 (a) Length of the Arc in Cartesian Coordinates 6.72
		 Worked Examples 6.73
		 Exercise 6.7 6.78
		 Answers to Exercise 6.7 6.79
6.5.2 (b) Length of the Arc in Polar Coordinates 6.79
		 Worked Examples 6.80
		 Exercise 6.8 6.81
		 Answers to Exercise 6.8 6.81
6.5.3 Volume of Solid of Revolution 6.82
6.5.3(a) Volume in Cartesian Coordinates 6.82
		 Worked Examples 6.83
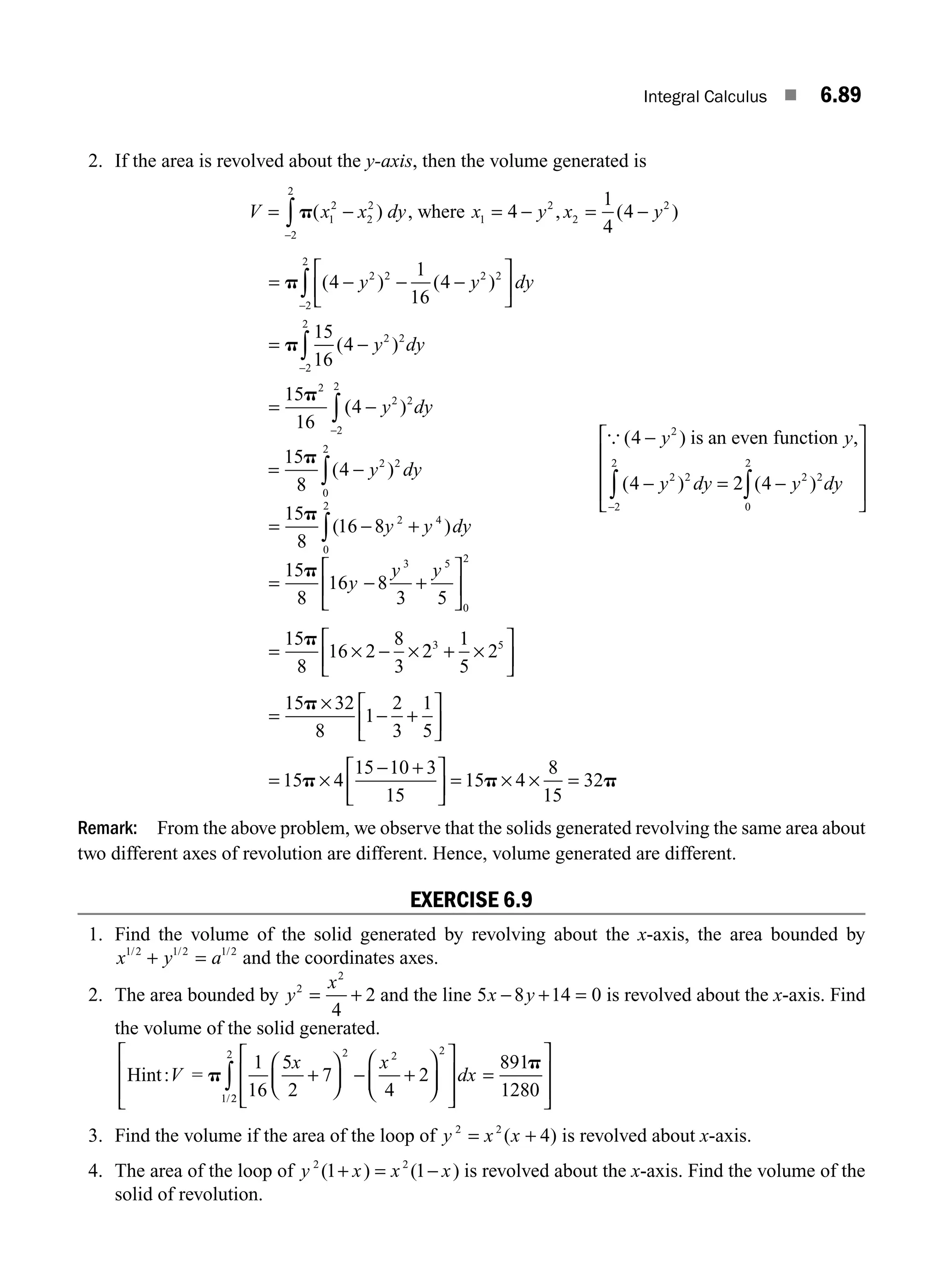
		 Exercise 6.9 6.89
		 Answers to Exercise 6.9 6.90
6.5.3 (b) Volume in Polar Coordinates 6.91
		 Worked Examples 6.91
		 Exercise 6.10 6.93
		 Answers to Exercise 6.10 6.93
6.5.4 Surface Area of Revolution 6.93
6.5.4(a) Surface Area of Revolution in Cartesian Coordinates 6.93
		 Worked Examples 6.94
		 Exercise 6.11 6.99
		 Answers to Exercise 6.11 6.99
6.5.4 (b) Surface Area in Polar Coordinates 6.100
		 Worked Examples6.100
		 Exercise 6.126.102
		 Answers to Exercise 6.126.103
Short Answer Questions6.103
Objective Type Questions6.103
Answers6.106
A01_ENGINEERING_MATHEMATICS-I _FM - (Reprint).indd 17 3/2/2017 6:17:55 PM
xviii n Contents
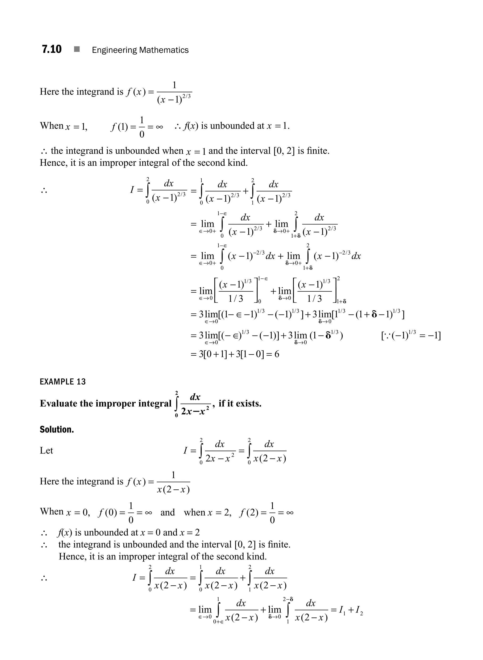
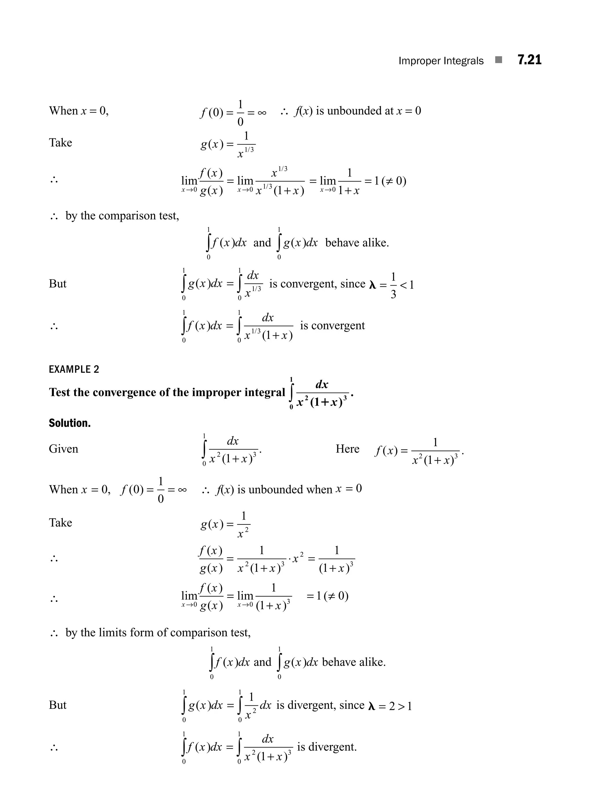
7. Improper Integrals 7.1
7.1 Improper Integrals 7.1
7.1.1 Kinds of Improper Integrals and Their Convergence 7.1
		 Worked Examples 7.4
		 Exercise 7.17.13
		 Answers to Exercise 7.17.13
7.1.2 Tests of Convergence of Improper Integrals 7.14
		 Worked Examples 7.15
		 Exercise 7.27.27
		 Answers to Exercise 7.27.27
7.2 Evaluation of Integral by Leibnitz’s Rule 7.27
7.2.1 Leibnitz’s Rule—Differentiation Under Integral Sign for Variable Limits 7.28
		 Worked Examples7.28
		 Exercise 7.3 7.47
		 Answers to Exercise 7.37.47
7.3 Beta and Gamma functions 7.47
7.3.1 Beta Function  7.47
7.3.2 Symmetric property of beta function7.48
7.3.3 Different forms of beta function7.48
7.4 The Gamma Function 7.49
7.4.1 Properties of Gamma Function 7.50
7.4.2 Relation between Beta and Gamma Functions 7.51
		 Worked Examples7.55
		 Exercise 7.47.69
		 Answers to Exercise 7.47.69
7.5 The Error Function 7.70
7.5.1 Properties of Error Functions 7.70
7.5.2 Series expansion for error function7.71
7.5.3 Complementary error function7.71
		 Worked Examples7.72
		 Exercise 7.57.76
		 Answers to Exercise 7.57.76
Short Answer Questions7.76
Objective Type Questions7.77
Answers7.78
8. Multiple Integrals 8.1
8.1 Double Integration 8.1
8.1.1 Double Integrals in Cartesian Coordinates 8.1
8.1.2 Evaluation of Double Integrals 8.2
		 Worked Examples 8.3
		 Exercise 8.1 8.6
		 Answers to Exercise 8.1 8.7
8.1.3 Change of Order of Integration 8.7
		 Worked Examples 8.8
A01_ENGINEERING_MATHEMATICS-I _FM - (Reprint).indd 18 3/2/2017 6:17:55 PM
Contents n xix
		 Exercise 8.28.15
		 Answers to Exercise 8.28.15
8.1.4 Double Integral in Polar Coordinates 8.16
		 Worked Examples8.16
8.1.5 Change of Variables in Double Integral 8.19
		 Worked Examples8.19
		 Exercise 8.38.26
		 Answers to Exercise 8.38.27
8.1.6 Area as Double Integral 8.27
		 Worked Examples8.28
		 Exercise 8.48.31
		 Answers to Exercise 8.48.31
		 Worked Examples8.32
		 Exercise 8.58.37
		 Answers to Exercise 8.58.37
8.2 Area of a Curved Surface 8.37
		 8.2.1 Surface Area of a Curved Surface 8.38
8.2.2 Derivation of the Formula for Surface Area 8.38
8.2.3 Parametric Representation of a Surface 8.41
		 Worked Examples8.41
		 Exercise 8.68.49
		 Answers to Exercise 8.68.49
8.3 Triple Integral in Cartesian Coordinates 8.49
		 Worked Examples8.50
		 Exercise 8.78.55
		 Answers to Exercise 8.78.56
		 8.3.1 Volume as Triple Integral 8.56
		 Worked Examples8.56
		 Exercise 8.88.63
		 Answers to Exercise 8.88.64
Short Answer Questions8.64
Objective Type Questions8.64
Answers8.66
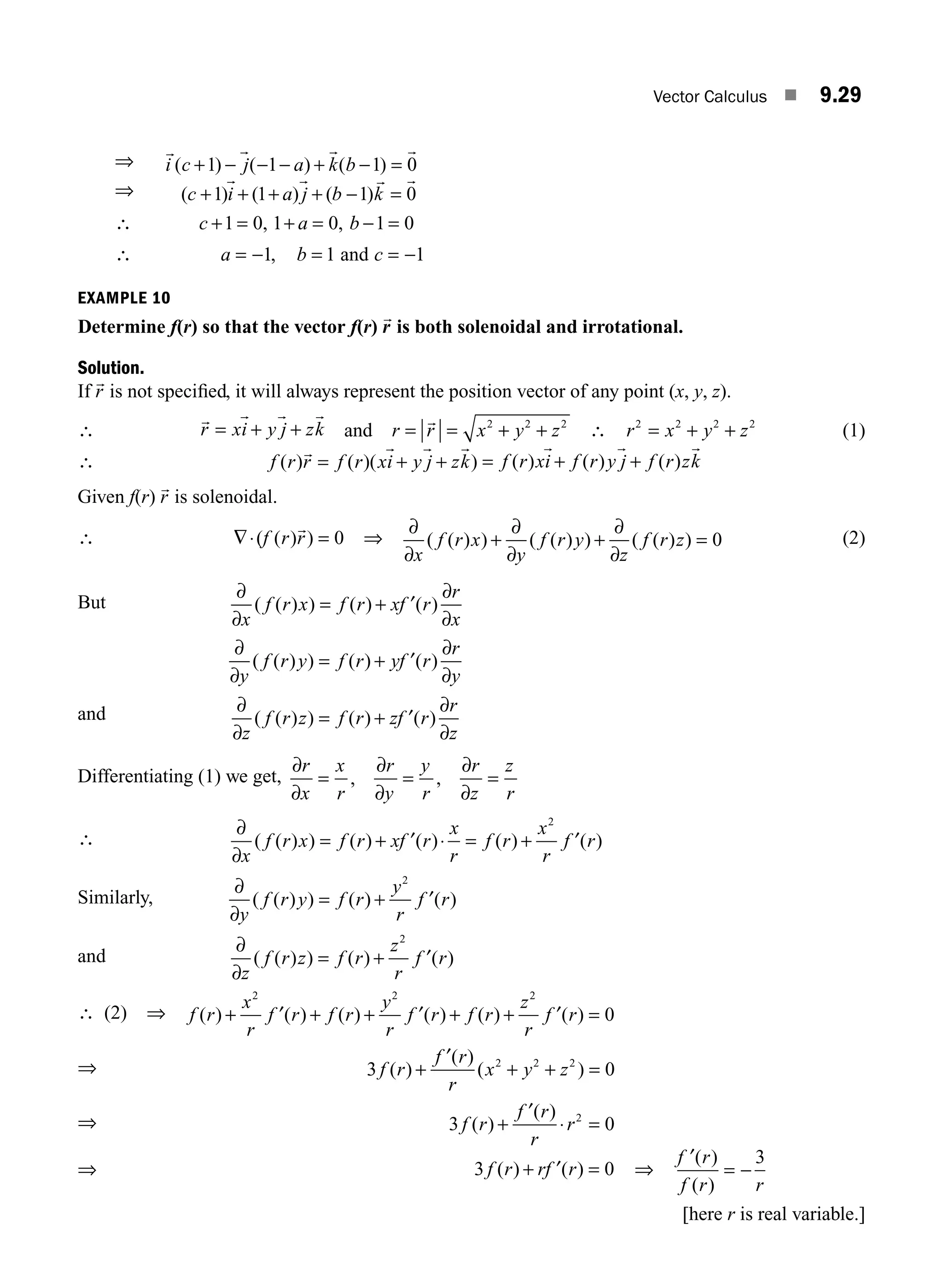
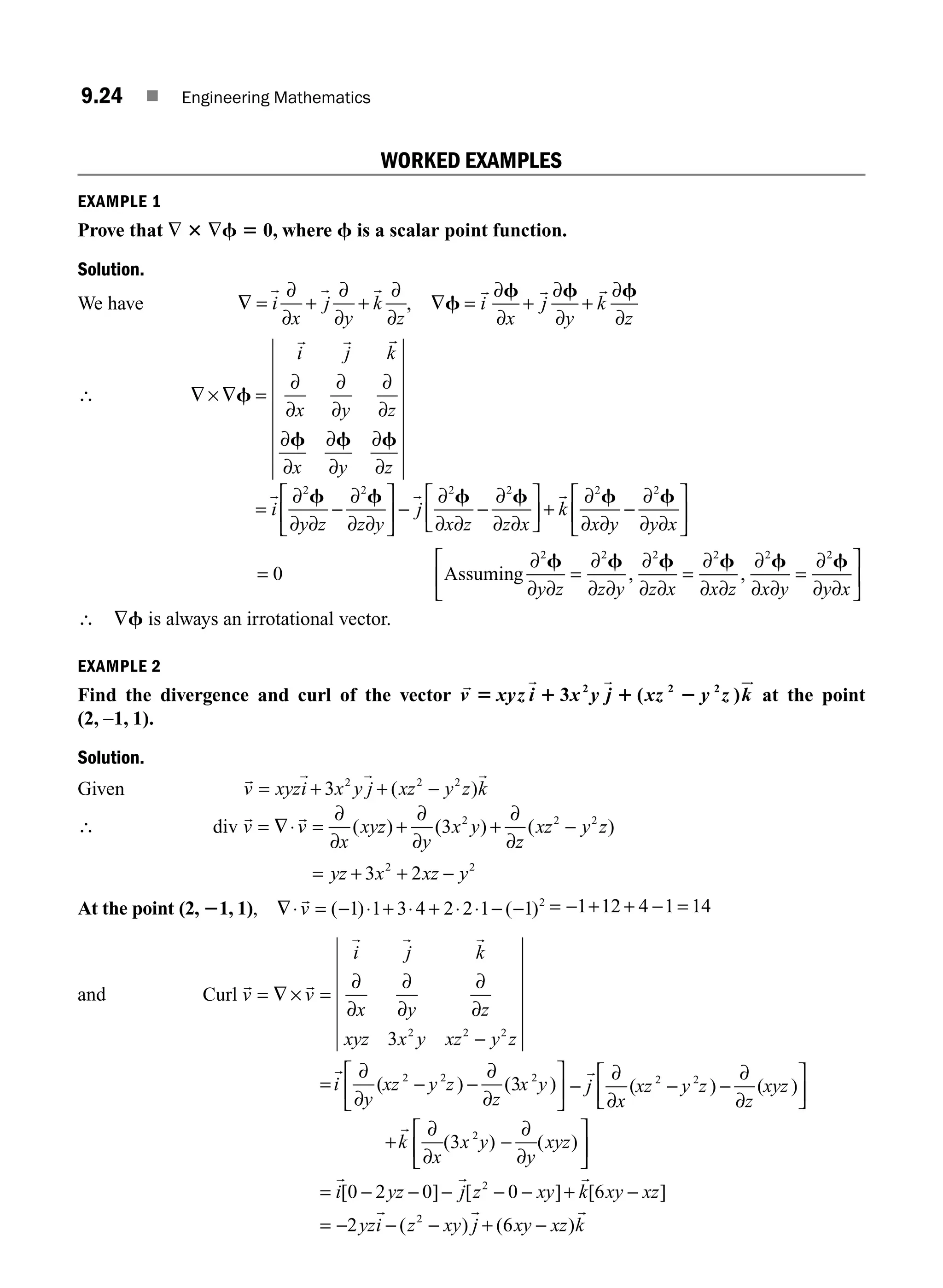
9. Vector Calculus 9.1
9.0 Introduction 9.1
9.1 Scalar and Vector Point Functions 9.1
9.1.1 Geometrical Meaning of Derivative 9.2
9.2 Differentiation Formulae 9.3
9.3 Level Surfaces 9.4
9.4	
Gradient of a Scalar Point Function or Gradient of a Scalar Field 9.4
9.4.1 Vector Differential Operator 9.4
9.4.2 Geometrical Meaning of ∇φ 9.4
9.4.3 Directional Derivative 9.5
9.4.4 Equation of Tangent Plane and Normal to the Surface 9.5
A01_ENGINEERING_MATHEMATICS-I _FM - (Reprint).indd 19 3/2/2017 6:17:55 PM
xx n Contents
9.4.5 Angle between Two Surfaces at a Common Point 9.6
9.4.6 Properties of gradients 9.6
		 Worked Examples 9.8
		 Exercise 9.1 9.20
		 Answers to Exercise 9.1 9.21
9.5	
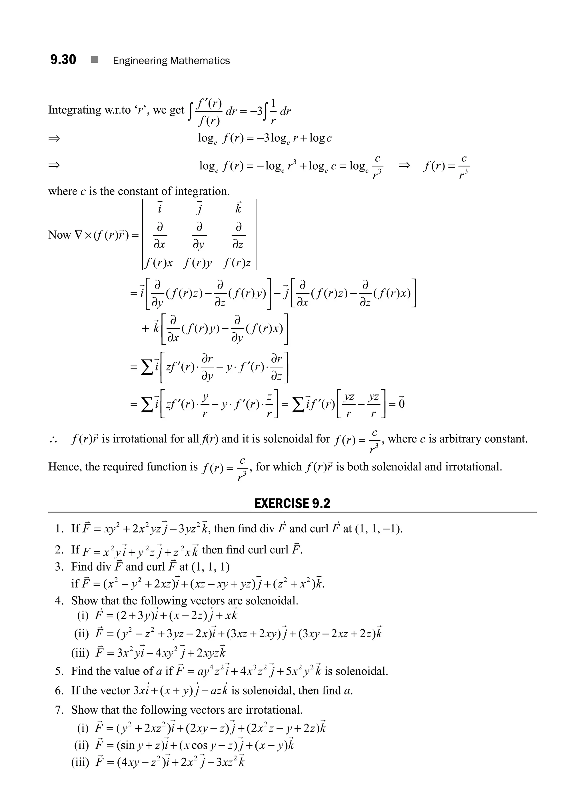
Divergence of a Vector Point Function or Divergence of a Vector Field 9.22
9.5.1 Physical Interpretation of Divergence 9.22
9.6	
Curl of a Vector Point Function or Curl of a Vector Field 9.23
9.6.1 Physical Meaning of Curl F 9.23
		 Worked Examples 9.24
		 Exercise 9.2 9.30
		 Answers to Exercise 9.2 9.31
9.7 Vector Identities 9.31
		 Worked Examples 9.37
9.8 Integration of Vector Functions 9.39
9.8.1 Line Integral 9.40
		 Worked Examples 9.40
		 Exercise 9.3 9.46
		 Answers to Exercise 9.3 9.47
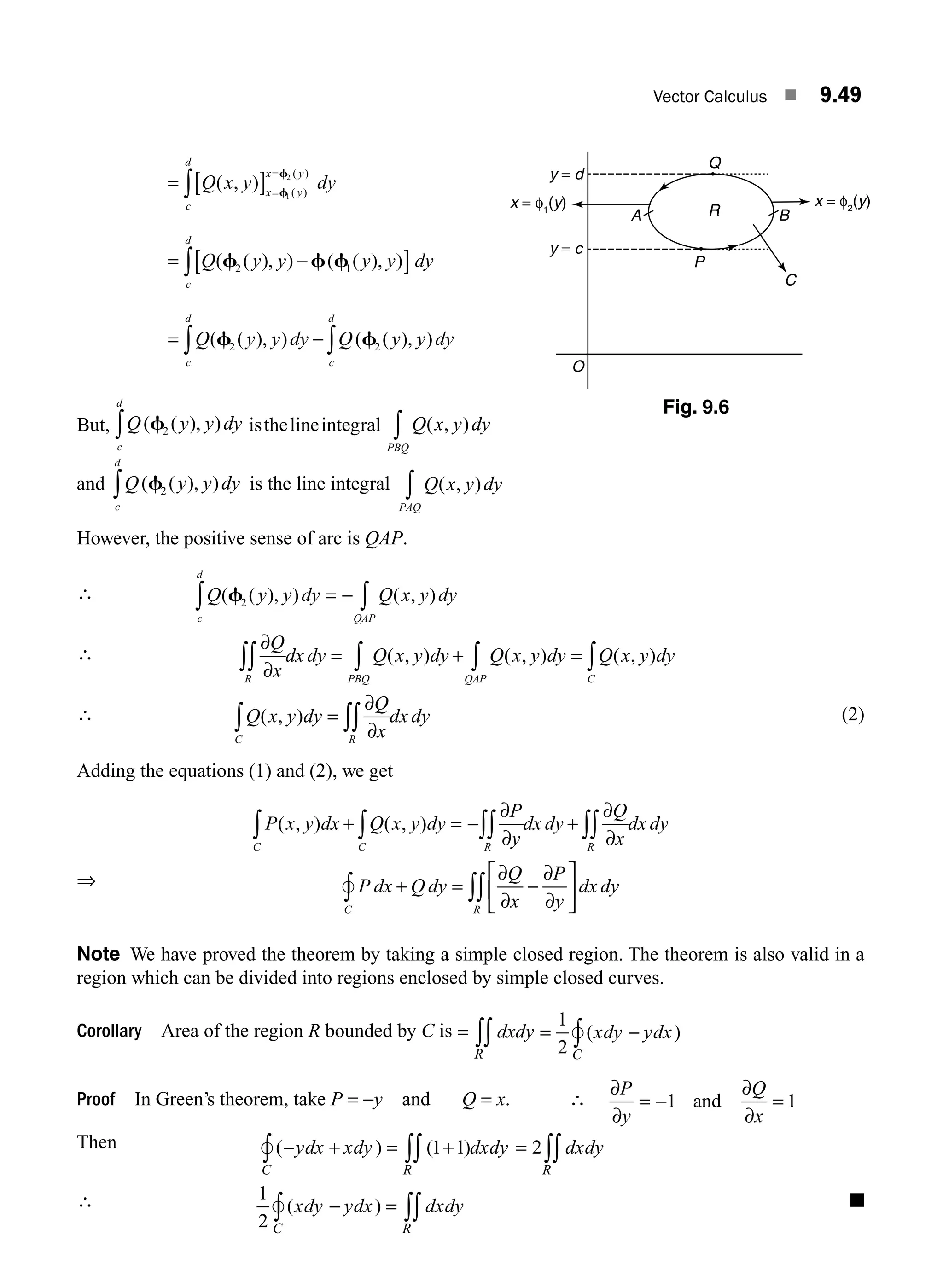
9.9 Green’s Theorem in a Plane 9.47
9.9.1 Vector Form of Green’s Theorem 9.50
		 Worked Examples 9.50
9.10 Surface Integrals 9.56
9.10.1 Evaluation of Surface Integral 9.57
9.11 Volume Integral 9.58
		 Worked Examples 9.58
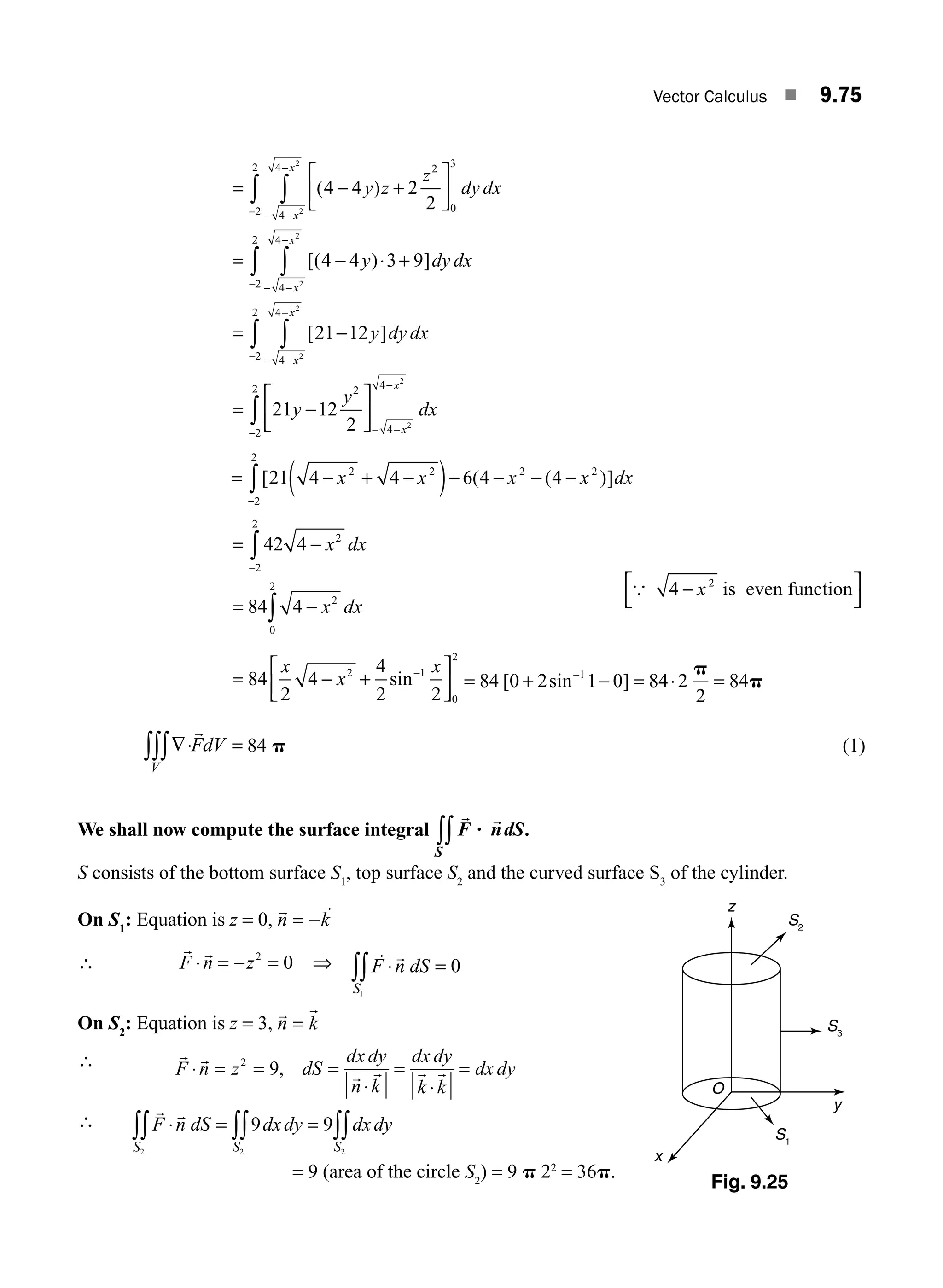
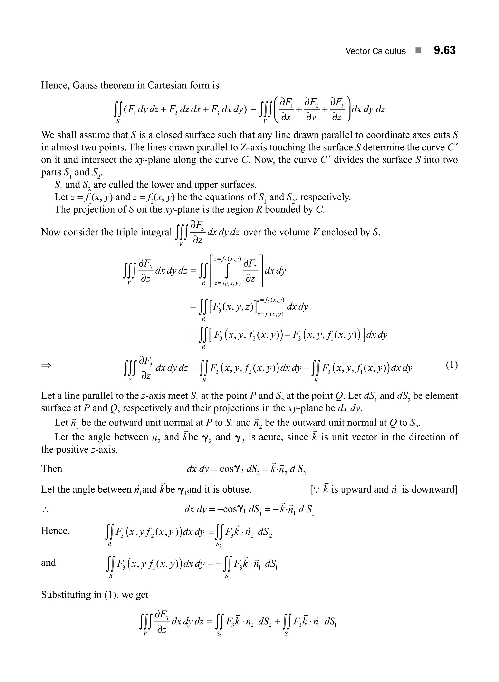
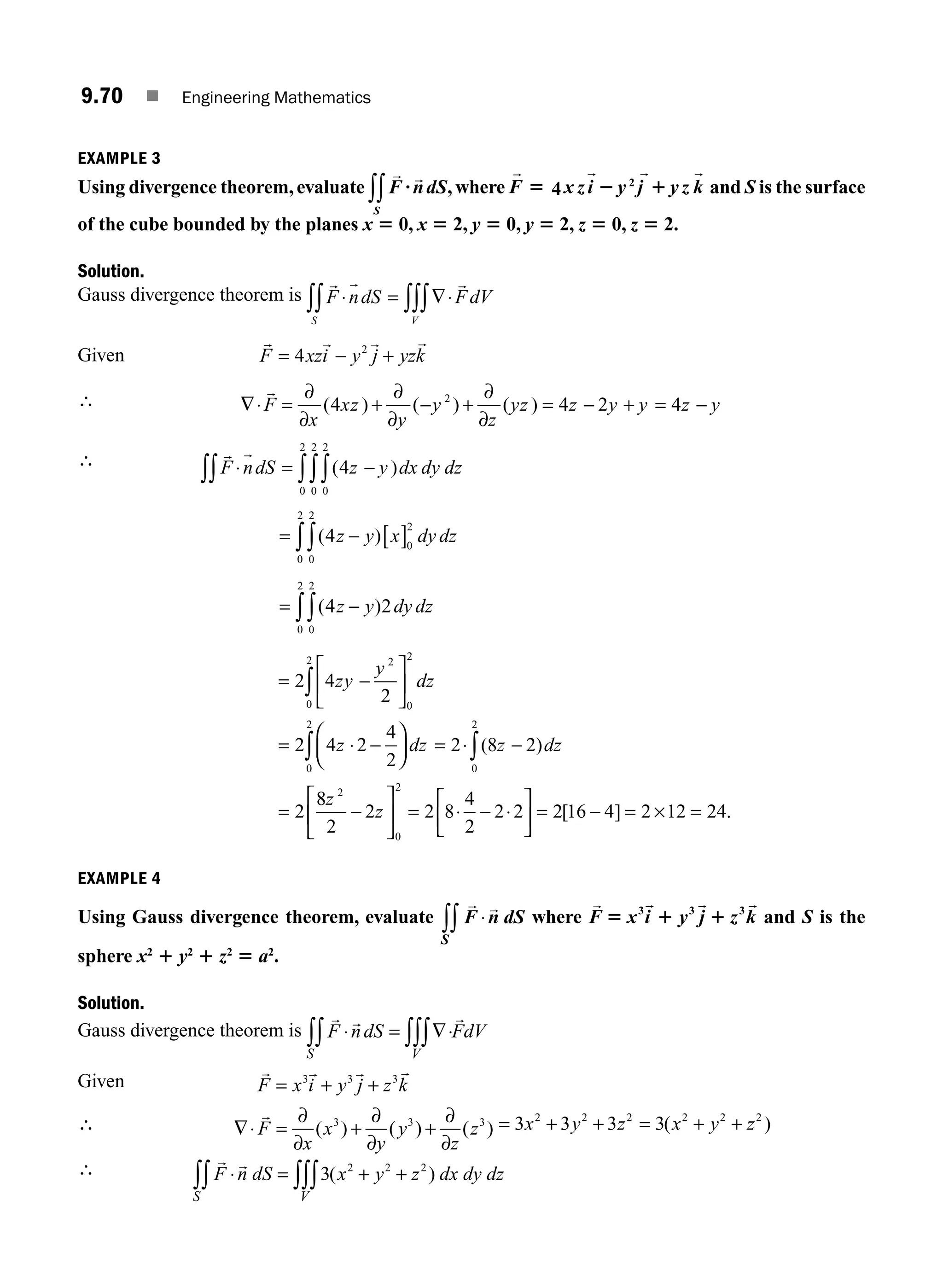
9.12 Gauss Divergence Theorem 9.62
9.12.1 Results Derived from Gauss Divergence Theorem 9.64
		 Worked Examples 9.68
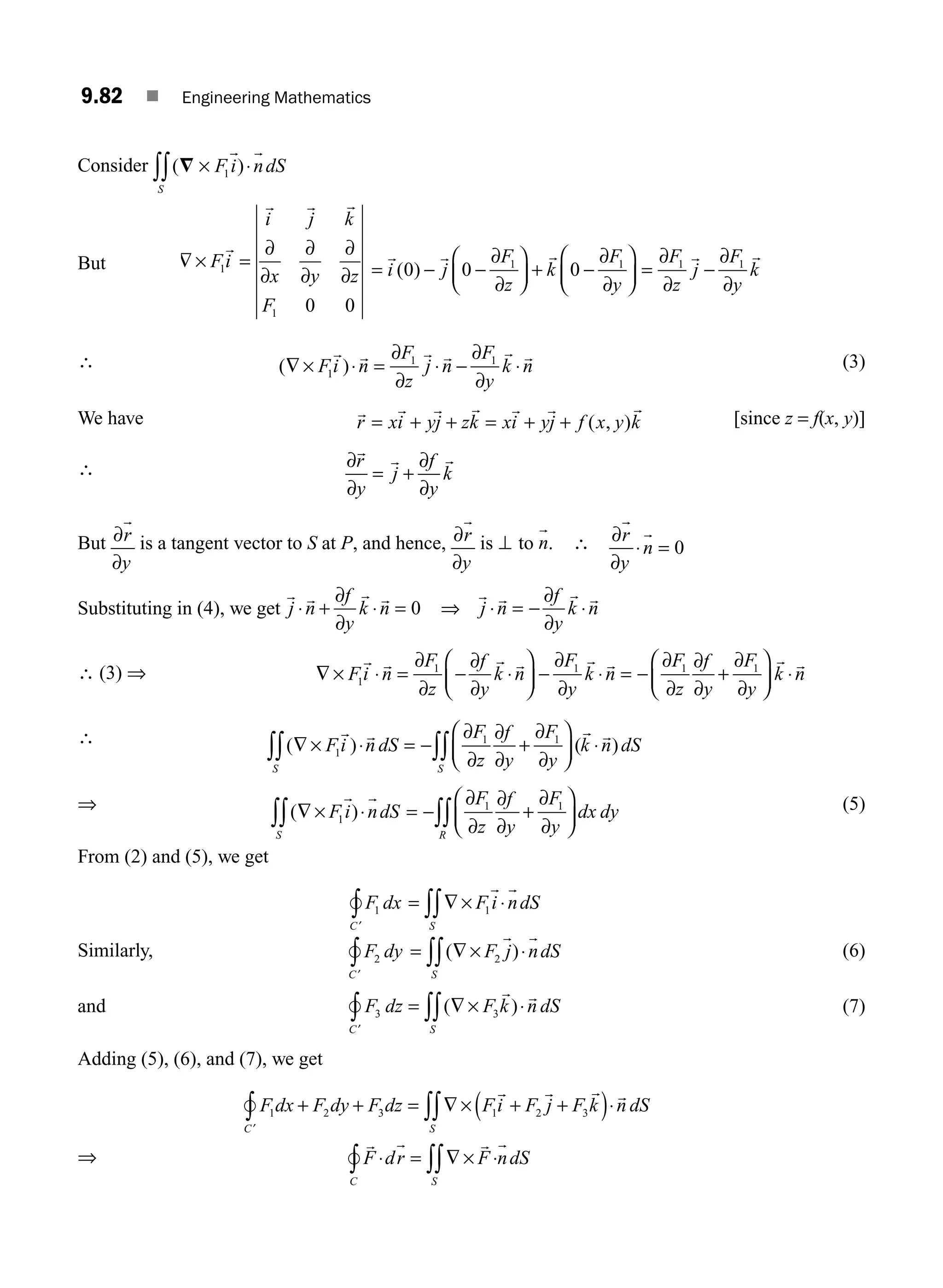
9.13 Stoke’s Theorem 9.81
		 Worked Examples 9.83
		 Exercise 9.4 9.97
		 Answers to Exercise 9.49.100
Short Answer Questions9.100
Objective Type Questions9.101
Answers9.102
10. Ordinary First Order Differential Equations 10.1
10.0 Introduction 10.1
10.1 Formation of Differential Equations 10.2
		 Worked Examples 10.2
		 Exercise 10.1 10.5
		 Answers to Exercise 10.1 10.6
10.2 First Order and First Degree Differential Equations 10.6
10.2.1 Type I
		 Variable Separable Equations 10.6
=
1
curl
2
w v
A01_ENGINEERING_MATHEMATICS-I _FM - (Reprint).indd 20 3/2/2017 6:17:55 PM
Contents n xxi
		 Worked Example 10.6
		 Exercise 10.2 10.9
		 Answers to Exercise 10.2 10.9
10.2.2 Type II
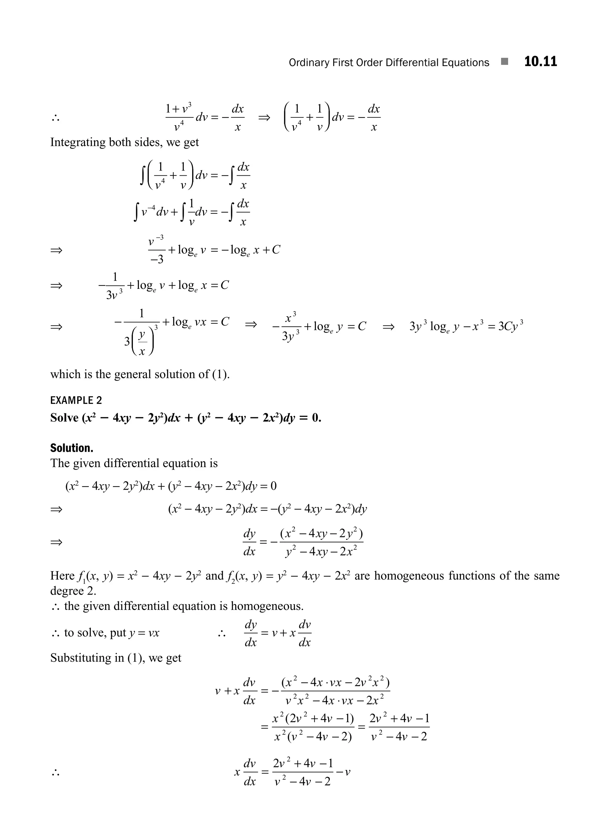
		 Homogeneous Equation 10.10
		 Worked Examples10.10
		 Exercise 10.310.13
		 Answers to Exercise 10.310.14
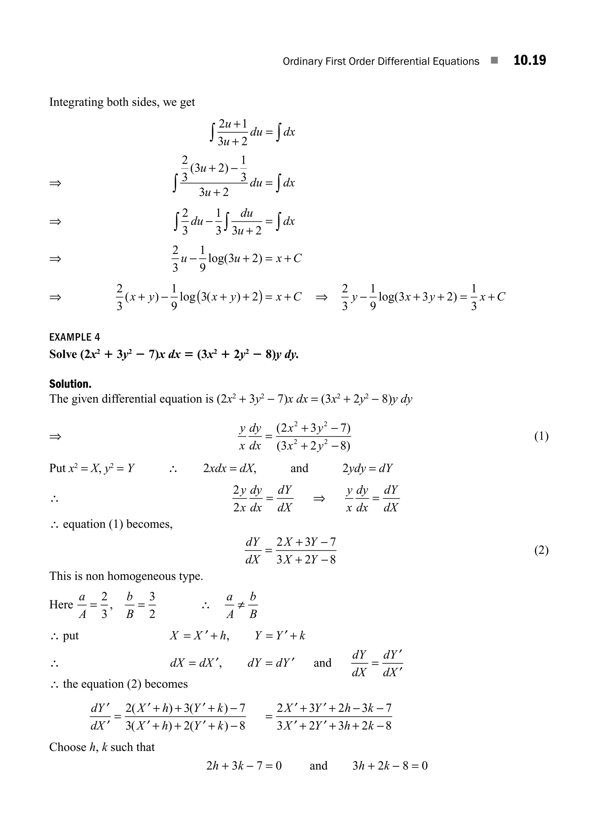
10. 2.3 Type III
		 Non-Homogenous Differential Equations of the First Degree 10.14
		 Worked Examples10.16
		 Exercise 10.410.21
		 Answers to Exercise 10.410.21
10.2.4 Type IV
		 Linear Differential Equation 10.22
		 Worked Examples10.23
		 Exercise 10.510.27
		 Answers to Exercise 10.510.27
10.2.5 Type V Bernoulli’s Equation 10.28
		 Worked Examples10.28
		 Exercise 10.610.31
		 Answers to Exercise 10.610.31
10.2.6 Type VI Riccati Equation 10.31
		 Worked Examples10.33
		 Exercise 10.710.36
		 Answers to Exercise 10.710.36
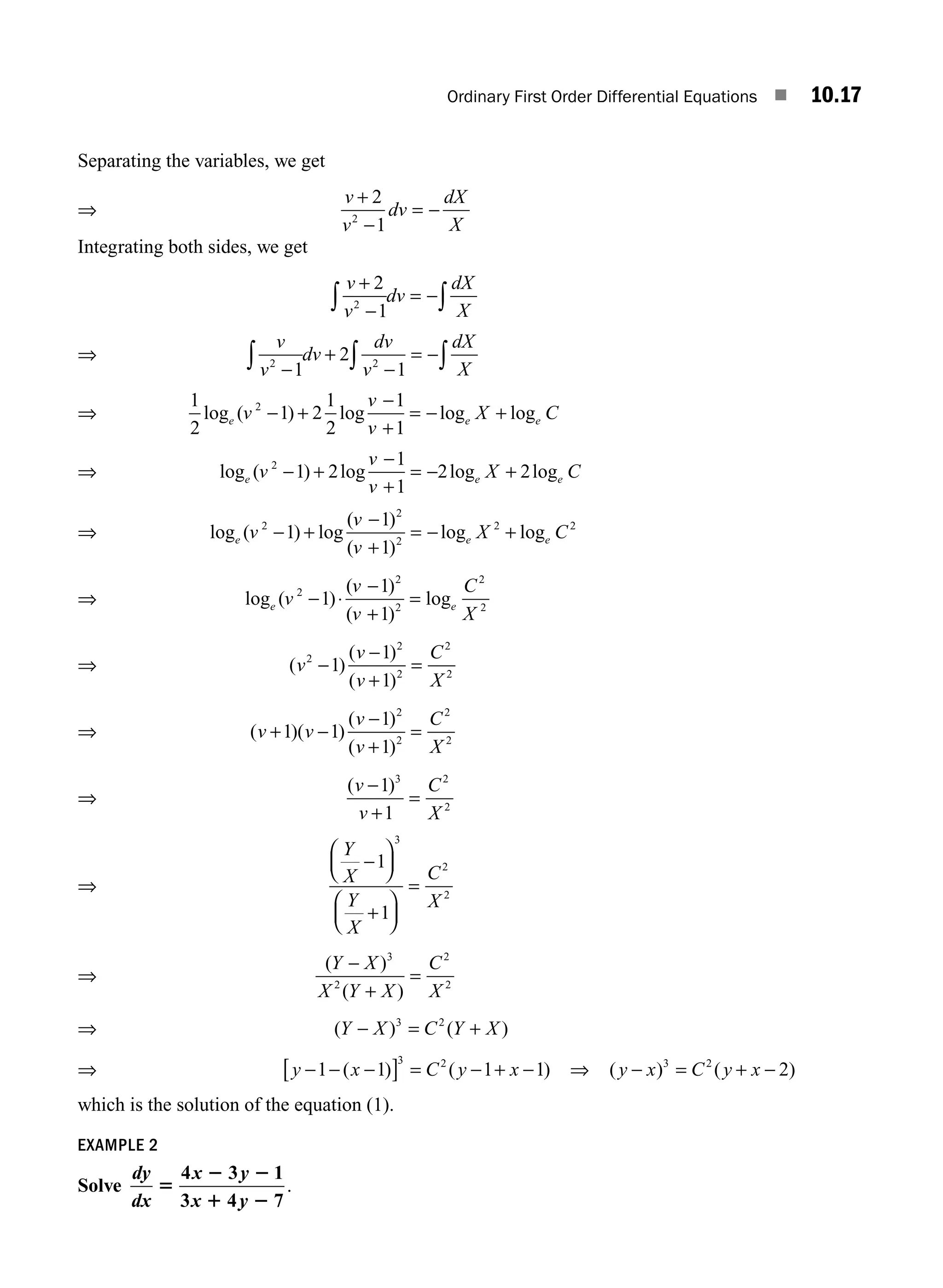
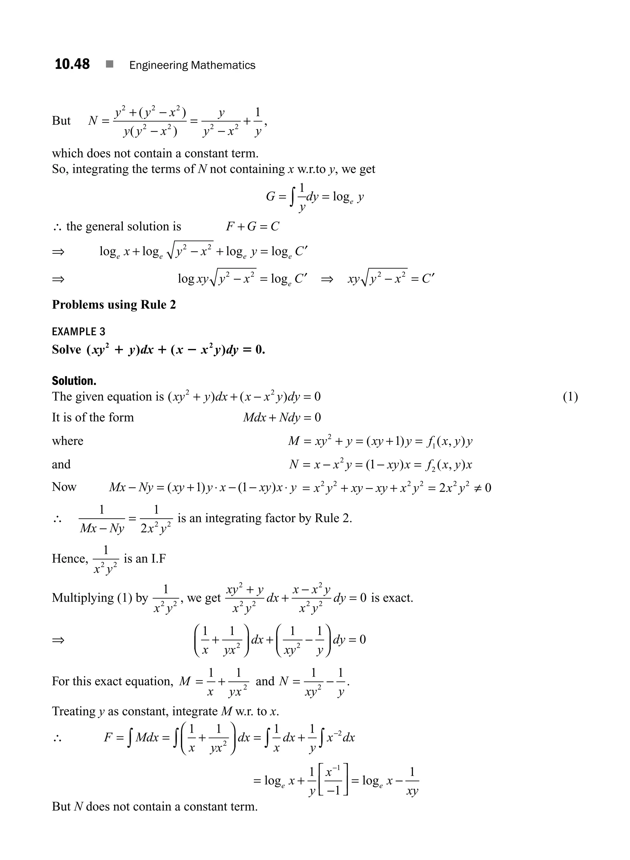
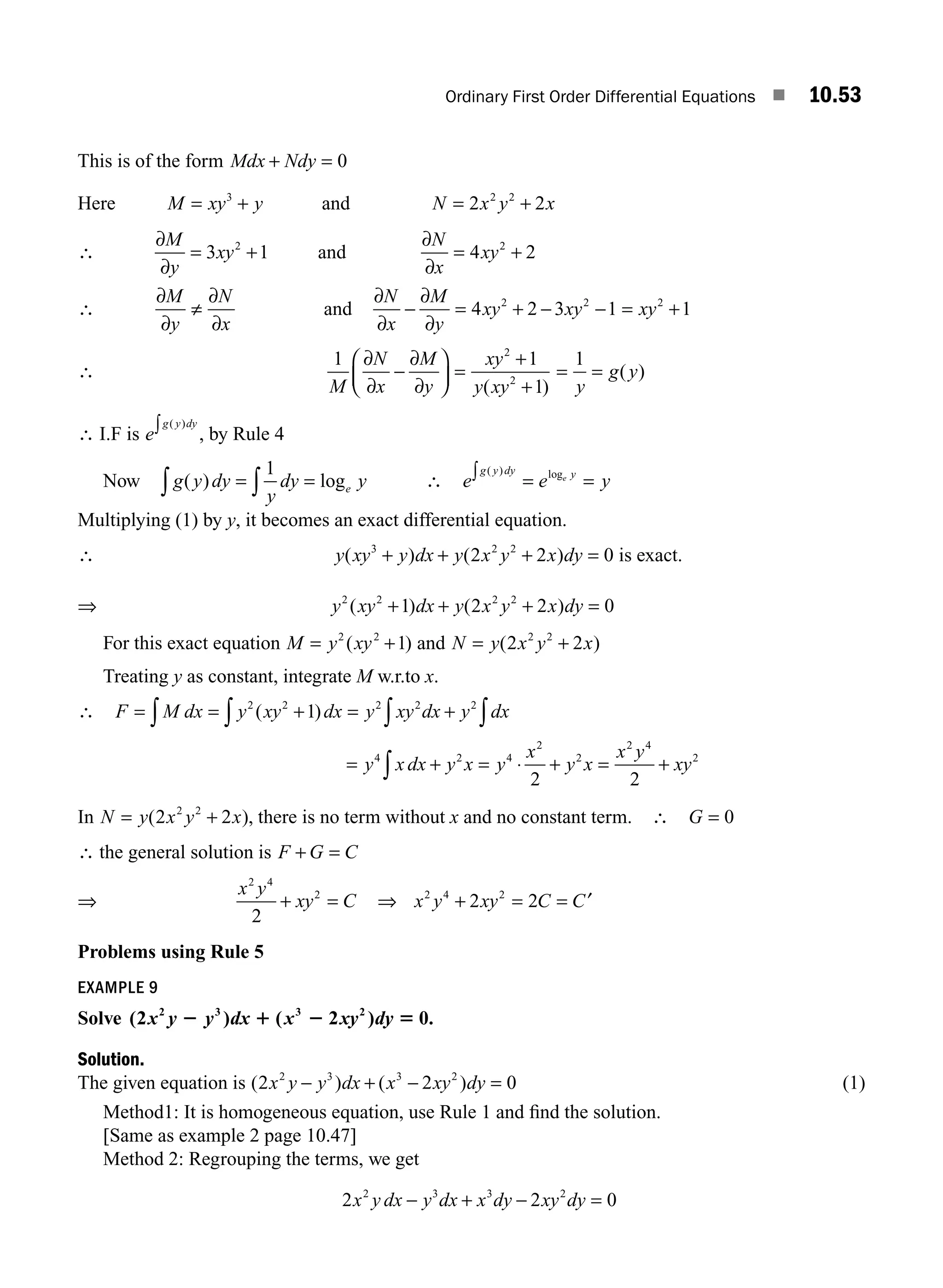
10.2.7 Type VII First Order Exact Differential Equations 10.37
		 Worked Examples10.39
		 Exercise 10.810.41
		 Answers to Exercise 10.810.42
10.3 Integrating Factors 10.42
		 Worked Examples10.43
10.3.1	
Rules for Finding the Integrating Factor for Non-Exact Differential
Equation Mdx + Ndy = 0 10.45
		 Worked Examples10.46
		 Exercise 10.910.56
		 Answers to Exercise 10.910.56
10.4	
Ordinary Differential Equations of the First Order but of Degree Higher
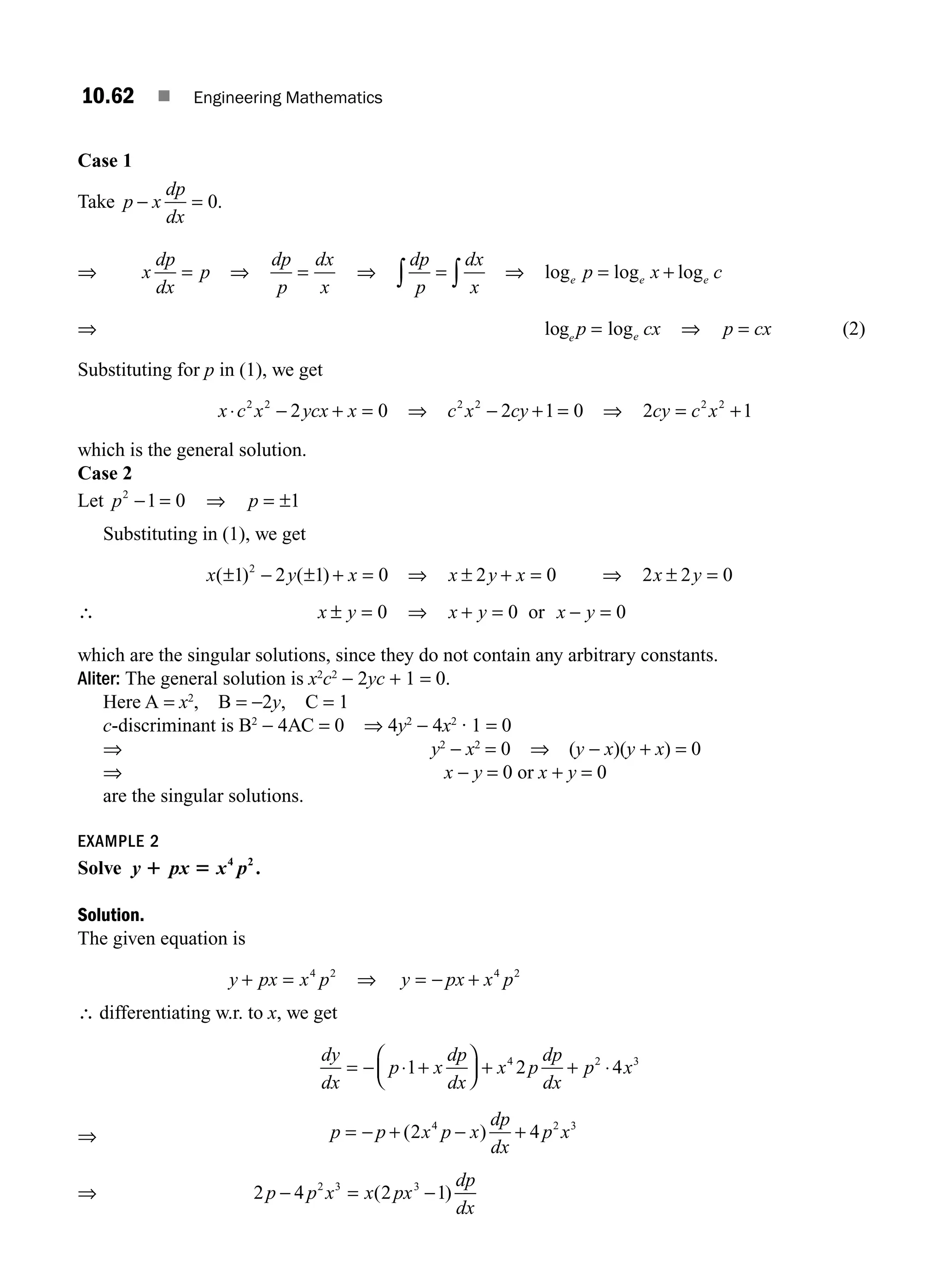
than One 10.56
10.4.1 Type 1 Equations Solvable for p  10.57
		 Worked Examples10.57
		 Exercise 10.1010.59
		 Answers to Exercise 10.1010.60
10.4.2 Type 2
		 Equations Solvable for y10.60
		 Worked Examples10.61
A01_ENGINEERING_MATHEMATICS-I _FM - (Reprint).indd 21 3/2/2017 6:17:55 PM
xxii n Contents
10.4.3 Type 3
		 Equations Solvable for x10.64
		 Worked Examples10.65
		 Exercise 10.1110.67
		 Answers to Exercise 10.1110.67
10.4.4 Type 4 Clairaut’s Equation 10.67
		 Worked Examples10.68
		 Exercise 10.1210.71
		 Answers to Exercise 10.1210.71
Short Answer Questions10.71
Objective Type Questions10.72
Answers10.74
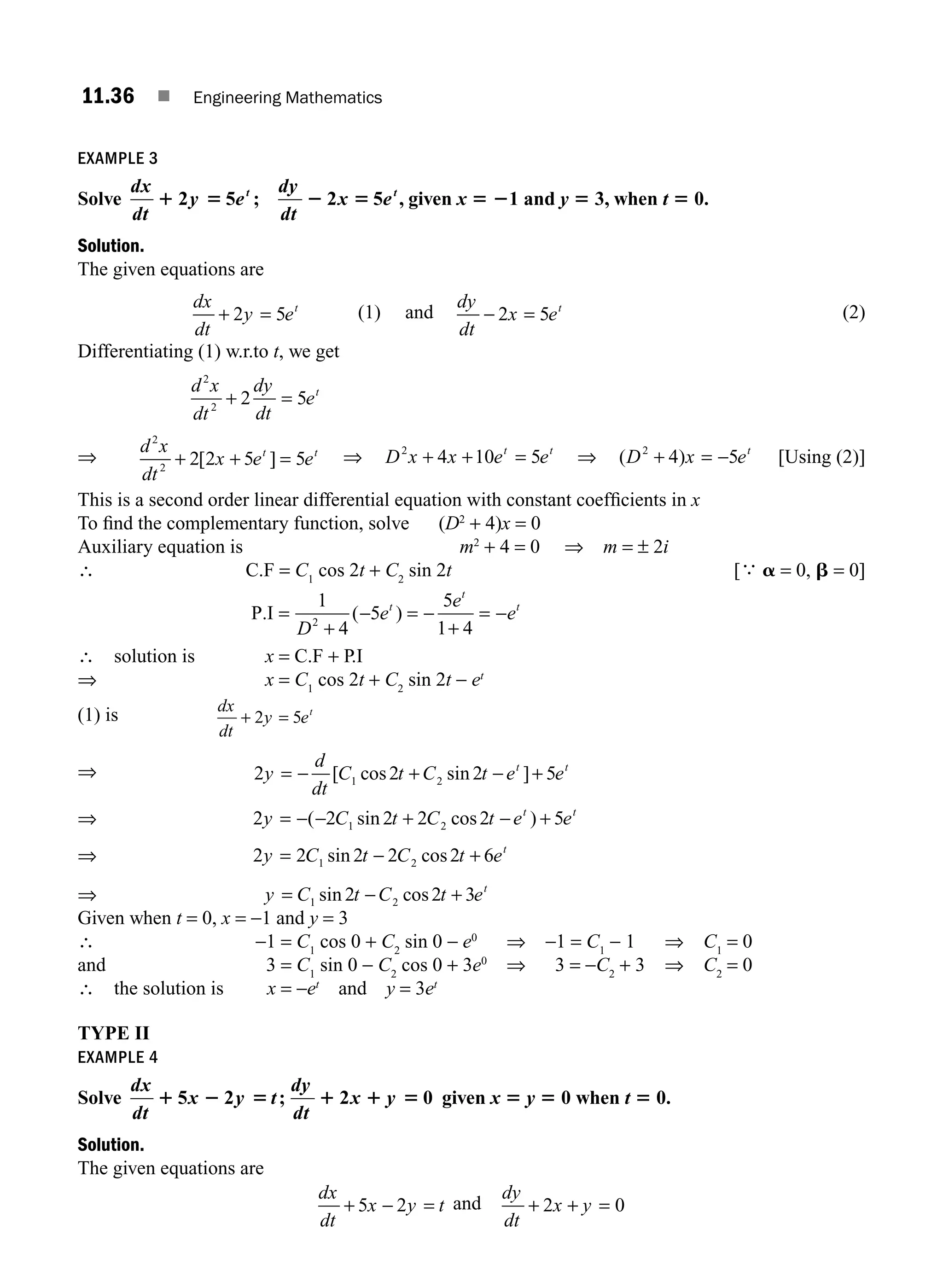
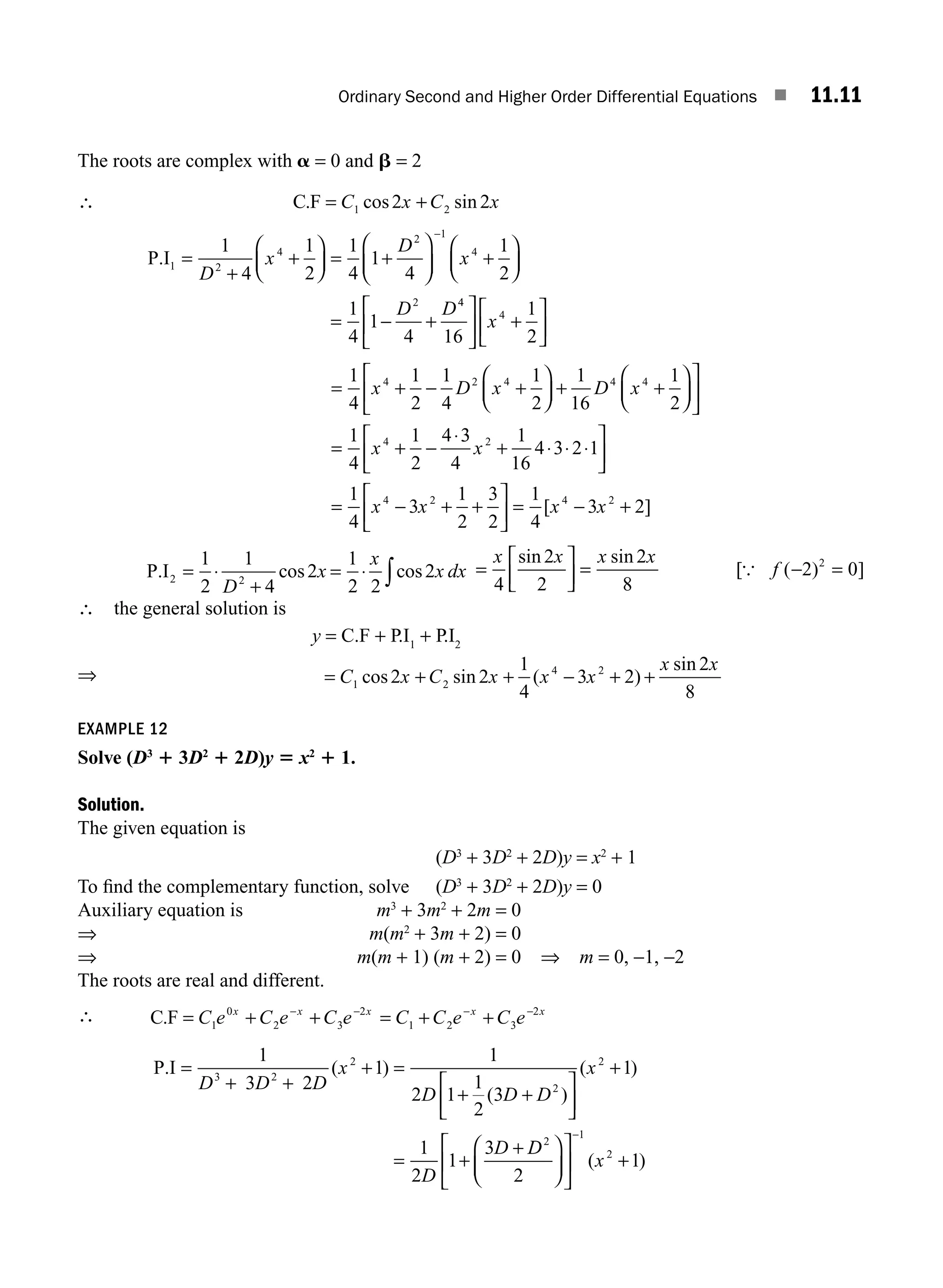
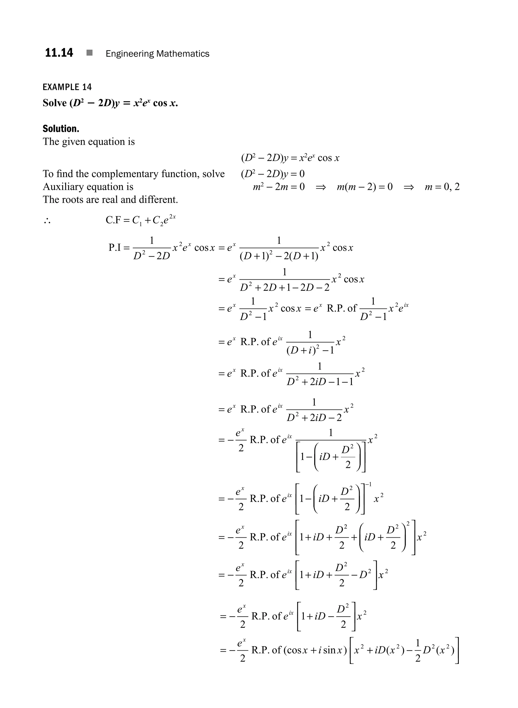
11. Ordinary Second and Higher Order Differential Equations 11.1
11.0 Introduction 11.1
11.1	
Linear Differential Equation with Constant Coefficients 11.1
11.1.1 Complementary Function 11.1
11.1.2 Particular Integral 11.2
		 Worked Examples 11.3
		 Exercise 11.111.19
		 Answers to Exercise 11.111.19
11.2	
Linear Differential Equations with Variable Coefficients 11.21
11.2.1 Cauchy’s Homogeneous Linear Differential Equations 11.21
		 Worked Examples11.22
11.2.2 Legendre’s Linear Differential Equation 11.29
		 Worked Examples11.30
		 Exercise 11.211.32
		 Answers to Exercise 11.211.33
11.3	
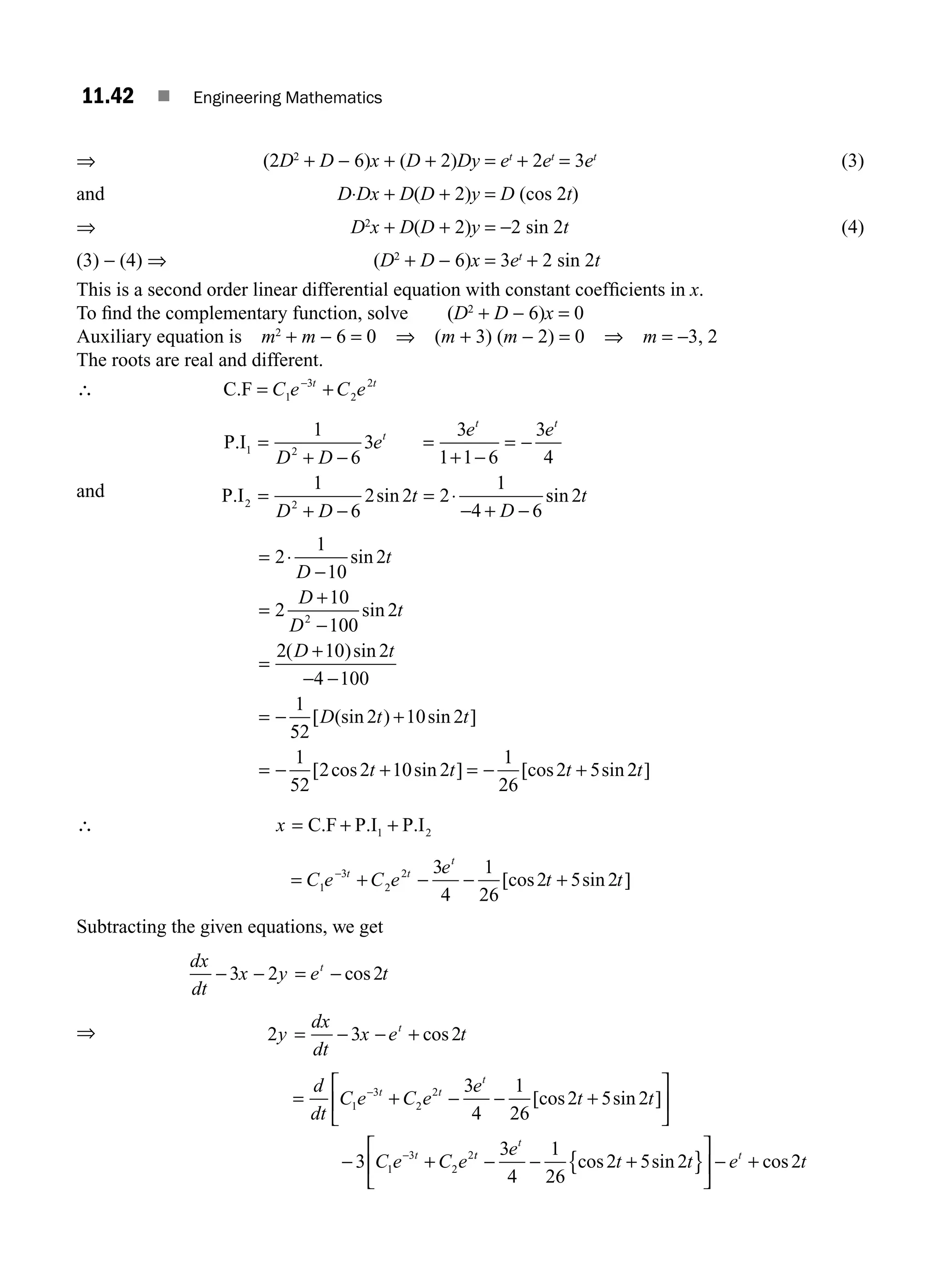
Simultaneous Linear Differential Equations with
Constant Coefficients 11.34
Worked Examples11.34
Exercise 11.311.43
Answers to Exercise 11.311.44
11.4 Method of Variation of Parameters 11.44
11.4.1 Working rule11.45
Worked Examples11.45
Exercise 11.411.51
Answers to Exercise 11.411.52
11.5 Method of Undetermined Coefficients 11.52
Worked Examples11.54
Exercise 11.511.60
Answers to Exercise 11.511.60
Short Answers Questions11.60
Objective Type Questions11.61
Answers 11.63
A01_ENGINEERING_MATHEMATICS-I _FM - (Reprint).indd 22 3/2/2017 6:17:55 PM
Contents n xxiii
12. Applications of Ordinary Differential Equations 12.1
12.0 Introduction 12.1
12.1 Applications of Ordinary Differential Equations of First Order 12.1
12.1.1 Law of Growth and Decay 12.1
12.1.2 Newton’s Law of Cooling of Bodies 12.2
		 Worked Examples 12.2
		 Exercise 12.1 12.7
		 Answers To Exercise 12.1 12.8
12.1.3 Chemical Reaction and Solutions 12.8
		 Worked Examples 12.9
		 Exercise 12.212.12
		 Answers to Exercise 12.212.13
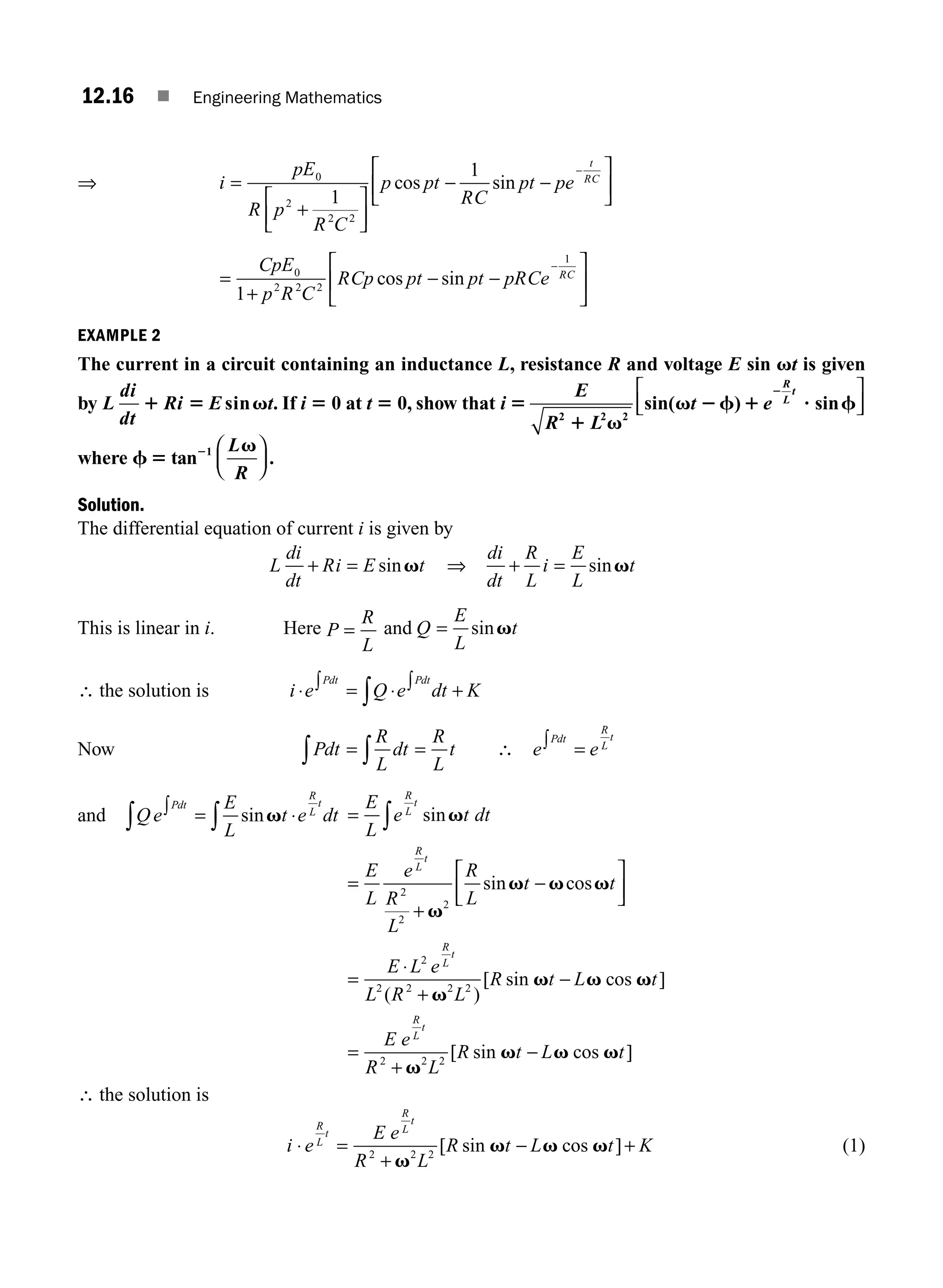
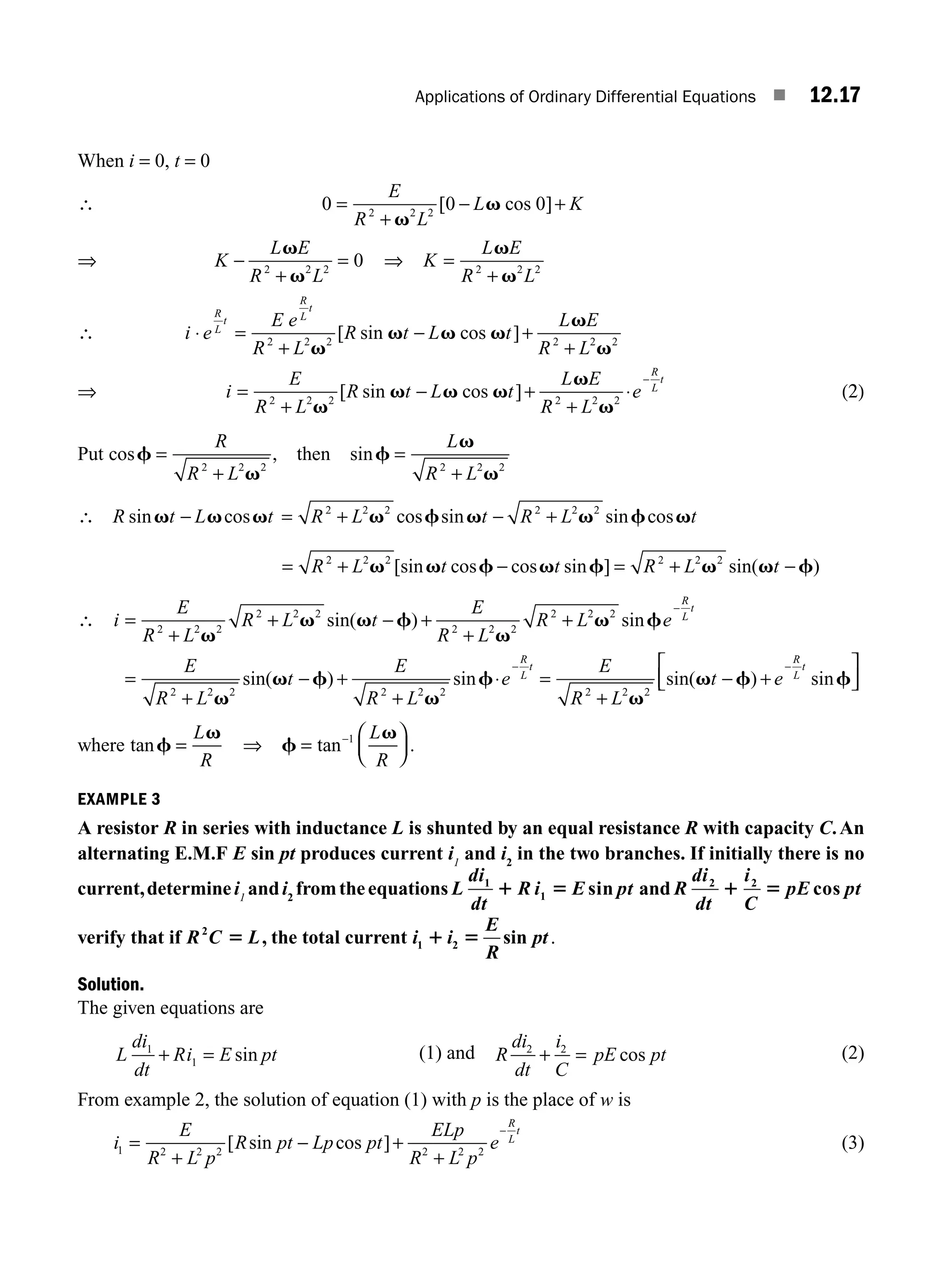
12.1.4 Simple Electric Circuit 12.13
		 Worked Examples12.14
		 Exercise 12.312.19
		 Answers to Exercise 12.312.19
12.1.5 Geometrical Applications 12.20
12.1.5 (a) Orthogonal Trajectories in Casterian Coordinates 12.20
			Worked Examples12.21
12.1.5 (b) Orthogonal Trajectories in Polar Coordinates 12.23
		 Worked Examples12.24
		 Exercise 12.412.26
		 Answers to Exercise 12.412.27
12.2 Applications of Second Order Differential Equations 12.27
12.2.1 Bending of Beams 12.27
		 Worked Examples12.29
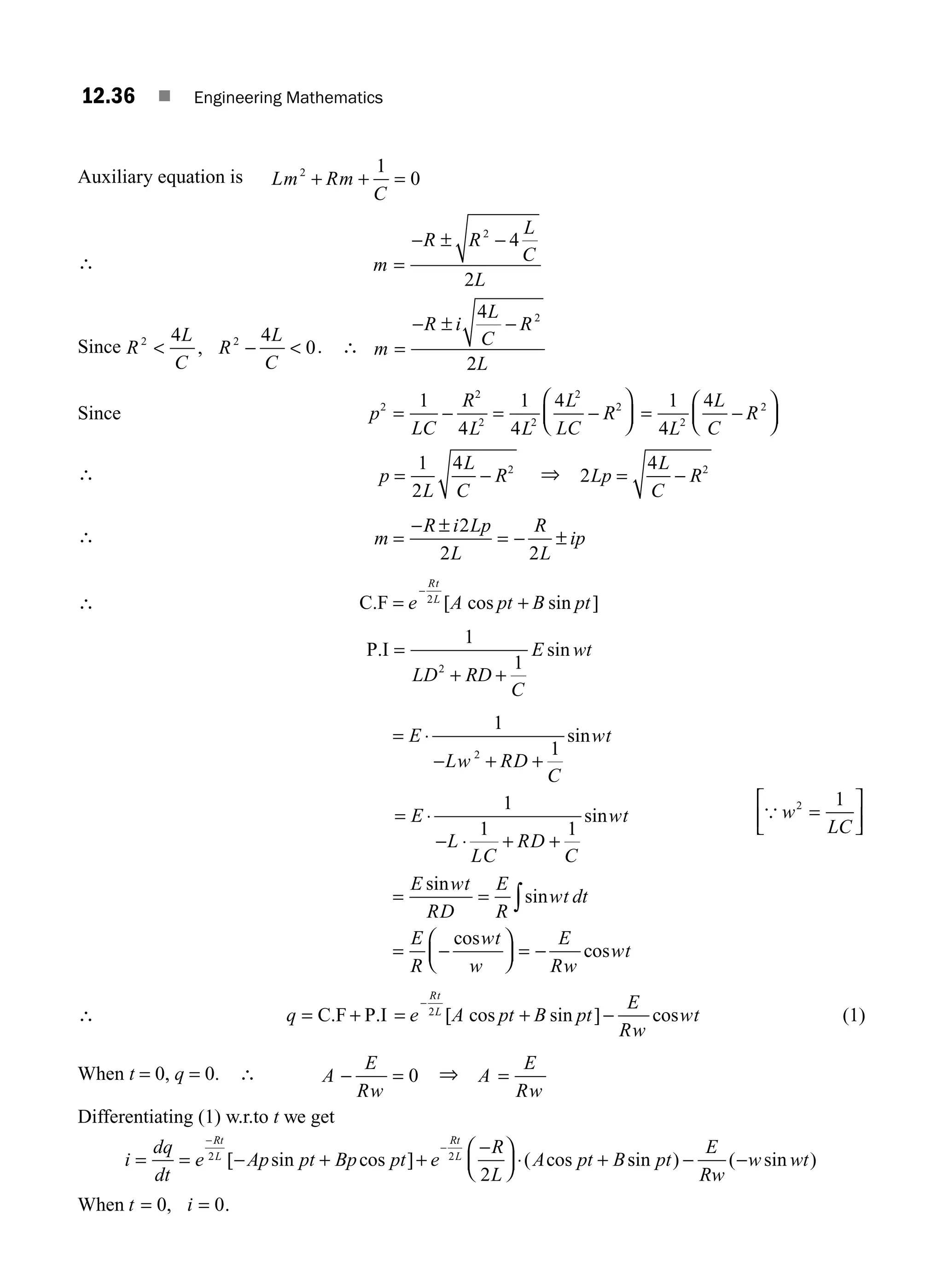
12.2.2 Electric Circuits 12.34
		 Worked Examples12.34
		 Exercise 12.512.38
		 Answers to Exercise 12.512.39
12.2.3 Simple Harmonic Motion (S.H.M) 12.40
		 Worked Examples12.41
		 Exercise 12.612.43
		 Answers to Exercise 12.612.44
Objective Type Questions12.44
Answers12.45
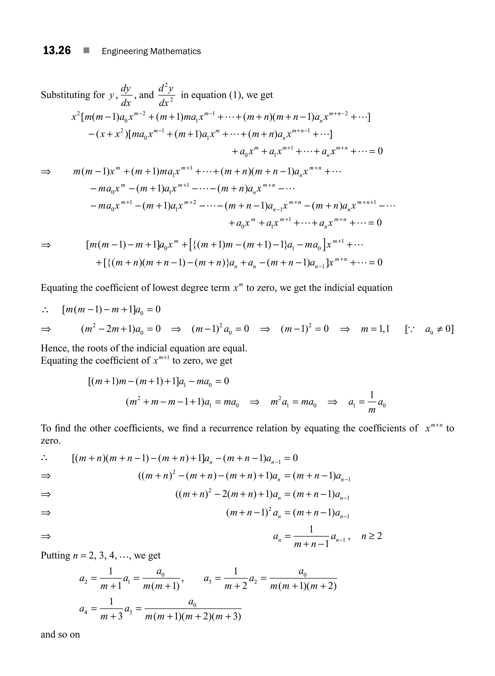
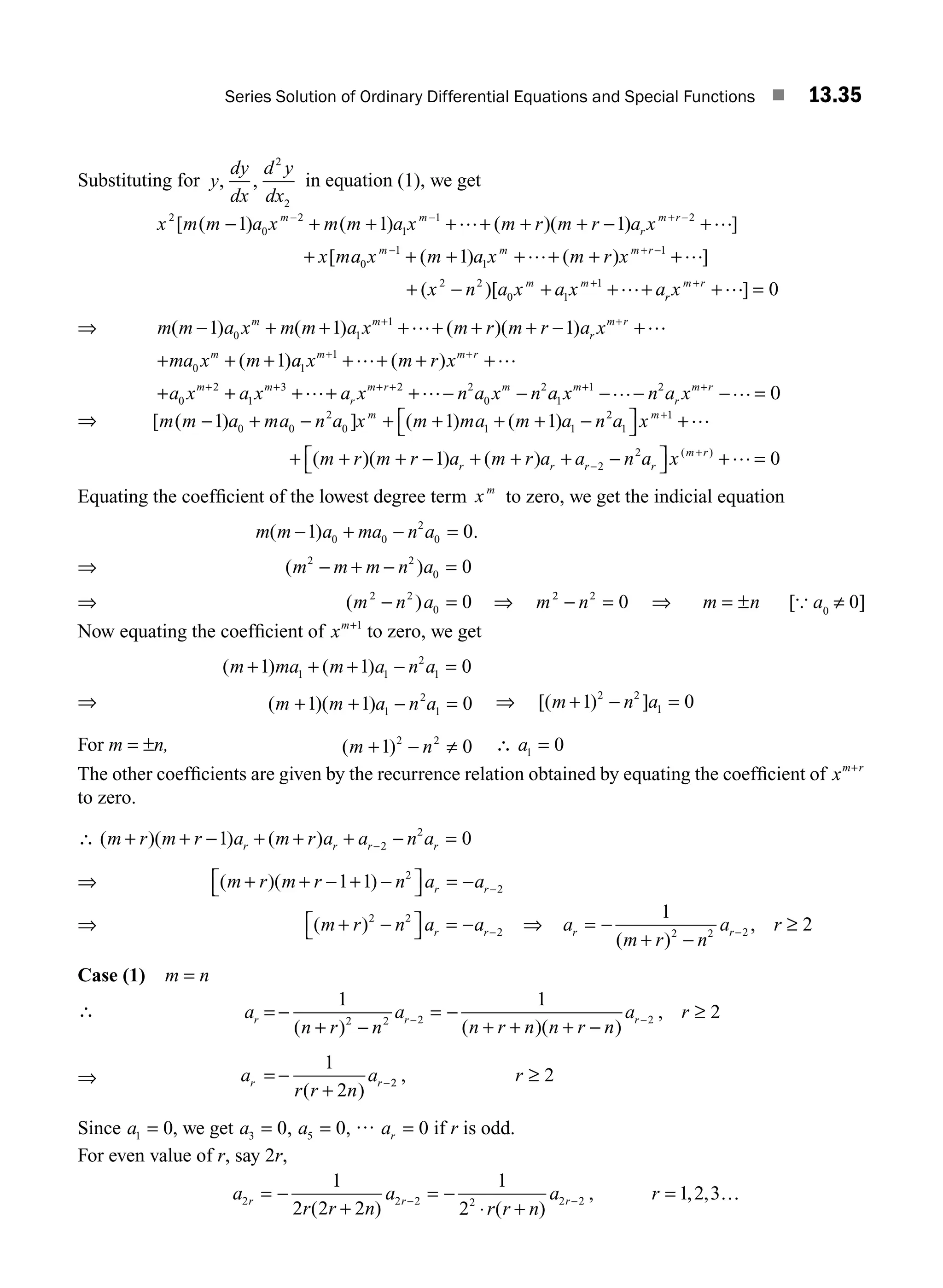
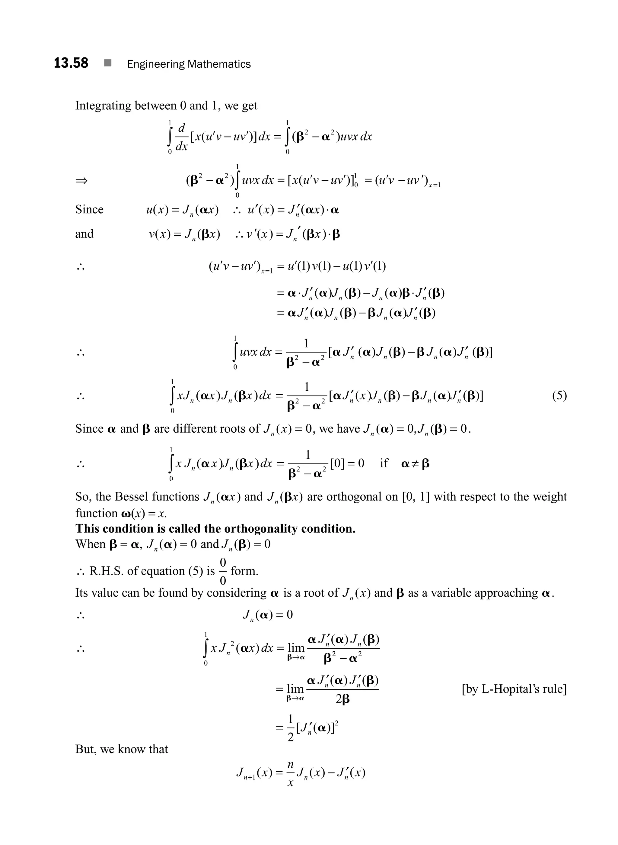
13. Series Solution of Ordinary Differential Equations and Special Functions 13.1
13.0 Introduction 13.1
13.1 Power Series Method 13.1
13.1.1 Analytic Function 13.1
13.1.2 Regular Point 13.2
13.1.3 Singular Point 13.2
13.1.4 Regular and Irregular Singular Points 13.2
		 Worked Examples 13.3
		 Exercise 13.1 13.9
		 Answers to Exercise 13.1 13.9
A01_ENGINEERING_MATHEMATICS-I _FM - (Reprint).indd 23 3/2/2017 6:17:55 PM
xxiv n Contents
13.2 Frobenius Method 13.9
		 Worked Examples13.11
		 Exercise 13.213.33
		 Answers to Exercise 13.213.33
13.3 Special Functions 13.34
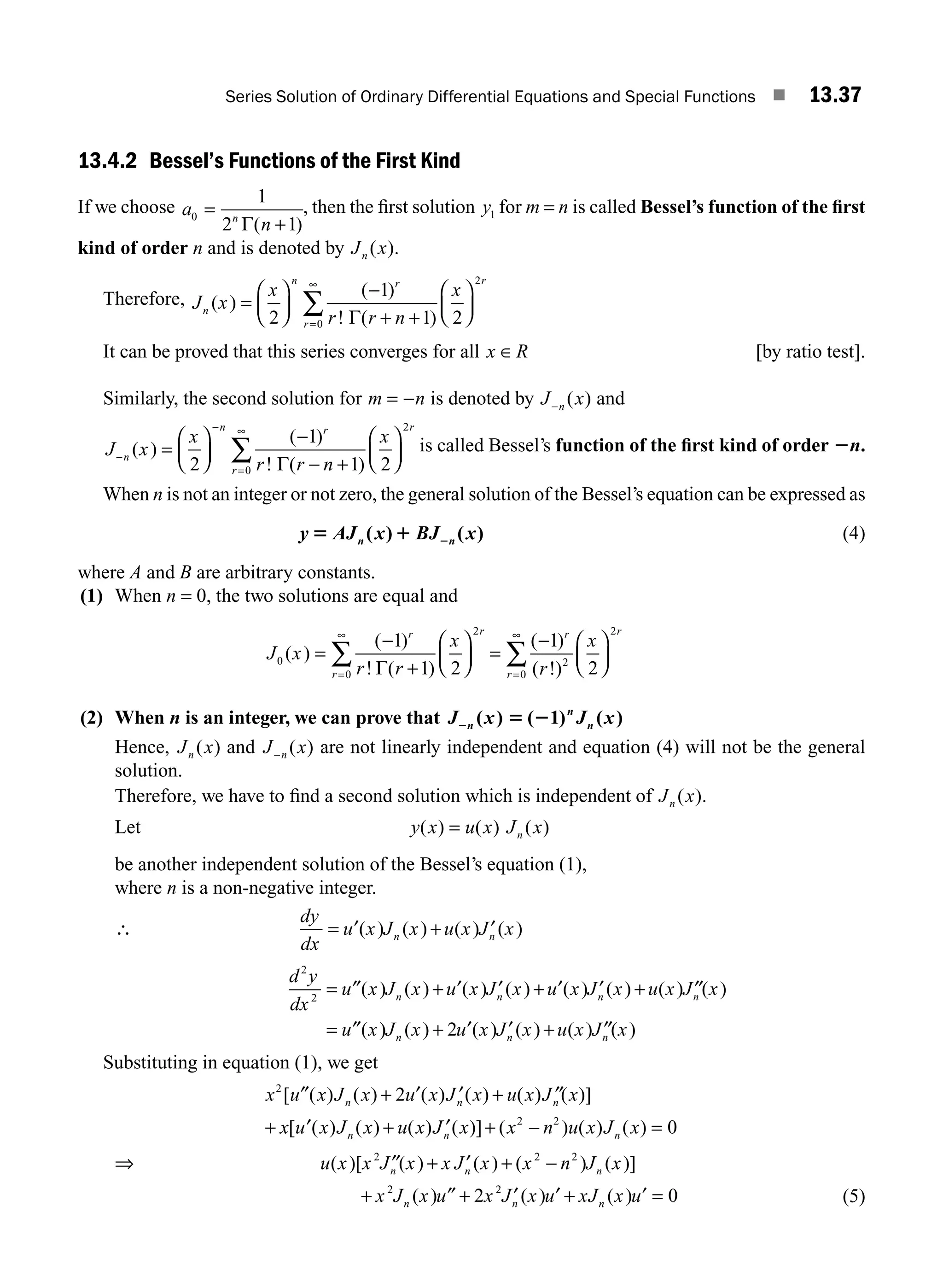
13.4 Bessel Functions 13.34
13.4.1 Series Solution of Bessel’s Equation 13.34
13.4.2 Bessel’s Functions of the First Kind 13.37
		 Worked Examples13.39
13.4.3 Some Special Series 13.40
13.4.4 Recurrence Formula for Jn (x)13.41
13.4.5 Generating Function for Jn (x) of Integral Order 13.44
		 Worked Examples13.46
13.4.6 Integral Formula for Bessel’s Function Jn (x)  13.49
		 Worked Examples13.53
13.4.7 Orthogonality of Bessel’s Functions 13.56
13.4.8 Fourier–Bessel Expansion of a Function f(x)13.59
		 Worked Examples13.60
13.4.9 Equations Reducible to Bessel’s Equation 13.62
		 Worked Examples13.62
		 Exercise 13.313.65
		 Answers to Exercise 13.313.66
13.5 Legendre Functions 13.66
13.5.1 Series Solution of Legendre’s Differential Equation 13.66
13.5.2 Legendre Polynomials 13.71
13.5.3 Rodrigue’s Formula 13.71
		 Worked Examples13.73
13.5.4 Generating Function for Legendre Polynomials 13.74
		 Worked Examples13.75
13.5.5 Orthogonality of Legendre Polynomials in [-1, 1] 13.77
		 Worked Examples13.80
13.5.6 Fourier–Legendre Expansion of f(x) in a Series of Legendre
Polynomials13.83
		 Worked Examples13.83
		 Exercise 13.413.85
		 Answers to Exercise 13.413.85
14. Partial Differential Equations 14.1
14.0 Introduction 14.1
14.1 Order and Degree of Partial Differential Equations 14.1
14.2 Linear and Non-linear Partial Differential Equations 14.1
14.3 Formation of Partial Differential Equations 14.2
		 Worked Examples 14.2
		 Exercise 14.114.15
		 Answers to Exercise 14.114.15
A01_ENGINEERING_MATHEMATICS-I _FM - (Reprint).indd 24 3/2/2017 6:17:55 PM
Contents n xxv
14.4 Solutions of Partial Differential Equations 14.16
14.4.1	Procedure to find general integral and singular
integral for a first order partial differential equation14.17
		 Worked Examples14.17
		 Exercise 14.214.20
		 Answers to Exercise 14.214.20
14.4.2 First Order Non-linear Partial Differential Equation of Standard Types 14.20
		 Worked Examples14.21
		 Exercise 14.314.25
		 Answers to Exercise 14.314.25
		 Worked Examples14.26
14.4.3 Equations Reducible to Standard Forms 14.33
		 Worked Examples14.35
		 Exercise 14.414.38
		 Answers to Exercise 14.414.38
14.5 Lagrange’s Linear Equation  14.39
		 Worked Examples14.41
		 Exercise 14.514.48
		 Answers to Exercise 14.514.48
14.6 Homogeneous Linear Partial Differential Equations of the Second
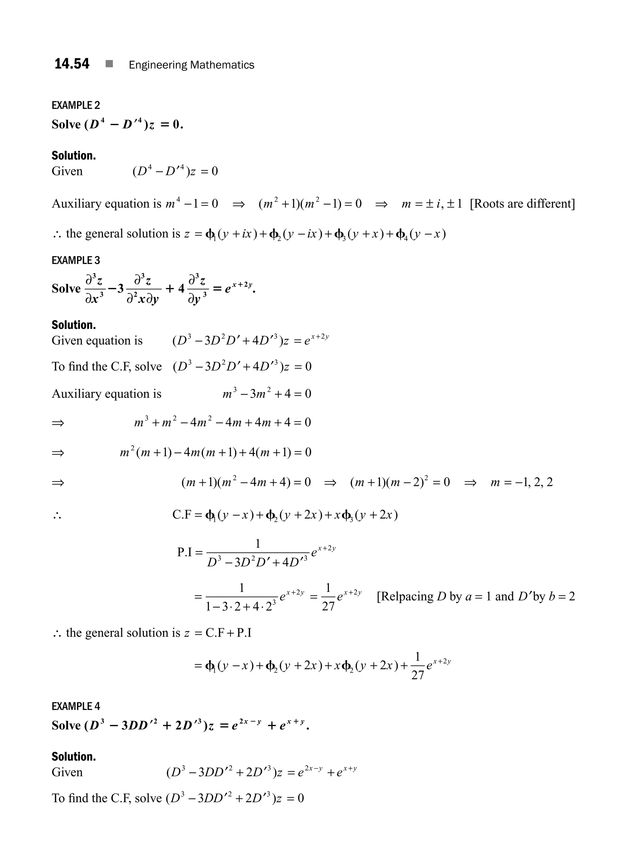
and Higher Order with Constant Coefficients 14.49
14.6.1 Working Procedure to Find Complementary Function 14.50
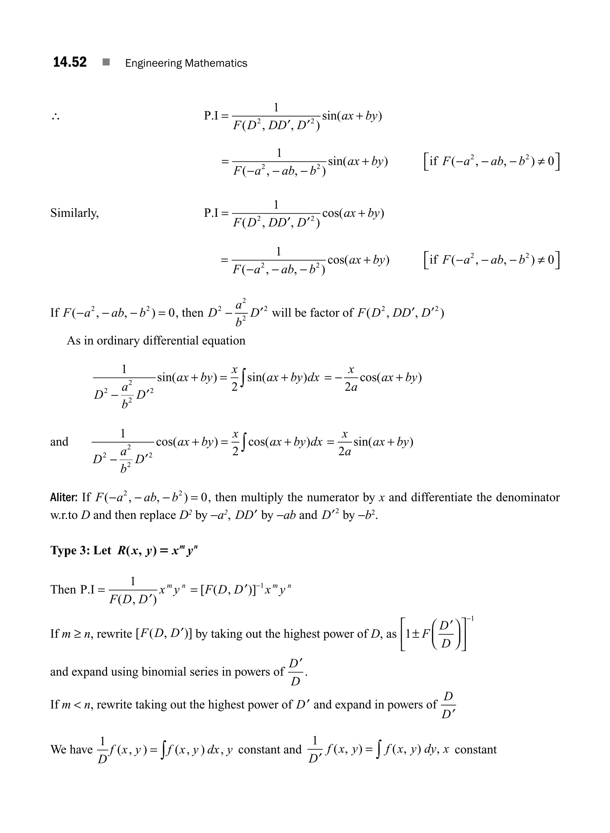
14.6.2 Working Procedure to Find Particular Integral 14.51
		 Worked Examples14.53
		 Exercise 14.614.66
		 Answers to Exercise 14.614.67
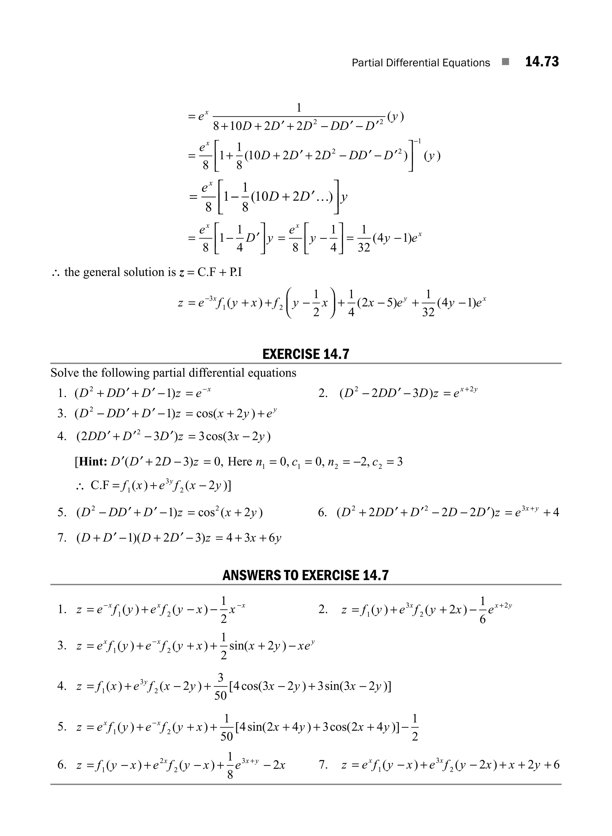
14.7 Non-homogeneous Linear Partial Differential Equations of the
Second and Higher Order with Constant Coefficients 14.68
		 Worked Examples14.69
		 Exercise 14.714.73
		 Answers to Exercise 14.714.73
Short Answer Questions14.74
Objective Type Questions14.74
Answers 14.76
15. Analytic Functions 15.1
15.0 Preliminaries 15.1
15.1 Function of a Complex Variable 15.2
15.1.1 Geometrical Representation of Complex Function or Mapping 15.3
15.1.2 Extended complex number system 15.4
15.1.3 Neighbourhood of a point and region 15.5
15.2 Limit of a Function 15.5
15.2.1 Continuity of a function 15.6
15.2.2 Derivative of f(z) 15.6
15.2.3 Differentiation formulae 15.7
A01_ENGINEERING_MATHEMATICS-I _FM - (Reprint).indd 25 3/2/2017 6:17:55 PM
xxvi n Contents
15.3 Analytic Function 15.8
15.3.1	
Necessary and Sufficient Condition for f(z)to be Analytic 15.8
15.3.2 C-R equations in polar form15.10
		 Worked Examples15.11
		 Exercise 15.115.20
		 Answers to Exercise 15.115.21
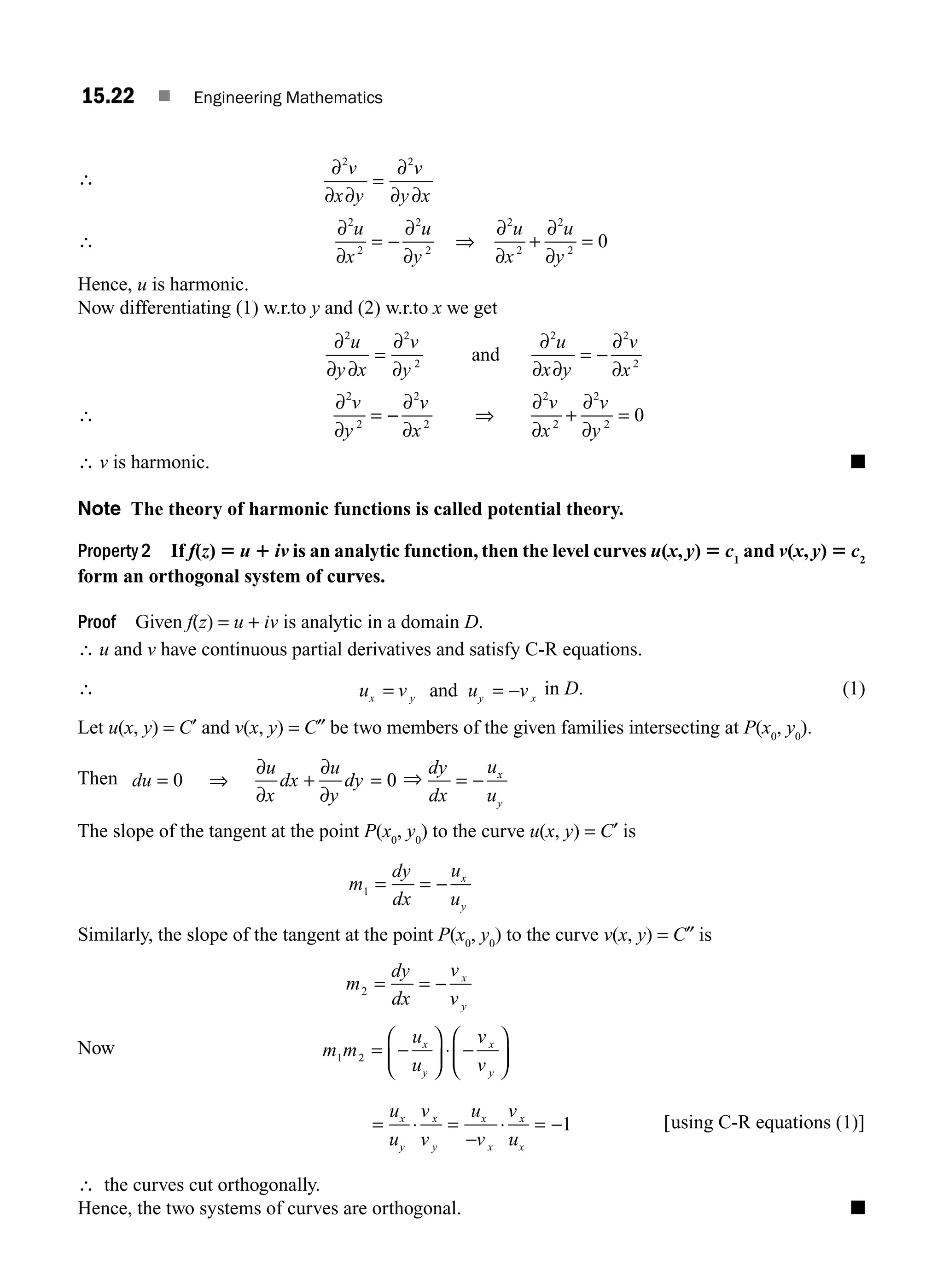
15.4 Harmonic Functions and Properties of Analytic Function 15.21
15.4.1	
Construction of an Analytic Function Whose Real or
Imaginary Part is Given Milne-Thomson Method 15.23
		 Worked Examples15.25
		 Exercise 15.215.32
		 Answers to Exercise 15.215.33
15.5 Conformal Mapping 15.33
15.5.1 Angle of rotation15.34
15.5.2 Mapping by elementary functions15.36
		 Worked Examples15.37
		 Exercise 15.315.72
		 Answers to Exercise 15.315.74
15.5.3 Bilinear Transformation 15.79
		 Worked Examples15.82
		 Exercise 15.415.89
		 Answers to Exercise 15.415.90
Short Answer Questions15.90
Objective Type Questions15.91
Answers15.92
16. Complex Integration 16.1
16.0 Introduction 16.1
16.1 Contour Integral 16.1
16.1.1 Properties of Contour Integrals 16.1
		 Worked Examples 16.2
16.1.2 Simply Connected and Multiply Connected Domains 16.4
16.2 Cauchy’s Integral Theorem or Cauchy’s Fundamental Theorem 16.4
16.2.1 Cauchy-Goursat Integral Theorem 16.5
16.3 Cauchy’s Integral Formula 16.6
16.3.1 Cauchy’s Integral Formula for Derivatives 16.7
		 Worked Examples 16.7
		 Exercise 16.116.12
		 Answers to Exercise 16.116.13
16.4 Taylor’s Series and Laurent’s Series 16.14
16.4.1 Taylor’s Series 16.14
16.4.2 Laurent’s series16.15
		 Worked Examples16.16
		 Exercise 16.216.22
		 Answers to Exercise 16.216.23
A01_ENGINEERING_MATHEMATICS-I _FM - (Reprint).indd 26 3/2/2017 6:17:56 PM
Contents n xxvii
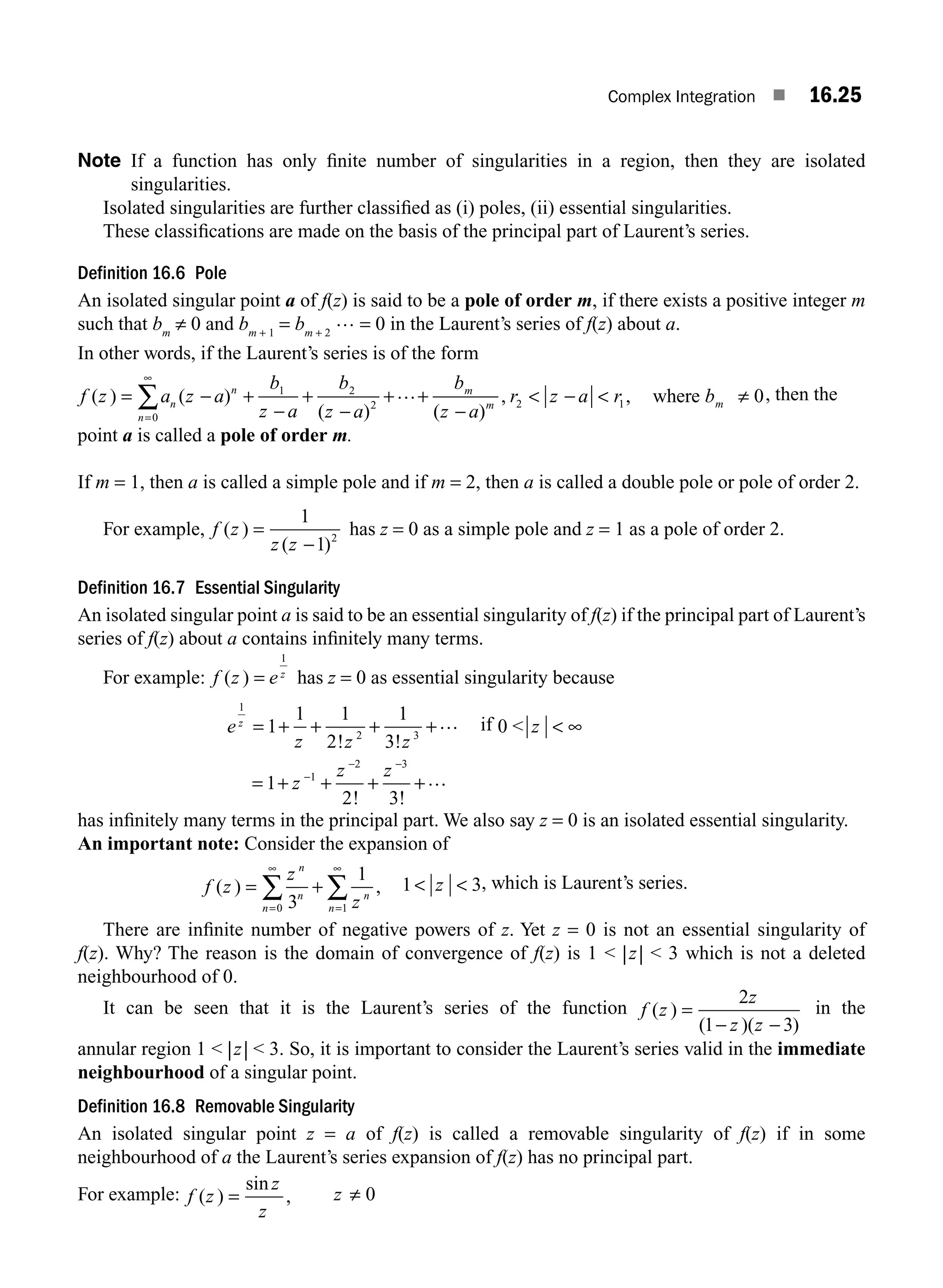
16.5 Classification of Singularities 16.24
16.6 Residue 16.26
16.6.1 Methods of Finding Residue 16.26
16.7 Cauchy’s Residue Theorem 16.27
		 Worked Examples16.28
		 Exercise 16.316.34
		 Answers to Exercise 16.316.36
16.8 Application of Residue Theorem to Evaluate Real Integrals 16.36
16.8.1 Type 1 16.36
		 Worked Examples16.37
16.8.2 Type 2. Improper Integrals of Rational Functions 16.44
		 Worked Examples16.46
16.8.3 Type 3 16.50
		 Worked Examples16.50
		 Exercise 16.416.55
		 Answers to Exercise 16.416.56
Short Answer Questions16.56
Objective Type Questions16.58
Answers16.60
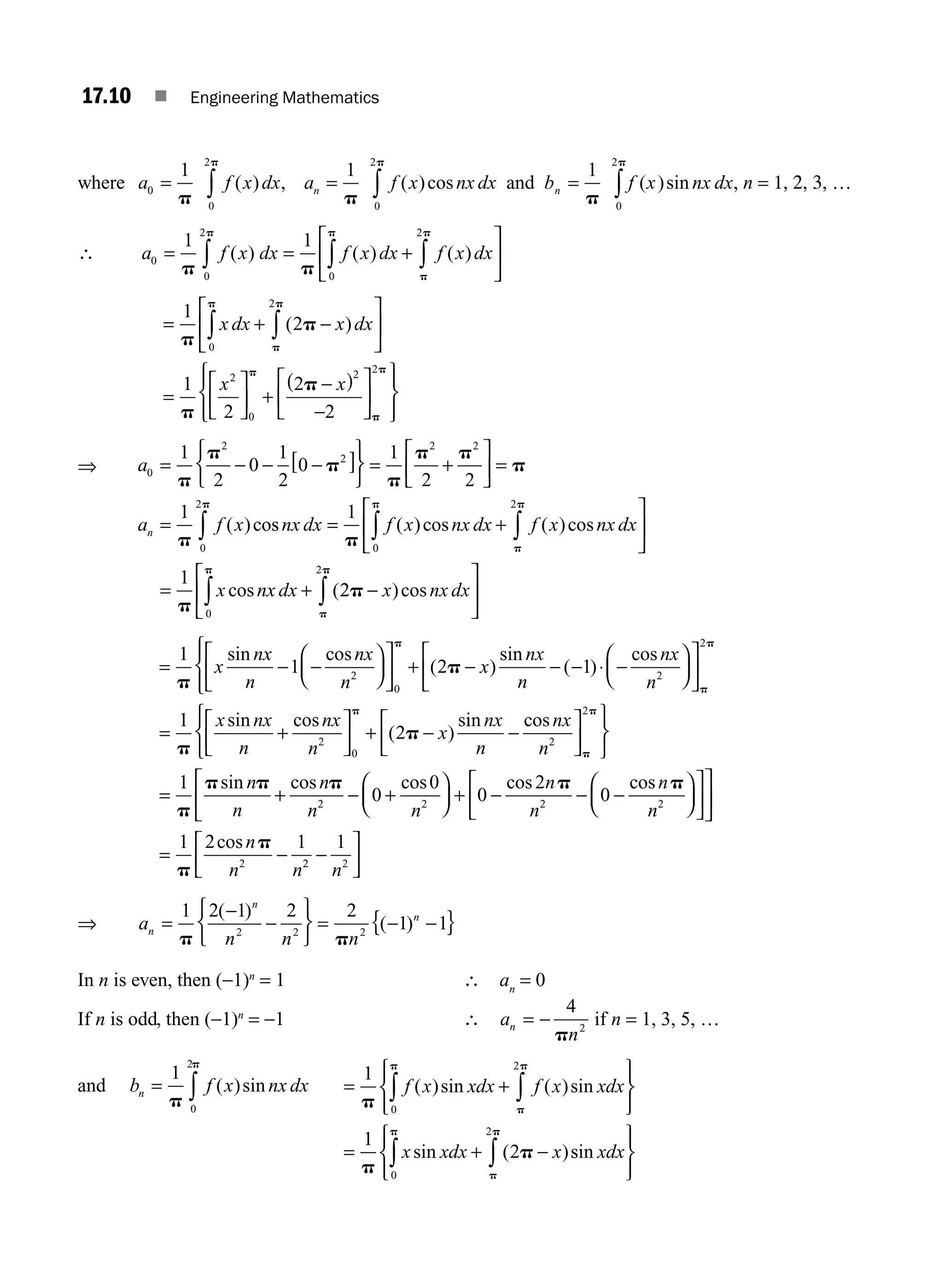
17 Fourier Series 17.1
17.0 Introduction 17.1
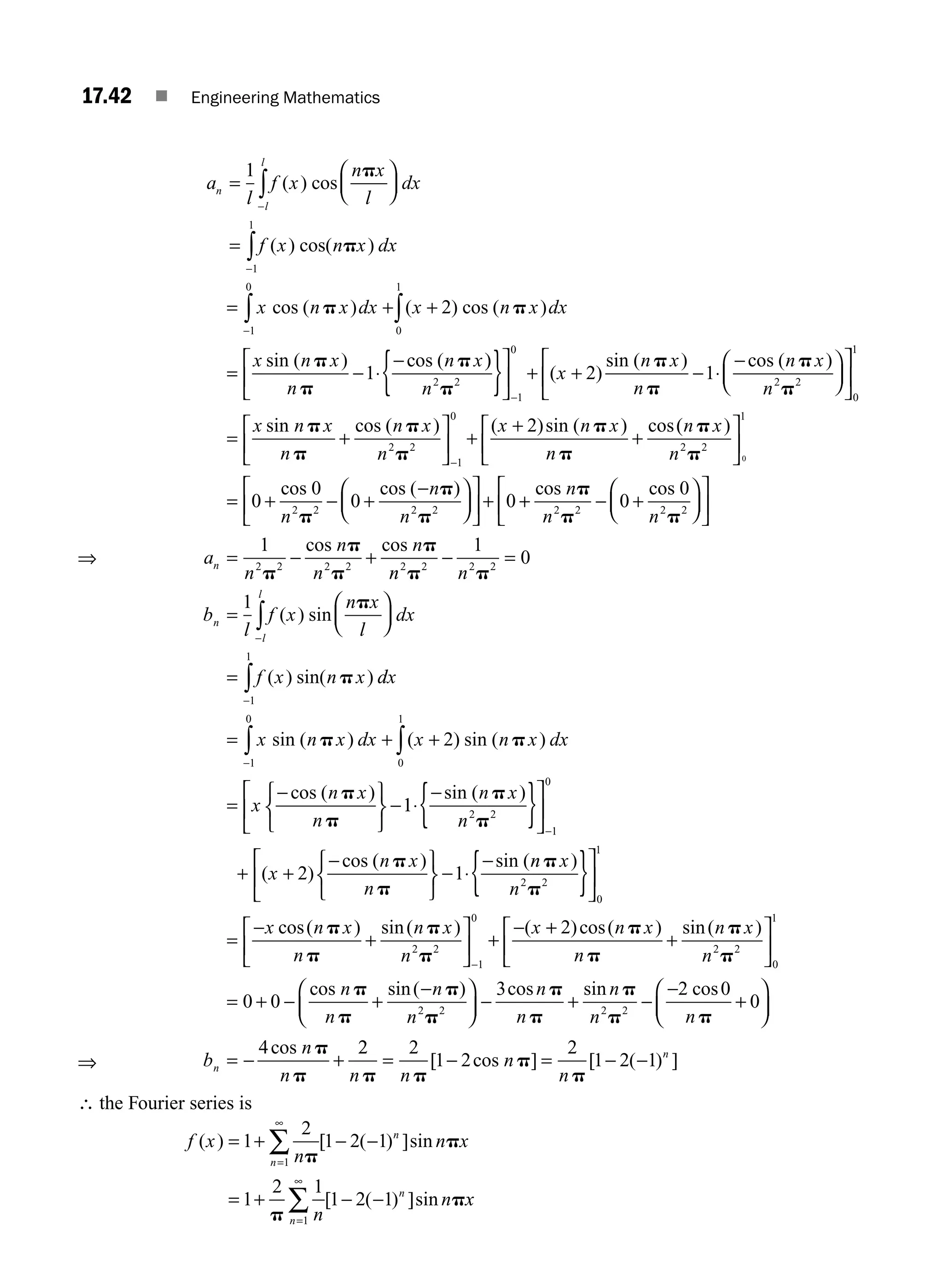
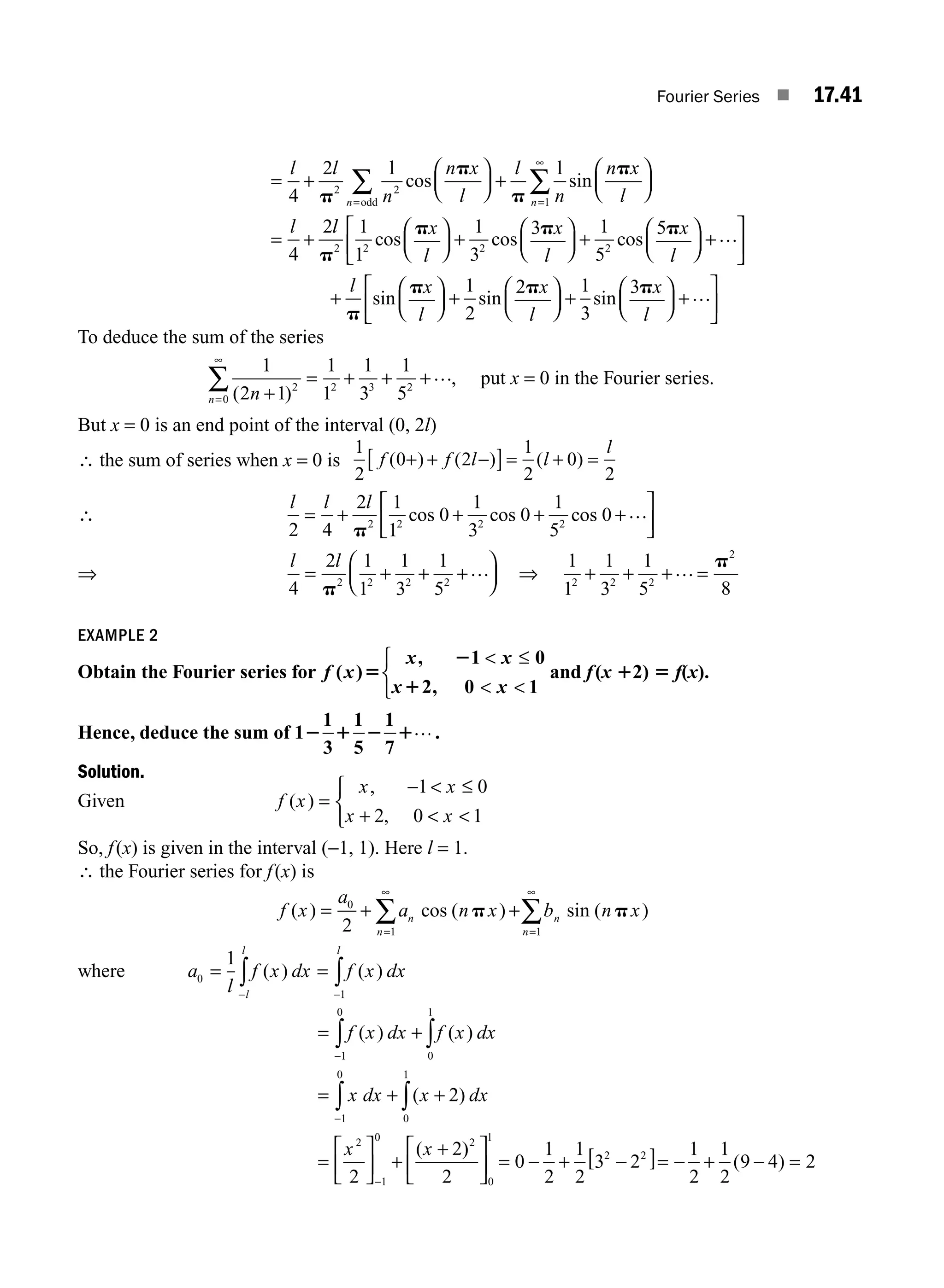
17.1 Fourier series 17.2
17.1.1 Dirichlet’s Conditions 17.2
17.1.2 Convergence of Fourier Series 17.3
		 Worked Examples 17.5
17.2 Even and Odd Functions 17.15
17.2.1 Sine and Cosine Series 17.15
		 Worked Examples17.16
		 Exercise 17.117.23
		 Answers to Exercise 17.117.25
17.3 Half-Range Series 17.26
17.3.1 Half-range Sine Series 17.27
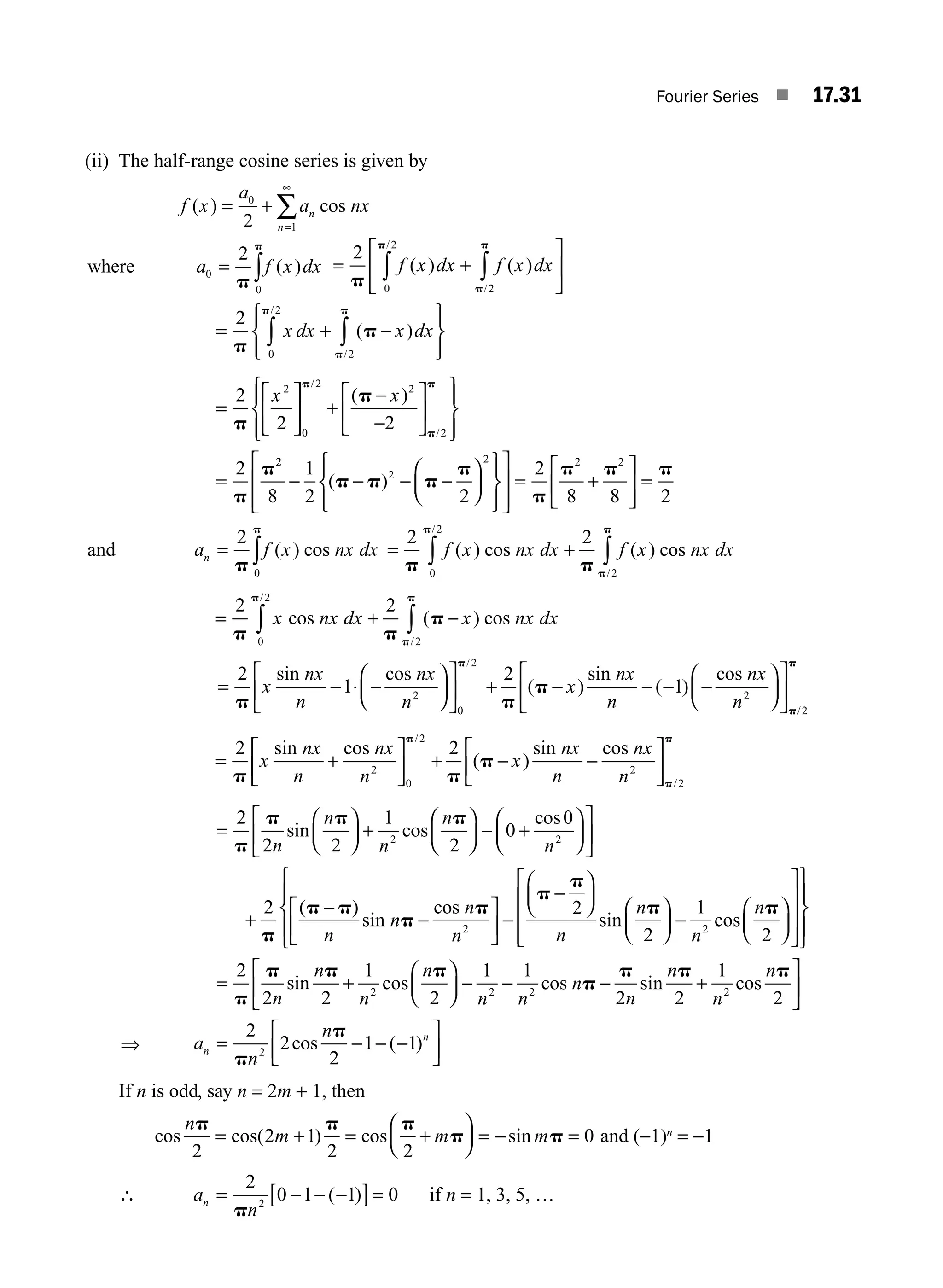
17.3.2 Half-range cosine series17.27
		 Worked Examples17.28
		 Exercise 17.217.36
		 Answers to Exercise 17.217.37
17.4 Change of Interval 17.38
		 Worked Examples17.39
17.5 Parseval’s Identity 17.47
		 Worked Examples17.47
		 Exercise 17.317.50
		 Answers to Exercise 17.317.52
17.6 Complex Form of Fourier Series 17.53
		 Worked Examples17.55
A01_ENGINEERING_MATHEMATICS-I _FM - (Reprint).indd 27 3/2/2017 6:17:56 PM
xxviii n Contents
		 Exercise 17.417.59
		 Answers to Exercise 17.417.59
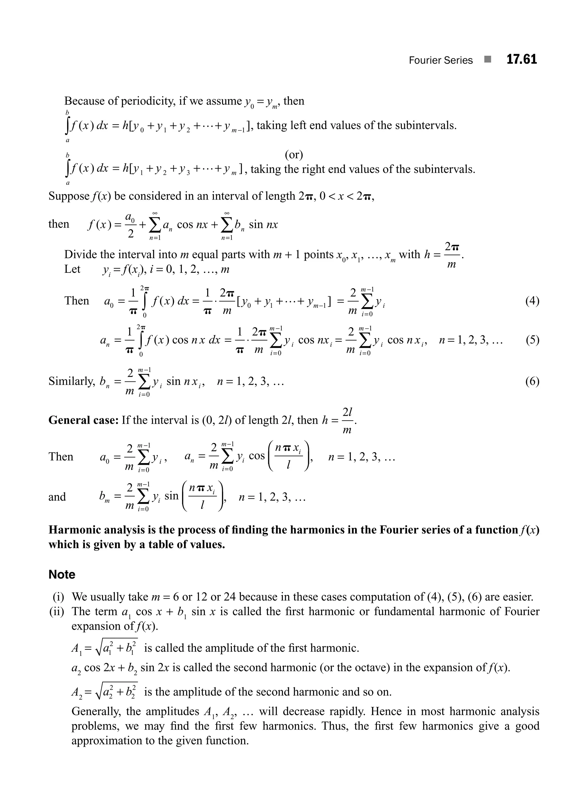
17.7 Harmonic Analysis 17.60
17.7.1 Trapezoidal Rule 17.60
		 Worked Examples17.62
		 Exercise 17.517.68
		 Answers to Exercise 17.517.69
Short Answer Questions17.69
Objective Type Questions17.70
Answers17.72
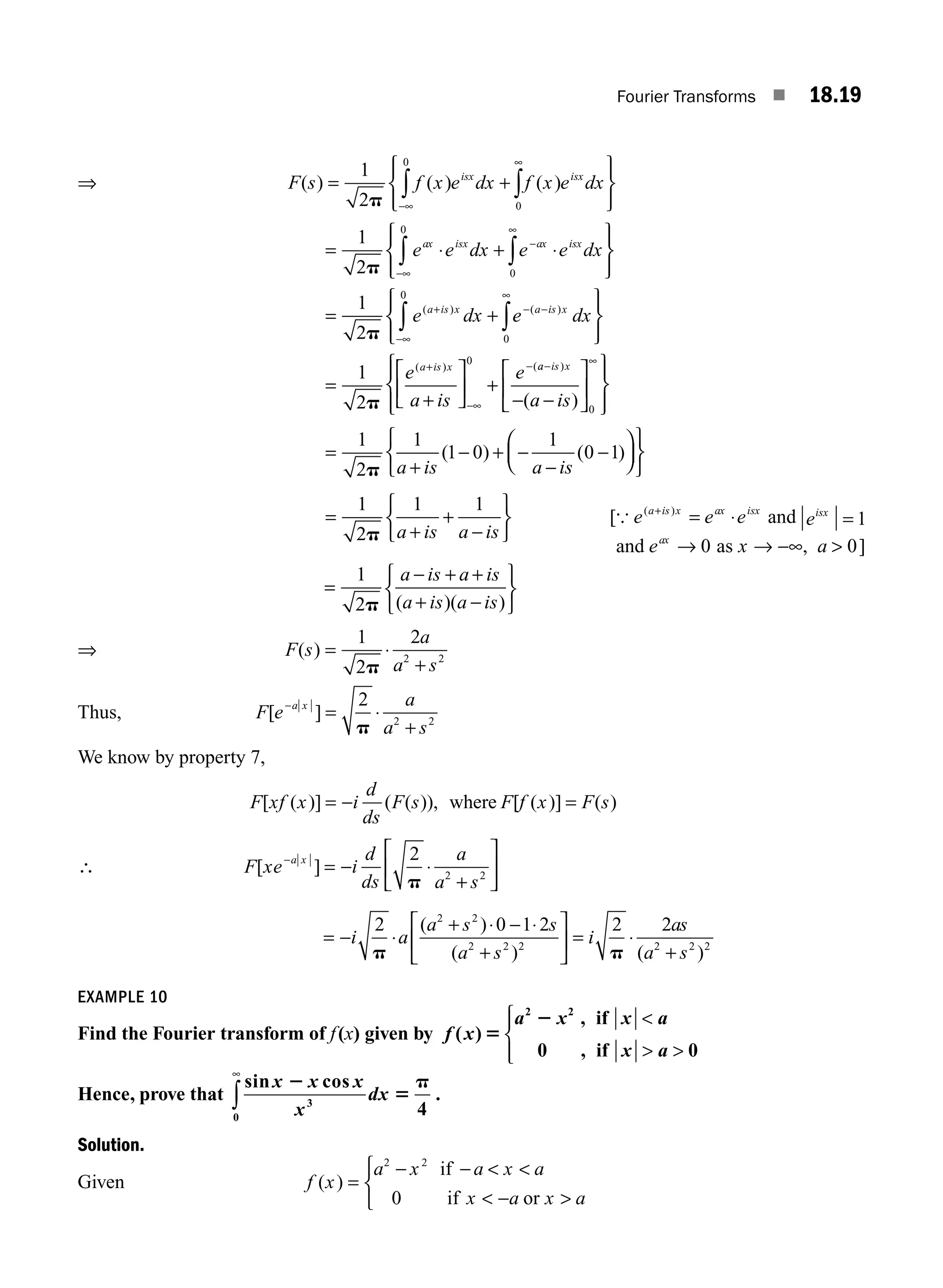
18. Fourier Transforms 18.1
18.0 Introduction 18.1
18.1 Fourier Integral Theorem 18.1
18.1.1 Fourier Cosine and Sine Integrals 18.2
		 Worked Examples 18.2
18.1.2 Complex Form of Fourier Integral 18.6
18.2 Fourier Transform Pair 18.7
18.2.1 Properties of Fourier transforms 18.8
		 Worked Examples18.12
		 Exercise 18.118.21
		 Answers to Exercise 18.118.22
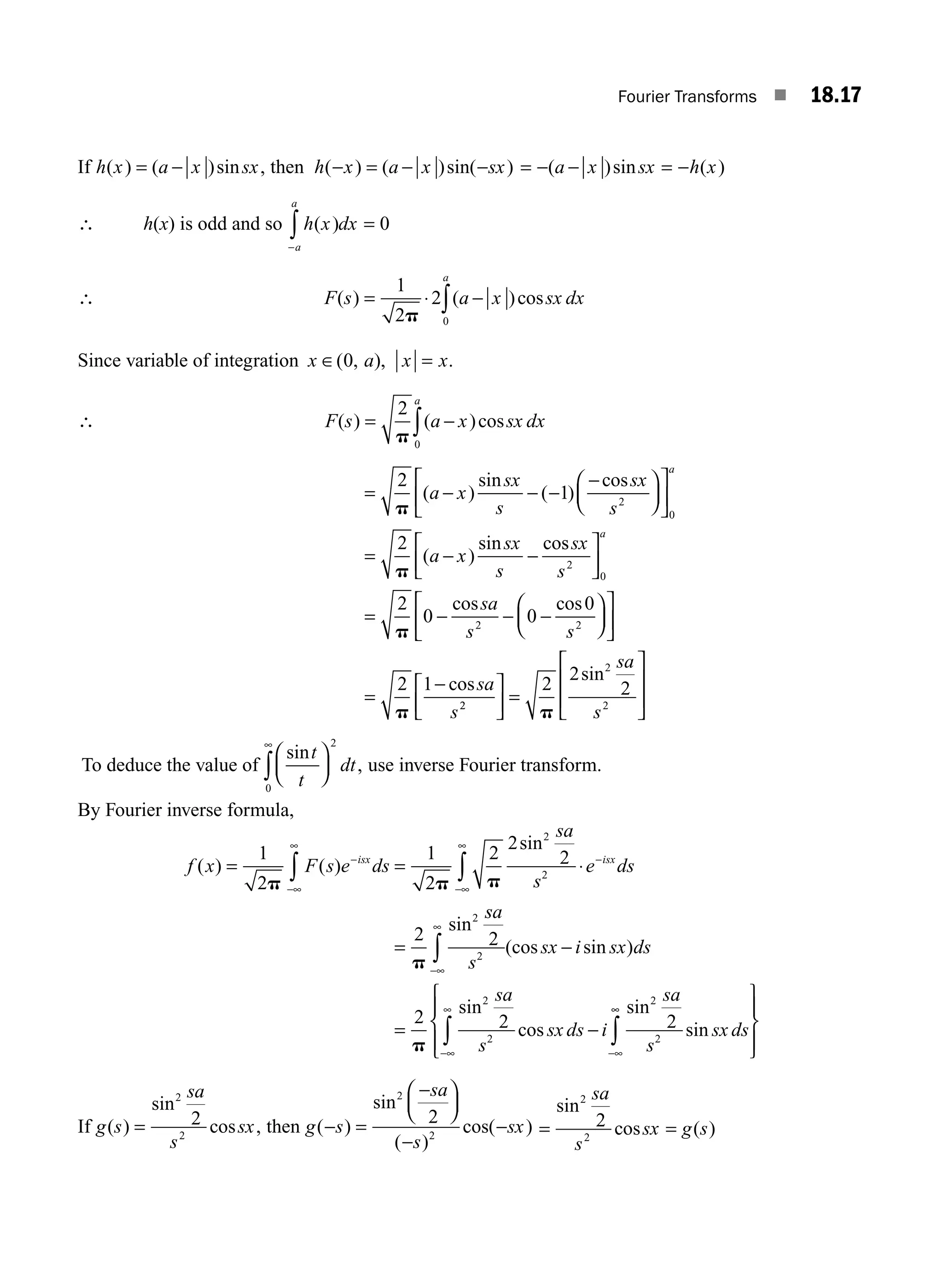
18.3 Fourier Sine and Cosine Transforms 18.23
18.3.1 Properties of Fourier Sine and Cosine Transforms 18.24
		 Worked Examples18.29
		 Exercise 18.218.39
		 Answers to Exercise 18.218.39
18.4 Convolution Theorem 18.40
18.4.1 Definition: Convolution of Two Functions 18.40
18.4.2 Theorem 18.1: Convolution theorem or Faltung theorem18.41
18.4.3 Theorem 18.2 : Parseval’s identity for Fourier transforms or
Energy theorem18.41
		 Worked Examples18.43
		 Exercise 18.318.51
		 Answers to Exercise 18.318.52
Short Answer Questions 18.52
Objective Type Questions18.53
Answers18.54
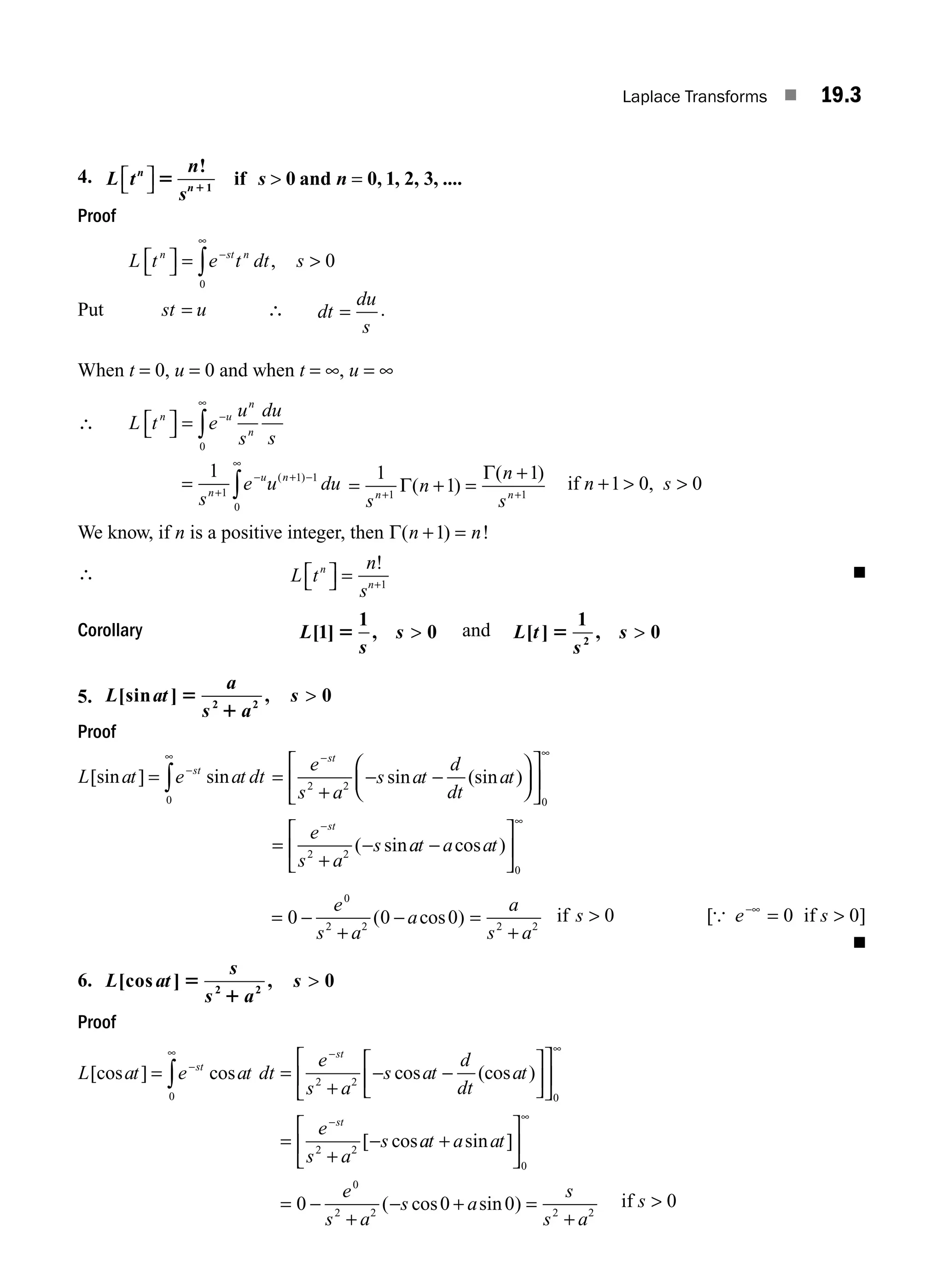
19. Laplace Transforms 19.1
19.0 Introduction 19.1
19.1	
Condition for Existence of Laplace Transform 19.1
19.2	
Laplace Transform of Some Elementary Functions 19.2
19.3 Some Properties of Laplace Transform 19.4
		 Worked Examples 19.5
A01_ENGINEERING_MATHEMATICS-I _FM - (Reprint).indd 28 3/2/2017 6:17:56 PM
Contents n xxix
		 Exercise 19.1 19.9
		 Answers to Exercise 19.119.10
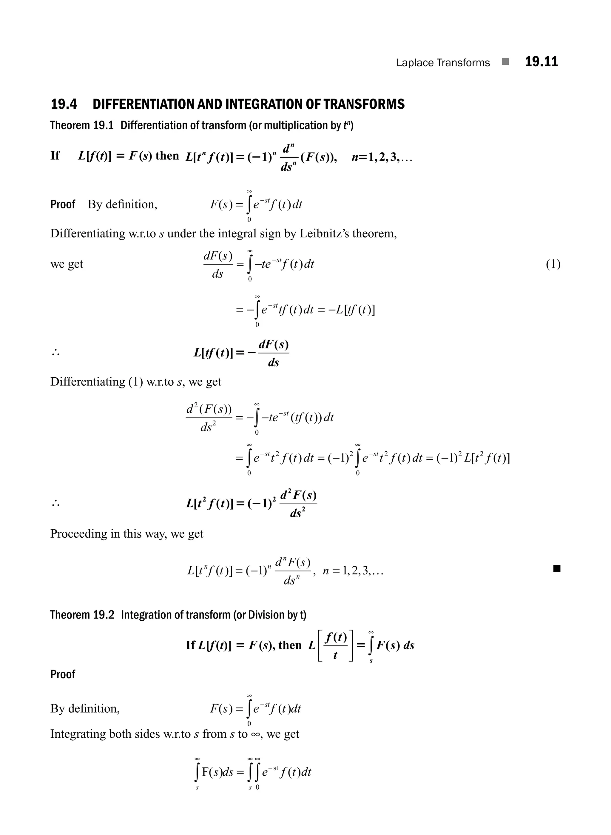
19.4	
Differentiation and Integration of Transforms 19.11
		 Worked Examples19.12
		 Exercise 19.219.20
		 Answers to Exercise 19.219.20
19.5	
Laplace Transform of Derivatives and Integrals 19.21
		 Worked Examples19.23
19.5.1	
Evaluation of Improper Integrals using Laplace Transform 19.25
		 Worked Examples19.25
19.6	
Laplace Transform of Periodic Functions and Other Special Type of Functions  19.27
		 Worked Examples19.29
19.6.1 Laplace Transform of Unit Step Function 19.36
19.6.2 Unit impulse function19.37
19.6.3 Dirac-delta function19.37
19.6.4 Laplace transform of delta function19.37
		 Worked Examples19.38
		 Exercise 19.319.39
		 Answers to Exercise 19.319.41
19.7 Inverse Laplace Transforms 19.41
19.7.1 Type 1 – Direct and shifting methods19.43
		 Worked Examples19.43
19.7.2 Type 2 – Partial Fraction Method 19.44
		 Worked Examples19.44
19.7.3 Type 3 – 1. Multiplication by s and 2. Division by s19.48
		 Worked Examples19.48
19.7.4	
Type 4 – Inverse Laplace Transform of Logarithmic and
Trigonometric Functions 19.50
		 Worked Examples19.50
		 Exercise 19.419.53
		 Answers to Exercise 19.419.54
19.7.5 Type 5 – Method of Convolution 19.55
		 Worked Examples19.57
		 Exercise 19.519.60
		 Answers to Exercise 19.519.61
19.7.6 Type 6: Inverse Laplace Transform as Contour Integral 19.61
		 Worked Examples19.62
		 Exercise 19.619.64
		 Answers to Exercise 19.619.65
19.8	
Application of Laplace Transform to the Solution of Ordinary
Differential Equations 19.65
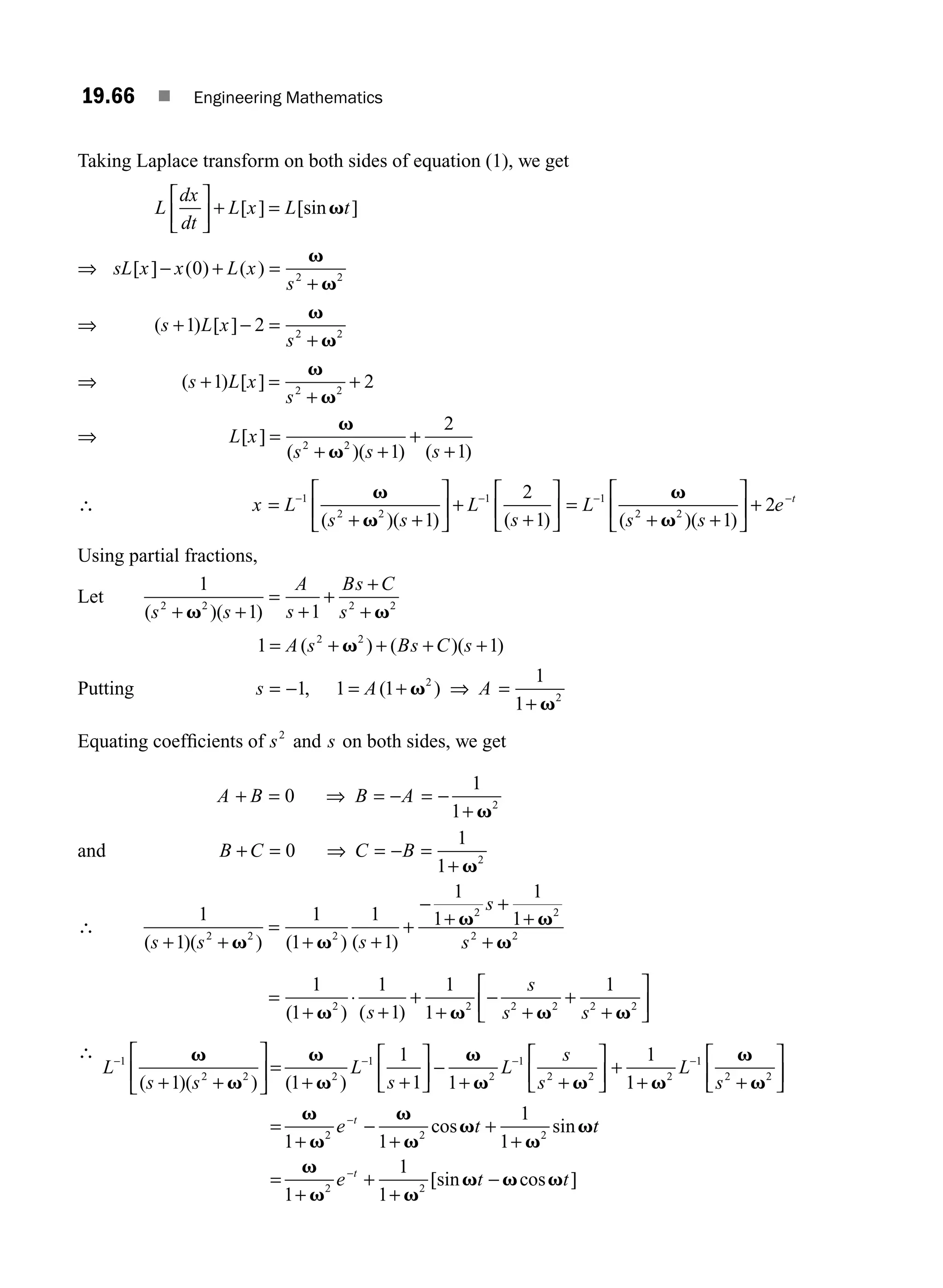
19.8.1 First Order Linear Differential Equations with Constant Coefficients 19.65
		 Worked Examples19.65
19.8.2	
Ordinary Second and Higher Order Linear Differential Equations
with Constant Coefficients 19.68
		 Worked Examples19.68
A01_ENGINEERING_MATHEMATICS-I _FM - (Reprint).indd 29 3/2/2017 6:17:56 PM
xxx n Contents
19.8.3 Ordinary Second Order Differential Equations with Variable Coefficients 19.72
		 Worked Examples19.72
		 Exercise 19.719.75
		 Answers to Exercise 19.719.76
19.8.4 Simultaneous Differential Equations 19.77
		 Worked Examples19.77
19.8.5 Integral–Differential Equation 19.83
		 Worked Examples19.83
		 Exercise 19.819.85
		 Answers to Exercise 19.819.86
Short Answer Questions19.86
Objective Type Questions19.86
Answers19.88
20. Applications of Partial Differential Equations 20.1
20.0 Introduction 20.1
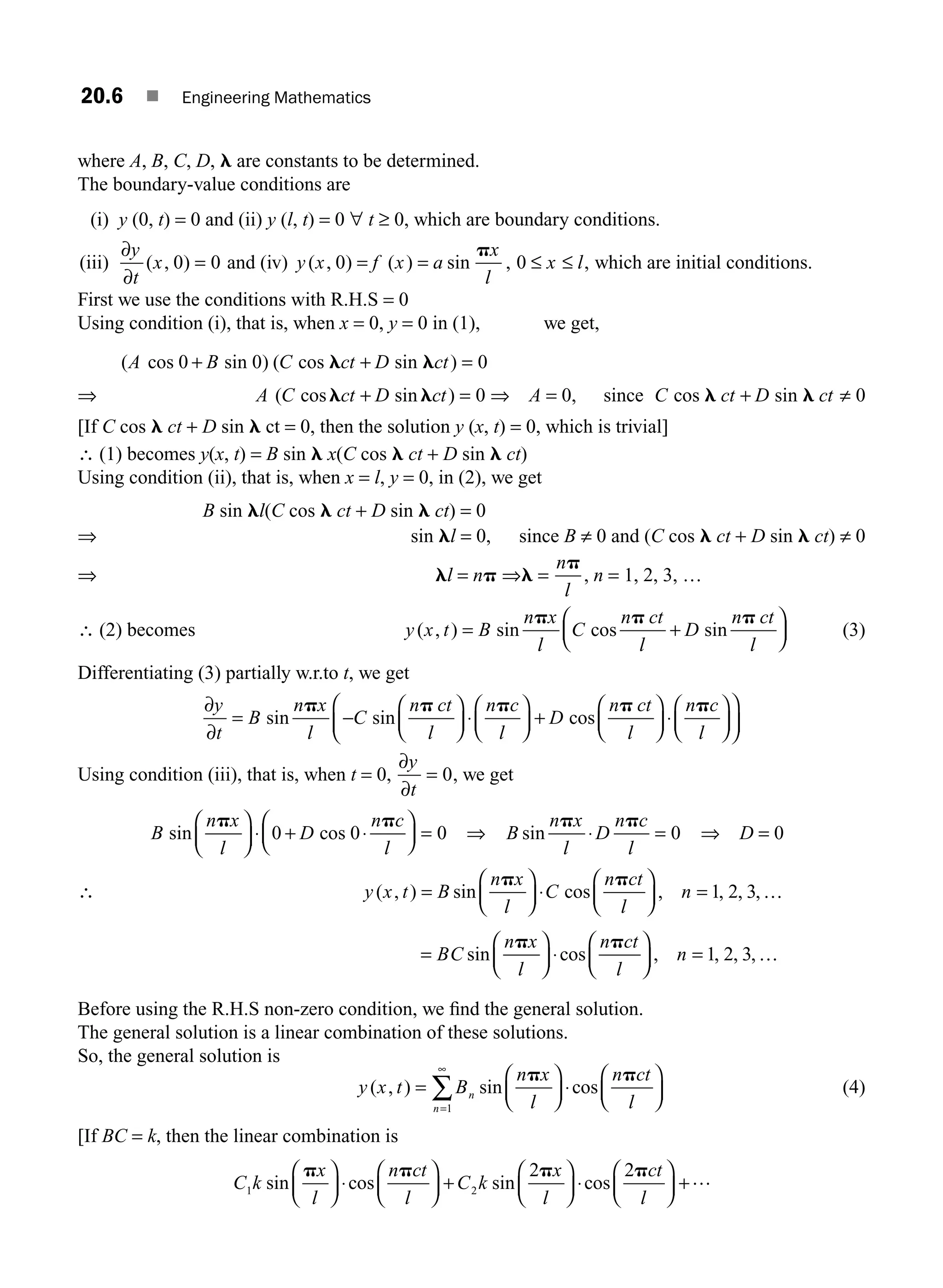
20.1 One Dimensional Wave Equation – Equation of Vibrating String 20.2
20.1.1 Derivation of Wave Equation 20.2
20.1.2	
Solution of One-Dimensional Wave Equation by the Method of
Separation of Variables (or the Fourier Method) 20.3
		 Worked Examples 20.5
		 Exercise 20.120.34
		 Answers to Exercise 20.120.35
20.1.3 Classification of Partial Differential Equation of Second Order 20.36
		 Worked Examples20.37
		 Exercise 20.220.38
		 Answers to Exercise 20.220.38
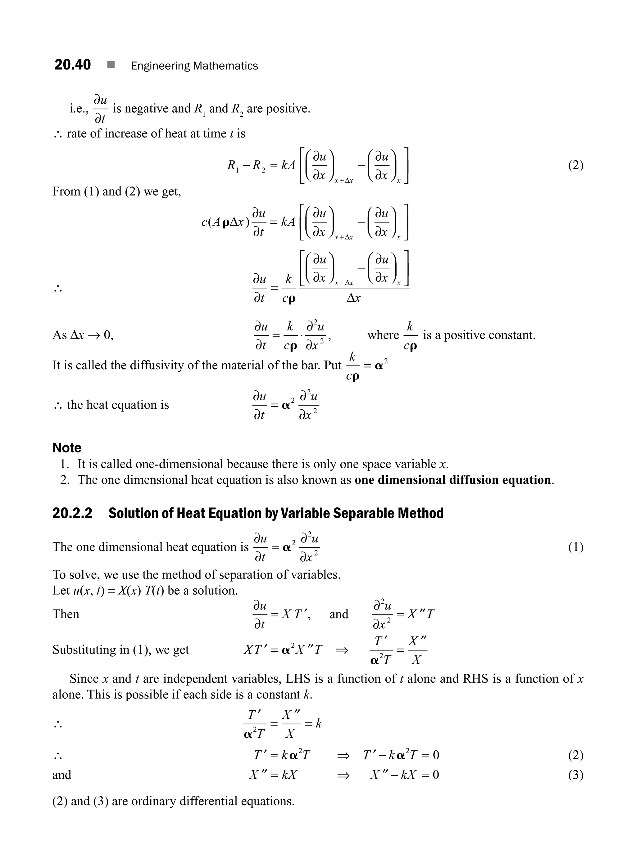
20.2 One-Dimensional Equation of Heat Conduction (In a Rod) 20.39
20.2.1 Derivation of Heat Equation 20.39
20.2.2 Solution of Heat Equation by Variable Separable Method 20.40
		 Worked Examples20.42
		 Exercise 20.320.62
		 Answers to Exercise 20.320.63
		 Worked Examples20.64
		 Exercise 20.420.68
		 Answers to Exercise 20.420.69
20.3 Two Dimensional Heat Equation in Steady State 20.69
20.3.1 Solution of Two Dimensional Heat Equation 20.70
		 Worked Examples20.71
		 Exercise 20.520.83
		 Answers to Exercise 20.520.84
Short Answer Questions20.85
Objective Type Questions20.86
Answers20.88
IndexI.1
A01_ENGINEERING_MATHEMATICS-I _FM - (Reprint).indd 30 3/2/2017 6:17:56 PM
This book Engineering Mathematics is written to cover the topics that are common to the syllabi of
various universities in India. Although this book is designed primarily for engineering courses, it
is also suitable for Mathematics courses and for various competitive examinations. The aim of the
book is to provide a sound understanding of Mathematics. The experiences of both the authors in
teaching undergraduate and postgraduate students from diverse backgrounds for over four decades
have helped to present the subject as simple as possible with clarity and rigour in a step-by-step
approach.
This book has many distinguishing features. The topics are well organized to create
self-confidence and interest among the readers to study and apply the mathematical tools in
engineering and science disciplines. The subject is presented with a lot of standard worked examples
and exercises that will help the readers to develop maturity in Mathematics.
This book is organized into 20 chapters. At the end of each chapter, short answer questions and
objective questions are given to enhance the understanding of the topics.
Chapter 1 focuses on the applications of matrices to the consistency of simultaneous linear equations
and Eigen value problems.
Chapter 2 discusses convergence of sequence and series.
Chapter 3 deals with differentiation and applications of derivative, Rolle’s Theorem, mean value
theorems, asymptotes and curve tracing.
Chapter 4 deals with the geometrical application of derivative in radius of curvature, centre of
curvature, evolute and envelope.
Chapter 5 elaborates calculus of several variables.
Chapter 6 deals with integral calculus and applications of integral calculus.
Chapter 7 discusses improper integrals, and beta and gamma functions.
Chapter 8 focuses on multiple integrals.
Chapter 9 deals with vector calculus.
Chapter 10 discusses solution of various types of first order differential equations.
Chapter 11 is concerned with the solution of second order and higher order linear differential
equations.
Chapter 12 deals with some applications of ordinary differential equations.
Chapter 13 conforms to series solution of ordinary differential equations and special functions.
Chapter 14 focuses on solution of partial differential equations.
Preface
A01_ENGINEERING_MATHEMATICS-I _FM - (Reprint).indd 31 3/2/2017 6:17:56 PM
xxxii n Preface
Chapter 15 examines analytic functions.
Chapter 16 focuses on complex integration.
Chapter 17 deals with Fourier series.
Chapter 18 pertains to Fourier transforms.
Chapter 19 discusses Laplace transforms.
Chapter 20 is concerned with applications of partial differential equations.
Mathematics is a subject that can be mastered only through hard work and practice. Follow the
maximum, Mathematics without practice is blind and practice without understanding is futile.
“Tell me and I will forget
Show me and I will remember
Involve me and I will understand”
—Confucius
We hope that this book is student-friendly and that it will be well received by students and teachers.
We heartily welcome valuable comments and suggestions from our readers for the improvement of
this book, which may be addressed to profpsdas@yahoo.com.
ACKNOWLEDGEMENTS
P. Sivaramakrishna Das: I express my gratitude to our chairperson, Dr Elizabeth Varghese, and
the directors of K.C.G. College of Technology for giving me an opportunity to write this book.
I am obliged to my department colleagues for their encouragement.
The inspiration to write this book came from my wife, Prof. C. Vijayakumari, who is also the
co-author of this book.
P. Sivaramakrishna Das and C. Vijayakumari: We are grateful to the members of our family for
lending us their support for the successful completion of this book.
We are obliged to Sojan Jose, R. Dheepika and C. Purushothaman of Pearson India Education
Services Pvt. Ltd, for their diligence in bringing this work out to fruition.
 P. Sivaramakrishna Das
 C. Vijayakumari
A01_ENGINEERING_MATHEMATICS-I _FM - (Reprint).indd 32 3/2/2017 6:17:56 PM
Prof. Dr P. Sivaramakrishna Das started his career in 1967 as assistant
professor of Mathematics at Ramakrishna Mission Vivekananda College,
Chennai, his alma mater and retired as Head of the P.G. Department of
Mathematics from the same college after an illustrious career spanning
36 years.
Currently, he is professor of Mathematics and Head of the Department
of Science and Humanities, K.C.G. College of Technology, Chennai
(a unit of Hindustan Group of Institutions).
P. Sivaramakrishna Das has done pioneering research work in the
field of “Fuzzy Algebra” and possess a Ph.D. in this field. His paper
on fuzzy groups and level subgroups was a fundamental paper on fuzzy
algebra with over 600 citations and it was the first paper from India. With a teaching experience
spanning over 49 years, he is an accomplished teacher of Mathematics at undergraduate and
postgraduate levels of Arts and Science and Engineering colleges in Chennai. He has guided several
students to obtain their M.Phil. degree from the University of Madras, Chennai.
He was the most popular and sought-after teacher of Mathematics in Chennai during 1980s for
coaching students for IIT-JEE. He has produced all India 1st rank and several other ranks in IIT-JEE.
He was also a visiting professor at a few leading IIT-JEE training centres in Andhra Pradesh.
Along with his wife C. Vijayakumari, he has written 10 books covering various topics of
Engineering Mathematics catering to the syllabus of Anna University, Chennai, and has also written
“Numerical Analysis”, an all India book, catering to the syllabi of all major universities in India.
Prof. Dr C. Vijayakumari began her career in 1970 as assistant professor
of Mathematics at Government Arts College for Women, Thanjavur, and has
taught at various Government Arts and Science colleges across Tamil Nadu
before retiring as professor of Mathematics from Queen Mary’s College
(Autonomous), Chennai after an illustrious career of spanning 36 years.
As a visiting professor of Mathematics, she has taught the students at
two engineering colleges in Chennai. With a teaching experience spanning
over 40 years, she is an accomplished teacher of Mathematics and Statistics
at both undergraduate and postgraduate levels. She has guided many
students to obtain their M.Phil. degree from the University of Madras,
Chennai and Bharathiar University, Coimbatore.
Along with her husband P. Sivaramakrishna Das, she has co-authored several books on Engineering
Mathematics catering to the syllabus of Anna University, Chennai and has also co-authored “Numerical
Analysis”, an all India book, catering to the syllabi of all major universities in India.
About the Authors
A01_ENGINEERING_MATHEMATICS-I _FM - (Reprint).indd 33 3/2/2017 6:17:56 PM
This page is intentionally left blank
Engineering Mathematics
A01_ENGINEERING_MATHEMATICS-I _FM - (Reprint).indd 35 3/2/2017 6:17:56 PM
This page is intentionally left blank
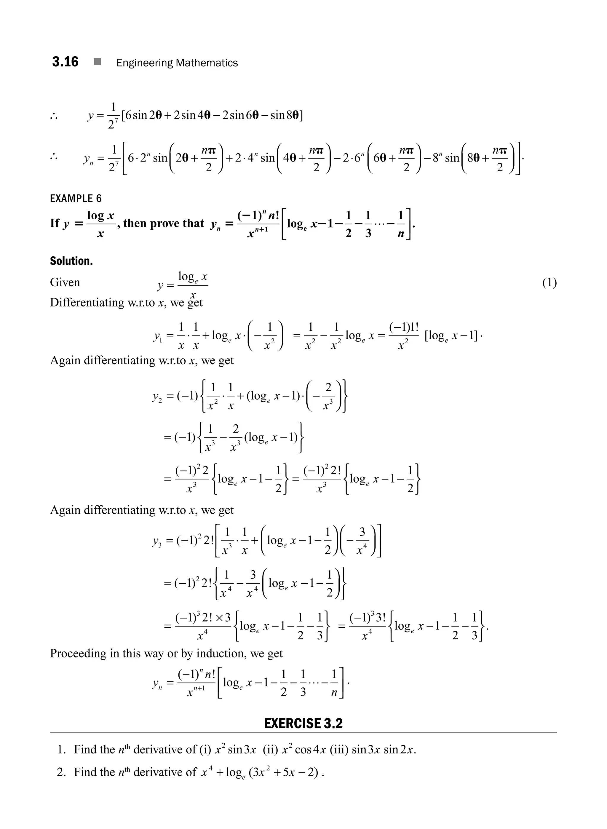
1.0 INTRODUCTION
The concept of matrices and their basic operations were introduced by the British mathematician
Arthur Cayley in the year 1858. He wondered whether this part of mathematics will ever be used.
However, after 67 years, in 1925, the German physicist Heisenberg used the algebra of matrices in his
revolutionary theory of quantum mechanics. Over the years, the theory of matrices have been found as
an elegant and powerful tool in almost all branches of Science and Engineering like electrical networks,
graph theory, optimisation techniques, system of differential equations, stochastic processes, computer
graphics, etc. Because of the digital computers, usage of matrix methods have become greatly fruitful.
In this chapter, we review some of the basic concepts of matrices. We shall discuss two important
applications of matrices, namely consistency of system of linear equations and the eigen value problems.
1.1 BASIC CONCEPTS
Definition 1.1 Matrix
A rectangular array of mn numbers (real or complex) arranged in m rows (horizontal lines) and
n columns (vertical lines) and enclosed in brackets [ ] is called an m × n matrix.
The numbers in the matrix are called entries or elements of the matrix.
Usually an m × n matrix is written as
A
a a a a
a a a a a
a a a a a
j n
j n
i i i ij in
=
a11 12 13 1 1
21 22 23 2 2
1 2 3
… …
… …
… …
A A A A A
A
A A A
a a a a a
m m m mj mn
1 2 3 … …
⎡
⎣
⎢
⎢
⎢
⎢
⎢
⎢
⎢
⎢
⎢
⎤
⎦
⎥
⎥
⎥
⎥
⎥
⎥
⎥
⎥
⎥
where aij
is the element lying in the ith
row and jth
column, the first suffix refers to row and the second
suffix refers to column.
The matrix A is briefly written as
A = [aij
]m × n
, i = 1, 2, 3, …, m, j = 1, 2, 3, …, n
If all the entries are real, then the matrix A is called a real matrix.
Definition 1.2 Square Matrix
In a matrix, if the number of rows = number of columns = n, then it is called a square matrix of order n.
If A is a square matrix of order n, then A = [aij
]n × n
, i = 1, 2, 3, …, n; j = 1, 2, 3, …, n.
Definition 1.3 Row Matrix
A matrix with only one row is called a row matrix.
1
Matrices
M01_ENGINEERING_MATHEMATICS-I _CH01_Part A.indd 1 5/30/2016 4:34:37 PM
1.2 ■ Engineering Mathematics
EXAMPLE 1.1
Let A = [a11
a12
a13
… a1n
]. It is a row matrix with n columns. So, it is of type 1 × n.
EXAMPLE 1.2
Let A = [1, 2, 3, 4]. It is a row matrix with 4 columns. So, it is a row matrix of type 1 × 4.
Definition1.4 Column Matrix
A matrix with only one column is called a column matrix.
EXAMPLE 1.3
Let A
a
a
a
an
=
⎡
⎣
⎢
⎢
⎢
⎢
⎢
⎢
⎤
⎦
⎥
⎥
⎥
⎥
⎥
⎥
11
21
31
1
:
It is a column matrix with n rows. So, it is of type n × 1.
EXAMPLE 1.4
Let A = −
⎡
⎣
⎢
⎢
⎢
⎢
⎢
⎢
⎤
⎦
⎥
⎥
⎥
⎥
⎥
⎥
1
0
2
1
3
It is a column matrix with 5 rows. So, it is of type 5 × 1.
Definition 1.5 Diagonal Matrix
A square matrix A = [aij
] with all entries aij
= 0 when i ≠ j is is called a diagonal matrix.
In other words a square matrix in which all the off diagonal elements are zero is called a diagonal
matrix.
EXAMPLE 1.5
(1) A
a
ann
=
…
…
…
11 0 0 0
0 0
0 0 0
0 22
a
: : :
⎡
⎣
⎢
⎢
⎢
⎢
⎤
⎦
⎥
⎥
⎥
⎥
is a diagonal matrix of order n.
(2) A =
−
⎡
⎣
⎢
⎢
⎢
⎤
⎦
⎥
⎥
⎥
2 0 0
0 3 0
0 0 4
is a diagonal matrix of order 3.
(3) A =
−
⎡
⎣
⎢
⎢
⎢
⎢
⎤
⎦
⎥
⎥
⎥
⎥
1 0 0 0
0 2 0 0
0 0 3 0
0 0 0 0
is a diagonal matrix of order 4.
M01_ENGINEERING_MATHEMATICS-I _CH01_Part A.indd 2 5/30/2016 4:34:38 PM
Matrices ■ 1.3
Definition 1.6 Scalar Matrix
In a diagonal matrix if all the diagonal elements are equal to a non-zero scalar a, then it is called a
scalar matrix.
EXAMPLE 1.6
A =
⎡
⎣
⎢
⎢
⎢
⎤
⎦
⎥
⎥
⎥
a
a
a
0 0
0 0
0 0
is a scalar matrix.
Definition 1.7 Unit Matrix or Identity Matrix
In a diagonal matrix, if all the diagonal elements are equal to 1, then it is called a Unit matrix or
identity matrix.
EXAMPLE 1.7
[ ], ,
1
1 0
0 1
1 0 0
0 1 0
0 0 1
⎡
⎣
⎢
⎤
⎦
⎥
⎡
⎣
⎢
⎢
⎢
⎤
⎦
⎥
⎥
⎥
are identity matrices of orders 1, 2, 3 respectively. They are denoted by I1
, I2
, I3
.
In general, In
is the identity matrix of order n.
Definition 1.8 Zero Matrix or Null Matrix
In a matrix (rectangular or square), if all the entries are equal to 0, then it is called a zero matrix or
null matrix.
EXAMPLE 1.8
A B
=
⎡
⎣
⎢
⎤
⎦
⎥ =
⎡
⎣
⎢
⎤
⎦
⎥
0 0
0 0
0 0 0 0
0 0 0 0
, are zero matrices of types 2 × 2 and 2 × 4.
Definition 1.9 Triangular matrix
A square matrix A = [aij
] is said to be an upper triangular matrix if all the entries below the main
diagonal are zero.
That is aij
= 0 if i  j
A square matrix A = [aij
] is said to be a lower triangular matrix if all the entries above the main
diagonal are zero.
That is aij
= 0 if i  j
EXAMPLE 1.9
(1) The matrices A B
=
−
⎡
⎣
⎢
⎢
⎢
⎤
⎦
⎥
⎥
⎥
=
−
⎡
⎣
⎢
⎢
⎢
⎢
⎤
⎦
⎥
⎥
⎥
⎥
1 2 3
0 1 4
0 0 5
4 1 0 2
0 2 3 1
0 0 0 2
0 0 0 5
and are upper triangular matrices.
(2) The matrices A =
−
⎡
⎣
⎢
⎤
⎦
⎥
2 0
1 0
and B = −
⎡
⎣
⎢
⎢
⎢
⎤
⎦
⎥
⎥
⎥
1 0 0
2 1 0
0 2 1
are lower triangular matrices.
M01_ENGINEERING_MATHEMATICS-I _CH01_Part A.indd 3 5/30/2016 4:34:39 PM
1.4 ■ Engineering Mathematics
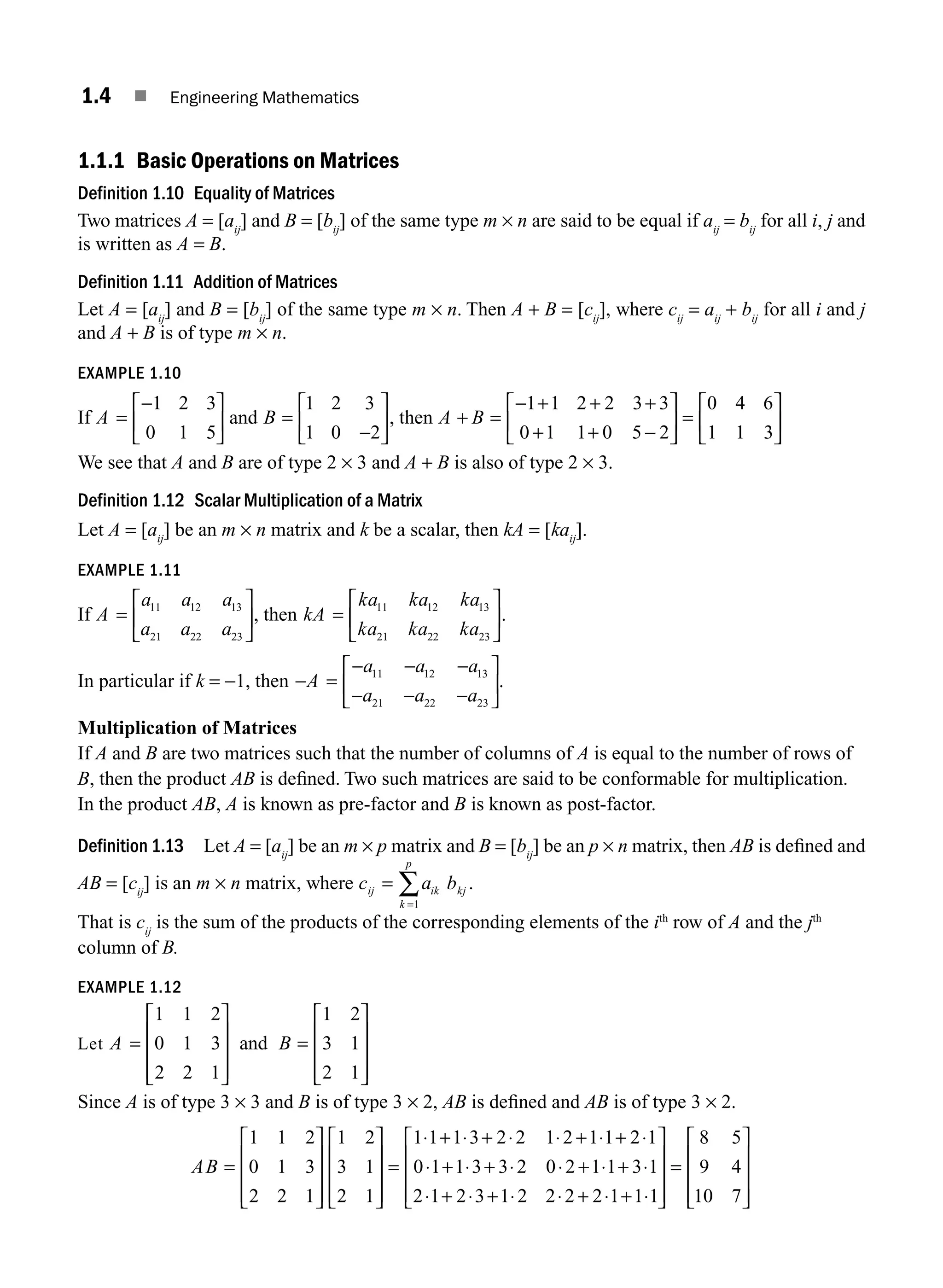
1.1.1 Basic Operations on Matrices
Definition 1.10 Equality of Matrices
Two matrices A = [aij
] and B = [bij
] of the same type m × n are said to be equal if aij
= bij
for all i, j and
is written as A = B.
Definition 1.11 Addition of Matrices
Let A = [aij
] and B = [bij
] of the same type m × n. Then A + B = [cij
], where cij
= aij
+ bij
for all i and j
and A + B is of type m × n.
EXAMPLE 1.10
If A =
−
⎡
⎣
⎢
⎤
⎦
⎥
1 2 3
0 1 5
and B =
−
⎡
⎣
⎢
⎤
⎦
⎥
1 2 3
1 0 2
, then A B
+ =
− + + +
+ + −
⎡
⎣
⎢
⎤
⎦
⎥ =
⎡
⎣
⎢
⎤
⎦
⎥
1 1 2 2 3 3
0 1 1 0 5 2
0 4 6
1 1 3
We see that A and B are of type 2 × 3 and A + B is also of type 2 × 3.
Definition 1.12 Scalar Multiplication of a Matrix
Let A = [aij
] be an m × n matrix and k be a scalar, then kA = [kaij
].
EXAMPLE 1.11
If A
a a a
a a a
=
⎡
⎣
⎢
⎤
⎦
⎥
11 12 13
21 22 23
, then kA
ka ka ka
ka ka ka
=
⎡
⎣
⎢
⎤
⎦
⎥
11 12 13
21 22 23
.
In particular if k = −1, then − =
− − −
− − −
⎡
⎣
⎢
⎤
⎦
⎥
A
a a a
a a a
11 12 13
21 22 23
.
Multiplication of Matrices
If A and B are two matrices such that the number of columns of A is equal to the number of rows of
B, then the product AB is defined. Two such matrices are said to be conformable for multiplication.
In the product AB, A is known as pre-factor and B is known as post-factor.
Definition 1.13 Let A = [aij
] be an m × p matrix and B = [bij
] be an p × n matrix, then AB is defined and
AB = [cij
] is an m × n matrix, where c a b
ij ik kj
k
p
=
=
∑1
.
That is cij
is the sum of the products of the corresponding elements of the ith
row of A and the jth
column of B.
EXAMPLE 1.12
Let A B
=
⎡
⎣
⎢
⎢
⎢
⎤
⎦
⎥
⎥
⎥
=
⎡
⎣
⎢
⎢
⎢
⎤
⎦
⎥
⎥
⎥
1 1 2
0 1 3
2 2 1
1 2
3 1
2 1
and
Since A is of type 3 × 3 and B is of type 3 × 2, AB is defined and AB is of type 3 × 2.
AB =
⎡
⎣
⎢
⎢
⎢
⎤
⎦
⎥
⎥
⎥
⎡
⎣
⎢
⎢
⎢
⎤
⎦
⎥
⎥
⎥
=
⋅ + ⋅ + ⋅ ⋅ + ⋅ +
1 1 2
0 1 3
2 2 1
1 2
3 1
2 1
1 1 1 3 2 2 1 2 1 1 2
2 1
0 1 1 3 3 2 0 2 1 1 3 1
2 1 2 3 1 2 2 2 2 1 1 1
⋅
⋅ + ⋅ + ⋅ ⋅ + ⋅ + ⋅
⋅ + ⋅ + ⋅ ⋅ + ⋅ + ⋅
⎡
⎣
⎢
⎢
⎢
⎤
⎦
⎥
⎥
⎥
=
=
⎡
⎣
⎢
⎢
⎢
⎤
⎦
⎥
⎥
⎥
8 5
9 4
10 7
M01_ENGINEERING_MATHEMATICS-I _CH01_Part A.indd 4 5/30/2016 4:34:41 PM
Matrices ■ 1.5
Note If A and B are square matrices of order n, then both AB and BA are defined, but not necessarily
equal. That is, AB ≠ BA, in general.
So, matrix multiplication is not commutative.
1.1.2 Properties of addition, scalar multiplication and multiplication
1. If A, B, C are matrices of the same type, then
(i) A + B = B + A (ii) A + (B + C) = (A + B) + C
(iii) A + 0 = A (iv) A + (−A) = 0
(v) a(A + B) = aA + aB (vi) (a + b)A = aA + bA
(vii) a(bA) = (ab)A for any scalars a, b.
2. If A, B, C are conformable for multiplication, then
(i) a(AB) = (aA)B = A(aB)
(ii) A(BC) = (AB)C
(iii) (A + B)C = AC + BC, where A and B are of type m × p and C is of type p × n.
(iv) If A is a square matrix, then
A2
= A × A, A3
= A2
× A, …, An
= An − 1
× A
Definition 1.14 Transpose of a Matrix
Let A = [aij
] be an m × n matrix. The transpose of A is obtained by interchanging the rows and
columns of A and it is denoted by AT
.
∴ =
A a
T
ji
[ ] is a n × m matrix.
Properties:
(i) (AT
)T
= A (ii) (A + B)T
= AT
+ BT
(iii) (AB)T
= BT
AT
(iv) (aA)T
= aAT
Definition 1.15 Symmetric Matrix
A square matrix A = [aij
] of order n is said to be symmetric if AT
= A.
This means [aji
] = [aij
] ⇒ aji
= aij
for i, j = 1, 2, …n
Thus, in a symmetric matrix elements equidistant from the main diagonal are the same.
EXAMPLE 1.13
A
a h g
h b f
g f c
=
⎡
⎣
⎢
⎢
⎢
⎤
⎦
⎥
⎥
⎥
and B =
−
−
⎡
⎣
⎢
⎢
⎢
⎢
⎢
⎤
⎦
⎥
⎥
⎥
⎥
⎥
1 2 3 4
2 0 5 7
3 5 2 8
4 7 8 4
are symmetric matrices of orders 3 and 4.
Definition 1.16 Skew-Symmetric Matrix
A square matrix A = [aij
] of order n is said to be skew-symmetric if AT
= −A.
This means [aji
] = −[aij
] ⇒ aji
= − aij
for all i, j = 1, 2, …, n
In particular, put j = i, then aii
= − aii
⇒ 2aii
= 0 ⇒ aii
= 0 for all i = 1, 2, …, n
So, in a skew-symmetric matrix, the diagonal elements are all zero and elements equidistant from
the main diagonal are equal in magnitude, but opposite in sign.
M01_ENGINEERING_MATHEMATICS-I _CH01_Part A.indd 5 5/30/2016 4:34:41 PM
1.6 ■ Engineering Mathematics
EXAMPLE 1.14
A B
=
−
⎡
⎣
⎢
⎤
⎦
⎥ =
−
−
−
⎡
⎣
⎢
⎢
⎢
⎤
⎦
⎥
⎥
⎥
0 1
1 0
0 2 3
2 0 4
3 4 0
and are skew-symmetric matrices of orders 2 and 3.
Definition 1.17 Non-Singular Matrix
A Square matrix A is said to be non-singular if A ≠ 0 ( A means determinant of A).
If A = 0, then A is singular.
Definition 1.18 Minor and Cofactor of an Element
Let A = [aij
] be a square matrix of order n. If we delete the row and column of the element aij
, we get
a square submatrix of order (n − 1).
The determinant of this submatrix is called the minor of the element aij
and is denoted by Mij
.
The cofactor of aij
in A is A M
ij
i j
ij
= − +
( )
1
EXAMPLE 1.15
A = −
⎡
⎣
⎢
⎢
⎢
⎤
⎦
⎥
⎥
⎥
1 6 2
0 2 4
3 1 2
The cofactor of a11
= 1 is A11
1 1
1
2 4
1 2
= −
−
+
( ) = −4 −4 = −8
The cofactor of a12
= 6 is A12
1 2
1
0 4
3 2
= − +
( ) = − (−12) = 12
The cofactor of a32
= 1 is A32
3 2
1
1 2
0 4
= − +
( ) = − (4 −0) = −4
Similarly, we can determine the cofactors of other elements.
Definition 1.19 Adjoint of a Matrix
Let A = [aij
] be a square matrix. The adjoint of A is defined as the transpose of the matrix of cofactors
of the elements of A and it is denoted by adj A.
Thus, adj A
A A A
A A A
A A A
n
n
n n nn
T
=
⎡
⎣
⎢
⎢
⎢
⎢
⎤
⎦
⎥
⎥
⎥
⎥
11 12 1
21 21 2
1 2
…
…
…
: : :
Properties: If A and B are square matrices of order n, then
(i) adj AT
= (adj A)T
(ii) (adj A) A = A (adj A) = A In
.
(iii) adj(AB) = (adj A) (adj B)
Using property (ii), we define inverse.
Definition 1.20 Inverse of a Matrix
If A is a non-singular matrix, then the inverse of A is defined as
adj A
A
and it is denoted by A−1
.
M01_ENGINEERING_MATHEMATICS-I _CH01_Part A.indd 6 5/30/2016 4:34:44 PM
Matrices ■ 1.7
∴ A
A
A
−
=
1 adj
EXAMPLE 1.16
Find the inverse of A = −
⎡
⎣
⎢
⎢
⎢
⎤
⎦
⎥
⎥
⎥
1 6 2
0 2 4
3 1 2
.
Solution.
Given A = −
⎡
⎣
⎢
⎢
⎢
⎤
⎦
⎥
⎥
⎥
1 6 2
0 2 4
3 1 2
∴ A = −
1 6 2
0 2 4
3 1 2
= 1(−4 −4) −6(0 − 12) + 2(0 + 6) = −8 + 72 + 12 = 76 ≠ 0
Since A ≠ 0, A is non-singular and hence A−1
exists and A
A
A
−
=
1 adj
.
We shall find the cofactors of the elements of A
A A
A
11
1 1
12
1 2
13
1
2 4
1 2
4 4 8 1
0 4
3 2
0 12 12
= −
−
= − − = − = − = − − =
=
+ +
( ) ( ) , ( ) ( )
(−
−
−
= + = = − = − − = −
= −
+ +
+
1
0 2
3 1
0 6 6 1
6 2
1 2
12 2 10
1
1 3
21
2 1
22
2
) ( ) , ( ) ( )
( )
A
A 2
2
23
2 3
31
3 1
1 2
3 2
2 6 4 1
1 6
3 1
1 18 17
1
6 2
2 4
= − = − = − = − − =
= −
−
+
+
( ) , ( ) ( )
( )
A
A =
= + = = − = − − = −
= −
−
= − −
+
+
( ) , ( ) ( )
( ) (
24 4 28 1
1 2
0 4
4 0 4
1
1 6
0 2
2
32
3 2
33
3 3
A
A 0
0 2
) = −
∴
8 12 6
10 4 17
28 4 2
8 10 28
12 4 4
6 17
=
−
− −
− −
⎡
⎣
⎢
⎢
⎢
⎤
⎦
⎥
⎥
⎥
=
− −
− −
−
adj A
T
2
2
⎡
⎣
⎢
⎢
⎢
⎤
⎦
⎥
⎥
⎥
∴ A −
=
− −
− −
−
⎡
⎣
⎢
⎢
⎢
⎤
⎦
⎥
⎥
⎥
1 1
76
8 10 28
12 4 4
6 17 2
1.2 COMPLEX MATRICES
A matrix with at least one element as complex number is called a complex matrix.
Let A = [aij
] be a complex matrix.
The conjugate matrix of A is denoted by A and A aij
= ⎡
⎣ ⎤
⎦.
M01_ENGINEERING_MATHEMATICS-I _CH01_Part A.indd 7 5/30/2016 4:34:46 PM
1.8 ■ Engineering Mathematics
EXAMPLE 1.17
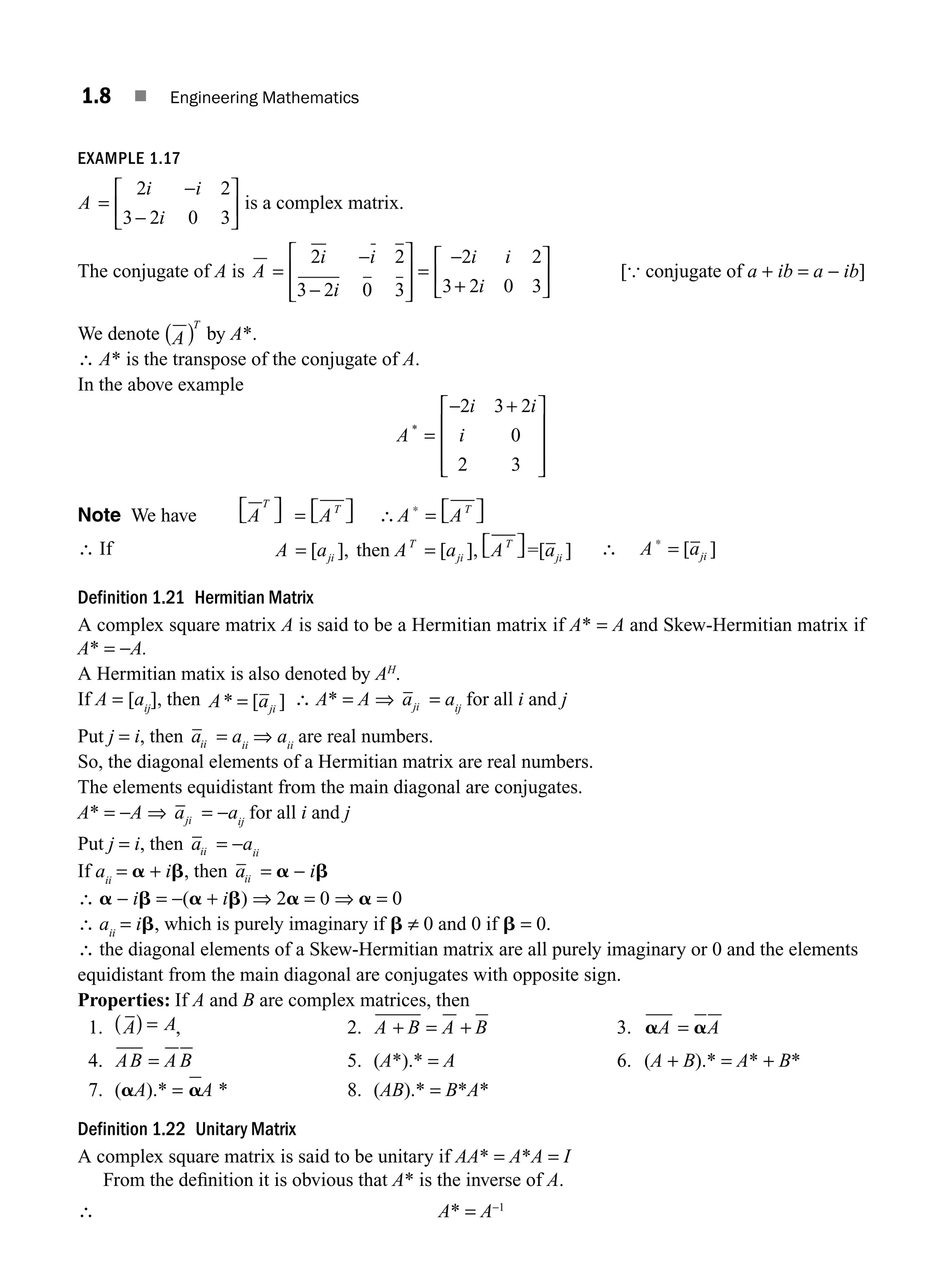
A
i i
i
=
−
−
⎡
⎣
⎢
⎤
⎦
⎥
2 2
3 2 0 3
is a complex matrix.
The conjugate of A is A
i i
i
i i
i
=
−
−
⎡
⎣
⎢
⎢
⎤
⎦
⎥
⎥
=
−
+
⎡
⎣
⎢
⎤
⎦
⎥
2 2
3 2 0 3
2 2
3 2 0 3
[{ conjugate of a + ib = a − ib]
We denote A
T
( ) by A*.
∴ A* is the transpose of the conjugate of A.
In the above example
A
i i
i
*
=
− +
⎡
⎣
⎢
⎢
⎢
⎤
⎦
⎥
⎥
⎥
2 3 2
0
2 3
Note We have A A A A
T T T
⎡
⎣ ⎤
⎦ = ⎡
⎣ ⎤
⎦ ∴ = ⎡
⎣ ⎤
⎦
∗
∴ If A a A a A a
ji
T
ji
T
ji
= = ⎡
⎣ ⎤
⎦
[ ], [ ],
then =[ ] ∴ A ∗
= [ ]
aji
Definition 1.21 Hermitian Matrix
A complex square matrix A is said to be a Hermitian matrix if A* = A and Skew-Hermitian matrix if
A* = −A.
A Hermitian matix is also denoted by AH
.
If A = [aij
], then A aji
* [ ]
= ∴ A* = A ⇒ aji = aij
for all i and j
Put j = i, then aii = aii
⇒ aii
are real numbers.
So, the diagonal elements of a Hermitian matrix are real numbers.
The elements equidistant from the main diagonal are conjugates.
A* = −A ⇒ aji = −aij
for all i and j
Put j = i, then aii = −aii
If aii
= a + ib, then aii = a − ib
∴ a − ib = −(a + ib) ⇒ 2a = 0 ⇒ a = 0
∴ aii
= ib, which is purely imaginary if b ≠ 0 and 0 if b = 0.
∴ the diagonal elements of a Skew-Hermitian matrix are all purely imaginary or 0 and the elements
equidistant from the main diagonal are conjugates with opposite sign.
Properties: If A and B are complex matrices, then
1. A A
( ) = , 2. A B A B
+ = + 3. a a
A A
=
4. AB A B
= 5. (A*).* = A 6. (A + B).* = A* + B*
7. (aA).* = aA * 8. (AB).* = B*A*
Definition 1.22 Unitary Matrix
A complex square matrix is said to be unitary if AA* = A*A = I
From the definition it is obvious that A* is the inverse of A.
∴ A* = A−1
M01_ENGINEERING_MATHEMATICS-I _CH01_Part A.indd 8 5/30/2016 4:34:50 PM
Matrices ■ 1.9
EXAMPLE 1.18
Show that A
i
i
5
2 2
1
1 3
3 2
⎡
⎣
⎢
⎤
⎦
⎥ is a Hermitian matrix.
Solution.
Given A =
− −
+
⎡
⎣
⎢
⎤
⎦
⎥
1 3
3 2
i
i
∴ A A
i
i
T
T
* = ( ) =
− −
+
⎡
⎣
⎢
⎢
⎤
⎦
⎥
⎥
1 3
3 2
=
− +
−
⎡
⎣
⎢
⎤
⎦
⎥ =
− −
+
⎡
⎣
⎢
⎤
⎦
⎥
1 3
3 2
1 3
3 2
i
i
i
i
T
= A
∴ A is Hermitian matrix.
EXAMPLE 1.19
Show that B
i i
i i
i i
5
2 1
1 2
2 1 2
1 3 3 2
3 0 2 3
3 2 2 3 2
⎡
⎣
⎢
⎢
⎢
⎤
⎦
⎥
⎥
⎥
is a Hermitian matrix.
Solution.
Since the diagonal elements are real and elements equidistant from the main diagonal are conjugates,
B is a Hermitian matrix.
EXAMPLE 1.20
Show that A
i i
i
5
1
2 2
2 1
1 0
( )
⎡
⎣
⎢
⎤
⎦
⎥ is a Skew-Hermitian matrix.
Solution.
Given A
i i
i
=
+
− −
⎡
⎣
⎢
⎤
⎦
⎥
2 1
1 0
( )
Since the diagonal elements are purely imaginary or zero and (1 + i) and − (1 − i) are conjugates with
opposite sign, A is Skew-Hermitian matrix.
EXAMPLE 1.21
Show that B
i i i
i i
i i i
5
1 2
2 2 1
2 1 2 2
2 1 2 5
1 0 2 3
2 5 2 3 3
( )
( ) ( )
⎡
⎣
⎢
⎢
⎢
⎤
⎦
⎥
⎥
⎥
is skew-Hermitian.
Solution.
Given B
i i i
i i
i i i
=
+ −
− − +
− + − −
⎡
⎣
⎢
⎢
⎢
⎤
⎦
⎥
⎥
⎥
2 1 2 5
1 0 2 3
2 5 2 3 3
( )
( ) ( )
In B, the diagonal elements are purely imaginary or zero and the elements equidistant from the main
diagonal are conjugates with opposite sign. So, B is skew-Hermitian matrix.
Note If A is a real matrix, then the definition of unitary
⇒ AAT
= AT
A = I.
In this case A is called an orthogonal matrix. So, if A is an orthogonal matrix, then AT
= A−1
.
M01_ENGINEERING_MATHEMATICS-I _CH01_Part A.indd 9 5/30/2016 4:34:52 PM
1.10 ■ Engineering Mathematics
WORKED EXAMPLES
EXAMPLE 1
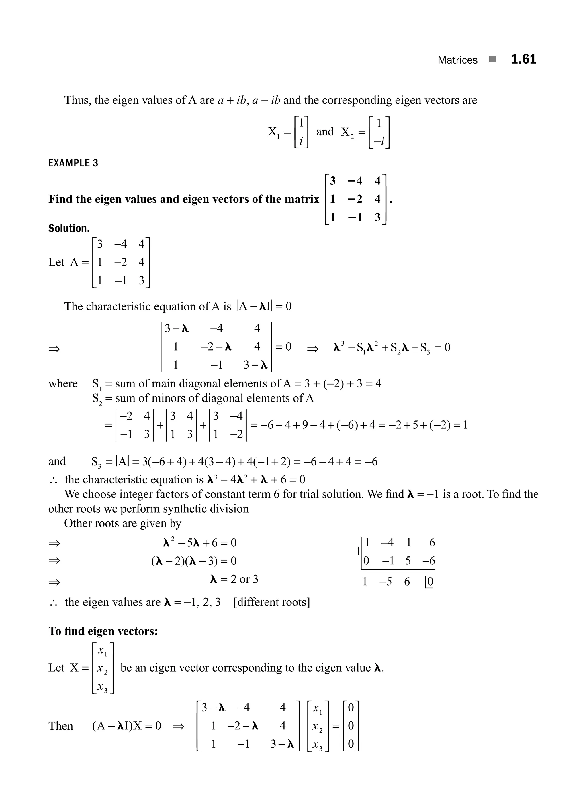
If A
i i
i i
5
1 2 1
2 2
2 3 1 3
5 4 2
⎡
⎣
⎢
⎤
⎦
⎥ , then show that AA* is a Hermitian matrix.
Solution.
Given A
i i
i i
=
+ − +
− −
⎡
⎣
⎢
⎤
⎦
⎥
2 3 1 3
5 4 2
∴ A* = A
i i
i i
T
T
[ ] =
− − −
− − +
⎡
⎣
⎢
⎤
⎦
⎥
2 3 1 3
5 4 2
=
− −
−
− − +
⎡
⎣
⎢
⎢
⎢
⎤
⎦
⎥
⎥
⎥
2 5
3
1 3 4 2
i
i
i i
We have to prove AA* is a Hermitian matrix.
That is to prove (AA*)* = AA*
Now AA
i i
i i
i
i
i i
* =
+ − +
− −
⎡
⎣
⎢
⎤
⎦
⎥
− −
−
− − +
⎡
⎣
⎢
⎢
⎢
⎤
⎦
⎥
⎥
⎥
2 3 1 3
5 4 2
2 5
3
1 3 4 2
=
+ − + ⋅ + − + − − + − + − + − + +
( )( ) ( )( ) ( )( ) ( ) ( ) (
2 2 3 3 1 3 1 3 2 5 3 1 3 4 2
i i i i i i i i
i
i i i i i i i i
)
( ) ( )( ) ( )( ) ( ) ( )( )
− − + ⋅ + − − − − − + − + − +
⎡
⎣
⎢ 5 2 3 4 2 1 3 5 5 4 2 4 2
⎤
⎤
⎦
⎥
=
+ + + + − − − − + +
− + + − − + − +
2 1 9 1 3 10 5 3 4 10 6
10 5 3 4 10 6 25 4
2 2 2
2 2 2
i i i i
i i i i i +
+
⎡
⎣
⎢
⎤
⎦
⎥
=
− + −
− − −
⎡
⎣
⎢
⎤
⎦
⎥ =
− +
− −
⎡
⎣
⎢
⎤
2
24 14 2 6
14 2 6 46
24 20 2
20 2 46
2
i
i
i
i ⎦
⎦
⎥ = −
[ ]
{ i2
1
∴ ( *)*
AA
i
i
T
=
− +
− −
⎡
⎣
⎢
⎢
⎤
⎦
⎥
⎥
24 20 2
20 2 46
=
− −
− +
⎡
⎣
⎢
⎤
⎦
⎥ =
− +
− −
⎡
⎣
⎢
⎤
⎦
⎥
24 20 2
20 2 46
24 20 2
20 2 46
i
i
i
i
T
= AA*
⇒ (AA*)* = AA*
Hence, AA* is a Hermitian matrix.
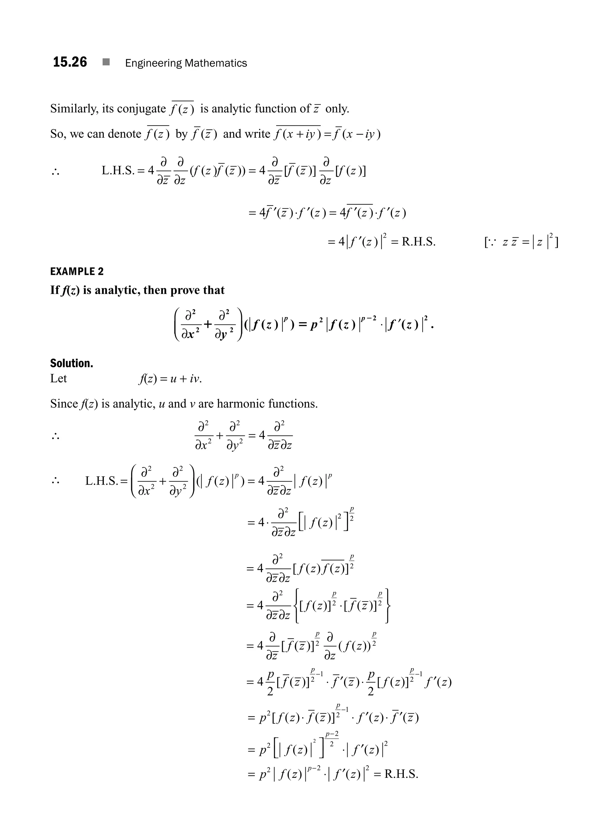
EXAMPLE 2
Show that every square complex matrix can be expressed uniquely as P + iQ, where P and Q are
Hermitian matrices.
Solution.
Let A be any square complex matrix.
We shall rewrite A as
A A A i
i
A A
= + + −
⎡
⎣
⎢
⎤
⎦
⎥
1
2
1
2
[ *] ( *)
M01_ENGINEERING_MATHEMATICS-I _CH01_Part A.indd 10 5/30/2016 4:34:54 PM
Matrices ■ 1.11
Put P A A Q
i
A A
= + = −
1
2
1
2
( *), ( *), then A = P + iQ.
We shall now prove P and Q are Hermitian.
Now, P A A A A A A P
*
( *) ( * ( *)* ( * )
*
= +
⎡
⎣
⎢
⎤
⎦
⎥ = +
⎡
⎣
⎢
⎤
⎦
⎥ = + =
1
2
1
2
1
2
∴ P is Hermitian.
and Q A A
i
A A
i
A A
i
A A Q
* ( *) ( * ( *)* [ * ] ( *)
*
= −
⎡
⎣
⎢
⎤
⎦
⎥ = −
[ ]= − − = − =
1
2
1
2
1
2
1
2
i
∴ Q is Hermitian.
We shall now prove the uniqueness of the expression A = P + iQ.
If possible, let A = R + iS (1)
where R and S are Hermitian matrices.
∴ R* = R and S* = S
Now, A* = (R + iS)* = R* + (iS)* = R* − iS* = R − iS [by property] (2)
(1) + (2) ⇒ A + A* = 2R ⇒ R =
1
2
( *)
A A P
+ =
(1) − (2) ⇒ A − A* = 2iS ⇒ S =
1
2i
A A Q
( *)
− =
∴ the expression A = P + iQ is unique.
EXAMPLE 3
If A is any square complex matrix, prove that (1) A 1 A* is Hermitian and (ii) A 5 B 1 C, where
B is Hermitian and C is Skew-Hermitian.
Solution.
Given A is a square complex matrix.
(i) Let P = A + A*
∴ P* = (A + A*)* = A* + (A*)* = A* + A = A + A* = P [by property]
∴ P is Hermitian
Hence, A + A* is Hermitian.
To prove (ii): Since A is square complex matrix, we can write A as
A A A A A
= + + −
1
2
1
2
( *) ( *) = B + C
where B A A
= +
1
2
( *) is Hermitian by part (i) and C A A
= −
1
2
( *)
⇒ C A A A A
* ( *) ( * ( *)*
*
= −
⎡
⎣
⎢
⎤
⎦
⎥ = −
[ ]
1
2
1
2
= − = − − = −
1
2
1
2
[ * ] [ *]
A A A A C
∴ C is Skew- Hermitian.
M01_ENGINEERING_MATHEMATICS-I _CH01_Part A.indd 11 5/30/2016 4:34:57 PM
1.12 ■ Engineering Mathematics
EXAMPLE 4
If A 5
1
2 1
0 1 2
2 0
i
i
1
⎡
⎣
⎢
⎤
⎦
⎥ , then show that (I 2 A) (I 1 A)21
is a unitary matrix.
Solution.
Given A
i
i
=
+
− +
⎡
⎣
⎢
⎤
⎦
⎥
0 1 2
1 2 0
=
+
− −
⎡
⎣
⎢
⎤
⎦
⎥
0 1 2
1 2 0
i
i
( )
. Let I =
⎡
⎣
⎢
⎤
⎦
⎥
1 0
0 1
.
∴ I A
i
i
+ =
⎡
⎣
⎢
⎤
⎦
⎥ +
+
− −
⎡
⎣
⎢
⎤
⎦
⎥
1 0
0 1
0 1 2
1 2 0
( )
=
+
− −
⎡
⎣
⎢
⎤
⎦
⎥
1 1 2
1 2 1
i
i
( )
I A
i
i
i i
+ =
+
− −
= + − + = + + = ≠
1 1 2
1 2 1
1 1 2 1 2 1 1 4 6 0
( )
( )( )
∴ Inverse of I + A exists and ( )
( )
I A
I A
I A
+ =
+
+
−1 adj
adj( )
( )
( )
I A
i
i
i
i
T
+ =
−
− +
⎡
⎣
⎢
⎤
⎦
⎥ =
− +
−
⎡
⎣
⎢
⎤
⎦
⎥
1 1 2
1 2 1
1 1 2
1 2 1
∴ ( )
( )
I A
i
i
+ =
− +
−
⎡
⎣
⎢
⎤
⎦
⎥
−1 1
6
1 1 2
1 2 1
∴ I A
i
i
− =
⎡
⎣
⎢
⎤
⎦
⎥ −
+
− +
⎡
⎣
⎢
1 0
0 1
0 1 2
1 2 0
⎤
⎤
⎦
⎥ =
− +
−
⎡
⎣
⎢
⎤
⎦
⎥
1 1 2
1 2 1
( )
i
i
∴ (I A I A
i
i
i
i
− + =
− +
−
⎡
⎣
⎢
⎤
⎦
⎥
− +
−
⎡
⎣
⎢
⎤
⎦
⎥
=
−
−
)( )
( ) ( )
1 1
6
1 1 2
1 2 1
1 1 2
1 2 1
1
6
1 (
( )( ) ( ) ( )
( ) ( ) ( )( )
1 2 1 2 1 2 1 2
1 2 1 2 1 2 1 2 1
+ − − + − +
− + − − − + +
⎡
⎣
⎢
i i i i
i i i i
⎤
⎤
⎦
⎥
=
− + − +
− − + +
⎡
⎣
⎢
⎤
⎦
⎥ =
− − +
1
6
1 1 4 2 1 2
2 1 2 1 4 1
1
6
4 2 1 2
2
( ) ( )
( ) ( )
( )
(
i
i
i
1
1 2 4
− −
⎡
⎣
⎢
⎤
⎦
⎥ =
i
B
)
, say
Now, B
i
i
T
*
( )
( )
=
− − +
− −
⎡
⎣
⎢
⎢
⎤
⎦
⎥
⎥
1
6
4 2 1 2
2 1 2 4
=
− − −
+ −
⎡
⎣
⎢
⎤
⎦
⎥ =
− +
− − −
⎡
⎣
⎢
⎤
⎦
⎥
1
6
4 2 1 2
2 1 2 4
1
6
4 2 1 2
2 1 2 4
( )
( )
( )
( )
i
i
i
i
T
To prove B = (I − A) (I + A)−1
is unitary, verify BB* = I
Now, BB
i
i
i
i
*
( )
( )
( )
( )
=
− − +
− −
⎡
⎣
⎢
⎤
⎦
⎥
− +
− − −
⎡
⎣
⎢
⎤
⎦
⎥
1
36
4 2 1 2
2 1 2 4
4 2 1 2
2 1 2 4
=
+ + − − + + +
− − + − +
1
36
16 4 1 2 1 2 8 1 2 8 1 2
8 1 2 8 1 2 4 1 2
( )( ) ( ) ( )
( ) ( ) (
i i i i
i i i)
)( )
1 2 16
− +
⎡
⎣
⎢
⎤
⎦
⎥
i
M01_ENGINEERING_MATHEMATICS-I _CH01_Part A.indd 12 5/30/2016 4:35:00 PM
Matrices ■ 1.13
( )
( )
1
36
16 4 1 4 0
0 4 1 4 6
1
36
36 0
0 36
=
+ +
+ +
⎡
⎣
⎢
⎤
⎦
⎥ =
⎡
⎣
⎢
⎢
⎤
⎦
⎥ =
⎡
⎣
⎢
⎤
⎦
⎥ =
1 0
0 1
I.
∴ B is unitary.
Hence, (I − A)(I + A)−1
is unitary.
Note Another method: To prove B is unitary, verify B* = B−1
EXERCISE 1.1
1. If A B A B
+ =
⎡
⎣
⎢
⎤
⎦
⎥ − =
⎡
⎣
⎢
⎤
⎦
⎥
7 0
2 5
3 0
0 3
, , find A and B
2. Find x, y, z and w if
3
6
1 2
4
3
x y
z w
x
w
x y
z w
⎡
⎣
⎢
⎤
⎦
⎥ =
−
⎡
⎣
⎢
⎤
⎦
⎥ +
+
+
⎡
⎣
⎢
⎤
⎦
⎥
3. If matrix A has x rows and x +5 columns and B has y rows and 11 − y columns such that both AB and BA
exist, then find x and y.
4. If A =
−
⎡
⎣
⎢
⎢
⎢
⎤
⎦
⎥
⎥
⎥
2 3 4
1 2 3
1 1 2
and B = −
⎡
⎣
⎢
⎢
⎢
⎤
⎦
⎥
⎥
⎥
1 3 0
1 2 1
0 0 2
, then find AB and BA and test their equality.
5. If A =
−
⎡
⎣
⎢
⎢
⎢
⎢
⎤
⎦
⎥
⎥
⎥
⎥
0
2
2
0
tan
tan
a
a
, show that I A I A
+ = −
−
⎡
⎣
⎢
⎤
⎦
⎥
[ ]
cos sin
sin cos
a a
a a
6. If A =
−
⎡
⎣
⎢
⎤
⎦
⎥
cos sin
sin cos
a a
a a
, then verify that AAT
= I2
.
7. If A is a square matrix, then show that A can be expressed as A = P + Q, where P is symmetric and Q is
skew-symmetric.
Hint: Take P
A A
Q
A A
T T
=
+
=
−
⎡
⎣
⎢
⎤
⎦
⎥
2 2
,
8. If A =
−
⎡
⎣
⎢
⎢
⎢
⎤
⎦
⎥
⎥
⎥
2 0 1
2 1 3
1 1 0
and f(x) = x2
− 5x + 6, then find f(A).
9. If A =
−
⎡
⎣
⎢
⎢
⎢
⎤
⎦
⎥
⎥
⎥
1 1 1
2 3 0
18 2 10
, then prove that A(adj A) =
0 0 0
0 0 0
0 0 0
⎡
⎣
⎢
⎢
⎢
⎤
⎦
⎥
⎥
⎥
.
10. Find the inverse of A =
−
⎡
⎣
⎢
⎢
⎢
⎤
⎦
⎥
⎥
⎥
1 0 0
3 3 0
5 2 1
in terms of adj A.
11. Show that A
i i
i i
=
+ − +
+ −
⎡
⎣
⎢
⎤
⎦
⎥
1
2
1 1
1 1
is unitary.
12. If A and B are orthogonal matrices of the same order, prove that AB is orthogonal.
[Hint: AAT
= I, BBT
= I. Compute AB(AB)T
= A(BBT
)AT
= AAT
= I].
M01_ENGINEERING_MATHEMATICS-I _CH01_Part A.indd 13 5/30/2016 4:35:03 PM
1.14 ■ Engineering Mathematics
13. If A and B are Hermitian matrices of the same order, prove that
(i) A + B is Hermitian (ii) AB + BA is Hermitian
(iii) iA is Skew-Hermitian (iv) AB − BA is Skew-Hermitian
14. Find the inverse of the following matrices.
(i)
2 1 4
3 0 1
1 1 2
−
−
−
⎡
⎣
⎢
⎢
⎢
⎤
⎦
⎥
⎥
⎥
(ii)
4 3 3
1 0 1
4 4 3
− −
− − −
⎡
⎣
⎢
⎢
⎢
⎤
⎦
⎥
⎥
⎥
15. If A =
3 3 4
2 3 4
0 1 1
−
−
−
⎡
⎣
⎢
⎢
⎢
⎤
⎦
⎥
⎥
⎥
, then show that A3
= A−1
.
ANSWERS TO EXERCISE 1.1
1. A B
=
⎡
⎣
⎢
⎤
⎦
⎥ =
⎡
⎣
⎢
⎤
⎦
⎥
5 0
1 4
2 0
1 1
, 2. x = 2, y = 4, z = 1, w = 3 3. x = 3, y = 8
4. AB ≠ BA 8. f A
( ) =
− −
− − −
−
⎡
⎣
⎢
⎢
⎢
⎤
⎦
⎥
⎥
⎥
1 1 3
1 1 10
5 4 4
10. A−
= −
−
⎡
⎣
⎢
⎢
⎢
⎢
⎢
⎤
⎦
⎥
⎥
⎥
⎥
⎥
1
1 0 0
1
1
3
0
3
2
3
1
14. (i) A−
=
−
−
− − −
⎡
⎣
⎢
⎢
⎢
⎤
⎦
⎥
⎥
⎥
1
1 6 1
5 8 14
3 1 3
(ii) A−
= − −
− −
⎡
⎣
⎢
⎢
⎢
⎤
⎦
⎥
⎥
⎥
1
4 3 3
1 0 1
4 4 3
1.3 RANK OF A MATRIX
Let A = [aij
] be an m × n matrix. A matrix obtained by omitting some rows and columns of A is called
a submatrix of A.
The determinant of a square submatrix of order r is called a minor of order r of A.
EXAMPLE 1.22
Consider A =
−
− −
⎡
⎣
⎢
⎢
⎢
⎤
⎦
⎥
⎥
⎥
2 3 4 1
0 3 4 0
3 2 1 2
Omitting the fourth column, we get the submatrix A1
2 3 4
0 3 4
3 2 1
=
− −
⎡
⎣
⎢
⎢
⎢
⎤
⎦
⎥
⎥
⎥
and A1
2 3 4
0 3 4
3 2 1
=
− −
is a
minor of order 3.
Omitting the first and third columns and the third row, we get the submatrix A2
3 1
3 0
=
−
⎡
⎣
⎢
⎤
⎦
⎥ and
A2
3 1
3 0
=
−
is a minor of order 2. Since A2 = 3 ≠ 0, it is called a non-vanishing minor of order 2.
But
3 4
3 4
0
= , so it is called a vanishing minor of order 2.
M01_ENGINEERING_MATHEMATICS-I _CH01_Part A.indd 14 5/30/2016 4:35:06 PM
Matrices ■ 1.15
Definition 1.23 Rank of a Matrix
Let A be an m × n matrix. A is said to be of rank r if (1) at least one minor of A of order r is not zero
and (ii) every minor of A of order (r + 1) (and higher order) is zero.
The rank of A is denoted by r(A) or r(A).
Note
(1) The definition says rank of A is the order of the largest non-vanishing minor of A.
(2) The Rank of Zero matrix is zero.
(3) All non-zero matrices have rank ≥ 1.
(4) The rank of an m × n matrix is less than or equal to the min {m, n}.
(5) r(A) = r(AT
)
(6) If In
is the unit matrix of order n, then In = ≠
1 0 and so, r(In
) = n.
To find the rank of a matrix A, we have to identify the largest non-vanishing minor. This process
involves a lot of computations and so it is tedious for matrices of large type.
To reduce the computations, we apply elementary transformations and transform the given matrix
to a convenient form, namely Echelon form or normal form.
Elementary transformations
1. Interchange of any two rows (or columns)
2. Multiplication of elements of any row (or column) by a non-zero number k.
3. Addition to the elements of a row (column), the corresponding elements of another row (column)
multiplied by a fixed number.
Note When an elementary transformation is applied to a row, it is called a row transformation and
when it is applied to a column, it is called a column transformation.
Notation: The following symbols will be used to denote the elementary row operations.
(i) Ri
↔ Rj
means ith
row and jth
row are interchanged.
(ii) Ri
→ kRi
means the elements of ith
row is multiplied by k (≠0)
(iii) Ri
→ Ri
+ kRj
means the jth
row is multiplied by k and added to the ith
row.
Similarly we indicate the column transformations by Ci
↔ Cj
, Ci
→ kCi
, Ci
→ Ci
+ kCj
Definition 1.24 Equivalent Matrices
Two matrices A and B of the same type are said to be equivalent if one matrix can be obtained from the
other by a sequence of elementary row (column) transformations. Then we write A ~ B.
Results:
1. The Rank of a matrix is unaffected by elementary transformations.
2. Equivalent matrices have the same rank.
Definition 1.25 Echelon Matrix
A matrix is called a row-echelon matrix if (1) all zero rows (i.e., rows with zero elements only), if any,
are on the bottom of the matrix and (ii) each leading non-zero element is to the right of the leading
non-zero element in the preceding row.
M01_ENGINEERING_MATHEMATICS-I _CH01_Part A.indd 15 5/30/2016 4:35:07 PM
1.16 ■ Engineering Mathematics
EXAMPLE 1.23
A =
⎡
⎣
⎢
⎢
⎢
⎤
⎦
⎥
⎥
⎥
1 2 3
0 1 2
0 0 0
, B =
−
−
⎡
⎣
⎢
⎢
⎢
⎢
⎤
⎦
⎥
⎥
⎥
⎥
2 1 1 0
0 0 1 2
0 0 0 0
0 0 0 0
,
C =
−
−
⎡
⎣
⎢
⎢
⎢
⎢
⎤
⎦
⎥
⎥
⎥
⎥
1 1 0 4 5
0 1 2 1 3
0 0 0 6 1
0 0 0 0 0
and D =
⎡
⎣
⎢
⎢
⎢
⎤
⎦
⎥
⎥
⎥
1 2 3
0 2 1
0 0 2
are row echelon matrices.
Note
Triangular matrix is a special case of an echelon matrix.
Result: If a matrix A is equivalent to a row echelon matrix B, then r(A) = the number of non-zero rows
of B.
In the above examples, r(A) = 2, r(B) = 2, r(C) = 3, r(D) = 3.
WORKED EXAMPLES
EXAMPLE 1
Find the rank of the matrix A 5
1 2 3 0
2 4 3 2
3 2 1 3
6 8 7 5
⎡
⎣
⎢
⎢
⎢
⎢
⎤
⎦
⎥
⎥
⎥
⎥
, by reducing to an echelon matrix.
Solution.
Given A =
⎡
⎣
⎢
⎢
⎢
⎢
⎤
⎦
⎥
⎥
⎥
⎥
1 2 3 0
2 4 3 2
3 2 1 3
6 8 7 5
∼
1 2 3 0
0 0 3 2
0 4 8 3
0 4 11 5
2
3
2 2 1
3 3
−
− −
− −
⎡
⎣
⎢
⎢
⎢
⎢
⎤
⎦
⎥
⎥
⎥
⎥
→ + −
→ + −
R R R
R R R
( )
( ) 1
1
4 4 1
4 4 3
6
1 2 3 0
0 0 3 2
0 4 8 3
0 0 3 2
1 2
R R R
R R R
→ + −
−
− −
−
⎡
⎣
⎢
⎢
⎢
⎢
⎤
⎦
⎥
⎥
⎥
⎥
→ −
( )
∼
∼
3
3 0
0 4 8 3
0 0 3 2
0 0 3 2
2 3
− −
−
−
⎡
⎣
⎢
⎢
⎢
⎢
⎤
⎦
⎥
⎥
⎥
⎥
↔
R R
∼
1 2 3 0
0 4 8 3
0 0 3 2
0 0 0 0 4 4 3
− −
−
⎡
⎣
⎢
⎢
⎢
⎢
⎤
⎦
⎥
⎥
⎥
⎥
→ −
R R R
= B, which is a row echelon matrix.
∴ r(A) = the number of non-zero rows in B = 3
M01_ENGINEERING_MATHEMATICS-I _CH01_Part A.indd 16 5/30/2016 4:35:09 PM
Matrices ■ 1.17
EXAMPLE 2
Determine the rank of the matrix A 5
2
2
2
1 2 3 1
3 6 9 3
2 4 6 2
⎡
⎣
⎢
⎢
⎢
⎤
⎦
⎥
⎥
⎥
, by reducing to an echelon matrix.
Solution.
Given A =
−
−
−
⎡
⎣
⎢
⎢
⎢
⎤
⎦
⎥
⎥
⎥
1 2 3 1
3 6 9 3
2 4 6 2
∼
1 2 3 1
0 0 0 0
0 0 0 0
3
2
2 2 1
3 3 1
−
⎡
⎣
⎢
⎢
⎢
⎤
⎦
⎥
⎥
⎥
→ + −
→ + −
R R R
R R R
( )
( )
= B, which is a row echelon matrix.
∴ r(A) = the number of non-zero rows in B = 1
EXAMPLE 3
Find the value of k if the rank of the matrix
6 3 5 9
5 2 3 6
3 1 2 3
2 1 1 k
⎡
⎣
⎢
⎢
⎢
⎢
⎤
⎦
⎥
⎥
⎥
⎥
is 3.
Solution.
Let A
k
=
⎡
⎣
⎢
⎢
⎢
⎢
⎤
⎦
⎥
⎥
⎥
⎥
6 3 5 9
5 2 3 6
3 1 2 3
2 1 1
∼
∼
1
1
2
5
6
3
2
5 2 3 6
3 1 2 3
2 1 1
1
6
1
1
2
5
6
3
2
0
1
2
7
6
1 1
k
R R
⎡
⎣
⎢
⎢
⎢
⎢
⎢
⎢
⎤
⎦
⎥
⎥
⎥
⎥
⎥
⎥
→
− − −
−
− − −
− −
⎡
⎣
⎢
⎢
⎢
⎢
⎢
⎢
⎢
⎢
⎢
⎢
⎤
⎦
⎥
⎥
⎥
⎥
⎥
⎥
⎥
⎥
⎥
⎥
→ + −
3
2
0
1
2
3
6
3
2
0 0
4
6
3
5
2 2 1
k
R R R
( )
R
R R R
R R R
3 3 1
4 4 1
3
2
→ + −
→ + −
( )
( )
∼
1
1
2
5
6
3
2
0
1
2
7
6
3
2
0 0
4
6
0
0 0
4
6
3
3
− − −
− −
⎡
⎣
⎢
⎢
⎢
⎢
⎢
⎢
⎢
⎢
⎢
⎢
⎤
⎦
⎥
⎥
⎥
⎥
⎥
⎥
⎥
⎥
⎥
⎥
→
k
R R
R R
3 2
−
M01_ENGINEERING_MATHEMATICS-I _CH01_Part A.indd 17 5/30/2016 4:35:10 PM
1.18 ■ Engineering Mathematics
k R4
1
1
2
5
6
3
2
0
1
2
7
6
3
2
0 0
4
6
0
0 0 0 3
− − −
−
⎡
⎣
⎢
⎢
⎢
⎢
⎢
⎢
⎢
⎢
⎤
⎦
⎥
⎥
⎥
⎥
⎥
⎥
⎥
⎥ →
∼
R
R R
4 3
+
= B
Given r(A) = 3. So, the number of non-zero rows of B should be 3.
∴ k − 3 = 0 ⇒ k = 3
Definition 1.26 Elementary Matrix
A matrix obtained from a unit matrix by performing a single elementary row (column) transformation
is called an elementary matrix.
Since unit matrices are non-singular square matrices, elementary matrices are also non-singular.
EXAMPLE 1.24
I3
1 0 0
0 1 0
0 0 1
=
⎡
⎣
⎢
⎢
⎢
⎤
⎦
⎥
⎥
⎥
z
1 0 0
0 1 1
0 0 1 3 3 2
⎡
⎣
⎢
⎢
⎢
⎤
⎦
⎥
⎥
⎥ → +
C C C
This is an elementary matrix.
Similarly,
1 0 0
0 3 0
0 0 1
⎡
⎣
⎢
⎢
⎢
⎤
⎦
⎥
⎥
⎥
got by R2
→ 3R2
is an elementary matrix.
Definition 1.27 Normal form of a Matrix
Any non-zero matrix A of rank r can be reduced by a sequence of elementary transformations to the
form
Ir 0
0 0
⎡
⎣
⎢
⎤
⎦
⎥, where Ir
is a unit matrix of order r.
This form is called a normal form of A.
Other normal forms are Ir
,
Ir
0
⎡
⎣
⎢
⎤
⎦
⎥, [Ir
, 0].
Theorem 1.1
Let A be an m × n matrix of rank r. Then there exist non-singular matrices P and Q of orders m and n
respectively such that PAQ =
Ir 0
0 0
⎡
⎣
⎢
⎤
⎦
⎥
Note Each elementary row transformation of A is equivalent to pre multiplying A by the corresponding
elementary matrix. Each elementary column transformation is equivalent to post multiplying A
by the corresponding elementary matrix. So, there exists elementary matrices P1
, P2
, …, Pk
and
Q1
, Q2
, …, Qt
such that
P1
P2
… Pk
A Q1
Q2
… Qt
=
Ir 0
0 0
⎡
⎣
⎢
⎤
⎦
⎥
M01_ENGINEERING_MATHEMATICS-I _CH01_Part A.indd 18 5/30/2016 4:35:12 PM
Matrices ■ 1.19
⇒ PAQ =
Ir 0
0 0
⎡
⎣
⎢
⎤
⎦
⎥
where P = P1
P2
… Pk
, Q = Q1
Q2
… Qt
Working rule to find normal form and P, Q:
Let A be a non-zero m × n matrix write A = Im
AIn
(which is obviously true). Reduce A on the L. H. S to
normal form by applying elementary row and column transformations on A.
Each elementary row transformation of A will be applied to Im
on R. H. S and each elementary
column transformation of A will be applied to In
on R. H. S.
After a sequence of suitable applications of elementary transformations, we get
Ir 0
0 0
⎡
⎣
⎢
⎤
⎦
⎥ = PAQ.
Then the rank of A is the rank of Ir
= r
WORKED EXAMPLES
EXAMPLE 1
Reduce the matrix
0 1 2 1
1 2 3 1
3 1 1 3
⎡
⎣
⎢
⎢
⎢
⎤
⎦
⎥
⎥
⎥
to normal form and hence find the rank.
Solution.
Let A =
⎡
⎣
⎢
⎢
⎢
⎤
⎦
⎥
⎥
⎥
0 1 2 1
1 2 3 2
3 1 1 3
∼
∼
1 0 2 1
2 1 3 2
1 3 1 3
1 0 0 0
2 1 1 0
1 3 1 2
1 2
3 3
⎡
⎣
⎢
⎢
⎢
⎤
⎦
⎥
⎥
⎥
↔
−
−
⎡
⎣
⎢
⎢
⎢
⎤
⎦
⎥
⎥
⎥
→
C C
C C +
+ −
→ −
( )
2 1
4 4 1
C
C C C
∼
∼
1 0 0 0
0 1 1 0
0 3 1 2
2
1 0 0 0
0 1 0 0
0 3 2 2
2 2 1
3 3 1
−
−
⎡
⎣
⎢
⎢
⎢
⎤
⎦
⎥
⎥
⎥
→ + −
→ −
R R R
R R R
( )
⎡
⎡
⎣
⎢
⎢
⎢
⎤
⎦
⎥
⎥
⎥ → +
⎡
⎣
⎢
⎢
⎢
⎤
⎦
⎥
⎥
⎥ → + −
C C C
R R R
3 3 2
3 3 2
1 0 0 0
0 1 0 0
0 0 2 2 3
1 0 0
∼
∼
( )
0
0
0 1 0 0
0 0 1 1
1
2
3 3
⎡
⎣
⎢
⎢
⎢
⎤
⎦
⎥
⎥
⎥ →
R R
M01_ENGINEERING_MATHEMATICS-I _CH01_Part A.indd 19 5/30/2016 4:35:14 PM
1.20 ■ Engineering Mathematics
1 0 0 0
0 1 0 0
0 0 1 0 4 4 3
⎡
⎣
⎢
⎢
⎢
⎤
⎦
⎥
⎥
⎥ → −
C C C
∼
=
= [ : ]
I3 0
This is the normal form of A and so the r(A) = 3
EXAMPLE 2
Let A 5
2 2
1 1 1
1 1 1
3 1 1
⎡
⎣
⎢
⎢
⎢
⎤
⎦
⎥
⎥
⎥
.Find matrices P and Q such that PAQ is in the normal form.Also find rank
of A.
Solution.
Given A =
− −
⎡
⎣
⎢
⎢
⎢
⎤
⎦
⎥
⎥
⎥ ×
1 1 1
1 1 1
3 1 1 3 3
Consider A = I3
AI3
⇒
1 1 1
1 1 1
3 1 1
1 0 0
0 1 0
0 0 1
1 0 0
0 1 0
0 0 1
− −
⎡
⎣
⎢
⎢
⎢
⎤
⎦
⎥
⎥
⎥
=
⎡
⎣
⎢
⎢
⎢
⎤
⎦
⎥
⎥
⎥
⎡
⎣
⎢
⎢
⎢
⎤
⎦
A ⎥
⎥
⎥
⎥
Our aim is to reduce the LHS matrix to normal form.
Also row operations to be applied to pre factor and column operations to be applied to post factor.
Apply,
and to post factor
C C C
C C C
2 2 1
3 3 1
1 0 0
1 2 2
3 4 4
→ +
→ +
⎡
⎣
⎢
⎢
⎢
⎤
⎦
⎥
⎥
⎥
⎥
=
⎡
⎣
⎢
⎢
⎢
⎤
⎦
⎥
⎥
⎥
⎡
⎣
⎢
⎢
⎢
⎤
⎦
⎥
⎥
⎥
1 0 0
0 1 0
0 0 1
1 1 1
0 1 0
0 0 1
A
R R R
R R R
2 2 1
3 3 1
3
1 0 0
0 2 2
0 4 4
1
→ −
→ + −
⎡
⎣
⎢
⎢
⎢
⎤
⎦
⎥
⎥
⎥
=
( )
and to pre factor
0
0 0
1 1 0
3 0 1
1 1 1
0 1 0
0 0 1
−
−
⎡
⎣
⎢
⎢
⎢
⎤
⎦
⎥
⎥
⎥
⎡
⎣
⎢
⎢
⎢
⎤
⎦
⎥
⎥
⎥
A
R R R
3 3 2
2
1 0 0
0 2 2
0 0 0
1 0 0
1 1 0
1
→ + −
⎡
⎣
⎢
⎢
⎢
⎤
⎦
⎥
⎥
⎥
= −
−
( )
and to pre factor −
−
⎡
⎣
⎢
⎢
⎢
⎤
⎦
⎥
⎥
⎥
⎡
⎣
⎢
⎢
⎢
⎤
⎦
⎥
⎥
⎥
2 1
1 1 1
0 1 0
0 0 1
A
R R
2 2
1
2
1 0 0
0 1 1
0 0 0
1 0 0
1
2
1
2
0
1 2 1
→
⎡
⎣
⎢
⎢
⎢
⎤
⎦
⎥
⎥
⎥
= −
− −
and to pre factor
⎡
⎡
⎣
⎢
⎢
⎢
⎢
⎤
⎦
⎥
⎥
⎥
⎥
⎡
⎣
⎢
⎢
⎢
⎤
⎦
⎥
⎥
⎥
A
1 1 1
0 1 0
0 0 1
M01_ENGINEERING_MATHEMATICS-I _CH01_Part A.indd 20 5/30/2016 4:35:16 PM
Matrices ■ 1.21
C C C
3 3 2
1 0 0
0 1 0
0 0 0
1 0 0
1
2
1
2
0
1
→ −
⎡
⎣
⎢
⎢
⎢
⎤
⎦
⎥
⎥
⎥
= −
− −
and to post factor
2
2 1
1 1 0
0 1 1
0 0 1
⎡
⎣
⎢
⎢
⎢
⎢
⎤
⎦
⎥
⎥
⎥
⎥
−
⎡
⎣
⎢
⎢
⎢
⎤
⎦
⎥
⎥
⎥
A
⇒
I
PAQ
2 0
0 0
⎡
⎣
⎢
⎤
⎦
⎥ =
This shows r(A) = 2, and
P Q
= −
− −
⎡
⎣
⎢
⎢
⎢
⎢
⎤
⎦
⎥
⎥
⎥
⎥
= −
⎡
⎣
⎢
⎢
⎢
⎤
⎦
⎥
⎥
⎥
1 0 0
1
2
1
2
0
1 2 1
1 1 0
0 1 1
0 0 1
,
EXAMPLE 3
Let A 5
2 2
2
2
1 1 1 2
4 2 2 1
2 2 0 2
⎡
⎣
⎢
⎢
⎢
⎤
⎦
⎥
⎥
⎥
. Find the non-singular matrices P and Q, such that PAQ is in the
normal form.Also find the rank of A.
Solution.
Given A =
− −
−
−
⎡
⎣
⎢
⎢
⎢
⎤
⎦
⎥
⎥
⎥ ×
1 1 1 2
4 2 2 1
2 2 0 2 3 4
Consider A = I3
AI4
⇒
1 1 1 2
4 2 2 1
2 2 0 2
1 0 0
0 1 0
0 0 1
1 0 0 0
0 1 0 0
0 0 1
− −
−
−
⎡
⎣
⎢
⎢
⎢
⎤
⎦
⎥
⎥
⎥
=
⎡
⎣
⎢
⎢
⎢
⎤
⎦
⎥
⎥
⎥
A
0
0
0 0 0 1
⎡
⎣
⎢
⎢
⎢
⎢
⎤
⎦
⎥
⎥
⎥
⎥
Our aim is to reduce the LHS matrix to normal form. Also row operations to be applied to pre factor
and column operations to be applied to post factor.
C C C
C C C
C C C
2 2 1
3 3 1
4 4 1
2
1 0 0 0
4 6 6 9
2 4 2
→ +
→ +
→ + −
−
( )
and to post factor
−
−
⎡
⎣
⎢
⎢
⎢
⎤
⎦
⎥
⎥
⎥
=
⎡
⎣
⎢
⎢
⎢
⎤
⎦
⎥
⎥
⎥
−
⎡
⎣
⎢
⎢
⎢
⎢
⎤
6
1 0 0
0 1 0
0 0 1
1 1 1 2
0 1 0 0
0 0 1 0
0 0 0 1
A
⎦
⎦
⎥
⎥
⎥
⎥
R R R
R R R
2 2 1
3 3 1
4
2
1 0 0 0
0 6 6 9
0 4 2 6
→ + −
→ + − −
−
⎡
⎣
⎢
( )
( )
and to pre factor
⎢
⎢
⎢
⎤
⎦
⎥
⎥
⎥
= −
−
⎡
⎣
⎢
⎢
⎢
⎤
⎦
⎥
⎥
⎥
−
⎡
⎣
⎢
⎢
⎢
⎢
⎤
⎦
⎥
⎥
1 0 0
4 1 0
2 0 1
1 1 1 2
0 1 0 0
0 0 1 0
0 0 0 1
A
⎥
⎥
⎥
M01_ENGINEERING_MATHEMATICS-I _CH01_Part A.indd 21 5/30/2016 4:35:18 PM
1.22 ■ Engineering Mathematics
R R
R R
2 2
3 3
1
3
1
2
1 0 0 0
0 2 2 3
0 2 1 3
1 0
→
→
−
−
⎡
⎣
⎢
⎢
⎢
⎤
⎦
⎥
⎥
⎥
=
and to pre factor
0
0
4
3
1
3
0
1 0
1
2
1 1 1 2
0 1 0 0
0 0 1 0
0 0 0 1
−
−
⎡
⎣
⎢
⎢
⎢
⎢
⎢
⎢
⎤
⎦
⎥
⎥
⎥
⎥
⎥
⎥
−
⎡
⎣
⎢
⎢
⎢
⎢
⎤
⎦
⎥
⎥
⎥
A
⎥
⎥
C C C
4 4 2
3
2
1 0 0 0
0 2 2 0
0 2 1 0
1 0 0
4
3
1
→ +
⎡
⎣
⎢
⎢
⎢
⎤
⎦
⎥
⎥
⎥
= −
and to post factor
3
3
0
1 0
1
2
1 1 1
1
2
0 1 0
3
2
0 0 1 0
0 0 0 1
−
⎡
⎣
⎢
⎢
⎢
⎢
⎢
⎢
⎤
⎦
⎥
⎥
⎥
⎥
⎥
⎥
−
⎡
⎣
⎢
⎢
⎢
⎢
⎢
⎢
⎢
⎤
⎦
⎥
⎥
⎥
A ⎥
⎥
⎥
⎥
⎥
C C C
3 3 2
1 0 0 0
0 2 0 0
0 2 1 0
1 0 0
4
3
1
3
→ −
−
⎡
⎣
⎢
⎢
⎢
⎤
⎦
⎥
⎥
⎥
= −
and to post factor
0
0
1 0
1
2
1 1 0
1
2
0 1 1
3
2
0 0 1 0
0 0 0 1
−
⎡
⎣
⎢
⎢
⎢
⎢
⎢
⎢
⎤
⎦
⎥
⎥
⎥
⎥
⎥
⎥
−
−
⎡
⎣
⎢
⎢
⎢
⎢
⎢
⎢
⎢
⎤
⎦
⎥
⎥
⎥
A ⎥
⎥
⎥
⎥
⎥
R R R
3 3 2
1 0 0 0
0 2 0 0
0 0 1 0
1 0 0
4
3
1
3
0
→ −
−
⎡
⎣
⎢
⎢
⎢
⎤
⎦
⎥
⎥
⎥
= −
and to pre factor
1
1
3
1
3
1
2
1 1 0
1
2
0 1 1
3
2
0 0 1 0
0 0 0 1
−
⎡
⎣
⎢
⎢
⎢
⎢
⎢
⎢
⎢
⎤
⎦
⎥
⎥
⎥
⎥
⎥
⎥
⎥
−
−
⎡
⎣
⎢
⎢
⎢
⎢
⎢
⎢
⎢
⎤
⎦
A
⎥
⎥
⎥
⎥
⎥
⎥
⎥
⎥
R R
R R
2 2
3 3
1
2
1
1 0 0 0
0 1 0 0
0 0 1 0
1 0
→
→ −
⎡
⎣
⎢
⎢
⎢
⎤
⎦
⎥
⎥
⎥
=
( )
and to pre factor
0
0
2
3
1
6
0
1
3
1
3
1
2
1 1 0
1
2
0 1 1
3
2
0 0 1 0
0 0 0 1
−
− −
⎡
⎣
⎢
⎢
⎢
⎢
⎢
⎢
⎢
⎤
⎦
⎥
⎥
⎥
⎥
⎥
⎥
⎥
−
−
⎡
⎣
⎢
A
⎢
⎢
⎢
⎢
⎢
⎢
⎢
⎤
⎦
⎥
⎥
⎥
⎥
⎥
⎥
⎥
⇒ [I3
: 0] = PAQ,
where P Q
= −
− −
⎡
⎣
⎢
⎢
⎢
⎢
⎢
⎢
⎢
⎤
⎦
⎥
⎥
⎥
⎥
⎥
⎥
⎥
=
−
−
1 0 0
2
3
1
6
0
1
3
1
3
1
2
1 1 0
1
2
0 1 1
3
2
0 0 1 0
0 0
,
0
0 1
⎡
⎣
⎢
⎢
⎢
⎢
⎢
⎢
⎢
⎤
⎦
⎥
⎥
⎥
⎥
⎥
⎥
⎥
and the rank of A = 3
Remark: To find the rank of a matrix, the simplest method is to reduce to row echelon form.
M01_ENGINEERING_MATHEMATICS-I _CH01_Part A.indd 22 5/30/2016 4:35:19 PM
Matrices ■ 1.23
EXERCISE 1.2
Find the rank of the following matrices reducing to echelon form.
1.
2 3 1 1
1 1 2 4
3 1 3 2
6 3 0 7
− −
− − −
−
−
⎡
⎣
⎢
⎢
⎢
⎢
⎤
⎦
⎥
⎥
⎥
⎥
2.
0 1 3 1
1 0 1 1
3 1 0 2
1 1 2 0
− −
−
⎡
⎣
⎢
⎢
⎢
⎢
⎤
⎦
⎥
⎥
⎥
⎥
3.
1 2 3 0
2 4 3 2
3 2 1 3
6 8 7 5
⎡
⎣
⎢
⎢
⎢
⎢
⎤
⎦
⎥
⎥
⎥
⎥
4.
4 3 0 2
3 4 1 3
7 7 1 5
−
−
− −
⎡
⎣
⎢
⎢
⎢
⎤
⎦
⎥
⎥
⎥
5.
1 2 1 3
4 1 2 1
3 1 1 2
1 2 0 1
−
−
⎡
⎣
⎢
⎢
⎢
⎢
⎤
⎦
⎥
⎥
⎥
⎥
6.
1 1 2 1
1 1 2 1
1 2 1 1
1 3 0 3
1 1 2 3
− − −
−
−
⎡
⎣
⎢
⎢
⎢
⎢
⎢
⎢
⎤
⎦
⎥
⎥
⎥
⎥
⎥
⎥
7.
1 1 1 1
1 3 2 1
2 0 3 2
3 3 3 3
−
−
−
⎡
⎣
⎢
⎢
⎢
⎢
⎤
⎦
⎥
⎥
⎥
⎥
8.
1 2 2 3
2 5 4 6
1 3 2 2
2 4 4 6
−
−
− − −
−
⎡
⎣
⎢
⎢
⎢
⎢
⎤
⎦
⎥
⎥
⎥
⎥
9.
3 1 5 1
1 2 1 5
1 5 7 2
− −
− −
−
⎡
⎣
⎢
⎢
⎢
⎤
⎦
⎥
⎥
⎥
10. Find the rank of the matrix A =
⎡
⎣
⎢
⎢
⎢
⎤
⎦
⎥
⎥
⎥
1 3 4 3
3 9 12 3
1 3 4 1
, by reducing to an echelon matrix.
11. Find the rank of the matrix A =
− − −
⎡
⎣
⎢
⎢
⎢
⎤
⎦
⎥
⎥
⎥
2 1 1
12 8 6
10 5 6
.
12. Reduce the matrix
2 1 3 6
3 3 1 2
1 1 1 2
− −
−
⎡
⎣
⎢
⎢
⎢
⎤
⎦
⎥
⎥
⎥
to normal form and hence find the rank.
13. Find the values of k if the rank of
4 4 3 1
1 1 1 0
2 2 2
9 9 3
−
−
⎡
⎣
⎢
⎢
⎢
⎢
⎤
⎦
⎥
⎥
⎥
⎥
k
k
is 3.
14. Find the values of a and b if the matrix
2 1 1 3
1 1 2 4
7 1
−
−
−
⎡
⎣
⎢
⎢
⎢
⎤
⎦
⎥
⎥
⎥
a b
is of rank 2.
15. Find the values of a and b if the matrix
1 2 3 1
2 1 1 2
6 2
−
−
−
⎡
⎣
⎢
⎢
⎢
⎤
⎦
⎥
⎥
⎥
a b
is of rank 2.
16. Reduce to normal form and find the rank of
1 1 2 3
4 1 0 2
0 3 1 4
0 1 0 2
− −
⎡
⎣
⎢
⎢
⎢
⎢
⎤
⎦
⎥
⎥
⎥
⎥
.
M01_ENGINEERING_MATHEMATICS-I _CH01_Part A.indd 23 5/30/2016 4:35:23 PM
1.24 ■ Engineering Mathematics
17. Reduce to normal form and find the rank of
0 1 2 1
1 2 3 2
3 1 1 3
⎡
⎣
⎢
⎢
⎢
⎤
⎦
⎥
⎥
⎥
.
18. If A =
− −
⎡
⎣
⎢
⎢
⎢
⎤
⎦
⎥
⎥
⎥
1 1 2
1 2 3
0 1 1
, then find non-singular matrices P and Q such that PAQ is in normal form and find its
rank.
ANSWERS TO EXERCISE 1.2
1. 3 2. 2 3. 3 4. 2 5. 3
6. 3 7. 3 8. 3 9. 3 10. 2
11. 3 12. 3 13. k = 2 14. a = 4, b = 18 15. a = 4, b = 6
16. [I4
, 0], rank = 4 17. [I3
, 0], rank = 3
18. P Q
= −
−
⎡
⎣
⎢
⎢
⎢
⎤
⎦
⎥
⎥
⎥
=
− −
−
⎡
⎣
⎢
⎢
⎢
⎤
⎦
⎥
⎥
⎥
1 0 0
1 1 0
1 1 1
1 1 1
0 1 1
0 0 1
, and rank = 2.
1.4 SOLUTION OF SYSTEM OF LINEAR EQUATIONS
There are many problems in science and engineering whose solution often depends upon a system of
linear equations.
The equation a1
x1
+ a2
x2
+ … + an
xn
= b is called a non-homogeneous linear equation in n variables
x1
, x2
, …, xn
where b ≠ 0 and at least one ai
≠ 0.
If b = 0, then the equation a1
x1
+ a2
x2
+ … + an
xn
= 0 is called a homogenous linear equation in
x1
, x2
, …, xn
.
1.4.1 Non-homogeneous System of Equations
Consider the system of m linear equations in n variables x1
, x2
, …, xn
a11
x1
+ a12
x2
+ … + a1n
xn
= b1
a21
x1
+ a22
x2
+ … + a2n
xn
= b2
:
am1
x1
+ am2
x2
+ … + amn
xn
= bm
, where at least one bi
≠ 0
If A
a a a
a a a
a a a
B
b
b
b
n
n
m m mn m
=
⎡
⎣
⎢
⎢
⎢
⎢
⎤
⎦
⎥
⎥
⎥
⎥
=
⎡
11 12 1
21 22 2
1 2
1
2
…
…
…
: : : :
,
⎣
⎣
⎢
⎢
⎢
⎢
⎤
⎦
⎥
⎥
⎥
⎥
=
⎡
⎣
⎢
⎢
⎢
⎢
⎤
⎦
⎥
⎥
⎥
⎥
, ,
X
x
x
xn
1
2
:
then the system of equations can be written as a single matrix equation AX = B.
The matrix A is called the coefficient matrix.
A solution of the system is a set of values of x1
, x2
, …, xn
which satisfy the m equations.
The system of equations is said to be consistent if it has at least one solution.
If the system has no solution, then the system of equations is said to be inconsistent.
The condition for the consistency of the system is given by Rouche’s theorem.
We shall state the theorem without proof.
M01_ENGINEERING_MATHEMATICS-I _CH01_Part A.indd 24 5/30/2016 4:35:24 PM
Matrices ■ 1.25
Theorem 1.2 Rouche’s Theorem The system of linear equations AX = B is consistent if and only if the
coefficient matrix A and the augmented matrix [A, B] have the same rank. That is., r(A) = r([A, B])
Working rule:
Let AX = B represent a system of m equations in n variables.
1. Write down the coefficient matrix A and the augmented matrix [A, B]. Find r(A), r([A, B])
2. If r(A) ≠ r([A, B]), then the system is inconsistent. That is it has no solution.
3. If r(A) = r([A, B]) = n, the number of variables, then the system is consistent with unique solution.
4. If r(A) = r([A, B])  n, the number of variables, then the system is consistent with infinite number
of solutions.
If the rank is r, then in this case the solution set will contain n − r parameters or arbitrary constants.
To get the solutions we assign arbitrary values to n − r variables and write down the solutions in
terms of them.
Forexample,thesystemx+y+z=1,2x−y+3z=−1,2x+5y+z=5isconsistentwithinfinitenumberof
solutions.
Here r = 2, n = 3.
∴ the solution set will contain n − r = 3 − 2 = 1 parameter.
We assign an arbitrary value to one variable, say y.
Put y = k and solve for x and z in terms of k.
The solution set is
x = 4 + 2k, y = k, z = −3 − 3k,
where k is any real number.
Note
If m = n, then A is a square matrix and the system of equations AX = B has unique solution if A is
non-singular. That is., A ≠ 0, then r(A) = number of variables n.
The unique solution is X = A−1
B.
1.4.2 Homogeneous System of Equations
Consider the homogeneous system
a11
x1
+ a12
x2
+ … + a1n
xn
= 0
a21
x1
+ a22
x2
+ … + a2n
xn
= 0
:
am1
x1
+ am2
x2
+ … + amn
xn
= 0
If A
a a a
a a a
a a a
X
x
x
x
n
n
m m mn n
=
⎡
⎣
⎢
⎢
⎢
⎢
⎤
⎦
⎥
⎥
⎥
⎥
=
11 12 1
21 22 2
1 2
1
2
…
…
…
: : : :
,
⎡
⎡
⎣
⎢
⎢
⎢
⎢
⎤
⎦
⎥
⎥
⎥
⎥
, then the matrix equation is AX = 0.
For this system x1
= 0, x2
= 0, …, xn
= 0 is always a solution. This is called the trivial solution.
If A ≠ 0, the r(A) = n and the only solution is the trivial solution. So, the condition for
non-trivial solution is A = 0 (or r(A)  n).
In solving equations we use only row operations.
M01_ENGINEERING_MATHEMATICS-I _CH01_Part A.indd 25 5/30/2016 4:35:26 PM
1.26 ■ Engineering Mathematics
1.4.3 Type 1: Solution of Non-homogeneous System of Equations
WORKED EXAMPLES
(A) Non-homogeneous system with unique solution
EXAMPLE 1
Test for consistency and solve 2x 2 y 1 z 5 7, 3x 1 y 2 5z 5 13, x 1 y 1 z 5 5.
Solution.
The given equations are
x + y + z = 5
2x − y + z = 7
3x + y − 5z = 13
We have rearranged the equation for convenience in reducing to row echelon form.
The coefficient matrix is A = −
−
⎡
⎣
⎢
⎢
⎢
⎤
⎦
⎥
⎥
⎥
1 1 1
2 1 1
3 1 5
and the augmented matrix is
[ , ]
:
:
:
:
:
:
A B = −
−
⎡
⎣
⎢
⎢
⎢
⎤
⎦
⎥
⎥
⎥
− − −
− − −
⎡
⎣
1 1 1 5
2 1 1 7
3 1 5 13
1 1 1 5
0 3 1 3
0 2 8 2
∼ ⎢
⎢
⎢
⎢
⎤
⎦
⎥
⎥
⎥
→ −
→ −
R R R
R R R
2 2 1
3 3 1
2
3
∼
∼
1 1 1 5
0 1
1
3
1
0 1 4 1
1
3
1
2
1 1 1 5
0 1
1
3
2 2
3 3
:
:
:
:
:
− − −
⎡
⎣
⎢
⎢
⎢
⎢
⎤
⎦
⎥
⎥
⎥
⎥
→ −
→
R R
R R
1
1
0 0
11
3
0 3 3 2
−
⎡
⎣
⎢
⎢
⎢
⎢
⎢
⎢
⎢
⎤
⎦
⎥
⎥
⎥
⎥
⎥
⎥
⎥
→ +
: R R R
From the last matrix, we find
A ∼
1 1 1
0 1
1
3
0 0
11
3
−
⎡
⎣
⎢
⎢
⎢
⎢
⎢
⎢
⎢
⎤
⎦
⎥
⎥
⎥
⎥
⎥
⎥
⎥
M01_ENGINEERING_MATHEMATICS-I _CH01_Part A.indd 26 5/30/2016 4:35:27 PM
Matrices ■ 1.27
The number of non-zero rows in the equivalent matrices of A and [A, B] are 3.
∴ r(A) = 3, r([A, B]) = 3
⇒ r(A) = r([A, B]) = 3, the number of variables.
So, the equations are consistent with unique solution.
From the reduced matrix [A, B], we find the given equations are equivalent to
x + y + z = 5, y +
1
3
z = 1 and −
11
3
z = 0 ⇒ z = 0
∴ y = 1 and x + 1 + 0 = 5 ⇒ x = 4.
So, the unique solution is x = 4, y = 1, z = 0.
EXAMPLE 2
Test for the consistency and solve x 1 2y 1 z 5 3, 2x 1 3y 1 2z 5 5, 3x 2 5y 1 5z 5 2,
3x 1 9y 2 z 5 4.
Solution.
The given equations are
x + 2y + z = 3
2x + 3y + 2z = 5
3x − 5y + 5z = 2
3x + 9y − z = 4.
The coefficient matrix is A =
−
−
⎡
⎣
⎢
⎢
⎢
⎢
⎤
⎦
⎥
⎥
⎥
⎥
1 2 1
2 3 2
3 5 5
3 9 1
The augmented matrix is
[ , ]
:
:
:
:
:
:
A B = ∼
1 2 1 3
2 3 2 5
3 5 5 2
3 9 1 4
1 2 1 3
0 1 0 1
0 11 2
−
−
⎡
⎣
⎢
⎢
⎢
⎢
⎤
⎦
⎥
⎥
⎥
⎥
− −
− :
:
:
:
−
− −
⎡
⎣
⎢
⎢
⎢
⎢
⎤
⎦
⎥
⎥
⎥
⎥
→ −
→ −
→ −
−
7
0 3 4 5
2
3
3
1 2 1 3
0
2 2 1
3 3 1
4 4 1
R R R
R R R
R R R
∼
1
1 0 1
0 0 2 4
0 0 4 8
11
3
1 2 1 3
0 1
3 3 2
4 4 2
:
:
:
:
−
− −
⎡
⎣
⎢
⎢
⎢
⎢
⎤
⎦
⎥
⎥
⎥
⎥
→ −
→ +
−
R R R
R R R
∼
0
0 1
0 0 1 2
0 0 1 2
1
2
1
4
3 3
4 4
:
:
:
−
⎡
⎣
⎢
⎢
⎢
⎢
⎤
⎦
⎥
⎥
⎥
⎥
→
→ −
R R
R R
M01_ENGINEERING_MATHEMATICS-I _CH01_Part A.indd 27 5/30/2016 4:35:28 PM
1.28 ■ Engineering Mathematics
⇒ [ , ]
:
:
:
:
A B
R R R
∼
1 2 1 3
0 1 0 1
0 0 1 2
0 0 0 0 4 4 3
− −
⎡
⎣
⎢
⎢
⎢
⎢
⎤
⎦
⎥
⎥
⎥
⎥
→ −
From this last matrix we find
A ∼
1 2 1
0 1 0
0 0 1
0 0 0
−
⎡
⎣
⎢
⎢
⎢
⎢
⎤
⎦
⎥
⎥
⎥
⎥
The number of non-zero rows in the equivalent matrices of A and [A B] are 3.
∴ r(A) = 3, r([A, B]) = 3
⇒ r(A) = r([A, B]) = 3, the number of variables.
So, the equations are consistent with unique solution
From the reduced matrix [A, B], we find the given equations are equivalent to
x + 2y + z = 3, −y = −1 and z = 2
∴ y = 1, z = 2 and so x + 2 ⋅ 1 + 2 = 3 ⇒ x = −1
So, the unique solution is x = −1, y = 1, z = 2.
EXAMPLE 3
Solve x2
yz 5 e, xy2
z3
5 e, x3
y2
z 5 e using matrices.
Solution.
The given equations are
x2
yz = e (1)
xy2
z3
= e (2)
x3
y2
z = e (3)
Taking logarithm to the base e on both sides of (1), (2) and (3), we get
and
log log log log log
log log log
lo
e e e e e
e e e
x yz e x y z
x y z
2 2
1
2 1
= ⇒ + + =
⇒ + + =
g
g log log log log
log log log
e e e e e
e e
xy z e x y z
x y z e x
2 3
3 2
2 3 1
3
= ⇒ + + =
= ⇒ + 2
2 1
log log
e e
y z
+ =
For simplicity, put x1
= loge
x, y1
= loge
y, z1
= loge
z
∴ the equations are 2x1
+ y1
+ z1
= 1
x1
+ 2y1
+ 3z1
= 1
3x1
+ 2y1
+ z1
= 1
The coefficient matrix is A =
⎡
⎣
⎢
⎢
⎢
⎤
⎦
⎥
⎥
⎥
2 1 1
1 2 3
3 2 1
M01_ENGINEERING_MATHEMATICS-I _CH01_Part A.indd 28 5/30/2016 4:35:29 PM
Matrices ■ 1.29
The augmented matrix is
[ , ]
:
:
:
A B =
⎡
⎣
⎢
⎢
⎢
⎤
⎦
⎥
⎥
⎥
2 1 1 1
1 2 3 1
3 2 1 1
∼
∼
1 2 3 1
2 1 1 1
3 2 1 1
1 2 3 1
0 3 5 1
0 4 8 2
1 2
:
:
:
:
:
:
⎡
⎣
⎢
⎢
⎢
⎤
⎦
⎥
⎥
⎥
↔
− − −
− − −
⎡
⎣
⎢
⎢
⎢
R R
⎤
⎤
⎦
⎥
⎥
⎥
→ −
→ −
R R R
R R R
2 2 1
3 3 1
2
3
⇒ − − −
− −
⎡
⎣
⎢
⎢
⎢
⎢
A B
1 2 3 1
0 3 5 1
0 0
4
3
2
3
[ , ]
:
:
:
∼
⎢
⎢
⎤
⎦
⎥
⎥
⎥
⎥
⎥ → −
R R R
3 3 2
4
3
From the last matrix, we find A ∼
1 2 3
0 3 5
0 0
4
3
− −
−
⎡
⎣
⎢
⎢
⎢
⎢
⎤
⎦
⎥
⎥
⎥
⎥
The number of non-zero rows in the equivalent matrices of A and [A, B] are 3.
∴ r(A) = 3, r([A, B]) = 3
⇒ r(A) = r([A, B]) = 3, the number of variables.
So, the equations are consistent with unique solution.
From the reduced matrix [A, B], we find that the given equations are equivalent to
x1
+ 2y1
+ 3z1
= 1 (4)
−3y1
− 5z1
= −1 (5)
and − = − ⇒ =
4
3
2
3
1
2
1 1
z z
Substituting in (5), we get
− − ⋅ = − ⇒ = − = − ⇒ = −
3 5
1
2
1 3 1
5
2
3
2
1
2
1 1 1
y y y
Substituting in (4) we get
⇒
∴
x x x
x x x e
e
1 1 1
1
1
2
1
2
3
1
2
1
1
2
1 1
1
2
1
2
1
2
1
2
+ −
⎛
⎝
⎜
⎞
⎠
⎟ + ⋅ = ⇒ + = ⇒ = − =
= ⇒ = ⇒ =
log 2
2
1
1
2
1
1
2
1
2
1
2
1
1
2
1
2
=
= − ⇒ = − ⇒ = =
= ⇒ = ⇒ = =
−
e
y y y e
e
z z z e e
e
e
log
log
M01_ENGINEERING_MATHEMATICS-I _CH01_Part A.indd 29 5/30/2016 4:35:31 PM
1.30 ■ Engineering Mathematics
So, the unique solution is
x e y
e
z e
= = =
, ,
1
.
(B) Non-homogeneous system with infinite number of solutions
EXAMPLE 4
By investigating the rank of relevant matrices, show that the following equations possess a one
parameter family of solutions: 2x 2 y 2 z 5 2, x 12y 1 z 5 2, 4x 2 7y 2 5z 5 2.
Solution.
The given equations are
x +2y + z = 2
2x − y − z = 2
4x − 7y − 5z = 2
The coefficient matrix is A = − −
− −
⎡
⎣
⎢
⎢
⎢
⎤
⎦
⎥
⎥
⎥
1 2 1
2 1 1
4 7 5
The augmented matrix is
[ , ]
:
:
:
:
:
:
A B = − −
− −
⎡
⎣
⎢
⎢
⎢
⎤
⎦
⎥
⎥
⎥
− − −
− − −
1 2 1 2
2 1 1 2
4 7 5 2
1 2 1 2
0 5 3 2
0 15 9 6
∼
⎡
⎡
⎣
⎢
⎢
⎢
⎤
⎦
⎥
⎥
⎥
→ −
→ −
− − −
⎡
⎣
⎢
⎢
⎢
⎤
⎦
⎥
⎥
⎥
R R R
R R R
2 2 1
3 3 1
2
4
1 2 1 2
0 5 3 2
0 0 0 0
∼
:
:
: R
R R R
3 3 2
3
→ −
From the last matrix we find A ∼
1 2 1
0 5 3
0 0 0
− −
⎡
⎣
⎢
⎢
⎢
⎤
⎦
⎥
⎥
⎥
The number of non-zero rows of equivalent matrices of A and [A, B] are 2
∴ r(A) = 2, r([A, B]) = 2
⇒ r(A) = r([A, B]) = 2  the number of variables 3.
So, the equations are consistent with infinite number of solutions involving one parameter,
since n − r = 3 − 2 = 1.
From the reduced matrix [A, B], we find that the given equations are equivalent to
x + 2y + z = 2 (1)
− 5y − 3z = − 2 ⇒ 5y + 3z = 2 (2)
Assign arbitrary value to one of the variables.
Put z = k in (2) ∴ 5y + 3k = 2 ⇒ y
k
=
−
2 3
5
M01_ENGINEERING_MATHEMATICS-I _CH01_Part A.indd 30 5/30/2016 4:35:33 PM
Matrices ■ 1.31
Substituting in (1), we get,
x
k
k
x
k
k
k k k
+
−
+ =
= −
−
− =
− + −
=
+
2 2 3
5
2
2
2 2 3
5
10 4 6 5
5
6
5
( )
( )
∴ the solution set is x k
= +
1
5
6
( ), y k z k
= − =
1
5
2 3
( ), , where k is any real number.
EXAMPLE 5
Solve, if the equations are consistent: x 2 y 1 2z 5 1, 3x 1 y 1 z 5 4, x 1 3y 23z 5 2,
5x 2 y 1 5z 5 6.
Solution.
The given equations are
x − y + 2z = 1
3x + y + z = 4
x + 3y − 3z = 2
5x − y + 5z = 6
The coefficient matrix is A =
−
−
−
⎡
⎣
⎢
⎢
⎢
⎢
⎤
⎦
⎥
⎥
⎥
⎥
1 1 2
3 1 1
1 3 3
5 1 5
The augmented matrix is
[ , ]
:
:
:
:
:
:
A B =
−
−
−
⎡
⎣
⎢
⎢
⎢
⎢
⎤
⎦
⎥
⎥
⎥
⎥
−
−
−
1 1 2 1
3 1 1 4
1 3 3 2
5 1 5 6
1 1 2 1
0 4 5 1
0 4 5
∼
:
:
:
:
1
0 4 5 1
3
5
1 1 2 1
0 4 5
2 2 1
3 3 1
4 4 1
−
⎡
⎣
⎢
⎢
⎢
⎢
⎤
⎦
⎥
⎥
⎥
⎥
→ −
→ −
→ −
−
−
R R R
R R R
R R R
∼
:
:
:
:
1
0 0 0 0
0 0 0 0
3 3 2
4 4 2
⎡
⎣
⎢
⎢
⎢
⎢
⎤
⎦
⎥
⎥
⎥
⎥
→ −
→ −
R R R
R R R
From the last matrix, we find A ∼
1 1 2
0 4 5
0 0 0
0 0 0
−
−
⎡
⎣
⎢
⎢
⎢
⎢
⎤
⎦
⎥
⎥
⎥
⎥
The number of non-zero rows of the equivalent matrices of A and [A, B] are 2.
⇒
M01_ENGINEERING_MATHEMATICS-I _CH01_Part A.indd 31 5/30/2016 4:35:34 PM
1.32 ■ Engineering Mathematics
∴ r(A) = 2, r([A, B]) = 2
⇒ r(A) = r([A, B]) = 2  3, the number of variables.
So, the equations are consistent with infinite number of solutions involving one parameter,
since n − r = 3 − 2 = 1.
From reduced matrix [A, B], we find that the given equations are equivalent to
x − y + 2z = 1 (1)
4y − 5z = 1 (2)
Put z = k, in (2) then 4y − 5k = 1 ⇒ y
k
=
+
1 5
4
Substituting in (1), we get
x
k
k x
k
k
k k k
−
1 5
4
2 1 1
1 5
4
2
4 1 5 8
4
5 3
4
+
+ = ⇒ = +
+
− =
+ + −
=
−
∴ the solution set is
x
k
y
k
z k
=
−
=
+
=
5 3
4
1 5
4
, , , where k is any real number.
EXAMPLE 6
Test the consistency of the system of equations and solve, if consistent: x1
1 2x2
2 x3
2 5x4
5 4,
x1
1 3x2
2 2x3
2 7x4
5 5, 2x1
2 x2
1 3x3
5 3.
Solution.
The given equations are
x1
+ 2x2
− x3
− 5x4
= 4
x1
+ 3x2
− 2x3
− 7x4
= 5
2x1
− x2
+ 3x3
+ 0x4
= 3
The coefficient matrix is A =
− −
− −
−
⎡
⎣
⎢
⎢
⎢
⎤
⎦
⎥
⎥
⎥
1 2 1 5
1 3 2 7
2 1 3 0
The augmented matrix is
[ , ]
:
:
:
:
:
A B =
− −
− −
−
⎡
⎣
⎢
⎢
⎢
⎤
⎦
⎥
⎥
⎥
− −
− −
−
1 2 1 5 4
1 3 2 7 5
2 1 3 0 3
1 2 1 5 4
0 1 1 2 1
0
∼
5
5 5 10 5 2
1 2 1 5 4
0 1 1 2 1
0 0 0 0 0
2 2 1
3 3 1
:
:
:
:
−
⎡
⎣
⎢
⎢
⎢
⎤
⎦
⎥
⎥
⎥
→ −
→ −
− −
− −
R R R
R R R
∼
⎡
⎡
⎣
⎢
⎢
⎢
⎤
⎦
⎥
⎥
⎥ → +
R R R
3 3 2
5
From the last matrix, we find
A ∼
1 2 1 5
0 1 1 2
0 0 0 0
− −
− −
⎡
⎣
⎢
⎢
⎢
⎤
⎦
⎥
⎥
⎥
M01_ENGINEERING_MATHEMATICS-I _CH01_Part A.indd 32 5/30/2016 4:35:36 PM
Matrices ■ 1.33
The number of non-zero rows of the equivalent matrices of A and [A, B] are 2.
∴ r(A) = 2, r([A, B]) = 2
⇒ r(A) = r([A, B]) = 2  4, the number of variables.
So, the equations are consistent with infinite number of solutions containing two parameters,
since n − r = 4 − 2 = 2.
From the reduced matrix of [A, B] we find that the given equations are equivalent to
x1
+ 2x2
− x3
− 5x4
= 4 (1)
and x2
− x3
− 2x4
= 1 (2)
Put x3
= k1
, x4
= k2
, then (2) ⇒ x2
− k1
− 2k2
= 1 ⇒ x2
= 1 + k1
+ 2k2
Substituting in (1), we get
x1
+ 2(1 + k1
+ 2k2
) − k1
− 5k2
= 4
⇒ x1
+ 2 + 2k1
+ 4k2
− k1
− 5k2
= 4
⇒ x1
+ k1
− k2
= 2 ⇒ x1
= 2 − k1
+ k2
∴ the solution set is
x1
= 2 − k1
+ k2
, x2
= 1 + k1
+ 2k2
, x3
= k1
, x4
= k2
, where k1
, k2
are any real numbers.
(C) Non-homogeneous system with no solution
EXAMPLE 7
Examine for the consistency of the following equations 2x 1 6y 1 11 5 0, 6x 1 20y 2 6z 1 3 5 0,
6y 2 18z 1 1 5 0.
Solution.
The given equations are
2x + 6y + 0z = −11
6x + 20y − 6z = −3
0x + 6y − 18z = −1
The coefficient matrix is A = −
−
⎡
⎣
⎢
⎢
⎢
⎤
⎦
⎥
⎥
⎥
2 6 0
6 20 6
0 6 18
The augmented matrix is
[ , ]
:
:
:
:
:
A B =
−
− −
− −
⎡
⎣
⎢
⎢
⎢
⎤
⎦
⎥
⎥
⎥
−
− −
2 6 0 11
6 20 6 3
0 6 18 1
1 3 0
11
2
6 20 6 3
0 6
∼
−
− −
⎡
⎣
⎢
⎢
⎢
⎢
⎤
⎦
⎥
⎥
⎥
⎥
→
18 1
1
2
1 1
:
R R
M01_ENGINEERING_MATHEMATICS-I _CH01_Part A.indd 33 5/30/2016 4:35:37 PM
1.34 ■ Engineering Mathematics
−
−
− −
⎡
⎣
⎢
⎢
⎢
⎢
⎤
⎦
1 3 0
11
2
0 2 6 30
0 6 18 1
:
:
:
∼
⎥
⎥
⎥
⎥
⎥
→ −
R R R
2 2 1
6
⇒ [ , ]
:
:
:
A B
R R R
∼
1 3 0
11
2
0 2 6 30
0 0 0 91 3
3 3 2
−
−
−
⎡
⎣
⎢
⎢
⎢
⎢
⎤
⎦
⎥
⎥
⎥
⎥ → −
From the last matrix, we find A ∼
1 3 0
0 2 6
0 0 0
−
⎡
⎣
⎢
⎢
⎢
⎤
⎦
⎥
⎥
⎥
The number of non-zero rows in the equivalent matrices of A and [A, B] are 2 and 3 respectively.
∴ r(A) = 2, r([A, B]) = 3
⇒ r(A) ≠ r([A, B]).
Hence, the equations are inconsistent and the system has no solution.
1.4.4 Type 2: Solution of Non-homogeneous Linear Equations Involving Arbitrary
Constants
WORKED EXAMPLES
EXAMPLE 1
Show that the system of equations 3x 2 y 1 4z 5 3, x 1 2y 2 3z 5 22, 6x 1 5y 1 lz 5 23 has
at least one solution for any real number l. Find the set of solutions when l 5 25.
Solution.
The given equations are
x + 2y − 3z = −2,
3x − y + 4z = 3
6x + 5y + lz = −3
The coefficient matrix is A =
−
−
⎡
⎣
⎢
⎢
⎢
⎤
⎦
⎥
⎥
⎥
1 2 3
3 1 4
6 5 l
and the augmented matrix is
[ , ]
:
:
:
:
:
:
A B =
− −
−
−
⎡
⎣
⎢
⎢
⎢
⎤
⎦
⎥
⎥
⎥
− −
−
− +
1 2 3 2
3 1 4 3
6 5 3
1 2 3 2
0 7 13 9
0 7 18
l l
∼
9
9
3
6
2 2 1
3 3 1
⎡
⎣
⎢
⎢
⎢
⎤
⎦
⎥
⎥
⎥
→ −
→ −
R R R
R R R
M01_ENGINEERING_MATHEMATICS-I _CH01_Part A.indd 34 5/30/2016 4:35:38 PM
Matrices ■ 1.35
⇒
1 2 3 2
0 7 13 9
0 0 5 0
− −
−
+
⎡
A B
[ , ]
:
:
:
∼
l
⎣
⎣
⎢
⎢
⎢
⎤
⎦
⎥
⎥
⎥ → −
R R R
3 3 2
From the last matrix we find A ∼
1 2 3
0 7 13
0 0 5
−
−
+
⎡
⎣
⎢
⎢
⎢
⎤
⎦
⎥
⎥
⎥
l
Case (i): If l + 5 ≠ 0 ⇒ l ≠ −5, the number of non-zero rows in the equivalent matrices of [A, B]
and A are 3.
∴ r(A) = 3, r([A, B]) = 3
⇒ r(A) = r([A, B]) = 3, the number of variables.
So, the equations are consistent with unique solution.
Case (ii): If l + 5 = 0 ⇒ l = −5, then we get
[ , ]
:
:
:
A B ∼
1 2 3 2
0 7 13 9
0 0 0 0
− −
−
⎡
⎣
⎢
⎢
⎢
⎤
⎦
⎥
⎥
⎥
and A ∼
1 2 3
0 7 13
0 0 0
−
−
⎡
⎣
⎢
⎢
⎢
⎤
⎦
⎥
⎥
⎥
The number of non-zero rows of equivalent matrices of [A, B] and A are 2.
∴ r(A) = 2, r([A, B]) = 2
⇒ r(A) = r([A, B]) = 2  3, the number of variables.
So, the equations are consistent with infinite number of solutions involving one parameter
since n − r = 3 − 2 = 1.
From cases (i) and (ii), we find that the equations are consistent for all values of l.
We shall now find the solution when l = −5. The solutions will contain one parameter.
In this case from the last matrix [A, B], we find the equations are equivalent to
x + 2y − 3z = −2 (1)
− 7y + 13z = 9 (2)
Put z 5 k in (2), then −7y + 13k = 9 ⇒ = − ⇒ = −
7 13 9
1
7
13 9
y k y k
( )
Substituting in (1) we get
x k k x k k
k k
+ ⋅ − − = − ⇒ = − − − +
= − − + + =
2
1
7
13 9 3 2 2
2
7
13 9 3
1
7
14 26 18 21
1
( ) ( )
[ ]
7
7
4 5
[ ]
− k
∴ the solutions are
x k y k z k
= − = − =
1
7
4 5
1
7
13 9
[ ], [ ], , where k is any real number.
M01_ENGINEERING_MATHEMATICS-I _CH01_Part A.indd 35 5/30/2016 4:35:39 PM
1.36 ■ Engineering Mathematics
EXAMPLE 2
Find the values of a and b if the equations x 1 y 1 2z 5 2, 2x 2 y 1 3z 5 2, 5x 2 y 1 az 5 b have
(i) no solutions, (ii) unique solution and (iii) infinite number of solutions.
Solution.
The given equations are
x + y + 2z = 2
2x − y +3z = 2
5x − y + az = b
The coefficient matrix is A
a
= −
−
⎡
⎣
⎢
⎢
⎢
⎤
⎦
⎥
⎥
⎥
1 1 2
2 1 3
5 1
The augmented matrix is
[ , ]
:
:
:
A B
a b
= −
−
⎡
⎣
⎢
⎢
⎢
⎤
⎦
⎥
⎥
⎥
1 1 2 2
2 1 3 2
5 1
∼
∼
1 1 2 2
0 3 1 2
0 6 10 10
2
5
1 1 2
2 2 1
3 3 1
:
:
:
− − −
− − −
⎡
⎣
⎢
⎢
⎢
⎤
⎦
⎥
⎥
⎥
→ −
→ −
a b
R R R
R R R
:
:
:
:
2
0 3 1 2
0 0 8 6 2
3 3 2
− − −
− −
⎡
⎣
⎢
⎢
⎢
⎤
⎦
⎥
⎥
⎥ → −
a b R R R
From this matrix, we find A
a
∼
1 1 2
0 3 1
0 0 8
− −
−
⎡
⎣
⎢
⎢
⎢
⎤
⎦
⎥
⎥
⎥
Case (i): The equations have no solution
⇒ r(A) ≠ r([A, B])
This is possible, if r(A) = 2 and r([A, B]) = 3
⇒ a − 8 = 0 and b − 6 ≠ 0 ⇒ a = 8 and b ≠ 6.
Case (ii): The equations have unique solution ⇒ r(A) = r([A, B]) = 3.
∴ a − 8 ≠ 0 and b is any real number.
∴ a ≠ 8 and b is any real number.
Case (iii): The equations have infinite number of solutions
⇒ r(A) = r([A, B]) = 2  3, the number of variables.
This is possible, if a − 8 = 0 and b − 6 = 0 ⇒ a = 8, b = 6
Thus, no solution ⇒ a = 8, b ≠ 6
Unique solution ⇒ a ≠ 8, b is any real number
Infinite number of solutions ⇒ a = 8, b = 6.
M01_ENGINEERING_MATHEMATICS-I _CH01_Part A.indd 36 5/30/2016 4:35:40 PM
Matrices ■ 1.37
EXAMPLE 3
For what values of k, the equations x 1 y 1 z 5 1, 2x 1 y 1 4z 5 k and 4x 1 y 1 10z 5 k2
have
(i) a unique solution, (ii) infinite number of solutions, (iii) no solution and solve them completely
in each case of consistency.
Solution.
The given equations are
x + y + z = 1
2x + y + 4z = k
4x + y + 10z = k2
The coefficient matrix is A =
⎡
⎣
⎢
⎢
⎢
⎤
⎦
⎥
⎥
⎥
1 1 1
2 1 4
4 1 10
The augmented matrix is
⇒
[ , ]
:
:
:
:
:
:
A B k
k
k
k
=
⎡
⎣
⎢
⎢
⎢
⎤
⎦
⎥
⎥
⎥
− −
− −
⎡
⎣
1 1 1 1
2 1 4
4 1 10
1 1 1 1
0 1 2 2
0 3 6 4
2 2
∼ ⎢
⎢
⎢
⎢
⎤
⎦
⎥
⎥
⎥
→ −
→ −
− −
− − −
⎡
⎣
R R R
R R R
k
k k
2 2 1
3 3 1
2
2
4
1 1 1 1
0 1 2 2
0 0 0 4 3 2
∼
:
:
: ( )
⎢
⎢
⎢
⎢
⎤
⎦
⎥
⎥
⎥ → −
− −
− +
⎡
⎣
⎢
⎢
⎢
⎤
⎦
⎥
⎥
⎥
R R R
A B k
k k
3 3 2
2
3
1 1 1 1
0 1 2 2
0 0 0 3 2
[ , ]
:
:
:
∼
From the last matrix, we find
A ∼
1 1 1
0 1 2
0 0 0
−
⎡
⎣
⎢
⎢
⎢
⎤
⎦
⎥
⎥
⎥
Since the number of non-zero rows is 2, r(A) = 2
(i) If k2
− 3k + 2 = 0 ⇒ (k − 2)(k − 1) = 0 ⇒ k = 1, k = 2
∴
[ , ]
:
:
:
[ , ]
A B k
r A B
∼
1 1 1 1
0 1 2 2
0 0 0 0
2
− −
⎡
⎣
⎢
⎢
⎢
⎤
⎦
⎥
⎥
⎥
=
∴
So, r(A) = r([A,B]) = 2  3, the number of variables.
∴ the system of equations is consistent with infinite number of solutions if k = 1 or k = 2.
M01_ENGINEERING_MATHEMATICS-I _CH01_Part A.indd 37 5/30/2016 4:35:42 PM
1.38 ■ Engineering Mathematics
(ii) If k2
− 3k + 2 ≠ 0 ⇒ k ≠ 1 and k ≠ 2, then r([A, B]) = 3
∴ r(A) ≠ r([A, B])
So, the system is inconsistent and has no solution if k ≠ 1 and k ≠ 2.
Now we shall find the solutions if k = 1 and k = 2.
If k = 1, then [ , ]
:
:
:
A B = − −
⎡
⎣
⎢
⎢
⎢
⎤
⎦
⎥
⎥
⎥
1 1 1 1
0 1 2 1
0 0 0 0
So, the equivalent equations are x + y + z = 1 and −y + 2z = −1
Put z = k1
, then −y + 2k1
= −1 ⇒ y = 1 + 2k1
∴ x + 1 + 2k1
+ k1
= 1 ⇒ x = −3k1
∴ the solutions are x = 3k1
, y = 1 + 2k1
, z = k1
, where k1
is any real number
If k = 2, then [ , ]
:
:
:
A B = −
⎡
⎣
⎢
⎢
⎢
⎤
⎦
⎥
⎥
⎥
1 1 1 1
0 1 2 0
0 0 0 0
So, the equivalent equations are x + y + z = 1 and −y + 2z = 0 ⇒ y = 2z.
Put z = k2
, then y = 2k2
∴ x + 2k2
+ k2
= 1 ⇒ x = 1 − 3k2
∴ the solutions are x = 1 − 3k2
, y = 2k2
, z = k2
, where k2
is any real number.
1.4.5 Type 3: Solution of the System of Homogeneous Equations
WORKED EXAMPLES
EXAMPLE 1
Find all the non-trivial solutions of 7x 1 y 2 2z 5 0, x 1 5y 2 4z 5 0, 3x 2 2y 1 z 5 0.
Solution.
The given equations are
7x + y − 2z = 0
x + 5y − 4z = 0
3x − 2y + z = 0
The coefficient matrix is A =
−
−
−
⎡
⎣
⎢
⎢
⎢
⎤
⎦
⎥
⎥
⎥
7 1 2
1 5 4
3 2 1
Since R. H. S of the equations is zero it is enough, we consider A instead of augmented matrix
[ , ]
:
:
:
A B =
−
−
−
⎡
⎣
⎢
⎢
⎢
⎤
⎦
⎥
⎥
⎥
7 1 2 0
1 5 4 0
3 2 1 0
, because r(A) = r([A, B]) always.
M01_ENGINEERING_MATHEMATICS-I _CH01_Part A.indd 38 5/30/2016 4:35:43 PM
Matrices ■ 1.39
A R R
R
∼
∼
1 5 4
7 1 2
3 2 1
1 5 4
0 34 26
0 17 13
1 2
2
−
−
−
⎡
⎣
⎢
⎢
⎢
⎤
⎦
⎥
⎥
⎥
↔
−
−
−
⎡
⎣
⎢
⎢
⎢
⎤
⎦
⎥
⎥
⎥
→
→ −
→ −
R R
R R R
2 1
3 3 1
7
3
∼
∼
1 5 4
0 17 13
0 17 13
1
2
1 5 4
0 17 13
0 0 0
2 2
−
−
−
⎡
⎣
⎢
⎢
⎢
⎤
⎦
⎥
⎥
⎥
→ −
−
−
⎡
⎣
⎢
⎢
⎢
⎤
⎦
⎥
⎥
R R
⎥
⎥ → +
R R R
3 3 2
The number of non-zero rows is 2.
∴ r(A) = 2  the number of variables.
∴ the number of solutions is infinite containing n − r = 3 − 2 = 1 parameter.
From the last equivalent matrix, the given equations are equivalent to
x + 5y − 4z = 0 (1)
and 17 13 0
13 17
y z
y z
k
− = ⇒ = =
∴ y = 13k, z = 17k.
and (1) ⇒ x + 5 × 13k − 4 × 17k = 0 ⇒ x = 3k
∴ the solutions are x = 3k, y = 13k, z = 17k, where k is any real number.
Aliter: Since the number of equations is same as the number of variables, the coefficient matrix A is a
square matrix.
∴ A =
−
−
−
= ⋅ − − ⋅ + − − − = − − + =
7 1 2
1 5 4
3 2 1
7 5 8 1 1 12 2 2 15 21 13 34 0
( ) ( ) ( ) .
∴ r(A)  3, the number of variables.
∴ the homogeneous system has non-trivial solutions.
The solutions can be obtained by the rule of cross multiplication, using first and second equations
x y z
− +
=
− +
=
−
4 10 2 28 35 1
⇒
x y z
6 26 34
= =
⇒
x y z
k
3 13 17
= = = ,say
∴ the solutions are x k y k z k k
3 13 17
= = =
, , , where is any rea
al number.
1
5
x y z
1
5
7
1
−2
−4
M01_ENGINEERING_MATHEMATICS-I _CH01_Part A.indd 39 5/30/2016 4:35:45 PM
1.40 ■ Engineering Mathematics
EXAMPLE 2
Solve completely the homogeneous system 3x 1 4y 2z 2 6w 5 0, 2x 1 3y 1 2z 2 3w 5 0,
2x 1 y 2 14z 2 9w 5 0, x 1 3y 1 13z 1 3w 5 0.
Solution.
The given equations are
3x + 4y − z − 6w = 0
2x + 3y + 2z − 3w = 0
2x + y − 14z − 9w = 0
x + 3y + 13z + 3w = 0
The coefficient matrix is
⇒
A =
− −
−
− −
⎡
⎣
⎢
⎢
⎢
⎢
⎤
⎦
⎥
⎥
⎥
⎥
−
− −
−
3 4 1 6
2 3 2 3
2 1 14 9
1 3 13 3
1 3 13 3
2 3 2 3
2 1 14 9
3 4
∼
1
1 6
1 3 13 3
0 3 24 9
0 5 40 15
0 5 40 15
1 4
−
⎡
⎣
⎢
⎢
⎢
⎢
⎤
⎦
⎥
⎥
⎥
⎥
↔
− − −
− − −
− − −
⎡
⎣
⎢
⎢
⎢
R R
∼
⎢
⎢
⎤
⎦
⎥
⎥
⎥
⎥
→ −
→ −
→ −
− − −
− − −
R R R
R R R
R R R
2 2 1
3 3 1
4 4 1
2
2
3
1 3 13 3
0 3 24 9
0 5 40 15
∼
0
0 0 0 0
1 3 13 3
0 1 8 3
0 1 8 3
0 0 0 0
4 4 3
2
⎡
⎣
⎢
⎢
⎢
⎢
⎤
⎦
⎥
⎥
⎥
⎥
→ −
⎡
⎣
⎢
⎢
⎢
⎢
⎤
⎦
⎥
⎥
⎥
⎥
→
R R R
R
∼
−
−
→ −
⎡
⎣
⎢
⎢
⎢
⎢
⎤
⎦
⎥
⎥
⎥
⎥
→ −
1
3
1
5
1 3 13 3
0 1 8 3
0 0 0 0
0 0 0 0
2
3 3
3 3 2
R
R R
A
R R R
∼
The last equivalent matrix has 2 non-zero rows.
∴ r(A) = 2  4, the number of variables.
∴ the equations have infinite number of solutions and will contain n − r = 4 − 2 = 2 parameters.
The given equations are equivalent to x + 3y + 13z + 3w = 0
and y + 8z + 3w = 0
Put z = k1
and w = k2
, then y = −8k1
− 3k2
and x + 3(−8k1
− 3k2
) + 13k1
+ 3k2
= 0
⇒ x − 24k1
− 9k2
+ 13k1
+ 3k2
= 0
⇒ x − 11k1
− 6k2
= 0 ⇒ x = 11k1
+ 6k2
∴ the solution set is x = 11k1
+ 6k2
, y = −8k1
− 3k2
, z = k1
, w = k2
,
where k1
, k2
are any real numbers.
M01_ENGINEERING_MATHEMATICS-I _CH01_Part A.indd 40 5/30/2016 4:35:46 PM
Matrices ■ 1.41
EXAMPLE 3
Find all the non-trivial solutions of x 2 y 1 z 5 0, 2x 1 y 2 z 5 0, x 1 5y 2 5z 5 0.
Solution.
The given equations are
x − y + z = 0
2x + y − z = 0
x + 5y − 5z = 0
The coefficient matrix is A =
−
−
−
⎡
⎣
⎢
⎢
⎢
⎤
⎦
⎥
⎥
⎥
1 1 1
2 1 1
1 5 5
∴ A =
−
−
−
1 1 1
2 1 1
1 5 5
= 1(−5 + 5) − (−1)(−10 + 1) + (10 − 1) = 0 − 9 + 9 = 0
∴ r(A)  3, the number of variables.
∴ the homogeneous system has non-trivial solutions.
The solutions can be obtained by the rule of cross multiplication using first and second equations.
x y z
+ −
=
+
=
+
1 1 2 1 1 2
⇒ = =
⇒ = = =
x y z
x y z
k
0 3 3
0 1 1
∴ x = 0, y = k, z = k
∴ the solution set is x = 0, y = k, z = k, where k is any real number.
1.4.6 Type 4: Solution of Homogeneous System of Equation Containing Arbitrary
Constants
WORKED EXAMPLES
EXAMPLE 1
If x
a
b c
y
b
c a
z
c
a b
5
2
5
2
5
2
, , , then prove that 1+ xy + yz + zx = 0.
Solution.
The given equations are
and
x
a
b c
x b c a a bx cx
y
b
c a
y c a b ay b cy
z
c
a b
z
=
−
⇒ − = ⇒ − + =
=
−
⇒ − = ⇒ + − =
=
−
⇒
( )
( )
0
0
(
( )
( )
a b c az bz c
− = ⇒ − − =
⎫
⎬
⎪
⎪
⎪
⎭
⎪
⎪
⎪
0
1
−1
1
x y z
−1
1
1
2
1
−1
M01_ENGINEERING_MATHEMATICS-I _CH01_Part A.indd 41 5/30/2016 4:35:49 PM
1.42 ■ Engineering Mathematics
It is a system of homogeneous equations in a, b, c.
From the given equations, it is obvious that a, b, c cannot be simultaneously zero or no two of them
equal [For if all a, b, c are zero, then x
a
b c
y
b
c a
z
c
a b
=
−
=
−
=
−
, , are indeterminate, do not exist.]
∴ the system of equations (1) has non-trivial solutions
∴ = ⇒
−
−
+ − −
=
⇒ − − − − − + + − − =
⇒ − −
A
x x
y y
z z
yz x y yz x yz z
y
0
1
1
1
0
1 1 0
1
( ) ( )( ) ( )
z
z xy xyz xyz xz
xy yz zx
xy yz zx
− + − − =
⇒ − − − − =
⇒ + + + =
0
1 0
1 0
EXAMPLE 2
Find the values of l for which the equations
( 1) (3 1) 2 0
1) (4 2) ( 3) 0
2 (3 1) 3(
l 2 1 l 1 1 l 5
l 2 1 l 2 1 l 1 5
1 l 1 1 l2
x y z
x y z
x y
(
1
1)z 5 0
are consistent and find x : y : z, when l has the smallest of these values.What happens when l has
the greater of these values?
Solution.
The given equations are
( ) ( )
( ) ( ) ( )
( ) (
l l l
l l l
l l
− + + + =
− + − + + =
+ + + −
1 3 1 2 0
1 4 2 3 0
2 3 1 3
x y z
x y z
x y 1
1 0
)z =
Since the system is homogeneous it is always consistent with at least the trivial solution x = 0, y = 0
and z = 0. It will have non-trivial solution if A = 0
⇒
l l l
l l l
l l
− +
− − +
+ −
=
1 3 1 2
1 4 2 3
2 3 1 3 1
0
( )
⇒ l l l
l l l
l l l
+
− +
+
6 3 1 2
6 4 2 3
6 3 1 3( −
−
= → + +
1
0 1 1 2 3
)
C C C C
M01_ENGINEERING_MATHEMATICS-I _CH01_Part A.indd 42 5/30/2016 4:35:51 PM
Matrices ■ 1.43
⇒
+
− +
+ −
=
6
1 3 1 2
1 4 2 3
1 3 1 3 1
0
( )
l
l l
l l
l l
⇒ +
6
1 3 1 2
0
l
l l
l −
− − +
−
= → −
→ −
3 3
0 0 3
0 2 2 1
3 3 1
l
l
R R R
R R R
⇒ − =
6 3 0
2
l l
( )
⇒ = − = ⇒ =
0 3 0 3
2
l l l
( )
or
∴ l =
= 0 3
or .
∴ the least value is l = 0
When l = 0, the equations become
and
− + = ⇒ − = ⇒ =
− − + = ⇒ − − + = ⇒ =
+ − = ⇒ + −
x y x y x y
x y z y y z y z
x y z y y z
0 0
2 3 0 2 3 0
2 3 0 2 3 =
= ⇒ =
0 y z
∴ = = ∴ = 1 1 1
x y z x y z
: : : :
When l = 3, then the equations become
2 10 6 0 5 3 0
2 10 6 0 5 3 0
2 10 6 0 5
x y z x y z
x y z x y z
x y z x y
+ + = ⇒ + + =
+ + = ⇒ + + =
+ + = ⇒ + +
+ =
3 0
z
∴ the equations coincide with x + 5y + 3z = 0 (1)
∴ the solution set is a two parameter family, since n = 3, r = 1 ∴ n − r = 2.
Put y = k1
, z = k2
in (1), then
x + 5k1
+ 3k2
= 0 ⇒ x = −5k1
− 3k2
So, the solutions are x = −5k1
− 3k2
, y = k1
, z = k2
, where k1
, k2
are any real numbers.
EXAMPLE 3
If the system of equations x 5 cy 1 bz, y 5 az 1 cx, z 5 bx 1 ay have non-trivial solutions, prove
that a2
1 b2
1 c2
1 2abc 5 1 and the solutions are
x y z a b c
: : 1 : 1 : 1
2 2 2
5 2 2 2 .
Solution.
The given equations are
x − cy − bz = 0
cx − y + az = 0
bx + ay − z = 0
It is a homogeneous system in x, y, z
M01_ENGINEERING_MATHEMATICS-I _CH01_Part A.indd 43 5/30/2016 4:35:52 PM
1.44 ■ Engineering Mathematics
The coefficient matrix is
A
c b
c a
b a
=
− −
−
−
⎡
⎣
⎢
⎢
⎢
⎤
⎦
⎥
⎥
⎥
1
1
1
Given that this homogeneous system has non-trivial solution
∴ = ⇒
− −
−
−
=
A
c b
c a
b a
0
1
1
1
0
⇒ − − − − − + − + =
a c c ab b ac b
1 1 0
2
( ) ( )( ) ( )( )
⇒ − a
1 2
−
− − − − =
c abc abc b
2 2
0
⇒ − + + − =
a b c abc
2 2 2
1 2 0
( )
⇒ + + + =
a b c abc
2 2 2
2 1 (1)
The non-trivial solutions are obtained by the rule of cross multiplication from first and second
equations. x
ac b
y
bc a
z
c
− −
=
− −
=
− +
1 2
⇒
+
=
+
=
−
x
ac b
y
bc a
z
c
1 2
⇒
+
=
+
=
−
x
ac b
y
bc a
z
c
1
2 2 2 2
( ) ( ) ( )
⇒
+ +
x
a c b ab
2
2 2 2
c
c
y
b c a abc
z
c
=
+ +
=
−
2 2 2 2 2
2 1
( )
⇒
x
a c a c
y
b c b c
z
+ − −
=
+ − −
=
−
2 2 2 2 2 2 2 2
1 1 1
( c
c2 2
)
using (1)
⇒
x
a c
y
b c
z
c
2 2 2 2 2 2
1 1 1 1 1
( )( ) ( )( ) ( )
− −
=
− −
=
−
⇒
x
a
y
b
z
2 2
1 1 1
⇒
−
=
−
=
− c
c2
∴
x y z a b c
2 2 2
1 1 1
= − − −
: : : :
EXERCISE 1.3
1. Test the consistency of the following system of equation and solve, if consistent.
(i) 2x − 3y +7z = 5, 3x + y − 3z = 13, 2x + 19y − 47z = 32
(ii) 2x + 5y + 3z = 1, −x + 2y + z = 2 , x + y + z = 0
(iii) 3x + y + 2z = 3, 2x − 3y − z = −3, x + y + z = 2
M01_ENGINEERING_MATHEMATICS-I _CH01_Part A.indd 44 5/30/2016 4:35:55 PM
Matrices ■ 1.45
(iv) x + y + z = 3, x + 2y + 2z = 4, x + 4y + 9z = 6
(v) 2x − y + z = 7, 3x + y − 5z = 13, x + y + z = 5
(vi) x + 2y − z = 3, 3x − y + 2z = 1, 2x − 2y + 3z = 2, x − y + z = −1
(vii) x1
− x2
+ x3
+ x4
= 2, x1
+ x2
− x3
+ x4
= −4, x1
+ x2
+ x3
− x4
= 4, x1
+ x2
+ x3
+ x4
= 0
(viii) x1
+ 2x2
− x3
= 3, 3x1
− x2
− 2x3
= 1, 2x1
− 2x2
+ 3x3
= 2, x1
− x2
+ x3
= −1
(ix) 4x − 2y + 6z = 8, x + y − 3z = −1, 15x − 3y + 9z = 21
(x) 2x + y + 5z = 4, 3x − 2y + 2z = 2, 5x− 8y − 4z = 1
2. Find all the values of a and b for which the equations.
x + y + z = 3, x + 2y + 2z = 6, x + ay + 3z = b have (1) no solution, (ii) unique solution and (iii) infinite number
of solutions.
3. Discuss the solutions of ax + 2y + z = 1, x + 2ay + z = 6, x + 2y + az = 1.
4. Determine the values of k such that the equation kx + y + z = 1, x + ky + z = 1, x + y + kz = 1 have (i) unique
solution, (ii) infinite number of solutions and (iii) no solution.
5. Investigate for what values of l and m the equations x + y +z = 6, x + 2y +3z = 10, x + 2y + lz = m have
(a) no solution, (b) unique solution and (c) infinite number of solutions.
6. Find all non-trivial solutions of x1
+ 2x2
+ x3
= 0, 3x1
+ x2
− x3
= 0.
7. Find the value of l, if the equations 3x1
+ x2
− lx3
= 0, 4x1
− 2x2
− 3x3
= 0, 2lx1
− 4x2
+ lx3
= 0 have
non-trivial solution. Hence, find the solutions.
8. Find the non-trivial solution of the equations x + 5y + 3z = 0, 5x + y − l = 0, x + 2y + lz = 0 and the values
of l.
9. Determine the values of l for which the system of equations lx1
− 2x2
+ x3
= 0, lx1
+ (1 − l)x2
+ x3
= 0,
2x1
− x2
+ 2lx3
= 0 has non-trivial solutions and find the solution in each case.
10. Determine the values of l for which the system of equations 2x1
− 2x2
+ x3
= lx1
, 2x1
− 3x2
+ 2x3
= lx2
,
−x1
+ 2x2
= lx3
has non-trivial solutions and find the solutions.
ANSWERS TO EXERCISE 1.3
1. (i) In consistent. (ii) x = −1, y = 0, z = 1;
(iii) x = 1, y = 2, z = −1 (iv) x = 2, y = 1, z = 0;
(v) x = 4, y = 1, z = 0 (vi) x = −1, y = 4, z = 4;
(vii) x1
= 1, x2
= 2, x3
= 2, x4
= −2w (viii) x1
= −1, x2
= 4, x3
= 4
(ix) x = 1, y = 3k − 2, z = k for all k. (x) In consistent. Hence, no solution.
2. (i) No solution if a = 3, b ≠ 9, (ii) Unique solution if a = 3, b is any real number.
(iii) Infinite number of solutions if a = 3, b = 9.
3. (i) Unique solution if a ≠ 1, b ≠ −2, (ii) No solution if a = 1, b ≠ 1 and a = −2, b ≠ −2
(iii) Infinite number of solutions if a = 1, b = 1 and a = −2, b = −2.
4. (i) Unique solution if k ≠ 2, 1.
(ii) Infinite number of solutions if k = 1
and (iii) No solution if k = − 2.
5. (a) No solution if l = 3 and m ≠ 10
(b) Unique solution if l ≠ 3 and m is any real number.
(c) Infinite number of solution if l = 3, m =10
6. x1
= 3k, x2
= −4k, x3
= 5k for all k.
M01_ENGINEERING_MATHEMATICS-I _CH01_Part A.indd 45 5/30/2016 4:35:56 PM
1.46 ■ Engineering Mathematics
7. When l = 9; x1
= 21k, x2
= 27k, x3
= 10k for all k.
When l = −1; x1
= k, x2
= −13k, x3
= 10k for all k.
8. When l = 1; x = 3k, y = −2k, z = 3k for all k.
9. When l = 3; x1
= −11k, x2
= −16k, x3
= k for all k.
When l = 1; x1
= k, x2
= 0, x3
= −k for all k.
When l = −1; x1
= k, x2
= 0, x3
= k for all k.
10. When l = 1; x1
= 2k1
− k2
, x2
= k1
, x3
= k2
for all k1
, k2
.
When l = −3; x1
= −k, x2
= −2k, x3
= k for all k.
1.5 MATRIX INVERSE BY GAUSS–JORDAN METHOD
We shall explain the method for 3 × 3 matrix.
Let A
a a a
a a a
a a a
=
⎡
⎣
⎢
⎢
⎢
⎤
⎦
⎥
⎥
⎥
11 12 13
21 22 23
31 32 33
If A is non-singular, then there exists a 3 × 3 matrix X =
⎡
⎣
⎢
⎢
⎢
⎤
⎦
⎥
⎥
⎥
x x x
x x x
x x x
11 12 13
21 22 23
31 32 33
such that AX = I
⇒
a a a
a a a
a a a
x x x
x x x
x
11 12 13
21 22 23
31 32 33
11 12 13
21 22 23
31
⎡
⎣
⎢
⎢
⎢
⎤
⎦
⎥
⎥
⎥ x
x x
32 33
1 0 0
0 1 0
0 0 1
⎡
⎣
⎢
⎢
⎢
⎤
⎦
⎥
⎥
⎥
=
⎡
⎣
⎢
⎢
⎢
⎤
⎦
⎥
⎥
⎥
This equation is equivalent to the three equations below:
a a a
a a a
a a a
x
x
11 12 13
21 22 23
31 32 33
11
21
31
1
⎡
⎣
⎢
⎢
⎢
⎤
⎦
⎥
⎥
⎥
⎡
⎣
⎢
⎢
⎢
⎤
⎦
⎥
⎥
⎥
=
x
0
0
0
⎡
⎣
⎢
⎢
⎢
⎤
⎦
⎥
⎥
⎥
(1)
a a a
a a a
a a a
x
x
x
11 12 13
21 22 23
31 32 33
12
22
32
0
⎡
⎣
⎢
⎢
⎢
⎤
⎦
⎥
⎥
⎥
⎡
⎣
⎢
⎢
⎢
⎤
⎦
⎥
⎥
⎥
= 1
1
0
⎡
⎣
⎢
⎢
⎢
⎤
⎦
⎥
⎥
⎥
(2)
and
a a a
a a a
a a a
x
x
x
11 12 13
21 22 23
31 32 33
13
23
33
0
⎡
⎣
⎢
⎢
⎢
⎤
⎦
⎥
⎥
⎥
⎡
⎣
⎢
⎢
⎢
⎤
⎦
⎥
⎥
⎥
= 0
0
1
⎡
⎣
⎢
⎢
⎢
⎤
⎦
⎥
⎥
⎥
(3)
Equation (1) is a system of linear equations. Solving by Jordan’s method (or by Gauss elimination
method), we get x x x
11 21 31
, , and so the vector
x
x
x
11
21
31
⎡
⎣
⎢
⎢
⎢
⎤
⎦
⎥
⎥
⎥
is known. Similarly solving (2) and (3), we get the
other columns of X, and hence, X is known. This matrix X is the inverse of A.
M01_ENGINEERING_MATHEMATICS-I _CH01_Part A.indd 46 5/30/2016 4:35:58 PM
Matrices ■ 1.47
Now to solve equation (1), we start with the augmented matrix A I
, 1
[ ] where I1
1
0
0
=
⎡
⎣
⎢
⎢
⎢
⎤
⎦
⎥
⎥
⎥
and trans-
form by row operations so that A is reduced to unit matrix in Jordan’s method, then we write the solu-
tion for x x x
11 21 31
, , directly.
The same procedure is applied to solve (2) and (3) by writing A I
, 2
[ ] and A I
, 3
[ ]. In practice, we
will not do this individually and convert A into a unit matrix, but we start with A I I I A I
⏐ 1 2 3
⎡
⎣
⎤
⎦ = ( )
, and
convert A into unit matrix by row operations and find X.
Working rule
Consider the augmented matrix [A, I ], where I is the identity matrix of the same order as A.
By row operations, reduce A into a unit matrix, then correspondingly I will be changed into a
matrix X. This matrix X is the inverse of A. It is advisable to change the pivot element to 1 before
applying row operations at each step.
WORKED EXAMPLES
EXAMPLE 1
Using Gauss–Jordan method, find the inverse of the matrix A 5 2
2 2
1 1 3
1 3 3
2 4 4
.
⎡
⎣
⎢
⎢
⎢
⎤
⎦
⎥
⎥
⎥
Solution.
Given A = −
− −
1 1 3
1 3 3
2 4 4
⎡
⎣
⎢
⎢
⎢
⎤
⎦
⎥
⎥
⎥
. To find A–1
Consider the augmented matrix
A I
,
:
:
:
[ ]= −
− −
⎡
⎣
⎢
⎢
⎢
⎤
⎦
⎥
⎥
⎥
1 1 3 1 0 0
1 3 3 0 1 0
2 4 4 0 0 1
∼
1 1 3 1 0 0
0 2 6 1 1 0
0 2 10 2 0 1 2
2 2 1
3 3 1
:
:
:
− −
−
⎡
⎣
⎢
⎢
⎢
⎤
⎦
⎥
⎥
⎥
→ −
→ +
R R R
R R R
∼
1 1 3 1 0 0
0 1 3
1
2
1
2
0
0 1 5 1 0
1
2
1
2
1
2
2 2
3 3
:
:
:
− −
−
⎡
⎣
⎢
⎢
⎢
⎢
⎢
⎢
⎤
⎦
⎥
⎥
⎥
⎥
⎥
⎥
→
→
R R
R R
[The pivot 2 in R2
is reduced to 1]
∼
1 0 6
3
2
1
2
0
0 1 3
1
2
1
2
0
0 0 2
1
2
1
2
1
2
1
1 1
:
:
:
−
− −
⎡
⎣
⎢
⎢
⎢
⎢
⎢
⎢
⎢
⎤
⎦
⎥
⎥
⎥
⎥
⎥
⎥
⎥
→ + −
R R (
( )
→ +
R
R R R
2
3 3 2
M01_ENGINEERING_MATHEMATICS-I _CH01_Part A.indd 47 5/30/2016 4:36:00 PM
1.48 ■ Engineering Mathematics
∼
1 0 6
3
2
1
2
0
0 1 3
1
2
1
2
0
0 0 1
1
4
1
4
1
4
1
2
3 3
:
:
:
−
− −
⎡
⎣
⎢
⎢
⎢
⎢
⎢
⎢
⎢
⎤
⎦
⎥
⎥
⎥
⎥
⎥
⎥
⎥
→
R R (The pivot 2 in R3
is
reduced to 1)
∼
1 0 0 0 2
3
2
0 1 0
1
4
5
4
3
4
0 0 1
1
4
1
4
1
4
6
1 1
:
:
:
−
−
⎡
⎣
⎢
⎢
⎢
⎢
⎢
⎢
⎢
⎤
⎦
⎥
⎥
⎥
⎥
⎥
⎥
⎥
→ + −
(
R R )
)
→ +
R
R R R
3
2 2 3
3
∴ the inverse matrix of A is A −
=
− −
⎡
⎣
⎢
⎢
⎢
⎢
⎢
⎢
⎢
⎤
⎦
⎥
⎥
⎥
⎥
⎥
⎥
⎥
1
0 2
3
2
1
4
5
4
3
4
1
4
1
4
1
4
EXAMPLE 2
Find the inverse of the matrix A 5 2
2
4 1 2
2 3 1
1 2 2
⎡
⎣
⎢
⎢
⎢
⎤
⎦
⎥
⎥
⎥
by Gauss–Jordan method.
Solution.
Given A = −
4 1
2 3
1 2 2
2
1
−
⎡
⎣
⎢
⎢
⎢
⎤
⎦
⎥
⎥
⎥
. To find A–1
Consider the augmented matrix
A I
,
:
:
:
[ ] = −
−
⎡
⎣
⎢
⎢
⎢
⎤
⎦
⎥
⎥
⎥
4 1 2 1 0 0
2 3 1 0 1 0
1 2 2 0 0 1
∼
1
1
4
1
2
1
4
0 0
2 3 1 0 1 0
1 2 2 0 0 1
1
4
1 1
:
:
:
−
−
⎡
⎣
⎢
⎢
⎢
⎢
⎤
⎦
⎥
⎥
⎥
⎥
→
R R (The pivot 4 in R1
is reduced to 1)
∼
1
1
4
1
2
1
4
0 0
0
5
2
2
1
2
1 0
0
9
4
3
2
1
4
0 1
2 2
:
:
:
− −
− −
⎡
⎣
⎢
⎢
⎢
⎢
⎢
⎢
⎢
⎤
⎦
⎥
⎥
⎥
⎥
⎥
⎥
⎥
→ +
R R −
−
( )
→ −
2 1
3 3 1
R
R R R
M01_ENGINEERING_MATHEMATICS-I _CH01_Part A.indd 48 5/30/2016 4:36:03 PM
Matrices ■ 1.49
− −
−
−
⎡
⎣
⎢
⎢
⎢
⎢
⎢
⎢
1
1
4
1
2
1
4
0 0
0 1
4
5
1
5
2
5
0
0
9
4
3
2
1
4
0 1
∼
:
:
:
⎢
⎢
⎤
⎦
⎥
⎥
⎥
⎥
⎥
⎥
⎥
→
R R
2
2
5
2
The ivot in is reduced to 1
2
p
5
2
R
⎡
⎣
⎢
⎤
⎦
⎥
∼
1 0
7
10
3
10
1
10
0
0 1
4
5
1
5
2
5
0
0 0
3
10
7
10
9
10
1
:
:
:
−
− −
− −
⎡
⎣
⎢
⎢
⎢
⎢
⎢
⎢
⎢
⎤
⎦
⎥
⎥
⎥
⎥
⎥
⎥
⎥
⎥
→ + −
⎛
⎝
⎜
⎞
⎠
⎟
→ +
−
− −
R R R
R R R
1 1
3 3 2
1
4
9
4
1 0
7
10
3
10
1
10
0
0 1
4
5
1
5
2
5
0
0
2
∼
:
:
0
0 1
7
3
3
10
3
10
3
3 3
: −
−
⎡
⎣
⎢
⎢
⎢
⎢
⎢
⎢
⎢
⎤
⎦
⎥
⎥
⎥
⎥
⎥
⎥
⎥
→ −
R R The ivot in is reduced to 1
3
p −
⎡
⎣
⎢
⎤
⎦
⎥
3
10
R
∼
1 0 0
4
3
2
7
3
0 1 0
5
3
2
8
3
0 0 1
7
3
3
10
3
1 1
:
:
:
−
− −
−
−
⎡
⎣
⎢
⎢
⎢
⎢
⎢
⎢
⎢
⎤
⎦
⎥
⎥
⎥
⎥
⎥
⎥
⎥
→ +
R R
−
−
⎛
⎝
⎜
⎞
⎠
⎟
→ +
7
10
4
5
3
2 2 3
R
R R R
∴ the inverse of A is A −
=
−
− −
−
−
⎡
⎣
⎢
⎢
⎢
⎢
⎢
⎢
⎢
⎤
⎦
⎥
⎥
⎥
⎥
⎥
⎥
⎥
1
4
3
2
7
3
5
3
2
8
3
7
3
3
10
3
EXAMPLE 3
Solve the system of equations x y z x y z x y z
1 1 5 1 2 5 2 2 2 5
3 4 3 3 2 2 4 4
; ; 8 by finding the
matrix inverse by Gauss–Jordan method.
Solution.
The given system of equations is
x y z
x y z
x y z
+ + =
+ − =
− − − =
3 4
3 3 2
2 4 4 8
M01_ENGINEERING_MATHEMATICS-I _CH01_Part A.indd 49 5/30/2016 4:36:05 PM
1.50 ■ Engineering Mathematics
The coefficient matrix is
A B X
= −
− − −
⎡
⎣
⎢
⎢
⎢
⎤
⎦
⎥
⎥
⎥
=
⎡
⎣
⎢
⎢
⎢
⎤
⎦
⎥
⎥
⎥
=
⎡
⎣
⎢
⎢
⎢
⎤
⎦
⎥
⎥
1 1 3
1 3 3
2 4 4
4
2
8
, and
x
y
z ⎥
⎥
∴ the system of equations is AX B X A B
= ⇒ = −1
.
We find A −1
by the method of matrix inverse by Gauss–Jordan method.
Consider the augmented matrix
A I
,
:
:
:
:
:
[ ]= −
− − −
⎡
⎣
⎢
⎢
⎢
⎤
⎦
⎥
⎥
⎥
∼ − −
1 1 3 1 0 0
1 3 3 0 1 0
2 4 4 0 0 1
1 1 3 1 0 0
0 2 6 1 1 0
0
0 2 2 2 0 1 2
1 1 3 1 0 0
0 1 3
1
2
1
2
0
0 1
2 2 1
3 3 1
−
⎡
⎣
⎢
⎢
⎢
⎤
⎦
⎥
⎥
⎥
→ −
→ +
∼
− −
−
:
:
:
R R R
R R R
1
1 1 0
1
2
1
2
1
2
1 0 4 2 0
1
2
0 1 3
1
2
1
2
0
0
2 2
3 3
:
:
:
⎡
⎣
⎢
⎢
⎢
⎢
⎢
⎢
⎤
⎦
⎥
⎥
⎥
⎥
⎥
⎥
→
→
∼ − −
R R
R R
−
−
⎡
⎣
⎢
⎢
⎢
⎢
⎢
⎢
⎢
⎤
⎦
⎥
⎥
⎥
⎥
⎥
⎥
⎥
→ +
1 1 1 0
1
2
1 1 3
:
R R R
∼ − −
−
1 0 4 2 0
1
2
0 1 3
1
2
1
2
0
0 0
:
:
2
2
1
2
1
2
1
2 3 3 2
:
⎡
⎣
⎢
⎢
⎢
⎢
⎢
⎢
⎢
⎤
⎦
⎥
⎥
⎥
⎥
⎥
⎥
⎥ → +
R R R
∼ − −
− − −
⎡
⎣
⎢
⎢
⎢
⎢
⎢
⎢
⎢
⎤
⎦
⎥
⎥
⎥
⎥
⎥
⎥
⎥ → −
⎛
1 0 4 2 0
1
2
0 1 3
1
2
1
2
0
0 0 1
1
4
1
4
1
4
1
2
3
:
:
: R
⎝
⎝
⎜
⎞
⎠
⎟ R3
M01_ENGINEERING_MATHEMATICS-I _CH01_Part A.indd 50 5/30/2016 4:36:06 PM
Matrices ■ 1.51
∼ − − −
− − −
⎡
⎣
⎢
⎢
⎢
⎢
⎢
⎢
⎢
⎤
⎦
⎥
⎥
⎥
⎥
⎥
⎥
⎥
→
1 0 0 3 1
3
2
0 1 0
5
4
1
4
3
4
0 0 1
1
4
1
4
1
4
1 1
:
:
:
R R −
−
→ +
4
3
3
2 2 3
R
R R R
∴ the inverse of A is A −
= − − −
− − −
⎡
⎣
⎢
⎢
⎢
⎢
⎢
⎢
⎢
⎤
⎦
⎥
⎥
⎥
⎥
⎥
⎥
⎥
1
3 1
3
2
5
4
1
4
3
4
1
4
1
4
1
4
∴ X A B
= −1
⇒
x
y
z
⎡
⎣
⎢
⎢
⎢
⎢
⎢
⎢
⎤
⎦
⎥
⎥
⎥
⎥
⎥
⎥
= − − −
− − −
⎡
⎣
⎢
⎢
⎢
⎢
⎢
⎢
⎢
⎤
⎦
⎥
⎥
⎥
⎥
⎥
3 1
3
2
5
4
1
4
3
4
1
4
1
4
1
4
⎥
⎥
⎥
⎡
⎣
⎢
⎢
⎢
⎢
⎢
⎢
⎤
⎦
⎥
⎥
⎥
⎥
⎥
⎥
4
2
8
=
+ +
− − −
− − −
⎡
⎣
⎢
⎢
⎢
⎢
⎢
⎢
⎤
⎦
⎥
⎥
⎥
⎥
⎥
⎥
= −
−
⎡
⎣
⎢
⎢
⎢
⎢
⎢
⎢
⎤
12 12 12
5
1
2
6
1
1
2
2
26
23
2
7
2
⎦
⎦
⎥
⎥
⎥
⎥
⎥
⎥
∴ the solution is x y z
= = − = −
26
23
2
7
2
, ,
EXAMPLE 4
Solve the system of equations 2 2 10 2 2 9 2 2 11
x y z x y z x y z
1 1 5 1 1 5 1 1 5
; ; by finding the
inverse by Gauss–Jordan method.
Solution.
The given system of equations is
2 2 10
2 2 9
2 2 11
x y z
x y z
x y z
+ + =
+ + =
+ + =
The coefficient matrix is
A B X
=
⎡
⎣
⎢
⎢
⎢
⎤
⎦
⎥
⎥
⎥
=
⎡
⎣
⎢
⎢
⎢
⎤
⎦
⎥
⎥
⎥
=
⎡
⎣
⎢
⎢
⎢
⎤
⎦
⎥
⎥
⎥
2 1 2
2 2 1
1 2 2
10
9
11
, and
x
y
z
M01_ENGINEERING_MATHEMATICS-I _CH01_Part A.indd 51 5/30/2016 4:36:09 PM
1.52 ■ Engineering Mathematics
∴ the system of equation is AX B
= ⇒ X A B
= −1
.
We find A −1
by the method of matrix inverse by Gauss–Jordan method.
Consider the augmented matrix
A I
,
:
:
:
[ ]=
⎡
⎣
⎢
⎢
⎢
⎤
⎦
⎥
⎥
⎥
2 1 2 1 0 0
2 2 1 0 1 0
1 2 2 0 0 1
∼
⎡
⎣
⎢
⎢
⎢
⎢
⎢
⎤
⎦
⎥
⎥
⎥
⎥
⎥
→
1
1
2
1
1
2
0 0
2 2 1 0 1 0
1 2 2 0 0 1
1
2
1 1
:
:
:
R R
∼ − −
−
⎡
⎣
⎢
⎢
⎢
⎢
⎢
⎤
⎦
⎥
⎥
⎥
⎥
⎥
→ −
→ −
1
1
2
1
1
2
0 0
0 1 1 1 1 0
0
3
2
1
1
2
0 1
2
2 2 1
3 3
:
:
:
R R R
R R R
R1
∼
−
− −
−
⎡
⎣
⎢
⎢
⎢
⎢
⎢
⎤
⎦
⎥
⎥
⎥
⎥
⎥
→ −
1 0
3
2
1
1
2
0
0 1 1 1 1 0
0 0
5
2
1
3
2
1
1
2
1 1 2
:
:
:
R R R
R3
3 3 2
3
2
→ −
R R
∼
−
− −
−
⎡
⎣
⎢
⎢
⎢
⎢
⎢
⎤
⎦
⎥
⎥
⎥
⎥
⎥ →
1 0
3
2
1
1
2
0
0 1 1 1 1 0
0 0 1
2
5
3
5
2
5
2
5
3 3
:
:
: R R
∼
1 0 0
0
2
5
2
5
3
5
0 1 0
3
5
2
5
2
5
0 0 1
2
5
3
5
2
5
3
2
1 1
:
:
:
−
−
−
⎡
⎣
⎢
⎢
⎢
⎢
⎢
⎢
⎢
⎤
⎦
⎥
⎥
⎥
⎥
⎥
⎥
⎥
→ −
R R R
R
R R R
3
2 2 3
→ +
∴ the inverse of A is A −
=
−
−
−
⎡
⎣
⎢
⎢
⎢
⎢
⎢
⎢
⎢
⎤
⎦
⎥
⎥
⎥
⎥
⎥
⎥
⎥
1
2
5
2
5
3
5
3
5
2
5
2
5
2
5
3
5
2
5
M01_ENGINEERING_MATHEMATICS-I _CH01_Part A.indd 52 5/30/2016 4:36:11 PM
Matrices ■ 1.53
∴ X A B
−
= 1
⇒
x
y
z
⎡
⎣
⎢
⎢
⎢
⎢
⎢
⎢
⎢
⎤
⎦
⎥
⎥
⎥
⎥
⎥
⎥
=
−
−
−
⎡
⎣
⎢
⎢
⎢
⎢
⎢
⎢
⎢
⎤
⎦
⎥
⎥
⎥
⎥
⎥
⎥
⎥
⎡
⎣
2
5
2
5
3
5
3
5
2
5
2
5
2
5
3
5
2
5
10
9
11
⎢
⎢
⎢
⎢
⎢
⎢
⎢
⎤
⎦
⎥
⎥
⎥
⎥
⎥
⎥
=
−
− + +
− +
⎡
⎣
⎢
⎢
⎢
⎢
⎢
⎢
⎢
⎤
⎦
⎥
⎥
⎥
⎥
⎥
⎥
⎥
=
−
20
5
18
5
33
5
30
5
18
5
22
5
20
5
27
5
22
5
38 3
+
3
3
5
40 30
5
42 27
5
1
2
3
−
−
⎡
⎣
⎢
⎢
⎢
⎢
⎢
⎢
⎢
⎤
⎦
⎥
⎥
⎥
⎥
⎥
⎥
⎥
=
⎡
⎣
⎢
⎢
⎢
⎢
⎢
⎢
⎤
⎦
⎥
⎥
⎥
⎥
⎥
⎥
∴ the solution is x y z
= = =
1 2 3
, , .
EXERCISE 1.4
Find the matrix inverse by Gauss–Jordan method
1.
1 1 3
1 3 3
2 4 4
−
− − −
⎡
⎣
⎢
⎢
⎢
⎤
⎦
⎥
⎥
⎥
2.
2 2 6
2 6 6
4 8 8
−
− −
⎡
⎣
⎢
⎢
⎢
⎤
⎦
⎥
⎥
⎥
3.
2 1 2
2 2 1
1 2 2
⎡
⎣
⎢
⎢
⎢
⎤
⎦
⎥
⎥
⎥
4.
8 4 0
4 8 4
0 4 8
−
− −
−
⎡
⎣
⎢
⎢
⎢
⎤
⎦
⎥
⎥
⎥
5.
2 2 4
2 3 2
1 1 1
−
−
⎡
⎣
⎢
⎢
⎢
⎤
⎦
⎥
⎥
⎥
6.
2 1 1
3 2 3
1 4 9
⎡
⎣
⎢
⎢
⎢
⎤
⎦
⎥
⎥
⎥
7. Solve the system of linear equations x y z x y z x y z
+ + = − + = + + =
9 2 3 4 13 3 4 5 40
, , , finding the
inverse matrix by Gauss–Jordan method.
8. Solve the system of equations 2 10 3 2 3 18 4 9 16
x y z x y z x y z
+ + = + + = + + =
, , , finding the inverse
matrix by Gauss–Jordan method.
ANSWERS TO EXERCISE 1.4
1. A −
= − −
− − −
⎡
⎣
⎢
⎢
⎢
⎢
⎢
⎢
⎢
⎤
⎦
⎥
⎥
⎥
⎥
⎥
⎥
⎥
1
3 1
3
2
5
4
1
4
3
4
1
4
1
4
1
4
2. A −
= −
− −
⎡
⎣
⎢
⎢
⎢
⎤
⎦
⎥
⎥
⎥
1 1
56
12 4 6
1 5 3
5 3 1
3. A −
=
−
−
−
⎡
⎣
⎢
⎢
⎢
⎤
⎦
⎥
⎥
⎥
1 1
5
2 2 3
2 2 2
2 3 2
4. A −
=
⎡
⎣
⎢
⎢
⎢
⎤
⎦
⎥
⎥
⎥
1 1
16
3 2 1
2 4 2
1 2 3
5. A −
=
− −
⎡
⎣
⎢
⎢
⎢
⎤
⎦
⎥
⎥
⎥
1 1
10
5 2 16
0 2 4
5 0 10
6. A −
=
− −
−
− −
⎡
⎣
⎢
⎢
⎢
⎢
⎢
⎢
⎢
⎤
⎦
⎥
⎥
⎥
⎥
⎥
⎥
⎥
1
3
5
2
1
2
12
17
2
3
2
5
7
2
1
2
7. x y z
= = =
1 3 5
, , 8. x y z
= = − =
7 9 5
, ,
M01_ENGINEERING_MATHEMATICS-I _CH01_Part A.indd 53 5/30/2016 4:36:16 PM
1.54 ■ Engineering Mathematics
1.6 EIGEN VALUES AND EIGEN VECTORS
1.6.0 Introduction
In this section we study certain numbers associated with a square matrix, called eigen values and
certain vectors associated with them, called eigen vectors. The problem of determining eigen values
and eigen vectors of a square matrix is called an eigen value problem. The eigen value problem arise in
a wide range of physical and engineering applications such as mechanical system, electrical networks,
Markov processes, elastic deformations, etc.
Eigen value problems are used in diagonalisation of a matrix of a quadratic form.
1.6.1 Vector
The vector 2 3 4
i j k
+ − can be regarded as the triplet (2, 3, −4).
Definition 1.28 An ordered n-tuple (x1
, x2
, …, xn
) of numbers x1
, x2
, …, xn
is called an n-dimensional
vector.
For example the triplet (2, 3, −4) is a 3-dimensional vector. (1, 0, −2, 3) is a 4-dimensional vector.
A row matrix is also called a row vector and a column matrix is called a column vector.
Definition 1.29 If X1
= (a1
, a2
, …, an
), X2
= (b1
, b2
, …, bn
) be two n-dimensional vectors, then their
sum and scalar multiplications are
X1
+ X2
= (a1
+ b1
, a2
+ b2
, …, an
+ bn
),
aX1
= (aa1
, aa2
, …, aan
), which are n-dimensional vectors.
X1
= X2
if and only if a1
= b1
, a2
= b2
, …, an
= bn
Definition 1.30 Linear Combination
If X1
, X2
, …, Xr
are r vectors of n-dimension and if a1
, a2
, …, ar
are numbers, then the vector
a1
X1
+ a2
X2
+ … + ar
Xr
is called a linear combination of the vectors X1
, X2
, …, Xr
.
Definition 1.31 Linearly dependent and independent vectors
(a) The set of vectors X1
, X2
, …, Xr
is said to be linearly dependent if there exist numbers
a1
, a2
, …, ar
, not all zero, such that a1
X1
+ a2
X2
+ … + ar
Xr
= 0
(b) The set of vectors X1
, X2
, …, Xr
is said to be linearly independent if any relation of the form
a1
X1
+ a2
X2
+ … + ar
Xr
= 0 ⇒ a1
= 0, a2
= 0, …, ar
= 0
Note
(i) If X1
, X2
, …, Xr
are linearly dependent, then some vector is a linear combination of others.
(ii) In a plane or 2-dimensional space, non-collinear vectors are linearly independent vectors whereas
collinear vectors are dependent vectors.
In 3-dimesional space, non-coplanar vectors are linearly independent vectors whereas coplanar
vectors are dependent vectors.
Example: i j k
= = =
( , , ), ( , , ), ( , , )
1 0 0 0 1 0 0 0 1 are linearly independent vectors.
(iii) Any set of vectors containing zero vector 0 is a linearly dependent set.
M01_ENGINEERING_MATHEMATICS-I _CH01_Part A.indd 54 5/30/2016 4:36:18 PM
Matrices ■ 1.55
(iv) Rank of an m × n matrix A is equal to the maximum number of independent column vectors or
row vectors of A.
(v) A useful result to test linear independence:
Let X1
, X2
, …, Xn
be n vectors of n-dimensional space. Let A be the matrix having these n-vectors as
columns (or rows). Then A is a square matrix of order n. If A ≠ 0 , then X1
, X2
, …, Xn
are linearly
independent.
If A = 0 , then X1
, X2
, …, Xn
are linearly dependent.
WORKED EXAMPLES
EXAMPLE 1
Show that the vectors (1, 2, 3), (3, 22, 1), (1, 26, 25) are linearly dependent.
Solution.
Let A = − −
−
⎡
⎣
⎢
⎢
⎢
⎤
⎦
⎥
⎥
⎥
1 3 1
2 2 6
3 1 5
with the vectors as columns.
Then A = − −
−
= ⋅ + − − + + ⋅ + = − + =
1 3 1
2 2 6
3 1 5
1 10 6 3 10 18 1 2 6 16 24 8 0
( ) ( ) ( )
∴ the vectors (1, 2, 3), (3, −2, 1) and (1, −6, −5) are linearly dependent.
EXAMPLE 2
Show that the vectors X1
= (1, 2, 23, 4), X2
= (3, 21, 2, 1), X3
= (1, 25, 8, 27) are linearly
dependent and find the relation between them.
Solution.
Let A =
−
−
− −
⎡
⎣
⎢
⎢
⎢
⎤
⎦
⎥
⎥
⎥
1 2 3 4
3 1 2 1
1 5 8 7
with the vectors as rows.
We shall use elementary row operations.
∴ A ∼ −
1 2 3 4
0 7 11 11
0 7 11 11
3
2 2 1 2
3 3 1 3
−
−
− −
⎡
⎣
⎢
⎢
⎢
⎤
⎦
⎥
⎥
⎥
→ − = ′
→ − = ′
R R R R
R R R R
∼
∼
1 2 3 4
0 7 11 11
0 0 0 0 3 3 2 3
−
− −
⎡
⎣
⎢
⎢
⎢
⎤
⎦
⎥
⎥
⎥ → ′ − ′ = ′′
R R R R
Since the maximum number of non-zero rows is 2, which is less than the number of vectors, the given
vectors are linearly dependent.
M01_ENGINEERING_MATHEMATICS-I _CH01_Part B.indd 55 5/30/2016 5:03:24 PM
1.56 ■ Engineering Mathematics
The relation between them is obtained as below.
′′= ⇒ ′ − ′ =
⇒ − − − =
⇒ − + =
R R R
R R R R
R R R
3 3 2
3 1 2 1
3 2 1
0 0
3 0
2 0
( )
Since the rows are vectors, we get X3
− X2
+ 2X1
= 0 which is the relation between the vectors.
Note The rows of the matrix are the given vectors. So, only row operations must be used to find the
relationship between the vectors.
1.6.2 Eigen Values and Eigen Vectors
Definition 1.32 Let A be a square matrix of order n. A number l is called an eigen value of A if there
exists a non-zero column matrix X such that AX = lX. Then X is called an eigen vector of A cor-
responding to l.
If A and X
ij n n
n
= ⎡
⎣ ⎤
⎦ =
⎡
⎣
⎢
⎢
⎢
⎢
⎤
⎦
⎥
⎥
⎥
⎥
×
a
x
x
x
1
2
:
, then AX = lX ⇒ (A − lI)X = 0.
This will represent a system of linear homogeneous equations in x1
, x2
, …, xn
.
Since X ≠ 0 at least one of the xi
≠ 0.
Hence, the homogeneous system has nontrivial solutions.
∴ the determinant of coefficients A I
− =
l 0.
This equation is called the characteristic equation of A.
The determinant A I
− l , on expansion, will be a nth
degree polynomial in l and is known as the
characteristic polynomial of A.
The roots of the characteristic equation are the eigen values of A.
Definition 1.33 Characteristic Equation and Characteristic Polynomial
If l is a characteristic root of a square matrix A, then A I
− =
l 0 is called the characteristic equation
of A.
The polynomial A I
− l in l is called the characteristic polynomial of A.
Note
(1) The word ‘eigen’ is German, which means ‘characteristic’ or ‘proper’. So, an eigen value is also
known as characteristic root or proper value. Sometimes it is also known as latent root.
(2) If A I
=
⎡
⎣
⎢
⎤
⎦
⎥ =
⎡
⎣
⎢
⎤
⎦
⎥
a a
a a
11 12
21 22
1 0
0 1
, , then the characteristic equation of A is
A I
− =
l 0
⇒
−
−
=
⇒ − − − =
a a
a a
a a a a
11 12
21 22
11 22 21 12
0
0
l
l
l l
( )( )
M01_ENGINEERING_MATHEMATICS-I _CH01_Part B.indd 56 5/30/2016 5:03:25 PM
Matrices ■ 1.57
⇒ ⋅ − +
a a a a
11 22 11
( 2
22
2
21 12
2
11 22 11 22 21 12
2
1
0
0
)
( ) ( )
l l
l l
l l
+ − =
⇒ − + + − =
⇒ − +
a a
a a a a a a
S S2
2 0
=
where S1
= a11
+ a22
= sum of the diagonal elements of A.
S A
2 11 22 21 12
= ⋅ − ⋅ =
a a a a
(3) If A I
=
⎡
⎣
⎢
⎢
⎢
⎤
⎦
⎥
⎥
⎥
=
⎡
⎣
⎢
⎢
⎢
⎤
⎦
a a a
a a a
a a a
11 12 13
21 22 23
31 32 33
1 0 0
0 1 0
0 0 1
, ⎥
⎥
⎥
⎥
, then the characteristic equation of A is
A I
− =
l 0
⇒
a a a
a a a
a a a
11 12 13
21 22 23
31 32 33
0
−
−
−
l
l
l
=
Expanding this determinant we will get
l3
− S1
l2
+ S2
l − S3
= 0,
where S1
= sum of the diagonal elements of A
S2
= sum of the minors of elements of the main diagonal
S3
= A
We will use this formula in problems.
Definition 1.34 The set of all distinct eigen values of the square matrix A is called the spectrum ofA.
The largest of the absolute values of the eigen values of A is called the spectral radius of A. The set
of all eigen vectors corresponding to an eigen value l of A, together with zero vector, forms a vector
space which is called the eigenspace of A corresponding to l.
1.6.3 Properties of Eigen Vectors
Theorem 1.3
(1) Eigen vector corresponding to an eigen value is not unique.
(2) Eigen vectors corresponding to different eigen values are linearly independent.
Proof
(1) Let l be an eigen value of a square matrix A of order n.
Let X be an eigen vector corresponding to l.
Then AX = lX
Multiply by a constant C
∴ C(AX) = C(lX) ⇒ A(CX) = l(CX)
Since C ≠ 0, X ≠ 0 we have CX ≠ 0
∴ CX is an eigen vector corresponding to l for any C ≠ 0. Hence, eigen vector is not unique
for the eigen value l.
M01_ENGINEERING_MATHEMATICS-I _CH01_Part B.indd 57 5/30/2016 5:03:26 PM
1.58 ■ Engineering Mathematics
(2) Let l1
, l2
be two different eigen values of A.
Let X1
, X2
be the corresponding eigen vectors.
∴ AX1
= l1
X1
(1)
and AX2
= l2
X2
(2)
We have to prove X1
and X2
are linearly independent.
Suppose a1
X1
+ a2
X2
= 0 (3)
then A(a1
X1
+ a2
X2
) = 0
⇒ a a
1 1 2 2 0
( ) ( )
AX AX
+ =
⇒ a l a l
1 1 1 2 2 2 0
( ) ( )
X X
+ =
⇒ ( ) ( )
a l a l
1 1 1 2 2 2 0
X X
+ = (4)
Multiply (3) by l1
, we get
l a l a
1 1 1 1 2 2 0
( ) ( )
X X
+ =
⇒ ( ) ( )
a l a l
1 1 1 2 1 2 0
X X
+ = (5)
(4) − (5) ⇒ a l l
2 2 1 2 0
( )
− =
X (6)
Since l l l l
1 2 2 1 2
0 0
≠ ⇒ − ≠ ≠
and X
∴ ( )
l l
2 1 2 0
− ≠
X
∴ (6) ⇒ =
a2 0 ∴ (3) ⇒ =
a1 1 0
X ⇒ a1 1
0 0
= ≠
, .
since X
Thus, a a
1 1 2 2 0
X X
+ = ⇒ a a
1 2
0 0
= =
and
∴ X1
and X2
are linearly independent.
Note
(1) If all the n eigen values l1
, l2
, …, ln
of A are different, then the corresponding eigen vectors
X1
, X2
, …, Xn
are linearly independent.
(2) A given eigen vector of A corresponds to only one eigen value of A.
(3) Eigen vectors corresponding to equal eigen values may be linearly independent or dependent.
WORKED EXAMPLES
EXAMPLE 1
Find the eigen values and eigen vectors of the matrix
4 1
3 2
.
⎡
⎣
⎢
⎤
⎦
⎥
Solution.
Let A =
⎡
⎣
⎢
⎤
⎦
⎥
4 1
3 2
.
The characteristic equation of A is A I
− =
l 0
M01_ENGINEERING_MATHEMATICS-I _CH01_Part B.indd 58 5/30/2016 5:03:29 PM
Matrices ■ 1.59
⇒
4 1
3 2
0
−
−
=
l
l
⇒ l l
2
1 2 0
− + =
S S
where S1
= sum of the diagonal elements of A = 4 + 2 = 6
S A
2
4 1
3 2
8 3 5
= = = − =
∴ the characteristic equation is l2
− 6l + 5 = 0 ⇒ (l − 1) (l − 5) = 0 ⇒ l = 1, 5
which are the eigen values of A.
To find eigen vectors:
Let X =
⎡
⎣
⎢
⎤
⎦
⎥
x
x
1
2
be an eigen vector of A corresponding to l.
Then ( )
A I X
− =
l 0 ⇒
4 1
3 2
0
0
1
2
−
−
⎡
⎣
⎢
⎤
⎦
⎥
⎡
⎣
⎢
⎤
⎦
⎥ =
⎡
⎣
⎢
⎤
⎦
⎥
l
l
x
x
⇒
( )
( )
4 0
3 2 0
1 2
1 2
− + =
+ − =
⎫
⎬
⎭
l
l
x x
x x (I)
Case (i) If l = 1, then equations (I) become
3x1
+ x2
= 0 and 3x1
+ x2
= 0 ∴ x2
= −3x1
Choosing x1
= 1, we get x2
= −3. ∴ eigen vector is X1
1
3
=
−
⎡
⎣
⎢
⎤
⎦
⎥
Case (ii) If l = 5, then equations (I) become
−x1
+ x2
= 0 and 3x1
− 3x2
= 0 ∴ x1
= x2
Choosing x1
= 1, we get x2
= 1 ∴ eigen vector is X2
1
1
=
⎡
⎣
⎢
⎤
⎦
⎥
Thus, eigen values of A are 1, 5 and the corresponding eigen vectors are
1
3
1
1
−
⎡
⎣
⎢
⎤
⎦
⎥
⎡
⎣
⎢
⎤
⎦
⎥
,
Note In case (i) we have only one equation 3x1
+ x2
= 0 to solve for x1
and x2
. So, we have infinite
number of solutions x1
= k, x2
= −3k, for any k ≠ 0. We have chosen the simplest solution.
Infact
k
k
k
−
⎡
⎣
⎢
⎤
⎦
⎥ =
−
⎡
⎣
⎢
⎤
⎦
⎥
3
1
3
is an eigen vector for l = 1 for any k ≠ 0. So, for l = 1 there are many eigen
vectors. This verifies property 1.
EXAMPLE 2
Show that the real matrix a b
b a
2
⎡
⎣
⎢
⎤
⎦
⎥
has two eigen vectors
1
i
⎡
⎣
⎢
⎤
⎦
⎥ and
1
−i
⎡
⎣
⎢
⎤
⎦
⎥, where b ≠ 0.
Solution.
Let A =
−
⎡
⎣
⎢
⎤
⎦
⎥
a b
b a
.
The characteristic equation of A is A I
− =
l 0
M01_ENGINEERING_MATHEMATICS-I _CH01_Part B.indd 59 5/30/2016 5:03:32 PM
1.60 ■ Engineering Mathematics
⇒
a b
b a
−
− −
=
l
l
0 ⇒ l l
2
1 2 0
− + =
S S
where S1
= sum of the diagonal elements of A = a + a = 2a
S A
2
2 2
= =
−
= +
a b
b a
a b
∴ the characteristic equation is
l2
− 2al + (a2
+ b2
) = 0 ⇒ l = ± − +
=
± −
=
±
= + −
2 4 4
2 4
2
2 2
2
2 2 2
2
a a a b
a b a ib
a ib a ib
( )
or
which are the eigen values of A.
To find eigen vectors:
Let X =
⎡
⎣
⎢
⎤
⎦
⎥
x
x
1
2
be an eigen vector of A corresponding to l.
Then ( )
A I X
− = ⇒
−
− −
⎡
⎣
⎢
⎤
⎦
⎥
⎡
⎣
⎢
⎤
⎦
⎥ =
⎡
⎣
⎢
⎤
⎦
⎥
l
l
l
0
0
0
1
2
a b
b a
x
x
⇒
( )
( )
a x bx
bx a x
− + =
− + − =
⎫
⎬
⎭
l
l
1 2
1 2
0
0 (I)
Case (i) If l = a + ib, then the equations (I) become
( ( ))
a a ib x bx
− + +
1 2 0
=
and − + − −
bx a a ib x
1 2 0
( ) =
⇒ − + =
ibx bx
1 2 0 ⇒ x ix
2 1
=
and − − =
bx ibx
1 2 0 ⇒ − =
x ix
1 2
⇒ i x ix
2
1 2
= ⇒ x ix
2 1
=
So, we have only one equation x ix
2 1
=
Choosing x1
= 1, we get x2
= i ∴ an eigen vector is X1
1
=
⎡
⎣
⎢
⎤
⎦
⎥
i
Case (ii) If l = a − ib, then the equations (I) become
and
( )
( )
a a ib x bx
bx a a ib x
− + + =
− + − + =
1 2
1 2
0
0
⇒ ibx bx x ix
bx ibx x ix
1 2 2 1
1 2 2 1
0
0
+ = ⇒ = −
− + = ⇒ = −
Choosing x1
= 1, we get x2
= −i ∴ an eigen vector is X2
1
=
⎡
⎣
⎢
⎤
⎦
⎥
−i
M01_ENGINEERING_MATHEMATICS-I _CH01_Part B.indd 60 5/30/2016 5:03:36 PM
Matrices ■ 1.61
Thus, the eigen values of A are a + ib, a − ib and the corresponding eigen vectors are
X1
1
=
⎡
⎣
⎢
⎤
⎦
⎥
i
and X2
1
=
⎡
⎣
⎢
⎤
⎦
⎥
i
−
EXAMPLE 3
Find the eigen values and eigen vectors of the matrix
3 4 4
1 2 4
1 1 3
2
2
2
⎡
⎣
⎢
⎢
⎢
⎤
⎦
⎥
⎥
⎥
.
Solution.
Let A =
−
−
⎡
⎣
⎢
⎢
⎢
⎤
⎦
⎥
⎥
⎥
3 4 4
1 2 4
1 1 3
−
The characteristic equation of A is A I
− =
l 0
⇒
3 4 4
1 2 4
1 1 3
0
− −
− −
− −
=
l
l
l
⇒ l l l
3
1
2
2 3 0
− + − =
S S S
where S1
= sum of main diagonal elements of A = 3 + (−2) + 3 = 4
S2
= sum of minors of diagonal elements of A
=
−
−
+ +
−
−
= − + + − + − + = − + + − =
2 4
1 3
3 4
1 3
3 4
1 2
6 4 9 4 6 4 2 5 2 1
( ) ( )
and S A
3 3 6 4 4 3 4 4 1 2 6 4 4 6
= = − + + − + − + = − − + = −
( ) ( ) ( )
∴ the characteristic equation is l3
− 4l2
+ l + 6 = 0
We choose integer factors of constant term 6 for trial solution. We find l = −1 is a root. To find the
other roots we perform synthetic division
Other roots are given by
⇒
⇒
l l
l l
l
2
5 6 0
2 3 0
2 3
− + =
− − =
=
( )( )
or
−
−
− −
−
1
1 4 1 6
0 1 5 6
1 5 6 0
∴ the eigen values are l = −1, 2, 3 [different roots]
To find eigen vectors:
Let X =
⎡
⎣
⎢
⎢
⎢
⎤
⎦
⎥
⎥
⎥
x
x
x
1
2
3
be an eigen vector corresponding to the eigen value l.
Then ( )
A I X
− = ⇒
− −
− −
− −
⎡
⎣
⎢
⎢
⎢
⎤
⎦
⎥
⎥
⎥
⎡
⎣
⎢
⎢
⎢
⎤
⎦
⎥
⎥
⎥
=
l
l
l
l
0
3
1
1
4 4
2 4
1 3
0
0
0
1
2
3
x
x
x
⎡
⎡
⎣
⎢
⎢
⎢
⎤
⎦
⎥
⎥
⎥
⇒
M01_ENGINEERING_MATHEMATICS-I _CH01_Part B.indd 61 5/30/2016 5:03:38 PM
1.62 ■ Engineering Mathematics
⇒
( )
( )
( )
3 4 4 0
2 4 0
3 0
1 2 3
1 2 3
1 2 3
− − + =
− + + =
− + − =
⎫
⎬
⎪
⎭
⎪
l
l
l
x x x
x x x
x x x
(I)
Case (i) If l = −1, then the equations (I) become
4x1
− 4x2
+ 4x3
= 0 ⇒ x1
− x2
+ x3
= 0
x1
− x2
+ 4x3
= 0 and x1
− x2
+ 4x3
= 0
The different equations are x1
− x2
+ x3
= 0 and x1
− x2
+ 4x3
= 0
By rule of cross multiplication, we get
⇒
x x x
x x x x x x
1 2 3
1 2 3 1 2 3
4 1 1 4 1 1
3 3 0 1 1 0
− +
=
−
=
− +
−
=
−
= ⇒ = =
Choosing x1
= 1, x2
= 1, x3
= 0, we get an eigen vector X1
1
1
0
=
⎡
⎣
⎢
⎢
⎤
⎦
⎥
⎥
Case (ii) If l = 2, then equations (I) become
x1
− 4x2
+ 4x3
= 0, x1
− 4x2
+ 4x3
= 0 and x1
− x2
+ x3
= 0
∴ the different equations are x1
− 4x2
+ 4x3
= 0 and x1
− x2
+ x3
= 0
By the rule of cross multiplication, we get
⇒
x x x
x x x x x x
1 2 3
1 2 3 1 2 3
4 4 4 1 1 4
0 3 3 0 1 1
− + −
=
− +
= = ⇒ = =
=
Choosing x1
= 0, x2
= 1, x3
= 1, we get an eigen vector X2
0
1
1
=
⎡
⎣
⎢
⎢
⎤
⎦
⎥
⎥
Case (iii) If l = 3, then equations (I) become
0 4 4 0 0 0
5 4 0 0 0
1 2 3 1 2 3
1 2 3 1 2 3
x x x x x x
x x x x x x
− + = ⇒ − + =
− + = − + =
and
The equations are different, but only two of them are independent. So, we can choose any two of them
to solve. From the first two equations, we get
⇒
x x x
x x x
1 2 3
1 2 3
4 5 1 0 0 1
1 1 1
− +
=
−
=
+
= =
−1
−1
x1
x2 x3
1 −1
1 −1
1
4
−4
−1
x1 x2 x3
1 −4
1 −1
4
1
−1
−5
x1
x2
x3
0 −1
1 −5
1
4
M01_ENGINEERING_MATHEMATICS-I _CH01_Part B.indd 62 5/30/2016 5:03:40 PM
Matrices ■ 1.63
Choosing x1
= 1, x2
= 1, x3
= 1, we get an eigen vector X3
1
1
1
=
⎡
⎣
⎢
⎢
⎤
⎦
⎥
⎥
Thus, the eigen values of A are −1, 2, 3 and corresponding eigen vectors are
X X X
1 2 3
1
1
0
0
1
1
1
1
1
=
⎡
⎣
⎢
⎢
⎤
⎦
⎥
⎥
=
⎡
⎣
⎢
⎢
⎤
⎦
⎥
⎥
=
⎡
⎣
⎢
⎢
⎤
⎦
⎥
⎥
, ,
Note
(1) We are using the following integer root theorem for trial solution. “For the equation of the form
xn
+ an − 1
xn − 1
+ an − 2
xn − 2
+ … + a1
x + a0
= 0 with integer coefficients ai
, any rational root is an
integer and is a factor of the constant term a0
”. So, it is enough we try factors of the constant term
for integer solutions. If there is no integer solution, then real roots should be irrational.
(2) In the above problem the eigen values −1, 2, 3 are different. So, by property (2) the eigen vectors
are linearly independent. We shall verify this:
Consider B =
⎡
⎣
⎢
⎢
⎢
⎤
⎦
⎥
⎥
⎥
1 1 0
0 1 1
1 1 1
with the eigen vectors as rows.
Then B = ⋅ − − + = ≠
1 0 1 1 0 1 0
( )
∴ X1
, X2
, X3
are linearly independent.
EXAMPLE 4
Find the eigen values and eigen vectors of
2 2 1
1 3 1
1 2 2
⎡
⎣
⎢
⎢
⎤
⎦
⎥
⎥
.
Solution.
Let A =
⎡
⎣
⎢
⎢
⎤
⎦
⎥
⎥
2 2 1
1 3 1
1 2 2
The characteristic equation of A is A I
− =
l 0
⇒
2 2 1
1 3 1
1 2 2
0
−
−
−
=
l
l
l
⇒ l l l
3
1
2
2 3 0
− + − =
S S S
where S1
= sum of the diagonal elements of A = 2 + 3 + 2 = 7
S2
= sum of minors of the diagonal elements of determinant A
= + + = − + − + − =
= = − − − + − = −
3 1
2 2
2 1
1 2
2 2
1 3
6 2 4 1 6 2 11
2 6 2 2 2 1 1 2 3 8
3
S A ( ) ( ) ( ) 2
2 1 5
− =
∴ the characteristic equation is l3
− 7l2
+ 11l − 5 = 0
M01_ENGINEERING_MATHEMATICS-I _CH01_Part B.indd 63 5/30/2016 5:03:42 PM
1.64 ■ Engineering Mathematics
Choose the integer factors of constant term −5 for trial.
The integer factors of −5 are −5, 1, or −1, 5.
We find l = 1 is a root.
Other roots are given by l2
− 6l + 5 = 0
⇒ (l − 1) (l − 5) = 0
⇒ l = 1, 5
∴ the eigen values are l = 1, 1, 5 (Two equal eigen values)
To find eigen vectors:
Let X =
⎡
⎣
⎢
⎢
⎢
⎤
⎦
⎥
⎥
⎥
x
x
x
1
2
3
be an eigen vector of A corresponding to the eigen value l.
Then A I X
( )
− = ⇒
−
−
−
⎡
⎣
⎢
⎢
⎤
⎦
⎥
⎥
⎡
⎣
⎢
⎢
⎤
⎦
⎥
⎥
=
⎡
⎣
⎢
l
l
l
l
0
2 2 1
1 3 1
1 2 2
0
0
0
1
2
3
x
x
x ⎢
⎢
⎤
⎦
⎥
⎥
⇒ ( )
( )
( )
2 2 0
3 0
2 2 0
1 2 3
1 2 3
1 2 3
− + + =
+ − + =
+ + − =
⎫
⎬
⎪
⎭
⎪
l
l
l
x x x
x x x
x x x
(I)
Case (i) If l = 5, then the equations (I) become
−3x1
+ 2x2
+ x3
= 0, x1
− 2x2
+ x3
= 0 and x1
+ 2x2
− 3x3
= 0
These 3 equations are different, but only 2 of them are independent.
So, we can choose any two of them to solve for x1
, x2
, x3
.
From last two equations, by the rule of cross multiplication, we get
⇒
⇒
x x x
x x x
x x x
1 2 3
1 2 3
1 2 3
6 2 1 3 2 2
4 4 4
1 1 1
−
=
+
=
+
= =
= =
Choosing x1
= 1, x2
= 1, x3
= 1, we get an eigen vector X1
1
1
1
=
⎡
⎣
⎢
⎢
⎢
⎤
⎦
⎥
⎥
⎥
Case (ii) If l = 1, then the equations (I) become
x1
+ 2x2
+ x3
= 0, x1
+ 2x2
+ x3
= 0 and x1
+ 2x2
+ x3
= 0
We have only one equation x1
+ 2x2
+ x3
= 0 to solve for x1
, x2
, x3
. Assign arbitrary values for two var-
iables and solve for the third.
Choose x3
= 0, then x1
+ 2x2
= 0 ⇒ x1
= −2x2
Choose x2
= 1, ∴ x1
= −2, we get an eigen vector X2
2
1
0
=
−
⎡
⎣
⎢
⎢
⎢
⎤
⎦
⎥
⎥
⎥
1 1 7 11 5
0 1 6 5
1 6 5 0
− −
−
−
−2
2
x1
x2
x3
1 −2
1 2
1
−3
M01_ENGINEERING_MATHEMATICS-I _CH01_Part B.indd 64 5/30/2016 5:03:43 PM
Matrices ■ 1.65
We shall find one more solution from x1
+ 2x2
+ x3
= 0
Choose x2
= 0 then x1
+ x3
= 0 ⇒ x3
= − x1
Choose x1
= 1 ∴ x3
= −1
∴ another eigen vector corresponding to l = 1 is X3
1
0
1
=
−
⎡
⎣
⎢
⎢
⎢
⎤
⎦
⎥
⎥
⎥
Thus, eigen values of A are 5, 1, 1 and the corresponding eigen vectors are
X X and X
1 2 3
1
1
1
2
1
0
1
0
1
=
⎡
⎣
⎢
⎢
⎢
⎤
⎦
⎥
⎥
⎥
=
−
⎡
⎣
⎢
⎢
⎢
⎤
⎦
⎥
⎥
⎥
=
−
⎡
⎣
⎢
⎢
⎢
⎤
⎦
⎥
⎥
⎥
,
Note Though the eigen values are not different, we could find independent eigen vectors.
For, consider B = −
−
⎡
⎣
⎢
⎢
⎢
⎤
⎦
⎥
⎥
⎥
1 1 1
2 1 0
1 0 1
with the vectors as rows
Then B = − − − − + − = − − − = − ≠
1 1 0 1 2 0 1 0 1 1 2 1 4 0
( ) ( ) ( )
∴ X1
, X2
, X3
are linearly independent.
EXAMPLE 5
Find the eigen values and eigen vectors of the matrix
6 6 5
14 13 10
7 6 4
−
−
−
⎡
⎣
⎢
⎢
⎢
⎤
⎦
⎥
⎥
⎥
.
Solution.
Let A =
−
−
−
⎡
⎣
⎢
⎢
⎢
⎤
⎦
⎥
⎥
⎥
6 6 5
14 13 10
7 6 4
The characteristic equation of A is A I
− =
l 0
⇒
6 6 5
14 13 10
7 6 4
0
− −
− −
− −
=
l
l
l
⇒ l l l
3
1
2
2 3 0
− + − =
S S S
where S1
= sum of the diagonal elements of A = 6 + (−13) + 4 = −3
S2
= sum of minors of elements of the diagonal of A
=
−
−
+ +
−
−
= − + + − + − + = − + =
13 10
6 4
6 5
7 4
6 6
14 13
52 60 24 35 78 84 8 11 6 3
( ) ( ) ( )
S A
3 6 52 60 6 56 70 5 84 91
48 6 14 5 7 48 84 35
= = − + + − + − +
= + − + = − + =
( ) ( ) ( )
( ) ( ) −
−1
∴ the characteristic equation is l3
+ 3l2
+ 3l + 1 = 0
⇒ (l + 1)3
= 0 ⇒ l = −1, −1, −1
Three equal eigen values.
M01_ENGINEERING_MATHEMATICS-I _CH01_Part B.indd 65 5/30/2016 5:03:45 PM
1.66 ■ Engineering Mathematics
To find eigen vectors:
Let X =
⎡
⎣
⎢
⎢
⎢
⎤
⎦
⎥
⎥
⎥
x
x
x
1
2
3
be an eigen vector corresponding to the eigen value l.
Then ( )
A I X
− =
l 0
⇒
6 6 5
14 13 10
7 6 4
0
0
0
1
2
3
− −
− −
− −
⎡
⎣
⎢
⎢
⎢
⎤
⎦
⎥
⎥
⎥
⎡
⎣
⎢
⎢
⎢
⎤
⎦
⎥
⎥
⎥
=
⎡
⎣
⎢
⎢
⎢
⎤
⎦
l
l
l
x
x
x
⎥
⎥
⎥
⎥
⇒
( )
( )
( )
6 6 5 0
14 13 10 0
7 6 4 0
1 2 3
1 2 3
1 2 3
− − + =
− + + =
− + − =
⎫
⎬
⎪
⎭
l
l
l
x x x
x x x
x x x ⎪
⎪ (I)
If l = −1, then the equations (I) become
7 6 5 0
14 12 10 0 7 6 5 0
7 6 5 0
1 2 3
1 2 3 1 2 3
1 2 3
x x x
x x x x x x
x x x
− + =
− + = ⇒ − + =
− + =
We have only one equation 7x1
− 6x2
+ 5x3
= 0
Assign arbitrary values to two variables and find the third.
We shall find 3 vectors.
Putting x1
= 0, we get −6x2
+ 5x3
= 0 ⇒ 6x2
= 5x3
⇒
x x
2 3
5 6
=
Choosing x2
= 5, x3
= 6, we get an eigen vector X1
0
5
6
=
⎡
⎣
⎢
⎢
⎢
⎤
⎦
⎥
⎥
⎥
Putting x2
= 0, we get 7x1
+ 5x3
= 0 ⇒ 7x1
= −5x3
⇒
x x
1 3
5 7
=
−
Choosing x1
= 5, x3
= −7, we get the second eigen vector X2
5
0
7
=
−
⎡
⎣
⎢
⎢
⎢
⎤
⎦
⎥
⎥
⎥
Again, putting x3
= 0, we get
7x1
− 6x2
= 0 ⇒ 7x1
= 6x2
⇒
x x
1 2
6 7
=
Choosing x1
= 6, x2
= 7, we get the third eigen vector X3
6
7
0
=
⎡
⎣
⎢
⎢
⎢
⎤
⎦
⎥
⎥
⎥
Thus, eigen values of A are −1, −1, −1 and the corresponding eigen vectors are
X X
1 2
0
5
6
5
0
7
=
⎡
⎣
⎢
⎢
⎢
⎤
⎦
⎥
⎥
⎥
=
−
⎡
⎣
⎢
⎢
⎢
⎤
⎦
⎥
⎥
⎥
, and X3
6
7
0
=
⎡
⎣
⎢
⎢
⎢
⎤
⎦
⎥
⎥
⎥
,
which are different.
M01_ENGINEERING_MATHEMATICS-I _CH01_Part B.indd 66 5/30/2016 5:03:48 PM
Matrices ■ 1.67
Note If B =
−
⎡
⎣
⎢
⎢
⎢
⎤
⎦
⎥
⎥
⎥
0 5 6
5 0 7
6 7 0
with the eigen vectors as rows, then
B = − − + − − = − =
0 5 0 42 6 35 0 210 210 0
( ) ( )
∴ the vectors X1
, X2
, X3
are linearly dependent. However, any two of them are linearly independent.
Geometrically, it means that all the vectors are coplanar, but any two of them are non-collinear.
In this example we have seen −1 is the only eigen value of 3 × 3 matrix and two linearly
independent eigen vectors.
1.6.4 Properties of Eigen Values
1. A square matrix A and its transpose AT
have the same eigen values.
Proof Eigen values of A are the roots of its characteristic equation
A I
− =
l 0 (1)
We know ( ) ( )
A I A I
T T T
− = −
l l [ ( ) ]
{ A B A B
T T T
+ = +
= − = −
A I A I
T T T
l l [ ]
{ I I
T
=
∴ ( )
A I A I
T T
− = −
l l (2)
For any square matrix B, B B
T
=
∴ ( )
A I A I
T
− = −
l l (3)
From (2) and (3), A I A I
T
− = −
l l .
This shows that the characteristic polynomial of A and AT
are the same.
Hence, the characteristic equations of A and AT
is (1).
∴ A and AT
have the same eigen values. ■
2. Sum of the eigen values of a square matrix A is equal to the sum of the elements on its main
diagonal.
Proof Let A be a square matrix of order n.
Then the characteristic equation of A is A I
− =
l 0
⇒ l l l
n n n n
n
S S S
− + − + − =
− −
1
1
2
2
1 0
... ( ) (1)
where S1
= sum of the diagonal elements of A
If l1
, l2
, …, ln
are the roots of (1), then l1
, l2
, …, ln
are the eigen values of A.
From theory of equations,
sum of the roots of (1) is =
− −
coefficient of
coefficient of
n
n
l
l
1
⇒ l1
+ l2
+ … + ln
= −(−S1
) = S1
∴ the sum of the eigen values = l1
+ l2
+ … + ln
= S1
= sum of the diagonal elements of the matrix A. ■
M01_ENGINEERING_MATHEMATICS-I _CH01_Part B.indd 67 5/30/2016 5:03:50 PM
1.68 ■ Engineering Mathematics
Note Sum of the diagonal elements of A is called the trace of A.
∴ Sum of the eigen values = trace of A
3. Product of the eigen values of a square matrix A is equal to A .
Proof Let A be a square matrix of order n.
Then its characteristic equation is A I
− =
l 0
⇒ l l l
n n n n
n
S S S
− + − + − =
− −
1
1
2
2
1 0
... ( ) (1)
where S A
n = .
If l1
, l2
, …, ln
are the n roots of (1), then from theory of equations,
the product of roots = −
( )
1
constant term
coefficient of
n
n
l
⇒ l l l
1 2
2
1 1 1
… n
n n
n
n
n n
S S S A
= − − = − = =
( ) ( ) ( ) [{ (−1)2n
= 1]
∴ the product of the eigen values = = =
l l l
1 2 … n n
S A . ■
Note If at least one eigen value is 0, then A = 0 ∴ A is a singular matrix.
If all the eigen values are non-zero, then A ≠ 0
∴ A is a non-singular if all the eigen values are non-zero.
4. If l1
, l2
, …, ln
are non-zero eigen values of square matrix of order n, then
1 1 1
1 2
l l l
, , ,
…
n
are
eigen values of A
21
.
Proof Let l be any non-zero eigen value of A, then there exists a non-zero column matrix X such that
AX = lX. Since all the eigen values are non-zero, A is non-singular.
∴ A
−1
exists.
∴ A
−1
(AX) = A
−1
(lX)
⇒ (A
−1
A)X = l(A
−1
X)
⇒ IX = l(A
−1
X)
⇒ X A X X A X A X X
1 1 1
= ⇒ = ⇒ =
− − −
l
l l
( ) .
1 1
[{ l ≠ 0]
So, is an eigen value of A .
1
1
l
−
This is true for all the eigen values of A.
∴ …
1 1 1
1 2
l l l
, , ,
n
are the eigen values of A
−1
. ■
Note that the eigen vector for A
−1
corresponding to
1
l
is also X.
M01_ENGINEERING_MATHEMATICS-I _CH01_Part B.indd 68 5/30/2016 5:03:53 PM
Matrices ■ 1.69
5. If l1
, l2
, ???, ln
are the eigen values of A, then
(i) cl1
, cl2
, ???, cln
are the eigen values of cA, where c ≠ 0
(ii) l l l
1 2
m m
n
m
, , ,
… are the eigen values of Am
, where m is a positive integer.
Proof
Let l be any eigen value of A, then there exists a non-zero column matrix X such that
AX = lX (1)
(i) Multiply by c ≠ 0 then c(AX) = c(lX) ⇒ (cA) X = (cl) X
∴ cl is an eigen value of cA.
This is true for all eigen values of A.
∴ cl1
, cl2
, …, cln
are the eigen values of cA.
(ii) Now A2
X = A(AX) = A(lX) = l(AX) = l(lX) = l2
X [using (1)]
∴ A2
X = l2
X ⇒ l2
is an eigen value of A2
.
Similarly, A3
X = A(A2
X) = A(l2
X) = l2
(AX) = l2
(lX) = l3
X
A3
X = l3
X ⇒ l3
is an eigen value of A3
.
Proceeding in this way, we have Am
X = lm
X for any positive integer m.
This is true for all eigen values.
∴ l l l
1 2
m m
n
m
, , ,
… are the eigen values of Am
. ■
6. If l1
, l2
, …, ln
are the eigen values of A, then
(i) l1
2 K, l2
2 K, …, ln
2 K are the eigen values of A 2 KI.
(ii) a l 1 a l 1 a a l 1 a l 1 a a l 1 a l 1 a
0 1 1 1 2 0 2
2
1 2 2 0
2
1 2
2
, , ,
… n n are the eigen values of
a 1 a 1 a
0
2
1 2
A A I.
Proof
Let l be any eigen value of A. Then AX = lX (1)
where X ≠ 0 is a column matrix.
∴ AX − KX = lX − KX
⇒ (A − KI)X = (l − K)X
∴ l − K is an eigen value of A − KI.
This is true for all eigen values of A.
∴ l1
− K, l2
− K, …, ln
− K are the eigen values of A − KI.
(ii) We have AX = lX and A2
X = l2
X.
∴ a0
(A2
X) = a0
(l2
X) and a1
(AX) = a1
(lX)
∴ a0
(A2
X) + a1
(AX) = a0
(l2
X) + a1
(lX)
Adding a2
X on both sides, we get
a0
(A2
X) + a1
(AX) + a2
X = a0
(l2
X) + a1
(lX) + a2
X
⇒ (a0
A2
+ a1
A + a2
I)X = (a0
l2
+ a1
l + a2
)X
This means a0
l2
+ a1
l + a2
is an eigen value of a0
A2
+ a1
A + a2
I.
This is true for all eigen values of A.
∴ + + + + + +
a l a l a a l a l a a l a l a
0 1
2
1 1 2 0 2
2
1 2 2 0
2
1 2
, , ,
… n n
are the eigen values of
a a a
0
2
1 2
A A I
+ + . ■
M01_ENGINEERING_MATHEMATICS-I _CH01_Part B.indd 69 5/30/2016 5:03:54 PM
1.70 ■ Engineering Mathematics
Note
1. The eigen values of the unit matrix
1 0 0
0 1 0
0 0 1
⎡
⎣
⎢
⎢
⎢
⎤
⎦
⎥
⎥
⎥
are 1, 1, 1 and the corresponding eigen vectors are
1
0
0
0
1
0
0
0
1
⎡
⎣
⎢
⎢
⎢
⎤
⎦
⎥
⎥
⎥
⎡
⎣
⎢
⎢
⎢
⎤
⎦
⎥
⎥
⎥
⎡
⎣
⎢
⎢
⎢
⎤
⎦
⎥
⎥
⎥
, , , which are independent.
2. The eigen values of a triangular matrix
l
l
l
1 12 13
2 23
3
0
0 0
a a
a
⎡
⎣
⎢
⎢
⎢
⎤
⎦
⎥
⎥
⎥
are the main diagonal elements l1
, l2
, l3.
3. If l is an eigen value of A then AX = lX. We have seen
A2
X = l2
X, …, Am
X = lm
X.
Thus, the eigen values of A, A2
, …, Am
are l, l2
, …, lm
which are all different. But they all have
the same eigen vector X.
Similarly, l and a0
l2
+ a1
l + a2
are eigen values of A and
a0
A2
+ a1
A + a2
I. But they have the same eigen vector X.
WORKED EXAMPLES
EXAMPLE 1
Find the sum and product of the eigen values of the matrix
1 2 2
1 0 3
2 1 3
−
− − −
⎡
⎣
⎢
⎢
⎢
⎤
⎦
⎥
⎥
⎥
.
Solution.
Let A =
−
− − −
⎡
⎣
⎢
⎢
⎢
⎤
⎦
⎥
⎥
⎥
1 2 2
1 0 3
2 1 3
Sum of the eigen values = Sum of the elements on the main diagonal
= 1 + 0 + (−3) = −2
Product of the eigen values = =
−
− − −
A
1 2 2
1 0 3
2 1 3
= 1(0 + 3) − 2 (−3 + 6) − 2(−1 − 0) = 3 − 6 + 2 = −1
EXAMPLE 2
If 2 and 3 are eigen values of A 5 2 2 2
3 10 5
2 3 4
3 5 7
⎡
⎣
⎢
⎢
⎢
⎤
⎦
⎥
⎥
⎥
, find the eigen values of A
−1
and A3
.
Solution.
Given A
3 10 5
2 3 4
3 5 7
= − − −
⎡
⎣
⎢
⎢
⎢
⎤
⎦
⎥
⎥
⎥
M01_ENGINEERING_MATHEMATICS-I _CH01_Part B.indd 70 5/30/2016 5:03:56 PM
Matrices ■ 1.71
Also given 2 and 3 are two eigen values of A.
Let l be the 3rd
eigen value.
We know, sum of the eigen values = sum of the diagonal elements.
⇒ 2 + 3 + l = 3 + (−3) + 7 ⇒ l = 2
So, eigen values of A are 2, 2, 3
∴ the eigen values of A
−1
are
1
2
1
2
1
3
, , and the eigen values of A3
are 23
, 23
, 33
⇒ 8, 8, 27.
EXAMPLE 3
If
4
1
⎡
⎣
⎢
⎤
⎦
⎥ is an eigen vector of the matrix
5 4
1 2
⎡
⎣
⎢
⎤
⎦
⎥, then find the corresponding eigen value.
Solution.
Let A =
⎡
⎣
⎢
⎤
⎦
⎥
5 4
1 2
and X =
⎡
⎣
⎢
⎤
⎦
⎥
4
1
. If l is the eigen value corresponding to an eigen vector X, then
(A − lI)X = 0
⇒
5 4
1 2
4
1
0
0
5 4 4 0 6
−
−
⎡
⎣
⎢
⎤
⎦
⎥
⎡
⎣
⎢
⎤
⎦
⎥ =
⎡
⎣
⎢
⎤
⎦
⎥ ⇒ − + = ⇒ =
l
l
l l
( )⋅
EXAMPLE 4
If A 5
3 1 4
0 2 6
0 0 5
⎡
⎣
⎢
⎢
⎤
⎦
⎥
⎥
, then find the eigen values of A2
2 2A + I.
Solution.
Given A
3 1 4
0 2 6
0 0 5
=
⎡
⎣
⎢
⎢
⎤
⎦
⎥
⎥
Since A is a triangular matrix, the eigen values are the diagonal elements.
∴ 3, 2, 5 are the eigen values of A.
∴ the eigen values of A2
− 2A + I are 32
− 2 ⋅ 3 + 1, 22
− 2 ⋅ 2 + 1, 52
− 2 ⋅ 5 + 1
i.e., the eigen values of A2
− 2A + I are 4, 1, 16.
EXAMPLE 5
The product of two eigen values of the matrix A 5
2
2 2
2
6 2 2
2 3 1
2 1 3
⎡
⎣
⎢
⎢
⎤
⎦
⎥
⎥
is 16. Find the third eigen
value.
Solution.
Let l1
, l2
, l3
be the eigen values of A.
Given l1
⋅ l2
= 16
We know that l1
⋅ l2
⋅ l3
= A
⇒ 16
6 2 2
2 3 1
2 1 3
6 9 1 2 6 2 2 2 6
3
l =
−
− −
−
= − + − + + −
( ) ( ) ( )
⇒ 16 48 8 8 32
3 3
l l
= − − = ⇒ = 2
2
M01_ENGINEERING_MATHEMATICS-I _CH01_Part B.indd 71 5/30/2016 5:03:58 PM
1.72 ■ Engineering Mathematics
EXAMPLE 6
Find the eigen values of the matrix 1 2
5 4
2
2
⎡
⎣
⎢
⎤
⎦
⎥
. Hence, find the matrix whose eigen values are
1
6
and 21.
Solution.
Let A =
−
−
⎡
⎣
⎢
⎤
⎦
⎥
1 2
5 4
.
The characteristic equation of A is A I
− =
l 0
⇒
1 2
5 4
0 0
2
1 2
− −
− −
⇒ − +
l
l
l l
= =
S S
where S1
= 1 + 4 = 5 and S2
= A = 4 − 10 = −6
∴ the characteristic equation is l2
− 5l − 6 = 0 ⇒ (l − 6) (l + 1) = 0 ⇒ l = 6, −1
Since 6, −1 are the eigen values of A, by property (4),
1
6
1
, − are the eigen values of A
−1
.
So, the required matrix is A
A
adj A
1
T
−
= = −
⎡
⎣
⎢
⎤
⎦
⎥
1 1
6
4 5
2 1
= −
⎡
⎣
⎢
⎤
⎦
⎥
1
6
4 2
5 1
EXAMPLE 7
If a, b are the eigen values of
3 1
1 5
2
2
⎡
⎣
⎢
⎤
⎦
⎥ form the matrix whose eigen values are a3
, b3
.
Solution.
Let A =
−
−
⎡
⎣
⎢
⎤
⎦
⎥
3 1
1 5
.
Since a, b are the eigen values of A, by property 5(ii), a3
, b3
are the eigen values of A3
.
Now A A A
2 3 1
1 5
3 1
1 5
10
8 26
8
= ⋅ =
−
−
⎡
⎣
⎢
⎤
⎦
⎥
−
−
⎡
⎣
⎢
⎤
⎦
⎥ =
−
−
⎡
⎣
⎢
⎤
⎦
⎥
and A A A
3 2 10 8
8 26
3 1
1 5
38 50
50 138
= =
−
−
⎡
⎣
⎢
⎤
⎦
⎥
−
−
⎡
⎣
⎢
⎤
⎦
⎥ =
−
−
⎡
⎣
⎢
⎤
⎦
⎥
EXERCISE 1.5
Find eigen values and eigen vectors of the following matrices.
1.
2 2 0
2 1 1
7 2 3
− −
⎡
⎣
⎢
⎢
⎤
⎦
⎥
⎥
2.
4 20 10
2 10 4
6 30 13
− −
−
− −
⎡
⎣
⎢
⎢
⎢
⎤
⎦
⎥
⎥
⎥
3.
− −
−
− −
⎡
⎣
⎢
⎢
⎤
⎦
⎥
⎥
2 2 3
2 1 6
1 2 0
4.
7 2 0
2 6 2
0 2 5
−
− −
−
⎡
⎣
⎢
⎢
⎢
⎤
⎦
⎥
⎥
⎥
5.
6 2 2
2 3 1
2 1 3
−
− −
−
⎡
⎣
⎢
⎢
⎤
⎦
⎥
⎥
6.
1 1 3
1 5 1
3 1 1
⎡
⎣
⎢
⎢
⎢
⎤
⎦
⎥
⎥
⎥
7.
2 1 1
1 2 1
1 1 2
−
− −
−
⎡
⎣
⎢
⎢
⎤
⎦
⎥
⎥
8.
3 10 5
2 3 4
3 5 7
− − −
⎡
⎣
⎢
⎢
⎢
⎤
⎦
⎥
⎥
⎥
M01_ENGINEERING_MATHEMATICS-I _CH01_Part B.indd 72 5/30/2016 5:04:01 PM
Matrices ■ 1.73
9.
− − −
− − −
⎡
⎣
⎢
⎢
⎢
⎤
⎦
⎥
⎥
⎥
5 5 9
8 9 18
2 3 7
10.
2 1 1
1 2 1
0 0 1
⎡
⎣
⎢
⎢
⎢
⎤
⎦
⎥
⎥
⎥
ANSWERS TO EXERCISE 1.5
1. l = 1, 3, −4; eigen vectors
2
1
4
2
1
2
1
3
13
−
−
⎡
⎣
⎢
⎢
⎢
⎤
⎦
⎥
⎥
⎥ −
⎡
⎣
⎢
⎢
⎢
⎤
⎦
⎥
⎥
⎥
−
⎡
⎣
⎢
⎢
⎢
⎤
⎦
⎥
⎥
⎥
, , 2. l = 0, −1, 2; eigen vectors
5
1
0
2
0
1
0
1
2
⎡
⎣
⎢
⎢
⎢
⎤
⎦
⎥
⎥
⎥
⎡
⎣
⎢
⎢
⎢
⎤
⎦
⎥
⎥
⎥ −
⎡
⎣
⎢
⎢
⎢
⎤
⎦
⎥
⎥
⎥
, ,
3. l = −3, −3, 5; eigen vectors
2
1
0
3
0
1
1
2
1
−
⎡
⎣
⎢
⎢
⎤
⎦
⎥
⎥
⎡
⎣
⎢
⎢
⎤
⎦
⎥
⎥
−
−
⎡
⎣
⎢
⎢
⎤
⎦
⎥
⎥
, , 4. l = 3, 6, 9; eigen vectors
1
2
2
2
1
2
2
2
1
⎡
⎣
⎢
⎢
⎤
⎦
⎥
⎥ −
⎡
⎣
⎢
⎢
⎤
⎦
⎥
⎥
−
⎡
⎣
⎢
⎢
⎤
⎦
⎥
⎥
, ,
5. l = 2, 2, 8; eigen vectors
1
0
2
1
2
0
2
1
1
−
⎡
⎣
⎢
⎢
⎢
⎤
⎦
⎥
⎥
⎥
⎡
⎣
⎢
⎢
⎢
⎤
⎦
⎥
⎥
⎥
−
⎡
⎣
⎢
⎢
⎢
⎤
⎦
⎥
⎥
⎥
, , 6. l = −2, 3, 6; eigen vectors
−
⎡
⎣
⎢
⎢
⎢
⎤
⎦
⎥
⎥
⎥
−
⎡
⎣
⎢
⎢
⎢
⎤
⎦
⎥
⎥
⎥
⎡
⎣
⎢
⎢
⎢
⎤
⎦
⎥
⎥
⎥
1
0
1
1
1
1
1
2
1
, ,
7. l = 1, 1, 4; eigen vectors
1
1
0
0
1
1
1
1
1
⎡
⎣
⎢
⎢
⎢
⎤
⎦
⎥
⎥
⎥
⎡
⎣
⎢
⎢
⎢
⎤
⎦
⎥
⎥
⎥
−
⎡
⎣
⎢
⎢
⎢
⎤
⎦
⎥
⎥
⎥
, ,
8. l = 3, 2, 2; eigen vectors X1 2 3
1
1
2
5
2
5
=
−
⎡
⎣
⎢
⎢
⎢
⎤
⎦
⎥
⎥
⎥
= =
−
⎡
⎣
⎢
⎢
⎢
⎤
⎦
⎥
⎥
⎥
and X X
9. l = −1, −1, −1; eigen vectors X1
= X2
= X3
= −
⎡
⎣
⎢
⎢
⎢
⎤
⎦
⎥
⎥
⎥
3
6
2
10. l = 1, 1, 3; eigen vectors X X X
1 2 3
1
0
1
0
1
1
1
1
0
=
−
⎡
⎣
⎢
⎢
⎢
⎤
⎦
⎥
⎥
⎥
=
−
⎡
⎣
⎢
⎢
⎢
⎤
⎦
⎥
⎥
⎥
=
⎡
⎣
⎢
⎢
⎢
⎤
⎦
⎥
⎥
⎥
, ,
1.6.5 Cayley-Hamilton Theorem
Theorem 1.4 Every square matrix satisfies its characteristic equation
Proof
Let A aij n n
= [ ] ×
be a square matrix of order n.
Then the Characteristic polynomial is
A I
a a a a
a a a a
a a a a
n
n
n n n nn
− =
−
−
−
l
l
l
l
11 12 13 1
21 22 23 2
1 2 3
…
…
…
:
M01_ENGINEERING_MATHEMATICS-I _CH01_Part B.indd 73 5/30/2016 5:04:04 PM
1.74 ■ Engineering Mathematics
The coefficient of ln
is (−1)n
from the product of (a11
− l) (a22
− l)... (ann
− l).
∴ let A I a a a
n n n
− = − +…+
l l l l
( 1) 1 2
2
n
n
+ +
⎡
⎣ ⎤
⎦
− −
1
(1)
Since the elements of A − lI are at most first degree in l, the elements of adj (A − lI) are ordinary
polynomials in l of degree at most (n − 1).
∴ adj (A − lI) can be written as a matrix polynomial in l of degree n − 1.
Let adj( )
A I B B B B
n n n n
− = + + +
− − − −
l l l l
0
1
1
2
2
3 1
… n (2)
where B0
, B1
,…, Bn − 1
are n × n matrices.
The elements of these matrices are function of aij
.
We know that if A is a n × n matrix, then A A A I
(adj ) (adjA) A
= =
where I is n × n identity matrix.
∴ we have ( ) ( )
A I A I A I I
− − = − =
l l l
adj
Substituting from (1) and (2), we have
( )[ ]
( ) (
A I B B B B B
a
n n n
n n
n n n
− + + + + +
= − + +
− − −
− −
−
l l l l l
l l
0
1
1
2
2
3
2 1
1
1
1
…
a
a a a
n
n n
2
2
1
l l
−
−
+ +
… )
Equating the coefficients of lm
, ln − 1
, ln − 2
… l and term independent of l, we get
−IB0
= (−1)n
, AB0
− IB0
= (−1)n
a1
I,
AB1
− IB2
= (−1)n
a2
I, … , ABn − 2
− IBn − 1
= (−1) an − 1
I, ABn − 1
= (−1)n
an
I
Pre-multiplying the above equation by An
, An − 1
, An − 2
, …, A, I, we get
− = −
− = −
− = −
− −
− −
A B A
A B A B a A
A B A B a A
n n n
n n n n
n n n
0
0
1
1 1
1
1
1
2
2 2
1
1
1
( )
( )
( ) n
n
n
n
A B AB a
AB a
−
− − −
−
− = −
= −
2
2
2 1 1
1
1
1
:
n n n
n n
( )
( )
A
I
Adding we get,
⇒
( ) [ ... ]
...
− + + + =
+ + + =
− −
− −
1 0
0
1
1
2
2
1
1
2
2
n n n n
n
n n n
n
A a A a A a I
A a A a A a I
This means A satisfies the equation l l l
n n n
n
a a a
+ + + + =
− −
1
1
2
2
0
… ,
which is the characteristic equation of A.
Hence, the theorem.
Properties: Cayley–Hamilton Theorem has the following two important properties:
1. To find the inverse of a non-singular matrix A
2. To find higher integral power of A
M01_ENGINEERING_MATHEMATICS-I _CH01_Part B.indd 74 5/30/2016 5:04:06 PM
Matrices ■ 1.75
WORKED EXAMPLES
EXAMPLE 1
Verify that A
1 2
2 1
5
2
⎡
⎣
⎢
⎤
⎦
⎥ satisfies its characteristic equation and hence find A4
.
Solution.
Given A =
−
⎡
⎣
⎢
⎤
⎦
⎥
1 2
2 1
The characteristic equation of A is A I
− =
l 0 ⇒ l l
2
1 2 0
− + =
S S
where S S A
1 2
1 1 0 1 4 5
= + − = = = − − = −
( ) and
∴ the characteristic equation is l2
− 5 = 0 (1)
By Cayley-Hamilton theorem, A satisfies (1). That is A2
− 5I = 0 (2)
We shall now verify this by direct computation.
∴
A A A
I
A I
2
2
1 2
2 1
1 2
2 1
5 0
0 5
1 0
0 1
5
= ⋅ =
−
⎡
⎣
⎢
⎤
⎦
⎥ −
⎡
⎣
⎢
⎤
⎦
⎥ =
⎡
⎣
⎢
⎤
⎦
⎥
=
⎡
⎣
⎢
⎤
⎦
⎥
− =
5
5 0
0 5
5
1 0
0 1
5 0
0 5
5 0
0 5
0 0
0 0
⎡
⎣
⎢
⎤
⎦
⎥ −
⎡
⎣
⎢
⎤
⎦
⎥ =
⎡
⎣
⎢
⎤
⎦
⎥ −
⎡
⎣
⎢
⎤
⎦
⎥ =
⎡
⎣
⎢
⎤
⎦
⎥
⇒ A
2
− 5I = 0.
Hence, A satisfies its characteristic equation.
To find A4
: We have A
2
= 5I [from (2)]
∴ A4
= 5A2 =
⎡
⎣
⎢
⎤
⎦
⎥ =
⎡
⎣
⎢
⎤
⎦
⎥
5
5 0
0 5
25 0
0 25
.
EXAMPLE 2
Verify Cayley-Hamilton theorem for the matrix A
1 4
2 3
5
⎡
⎣
⎢
⎤
⎦
⎥ and find its inverse. Also express
A5
2 4A4
2 7A3
1 11A2
2 A 2 10I as a linear polynomial in A.
Solution.
Given A =
⎡
⎣
⎢
⎤
⎦
⎥
1 4
2 3
The characteristic equation of A is A I
− =
l 0 ⇒ l l
2
1 2 0
− + =
S S
where S S A
1 2
1 3 4 3 8 5
= + = = = − = −
,
M01_ENGINEERING_MATHEMATICS-I _CH01_Part B.indd 75 5/30/2016 5:04:09 PM
1.76 ■ Engineering Mathematics
∴ the characteristic equation is l2
− 4l − 5 = 0 (1)
By Cayley-Hamilton theorem, A satisfies (1).
∴ A2
− 4A − 5I = 0 (2)
We shall now verify this by direct computations.
A A A
2 1 4
2 3
1 4
2 3
9 16
8 17
= ⋅ =
⎡
⎣
⎢
⎤
⎦
⎥
⎡
⎣
⎢
⎤
⎦
⎥ =
⎡
⎣
⎢
⎤
⎦
⎥
A A I
2
4 5
9 16
8 17
− − =
⎡
⎣
⎢
⎤
⎤
⎦
⎥ −
⎡
⎣
⎢
⎤
⎦
⎥ −
⎡
⎣
⎢
⎤
⎦
⎥
4
1 4
2 3
5
1 0
0 1
=
⎡
⎣
⎢
⎤
⎦
⎥ −
⎡
⎣
⎢
⎤
⎦
⎥ −
⎡
⎣
⎢
⎤
⎦
⎥ =
− − − −
− − −
9 16
8 17
4 16
8 12
5 0
0 5
9 4 5 16 16 0
8 8 0 17 1
12 5
0 0
0 0
−
⎡
⎣
⎢
⎤
⎦
⎥ =
⎡
⎣
⎢
⎤
⎦
⎥
⇒ A2
− 4A − 5I = 0.
Hence, the theorem is verified.
To find A
21
: We have 5I = A2
− 4A
Multiply by A
−1
, we get 5A
−1
= A
−1
A2
− 4 A
−1
A
5 4
1 4
2 3
4
1 0
0 1
1 4
2 3
4 0
0 4
1 4
1
A−
= − =
⎡
⎣
⎢
⎤
⎦
⎥ −
⎡
⎣
⎢
⎤
⎦
⎥
=
⎡
⎣
⎢
⎤
⎦
⎥ −
⎡
⎣
⎢
⎤
⎦
⎥ =
−
A I
4
4 0
2 0 3 4
3 4
2 1
−
− −
⎡
⎣
⎢
⎤
⎦
⎥ =
−
−
⎡
⎣
⎢
⎤
⎦
⎥
∴ A−
=
−
−
⎡
⎣
⎢
⎤
⎦
⎥
1 1
5
3 4
2 1
Finally, to find A5
− 4A4
− 7A3
+ 11A2
− A − 10I:
Consider the polynomial l5
− 4l4
− 7l3
+ 11l2
− l − 10 (3)
Divide the polynomial (3) by l2
− 4l − 5.
Division is indicated below.
l l
l l
l l l l l
l l l
l l l
2
3
5
5
3
4 5
2 3
4 7 11 10
4 5
2 11
2
− −
− +
− − + − −
− −
− + −
−
4 3 2
4 3
2
l
l l l
l l
l l
l
3
2
2
8 10
3 11 10
3 12 15
5
+ +
− −
− −
+
2
∴ We get the quotient l3
− 2l + 3 and remainder l + 5.
M01_ENGINEERING_MATHEMATICS-I _CH01_Part B.indd 76 5/30/2016 5:04:10 PM
Matrices ■ 1.77
∴ l5
− 4l4
− 7l3
+ 11l2
− l − 10 = (l2
− 4l − 5)(l3
− 2l + 3) + l + 5
Replace l by A, we get
A5
− 4A4
− 7A3
+ 11A2
− A − 10I = (A2
− 4A − 5I) (A3
− 2A + 3I) + A + 5I
= 0 + A + 5I = A + 5I [using (2)]
which is a linear polynomial in A.
EXAMPLE 3
Find the characteristic equation of the matrixA given A
2 1 1
1 2 1
1 1 2
5
2
2 2
2
⎡
⎣
⎢
⎢
⎢
⎤
⎦
⎥
⎥
⎥
. Hence,find A21
and A4
.
Solution.
Given A =
−
− −
−
⎡
⎣
⎢
⎢
⎢
⎤
⎦
⎥
⎥
⎥
2 1 1
1 2 1
1 1 2
The characteristic equation of A is A I
− =
l 0
⇒
2 1 1
1 2 1
1 1 2
0
− −
− − −
− −
l
l
l
= ⇒ 0
3
1
2
2 3
− + − =
l l l
S S S
where S1
= sum of the diagonal elements of A = 2 + 2 + 2 = 6
S2
= sum of the minors of the diagonal elements of A
=
−
−
+ +
−
−
= − + − + − =
= = − + − + + − =
2 1
1 2
2 1
1 2
2 1
1 2
4 1 4 1 4 1 9
2 4 1 2 1 1 2
3
S A ( ) ( ) ( ) 6
6 1 1 4
− − =
∴ the characteristic equation is l3
− 6l2
+ 9l − 4 = 0
By Cayley-Hamilton theorem, A satisfies its characteristic equation
∴ A3
− 6A2
+ 9A − 4I = 0 (1)
⇒ 4I = A3
− 6A2
+ 9A
Multiply by A−1
, 4IA−1
= A3
A−1
− 6A2
⋅ A−1
+ 9A A−1
⇒ 4A−1
= A2
− 6A + 9I
But A2
2 1 1
1 2 1
1 1 2
2 1 1
1 2 1
1 1 2
4 1 1 2
=
−
− −
−
⎡
⎣
⎢
⎢
⎢
⎤
⎦
⎥
⎥
⎥
−
− −
−
⎡
⎣
⎢
⎢
⎢
⎤
⎦
⎥
⎥
⎥
=
+ + − − 2
2 1 2 1 2
2 2 1 1 4 1 1 2 2
2 1 2 1 2 2 1 1 4
6 5 5
− + +
− − − + + − − −
+ + − − − + +
⎡
⎣
⎢
⎢
⎢
⎤
⎦
⎥
⎥
⎥
=
−
−5
5 6 5
5 5 6
−
−
⎡
⎣
⎢
⎢
⎢
⎤
⎦
⎥
⎥
⎥
M01_ENGINEERING_MATHEMATICS-I _CH01_Part B.indd 77 5/30/2016 5:04:11 PM
1.78 ■ Engineering Mathematics
∴ 4
6 5 5
5 6 5
5 5 6
6
2 1 1
1 2 1
1 1 2
9
1 0 0
A
1
−
=
−
− −
−
⎡
⎣
⎢
⎢
⎢
⎤
⎦
⎥
⎥
⎥
−
−
− −
−
⎡
⎣
⎢
⎢
⎢
⎤
⎦
⎥
⎥
⎥
+ 0
0 1 0
0 0 1
6 12 9 5 6 5 6
5 6 6 12 9 5 6
5 6 5 6 6 12 9
⎡
⎣
⎢
⎢
⎢
⎤
⎦
⎥
⎥
⎥
− + − + −
− + − + − +
− − + − +
=
⎡
⎡
⎣
⎢
⎢
⎢
⎤
⎦
⎥
⎥
⎥
=
−
−
⎡
⎣
⎢
⎢
⎢
⎤
⎦
⎥
⎥
⎥
3 1 1
1 3 1
1 1 3
∴ A
−
=
−
−
⎡
⎣
⎢
⎢
⎢
⎤
⎦
⎥
⎥
⎥
1 1
4
3 1 1
1 3 1
1 1 3
(1) ⇒ A A A I
3 2
6 9 4
= − +
∴ A A A A
A A I A A
A A I
4 3 2
2 2
2
6 9 4
6 6 9 4 9 4
27 50 24
= − +
= − + − +
= − +
[ ]
[Multiplying by A]
=
⎡
⎣
⎢
⎢
⎢
⎤
⎦
⎥
⎥
⎥
⎡
⎣
⎢
⎢
⎢
⎤
⎦
⎥
⎥
⎥
+
27
6 5 5
5 6 5
5 5 6
50
2 1 1
1 2 1
1 1 2
24
1 0 0
−
− −
−
−
−
− −
−
0
0 1 0
0 0 1
162 100 24 135 50 135 50
135 50 162 100 24
⎡
⎣
⎢
⎢
⎢
⎤
⎦
⎥
⎥
⎥
=
+ +
+ +
− − −
− − −
−
− − −
−
− −
135 50
135 50 135 50 162 100 24
86 85 85
85 86 85
8
+
+ +
⎡
⎣
⎢
⎢
⎢
⎤
⎦
⎥
⎥
⎥
=
5
5 85 86
−
⎡
⎣
⎢
⎢
⎢
⎤
⎦
⎥
⎥
⎥
EXAMPLE 4
Use Cayley-Hamilton theorem to find the matrix
A8
2 5A7
1 7A6
2 3A5
1 8A4
2 5A3
1 8A2
2 2A 1 I if the matrix A
2 1 1
0 1 0
1 1 2
5
⎡
⎣
⎢
⎢
⎢
⎤
⎦
⎥
⎥
⎥
.
Solution.
Given A =
⎡
⎣
⎢
⎢
⎢
⎤
⎦
⎥
⎥
⎥
2 1 1
0 1 0
1 1 2
The characteristic equation is A I
− =
l 0
⇒ 2 1 1
0 1 0
1 1 2
0 0
3
1
2
2 3
−
−
−
= ⇒ − + − =
l
l
l
l l l
S S S
where S1
= 2 + 1 + 2 = 5
M01_ENGINEERING_MATHEMATICS-I _CH01_Part B.indd 78 5/30/2016 5:04:13 PM
Matrices ■ 1.79
S
S A
2
3
1 0
1 2
2 1
1 2
2 1
0 1
2 4 1 2 7
2 2 1 0 1 1 4 1 3
= + + = + − + =
= = ⋅ − ⋅ + − = − =
( )
∴ the characteristic equation is l3
− 5l2
+ 7l − 3 = 0
By Cayley-Hamilton theorem, we get A3
− 5A2
+ 7A − 3I = 0 (1)
We have to find the matrix
A8
− 5A7
+ 7A6
− 3A5
+ 8A4
− 5A3
+ 8A2
− 2A + I = f(A), say
We shall rewrite this matrix polynomial in terms of
A3
− 5A2
+ 7A − 3I
∴ the polynomial
f(A) = A5
(A3
− 5A2
+ 7A − 3I) + 8A4
− 5A3
+ 8A2
− 2A + I
= 8A4
− 5A3
+ 8A2
− 2A + I [Using (1)]
= 8A(A3
− 5A2
+ 7A − 3I) + 35A3
− 48A2
+ 22A + I
= 35A3
− 48A2
+ 22A + I [Using (1)]
= 35(A3
− 5A2
+ 7A − 3I) + 127A2
− 223A + 106I
= 127A2
− 223A + 106I [Using (1)]
But A2
2 1 1
0 1 0
1 1 2
2 1 1
0 1 0
1 1 2
5 4 4
0 1 0
4 4 5
=
⎡
⎣
⎢
⎢
⎢
⎤
⎦
⎥
⎥
⎥
⎡
⎣
⎢
⎢
⎢
⎤
⎦
⎥
⎥
⎥
=
⎡
⎣
⎢
⎢
⎢
⎤
⎦
⎥
⎥
⎥
⎥
∴ f ( )
A =
⎡
⎣
⎢
⎢
⎢
⎤
⎦
⎥
⎥
⎥
−
⎡
⎣
⎢
⎢
⎢
⎤
⎦
⎥
⎥
⎥
127
5 4 4
0 1 0
4 4 5
223
2 1 1
0 1 0
1 1 2
106
1 0 0
0
+ 1
1 0
0 0 1
635 446 106 508 223 508 223
0 127 223 106 0
508
⎡
⎣
⎢
⎢
⎢
⎤
⎦
⎥
⎥
⎥
=
− − −
−
+
+
−
− − −
⎡
⎣
⎢
⎢
⎢
⎤
⎦
⎥
⎥
⎥
=
⎡
⎣
223 508 223 635 446 106
295 285 285
0 10 0
285 285 295
+
⎢
⎢
⎢
⎢
⎤
⎦
⎥
⎥
⎥
Note: Otherwise divide l8
− 5l7
+ 7l6
− 3l5
+ 8l4
− 5l3
+ 8l2
− 2l + 1 by l3
− 5l2
+ 7l − 3 and
proceed as in example 2.
EXAMPLE 5
If A
1 0 0
1 0 1
0 1 0
5
⎡
⎣
⎢
⎢
⎢
⎤
⎦
⎥
⎥
⎥
, then show that An
5 An 2 2
1 A2
2 I for n $ 3. Hence, find A50
.
Solution.
Given A =
1 0 0
1 0 1
0 1 0
⎡
⎣
⎢
⎢
⎢
⎤
⎦
⎥
⎥
⎥
.
M01_ENGINEERING_MATHEMATICS-I _CH01_Part B.indd 79 5/30/2016 5:04:15 PM
1.80 ■ Engineering Mathematics
The characteristic equation of A is A I
− =
l 0
⇒ l l l
3
1
2
2 3 0
− + − =
S S S
where S S
1 2
1
0 1
1 0
1 0
0 0
1 0
1 0
1 0 0 1
= = + + = − + + = −
,
and S A
3 1
= = −
∴ the characteristic equation is l3
− l2
− l + 1 = 0 (1)
By Cayley-Hamilton theorem, A statisfies (1)
∴ A3
− A2
− A + I = 0
⇒ A3
− A2
= A − I (2)
Multiplying (2) by A, A2
, …, An − 3
, we get the equations
A A A A
A A A A
A A A A
A A A A
n n n n
4 3 2
5 4 3 2
6 5 4 3
1 2 3
− = −
− = −
− = −
− = −
− − −
: :
Adding all these equations, we get
A A A I
n n
− = −
2 2
−
⇒ A A A I for all
n n
= + − ≥
−2 2
3
( ) n (i)
A A A I
A A A I
n n
n n
− −
− −
= + −
= + −
2 4 2
4 6 2
: : :
∴ A A A I A I
n n−
= + − + −
4 2 2
( ) ( )
A A A I
n n
= + −
−4 2
2( ) (ii)
⇒
= + − + −
−
A A I A I
n 6 2 2
2( )
⇒ A A A I
n n
= + −
−6 2
3( ) (iii)
⇒ A A A I
n n
= + −
−8 2
4( ) (iv)
A A
If n is even, then A A A I
n n n
= +
−
⎛
⎝
⎜
⎞
⎠
⎟ −
− −
( )
( )
2 2
2
2
n
observe
⎡
⎣
⎢ the coefficients of A2
− I in (i), (ii), (iii) … and index of A. We see
2
2
1
= in (i),
4
2
2
= in
(ii),
6
2
3
= in (iii),
8
2
4
= in (iv) and so on
n − ⎤
⎦
⎥
2
2
in the last one
M01_ENGINEERING_MATHEMATICS-I _CH01_Part B.indd 80 5/30/2016 5:04:18 PM
Matrices ■ 1.81
∴ A A A I
n
= +
−
⎛
⎝
⎜
⎞
⎠
⎟ −
−
2 2
2
2
2
2
n n
⇒ A A I
n
= −
−
⎛
⎝
⎜
⎞
⎠
⎟
2
2
2
2
n n
Putting n = 50, we get A50
= 25A2
− 24I
But A A A
2
1 0 0
1 0 1
0 1 0
1 0 0
1 0 1
0 1 0
1 0 0
1 1 0
1 0 1
= ⋅ =
⎡
⎣
⎢
⎢
⎢
⎤
⎦
⎥
⎥
⎥
⎡
⎣
⎢
⎢
⎢
⎤
⎦
⎥
⎥
⎥
=
⎡
⎣
⎢
⎢
⎢
⎢
⎤
⎦
⎥
⎥
⎥
∴ A50
25
1 0 0
1 1 0
1 0 1
24
1 0 0
0 1 0
0 0 1
1 0 0
25 1 0
25 0
=
⎡
⎣
⎢
⎢
⎢
⎤
⎦
⎥
⎥
⎥
−
⎡
⎣
⎢
⎢
⎢
⎤
⎦
⎥
⎥
⎥
=
1
1
⎡
⎣
⎢
⎢
⎢
⎤
⎦
⎥
⎥
⎥
EXAMPLE 6
If A
1 2
2 1
5
2
⎡
⎣
⎢
⎤
⎦
⎥ , then find An
in terms of A and I.
Solution.
Given A =
−
⎡
⎣
⎢
⎤
⎦
⎥
1 2
2 1
The characteristic equation is l2
− 5 = 0 [see example 17]
By Cayley-Hamiltons theorem A2
− 5I = 0 (1)
To find An
, consider the polynomial ln
Dividing ln
by l2
− 5, we get ln
= (l2
− 5) f(l) + al + b (2)
where f(l) is the quotient and al + b is the remainder.
We shall now find the values of a and b.
The eigen values of A are l = −
5 5
,
Substitute l = 5 in (2) then 5 0 5
( ) = + +
n
a b ⇒ a b
5 5
+ = ( )
n
(3)
Substitute l = − 5 in (2), then −
( ) = + −
( )+
5 0 5
n
a b
⇒ − + = −
( )
a b
5 5
n
(4)
(3) + (4) ⇒ 2 5 5
b = ( ) + −
( )
n n
∴ b =
( ) + −
( )
= ( ) + −
5 5
2
5
1 1
2
n n
n n
( ( ) )
(3) − (4) ⇒ 2 5 5 5
a = ( ) − −
( )
n n
M01_ENGINEERING_MATHEMATICS-I _CH01_Part B.indd 81 5/30/2016 5:04:22 PM
1.82 ■ Engineering Mathematics
∴ a =
( ) − −
( )
= ( ) −
5 5
2 5
5
1 1
2
n n
n n
( ( ) )
−
Replacing l by A in (2), we get
∴
A A I A A I A I
A A
n
n
n n n
= − + + = + +
= ( ) − −
⎛
⎝
⎜
⎞
⎠
⎟ + ( ) +
( ) ( )
( ) (
2
5 0
5
1 1
2
5
1
f a b a b
−
−
⎛
⎝
⎜
⎞
⎠
⎟
1
2
)
.
n
I
EXERCISE 1.6
Verify Cayley-Hamilton theorem for the following matrices and hence find their inverses.
1.
1 3 7
4 2 3
1 2 1
⎡
⎣
⎢
⎢
⎢
⎤
⎦
⎥
⎥
⎥
2.
1 0 3
2 1 1
1 1 1
−
−
⎡
⎣
⎢
⎢
⎢
⎤
⎦
⎥
⎥
⎥
3.
−
−
−
⎡
⎣
⎢
⎢
⎢
⎤
⎦
⎥
⎥
⎥
1 0 3
8 1 7
3 0 8
4.
7 2 2
6 1 2
6 2 1
−
− −
−
⎡
⎣
⎢
⎢
⎢
⎤
⎦
⎥
⎥
⎥
5. Verify that the matrix A =
−
− −
−
⎡
⎣
⎢
⎢
⎢
⎤
⎦
⎥
⎥
⎥
2 1 2
1 2 1
1 1 2
satisfies its characteristic equation and hence find A4
.
6. A =
⎡
⎣
⎢
⎤
⎦
⎥
7 3
2 6
, find An
in terms of A and I using Cayley-Hamilton theorem and hence find A3
.
7. Find A4
using Cayley-Hamilton theorem for the matrix A = −
−
⎡
⎣
⎢
⎢
⎢
⎤
⎦
⎥
⎥
⎥
1 2 3
2 1 4
3 1 1
. Find A4
+ A3
− 18A2
− 39A + 2I
8. Find the eigen values and eigen vectors of the system of equations 10x1
+ 2x2
+ x3
= lx1
, 2x1
+ 10x2
+ x3
=
lx2
, 2x1
+ x2
+ 10x3
= lx3
[Hint: Equations can be rewritten as (10 − l)x1
+ 2x2
+ x3
= 0, 2x1
+ (10 − l)x2
+ x3
= 0,
2x1
+ x2
+ (10 − l)x3
= 0
If A =
⎡
⎣
⎢
⎢
⎢
⎤
⎦
⎥
⎥
⎥
10 2 1
2 10 1
2 1 10
and X =
⎡
⎣
⎢
⎢
⎢
⎤
⎦
⎥
⎥
⎥
x
x
x
1
2
3
then these equations in matrix form is (A − lI)X = 0 and so A I
− =
l 0
is the characteristic equation of A and l = 8, 9, 13. Eigen vectors are given by (I)]
9. If l is an eigen value of a non-singular matrix A, show that
A
l
is an eigen value of the matrix adj A.
Hint: AX = lX ⇒ (adj A) (AX) = (adj A) (lX) A X adj A X
= l( ) ⇒ adj A X
A
X
=
⎤
⎦
⎥
l
( )
(
⎡
⎣
⎢
M01_ENGINEERING_MATHEMATICS-I _CH01_Part B.indd 82 5/30/2016 5:04:25 PM
Matrices ■ 1.83
10. Verify Cayley-Hamilton theorem for the matrix A =
−
⎡
⎣
⎢
⎤
⎦
⎥
1 2
1 3
and find its inverse and also find
A6
− 4A5
+ 8A4
− 12A3
+ 14A2
.
11. Verify Cayley-Hamilton theorem and find the inverse of A
13 3 5
0 4 0
15 9 7
=
−
− −
⎡
⎣
⎢
⎢
⎢
⎤
⎦
⎥
⎥
⎥
ANSWERS TO EXERCISE 1.6
1.
1
35
4 11 5
1 6 25
6 1 10
− −
− −
−
⎡
⎣
⎢
⎢
⎢
⎤
⎦
⎥
⎥
⎥
2.
1
9
0 3 3
3 2 7
3 1 1
−
− −
⎡
⎣
⎢
⎢
⎢
⎤
⎦
⎥
⎥
⎥
3.
8 0 3
43 1 17
3 0 1
−
−
−
⎡
⎣
⎢
⎢
⎢
⎤
⎦
⎥
⎥
⎥
4.
1
3
3 2 2
6 5 2
6 2 5
− −
−
− −
⎡
⎣
⎢
⎢
⎢
⎤
⎦
⎥
⎥
⎥
5. A4
124 123 162
95 96 123
95 95 124
=
−
− −
−
⎡
⎣
⎢
⎢
⎢
⎤
⎦
⎥
⎥
⎥
6. A A
n
n n n n
=
− ⎡
⎣
⎢
⎤
⎦
⎥ +
⋅ − ⋅ ⎡
⎣
⎢
⎤
⎦
⎥ =
⎡
⎣
9 4
5
7 3
2 6
9 4 4 9
5
1 0
0 1
463 399
266 330
3
; ⎢
⎢
⎤
⎦
⎥
7. A4
248 101 218
272 109 50
104 98 204
=
⎡
⎣
⎢
⎢
⎢
⎤
⎦
⎥
⎥
⎥
8.
3
2
2
1
1
3
1
1
1
−
⎡
⎣
⎢
⎢
⎢
⎤
⎦
⎥
⎥
⎥ −
⎡
⎣
⎢
⎢
⎢
⎤
⎦
⎥
⎥
⎥
⎡
⎣
⎢
⎢
⎢
⎤
⎦
⎥
⎥
⎥
, ,
10. A−
=
−
−
⎡
⎣
⎢
⎤
⎦
⎥
−
−
⎡
⎣
⎢
⎤
⎦
⎥
1 1
5
3 2
1 1
1 8
4 7
, 11. A
1
−
−
−
⎡
⎣
⎢
⎢
⎢
⎤
⎦
⎥
⎥
⎥
=
1
64
7 6 5
0 4 0
15 18 13
1.7 SIMILARITY TRANSFORMATION AND ORTHOGONAL TRANSFORMATION
1.7.1 Similar Matrices
Definition 1.35 Let A and B be square matrices of order n. A is said to be similar to B if there exists a
non-singular matrix P of order n such that
A = P−1
BP (1)
The transformation (1) which transforms B into A is called a similarity transformation. The matrix P
is called a similarity matrix.
Note We shall now see that if A is similar to B then B is similar to A.
A = P−1
BP ⇒ PA P−1
= B (Premultiplying by P and postmultiplying by P−1
)
⇒ (P−1
)−1
A(P−1
) = B
⇒ Q−1
AQ = B (2)
where Q = P−1
M01_ENGINEERING_MATHEMATICS-I _CH01_Part B.indd 83 5/30/2016 5:04:28 PM
1.84 ■ Engineering Mathematics
The relation (2) means B is similar to A. Thus, if A is similar to B, then B is similar to A.
Hence, we simply say A and B are similar matrices.
An important property of similarity transformations is that they preserve eigen values, which is
proved in the next theorem.
Theorem 1.5 Similar matrices have the same eigen values.
Proof Let A and B be two similar matrices of order n.
Then B = P−1
AP, by definition.
∴ the characteristic polynomial of B is B I
− l
Now B I P AP I P AP P IP
− = − = −
− − −
l l l
1 1 1
⇒ = −
−
P A I P
1
( )
l
= −
−
P A I P
1
l =
AB A B
[ ]
{
= − = − = −
− −
A I P P A I P P A I I
1 1
l l l
⇒ − =
B I A
l −
− lI =
I
[ ]
{ 1
∴ A and B have the same characteristic polynomial and hence have the same characteristic equation.
So, A and B have the same eigen values.
Note Similar matrices A and B have the same determinant value i.e., A B
= .
For B P AP B P AP P A P A P P A I A
= ⇒ = = = = =
− − − −
1 1 1 1
1.7.2 Diagonalisation of a Square Matrix
Definition 1.36 A square matrix A is said to be diagonalisable if there exists a non-singular matrix P
such that P−1
AP = D, where D is a diagonal matrix. The matrix P is called a modal matrix of A.
The next theorem provides us with a method of diagonalisation.
Theorem 1.6 If A is a square matrix of order n, having n linearly independent eigen vectors and M
is the matrix whose columns are the eigen vectors of A, then M−1
AM = D, where D is the diagonal
matrix whose diagonal elements are the eigen values of A.
Proof Let X1
, X2
, …, Xn
be n linearly independent eigen vectors of A corresponding to the eigen
values l1
, l2
, …, ln
of A.
∴ AXi
= li
Xi
, i = 1, 2, 3, …, n.
Let M = [X1
X2
… Xn
] be the matrix formed with the eigen vectors as columns.
Then AM = [AX1
AX2
AX3
… AXn
]
= [l1
X1
l2
X2
l3
X3
… ln
Xn
]
= …
⎡
⎣
⎢
⎢
⎢
⎢
⎢
⎢
⎤
⎦
⎥
⎥
⎥
⎥
⎥
⎥
[ ]
X X Xn
n
1 2
1
2
3
0 0 0
0 0
0 0
0 0 0
l
l
l
l
…
…
: : : :
M01_ENGINEERING_MATHEMATICS-I _CH01_Part B.indd 84 5/30/2016 5:04:29 PM
Matrices ■ 1.85
⇒
AM MD where D
M AM D
n
= =
⎡
⎣
⎢
⎢
⎢
⎢
⎤
⎦
⎥
⎥
⎥
⎥
=
,
l
l
l
1
2
1
0 0
0 0
0
: : :
…
−
The matrix M which diagonalises A is called the modal matrix of A and the resulting diagonal matrix
D whose elements are eigen values of A is called the spectral matrix of A.
1.7.3 Computation of the Powers of a Square Matrix
Diagonalisation of a square matrix A is very useful to find powers of A, say Ar
.
By the theorem 1.6, D = M−1
AM
∴ D M AM M AM
M A MM AM M AIAM M A M
2 1 1
1 1 1 1 2
=
=
( ) ( )
( )
− −
− − − −
= =
Similarly, D D D
M A M M AM
M A MM AM M A IAM M A M
3 2
1 2 1
1 2 1 1 2 1 3
=
=
= = =
− −
− − − −
( ) ( )
( )
Proceeding in this way, we can find
∴
D M A M
A MD M where D
r r
r r r
r
r
n
r
=
= =
⎡
⎣
⎢
⎢
⎢
⎢
⎢
⎤
⎦
−
−
1
1
1
2
0 0
0 0
0 0
,
l
l
l
…
…
… … … …
…
⎥
⎥
⎥
⎥
⎥
⎥
Note
(1) If the eigen values l1
, l2
, …, ln
of A are different then the corresponding eigen vectors X1
,
X2
, …, Xn
are linearly independent by theorem 1.2.1 (2). So, A can be diagonalised.
(2) Even if 2 or more eigen values are equal, if we can find independent eigen vectors corresponding
to them (see worked example 6), then A can be diagonalised.
Thus, independence of eigen vectors is the condition for diagonalisation.
Working rule to diagonalise a n 3 n matrix A by similarity transformation:
Step 1: Find the eigen values l1
, l2
, …, ln
Step 2: Find linearly independent eigen vectors X1
, X2
, …, Xn
Step 3: Form the modal matrix M = [X1
X2
… Xn
]
Step 4: Find M−1
and AM.
Step 5: Compute M−1
AM = D =
⎡
⎣
⎢
⎢
⎢
⎢
⎤
⎦
⎥
⎥
⎥
⎥
l
l
l
1
2
0 0 0
0 0 0
0 0
…
…
… …
: : : : :
n
⇒
M01_ENGINEERING_MATHEMATICS-I _CH01_Part B.indd 85 5/30/2016 5:04:31 PM
1.86 ■ Engineering Mathematics
1.7.4 Orthogonal Matrix
Definition 1.37 A real square matrix A is said to be an orthogonal matrix if AAT
= AT
A = I, where I
is the unit matrix of the same order as A.
From this definition it is clear that AT
= A−1
.
So, an orthogonal matrix is also defined as below.
Definition 1.38 A real square matrix A is orthogonal if AT
= A−1
.
EXAMPLE 1.25
Prove that A
cos sin
sin cos
5
u u
2 u u
⎡
⎣
⎢
⎤
⎦
⎥ is orthogonal.
Solution.
Given A =
−
⎡
⎣
⎢
⎤
⎦
⎥
cos sin
sin cos
u u
u u
∴ A =
−
⎡
⎣
⎢
⎤
⎦
⎥ = +
cos sin
sin cos
cos sin
u u
u u
u u
2 2
1
=
∴ A is non-singular.
Hence, A
adj A
A
A
1
T
T
−
=
= =
−
⎡
⎣
⎢
⎤
⎦
⎥
cos sin
sin cos
u u
u u
[ ]
{ A = 1
∴ A is orthogonal.
1.7.5 Properties of Orthogonal Matrix
1. If A is orthogonal, then AT
is orthogonal.
Proof Given A is orthogonal. ∴ AAT
= AT
A = I
Reversing the roles of A and AT,
we see AT
A = AAT
= I ⇒ AT
is orthogonal.
Note Since AT
= A−1
, it follows A−1
is orthogonal.
2. If A is an orthogonal matrix, then A 1.
56
Proof Given A is orthogonal. Then AAT
= 1
⇒ AAT
= 1 ⇒ A AT
= 1
But we know A A
T
=
∴ A A A A
= = ±
1 1 1
2
⇒ ⇒ =
3. If l is an eigen value of an orthogonal matrix A, then
1
l
is also an eigen value of A.
Proof Given A is orthogonal and l is an eigen value of A.
M01_ENGINEERING_MATHEMATICS-I _CH01_Part B.indd 86 5/30/2016 5:04:32 PM
Matrices ■ 1.87
Then AT
= A−1
. By property (4) of eigen values,
1
l
is an eigen value of A−1
and so an eigen value of AT
.
By property (1), A and AT
have same eigen values.
∴
1
l
is an eigen of A and hence l,
1
l
are eigen values of orthogonal matrix A.
4. If A and B are orthogonal matrices, then AB is orthogonal.
Proof Given A and B are orthogonal matrices.
∴ AT
= A−1
and BT
= B−1
Now (AB)T
= BT
AT
= B−1
A−1
= (AB)−1
∴ AB is orthogonal.
5. Eigen values of an orthogonal matrix are of magnitude 1.
Proof Let A be an orthogonal matrix and let l be an eigen value of A.
Then AX = lX, where X ≠ 0 (1)
Taking complex conjugate, we get A X X
= l
But A is real matrix ∴ A A
=
Hence, AX X
= l
Taking transpose, ( ) ( )
AX X
T T
= l
⇒ X A X
T T T
= l ⇒ X A X
T 1 T
−
= l [ ]
{ A A
T
= −1
(2)
Multiplying (2) and (1) we get
⇒
⇒
⇒
( )( ) ( )( )
( )
X A AX X X
X A A X X X
X X X X
T 1 T
T 1 T
T T
−
−
⇒
=
=
=
= =
l l
ll
l
l l
2
2
1 1
[ ]
{ X X as X
T
≠ ≠
0 0
This is true for all eigen values of A.
Hence, eigen values of A are of absolute value 1. ■
1.7.6 Symmetric Matrix
Definition 1.39 Real Square Matrix
The matrix A = [aij
]n × n
is said to be symmetric if AT
= A.
Example:
1 1
1 0
1 1 3
1 0 4
3 4 2
−
−
−
−
⎡
⎣
⎢
⎤
⎦
⎥
⎡
⎣
⎢
⎢
⎢
⎤
⎦
⎥
⎥
⎥
, are symmetric matrices.
Note that the elements equidistant from the main diagonal are the same.
M01_ENGINEERING_MATHEMATICS-I _CH01_Part B.indd 87 5/30/2016 5:04:35 PM
1.88 ■ Engineering Mathematics
1.7.7 Properties of Symmetric Matrices
1. Eigen values of a symmetric matrix are real.
Proof Let A be a symmetric matrix of order n and l be an eigen value of A.
Then there exists X ≠ 0 such that AX = lX (1)
Taking complex conjugate,
A X X
= l
⇒ AX X
= l [ ]
{ A is real A A
= (2)
Taking transpose, ( ) ( )
AX X
T T
= l ⇒ ( ) ( )
X A X X A X
T T T T T
= =
l l
⇒ [ ]
{ A A
T
=
Post multiplying by X,
⇒
⇒
⇒
⇒
( (
) )
) ( )
( ) ( )
X A)X X) X
X (AX (X X
X ( X X X
X X X X
T T
T T
T T
T T
=
=
=
=
=
l
l
l l
l l
l l l
∴ is
s real
[ ]
{ X X as X
T
≠ ≠
0 0
This is true for all eigen values.
∴ eigen values of a symmetric matrix are real. ■
2. Eigen vectors corresponding to different eigen values of a symmetric matrix are orthogonal
vectors.
Proof Let A be a symmetric matrix of order n. ∴ AT
= A.
Let l1
, l2
be two different eigen values of A. Then l1
, l2
are real, by property (1).
∴ there exist X1
≠ 0, X2
≠ 0 such that
AX1
= l1
X1
(1)
and AX2
= l2
X2
(2)
Premultiplying (1) by X2
T
, we get X AX X X
2
T
2
T
1
( )
1 1
= l
⇒ X AX X X )
T
2
T
1
2 1 1
= l ( (3)
Premultiplying (2) by X1
T
, we get X (AX ) X X
1
T
2 1
T
2
= l2
⇒ X AX X X )
1
T
2 1
T
2
= l2 ( (4)
Taking transpose of (3), we get ( (
X AX ) X X )
2
T
1
T
2
T
1
T
= l1
⇒ X A X X X
1
T T
2 1
T
2
= l1
⇒ X AX (X X )
1
T
2 1
T
2
= l1 (5)
From (4) and (5) we get, l l
1 2
( ) ( )
X X X X
1
T
2 1
T
2
=
M01_ENGINEERING_MATHEMATICS-I _CH01_Part B.indd 88 5/30/2016 5:04:38 PM
Matrices ■ 1.89
⇒ ( )( )
l l
1 2 0
− =
X X
1
T
2
Since l l l l
1 2 1 2 2
0 0
≠ − ≠ =
, , ∴ X X
1
T
⇒ X1
and X2
are orthogonal. ■
Remark: If X1
= (a1
, b1
, c1
) and X2
= (a2
, b2
, c2
) be two 3-dimensional vectors, they are orthogonal if
their dot product is 0 ⇒ a1
a2
+ b1
b2
+ c1
c2
= 0
If we treat them as column matrices, X X
1
1
1
1
2
2
2
2
=
⎡
⎣
⎢
⎢
⎢
⎤
⎦
⎥
⎥
⎥
=
⎡
⎣
⎢
⎢
⎢
⎤
⎦
⎥
⎥
⎥
a
b
c
a
b
c
, then the matrix product
X X
1
T
2 1 1 1
2
2
2
=
⎡
⎣
⎢
⎢
⎢
⎤
⎦
⎥
⎥
⎥
[ ]
a b c
a
b
c
= + +
a a b b c c
1 2 1 2 1 2
So, X1
and X2
are orthogonal if X X or X X
1
T
2
T
2 1
0 0
= = .
Thus, we can treat column matrices as vectors and verify dot product = 0.
2. The unit vector in X1
is
X1
2 2 2
a b c
1 1
and it is called a normalised vector.
Note For any square matrix eigen vectors corresponding to different eigen values are linearly
independent, but for a symmetric matrix, they are orthogonal, pairwise.
1.7.8 Diagonalisation by Orthogonal Transformation or Orthogonal Reduction
Definition 1.40 A Square Matrix
A is said to be orthogonally diagonalisable if there exists an orthogonal matrix N such that
N−1
AN = D ⇒ NT
AN = D [{ NT
= N−1
]
This transformation which transforms A into D is called an orthogonal transformation.
The next theorem gives a method of orthogonal reduction.
Theorem 1.7 Let A be a symmetric matrix of order n. Let X1
, X2
, …, Xn
be eigen vectors of A which are
pairwise orthogonal. Let N be the matrix formed with the normalised eigen vectors of A as columns.
Then N is an orthogonal matrix such that N−1
AN = D ⇒ NT
AN = D.
N is called normalised modal matrix of A or normal modal matrix of A.
Working rule for orthogonal reduction of a n 3 n symmetric matrix.
Step 1: Find the eigen values l1
, l2
, …, ln
Step 2: Find the eigen vectors X1
, X2
, …, Xn
which are pairwise orthogonal.
Step 3: Form the normalised modal matrix N with the normalised eigen vectors as columns.
Step 4: Find NT
and AN.
Step 5: Compute N AN D
T
n
= =
… …
…
⎡
⎣
⎢
⎢
⎢
⎢
⎤
⎦
⎥
⎥
⎥
⎥
l
l
l
1
2
0 0
0 0
0
:
M01_ENGINEERING_MATHEMATICS-I _CH01_Part B.indd 89 5/30/2016 5:04:40 PM
1.90 ■ Engineering Mathematics
WORKED EXAMPLES
EXAMPLE 1
Diagonalise the matrix A =
3 1 1
1 3 1
1 1 3
2
2
⎡
⎣
⎢
⎢
⎢
⎤
⎦
⎥
⎥
⎥
by means of an orthogonal transformation.
Solution. Given A =
3 1 1
1 3 1
1 1 3
−
−
⎡
⎣
⎢
⎢
⎢
⎤
⎦
⎥
⎥
⎥
A is a symmetric matrix, since the elements equidistant from the main diagonal are the same.
The characteristic equation of A is A I
− =
l 0
⇒
3 1 1
1 3 1
1 1 3
−
− −
− −
l
l
l
= 0 ⇒ l3
– S1
l2
+ S2
l – S3
= 0
where S1
= 3 + 3 + 3 = 9
S2
3 1
1 3
3 1
1 3
3 1
1 3
9 1 9 1 9 1 24
= + + = − =
−
−
− + − +
( ) ( ) ( )
S3
3 1 1
1 3 1
1 1 3
3 9 1 1 3 1 1 3 24 4 4 16
= −
−
= − − + + − − = − − =
( ) ( ) ( )
∴ The characteristic equation is l3
− 9l2
+ 24l − 16 = 0
By trial we find l = 1 is a root.
Other roots are given by l2
– 8l + 16 = 0
⇒ (l − 4)2
= 0
⇒ l = 4, 4
∴ the eigen values are l = 1, 4, 4.
1
1 9 24 16
0 1 8 16
1 8 16 0
− −
−
−
To find eigen vectors:
Let X =
x
x
x
1
2
3
⎡
⎣
⎢
⎢
⎢
⎤
⎦
⎥
⎥
⎥
be an eigen vector corresponding to l.
Then (A − lI)X = 0 ⇒
3 1 1
1 3 1
1 1 3
0
0
0
1
2
3
−
− −
− −
⎡
⎣
⎢
⎢
⎢
⎤
⎦
⎥
⎥
⎥
⎡
⎣
⎢
⎢
⎢
⎤
⎦
⎥
⎥
⎥
=
⎡
⎣
⎢
⎢
⎢
⎤
⎦
⎥
⎥
⎥
l
l
l
x
x
x
⇒
( )
( )
( )
3 0
3 0
3 0
1 2 3
1 2 3
1 2 3
− l
l
l
x x x
x x x
x x x
+ + =
+ − − =
− + − =
⎫
⎬
⎪
⎭
⎪
(I)
M01_ENGINEERING_MATHEMATICS-I _CH01_Part B.indd 90 5/30/2016 5:04:42 PM
Matrices ■ 1.91
Case (i) If l = 1 then equations (I) become
2 0 2 0 2 0
1 2 3 1 2 3 1 2 3
x x x x x x x x x
+ + = + − = − + =
, and
Choosing the first two equations, we have
⇒
x x x
x x x x x x
1 2 3
1 2 3 1 2 3
1 2 1 2 4 1
3 3 3 1 1 1
− −
=
+
=
−
−
= = ⇒
−
= =
Choosing x1
= −1, x2
= 1, x3
= 1, we get an eigen vector X1
1
1
1
=
−
⎡
⎣
⎢
⎢
⎢
⎤
⎦
⎥
⎥
⎥
Case (ii) If l = 4, then the equations (I) become
− + + = ⇒ =
− − = − − =
x x x x x x
x x x x x x
1 2 3 1 2 3
1 2 3 1 2 3
0 0
0 0
− −
and
We get only one equation x1
– x2
– x3
= 0 (1)
To solve for x1
, x2
, x3
, we can assign arbitrary values for two of the variables and we shall find 2
orthogonal vectors.
Put x3
= 0, x2
= 1, then x1
= 1, we get an eigen vector X2
1
1
0
=
⎡
⎣
⎢
⎢
⎢
⎤
⎦
⎥
⎥
⎥
.
Let X3 =
⎡
⎣
⎢
⎢
⎢
⎤
⎦
⎥
⎥
⎥
a
b
c
be ⊥ to X2
. Then a + b = 0 ⇒ b = −a and X3
should satisfy (1) ∴ a – b – c = 0
Choosing a = 1, we get b = −1 and c = 2, ∴ X3
1
1
2
= −
⎡
⎣
⎢
⎢
⎢
⎤
⎦
⎥
⎥
⎥
Thus, the eigen values are l = 1, 4, 4, and the corresponding eigen vectors are
X1
1
1
1
=
⎡
⎣
⎢
⎢
⎢
⎤
⎦
⎥
⎥
⎥
−
, X2
1
1
0
=
⎡
⎣
⎢
⎢
⎢
⎤
⎦
⎥
⎥
⎥
, X3
1
1
2
=
⎡
⎣
⎢
⎢
⎢
⎤
⎦
⎥
⎥
⎥
−
The normalised eigen vectors are
−
1
3
1
3
1
3
⎡
⎣
⎢
⎢
⎢
⎢
⎢
⎢
⎢
⎤
⎦
⎥
⎥
⎥
⎥
⎥
⎥
⎥
,
1
2
1
2
0
⎡
⎣
⎢
⎢
⎢
⎢
⎢
⎢
⎤
⎦
⎥
⎥
⎥
⎥
⎥
⎥
,
1
6
1
6
2
6
−
⎡
⎣
⎢
⎢
⎢
⎢
⎢
⎢
⎢
⎤
⎦
⎥
⎥
⎥
⎥
⎥
⎥
⎥
1
2
x1
x2
x3
2 1
1 2
1
−1
M01_ENGINEERING_MATHEMATICS-I _CH01_Part B.indd 91 5/30/2016 5:06:57 PM
1.92 ■ Engineering Mathematics
So, the normalised modal matrix N =
⎡
⎣
⎢
⎢
⎢
⎢
⎢
⎢
⎢
⎤
⎦
⎥
⎥
⎥
⎥
⎥
⎥
⎥
−
−
1
3
1
2
1
6
1
3
1
2
1
6
1
3
0
2
6
∴ NT
=
−
−
⎡
⎣
⎢
⎢
⎢
⎢
⎢
⎢
⎢
⎤
⎦
⎥
⎥
⎥
⎥
⎥
⎥
⎥
1
3
1
3
1
3
1
2
1
2
0
1
6
1
6
2
6
AN = −
−
⎡
⎣
⎢
⎢
⎢
⎤
⎦
⎥
⎥
⎥
−
−
⎡
⎣
⎢
⎢
⎢
⎢
⎢
⎢
⎢
⎤
⎦
⎥
⎥
⎥
⎥
3 1 1
1 3 1
1 1 3
1
3
1
2
1
6
1
3
1
2
1
6
1
3
0
2
6
⎥
⎥
⎥
⎥
=
−
−
⎡
⎣
⎢
⎢
⎢
⎢
⎢
⎢
⎢
⎤
⎦
⎥
⎥
⎥
⎥
⎥
⎥
⎥
1
3
4
2
4
6
1
3
4
2
4
6
1
3
0
8
6
∴ N AN
T
=
−
−
⎡
⎣
⎢
⎢
⎢
⎢
⎢
⎢
⎢
⎤
⎦
⎥
⎥
⎥
⎥
⎥
⎥
⎥
−
−
1
3
1
3
1
3
1
2
1
2
0
1
6
1
6
2
6
1
3
4
2
4
6
1
3
4
2
4
6
1
3
0
0
8
6
⎡
⎣
⎢
⎢
⎢
⎢
⎢
⎢
⎢
⎤
⎦
⎥
⎥
⎥
⎥
⎥
⎥
⎥
=
⎡
⎣
⎢
⎢
⎢
⎤
⎦
⎥
⎥
⎥
1 0 0
0 4 0
0 0 4
, which is a diagonal matrix.
EXAMPLE 2
The eigen vectors of a 3 3 3 real symmetric matrix A corresponding to the eigen values 2, 3, 6
are [1, 0, 21]T
, [1, 1, 1]T
, [21, 2, 21]T
respectively, find the matrix A.
Solution.
Given A is symmetric and the eigen values are different.
So, the eigen vectors are orthogonal pairwise.
The normalised eigen vectors are
1
2
0
1
2
−
⎡
⎣
⎢
⎢
⎢
⎢
⎢
⎢
⎤
⎦
⎥
⎥
⎥
⎥
⎥
⎥
,
1
3
1
3
1
3
⎡
⎣
⎢
⎢
⎢
⎢
⎢
⎢
⎢
⎤
⎦
⎥
⎥
⎥
⎥
⎥
⎥
⎥
,
−
−
⎡
⎣
⎢
⎢
⎢
⎢
⎢
⎢
⎢
⎤
⎦
⎥
⎥
⎥
⎥
⎥
⎥
⎥
1
6
2
6
1
6
M01_ENGINEERING_MATHEMATICS-I _CH01_Part B.indd 92 5/30/2016 5:06:59 PM
Matrices ■ 1.93
So, the normalised modal matrix is N =
−
− −
⎡
⎣
⎢
⎢
⎢
⎢
⎢
⎢
⎢
⎤
⎦
⎥
⎥
⎥
⎥
⎥
⎥
⎥
1
2
1
3
1
6
0
1
3
2
6
1
2
1
3
1
6
Then by orthogonal reduction theorem 1.7, page 1.89
N AN D
T
= =
⎡
⎣
⎢
⎢
⎢
⎤
⎦
⎥
⎥
⎥
2 0 0
0 3 0
0 0 6
, since 2, 3, 6 are the eigen values.
But NT
= N−1
∴ N−1
AN = D ⇒ A = ND N−1
= NDNT
⇒ A =
−
−
−
⎡
⎣
⎢
⎢
⎢
⎢
⎢
⎢
⎢
⎤
⎦
⎥
⎥
⎥
⎥
⎥
⎥
⎥
1
2
1
3
1
6
0
1
3
2
6
1
2
1
3
1
6
2 0 0
0 3 0
0 0 6
⎡
⎣
⎢
⎢
⎢
⎢
⎢
⎢
⎤
⎦
⎥
⎥
⎥
⎥
⎥
⎥
1
2
0
1
2
1
3
1
3
1
3
1
6
2
6
1
6
−
− −
⎡
⎣
⎢
⎢
⎢
⎢
⎢
⎢
⎢
⎤
⎦
⎥
⎥
⎥
⎥
⎥
⎥
⎥
=
−
− −
⎡
⎣
⎢
⎢
⎢
⎢
⎢
⎢
⎢
⎤
⎦
⎥
⎥
⎥
⎥
⎥
⎥
⎥
2 3 6
0 3 2 6
2 3 6
1
2
0
1
2
1
3
1
3
1
3
1
6
2
6
1
6
−
− −
⎡
⎣
⎢
⎢
⎢
⎢
⎢
⎢
⎢
⎤
⎦
⎥
⎥
⎥
⎥
⎥
⎥
⎥
=
−
− −
−
⎡
⎣
⎢
⎢
⎢
⎤
⎦
⎥
⎥
⎥
3 1 1
1 5 1
1 1 3
, which is the required matrix.
EXAMPLE 3
Diagonalise the matrix A =
2 0 1
0 3 0
1 0 2
⎡
⎣
⎢
⎢
⎢
⎤
⎦
⎥
⎥
⎥
. Hence, find A3
.
Solution.
Given A =
⎡
⎣
⎢
⎢
⎢
⎤
⎦
⎥
⎥
⎥
2 0 1
0 3 0
1 0 2
which is a symmetric matrix.
So, we shall diagonalise by orthogonal transformation.
M01_ENGINEERING_MATHEMATICS-I _CH01_Part B.indd 93 5/30/2016 5:07:00 PM
1.94 ■ Engineering Mathematics
The characteristic equation of A is A I
− =
l 0
⇒
2 0 1
0 3 0
1 0 2
0 0
3
1
2
2 3
−
−
−
= ⇒ − + − =
l
l
l
l l l
S S S
where S1
= 2 + 3 + 2 = 7
S
S A
2
3
3 0
0 2
2 1
1 2
2 0
0 3
6 3 6 15
2 6 0 1 3 12 3 9
= + + = + + =
= = − + − = − =
( ) ( )
∴ the characteristic equation is l l l
3 2
7 15 9 0
− + − =
By trial l = 1 is a root.
Other roots are given by l l
2
6 9 0
− + =
⇒ ( ) ,
l l
− = ⇒ =
3 0 3 3
2
1
1 7 15 9
0 1 6 9
1 6 9 0
− −
−
−
∴ the eigen values are l = 1, 3, 3
To find eigen vectors:
Let X =
⎡
⎣
⎢
⎢
⎢
⎤
⎦
⎥
⎥
⎥
x
x
x
1
2
3
be an eigen vector corresponding to eigen value l.
Then ( )
A I X
− = ⇒
−
−
−
⎡
⎣
⎢
⎢
⎢
⎤
⎦
⎥
⎥
⎥
⎡
⎣
⎢
⎢
⎢
⎤
⎦
⎥
⎥
⎥
=
⎡
⎣
⎢
l
l
l
l
0
2 0 1
0 3 0
1 0 2
0
0
0
1
2
3
x
x
x
⎢
⎢
⎢
⎤
⎦
⎥
⎥
⎥
⇒
( )
( )
( )
2 0 0
0 3 0 0
0 2 0
1 2 3
1 2 3
1 2 3
− + + =
+ − + =
+ + − =
⎫
⎬
⎪
⎭
⎪
l
l
l
x x x
x x x
x x x
(I)
Case (i) If l = 1, then equations (I) become
x1
+ x3
= 0 ⇒ x3
= −x1
, 2x2
= 0 ⇒ x2
= 0 and x1
+ x3
= 0 ⇒ x3
= −x1
Choose x1
= 1. ∴ x3
= −1 ∴ an eigen vector is X1
1
0
1
=
−
⎡
⎣
⎢
⎢
⎢
⎤
⎦
⎥
⎥
⎥
Case (ii) If l = 3, then equations (I) become
− + = = − = ⇒ =
x x x x x x x
1 3 2 1 3 1 3
0 0 0 0
, and (2)
and x2
can take any value
Choosing x1
= 1, we get x3
= 1 and choose x2
= 0 ∴ an eigen vector is X2
1
0
1
=
⎡
⎣
⎢
⎢
⎢
⎤
⎦
⎥
⎥
⎥
M01_ENGINEERING_MATHEMATICS-I _CH01_Part B.indd 94 5/30/2016 5:07:03 PM
Matrices ■ 1.95
We shall now choose X3 =
⎡
⎣
⎢
⎢
⎢
⎤
⎦
⎥
⎥
⎥
a
b
c
orthogonal to X2
∴ dot product = 0 ⇒ a + c = 0 and X3
should satisfy equations (2)
∴ a – c = 0 and 0b = 0
Solving, we get a = c = 0 and choose b = 1 ∴ X3
0
1
0
=
⎡
⎣
⎢
⎢
⎢
⎤
⎦
⎥
⎥
⎥
Thus, the eigen values are 1, 3, 3 and the corresponding eigen vectors are
1
0
1
−
⎡
⎣
⎢
⎢
⎢
⎤
⎦
⎥
⎥
⎥
,
1
0
1
⎡
⎣
⎢
⎢
⎢
⎤
⎦
⎥
⎥
⎥
,
0
1
0
⎡
⎣
⎢
⎢
⎢
⎤
⎦
⎥
⎥
⎥
Clearly they are pairwise orthogonal vectors.
The normalised eigen vectors are
1
2
0
1
2
−
⎡
⎣
⎢
⎢
⎢
⎢
⎢
⎢
⎤
⎦
⎥
⎥
⎥
⎥
⎥
⎥
,
1
2
0
1
2
⎡
⎣
⎢
⎢
⎢
⎢
⎢
⎢
⎤
⎦
⎥
⎥
⎥
⎥
⎥
⎥
,
0
1
0
⎡
⎣
⎢
⎢
⎢
⎤
⎦
⎥
⎥
⎥
∴ the normalised modal matrix N =
−
⎡
⎣
⎢
⎢
⎢
⎢
⎢
⎢
⎤
⎦
⎥
⎥
⎥
⎥
⎥
⎥
1
2
1
2
0
0 0 1
1
2
1
2
0
∴ NT
=
−
⎡
⎣
⎢
⎢
⎢
⎢
⎢
⎢
⎤
⎦
⎥
⎥
⎥
⎥
⎥
⎥
1
2
0
1
2
1
2
0
1
2
0 1 0
AN =
⎡
⎣
⎢
⎢
⎢
⎤
⎦
⎥
⎥
⎥
−
⎡
⎣
⎢
⎢
⎢
⎢
⎢
⎢
⎤
⎦
⎥
⎥
⎥
⎥
⎥
⎥
=
2 0 1
0 3 0
1 0 2
1
2
1
2
0
0 0 1
1
2
1
2
0
1
2
3
2
0
0
0 0 3
1
2
3
2
0
−
⎡
⎣
⎢
⎢
⎢
⎢
⎢
⎢
⎤
⎦
⎥
⎥
⎥
⎥
⎥
⎥
∴ N AN
T
=
−
⎡
⎣
⎢
⎢
⎢
⎢
⎢
⎢
⎤
⎦
⎥
⎥
⎥
⎥
⎥
⎥
−
⎡
⎣
⎢
⎢
⎢
⎢
⎢
⎢
⎤
1
2
0
1
2
1
2
0
1
2
0 1 0
1
2
3
2
0
0 0 3
1
2
3
2
0
⎦
⎦
⎥
⎥
⎥
⎥
⎥
⎥
=
⎡
⎣
⎢
⎢
⎢
⎤
⎦
⎥
⎥
⎥
=
1 0 0
0 3 0
0 0 3
D
∴ N−1
AN = D ⇒ A = ND N−1
∴ A3
= ND3
N−1
= ND3
NT
[
∴
NT
= N−1
]
M01_ENGINEERING_MATHEMATICS-I _CH01_Part B.indd 95 5/30/2016 5:07:05 PM
1.96 ■ Engineering Mathematics
⇒ A3
1
2
1
2
0
0 0 1
1
2
1
2
0
1 0 0
0 27 0
0 0 27
=
−
⎡
⎣
⎢
⎢
⎢
⎢
⎢
⎢
⎤
⎦
⎥
⎥
⎥
⎥
⎥
⎥
⎡
⎣
⎢
⎢
⎢
⎢
⎢
⎢
⎤
⎦
⎥
⎥
⎥
⎥
⎥
⎥
⎥
−
⎡
⎣
⎢
⎢
⎢
⎢
⎢
⎢
⎤
⎦
⎥
⎥
⎥
⎥
⎥
⎥
=
−
⎡
⎣
⎢
⎢
⎢
⎢
⎢
⎢
⎤
⎦
1
2
0
1
2
1
2
0
1
2
0 1 0
1
2
1
2
0
0 0 1
1
2
1
2
0
⎥
⎥
⎥
⎥
⎥
⎥
⎥
−
⎡
⎣
⎢
⎢
⎢
⎢
⎢
⎢
⎤
⎦
⎥
⎥
⎥
⎥
⎥
⎥
=
⎡
⎣
⎢
1
2
0
1
2
27
2
0
27
2
0 27 0
14 0 13
0 27 0
13 0 14
⎢
⎢
⎢
⎢
⎢
⎢
⎤
⎦
⎥
⎥
⎥
⎥
⎥
⎥
1.8 REAL QUADRATIC FORM. REDUCTION TO CANONICAL FORM
Definition 1.41 A homogeneous polynomial of second degree in any number of variables is called a
quadratic form.
For example
(i) x xy y
2 2
4 4
+ +
(ii) ax by cz hxy gyz fzx
2 2 2
2 2 2
+ + + + +
(iii) x x x x
1
2
2
2
3
2
4
2
3
+ + +
are quadratic forms in 2, 3 and 4 variables respectively.
Definition 1.42 The general quadratic form in n variables x1
, x2
, …, xn
is a x x
ij i j
i
n
j
n
=
=
∑
∑ 1
1
, where aij
are
real numbers such that aij
= aji
for all i, j = 1, 2, 3, …, n.
Usually the quadratic form is denoted by Q and Q
1
1
=
=
=
∑
∑ a x x
ij i j
i
n
j
n
.
1. Matrix form of Q
If X
n
=
⎡
⎣
⎢
⎢
⎢
⎢
⎤
⎦
⎥
⎥
⎥
⎥
x
x
x
1
2
…
, A
n
2n
n1 n2 nn
=
⎡
⎣
⎢
⎢
⎢
⎢
⎤
⎦
⎥
⎥
⎥
⎥
a a a
a a a
a a a
11 12 1
21 22
…
…
… … … …
…
, where aij
= aji
, then A is a symmetric matrix and the quadratic
form
Q =
=
=
∑
∑ a x
ij ij
i
n
j
n
1
1
can be written as Q = XT
AX.
A is called the matrix of the quadratic form.
For example the quadratic form x2
+ 4xy + 4y2
can be written in the matrix form [ ] .
x y
x
y
1 2
2 4
⎡
⎣
⎢
⎤
⎦
⎥
⎡
⎣
⎢
⎤
⎦
⎥
Here X =
⎡
⎣
⎢
⎤
⎦
⎥
x
y
and A =
⎡
⎣
⎢
⎤
⎦
⎥
1 2
2 4
.
M01_ENGINEERING_MATHEMATICS-I _CH01_Part B.indd 96 5/30/2016 5:07:07 PM
Matrices ■ 1.97
Note Since the quadratic form is Q = XT
AX, it is obvious that the characteristics or properties of Q
depend on the characteristics of A.
2. Canonical form of Q
Definition 1.43 A quadratic form Q which contains only the square terms of the variables is said to
be in canonical form.
For example x2
+ y2
, x2
– y2
, x2
+ y2
– 4z2
and x x x x
1
2
2
2
3
2
4
2
2
+ + + are in canonical forms because they
contain only square terms of the variables.
3. Reduction of Q to canonical form by orthogonal transformation
Let Q = XT
AX be a quadratic form in n variables x1
, x2
, …, xn
and A = [aij
] be the symmetric matrix
of order n of the quadratic form. We will reduce A to diagonal form by an orthogonal transformation
X = NY, where N is the normalised modal matrix of A. Then NT
AN = D, where D is the diagonal
matrix containing the eigen values of A.
If l1
, l2
, …, ln
are the eigen values of A, then
D
n
=
…
…
… … … … …
…
⎡
⎣
⎢
⎢
⎢
⎢
⎤
⎦
⎥
⎥
⎥
⎥
l
l
l
1
2
0 0 0
0 0 0
0 0 0
∴ Q X AX (NY) A(NY) Y (N AN)Y Y DY
T T T T T
= = = =
If Y =
y
y
y
1
2
…
n
⎡
⎣
⎢
⎢
⎢
⎢
⎤
⎦
⎥
⎥
⎥
⎥
, then Q n
n n
=
⎡
⎣
⎢
⎢
⎢
⎢
⎤
⎦
⎥
⎥
⎥
⎥
⎡
⎣
⎢
⎢
⎢
⎢
⎤
⎦
⎥
[ ]
y y y
y
y
y
1 2
1
2
1
2
0 0
0 0
0 0
…
…
…
… … … …
…
…
l
l
l
⎥
⎥
⎥
⎥
= …
…
= …
[ ]
l l l l l l
1 1 2 2
1
2
1 1
2
2 2
2 2
y y y
y
y
y
y y y
n n n
n
n
⎡
⎣
⎢
⎢
⎢
⎢
⎤
⎦
⎥
⎥
⎥
⎥
+ + +
This is the required quadratic form.
Note In the canonical form the coefficients are the eigen values of A. Since A is a symmetric matrix,
the eigen values of A are all real. So, the eigen values may be positive, negative or zero. Hence, the
terms of the canonical form may be positive, negative or zero. By using the canonical form or the
eigen values, we can characterise the quadratic form.
Definition 1.44 If A is the matrix of the quadratic form Q in the variables x1
, x2
, …, xn
, then the rank
of Q is equal to the rank of A.
If rank of A  n, where n is the number of variables or order of A, then A = 0 and Q is called a
singular form.
M01_ENGINEERING_MATHEMATICS-I _CH01_Part B.indd 97 5/30/2016 5:07:09 PM
1.98 ■ Engineering Mathematics
4. Index, signature and rank of quadratic form
Definition 1.45 Let Q = XT
AX be a quadratic form in n variables x1
, x2
, …, xn
.
X = [x1
, x2
, …, xn
]T
and A is the matrix of the quadratic form.
(i) Index of the quadratic form is the number of positive eigen values of A.
(ii) Signature of the quadratic form is the difference between the number of positive and
negative eigen values of A.
(iii) Rank of the quadratic form is the number of positive and negative eigen values of A.
Usually index is denoted by p, signature by s and rank by r.
5. Definite and indefinite quadratic forms
Definition 1.46 Let Q = XT
AX be a quadratic form in n variables x1
, x2
, …, xw
.
i.e., X = [x1
… xn
]T
and A is the matrix of the quadratic form.
(i) Q is said to be positive definite if all the n eigen values of A are positive.
i.e., if r = n and p = n
e.g., y y y
1
2
2
2 2
+ + +
… n is positive definite.
(ii) Q is said to be negative definite if all the n eigen values of A are negative.
i.e., if r = n, p = 0
e.g., − − − −
y y y
1
2
2
2 2
… n is negative definite.
(iii) Q is said to be positive semidefinite if all the n eigen values ofA are ≥ 0 with at least one
eigen value = 0.
i.e., if r  n and p = r
e.g., y y y
1
2
2
2 2
+ + +
… r , where r  n, is positive semi-definite.
(iv) Q is said to be negative semidefinite if all the n eigen values of A are ≤ 0 with at least one
value = 0.
i.e., if r  n and p = 0
e.g., − − − −
y y y
1
2
2
2 2
… r , where r  n, is negative semi definite.
(v) Q is said to be indefinite if A has positive and negative eigen values.
e.g., y y y y y
1
2
2
2
3
2
4
2 2
+ − − + +
… n
is indefinite.
6. We can also find the nature of a quadratic form without finding the eigen values of A or without
reducing to canonical form but by using the principal minors of A as below.
Definition 1.47 Let Q = XT
AX be a quadratic form in n variables x1
, x2
, …, xn
and let the matrix of
the quadratic form be
A
n
2n
n1 n2 nn
=
⎡
⎣
⎢
⎢
⎢
⎢
⎤
⎦
⎥
⎥
⎥
⎥
a a a
a a a
a a a
11 12 1
21 22
…
…
… … … …
…
Let D1
= a11 = a11
, D2
=
a a
a a
11 12
21 22
, D3
=
a a a
a a a
a a a
11 12 13
21 22 23
31 32 33
and so on.
Finally Dn
= A .
M01_ENGINEERING_MATHEMATICS-I _CH01_Part B.indd 98 5/30/2016 5:07:10 PM
Matrices ■ 1.99
The determinants D1
, D2
, D3
, …, Dn
are called the principal minors of A.
The quadratic form Q is said to be
(i) positive definite if Di
 0 for all i = 1, 2, …, n
(ii) negative definite if (−1)i
Di
 0 for all i = 1, 2, …, n
i.e., D1
, D3
, D5
, … are negative and D2
, D4
, D6
… are positive.
(iii) positive semi-definite if Di
≥ 0 for all i = 1, 2, 3, …, n and at least one Di
= 0.
(iv) negative semi-definite if (−1)i
Di
≥ 0 for all i = 1, 2, 3, …, n and at least one Di
= 0.
(v) indefinite in all other cases.
7. Law of intertia of a quadratic form
In the reduction of a quadratic form to canonical form the number of positive and negative terms
are independent of the choice of the transformation.
In other words, the signature of a real quadratic form is invariant under a real non-singular
transformation. This property is called the law of inertia of the quadratic form.
WORKED EXAMPLES
EXAMPLE 1
Write down the matrix of the quadratic form 2 2 4 2 6 6 .
1
2
2
2
3
2
1 2 1 3 2 3
x x x x x x x x x
2 1 1 2 1
Solution.
The Q.F is 2 2 4 2 6 6
1
2
2
2
3
2
1 2 1 3 2 3
x x x x x x x x x
− + + − +
It has 3 variables x1
, x2
, x3
.
So, the matrix of the quadratic form is a 3 × 3 symmetric matrix.
A =
⎡
⎣
⎢
⎢
⎢
⎤
⎦
⎥
⎥
⎥
a a a
a a a
a a a
11 12 13
21 22 23
31 32 33
Here
a11
= coefficient of x1
2
2
= a12
= a21 =
1
2
(coefficient of x1
x2
) = =
1
2
2 1
( )
a22
= coefficient of x2
2
2
= − a13
= a31 =
1
2
(coefficient of x1
x3
) = − = −
1
2
6 3
( )
a33
= coefficient of x3
2
4
= a23
= a32 =
1
2
(coefficient of x2
x3
) = =
1
2
6 3
( )
∴ A =
−
−
−
⎡
⎣
⎢
⎢
⎢
⎤
⎦
⎥
⎥
⎥
2 1 3
1 2 3
3 3 4
M01_ENGINEERING_MATHEMATICS-I _CH01_Part B.indd 99 5/30/2016 5:07:13 PM
1.100 ■ Engineering Mathematics
EXAMPLE 2
Write down the quadratic form corresponding to the matrix
2 4 5
4 3 1
5 1 1
.
⎡
⎣
⎢
⎢
⎢
⎤
⎦
⎥
⎥
⎥
Solution.
Let A =
⎡
⎣
⎢
⎢
⎢
⎤
⎦
⎥
⎥
⎥
2 4 5
4 3 1
5 1 1
, which is a 3 × 3 symmetric matrix.
So, the quadratic form has 3 variables x1
, x2
, x3
.
Let X =
⎡
⎣
⎢
⎢
⎢
⎤
⎦
⎥
⎥
⎥
x
x
x
1
2
3
, then the quadratic form is
Q X AX
T
= =
⎡
⎣
⎢
⎢
⎢
⎤
⎦
⎥
⎥
⎥
⎡
⎣
⎢
⎢
⎢
⎤
⎦
⎥
⎥
⎥
[ ]
x x x
x
x
x
1 2 3
1
2
3
2 4 5
4 3 1
5 1 1
= + + + + + +
⎡
⎣
⎢
⎢
⎤
⎦
⎥
⎥
= + +
[ ]
(
2 4 5 4 3 5
2 4 5
1 2 3 1 2 3 1 2 3
1
2
3
1 2
x x x x x x x x x
x
x
x
x x x
x x x x x x x x x x
x x x x x x x
3 1 1 2 3 2 1 2 3 3
1
2
1 2 3 1 1 2
4 3 5
2 4 5 4
) ( ) ( )
+ + + + + +
= + + + +
+ + + + +
= + + + + +
3 5
2 3 8 10 2
2
2
3 2 1 3 2 3 3
2
1
2
2
2
3
2
1 2 1 3 2
x x x x x x x x
x x x x x x x x x3
3
Aliter Given A =
⎡
⎣
⎢
⎢
⎢
⎤
⎦
⎥
⎥
⎥
=
⎡
⎣
⎢
⎢
⎢
⎤
⎦
⎥
⎥
a a a
a a a
a a a
11 12 13
21 22 23
31 32 33
2 4 5
4 3 1
5 1 1⎥
⎥
Then the quadratic form in 3 variables x1
, x2
, x3
is
Q X AX
T
= = + + + + +
a x a x a x a x x a x x a x
11 1
2
22 2
2
33 3
2
12 1 2 13 1 3 23 2
2 2 2
( ) ( ) ( ) x
x
x x x x x x x x x
x x x
3
1
2
2
2
3
2
1 2 1 3 2 3
1
2
2
2
3
2
2 3 2 4 2 5 2 1
2 3
= + + + + +
= + +
( ) ( ) ( )
+
+ + +
8 10 2
1 2 1 3 2 3
x x x x x x
EXAMPLE 3
Discuss the nature of the following quadratic forms.
(i) 6x2
+ 3y2
+ 3z2
– 4xy 2 2yz + 4zx
(ii) 6 3 14 4 18 4
1
2
2
2
3
2
2 3 1 3 1 2
x x x x x x x x x
1 1 1 1 1
(iii) xy + yz + zx
(iv) 10x2
+ 2y2
+ 5z2
+ 6yz 2 10zx 2 4xy.
Solution.
(i) The Q.F is 6x2
+ 3y2
+ 3z2
– 4xy − 2yz + 4zx, having 3 variables x, y, z.
M01_ENGINEERING_MATHEMATICS-I _CH01_Part B.indd 100 5/30/2016 5:07:14 PM
Matrices ■ 1.101
The matrix of the quadratic form is
A =
−
− −
−
⎡
⎣
⎢
⎢
⎢
⎤
⎦
⎥
⎥
⎥
6 2 2
2 3 1
2 1 3
.
The principal minors are
D1
= |6| = 6  0; D2
6 2
2 3
18 4 14 0
=
−
−
= − = 
D A
3
6 2 2
2 3 1
2 1 3
6 9 1 2 6 2 2 2 6 48 8 8 32 0
= =
−
− −
−
= − + − + + − = − − = 
( ) ( ) ( )
Since D1
, D2
, D3
are positive, the quadratic form is positive definite.
(ii) The quadratic form is 6 3 14 4 18 4
1
2
2
2
3
2
2 3 1 3 1 2
x x x x x x x x x
+ + + + + , having 3 variables x1
, x2
, x3
.
The matrix of the Q.F is
A =
6 2 9
2 3 2
9 2 14
⎡
⎣
⎢
⎢
⎢
⎤
⎦
⎥
⎥
⎥
.
The principal minors are D1
= 6  0; D2
6 2
2 3
= = 18 − 4 = 14  0
and D A
3
6 2 9
2 3 2
9 2 14
= =
= 6(42 − 4) – 2(28 − 18) + 9(4 − 27) = 6(38) – 20 + 9(−23) = 228 – 20 – 207 = 1  0
Since D1
, D2
, D3
are positive, the quadratic form is positive definite.
(iii) The quadratic form is xy + yz + zx in 3 variables x, y, z
The matrix of the quadratic form is A =
⎡
⎣
⎢
⎢
⎢
⎢
⎢
⎢
⎢
⎤
⎦
⎥
⎥
⎥
⎥
⎥
⎥
⎥
0
1
2
1
2
1
2
0
1
2
1
2
1
2
0
The principal minors are D1
= 0, D2
=
0
1
2
1
2
0
= − 
1
4
0
and D3
0
1
2
1
2
1
2
0
1
2
1
2
1
2
0
= = = − − + −
[ ]= × = 
1
8
0 1 1
1 0 1
1 1 0
1
8
0 1 0 1 1 0
1
8
2
1
4
0
( ) ( )
M01_ENGINEERING_MATHEMATICS-I _CH01_Part B.indd 101 5/30/2016 5:07:16 PM
1.102 ■ Engineering Mathematics
Since D1
= 0, D2
 0, D3
 0, the quadratic form is indefinite.
(iv) The Q.F 10 2 5 6 10 4
2 2 2
x y z yz zx xy
+ + + − − is in three variables x, y, z.
The matrix of the quadratic form A =
− −
−
−
⎡
⎣
⎢
⎢
⎢
⎤
⎦
⎥
⎥
⎥
10 2 5
2 2 3
5 3 5
The principal minors are D1
= 10  0, D2
10 2
2 2
=
−
−
= 20 − 4 = 16  0
D3
10 2 5
2 2 3
5 3 5
=
− −
−
−
= 10(10 − 9) + 2 (−10 + 15) – 5(−6 + 10) = 10 +10 – 20 = 0
Since D1
 0, D2
 0 and D3
= 0, the quadratic form is positive semi-definite.
EXAMPLE 4
Determine l so that l(x2
1 y2
1 z2
) 1 2xy 2 2yz 1 2zx is positive definite.
Solution.
The matrix of the quadratic form is A = −
−
⎡
⎣
⎢
⎢
⎢
⎤
⎦
⎥
⎥
⎥
l
l
l
1 1
1 1
1 1
The principal minors are D1
= l, D2
2
1
1
1
= = −
l
l
l ;
D A
3
2
1 1 1
1 1 1 1
= = − − + + − −
= + + − −
=
l l l l
l l l
( ) ( ) ( )
( )( ( ) )
(l
l l l l l
+ − − = + −
1 2 1 2
2 2
)( ( ) ( )
Given the quadratic form is positive definite.
∴ D1
 0, D2
 0 and D3
 0
⇒ l  0, l2
– 1  0 ⇒ (l + 1)(l − 1)  0 ⇒ l  1 (
∴
l  0)
and (l + 1)2
(l − 2)  0 ⇒ l − 2  0 ⇒ l  2 [∴ (l + 1)2
 0]
∴ the common values of l are l  2
EXAMPLE 5
Show that the quadratic form ax bx x cx
1
2
1 2 2
2
2 1
2 is positive definite if a . 0 and ac 2 b2
. 0.
Solution.
The matrix of the quadratic form is A =
−
−
⎡
⎣
⎢
⎤
⎦
⎥
a b
b c
The principal minors are D1
= a, D A
2
2
= = =
a b
b c
ac b
−
−
− .
Given a  0 and ac – b2
 0. ∴ D1
 0 and D2
 0.
Hence, the Q.F is positive definite.
M01_ENGINEERING_MATHEMATICS-I _CH01_Part B.indd 102 5/30/2016 5:07:18 PM
Matrices ■ 1.103
EXAMPLE 6
Reduce 6 3 3 4 2 4
2 2 2
x y z xy yz xz
1 1 2 2 1 into a canonical form by an orthogonal
reduction and find the rank, signature, index and the nature of the quadratic form.
Solution.
Given quadratic form is 6 3 3 4 2 4
2 2 2
x y z xy yz xz
+ + − − +
The matrix of the Q.F is A =
−
− −
−
⎡
⎣
⎢
⎢
⎢
⎤
⎦
⎥
⎥
⎥
6 2 2
2 3 1
2 1 3
The characteristic equation is A I
− =
l 0
⇒
6 2 2
2 3 1
2 1 3
0
− −
− − −
− −
=
l
l
l
⇒ l l l
3
1
2
2 3 0
− + − =
S S S
where S1
= 6 + 3 + 3 = 12
S2
3 1
1 3
6 2
2 3
6 2
2 3
8 14 14 36
=
−
−
+ +
−
−
= + + =
S A
3 6 9 1 2 6 2 2 2 6 48 8 8 32
= = − + − + + − = − − =
( ) ( ) ( )
∴ the characteristic equation is l l l
3 2
12 36 32 0
− + − =
By trial, l = 2 is a root.
Other roots are given by l2
− 10l + 16 = 0
⇒ (l − 2)(l − 8) = 0 ⇒ l = 2, 8
2
1 12 36 32
0 2 20 32
1 10 16 0
− −
−
−
∴ the eigen values are l = 2, 2, 8
To find eigen vectors:
Let X =
⎡
⎣
⎢
⎢
⎢
⎤
⎦
⎥
⎥
⎥
x
x
x
1
2
3
be an eigen vector corresponding to eigen value l.
Then ( )
A I X
− = ⇒
− −
− − −
− −
⎡
⎣
⎢
⎢
⎢
⎤
⎦
⎥
⎥
⎥
⎡
⎣
⎢
⎢
⎢
⎤
⎦
⎥
⎥
⎥
=
l
l
l
l
0
6 2 2
2 3 1
2 1 3
0
0
1
2
3
x
x
x 0
0
⎡
⎣
⎢
⎢
⎢
⎤
⎦
⎥
⎥
⎥
⇒
( )
( )
( )
6 2 2 0
2 3 0
2 3 0
1 2 3
1 2 3
1 2 3
− − + =
− + − − =
− + − =
⎫
⎬
⎪
⎭
⎪
l
l
l
x x x
x x x
x x x
(I)
Case (i) If l = 8, then equations (I) become
− − + = ⇒ + − =
2 2 2 0 0
1 2 3 1 2 3
x x x x x x
M01_ENGINEERING_MATHEMATICS-I _CH01_Part B.indd 103 5/30/2016 5:07:21 PM
1.104 ■ Engineering Mathematics
− − − = ⇒ + + =
− − =
2 5 0 2 5 0
2 5 0
1 2 3 1 2 3
1 2 3
x x x x x x
x x x
From the first two equations we get
⇒
⇒
x x x
x x x
x x x
1 2 3
1 2 3
1 2 3
1 5 2 1 5 2
6 3 3
2 1 1
+
=
− −
=
−
=
−
=
=
−
=
Choosing x1
= 2, x2
= −1, x3
= 1, we get an eigen vector X1
2
1
1
= −
⎡
⎣
⎢
⎢
⎢
⎤
⎦
⎥
⎥
⎥
Case (ii) If l = 2, then equations (I) become
4 2 2 0 2 0
2 0 2 0
2
1 2 3 1 2 3
1 2 3 1 2 3
1 2 3
x x x x x x
x x x x x x
x x x
− + = ⇒ − + =
− + − = ⇒ − + =
− + =
= 0
So, we get only one equation 2x1
− x2
+ x3
= 0 (1)
Choosing x3
= 0, we get 2x1
– 2x2
= 0 ⇒ x2
= 2x1
Choosing x1
= 1, we get x2
= 2 and x3
= 0 ∴ an eigen vector is X2
1
2
0
=
⎡
⎣
⎢
⎢
⎢
⎤
⎦
⎥
⎥
⎥
We shall find another eigen vector X3 =
⎡
⎣
⎢
⎢
⎢
⎤
⎦
⎥
⎥
⎥
a
b
c
orthogonal to X2
∴ a + 2b = 0 ⇒ a = −2b
Also X3
satisfies (1)
∴ 2a – b + c = 0 ⇒ −4b – b + c = 0 ⇒ c = 5b
Choosing b = 1, we get c = 5 and a = −2 and eigen vector X3
2
1
5
=
−
⎡
⎣
⎢
⎢
⎢
⎤
⎦
⎥
⎥
⎥
Thus, the eigen values are 8, 2, 2 and the corresponding eigen vectors are
X X X
1 2 3
2
1
1
1
2
0
2
1
5
= −
⎡
⎣
⎢
⎢
⎢
⎤
⎦
⎥
⎥
⎥
=
⎡
⎣
⎢
⎢
⎢
⎤
⎦
⎥
⎥
⎥
=
−
⎡
⎣
⎢
⎢
⎢
⎤
⎦
⎥
⎥
⎥
, ,
Clearly X3
is orthogonal to X1
and X2
. Also X1
, X2
are orthogonal.
The normalised eigen vectors are
2
6
1
6
1
6
1
5
2
5
0
2
30
1
30
5
−
⎡
⎣
⎢
⎢
⎢
⎢
⎢
⎢
⎢
⎤
⎦
⎥
⎥
⎥
⎥
⎥
⎥
⎥
⎡
⎣
⎢
⎢
⎢
⎢
⎢
⎢
⎢
⎤
⎦
⎥
⎥
⎥
⎥
⎥
⎥
⎥
−
, ,
3
30
⎡
⎣
⎢
⎢
⎢
⎢
⎢
⎢
⎢
⎤
⎦
⎥
⎥
⎥
⎥
⎥
⎥
⎥
1
5
x1
x2
x3
1 1
2 5
−1
1
M01_ENGINEERING_MATHEMATICS-I _CH01_Part B.indd 104 5/30/2016 5:07:23 PM
Matrices ■ 1.105
The normalised modal matrix N =
−
−
⎡
⎣
⎢
⎢
⎢
⎢
⎢
⎢
⎢
⎤
⎦
⎥
⎥
⎥
⎥
⎥
⎥
⎥
2
6
1
5
2
30
1
6
2
5
1
30
1
6
0
5
30
Then N AN D
T
= =
⎡
⎣
⎢
⎢
⎢
⎤
⎦
⎥
⎥
⎥
8 0 0
0 2 0
0 0 2
The orthogonal transformation X = NY, where Y =
⎡
⎣
⎢
⎢
⎢
⎤
⎦
⎥
⎥
⎥
y
y
y
1
2
3
reduces the given quadratic form to
YT
DY = [y1
y2
y3
]
8 0 0
0 2 0
0 0 2
1
2
3
⎡
⎣
⎢
⎢
⎢
⎤
⎦
⎥
⎥
⎥
⎡
⎣
⎢
⎢
⎢
⎤
⎦
⎥
⎥
⎥
y
y
y
= + +
8 2 2
1
2
2
2
3
2
y y y , which is the canonical form.
∴ rank of the Q.F = 3, index = 3, signature = 3
The Q.F is positive definite, since all the eigen values are positive.
EXAMPLE 7
Find out the type of conic represented by 17x2
2 30xy 1 17y2
5 128 after reducing the quadratic
form 17x2
2 30xy 1 17y2
to canonical form by an orthogonal transformation.
Solution.
Given quadratic form is 17x2
– 30xy + 17y2
The matrix of the Q.F is A =
⎡
⎣
⎢
⎤
⎦
⎥
17 15
15 17
−
−
The characteristic equation of A is A I
− l = 0
⇒
17 15
15 17
0
− −
− −
=
l
l
⇒ 17 15 0 17 15 17 15 2 32
2 2 2 2
− − = ⇒ − = ⇒ − = ± ⇒ =
l l l l
( ) ( ) or .
.
To find eigen vectors:
If X =
⎡
⎣
⎢
⎤
⎦
⎥
x
x
1
2
be an eigen vector corresponding to eigen value l.
M01_ENGINEERING_MATHEMATICS-I _CH01_Part B.indd 105 5/30/2016 5:07:25 PM
1.106 ■ Engineering Mathematics
Then ( )
A I X
− ⇒
− −
− −
l
l
l
=
⎡
⎣
⎢
⎤
⎦
⎥
⎡
⎣
⎢
⎤
⎦
⎥ =
⎡
⎣
⎢
⎤
⎦
⎥
0
17 15
15 17
0
0
1
2
x
x
⇒ ( )
( )
17 15 0
15 17 0
1 2
1 2
− −
− −
l
l
x x
x x
=
=
⎫
⎬
⎭
+
(I)
Case (i) If l = 2, then equations (I) become
15 15 0 15 15 0
1 2 1 2 1 2
x x x x x x
− = − + = ⇒ =
,
Choosing x1
= 1, we get x2
= 1 ∴ an eigen vector is X1
1
1
=
⎡
⎣
⎢
⎤
⎦
⎥
Case (ii) If l = 32, then equation (I) become
− − = − − = ⇒ = −
15 15 0 15 15 0
1 2 1 2 2 1
x x x x x x
and
Choose x1
= 1, we get x2
= −1 ∴ an eigen vector is X2
1
1
=
⎡
⎣
⎢
⎤
⎦
⎥
−
∴ the normalised eigen vectors are
1
2
1
2
1
2
1
2
⎡
⎣
⎢
⎢
⎢
⎢
⎤
⎦
⎥
⎥
⎥
⎥
⎡
⎣
⎢
⎢
⎢
⎢
⎤
⎦
⎥
⎥
⎥
⎥
,
−
The normalised modal matrix
N =
1
2
1
2
1
2
1
2
−
⎡
⎣
⎢
⎢
⎢
⎢
⎤
⎦
⎥
⎥
⎥
⎥
⇒ N AN
T
=
⎡
⎣
⎢
⎢
⎢
⎢
⎤
⎦
⎥
⎥
⎥
⎥
1
2
1
2
1
2
1
2
−
17 15
15 17
−
−
⎡
⎣
⎢
⎢
⎢
⎤
⎦
⎥
⎥
⎥
1
2
1
2
1
2
1
2
−
⎡
⎣
⎢
⎢
⎢
⎢
⎤
⎦
⎥
⎥
⎥
⎥
=
⎡
⎣
⎢
⎤
⎦
⎥ =
2 0
0 32
D
The transformation X = NY, where Y =
⎡
⎣
⎢
⎤
⎦
⎥
y
y
1
2
, reduces the given quadratic form to
Y DY which is the cano
T
=
⎡
⎣
⎢
⎤
⎦
⎥
⎡
⎣
⎢
⎤
⎦
⎥ =
[ ] ,
y y
y
y
y y
1 2
1
2
1
2
2
2
2 0
0 32
2 32
+ n
nical form.
But the given quadratic from = 128
∴ 2 32 128
64 4
1
1
2
2
2 1
2
2
2
y y
y y
+ ⇒ + =
= , which represents an ellipse.
M01_ENGINEERING_MATHEMATICS-I _CH01_Part B.indd 106 5/30/2016 5:07:28 PM
Matrices ■ 1.107
EXAMPLE 8
Reduce the quadratic form 8x2
1 7y2
1 3z2
2 12xy 1 4xz 2 8yz to the canonical form by an
orthogonal transformation. Find one set of values of x, y, z (not all zero) which will make the
quadratic form zero.
Solution.
Given quadratic form is 8x2
+ 7y2
+ 3z2
– 12xy + 4xz – 8yz
The matrix of the quadratic form is A = −
⎡
⎣
⎢
⎢
⎢
⎤
⎦
⎥
⎥
⎥
8 6 2
6 7 4
2 4 3
−
−
−
The characteristic equation is A I
− l = 0
⇒
8 6 2
6 7 4
2 4 3
0 0
3
1
2
2 3
−
− −
−
= ⇒ − + − =
l
l
l
l l l
−
−
−
S S S
where S1
= 8 + 7 + 3 = 18
S
S
2
3
7 4
4 3
8 2
2 3
8 6
6 7
21 16 24 4 56 36 5 20 20 45
=
−
−
+ +
−
−
= − + − + − = + + =
=
( ) ( ) ( )
A
A = − + − + + − = − + =
8 21 16 6 18 8 2 24 14 40 60 20 0
( ) ( ) ( )
∴ the characteristic equation is l l l
3 2
18 45 0
− + =
⇒ l l l
( )
2
18 45 0
− + = ⇒ l l l l
( )( ) , , .
− − = ⇒ =
3 15 0 0 3 15
To find eigen vectors:
If X =
⎡
⎣
⎢
⎢
⎢
⎤
⎦
⎥
⎥
⎥
x
x
x
1
2
3
be an eigen vector of the eigen value l of A, then
( )
A I X
−
− −
− − −
− −
l
l
l
l
= ⇒
⎡
⎣
⎢
⎢
⎢
⎤
⎦
⎥
⎥
⎥
⎡
⎣
⎢
⎢
⎢
⎤
⎦
⎥
⎥
⎥
=
0
8 6 2
6 7 4
2 4 3
0
1
2
3
x
x
x
⇒
( )
( )
( )
8 6 2 0
6 7 4 0
2 4 3 0
1 2 3
1 2 3
1 2 3
− + =
+ − =
+ =
⎫
⎬
⎪
⎭
⎪
l
l
l
x x x
x x x
x x x
−
− −
− −
(I)
M01_ENGINEERING_MATHEMATICS-I _CH01_Part B.indd 107 5/30/2016 5:07:30 PM
1.108 ■ Engineering Mathematics
Case (i) If l = 0, then the equations (I) become
8 6 2 0 4 3 0
6 7 4 0 2 4 3 0
1 2 3 1 2 3
1 2 3 1 2 3
x x x x x x
x x x x x x
− + = ⇒ − + =
− + − = − + =
and
From the first and third equations, we get
⇒
⇒
x x x
x x x
x x x
1 2 3
1 2 3
1 2 3
9 4 2 12 16 6
5 10 10
1 2 2
− +
=
−
=
− +
−
=
−
=
−
= =
Choosing x1
= 1, x2
= 2, x3
= 2, we get an eigen vector X1
1
2
2
=
⎡
⎣
⎢
⎢
⎢
⎤
⎦
⎥
⎥
⎥
Similarly, we can find for l = =
−
⎡
⎣
⎢
⎢
⎢
⎤
⎦
⎥
⎥
⎥
3
2
1
2
2
, X and for l = =
⎡
⎣
⎢
⎢
⎢
⎤
⎦
⎥
⎥
⎥
15
2
2
1
3
, X −
∴ the normalised modal matrix N =
1
3
2
3
2
3
2
3
1
3
2
3
2
3
2
3
1
3
−
−
⎡
⎣
⎢
⎢
⎢
⎢
⎢
⎢
⎢
⎤
⎦
⎥
⎥
⎥
⎥
⎥
⎥
⎥
= −
−
⎡
⎣
⎢
⎢
⎢
⎤
⎦
⎥
⎥
⎥
1
3
1 2 2
2 1 2
2 2 1
∴ N AN D
T
= =
⎡
⎣
⎢
⎢
⎢
⎤
⎦
⎥
⎥
⎥
0 0 0
0 3 0
0 0 15
The transformation X = NY, where Y =
y
y
y
1
2
3
⎡
⎣
⎢
⎢
⎢
⎤
⎦
⎥
⎥
⎥
, reduces the quadratic form to the canonical form
Y DY
T
=
⎡
⎣
⎢
⎢
⎢
⎤
⎦
⎥
⎥
⎥
⎡
⎣
⎢
⎢
⎢
⎤
⎦
⎥
⎥
⎥
[ ]
y y y
y
y
y
1 2 3
1
2
3
0 0 0
0 3 0
0 0 15
= + +
0 3 15
1
2
2
2
2
2
y y y
The transformation is
x
y
z
y
y
y
⎡
⎣
⎢
⎢
⎢
⎤
⎦
⎥
⎥
⎥
=
⎡
⎣
⎢
⎢
⎢
⎤
⎦
⎥
⎥
⎥
⎡
⎣
⎢
⎢
⎢
⎤
⎦
⎥
⎥
⎥
1
3
1 2 2
2 1 2
2 2 1
1
2
3
−
−
−3
−4
x1
x2
x3
4 −3
2 −4
1
3
M01_ENGINEERING_MATHEMATICS-I _CH01_Part B.indd 108 5/30/2016 5:07:33 PM
Matrices ■ 1.109
∴ x y y y y y y y z y y y
= + + = + = +
1
3
2 2
1
3
2 2
1
3
2 2
1 2 3 1 2 3 1 2 3
( ), ( ) ( )
− −
and
Quadratic form = 0
⇒ 0 3 15 0
1
2
2
2
3
2
y y y
+ + = ⇒ 3 15 0 0 0
2
2
3
2
2 3
y y y y
+ = ⇒ = =
and
and y1
can take any value, we shall choose y1
= 3
∴ x = 1, y = 2, z = 2
Hence, this set of values will make the quadratic form = 0
EXAMPLE 9
Reduce the quadratic form x x
1
2
2
2
3
2
1 2 2 3
2 2 2
1 1 2 1
x x x x x to the canonical form through an
orthogonal transformation and hence show that it is positive semi-definite.Also give a non-zero
set of values (x1
, x2
, x3
) which makes the quadratic form zero.
Solution.
Given the quadratic form is x x x x x x x
1
2
2
2
3
2
1 2 2 3
2 2 2
+ + − +
The matrix of the quadratic form is A =
⎡
⎣
⎢
⎢
⎢
⎤
⎦
⎥
⎥
⎥
1 1 0
1 2 1
0 1 1
−
−
The characteristic equation of A is A I
− l = 0
⇒
1 1 0
1 2 1
0 1 1
0 0
3
1
2
2 3
− −
− −
−
= ⇒ − + =
l
l
l
l l l
S S S
−
where S1
= 1 + 2 + 1 = 4
S
S A
2
3
2 1
1 1
1 0
0 1
1 1
1 2
1 1 1 3
2 1 1 1 0
= + +
−
−
= + + =
= = − + − =
( )
∴ the characteristic equation is l l l
3 2
4 3 0
− + =
⇒ l l l l l l l
( ) ( )( ) , ,
2
4 3 0 1 3 0 0 1 3
− + = ⇒ − − = ⇒ =
To find eigen vectors:
If X =
⎡
⎣
⎢
⎢
⎢
⎤
⎦
⎥
⎥
⎥
x
x
x
1
2
3
be an eigen vector corresponding to an eigen value l of A, then
M01_ENGINEERING_MATHEMATICS-I _CH01_Part B.indd 109 5/30/2016 5:07:35 PM
1.110 ■ Engineering Mathematics
(A − lI)X = 0 ⇒
1 1 0
1 2 1
0 1 1
0
0
0
1
2
3
−
⎡
⎣
⎢
⎢
⎢
⎤
⎦
⎥
⎥
⎥
⎡
⎣
⎢
⎢
⎢
⎤
⎦
⎥
⎥
⎥
=
⎡
⎣
⎢
⎢
⎢
⎤
⎦
⎥
⎥
⎥
l
l
l
−
− −
−
x
x
x
⇒
( )
( )
( )
1 0 0
2 0
0 1 0
1 2 3
1 2 3
1 2 3
− l
l
l
x x x
x x x
x x x
− + =
− + − + =
+ + − =
(I)
Case (i) If l = 0, then the equations (I) become
x x x x x x x x x x x
1 2 1 2 1 2 3 2 3 3 2
0 2 0 0
− = ⇒ = − + + = + = ⇒ = −
, and
Take x2
= 1, then x1
= 1, x3
= −1 ∴ an eigen vector is X1
1
1
1
=
⎡
⎣
⎢
⎢
⎢
⎤
⎦
⎥
⎥
⎥
−
Case (ii) If l = 1, the equations (I) become
and
0 0 0
0
1 2 2
1 2 3 1 3
x x x
x x x x x
− = ⇒ =
+ + = ⇒ =
−
Take x3
= 1, then x1
= 1 ∴ an eigen vector is X2
1
0
1
=
⎡
⎣
⎢
⎢
⎢
⎤
⎦
⎥
⎥
⎥
Case (iii) If l = 3, then equations (I) become
− − = ⇒ = − − − + = − = ⇒ =
2 0 2 0 2 0 2
1 2 2 1 1 2 3 2 3 2 3
x x x x x x x x x x x
, and
Take x2
= 2, then x1
= −1, x3
= 1 ∴ an eigen vector is X3
1
2
1
=
⎡
⎣
⎢
⎢
⎢
⎤
⎦
⎥
⎥
⎥
−
Thus, the eigen values are l = 0, 1, 3 and the eigen vectors are
X X X
1 2 3
1
1
1
1
0
1
1
2
1
=
⎡
⎣
⎢
⎢
⎢
⎤
⎦
⎥
⎥
⎥
=
⎡
⎣
⎢
⎢
⎢
⎤
⎦
⎥
⎥
⎥
=
⎡
⎣
⎢
⎢
⎢
⎤
⎦
⎥
⎥
⎥
−
−
, ,
∴ the normalized eigen vectors are
1
3
1
3
1
3
1
2
0
1
2
1
6
2
6
1
6
−
⎡
⎣
⎢
⎢
⎢
⎢
⎢
⎢
⎢
⎤
⎦
⎥
⎥
⎥
⎥
⎥
⎥
⎥
⎡
⎣
⎢
⎢
⎢
⎢
⎢
⎢
⎤
⎦
⎥
⎥
⎥
⎥
⎥
⎥
−
⎡
⎣
⎢
, ,
⎢
⎢
⎢
⎢
⎢
⎢
⎢
⎤
⎦
⎥
⎥
⎥
⎥
⎥
⎥
⎥
M01_ENGINEERING_MATHEMATICS-I _CH01_Part B.indd 110 5/30/2016 5:07:37 PM
Matrices ■ 1.111
∴ the normalised modal matrix is N =
⎡
⎣
⎢
⎢
⎢
⎢
⎢
⎢
⎢
⎤
⎦
⎥
⎥
⎥
⎥
⎥
⎥
⎥
1
3
1
2
1
6
1
3
0
2
6
1
3
1
2
1
6
−
−
∴ the diagonal matrix is N AN D
T
= =
⎡
⎣
⎢
⎢
⎢
⎤
⎦
⎥
⎥
⎥
0 0 0
0 1 0
0 0 3
The orthogonal transformation is X = NY
where Y =
⎡
⎣
⎢
⎢
⎢
⎤
⎦
⎥
⎥
⎥
y
y
y
1
2
3
and the canonical form is Y DY
T
= +
y y
2
2
3
2
3
∴ the quadratic form is positive semi-definite.
The transformation X = NY ⇒
x
x
x
y
y
1
2
3
1
2
1
3
1
2
1
6
1
3
0
2
6
1
3
1
2
1
6
⎡
⎣
⎢
⎢
⎢
⎤
⎦
⎥
⎥
⎥
=
⎡
⎣
⎢
⎢
⎢
⎢
⎢
⎢
⎢
⎤
⎦
⎥
⎥
⎥
⎥
⎥
⎥
⎥
−
−
y
y3
⎡
⎣
⎢
⎢
⎢
⎤
⎦
⎥
⎥
⎥
∴ x y y y x y y x y y y
1 1 2 3 2 1 3 3 1 2 3
1
3
1
2
1
6
1
3
2
6
1
3
1
2
1
6
= + − = + = − + +
, and
These equation make the quadratic form = 0
⇒ y y y y
2
2
3
2
2 3
3 0 0 0
+ = ⇒ = =
and
[Since sum of squares of real numbers = 0 ⇒ each number = 0] and y1
can take any real value.
∴ x y x y x y
1 1 2 1 3 1
1
3
1
3
1
3
= −
, ,
= =
Choosing y1 3
= , one set of values of x1
, x2
, x3
is x1
= 1, x2
= 1, x3
= −1.
EXERCISE 1.7
Diagonlaise the following matrices by orthogonal transformation.
1. A =
⎡
⎣
⎢
⎢
⎢
⎤
⎦
⎥
⎥
⎥
6 2 2
2 3 1
2 1 3
−
− −
−
2. A =
−
⎡
⎣
⎢
⎢
⎢
⎤
⎦
⎥
⎥
⎥
10 2 5
2 2 3
5 3 5
− −
− 3. A =
−
⎡
⎣
⎢
⎢
⎢
⎤
⎦
⎥
⎥
⎥
8 6 2
6 7 4
2 4 3
−
− −
4. A =
⎡
⎣
⎢
⎢
⎢
⎤
⎦
⎥
⎥
⎥
2 1 1
1 2 1
1 1 2
−
− −
−
5. A =
⎡
⎣
⎢
⎢
⎢
⎤
⎦
⎥
⎥
⎥
7 2 0
2 6 2
0 2 5
−
− −
−
6. A =
−
−
− −
⎡
⎣
⎢
⎢
⎢
⎤
⎦
⎥
⎥
⎥
2 1 1
1 1 2
1 2 1
M01_ENGINEERING_MATHEMATICS-I _CH01_Part B.indd 111 5/30/2016 5:07:40 PM
1.112 ■ Engineering Mathematics
7. Find the symmetric matrix A whose eigen values and eigen vectors are given
(i) eigen values are 0, 2, and eigen vectors
1
1
1
1
−
⎡
⎣
⎢
⎤
⎦
⎥
⎡
⎣
⎢
⎤
⎦
⎥
, .
(ii) eigen values are 1, 2, 3 and eigen vectors
1
1
0
0
0
1
1
1
0
−
⎡
⎣
⎢
⎢
⎢
⎤
⎦
⎥
⎥
⎥
⎡
⎣
⎢
⎢
⎢
⎤
⎦
⎥
⎥
⎥
⎡
⎣
⎢
⎢
⎢
⎤
⎦
⎥
⎥
⎥
, , .
8. Reduce the quadratic form 8 7 3 12 8 4
1
2
2
2
3
2
1 2 2 3 3 1
x x x x x x x x x
+ + − − + to the canonical form through an
orthogonal transformation and hence show that it is positive semi-definite.
9. Reduce the quadratic form 2 6 2 8
1
2
2
2
3
2
1 3
x x x x x
+ + + to canonical form by orthogonal reduction.
10. Reduce the quadratic form 3 5 3 2 2 2
1
2
2
2
3
2
2 3 3 1 1 2
x x x x x x x x x
+ + − + − to the canonical form by orthogonal
reduction.
11. Find the nature, index, signature and rank of the following Q.F, without reducing to canonical form.
(i) 3 5 3 2 2 2
1
2
2
2
3
2
2 3 3 1 1 2
x x x x x x x x x
+ + − + − . (ii) 10 2 5 6 10 4
2 2 2
x y z yz zx xy
+ + + − − .
(iii) 3 2 4 8 12
2 2 2
x y z xy xz yz
− − + +
− .
12. Determine the nature of the following quadratic form f(x1
, x2
, x3
) = x x
1
2
2
2
2
+ .
13. Find the nature of the quadratic form 2x2
+ 2xy + 3y2
.
14. Find the index, signature and rank of the Q.F in 3 variables x x x
1
2
2
2
3
2
2 3
+ − .
15. Reduce the quadratic form x x x x x x x x x
1
2
2
2
3
2
1 2 2 3 3 1
5 2 2 6
+ + + + + to canonical form through an orthogonal
transformation.
16. Reduce the quadratic form 2 6 2 8
1
2
2
2
3
2
1 3
x x x x x
+ + + to canonical form.
17. Reduce the given quadratic form Q to its canonical form using orthogonal transformation
Q = x2
+ 3y2
+ 3z2
− 2yz.
ANSWERS TO EXERCISE 1.7
1. l = 2, 2, 8; eigen vectors [0 1 1]T
, [1 1 −1]T
, [2 –1 1]T
2. l = 0, 3, 14; eigen vectors [1 −5 4]T
, [1 1 1]T
, [−3 1 2]T
3. l = 0, 3, 15; eigen vectors [1 2 2]T
, [2 1 −2]T
, [2 −2 1]T
4. l = 1, 1, 4; eigen vectors [1 1 0]T
, [−1 1 2]T
, [1 −1 1]T
, A3
22 21 21
21 22 21
21 21 22
=
⎡
⎣
⎢
⎢
⎢
⎤
⎦
⎥
⎥
⎥
−
− −
−
5. l = 3, 6, 9; eigen vectors [1 2 2]T
, [2 1 −2]T
, [2 −2 1]T
6. D =
−
⎡
⎣
⎢
⎢
⎢
⎤
⎦
⎥
⎥
⎥
1 0 0
0 1 0
0 0 4
7. (i) A =
⎡
⎣
⎢
⎤
⎦
⎥
1 1
1 1
(ii)
2 1 0
1 2 0
0 0 2
⎡
⎣
⎢
⎢
⎢
⎤
⎦
⎥
⎥
⎥
M01_ENGINEERING_MATHEMATICS-I _CH01_Part B.indd 112 5/30/2016 5:07:43 PM
Matrices ■ 1.113
8. 3 15
2
2
3
2
y y
+ 9. −2 6 6
1
2
2
2
3
2
y y y
+ + 10. 2 3 6
1
2
2
2
3
2
y y y
+ +
11. (i) Eigen values are 2, 3, 6; positive definite, index = 3, signature = 3, rank = 3.
(ii) Eigen values are 0, 3, 14; positive semi-definite, index = 2, signature = 2, rank = 2.
(iii) Eigen values are 3, 6, −9; indefinite, index = 2, signature = 1, rank = 3.
12. It is a positive semi-definite form 13. The quadratic form is positive definite.
14. Eigen value = 1, 2, −3, Index = 2, Signature = 1, Rank = 3
15. −2 3 6
1
2
2
2
3
2
y y y
+ + 16. − + +
2 6 6
1
2
2
2
3
2
y y y 17. y y y
1
2
2
2
3
2
2 4
+ +
SHORT ANSWER QUESTIONS
1. If A
5 4
1 2
5
⎡
⎣
⎢
⎤
⎦
⎥, find the eigen values of A2
2 2A 1 I.
2. Prove that A
1 2
2
5
1
⎡
⎣
⎢
⎤
⎦
⎥
and 23A21
have the same eigen values.
3. Two eigen values of the matrix A
2 2 1
1 3 1
1 2 2
5
⎡
⎣
⎢
⎢
⎢
⎤
⎦
⎥
⎥
⎥
are equal to 1 each, find the eigen values of A21
.
4. Find the sum and product of the eigen value of the matrix A
2 0 1
0 2 0
1 0 2
5
⎡
⎣
⎢
⎢
⎢
⎤
⎦
⎥
⎥
⎥
.
5. Two eigen values of A
4 6 6
1 3 2
1 5 2
5
2 2 2
⎡
⎣
⎢
⎢
⎢
⎤
⎦
⎥
⎥
⎥
are equal and they are double the third. Find the eigen values
of A2
.
6. If l1
, l2
, ..., ln
are the eigen values of an n 3 n matrix A, then show that l l l
1
3
2
, , ,
3
n
3
… are the eigen
values of A3
.
7. The matrix A
1 1 3
1 5 1
3 1 1
5
⎡
⎣
⎢
⎢
⎢
⎤
⎦
⎥
⎥
⎥
has an eigen vector
21
0
1
,
⎡
⎣
⎢
⎢
⎢
⎤
⎦
⎥
⎥
⎥
find the corresponding eigen value of A.
8. Using Cayley-Hamilton theorem find the inverse of
1 4
2 3
⎡
⎣
⎢
⎤
⎦
⎥
9. If 2, 3 are eigen values of a square matrix A of order 2, express A2
in terms of A and I.
10. If A is an orthogonal matrix, show that A21
is also orthogonal.
11. For a given matrix A of order 3, A 532 and two of its eigen values are 8 and 2. Find the sum of the
eigen values
12. Check whether the matrix B =
⎡
⎣
⎢
⎢
⎢
⎤
⎦
⎥
⎥
⎥
cos sin 0
sin cos 0
0 0 1
u u
2 u u is orthogonal? Justify.
13. Use Cayley-Hamilton theorem to find A4
2 4A3
2 5A2
1A 1 2I when A
1 2
4 3
5
⎡
⎣
⎢
⎤
⎦
⎥ .
M01_ENGINEERING_MATHEMATICS-I _CH01_Part B.indd 113 5/30/2016 5:07:46 PM
1.114 ■ Engineering Mathematics
14. True or false: If A and B are two invertible matrices then AB and BA have the same eigen values.
15. Find the eigen vector corresponding to the eigen value 1 of the matrix A
2 2 1
1 3 1
1 2 2
5
⎡
⎣
⎢
⎢
⎢
⎤
⎦
⎥
⎥
⎥
.
16. Find the sum and product of the eigen values of the matrix A
1 2 2
1 0 3
2 1 3
.
5
2
2 2 2
⎡
⎣
⎢
⎢
⎢
⎤
⎦
⎥
⎥
⎥
17. A is a singular matrix of order three, 2 and 3 are the eigen values. Find the third eigen value.
18. Find the nature of the quadratic form 2x2
+ 2xy + 3y2
.
19. If the quadratic form ax2
+ 2bxy + cy2
is positive definite (or negative definite) then prove that the
quadratic equation ax2
+ 2bx + c = 0 has imaginary roots.
20. Find the index and signature of the quadratic form x x x
1
2
2
2
3
2
2 5 .
1 2
OBJECTIVE TYPE QUESTIONS
A. Fill up the blanks
1. If
1 9
2 0
2
⎡
⎣
⎢
⎤
⎦
⎥ =
⎡
⎣
⎢
⎤
⎦
⎥
x y
z w
, y  0, then x − y + z + w = ________.
2. If A B A B
− =
⎡
⎣
⎢
⎤
⎦
⎥ − =
−
⎡
⎣
⎢
⎤
⎦
⎥
2
1 5
3 7
2 3
2 5
0 7
, , then B = ________.
3. If M ( )
cos cos sin
cos sin sin
a
a a a
a a a
=
⎡
⎣
⎢
⎤
⎦
⎥
2
2
, if a and b differ by
p
2
, then M(a) ⋅ M(b) = ________.
4. A =
⎡
⎣
⎢
⎢
⎢
⎤
⎦
⎥
⎥
⎥
1 0 2
0 2 1
2 0 3
satisfies the equation x3
− 6x2
+ 7x + 2 = 0, then A−1
= ________.
5. The rank of the matrix
1 3 4 3
3 9 12 9
1 3 4 3
− − − −
⎡
⎣
⎢
⎢
⎢
⎤
⎦
⎥
⎥
⎥
is ________. 6. Eigen values of
5 4
1 2
⎡
⎣
⎢
⎤
⎦
⎥ are ________.
7. An Eigen vector corresponding to the Eigen value −1 of
− −
⎡
⎣
⎢
⎤
⎦
⎥
2 1
5 4
is ________.
8. If 2 is Eigen value of
2 2 2
1 1 1
1 3 1
−
−
⎡
⎣
⎢
⎢
⎢
⎤
⎦
⎥
⎥
⎥
, then the other Eigen values are ________.
9. The sum of the square of the Eigen values of the matrix
1 7 5
0 2 9
0 0 5
⎡
⎣
⎢
⎢
⎢
⎤
⎦
⎥
⎥
⎥
is ________.
10. The Eigen values of the matrix
a
b
4
1
⎡
⎣
⎢
⎤
⎦
⎥ are −2 and 3, then the values of a and b are ________.
M01_ENGINEERING_MATHEMATICS-I _CH01_Part B.indd 114 5/30/2016 5:07:49 PM
Matrices ■ 1.115
11. The nature of the quadratic form 2 1
2
2
2
x x
− is ________.
12. The nature of the quadratic form 2xy + 2yz + 2zx is ________.
13. The matrix of the quadratic form 3 3 5 2 6 6
1
2
2
2
3
2
1 2 1 3 2 3
x x x x x x x x x
+ − − − − is ________.
14. The matrix A =
cos sin
sin cos
u u
u u
−
⎡
⎣
⎢
⎤
⎦
⎥ is ________. 15. If A is an orthogonal matrix, then A−1
is ________.
B. Choose the correct answer
1. If the matrix
2
1 2
1 2
1
1
2
2
x
x x
x
−
⎡
⎣
⎢
⎢
⎢
⎢
⎢
⎤
⎦
⎥
⎥
⎥
⎥
⎥
is singular, then the value of x is
(a) ±2 (b) ±1 (c) ±3 (d) None of these
2. If v is a complex cube root of unity, then the matrix
1
1
1
2
2
2
v v
v v
v v
⎡
⎣
⎢
⎢
⎢
⎤
⎦
⎥
⎥
⎥
is
(a) Singular (b) non-singular (c) symmetric (d) skew-symmetric
3. If A2
− A + I = 0, then the inverse of A is
(a) A − I (b) I − A (c) A + I (d) A
4. Let A =
5 5
0 5
0 0 5
a a
a a
⎡
⎣
⎢
⎢
⎢
⎤
⎦
⎥
⎥
⎥
. If A 2
25
= , then a is equal to
(a) 25 (b) 1 (c)
1
5
(d) 5
5. If a, b, c are in A.P, then the system of equations 3x + 4y + 5z = a, 4x + 5y + 6z = b, 5x + 6y + 7z = c is
(a) consistent (b) consistent with unique solution
(c) consistent with infinite number solutions (d) consistent with finite number solutions
6. If A is non-singular, then the equation AB = 0 implies
(a) B is non-singular (b) B is singular (c) B = 0 (d) None of these
7. The system of equations x + 2y − z = 6, 3x − y − 2z = 3, 4x + 3y + z = 9 is
(a) consistent with unique solution (b) consistent with infinite number of solutions
(c) inconsistent (d) None of these
8. Two Eigen values of the matrix A =
3 1 1
1 5 1
1 1 3
−
− −
−
⎡
⎣
⎢
⎢
⎢
⎤
⎦
⎥
⎥
⎥
are 3 and 6. Then the Eigen values of A−1
are
(a) 1
1
3
1
6
, , (b) −1
1
3
1
6
, , (c) −
1
2
1
3
1
6
, , (d)
1
2
1
3
1
6
, ,
M01_ENGINEERING_MATHEMATICS-I _CH01_Part B.indd 115 5/30/2016 5:07:51 PM
1.116 ■ Engineering Mathematics
9. If the Eigen values of a matrix A of order 3 are 2,3, and 4, then the Eigen values of adj A are
(a) 12, 8, 6 (b)
1
2
1
3
1
4
, , (c)
1
12
1
8
1
6
, , (d) None of these
10. If the sum of two Eigen values of 3 × 3 matrix A is equal to its trace, then the value of A is equal to
(a) 1 (b) −1 (c) 0 (d) None of these
11. The product of two Eigen values of the matrix A =
1 0 0
0 3 1
0 1 3
−
−
⎡
⎣
⎢
⎢
⎢
⎤
⎦
⎥
⎥
⎥
is 2, then the third Eigen values is
(a) 2 (b) 4 (c) 5 (d) 6
12. If A and B are invertible matrices of the same order, such that AB = BA then A and B are
(a) similar (b) dissimilar
(c) have different Eigen values (d) None of these
13. The index and signature of the quadrature for x x x
1
2
2
2
3
2
2 5
+ − are
(a) 1, 2 (b)1, −2 (c) 2, 1 (d) 2, −2
14. The matrix of the quadratic form 3x2
+ 2y2
− 4xy is
(a)
3 2
2 2
−
−
⎡
⎣
⎢
⎤
⎦
⎥ (b)
1 2
2 1
−
⎡
⎣
⎢
⎤
⎦
⎥ (c)
−
−
⎡
⎣
⎢
⎤
⎦
⎥
3 2
2 2
(d)
− −
−
⎡
⎣
⎢
⎤
⎦
⎥
1 2
2 1
15. The nature of the quadratic form 2xy + 2yz + 2zx is
(a) indefinite (b) definite (c) positive definite (d) negative definite
ANSWERS
A. Fill up the blanks
1. 6 2.
− −
− −
⎡
⎣
⎢
⎤
⎦
⎥
4 5
6 7
3. 0 4. A −
=
−
−
⎡
⎣
⎢
⎢
⎢
⎢
⎤
⎦
⎥
⎥
⎥
⎥
1
3 0 2
1
1
2
1
2
2 0 1
5. rank = 1 6. 1, 6 7.
1
1
−
⎡
⎣
⎢
⎤
⎦
⎥ 8. −2, 2 9. 30
10. a = 2, b = −1 or a = 1, b = 2 11. indefinite 12. indefinite
13.
3 1 3
1 3 3
3 3 5
−
− −
− − −
⎡
⎣
⎢
⎢
⎢
⎤
⎦
⎥
⎥
⎥
14. orthogonal 15. A AT
−
=
1
B. Choose the correct answer
1. (b) 2. (a) or (e) 3. (b) 4. (c) 5. (c) 6. (c) 7. (a) 8. (d) 9. (a)
10. (c) 11. (b) 12. (a) 13. (c) 14. (a) 15. (a)
M01_ENGINEERING_MATHEMATICS-I _CH01_Part B.indd 116 5/30/2016 5:07:54 PM
2.0 INTRODUCTION
Many of the functions which are encountered in mathematical applications are represented by an
infinite series. The sum of an infinite series may or may not exist.
For example, the sum of the infinite geometric series 1
1
2
1
4
1
8
+ …
+ + + ∞ is equal to 2, whereas
the sum of the infinite geometric series 1 + 2 + 4 + 8 + … ∞ is ∞, which is not a real number and so
the sum does not exist. The usage of an infinite series, whose sum does not exist, will lead to absurd
conclusions in scientific investigations. Thus, an infinite series must be tested for the existence of its
sum. This aspect is the study of convergence of the infinite series and it is of vital importance to the
students of engineering and science.
In common usage of the English language, the words ‘sequence’ and ‘series’ are used in the
same sense to suggest a succession of things or events arranged in some order. But in Mathematics
‘sequence’ and ‘series’ are different concepts.
2.1 SEQUENCE
2.1.1 Infinite Sequence
Definition 2.1 If for every positive integer n there is associated a unique real number sn
, then the
ordered set of numbers s1
, s2
, …, sn
, … or { , , , , }
s s s
1 2 … …
n is called an infinite sequence. sn
is called
the nth
term or general term of the sequence.
The sequence is briefly written as { }
s s
n n n
or { }.
=1
∞
Precisely a sequence of real numbers is a function s: N → R, where N is the set of natural numbers
(or positive integers) and R is the set of real numbers.
The image of n ∈ N is the real number sn
.
Examples of Infinite Sequences
(1) { , , , , , , }
1 2 4 8 2
… …
n
(2) { , , , , , ( ) , }
1 1 1 1 1
− … …
− − n
(3)
1
1 2 3
n
n
{ } =
, , , ,…
(4) 2 1 1 2 3
+
{ } =
( ) , , , ,
− …
n
n
(5)
1
3
2
3
3
3
4
3
2 2 4
, , , ,
− …
−
{ }
2
Sequences and Series
M02_ENGINEERING_MATHEMATICS-I _XXXX_CH02.indd 1 5/12/2016 10:52:46 AM
2.2 ■ Engineering Mathematics
2.1.2 Finite Sequence
Definition 2.2 If the domain of a sequence is a finite set of integers {1, 2, 3, …,n}, then the sequence
{s1
, s2
, …, sn
} is called a finite sequence.
That is if the sequence has finite number of terms, then it is called a finite sequence.
For example: {1, 3, 5, 7, …, 199} is a finite sequence.
2.1.3 Limit of a Sequence
Definition 2.3 Let {sn
} be a sequence of real numbers. A real number l is said to be the limit of the
sequence {sn
}, if for every given e  0, there exists a positive integer n0
(depending on e) such that
s l
n −  e for all n n
≥ 0 .
Symbolically, we write lim
n
n
→∞
=
s l or s l
n → as n → ∞.
Note that when limit exists, it is unique.
2.1.4 Convergent Sequence
Definition 2.4 If a sequence of real numbers { }
sn has the limit l, then the sequence is said to be
convergent and it converges to l.
If the sequence does not have a limit l, then it is said to be divergent.
That is if lim ,
n
or
→∞
= ∞
sn ∞ − then the sequence is divergent.
For instance, the sequence {1, 2, 3, …, n, …} is divergent.
Examples
(1) The sequence {1, 1, 1, …} converges to 1.
(2) The sequence 1
1
2
1
3
1
, , , , ,
… …
n
{ } converges to 0, since lim .
n→∞
1
0
n
=
(3) The sequence {1, 2, 3, …} is divergent, since lim .
n→
∞
0
n =
(4) The sequence {−1, 1, −1, 1, −1, …} is divergent, since the limit does not exist.
Note A sequence {sn
} is called a null sequence if it converges to zero.
2.1.5 Oscillating Sequence
Definition 2.5 If the sequence of real numbers { }
sn diverges, but does not diverge to ` or −`, then the
sequence is said to be an oscillating sequence.
For example, the sequence {−1, 1, −1, 1, …} oscillates between −1 and 1.
2.1.6 Bounded Sequence
Definition 2.6 A sequence of real numbers { }
sn is said to be bounded above if there exists a number
M such that s n
n M
≤ =
∀ …
1 2 3
, , ,
and bounded below if there exists a number m such that
m s n
≤ ∀
n = …
1 2 3
, , ,
M02_ENGINEERING_MATHEMATICS-I _XXXX_CH02.indd 2 5/12/2016 10:52:50 AM
Sequences and Series ■ 2.3
M is called an upper bound and m is called a lower bound of { }.
sn
In other words, the sequence { }
sn is bounded if there exists numbers m and M such that
m s n
≤ ≤ =
n M ∀ …
1 2 3
, , ,
2.1.7 Monotonic sequence
Definition2.7 A sequence{ }
sn is said to be a (monotonically) increasing sequence if s s n
n n N
≤ ∀
+1 ∈
and (monotonically) decreasing sequence if s s n
n n N
≥ + ∀ ∈
1
A sequence which is either increasing or decreasing is called a monotonic sequence.
A sequence {sn
} is strictly increasing if sn
 sn + 1
∀ n ∈ N and strictly decreasing if sn
, sn + 1
∀ n ∈ N.
A sequence which is either strictly increasing or strictly decreasing is called strictly monotonic
We now state some important results:
1. Every convergent sequence is bounded.
2. An increasing sequence bounded above is convergent.
3. A decreasing sequence bounded below is convergent.
4. An unbounded sequence is not convergent. However bounded sequence need not be convergent.
For example: The sequence {1, −1, 1, −1, …} is bounded by −1 and 1, but not convergent. It is an
oscillating sequence.
5. A monotonic sequence is convergent if and only if it is bounded.
WORKED EXAMPLES
EXAMPLE 1
Test the convergence of the following infinite sequences:
(i)
3
7 2
n
n n
1
⎧
⎨
⎩
⎫
⎬
⎭
(ii) n n
1 2
1
{ }
(iii)
n
n 21
2
⎛
⎝
⎜
⎞
⎠
⎟
⎧
⎨
⎪
⎩
⎪
⎫
⎬
⎪
⎭
⎪
(iv)
2 7
5 3
3
3 2
n n
n n
1
1
⎧
⎨
⎩
⎫
⎬
⎭
.
Solution.
(i) The given sequence is 3
7 2
n
n n
+
{ }
∴ the nth
term is s
n
n n n
n = =
3
7
3
1 7
2
+ +
∴ lim lim
n
n
n
→∞ →∞
=
+
=
∞
=
s
n
3
1 7
1
0.
Hence, the sequence is convergent and converges to 0.
(ii) The given sequence is n n
+ −
1
{ }
∴ the nth
term is s n n
n n n n
n n
n = =
+ −
+ −
( ) + +
( )
+ +
( )
1
1 1
1
M02_ENGINEERING_MATHEMATICS-I _XXXX_CH02.indd 3 5/12/2016 10:52:55 AM
2.4 ■ Engineering Mathematics
=
+ −
+ +
=
+ +
n n
n n n n
1
1
1
1
∴ lim lim .
n
n
n
→∞ →∞ + +
=
∞
=
s
n n
=
1
1
1
0
Hence, the sequence is convergent and converges to 0.
(iii) The given sequence is
n
n −1
2
⎛
⎝
⎜
⎞
⎠
⎟
⎧
⎨
⎩
⎫
⎬
⎭
∴ the nth
term is s
n
n
n =
⎛
⎝
⎜
⎞
⎠
⎟
−1
2
=
⎛
⎝
⎜
⎜
⎞
⎠
⎟
⎟
=
⎛
⎝
⎜
⎞
⎠
⎟
1
1
1
1
1
1
2
2
− −
n n
∴ lim lim
n
n
n
→∞ →∞
−
⎛
⎝
⎜
⎞
⎠
⎟
=
s
n
=
1
1
1
1
2 {
1
0
n
n
→ → ∞
⎡
⎣
⎢
⎤
⎦
⎥
, as
Hence, the sequence is convergent and converges to 1.
(iv) The given sequence is 2 7
5 3
3
3 2
n n
n n
+
+
⎧
⎨
⎩
⎫
⎬
⎭
∴ the nth
term is s
n n
n n
n =
2 7
5 3
3
3 2
+
+
=
⎛
⎝
⎜
⎞
⎠
⎟
+
⎛
⎝
⎜
⎞
⎠
⎟
=
+
+
n
n
n
n
n
n
3
2
3
2
2
7
5
3
2
7
5
3
+
∴ lim lim ,
n
n
n
as
→∞ →∞
=
+
+
= → → ∞
⎡
⎣
⎢
⎤
⎦
⎥
s n
n
n n
n
2
7
5
3
2
5
1 1
0
2
2
{
Hence, the sequence is convergent and converges to
2
5
.
EXAMPLE 2
Test the convergence of the following sequences:
(i) s
n n
n n
n 5
2
1
2
2
2
(ii) sn
n
5 1 2
2 1
( ) (iii)
1
3
2
3
3
3
4
3
2 3 4
, , , , .
2 2 …
{ }
Solution.
(i) The given sequence is s
n n
n n
n =
2
2
2
−
+
=
−
⎛
⎝
⎜
⎞
⎠
⎟
+
⎛
⎝
⎜
⎞
⎠
⎟
=
−
+
n
n
n
n
n
n
2
2
1
1
2
1
1
1
2
1
∴ lim lim
n
n
n
→∞ →∞
=
−
+
=
s n
n
1
1
2
1
1
2
.
M02_ENGINEERING_MATHEMATICS-I _XXXX_CH02.indd 4 5/12/2016 10:53:01 AM
Sequences and Series ■ 2.5
Hence, the sequence is convergent and converges to
1
2
.
(ii) The given sequence is s
n
n
n
n
= + − =
+ =
− =
⎧
⎨
⎩
2 1
2 1 3
2 1 1
( )
if is even
if is odd
∴ lim lim
n
n
n
if is even
→∞ →∞
=
s n
= 3 3
and lim lim
n
n
n
if is odd
→∞ →∞
=
s n
= 1 1
Since the limit is not unique, the sequence is not convergent. But it oscillates between 1 and 3.
Hence, the sequence is an oscillating sequence.
(iii) The given sequence is 1
3
2
3
3
3
4
3
2 3 4
, , , , .
−
⎧
⎨
⎩
⎫
⎬
⎭
− …
∴ the nth
term is s
n
n
n 1
n
= − ⋅
−
( )
1
3
=
n
n
n
n
3
3
n
n
if is odd
if is even
−
⎧
⎨
⎪
⎪
⎩
⎪
⎪
Now, if n is odd lim lim
n
n
n n
→∞ →∞
= =
s
n
3
0 [by L - Hopital’s rule]
and if n is even lim lim
n
n
n n
→∞ →∞
= −
⎛
⎝
⎜
⎞
⎠
⎟ =
s
n
3
0 [by L - Hopital’s rule]
∴ lim
n
n
→∞
=
s 0
∴ the sequence is convergent and converges to 0.
EXAMPLE 3
Show that the sequence
2 7
3 2
n
n
2
1
⎧
⎨
⎩
⎫
⎬
⎭
is monotonic increasing. Hence or otherwise prove that it is
convergent.
Solution.
Let the given sequence be { }
s
n
n
n =
+
{ }
2 7
3 2
−
∴ s
n
n
n =
−
+
2 7
3 2
To prove it is monotonic increasing sequence, we have to prove s s n
n n N
≤ ∀ ∈
+1
Now s
n
n
n
n
n+ =
+
+ +
=
−
+
1
2 1 7
3 1 2
2 5
3 5
( )
( )
−
M02_ENGINEERING_MATHEMATICS-I _XXXX_CH02.indd 5 5/12/2016 10:53:07 AM
2.6 ■ Engineering Mathematics
∴ s s
n
n
n
n
n n n n
n
n n
− =
+
−
−
+
=
+ − − + −
+
+1
2 7
3 2
2 5
3 5
3 5 2 7 3 2 2 5
3 2
−
( )( ) ( )( )
( )(3
3 5
6 11 35 6 11 10
3 2 3 5
25
3 2 3 5
2 2
n
n n n n
n n n n
+
=
− − − − −
+ +
= −
+ +
)
( )
( )( ) ( )( )
⇒ s s
n n
− + 
1 0 ∀ n ∈Ν ⇒ sn
 sn + 1
∀ n ∈Ν
∴ the sequence { }
sn is monotonic increasing.
We know that monotonic increasing sequence, bounded above is convergent. So, we have to prove { }
sn
is bounded above.
The given sequence is − −
⎧
⎨
⎩
⎫
⎬
⎭
7
5
3
7
1
11
, , ,
− …
Consider 1 n
2s
∴ 1 1
2 7
3 2
3 2 2 7
3 2
9
3 2
0
−
+
s
n
n
n n
n
n
n
n
n N
= −
−
+
=
+ − +
+
=
+
 ∀ ∈
⇒ 1 0
− s n
n N
 ∀ ∈ ⇒ 1 1
 ∀ ∈ ⇒  ∀ ∈
s n s n
n n
N N
∴ the sequence is bounded above.
Hence, the sequence is monotonically increasing and bounded above.
∴ the sequence is convergent.
Aliter: To prove the sequence is convergent
Given s
n
n
n
n
n
n
n
n
n =
+
=
−
⎛
⎝
⎜
⎞
⎠
⎟
+
⎛
⎝
⎜
⎞
⎠
⎟
=
−
⎛
⎝
⎜
⎞
⎠
⎟
+
⎛
2 7
3 2
2 1
7
2
3 1
2
3
2 1
7
2
3 1
2
3
−
⎝
⎝
⎜
⎞
⎠
⎟
∴ lim lim
n
n
n
→∞ →∞
=
⎛
⎝
⎜
⎞
⎠
⎟
+
⎛
⎝
⎜
⎞
⎠
⎟
=
s n
n
2
3
1
7
2
1
2
3
2
3
−
Hence, the sequence is convergent.
EXAMPLE 4
Show that the sequence whose nth
term is
1 1
n n
1
1
1
1 1
1 2
… 1
n n
n
1
; PN is convergent.
Solution.
Let the given sequence be { }.
sn
∴ the nth
term is s
n n n n
n =
+
+ +
+
1
1
1
2
1
+
+
…
M02_ENGINEERING_MATHEMATICS-I _XXXX_CH02.indd 6 5/12/2016 10:53:12 AM
Sequences and Series ■ 2.7
and s
n n n n n n
n+
+
+
+
+ +
+
+
+
+
+
1
1
2
1
3
1 1
2 1
1
2 2
= …
To prove the sequence is monotonically increasing.
That is to prove s s n
n n N
− ∀ ∈
+1 0
≤
Now s s
n n n n n n n n n n
n n
− =
+ +
+
+
+
+
+ +
+
+
+
+
+
⎡
⎣
⎢
⎤
⎦
+1
1
1
1
2
1 1
2
1
3
1 1
2 1
1
2 2
+ +… −
+
…
⎥
⎥
=
+
−
+
−
+
=
+
−
+
−
+
=
+
−
+
=
+ −
1
1
1
2 1
1
2 2
1
1
1
2 1
1
2 1
1
2 1
1
2 1
2 1 2
n n n
n n n n n
n
( ) ( )
(n
n
n n n n
n
+
+ +
= −
+ +
 ∀ ∈
1
2 1 2 1
1
2 1 2 1
0
)
( )( ) ( )( )
N
⇒ s s n
n n N
−  ∀ ∈
+1 0 ⇒ s s n
n n N
 ∀ ∈
+1
∴ the sequence is monotonically increasing.
A monotonically increasing sequence bounded above is convergent.
∴ we have to prove that the sequence is bounded above.
That is to prove s n
n M for N
≤ ∈
Now s
n n n n
n =
+
+
+
+
+
1
1
1
2
1
+…
we know n n
+1 ⇒ 1
1
1
n n
+

Similarly, 1
2
1 1 1
n n n n n
+
 
, ,
…
+
∴ s
n n n
n
n
n  + + + = =
1 1 1
1
… ⇒ sn  1
∴ the sequence { }
sn is bounded above.
Hence, the given sequence is monotonically increasing and bounded above.
∴ the sequence is convergent.
EXAMPLE 5
Show that the sequence
1
3 5
n 1
⎧
⎨
⎩
⎫
⎬
⎭
is monotonically decreasing and convergent.
Solution.
Let the given sequence be { } .
s
n
n =
+
{ }
1
3 5
∴ the nth
term is s
n
n =
+
1
3 5
and s
n n
n+ =
+
=
+
1
1
3 1 5
1
3 8
( )
+
M02_ENGINEERING_MATHEMATICS-I _XXXX_CH02.indd 7 5/12/2016 10:53:18 AM
2.8 ■ Engineering Mathematics
To prove the sequence is monotonically decreasing.
That is to prove s s n
n n N
− ≥ ∀ ∈
+1 0
Now s s
n n
n n
n n n n
n n
− =
+
−
+
=
+ − +
+ +
=
+ +

+1
1
3 5
1
3 8
3 8 3 5
3 5 3 8
3
3 5 3 8
( )
( )( ) ( )( )
0
0 ∀ ∈
n N
⇒ s s n
n n N
−  ∀ ∈
+1 0 ⇒ s s n
n n N
 ∀ ∈
+1
∴ the given sequence is decreasing sequence.
A decreasing sequence bounded below is convergent.
∴ we have to prove the sequence is bounded below.
That is to prove m s n
≤ ∈
n N
, .
The given sequence is
1
8
1
11
1
14
, , ,…
∴ it is bounded below by 0.
Hence, the sequence is convergent.
EXAMPLE 6
Show that the sequence
n
n n
2
1 21
⎧
⎨
⎩
⎫
⎬
⎭
is decreasing and convergent.
Solution.
Let the given sequence be { }
s
n
n n
n =
+ −
{ }
2
1
∴ the nth
term is s
n
n n
n =
−
2
1
+
and s
n
n n
n
n n n
n
n n
n+ =
+ + + −
=
+
+ + +
=
+
+ +
1 2 2 2
1
1 1 1
1
2 1
1
3 1
+
( )
We have to prove that the sequence is decreasing.
That is to prove s s n
n n N
≥ ∀ ∈
+1
Now s s
n
n n
n
n n
n n n n n n
n n
n n
− =
−
−
+
+ +
=
+ + − + + −
+ −
+1 2 2
2 2
2
1
1
3 1
3 1 1 1
1
+
( ) ( )( )
( )
)( )
( )
( )( )
n n
n n n n n n n n
n n n n
n
2
3 2 3 2 2
2 2
2
3 1
3 1
1 3 1
+ +
=
+ + − + − + + −
+ − + +
=
+1
1
1 3 1
2 2
( )( )
n n n n
+ − + +
⇒ s s n
n n N
− +  ∀ ∈
1 0 ⇒ s s n
n n N
 ∀ ∈
+1
∴ the sequence is a decreasing sequence.
M02_ENGINEERING_MATHEMATICS-I _XXXX_CH02.indd 8 5/12/2016 10:53:24 AM
Sequences and Series ■ 2.9
The given sequence is 1
2
5
3
11
, , ,…
∴ the sequence is a bounded below by 0 [and above by 1].
Hence, the sequence is convergent
EXERCISE 2.1
1. Show that the sequence n
n +
{ }
1
converges to 1.
2. Show that the sequence
n
n
2
2
2 1
+
⎧
⎨
⎩
⎫
⎬
⎭
converges to
1
2
.
3. Show that the sequence 3
3 1
2
2
n n
n n
+
+
⎧
⎨
⎩
⎫
⎬
⎭
+
converges to 3.
4. Test the convergence of the sequence n
n
− 2
2
+
{ }.
5. Test the convergence of the sequence 3 4
2 1
n
n
+
+
{ }.
6. Test the convergence of the sequence
3 1
2
+
⎧
⎨
⎩
⎫
⎬
⎭
( )
.
− n
n
ANSWERS TO EXERCISE 2.1
4. Converges 5. Converges 6. Converges
2.2 SERIES
Definition 2.8 If { }
un be a sequence of real numbers, then the expression u1
+ u2
+ u3
+ u4
+ … + un
+ …
is called an infinite series and it is denoted by u u
n n
n
or ∑
∑
=
∞
1
.
un
is called the nth
term of the series.
2.2.1 Convergent Series
Definition 2.9 Let u u u u
1 2 3
+ + + +
+… …
n be an infinite series.
If s u u u s
n n n
then
= + +
1 2
…+ , is called the nth
partial sum of the series. If the sequence of partial sums
{ }
sn converges to l, then we say that the series un
n=1
∞
∑ converges to l and it is written as u l
n
n=
∞
∑
1
= .
Then l is called the sum of the series.
M02_ENGINEERING_MATHEMATICS-I _XXXX_CH02.indd 9 5/12/2016 10:53:28 AM
2.10 ■ Engineering Mathematics
2.2.2 Divergent Series
Definition 2.10 If the sequence of partial sums { }
sn of the infinite series diverges, then the series un
n=
∞
∑
1
diverges.
That is, if lim ,
n
n n
n
then
→∞
=
∞
= ∞ ∑
s u
1
diverges to ` and if lim ,
n
n
→∞
= ∞
s − then un
n=
∞
∑
1
diverges to −`.
2.2.3 Oscillatory Series
Definition 2.11 If the sequence of partial sums { }
sn of the infinite series diverges, but does not diverge
to + ` or −`, then the sequence { }
sn is said to oscillate. Then we say that the series un
n=
∞
∑
1
is an
oscillatory series.
Examples
(1) 1
1
2
1
2
1
2
1
2
2 3
+ + + + + +
… …
n
(2) 1
1
3
1
3
1
3
1
1
3
2 3
− + − + + +
… − …
( )n
n
(3) 1 1 1 1
− + − +… (4) n
n
!
2
1
n
n
n=
∞
∑ (5)
x
n
n
p
n
−
∞
−
∑
1
1 2 1
( )
=
2.2.4 General Properties of Series
1. The convergence or divergence of an infinite series is unaffected by addition or removal of finite
number of terms.
2. The convergence or divergence of an infinite series is unaffected when each term of the series is
multiplied by a non-zero number.
3. If un
n=
∞
∑
1
and vn
n=
∞
∑
1
are convergent series with sums a and b respectively, then for any pair of real
numbers l and m, the series [ ]
l m
u v
n n
n
±
=
∞
∑
1
converges with sum l m
a b
± .
2.3 SERIES OF POSITIVE TERMS
The discussion of the convergence of any type of series of real numbers depend upon the series of
positive terms. So, we shall discuss in detail the series with positive terms.
Definition 2.12 A series un
n
,
=
∞
∑
1
where u n
n N
 ∀ ∈
0 , is called a series of positive terms.
A series of positive terms can either converge or diverge to `. It can never oscillate.
2.3.1 Necessary Condition for Convergence of a Series
Theorem 2.1 If the series of positive terms ∑un is convergent, then lim
n
n
→∞
u = 0
M02_ENGINEERING_MATHEMATICS-I _XXXX_CH02.indd 10 5/12/2016 10:53:35 AM
Sequences and Series ■ 2.11
Proof
Let Sn
= u1
+ u2
+ … + un−1
+ un
then Sn−1
= u1
+ u2
+ … + un−1
∴ Sn
− Sn−1
= un
Since ∑un is convergent, lim ,
n
n
→∞
s l
= where l is finite.
∴ lim lim( ) lim lim
n
n
n
n n
n
n
n
n
→∞ →∞
−
→∞ →∞
−
= = − = − =
u s s s s l l
− 1 1 0
This is only a necessary condition, but not sufficient.
That is if lim ,
n
n
→∞
u = 0 we cannot say the series is convergent.
For example: the series
1
1
2
1
3
1
+ + + +
+… …
n
is divergent, but lim lim .
n
n
n
→∞ →∞
=
u
n
1
0
=
* If lim ,
n
n
→
≠
∞
u 0 then the series un
n51
∞
∑ is not convergent. ■
2.3.2 Test for Convergence of Positive Term Series
The definition of convergence of a series depends on the limit of the sequence of partial sum { }.
sn
But in practice it will be difficult to find sn in many cases.
So, it is necessary to device methods by which we can decide the convergence or divergence of a
series without finding the partial sum sn .
A standard technique used in studying convergence of positive term series is comparison test.
The given series ∑un is compared with a known series ∑ vn , which is known as auxiliary series.
2.3.3 Comparison Tests
1. If ∑un and ∑vn are positive term series such that u c v n
n n N
≤ ∀ ∈ , for some positive
constant c, then ∑un is convergent if ∑vn is convergent.
If un
≥ c vn
∀ n ∈N and if ∑vn is divergent, then ∑un is divergent.
2. Limit form: Let ∑un and ∑vn be two positive term series such that lim ( ).
n
n
n
→∞
≠
u
v
l l
= 0
Then ∑un and ∑vn behave alike.
If ∑vn converges, then ∑un converges and if ∑vn diverges, then ∑un diverges.
Here we compare ∑un with ∑vn .
Proof
Given ∑un and ∑v n are series of positive terms and lim ( ).
n
n
n
→∞
= ≠
u
v
l l 0
Since
u
v
n
n
 0 for all n = 1, 2, 3, …, we have l  0.
M02_ENGINEERING_MATHEMATICS-I _XXXX_CH02.indd 11 5/12/2016 10:53:45 AM
2.12 ■ Engineering Mathematics
Choose ε  0, such that l − 
ε 0.
Then by the definition of limit, there exists a positive integer n0
such that
u
v
l n n
n
n
for all
−  ≥
ε 0
∴ −ε ε
 − 
u
v
l
n
n
[ ]
{ x a a x a
−  ⇒ −   +
ε ε ε
⇒ l
u
v
l
−  
ε + ε
n
n
⇒ ( ) ( )
l v u l v n n
−   + ∀ ≥
ε ε
n n n 0 [ ]
{ v n
n N
≥ ∀ ∈
0
Consider u l v
n n
 +
( )
ε
Case (i): If ∑vn is convergent, then ∑vn is a finite number.
∴ ( )
l v
+ ε ∑ n is finite number
But ∑  + ∑
u l v
n n
( )
ε
∴ ∑ 
un a finite number ∀ ≥
n n0
⇒ ∑ 
un a finite number as n → ∞
Hence, ∑un is convergent.
Case (ii): If ∑vn is divergent, then ∑ → ∞ → ∞
v n
n as
Consider ( )
l v u n n
−  ∀ ≥
ε n n 0
∴ ( )
l v u
− ε ∑  ∑
n n
⇒ ∑  − ∑
u l v
n n
( )
ε ⇒ ∑ → ∞ → ∞
u n
n as
∴ ∑un is divergent. ■
Note
1. If l = 0, then ∑un is convergent if ∑vn is convergent.
2. If l u
= ∞ ∑
, then n is divergent if ∑vn is divergent.
3. In order to discuss the convergence of ∑un by comparison test, we consider ∑vn whose convergence
is known already.
Two standard series used for comparison are the following.
(i) The geometric series with positive terms a ar ar
+ +
+ …
2
, where a  0 and r  0.
It converges if 0 1
 
r and diverges if r ≥1.
(ii) The p-series is
1
1
1
2
1
3
1 1
1
p p p p p
+ + + + =
=
∞
∑
+… …
n n
n
, where p  0.
It converges if p  1 and diverges if p ≤ 1.
The p-series is also known as harmonic series of order p.
In many problems, the auxiliary series is chosen as the p-series for particular values of p.
M02_ENGINEERING_MATHEMATICS-I _XXXX_CH02.indd 12 5/12/2016 10:53:58 AM
Sequences and Series ■ 2.13
For choosing the auxiliary series we write un
in the form f
n
1
⎛
⎝
⎜
⎞
⎠
⎟ , then decide vn
.
For example if u
n
f
n
n p
=
⎛
⎝
⎜
⎞
⎠
⎟
1 1
, Then we take v
n
n p
=
1
, p  0.
WORKED EXAMPLES
EXAMPLE 1
Test the convergence of the series
1
1 2 3
3
2 3 4
5
3 4 6
⋅ ⋅ ⋅ ⋅ ⋅
1 1 1
⋅
….
Solution.
Let the given series be ∑un .
∴ ∑ =
⋅ ⋅
+
⋅ ⋅
+
⋅ ⋅
+
un
1
1 2 3
3
2 3 4
5
3 4 6
…
The numerators 1 3 5 1 1 2 2 1
, , , ( ].
… + −
are in A.P. So, the term is )
th
n n n
= − In the denominator, first
factors are 1, 2, 3,… and the nth
term is n, the second factors are 2, 3, 4,… and the nth
term is (n + 1)
and the third factors are 3, 4, 5,… and the nth
term is n + 2.
Then the nth
term is u
n
n n n
n
n
n
n n
n
n =
+ +
=
⎛
⎝
⎜
⎞
⎠
⎟
+
⎛
⎝
⎜
⎞
⎠
⎟ +
⎛
⎝
⎜
⎞
⎠
⎟
=
2 1
1 2
2 1
1
2
1
1
1
2
2
3
2
−
−
( )( )
1
1
1
2
1
1
1
2
−
⎛
⎝
⎜
⎞
⎠
⎟
+
⎛
⎝
⎜
⎞
⎠
⎟ +
⎛
⎝
⎜
⎞
⎠
⎟
n
n n
Take
1
n 2
n 5
n
∴ n
n
u
v n
n
n n
n
=
⎛
⎝
⎜
⎞
⎠
⎟
+
⎛
⎝
⎜
⎞
⎠
⎟ +
⎛
⎝
⎜
⎞
⎠
⎟
× =
−
2
1
1
2
1
1
1
2
2 1
1
2
2
−
2
2
1
1
1
2
n
n n
⎛
⎝
⎜
⎞
⎠
⎟
+
⎛
⎝
⎜
⎞
⎠
⎟ +
⎛
⎝
⎜
⎞
⎠
⎟
∴ lim lim ( )
n
n
n
n
→∞ →∞
−
⎛
⎝
⎜
⎞
⎠
⎟
⎛
⎝
⎜
⎞
⎠
⎟ +
⎛
⎝
⎜
⎞
⎠
⎟
= ≠
u
v
n
n n
=
+
2 1
1
2
1
1
1
2
2 0
⎡
⎣
⎢
∴ 1
0
n
→
⎤
⎦
⎥
as n → ∞
∴ by comparison test ∑un and ∑vn behave alike.
But ∑ ∑
v
n
n =
1
2
is convergent, since p = 2  1 in p-series
Hence, ∑un is convergent.
EXAMPLE 2
Test the convergence of
( 1)( 2)
.
2
n 1
n n
n n
1 1
5
⎛
⎝
⎜
⎞
⎠
⎟
∑
∞
Solution.
Let the given series be ∑un . ∴ ∑ =
+ +
⎛
⎝
⎜
⎞
⎠
⎟
=
∞
∑
u
n n
n n
n
n
( )( )
1 2
2
1
M02_ENGINEERING_MATHEMATICS-I _XXXX_CH02.indd 13 5/12/2016 10:54:04 AM
2.14 ■ Engineering Mathematics
Then the nth
term is u
n n
n n
n
n n
n n
n n
n =
+ +
=
+
⎛
⎝
⎜
⎞
⎠
⎟ +
⎛
⎝
⎜
⎞
⎠
⎟
=
+
⎛
⎝
⎜
⎞
⎠
⎟ +
⎛
( )( )
1 2
1
1
1
2
1
1
1
2
2
2
2
⎝
⎝
⎜
⎞
⎠
⎟
n
Take n 5
n
1
n
∴ u
v
n n
n
n
n n
n
n
=
+
⎛
⎝
⎜
⎞
⎠
⎟ +
⎛
⎝
⎜
⎞
⎠
⎟
× = +
⎛
⎝
⎜
⎞
⎠
⎟ +
⎛
⎝
⎜
⎞
⎠
⎟
1
1
1
2
1
1
1
2
∴ lim lim ( )( ) ( )
n
n
n
n
→∞ →∞
= +
⎛
⎝
⎜
⎞
⎠
⎟ +
⎛
⎝
⎜
⎞
⎠
⎟ = + + = ≠
u
v n n
1
1
1
2
1 0 1 0 1 0 {
1
0
n
n
→ → ∞
⎡
⎣
⎢
⎤
⎦
⎥
as
But ∑ = ∑
v
n
n
1
1 2
/
is divergent, since p = 
1
2
1 in p-series.
Hence, ∑un is divergent.
EXAMPLE 3
Discuss the convergence of 1 3
3
1 2
5
n n
( )
∞
∑
n 1
.
Solution.
Let the given series be ∑un . ∴ ∑ = + −
( )
=
∞
∑
u n n
n
n
1 3
3
1
Then the nth
term is u n n n
n
n n
n
n = + − = + − = +
⎛
⎝
⎜
⎞
⎠
⎟ −
⎡
⎣
⎢
⎤
⎦
⎥
1 1
1
1
1
1
3
3
3
3
3
1 3
/
For large values of n,
1
1
3
n
 , so expanding by binomial series, we get,
1
1
1
1
3
1
1
3
1
3
1
2
1
1
3
1
3
1
3
1 3
3 3
2
+
⎛
⎝
⎜
⎞
⎠
⎟ = ⋅ +
−
⎛
⎝
⎜
⎞
⎠
⎟
⎛
⎝
⎜
⎞
⎠
⎟ +
−
⎛
⎝
⎜
n n n
/
!
+
⎞
⎞
⎠
⎟ −
⎛
⎝
⎜
⎞
⎠
⎟
⎛
⎝
⎜
⎞
⎠
⎟ +
1
3
2
3
1
3
3
! n
…
⇒
= + ⋅ − +
+
⎛
⎝
⎜
⎞
⎠
⎟ − = ⋅ − ⋅ +
1
1
3
1 1
9
1
1
1
1
1
3
1 1
9
1
3 6
3
1 3
3 6
n n
n n n
…
…
/
∴ n
n
n
n n
n
1
1
1
1
3
1 1
9
1
1
3
1 1
9
1
3
1 3
3 6
2
+
⎛
⎝
⎜
⎞
⎠
⎟ −
⎡
⎣
⎢
⎤
⎦
⎥ = ⋅ − ⋅ +
⎛
⎝
⎜
⎞
⎠
⎟
= ⋅ − ⋅
/
…
n
n n n
5 2 3
1 1
3
1
9
1
+ = − ⋅ +
⎛
⎝
⎜
⎞
⎠
⎟
… …
M02_ENGINEERING_MATHEMATICS-I _XXXX_CH02.indd 14 5/12/2016 10:54:09 AM
Sequences and Series ■ 2.15
∴ u
n n
2 3
1 1
3
1
9
1
= − ⋅ +
⎛
⎝
⎜
⎞
⎠
⎟
…
n
Take n 5
n 2
1
n
∴ ∴
u
v n n
n
n
n
n
= − ⋅ +
⎛
⎝
⎜
⎞
⎠
⎟ × = − +
1 1
3
1
9
1 1
3
1
9
1
2 3
2
3
… …
∴ lim lim ( )
n
n
n
n
→∞ →∞
= − ⋅ +
⎛
⎝
⎜
⎞
⎠
⎟ = ≠
u
v n
1
3
1
9
1 1
3
0
3
… {
1
0
3
n
n
→ → ∞
⎡
⎣
⎢
⎤
⎦
⎥
as
∴ by comparison test, ∑un and ∑vn behave alike.
But ∑ = ∑
v
n
n
1
2
is convergent, since p = 2  1 in p-series.
Hence, ∑un is convergent.
EXAMPLE 4
Test the convergence of n n
4 4
1
1 2 2
5
1 1
( )
∞
∑ .
n
Solution.
Let the given series be ∑un . ∴ ∑ = + − −
( )
=
∞
∑
u n n
n
n
4 4
1
1 1
Then the nth
term is u n n
n = + − −
4 4
1 1
=
+ − +
( ) + + −
( )
+ + −
=
+ − −
+ + −
=
+
n n n n
n n
n n
n n
n
4 4 4 4
4 4
4 4
4 4
4
1 1 1 1
1 1
1 1
1 1
2
( )
1
1 1
2
1
1
1
1
2
1
1
1
1
4
2
4
2
4
2
4 4
+ −
=
+
⎛
⎝
⎜
⎞
⎠
⎟ + −
⎛
⎝
⎜
⎞
⎠
⎟
=
+ + −
⎛
⎝
⎜
⎞
⎠
⎟
n
n
n
n
n
n
n n
Take n 5
n 2
1
n
∴
u
v
n
n
n n n n
n
n
=
×
+ + −
⎛
⎝
⎜
⎞
⎠
⎟
=
+ + −
2
1
1
1
1
2
1
1
1
1
2
2
4 4 4 4
∴ lim lim ( )
n
n
n
n
→∞ →∞
=
+ + −
=
+
= ≠
u
v
n n
2
1
1
1
1
2
1 1
1 0
4 4
{
1
0
4
n
n
→ → ∞
⎡
⎣
⎢
⎤
⎦
⎥
as
M02_ENGINEERING_MATHEMATICS-I _XXXX_CH02.indd 15 5/12/2016 10:54:15 AM
2.16 ■ Engineering Mathematics
∴ by comparison test, ∑un and ∑vn behave alike.
But ∑ = ∑
v
n
n
1
2
is convergent, since p = 
2 1 in p-series.
Hence, ∑un is convergent.
EXAMPLE 5
Discuss the convergence of
n n
n
1 2
5
1
p
n
⎛
⎝
⎜
⎞
⎠
⎟
∞
∑1
.
Solution.
Let the given series be ∑un . ∴ ∑ =
+ −
⎛
⎝
⎜
⎞
⎠
⎟
=
∞
∑
u
n n
n
n p
n
1
1
Then the nth
term is u
n n
n
n p
=
+ −
1
=
+
( ) + +
( )
+ +
( )
=
+ −
+ +
( )
=
+ +
( )
=
⋅
n n n n
n n n
n n
n n n
n n n
n n
1 1
1
1
1
1
1
1
1
−
p
p
p
p /2
2 1 2
1
1
1
1
1
1
1
+ +
⎛
⎝
⎜
⎞
⎠
⎟
=
+ +
⎛
⎝
⎜
⎞
⎠
⎟
+
n
n
n
p /
Take n 5
1
n
p
1
2
1
n
∴
u
v
n
n
n
n
n
n p
p
=
+ +
⎛
⎝
⎜
⎞
⎠
⎟
× =
+ +
⎛
⎝
⎜
⎞
⎠
⎟
+
+
1
1
1
1
1
1
1
1
1
2
1
2
∴ lim lim ( )
n
n
n
n
→∞ →∞
=
+ +
⎛
⎝
⎜
⎜
⎞
⎠
⎟
⎟
=
+
= ≠
u
v
n
1
1
1
1
1
1 1
1
2
0 {
1
0
n
n
→ → ∞
⎡
⎣
⎢
⎤
⎦
⎥
as
∴ by comparison test ∑un and ∑vn behave alike.
But ∑ = ∑
+
v
n
n
p
1
1
2
is convergent if p p
+  ⇒ 
1
2
1
1
2
and divergent if p p
+ ≤ ⇒ ≤
1
2
1
1
2
Hence, ∑un is convergent if p 
1
2
and divergent if p ≤
1
2
M02_ENGINEERING_MATHEMATICS-I _XXXX_CH02.indd 16 5/12/2016 10:54:21 AM
Sequences and Series ■ 2.17
EXAMPLE 6
Discuss the convergence of
3 1
2 1
n
n
n
2
1
51
∞
∑ .
Solution.
Let the given series be ∑un . ∴ ∑ =
−
+
=
∞
∑
un
n
n
n
3 1
2 1
1
Then the nth
term is un
n
n
=
−
+
3 1
2 1
=
−
+
=
⎛
⎝
⎜
⎞
⎠
⎟
−
+
3 1
1
3
2 1
1
2
3
2
1
1
3
1
1
2
2
2
2
n
n
n
n
n
n
n
Take n 5
n
n
2
3
2
⎛
⎝
⎜
⎞
⎠
⎟
∴
u
v
n
n
n
n
n
n
n
n
=
⎛
⎝
⎜
⎞
⎠
⎟
−
+
⎛
⎝
⎜
⎞
⎠
⎟
=
−
+
3
2
1
1
3
1
1
2
3
2
1
1
3
1
1
2
2
2
lim lim ( )
n
n
n
n
n
n
→∞ →∞
=
−
+
= ≠
u
v
1
1
3
1
1
2
1 0 {
1
3
1
2
0
n n
as
, → → ∞
⎡
⎣
⎢
⎤
⎦
⎥
n
∴ by comparison test, ∑un and ∑vn behave alike.
But ∑ =
⎛
⎝
⎜
⎞
⎠
⎟ =
⎛
⎝
⎜
⎞
⎠
⎟
=
∞
=
∞
∑
∑
vn
n n
n
n
3
2
3
2
2
1
1
is a geometric series with common ratio r = 
3
2
1
∴ ∑vn is divergent.
Hence, ∑un is divergent.
EXERCISE 2.2
Test the convergence of the following series:
1.
1
1 2
1
2 3
1
3 4
⋅
+
⋅
+
⋅
+… 2.
2 3
5 7
3
3
1
n
n
+
+
=
∞
∑
n
3.
1
1 2
0 0
1 ( ) ( )
, ,
+ +
 
=
∞
∑ n n
p q
p q
n
4. 1
1 2
2
1 2
3
1 2
1 2 3
+
+
+
+
+
+
− − −
…
M02_ENGINEERING_MATHEMATICS-I _XXXX_CH02.indd 17 5/12/2016 10:54:27 AM
2.18 ■ Engineering Mathematics
5.
1 2
3 4
3 4
5 6
5 6
7 8
2 2 2 2 2 2
⋅
⋅
+
⋅
⋅
+
⋅
⋅
+…
6. 1
2 1
2 1
3 2
3 2
1
1
1
2 2
2
2 2
2 2
2 2
2 2
+
−
+
+
−
+
+ +
− −
+ −
+ =
⎡
⎣
⎢
… …
n n
n n
v
n
( )
( )
Take n
⎤
⎤
⎦
⎥
7. n
n n
p
n + −
=
∞
∑ 1
1
8. 1
2 n n
log
n=
∞
∑
9. 1
1
2
2
3
3
4
2
2
3
3
4
+ + + +… 10.
3
1 2
5
2 3
7
3 4
2 2 2 2 2 2
⋅
+
⋅
+
⋅
+…
11. Test the convergence of the series 1
1
1 n n
+ +
⎛
⎝
⎜
⎞
⎠
⎟
=
∞
∑
n
.
12. Test the convergence of n n
2
+ −
=
1
1
( )
∞
∑ .
n
13. Test the convergence of the series 2 1
3 1
3 1
4 1
4 1
5 1
3 3 3
−
−
+
−
−
+
−
−
+ ∞
… .
14. Test the convergence of the series
2
1
3
2
4
3
p p p
+ + +….
15. Test the convergence of
1 1
1 n n
sin .
n=
∞
∑
ANSWERS TO EXERCISE 2.2
1. Convergent 2. Divergent
3. Convergent if p + q  1 and divergent if p + q ≤ 1
4. Divergent 5. Convergent 6. Divergent
7. Convergent if p  −
3
2
and divergent if p ≥ −
3
2
8. Divergent
9. Divergent 10. Convergent 11. Divergent
12. Divergent 13. Convergent
14. Convergent if p  2 and divergent if p ≤ 2 15. Convergent
2.3.4 De’ Alembert’s Ratio Test
Let un
n=
∞
∑
1
be a series of positive terms such that lim .
n
n
n
→∞
+
=
u
u
l
1
Then the series ∑un is convergent if
l 1, divergent if l 1 and the test fails to give a definte result if l = 1.
That is ∑un may converge or diverge if l = 1.
M02_ENGINEERING_MATHEMATICS-I _XXXX_CH02.indd 18 5/12/2016 10:54:35 AM
Sequences and Series ■ 2.19
Proof
Given ∑un is a series of positive terms and lim .
n
n
n
→∞
+
=
u
u
l
1
Since u n
u
u
l
n
n
n
N
 ∀ ∈  ⇒ 
+
0 0 0
1
, .
Since lim ,
n
n
n
→∞
+
=
u
u
l
1
by definition of limit, given ε  0, there exists a positive integer n0
such that
u
u
l n n
n
n+
−  ∀ ≥
1
0
ε
⇒ −  −  ∀ ≥
+
ε ε
u
u
l n n
n
n 1
0
⇒ l
u
u
l n n
− ε ε
  + ∀ ≥
+
n
n 1
0
(i) Let l 1: Choose ε  0 such that l − 
ε 1, then
l
u
u
l n m n m
−   + ∀ ≥
+
ε ε ε
n
n
for this is
1
0
[ ]
,
Consider l
u
u
n m
−  ∀ ≥
+
ε n
n 1
⇒ u
u
l n m
n
n+
 − ∀ ≥
1
ε
Replace n by m, m + 1, m + 2, …, n − 1; we get
u
u
l
m
m+
 −
1
ε,
u
u
l
u
u
l
u
u
l
m
m
m
m
n
n
, , ,
+
+
+
+
−
 −  −  −
1
2
2
3
1
ε ε … ε
Multiplying all these inequalities, we get
u
u
u
u
u
u
u
u
m
m
m
m
m
m
n
n
+
+
+
+
+
−
⋅ ⋅
1
1
2
2
3
1
…  − − −
( )( ) ( )
l l l
ε ε … ε [n − m factors]
⇒
u
u
l n m
m
n
n m
 −
( ) ∀ ≥ + ⇒
−
ε 1
⇒
u
u
l
l
n m
m
n
n
m

−
−
∀ ≥ +
ε
ε
1
( )
( )
M02_ENGINEERING_MATHEMATICS-I _XXXX_CH02.indd 19 5/12/2016 10:54:41 AM
2.20 ■ Engineering Mathematics
⇒ u
l
l
u n m
m
m
n n
( )
( )
−
−
 ∀ ≥ + ⇒
ε
ε
1
⇒ u u l
l
n m
n m
m
n
( )
( )
 − ⋅
−
∀ ≥ +
ε
ε
1
1
⇒ ∑  − ∑
−
∀ ≥ +
u u l
l
n m
n m
m
n
( )
( )
ε
ε
1
1
But ∑
−
1
( )
l ε n
is an infinite geometric series with r
l
=
−

1
1
ε
{ l
l
−  ⇒
−

⎡
⎣
⎢
⎤
⎦
⎥
ε
ε
1
1
1
∴ ∑
−
1
( )
l ε n
converges as n → ∞ ∴ ∑un is convergent if l  1
(ii) Let l , 1: Choose ε  0 such that l + 
ε 1.
Then there exists a positive integer k such that
l
u
u
l n k
− ε ε
  + ∀ ≥
+
n
n 1
[for this ε, n0
is k]
Consider u
u
l n k
n
n+
 + ∀ ≥
1
ε .
Replacing n by k, k + 1, k + 2, …, n − 1, we get
u
u
l
u
u
u
u
k
k
k
k
n
n
, ,
+
+
+
 + 
1
1
2
1
ε + ε …,  + ε
−
l l
Multiplying all these inequalities, we get
u
u
u
u
u
u
l l l
k
k
k
k
n
n
+
+
+
−
⋅  + + +
1
1
2
1
… ε ε … ε
( )( ) ( ) [(n−k) factors]
⇒
u
u
l
l
l
k
n
n k
n
k
 + =
+
+
( )
( )
( )
ε
ε
ε
−
⇒ u l
l
u
k
k
n n
+ ⋅
+

( )
( )
ε
ε
1
⇒ u u l
l
n k
k
n
 + ⋅
+
( )
( )
ε
ε
1
⇒ u u l
l
n k
k
n
∑  + ∑
+
( )
( )
.
ε
ε
1
M02_ENGINEERING_MATHEMATICS-I _XXXX_CH02.indd 20 5/12/2016 10:54:46 AM
Sequences and Series ■ 2.21
But ∑
+
1
( )
l ε n
is a geometric series with common ratio r
l
=
+
1
1
ε
 { l
l
+ 
+

⎡
⎣
⎢
⎤
⎦
⎥
ε
ε
1
1
1
,
∴ the series ∑
+
1
( )
l ε n
is divergent.
Hence, ∑un is divergent if l 1.
(iii) Let l = 1. Then ∑un may converge or diverge. Consider ∑ = ∑
u
n
n
1
.
We have
n
n
n
n n
lim lim lim
→∞
+
→ →∞
=
+
= +
⎛
⎝
⎜
⎞
⎠
⎟ =
u
u
n
n n
1
1
1
1
1
∞
But ∑
1
n
is divergent, since p = 1 in p-series.
Now consider the series ∑ = ∑
u
n
n
1
2
∴ =
+
→∞
+
→∞
lim lim
( )
n
n
n
n
u
u
n
n
1
2
2
1
= +
⎛
⎝
⎜
⎞
⎠
⎟ =
→
lim
n ∞
1
1
1
2
n
But ∑
1
2
n
is convergent, since p = 
2 1 in p-series.
So, when lim ,
n
n
n
→
+
=
∞
u
u 1
1 the test fails to give definite answer as ∑un may be convergent or divergent.
■
Note Sometimes this test is stated as below.
If
n
n
n
lim ,
→
+
=
∞
u
u
l
1 then ∑un is convergent if l  1 and divergent if l  1. The test fails if l = 1.
WORKED EXAMPLES
EXAMPLE 1
Test the convergence of the series
n
n
!
.
2
1
n
n
n5
∞
∑
Solution.
Let the given series be ∑un . ∴ ∑ =
=
∑
u
n
n
n
n
n
n
!2
1
∞
Then u
n
n
n
n
n
=
!2
and u
n
n
n
n
n
+
+
+
1
1
1
1 2
1
=
+ +
( )!
( )
M02_ENGINEERING_MATHEMATICS-I _XXXX_CH02.indd 21 5/12/2016 10:54:54 AM
2.22 ■ Engineering Mathematics
∴ u
u
n
n
n
n
n
n
n
n
n
n
+
+
= ⋅
+
+
1
1
1
2 1
1 2
! ( )
( )!
+
=
+
+
( )( )
( )
n n
n n
+1 1
2 1
n
n =
+
⎛
⎝
⎜
⎞
⎠
⎟
= +
⎛
⎝
⎜
⎞
⎠
⎟
n
n
n n
1
1
2
1
2
1
1
n
n
n
n
∴ lim lim [ ]
n
n
n
n
n
→∞
+
→
= +
⎛
⎝
⎜
⎞
⎠
⎟ =   
u
u n
e
e
1
1
2
1
1
2
1 2 3
∞
{
∴ by De’Alembert’s ratio test ∑un is convergent.
EXAMPLE 2
Test the convergence or divergence of the series
x x x
x
1 2 2 3 3 4
0
⋅ ⋅ ⋅

1 1 1
2 3
…∞, .
Solution.
Let the given series be ∑un . ∴ ∑ =
⋅
+
⋅
+
⋅
u
x x x
n
1 2 2 3 3 4
2 3
+…
Then u
x
n n
u
x
n n
n
n
n
n
and
=
+
=
+ +
+
( ) ( )( )
1 1 2
1
1
+
∴ u
u
x
n n
n n
x
n
n x n x
n
n
n
n
+
+
=
+
⋅
+
=
+
⋅ = +
⎡
⎣
⎢
⎤
⎦
⎥⋅
1
1
1
1 2 2 1
1
2 1
( )
( )( )
+
∴ lim lim ,
n
n
n
n
→∞
+
→
= +
⎛
⎝
⎜
⎞
⎠
⎟ ⋅ = 
u
u n x x
x
1
1
2 1 1
0
∞
∴byDe’Alemberts’ratiotest, ∑un isconvergentif
1
1 1
x
x
 ⇒  anddivergentif
1
1 1
x
x
 ⇒  .
If x = 1, then the test fails to give a conclusion.
In this case, the series becomes
1
1 2
1
2 3
1
3 4
⋅
+
⋅
+
⋅
∞
+…
∴ u
n n
n
n
n =
+
=
⎛
⎝
⎜
⎞
⎠
⎟
1
1
1
1
1
2
( )
+
. Take v
n
n =
1
2
∴ u
v
n
n
n
n
n
n
=
⎛
⎝
⎜
⎞
⎠
⎟
× =
+
1
1
1
1
1
1
2
2
+
M02_ENGINEERING_MATHEMATICS-I _XXXX_CH02.indd 22 5/12/2016 10:55:04 AM
Sequences and Series ■ 2.23
∴ lim lim ( )
n
n
n
n
→∞ →∞
=
+
=
u
v
n
1
1
1
1 0
≠
∴ ∑un and ∑vn behave alike by comparison test.
But ∑ ∑
v
n
n =
1
2
is convergent, since p = 2 1
 in p-series.
∴ ∑un is convergent if x = 1.
Hence, the given series is convergent if 0  x ≤ 1 and divergent if x . 1.
EXAMPLE 3
Test for the convergence of the series
1
2 1 3 2 4 3 5 4
2 4 6
1 1 1 1
x x x …∞.
Solution.
Let the given series be ∑un
∴ ∑ = + + + ∞
u
x x x
n
1
2 1 3 2 4 3 5 4
2 4 6
+…
Then u
x
n n
n
n
=
+
2 2
1
−
( )
and u
x
n n
x
n n
n
n n
+
+
=
+ + +
=
+
1
2 1 2 2
1 1 1 2 1
( )
( ) ( )
−
+
∴
u
u
x
n n
n n
x
n
n
n
n x
n
n
n
n
n
+
−
=
+
⋅
+
=
+
+
+
⋅ =
+
⎛
⎝
⎜
⎞
⎠
⎟
+
1
2 2
2 2
1
2 1 2
1
1 1
1
2
1
( )
( ) +
1
1
1
1 1
2
n
n x
+ ⋅ .
∴ lim lim ,
n
n
n
n
→∞
+
→
=
+
⎛
⎝
⎜
⎞
⎠
⎟
+
⎛
⎝
⎜
⎞
⎠
⎟
⋅ = ≠
u
u
n
n
n x x
x
1
2 2
1
2
1
1
1
1 1 1
0
∞
+
∴ by De’Alembert’s ratio test, ∑un is convergent if
1
1
2
x
 ⇒  ⇒  
x x
2
1 1 1
− , x ≠ 0
and divergent if
1
1 1
2
2
x
x
 ⇒  ⇒ x x
 
−1 1
or .
If x = 0, the series is convergent, trivially.
If
1
1 1 1
2
2
x
x x
= ⇒ = ⇒ = ± , the test fails to give a conclusion.
M02_ENGINEERING_MATHEMATICS-I _XXXX_CH02.indd 23 5/12/2016 10:55:13 AM
2.24 ■ Engineering Mathematics
In this case, the series is
1
2 1
1
3 2
1
4 3
+ + +…
∴ u
n n
n
n
n = =
+
⎡
⎣
⎢
⎤
⎦
⎥
1
1
1
1
1
3
2
( )
+
. Take v
n
n =
1
3
2
∴ u
v
n
n
n
n
n
n
=
+
⎛
⎝
⎜
⎞
⎠
⎟
=
⎛
⎝
⎜
⎞
⎠
⎟
3
2
3
2
1
1
1
1
+
∴ lim lim
n
n
n
n
→∞ →
= +
⎛
⎝
⎜
⎞
⎠
⎟ = ≠
( )
u
v n
∞
1
1
1 0
So, by comparison test ∑un and ∑vn behave alike.
But ∑ ∑
v
n
n =
1
3
2
is convergent, since p =
3
2
1
 in p-series
∴ ∑un is convergent if x2
1
= . When x = 0 the series is trivially convergent
Hence, the given series is convergent if −1 1
≤ ≤
x and is divergent if x x
 
−1 1
or .
EXAMPLE 4
Discuss the convergence of the series
1
1
1
1 2
1
1 3
1
1 4
2 3 4
1
1
1
1
1
1
1
1
x x x x
…∞, for positive values of x.
Solution.
Let the given series be ∑un
∴ ∑ =
+
+
+
+
+
+
+
u
x x x x
n
1
1
1
1 2
1
1 3
1
1 4
2 3 4
+…
Then u
nx
n n
=
1
1+
and u
n x
n n
+ +
=
+
1 1
1
1 1
( )
+
∴ u
u
n x
nx
n
n
n
n
+
=
+
+
1
1
1 1
1
( )
+ +
⇒ u
u
n x
nx
nx
nx
nx
n
n
n
n
n
n
n
Dividing Nr and Dr by
+
+
=
+ +
+
⎡
⎣ ⎤
⎦
1
1
1 1
1
( )
=
=
+
+
⎛
⎝
⎜
⎞
⎠
⎟
+
=
+ +
⎛
⎝
⎜
⎞
⎠
⎟
1 1
1
1
1
1
1
1
1
nx
n
n
x
nx
nx n
x
nx
n
n
n
n
+
M02_ENGINEERING_MATHEMATICS-I _XXXX_CH02.indd 24 5/12/2016 10:55:26 AM
Sequences and Series ■ 2.25
∴ lim lim , .
n
n
n
n
n
n
→∞
+
→
=
+
⎛
⎝
⎜
⎞
⎠
⎟
+
u
u
nx n
x
nx
x
1
1
1
1
1
1
0
∞
+

If x  1, then
1
0
nx
n
n
as
→ → ∞ and
1
0
n
n
→ →
as ∞
∴ lim
n
n
n
→∞

u
u
x
+
=
1
1
∴ by De’Alembert’s ratio test, the series ∑ un is convergent if x  1
If x = 1, then the series becomes
1
2
1
3
1
4
+ + +…, which is divergent, since p p
= 1, in -series
If 0  x  1, then x n
n
 ∀
1 1
≥
∴ nx n n
n
 ≥
∀ 1
∴ 1
1
1
1
2
+ 
+
x
x
2 ⇒ 
1 2 1 2 3
1
1 2
1
3
2
2
+  = ⇒
+
x
x
+ 
1 3 1 3 4
1
1 3
1
4
2
2
+  + = ⇒
+

x
x
and so on.
∴ 1
1
1
1
+

nx n
n
+
…
,
∴ 1
1
1
1 2
1
1 3
1
2
1
3
1
4
2 2
+
+
+
+
+
+  +
x x x
… + +…,
which is divergent.
∴ ∑un is divergent if 0  x  1.
Thus, the given series is convergent if x  1 and divergent if 0  x ≤ 1.
EXERCISE 2.3
Test for the convergence or divergence of the following series.
1. 1
2
2
3
3
4
4
+ + +
p p p
! ! !
+…∞, p  0 2.
n
n
!3
1
n
n
n=
∞
∑
3. 1
1 2
2
1 2
3
1 3
2 2
+
+
+
+
+
+…
4. 1
2
5
6
9
14
17
2 2
2 1
0 2
2 3
1
+ + + + +
−
+
∞  ≥
x x x
x x n
… +…
−
n
n
n
, ,
5.
n
n
x x
+1
0
1
n
n
, 
=
∞
∑ 6. n
n
x x
2
1 1
0
+
n
n
=
∞
∑ 
,
M02_ENGINEERING_MATHEMATICS-I _XXXX_CH02.indd 25 5/12/2016 10:55:36 AM
2.26 ■ Engineering Mathematics
7.
x
x
x
n
n
n 1
0
2
1 +
, 
=
∞
∑ 8. 1
1 2
1 3 5
1 2 3
1 3 5 7 9
2 2 2 2 2
+
⋅
⋅ ⋅
+
⋅ ⋅
⋅ ⋅ ⋅ ⋅
+…
9.
4
18
4 12
18 27
4 12 20
18 27 36
+
⋅
⋅
+
⋅ ⋅
⋅ ⋅
+… 10.
1
1
2
2
3
3
4
4
0
2 2 3 3 4 4
⋅
+ + +
x x x x
x
! ! ! !
,
+… 
11.
x x x x
x
1
1
2 3
1 3
2 4 5
1 3 5
2 4 6 7
0
3 5 7
+ ⋅ +
⋅
⋅
⋅ ⋅
⋅ ⋅

+ +… ,
12.
2 1
3 1
3 1
4 1
4 1
5 1
3 3 3
−
−
+
−
−
+
−
−
+… 13.
1
4
1 3
4 7
1 3 5
4 7 10
1 3 5 7
4 7 10 13
+
⋅
⋅
+
⋅ ⋅
⋅ ⋅
+
⋅ ⋅ ⋅
⋅ ⋅ ⋅
+…
14. n
n n
x x
( )( )
,
+ +

=
∞
∑ 1 2
0
1
n
n
15. Prove that the series 1
1
1
1 2 1
1 2 1
+
+
+
+
+
+ +
+
a
b
a a
b b
( )( )
( )( )
+ ( )( )( )
( )( )
a a a
b b
+ + +
+ +
1 2 1 3 1
1 3 1
+…∞
converges if b  a  0 and diverges if a ≥ b  0.
16. Discuss the convergence of the series
n3
1
1
2 1
+
n
n +
=
∞
∑ .
17. Test the convergence of the series shown below
1
1 3 5
2
p p p
+ + +
x x
+…
x
p x
n
p
n
and
−
−
+ 
1
2 1
0 0
( )
, .
…∞ 
18. Test the convergence of the series
1
3
2
3
3
3
4
3
5
3
2
2
2
3
2
4
2
5
+ + + + +… by ratio test.
19. Test for the convergence of the series
x x x
x x
1 2 3 4 5 6
0 1
⋅
+
⋅
+
⋅
 ≠
2 3
and
+…, .
ANSWERS TO EXERCISE 2.3
1. Convergent for all p  0 2. Divergent 3. Convergent
4. Convergent if 0  x  1; divergent if x ≥ 1 5. Convergent if 0  x  1; divergent if x ≥ 1
6. Convergent if 0  x  1; divergent if x ≥ 1
7. Convergent if 0  x  1; and x  1; divergent if x = 0 8. Divergent
9. Convergent 10. Convergent if 0
1
 x
e
 ; divergent if x
e
≥
1
11. Convergent if 0 1
 x ≤ ; divergent if x  1 12. Convergent 13. Convergent
14. Convergent if 0  x  1 and divergent if x ≥ 1 16. Convergent
17. Convergent if 0  x  1, p  0 and if x = 1, p  1. It is divergent if x  1, p  0 and if x = 1, p ≤ 1.
18. Convergent 19. The series ∑un is convergent if x 1 and divergent if x  1.
M02_ENGINEERING_MATHEMATICS-I _XXXX_CH02.indd 26 5/12/2016 10:56:07 AM
Sequences and Series ■ 2.27
2.3.5 Cauchy’s Root Test
If un
n=
∞
1
∑ is a series of positive terms and lim ,
n
n
n
→
=
∞
u l
1
then ∑un converges if l  1 and diverges if l  1.
The test fails to give a definite conclusion if l = 1.
Proof
Given un
n=1
∞
∑ is a series of positive terms and lim
n
n
n
→∞
=
u l
1
∴ by the definition of limit, given ε  0, there exists an integer n0
such that
u l
n
n
1
−  ε for n $ n0
⇒ −   + ≥
l u l n n
ε ε
n
n
for
1
0
(i) Let l  1. Choose ε  0 such that l + 
ε 1.
Then there exists a positive m such that
l u l n m
− ε ε
  + ∀ ≥
n
n
1
⇒ ( ) ( )
l u l n m
− ε + ε
n
n
n
  ∀ ≥
Consider u l u l
n
n
n
n
 ⇒ ∑  ∑ +
( ) ( )
+ ε ε
But ∑( )
l + ε n
is a geometric series with common ratio r l
= 
+ ε 1
∴ the series ∑( )
l + ε n
is convergent.
Hence, ∑un is convergent by comparison test
(ii) Let l  1. Choose ε  0 such that l − ε  1.
Then there exists a positive integer k such that
l u l n k
−   + ≥
ε ε
n
n
for all
1
⇒ l u l n k
  ≥
− ε + ε
n n
for all
1
( ) ( )
n
Consider ( ) ( )
l u u l n k
− ε ε
n
n n
n
 ⇒  − ∀ ≥
∴ ∑  ∑
u l
n
n
( )
− ε
But ∑( )
l − ε n
is a geometric series with common ratio r = l – ε  1
∴ ∑( )
l − ε n
is divergent.
Hence, ∑un is divergent by comparison test.
M02_ENGINEERING_MATHEMATICS-I _XXXX_CH02.indd 27 5/12/2016 10:56:14 AM
2.28 ■ Engineering Mathematics
(iii) If l = 1, then the test fails to give a definite conclusion.
Consider ∑
1
n
and ∑
1
2
n
, we find that lim lim
n
n
n
n
n
→∞ →
=
⎛
⎝
⎜
⎞
⎠
⎟ =
u
n
1 1
1
1
∞
and lim lim
n
n
n
n
n
→∞ →
=
⎛
⎝
⎜
⎞
⎠
⎟ =
u
n
1
2
1
1
1
∞
But ∑
1
n
is divergent and ∑
1
2
n
is convergent.
∴ ∑un may be convergent or divergent if l = 1 ■
Note
1. Root test is more general or stronger than the ratio test, because there are cases where the ratio
test fails but root test gives definite conclusion.
2. The root test is used when the general term un
contains index interms of n.
WORKED EXAMPLES
EXAMPLE 1
Test the convergence of 1
1
2
1
1
2
5 n
⎛
⎝
⎜
⎞
⎠
⎟
∞
∑
n
n
.
Solution.
Let the given series be ∑un . ∴ ∑ =
⎛
⎝
⎜
⎞
⎠
⎟
=
∞
∑
u
n
n
n
n
1
1
2
1
+
−
Then u
n
n
n
=
⎛
⎝
⎜
⎞
⎠
⎟
−
1
1
2
+ ⇒ ( )
u
n n
n
n
n n n
1
1
1
1
1
1
2
= +
⎛
⎝
⎜
⎞
⎠
⎟
⎡
⎣
⎢
⎤
⎦
⎥ = +
⎡
⎣
⎢
⎤
⎦
⎥
−
−
∴ lim lim [ ]
n
n
n
n
n
→ →
=
⎛
⎝
⎜
⎞
⎠
⎟ = =   
∞ ∞
−
−
+
u
n
e
e
e
1
1
1
1 1
1 2 3
{
∴ by Cauchy’s root test, ∑un is convergent.
EXAMPLE 2
Test the convergence of 1
1
3
2
1
1
2
5 n
⎛
⎝
⎜
⎞
⎠
⎟
∞
∑
n
n
.
Solution.
Let the given series be ∑un . ∴ ∑ =
⎛
⎝
⎜
⎞
⎠
⎟
−
=
∞
∑
u
n
n
n
n
1
1
3
2
1
+
M02_ENGINEERING_MATHEMATICS-I _XXXX_CH02.indd 28 5/12/2016 10:56:20 AM
Sequences and Series ■ 2.29
Then =
⎛
⎝
⎜
⎞
⎠
⎟
+
⎛
⎝
⎜
⎞
⎠
⎟
−
u
n
n
n
n
n
1
1 1
1
1
3
2
3
2
+ =
⇒ [ ]
u
n
n
n
n
n
1
1
1
1
1
3
2
=
⎛
⎝
⎜
⎞
⎠
⎟
⎡
⎣
⎢
⎢
⎢
⎢
⎤
⎦
⎥
⎥
⎥
⎥
+
=
+
⎛
⎝
⎜
⎞
⎠
⎟
=
⎛
⎝
⎜
⎞
⎠
⎟
=
+
⎛
⎝
⎜
⎞
⎠
⎟
⋅
1
1
1
1
1
1
1
1
1
3
2
1
2
1
n n
n
n
n
n
n
+
∴ lim lim
n
n
n
n n
→∞ →∞
=
⎛
⎝
⎜
⎞
⎠
⎟

u
n
e
1
1
1
1
1
1
+
=
∴ by Cauchy’s root test, ∑un is convergent.
EXAMPLE 3
Test the convergence of the series given below
2
1
2
1
3
2
3
2
2
2
1 3
3
2
2 1 2 1
2 2
⎛
⎝
⎜
⎞
⎠
⎟
⎛
⎝
⎜
⎞
⎠
⎟
4
3
4
3
4
4
3
1 1
2
⎛
⎝
⎜
⎞
⎠
⎟ ∞
… .
Solution.
Let the given series be ∑un.
∴ ∑ = −
⎛
⎝
⎜
⎞
⎠
⎟ + −
⎛
⎝
⎜
⎞
⎠
⎟ +
⎛
⎝
⎜
⎞
⎠
⎟
− − −
un
2
1
2
1
3
2
3
2
4
3
4
3
2
2
1 3
3
2 4
4
3
− +…
Then u
n
n
n
n
n
n
n
n
n
n
n
n
n n
=
+ +
⎡
⎣
⎢
⎤
⎦
⎥
=
+
⎛
⎝
⎜
⎞
⎠
⎟ −
+
⎡
⎣
⎢
⎤
⎦
⎥ = +
+
−
+ −
( )
1 1
1 1
1
1
1
1
+
−
1
1
1
1
1
1
1
1
1
1
1
n n n n
⎛
⎝
⎜
⎞
⎠
⎟ +
⎛
⎝
⎜
⎞
⎠
⎟
⎡
⎣
⎢
⎤
⎦
⎥ = +
⎛
⎝
⎜
⎞
⎠
⎟ ⋅ +
⎛
⎝
⎜
⎞
⎠
⎟ − +
+ −
n n n
−
n
n
⎛
⎝
⎜
⎞
⎠
⎟
⎡
⎣
⎢
⎤
⎦
⎥
−n
∴ u
n n n
n
n
n n n
1
1
1
1
1
1
1
1
= +
⎛
⎝
⎜
⎞
⎠
⎟ +
⎛
⎝
⎜
⎞
⎠
⎟ − +
⎛
⎝
⎜
⎞
⎠
⎟
⎡
⎣
⎢
⎤
⎦
⎥
⎧
⎨
⎪
⎩
⎪
⎫
⎬
⎪
⎭
⎪
=
−
1
1
1
1
1
1
1
1
+
⎛
⎝
⎜
⎞
⎠
⎟ +
⎛
⎝
⎜
⎞
⎠
⎟ − +
⎛
⎝
⎜
⎞
⎠
⎟
⎧
⎨
⎩
⎫
⎬
⎭
−
n n n
n
∴ lim lim
n
n
n
n
n
→∞ →∞
= +
⎛
⎝
⎜
⎞
⎠
⎟ +
⎛
⎝
⎜
⎞
⎠
⎟ −
⎛
⎝
⎜
⎞
⎠
⎟
⎡
⎣
⎢
⎤
⎦
⎥
u
n n n
1 1
1
1
1
1
1
1
+
−
= ⋅ − =
−

−
[ ]
e
e
1 1
1
1
1
1
[ , ]
{ 2 3 1 1
  
e e −
∴ by Cauchy’s root test, ∑un is convergent.
M02_ENGINEERING_MATHEMATICS-I _XXXX_CH02.indd 29 5/12/2016 10:56:24 AM
2.30 ■ Engineering Mathematics
EXAMPLE 4
Discuss the nature of the series
1
2
2
3
3
4
2
2
+ +
x x
⎛
⎝
⎜
⎞
⎠
⎟ +
4
5
0
3
3
⎛
⎝
⎜
⎞
⎠
⎟ x x
+ …∞ for  .
Solution.
Let ∑un be the series, omitting the first term.
∴ ∑ = +
⎛
⎝
⎜
⎞
⎠
⎟ +
u x x x
n
2
3
3
4
4
5
2
2 3
+…
Then u
n
n
x
n
n
x
n
n
n
n
=
+
⎛
⎝
⎜
⎞
⎠
⎟ =
+
+
⎛
⎝
⎜
⎞
⎠
⎟
⎡
⎣
⎢
⎤
⎦
⎥
+1
2
1
2
∴ u
n
n
x
n
n
x n
n
n
n n
1
1
1
2
1
2
1
1
1
=
+
+
⎛
⎝
⎜
⎞
⎠
⎟
⎡
⎣
⎢
⎤
⎦
⎥
⎧
⎨
⎪
⎩
⎪
⎫
⎬
⎪
⎭
⎪
=
+
+
⎛
⎝
⎜
⎞
⎠
⎟ =
+
+
2
2
n
x
∴ lim lim
n
n
n
n
→∞
=
+
⎛
⎝
⎜
⎜
⎜
⎞
⎠
⎟
⎟
⎟
u n
n
x x
1 1
1
1
2
→∞
+
=
∴ by Cauchy’s root test, ∑un converges if x , 1 and diverges if x . 1.
If x = 1, the test fails to give a definite conclusion.
In this case, u
n
n n
n
n
n
n
=
+
⎛
⎝
⎜
⎞
⎠
⎟ =
+
+
⎛
⎝
⎜
⎞
⎠
⎟
+1
2
1
2
1
=
+
+
⎛
⎝
⎜
⎞
⎠
⎟
=
+
+
⎛
⎝
⎜
⎞
⎠
⎟
=
+
+
⎡
⎣
⎢
⎤
⎦
⎥
+
+
⎡
⎣
⎢
⎤
⎦
⎥
1
1 1
1
1
1
1
1
1
1
1
1
1
1
n
n n
n
n
+
n n n+
+1
∴ lim lim
n
n
n n
→∞ →∞
=
+
+
⎛
⎝
⎜
⎞
⎠
⎟
+
+
⎛
⎝
⎜
⎞
⎠
⎟
= ≠
u
n
n
e
1
1
1
1
1
1
1
0
1
+
{ lim
n→∞
+
+
+
⎡
⎣
⎢
⎤
⎦
⎥ =
⎡
⎣
⎢
⎢
⎤
⎦
⎥
⎥
1
1
1
1
n
e
n
∴ when x = 1, the series is divergent by theorem 2.1, page 2.10.
Hence, the series is convergent if x , 1 and divergent if x $ 1.
2.3.6 Cauchy’s Integral Test
If u(x) is positive, decreasing and integrable function in [1, `) such that u n u n
( ) ,
= n N
∀ ∈ then the
series un
n=
∞
∑
1
and u x dx
( )
1
∞
∫ converge or diverge together.
If u x dx
( )
1
∞
∫ converges (i.e., the value of the integral exists), then un
n=1
∞
∑ converges.
M02_ENGINEERING_MATHEMATICS-I _XXXX_CH02.indd 30 5/12/2016 10:56:30 AM
Sequences and Series ■ 2.31
If u x dx
( )
1
∞
∫ diverges (i.e., the value does not exist), then un
n=1
∞
∑ diverges.
Proof
Let {sn
} be the sequence of partial seem of the series un
n=1
∞
∑ .
∴ s u u u u
n n
= + + +
1 2 3
…+ (1)
Let In
n
= = …
u x dx n
( ) , , , ,
2 3 4
1
∫
Since u(x) is monotonic decreasing in [1, `), we have
u n u x u n n x n n
( ) ( ) ( ) ,
≥ ≥ + ≤ ≤
1 1
for N
+ ∈
Also u(x) is positive and integrable on [1, `)
∴ u n dx u x dx u n dx
( ) ( ) ( )
n
n
n
n
n
n
+ +
∫ ∫ ∫
≥ ≥
1 1 1
1
+
+
⇒ u n u x dx u n n
( ) ( ) ( )
≥ ∀
+
∫
n
n
N
1
1
≥ + ∈
Since u(n) = un
, n ∈ N; we have
u u x dx u
n n
n
n
≥ ≥ +
+
∫ ( ) 1
1
Putting n = 1, 2, 3, …, n − 1 and adding, we get
u u u u x dx u x dx u x dx
u u u
1 2 1
1
2
2
3
1
2 3
+ + + ≥ + +
≥ + + +
−
−
∫ ∫ ∫
… …+
…
n
n
n
n
( ) ( ) ( )
⇒ s u x dx s u n
n
n
n N
− ≥ ≥
∫
1
1
1
( ) − ∀ ∈ [From (1)]
⇒ s s u n
n n n
I N
− ≥ ≥ ∀
1 1
− ∈
Taking I N
n n
≥ ∀
s u n
− ∈
1
⇒ s u n
n n
I N
− ∀
1 ≤ ∈
s u
n n
I
≤ + 1
∴ lim lim lim
n
n
n
n
n
I
→∞ →∞ →∞
≤
s u
+ 1
⇒ lim ( )
n
n
→∞
∞
≤ +
∫
s u x dx u
1
1
If u x dx
( )
1
∞
∫ is convergent, then lim
n
n
→∞
s is finite
∴ ∑un is convergent.
M02_ENGINEERING_MATHEMATICS-I _XXXX_CH02.indd 31 5/12/2016 10:56:35 AM
2.32 ■ Engineering Mathematics
Taking sn n
I
−1 ≥
⇒ lim lim
n
n
n
n
I
→∞ →
≥
s −
∞
1
⇒ lim ( ) .
n
n
→
−
∞
≥ ∫
∞
s u x dx
1
1
If u x dx
( )
1
∞
∫ does not exist, then lim
n
n
→∞
s −1 does not exist.
∴ un
∑ is divergent.
Thus, un
∑ and u x dx
( )
1
∞
∫ behave alike. ■
WORKED EXAMPLES
EXAMPLE 1
Discuss the convergence of the p-series
1
0
1 n
p
p
n=
∑
∞
,  .
Solution.
Let the given series be ∑un . ∴ ∑ =
∞
∑
u
n
n p
n
1
1
=
Then u
n
n p
=
1
. Consider u x
x
x
( ) , [ ,
= ∈ ∞)
1
1
p
u(x) is positive and decreasing function of x for x  1.
∴ by Cauchy’s integral test,
∑un and u x dx
( )
1
∞
∫ behave alike.
Now u x dx
x
dx
( ) .
1 1
1
∞ ∞
∫ ∫
= p
If p 5 1, then u x dx
x
dx
( )
1 1
1
∞
∫ ∫
=
∞
= =
[log ]
x 1
∞
∞
So, the integral diverges. ∴ ∑un diverges if p = 1
If p  1, then u x dx
x
dx
( )
1 1
1
∞
∫ ∫
= p
∞
=
+
⎡
⎣
⎢
⎤
⎦
⎥
=
−
⎡
⎣
⎢
⎤
⎦
⎥ =
− ∞
−
⎛
⎝
⎜
⎞
⎠
⎟ = −
−
=
− +
−
∞
x
p
p x p p
p
p
1
1
1
1
1
1
1
1 1
1
1
1
1
1
−
∞
1
1
1
p −
[{ p − 1  0]
Since the integral exists, by Cauchy’s integral test, ∑un is convergent if p  1.
M02_ENGINEERING_MATHEMATICS-I _XXXX_CH02.indd 32 5/12/2016 10:56:42 AM
Sequences and Series ■ 2.33
If p  1, then u x dx
x
dx
( )
1 1
1
∞
∫ ∫
= p
∞
=
− +
⎡
⎣
⎢
⎤
⎦
⎥ = −
( ) =
− + ∞
x
p p
p 1
1
1
1
1
1
−
∞ ∞ [{ 1 − p  0]
∴ the integral does not exist and hence, divergent.
So, ∑un is divergent if p  1.
Thus, ∑un is convergent if p  1 and divergent if p ≤ 1.
EXAMPLE 2
Test the convergence of the series 1
2
1
5
1
10
1
1 2
1 1 1 1
1
1
… …∞
n
.
Solution.
Let the given series be ∑un
∴ ∑ = + + +
+
u
n
n
1
2
1
5
1
10
1
1 2
…+ +…
Then u
n
n =
1
1 2
+
. Consider u x
x
x
( ) ,
=
1
1
1
2
+
≥
∴ u x
( ) is positive and decreasing function of x.
By cauchy’s integral test ∑un and u x dx
( )
1
∞
∫ behave alike.
Now u x dx
x
dx x
( ) tan tan tan .
1
2
1
1
1
1 1
1
1
1
2 4 4
∞ ∞
− −
∫ ∫
= = [ ] = ∞ − = − =
+
− ∞ p p p
∴ u x dx
( )
1
∞
∫ is convergent.
Hence, ∑un is convergent.
EXAMPLE 3
Test the convergence of the series
1
2 2
1
3 3
(log ) ( )
e e
p p
1og
1 1
1
4 4
0
(log )
, .
e
p
1…∞ p 
Solution.
Let the given series be un
n=2
∞
∑
∴ u p
n n
e e e
e
n
n
p p p
p
=
∞
∑ = + + 
=
2
1
2 2
1
3 3
1
4 4
0
1
(log ) (log ) (log )
,
(log )
+ …∞
,
, p 
=
∞
∑ 0
2
n
M02_ENGINEERING_MATHEMATICS-I _XXXX_CH02.indd 33 5/12/2016 10:56:47 AM
2.34 ■ Engineering Mathematics
Then u
n n
e
n p
=
1
(log )
Consider u x
x x
p x
e
( )
(log )
, ,
=
1
0 2
p
 ≥
Clearly u(x) is positive and decreasing function of x for x ≥ 2
∴ by Cauchy’s integral test, ∑un and u x dx
( )
2
∞
∫ behave alike.
Now u x dx
x x
dx
e
( )
(log )
.
2 2
1
∞
∫ ∫
= p
∞
Put t x dt
x
dx
= log ∴ =
1
When x = 2, t = log 2 and when x = `, t = log ` = `
∴ u x dx
t
dt
e
( )
log
2 2
1
∞
∫ ∫
= p
∞
If p  1, then u x dx t dt
t
p
e e
( )
log log
= =
− +
⎡
⎣
⎢
⎤
⎦
⎥
∞
∫
∫
−
∞ − + ∞
p
p
2
2
1
2
1
=
−
⎛
⎝
⎜
⎞
⎠
⎟
−
∞
1
1
1
1
2
p t e
p
log
[{ p − 1  0]
=
− ∞
−
⎡
⎣
⎢
⎤
⎦
⎥ = −
−
⋅ =
−
⋅
− −
1
1
1 1
2
1
1
1
2
1
1
1
1 1
p p p
e e
(log ) ( ) (log ) ( ) (log
p p
e
e 2 1
)p−
∴ the integral u x dx
( )
2
∞
∫ exists and hence, un
n=
∞
2
∑ is convergent for p  1
If p  1, then u x dx
t
dt
e
( )
log
1 2
1
∞
∫ ∫
= p
∞
=
+
⎡
⎣
⎢
⎤
⎦
⎥ =
−
− = ∞
− + ∞
t
p p
e
e
p 1
2
1
1
1
2
−
∞
log
( log ) [{ 1 − p  0]
∴ ∫u x dx
( )
2
∞
does not exist and hence, divergent
∴ ∑un
n=
∞
2
is divergent if p  1
If p 5 1, then u x dx
t
dt
e
( )
log
= ∫
∫
∞
1
2
2
∞
= = ∞ =
(log ) log log log
log
t 2 2
∞
− ∞
∴ ∫u x dx
( )
2
∞
does not exist and hence, divergent
∴
=
∑un
n 2
∞
is divergent if p = 1
Thus, the given series ∑un is convergent if p  1 and divergent if 0  p ≤ 1.
M02_ENGINEERING_MATHEMATICS-I _XXXX_CH02.indd 34 5/12/2016 10:56:53 AM
Sequences and Series ■ 2.35
EXAMPLE 4
Using integral test, determine whether the series
ln n
n2
n 1
5
∑ is convergent or divergent.
Solution.
Let the given series be ∑un ∴ ∑ = =
=
∑
u
n
n
n
n
n
e
n
ln
[ln log ]
2
1
∞
Then u
n
n
n =
ln
.
2
Consider u x
x
x
x
( )
ln
,
= ≥
2
2 (1)[ ( ) ]
{ u x x
= 0 1
if =
Clearly u x x
( ) .
 0 2
∀ ≥
To prove u(x) is monotonic function of x, test the sign of ′
u x
( ).
Differentiating (1) w.r. to x, we get
′ =
⋅ − ⋅
=
−
= =
−
u x
x
x
x x
x
x x x
x
x x
x
x
x
( )
ln
ln ( ln ) ln
2
4 4 4 3
1
2
2 1 2 1 2
−
If x ≥ 2, then ln ln
x ≥ 2 [{ logarithm is an increasing function]
∴ 2 2 2
ln ln
x ≥ ⇒ −2 2 2
ln ln
x ≤ − ⇒ 1 2 1 4 0
− ≤ − 
ln ln
x [{ ln 4 = 1.39]
∴ ′  ∀ ≥
u x x
( ) 0 2
Hence, u x
( ) is decreasing in [2, `)
∴ by Cauchy’s integral test, un
n=
∑
2
∞
and u x dx
( )
ln2
∞
∫ behave alike
But u x dx
x
x
dx
( )
ln
ln ln
=
∫ ∫
∞
2
2
2
∞
. Put ln x t dt
x
dx
= ∴ =
1
When and when
x t x t
= = = = ∞ =
2 2
, ln , ln
∞ ∞
∴ u x dx
t
e
dt te dt x t x e
t
e e
( ) [ ln ]
ln ln ln
2 2 2
1
1
∞ ∞
−
∞
−
∫ ∫ ∫
= = =
=
−
− ⋅
t
t t
t
{ ⇒ =
−
− ∞
−
−
⎡
⎣
⎢
⎤
⎦
⎥
= − +
⎡
⎣ ⎤
⎦
t
t
by Bernoulli’s formula
( )
[ ]
( )
ln
ln
1
1
2
2
e t 2
2
2
1
2
0 2 1 2 1
1
2
2 1
∞
= + +
⎡
⎣ ⎤
⎦ = + = +
−
e e
ln
ln
(ln ) (ln ) (ln )
∴ the integral u x dx
( )
2
∞
∫ is convergent and hence, un
n=
∞
∑
2
is convergent.
M02_ENGINEERING_MATHEMATICS-I _XXXX_CH02.indd 35 5/12/2016 10:57:00 AM
2.36 ■ Engineering Mathematics
EXERCISE 2.4
Test the convergence of the following:
1. 1
2 3 4
0
2
2
3
3
+ + + 
x x x
x
+… , 2.
( )
,
n x
n
x
+
∞
1
0
1
1
n
n
n
+
=
⎡
⎣
⎢
⎤
⎦
⎥ 
∑
3.
x
n
x e
n
n
n
, 
=
∑
1
∞
4. n n −
∞
1
1
( )
=
∑
n
n
5.
1
2 n n
(log )
⎡
⎣
⎢
⎤
⎦
⎥
∑
n=
∞
ANSWERS TO EXERCISE 2.4
1. Convergent 2. Convergent if x  1 and divergent if x ≥ 1
3. Convergent 4. Convergent 5. Divergent
2.3.7 Raabe’s Test
Let ∑un be a series of positive terms such that lim .
n
n
n
→
−
⎛
⎝
⎜
⎞
⎠
⎟
∞
+
=
n
u
u
l
1
1 Then the series ∑un is convergent
if l  1 and divergent if l  1.
The test fails to give a definite result if l = 1.
We first state the theorem of comparison of ratios of two series.
If ∑un and ∑vn are two series of positive terms and if
u
u
v
v
n
n
n
n
+

1 1
+ for all values of n ∈ N, then
∑un is convergent if ∑vn is convergent, whereas if
u
u
v
v
n
n
n
n
+1 1
 + for all values of n, then ∑un is
divergent if ∑vn is divergent.
Proof
Given ∑un is a series of positive terms, we compare with ∑vn , where v
n
n p
=
1
.
We know that ∑vn is convergent if p  1 and hence, ∑un will be convergent if ∑vn is convergent
and if N and if
n
n
n
n
u
u
v
v
n p
+ +
 ∀ ∈ 
1 1
1
⇒ u
u
v
v
n p
n
n
n
n
N and if
+
 
1 1
1
+
∀ ∈
But
v
v
n
n
n
n n
p
n
p p
n
n
p
p
p p
+
=
+
=
⎛
⎝
⎜
⎞
⎠
⎟ = +
⎛
⎝
⎜
⎞
⎠
⎟
= + ⋅ +
−
⋅
1
1 1
1
1
1
1
1 1
2
( )
!
( )
!
+
1
1
2
n
+…
∴
u
u
p
n
p p
n
n
n+
 + ⋅
−
⋅ +
1
2
1
1
1 1
2
1
!
( )
!
+ …
⇒ u
u
p
n
p p
n
n
n+
−
⎛
⎝
⎜
⎞
⎠
⎟  ⋅ +
−
⋅
1
2
1
1
1 1
2
1
!
( )
!
+…
M02_ENGINEERING_MATHEMATICS-I _XXXX_CH02.indd 36 5/12/2016 10:57:07 AM
Sequences and Series ■ 2.37
⇒ n
u
u
p
p p
n
n
n+
−
⎛
⎝
⎜
⎞
⎠
⎟  ⋅
1
2
1
1
2
1
+
−
+…
( )
!
∴ lim .
n
n
n
→∞
+
−
⎛
⎝
⎜
⎞
⎠
⎟
n
u
u
p
1
1 
But ∑ 
v p
n is convergent if 1.
∴ ∑un is convergent if lim
n
n
n
→∞
⎛
⎝
⎜
⎞
⎠
⎟  
n
u
u
p
+
−
1
1 1 and divergent if lim .
n
n
n
→∞
+
−
⎛
⎝
⎜
⎞
⎠
⎟
n
u
u 1
1 1

The test fails if lim
n
n
n
→∞
−
⎛
⎝
⎜
⎞
⎠
⎟
n
u
u +
=
1
1 1
WORKED EXAMPLES
EXAMPLE 1
Test the convergence of the series
x
x x
1 1 1
1
2 3
1 3
2 4 5
3 5
⋅
⋅
1 3 5
2 4 6 7
0
7
⋅ ⋅
⋅ ⋅

x
x
1…∞, .
Solution.
Let ∑un be the series, omitting the first term,
∴ ∑ = +
⋅
⋅
+
⋅ ⋅
⋅ ⋅

u
x x x
x
n
1
2 3
1 3
2 4 5
1 3 5
2 4 6 7
0
3 5 7
+…∞,
Then u
n
n
x
n
n
n
=
⋅ ⋅
⋅ ⋅ +
1 3 5 2 1
2 4 6 2 2 1
2 1
… −
…
+
( )
( )
and u
n n
n n
x
n
n
n
+ =
⋅ ⋅ +
⋅ ⋅ +
⋅
+
1
2 3
1 3 5 2 1 2 1
2 4 6 2 2 2 2 3
… −
…
+
( )( )
( ) ( )
u
u
n
n
x
n
n n n
n
n
n
+
+
=
⋅ ⋅ −
⋅ ⋅ +
⋅
⋅ ⋅ + +
1
2 1
1 3 5 2 1
2 4 6 2 2 1
2 4 6 2 2 2 2 3
1
…
…
…
( ) ( )( )
⋅
⋅ ⋅ +
⋅
3 5 2 1 2 1
1
2 3
… − +
( )( )
n n x n
⇒ u
u
n n
n x
n
n+
=
+ +
+
1
2 2
2 2 2 3
2 1
1
( )( )
( )
(1)
⇒ u
u
n
n n
n
n
x
n
n+
=
+
⎛
⎝
⎜
⎞
⎠
⎟
⎛
⎝
⎜
⎞
⎠
⎟
+
⎛
⎝
⎜
⎞
⎠
⎟
⋅
1
2
2
2 2
2
2
2
3
2
1
1
+
=
+
⎛
⎝
⎜
⎞
⎠
⎟
⎛
⎝
⎜
⎞
⎠
⎟
+
⎛
⎝
⎜
⎞
⎠
⎟
⋅
2
2
2
3
2
1
1
2 2
n n
n
x
+
(2)
M02_ENGINEERING_MATHEMATICS-I _XXXX_CH02.indd 37 5/12/2016 10:57:13 AM
2.38 ■ Engineering Mathematics
∴ lim lim
n
n
n
n
→∞
+
→∞
=
+
⎛
⎝
⎜
⎞
⎠
⎟
⎛
⎝
⎜
⎞
⎠
⎟
+
⎛
⎝
⎜
⎞
⎠
⎟
⋅ =
⋅
u
u
n n
n
x
1
2 2
2
2
2
3
2
1
1 2 2
+
2
2
1 1
2 2 2
⋅ =
x x
∴ by the De’Alembert’s ratio test,
∑un is convergent if
1
1 1
2
2
x
x
 ⇒  ⇒ x x
2
1 0 0 1
−  ⇒  
[ ]
{ x  0
and divergent if
1
1 1 1
2
2
x
x x
 ⇒  ⇒ 
[ ]
{ x  0
Now
1
1 1 1
2
2
x
x x
= ⇒ = ⇒ = [ ]
{ x  0
If x = 1, the test fails to give a definite conclusion.
In this case, we use Raabe’s test.
When x = 1, the series is
∑ = ⋅ +
⋅
⋅
⋅ +
⋅ ⋅
⋅ ⋅
⋅
un
1
2
1
3
1 3
2 4
1
5
1 3 5
2 4 6
1
7
+…
u
u
n n
n
n
n+
=
+
1
2
2 2 2 3
2 1
( )( )
( )
+ + [ ]
from (1)
∴ u
u
n n
n
n n n
n
n
n+
=
+ +
+
=
+ + − +
+
1
2
2
2
1
2 2 2 3
2 1
1
2 2 2 3 2 1
2 1
− −
( )( )
( )
( )( ) ( )
( )
=
=
+ + − + +
( )
+
=
+
+
4 10 6 4 4 1
2 1
6 5
2 1
2 2
2 2
n n n n
n
n
n
( ) ( )
∴ n
u
u
n n
n
n
n+
−
⎛
⎝
⎜
⎞
⎠
⎟ =
+
+
1
2
1
6 5
2 1
( )
( )
=
⎛
⎝
⎜
⎞
⎠
⎟
+
⎛
⎝
⎜
⎞
⎠
⎟
=
+
+
⎛
⎝
⎜
⎞
⎠
⎟
n
n
n
n
n
n
2
2
2 2
6
5
4 1
1
2
6
5
4 1
1
2
+
∴ lim lim
n
n
n
n
→∞ →∞
⎛
⎝
⎜
⎞
⎠
⎟ =
+
+
⎛
⎝
⎜
⎞
⎠
⎟
= = 
n
u
u
n
n
+
−
1
2
1
6
5
4 1
1
2
6
4
3
2
1
∴by Raabe’s test ∑un is convergent if x = 1.
Hence, the given series is convergent if 0  x ≤ 1 and divergent if x  1.
M02_ENGINEERING_MATHEMATICS-I _XXXX_CH02.indd 38 5/12/2016 10:57:17 AM
Sequences and Series ■ 2.39
EXAMPLE 2
Test the convergence or divergence of
x x x
2
2
4
2 2
6
2
3 4
2 4
3 4 5 6
1 1 1
⋅
⋅
⋅ ⋅ ⋅
2 4 6
3 4 5 6 7 8
2 2 2
8
⋅ ⋅
⋅ ⋅ ⋅ ⋅ ⋅
x 1….
Solution.
Omitting the first term, let the given series be ∑un
∴ ∑ =
⋅
+
⋅
⋅ ⋅ ⋅
+
⋅ ⋅
⋅ ⋅ ⋅ ⋅ ⋅
u x x x
n
2
3 4
2 4
3 4 5 6
2 4 6
3 4 5 6 7 8
2
4
2 2
6
2 2 2
8
+…
Then n
n
u
n
n n
x
=
⋅
⋅ ⋅ ⋅ + +
2 4 2
3 4 5 6 2 1 2 2
2 2 2
2 2
…
…
+
( )
( )( )
and u
n n
n n n n
x
n+ =
⋅ ⋅ +
⋅ ⋅ ⋅ + + + +
1
2 2 2 2
2
2 4 2 2 2
3 4 5 6 2 1 2 2 2 3 2 4
…
…
( ) ( )
( )( )( )( )
n
n+4
∴ u
u
n n
n x
n
n+
=
+
+
⋅
1
2 2
2 3 2 4
2 2
1
( )( )
( )
+ (1)
=
+
⎛
⎝
⎜
⎞
⎠
⎟
⎛
⎝
⎜
⎞
⎠
⎟
+
⎛
⎝
⎜
⎞
⎠
⎟
⋅ =
+
⎛
⎝
⎜
⎞
⎠
⎟ +
⎛
⎝
⎜
n
n n
n
n
x
n n
2
2
2 2
2
3
2
4
2
2
1
2
3
2
4
+
⎞
⎞
⎠
⎟
+
⎛
⎝
⎜
⎞
⎠
⎟
⋅ ≠
2
2
1
0
2 2
n
x
x
,
∴ lim lim
n
n
n
n
→∞
+
→∞
=
+
⎛
⎝
⎜
⎞
⎠
⎟
⎛
⎝
⎜
⎞
⎠
⎟
+
⎛
⎝
⎜
⎞
⎠
⎟
⋅ =
⋅
u
u
n n
n
x
1
2 2
2
3
2
4
2
2
1 2 2
+
2
2
1 1
2 2 2
⋅ =
x x
∴ by De’Alembert’s ratio test,
∑un is convergent if
1
1 1
2
2
x
x
 ⇒  ⇒ −1  x  1, x ≠ 0.
and divergent if
1
1 1
2
2
x
x
 ⇒  ⇒ x  −1 or x  1.
If x2
= 1, the test fails, so we use Raabe’s test.
In this case, u
u
n n
n
n
n+
=
+
+
1
2
2 3 2 4
2 2
( )( )
( )
+ [From (1)]
∴
u
u
n n
n
n n n
n
n
n+
− =
+ +
+
=
+ + − +
+
1
2
2
2
1
2 3 2 4
2 2
1
2 3 2 4 2 2
2 2
( )( )
( )
( )( ) ( )
( )
−
=
=
+ + − + +
+
=
+
+
4 14 12 4 8 4
2 2
6 8
2 2
2 2
2 2
n n n n
n
n
n
( )
( ) ( )
M02_ENGINEERING_MATHEMATICS-I _XXXX_CH02.indd 39 5/12/2016 10:57:22 AM
2.40 ■ Engineering Mathematics
∴ n
u
u
n n
n
n
n
n
n
n
n+
−
⎛
⎝
⎜
⎞
⎠
⎟ =
+
=
+
⎛
⎝
⎜
⎞
⎠
⎟
+
⎛
⎝
⎜
⎞
⎠
⎟
=
1
2
2
2
2
1
6 8
2 2
6
8
2
2
6
( )
( )
+
+
+
+
⎛
⎝
⎜
⎞
⎠
⎟
8
2
2
2
n
n
∴
lim lim
n
n
n
n
→∞
+
→∞
−
⎛
⎝
⎜
⎞
⎠
⎟ =
+
⎛
⎝
⎜
⎞
⎠
⎟
= = 
n
u
u
n
n
1
2
1
6
8
2
2
6
4
3
2
1
+
∴ by Raabe’s test ∑un is convergent if x2
1
= ⇒ x = ±1.
∴ the given series is convergent if − ≤
1 1
≤ x [{ when x = 0; it is trivially convergent]
and divergent if x x
 
−1 1
or .
EXAMPLE 3
Test the convergence of the series ( !)
( )!
.
n
x
n
2
2
1 2
n
n
=
∞
∑
Solution.
The given series be ∑un ∴ ∑ =
=
∞
∑
u n
x
n
n
n
n
( !)
( )!
2
2
1 2
Then u
n x
n
n
n
=
( !)
( )!
2 2
2
and u
n x
n
n x
n
n
n n
+
+ +
=
+
+
=
+
+
1
2 2 2 2 2 2
1
2 1
1
2 2
[( )!]
[ ( )]!
[( )!]
( )!
∴
u
u
n x
n
n
n x
n
n
n
n
n
n
n
+
+
= ⋅
+
+
[ ]
=
1
2 2
2 2 2
2
2
2 2
1
2
2
( !)
( )!
( )!
( )!
( !)
( )!
( )!(
( )( )
( !) ( )
( ) ( )
( )
,
2 1 2 2
1
1
2 1 2 1
1
1
0
2 2 2
2 2
n n
n n x
n n
n x
x
+ +
+
⋅
=
+ +
+
⋅ ≠
⇒ u
u
n
n x
n
n+
=
+
+
⋅
1
2
2 2 1
1
1
( ) (1)
=
+
⎛
⎝
⎜
⎞
⎠
⎟
+
⎛
⎝
⎜
⎞
⎠
⎟
⋅ =
+
⎛
⎝
⎜
⎞
⎠
⎟
+
⋅
2 2
1
1
1
1
2 2
1
1
1
1
2 2
n
n
n
n
x
n
n
x
M02_ENGINEERING_MATHEMATICS-I _XXXX_CH02.indd 40 5/12/2016 10:57:26 AM
Sequences and Series ■ 2.41
∴ lim lim
n
n
n
n
→∞
+
→∞
=
+
⎛
⎝
⎜
⎞
⎠
⎟
+
⋅ = ⋅ ⋅ =
u
u
n
n
x x x
1
2 2 2
2 2
1
1
1
1
2 2
1 4
∴ by ratio test, ∑un is convergent if
4
1 4 4 0
2
2 2
x
x x
 ⇒  ⇒ −  ⇒ −   ≠
2 2 0
x x
,
When x = 0, trivially the series is convergent and divergent if x x
 − 
2 2
or
When
4
1 4
2
2
x
x
= ⇒ = , the test fails. So, we use Raabe’s test.
In this case, from (1), we get
u
u
n
n
n
n
n
n+
=
+
+
⋅ =
+
+
1
2 2 1
1
1
4
2 1
2 1
( ) ( )
( )
∴
u
u
n
n
n n
n n
n
n+
− =
+
+
− =
+ − +
+
= −
+
1
1
2 1
2 1
1
2 1 2 1
2 1
1
2 1
( )
( )
( ) ( )
∴ n
u
u
n
n
n
n
n+
−
⎛
⎝
⎜
⎞
⎠
⎟ = −
+
= −
+
⎛
⎝
⎜
⎞
⎠
⎟
1
1
2 1
1
2 1
1
( )
∴ lim lim
n
n
n
n
→∞
+
→∞
−
⎛
⎝
⎜
⎞
⎠
⎟ =
−
+
⎛
⎝
⎜
⎞
⎠
⎟
= − 
n
u
u
n
1
1
1
2 1
1
1
2
1
∴ by Raabe’s test, ∑un is divergent if x x
2
4 2
= ⇒ = ±
∴ the given series is convergent if −  
2 2
x and divergent if x x
≤ − ≥
2 2
or
EXERCISE 2.5
Test the convergence of the following series.
1. 1
1
2 4
1 3 5
2 4 6 8
1 3 5 7 9
2 4 6 8 10 12
0
3 4 6
+ ⋅ +
⋅ ⋅ ⋅
⋅ ⋅ ⋅
+
⋅ ⋅ ⋅ ⋅
⋅ ⋅ ⋅ ⋅
+ ∞ 
x x x
x
… ,
2. 1 2 1
1 3 2 1 2 3
2 2 2
1
⋅ +
⋅ + +
=
∞
∑
…
…
( )
( )( )
n
n n
n
3.
3
4
4
5
5
4
0
2
2
3
3
x x x x
+
⎛
⎝
⎜
⎞
⎠
⎟ +
⎛
⎝
⎜
⎞
⎠
⎟ + ∞ 
… ,
M02_ENGINEERING_MATHEMATICS-I _XXXX_CH02.indd 41 5/12/2016 10:57:32 AM
2.42 ■ Engineering Mathematics
4. 1
2
5
6
9
14
17
2 2
2 1
0
2 3 1
+ + + + +
−
+
+ ∞ 
−
x x x x x
… …
n
n
n
,
5.
x
x
x
n
n
n 1
0
2
1 +
⎛
⎝
⎜
⎞
⎠
⎟ 
=
∞
∑ ,
6. 1
2 5 10 1
0
2 2
2
+ + + + +
+
+ ∞ 
x x x x
n
x
… …
n
,
7.
3 6 9 3
7 10 13 3 4
0
1
⋅ ⋅
⋅ ⋅ +
⋅
⎛
⎝
⎜
⎞
⎠
⎟ 
=
∞
∑
…
…
n
n
x x
( )
,
n
n
8. 1
2
1 3
2 4
1 3 5
2 4 6
0
2 3
+ +
⋅
⋅
+
⋅ ⋅
⋅ ⋅
+ 
x
x x x
… ,
9. Test the convergence of
4 7 3 1
1 2 3 4
0
1
⋅ ⋅
⋅ ⋅ ⋅
⋅
⎛
⎝
⎜
⎞
⎠
⎟ 
=
∞
∑
… +
…
( )
, .
n
n
x x
n
n
10. Test the convergence of
n
n n
x x
+1
2 3
0
1 ( )( )
, .
+ +

=
∞
∑ n
n
ANSWERS TO EXERCISE 2.5
1. Convergent if 0  x ≤ 1 and divergent if x  1 2. Divergent
3. Convergent if 0  x  1 and divergent if x ≥ 1
4. Convergent if 0  x  1 and divergent if x ≥ 1
5. Convergent if 0  x  1 or x  1 and divergent if x = 1
6. Convergent if 0  x ≤ 1 and divergent if x  1
7. Convergent if 0  x ≤ 1 and divergent if x  1
8. Convergent if 0  x  1 and divergent if x ≥ 1
9. Convergent if 0  x 
1
3
and divergent if x ≥
1
3
.
10. Convergent if x  1 and divergent if x ≥ 1.
2.3.8 Logarithmic Test
Let ∑un be a series of positive terms such that lim log .
n
n
n
→∞
+
⎛
⎝
⎜
⎞
⎠
⎟ =
n
u
u
l
e
1
Then the series ∑un is convergent if l  1 and divergent if l  1. The test fails to give a definite
result if l = 1.
Proof
Given ∑un is a series of positive terms such that lim log .
n
n
n
→∞
+
⎛
⎝
⎜
⎞
⎠
⎟ =
n
u
u
l
e
1
M02_ENGINEERING_MATHEMATICS-I _XXXX_CH02.indd 42 5/12/2016 10:57:36 AM
Sequences and Series ■ 2.43
We compare ∑un with ∑vn where v
n
n p
=
1
We know that ∑vn is convergent if p  1.
∴ ∑un is convergent if
u
u
v
v
p
u
u
v
v
p
n
n
n
n
n
n+
n
n
and  and
+ +
+
  
1 1
1 1
1 1
⇒
But v
v
n
n n
n
n
p
p
p
+
=
+
= +
⎛
⎝
⎜
⎞
⎠
⎟
1
1
1
1
( )
∴
log log
log
e e
e
v
v n
p
n
p
n n
n
n
p
+
⎛
⎝
⎜
⎞
⎠
⎟ = +
⎛
⎝
⎜
⎞
⎠
⎟
= +
⎛
⎝
⎜
⎞
⎠
⎟ = − +
1
2
1
1
1
1 1 1
2
1
1
3
1
4
3 4
n n
− +
⎛
⎝
⎜
⎞
⎠
⎟
…
∴ n
v
v
n p
n n n n
p
n n
e
log n
n+
⎛
⎝
⎜
⎞
⎠
⎟ = − + − +
⎛
⎝
⎜
⎞
⎠
⎟
= − + −
1
2 3 4
2
1 1
2
1
3
1
4
1
1
2
1
3
…
1
1
4 3
n
+
⎛
⎝
⎜
⎞
⎠
⎟
…
⇒ n
v
v
p
n n n
e
log n
n+
⎛
⎝
⎜
⎞
⎠
⎟ − + − +
⎛
⎝
⎜
⎞
⎠
⎟
1
2 3
1
1
2
1
3
1
4
= …
∴ lim log
n
n
n
→∞
+
⎛
⎝
⎜
⎞
⎠
⎟ =
n
v
v
p
e
1
∴ lim log lim log
n
n
n
n
n
n
→∞
+
→∞
+
⎛
⎝
⎜
⎞
⎠
⎟ 
⎛
⎝
⎜
⎞
⎠
⎟ =
n
u
u
n
v
v
p
e e
1 1
But ∑vn is convergent if p  1.
∴ ∑un will be convergent if lim log
n
n
n
→∞
+
⎛
⎝
⎜
⎞
⎠
⎟  
n
u
u
p
e
1
1
Similarly, we can prove ∑un is divergent if lim log .
n
n
n
→∞
+
⎛
⎝
⎜
⎞
⎠
⎟ 
n
u
u
e
1
1
The test fails if lim log .
n
n
n
→∞
+
⎛
⎝
⎜
⎞
⎠
⎟ =
n
u
u
e
1
1 ■
M02_ENGINEERING_MATHEMATICS-I _XXXX_CH02.indd 43 5/12/2016 10:57:41 AM
2.44 ■ Engineering Mathematics
WORKED EXAMPLES
EXAMPLE 1
Test the convergence and divergence of the series
1
2
2
3
3
4
4
5
5
0
2
2
3
3
4
4
1 1 1 1 1
! ! ! !
, .
x x x x x
… 
Solution.
Let the given series be ∑un .
∴ ∑ = + + + + + 
u x x x x x
n 1
2
2
3
3
4
4
5
5
0
2
2
3
3
4
4
! ! ! !
,
…
Then u
n
n
x u
n
n
x
n
n
n
n
n
n
and
= =
+
+
−
−
+
1
1
1
1
1
!
( )
( )!
∴
u
u
n
n
x
n
n x
n
n x
n
n
n
n
n n
n
n
+
−
−
−
−
= ⋅
+
+
=
+
⋅
1
1
1
1
1
1
1 1
1
!
( )!
( ) ( )
⇒
u
u
n
n
n
x
n
x
n
n
n
n
n
n n
+
−
−
− −
=
+
⎛
⎝
⎜
⎞
⎠
⎟
⋅ =
+
⎛
⎝
⎜
⎞
⎠
⎟
⋅ =
+
⎛
⎝
⎜
⎞
1
1
1
1 1
1
1
1 1
1
1
1
1
1
⎠
⎠
⎟
+
⎛
⎝
⎜
⎞
⎠
⎟
⋅
1
1
1
n
x
n
(1)
∴ lim lim
n
n
n
n n
→∞
+
→∞
=
+
⎛
⎝
⎜
⎞
⎠
⎟
+
⎛
⎝
⎜
⎞
⎠
⎟
⋅ =
u
u
n
n
x ex
1
1
1
1
1
1 1
∴ by ratio test, ∑un is convergent if
1
1
1
ex
x
e
 ⇒  and diverges if
1
1
1
ex
x
e
 ⇒ 
When x
e
=
1
, the test fails. So, we use logarithmic test.
∴ u
u
n
e
n
n
n
+
−
=
+
⎛
⎝
⎜
⎞
⎠
⎟
⋅
1
1
1
1
1
[ ]
from (1)
∴ log log log
( )log
e e e
e
u
u
e
n
n
n
n
n
n
+
−
⎛
⎝
⎜
⎞
⎠
⎟ = − +
⎛
⎝
⎜
⎞
⎠
⎟
= − − +
⎛
⎝
1
1
1
1
1 1 1
1
⎜
⎜
⎞
⎠
⎟
= − − − + − +
⎛
⎝
⎜
⎞
⎠
⎟
1 1
1 1
2
1
3
1
4
2 3 4
( )
n
n n n n
…
= − − − + + +
⎛
⎝
⎜
⎞
⎠
⎟ = − +
1 1
1
2
1 1
3
1
2
3
2
5
6
2 2 2
n n n n n n
… …
M02_ENGINEERING_MATHEMATICS-I _XXXX_CH02.indd 44 5/12/2016 10:57:46 AM
Sequences and Series ■ 2.45
∴ n
u
u
n
n n n
log n
n+
⎛
⎝
⎜
⎞
⎠
⎟ = − +
⎛
⎝
⎜
⎞
⎠
⎟ = − +
1
2
3
2
5
6
3
2
5
6
… …
∴ lim log lim
n
n
n
n
→∞
+
→∞
⎛
⎝
⎜
⎞
⎠
⎟ = − +
⎛
⎝
⎜
⎞
⎠
⎟ = 
n
u
u n
1
3
2
5
6
3
2
1
…
∴ by logarithmic test, ∑un is convergent if x
e
=
1
.
∴ the given series is convergent if 0
1
 ≤
x
e
and divergent if x
e

1
.
EXAMPLE 2
Test the convergence of 1
1
2
2
4
3
6
0
2 2
2
2
3
1 1 1 1
( !)
!
( !)
!
( !)
!
, .
x x x x
… 
Solution.
Let ∑un be the series, omitting the first term
u x x x x
n
n=
∞
∑ = + + + 
1
2 2
2
2
3
1
2
2
4
3
6
0
( !)
!
( !)
!
( !)
!
,
…
Then u
n
n
x
n
n
=
( !)
( )!
2
2
and u
n
n
x
n
n
+
+
=
+
+
1
2
1
1
2 2
[( )!]
( )!
∴
u
u
n
n
x
n
n x
n n
n
n
n
n
n
+
+
=
( )
⋅
+
+
=
+ +
+
1
2
2 1
2
2 2
1
1
2 1 2 2
1
( !)
!
( )!
[( )!]
( )( )
( )
)
( )( )
( )
( )
2 2
1 2 2 1 1
1
1 2 2 1
1
1
⋅ =
+ +
+
⋅ =
+
+
⋅
x
n n
n x
n
n x
⇒ u
u
n
n
n
n
x
n
n+
=
+
⎛
⎝
⎜
⎞
⎠
⎟
+
⎛
⎝
⎜
⎞
⎠
⎟
⋅
1
4 1
1
2
1
1
1
=
+
⎛
⎝
⎜
⎞
⎠
⎟
+
⎛
⎝
⎜
⎞
⎠
⎟
⋅
4 1
1
2
1
1
1
n
n
x
(1)
∴ lim lim
n
n
n
n
→∞
+
→∞
=
+
⎛
⎝
⎜
⎞
⎠
⎟
+
⎛
⎝
⎜
⎞
⎠
⎟
⋅ =
u
u
n
n
x x
1
4 1
1
2
1
1
1 4
∴ by ratio test, ∑un is convergent if
4
1 4
x
x
 ⇒  and is divergent if
4
1 4
x
x
 ⇒  .
When x = 4, the test fails. So, we use logarithmic test.
∴ If x = 4, then
u
u
n
n
n
n
n
n+
=
+
⎛
⎝
⎜
⎞
⎠
⎟
+
⋅ =
+
+
1
4 1
1
2
1
1
1
4
1
1
2
1
1
[ ]
from (1)
M02_ENGINEERING_MATHEMATICS-I _XXXX_CH02.indd 45 5/12/2016 10:57:53 AM
2.46 ■ Engineering Mathematics
∴ log log log
e e e
u
u n n
n n
n
n+
= +
⎛
⎝
⎜
⎞
⎠
⎟ − +
⎛
⎝
⎜
⎞
⎠
⎟
= −
⎛
⎝
⎜
⎞
⎠
⎟
1
2
1
1
2
1
1
1
2
1
2
1
2
+
+ − − ⋅ +
⎛
⎝
⎜
⎞
⎠
⎟ = − + ⋅ −
… … …
1 1
2
1 1
2
7
8
1
2 2
n n n n
∴ n
u
u
n
n n n
e
log n
n+
= − + ⋅ −
⎛
⎝
⎜
⎞
⎠
⎟ = − + ⋅ −
1
2 2
1
2
7
8
1 1
2
7
8
1
… …
∴ lim log lim
n
n
n
n
→∞
+
→∞
= − + ⋅ −
⎛
⎝
⎜
⎞
⎠
⎟ = − 
n
u
u n
e
1
2
1
2
7
8
1 1
2
1
…
∴ by logarithmic test, ∑un is divergent if x = 4.
∴ the given series is convergent if 0  x  4 and divergent if x ≥ 4.
2.4 ALTERNATING SERIES
Definition 2.13 A series of the form u u u u
1 2 3 4
− + − + ∞
… , where u n
n N
 ∀ ∈
0 is called an alter-
nating series.
Examples
(1) 1
1
2
1
2
1
2
2 3
− + − +… is an alternating series.
(2) ( )
−
+
=
∞
∑ 1
1
2
3
1
n
n
n
n
is an alternating series.
That is −
+
+
+
−
+
+
1
1 1
2
2 1
3
3 1
2
3
2
3
2
3
… is an alternating series, because it is
−
+
−
+
+
+
+
⎛
⎝
⎜
⎞
⎠
⎟
1
1 1
2
2 1
3
3 1
2
3
2
3
2
3
…
2.4.1 Leibnitz’s Test
Statement: If the alternating series u u u u
1 2 3 4
− + − +… is such that (i) u u n
n n
+ ≤ ∀
1
and (ii) lim ,
n
n
→∞
=
u 0 then the series is convergent.
Proof
Given u n
n  ∀
0
and (i) u u u u u u
1 2 3 4 1
≥ ≥ ≥ ≥ ≥ ≥
+
… …
n n , and (ii) lim
n
n
→∞
=
u 0
Consider the even partial sum s2n
.
∴ s u u u u u u s u u
2n n n 2n n n
= − + − + + − = + −
− − −
( ) ( ) ( ) ( )
1 2 3 4 2 1 2 2 2 1 2
…
Since u u u u n
2 1 2 2 1 2 0
n n n n
− −
≥ − ≥ ∀
, ,
M02_ENGINEERING_MATHEMATICS-I _XXXX_CH02.indd 46 5/12/2016 10:57:59 AM
Sequences and Series ■ 2.47
∴ s s n
2 2 2
n n
≥ ∀
− .
Hence, 0 2 4 6 2
≤ ≤ ≤ ≤ ≤ ≤
s s s s
… …
n
Also we can write
s u u u u u u u u
2n n n n
= − − − − − − −
− −
1 2 3 4 5 2 2 2 1 2
( ) ( ) ( )
Every difference in the brackets are non-negative and u2 0
n 
∴ s u n
2 1
n ≤ ∀
So, the sequence of partial seems {s2n
} is increasing and bounded above.
Hence, it is convergent.
∴ lim .
n
n
→∞
=
s l
2
Now compute the limit of odd partial sum.
Now s2n+1 n n
= + +
s u
2 2 1
∴ lim lim( )
n
n
n
2n 2n
→∞
+
→∞
+
= +
s s u
2 1 1
Since lim
n
u
→∞
=
n 0 and lim ,
n
2n
→∞
=
s l lim ,
n
n
→∞
=
s l we have lim .
n
n
→∞
+ = + =
s l l
2 1 0
Since both even and odd partial sums converge to l, we have lim ,
n
n
→∞
=
s l and so the series is convergent.
When lim , lim lim
n
n
n
n
n
n
→∞ →∞ →∞
+
≠ ≠
u s s
0 2 2 1
∴ the given series is oscillatory.
Thus, in an alternating series if the terms are decreasing with lim ,
un = 0 then it is convergent. ■
WORKED EXAMPLES
EXAMPLE 1
Test the convergence of the series 1
1
2 2
1
3 3
1
4 4
2 1 2 1….
Solution.
The given series 1
1
2 2
1
3 3
1
4 4
− + − +… is an alternating series with
u
n n
n =
1
and u
n n
n+ =
+ +
1
1
1 1
( )
We know that ( )
n n n n
+ + 
1 1
⇒
1
1 1
1
( )
n n n n
+ +
 ⇒ u u n
n n N
+  ∀ ≥
1 .
M02_ENGINEERING_MATHEMATICS-I _XXXX_CH02.indd 47 5/12/2016 10:58:06 AM
2.48 ■ Engineering Mathematics
i.e., the terms are decreasing.
Now lim lim
n
n
n
→∞ →∞
= =
∞
=
u
n n
1 1
0
Hence, by Leibnitz’s test, the given alternating series is convergent.
EXAMPLE 2
Test the convergence of the series
( )
.
2
2
2
5
1
2 1
1
1
n
n
n
n
⎛
⎝
⎜
⎞
⎠
⎟
∞
∑
Solution.
The given series ( )
−
−
−
=
∞
∑ 1
2 1
1
1
n
n
n
n
= − + − +
1
2
3
3
5
4
7
… is an alternating series with
u
n
n
u
n
n
n
n
n n
and
=
−
=
+
+ −
=
+
+
+
2 1
1
2 1 1
1
2 1
1
( )
∴ u u
n
n
n
n
n n n n
n n
n
n n
+ − =
+
+
−
−
=
+ − − +
+ −
=
+
1
2
1
2 1 2 1
1 2 1 2 1
2 1 2 1
2
( )( ) ( )
( )( )
n
n n n
n n
n
− − +
−
= −
−
 ∈
1 2
4 1
1
4 1
0
2
2 2
( )
∀ N
∴ u u n
n n N
+  ∀ ∈
1 .
That is the terms are decreasing
and lim lim lim .
n
n
n n
→∞ →∞ →∞
=
−
=
−
⎛
⎝
⎜
⎞
⎠
⎟
= ≠
u
n
n
n
2 1
1
2
1
1
2
0
∴ the given series is not convergent, but it is oscillatory.
EXAMPLE 3
Discuss the convergence of the series
x
x
x
x
x
x
1 1 1
2
2
3
3
1
2
1
1
1
2
x
x
x
4
4
1
0 1
1
1…∞  
, .
Solution.
The given series x
x
x
x
x
x
x
x
1 1 1 1
2
2
3
3
4
4
+
−
+
+
+
−
+
+…
is an alternating series with u
x
x
n
n
n
=
+
1
and u
x
x
n
n
n
+
+
+
=
+
1
1
1
1
∴ u u
x
x
x
x
x x x x
x
n n
n
n
n
n
n n n n
n
+
+
+
+ +
+
− =
+
−
+
=
+ − +
+ +
1
1
1
1 1
1
1 1
1 1
1 1
( ) ( )
( )( x
xn
)
M02_ENGINEERING_MATHEMATICS-I _XXXX_CH02.indd 48 5/12/2016 10:58:12 AM
Sequences and Series ■ 2.49
x x x x x x
x x
x x
x
n n n n n n
n n
n n
n
( )( )
( )
=
+ ⋅ − − ⋅
+ +
=
−
+
+ + +
+
+
+
1 1 1
1
1
1
1 1
1 (
( )
( )
( )( )
1
1
1 1
0
1
+
=
−
+ +

+
x
x x
x x
n
n
n n
[ ]
{ 0  x x
 ⇒ − 
1 1 0
∴ u u n
n n N
+  ∀ ∈
1
That is the terms are decreasing
and lim lim
n
n
n
n
n
→∞ →∞
=
+
=
u
x
x
1
0 [ , ]
{ 0 1 0
  → → ∞
x x n
n
as
∴ by Leibnitz’s test, the given series is convergent.
EXAMPLE 4
Test the convergence of ( )
( )
.
2
1
1
5
1
1
1
2
3
1
n
n
n
n
( )
⎛
⎝
⎜
⎞
⎠
⎟
∞
∑
Solution.
The given series is −
+
+
+
+
+
−
+
+
+ = −
+
+
−
+
+
+
+
+
1 1
1 1
1 2
1 2
1 3
1 3
1 1
1 1
1 2
1 2
1 3
1 3
2
3
2
3
2
3
2
3
2
3
2
... 3
3
−
⎛
⎝
⎜
⎞
⎠
⎟
...
Consider, the series is
1 1
1 1
1 2
1 2
1 3
1 3
1 4
1 4
1 5
1 5
2
3
2
3
2
3
2
3
2
3
+
+
−
+
+
+
+
+
−
+
+
+
+
+
+…
It is an alternating series with
u
n
n
n =
+
+
1
1
2
3
and u
n
n
n+ =
+ +
+ +
1
2
3
1 1
1 1
( )
( )
=
+ +
+ + +
n n
n n n
2
3 2
2 2
3 3 2
∴ u u
n n
n n n
n
n
n n n n
n n
+ − =
+ +
+ + +
−
+
+
=
+ + + − +
1
2
3 2
2
3
3 2 2
2 2
3 3 2
1
1
1 2 2 1
( )( ) ( )(
( )
( )( )
(
n n n
n n n n
n n n n n n n
3 2
3 3 2
3 5 4 3 3
3 3 2
1 3 3 2
2 2 2 2
+ + +
+ + + +
=
+ + + + + − + 3
3 3 2 3 3 2
1 3 3 2
2 4
2 5 4 3 2
3 3 2
4 3 2
n n n n n n
n n n n
n n n
+ + + + + +
+ + + +
= −
+ + +
)
( )( )
( n
n
n n n n
)
( )( )
1 3 3 2
0
3 3 2
+ + + +

∴ u u n
n n
+  ∀ ≥
1 1.
So, the terms are decreasing.
and lim lim lim
n
n
n n
→∞ →∞ →∞
=
+
+
⎛
⎝
⎜
⎞
⎠
⎟ =
+
⎛
⎝
⎜
⎞
⎠
⎟
+
⎛
⎝
u
n
n
n
n
n
n
1
1
1
1
1
1
2
3
2
2
3
3
⎜
⎜
⎞
⎠
⎟
=
+
+
⎛
⎝
⎜
⎞
⎠
⎟
=
∞
=
→∞
lim
n
1
1
1
1
1
0
2
3
n
n
n
∴ by Leibnitz’s test, the given series is convergent.
[ ]
{ n is positive
M02_ENGINEERING_MATHEMATICS-I _XXXX_CH02.indd 49 5/12/2016 10:58:17 AM
2.50 ■ Engineering Mathematics
2.5 SERIES OF POSITIVE AND NEGATIVE TERMS
Let u u u u
1 2 3
+ + + + +
… …
n
be a series containing both positive and negative terms.
That is ui
’s may be positive or negative.
Alternating series is a special case of series with positive and negative terms.
Example
1
1
2
1
4
1
3
1
6
1
8
1
5
− − + − − + −… is a series with positive and negative terms.
2.5.1 Absolute Convergence and Conditional Convergence
Definition 2.14 Let ∑un be a series of positive and negative terms. The series ∑un is said to be abso-
lutely convergent if the series ∑ un is convergent, where un is the absolute value of un
.
The series ∑un is said to be conditionally convergent if it is convergent but not absolutely
convergent.
EXAMPLE 1
The series 1
1
2
1
3
1
4
3 3 3
− + − +… is absolutely convergent because the series of absolute terms,
∑ = + + + +
un 1
1
2
1
3
1
4
3 3 3
… is convergent, by p-series ({ p = 3  1)
EXAMPLE 2
The series 1
1
2
1
3
1
4
− + − + ∞
… is convergent by Leibnitz’s test. But the series of absolute values,
∑ = + + + + ∞
un 1
1
2
1
3
1
4
… is divergent by p-series ({ p = 1).
So, 1
1
2
1
3
1
4
− + − + ∞
… is conditionally convergent.
Results:
1. A series ∑un which is absolutely convergent is itself convergent, but the converse is not true.
2. In an absolute convergent series, the series formed by the positive terms alone is convergent and
the series formed by negative terms alone is convergent.
3. If the terms of an absolutely convergent series is rearranged the series remains convergent and its
sum is unaltered.
2.5.2 Tests for Absolute Convergence
The test for series of positive terms is used for testing absolute convergence because ∑ un is a series
of positive terms.
1. Comparison test: If lim ( )
n
n
n
→∞
= ≠
u
v
l 0 then ∑ un and ∑vn behave alike.
where ∑vn is an auxiliary series of positive terms.
M02_ENGINEERING_MATHEMATICS-I _XXXX_CH02.indd 50 5/12/2016 10:58:23 AM
Sequences and Series ■ 2.51
If ∑vn is convergent, then ∑ un is convergent.
If ∑vn is divergent, then ∑ un is divergent.
2. De’Alembert’s ratio test
If lim ,
n
n
n
→∞
+
=
u
u
l
1
then ∑ un is convergent if l  1 and divergent if l 1. The test fails if l = 1.
3. Cauchy’s root test: If lim ,
n
n
n
→∞
=
u l
1
then ∑ un is convergent if l 1 and divergent if l 1.
The test fails if l = 1
Most cases can be tackled with comparison test and ratio test.
WORKED EXAMPLES
EXAMPLE 1
Prove that the series
sin sin sin
x x x
1
2
2
3
3
3 3 3
2 1 2… converges absolutely.
Solution.
Let the given series be ∑un
∴ ∑ = − + −
un
sin sin sin
,
x x x
1
2
2
3
3
3 3 3
…
The series of absolute terms is ∑ = + + +
u
x x x
n
sin sin sin
1
2
2
3
3
3 3 3
…
We know that sinnx n
≤ ∀ ∈
1 N ⇒
sinnx
n n
n
3 3
1
≤ ∀ ∈N
∴ ∑ ≤
=
∞
∑
u
n
n
n
1
3
1
.
But
1 1
1
1
2
1
3
3 3 3 3
1 n
= + + +
=
∞
∑ …
n
is convergent by p-series, since p = 
3 1.
∴ ∑ un is convergent by comparison test.
∴ the given series is absolutely convergent.
EXAMPLE 2
For what values of x, the series x
x x x
2 1 2 1
2 3 4
2 3 4
…∞ is convergent.
Solution.
Let the given series be ∑un .
∴ ∑ = − + − +
u x
x x x
n
2 3 4
2 3 4
…is a series of positive and negative terms.
M02_ENGINEERING_MATHEMATICS-I _XXXX_CH02.indd 51 5/12/2016 10:58:57 AM
2.52 ■ Engineering Mathematics
The series of absolute terms is
∴
∑ = + + + +
= =
+
+
+
u x
x x x
u
x
n
u
x
n
n
n
n
n
n
and
2 3 4
1
1
2 3 4
1
…
∴
u
u
x
n
n
x
n
n x n x
n
n
n
n
+
+
= ⋅
+
=
+
⋅ = + ⋅
1
1
1 1 1
1
1 1
∴ lim lim
n
n
n
n
→∞
+
→∞
= + ⋅
⎛
⎝
⎜
⎞
⎠
⎟ =
u
u n x x
1
1
1 1 1
∴ by ratio test, ∑ un is convergent if
1
1 1 1 1 0
x
x x x
 ⇒  ⇒ −   , ≠
when x = 0, trivially convegent
∴ the given series is absolutely convergent and hence, convergent if −  
1 1
x .
When x = 1, the series is
∑ = − + − +
un 1
1
2
1
3
1
4
…, which is an alternating series.
Here u
n
u
n
n n
and
= =
+
+
1 1
1
1
Clearly, n + 1  n ⇒ n n
+ 
1 ⇒
1
1
1
n n
n
+
 ∀ ∈N
⇒ u u n
n n N
+  ∀ ∈
1
So, the terms of the series are decreasing and lim lim
n
n
n
→∞ →∞
= =
u
n
1
0
Hence, by Leibnitz’s test, the series is convergent.
∴ the given series ∑un is convergent if −  ≤
1 1
x .
EXAMPLE 3
Show that the series ( )
2 1 2
5
1 1
2
1
n
n
n n
⎡
⎣
⎤
⎦
{ }
∞
∑ is conditionally convergent.
Solution.
The given series is
( )
− + −
⎡
⎣ ⎤
⎦
{ }= − + −
( )+ + −
( )− + −
( )+ + −
(
=
∞
∑ 1 1 1 1 1 2 1 2 3 1 3 4 1 4
2
1
2 2 2 2
n
n
n n )
)−
= + −
( )− + −
( )+ + −
( )− + −
( )+
{ }
…
− …
,
1 1 1 2 1 2 3 1 3 4 1 4
2 2 2 2
M02_ENGINEERING_MATHEMATICS-I _XXXX_CH02.indd 52 5/12/2016 10:59:04 AM
Sequences and Series ■ 2.53
which is an alternating series with
u n n
n n n n
n n
n = + − =
+ −
( ) + +
( )
+ +
( )
2
2 2
2
1
1 1
1
⇒ u
n n
n n n n
n =
+ −
+ +
=
+ +
2 2
2 2
1
1
1
1
(1)
∴ u
n n
n+ =
+ + + +
1 2
1
1 1 1
( ) ( )
It is obvious ( ) ( )
n n n n
+ + + +  + +
1 1 1 1
2 2
[{ n ≥ 1]
⇒
1
1 1 1
1
1
2 2
( ) ( )
n n n n
+ + + +

+ +
⇒ u u n
n n N
+  ∀ ∈
1
So, the terms of the series are decreasing
Now lim lim
n
n
n
→∞ →∞
=
+ +
=
∞
=
u
n n
1
1
1
0
2
∴ by Leibnitz’s test, the series is convergent.
To test the conditional convergence of the given series ∑un , we test the convergence of the series
∑ un of absolute terms
Now ∑ = − + −
{ } = + −
( )
=
∞
=
∞
∑ ∑
u n n n n
n
n
n n
( )
1 1 1
2
1
2
1
{ | |
( a 1
− =
⎡
⎣ ⎤
⎦
1) nd
n 2
1 0
n + − 
n
∴ u n n
n n
n
n
n n
n
n = + − =
+ +
=
+ +
=
+ +
⎧
⎨
⎩
⎫
⎬
⎭
2
2
2 2
1
1
1
1
1
1
1
1
1
1
[from (1)]
Take v
n
n =
1
∴
u
v
n
n
n
n
n
n
=
+ +
⎧
⎨
⎩
⎫
⎬
⎭
× =
+ +
1
1
1
1
1
1
1
1
2 2
∴ lim lim ( )
n
n
n
n
→∞ →∞
=
+ +
= ≠
u
v n
1
1 1
1
2
0
2
But ∑ = ∑
v
n
n
1
is divergent by p-series, since p = 1
∴ by comparison test, ∑ un is divergent.
Thus, ∑un is convergent and ∑ un is divergent.
Hence, the given series ∑un is conditionally convergent.
M02_ENGINEERING_MATHEMATICS-I _XXXX_CH02.indd 53 5/12/2016 10:59:11 AM
2.54 ■ Engineering Mathematics
EXAMPLE 4
Test whether the series is conditionally convergent or not.
1
2
1 2
3
1 2 3
4
1 2 3 4
5
3 3 3 3
2
1
1
1 1
2
1 1 1
1…∞.
Solution.
The given series is
1
2
1 2
3
1 2 3
4
3 3 3
−
+
+
+ +
−…,
which is an alternating series with
u
n
n
n n
n
n
n
n =
+ + + +
+
=
+
+
=
+
1 2 3
1
1
2 1 2 1
3 3 2
…
( )
( )
( ) ( )
(1)
and u
n
n
n
n
n+ =
+
+ +
=
+
+
1 2 2
1
2 1 1
1
2 2
( ) ( )
(2)
∴ u u
n
n
n
n
n n
+ − =
+
+
−
+
1 2 2
1
2 2 2 1
( ) ( )
=
+ − +
+ +
=
+ + + − + +
+
( ) ( )
( ) ( )
( )
( )
n n n
n n
n n n n n n
n
1 2
2 1 2
3 3 1 4 4
2 1
3 2
2 2
3 2 2
2
(
( )
( ) ( )
( )
( ) ( )
n
n n
n n
n n
n n
n
+
=
− − +
+ +
=
− + −
+ +
 ∀ ∈
2
1
2 1 2
1
2 1 2
0
2
2
2 2
2
2 2
N
∴ u u n
n n N
+  ∀ ∈
1
∴ the terms of the given series ∑un are decreasing
and lim lim
( )
lim
n
n
n n
→∞ →∞ →∞
=
+
=
+
⎛
⎝
⎜
⎞
⎠
⎟
=
∞
=
u
n
n
n
n
2 1
1
2 1
1
1
0
2 2
∴ by Leibnitz’s test, the series ∑un is convergent.
To test the conditional convergence of the given series ∑un, we test the convergence of the series ∑ un
of absolute terms.
∑ = +
+
+
+ +
+
un
1
2
1 2
3
1 2 3
4
3 3 3
…
u
n
n
n
n
n
n
n
n =
+
=
+
⎛
⎝
⎜
⎞
⎠
⎟
=
+
⎛
⎝
⎜
⎞
⎠
⎟
2 1
2 1
1
1
2 1
1
2
2
2 2
( )
[from(1)]
Take v
n
n =
1
∴ u
v
n
n
n
n
n
n
=
+
⎛
⎝
⎜
⎞
⎠
⎟
⋅ =
+
⎛
⎝
⎜
⎞
⎠
⎟
1
2 1
1
1
2 1
1
2
M02_ENGINEERING_MATHEMATICS-I _XXXX_CH02.indd 54 5/12/2016 10:59:16 AM
Sequences and Series ■ 2.55
∴ lim lim ( )
n
n
n
n
→∞ →∞
=
+
⎛
⎝
⎜
⎞
⎠
⎟
= ≠
u
v
n
1
2 1
1
1
2
0
∴ by comparison test, ∑ ∑
u v
n n
and behave alike.
But ∑ = ∑
v
n
n
1
is divergent by p-series, since p = 1
∴ ∑ un is divergent.
Thus, the series ∑un is convergent and ∑ un is divergent.
Hence, the given series ∑un is conditionally convergent.
EXERCISE 2.6
Test the nature of convergence of the following series
1. ( )
−
=
∞
∑ 1
1
1
n
n n
2.
( )
−
=
∞
∑
2
2
1
n
n n
3. ( )
!
−
=
∞
∑ 1
1
n
n
n
n
4.
( )
!
−
=
∞
∑
1
1
n
n n
5.
( )
−
−
−
=
∞
∑
1
2 1
1
0
n
n
n
n
6.
( )
−
+
=
∞
∑
1
1
0
n n
n
x
n
7. ( )
( )
−
+
=
∞
∑ 1
1
1
n
n
n
n
8.
( )
!
−
=
∞
∑
1
1
n n
n
x
n
9. x
x x x
− + − +
3 5 7
3 5 7
…
10.
( )
−
+
=
∞
∑
2
3 1
1
n
n
n n
11.
5
2
7
4
9
6
11
8
13
10
− + − + −…
12. Discuss the convergence of the series
1
1 2
1
3 4
1
5 6
1
7 8
⋅
−
⋅
+
⋅
−
⋅
+….
13. Discuss the convergence of the series 1 2 3 4
2 3
− + − + ∞
x x x … , 0
1
2
 
x .
14. Test the series ( )
−
+
=
∞
∑ 1
4
2
1
n
n
n
n
for absolute convergence and conditional convergence.
ANSWERS TO EXERCISE 2.6
1. Conditionally convergent 2. Divergent
3. Convergent 4. Convergent
5. Oscillatory 6. Absolutely convergent for −  
1 1
x
7. Not convergent 8. Converges for all x
9. Converges if − ≤ ≤
1 1
x 10. Absolutely convergence
11. Not convergent 12. Convergent
13. Convergent 14. Condionally convergent
M02_ENGINEERING_MATHEMATICS-I _XXXX_CH02.indd 55 5/12/2016 10:59:24 AM
2.56 ■ Engineering Mathematics
We shall now test the convergence of some important series.
1. Binomial series
2. Exponential series
3. Logarithmic series
2.6 CONVERGENCE OF BINOMIAL SERIES
The binomial series 1
1
1
2
1 2
3
1 2 1
2 3
+ +
−
+
− −
+ +
− − − +
n
x
n n
x
n n n
x
n n n n r
r
x
!
( )
!
( )( )
!
( )( ) ( )
!
…
… r
r
+ ∞
…
is absolutely convergent if | |
x 1.
Proof
Let the given series be denoted by ur
r=
∞
∑
1
[omitting the first term].
Then u
n n n n r
r
x
r
r
=
− − − +
( )( ) ( )
!
1 2 1
…
and u
n n n n r n r
r
x
r
r
+
+
=
− − − + −
+
1
1
1 2 1
1
( )( ) ( )( )
( )!
…
∴ u
u
r
n r x
r
r+
=
+
−
⋅
1
1 1 (1)
u
u
r
n r x
r
n
r
x
r
r+
=
+
−
⋅ =
+
−
⋅
1
1 1 1
1
1
1
∴ lim lim
r
r
r
r
→∞
+
→∞
=
+
−
= − =
u
u
r
n
r
x x x
1
1
1
1
1
1
1 1
∴ by the ratio test, the series is convergent if
1
1 1
x
x
 ⇒  and divergent if
1
1 1
x
x
 ⇒  .
When x = 1, the test fails.
When x = 1, u
u
r
n r
r
r+
=
+
−
1
1
=
+
−
1
1
1
r
n
r
[using(1)]
∴ lim lim
r
r
r
r
→∞
+
→∞
=
+
−
=
−
= − 
u
u
r
n
r
1
1
1
1
1
1
1 1
∴ by ratio test, the series is divergent when x = 1.
∴ the binomial series is absolutely convergent if x 1. ■
M02_ENGINEERING_MATHEMATICS-I _XXXX_CH02.indd 56 5/12/2016 10:59:29 AM
Sequences and Series ■ 2.57
Note The sum of the binomial series is (1 + x)n
.
∴ ( )
!
( )
!
( )( )
( )( ) (
1 1
1
1
2
1 2
3
1 2
2 3
+ = + +
−
+
− +
+ +
− − −
x
nx n n
x
n n n
x
n n n n r
n
…
… +
+
+
1)
!
r
xr … if x 1
2.7 CONVERGENCE OF THE EXPONENTIAL SERIES
The exponential series 1
1 2 3
2 3
+ + + + + + ∞
x x x x
n
! ! ! !
… …
n
converges absolutely for all values of x.
Proof
Let the given series be denoted by un
n=
∞
∑
1
[omitting the first term]
Then u
x
n
u
x
n
n
n
n
n
and
= =
+
+
+
! ( )!
1
1
1
∴
u
u
x
n
n
x
x
n
n
n
n
n
+
=
+
⋅ =
1
1
1 1
+
+
( )!
!
∴
u
u
x
n
x
n
n
n
+
=
+
=
+
1
1 1
∴ lim lim
n
n
n
n
R
→∞
+
→∞
=
+
= ∀ ∈
u
u
x
n
x
1
1
0
Here l 1 and so the series ∑un is absolutely convergent for all x ∈R.
Hence, the exponential series is convergent for all values of x ∈R. ■
Note The sum of the exponential series is ex
.
∴ e
x x x x
n
x
x
n
R
= + + + + + + ∞ ∀ ∈
1
1 2 3
2 3
! ! ! !
… …
2.8 CONVERGENCE OF THE LOGARITHMIC SERIES
The logarithmic series x
x x x x
n
− + − + +
−
+
2 3 4
2 3 4
1
… …
( )n n
is convergent for all values of x in
−  ≤
1 1
x .
Proof
Let the given series be ∑un.
∴ ∑ = − + − +
u x
x x x
n
2 3 4
2 3 4
…
Now the series of absolute terms is
∑ = + + + +
u x
x x x
n
2 3 4
2 3 4
…
M02_ENGINEERING_MATHEMATICS-I _XXXX_CH02.indd 57 5/12/2016 10:59:41 AM
2.58 ■ Engineering Mathematics
∴ u
x
n
u
x
n
n
n
n
n
and
= =
+
+
+
1
1
1
∴
u
u
u
u
x
n
n
x
n
n x
n
n
n
n
n
n
+ +
+
= = ⋅
+
=
+
⋅
1 1
1
1 1 1
∴ lim lim lim
n
n
n
n n
→∞
+
→∞ →∞
=
+
⎛
⎝
⎜
⎞
⎠
⎟ ⋅
⎧
⎨
⎩
⎫
⎬
⎭
= +
⎛
⎝
⎜
⎞
⎠
⎟ ⋅
u
u
n
n x n x
1
1 1
1
1 1
⎧
⎧
⎨
⎩
⎫
⎬
⎭
=
1
x
∴ by ratio test, the series ∑ un is convergent if
1
1
x
x
 ⇒  1 and divergent if
1
1 1
x
x
 ⇒  .
∴ the series ∑un is absolutely convergent if x x
 ⇒ −  
1 1 1.
Hence, the series is convergent if −  
1 1
x .
When x = 1, the series is 1
1
2
1
3
1
4
− + − +… (1)
It is an alternating series with u
n
u
n
n n
and
= =
+
+
1 1
1
1
Now n n
+ 
1 ⇒
1
1
1
n n
n
+
 ∀  N ⇒ u u n
n n N
+  ∀ ∈
1 .
So, the terms of the series are decreasing and lim lim
n
n
n
→∞ →∞
= =
u
n
1
0
∴ by Leibnitz’s test the series (1) is convergent.
∴ the logarithmic series
x
x x x
− + − + ∞
2 3 4
2 3 4
… is convergent if −  ≤
1 1
x . ■
Note The sum of the series is log ( )
e 1+ x
∴ log ( ) ,
e 1
2 3 4
1 1
2 3 4
+ = − + − + ∞ −  ≤
x x
x x x
x
…
and when x = 1, loge 2 1
1
2
1
3
1
4
= − + − +…
2.9 POWER SERIES
Definition 2.15 Real Power Series A series of the form a a x a x
0 1 2
2
+ + + +
… a x
n
n
+ … is called a real
power series, where a a a a
0 1 2
, , , , ,
… …
n
are real coefficients independent of x and x is a real variable.
The power series is written as a x
n
n
n=
∞
∑
0
Binomial series, exponential series and logarithmic series are few special power series.
A more general form of the power series is
M02_ENGINEERING_MATHEMATICS-I _XXXX_CH02.indd 58 5/12/2016 10:59:52 AM
Sequences and Series ■ 2.59
a x a a a x a
n
n
n
( ) ( )
− = + − +
=
∞
∑
0
0 1
a x a a x a
2
2
( ) ( )
− + + − +
… …
n
n
It is called a power series in (x − a) [or about the point a], where a0
, a1
, a2
, , … are real numbers and
x is a real variable.
Definition 2.16 Radius of Convergence of a Power Series
The power series a x
n
n
n=
∞
∑
0
is said to have radius of convergence R if the series converges for all x
satisfying x x
 −  
R i.e., R R
( ).
This interval is called the interval of convergence of the power series.
2.9.1 Hadmard’s Formula
Theorem 2.2 Consider the power series a x
n
n
n
=
∞
∑
0
. If lim ,
n
n
n
R
→∞
=
a
1
1
then the power series will converge
absolutely if x  R and diverge if x  R
lim
n
n
n
R
→∞
=
a
1
1
is known as Hadmard’s formula.
Proof
Let the given power series be ∑ =
=
∞
∑
u a x
n n
n
n
0
. Then u a x
n n
n
=
⇒
u a x a x
u a x a x
n n
n
n
n
n
n
n
n n n
n
n
= =
= ⋅ = ⋅
1 1 1 1
∴ lim lim .
n
n
n
n
n
n
R
→∞ →∞
= =
u a x x
1 1
1
{ lim a
R
n
n
1
1
=
⎡
⎣
⎢
⎤
⎦
⎥
∴ by Cauchy’s root test, the series ∑ un is convergent if
x
x
R
R
 ⇒ 
1
and divergent if
x
x
R
R
 ⇒ 
1 .
∴ ∑un is absolutely convergent if x  R
∴ the power series a x
n
n
n=
∞
∑
0
converges absolutely if x  R.
That is, the power series converges in the interval −  
R R
x . ■
Note
1. The interval (−R, R) is called the interval of convergence of the power series.
At the end points x = −R and x = R, the power series may or may not converge.
∴
M02_ENGINEERING_MATHEMATICS-I _XXXX_CH02.indd 59 5/12/2016 10:59:59 AM
2.60 ■ Engineering Mathematics
2. If lim ,
n
n
n
→∞
=
a
1
0 then
1
0
R
R
= ⇒ = ∞
So, the power series a x
n
n
n
=
∞
∑
0
converges absolutely for all real values of x.
3. If lim ,
n
n
n then
R
R
→∞
= ∞ = ∞ ⇒ =
a
1
1
0
∴ the power series a x
n
n
n
=
∞
∑
0
will converge only at the point x = 0
4. We know that lim lim
n
n
n
n
n
n
→∞ →∞
+
=
a
a
a
1
1
if the right hand side limit exists.
∴
1 1
R n
n
n
=
→∞
+
lim
a
a
⇒ lim
n
n
n
R
→∞
+
=
a
a 1
(1)
So, the radius of convergence of a power series can also be obtained by using (1) whenever this
limit could be easily evaluated.
2.9.2 Properties of Power Series
The power series is very useful and convenient to deal with, because within the interval of convergence
it can be treated as a polynomial.
It has the following properties.
1. A power series a x
n
n
n=
∞
∑
0
may be differentiated term by term. The resulting series na x
n
n
n
−
=
∞
∑ 1
1
and
the given series will have the same radius of convergence.
2. A power series a x
n
n
n=
∞
∑
0
can be integrated term by term.
3. Two power series a x b x
n
n
n
n
n
n
and
=
∞
=
∞
∑ ∑
0 0
may be added, subtracted and multiplied. The resultant
series converges in the common interval of convergence.
4. We can divide one power series by another power series if the denominator series is not zero at
x = 0.
If f x a x x
( ) , ( , )
= ∈ −
=
∞
∑ n
n
n
R R
0
and g y b y g y
( ) , ( ) ( , ),
= ∈ −
=
∞
∑ n
n
n
R R
0
then we can substitute g(y) for x. That is we can substitute one power series in another.
5. The power series expansion of a function is unique.
WORKED EXAMPLES
EXAMPLE 1
Find the radius of convergence and interval of convergence of the series
n
n
x
!
.
n
n
n
=
∞
∑
0
M02_ENGINEERING_MATHEMATICS-I _XXXX_CH02.indd 60 5/12/2016 11:00:04 AM
Sequences and Series ■ 2.61
Solution.
Let the given power series be a x
n
n
n=
∞
∑
0
∴ a x
n
n
x
n
n
n
n
n
n
=
∞
=
∞
∑ ∑
=
0 0
!
Here a
n
n
a
n
n
n n n n
and
= =
+
+
+ +
! ( )!
( )
1 1
1
1
∴
a
a
n
n
n
n
n n
n n
n
n
n
n
n
n n
n
n
+
+
= ⋅
+
+
=
+ +
+
=
+
⎛
⎝
⎜
⎞
⎠
⎟ =
1
1
1
1
1 1
1
1
! ( )
( )!
( )( )
( )
1
1
1
+
⎛
⎝
⎜
⎞
⎠
⎟
n
n
∴ the radius of convergence is R
n
n
n
=
→∞
+
lim
a
a 1
= +
⎛
⎝
⎜
⎞
⎠
⎟ =
→∞
lim
n
n
1
1
n
e
So, the interval of convergence is −  
e x e.
EXAMPLE 2
Find the region of convergence of the series
x
x x x
2 1 2 1 1
2
2
3
2
4
2
5
2 3 4 52
x …∞.
Solution.
Let the given power series be a x
n
n
n=
∞
∑
1
∴ a x
x x x x x
n
n
n=
∞
∑ = − + − + − ∞
1
2
2
2
3
2
4
2
5
2
1 2 3 4 5
…
Here a
n
a
n
n
n
n
n
=
−
=
−
+
−
+
( ) ( )
( )
1 1
1
1
2 1 2
and
∴ a
a n
n n
n
n
n
n
n
+
−
=
−
⋅
+
−
= −
+
⎡
⎣
⎢
⎤
⎦
⎥
1
1
2
2 2
1
1
1
( ) ( )
( )
a
a
n
n
n
n n
n
n+
= −
+
⎛
⎝
⎜
⎞
⎠
⎟ =
+
⎡
⎣
⎢
⎤
⎦
⎥ = +
⎡
⎣
⎢
⎤
⎦
⎥
1
2 2 2
1 1
1
1
∴ the radius of convergence is R
n n
= = +
⎛
⎝
⎜
⎞
⎠
⎟ =
→∞
+
→∞
lim lim
a
a n
n
n 2
2
1
1
1
∴ the series converges in −  
1 1
x
Now we test the convergence of the series at the end points.
When x = 1, the series is 1
1
2
1
3
1
4
2 2 2
− + − +…
It is an alternating series with u
n
n =
1
2
and the terms are decreasing
Now lim lim
n
n
n
→∞ →∞
= =
u
n
1
0
2
M02_ENGINEERING_MATHEMATICS-I _XXXX_CH02.indd 61 5/12/2016 11:00:12 AM
2.62 ■ Engineering Mathematics
∴ by Leibnitz’s test, the series is convergent.
When x = −1, the series is
− − − − − = − + + + +
⎛
⎝
⎜
⎞
⎠
⎟
1
1
2
1
3
1
4
1
1
2
1
3
1
4
2 2 2 2 2 2
… …
This series is convergent by p-series, since p = 2  1
Hence, the region of convergence for the given power series is −1 ≤ x ≤ 1.
EXAMPLE 3
Find the radius of convergence of the series
( )
21
8
3
0
n
n
n
n
x
⎛
⎝
⎜
⎞
⎠
⎟
=
∞
∑ and the interval of convergence.
Solution.
The given series is
( )
−
= − + − +
=
∞
∑
1
8
1
8 8 8
3 3
0
6
2
9
3
n n
n
n
x x x x …
Put y x
= 3
(to reduce to usual form)
∴ the series is 1
8 8 8
2
2
3
3
− + − +
y y y …
which is a power series in y with a a
n
n
n n
n
n
=
−
=
−
+
+
+
( ) ( )
1
8
1
8
1
1
1
and
∴ a
a
n
n
n
n
n
n
+
+
+
=
−
×
−
= −
1
1
1
1
8
8
1
8
( )
( )
∴ a
a
n
n+
= − =
1
8 8
∴ the radius of convergence of the series in y is
R = = =
→∞
+
→∞
lim lim
n
n
n
n
a
a 1
8 8
∴ the power series in y converges in the interval −  
8 8
y
Now we test the convergence of the series at the end points
When y = 8, the series in y becomes
1 1 1 1 1
− + − + − ∞
… , which is not convergent (it oscillates between −1 and 1)
When y = −8, the series in y becomes
1 1 1 1
+ + + + ∞
… , which is not convergent.
Hence, the power series in y is not convergent at the end points
∴ the interval of convergence for the power series in y is
−8  y  8 ⇒ −  
8 8
3
x ⇒ −  
2 2
x [ ]
{ y x
= 3
∴ the interval of convergence of the given series is −  
2 2
x
and the radius of convergence is 2.
M02_ENGINEERING_MATHEMATICS-I _XXXX_CH02.indd 62 5/12/2016 11:00:17 AM
Sequences and Series ■ 2.63
EXAMPLE 4
Find the interval of convergence of the series
( )
.
x 1 2
5
2 1
1
n
n n
∞
∑
Solution.
The given series is
( ) ( ) ( ) ( )
x
n
x x x x
n
+
= +
+
+
+
+
+
+ +
+
+
+
−
=
∞
∑
2
1
2
2
2
3
2
4
2
1
1
1
2 3
n
n
n
… …
Put y x
= + 2, then the series becomes 1
2 3 4 1
2 3
+ + + + +
+
+
y y y y
n
… …
n
This is a power series in y.
Here a
n
a
n
n n
=
+
=
+
+
1
1
1
2
1
and
∴
a
a n
n
n
n
n
n
n
n+
=
+
× + =
+
+
=
+
+
1
1
1
2
2
1
1
2
1
1
∴
a
a
n
n
n
n
n
n+
=
+
+
=
+
+
1
1
2
1
1
1
2
1
1
∴ the radius of convergence of the series in y is
R = =
+
+
=
→∞
+
→∞
lim lim
n
n
n
n
a
a
n
n
1
1
2
1
1
1
∴ the power series in y converges in the interval −  
1 1
y
Now, we shall test the convergence of the series at the end points.
When y = 1, the series becomes 1
1
2
1
3
1
1
+ + + +
+
+
… …
n
This is divergent by p-series, since p = 
1
2
1
When y = −1, the series becomes
1
1
2
1
3
1
4
− + − + ∞
… .
This is an alternating series with u
n
n =
1
and the terms are decreasing.
M02_ENGINEERING_MATHEMATICS-I _XXXX_CH02.indd 63 5/12/2016 11:00:22 AM
2.64 ■ Engineering Mathematics
Now lim lim
n
n
n
→∞ →∞
= =
∞
=
u
n
1 1
0
∴ by Leibnitz’s test the series is convergent, if y = −1.
∴ the interval of convergence of the power series in y is
− ≤
1 1
y  ⇒ − ≤ +  ⇒ − ≤  −
1 2 1 3 1
x x
∴ the interval of convergence of the given series is − ≤  −
3 1
x and the radius of convergence = 1,
since the centre is −2
EXAMPLE 5
Convert the series
( ) ( )
2 1
5
2 2 1
1
n n
2
n
x
n
⎛
⎝
⎜
⎞
⎠
⎟
∞
∑ into a power series and then find (i) the radius of
convergence and (ii) the interval of convergence.
Solution.
The given series is
( )
( )
( )
( )
−
+
= − + +
+
−
=
∞
∑ 2
2 1
2 2 1 4
2 1
2
2
2
2
1
n
n
n
x
n
x
x 8 2 1
3
3
2
( )
x +
+…
Put y x
= +
2 1, then the series is ( )
− = − + − +
=
∞
∑ 2 2
4
2
8
3
2
2
2
3
2
1
n
n
n
y
n
y
y y …
This is a power series in y.
Here a
n
a
n
n
n
n
n
and
=
−
=
−
+
( )
+
+
( ) ( )
2 2
1
2 1
1
2
∴ a
a n
n n
n n
n
n
n
n
+
+
=
−
×
+
−
= −
+
⎛
⎝
⎜
⎞
⎠
⎟ ⋅ = − +
⎡
⎣
⎢
⎤
⎦
⎥ ⋅
1
2
2
1
2 2
2 1
2
1 1
2
1
1
( ) ( )
( )
1
1
2
∴ a
a n n
n
n+
= − +
⎛
⎝
⎜
⎞
⎠
⎟ ⋅
⎛
⎝
⎜
⎞
⎠
⎟ = +
⎛
⎝
⎜
⎞
⎠
⎟ ⋅
1
2 2
1
1 1
2
1
1 1
2
∴ the radius of convergence of the series in y is
R
n
n
n
n
= = +
⎛
⎝
⎜
⎞
⎠
⎟ ⋅ =
→∞
+
→∞
lim lim
a
a n
1
2
1
1 1
2
1
2
∴ the power series in y converges in −  
1
2
1
2
y
Now we test the convergence of the series at the end points.
When y =
1
2
, the series becomes
M02_ENGINEERING_MATHEMATICS-I _XXXX_CH02.indd 64 5/12/2016 11:00:27 AM
Sequences and Series ■ 2.65
( ) ( )
−
⋅ =
−
= − + − + −
=
∞
=
∞
∑ ∑
2 1
2
1
1
1
2
1
3
1
4
2
1
2
1
2 2 2
n
n
n
n
n
n n
…
This is an alternating series with u
n
n =
1
2
and the terms are decreasing
Now lim lim
n
n
n
→∞ →∞
= =
∞
=
u
n
1 1
0
2
∴ by Leibnitz’s test the series is convergent.
When y = −
1
2
, the series becomes
( )
( )
−
⋅
−
= = + + + +
=
∞
=
∞
∑ ∑
2 1
2
1
1
1
2
1
3
1
4
2
1
2
1
2 2 2
n
n
n
n
n n
…
which is convergent by p-series, since p = 
2 1.
∴ the interval of convergence of the power series in y is
− ≤ ≤
1
2
1
2
y ⇒ − ≤ + ≤
1
2
2 1
1
2
x ⇒ − ≤ + ≤
1
4
1
2
1
4
x [dividing by 2]
⇒ − − ≤ ≤ −
1
2
1
4
1
4
1
2
x ⇒ − ≤ ≤ −
3
4
1
4
x
∴ the interval of convergence of the given series is − ≤ ≤ −
3
4
1
4
x
and the radius of convergence is
1
4
, since the centre is −
1
2
EXAMPLE 6
For what values of x, the series
1
1
1
2 1
1
3 1
1
4 1
2 3 4
2
1
2
1
2
1
2
1
x x x x
( ) ( ) ( )
…∞ converges.
Solution.
The given series is
1
1
1
2 1
1
3 1
1
4 1
2 3 4
−
+
−
+
−
+
−
+ ∞
x x x x
( ) ( ) ( )
…
It is defined if x ≠ 1.
Put y
x
=
−
1
1
, then the given series is
y
y y y
+ + + +
2 3 4
2 3 4
…
This is a power series in y.
Here a
n
a
n
n n
and
= =
+
+
1 1
1
1
M02_ENGINEERING_MATHEMATICS-I _XXXX_CH02.indd 65 5/12/2016 11:00:36 AM
2.66 ■ Engineering Mathematics
∴
a
a
n
n n
n
n+
=
+
= +
1
1
1
1
∴
a
a n n
n
n+
= + = +
1
1
1
1
1
∴ lim lim .
n
n
n
n
→∞
+
→∞
= +
⎛
⎝
⎜
⎞
⎠
⎟ =
a
a n
1
1
1
1
∴ the radius of convergence is R = =
→∞
+
lim
n
n
n
a
a 1
1
∴ the power series in y converges in −  
1 1
y .
Now, we test the convergence of the series at the end points.
When y = 1, the series becomes 1
1
2
1
3
1
4
+ + + +…, which is divergent;
When y = −1, the series becomes − + − + −
1
1
2
1
3
1
4
…
= − − + − +
⎡
⎣
⎢
⎤
⎦
⎥ = −
1
1
2
1
3
1
4
2
… loge
∴ the series is convergent if y = −1
∴ the interval of convergence of the power series in y is
− ≤
1 1
y  ⇒ − ≤
−

1
1
1
1
x
(1)
If x  1, then 1 – x  0.
∴ (1) ⇒ ( )( )
− − ≤  −
1 1 1 1
x x ⇒ x x
− ≤  −
1 1 1
∴ x x
− ≤  −
1 1 1 1
and ⇒ x x x
≤  ⇒ 
2 0 0
and
If x  1, then 1 − x  0.
∴ (1)⇒ ( )( )
− − ≥  −
1 1 1 1
x x ⇒ x x
− ≥  −
1 1 1
∴ x x
− ≥  −
1 1 1 1
and ⇒ x x x
≥  ⇒ ≥
2 0 2
and .
∴ the values of x for which the given series converges is x  0 or x ≥ 2.
EXERCISE 2.7
Find the radius of convergence and interval convergence of the following series (1 to 7)
1.
x
n
2
0
n
n !
=
∞
∑ 2.
2
3
0
2
⎛
⎝
⎜
⎞
⎠
⎟ ⋅
=
∞
∑
n
n
n
x 3.
( )!
2
2
0
n
x
n
n
n
=
∞
∑ ⋅
4. 1
1
1
1
2
2
+
⎛
⎝
⎜
⎞
⎠
⎟ ⋅ −
=
∞
∑ n
x
n
n
n
( ) 5.
( )
x
n
n
n
+
=
∞
∑
2
2
1
6.
( )
x
n
n
−
=
∞
∑
2
3
1
n
7. ( )
x
n
n
n
n
n
2 2
0
3
1
2
3
+ ⋅
+
=
∞
∑
M02_ENGINEERING_MATHEMATICS-I _XXXX_CH02.indd 66 5/12/2016 11:00:49 AM
Sequences and Series ■ 2.67
8. Find the radius of convergence and the interval of convergence and the behaviour at the end
points of the interval of convergence of the power series 1
2 3 4
− + − +
x x x x
a
a a a a
2 3 4
2 3 4
−…,  0.
9. Find the region of convergence of the series x
x x x
2 3 4
+ + + + ∞
2 3 4
… .
10. Find the radius of convergence and the interval of convergence of the series
( )
.
x n
n
n
−
=
∞
∑
3
3
2
0
11. Find the interval of convergence of the series
x
n
n
n
2
0
1
8
−
( )
⎛
⎝
⎜
⎞
⎠
⎟
⎡
⎣
⎢
⎤
⎦
⎥
=
∞
∑ by changing it into a power series.
12. Find the region of convergence of the series
( )
.
x
n
n
n
n
+
⋅
=
∞
∑
2
3
1
ANSWERS TO EXERCISE 2.7
1. R = ∞ − ∞   ∞
; x 2. R = −  
3
2
3
2
3
2
; x
3. R = −  
1
4
1
4
1
4
; x 4. R = −   +
1
1
1
1
1
e e
x
e
;
5. R = − ≤ ≤ −
1 3 1
; x 6. R = −  
3 1 5
; x
7. R = −  
5
2
5
2
5
2
; x 8. R = a, −a  x  a
9. R = 1, −1 ≤ x  1
10. R = 3, 3 − 3  x  3 + 3, since 3 is the centre.
11. R = 3, −3  x  3 12. −5 ≤ x  1, R = 3
SHORT ANSWER QUESTIONS
1. Examine the series 1
1
2
1
4
1
8
1 1 1 … for convergence.
2. The decimal representation of a number 0 ⋅d d d d
1 2 3 4
… is that
0 ⋅d d d d
d d d d
1 2 3 4
1 2
2
3
3
4
4
10 10 10 10
… …
5 1 1 1 1
where di
is one of the numbers 0, 1, 2, 3, … 9. Show that the series on the right hand side of equation is
always convergent.
3. Test the convergence of an infinite series whose nth
term is sin .
2 1
n
M02_ENGINEERING_MATHEMATICS-I _XXXX_CH02.indd 67 5/12/2016 11:00:56 AM
2.68 ■ Engineering Mathematics
4. Test the convergence of
n
n3
1 1
1
5
n
∞
∑ .
5. Test the convergence of the series
1
1 3
2
3 5 5 7
⋅ ⋅ ⋅
1 1 1
3 ….
6. Let un
n 51
∞
∑ be a series of positive terms with the property un+1
 un
; n ≥ 1. By an application of ratio
test, can we conclude that un
n 51
∞
∑ converges? Justify your answer.
7. Prove that the series
2
3
3
4
4
5
! ! !
1 1 1… is convergent.
8. Test the convergence of
n n
n
3
n 1
1
2 1
5 !
.
∑
9. Test the convergence of the series 1
2
2
3
3
4
4
1 1 1 1
p p p
! ! !
.
…
10. Is the series 1
1
2
1
3
1
4
2 1 2 1… absolutely convergent? or conditionally convergent?
11. Discuss the convergence of the series 2
3
2
4
3
5
4
2 1 2 1….
12. Test the convergence of the series
2
1
3
2
4
3
5
4
2 2 2 2
2 1 2 1…∞.
13. Test the convergence of the series 1
2
3
3
5
4
7
2 1 2 1….
14. Discuss the convergence of the series ( ) .
2
1
2
5
1
1
1
2
1
n
n
n
n
⎛
⎝
⎜
⎞
⎠
⎟
∞
∑
15. Discuss the convergence of the series 1
1
2
1
4
1
6
2 1 2 1
! ! !
.
…
16. Discuss the convergence of the series 1
1
2
1
3
1
4
2 2 2
2 1 2 1….
17. Discuss the convergence of the series
1
6
2
11
3
16
4
21
2 1 2 1….
18. Test the convergence of the series 5 4
2 2 1 2 2 1 2 2 1
1 5 4 1 5 4 1 …∞.
19. The series 2 5 3 2 5 3 2 5 3
2 1 1 2 1 1 2 1 1…∞ is convergent or not.
20. Test the convergence of the series 1
1
2
1
3
1
4
1
5
2 2 2 2
1 2 2 1 1
1
6
1
7
1
8
2 2 2
2 2 1…∞.
21. Test the convergence of the sequence
3 4
4 5
3 4
4 5
3 4
4 5
2 2
2 2
3 3
3 3
1
1
1
1
1
1
, , , .
…
M02_ENGINEERING_MATHEMATICS-I _XXXX_CH02.indd 68 5/12/2016 11:01:02 AM
Sequences and Series ■ 2.69
22. Test the convergence of the series
1
2 (log )
.
n n
n 5
∞
∑
23. Test the convergence of the series 1
1
2 2
1
3 3
1
4 4
2 1 2 1…∞.
OBJECTIVE TYPE QUESTIONS
A. Fill up the blanks
1. The series 1
1
3
1
9
1
27
+ + + +… is _____________.
2. The series 1 + 3 + 9 + 27 + … is _____________
3. If lim
n
n
u
→∞
≠ 0, then the series of positive terms un
∑ is _____________.
4. The series
1
1 2
2
3 4
3
5 6
. . .
+ + +… is _____________.
5.
1
1
1 n n
n + +
=
∞
∑ is _____________.
6. If un
n=
∞
1
∑ is a convergent series of positive terms, then lim
n
n
u
→∞
=_____________.
7. The series
1
2
1
3
1
4
1
5
− + − +… is _____________.
8. The series 1
1
2
1
4
1
6
− + − +…
! ! !
is _____________.
9. The series
1
1 2
1
3 4
1
5 6
1
7 8
. . . .
− + − +… is _____________.
10. The sequence
n n
n n
2
2
2
−
+
⎧
⎨
⎩
⎫
⎬
⎭
converges to _____________.
B. Choose the correct answer
1. The sequence {sn
}, where sn n
= + + + + +
1
1
2
1
2
1
2
2 1
… converges to
(a) 1 (b)
1
2
(c) 2 (d) 3
2. The sequence n n
n
+ −
{ } =
1
1
∞
converges to
(a) 0 (b) 1 (c)
1
2
(d) −1
3. The series 1
1
2
1
3
1
4
+ + + +… is
(a) convergent (b) divergent (c) oscillates (d) None of these
M02_ENGINEERING_MATHEMATICS-I _XXXX_CH02.indd 69 5/12/2016 11:01:08 AM
2.70 ■ Engineering Mathematics
4. The series
1
2
1
2 2
1
3 2
1
4 2
2 3 4
+ + + +
. . .
… is
(a) convergent (b) divergent
(c) oscillates (d) conditionally convergent
5. The series 1
1
3
1
5
1
7
1
9
− − −…
+ + is
(a) absolutely convergent (b) conditionally convergent
(c) not convergent (d) divergent
6. The series 1
1
2
1
4
1
8
1
16
− − −…
+ + is
(a) absolutely convergent (b) conditionally convergent
(c) divergent (d) None of these
7. The series
2
1
3
2
4
3
5
4
2 2 2 2
− − …
+ + is
(a) conditionally convergent (b) absolutely convergent
(c) not convergent (d) None of these
8. The series ( ) sin
−
∞
1
1
1
n
n n
=
∑ is
(a) absolutely convergent (b) not absolutely convergent
(c) not convergent (d) None of these
9. The series ( ) .
−
−
−
∑ 1
2 1
1
n n
n
is
(a) convergent (b) divergent
(c) absolutely convergent (d) conditionally convergent
10. The series
1
2
1
5
1
10
1
1 2
+ + + +
+
+
… …
n
is
(a) convergent (b) divergent
(c) conditionally convergent (d) None of these
ANSWERS
A. Fill up the blanks
1. convergent 2. divergent 3. divergent
4. divergent 5. divergent 6. 0
7. convergent 8. convergent 9. convergent 10. 1
B. Choose the correct answer
1. (a) 2. (a) 3. (b) 4. (a) 5. (b) 6. (a) 7. (b) 8. (b) 9. (b) 10. (a)
M02_ENGINEERING_MATHEMATICS-I _XXXX_CH02.indd 70 5/12/2016 11:01:10 AM
3.0 INTRODUCTION
Calculus is one of the remarkable achievements of the human intellect. It is a collection of fascinating
and exciting ideas rather than a technical tool.
Calculus has two main divisions namely differential calculus and integral calculus. They serve
to solve a variety of priblems that arise in science, engineering and other fields including social
sciences.
Differential calculus had its origin from the problem of tangent to a curve and integral calculus had
its origin from the problem of finding plane area. The concept of derivative which measure the rate of
change of a function is the central idea in differential calculus.
We assume that the reader is familiar with the basic concepts of limit, continuity and differentiability.
In this chapter we deal with successive differentiation, equation of tangent and normal, length of the
tangent, length of the normal, length of the sub-tangent and length of the sub-normal, Rolle’s theorem,
Mean value theorems, Taylor’s series, Maclaurin’s series, Indeterminate forms, Maxima and minima
and curve tracing.
Basic rules of differentiation
If u and v are differentiable functions of x, then
(1)
d
dx
ku k
du
dx
( ) ,
= where k is constant
(2)
d
dx
u v
du
dx
dv
dx
( )
± = ±
(3)
d
dx
u v u
dv
dx
v
du
dx
( )
⋅ = + [product rule]
(4)
d
dx
u
v
v
du
dx
u
dv
dx
v
⎛
⎝
⎜
⎞
⎠
⎟ =
−
2
[quotient rule]
(5)
d
dx
u v x
d
dv
u v x
dv
dx
[ ( ( ))] [ ( ( ))]
= ⋅ [composite function rule]
(6)
d
dx
k
( ) ,
= 0 where k is a constant.
3
Differential Calculus
M03_ENGINEERING_MATHEMATICS-I _CH03_Part A.indd 1 5/30/2016 7:06:49 PM
3.2 ■ Engineering Mathematics
3.1 SUCCESSIVE DIFFERENTIATION
Let y f x
= ( ) be a differentiable function of x. The derivative
dy
dx
is called the first derivative of y
w.r.to x.
In general, it is function of x.
The derivative of
dy
dx
is called the second derivative of y w.r.to x and it is denoted as
d y
dx
2
2
Thus,
d y
dx
d
dx
dy
dx
2
2
=
⎛
⎝
⎜
⎞
⎠
⎟ .
Similarly, the derivative of
d y
dx
3
3
is called the third derivative of y w.r.to x and it is denoted as
d y
dx
3
3
and
d y
dx
d
dx
d y
dx
3
3
2
2
=
⎛
⎝
⎜
⎞
⎠
⎟ and so on.
Now we state the basic formulae in differential calculus.
Function
y f x
= ( )
Derivative
dy
dx
f x
= ′( )
Function
y f x
= ( )
Derivative
dy
dx
f x
= ′( )
1. xn
nxn−1
12.
1
xn
− +
n
xn 1
2. loge x 1
x
13. sin−1
x
1
1 2
− x
3. ex
ex
14. cos−1
x −
−
1
1 2
x
4. sin x cos x 15. tan−1
x
1
1 2
+ x
5. cos x −sin x 16. ( )
ax b n
+ n ax b a
n
( )
+ ⋅
−1
6. tan x sec2
x 17. eax b
+
e a
ax b
+
⋅
7. sec x sec tan
x x 18. log ( )
e ax b
+
1
ax b
a
+
⋅
8. cosec x −cos cot
ecx x 19. cos( )
ax b
+ − + ⋅
sin( )
ax b a
9. cot x −cosec2
x 20. sin( )
ax b
+ cos( )
ax b a
+ ⋅
10. x
1
2 x
21. tan( )
ax b
+ sec ( )
2
ax b a
+ ⋅
11.
1
x
−
1
2
x
22. ax
a a
x
e
⋅log
M03_ENGINEERING_MATHEMATICS-I _CH03_Part A.indd 2 5/30/2016 7:06:57 PM
Differential Calculus ■ 3.3
The nth
differential coefficient of y w.r.to x is denoted by
d y
dx
d
dx
d y
dx
n
n
n
n
=
⎛
⎝
⎜
⎞
⎠
⎟
−
−
1
1
.
Thus, the successive derivative of y are
dy
dx
,
d y
dx
2
2
,
d y
dx
3
3
, …,
d y
dx
n
n
.
These derivatives are also denoted by
(1) y y yn
1 2
, ,… … or (2) Dy D y D y D y
n
, , , , ,
2 3
… …
where D
d
dx
D
d
dx
D
d
dx
n
n
n
= = =
, , , ,
2
2
2
… …
(3) f x f x f x f x
n
′ ″ ″′ …
( ), ( ), ( ), , ( )
( )
or (4) y y y y n
′ ″ ″′ …
, , , , .
( )
The process of finding second and higher order derivative is called successive differentiation.
For example: If y x
= 7
, then
dy
dx
x
d y
dx
d
dx
dy
dx
x x
d y
dx
d
dx
d y
dx
= =
⎛
⎝
⎜
⎞
⎠
⎟ = ⋅ =
=
⎛
7 7 6 42
6
2
2
5 5
3
3
2
2
, .
⎝
⎝
⎜
⎞
⎠
⎟ = = = ⋅ =
= ⋅ =
42 5 210 210 4 840
840 3 252
4 4
4
4
3 3
5
5
2
. ,
x x
d y
dx
x x
d y
dx
x 0
0 2520 2 5040
5040 0
2
6
6
7
7
8
8
x
d y
dx
x x
d y
dx
d y
dx
,
,
= × =
= =
and other higher derivatives vanish.
Note Let y x
= 3
∴
dy
dx
x
d y
dx
x
d y
dx
= = =
3 6 6
2
2
2
3
3
, ,
Now
dy
dx
x x
dy
dx
x x
⎛
⎝
⎜
⎞
⎠
⎟ = =
⎛
⎝
⎜
⎞
⎠
⎟ = =
2
2 2 4
3
2 3 6
3 9 3 27
( ) ( ) .
and
Hence, we find that,
d y
dx
dy
dx
d y
dx
dy
dx
2
2
2 3
3
3
≠
⎛
⎝
⎜
⎞
⎠
⎟ ≠
⎛
⎝
⎜
⎞
⎠
⎟
and
In general,
d y
dx
dy
dx
n
n
n
≠
⎛
⎝
⎜
⎞
⎠
⎟ .
WORKED EXAMPLES
EXAMPLE 1
Find the first two differential coefficients w.r.to x of x x.
2
cos
Solution.
Let y x x
= 2
cos
M03_ENGINEERING_MATHEMATICS-I _CH03_Part A.indd 3 5/30/2016 7:06:59 PM
3.4 ■ Engineering Mathematics
Differentiating w.r.to x,
dy
dx
x x x x x x x x
= − + ⋅ = − +
2 2
2 2
[ sin ] cos sin cos .
Again differentiating w.r.to x,
d y
dx
x x x x x x x
x x x x
2
2
2
2
2 2 1
2
= − + ⋅ + − + ⋅
= − −
[ cos sin ] [ ( sin ) cos ]
cos sin −
− + = − −
2 2 2 4
2
x x x x x x x
sin cos ( )cos sin .
EXAMPLE 2
If y e bx
ax
5 sin , then show that
d y
dx
a
dy
dx
a b y
2
2
2 2
2 ( ) 0.
2 1 1 5
Solution.
Given y e bx
ax
= sin
Differentiating w.r.to x,
dy
dx
e bx b bxe a e b bx a bx
ax ax ax
= ⋅ + ⋅ = +
cos sin [ cos sin ].
Again differentiating w.r.to x,
d y
dx
e b bx b a bx b b bx a bx e a
ax ax
2
2
= − + ⋅ + + ⋅
[ ( sin ) cos ] [ cos sin ]
= − + + +
= − +
e b bx ab bx ab bx a bx
e a b bx a
ax
ax
[ sin cos cos sin ]
[( )sin
2 2
2 2
2 b
b bx
cos ].
L H S
. . ( )
[( )sin cos ]
= − + +
= − + −
d y
dx
a
dy
dx
a b y
e a b bx ab bx a
ax
2
2
2 2
2 2
2
2 2 [
[ { cos sin }] ( ) sin
[ sin sin
e b bx a bx a b e bx
e a bx b bx
ax ax
ax
+ + +
= − +
2 2
2 2
2
2 2 2
0 0
2 2 2
ab bx ab bx a bx a bx b bx
eax
cos cos sin sin sin ]
− − + +
= × = = R.H.S.
.
EXAMPLE 3
If y x
5 2
cos ,
1
then show that (1 ) 0
2
2 1
2 2 5
x y xy .
Solution.
Given y x
= −
cos 1
Differentiating w.r.to x,
dy
dx x
= −
−
1
1 2
.
Squaring,
dy
dx x
⎛
⎝
⎜
⎞
⎠
⎟ =
−
2
2
1
1
⇒ y
x
1
2
2
1
1
=
−
⇒ ( ) .
1 1
2
1
2
− =
x y
Again differentiating w.r.to x,
( ) ( )
1 2 2 0
2
1 2 1
2
− + − =
x y y y x ⇒ ( ) .
1 0
2
2 1
− − =
x y xy [Dividing by 2y1
]
M03_ENGINEERING_MATHEMATICS-I _CH03_Part A.indd 4 5/30/2016 7:07:02 PM
Differential Calculus ■ 3.5
EXAMPLE 4
If y
x
x
5
log
2
, then show that x
d y
dx
x
d y
dx
x
dy
dx
y
3
3
3
2
2
2
6 4 4 0.
1 1 2 5
Solution.
Given y
x
x
e
=
log
2
.
Differentiating w.r.to x,
dy
dx
x
x
x x
x
x x x
x
x x
x
x
x
e
e e e
=
⋅ − ⋅
=
− ⋅
=
−
=
−
2
4 4 4
1
2 2 1 2 1 2
log log [ log ] log
3
3
.
Again differentiating w.r.to x,
d y
dx
x
x
x x
x
x x x
x
x
e
e
2
2
3 2
6
2 2
6
2
2
1 2 3
2 3 1 2
=
−
⎛
⎝
⎜
⎞
⎠
⎟ − −
=
− − −
=
( log )
( log ) [
[ log ] log
− +
=
−
5 6 6 5
6 4
e e
x
x
x
x
Again differentiating w.r.to x,
d y
dx
x
x
x x
x
x x x x
x
x
e
e
3
3
4 3
8
3 3 3
8
3
6
6 5 4
6 24 20 26 24
=
⋅ − −
=
− +
=
−
( log )
log [ l
log ] log
e e
x
x
x
x
8 5
26 24
=
−
∴ L.H.S = + + −
x
d y
dx
x
d y
dx
x
dy
dx
y
3
3
3
2
2
2
6 4 4
=
−
+
−
+
−
−
=
x x
x
x x
x
x x
x
x
x
e e e e
3
5
2
4 3 2
26 24 6 6 5 4 1 2
4
[ log ] [ log ] [ log ] log
2
26 24 6 6 5 4 1 2
4
1
26
2 2 2 2
2
−
+
−
+
−
−
= −
log ( log ) ( log ) log
[
e e e e
x
x
x
x
x
x
x
x
x
2
24 36 30 4 8 4
30 30 36 36
log log log log ]
log log
e e e e
e e
x x x x
x x
+ − + − −
=
− + −
x
x2
0
= = R.H.S.
EXAMPLE 5
If x a y b
5 u 5 u
cos sin
3 3
, then find
d y
dx
2
2
.
Solution.
Given x a y b
= =
cos sin
3 3
u u
and , which are parametric equations.
M03_ENGINEERING_MATHEMATICS-I _CH03_Part A.indd 5 5/30/2016 7:07:04 PM
3.6 ■ Engineering Mathematics
Differentiating w.r.to u, we get,
dx
d
a a
dy
d
b
u
u u u u
u
u u
= − = − =
3 3 3
2 2 2
cos ( sin ) cos sin sin cos .
and
∴ dy
dx
dy d
dx d
b
a
b
a
= =
−
= −
/
/
u
u
u u
u u
u
3
3
2
2
sin cos
cos sin
tan .
∴
d y
dx
d
dx
dy
dx
d
d
b
a
d
dx
b
a a
2
2
2 1
3
=
⎛
⎝
⎜
⎞
⎠
⎟ = −
⎛
⎝
⎜
⎞
⎠
⎟ = − ⋅
−
u
u
u
u
tan sec
cos2
2 2
4
3
u u
u u
sin
sec cos .
=
b
a
ec
EXAMPLE 6
If x 5 sin t and y 5 sin pt, then prove that (1 2 x2
)y2
2 xy1
1 p2
y 5 0.
Solution.
Given x = sin t (1) and y = sin pt (2)
Differentiating (1) and (2) w.r.to t, we get
dx
dt
t
dy
dt
p pt
= =
cos , cos
and
∴
dy
dx
dy dt
dx dt
p pt
t
= =
/
/
cos
cos
⇒ y
p pt
t
1 =
cos
cos
.
Squaring, y
p pt
t
1
2
2 2
2
=
cos
cos
=
−
−
=
−
−
p pt
pt
p y
x
2 2
2
2 2
2
1
1
1
1
( sin )
sin
( )
⇒ ( ) ( ).
1 1
2
1
2 2 2
− = −
x y p y
Differentiating w.r.to x,
( ) ( )
1 2 2 2
2
1 2 1
2 2
1
− + − = −
x y y y x p yy
Dividing by 2y1
, we get
( )
1 2
2 1
2
− − = −
x y xy p y ⇒ ( ) .
1 0
2
2 1
2
− − + =
x y xy p y
EXERCISE 3.1
1. If y e x
x
= −
cos , then prove that d y
dx
y
4
4
4 0
+ = .
2. If y x
= sin(sin ), then prove that d y
dx
x
dy
dx
y x
2
2
2
0
+ + =
tan cos .
3. If y Ax Bx
n n
= +
+ −
1
, then prove that x
d y
dx
n n y
2
2
2
1
= +
( ) .
4. If y Ae pt e
kt
= +
−
cos( ), then show that
d y
dt
x
dy
dt
n y
2
2
2
2 0
+ + = , where n p k
2 2 2
= + .
5. If y a x b x
= +
cos(log ) sin(log ), then show that x
d y
dx
x
dy
dx
y
2
2
2
0
+ + = .
6. If y
ax bx c
x
=
+ +
−
2
1
, then show that ( )
1 3
3 2
− =
x y y .
M03_ENGINEERING_MATHEMATICS-I _CH03_Part A.indd 6 5/30/2016 7:07:09 PM
Differential Calculus ■ 3.7
7. If x t
t
= +
⎛
⎝
⎜
⎞
⎠
⎟
1
, y t
t
= −
⎛
⎝
⎜
⎞
⎠
⎟
1
2
1
, then prove that
d y
dx
t
t
2
2
3
2 3
2
1
=
−
( )
.
8. If y x
= −
(sin )
1 2
, then show that ( )
1 2 0
2
2
2
− − − =
x
d y
dx
x
dy
dx
.
9. If y x
= −
(tan )
1 2
, then prove that ( ) ( )
x y x y
2
2
2
1
1 2 1 2 0
+ + + − = .
10. If xy ae be
x x
= + −
, then prove that x
d y
dx
dy
dx
xy
2
2
2 0
+ − = .
11. If y ax bx c
2 2
2
= + + , where a b c
, , are constants, then show that d x
dy
b ac
ax b
2
2
2
3
=
−
+
( )
.
12. If x y axy
3 3
3
+ = , prove that D y
a xy
ax y
2
3
2 3
2
=
−
( )
.
13. If y = e3x
(ax + b), then prove that
d y
dx
dy
dx
y
2
2
6 9 0
− + = .
14. If x = (a + bt)⋅e− nt
, then show that
d x
dt
n
dx
dt
n x
2
2
2
2 0
+ + = .
15. If y x x
n
= −1
log , show that x
d y
dx
n
dy
dx
n xn
2
2
2
2 1 0
− − − − =
−
( ) ( ) .
16. If xy ae be
x x
= + −
, then prove that x
d y
dx
dy
dx
xy
2
2
2 0
+ − = .
17. If x = 2 cos t − cos 2t, y = 2 sin t − sin 2t, then prove that the value of
d y
dx
2
2
when t =
p
2
is −3.
3.1.1 The nth
Derivative of Standard Functions
1. Find the nth
derivative of eax
.
Solution.
Let y = eax
(1)
Differentiating w.r.to x, successively we get,
y ae y a ae a e
y a ae a e y a ae a
ax ax ax
ax ax
n
n ax n
1 2
2
3
2 3 1
= = =
= = = =
−
,
,...
⋅
⋅ ⋅ e
eax
(2)
Note
(1) Putting a = 1 in (1) and (2), we get, y = ex
and yn
= ex
(2) Since a e e a
= log
, a e
x x a
e
= log
∴
d
dx
a a e a a
n
n
x
e
n x a
e
n x
e
( ) (log ) (log )
log
= =
So, if y = ax
, then yn
= (loge
a)n
ax
.
2. Find the nth
derivative of (ax 1 b)m
.
Solution.
Let y = (ax + b)m
(1)
M03_ENGINEERING_MATHEMATICS-I _CH03_Part A.indd 7 5/30/2016 7:07:13 PM
3.8 ■ Engineering Mathematics
Differentiating w.r.to x, successively,
y m ax b a am ax b
y a m m ax b a a m m
m m
m
1
1 1
2
2 2
1 1
= + = +
= − + = −
− −
−
( ) ( )
( )( ) ( )
⋅
⋅ ⋅ (
( )
ax b m
+ −2
y a m m m ax b m
3
3 3
1 2
= − − + −
( )( )( )
:
y a m m m m n ax b
n
n m n
= − − − + + −
( )( ) ( )( )
1 2 1
…
This result is true for all values of m.
Particular cases
Case 1: If m is a positive integer and equal to n, then
y a n n n n n ax b
a n n n n
n
n n n
n
= − − − + +
= − − =
−
⋅ ⋅⋅⋅
⋅⋅⋅ ⋅
( )( ) ( )( )
( )( )
1 2 1
1 2 2 1 !
!an
∴
d
dx
ax b n a
n
n
n n
( ) ! .
+ =
Since y n a
n
n
= ! is a constant, y y
n n
+ = =
+
1 0 0
2
, and so on.
That is (n + 1)th
, (n + 2)th
and all higher order derivatives of (ax + b)n
are zero.
Case 2: If m is a integer and m  n, then the nth
derivative of (ax + b)m
= 0.
Case 3: If a = 1, b = 0, then
y = xm
y m m m n x
n
m n
= − − + −
( ) ( )
1 1
⋅⋅⋅
If m is a positive integer and m = n then
y n n n n n x n n n n
n
n n
= − − − + = − − =
−
( )( ) ( ) ( )( ) !
1 2 1 1 2 2 1
⋅⋅⋅ ⋅⋅⋅ ⋅
3. Find the nth
derivative of
1
ax b
1
.
Solution.
Let y
ax b
ax b
=
+
= + −
1 1
( )
Differentiating w.r.to x, successively,
y ax b a
a
ax b
1
2
2
1
1
= − + =
−
+
−
( )( )
( )
( )
⋅
y a ax b a
a
ax b
2
3
2 2
3
1 2
1 2
= − − + =
−
+
−
( )( )( )
( ) !
( )
⋅
y a ax b a
a
ax b
3
2 4
3 3
4
1 2 3
1 3
= − − − + =
−
+
−
( )( )( )( )
( ) !
( )
⋅
:
y a n n ax b a
n
n n
= − − − − +
− − +
1 1
1 2 3 1
( )( )( ) ( )( )( ) ( )
⋅⋅⋅ ⋅
⇒ y
n a
ax b
n
n n
n
=
−
+ +
( ) !
( )
1
1
M03_ENGINEERING_MATHEMATICS-I _CH03_Part A.indd 8 5/30/2016 7:07:16 PM
Differential Calculus ■ 3.9
Particular case
If a = 1, b = 0, then y
x
=
1
∴ y
n
x
n
n
n
=
−
+
( ) !
,
1 where n is a positive integer.
4. Find the nth
derivative of log (ax 1 b).
Solution.
Let y = loge
(ax + b)
Differentiating w.r.to x,
y
ax b
a a ax b
1
1
1
=
+
⋅ = + −
( )
Again differentiating w.r.to x, we get
y a ax b a
a
ax b
2
2
2
2
1
1
= ⋅ − + ⋅ =
−
+
−
( )( )
( )
( )
y a ax b a
a
ax b
3
2 3
2 3
3
1 2
1 2
= − − + ⋅ =
−
+
−
( )( )( )
( ) !
( )
:
y n
a
ax b
n
n
n
n
= − −
+
−
( ) ( )!
( )
1 1
1 .
5. Find the nth
derivative of sin( ).
ax b
1
Solution.
Let y ax b
= +
sin( )
Differentiating w.r.to x successively, we get
y ax b a
1 = + ⋅
cos( ) = + = + +
⎛
⎝
⎜
⎞
⎠
⎟
a ax b a ax b
cos( ) sin
p
2
y a ax b a
2
2
= + +
⎛
⎝
⎜
⎞
⎠
⎟ ⋅
cos
p
= + + +
⎛
⎝
⎜
⎞
⎠
⎟ = + + ⋅
⎛
⎝
⎜
⎞
⎠
⎟
a ax b a ax b
2 2
2 2
2
2
sin sin
p p p
y a ax b a
3
2
2
2
= + + ⋅
⎛
⎝
⎜
⎞
⎠
⎟ ⋅
cos
p
= + + ⋅ +
⎛
⎝
⎜
⎞
⎠
⎟ = + +
⎛
⎝
⎜
⎞
⎠
⎟
a ax b a ax b
3 3
2
2 2
3
2
sin sin
p p p
:
y a ax b n
n
n
= + + ⋅
⎛
⎝
⎜
⎞
⎠
⎟
sin
p
2
Particular case
If a b
= =
1 0
, , then y x
= sin ∴ y x n
n = +
⎛
⎝
⎜
⎞
⎠
⎟
sin
p
2
.
6. Find the nth
derivative of cos( ).
ax b
1
Solution.
Let y ax b
= +
cos( )
M03_ENGINEERING_MATHEMATICS-I _CH03_Part A.indd 9 5/30/2016 7:07:20 PM
3.10 ■ Engineering Mathematics
Differentiating w.r.to x successively, we get
y ax b a
1 = − + ⋅
sin( ) = − + = + +
⎛
⎝
⎜
⎞
⎠
⎟
a ax b a ax b
sin ) cos
(
p
2
y a ax b a
2
2
= − + +
⎛
⎝
⎜
⎞
⎠
⎟ ⋅
sin
p
= + + +
⎛
⎝
⎜
⎞
⎠
⎟
a ax b
2
2 2
cos
p p
= + + ⋅
⎛
⎝
⎜
⎞
⎠
⎟
a ax b
2
2
2
cos
p
:
y a ax b n
n
n
= + + ⋅
⎛
⎝
⎜
⎞
⎠
⎟
cos
p
2
Particular case:
If a b
= =
1 0
, , then y x
= cos . ∴ y x n
n = + ⋅
⎛
⎝
⎜
⎞
⎠
⎟
cos
p
2
.
7. Find the nth
derivative of e bx c
ax
sin( ).
1
Solution.
Let y e bx c
ax
= +
sin( )
Differentiating w.r.to x, successively we get
y e bx c b bx c e a
ax ax
1 = + ⋅ + + ⋅
cos( ) sin( ). = + + +
e b bx c a bx c
ax
[ cos( ) sin( )]
If a r b r
= =
cos , sin
u u, then
( ) cos sin (cos sin )
a b r r r r r
2 2 2 2 2 2 2 2 2 2 2
+ = + = + =
u u u u ⇒ r a b
= +
( )
2 2 1 2
and tanu =
b
a
, ∴ u =
⎛
⎝
⎜
⎞
⎠
⎟
−
tan 1 b
a
.
∴ y e r bx c r bx c
ax
1 = + + +
[ sin cos( ) cos sin( )]
u u
= + + +
re bx c bx c
ax
[sin cos( ) cos sin( )]
u u = + +
re bx c
ax
sin( )
u
∴ y r e bx c b bx c e a
ax ax
2 = + + ⋅ + + + ⋅
[ cos( ) sin( ) ]
u u
= + + + + +
re r bx c r bx c
ax
[ sin cos( ) cos sin( )]
u u u u
= + + +
r e bx c
ax
2
sin( )
u u = + +
r e bx c
ax
2
2
sin( ).
u
Similarly, y r e bx c
ax
3
3
3
= + +
sin( )
u
:
y r e bx c n
n
n ax
= + +
sin( )
u
⇒ y a b e bx c n
b
a
n
n ax
= + ⋅ + +
⎛
⎝
⎜
⎞
⎠
⎟
−
( ) sin tan
2 2 2 1 .
M03_ENGINEERING_MATHEMATICS-I _CH03_Part A.indd 10 5/30/2016 7:07:26 PM
Differential Calculus ■ 3.11
8. Find the nth
derivative of e bx c
ax
cos( ).
1
Solution.
Let y e bx c
ax
= +
cos( )
Differentiating w.r.to x, successively we get
y e bx c b bx c e a
ax ax
1 = − + ⋅ + + ⋅ ⋅
( sin( ) ) cos( )
⇒ y e a bx c b bx c
ax
1 = + − +
[ cos( ) sin( )]
Put a r b r
= =
cos , sin
u u, then r a b
2 2 2
= + ⇒ = +
r a b
( )
2 2 1 2
and tanu =
b
a
⇒ u =
⎛
⎝
⎜
⎞
⎠
⎟
−
tan 1 b
a
.
∴ y e r bx c r bx c
ax
1 = + − +
[ cos cos( ) sin sin( )]
u u
= + − +
re bx c bx c
ax
[cos cos( ) sin sin( )]
u u = + +
re bx c
ax
cos( )
u
y r e bx c b bx c e a
ax ax
2 = − + + ⋅ + + + ⋅
[ ( sin( ) ) cos( ) ]
u u
= + + − + +
= + + −
re a bx c b bx c
re r bx c r
ax
ax
[ cos( ) sin( )]
[ cos cos( ) si
u u
u u n
n sin( )]
u u
bx c
+ +
= + + − + +
r e bx c bx c
ax
2
[cos cos( ) sin sin( )]
u u u u
⇒ y r e bx c
ax
2
2
= + + +
cos( )
u u = + +
r e bx c
ax
2
2
cos( )
u .
Similarly, y r e bx c
ax
3
3
3
= + +
cos( )
u
:
y r e bx c n
n
n ax
= + +
cos( )
u
⇒ y a b e bx c n
b
a
n
n ax
= + ⋅ + +
⎛
⎝
⎜
⎞
⎠
⎟
−
( ) cos tan
2 2 2 1 .
WORKED EXAMPLES
1. The nth
derivative using partial fractions
EXAMPLE 1
Find the nth
derivative of (i)
x
x
( 2)2
2
(ii) 2
(2 1)( 1)
x
x x
1 2
.
Solution.
(i) x
x
( )
− 2 2
. Let y
x
x
=
−
( )
2 2
Split the R.H.S into partial fractions. to reduce to the form
1
( )
ax b m
+
⎛
⎝
⎜
⎞
⎠
⎟
M03_ENGINEERING_MATHEMATICS-I _CH03_Part A.indd 11 5/30/2016 7:07:31 PM
3.12 ■ Engineering Mathematics
Let x
x
( )
− 2 2
= A
x
B
x
( ) ( )
−
+
−
2 2 2
⇒ x A x B
= − +
( ) .
2
Put x = 2, then 2 0
= × +
A B ⇒ B = 2.
Equating the coefficients of x, A = 1.
∴ x
x x x
( ) ( ) ( )
−
=
−
+
−
2
1
2
2
2
2 2
∴ y
x x
=
−
+
−
1
2
2
2 2
( ) ( )
then y
n
x
n
x
n
n
n
n
n
=
−
−
+ ⋅
− +
−
+ +
( ) !
( )
( ) ( )!
( )
1
2
2
1 1
2
1 2
. [Refer formula 2]
(ii) 2
2 1 1
x
x x
( )( )
+ −
. Let y
x
x x
=
+ −
2
2 1 1
( )( )
Split the R.H.S into partial fractions.
Let
2
2 1 1
x
x x
( )( )
+ −
= A
x
B
x
2 1 1
+
+
−
⇒ 2 1 2 1
x A x B x
= − + +
( ) ( )
Put x = −
1
2
, then 2
1
2
1
2
1
−
⎛
⎝
⎜
⎞
⎠
⎟ = − −
⎛
⎝
⎜
⎞
⎠
⎟
A ⇒ − = −
3
2
1
A ⇒ A =
2
3
Put x = 1, then 2 1 2 1 1 3 2
2
3
⋅ = ⋅ + ⇒ = ⇒ =
B B B
( )
∴ 2
2 1 1
2
3
1
2 1
2
3
1
1
x
x x x x
( )( )
+ −
= ⋅
+
+ ⋅
−
∴ y
x x
= ⋅
+
+ ⋅
−
2
3
1
2 1
2
3
1
1
Hence, y
n
x
n
x
n
n n
n
n
n
= ⋅
−
+
+
−
−
+ +
2
3
1 2
2 1
2
3
1
1
1 1
( ) !
( )
( ) !
( )
. [Refer formula 3]
=
−
+
+
−
−
+
+ +
( ) !
( )
( ) !
( )
1 2
3 2 1
2 1
3 1
1
1 1
n n
n
n
n
n
x
n
x
.
EXAMPLE 2
Find the nth
derivative of
x
x x
4
( 1)( 2)
2 2
.
Solution.
Let y =
x
x
4
( 1)( 2)
− −
M03_ENGINEERING_MATHEMATICS-I _CH03_Part A.indd 12 5/30/2016 7:07:37 PM
Differential Calculus ■ 3.13
Split the R.H.S into partial fractions.
Since the degree of the Nr. is greater than the degree of Dr., it is an improper fraction.
We divide x4
by ( )( )
x x x x
− − = − +
1 2 3 2
2
and then split the proper fraction into partial
fractions.
Dividing
∴
x
x x
x x
x
x x
4
2
1 2
3 7
15 14
1 2
−
( ) −
( )
= + + +
−
− −
( )( )
Let
15 14
1 2 1 2
x
x x
A
x
B
x
−
− −
=
−
+
−
( )( )
⇒ 15 14 2 1
x A x B x
− = − + −
( ) ( )
Put x = 1, then 15 1 14 1 2 0
⋅ − = − + ⋅
A B
( ) ⇒ A = −1
Put x = 2, then 15 2 14 2 1
⋅ − = −
B( ) ⇒ B = 16
∴
15 14
1 2
1
1
16
2
x
x x x x
−
− −
= −
−
+
−
( )( ) ( )
∴
x
x x
x x
x x
4
2
1 2
3 7
1
1
16
2
( )( )
− −
= + + −
−
+
−
∴ y x x
x x
= + + −
−
+
−
2
3 7
1
1
16
2
Hence, y
n
x
n
x
n
n
n
n
n
= − ⋅
−
−
+
−
−
+ +
1
1
1
16
1
2
1 1
( ) !
( )
( ) !
( )
=
−
−
+
−
−

+
+ +
( ) !
( )
( ) !
( )
,
1
1
16 1
2
2
1
1 1
n
n
n
n
n
x
n
x
n
2. The nth
derivatives of trigonometric functions
If y is a simple power of sine or cosine or product of sine and cosine, then they can be expressed as a
sum of sines and cosines of multiple angles and nth
derivative can be found.
EXAMPLE 3
Find the nth
derivative of (i) sin2
x (ii) sin3
x.
Solution.
(i) sin2
x
Let y x
= sin2
=
−
= −
1 2
2
1
2
2
2
cos cos
x x
∴ y x n
n
n
= − +
⎛
⎝
⎜
⎞
⎠
⎟
1
2
2 2
2
cos
p
= − +
⎛
⎝
⎜
⎞
⎠
⎟
−
2 2
2
1
n
x n
cos
p
. [Refer the formula 5]
x x
x x x
x x x
x x
x x x
2
2 4
4 3 2
3 2
3 2
3 7
3 2
3 2
3 2
3 9 6
+ +
− +
− +
−
− +
⎯⎯⎯⎯⎯⎯⎯
⎯⎯⎯⎯⎯⎯⎯⎯⎯
⎯⎯
⎯⎯⎯⎯⎯⎯⎯⎯⎯⎯
7 6
7 21 14
15 14
2
2
x x
x x
x
−
− +
−
M03_ENGINEERING_MATHEMATICS-I _CH03_Part A.indd 13 5/30/2016 7:07:40 PM
3.14 ■ Engineering Mathematics
(ii) sin3
x
Let y x
= sin3
⇒ = −
1
4
3 3
[ sin sin ]
x x = −
3
4
1
4
3
sin sin
x x [ sin sin sin ]
{ 3 3 4 3
x x x
= −
Hence, y x n x n
n
n
= +
⎛
⎝
⎜
⎞
⎠
⎟ − +
⎛
⎝
⎜
⎞
⎠
⎟
3
4 2
1
4
3 3
2
sin sin
p p
[Refer the formula 5]
EXAMPLE 4
Find the nth
derivative of (i) cos4
x (ii) sinx sin2x sin3x.
Solution.
(i) cos4
x
Let y x
= cos4
= (cos )
2 2
x =
+
⎡
⎣
⎢
⎤
⎦
⎥
cos
2
1 2
2
x
= + +
[ cos cos ]
2
1
4
1 2 2 2
x x
= + +
+
⎡
⎣
⎢
⎤
⎦
⎥ = + + +
1
4
1
2
2
1
4
1 4
2
1
4
1
8
1
2
2
1
8
4
cos
cos
cos cos
x
x
x x
⇒ y x x
= + +
3
8
1
2
2
1
8
4
cos cos
Hence, y x
n
x
n
n
n n
= ⋅ +
⎛
⎝
⎜
⎞
⎠
⎟ + +
⎛
⎝
⎜
⎞
⎠
⎟
1
2
2 2
2
1
8
4 4
2
cos cos .
p p
(ii) sin sin2 sin3
x x x
Let y x x x
= sin sin sin
2 3
We know that sin sin cos cos
A B A B A B
= −
( )− +
( )
⎡
⎣ ⎤
⎦
1
2
and sin cos sin sin
A B A B A B
= +
( )+ −
( )
⎡
⎣ ⎤
⎦
1
2
∴ y x x x
= −
[ ]
1
2
5
sin cos cos = −
{ }
1
2
5
sin cos sin cos
x x x x
= − −
[ ]
⎧
⎨
⎩
⎫
⎬
⎭
1
2
1
2
2
1
2
6 4
sin sin sin
x x x = − −
1
4
2
1
4
6 4
sin (sin sin )
x x x
Hence, y x
n
x
n
x
n
n
n n n
= +
⎛
⎝
⎜
⎞
⎠
⎟ − +
⎛
⎝
⎜
⎞
⎠
⎟ + +
⎛
⎝
1
4
2 2
2
1
4
6 6
2
1
4
4 4
2
sin sin sin
p p p
⎜
⎜
⎞
⎠
⎟ [Refer formula 5]
⇒ y x
n
x
n
x
n
n
n n n n
= +
⎛
⎝
⎜
⎞
⎠
⎟ − ⋅ +
⎛
⎝
⎜
⎞
⎠
⎟ + +
− − −
2 2
2
3 2 6
2
4 4
2 2 1
sin sin sin
p p p
2
2
⎛
⎝
⎜
⎞
⎠
⎟
M03_ENGINEERING_MATHEMATICS-I _CH03_Part A.indd 14 5/30/2016 7:07:44 PM
Differential Calculus ■ 3.15
EXAMPLE 5
Find the nth
differential coefficient of sin cos
3 5
u u.
Solution.
Let y = sin cos
3 5
u u and let x i ei
= + =
cos sin
u u u
∴ 1 1
x i
=
+
cos sin
u u
= = −
1
e
e i
i
i
u
u
u u
= cos sin
∴ x
x
+ =
1
2cosu and x
x
i
− =
1
2 sinu.
By De−Moivre’s theorem,
x n i n
n
= +
cos sin
u u and 1
x
n i n
n
= −
cos sin
u u
x
x
n
n
n
+ =
1
2cos u and x
x
i n
n
n
− =
1
2 sin u
∴ 2
1
5 5
5
cos u = +
⎛
⎝
⎜
⎞
⎠
⎟
x
x
and 2
1
3 3 3
3
i x
x
sin u = −
⎛
⎝
⎜
⎞
⎠
⎟
∴ 2 2
1 1
3 3 3 5 5
3 5
i x
x
x
x
sin cos
u u
⋅ = −
⎛
⎝
⎜
⎞
⎠
⎟ +
⎛
⎝
⎜
⎞
⎠
⎟
⇒ − = −
⎛
⎝
⎜
⎞
⎠
⎟ +
⎛
⎝
⎜
⎞
⎠
⎟
⎡
⎣
⎢
⎤
⎦
⎥ +
⎛
⎝
⎜
⎞
⎠
⎟
i x
x
x
x
x
x
2
1 1 1
8 3 5
3 2
sin cos
u u = −
⎛
⎝
⎜
⎞
⎠
⎟ +
⎛
⎝
⎜
⎞
⎠
⎟
x
x
x
x
2
2
3 2
1 1
= − + −
⎛
⎝
⎜
⎞
⎠
⎟ + +
⎛
⎝
⎜
⎞
⎠
⎟
x x
x x
x
x
6 2
2 6
2
2
3
3 1
2
1
= + + − − −
x x x x x
8 6 4 4 2
2 3 6 3 + + + − − −
3
6 3 1 2 1
2 4 4 6 8
x x x x x
= −
⎛
⎝
⎜
⎞
⎠
⎟ + −
⎛
⎝
⎜
⎞
⎠
⎟ + −
⎛
⎝
⎜
⎞
⎠
⎟ − −
⎛
⎝
⎜
⎞
⎠
⎟
x
x
x
x
x
x
x
x
8
8
6
6
4
4
2
2
1
2
1
2
1
6
1
− = + ⋅ − ⋅ − ⋅ ⋅
i i i i i
2 2 8 2 2 6 2 2 4 6 2 2
8 3 5
sin cos sin sin sin sin
u u u u u u
⇒ − = + − − ⋅
2 8 2 6 2 4 6 2
7 3 5
sin cos sin sin sin sin
u u u u u u [dividing by 2i]
∴ sin cos [sin sin sin sin ]
3 5
7
1
2
8 2 6 2 4 6 2
u u u u u u
= − + − −
= + − −
1
2
6 2 2 4 2 6 8
7
[ sin sin sin sin ]
u u u u
M03_ENGINEERING_MATHEMATICS-I _CH03_Part A.indd 15 5/30/2016 7:07:49 PM
3.16 ■ Engineering Mathematics
∴ y = + − −
1
2
6 2 2 4 2 6 8
7
[ sin sin sin sin ]
u u u u
∴ y
n n n
n
n n n
= ⋅ +
⎛
⎝
⎜
⎞
⎠
⎟ + ⋅ +
⎛
⎝
⎜
⎞
⎠
⎟ − ⋅ +
⎛
⎝
1
2
6 2 2
2
2 4 4
2
2 6 6
2
7
sin sin
u
p
u
p
u
p
⎜
⎜
⎞
⎠
⎟ − +
⎛
⎝
⎜
⎞
⎠
⎟
⎡
⎣
⎢
⎤
⎦
⎥
8 8
2
n n
sin u
p .
EXAMPLE 6
If y
x
x
5
log
, then prove that y
n
x
x
n
n
n
n
5
2
2 2 2 2
1
( 1) !
log 1
1
2
1
3
1
.
1 e ⋅⋅⋅
⎡
⎣
⎢
⎤
⎦
⎥
Solution.
Given y
x
x
e
=
log (1)
Differentiating w.r.to x, we get
y
x x
x
x
e
1 2
1 1 1
= ⋅ + ⋅ −
⎛
⎝
⎜
⎞
⎠
⎟
log = − =
−
−
1 1 1 1
1
2 2 2
x x
x
x
x
e e
log
( ) !
[log ].
Again differentiating w.r.to x, we get
y
x x
x
x
e
2 2 3
1
1 1
1
2
= − ⋅ + − ⋅ −
⎛
⎝
⎜
⎞
⎠
⎟
⎧
⎨
⎩
⎫
⎬
⎭
( ) (log )
= − − −
⎧
⎨
⎩
⎫
⎬
⎭
( ) (log )
1
1 2
1
3 3
x x
x
e
=
−
− −
⎧
⎨
⎩
⎫
⎬
⎭
=
−
− −
⎧
⎨
⎩
⎫
⎬
⎭
( )
log
( ) !
log
1 2
1
1
2
1 2
1
1
2
2
3
2
3
x
x
x
x
e e
Again differentiating w.r.to x, we get
y
x x
x
x
e
3
2
3 4
1 2
1 1
1
1
2
3
= − ⋅ + − −
⎛
⎝
⎜
⎞
⎠
⎟ −
⎛
⎝
⎜
⎞
⎠
⎟
⎡
⎣
⎢
⎤
⎦
⎥
( ) ! log
= − − − −
⎛
⎝
⎜
⎞
⎠
⎟
⎧
⎨
⎩
⎫
⎬
⎭
( ) ! log
1 2
1 3
1
1
2
2
4 4
x x
x
e
=
− ×
− − −
⎧
⎨
⎩
⎫
⎬
⎭
( ) !
log
1 2 3
1
1
2
1
3
3
4
x
x
e =
−
− − −
⎧
⎨
⎩
⎫
⎬
⎭
( ) !
log .
1 3
1
1
2
1
3
3
4
x
x
e
Proceeding in this way or by induction, we get
y
n
x
x
n
n
n
n e
=
−
− − − ⋅⋅⋅−
⎡
⎣
⎢
⎤
⎦
⎥
+
( ) !
log
1
1
1
2
1
3
1
1
.
EXERCISE 3.2
1. Find the nth
derivative of (i) x x
2
3
sin (ii) x x
2
4
cos (iii) sin sin
3 2
x x.
2. Find the nth
derivative of x x x
e
4 2
3 5 2
+ + −
log ( ) .
M03_ENGINEERING_MATHEMATICS-I _CH03_Part A.indd 16 5/30/2016 7:07:52 PM
Differential Calculus ■ 3.17
3. Find the nth
derivative of x
x x
2
2
2 7 6
+ +
. 4. Find the nth
derivative of
1
6 8
2
x x
− +
.
5. Find the nth
derivative of sin cos
3 2
x x. 6. Find the nth
derivative of e x x
x
3
6 4
cos log .
+
ANSWERS TO EXERCISE 3.2
1. (i) x2
⋅ 3n
sin n x
p
2
3
+
⎛
⎝
⎜
⎞
⎠
⎟ + 2nx ⋅ 3n−1
sin ( )
n x
− +
⎡
⎣
⎢
⎤
⎦
⎥
1
2
3
p
+ n(n − 1) 3n−2
sin ( )
n x
− +
⎡
⎣
⎢
⎤
⎦
⎥
2
2
3
p
(ii) x2
⋅ 4n
cos n x
p
2
4
+
⎛
⎝
⎜
⎞
⎠
⎟ + 2nx4n−1
cos ( )
n x
− +
⎡
⎣
⎢
⎤
⎦
⎥
1
2
4
p
+ n (n − 1)⋅ 4n−2
cos ( )
n x
− +
⎡
⎣
⎢
⎤
⎦
⎥
2
2
4
p
(iii)
1
2 2
1
2
5
2
5
cos cos
n x
n
x
n
p p
+
⎛
⎝
⎜
⎞
⎠
⎟ − +
⎛
⎝
⎜
⎞
⎠
⎟
2. (−1)n−1
(n −1)!
3
3 1
1
2
n
n n
x x
( ) ( )
−
+
+
⎡
⎣
⎢
⎤
⎦
⎥ 3. (−1)n
n! 9
2
2 3
4
2
1
1 1
.
( ) ( )
n
n n
x x
−
+ +
+
−
+
⎡
⎣
⎢
⎤
⎦
⎥
4.
1
2
(−1)n
. n! −
−
+
−
⎡
⎣
⎢
⎤
⎦
⎥
+ +
1
2
1
4
1 1
( ) ( )
x x
n n
5. − +
⎛
⎝
⎜
⎞
⎠
⎟ − +
⎛
⎝
⎜
⎞
⎠
⎟ − +
⎛
⎝
⎜
⎞
⎠
⎟
⎡
⎣
⎢
1
24
5
2
5 3
2
3 2
2
n n
n
n n
sin sin sin
p
u
p
u
p
u
⎤
⎤
⎦
⎥
6. 45
2
6 1 1
1
2 3 1
( ) +
⎛
⎝
⎜
⎞
⎠
⎟ + − −
−
n
x n
n
e n x n
x
. cos ( ) ( )!
p
Theorem 3.1 Leibnitz’s theorem
Statement: If y = uv is the product of two differentiable functions u and v of x, then the nth
derivative of y is
y uv C u v C u v C u v u v
n n
n
n
n
n
n
r r n r n
= + + + + + +
− − −
1 1 1 2 2 2
… … ,
where ur
and vr
are the rth
derivatives of u and v respectively.
Proof Given y = uv
Let P(n): y uv C u v C u v C u v u v
n n
n
n
n
n
n
r r n r n
= + + + + + +
− − −
1 1 1 2 2 2
… … (1)
We prove the theorem by induction on n.
Basic step:
p y uv u v
( ):
1 1 1 1
= +
Which is true from product rule. ∴ p(1) is true
M03_ENGINEERING_MATHEMATICS-I _CH03_Part A.indd 17 5/30/2016 7:07:57 PM
3.18 ■ Engineering Mathematics
Inductive step: We assume that the theorem is true for n = k (1).
i.e., p(k) is true ⇒ y uv kC u v kC u v
k k k k k
= + + +
−
1 1 1
… is true (2)
To prove p(k + 1) is true.
That is to prove
y uv C u v C u v C u v
k k
k
k
k
k
k
k k
+ +
+ +
−
+
+ +
= + + + +
1 1
1
1 1
1
2 2 1
1
1 1
… .
Differentiating (2) w.r.to x, we get
y uv u v kC u v u v kC u v u v kC
k k k k k k k k
+ + − − − −
= + + + + + + +
1 1 1 1 1 2 1 2 2 1 3 2
[ ] [ ] … 1
1 1 2 1
1 1
[ ]
[ ]
u v u v
kC u v u v
k k
k k k
−
+
+
+ +
⇒ y uv kC u v kC kC u v kC kC u v u
k k k k k k k
+ + − −
= + + + + + + + +
1 1 1 1 2 1 2 1 1 1
1
( ) ( ) ( )
… k
k v
+1
⇒ y uv C u v C u v C u v u v
k k
k
k
k
k
k
k k k
+ +
+ +
−
+
+
= + + + + +
1 1
1
1 1
1
2 2 1
1
1 1
… [ ]
{ n
r
n
r
n
r
C C C
+
−
= +
1
1
∴ P(k + 1) is true.
Thus, P(k) is true ⇒ p(k + 1) is true.
∴ By induction p(n) is true for all values of n ∈ N.
Hence, the theorem is true for all values of n ∈ N.
∴ y uv C u v C u v C u v u v
n n
n
n
n
n
n
r r n r n
= + + + + + +
− − −
1 1 1 2 2 2
… … .
WORKED EXAMPLES
EXAMPLE 1
If y m x
5 2
cos( sin )
1
, then prove that (1 ) 0.
2
2 1
2
2 2 1 5
x y xy m y Hence prove that
(1 ) (2 1) ( ) 0
2
2 1
2 2
2 2 1 1 2 5
1 1
x y n xy m n y
n n n
.
Solution.
Given y m x
= −
cos( sin )
1
⇒ cos sin
− −
=
1 1
y m x (1)
Differentiating (1) w.r.to x, we get
−
−
⋅ = ⋅
−
1
1
1
1
2 2
y
dy
dx
m
x
⇒
−
−
⋅ =
−
1
1 1
2 1 2
y
y
m
x
Squaring,
y
y
m
x
1
2
2
2
2
1 1
−
=
−
⇒ ( ) ( )
1 1
2
1
2 2 2
− = −
x y m y .
Differentiating w.r.to x, we get
( )
1 2 2 2
2
1 2 1
2 2
1
− − = −
x y y xy m yy
M03_ENGINEERING_MATHEMATICS-I _CH03_Part A.indd 18 5/30/2016 7:08:00 PM
Differential Calculus ■ 3.19
Dividing by 2 1
y on both sides,
( )
1 2
2 1
2
− − = −
x y xy m y ⇒ ( )
1 0
2
2 1
2
− − + =
x y xy m y (2)
Differentiating (2) w.r.to x, n times by Leibnitz’s theorem, we get,
( ) ( ) ( ) [ ]
1 2 2 1 0
2
2 1 1 2 1 1
2
− + − + − − + ⋅ ⋅ + =
+ + +
x y C x y C y xy C y m y
n
n
n
n
n n
n
n n
⇒ ( )
( )
1 2 2
1
1 2
0
2
2 1 1
2
− − − ⋅
−
⋅
− − + =
+ + +
x y nx y
n n
y xy ny m y
n n n n n n
⇒ ( ) ( ) [ ( ) ]
1 2 1 1 0
2
2 1
2
− − + + − − − =
+ +
x y n xy m n n n y
n n n
⇒ ( ) ( ) ( )
1 2 1 0
2
2 1
2 2
− − + + − + − =
+ +
x y n xy m n n n y
n n n
⇒ ( ) ( ) ( ) .
1 2 1 0
2
2 1
2 2
− − + + − =
+ +
x y n xy m n y
n n n
EXAMPLE 2
If y a x b x
5 1
cos(log ) sin(log ) , then show that x y n xy n y
n n n
2
2 1
2
(2 1) ( 1) 0
1 1
1 1 1 1 5 .
Solution.
Given y a x b x
= +
cos(log ) sin(log ) (1)
Differentiating (1) w.r.to x, we get
y a x
x
b x
x
1
1 1
= − ⋅ + ⋅
( sin(log )) cos(log ) = − +
1
x
a x b x
[ sin(log ) cos(log )]
⇒ xy a x b x
1 = − +
sin(log ) cos(log ).
Again differentiating w.r.to x, we get
xy y a x
x
b x
x
2 1
1 1
+ = − ⋅ + −
cos(log ) ( sin(log ))
= − +
1
x
a x b x
[ cos(log ) cos(log ) = −
y
x
⇒ x y xy y
2
2 1
+ = − ⇒ x y xy y
2
2 1 0
+ + = (2)
Differentiating (2) w.r.to x, n times by Leibnitz’s theorem, we get,
x y C xy C y xy C y y
n
n
n
n
n n
n
n n
2
2 1 1 2 1 1
2 2 1 0
+ + +
+ + + + ⋅ ⋅ + =
⇒ x y nxy
n n
y xy ny y
n n n n n n
2
2 1 1
2 2
1
1 2
0
+ + +
+ + ⋅
−
⋅
+ + + =
( )
⇒ x y n xy n n n y
n n n
2
2 1
2 1 1 1 0
+ +
+ + + − + + =
( ) [ ( ) ]
⇒ x y n xy n n n y
n n n
2
2 1
2
2 1 1 0
+ +
+ + + − + + =
( ) ( )
⇒ x y n xy n y
n n n
2
2 1
2
2 1 1 0
+ +
+ + + + =
( ) ( ) .
M03_ENGINEERING_MATHEMATICS-I _CH03_Part A.indd 19 5/30/2016 7:08:04 PM
3.20 ■ Engineering Mathematics
EXAMPLE 3
If y x x
m
5 1 1
1 2
( ) , then prove that (1 ) (2 1) ( ) 0
2
2 1
2 2
1 1 1 1 2 5
1 1
x y n xy n m y
n n n .
Solution.
Given y x x
m
= + +
( )
1 2
(1)
Differentiating (1) w.r.to x, we get
y m x x
x
x
m
1
2
1
2
1 1
1
2 1
2
= + +
( ) +
+
⋅
⎛
⎝
⎜
⎞
⎠
⎟
−
= + +
( ) +
+
⎛
⎝
⎜
⎞
⎠
⎟
−
m x x
x
x
m
1 1
1
2
1
2
= + +
( ) + +
+
⎛
⎝
⎜
⎞
⎠
⎟
−
m x x
x x
x
m
1
1
1
2
1 2
2
=
+ +
( )
+
=
+
m x x
x
my
x
m
1
1 1
2
2 2
Squaring, y1
2
=
+
m y
x
2 2
2
1
⇒ ( )
1 2
1
2 2 2
+ =
x y m y
Again differentiating w.r.to x,
( )
1 2 2 2
2
1 2 1
2 2
1
+ + =
x y y xy m yy ⇒ ( )
1 2
2 1
2
+ + =
x y xy m y [dividing by 2 1
y ]
⇒ ( )
1 0
2
2 1
2
+ + − =
x y xy m y . (2)
Differentiating (2) w.r.to x, n times by Leibnitz’s theorem, we get,
( )
1 2 2 1 0
2
2 1 1 2 1 1
2
+ + + + + ⋅ ⋅ − =
+ + +
x y nC xy nC y xy nC y m y
n n n n n n
⇒ ( )
( )
1 2 2
1
1 2
0
2
2 1 1
2
+ + +
−
⋅
+ + − =
+ + +
x y nx y
n n
y xy ny m y
n n n n n n
⋅
⇒ ( ) ( ) [ ( ) ]
1 2 1 1 0
2
2 1
2
+ + + + − + − =
+ +
x y n xy n n n m y
n n n
⇒ ( ) ( ) ( )
1 2 1 0
2
2 1
2 2
+ + + + − + − =
+ +
x y n xy n n n m y
n n n
⇒ ( ) ( ) ( )
1 2 1 0
2
2 1
2 2
+ + + + − =
+ +
x y n xy n m y
n n n
.
Problems to find y n (0)
EXAMPLE 4
If y x
5 2
(sin )
1 2
, then prove that (1 ) 2 0
2
2 1
2 2 2 5
x y xy . Hence show that
(1 ) (2 1) 0
2
2 1
2
2 2 1 2 5
1 1
x y n xy n y
n n n
and find y n
(0).
Solution.
Given y x
= −
(sin )
1 2
(1)
M03_ENGINEERING_MATHEMATICS-I _CH03_Part A.indd 20 5/30/2016 7:08:08 PM
Differential Calculus ■ 3.21
Differentiating (1) w.r.to x, we get
y
x
x
1
1
2
2
1
=
−
−
sin (2)
Squaring, y
x
x
1
2
1 2
2 2
4
1
=
−
−
(sin )
( )
⇒ ( )
1 4
2
1
2
− =
x y y (3)
Differentiating (3) w.r.to x, we get
( )
1 2 2 4
2
1 2 1
2
1
− − =
x y y xy y ⇒ ( ) .
1 2
2
2 1
− − =
x y xy [dividing by 2y1
] (4)
Differentiating (4) w.r.to x, n times using Leibnitz’s theorem, we get
( ) ( ) ( ) [ ]
1 2 2 1 0
2
2 1 1 2 1 1
− + − + − − + ⋅ ⋅ =
+ + +
x y nC x y nC y xy nC y
n n n n n
⇒ ( )
( )
1 2 2
1
1 2
0
2
2 1 1
− − − ⋅
−
⋅
− − =
+ + +
x y nxy
n n
y xy ny
n n n n n
⇒ ( ) ( ) [ ( ) ]
1 2 1 1 0
2
2 1
− − + − − + =
+ +
x y n xy n n n y
n n n
⇒ ( ) ( ) [ ]
1 2 1 0
2
2 1
2
− − + − − + =
+ +
x y n xy n n n y
n n n
⇒ ( ) ( )
1 2 1 0
2
2 1
2
− − + − =
+ +
x y n xy n y
n n n
(5)
To find y n (0)
Put x = 0 in (5), we get y n y
n n
+ − =
2
2
0 0 0
( ) ( ) .
Put x = 0 in (2), we get y1
1
0
2 0
1 0
0
( )
sin
=
−
=
−
.
Put x = 0 in (4), we get y2 0 2 0
( ) − = ⇒ y2 0 2
( ) = .
We have y n y
n n
+ − =
2
2
0 0 0
( ) ( ) ⇒ y n y
n n
+ =
2
2
0 0
( ) ( ).
If n is odd, n = 1, 3, 5, 7, …, then we have
y y
3 1
0 0 0
( ) ( )
= = , y y y y
5
2
3 7
2
5
0 3 0 0 0 5 0 0
( ) ( ) , ( ) ( )
= = = = and so on.
∴ If n is odd, yn ( ) .
0 0
=
If n is even, n = 2, 4, 6, 8, …, then we have y2 0 2
( ) = y y
4
2
2
2
0 2 0 2 2
( ) ( ) ,
= = ⋅
y y
6
2
4
2 2
0 4 0 2 2 4
( ) ( )
= = ⋅ ⋅ , y y
8
2
6
2 2 2
0 6 0 2 2 4 6
( ) ( )
= = ⋅ ⋅ ⋅ and so on.
∴ If n is even, y n
n ( ) ( )
0 2 2 4 6 2
2 2 2 2
= ⋅ ⋅ ⋅ ⋅⋅⋅ −
∴ y
n n
n
n ( )
( ) , if
, .
0
2 2 4 6 2
0
2 2 2 2
=
⋅ ⋅ ⋅ ⋅⋅⋅ −
⎧
⎨
⎩
iseven
if isodd
M03_ENGINEERING_MATHEMATICS-I _CH03_Part A.indd 21 5/19/2016 2:15:20 PM
3.22 ■ Engineering Mathematics
EXAMPLE 5
Find the value of the nth
derivate of ea x
sin 1
2
for x 5 0.
Solution.
Let y = ea x
sin−1
(1)
Differentiating w.r. to x, we get
y1
= ea x
sin−1
a
x
ay
x
1 1
2 2
−
=
−
(2)
⇒ (1 − x2
)y1
2
= a2
y2
Again differentiating w.r. to x, we get
(1 − x2
)2y1
y2
− 2xy1
2
= a2
. 2yy1
⇒ (1 − x2
)y2
− xy1
= a2
y ⇒ (1 − x2
) y2
− xy1
− a2
y = 0 (3)
Differentiating (3) w.r. to x, n times using Leibnitz’s theorem, we get
(1− x2
) yn + 2
+ n
C1(−2x)yn + 1
+ n
C2(−2) yn
− [xyn+1
+ n
C1. 1. yn
] − a2
yn
= 0
⇒ (1 − x2
) yn + 2
− 2nx yn + 1
− 2
1
1 2
n n
yn
( )
.
−
− xyn+1
− nyn
− a2
yn
= 0
⇒ (1 − x2
) yn + 2
− (2n + 1) x yn+1
− [n (n − 1) + n + a2
] yn
= 0
⇒ (1 − x2
) yn + 2
− (2n + 1) xyn+1
− (n2
+ a2
) yn
= 0 (4)
Put x = 0 in (4), then
y n a y
n n
+ − + =
2
2 2
0 0 0
( ) ( ) ( )
⇒ y n a y
n n
+ = +
2
2 2
0 0
( ) ( ) ( ) (5)
Put x = 0 in (1), then y( )
0 1
=
Put x = 0 in (2), then y1 0
( ) = a
Put x = 0 in (3), then y a y
2
2
0 0
( ) ( )
= ⇒ y a a
2
2 2
0 1
( ) = ⋅ =
Putting n = 1, 3, 5, 7, … in (5) we get
y a y a a a a
3
2 2
1
2 2 2 2
0 1 0 1 1
( ) ( ) ( ) ( ) ( )
= + ⋅ = + ⋅ = +
y a y a a a
5
2 2
3
2 2 2 2
0 3 0 1 3
( ) ( ) ( ) ( )( )
= + ⋅ = + +
y a y a a a a
7
2 2
5
2 2 2 2 2 2
0 5 0 1 3 5
( ) ( ) ( ) ( )( )( )
= + ⋅ = + + +
and so on.
If n is odd, y a a a n a
n ( ) ( )( ) [( ) ]
0 1 3 2
2 2 2 2 2 2
= + + ⋅⋅⋅ − +
Putting n = 2, 4, 6, 8, … in (5), we get
y a y a a
4
2 2
2
2 2 2
0 2 0 2
( ) ( ) ( ) ( )
= + = +
y a y a a a
6
2 2
4
2 2 2 2 2
0 4 0 2 4
( ) ( ) ( ) ( )( )
= + = + +
y a y a a a a
8
2 2
6
2 2 2 2 2 2 2
0 6 0 2 4 6
( ) ( ) ( ) ( )( )( )
= + = + + +
and so on.
M03_ENGINEERING_MATHEMATICS-I _CH03_Part A.indd 22 5/19/2016 2:15:25 PM
Differential Calculus ■ 3.23
If n is even, y a a a a n a
n ( ) ( )( )( ) [( ) ].
0 2 4 6 2
2 2 2 2 2 2 2 2 2
= + + + ⋅⋅⋅ − +
y
a a a n a n
n ( )
( )( ) [( ) ],
( )(
0
2 4 2
2 2 2 2 2 2 2
=
+ + ⋅⋅⋅ − +
+ +
if iseven
1 3
2 2 2
a a a
a2 2 2
[(n 2) ], if isodd
)⋅⋅⋅ − +
⎧
⎨
⎪
⎩
⎪ a n
EXAMPLE 6
Considering x x x
n n n
2
5 ⋅ and using Leibnitz’s theorem prove that
1
1
( 1)
1 2
( 1) ( 2)
1 2 3
(2 )!
( !)
2
2
2 2
2 2
2 2 2
2 2 2 2
1 1
2
1
2 2
1 5
n n n n n n n
n
⋅ ⋅ ⋅
⋅⋅⋅ .
Solution.
Let y x n
= 2
Differentiating w.r.to x, n times we get
y n n n n n x
n
n n
= − − ⋅⋅⋅ − + −
2 2 1 2 2 2 1 2
( )( ) ( )
= − − ⋅⋅⋅ +
2 2 1 2 2 1
n n n n xn
( )( ) ( )
=
− − ⋅⋅⋅ + ⋅⋅⋅ ⋅
⋅ ⋅ ⋅⋅⋅
2 2 1 2 2 1 2 1
1 2 3
n n n n n
n
xn
( )( ) ( )
⇒ y
n
n
x
n
n
=
( )!
( !)
2 (1)
Also y x n
= 2
= ⋅
x x
n n
. Let u x v x
n n
= =
and ∴ y uv
=
By Leibnitz’s theorem,
y uv nc u v nc u v nc u v u v
n n n n n n n
= + + +⋅⋅⋅+ +
− − − −
1 1 1 2 2 2 1 1 1
u nxn
1
1
= −
, u n n xn
2
2
1
= − −
( )
u n n n xn
3
3
1 2
= − − ⋅⋅⋅
−
( )( ) ,
u n n n n n x
n
n n
−
− −
= − − ⋅⋅⋅ − −
2
2
1 2 3
( )( ) [ ( )] ( )
= − − ⋅⋅⋅ ⋅
n n n x
( )( )
1 2 3 2
=
− − ⋅⋅⋅ ⋅ ⋅ ⋅
⋅
=
⋅
n n n
x
n
x
( )( ) !
1 2 4 3 2 1
1 2 1 2
2 2
u n n n n n x
n
n n
−
− −
= − − ⋅⋅⋅ − − ⋅
1
1
1 2 2
( )( ) [ ( )] ( )
= − − ⋅⋅⋅ =
n n n x n x
( )( ) !
1 2 2
∴ u n
n = !
Similarly, if v xn
= , then v n
n = !
∴ y x n nC nx n x nC n n x
n
x
n
n n n
= + ⋅ + ⋅ − ⋅
⋅
− −
! ! ( )
!
1
1
2
2 2
1
1 2
+ − −
⋅ ⋅
+⋅⋅⋅+
−
nC n n n x
n
x n x
n n
3
3 3
1 2
1 2 3
( )( )
!
!
M03_ENGINEERING_MATHEMATICS-I _CH03_Part A.indd 23 5/19/2016 2:15:29 PM
3.24 ■ Engineering Mathematics
= + ⋅ ⋅ +
−
⋅
−
⋅
x n n n n x
n n
n n
n
x
n n n
! !
( )
( )
!
1
1 2
1
1 2
+
− −
⋅ ⋅
− −
⋅ ⋅
+⋅⋅⋅+
n n n
n n n
n
x n x
n n
( )( )
( )( )
!
!
1 2
1 2 3
1 2
1 2 3
= + +
−
⋅
+
− −
⋅ ⋅
+⋅⋅⋅+
⎡
⎣
⎢
⎤
n x
n n n n n n
n
!
( ) ( ) ( )
1
1
1
1 2
1 2
1 2 3
1
2
2
2 2
2 2
2 2 2
2 2 2
⎦
⎦
⎥ (2)
From (1) and (2), we get
n x
n n n n n n
n
!
( ) ( ) ( )
1
1
1
1 2
1 2
1 2 3
1
2
2
2 2
2 2
2 2 2
2 2 2
+ +
−
⋅
+
− −
⋅ ⋅
+⋅⋅⋅+
⎡
⎣
⎢
⎤
⎦
⎥
⎥ =
( )!
!
2n
n
xn
⇒ 1
1
1
1 2
1 2
1 2 3
1
2
2
2 2
2 2
2 2 2
2 2 2
+ +
−
⋅
+
− −
⋅ ⋅
+⋅⋅⋅+
n n n n n n
( ) ( ) ( )
=
( )!
( !)
2
2
n
n
.
EXERCISE 3.3
1. If y x x
m
= + +
( )
1 2
, then prove that ( ) ( ) ( )
1 2 1 0
2
2 1
2 2
+ + + + − =
+ +
x y n xy n m y
n n n
.
2. If y x e
a ax
= − − −
( )
1 , then prove that ( )
1− =
x
dy
dx
axy and ( ) ( )
1 0
1 1
− − + − =
+ −
x y n ax y nay
n n n .
3. If y x
= −
tan 1
, then prove that ( ) ( ) ( )
1 2 1 1 0
2
2 1
+ + + + + =
+ +
x y n xy n n y
n n n
.
4. If y x
= −
(sin )
1 2
, then prove that ( ) ( )
1 2 1 0
2
2 1
2
− − + − =
+ +
x y n xy n y
n n n
.
5. If y x
= −
(cos )
1 2
, then prove that ( ) ( )
1 2 1 0
2
2 1
2
− − + − =
+ +
x y n xy n y
n n n
.
6. If y x
= −
sin 1
then prove that (i) ( )
1 0
2
2 1
− − =
x y xy (ii) ( ) ( )
1 2 1 0
2
2 1
2
− − + − =
+ +
x y n xy n y
n n n
7. If cos log
− ⎛
⎝
⎜
⎞
⎠
⎟ =
⎛
⎝
⎜
⎞
⎠
⎟
1 y
b
x
n
n
, then prove that x y n xy n y
n n n
2
2 1
2
2 1 2 0
+ +
+ + + =
( ) .
8. If y x x
= + +
( )
⎡
⎣
⎢
⎤
⎦
⎥
log 1 2
2
, then prove that ( )
1 2
2
2 1
+ + =
x y xy and hence show that
( ) ( )
1 2 1 0
2
2 1
2
+ + + + =
+ +
x y n xy n y
n n n .
9. If y y x
m m
1 1
2
+ =
−
, then prove that ( )
x y xy m y
2
2 1
2
1 0
− + − = and hence show that
( ) ( ) ( )
x y n xy n m y
n n n
2
2 1
2 2
1 2 1 0
− + + + − =
+ + .
10. If x t y pt
= =
sin , sin , then prove that (i) ( )
1 0
2
2 1
2
− − + =
x y xy p y
(ii) ( ) ( ) ( )
1 2 1 0
2
2 1
2 2
− − + − − =
+ +
x y n xy n p y
n n n
M03_ENGINEERING_MATHEMATICS-I _CH03_Part A.indd 24 5/19/2016 2:15:35 PM
Differential Calculus ■ 3.25
3.2 APPLICATIONS OF DERIVATIVE
3.2.1 Geometrical Interpretation of Derivative
Let f be a differentiable function on [a, b].
The graph of f is the set {( , ) ( ), [ , ]}
x y y f x x a b
= ∈ .
That is y f x
= ( ) is the equation of the graph of f,
Let c, c h a b
+ ∈[ , ].
So, that P c f c
( , ( )) and Q c h f c h
( , ( ))
+ + be the
corresponding points of the curvey f x
= ( ).
Then the slope of the chord
PQ
f c h f c
c h c
=
+ −
+ −
( ) ( )
=
+ −
f c h f c
h
( ) ( )
Suppose the point Q moves along the curve towards
P, then the chord PQ approaches to a definite line PT
in the limit as Q P
→ .
This line PT is called the tangent line to the curve at P.
∴ lim( ) lim
( ) ( )
Q p h
PQ
f c h f c
h
→ →
=
+ −
slope of chord
0
= f c
′( ), if the limit exists.
So, when f c
′( ) exists, it is the slope of the tangent PT at P.
∴ the equation of the tangent at P is.
y f c f c x c
− = −
( ) ( )( )
′ .
3.2.2 Equation of the Tangent and the Normal to the Curve y = f(x)
1. The equation of the tangent at ( , )
1 1
x y
The given curve is y f x
= ( ).
Let P x y
( , )
1 1
be any point on the curve.
Let m be the slope of the tangent at ( , )
x y
1 1 . ∴ m
dy
dx x y
=
( , )
1 1
∴ the equation of the tangent at P x y
( , )
1 1
is y y m x x
− = −
1 1
( ).
2. The equation of the normal at ( , )
1 1
x y
The normal at P x y
( , )
1 1
is a straight line through P and perpendicular to the tangent at P.
∴ If m1
is the slope of the normal at P, then m m
⋅ = −
1 1 ⇒ m
m
1
1
= − .
That is the slope of the normal = −
1
the slope of the tangent
.
Fig. 3.1
y
P
T o
θ
Q
x
C C + n
M03_ENGINEERING_MATHEMATICS-I _CH03_Part A.indd 25 5/19/2016 2:15:40 PM
3.26 ■ Engineering Mathematics
∴ the equation of the normal at P x y
( , )
1 1
is
y y
m
x x
− = − −
1 1
1
( ).
Note The derivative ′
f c
( ) of f at c is defined as a real number. However, for geometrical convenience,
we extend the definition to include ±∞.
We define ′ = ∞
f c
( ) , if ′ − = ∞
f c
( ) and ′ + = ∞ = ∞
f c f c
( ) ,
and ( )
′ − if ′ − = −∞
f c
( ) and
′ + = −∞
f c
( ) .
Thus, if dy
dx
= 0, the tangent is parallel to the x−axis.
If
dy
dx
dx
dy
= ∞ =
⎛
⎝
⎜
⎞
⎠
⎟
or 0 , the tangent is parallel to the y−axis.
WORKED EXAMPLES
EXAMPLE 1
Find the equation of the tangent and the normal to the curve x y
2 2
144
2 5 at the point P(13,5).
If the normal at the point P meets the x−axis at G, then find the coordinates of the mid point of
PG.
Solution.
The given curve is x y
2 2
144
− = (1)
Differentiating w.r.to x, we get
2 2 0
x y
dy
dx
− = ⇒ y
dy
dx
x
dy
dx
x
y
= ⇒ = .
At the point (13,5): dy
dx
=
13
5
.
∴ the slope of the tangent at the point P( , )
13 5 is m =
13
5
.
∴ the equation of the tangent at the point P( , )
13 5 is
y x
− = −
5
13
5
13
( ) ⇒ 5 5 13 13
( ) ( )
y x
− = −
⇒ 5 25 13 169
y x
− = − ⇒ 13 5 144 0
x y
− − = (2)
The slope of the normal at the point P( , )
13 5 is m
m
1
1 5
13
= − = − .
∴ the equation of the normal at the point P( , )
13 5 is
M03_ENGINEERING_MATHEMATICS-I _CH03_Part A.indd 26 5/19/2016 2:15:45 PM
Differential Calculus ■ 3.27
y x
− = − −
5
5
13
13
( ) ⇒ 13 5 5 13
( ) ( )
y x
− = − −
⇒ 13 65 5 65
y x
− = − + ⇒ 5 13 130 0
x y
+ − = . (3)
The normal at P( , )
13 5 meets the x−axis at G as in Fig 3.2.
Let M be the midpoint of PG.
To find the coordinates of M:
Since the normal at P meets the x-axis at G, y = 0.
∴ putting y = 0 in (3), we get
5 130 0
x − = ⇒ x = =
130
5
26.
∴ G is ( , )
26 0 and P is ( , )
13 5 .
∴ the coordinates of the midpoint M is 13 26
2
5 0
2
+ +
⎡
⎣
⎢
⎤
⎦
⎥
, = 39
2
5
2
,
⎡
⎣
⎢
⎤
⎦
⎥
.
EXAMPLE 2
Find the points on the curve y x x x x
5 2 1 2 1
4 3 2
6 13 10 5 where the tangents are parallel to the
line y x
5 2 and prove that two of the points have the same tangent.
Solution.
The given curve is y x x x x
= − + − +
4 3 2
6 13 10 5 (1)
Let the tangent at the point ( , )
x y
1 1 on the curve be parallel to the line y x
= 2 .
∴ the slope of the tangent at the point ( , )
x y
1 1
= The slope of the line y x
= 2 .
Since the slope of the line = 2, the slope of the tangent is 2.
Differentiating (1) w.r.to x, we have
dy
dx
x x x
= − + −
4 18 26 10
3 2
∴ the slope of the tangent at the point ( , )
x y
1 1 is m x x x
= − + −
4 18 26 10
1
3
1
2
1
∴ 4 18 26 10 2
1
3
1
2
1
x x x
− + − =
⇒ 4 18 26 12 0
1
3
1
2
1
x x x
− + − = ⇒ 2 9 13 6 0
1
3
1
2
1
x x x
− + − = .
By inspection x1 1
= is a root. The other roots are given by
2 7 6 0
1
2
1
x x
− + =
⇒ ( )( )
2 3 2 0
1 1
x x
− − =
⇒ 2 3 0 2 0
1 1
x x
− = − =
,
∴ x x
1 1
3
2
2
= =
, .
Fig. 3.2
y
M
G(28, 0)
(13, 5)P
x
1 2 9 13 6
0 2 7 6
2 7 6 0
− −
−
−
M03_ENGINEERING_MATHEMATICS-I _CH03_Part A.indd 27 5/19/2016 2:15:54 PM
3.28 ■ Engineering Mathematics
∴ the roots are x1 1 2
3
2
= , ,
When x y
1 1
1 1 6 13 10 5 3
= = − + − + =
,
When x y
1 1
4 3 2
2 2 6 2 13 2 10 2 5
= = − × + × − × +
, = − + − + =
16 48 52 20 5 5.
When x y
1 1
4 3 2
3
2
3
2
6
3
2
13
3
2
10
3
2
5
= =
⎛
⎝
⎜
⎞
⎠
⎟ − ×
⎛
⎝
⎜
⎞
⎠
⎟ + ×
⎛
⎝
⎜
⎞
⎠
⎟ − × +
, = − + − + =
1
16
81 324 468 240 80
15
16
[ ] .
∴ the points are ( , ),( , ), , .
1 3 2 5
3
2
15
16
⎛
⎝
⎜
⎞
⎠
⎟
At these points the tangents to the curve are parallel to the line y x
= 2 .
Now we have to prove that at two of these points, the tangents are equal.
At the point (1, 3)
The equation of the tangent is
y x
− = −
3 2 1
( ) ⇒ y x
− = −
3 2 2 ⇒ 2 1 0
x y
− + = (2)
At the point ( , )
2 5
The equation of the tangent is
y x
− = −
5 2 2
( ) ⇒ y x
− = −
5 2 4 ⇒ 2 1 0
x y
− + = (3)
The equations (2) and (3) are the same.
∴ the tangents at the points ( , )
1 3 , ( , )
2 5 are the same.
EXAMPLE 3
Find the equations of the tangents from the origin to the curve y x x
5 2
4 2
3 5
.
Solution.
The given curve is y x x
= −
4 2
3 5
. (1)
Let a tangent from the origin to the curve touch it at the point P x y
( , )
1 1 .
∴ OP is a tangent to the curve and y x x
1
3
1
5
1
4 2
= − (2)
The slope of OP =
y
x
1
1
, sin ( , ) ( , )
ce x y
1 1 0 0
≠
[ ]
But the slope of OP
dy
dx x y
=
( , )
1 1
.
Differentiating (1) w.r.to x, we get
dy
dx
x x
= −
12 10
2 4 .
At the point P x y
( , )
1 1 : dy
dx
x x
= −
12 10
1
2
1
4.
∴ 12 10
1
2
1
4 1
1
x x
y
x
− = ⇒ 12 10
1
3
1
5
1
x x y
− = (3)
M03_ENGINEERING_MATHEMATICS-I _CH03_Part A.indd 28 5/19/2016 2:16:00 PM
Differential Calculus ■ 3.29
Solving (2) and (3), we find ( , )
x y
1 1 .
From (2) and (3), we get
12 10 4 2
1
3
1
5
1
3
1
5
x x x x
− = − ⇒ 8 8 1
1
5
1
3
1
2
x x x
= ⇒ = ⇒ x1 1
= ± . ({ x x
1 1
3
0 8
≠ , dividing by )
When x1 1
= , y1 4 2 2
= − = .
When x1 1
= − , y1 4 1 2 1 4 2 2
= − − − = − + = −
( ) ( ) .
∴ the points of contact of the tangents from the origin to the curve are ( , )
1 2 and ( , )
− −
1 2 .
At the point ( )
1, 2 :
The slope of the tangent is m
y
x
= = =
1
1
2
1
2.
∴ the equation of the tangent is
y x y x
− = − ⇒ =
2 2 1 2
( ) .
At the point ( )
− −
1, 2 :
The slope of the tangent is m
y
x
= =
−
−
=
1
1
2
1
2.
∴ the equation of the tangent is
y x
− − = − −
( ) ( ( ))
2 2 1
⇒ y x y x
+ = + ⇒ =
2 2 1 2
( ) .
So, from the origin, same tangent is drawn to the curve. See Fig. 3.3.
EXAMPLE 4
Find the equations of the tangent at any point P on y x
2 3
5 . If the tangent at P meets the curve
again at Q and the line OP and OQ (O is the origin) make angles a b
, with the x 2 axis, then
prove that tan 2 tan
a 52 b.
Solution.
The given curve is y x
2 3
= (1)
Let P t t
( , )
2 3
be any point on the curve.
Differentiating (1) w.r.to x, we get
2 3 2
y
dy
dx
x
= ⇒ =
dy
dx
x
y
3
2
2
.
At the point P t t
( )
2
, 3
: dy
dx
t
t
t
= =
3
2
3
2
2 2
3
( )
.
∴ the slope of the tangent at P is m t
=
3
2
.
Fig. 3.3
y
x
o
P
Q
(1, 2)
(−1, −2)
2
− 2
M03_ENGINEERING_MATHEMATICS-I _CH03_Part A.indd 29 5/19/2016 2:16:07 PM
3.30 ■ Engineering Mathematics
∴ the equation of the tangent at P is
y t t x t
− = −
3 2
3
2
( ) ⇒ 2 3
3 2
( ) ( )
y t t x t
− = −
⇒ 2 2 3 3
3 3
y t tx t
− = −
⇒ 2 3 3
y tx t
= − (2)
It meets the curve (1) in Q.
To find Q: Solve (1) and (2).
Squaring (2), we get 4 3
2 3 2
y tx t
= −
( )
∴ 4 9 6
3 2 2 4 6
⋅ = − +
x t x t x t ⇒ 4 9 6 0
3 2 2 4 6
x t x t x t
− + − = (3)
We see x t
= 2
is a root of (3).
Since the line (2) is a tangent at P to the curve, two points of intersection coincide at P.
So, x t
= 2
is a repeated root of (3),
We remove these factors by synthetic division.
∴ the third root is given by
4 0
2
x t
− = ⇒ =
x
t2
4
Substituting in (2), we get
2 3
4 4
2
3
3
y t
t
t
t
= ⋅ ⋅ − = − ⇒ y
t
= −
3
8
.
∴ Q is t t
2 3
4 8
, −
⎛
⎝
⎜
⎞
⎠
⎟
.
Given that OP and OQ make angles a and b with the x−axis.
∴ the slope of OP = tana ⇒ t
t
t
3
2
0
0
−
−
= ⇒ =
tan tan
a a
and the slope of OQ = tanb ⇒
− −
−
=
t
t
3
2
8
0
4
0
tanb ⇒ − =
t
2
tanb ⇒ t = −2tanb
∴ tan tan
a b
= −2 .
EXAMPLE 5
If the tangent at ( , )
1 1
x y to the curve x y a
3 3 3
1 5 meets the curve in ( , )
h k , then show that
h
x
k
y
1 1
1 0
1 1 5 .
t t t t
t t t
t t t
t t
t
2 2 4 6
2 4 6
2 2 4
2 4
2
4 9 6
0 4 5
4 5 0
0 4
4 0
− −
−
−
−
−
y
x
Q
o
P(t2
, t3
)
Fig. 3.4
M03_ENGINEERING_MATHEMATICS-I _CH03_Part A.indd 30 5/19/2016 2:16:15 PM
Differential Calculus ■ 3.31
Solution.
Given curve is x y a
3 3 3
+ = (1)
Also given ( , )
x y
1 1
is a point on (1). ∴ x y a
1
3
1
3 3
+ = (2)
Differentiating (1) w.r.to x, we get
3 3 0
2 2
x y
dy
dx
+ = ⇒ y
dy
dx
x
2 2
= − ⇒ dy
dx
x
y
=
− 2
2
.
At the point P x y
( , )
1 1 :
dy
dx
x
y
= − 1
2
1
2
.
∴ the slope of the tangent at the point ( , )
x y
1 1 is m
x
y
= − 1
2
1
2
.
∴ the equation of the tangent at the point ( , )
x y
1 1
is
y y
x
y
x x
− = − −
1
1
2
1
2 1
( ) ⇒ y y y x x x
1
2
1
3
1
2
1
3
− = − +
⇒ x x y y x y
1
2
1
2
1
3
1
3
+ = + ⇒ x x y y a
1
2
1
2 3
+ = [using (2)]
This tangent meets the curve in ( , )
h k . ∴ x h y k a
1
2
1
2 3
+ = (3)
( , )
h k is a point on the curve ∴ h k a
3 3 3
+ = (4)
( ) ( )
3 4
− ⇒ x h y k h k
1
2
1
2 3 3
0
+ − − =
⇒ h x h k y k
( ) ( )
1
2 2
1
2 2
0
− + − = ⇒ h x h k y k
( ) ( )
1
2 2
1
2 2
− = − − (5)
( ) ( )
2 3
− ⇒ x y x h y k
1
3
1
3
1
2 2
1
2
0
+ − − =
⇒ x x h y y k
1
2
1 1
2
1 0
( ) ( )
− + − = ⇒ x x h y y k
1
2
1 1
2
1
( ) ( )
− = − − (6)
∴ ( )
( )
5
6
⇒
h x h
x x h
k y k
y y k
( )
( )
( )
( )
1
2 2
1
2
1
1
2 2
1
2
1
−
−
=
− −
− −
⇒ h x h
x
k y k
y
( ) ( )
1
1
2
1
1
2
+
=
+ ⇒ h
x
h
x
k
y
k
y
1
2
1
2
1
2
1
2
+ = +
⇒ h
x
k
y
h
x
k
y
1 1
2
1
2
2
1
2
0
− + − = ⇒ h
x
k
y
h
x
k
y
h
x
k
y
1 1 1 1 1 1
0
− + −
⎛
⎝
⎜
⎞
⎠
⎟ +
⎛
⎝
⎜
⎞
⎠
⎟ =
⇒ h
x
k
y
h
x
k
y
1 1 1 1
1 0
−
⎛
⎝
⎜
⎞
⎠
⎟ + +
⎡
⎣
⎢
⎤
⎦
⎥ =
⋅
M03_ENGINEERING_MATHEMATICS-I _CH03_Part A.indd 31 5/19/2016 5:01:16 PM
3.32 ■ Engineering Mathematics
⇒ 1
1 1
+ +
h
x
k
y
= 0 {
h
x
k
y
h k x y
1 1
1 1
0
− ≠
⎡
⎣
⎢
⎤
⎦
⎥
as and are different points
( , ) ( , )
∴
h
x
k
y
1 1
1 0
+ + =
EXAMPLE 6
If the tangent at three points t1
, t2
, t3
on the curve x
t
t
y
t
t
5
1
5
1
2
3
3
3
1
,
1
are concurrent, Prove
that t t t
1 2 3 0
1 1 5 .
Solution.
The equation of the curve is given in parametric form
x
t
t
=
+
2
3
1
(1) and y
t
t
=
+
3
3
1
(2)
First we find the equation of the tangent at any point ‘t’ on the curve.
Differentiating (1) and (2) w.r.to t, we get
dx
dt
t t t t
t
t t t
t
t t
t
=
+ − ⋅
+
=
+ −
+
=
−
+
( )
( ) ( ) ( )
1 2 3
1
2 2 3
1
2
1
3 2 2
3 2
4 4
3 2
4
3 2
.
.
( )
( ) ( ) (
dy
dt
t t t t
t
t t t
t
t
t
=
+ − ⋅
+
=
+ −
+
=
+
1 3 3
1
3 3 3
1
3
1
3 2 3 2
3 2
2 5 5
3 2
2
3
)
)2
∴
dy
dx
dy dt
dx dt
t
t
t t
t
t
t t
t
t
= =
+
−
+
=
−
=
−
/
/
( )
( )
.
3
1
2
1
3
2
3
2
2
3 2
4
3 2
2
4 3
∴ slope of the tangent at ‘t’ is m
t
t
=
−
3
2 3
.
∴ the equation of the tangent at ‘t’ is
y
t
t
t
t
x
t
t
−
+
=
−
−
+
⎛
⎝
⎜
⎞
⎠
⎟
3
3 3
2
3
1
3
2 1
⇒
( ) ( )
1
1
3
2
1
1
3 3
3 3
3 2
3
+ −
+
=
−
+ −
+
⎡
⎣
⎢
⎤
⎦
⎥
t y t
t
t
t
t x t
t
⇒
( ) [( ) ]
1
3
2
1
3 3
3
3 2
+ − =
−
+ −
t y t
t
t
t x t
⇒ ( )( ) ( ) ( )
1 2 2 3 1 3
3 3 3 3 3 3
+ − − − = + −
t t y t t t t x t
⇒ ( )( ) ( )
1 2 3 1 2 3
3 3 3 3 6 3
+ − = + + − −
t t y t t x t t t
⇒ ( )( ) ( ) ( )
1 2 3 1 1
3 3 3 3 3
+ − = + − +
t t y t t x t t
M03_ENGINEERING_MATHEMATICS-I _CH03_Part A.indd 32 5/19/2016 5:01:22 PM
Differential Calculus ■ 3.33
⇒ ( )
2 3
3 3
− = −
t y tx t [Dividing by (1 + t3
)]
⇒ 3 2 0
3 3
tx t y t
+ − − =
( ) ⇒ ( ) .
y t tx y
− + − =
1 3 2 0
3
∴ the equation of the tangent at t1
, t2
, t3
are
( ) , ( ) , ( ) .
y t xt y y t xt y y t xt y
− + − = − + − = − + − =
1 3 2 0 1 3 2 0 1 3 2 0
1
3
1 2
3
2 3
3
3
Given that the three tangents at t1
, t2
, t3
are concurrent.
Let (x1
, y1
) be the point of concurrency.
∴ the point (x1
, y1
) will satisfy the equations of the tangents at t1
, t2
, t3
.
∴ ( ) ,
y t x t y
1 1
3
1 1 1
1 3 2 0
− + − = ( )
y t x t y
1 2
3
1 2 1
1 3 2 0
− + − = and ( ) .
y t x t y
1 3
3
1 3 1
1 3 2 0
− + − =
These three equations imply that t1
, t2
, t3
are the roots of the equation
( )
y t x t y
1
3
1 1
1 3 2 0
− + − =
∴ sum of the roots = −
coeff
coeff
t
t
2
3
⇒ t t t
y
1 2 3
1
0
1
0.
+ + =
−
=
EXERCISE 3.4
1. Find the equation of tangents to the curve y x x
= − −
( )( )
3
1 2 at the point where it meets the x-axis.
2. Find the equation of the tangents from the origin to the curvey x
= +
2 1
2
.
3. Find the equation of normal to the curve 3 8
2 2
x y
− = which is parallel to the line x + 3y = 4.
4. Find the equation of the tangent to the curve y x x
= −
7 2
at the point (3, 12) on it. Also find the
equation of the normal at the point.
5. Find the points on the curve y x x
2 2
2 3
= −
( ) at which the tangents are parallel to the x-axis.
6. Find the points on the curve y x a x
3 2
2
= −
( ), where the tangents are parallel to y-axis.
7. If the tangent at (x1
, y1
) on the curve y3
+ x3
– 9xy + 1 = 0 is parallel to the x-axis, prove that at
the point
d y
dx x
2
2
1
3
18
27
=
−
.
8. Find the equation of the tangent to the curve x
t
t
y
t
t
=
−
+
=
+
−
1
1
1
1
, at the point t = 2.
9. Find the abscissa of the point on the curve ay2
= x3
at which the normal cuts off equal intercepts
on the coordinate axes.
[Hint: A line makes equal intercepts if its slope = 1 or −1].
10. If the tangent at (1, 3) on the parabola y = 4x − x2
cuts the parabola y = x2
− 6x + k at two different
points, find the values of k.
11. Find the equation of the tangent to the curve x2
+ 4y2
=16 at the point which is such that it is the
mid point of the portion of the tangent intercepted between the coordinate axes.
12. Find the points on x2
= y3
at which the normal pass through (0, 4).
13. The curve y = ax2
+ bx + c passes through the points (−1, 0) and (0, −2). The tangent to the curve
at the latter point makes 135° with the x-axis.
14. If p, q are the lengths of the perpendiculars from the origin to the tangent and normal at a point
on x y a
2 3 2 3 2 3
/ / /
+ = , then prove that 4 2 2 2
p q a
+ = .
M03_ENGINEERING_MATHEMATICS-I _CH03_Part A.indd 33 5/19/2016 5:01:29 PM
3.34 ■ Engineering Mathematics
15. Show that the portion of the tangent at any point on x y a
m n m n
= +
intercepted between the
coordinate axes is divided by the point in the ratio m : n.
16. Find the equation of the straight line which is tangent at one point and normal at another point of
the curve x = 3t, y = 2t3
.
17. Find all the tangents to the curve y = cos (x + y), − ≤ ≤
2 2
p p
x , that are parallel to the line
x + 2y = 0.
18. Prove that the condition for the line x y p
cos sin
a a
+ = to touch the curve x y a
m n m n
= +
is
p m n m n a
m n m n m n m n m n
+ + +
= +
⋅ ( ) cos sin
a a.
19. Find the equation of the tangent and the normal to the curve y
x
x
2
3
4
=
−
at the point (2, −2).
20. Find the equation of the tangent and the normal to the curve y x x x
( )( )
− − − + =
2 3 7 0 at the
point where it cuts the x-axis.
21. Prove that the line
x
a
y
b
+ = 1 touches the curve y b e x a
= −
at the point where the curve crosses
the y-axis.
22. If x y p
cos sin
a a
+ = touches the curve
x
a
y
b
n n n n
⎛
⎝
⎜
⎞
⎠
⎟ +
⎛
⎝
⎜
⎞
⎠
⎟ =
− −
( ) ( )
1 1
1, then prove that
( cos ) ( sin )
a b p
n n n
a a
+ = .
ANSWERS TO EXERCISE 3.4
1. y + 3x =3; y − 7x + 14 = 0
2. y x
= ±2 2
3. x + 3y + 8 = 0
4. y = x + 9; y = x + 15
5. (1, 2); (1, −2)
6. (0, 0); (2a, 0)
8. 9x + y − 6 = 0
9.
4
9
a
10. k  17
11. x y x y
x y x y
+ = − =
+ = − − = −
2 4 2 2 4 2
2 4 2 2 4 2
, ,
, .
12. ±
⎛
⎝
⎜
⎞
⎠
⎟
8
3 2
4
3
,
13. a b c
= = = −
1 1 2
, , . At (2, 0) the equation of
the tangent is y x
= −
3 6
16. y x
= ± 2( 2)
−
17. y x y x
= − −
⎛
⎝
⎜
⎞
⎠
⎟ = − +
⎛
⎝
⎜
⎞
⎠
⎟
1
2 2
1
2
3
2
p p
; .
19. 2 2 0 2 6 0
x y x y
+ − = − − =
; .
20. x y x y
− − = + − =
20 7 0 20 140 0
;
3.2.3 Length of the Tangent, the Sub-Tangent, the Normal and the Sub-normal
Proof: Let y f x
= ( ) be the equation of the given curve. Let P(x, y) be any point on the curve.
Let the tangent at the point P(x, y) meet the x-axis at T. Let the normal at the point P meet the
x−axis at N.
Draw PM perpendicular to the x-axis.
∴ TM is the projection of PT on the x-axis and MN is the projection of PN on the x-axis.
(i) PT is the length of the tangent at the point P(x, y)
(ii) PN is the length of the normal at the point P(x, y)
M03_ENGINEERING_MATHEMATICS-I _CH03_Part A.indd 34 5/19/2016 5:01:35 PM
Differential Calculus ■ 3.35
(iii) TM is the length of the sub−tangent at P
(iv) MN is the length of the sub−normal at P.
Let the tangent at P make an angle c with the x-axis.
That is PTN = c.
Since angle between two lines is equal to the angle
their perpendiculars, MPN = c.
∴ from Δ TPM, sinc =
PM
PT
⇒ PT
PM
=
sinc
= = +
y y
cosecc c
1 2
cot
We know that tanc =
⎛
⎝
⎜
⎞
⎠
⎟ =
dy
dx
y
P
1 ∴ cot c =
1
1
y
∴ PT y
y
y
y
y
= + = +
1
1
1
1
2
1
1
2
∴ Length of the tangent = +
y
y
y
1
1
2
1 .
From Δ PMN, cosc =
PM
PN
⇒ PN
PM
y
= =
cos
sec
c
c = + = +
y y y
1 1
2
1
2
tan c
∴ Length of the normal = +
y y
1 1
2
.
Length of the sub−tangent = TM
Length of the sub−normal = MN
From Δ PTM, tanc =
PM
TM
⇒ TM
PM y
y
= =
tanc 1
∴ Length of the sub-tangent =
y
y1
From ΔPMN , tanC =
MN
PM
⇒ MN PM
= tanC = yy1
∴ Length of the sub-normal = yy1
Length of the tangent is y
y
y
1
1
2
11 and Length of the normal is y y
1 1
2
1
Length of the sub-tangent is y
y1
and Length of the sub-normal is yy1
where y f x y
dy
dx atP x y
5 5
( ), 1
( , )
⎛
⎝
⎜
⎞
⎠
⎟ .
y
Normal
Tangent
y
o T M N
P
ψ
ψ
(x, y)
Fig. 3.5
M03_ENGINEERING_MATHEMATICS-I _CH03_Part A.indd 35 5/19/2016 5:01:47 PM
3.36 ■ Engineering Mathematics
WORKED EXAMPLES
EXAMPLE 1
Prove that the sub-normal at any point of the ellipse
x
a
y
b
2
2
2
2
1
1 5 varies as the abscissa of the
point.Also find the length of the sub-tangent, tangent and normal at that point.
Solution.
The given curve is the ellipse
x
a
y
b
2
2
2
2
1
+ = (1)
Let P x y
( , ) be any point on the curve.
Differentiating (1) w.r.to x, we get
2 2
0
2 2
x
a
y
b
dy
dx
+ = ⇒
dy
dx
b
a
x
y
= −
2
2
.
At the point P ( , )
x y : y1 = −
b
a
x
y
2
2
⋅ .
Length of the sub-normal = yy1 = ⋅ −
⎛
⎝
⎜
⎞
⎠
⎟ = − =
y
b
a
x
y
b
a
x k x
2
2
2
2
, where k
b
a
= +
2
2
∴ the sub-normal varies as the abscissa of the point.
Length of the sub-tangent =
y
y1
=
−
=
y
b
a
x
y
a
b
y
x
2
2
2
2
2
.
Length of the tangent = +
y
y
y
1
1
2
1
Now 1 1
1
2
4
4
2
2
2 2
4
2
4
+ = + = +
y
b
a
x
y
b
y
x
a
y
b
∴ Length of the tangent =
−
+
y
b
a
x
y
b
y
x
a
y
b
2
2
2 2
4
2
4
. = a
x
a
y
b
y
2
2
4
2
4
+ .
and Length of the normal = y y
1 1
2
+ = y
b
y
x
a
y
b
.
2 2
4
2
4
+ = b
x
a
y
b
2
2
4
2
4
+
EXAMPLE 2
Find the length of the tangent, normal, sub-tangent and sub-normal for the cycloid
x a t t y a t
5 1 5 2
( sin ), (1 cos ).
M03_ENGINEERING_MATHEMATICS-I _CH03_Part A.indd 36 5/19/2016 5:01:54 PM
Differential Calculus ■ 3.37
Solution.
The given curve is the cycloid
x a t t
= +
( sin ) (1) and y a t
= −
( cos )
1 (2)
Differentiating (1) and (2) w.r.to t, we get
dx
dt
a t a
t dy
dt
a t a
t t
= + = = =
( cos ) cos sin sin cos
1 2
2
2
2 2
2
and
∴
dy
dx
dy dt
dx dt
a
t t
a
t
t
= = =
/
/
2
2 2
2
2
2
2
sin cos
cos
tan ∴ y
t
1
2
= tan .
Length of the tangent =
y
y
y
a t
t
t
1
1
2 2
1
1
2
1
2
+ =
−
+
( cos )
tan
tan
= ⋅ = ⋅ ⋅ =
2
2
2
2
2
2
2
2 2
2
2
2 2
a
t
t
t
a
t
t
t t
a
t
sin
tan
sec
sin
sin
cos sec sin , ( )
{ 0 2
≤ ≤
t p
Length of the sub-tangent =
y
y
a t
t
a
t
t
1
2
1
2
2
2
2
=
−
=
( cos )
tan
sin
tan
= ⋅ = =
2
2
2
2
2
2 2
2
a
t
t
t
a
t t
a t
sin
sin
cos sin cos sin .
Length of the normal = y y a t
t
1 1 1
2
1
2 2
+ = − +
( cos ) tan
= ⋅ = = ⋅
2
2 2
2 2
2
2
2 2
2
2
a
t t
a
t
t
a
t t
sin sec
sin
cos
tan sin
Length of sub-normal = yy1 = − ⋅ =
a t
t
a
t t
( cos ) tan sin tan .
1
2
2
2 2
2
M03_ENGINEERING_MATHEMATICS-I _CH03_Part A.indd 37 5/19/2016 5:01:58 PM
3.38 ■ Engineering Mathematics
EXERCISE 3.5
1. Show that the length of the sub-normal at any point on the exponential curve y bex a
= /
varies as
the square of the ordinate.
2. For the curve y a x a
= = +
⎡
⎣
⎢
⎤
⎦
⎥
sin , log cot cos .
u
u
u
2
Find the length of the tangent, normal,
sub-tangent and sub-normal at u
p
=
4
.
3. Show that in the curve by2
= (x + a)3
, the square of the sub-tangent varies as the sub-normal.
4. Show that in the parabola y2
= 4ax, the sub-tangent at any point is double the abscissa and the sub
normal is constant.
5. Find the value of n for which the length of the subnormal of the curve xyn
= an+1
is constant.
6. Prove that the sub-tangent for any point on the curve y be
x
a
= is of constant length.
7. Find the length of the sub-tangent and sub-normal at the point ‘t’on the curve x = a (cost + t sint)
and y = a (sint − t cost).
ANSWERS TO EXERCISE 3.5
2. a 13,
a 13
5
,
5
2
a
,
a
5 2
5. n = −2
7. a (sint − t cost)cost, a (sint − t cost) tant.
3.2.4 Angle between the Two Curves
The angle between two curves at a point of intersection is defined as the angle between the tangents
to the curves at the point.
Let the two curves C1
, C2
intersect at the point P. Let m1
, m2
be the slopes of the tangents at the
point P of the two curves
If u is the angle between the two tangents, then tan u =
m m
m m
1 2
1 2
1
−
+
.
Note
(1) This formula always gives the acute angle between the two curves.
(2) When this formula is used for further algebraic computations, we use it as tan u = ±
−
+
⎛
⎝
⎜
⎞
⎠
⎟
m m
m m
1 2
1 2
1
.
If u = 90°, then curves intersect orthogonally at the point P.
In this case, tan u = tan 90° = ∞ ⇒ 1 + m1
m2
= 0 ⇒ m1
m2
= −1
Conversely, if m1
m2
= −1, then tan u = ∞ ⇒ u = 90°.
∴ the condition for two curves to intersect orthogonally at the point P is m m
1 2 1
52 .
(3) If u = 0, then tanu = 0 ⇒ m1
= m2
.
Conversely, if m1
= m2
, then u = 0.
∴ the condition for two curves to touch at the point P is m1
= m2
.
(4) If f (x, y) = 0 is a rational algebraic equation passing through the origin (0, 0), then the equation
of the tangent at the origin is obtained by equating the lowest degree terms to zero.
For example, the tangent at the origin to the parabola y2
= 4x is x = 0.
M03_ENGINEERING_MATHEMATICS-I _CH03_Part A.indd 38 5/19/2016 5:02:06 PM
Differential Calculus ■ 3.39
(5) If the equation of the curve is in implicit form f(x, y) = 0, then
dy
dx
f
f
x
y
= − , where fx
, fy
are partial
differential coefficients of f w.r.to x and y respectively.
WORKED EXAMPLES
EXAMPLE 1
Find the angle of intersection of the curves x2
5 2y and x2
1 y2
5 8.
Solution:
The given curves are
x2
= 2y (1) and x2
+ y2
= 8 (2)
To find the point of intersection solve (1) and (2).
∴ 2y + y2
= 8
⇒ y2
+ 2y − 8 = 0 ⇒ (y + 4) (y − 2) = 0 ⇒ y = −4, 2.
When y = 2, x2
= 4 ⇒ x = ± 2.
When y = 4, x2
= −8  0. ∴ x is imaginary.
∴ the points of intersection are P(2, 2) and Q(−2, 2).
Differentiating (1) w.r.to x, we get
2 2 1
dy
dx
x
dy
dx
x m
= ⇒ = =
Differentiating (2) w.r.to x, we get
2 2 0
x y
dy
dx
+ = ⇒
dy
dx
y
x
m
= − = 2
At the point (2, 2): m1 2
= and m2
2
2
1
= − = −
Let u1 be the angle between the curves at the point (2, 2).
∴ tanu1
1 2
1 2
1
=
−
+
m m
m m
=
+
+ −
=
−
=
2 1
1 2 1
3
1
3
( )
⇒ u1
1
3
= −
tan .
At the point Q(22, 2)
m m
1 2
2
2
2
1
= − = −
−
=
and
( )
Let u2 be the angle between the curves (−2, 2)
∴ tanu2
1 2
1 2
1
=
−
+
m m
m m
=
− −
+ −
=
−
−
=
2 1
1 2 1
3
1
3
( )
.
⋅
⇒ u2
1
3
= −
tan .
∴ the angle of intersection of the curves at the points P(2, 2) and Q(−2, 2) are the same.
M03_ENGINEERING_MATHEMATICS-I _CH03_Part A.indd 39 5/19/2016 5:02:11 PM
3.40 ■ Engineering Mathematics
EXAMPLE 2
Show that the ellipse 4 9 72
2 2
x y
1 5 cuts the hyperbola x y
2 2
5
2 5 orthogonally.
Solution.
The given curves are
4 9 72
2 2
x y
+ = (1) and x y
2 2
5
− = (2)
The two curves are symmetric with respect to both the axes.
Let ( , )
x y
1 1 be any point of intersection.
Let m m
1 2
, be the slopes of the tangents at the point ( , )
x y
1 1 .
Differentiating (1) w.r.to x, we get
8 18 0
x y
dy
dx
+ = ⇒ dy
dx
x
y
x
y
=
−
=
−
8
18
4
9
Differentiating (2) w.r.to x,we get
2 2 0
x y
dy
dx
− = ⇒ dy
dx
x
y
= .
At the point ( , )
1 1
x y :
m
x
y
1
1
1
4
9
=
−
and m
x
y
2
1
1
= .
Now m m
1 2
× =
−
⋅ = −
4
9
4
9
1
1
1
1
1
2
1
2
x
y
x
y
x
y
. (3)
Since, ( , )
x y
1 1 is a point on both the curves.
4 9 72
1
2
1
2
x y
+ = (4) and x y
1
2
1
2
5
− = (5)
(5) × 4 ⇒ 4 4 20
1
2
1
2
x y
− = (6)
Subtracting, (4) − (6) ⇒ 13 52
1
2
y = ⇒ y1
2 52
13
= = 4.
∴ x1
2
4 5
− = ⇒ x1
2
9
=
∴ m m
1 2
4
9
9
4
1
= − ⋅ = − .
Hence, the curves cut orthogonally at the point ( , )
x y
1 1 .
Since ( , )
x y
1 1
is an arbitrary point of intersection, it follows that the two curves cut orthogonally
at all the points of intersection.
EXAMPLE 3
Show that the condition for ax by
2 2
1
1 5 and ′ ′
a x b y
2 2
1
1 5 to cut orthogonally is 1 1 1 1
a b a b
2 5 2
′ ′
.
Solution.
The given curves are
ax by
2 2
1
+ = (1) and ′ + ′ =
a x b y
2 2
1 (2)
Let ( , )
x y
1 1
be any point of intersection of (1) and (2).
M03_ENGINEERING_MATHEMATICS-I _CH03_Part A.indd 40 5/19/2016 5:02:24 PM
Differential Calculus ■ 3.41
Let m m
1 2
, be the slope of the tangents to the curves at the point ( , )
x y
1 1 .
Differentiating (1) w.r.to x, we get
2 2 0
ax by
dy
dx
+ = ⇒ dy
dx
ax
by
= − .
Differentiating (2) w.r.to x, we get
2 2 0
′ + ′ =
a x b y
dy
dx
⇒ dy
dx
a x
b y
= −
′
′
.
At the point ( , )
1 1
x y :
m
ax
by
1
1
1
= − and m
a x
b y
2
1
1
= −
′
′
.
The condition for orthogonality is
m m
1 2 1
= − = − ⋅ −
′
′
⎛
⎝
⎜
⎞
⎠
⎟ = −
ax
by
a x
b y
1
1
1
1
1 ⇒ aa x
bb y
′
′
= −
1
2
1
2
1 (3)
Since ( , )
x y
1 1 is a point on the two curves, we get
ax by a x b y
1
2
1
2
1
2
1
2
1 1
+ = ′ + ′ =
and
∴ ax by a x b y
1
2
1
2
1
2
1
2
+ = ′ + ′ ⇒ ( ) ( )
a a x b b y
− ′ = − − ′
1
2
1
2
⇒ x
y
b b
a a
1
2
1
2
= −
− ′
− ′
( )
( )
Substituting in (3), we get
aa
bb
b b
a a
′
′
−
− ′
− ′
⎡
⎣
⎢
⎤
⎦
⎥ = −
( )
1 ⇒ aa
bb
b b
a a
′
′
⋅
− ′
− ′
⎡
⎣
⎢
⎤
⎦
⎥ = 1
⇒ b b
bb
a a
aa
− ′
′
=
− ′
′
⇒ 1 1 1 1
′
− =
′
−
b b a a
⇒ 1 1 1 1
a b a b
− =
′
−
′
.
EXAMPLE 4
Show that the curves y x x
5 1 2
6 2
and y
x
x
5
1
2
2
1
touch at the point (2, 4). Also find the
equation of the common tangent at the point (2, 4).
Solution.
The given curves are
y x x
= + −
6 2
(1) and y
x
x
=
+
−
2
1
(2)
When x = 2, from (1), y = + − =
6 2 4 4. ∴ (2, 4) is a point on (1).
When x = 2, from (2), y =
+
−
=
2 2
2 1
4. ∴ (2, 4) is a point on (2).
∴ the point (2, 4) satisfies the equations of the two curves and it is a common point.
Now to prove that the two curves touch each other at the point (2, 4).
That is to prove the slope of the tangents to the curves are equal at the point (2, 4).
Let m1
and m2
be the slopes of the tangents to the curves at the point (2, 4)
M03_ENGINEERING_MATHEMATICS-I _CH03_Part A.indd 41 5/19/2016 5:02:34 PM
3.42 ■ Engineering Mathematics
To prove m m
1 2
5
Differentiating (1) w.r.to x, we get
dy
dx
x
= −
1 2 .
Differentiating (2) w.r.to x, we get
dy
dx
x x
x x
=
− ⋅ − + ⋅
−
=
−
−
( ) ( )
( ) ( )
1 1 2 1
1
3
1
2 2
.
At the point (2, 4):
m1 1 2 2 1 4 3
= − × = − = − and m2 2
3
2 1
3
= −
−
= −
( )
.
∴ at the point (2, 4), m1
= m2
.
Hence, the two curves touch each other at the point (2, 4).
The equation of the common tangent at the point (2, 4) is
y x
− = − −
4 3 2
( ) = − +
3 6
x ⇒ 3x + y − 10 = 0.
EXERCISE 3.6
I. Find the angle of intersection of the following pairs of curves.
1. x y a
2 2 2
− = and x y a
2 2 2
2
+ = 2. xy = 10 and x2
+ y2
= 21
3. y = 2x and y2
(5 − x) = x3
4. y2
= 4x and x2
= 4y
5. xy = a2
and x2
+ y2
=2x
6. x2
= ay and x3
+ y3
= 3axy, at the point other than the origin.
7. y = 2x and x3
+ y3
= 6xy 8. 2y2
= ax and x2
= 4ay
9. y2
= 4x and 8x2
+ y2
− 6y = 0 at the point (0, 0) 10. y = 4 − x and y = 4 −
x2
2
11. Find the angle of intersection of the curves y x
=
1
4
3
and y x
= −
6 2
at the point (2, 2).
12. Show that the curves y
x
x
=
+
+
3
1
2
and y
x x
x
=
− +
−
2
7 11
1
cut each other at the point (2, 1) at an angle
of 45°.
13. Find the angle of intersection of the parabolas y ax
2
4
= and x ay
2
4
= .
II. Show that the curves touch at the indicated points and find the equation of the common
tangent.
1. y x x x
= − − −
3 2
3 8 4 and y x x
= + +
3 7 4
2
at the point (−1, 0).
2. x2
= ay and x3
+ y3
= 3axy at the point (0, 0)
3. y x
= −
2 3
sin and y
x
= −
3
2 6
2
p
p
at the point
p
3
0
,
⎛
⎝
⎜
⎞
⎠
⎟
4. y = x3
+ x +1 and 2y = x3
+ 5x at the point (1, 3)
III. Show that the following pairs of curves cut orthogonally.
1. x2
– y2
= 8 and xy = 3 2. x3
– 3xy2
= –2 and y3
– 3x2
y = –2 at the point (1, 1)
3. x3
+ y3
+ 2y + x = 0 and xy + 2x = y at the origin (0, 0).
4. y x
= 2
and 6 7 2
y x
= − at the point (1, 1). 5. y x
2
4 1
= +
( ) and y x
2
36 9
= −
( ).
M03_ENGINEERING_MATHEMATICS-I _CH03_Part A.indd 42 5/19/2016 5:02:42 PM
Differential Calculus ■ 3.43
ANSWERS TO EXERCISE 3.6
I.
1.
p
4
2. tan− ⎛
⎝
⎜
⎞
⎠
⎟
1 21
20
3. tan− ⎛
⎝
⎜
⎞
⎠
⎟
1 1
3
and tan− ⎛
⎝
⎜
⎞
⎠
⎟
1 1
2
4. tan− ⎛
⎝
⎜
⎞
⎠
⎟
1 3
4
and
p
2
5. 0, the curves touch each other. 6. tan ( )
/
−1 13
2
7. tan ,tan ( )
− −
⎛
⎝
⎜
⎞
⎠
⎟
1 1
6
13
2 8.
p
2
3
5
1
, tan− ⎛
⎝
⎜
⎞
⎠
⎟ 9.
p
2
10.
p
4
1
3
1
, tan− ⎛
⎝
⎜
⎞
⎠
⎟ 11. tan− ⎛
⎝
⎜
⎞
⎠
⎟
1 7
11
13. tan− ⎛
⎝
⎜
⎞
⎠
⎟
1 3
4
II.
1. y = x + 1 2. y = 0 3. y x
− + =
p
3
0 4. 4x − y = 1.
3.3 MEAN-VALUE THEOREMS OF DERIVATIVES
The mean−value theorems for derivatives play an important role in calculus because many basic
properties of functions can be deduced from it. However, mean−value theorems are obtained from a
special case due to the French Mathematician Michael Rolle.
3.3.1 Rolle’s Theorem
Let f be a real function defined on the closed interval [a, b] such that
(i) f is continuous on [a, b]
(ii) f is derivable in the open interval (a, b) and
(iii) f(a) = f(b), then there exists at least one point c a b
∈( , ) such that ′
f c
( ) 0
5 .
Geometrical Meaning of Rolle’s Theorem
If y f x
= ( ) be a continuous curve with end points A B
and , having tangent at every point between
A B
and and the ordinates of A B
and are equal, then there exists at least one point Pon the curve
between A B
and such that the tangent at Pis parallel to the x-axis.
The geometrical meaning is clear from the diagrams.
y
o a b x
A B
P
y
o a b x
A
B
P1
P2
Fig. 3.6 Fig. 3.7
M03_ENGINEERING_MATHEMATICS-I _CH03_Part A.indd 43 5/19/2016 5:02:53 PM
3.44 ■ Engineering Mathematics
Algebraic Meaning
If a and b are two consecutive roots of the polynomial equation f x
( ) ,
= 0 then there is at least one root
of ′ =
f x
( ) ,
0 between a and b.
Physical Meaning
The instantaneous rate of change of f at some point c between a and b is zero.
WORKED EXAMPLES
EXAMPLE 1
Test the application of Rolle’s theorem for the following functions.
(i) x on[ 1, 1]
2 (ii) cos
1
on[ 1, 1]
x
2
(iii) x2
on[2, 3] (iv) tan on[0, ].
x p
Solution.
(i) Let f x x x
( ) , 1 1.
= − ≤ ≤ Then f is continuous on [ , ]
−1 1
and f f
( ) , ( )
− = − = = =
1 1 1 1 1 1 ∴ f f
( ) ( ).
− =
1 1
We have f x
x x
x x
( ) =
− − ≤
≤ ≤
⎧
⎨
⎩
if
if
1 0
0 1

∴ ′ =
− −
⎧
⎨
⎩
f x
x
x
( )
1 1 0
1 0 1
if
if
 
 
∴ ′ ≠ ′
− +
f f
( ) ( )
0 0 ∴ ′
f ( ) .
0 does not exist
Hence, the second condition is not satisfied.
So, Rolle’s theorem can not be applied.
(ii) Let f x
x
x
( ) cos , [ , ]
= ∈ −
1
1 1
f f
( ) cos( ) cos , ( ) cos
− = − = =
1 1 1 1 1 ∴ f f
( ) ( )
− =
1 1
But f is not continuous at x = 0. So, ′
f ( ) .
0 does not exist
∴ Rolle’s theorem can not be applied
(iii) Let f x x x
( ) , [ , ]
= ∈
2
2 3 and f is continuous and differentiable on [2, 3]
But f ( )
2 2 4
2
= = and f f f
(3) 3 (2) (3).
= ∴
2
9
= ≠
Hence, Rolle’s theorem can not be applied.
(iv) Let f x x x
( ) tan ,
= ≤ ≤
0 p
When x x
= = = ∞
p p
2 2
, tan tan and so, the function f x
( ) is discontinuous at
p
2
.
Hence, first condition is not satisfied.
But f f
( ) ( )
0 0 0
= =
and p ∴ f f
( ) ( ).
0 = p
Hence, Rolle’s theorem can not be applied.
M03_ENGINEERING_MATHEMATICS-I _CH03_Part A.indd 44 5/19/2016 5:03:09 PM
Differential Calculus ■ 3.45
EXAMPLE 2
If a0
, a1
, a2
, … an
are real numbers such that
a
n
a
n
a
n
a
a
n
n
0 1 2 1
1 1 2
0
1
1 1
2
1 1 1 5
2
… , then there
exists at least one x in (0, 1) such that a x a x a x a x a
n n n
n n
0 1
1
2
2
1 0.
1 1 1 1 1 5
2 2
2
…
Solution.
Consider the function
f x a
x
n
a
x
n
a
x
n
a
x
a x x
n n n
n n
( ) , ,
=
+
+ +
−
+ + + ∈[ ]
+ −
−
0
1
1 2
1
1
2
1 1 2
0 1
…
Then f(0) = 0
and f
a
n
a
n
a
n
a
a
n
n
( )
1
1 1 2
0
0 1 2 1
=
+
+ +
−
+ + + =
−
… [Given]
∴ f f
( ) ( ).
0 1
=
Since f(x) is a polynomial, it is continuous in [0,1] and differentiable in (0, 1).
So, all the conditions of Rolle’s theorem are satisfied.
Hence, by Rolle’s theorem, there exists at least one x ∈( , )
0 1 such that f′(x) = 0.
But ′ =
+
+
+ +
−
−
+ + +
− −
−
f x a
n x
n
a
nx
n
a
n x
n
a
x
a
n n n
n n
( )
( ) ( )
0 1
1
2
2
1
1
1
1
1
2
2
…
= + + + + +
− −
−
a x a x a x a x a
n n n
n n
0 1
1
2
2
1
…
∴ a x a x a x a x
n n
n n
0 1
1
1 0 0 1
+ + + + = ∈
−
−
… for at least one ( , ).
EXAMPLE 3
Using Rolle’s theorem, prove that there is no real a for which the equation x x a
2
3 0
2 1 5 has
two different roots in [ 1, 1].
2
Solution.
Suppose there is a real a for which x x a
2
3 0
− + = has two different roots a b
, in [−1, 1].
Then the interval [ , ]
a b is contained in the interval [−1, 1]
i.e., [a, b] ⊆ [−1, 1].
Consider f x x x a x
( ) . [ , ].
= − + ∈
2
3 a b
Since f x
( ) is a polynomial in x, it is continuous and differentiable in (a b
, ).
Given a and b are the roots of f(x) = 0.
∴ f f
( ) ( )
a b
= =
0 0
and ⇒ f f
( ) ( ).
a b
=
So, the condition of Rolle’s theorem are satisfied by f(x) in [ a b
, ].
∴ by Rolle’s theorem, there exists at least one c ∈[ , ]
a b such that ′ =
f c
( ) 0 .
Now ′ = −
f x x
( ) 2 3 ∴ f c c
′( ) = −
2 3
M03_ENGINEERING_MATHEMATICS-I _CH03_Part B.indd 45 5/19/2016 1:07:04 PM
3.46 ■ Engineering Mathematics
and ′ = ⇒ − = ⇒ =
f c c c
( ) .
0 2 3 0
3
2
But c c
= ∉ −
[ ] ∉
3
2
1 1
, [ , ]
andso, a b .
This is a contradiction. So, our assumption is wrong
i.e., there is no a for which x x a
2
3 0
− + = has two different roots in [−1, 1].
EXAMPLE 4
Prove that between any two roots of e x
x
sin 1
5 , there is at least one root of e x
x
cos 1 0
1 5 .
Solution.
Let a and b be any two roots of e x
x
sin = 1.
∴ e e
a a
a a
sin sin
= ⇒ = −
1 and e e
b b
b b
sin sin
= ⇒ = −
1
⇒ e−
− =
a
a
sin 0 and e−
− =
b
b
sin .
0 (1)
Consider the function f x e x x
x
( ) sin , [ , ]
= − ∈
−
a b
Then f e
( ) sin
a a
a
= − =
−
0 and f e
( ) sin
b b
b
= − =
−
0
∴
f f
( ) ( ).
a b
=
Since e x
−
and sinx are continuous in [ , ]
a b and differentiable in ( a b
, ),
f x
( )is continuous in [ , ]
a b and differentiable in ( a b
, ).
Hence, all the conditions of Rolle’s theorem are satisfied.
∴ by Rolle’s theorem, there is a c ∈( , )
a b such that ′ =
f c
( ) 0
But ′ = − −
−
f x e x
x
( ) cos ∴ f c e c
c
′( ) cos
= − −
−
∴ f c e c e c e c
c c c
′( ) cos cos cos .
= ⇒ − − = ⇒ − − = ⇒ + =
−
0 0 1 0 1 0
∴ c is a root of e x c
x
cos ( , )
+ = ∈
1 0 and a b
Thus, between any two roots of e x
x
sin = 1, there is a root of e x
x
cos + =
1 0.
EXAMPLE 5
If f x
x
x
x
( )
sin sin sin
cos cos cos
tan tan tan
, 0
2
5
a b
a b
a b
a b
p
   . Show that ′
f x
( ) 0
5 has a root between a and b.
Solution.
Consider f(x) in [a, b].
∴
f ( )
sin sin sin
cos cos cos
tan tan tan
a
a a b
a a b
a a b
= = 0
[{ C1
= C2
]
M03_ENGINEERING_MATHEMATICS-I _CH03_Part B.indd 46 5/19/2016 1:07:09 PM
Differential Calculus ■ 3.47
and f ( )
sin sin sin
cos cos cos
tan tan tan
b
b a b
b a b
b a b
= = 0 [{ C1
= C3
]
∴ f f
( ) ( )
a b
=
Since sinx, cosx, tanx are continuous and differentiable in 0
2
,
p
⎛
⎝
⎜
⎞
⎠
⎟ and [ , ] ,
a b
p
⊂
⎛
⎝
⎜
⎞
⎠
⎟
0
2
, it follows
that f(x) is continuous and differentiable in ( , )
a b .
So, all the three conditions of Rolle’s theorem are satisfied by f(x) in [ , ]
a b .
∴ by Rolle’s theorem, there is a c ∈( , )
a b such that ′ =
f c
( ) 0 .
⇒ f x
′( ) = 0 has a root c between α and β.
3.3.2 Lagrange’s Mean Value Theorem
Let f be a real function defined on the closed interval [ , ]
a b such that
(i) f is continuous on [ , ]
a b and (ii) f is derivable in the open interval (a, b).
Then there exists at least one point c a b
∈( , ) such that
′
f c
f b f a
b a
( )
( ) ( )
5
2
2
Proof Consider F x f x Ax x a b
( ) ( ) , [ , ]
= + ∈ , where A is chosen such that
F a F b
( ) ( )
=
Since f and x are continuous on [a, b] and derivable in (a, b), F is continuous on [a, b] and derivable
in (a, b).
Further F a F b
( ) ( )
=
⇒ F a Aa F b Ab
( ) ( )
+ = +
⇒ A a b f b f a
( ) ( ) ( )
− = − ⇒ A
f b f a
b a
= −
−
[ ]
−
( ) ( )
. (1)
So, F satisfies all the conditions of Rolle’s theorem on [a, b].
∴ by Rolle’s theorem, there exists at least one c a b
∈( , ) such that ′ =
F c
( ) 0 .
But ′ = ′ +
F x f x A
( ) ( ) ∴ ′ = ′ +
F c f c A
( ) ( )
∴ ′ =
F c
( ) 0 ⇒ ′ + =
f c A
( ) 0 ⇒ ′ = −
f c A
( )
⇒ ′ =
−
−
f c
f b f a
b a
( )
( ) ( )
[using (1)]
Geometrical meaning of Lagrange’s Mean Value Theorem
If y f x
= ( ) is a continuous curve with A and B as end points and at each point between A and B, the
curve has a tangent, then there is atleast one point P on the curve between A and Bat which the tangent
is parallel to the chord AB.
M03_ENGINEERING_MATHEMATICS-I _CH03_Part B.indd 47 5/19/2016 1:07:15 PM
3.48 ■ Engineering Mathematics
A is (a, f(a)) and B is (b, f(b). So, slope of chord AB
f b f a
b a
=
−
−
( ) ( )
.
Slope of the tangent at the point P c f c
( , ( )) is f c
′( )
y
o a c b x
A
B
P
y
o a b x
A
B
Fig. 3.8 Fig. 3.9
∴ f c
f b f a
b a
′( )
( ) ( )
.
=
−
−
Physical meaning of Lagrange’s Mean Value Theorem
The instantaneous rate of change of f at some point between a and b is equal to the average rate of
change of f on [a, b].
Another form of Lagrange’s Mean Value Theorem
If b a h
− = , then b a h h
= + 
, 0, then c a b c a h
∈ ⇒ = +  
( , ) , .
u u
0 1
Lagrange’s mean value theorem is
′ + =
+ −
f a h
f a h f a
h
( )
( ) ( )
u
⇒ f a h f a hf a h
( ) ( ) ( ), .
+ = + ′ +  
u u
0 1
Deductions of Lagrange’s Mean Value Theorem
(1) Iff isacontinuousonaclosedinterval[a,b]andderivablein(a,b)suchthat ′ = ∀ ∈
f x x a b
( ) ( , )
0 ,
then f is constant on [a, b].
i.e., f x k x a b
( ) [ , ]
= ∀ ∈
In particular, f x f a x a b
( ) ( ) [ , ]
= ∀ ∈
(2) If f and g are real functions which are continuous on [a, b] and derivable in (a, b) such that
′ = ′ ∀ ∈
f x g x x a b
( ) ( ) ( , ), then
f x g x k x a b
( ) ( ) [ , ],
− = ∀ ∈ where k is a constant.
(3) If f is continuous at c and if lim ( )
x c
f x l
→ −
′ = and lim ( ) ,
x c
f x l
→ +
=
′ then ′
f c
( ) exists and ′ =
f c l
( ) .
Proof Given lim ( )
x c
f x l
→
=
′
∴ lim ( )
x c
f x l
→ −
=
′ and lim ( ) .
x c
f x l
→ +
=
′
a c a + h
M03_ENGINEERING_MATHEMATICS-I _CH03_Part B.indd 48 5/19/2016 1:07:20 PM
Differential Calculus ■ 3.49
Consider lim ( ) .
x c
f x l
→ +
=
′
So, there exists an interval ( , ),
c c h h
+  0 where ′
f x
( ) exists for every x c c h
∈ +
( , ).
∴ f is continuous in [ , ]
c c h
+ .
If x is a point in this interval., by Lagrange’s mean value theorem
f x f c
x c
f t c t x
( ) ( )
( ), .
−
−
= ′  
lim
( ) ( )
lim ( ) lim ( )
x c x c x c
f x f c
x c
f t f x l
→ + → + →
−
−
= ′ = ′ =
+
⇒ ′ =
+
f c l
( )
Similarly, we can prove that
f c l f c l
′ ′
( ) ( ) .
− = ∴ =
WORKED EXAMPLES
EXAMPLE 1
Find c of Lagrange’s mean value theorem for the following functions
(i) x x x
( 1)( 2) in 0,
1
2
2 2
⎡
⎣
⎢
⎤
⎦
⎥
(ii) x x
3
in [1,2].
1
Solution.
(i) Let f(x) = x(x − 1) (x − 2), x ∈ 0
1
2
,
⎡
⎣
⎢
⎤
⎦
⎥. (1)
Since f(x) is a polynomial function, it is continuous on 0
1
2
,
⎡
⎣
⎢
⎤
⎦
⎥ and differentiable in 0
1
2
,
⎛
⎝
⎜
⎞
⎠
⎟ .
So, the conditions of Lagrange’s mean value theorem are satisfied.
∴ by Lagrange’s mean value theorem, there exists c ∈ 0
1
2
,
⎛
⎝
⎜
⎞
⎠
⎟ such that
f c
f b f a
b a
′( )
( ) ( )
=
−
−
(2)
Here a b
= =
0
1
2
, . Now f(a) = f(0) = 0
and f(b) = f
1
2
⎛
⎝
⎜
⎞
⎠
⎟ =
1
2
1
2
1
1
2
2
−
⎛
⎝
⎜
⎞
⎠
⎟ −
⎛
⎝
⎜
⎞
⎠
⎟ = −
⎛
⎝
⎜
⎞
⎠
⎟ −
⎛
⎝
⎜
⎞
⎠
⎟ =
1
2
1
2
3
2
3
8
.
Differentiating (1) w.r.to x, we get
f x x x x x x
x x x x x x
′ ⋅ ⋅ ⋅
( ) {( ) ( ) } ( )( )
= − + − + − −
= − + − + − + =
1 1 2 1 1 2 1
2 3 2 3
2 2 2
x
x x
2
6 2
− +
∴ f c c c
′( ) = − +
3 6 2
2
c x c + h
M03_ENGINEERING_MATHEMATICS-I _CH03_Part B.indd 49 5/19/2016 1:07:25 PM
3.50 ■ Engineering Mathematics
∴ (1) ⇒ 3 6 2
3
8
0
1
2
0
3
4
2
c c
− + =
−
−
= ⇒ 3 6
5
4
0
2
c c
− + =
∴
c =
± −
=
± −
=
±
= ± = ±
6 36 4 3
5
4
6
6 36 15
6
6 21
6
1
21
6
1 0 76
⋅ ⋅
. .
Clearly, 1 0 76 1 76 0
1
2
0
1
2
+ = ∉
⎛
⎝
⎜
⎞
⎠
⎟ −
⎛
⎝
⎜
⎞
⎠
⎟
. . , ,
and 1 0.76 = 0.24 ∈ ∴ c = 0 24
.
(ii) Let f x x x x
( ) , [ , ]
= +
3
1 2
∈ .
Since f(x) is a polynomial, it is continuous on [1, 2] and differentiable in (1, 2).
So, the conditions of Lagrange’s mean value theorem are satisfied.
∴ by Lagrange’s mean value theorem, there exists a c ∈( , )
1 2 such that
′ =
−
−
f c
f b f a
b a
( )
( ) ( )
(1)
Here a =1, b = 2.
Now f(1) = 1 + 1 = 2 and f (2) = 23
+ 2 = 10
f x x
′( ) = +
3 1
2
∴ f c c
′( ) = +
3 1
2
∴ (1) ⇒ 3 1
10 2
2 1
8
2
c + =
−
−
= ⇒ 3 7 0
2
c − = ⇒ c c
2 7
3
7
3
1 53
= ⇒ = ± = ± . .
But c = − ∉
1 53 1 2
. ( , ) and c = ∈
1 53 1 2
. ( , ) ∴ c =
7
3
EXAMPLE 2
Using Lagrange’s mean value theorem prove that tan tan
1 1
2 2
b2 a b2 a
 , where b a
 .
Solution.
Consider f x x x
( ) tan , [ , ]
= ∈
−1
a b . Clearly [ , ] ,
a b
p p
⊆ −
⎛
⎝
⎜
⎞
⎠
⎟
2 2
Since tan−1
x is continuous on [ , ]
a b and ′ =
+
f x
x
( ) ,
1
1 2
f x
( ) is continuous on [ , ]
a b and
differentiable in ( , ).
a b
So, the condition of Lagrange’s mean value theorem are satisfied.
∴ by Lagrange’s mean value theorem, there exists c ∈( , )
a b such that
′ =
−
−
f c
f b f a
b a
( )
( ) ( )
. (1)
M03_ENGINEERING_MATHEMATICS-I _CH03_Part B.indd 50 5/19/2016 1:07:30 PM
Differential Calculus ■ 3.51
Here a b
= =
a b
, .
∴ f f
( ) tan ( ) tan
a a b b
= =
− −
1 1
, and ′ =
+
f c
c
( )
1
1 2
∴ (1) ⇒
1
1 2
1 1
+
=
−
−
− −
c
tan tan
b a
b a
⇒ tan tan
− −
− =
−
+
1 1
2
1
b a
b a
c
Since 0
1
1
1 0
2

+
 − 
c
and b a , we have 0
1 2

−
+
 −
b a
b a
c
.
∴ tan tan .
− −
−  − 
1 1
b a b a b a
if
Note In particular, if a b
= = −  −
− −
0 0 0
1 1
, , ,
x x x
then tan tan ⇒ tan , .
−
 
1
0
x x x
if
EXAMPLE 3
If 0 ,
 
a b then prove that
b a
b
b a
b a
a
2
1
2
2
1
2 2
1
tan tan
1
.
2
1 1
2
  Deduce that
(i)
4
3
25
tan
4
3 4
1
6
(ii)
4
1
5
tan 2
4
1
2
.
1 1
p
1
p
1
p
1
p
1
2 2
   
Solution.
Consider the function f x x x a b
( ) tan , [ , ]
= ∈
−1
. Then ′ =
+
∈
f x
x
x a b
( ) , ( , ).
1
1 2
Clearly f x
( ) is continuous on [ , ]
a b and differential in ( , ).
a b
So, the conditions of Lagrange’s mean value theorem are satisfied.
∴ by Lagrange’s mean value theorem, there exists c a b
∈( , ), such that
f c
f b f a
b a
′( )
( ) ( )
=
−
−
(1)
where f a a f b b
( ) tan , ( ) tan
= =
− −
1 1
and ′ =
+
f c
c
( )
1
1 2
∴ (1) ⇒
1
1 2
+ c
=
tan tan
− −
−
−
1 1
b a
b a
⇒
b a
c
b a
−
+
= −
− −
1 2
1 1
tan tan (2)
Since a c b a b c
  and , , are positive numbers, a c b
2 2 2
  .
∴ 1 1 1
2 2 2
+  +  +
a c b ⇒
1
1
1
1
1
1
2 2 2
+

+

+
a c b
.
We have b a b a
 ∴ − 
. .
0
M03_ENGINEERING_MATHEMATICS-I _CH03_Part B.indd 51 5/19/2016 1:07:37 PM
3.52 ■ Engineering Mathematics
∴
b a
a
b a
c
b a
b
−
+

−
+

−
+
1 1 1
2 2 2 ⇒
b a
b
b a
c
b a
a
−
+

−
+

−
+
1 1 1
2 2 2
∴
b a
b
b a
b a
a
−
+
 − 
−
+
− −
1 1
2
1 1
2
tan tan [using (2)](3)
To deduce (i): Put a = 1 and b =
4
3
in (3)
∴
4
3
1
1
16
9
4
3
1
4
3
1
1 1
1 1
−
+
 − 
−
+
− −
tan tan
⇒
3
25
4
3 4
1
6
1
 − 
−
tan
p
⇒
p p
4
3
25
4
3 4
1
6
1
+   +
−
tan .
To deduce (ii): Put a = 1 and b = 2 in (3)
∴
2 1
1 4
2 1
2 1
1 1
1 1
−
+
 − 
−
+
− −
tan tan
⇒
1
5
2
4
1
2
1
 − 
−
tan
p
⇒
p p
4
1
5
2
4
1
2
1
+   +
−
tan .
EXAMPLE 4
If f R
:[0, 4] → is differentiable, then prove that [ (4)] [ (0)] 8 ( ) ( )
2 2
f f f a f b
2 5 ′
for a b
, (0, 4)
∈ .
Solution.
Given f is a real function defined on [ , ]
0 4 and differentiable and so it is continuous on [ , ]
0 4 .
So, the conditions of Lagrange’s mean value theorem are satisfied.
∴ by Lagrange’s mean value theorem, there exists a ∈( , )
0 4 , such that
′ =
−
−
f a
f f
( )
( ) ( )
4 0
4 0
. ⇒ f f f a
( ) ( ) ( )
4 0 4
− = ′ . (1)
Since f is continuous on [ , ]
0 4 , it takes all values between its maximum and minimum values.
In particular, there is b ∈( , )
0 4 such that f f
f b
( ) ( )
( )
4 0
2
+
= .
⇒ f f f b
( ) ( ) ( )
4 0 2
+ = (2)
( ) ( )
1 2
× ⇒ [ ( ) ( )][ ( ) ( )] ( ) ( )
f f f f f a f b
4 0 4 0 4 2
− + = ′
⇒ [ ( )] [ ( )] ( ) ( ), , ( , )
f f f a f b a b
4 0 8 0 4
2 2
− = ′ ∈ .
M03_ENGINEERING_MATHEMATICS-I _CH03_Part B.indd 52 5/19/2016 1:07:42 PM
Differential Calculus ■ 3.53
3.3.3 Cauchy’s Mean Value Theorem
Let f and g be two functions defined on [a, b] such that
(i) f and g are continuous on [a, b] (ii) f and g are differentiable in (a, b)
and (iii) g x x a b
′ ≠ ∈
( ) ( , )
0 ∀ .
Then, there exists at least one c a b
∈( , ) such that
f c
g c
f b f a
g b g a
′
′
( )
( )
( ) ( )
( ) ( )
5
2
2
.
Proof Consider the function F x f x Ag x x a b
( ) ( ) ( ), [ , ]
= + ∈
where A is chosen such that F a F b
( ) ( )
=
⇒ f a Ag a f b Ag b
( ) ( ) ( ) ( )
+ = +
⇒ A g a g b f b f a
[ ( ) ( )] ( ) ( )
− = −
⇒ A
f b f a
g a g b
=
−
−
( ) ( )
( ) ( )
⇒ A
f b f a
g b g a
= −
−
−
[ ( ) ( )]
( ) ( )
(1)
Since f and g are continuous on [a, b] and differentiable in (a, b), F is continuous on [a, b] and
differentiable in (a, b) and F(a) = F(b).
So, F satisfies the conditions of Rolle’s theorem.
∴ by Rolle’s theorem, there exists c a b
∈( , ) such that F c
′( ) = 0.
But F x f x Ag x
′ ′ ′
( ) ( ) ( )
= + ⇒ F c f c Ag c
′ ′ ′
( ) ( ) ( )
= +
∴ F c
′( ) = 0 ⇒ ′ + =
f c Ag c
( ) ( )
′ 0 ⇒ f c Ag c
′ ′
( ) ( )
= − ⇒
f c
g c
A
′
′
( )
( )
= −
∴
f c
g c
′
′
( )
( )
=
−
−
f b f a
g b g a
( ) ( )
( ) ( )
[using (1)].
Corollary: If f(a) = 0, g(a) = 0, then
f c
g c
f b
g b
a c b
′
′
( )
( )
( )
( )
, .
=  
Note The corollary can be algebraically interprepted as below:
If the polynomial equations f(x) = 0, g(x) = 0 have a common root a, then
f x
g x
f c
g c
( )
( )
( )
( )
=
′
′
for some c a x
∈( , ) .
Formula:
1. If F x
f x f x f x
g x g x g x
h x h x h x
( )
( ) ( ) ( )
( ) ( ) ( )
( ) ( ) ( )
=
1 2 3
1 2 3
1 2 3
M03_ENGINEERING_MATHEMATICS-I _CH03_Part B.indd 53 5/19/2016 1:07:47 PM
3.54 ■ Engineering Mathematics
where fi
, gi
, hi
, i = 1, 2, 3 are differentiable functions of x, then
F x
f x f x f x
g x g x g x
h x h x h x
f
′( )
( ) ( ) ( )
( ) ( ) ( )
( ) ( ) ( )
(
=
′ ′ ′
+
1 2 3
1 2 3
1 2 3
1 x
x f x f x
g x g x g x
h x h x h x
f x f x f
) ( ) ( )
( ) ( ) ( )
( ) ( ) ( )
( ) ( )
2 3
1 2 3
1 2 3
1 2
′ ′ ′ +
3
3
1 2 3
1 2 3
( )
( ) ( ) ( )
( ) ( ) ( )
x
g x g x g x
h x h x h x
′ ′ ′
2. If F x
f x f x
g x g x
( )
( ) ( )
( ) ( )
= 1 2
1 2
, then F x
f x f x
g x g x
f x f x
g x g x
′( )
( ) ( )
( ) ( )
( ) ( )
( ) ( )
.
=
′ ′
+
′ ′
1 2
1 2
1 2
1 2
The formula can be used column wise also.
WORKED EXAMPLES
EXAMPLE 1
Verify Cauchy’s mean value theorem for f(x) 5 x3
, g(x) 5 x2
in [1, 2].
Solution.
Given f(x) = x3
and g(x) = x2
in [1, 2].
f (x), g(x) being polynomials, they are continuous on [1, 2] and differentiable in (1, 2)
and g x x
′( ) = ≠
2 0 for ∀x ∈( , )
1 2
So, all the conditions of Cauchy’s mean value theorem are satisfied.
∴by Cauchy’s mean value theorem, there exists c ∈( , )
1 2 such that
f c
g c
f b f a
g b g a
′
′
( )
( )
( ) ( )
( ) ( )
.
=
−
−
(1)
Here a = 1, b = 2.
∴ f(a) = 1 and f(b) = 23
= 8, g(a) = 1 and g(b) = 22
= 4
f x x
′( ) = 3 2
and g x x
′( ) = 2 ∴ f c c
′( ) = 3 2
and g c c
′( ) = 2
∴(1) ⇒
3
2
8 1
4 1
7
3
2
c
c
=
−
−
= ⇒
3
2
7
3
c = ⇒ c =
14
9
1 2
∈( , )
Hence, the theorem is verified.
EXAMPLE 2
Verify Cauchy’s mean value theorem and find c, if f x e g x e x a b
x x
( ) , ( ) , [ , ].
5 5 2
∈
Solution.
Given f x e g x e x a b
x x
( ) ( ) , [ , ]
= = −
and ∈ .
Both f and g are continuous on [a, b] and differentiable in (a, b) and g x e x a b
x
′ ∈
( ) ( , )
= − ≠ ∀
−
0 .
So, all the conditions of Cauchy’s mean value theorem are satisfied.
∴ by Cauchy’s mean value theorem, there exists c in (a, b) such that
M03_ENGINEERING_MATHEMATICS-I _CH03_Part B.indd 54 5/19/2016 1:07:51 PM
Differential Calculus ■ 3.55
f c
g c
f b f a
g b g a
′
′
( )
( )
( ) ( )
( ) ( )
=
−
−
. (1)
But f(a) = ea
and f(b) = eb
, g a e a
( ) = −
and g b e b
( ) = −
f x ex
′( ) = and g x e x
′( ) = − −
∴ f c ec
′( ) = and ′ = − −
g c e c
( )
∴ (1) ⇒
e
e
e e
e e
c
c
b a
b a
−
=
−
−
− − −
⇒ − =
−
−
=
−
−
e
e e
e e
e e
e e
e e
c
b a
b a
b a
a b
a b
2
1 1
⋅ ⋅ = − +
ea b
⇒ e e
c a b
2
= +
∴ 2
2
c a b c
a b
a b
= + ⇒ =
+
∈( , )
Hence, the theorem is verified.
EXAMPLE 3
If 0
2
  
a b
p
, using Cauchy’s mean value theorem, prove that
sin sin
cos cos
cot
a 2 b
b2 a
5 u for
some u a b
∈( )
, .
Solution.
Consider the functions f(x) = sin x and g(x) = cos x, x ∈[ ],
a b
, where [ , ]
a b ⊆ 0
2
,
p
⎛
⎝
⎜
⎞
⎠
⎟
Boththefunctions f and g arecontinuouson [ , ]
a b anddifferentiablein( , )
a b and ′ = − ≠
g x x
( ) sin 0
in ( , )
a b .
So, all the conditions of Cauchy’s mean value theorem are satisfied.
∴ by Cauchy’s mean value theorem there exists u ∈( , )
a b such that
′
′
=
−
−
f
g
f f
g g
( )
( )
( ) ( )
( ) ( )
u
u
b a
b a
(1)
But f ( ) sin
a a
= and f ( ) sin
b b
= ; g g
( ) cos ( ) cos
a a b b
= =
and
′ =
f x x
( ) cos and ′ = −
g x x
( ) sin . ∴ ′ =
f ( ) cos
u u and ′ = −
g ( ) sin
u u
∴ (1) ⇒ cos
sin
sin sin
cos cos
u
u
b a
b a
−
=
−
−
⇒ − =
−
−
cot
sin sin
cos cos
u
b a
b a
⇒
sin sin
cos cos
cot
a b
b a
u
−
−
= , u a b
∈[ , ].
EXAMPLE 4
Using mean value theorem, show that x x x
x
e
 +  −
log (1 )
2
2
if x  0.
Solution.
Consider the function f(x) = loge
(1 + x), x ≥ 0
M03_ENGINEERING_MATHEMATICS-I _CH03_Part B.indd 55 5/19/2016 1:08:00 PM
3.56 ■ Engineering Mathematics
∴ f x
x
f x
x
x
′
+
′′ = − 
( ) , ( )
( )
,
=
+
1
1
1
1
0
2
We know that f(x) = f(0) + xf ′(ux), 0  u  1
∴ f(0) = log(1 + 0) = 0, f x
x
′ =
( )
u
u
1
1+
∴ loge
(1 + x) = 0
1
1 1
+
+
=
+
x
x
x
x
u u
Since u  0, x  0, 1 + ux  1 ⇒
1
1
1
1
+ +
u u
x
x
x
x
 ⇒  (1)
∴ loge
(1 + x)  x ⇒ x  loge
(1 + x) (2)
Again f x f xf
x
f x
( ) ( ) ( ) ( )
= + ′ + ′′
0 0
2
2
u , up to second derivative 0  u  1
But f ′(0) = 1, f ″(ux) = −
+
1
1 2
( )
ux
∴ log
( )
,
e x x
x
x
x
x
x
1 0 1
2
1
1 2 1
0 1
2
2
2
2
+
( ) = + + −
+
( )
⎛
⎝
⎜
⎜
⎞
⎠
⎟
⎟
= −
+
 
⋅
u u
u
⇒ loge
(1 + x) − x = −
+
x
x
2
2
2 1
( )
u
(1) ⇒
x
x
x
x
x
x
x
x
x
1 1 2 1 2
2
2
2
2
2
2
+ u u u
 ⇒
+
 ⇒ −
+
 −
( ) ( )
∴ loge
(1 + x) – x  − ⇒  −
x
x x
x
e
2 2
2
1
2
log ( )
+ (3)
From (2) and (3), we get x x x
x
e
 +  −
log ( )
1
2
2
if x  0.
EXERCISE 3.7
I. Verify Rolle’s theorem for the following functions.
1. f x x x x x
( ) , ,
= + − − ∈ − −
⎡
⎣
⎢
⎤
⎦
⎥
2 4 2 2
1
2
3 2
. 2. f x e x x
x
( ) cos , ,
= ∈ −
⎡
⎣
⎢
⎤
⎦
⎥
p p
2 2
3. f x x x
( ) , [ , ]
= − ∈ −
4 2 2
2
4. f x x x
( ) sin , [ , ]
= ∈
2
0 p
5. f x x x
( ) , [ , ]
= − ∈ −
1 1 1
4
5
6. f x
x x
x x
( )
,
,
=
+ ≤ ≤
−  ≤
⎧
⎨
⎩
2
1 0 1
3 1 2
7. f x a x b
m n
( ) ( ) ( )
x = − − where m and n are positive integers.
8. f x x a x n
( ) ( )
= −
−
2 1 2
n
in [0, a]. 9. f x
x ab
x a b
e
( ) log
( )
=
+
+
2
in [a, b], a, b  0.
M03_ENGINEERING_MATHEMATICS-I _CH03_Part B.indd 56 5/19/2016 1:09:06 PM
Differential Calculus ■ 3.57
II. 1. Find c of Rolle’s theorem for the function f x e x x x
x
( ) (sin cos ), ,
= − ∈
⎡
⎣
⎢
⎤
⎦
⎥
p p
4
5
4
2. Considering the function f x x x
e
( ) ( )log ,
= − 2 show that the equation x x
e
log x = −
2 has a root
between 1 and 2.
3. Apply Rolle’s theorem for sin cos
x x
2 and find x such that 0
4
 
x
p
.
III. Verify Lagrange’s mean value theorem for the following functions.
1. f x x x x x
( ) ( )( )( ), [ , ]
= − − − ∈
1 2 4 0 4 2. f x x x
( ) , [ , ]
= ∈ −
2 3
1 1
3. f x
x
x
x
x
( )
cos ,
,
[ , ]
=
≠
=
⎧
⎨
⎪
⎩
⎪
−
1
0
0 0
1 1
in 4. f(x) = loge
x in [1, e].
IV.
1. Verify Lagrange’s mean value theorem and find the point on the curve y
x
x
=
−
1
between the
points A(2, −2) and B 5
5
4
,
−
⎛
⎝
⎜
⎞
⎠
⎟ at which the tangent is parallel to the chord AB.
2. Prove that
p p
3
1
5 3
3
5 3
1
8
1
−  −
−
 cos by Lagrange’s mean value theorem.
3. For any two real numbers a and b (a  b), prove that a2
+ ab + b2
= 3c2
, for some c ∈ (a, b) using
Lagrange’s mean value theorem.
4. For the quardratic function f ( ) , ( , )
x lx mx n x a b
= + + ∈
2
, find u of Lagrange’s mean value
theorem.
5. If f(x) and g(x) are continuous on a ≤ x ≤ b and derivable in a  x  b, then prove that
f a f b
g a g b
b a
f a f c
g a g c
( ) ( )
( ) ( )
( )
( ) ( )
( ) ( )
= −
′
′
. [Hint: Consider f(x) =
f a f x
g a g x
( ) ( )
( ) ( )
, x ∈ [a, b].
6. For what values of a, m, b does the function f x x x a
( ,
)
,
,
=
=
+ +  
+ ≤ ≤
⎧
⎨
⎪
⎩
⎪
3 0
3 0 1
1 2
2
x
x
mx b x
−
satisfy the hypothesis of Lagrange’s mean value theorem on the interval [0, 2].
7. Find u of Lagrange’s mean value theorem for f x x x x
( ) , [ , ]
= − + ∈
3 2 4 2 3
2
V. Using Lagrange’s mean value theorem, prove the following
1.
x
x
x x x
e
1
1 0
+
 +  
log ( ) , 2. 0
1
1
1
1 0

+
−  
log ( )
,
e x x
x
M03_ENGINEERING_MATHEMATICS-I _CH03_Part B.indd 57 5/19/2016 1:09:09 PM
3.58 ■ Engineering Mathematics
3. 0
1 1
1 0

−
 
x
e
x
x
e
x
log , [Hint: Take f x ex
( ) = in [0, x]]
4. If f x x
( ) cos
= , applying Lagrange’s mean value theorem in [ , ]
0 h prove that lim
x → +
=
0
1
2
u .
[Hint: f h f hf h
( ) ( ) ( ),
= + ′  
0 0 1
u u ]
ANSWERS TO EXERCISE 3.7
II. 1. c = p, 3. x =
p
6
IV
. 1. 3
3
2
, −
⎛
⎝
⎜
⎞
⎠
⎟ 4. u =
1
2
6. a = 3, b = 4, m = 1 7. u =
1
2
3.4 MONOTONIC FUNCTIONS
Monotonic functions form an important class of functions in Mathematics. Because most of the
functions that occur in various fields, in practice, are monotonic functions or sum of monotonic
functions.
It will be seen that all bounded monotonic functions are integrable. In this section, we use mean
value theorems to deduce the properties of monotonic functions, using sign of derivative.
3.4.1 Increasing and Decreasing Functions
Definition 3.1 Let f be a function defined on [ , ]
a b .
If for every pair of points x x a b
1 2
, [ , ]
∈
(i) x x f x f x
1 2 1 2
 ⇒ ≤
( ) ( ), then f is increasing (or non−decreasing) on [a, b].
(ii) x x f x f x
1 2 1 2
 
⇒ ( ) ( ), then f is strictly increasing on [a, b].
(iii) x x f x f x
1 2 1 2
 ⇒ ( ( )
) ≥ , then f is decreasing (or non−increasing) on [a, b].
(iv) x x f x f x
1 2 1 2
 ⇒ 
( ) ( ) , then f is strictly decreasing on [a, b].
A function f which is either increasing or decreasing on [a, b] is called a monotonic function on [a, b].
If f is strictly increasing or strictly decreasing on [a, b], then f is called strictly monotonic.
3.4.2 Piece−wise Monotonic Function
Definition 3.2 A function f is said to be piece−wise monotonic on [a, b] if the interval [a, b] can
be partitioned into finite number of sub−intervals such that in each of the open sub−intervals f is
monotonic
That is f is piece−wise monotonic on [a, b] if its graph consists of a finite number of monotonic
pieces.
Note
(1) A characteristic property of monotonic function is that it has it finite left and right limits at each
interior point.
M03_ENGINEERING_MATHEMATICS-I _CH03_Part B.indd 58 5/19/2016 1:09:12 PM
Differential Calculus ■ 3.59
If f is increasing on [a, b] and c a b
∈( , ), then f c
( )
− and f c
( )
+ exist and
f c f c f c
( ) ( ) ( )
− ≤ ≤ +
Further f a f a
( ) ( )
≤ + and f b f b
( ) ( )
− ≤ .
(2) If f is strictly increasing and continuous on [a, b], then f a b f a f b
:[ , ] [ ( ), ( )]
→ is bijective and
f f a f b a b
−
→
1
:[ ( ), ( )] [ , ] exists and f −1
is continuous and strictly increasing on [ ( ), ( )]
f a f b .
Similarly, we can state (1) and (2) for decreasing functions.
3.4.3 Test for Increasing or Decreasing Functions
Theorem 3.2 Let f be continuous on the closed interval [ , ]
a b and let f9(x) exist for each point
x a b
∈( , ) .
y
x
b
a
o
Increasing
Fig. 3.10
y
x
o
Strictly increasing
Fig. 3.11
y
x
D
a
o
Strictly increasing
Fig. 3.12
y
x
a b
o
Decreasing
Fig. 3.13
y
x
b
a
o
Strictly decreasing
Fig. 3.14
y
e x
a c
o
b d
Piece-wise monotonic
Fig. 3.15
M03_ENGINEERING_MATHEMATICS-I _CH03_Part B.indd 59 5/19/2016 1:09:17 PM
3.60 ■ Engineering Mathematics
(i) If ′
f x x a b
( ) 0 ( , )
. ; e , then f is strictly increasing on [a, b].
(ii) If ′ ≥
f x x a b
( ) 0 ( , )
; e , then f is increasing on [a, b].
(iii) If ′ 
f x x a b
( ) 0 ( , )
; e , then f is strictly decreasing on [a, b].
(iv) If ′ ≤
f x x a b
( ) 0 ( , )
; e , then f is decreasing on [a, b].
(v) If ′
f x x a b
( ) 0 ( , )
5 ; e , then f is constant on [a, b].
Proof Given f is continuous on [a, b] and f x
′( ) exists for each x a b
∈( , ).
Let x x a b
1 2
, [ , ]
∈ be any two points with x x
1 2
 .
Applying Lagrange’s mean value theorem for f on [ , ]
x x
1 2 , there is c x x
∈( , )
1 2 such that
f c
f x f x
x x
′( )
( ) ( )
=
−
−
2 1
2 1
⇒ f x f x x x f c
( ) ( ) ( ) )
2 1 2 1
− = − ′( (1)
(i) Let ′ 
f c
( ) 0
Since ′ 
f c
( ) 0 and x x
2 1 0
−  , we have from (1)
f x f x
( ) ( )
2 1 0
−  ⇒ 
f x f x
( ) ( )
2 1 ⇒ f x f x
( ) ( )
1 2

Thus, x x
1 2
 ⇒ 
f x f x
( ) ( )
1 2 So, by definition, f is strictly increasing on [a, b]
(ii) Let ′ ≥
f c
( ) 0
Since ′ ≥
f c
( ) 0 and x x
1 2 0
−  , we have from (1)
f x f x f x f x
( ) ( ) ( ) ( )
2 1 2 1
0
− ≥ ⇒ ≥ ⇒ f x f x
( ) ( )
1 2
≤
Thus, x x f x f x
1 2 1 2
 ⇒ ≤
( ) ( ) By definition, f is increasing on [a, b].
Similarly, we can prove (iii), (iv) and (v).
Corollary: If f and gare continuous functions on [a, b] such that f x g x x a b
′ ′
( ) ( ) ( , ),
= ∀ ∈ then
f x g x k x a b
( ) ( ) [ , ]
− = ∀ ∈ , where k is a constant.
WORKED EXAMPLES
EXAMPLE 1
Determine the interval of monotonicity of the following functions
(i) 2 9 24 7
3 2
x x x
2 2 1 (ii) 2 ln
2
x x.
2
Solution.
(i) Let f x x x x
( ) = − − +
2 9 24 7
3 2
∴ ′ = − − = − −
f x x x x x
( ) ( )
6 18 24 6 3 4
2 2
M03_ENGINEERING_MATHEMATICS-I _CH03_Part B.indd 60 5/19/2016 1:09:24 PM
Differential Calculus ■ 3.61
∴ ′ 
f x
( ) 0 if ( )( )
x x
− + 
4 1 0 ⇒ x  −1 or x  4.
∴ the function is strictly increasing in the interval ( , ]
−∞ −1 and [ , )
4 ∞ .
⇒ ′ 
f x
( ) 0 if ( )( )
x x
− + 
4 1 0 ⇒ −  
1 4
x
∴ the function is strictly decresing in the interval − ≤ ≤
1 4
x .
(ii) Let g x x x x
( ) ,
= − 
2 1 0
2
n ∴ ′ = −
g x x
x
( ) 4
1
[ log ]
{ 1nx x
e
=
and ′ 
g x
( ) 0 if 4
1
0
x
x
−  ⇒ 4 1 0
2
x −  ⇒ ( )( ) ,
2 1 2 1 0 0
x x x
+ −   .
Since x x
 + 
0 2 1 0
, and so, 2 1 0
x −  ⇒ 
x
1
2
.
∴ the function is strictly increasing in the interval
1
2
, ∞
⎡
⎣
⎢
⎞
⎠
⎟ .
Now ′
g x
( )  0 if 4
1
0
x
x
−  ⇒ 4 1 0
2
x −  ⇒ ( )( )
2 1 2 1 0
x x
+ − 
Since x x
 + 
0 2 1 0
, and so, 2 1 0
x −  ⇒ 
x
1
2
.
∴ the function is strictly decreasing in the interval 0
1
2
 ≤
x .
EXAMPLE 2
Prove that x x x x
sin cos
1
2
cos2
1 1 is strictly increasing in 0,
2
p
⎛
⎝
⎜
⎞
⎠
⎟ .
Solution.
Let f x x x x x x
( ) sin cos cos ,
= + + ≤ ≤
1
2
0
2
2 p
.
∴ ′ = + ⋅ − + ⋅ −
f x x x x x x x
( ) cos sin sin cos ( sin )
1
1
2
2 = −
x x x x
cos cos sin
⇒ f x x x x
′( ) cos ( sin )
= − , 0
2
 
x
p
.
For 0
2
 
x
p
, cosx  0 and to decide the sign of x x
− sin , we consider the function
g x x x
( ) sin
= − in 0
2
≤ ≤
x
p
∴ ′ = −
g x x
( ) cos
1 = 2
2
0
2
sin
x
 in 0
2
 
x
p
.
∴ g x
( ) is strictly increasing in 0
2
≤ ≤
x
p
.
− 1 4 ∞
−∞ x
M03_ENGINEERING_MATHEMATICS-I _CH03_Part B.indd 61 5/19/2016 1:09:34 PM
3.62 ■ Engineering Mathematics
∴ g x g
( ) ( )
 0 for x  0, x ∈
⎛
⎝
⎜
⎞
⎠
⎟
0
2
,
p
.
But g( ) sin
0 0 0 0
= − = ∴ g x
( )  0 for x  0, in 0
2
 
x
p
Hence, ′ 
f x
( ) 0 in 0
2
 
x
p
. ∴ f x
( ) is strictly increasing in 0
2
,
p
⎛
⎝
⎜
⎞
⎠
⎟ .
EXAMPLE 3
If f x
x
x
x
x
( ) sin
, 0
2
1, 0
5
p
5
 ≤
⎧
⎨
⎪
⎩
⎪
then prove that (i) f is strictly increasing in 0,
2
p
⎡
⎣
⎢
⎤
⎦
⎥ and (ii) 1
sin 2
 
x
x
p
.
Solution.
Given f x
x
x
x
x
( ) sin
,
,
=
 ≤
=
⎧
⎨
⎪
⎩
⎪
0
2
1 0
p
lim ( ) lim
sin
x x
f x
x
x
→ + → +
= =
0 0
1 and f f x f
x
( ) lim ( ) ( )
0 1 0
0
= ⇒ =
→ +
∴ the function is continuous at x = 0 from the right and hence continuous in the interval 0
2
,
p
⎡
⎣
⎢
⎤
⎦
⎥.
Now ′ =
⋅ − ⋅
f x
x x x
x
( )
sin cos
sin
1
2
= −
cos
sin
[tan ]
x
x
x x
2
, 0
2
 
x
p
.
For 0
2
 
x
p
,
cos
sin
x
x
2
0
 and to decide the sign of tan x x
− , we consider the function
g x x x
( ) tan
= − in 0
2
≤ 
x
p
∴ ′ = −
g x x
( ) sec2
1 = 
tan2
0
x in 0
2
 
x
p
.
∴ g x
( ) is strictly increasing in 0
2
≤ 
x
p
. So, g x g
( ) ( )
 0 for x  0.
But g(0) = tan0 − 0, ∴ g x
( )  0 ⇒ tan x x
−  0 for 0
2
 
x
p
.
Hence, ′ 
f x
( ) 0 for 0
2
 
x
p
. ∴ f x
( ) is strictly increasing in 0
2
≤ 
x
p
.
M03_ENGINEERING_MATHEMATICS-I _CH03_Part B.indd 62 5/19/2016 1:09:43 PM
Differential Calculus ■ 3.63
Hence, 0
2
 
x
p
⇒ f f x f
( ) ( )
0
2
 
⎛
⎝
⎜
⎞
⎠
⎟
p
⇒ 1 2
2
 
x
x
sin
sin
p
p
⇒ 1
2
 
x
x
sin
p
.
EXAMPLE 4
Use the function f x x x
x
( ) , 0
1/
5  , to determine the bigger of the two numbers
(i) e e
p
p
and (ii) (202) and (303
303 202
) .
Solution.
Given f x x x
x
( ) ,
= 
1
0.
Taking logarithm to the base e on both sides, we get
log ( ) log
e e
x
f x x
= 1
=
1
x
x
e
log .
∴ Differentiating w.r.to x,
1 1 1 1
2
f x
f x
x x
x
x
e
( )
( ) log
′ = ⋅ + −
⎛
⎝
⎜
⎞
⎠
⎟ ⇒
f x
f x x
x
e
′( )
( )
[ log ]
= −
1
1
2
⇒ f x f x
x
x
x
x
x
e
x
e
′( ) ( ) [ log ] [ log ].
/
= − = −
⋅
1
1 1
2
1
2
∴ f x
′( )  0 if
x
x
x
x
e
1
2
1 0
/
[ log ]
−  ⇒ 1 0
− 
loge x ⇒ log .
e x x e
 ⇒ 
1 (
∴
e  1)
∴ f(x) is strictly decreasing for all x e
≥ .
(i) Since p  e, we have
f f e e e
( ) ( ) / /
p p p
 ⇒ 
1 1
Raising to the power pe on both sides we have
( ) ( )
/ /
p p
p p p p
1 1
e e e e
e e
 ⇒ 
∴ ep
is the bigger number.
(ii) Since 303  202, we have
f (303)  f(202) ⇒ ( ) ( )
/ /
303 202
1303 1202

⇒ [( ) ] [( ) ]
/ ( )( ) / ( )( )
303 202
1303 303 202 1202 303 202
 ⇒ ( ) ( )
303 202
202 303

∴ ( )
202 303
is the bigger number.
EXAMPLE 5
Prove that
tan
tan
2
1
2
1
x
x
x
x
 for 0
2
1 2
  
x x
p
.
Solution.
We know that for x x
1 2 0
2
, ,
∈
p
⎛
⎝
⎜
⎞
⎠
⎟, tanx1
, tanx2
are positive.
M03_ENGINEERING_MATHEMATICS-I _CH03_Part B.indd 63 5/19/2016 1:09:49 PM
3.64 ■ Engineering Mathematics
∴
tan
tan
tan tan
x
x
x
x
x
x
x
x
2
1
2
1
2
2
1
1
 ⇒ 
To prove this inequality, consider the function
f x
x
x
x
( )
tan
, .
=  
0
2
p
∴ f ′( )
sec tan
x
x x x
x
=
− ⋅
2
2
1
= −
⎡
⎣
⎢
⎤
⎦
⎥
sec sin
cos
cos
2
2
2
x
x
x
x
x
x = −
⎡
⎣
⎢
⎤
⎦
⎥  
sec
sin , .
2
2
1
2
2 0
2
x
x
x x x
p
For 0
2
0
2
2
  
x
x
x
p
,
sec
and to decide the sign of x −
1
2
sin 2x, we consider the function
g x x x x
( ) sin ,
= − ≤ ≤
1
2
2 0
2
p
.
∴ g x x
′( ) cos
= − ⋅
1
1
2
2 2 = − =  ∀ ∈
⎛
⎝
⎜
⎞
⎠
⎟
1 2 2 0 0
2
2
cos sin ,
x x x
p
.
∴ g(x) is strictly increasing in 0
2
≤ ≤
x
p
. ∴ g(x)  g(0) for x  0
But g( ) sin
0 0
1
2
0 0
= − = . ∴ 
g x x
( ) 0 for 0 ⇒ − 
⎡
⎣
⎢
⎤
⎦
⎥
x x x
1
2
2 0 0
2
sin ,
for 0 in
p
Hence, f x x
′( ) .
 0 0
2
for  
p
∴ f(x) is strictly increasing in 0
2
 
x
p
.
∴ x x f x f x
1 2 1 2 0
2
 ⇒ 
⎛
⎝
⎜
⎞
⎠
⎟
( ) ( ) ,
in
p
⇒
tan tan
x
x
x
x
1
1
2
2
 ⇒
x
x
x
x
2
1
2
1

tan
tan
⇒
tan
tan .
x
x
x
x
x x
2
1
2
1
2
2
  
for 0 1
p
EXAMPLE 6
Show that x  loge
(1 1 x) 
x
x
11
for x  0.
Solution.
First we shall prove x  loge
(1 + x), x  0.
Consider f x x x x
e
( ) log ( ),
= − + ≥
1 0
∴ f x
x
′( ) = −
+
1
1
1
=
+ −
+
=
+

1 1
1 1
0
x
x
x
x
x
for 0.
∴ f(x) is strictly increasing for x ≥ 0.
Hence, f(x)  f(0) for x  0. But f e
( ) log ( )
0 0 1 0 0
= − + = .
∴ f x x
( )  0 for 0

M03_ENGINEERING_MATHEMATICS-I _CH03_Part B.indd 64 5/19/2016 1:09:54 PM
Differential Calculus ■ 3.65
∴ x x x
e
− + 
log ( )
1 0 for 0
 ⇒ x x x
e
 +
log ( )
1 for 0
 (1)
Now we shall prove log ( )
e x
x
x
1
1
+ 
+
for x  0.
Consider g x x
x
x
x
e
( ) log ( ) , .
= + −
+
≥
1
1
0
∴ g x
x
x x
x
′( )
( ) .
( )
=
+
−
+ ⋅ −
+
1
1
1 1 1
1 2
=
+
−
+
=
+ −
+
=
+

1
1
1
1
1 1
1 1
0
2 2 2
x x
x
x
x
x
x
( ) ( ) ( )
for 0
∴ g(x) is strictly increasing for x ≥ 0.
∴ g x g x
( ) ( )
 0 for 0. But g(0) = loge
(1 + 0) − 0 = 0.
∴ g(x)  0 for x  0 ⇒ log ( )
e x
x
x
x
1
1
0
+ −
+
 for  0
⇒ log ( )
e x
x
x
x
1
1
+ 
+
for  0 (2)
From (1) and (2), we get
x x
x
x
x
e
 + 
+

log ( ) .
1
1
0
for
EXERCISE 3.8
1. Using sign of derivative, prove the following
(a) x
x
x
x
x

−

−
 
log
1
1 1
0 1
if (b)
2
1 0
2
p
p
 
⎛
⎝
⎜
⎞
⎠
⎟
sin
,
x
x
in
(c) x
x
x x x
−   
3
6
0
sin for (d) 1 1 0
+   + 
x x xe x
x
for
(e) x
x x
x x
x x
x
x
e
− +  +  − +
+

2 3 2 3
2 3
1
2 3 1
0
log ( )
( )
for
2. Determine the intervals of increase and decrease for the following functions
(a) f x x x
( ) = + −
3
2 5 (b) f x x
( ) log( )
= −
1 2
(c) f x x x
( ) cos
= −
3. Prove that ( ) , .
a b a b n a b
n n n
+ = + ≤ ≤  
if and
0 1 0 0
Hint: Take f x x x x x
a
b
n n
( ) ( ) , ,
= + − + ≥ =
⎡
⎣
⎢
⎤
⎦
⎥
1 1 0 then put .
4. Show that 1+ x In x x x x
+ +
( )≥ + ∀ ≥
2 2
1 1 0.
5. Prove the inequality tan x x
x
 +
3
3
if 0
2
 
x
p
.
6. Find the behaviour of the function f x x x x
( ) sin tan
= + −
2 3 in −
⎛
⎝
⎜
⎞
⎠
⎟
p p
2 2
, .
M03_ENGINEERING_MATHEMATICS-I _CH03_Part B.indd 65 5/19/2016 1:10:00 PM
3.66 ■ Engineering Mathematics
ANSWERS TO EXERCISE 3.8
2. (a) Increases ∀ ∈
x R 6. Decreases
(b) Increases in (−1, 0) and decreases in (0, 1)
(c) Increases ∀ ∈
x R
3.5 GENERALISED MEAN VALUE THEOREM
In many applications it is useful to approximate a continuous function by a polynomial function
which is the simplest continuous function. Taylor’s and Maclaurin’s theorems are important tools
which provide such an approximation for real functions. Mean value theorems relate the value of the
functions and its first order derivative, where as, Taylor’s and Maclaurin’s theorems generalise this
relation to higher order derivatives. Hence these theorems can be considered as “Generalised mean
value theorems”.
3.5.1 Taylor’s Theorem with Lagrange’s form of Remainder
If f is a real function defined on [ , ]
a a h
+ such that
(i) The ( )
n th
−1 derivative f n
( )
−1
is continuous on [ , ]
a a h
+
and (ii) The nth
derivative f n
( )
exists in [ , ],
a a h
+ then there exists a number u between 0 and 1 such
that
f a h f a
h
f a
h
f a
h
f a
h
n
f
n
( ) ( )
!
( )
!
( )
!
( )
( )!
(
+ = + + +
+ +
−
−
1 2 3
1
2 3
1
′ ′′ ′′′
… n
n
n
n
a
h
n
f a h
−
+ +  
1
0 1
) ( )
( )
!
( ),
u u
Proof
Given f is a real function defined on [ , ]
a a h
+ such that the (n – 1)th
derivative f n
( )
−1
is continuous and
so, f f f f n
, , , ( )
′ ′′ … −1
are continuous.
Consider the function
f( ) ( ) ( ) ( )
( )
!
( )
( )
!
( )
x f x a h x f x
a h x
f x
a h x
f x
= + + − +
+ −
+
+ −
′ ′′ ′′′
2 3
2 3
+ +
+ −
−
+
+ −
−
−
… ( )
( )!
( )
( )
!
( )
a h x
n
f x
a h x
n
A
n
n
n
1
1
1
(1)
where A is a constant to be determined such that f f
( ) ( )
a a h
= + .
⇒ f a
h
f a
h
f a
h
n
f a
h
n
A f a h
n
n
n
( )
!
( )
!
( )
( )!
( )
!
(
( )
+ + + +
−
+ = +
−
−
1 2 1
2 1
1
′ ′′ … )
) (2)
Since f f f f n
, , , ( )
′ ′′ … −1
are continuous on [ , ]
a a h
+ and a h x a h x a h x n
+ − + − + −
, ( ) , ( )
2
…, are
continuous, we get f is continuous on [ , ]
a a h
+ .
M03_ENGINEERING_MATHEMATICS-I _CH03_Part B.indd 66 5/19/2016 5:07:15 PM
Differential Calculus ■ 3.67
Further f f f f n
, , , ( )
′ ′′ … −1
and a h x a h x a h x n
+ − + − + −
, ( ) , ( )
2
… are derivable in ( , )
a a h
+ and
also we get f is derivable in ( , ).
a a h
+
Further f f
( ) ( ).
a a h
= +
So, f satisfies the conditions of Rolle’s theorem.
∴ by Rolle’s theorem, there exists a c a a h
∈ +
( , ) such that ′ =
f ( ) .
c 0
Since a c a h
  + , we can write c a h
= +  
u u
, .
0 1
∴ ′ + =  
f u u
( ) , .
a h 0 0 1
Now
f′ ′ ′ ′′ ′′ …
( ) ( ) ( ) ( ) ( ) ( ) ( )
( )
x f x f x a h x f x a h x f x
a h x n
= − + + − − + − +
+
+ − −2
(
( )!
( )
( )
( )!
( )
( )
( )
( ) ( )
n
f x
a h x
n
f x
a h x
n
n
n
n
n
−
−
+ −
−
+
+ −
−
−
−
−
−
2 2
1
1
2
1
1
!
!
( )
( )
!
( )
( )!
( )
( )
( )
( )
f x
n a h x
n
A
a h x
n
f x
a h x
n
n
n
n
n
−
+ −
=
+ −
−
−
+ −
−
− −
1
1
1
1
1
1
( )!
n
A
−
∴ ′ + =
f u
( )
a h 0
⇒
( )
( )!
( )
( )
( )!
( )
a h a h
n
f a h
a h a h A
n
n
n
n
+ − −
−
+ −
+ − −
−
=
− −
u
u
u
1 1
1 1
0
⇒
( )
( )!
( )
( )
( )!
( )
h h
n
f a h
h h A
n
n
n
n
−
−
+ =
−
−
− −
u
u
u
1 1
1 1
⇒ A f a h
n
= +
( )
( ).
u
Substituting in (2), we get
f a h f a
h
f a
h
f a
h
f a
h
n
f
n
( ) ( )
!
( )
!
( )
!
( )
( )!
(
+ = + + + +
+
−
−
1 2 3
1
2 3
1
′ ′′ ′′′ …
n
n
n
n
a
h
n
f a h
−
+ +  
1
0 1
) ( )
( )
!
( ),
u u
This is called Taylor’s theorem.
Note
(1) The ( )
n th
+1 term
h
n
f a h
n
n
!
( ),
( )
+  
u u
0 1, is called the Lagrange’s Remainder after n terms in
the Taylor’s series expansion of f a h
( )
+ and it is denoted by Rn .
(2) If n = 1, then we get
f a h f a hf a h
( ) ( ) ( ),
+ = + ′ +  
u u
0 1
which is Lagrange’s mean value theorem.
(3) If we put a h x
+ = or h x a
= − , that is if the interval is taken as [ , ],
a x then Taylor’s theorem takes
another form
M03_ENGINEERING_MATHEMATICS-I _CH03_Part B.indd 67 5/19/2016 5:07:33 PM
3.68 ■ Engineering Mathematics
f x f a
x a
f a
x a
f a
x a
f a
x
( ) ( )
( )
!
( )
( )
!
( )
( )
!
( )
(
= +
−
+
−
+
−
+
+
1 2 3
2 3
′ ′′ ′′′ …
−
−
−
+
−
+ −  
−
−
a
n
f a
x a
n
f a x a
n
n
n
n
)
( )!
( )
( )
!
( ( ))
( ) ( )
1
1
1
0 1
u u
This is called Taylor’s formula about the point a.
If the reminder Rn → 0 as n → ∞, we get Taylor’s series.
3.5.2 Taylor’s Series
If f is a real function defined on [ , ]
a a h
+ such that
(i) f has derivatives of all orders in the interval [ , ]
a a h
+ and
(ii) the remainder after n terms
R
h
n
f a h n
n
n
n
= + → → ∞
!
( ) ,
( )
u 0 as
then f a h f a
h
f a
h
f a
h
n
f a
n
n
( ) ( )
!
( )
!
( )
!
( )
( )
+ = + + + + + ∞
1 2
2
′ ′′ … …
This infinite series is called Taylor’s series.
Taylor’s series about the point a is
f x f a
x a
f a
x a
f a
x a
n
f a
n
n
( ) ( )
( )
!
( )
( )
!
( )
( )
!
( )
( )
= +
−
+
−
+ +
−
+ ∞
1 2
2
′ ′′ … …
Instead of the interval [ , ]
a a h
+ , if the interval is [0, x], then we get Maclaurin’s theorem and
Maclaurin’s series.
3.5.3 Maclaurin’s Theorem with Lagrange’s Form of Remainder
If f is a real function defined on [0, x] such that
(i) The ( )
n −1 th
derivative f n
( )
−1
is continuous on [ , ]
0 x and (ii) The nth
derivative f n
( )
exists in [ , ]
0 x ,
then there exists a number u between 0 and 1 such that
f x f
x
f
x
f
x
n
f
x
n
f
n
n
n
( ) ( )
!
( )
!
( )
( )!
( )
!
( ) (
= + ′ + ′′ + +
−
+
−
−
0
1
0
2
0
1
0
2 1
1
… n
n
x
)
( ),
u u
0 1
  .
If the reminder term Rn → 0 as n → ∞, we get Maclaurin’s series.
3.5.4 Maclaurin’s Series
If f is a real function defined on [ , ]
0 x such that (i) f has derivatives of all orders
and (ii) the reminder term
R
x
n
f h
n
n
n
= →
!
( )
( )
u 0 as n → ∞,
M03_ENGINEERING_MATHEMATICS-I _CH03_Part B.indd 68 5/19/2016 5:07:46 PM
Differential Calculus ■ 3.69
then f x f
x
f
x
f
x
n
f
n
n
( ) ( )
!
( )
!
( )
!
( )
( )
= + + +⋅⋅⋅+ +⋅⋅⋅
0
1
0
2
0 0
2
′ ′′
This infinite series is called Maclaurin’s series.
It is also known as the Maclaurin’s series expansion for f x
( ) in powers of x.
Remark: (1) It should be noted that technically there is no distinction betweenTaylor’s and Maclaurin’s
series. Each of which seeks to express the value of the function at any point (in an interval) interms
of the value of the various derivatives of the function at another point and the distance between the
two points.
(2) In order to expand a given function as an infinite series using Taylor’s series or Maclaurin’s
series, it is necessary to verify Rn → 0 as n → ∞. However in practical situations we will be dealing
with functions involving trigonometric, exponential, logarithmic or algebraic functions which satisfy
this condition. Hence, we obtain the expansion formally assuming this condition.
WORKED EXAMPLES
EXAMPLE 1
Expand sin x as a finite series in powers of x, with remainder in Lagrange’s form. Hence find
the series for sin x.
Solution.
Let f x x
( ) sin
= .
∴ ′ = = +
⎛
⎝
⎜
⎞
⎠
⎟
f x x x
( ) cos sin
p
2
, ′′ = − = +
⎛
⎝
⎜
⎞
⎠
⎟
f x x x
( ) sin sin
2
2
p
′′′ = − = +
⎛
⎝
⎜
⎞
⎠
⎟
f x x x
( ) cos sin ,
3
2
p
…, f x
n
x
n
( )
( ) sin
= +
⎛
⎝
⎜
⎞
⎠
⎟
p
2
.
By Maclaurin’s theorem with Lagrange’s reminder, we have
f x f
x
f
x
f
x
n
f
x
n
n
n
n
( ) ( )
!
( )
!
( )
( )!
( )
!
( )
= + + +⋅⋅⋅+
−
+
−
−
0
1
0
2
0
1
0
2 1
1
′ ′′ f
f x
n
( )
( ),
u u
0 1
 
⇒ sin sin( )
!
sin
!
sin
!
sin
x
x x x
= + +
⎛
⎝
⎜
⎞
⎠
⎟ + +
⎛
⎝
⎜
⎞
⎠
⎟ +
0
1 2
0
2
2
2
0
3
3
2
2 3
p p p
+
+
⎛
⎝
⎜
⎞
⎠
⎟ +
0 …
+
−
−
+
⎛
⎝
⎜
⎞
⎠
⎟ + +
⎛
⎝
⎜
⎞
⎠
⎟  
−
x
n
n x
n
n
x
n n
1
1
1
2
0
2
0 1
( )!
sin
( )
!
sin ,
p p
u u
= − + − +
−
−
⎛
⎝
⎜
⎞
⎠
⎟ + +
⎛
⎝
⎜
−
x
x x x
n
n
x
n
n
x
n n
3 5 1
3 5 1
1
2 2
! ! ( )!
sin ( )
!
sin
… p p
u
⎞
⎞
⎠
⎟  
, .
0 1
u
Here R
x
n
n
x
n
n
= +
⎛
⎝
⎜
⎞
⎠
⎟
!
sin
p
u
2
and f is in [ , ]
0 x .
∴ R
x
n
n
x
x
n
n
n n
= +
⎛
⎝
⎜
⎞
⎠
⎟ ≤
!
sin
!
p
u
2
, since sin
n
x
p
u
2
1
+
⎛
⎝
⎜
⎞
⎠
⎟ ≤ .
M03_ENGINEERING_MATHEMATICS-I _CH03_Part B.indd 69 5/19/2016 5:07:59 PM
3.70 ■ Engineering Mathematics
Let u
x
n
n
n
=
!
, then u
x
n
n
n
+
+
=
+
1
1
1
( )!
.
∴
u
u
x
n
n
x
x
n
n
n
n
n
+
+
=
+
⋅ =
+
1
1
1 1
( )!
!
( )
∴ lim lim
n
n
n
n
u
u
x
n
→∞
+
→∞
=
+
=
1
1
0 ∴ lim
n
n
u
→∞
= 0. [by the result quoted below]
Hence, Rn → 0 as n → ∞ ∴ sin
! ! !
x x
x x x
= − + − +
3 5 7
3 5 7
…
Result: If { }
un
is a sequence such that lim ,
n
n
n
u
u
l l
→∞
+
=  
1
0 1, then lim
n
n
u
→∞
= 0.
EXAMPLE 2
Find the Taylor’s series expansion of cos x about x 5
p
4
.
Solution.
Let f(x) = cosx
The Taylor’s series expansion of f(x) about x =
p
4
is f(x) = f
p
4
⎛
⎝
⎜
⎞
⎠
⎟ +
1
1!
x −
⎛
⎝
⎜
⎞
⎠
⎟
p
4
f ′
p
4
⎛
⎝
⎜
⎞
⎠
⎟ +
1
2!
x −
⎛
⎝
⎜
⎞
⎠
⎟
p
4
2
f ″
p
4
⎛
⎝
⎜
⎞
⎠
⎟ +
1
3 4
3
!
x −
⎛
⎝
⎜
⎞
⎠
⎟
p
f ′″
p
4
⎛
⎝
⎜
⎞
⎠
⎟
x f
p p
1
4 4 4
4
4
+ −
⎛
⎝
⎜
⎞
⎠
⎟
⎛
⎝
⎜
⎞
⎠
⎟
!
( )
+ …
we have f(x) = cosx , f ′
p
4
⎛
⎝
⎜
⎞
⎠
⎟ = cos
p
4
⎛
⎝
⎜
⎞
⎠
⎟ =
1
2
f(x) = −sin x, f ′
p
4
⎛
⎝
⎜
⎞
⎠
⎟ = −sin
p
4
⎛
⎝
⎜
⎞
⎠
⎟ = −
1
2
f x
″( ) = −cosx, f ″
p
4
⎛
⎝
⎜
⎞
⎠
⎟ = − cos
p
4
⎛
⎝
⎜
⎞
⎠
⎟ = −
1
2
f x
″′( ) = sinx, f ″′
p
4
⎛
⎝
⎜
⎞
⎠
⎟ = sin
p
4
⎛
⎝
⎜
⎞
⎠
⎟ =
1
2
f(4)
(x) = cosx, f(4)
p
4
⎛
⎝
⎜
⎞
⎠
⎟ = cos
p
4
⎛
⎝
⎜
⎞
⎠
⎟ =
1
2
and so on
∴ Taylor’s series is
f x
( ) =
1
2
+ x
x
x
−
⎛
⎝
⎜
⎞
⎠
⎟ −
⎛
⎝
⎜
⎞
⎠
⎟ +
−
⎛
⎝
⎜
⎞
⎠
⎟
−
⎛
⎝
⎜
⎞
⎠
⎟ + −
⎛
⎝
⎜
⎞
⎠
⎟
p
p
p
4
1
2
4
2
1
2
1
3 4
1
2
3
! ! 2
2
1
4 4
1
2
4
⎛
⎝
⎜
⎞
⎠
⎟ + −
⎛
⎝
⎜
⎞
⎠
⎟
⎛
⎝
⎜
⎞
⎠
⎟
!
...
x
p
⇒ sinx =
1
2
1
4
1
2 4
1
3 4
1
4 4
2 3
− −
⎛
⎝
⎜
⎞
⎠
⎟ − −
⎛
⎝
⎜
⎞
⎠
⎟ + −
⎛
⎝
⎜
⎞
⎠
⎟ + −
⎛
⎝
⎜
⎞
⎠
⎟
x x x x
p p p p
! ! !
4
4
−
⎡
⎣
⎢
⎢
⎤
⎦
⎥
⎥
...
M03_ENGINEERING_MATHEMATICS-I _CH03_Part B.indd 70 5/19/2016 5:08:28 PM
Differential Calculus ■ 3.71
EXAMPLE 3
Using Taylor’s theorem, prove that x
x
x x
x x
2 2 1
3 3 5
6
sin
6 120
  for x  0.
Solution.
Let f x x
( ) sin .
= To prove x
x
x x
x x
−   − +
3 3 5
6 6 120
sin for x  0
For proving this inequality in terms of x, we consider Maclaurin’s formula upto third and fifth
degree terms with Lagrange’s reminder.
Maclaurin’s series upto the third term with Lagrange’s reminder is
f x f
x
f
x
f
x
f x
( ) ( )
!
( )
!
( )
!
( )
= + + +
0
1
0
2
0
3
2 3
1
′ ′′ ′′′ u , 0 1
1
 
u
We have f x x
( ) sin
= , f ( ) sin
0 0 0
= =
∴ ′ =
f x x
( ) cos , ′ = =
f ( ) cos
0 0 1
′′ = −
f x x
( ) sin , ′′ = − =
f ( ) sin
0 0 0
′′′ = −
f x x
( ) cos , ′′′ = − = −
f ( ) cos
0 0 1
f x x
( )
( ) sin
4
= , f ( )
( ) sin
4
0 0 0
= =
f x x
( )
( ) cos
5
= , f ( )
( ) cos
5
0 0 1
= =
and f x x
( )
( ) sin
6
= − , f ( )
( ) sin
6
0 0 0
= − =
∴ sin
! ! !
( cos )
x
x x x
x
= + ⋅ + ⋅ + −
0
1
1
2
0
3
2 3
1
u = −
x
x
x
3
1
6
cos ( )
u .
We have for x
x
x
x
 −  −
0
3 6
3
1
3
,
!
cosu [whether cosu1x is +ve or –ve]
⇒ x
x
x x
x
−  −
3
1
3
6 6
cosu ⇒ sin x x
x
≥ −
3
6
(1)
Also Maclaurin’s series up to fifth degree term with Lagrange’s reminder is
f x f
x
f
x
f
x
f
( ) ( )
!
( )
!
( )
!
( )
= + + +
0
1
0
2
0
3
0
2 3
′ ′′ ′′′ + +  
x
f
x
f x
4
4
5
5
2 2
4
0
5
0 1
!
( )
!
( ),
( ) ( )
u u
⇒ sin ( )
!
( )
!
( )
!
( )
!
(cos ),
x x
x x x x
x
= + + + + − + +  
0 1
2
0
3
1
4
0
5
0 1
2 3 4 5
2 2
u u
= − +  
x
x x
x
3 5
2 2
6 120
0 1
cos ,
u u
We have − ≤ ≤
1 1
2
cosu x and x  0. ∴
x
x
x
5
2
5
120 120
cosu ≤
M03_ENGINEERING_MATHEMATICS-I _CH03_Part B.indd 71 5/19/2016 5:08:56 PM
3.72 ■ Engineering Mathematics
∴ x
x x
x x
x x
− + ≤ − +
3 5
2
3 5
6 120 6 120
cosu ∴ sin x x
x x
≤ − +
3 5
6 120
(2)
From (1) and (2), we get x
x
x x
x x
− ≤ ≤ − +
3 3 5
6 6 120
sin .
But equality holds only when x = 0 . ∴ x
x
x x
x x
−   − +
3 3 5
6 6 120
sin for x  0.
EXAMPLE 4
Showthat log (1 ) log 2
2 8 192
2 4
e
x
e
e
x x x
1 5 1 1 2 1…andhencededucethat
e
e
x x
x
x
1
1
2 4 48
3
1
5 1 2 1…
Solution.
Let f x e
e
x
( ) log ( )
= +
1
Maclaurin’s series for f x
( ) is
f x f
x
f
x
f
x
f
x
f
( ) ( )
!
( )
!
( )
!
( )
!
( )
( )
= + + + + +
0
1
0
2
0
3
0
4
0
2 3 4
4
′ ′ ′′′ … (1)
we have f x e
e
x
( ) log ( )
= +
1
∴ f x
e
e
x
x
′( ) =
+
⋅
1
1
f x
e e e e
e
x x x x
x
′′
⋅
( )
( )
( )
=
+ −
+
1
1 2 =
+ −
+
=
+
e e e
e
e
e
x x x
x
x
x
2 2
2 2
1 1
( ) ( )
.
′′′ =
+ ⋅ − + ⋅
+
f x
e e e e e
e
x x x x x
x
( )
( ) ( )
( )
1 2 1
1
2
4
=
+ + −
+
( ) [ ]
( )
1 1 2
1 4
e e e e
e
x x x x
x
⇒ f x
e e
e
e e
e
x x
x
x x
x
′′′( )
( )
( ) ( )
=
−
+
=
−
+
1
1 1
3
2
3
and f x
e e e e e e e
e
x x x x x x x
x
( )
( )
( ) [ ] ( ) ( )
( )
4
3 2 2 2
6
1 2 3 1
1
=
+ − − − + ⋅
+
⋅
=
+ + − − −
+
( ) [( )( ) ( )]
( )
1 1 2 3
1
2 2 2
6
e e e e e e e
e
x x x x x x x
x
⇒
f x
e e e e e e
e
x x x x x x
x
( )
( )
( )( ) ( )
( )
4
2 2
4
1 2 3
1
=
+ − − −
+
.
∴ f e e
( ) log ( ) log
0 1 1 2
= + = , f ′( )
0
1
1 1
1
2
=
+
= , f ′′( )
( )
0
1
1 1
1
4
2
=
+
=
f ′′′( )
( )
,
0
1 1
1 1
0
3
=
−
+
= f ( )
( )
( )[ ] ( )
( )
4
4
0
1 1 1 2 3 1 1 1
1 1
2
16
1
8
=
+ − − −
+
= − = −
⋅ .
M03_ENGINEERING_MATHEMATICS-I _CH03_Part B.indd 72 5/19/2016 5:09:15 PM
Differential Calculus ■ 3.73
∴ (1) becomes,
f x
x x x x
e
( ) log
! ! ! !
= + ⋅ + ⋅ + × + −
⎛
⎝
⎜
⎞
⎠
⎟ +
2
1
1
2 2
1
4 3
0
4
1
8
2 3 4
…
⇒ log ( ) log
e
x
e
e
x x x
1 2
2 8 192
2 4
+ = + + − +… (2)
To deduce the expansion of
e
e
x
x
1+
, differentiate (2) w.r.to x,
∴
e
e
x x
x
x
1
1
2
2
8
4
192
3
+
= + − +… ⇒
e
e
x x
x
x
1
1
2 4 48
3
+
= + − +….
EXAMPLE 5
Using the fact
d
dx
x x
(sin ) (1 )
1 2 1/ 2
2 2
5 2 and the binomial series, obtain the first four non−zero
terms of the Taylor’s series for sin 1
2
x and hence obtain the first five non−zero terms of the
Taylor’s series for cos 1
2
x.
Solution.
Given
d
dx
x x
(sin ) ( )
− −
= −
1 2 1 2
1
= + +
+
⎛
⎝
⎜
⎞
⎠
⎟
+
+
⎛
⎝
⎜
⎞
⎠
⎟ +
⎛
⎝
⎜
⎞
⎠
⎟
+
1
1
2
1
2
1
2
1
2
1
2
1
2
1
1
2
2
3
2 2 2 2 3
x x x
!
( )
!
( ) …
…, 
x 1
⇒
d
dx
x
x
x x
(sin )
−
= + +
⋅
⋅
+
⋅ ⋅
⋅ ⋅
+
1
2
4 6
1
2
1 3
2 4
1 3 5
2 4 6
… (1)
Integrating (1) w.r.to x, we get
sin−
= + +
⋅
+
⋅
⋅
+
⋅ ⋅
⋅ ⋅
+
1
3 5 7
2 3
1 3
2 4 5
1 3 5
2 4 6 7
x c x
x x x …
When x x c
= = ∴ =
−
0 0 0
1
, sin
∴ sin−
= + +
⋅
⋅
+
⋅ ⋅
⋅ ⋅
+
1
3 5 7
1
2 3
1 3
2 4 5
1 3 5
2 4 6 7
x x
x x x …
We know that sin cos
− −
+ =
1 1
2
x x
p
.
⇒ cos sin
− −
= −
1 1
2
x x
p
= − + +
⋅
⋅
+
⋅ ⋅
⋅ ⋅
+
⎡
⎣
⎢
⎤
⎦
⎥
p
2
1
2 3
1 3
2 4 5
1 3 5
2 4 6 7
3 5 7
x
x x x …
= − − −
⋅
⋅
−
⋅ ⋅
⋅ ⋅
−
p
2
1
2 3
1 3
2 4 5
1 3 5
2 4 6 7
3 5 7
x
x x x …
M03_ENGINEERING_MATHEMATICS-I _CH03_Part B.indd 73 5/19/2016 5:09:25 PM
3.74 ■ Engineering Mathematics
EXERCISE 3.9
1. Find the Taylor’s series expansion of loge
sin x about x = 3 [or in powers of (x − 3].
2. Find the Taylor’s series expansion of sin x about x =
p
4
.
3. Write down the Taylor’s series up to x4
for tan x +
⎛
⎝
⎜
⎞
⎠
⎟
p
4
.
4. Expand f x x x e x
( ) sin
= − −
2 2
by Taylor’s formula up to x4
.
5. Prove that 1
2
1
2
0
2 2
+ + ≤ ≤ + + ≥
x
x
e x
x
e x
x x
for .
6. If f x x x
e
( ) log ( ),
= + 
1 0 using Maclaurin’s theorem, then show that for 0 1
 
u .
log ( )
( )
e x x
x x
x
1
2 3 1
2 3
3
+ = − +
+ u
.
Deduce that log ( )
( )
e x x
x x
x
1
2 3 1
2 3
3
+  − +
+ u
for x ≥ 0.
7. Write down Maclaurin’s formula for the function f x x
( ) = +
1 with Lagrange’s reminder R3.
Estimate the error in the approximation 1 1
2 8
2
+ + −
x
x x
~ when x = 0 2
. .
8. Using Maclaurin’s series expand tanx up to the term containing x5
.
9. Write Taylor’s series for f x x
( ) ( )
= −
1 5 2
with Lagrange’s form of remainder up to 3 terms in the
interval [ , ]
0 1
10. Apply Taylor’s theorem to express x about the point x = 1, up to third degree.
11. Expand loge x as a Taylor’s series in powers of ( )
x −1 and hence evaluate log .
e 1 1 to 4 places of
decimals.
12. Calculate the approximate value of 10 to four decimal places using Taylor’s series.
ANSWERS TO EXERCISE 3.9
1. loge
sinx = loge
sin3 + cot3(x – 3) −
cos
( )
cos cot
( )
ec ec
2
2
2
3
3
3
3
3 3
3
3
x x
− + −
cos ( cot )
(
ec2 2
3 1 3 3
12
3
x
−
+
− )
)4
+…
2. sinx =
1
2
1
4
1
2 4
1
3 4
1
4 4
2 3
+ −
⎛
⎝
⎜
⎞
⎠
⎟ − −
⎛
⎝
⎜
⎞
⎠
⎟ − −
⎛
⎝
⎜
⎞
⎠
⎟ + −
⎛
⎝
⎜
⎞
⎠
⎟
x x x x
p p p p
! ! !
4
4
+
⎡
⎣
⎢
⎢
⎤
⎦
⎥
⎥
…
3. tanx x +
⎡
⎣
⎢
⎤
⎦
⎥
p
4
= 1 + 2x + 2x2
+
8
3
x3
+
10
3
x4
+…
4. f x x x
( ) = − +
3 4
5
6
… 6. log ( )
e x x
x x
1
2 3
2 3
+ = − + for x ≥ 0.
M03_ENGINEERING_MATHEMATICS-I _CH03_Part B.indd 74 5/19/2016 5:09:43 PM
Differential Calculus ■ 3.75
7. the error is less than
1
2 103
.
8. tan x x
x x
= + +
3 2
3
2
15
9. ( )
! ( ) !
,
1 1
5
2
15
4 2
15
8
1
1 3
0 1
5 2
2
1 2
3
− = − + ⋅ −
−
 
x x
x
x
x
u
u
10. x x
x x
x
x
= + −
( )−
−
( ) +
−
( ) − + −
[ ] ⋅
−
−
1
1
2
1
1
4
1
2
3
8
1
3
15
16
1 1
1
2 3
7 2
4
! !
( )
( )
u
4
4
0 1
!
, .
 
u
11. 0 0953
. 12. 3 1623
.
3.5.5 Expansion by Using Maclaurin’s Series of Some Standard Functions
Sometimes for a given function f obtaining the derivatives f f f
′, ′′ ′′′ …
, , would be difficult for writing
the Maclaurin’s series. In such cases, we use Maclaurin’s series expansion of some standard functions,
when we require few terms of the resulting series.
We list the Maclaurin’s series expension of some of the standard functions.
1. ( )
( )
!
( )( )
!
,
1 1
1
2
1 2
3
1
2 3
+ = + +
−
+
− −
+ 
x nx
n n
x
n n n
x x
n …
2. e
x x x
x R
x
= + + + + ∈
1
1 2 3
2 3
! ! !
,
…
3. log ( ) ,
e x x
x x x
x
1
2 3 4
1
2 3 4
+ = − + − + 
…
4. sin
! ! !
x x
x x x
= − + − +
3 5 7
3 5 7
… 5. cos
! !
x
x x x
= − + − +
1
2 4 6
2 4 6
…
6. sinh
! !
x x
x x
= + + +
3 5
3 5
… 7. cosh
! !
x
x x
= + + +
1
2 4
2 4
…
8. tan
! !
−
= − + +
1
3 5
3 5
x x
x x …
9. sin ,
−
= + +
⋅
⋅
+
⋅ ⋅
⋅ ⋅
+
1
3 5 7
1
2 3
1 3
2 4 5
1 3 5
2 4 6 7
x x
x x x … −1 ≤ x ≤ 1
10. cos ,
−
= − − −
⋅
⋅
−
⋅ ⋅
⋅ ⋅
−
1
3 5 7
2
1
2 3
1 3
2 4 5
1 3 5
2 4 6 7
x x
x x x
p … −1 ≤ x ≤ 1
WORKED EXAMPLES
EXAMPLE 1
Expand log (1 sin )
2 6 12
2 3 4
e x x
x x x
1 5 2 1 2 1….
M03_ENGINEERING_MATHEMATICS-I _CH03_Part B.indd 75 5/19/2016 5:09:54 PM
3.76 ■ Engineering Mathematics
Solution.
We know that
log ( )
e x x
x x x x
x
1
2 3 4 5
1
2 3 4 5
+ = − + − + + 
…
∴ log ( sin ) sin
(sin ) (sin ) (sin ) (sin)
e x x
x x x
1
2 3 4 5
2 3 4 5
+ = − + − + +… {sin x ≤
⎡
⎣ ⎤
⎦
1
= − + − − − + −
⎛
⎝
⎜
⎞
⎠
⎟ + − + −
⎛
⎝
⎜
⎞
⎠
x
x x
x
x x
x
x x
3 5 2 5 2 2 5
3 5
1
2 3 5
1
3 3 5
! ! ! ! ! !
… … …
⎟
⎟
− − + −
⎛
⎝
⎜
⎞
⎠
⎟ +
3
2 5 4
1
4 3 5
x
x x
! !
… …
= − + − − − ⋅ +
⎛
⎝
⎜
⎞
⎠
⎟ + − − −
= − +
x
x x
x
x
x x
x
x
3 5
2
4
3 4
2
6 120
1
2
2
6
1
3
1
4
2
… … … …
( ) ( )
x
x x x x
x
x x x
3 3 4 4 2 3 4
3 6 6 4 2 6 12
− + − + = − + − +
… …
EXAMPLE 2
Show that tan
1 1 1
2 3 5 7
1
2 3 5 7
2 1 2
5 2 1 2 1
x
x
x
x x x
⎛
⎝
⎜
⎞
⎠
⎟
⎡
⎣
⎢
⎤
⎦
⎥
… .
Solution.
Let f x
x
x
( ) tan
=
+ −
⎛
⎝
⎜
⎞
⎠
⎟
−1
2
1 1
Put x = tanu. ∴ 1 1
2 2 2
+ = + = =
x tan sec sec
u u u
∴ f x
( ) tan
sec
tan
=
−
⎛
⎝
⎜
⎞
⎠
⎟
−1 1
u
u
Now
sec
tan
cos
sin
cos
u
u
u
u
u
−
=
−
1
1
1
=
−
= = =
1
2
2
2
2 2
2
2
2
2
cos
sin
sin
sin cos
sin
cos
tan
u
u
u
u u
u
u
u
∴ f x x
( ) tan tan tan
=
⎛
⎝
⎜
⎞
⎠
⎟ = =
− −
1 1
2 2
1
2
u u
⇒ f x x
x x x
( ) .
= − + − +
⎡
⎣
⎢
⎤
⎦
⎥
1
2 3 5 7
3 5 7
… ⇒ tan .
− + −
⎛
⎝
⎜
⎞
⎠
⎟ = − + − +
⎡
⎣
⎢
⎤
⎦
⎥
1
2 3 5 7
1 1 1
2 3 5 7
x
x
x
x x x
…
M03_ENGINEERING_MATHEMATICS-I _CH03_Part B.indd 76 5/19/2016 5:10:10 PM
Differential Calculus ■ 3.77
EXAMPLE 3
Show that
e x x
x x x
n
x
n
n
cos 1 2 cos
4 2!
2 cos
2
4 3!
2 cos
3
4 !
2
1/ 2
2 3
3/ 2 /
5 1
p
1
p
1
p
1 1
⋅ ⋅ … 2
2
cos
4
np
1
⎛
⎝
⎜
⎞
⎠
⎟ ….
Solution.
Let f x e x
x
( ) cos
= =
+
⎡
⎣
⎢
⎤
⎦
⎥
−
e
e e
x
ix ix
2
= +
+ −
1
2
1 1
[ ]
( ) ( )
e e
x i x i
f x i e i e
x i x i
9( ) [( ) ( ) ]
( ) ( )
= + + −
+ −
1
2
1 1
1 1
f x i e i e
x i x i
′′( ) [( ) ( ) ]
( ) ( )
= + + −
+ −
1
2
1 1
2 1 2 1
f x i e i e
x i x i
′′′( ) [( ) ( ) ]
( ) ( )
= + + −
+ −
1
2
1 1
3 1 3 1
: :
f x i e i e
n n x i n x i
( ) ( ) ( )
( ) [( ) ( ) ]
= + + −
+ −
1
2
1 1
1 1
∴ f i i
n n n
( )
( ) [( ) ( ) ]
0
1
2
1 1
= + + −
But 1 2
4 4
+ = +
⎡
⎣
⎢
⎤
⎦
⎥
i i
cos sin
p p
and ( ) cos sin
1 2
4 4
2
+ = +
⎡
⎣
⎢
⎤
⎦
⎥
i
n
i
n
n n p p
For, let 1+ = +
i r i
(cos sin )
u u . ∴r r
cos sin
u u
= =
1 1
and
⇒ r r r
2 2 2 2 2 2 2
2 2
cos sin (cos sin
u u u u
+ = ⇒ + =
) ⇒ r r
2
2 2
= ⇒ =
and tanu u
p
= ⇒ =
1
4
∴ 1 2
4 4
+ = +
⎡
⎣
⎢
⎤
⎦
⎥
i i
cos sin
p p
and ( ) cos sin
1 2
4 4
2
+ = +
⎡
⎣
⎢
⎤
⎦
⎥
i
n
i
n
n n p p
[by De−movire’s theorem]
Similarly, ( ) cos sin
1 2
4 4
2
− = −
⎡
⎣
⎢
⎤
⎦
⎥
i
n
i
n
n n p p
∴ f
n
i
n n
i
n
n n n
( ) / /
( ) cos sin cos sin
0
1
2
2
4 4
2
4 4
2 2
= +
⎫
⎬
⎭
+ −
⎫
⎬
⎭
⎧
⎨
⎩
⎧
⎨
p p p p
⎩
⎩
⎡
⎣
⎢
⎢
⎤
⎦
⎥
⎥
= + + −
⎫
⎬
⎭
⎧
⎨
⎩
=
1
2
2
4 4 4 4
1
2
2 2
2 2
⋅ ⋅ ⋅
n n
n
i
n n
i
n n
/ /
cos sin cos sin cos
p p p p p
4
4
⇒ f
n
n n
( ) /
( ) cos
0 2
4
2
=
p
M03_ENGINEERING_MATHEMATICS-I _CH03_Part B.indd 77 5/19/2016 5:10:30 PM
3.78 ■ Engineering Mathematics
Maclaurin’s series is
f x f
x
f
x
f
x
f
x
n
f
n
n
( ) ( )
!
( )
!
( )
!
( )
!
( )
= + + + + + +
0
1
0
2
0
3
0 0
2 3
′ ′′ ′′′ ⋅⋅⋅ ⋅⋅⋅
⋅
But f(0) = 1.
∴ f f f f n
′ ′′ ′′′ ⋅⋅⋅
( ) cos , ( ) cos , ( ) cos , , (
/ / ( )
0 2
4
0 2
4
0 2
3
4
12 3 2
= = =
p p p
0
0 2
4
2
) cos
/
= n np
∴ e x
x x x x
n
x
n
n
cos
!
cos
!
cos
!
cos
!
/ / /
= + + + + +
1
1
2
4 2
2
2
4 3
2
3
4
2
1 2
2 3
3 2
p p p … 2
2
4
cos
np
+…
3.5.6 Expansion of Certain Functions Using differential Equations
WORKED EXAMPLES
EXAMPLE 1
Expand cos( sin )
1
m x
2
as a power series.
Solution.
Let y = cos( sin )
m x
−1
(1)
Differentiating w.r.to x, we get
y m x
m
x
1
1
2
1
= −
−
−
sin( sin ).
⇒ 1 2
1
1
− = − −
x y m m x
sin( sin ).
Squaring, ( ) ( ) sin ( sin )
1 2
1
2 2 2 1
− = − −
x y m m x = − −
m m x
2 2 1
1
[ cos ( sin )]
⇒ ( ) ( )
1 1
2
1
2 2 2
− = −
x y m y (2)
Differentiating w.r.to x, we get
( ) ( ) ( )
1 2 2 2
2
1 2 1
2 2
1
− + − = −
x y y y x m yy
⇒ 2 1 2 2
2
1 2 1
2 2
1
( )
− − = −
x y y xy m yy
Dividing by 2y1
, we get
( )
1 2
2 1
2
− − = −
x y xy m y ⇒ ( )
1 0
2
2 1
2
− − + =
x y xy m y (3)
Differentiating n times using Leibnitz’s theorem, we get
( ) ( ) ( ) { }
1 2 2 1 0
2
2 1 1 2 1 1
2
− + − + − − + + =
+ + +
x y nC x y nC y xy nC y m y
n n n n n n
⋅ ⋅
⇒ ( )
( )
1 2 2
1
2
0
2
2 1 1
2
− + −
−
− − + =
+ + +
x y nxy
n n
y xy ny m y
n n n n n n
1⋅
M03_ENGINEERING_MATHEMATICS-I _CH03_Part B.indd 78 5/19/2016 5:10:39 PM
Differential Calculus ■ 3.79
⇒ ( ) ( ) ( )
1 2 1 0
2
2 1
2 2
− − + + − − + + =
+ +
x y n xy n n n m y
n n n
⇒ ( ) ( ) ( )
1 2 1 0
2
2 1
2 2
− − + − − =
+ +
x y n xy n m y
n n n (4)
Putting x = 0, we get y(0) = cos (0) = 1 ∴ y m
1 0
0
1 0
0
( )
sin
= −
−
=
From (3), we get ( ) ( ) ( )
1 0 0 0 0 0
2
2
− − + =
y m y ⇒ y m y m
2
2 2
0 0
( ) ( )
= − = −
From (4), we get ( ) ( ) ( ) ( )
1 0 0 0 0 0
2
2 2
− − − − =
+
y n m y
n n ⇒ y n m y
n n
+ = −
2
2 2
0 0
( ) ( ) ( ) (5)
Putting n = 1, 2, 3, 4, … in (5), we get
y m y
3
2
1
0 1 0 0
( ) ( ) ( )
= − =
y m y m m m m
4
2 2
2
2 2 2 2 2 2
0 2 0 2 2
( ) ( ) ( ) ( )( ) ( )
= − = − − = −
y m y
5
2 2
3
0 3 0 0
( ) ( ) ( )
= − =
y m y
6
2 2
4
0 4 0
( ) ( ) ( )
= −
= − − = − − −
( ) ( ) ( )( )
4 2 2 4
2 2 2 2 2 2 2 2 2 2
m m m m m m and so on.
∴ Maclaurin’s series for y = f(x) is
f x f
x
f
x
f
x
f
x
f
x
( ) ( )
!
( )
!
( )
!
( )
!
( )
!
( )
= + + + + +
0
1
0
2
0
3
0
4
0
5
2 3 4
4
5
′ ′′ ′′′ f
f
x
f
( ) ( )
( )
!
( )
5
6
6
0
6
0
+ +⋅⋅⋅
⇒ cos( sin ) ( )
!
( )
!
( )
!
( )
!
( )
m x y
x
y
x
y
x
y
x
y
x
−
= + + + + +
1
1
2
2
3
3
4
4
0
1
0
2
0
3
0
4
0
5
5
5
6
6
5
0
6
0
!
( )
!
( )
y
x
y
+ +⋅⋅⋅
= + + − + + − + + −
1
1
0
2 3
0
4
2
5
0
6
2
2
3 4
2 2 2
5 6
2 2
x x
m
x x
m m
x x
m m
! !
( )
! !
( )
! !
[ (
× × × −
− − +
2 4
2 2 2
)( )]
m ⋅⋅⋅
⇒ cos( sin )
!
( )
!
( )( )
!
m x m
x
m m
x
m m m
x
−
= − + − − − − +
1 2
2
2 2 2
4
2 2 2 2 2
6
1
2
2
4
2 4
6
⋅⋅
⋅⋅
Note Deduce the series for cos mu
Put u u
= ⇒ =
−
sin sin
1
x x
∴ cos( )
!
sin
( )
!
sin
( )( )
!
sin
m
m m m m m m
u u u
= − +
−
−
− −
1
2
2
4
2 4
6
2
2
2 2 2
4
2 2 2 2 2
6
6
u +⋅⋅⋅
EXAMPLE 2
Expand sin[ln ( 2 1)]
2
x x
1 1 as a power series using Maclaurin’s series up to x5
.
M03_ENGINEERING_MATHEMATICS-I _CH03_Part B.indd 79 5/19/2016 5:10:51 PM
3.80 ■ Engineering Mathematics
Solution.
Let y x x
= + +
sin[ln( )]
2
2 1 (1)
⇒ y x
= +
sin[ln( ) ]
1 2
= +
sin[ ln( )]
2 1
x
Differentiating w.r.to x,
⇒ y x
x
1 2 1
2
1
= +
+
cos[ ln( )]⋅ (2)
⇒ ( ) cos[ ln( )]
x y x
+ = +
1 2 2 1
1
Squaring, ( ) cos [ ln( )]
x y x
+ = +
1 4 2 1
2
1
2 2
= − +
4 1 2 1
2
[ sin ( ln( ))]
x
( ) [ ].
x y y
+ = −
1 4 1
2
1
2 2
Differentiating w.r.to x, we get
( ) ( ) ( )
x y y y x yy
+ + + = −
1 2 2 1 4 2
2
1 2 1
2
1
⋅
⇒ 2 1 2 1 8
2
1 2 1
2
1
( ) ( )
x y y x y yy
+ + + = −
⇒ ( ) ( )
x y x y y
+ + + = −
1 1 4
2
2 1 [dividing by 2y1
]
⇒ ( ) ( )
x y x y y
+ + + + =
1 1 4 0
2
2 1 (3)
Differentiating n times, using Leibnitz’s formula, we get
( ) ( ) ( )
x y nC x y nC y x y nC y y
n n n n n n
+ + + + + + + + =
+ + +
1 2 1 2 1 1 4 0
2
2 1 1 2 1 1 ⋅ ⋅
⇒ ( ) ( )
( )
( )
x y n x y
n n
y x y ny y
n n n n n n
+ + + +
−
+ + + + =
+ + +
1 2 1 2
1
1 2
1 4 0
2
2 1 1
⋅
⋅
⇒ ( ) ( )( ) ( ( ) )
x y n x y n n n y
n n n
+ + + + + − + + =
+ +
1 2 1 1 1 4 0
2
2 1
⇒
( ) ( )( ) ( )
x y n x y n y
n n n
+ + + + + + =
+ +
1 2 1 1 4 0
2
2 1
2
⇒ ( ) ( )( ) ( )
x y n x y n y
n n n
+ = − + + − +
+ +
1 2 1 1 4
2
2 1
2
(4)
Put x = 0, then (1) ⇒ y( ) sin[ln( )] sin .
0 1 0 0
= = =
(2) ⇒ y1 0 2 1
2
0 1
2 0 2
( ) cos[ ln( )] cos
=
+
= =
⋅
(3) ⇒ y y y
2 1
0 0 4 0 0
( ) ( ) ( )
+ + = ⇒ y 2 0 2 0 0
( ) + + = ⇒ = −
y2 0 2
( )
(4) ⇒ y n y n y
n n n
+ +
= − + − +
2 1
2
0 2 1 0 4 0
( ) ( ) ( ) ( ) ( ) (5)
M03_ENGINEERING_MATHEMATICS-I _CH03_Part B.indd 80 5/19/2016 5:11:10 PM
Differential Calculus ■ 3.81
Putting n = 1, 2, 3, … in (5), we get
y y y
y
3 2
2
1
2
4
0 2 1 0 1 4 0 3 2 1 4 2 6 10 4
0
( ) ( ) ( ) ( ) ( ) ( ) ( )
( )
= − + − + = − − − + = − = −
= −
− + − + = − − − − = + =
= − +
( ) ( ) ( ) ( ) ( ) ( )
( ) ( )
4 1 0 2 4 0 5 4 8 2 20 16 36
0 6 1
3
2
2
5
y y
y y
y y
4
2
3
0 3 4 0 7 36 13 4 252 52 200
( ) ( ) ( ) ( ) ( )
− + = − − − = − + = −
and so on.
∴ Maclaurin’s series for y = f(x) is
f x f
x
f
x
f
x
f
x
f
x
( ) ( )
!
( )
!
( )
!
( )
!
( )
!
( )
= + + + + +
0
1
0
2
0
3
0
4
0
5
2 3 4
4
5
′ ′′ ′′′ f
f ( )
( )
5
0 +…
= + + + + + +
y
x
y
x
y
x
y
x
y
x
y
( )
!
( )
!
( )
!
( )
!
( )
!
( )
0
1
0
2
0
3
0
4
0
5
0
1
2
2
3
3
4
4
5
5
…
= + + − + − + + − +
0
1
2
2
2
3
4
4
36
5
200
2 3 4 5
x x x x x
! !
( )
!
( )
! !
( )
× × …
∴ sin[ln( )]
! ! !
x x x x x x x
2 2 3 4 5
1 2
4
3
36
4
200
5
+ + = − − + − +…
= − − + − +
2
2
3
3
2
5
3
2 4 5
3
x x x x x …
EXERCISE 3.10
I. Using Maclaurin’s series expand the following functions in powers of x.
(a) log ( )
e
x
e
1+ (b) e x
sin
(c) e x
x
sec (d) e x
x
sin
(e)
x
x
sin
(f) e x
x
cos (g) log sec
e x (h) cos sinh
x x
II. Forming differential equations prove the following.
(a) tan−
= − + −
1
3 5
3 5
x x
x x …
(b) (sin )
! !
.
! !
−
= + + + +
1 2
2
2
4
2 2
6
2 2 2
8
2
2
2 2
4
2 2 4
6
2 2 4 6
8
x
x x x x
⋅ ⋅ ⋅ ⋅ ⋅ ⋅ ⋅⋅⋅
(c) e x x
x x x x
x
e
log ( )
! ! ! !
1
2
2
3
9
5
35
6
2 3 5 6
+ = + + + − +⋅⋅⋅
(d) e x x
x x
x cos
cos( sin ) cos
!
cos
!
cos
a
a a a a
= + + + +
1
2
2
3
3
2 3
⋅⋅⋅
(e) sin−
= + + + +
1
3 5 7
1
2 3
1 3
2 2 5
1 3 5
2 4 6 7
x x
x x x
⋅
⋅
⋅
⋅ ⋅
⋅ ⋅
⋅⋅⋅
M03_ENGINEERING_MATHEMATICS-I _CH03_Part B.indd 81 5/19/2016 5:11:24 PM
3.82 ■ Engineering Mathematics
ANSWERS TO EXERCISE 3.10
I. (a) log
! !
e x
x x
2
1
2
1
4 2
1
8 4
2 4
+ + − +⋅⋅⋅ (b) 1
2
3
4
2
4
+ + − +
x
x
x
! !
…
(c) 1 2
2
4
3
12
4
36
5
2 3 4 5
+ + + + + +
x
x x x x
! ! ! !
⋅ ⋅ ⋅ … (d) x
x x x
+ + − +
2
2
2
3
4
5
2 3 5
! ! !
⋅ ⋅ …
(e) 1
6
7
360
2 4
+ + +
x x
… (f) 1 ⋅⋅⋅
+ − − +
x
x x
2
3
2
4
3
2
4
! !
(g)
x x x
2 4 6
2 12 45
+ + +… (h) x
x x
− + −
3 5
3 30
…
(f) e ax
a
x
a a
x
a a
x
a x
sin
!
( )
!
( )
!
...
−
= + + +
+
+
+
+
1
1
2
1
3
2
4
2
2
2
3
2 2 2
4
(g) If e a a x a x a x
x
n
n
tan−
= + + + + +
1
0 1 2
2 … …, then prove that ( )
n a na a
n n n
+ + =
+ +
2 2 1 .
(h) If an
is the coefficient of xn
in the expansion of ex
sin x, then show that
a
a a a
n
n
n
n n n
− + − +
− − −
1 2 3
1 2 3
2
! ! !
sin
!
.
⋅⋅⋅ =
p
3.6 INDETERMINATE FORMS
Let f and g be functions defined in a neighbour hood of a, except possibly at a.
If lim ( )
x a
f x
→
and lim ( )
x a
g x
→
exist and lim ( )
x a
g x
→
≠ 0, then lim
( )
( )
x a
f x
g x
→
exists and
lim
( )
( )
lim ( )
lim ( )
x a
x a
x a
f x
g x
f x
g x
→
→
→
5 .
If lim ( )
x a
g x
→
= 0 and lim ( )
x a
f x
→
≠ 0, then the limit does not exist.
However, if both the limits are zero. i.e., lim ( )
x a
f x
→
= 0 and lim ( )
x a
g x
→
= 0, then lim
( )
( )
x a
f x
g x
→
is of the
form
0
0
, which is a meaningless expression, known as “indeterminate form”.
This does not mean that lim
( )
( )
x a
f x
g x
→
does not exist.
For example, lim
sin
x
x
x
→0
is of the form
0
0
, but we know that it has finite limit 1.
Other indeterminate forms are
∞
∞
× ∞ ∞ − ∞ ° ∞
, , , ,
0 0 1 and ∞0
.
M03_ENGINEERING_MATHEMATICS-I _CH03_Part B.indd 82 5/19/2016 5:11:37 PM
Differential Calculus ■ 3.83
These indeterminate forms cannot be evaluated by ordinary methods of limits.
A special method was devised by the French mathematician “L’Hopital”, a student of the famous
mathematician Johann Bernoulli.
Theorem 3.3 L’Hopital’s rule for
0
0
form
Let f and g be the two functions defined in a neighbourhood ( , )
a a
− +
d d of a, except possibly at a,
d  0, such that
(i) lim ( ) , lim ( )
x a x a
f x g x
→ →
= =
0 0
(ii) f and g are differentiable in ( , )
a a
− +
d d except possibly at a.
i.e., f x
′( ) and g x
′( ) exist and g x
′( ) ,
≠ 0 for every x a a
∈ − +
( , )
d d , except at x a
=
and
(iii) lim
( )
( )
x a
f x
g x
→
′
′
exists, then lim
( )
( )
lim
( )
( )
x a x a
f x
g x
f x
g x
→ →
=
′
′
.
Proof Given f and g are defined and differentiable in a neighbourhood ( , )
a a
− +
d d of a, except
possibly at x a
= . We shall define F and G in ( , )
a a
− +
d d such that
F x
f x x a a x a
x a
( )
( ) ( , )
,
=
∀ ∈ − + ≠
=
⎧
⎨
⎩
d d and
when
0
G x
g x x a a x a
x a
( )
( ) ( , )
,
=
∀ ∈ − + ≠
=
⎧
⎨
⎩
d d and
when
0
Clearly F and G are continuous and derivable on ( , )
a a
− +
d d except possibly at a.
Now lim ( ) lim ( ) ( )
x a x a
F x f x F a
→ →
= =
and lim ( ) lim ( ) ( )
x a x a
G x g x G a
→ →
= =
∴ F and G are continuous at a also.
If x  a, then in the interval [ , ]
a x , F and G satisfy the conditions of Cauchy’s mean value theorem.
∴
F x F a
G x G a
F c
G c
( ) ( )
( ) ( )
( )
( )
−
−
=
′
′
for some c a x
∈( , )
Given F a
( ) = 0 and G a
( ) = 0.
∴
F x
G x
F c
G c
( )
( )
( )
( )
=
′
′
, a c x
 
We have F x f x
( ) ( )
= and G x g x x a a
( ) ( ) ( , )
= ∀ ∈ + d
∴ F c f c
′ ′
( ) ( )
= and G c g c
′ ′
( ) ( )
= { c a x
∈
[ ]
( , )
a − δ a x a + δ
M03_ENGINEERING_MATHEMATICS-I _CH03_Part B.indd 83 5/19/2016 5:11:50 PM
3.84 ■ Engineering Mathematics
∴ we get
f x
g x
f c
g c
( )
( )
( )
( )
=
′
′
.
As x a c a
→ →
, ∴ lim
( )
( )
lim
( )
( )
x a x a
f x
g x
f x
g x
→ + → +
=
′
′
Given lim
( )
( )
x a
f x
g x
→ +
′
′
exists. ∴ lim
( )
( )
x a
f x
g x
→ +
exists.
If x a
 , similarly, we can prove lim
( )
( )
lim
( )
( )
x a x a
f x
g x
f x
g x
→ − → −
=
′
′
.
Thus, L
’Hopital’s rule is lim
( )
( )
lim
( )
( )
x a x a
f x
g x
f x
g x
→ →
=
′
′
.
Note Suppose lim ( ) , lim ( )
x a x a
f x g x
→ →
= =
′ ′
0 0 and f x g x
″ ″
( ), ( ) exists, g x
″( ) ≠ 0 we have
0
0
form, then
lim
( )
( )
lim
( )
( )
x a x a
f x
g x
f x
g x
→ →
=
′
′
″
″
. ∴ lim
( )
( )
lim
( )
( )
x a x a
f x
g x
f x
g x
→ →
=
″
″
.
We continue this till the value is obtained.
3.6.1 General L’Hopital’s Rule for
0
0
form
Theorem 3.4 If f and g are functions defined in a neighbourhood ( , )
a a
− +
d d of a except possibly
at a, d  0, such that
(i) lim ( ) , lim ( ) , lim ( ) , lim (
x a x a x a x a
n
f x f x f x f
→ → → →
−
( )
= = =
0 0 0 1
′ ″ ..., x
x) = 0
and lim ( ) , lim ( ) , lim ( ) , lim (
x a x a x a x a
n
g x g x g x g
→ → → →
−
( )
= = =
0 0 0 1
′ ″ ..., x
x) = 0
(ii) f x g x
n n
( ) ( )
( ), ( ) exist and g x x a a x a
n
( )
( ) ( , )
≠ ∀ ∈ − + ≠
0 d d and
(iii) lim
( )
( )
( )
( )
x a
n
n
f x
g x
→
exists, then lim
( )
( )
lim
( )
( )
x a x a
n
n
f x
g x
f x
g x
→ →
( )
( )
= .
Note If lim
( )
( )
x
f x
g x
→∞
is
0
0
form, then also L’Hopital’s rule is valid. That is lim
( )
( )
lim
( )
( )
x x
n
n
f x
g x
f x
g x
→∞ →∞
( )
( )
= .
Theorem 3.5 Indeterminate form
∞
∞
(i) lim ( )
x a
f x
→
= ∞, lim ( )
x a
g x
→
= ∞
(ii) f x g x
′ ′
( ), ( ) exist and g x
′( ) ≠ 0 for every x a a
∈ − +
( , )
d d , except possibly at x a
= and
(iii) lim
( )
( )
x a
f x
g x
→
′
′
exists, then lim
( )
( )
lim
( )
( )
x a x a
f x
g x
f x
g x
→ →
=
′
′
.
M03_ENGINEERING_MATHEMATICS-I _CH03_Part C.indd 84 5/19/2016 1:06:44 PM
Differential Calculus ■ 3.85
Note
(1) Clearly f x g x
( ), ( ) are positive functions. ∴ lim
( )
( )
lim
( )
( )
x a x a
f x
g x
g x
f x
→ →
=
1
1
0
0
form
⎡
⎣
⎢
⎤
⎦
⎥
So, we can use L’Hopital’s rule for
0
0
form.
All other indeterminate forms can be rewritten as
0
0
form or
∞
∞
form and can be evaluated using
L’Hopital’s rule.
(2) While evaluating some of the limits the usage of standard limits such as
lim
sin
1
0
x
x
x
→
5 , limtan 1
0
x
x
→
5 , lim 1
1
, lim(1 )
0
1
x
x
x
x
x
e x e
→ →
⎛
⎝
⎜
⎞
⎠
⎟ = +
∞
1 5
and the series expansions of e x x x x
x n
,(1 ) , log(1 ), sin , cos ,
1 1 etc. may be used.
WORKED EXAMPLES
Type I: Problems of the type
0
0
,
∞
∞
, ∞ − ∞ × ∞
, 0
EXAMPLE 1
Evaluate lim
x
ax bx
e e
x
→0
2
.
Solution.
The given limit is lim
x
ax bx
e e
x
→
−
0
.
Here f x e e
ax bx
( ) = − and g x x
( ) = .
∴ lim ( ) lim( )
x x
ax bx
f x e e
→ →
= − = − =
0 0
1 1 0 and lim ( ) lim
x a x
g x x
→ →
= =
0
0
∴ lim
( )
( )
x
f x
g x
→0
is
0
0
form.
By L’Hopital’s rule, we have
lim
( )
( )
lim
( )
( )
x x
f x
g x
f x
g x
→ →
=
0 0
′
′
= lim
x
ax bx
ae be
ae be a b
→
−
= − = −
0
0 0
1
EXAMPLE 2
Evaluate lim
log ( )
x
x
e
xe x
x
→
⎡
⎣
⎢
⎤
⎦
⎥
0 2
1
2 1
.
Solution.
The given limit is lim
log ( )
x
x
e
xe x
x
→
− +
⎡
⎣
⎢
⎤
⎦
⎥
0 2
1
.
Here f x xe x
x
e
( ) log ( )
= − +
1 and g x x
( ) = 2
.
lim ( ) lim[ log ( )] . log
x x
x
e e
f x xe x
→ →
= − + = − =
0 0
1 0 1 1 0 and lim ( ) lim
x x
g x x
→ →
= =
0 0
2
0
M03_ENGINEERING_MATHEMATICS-I _CH03_Part C.indd 85 5/19/2016 1:06:51 PM
3.86 ■ Engineering Mathematics
∴ lim
( )
( )
x
f x
g x
→0
is
0
0
form.
By L’Hopital’s rule,
lim
( )
( )
lim
( )
( )
x x
f x
g x
f x
g x
→ →
=
0 0
′
′
=
⋅ + ⋅ −
+
→
lim
x
x x
x e e
x
x
0
1
1
1
2
=
+ −
+
→
lim
( )
x
x
x e
x
x
0
1
1
1
2
0
0
form
⎡
⎣
⎢
⎤
⎦
⎥
=
+ + ⋅ −
−
+
→
lim
( )
( )
( )
x
x x
x e e
x
0
2
1 1
1
1
2
, by L’Hopital’s rule
=
+ +
+
→
lim
( )
( )
x
x
x e
x
0
2
2
1
1
2
=
+
=
2 1
2
3
2
.
EXAMPLE 3
Evaluate lim
tan
tan
x
x x
x x
→0 2
2
.
Solution.
The given limit is lim
tan
tan
x
x x
x x
→
−
0 2
.
Here f x x x
( ) tan
= − and g x x x
( ) tan
= 2
.
lim ( ) lim (tan )
x x
f x x x
→ →
= − =
0 0
0 and lim ( ) lim tan
x x
g x x x
→ →
= =
0 0
2
0
∴ lim
( )
( )
x
f x
g x
→0
is
0
0
form.
By L’Hopital’s rule,
lim
( )
( )
lim
( )
( )
x x
f x
g x
f x
g x
→ →
=
0 0
′
′
=
−
+
→
lim
sec
sec tan
x
x
x x x x
0
2
2 2
1
2
=
−
+
⎡
⎣
⎢
⎢
⎢
⎢
⎤
⎦
⎥
⎥
⎥
⎥
→
lim sec
tan
sec
x
x
x x
x
x
0
2
2
2
1
1
2
[Dividing Nr. and Dr. by sec2
x ]
=
−
+
⎡
⎣
⎢
⎤
⎦
⎥
→
lim
( cos )
sin cos
x
x
x x x x
0
2
2
1
2
=
+
⎡
⎣
⎢
⎤
⎦
⎥
→
lim
sin
sin
x
x
x x x
0
2
2
2
0
0
form
⎛
⎝
⎜
⎞
⎠
⎟
M03_ENGINEERING_MATHEMATICS-I _CH03_Part C.indd 86 5/19/2016 1:06:57 PM
Differential Calculus ■ 3.87
=
+ + ⋅
→
lim
sin cos
cos sin
x
x x
x x x x
0
2
2 2 2 2 1
, [by L’Hopital’s rule]
=
+ +
→
lim
sin
cos sin
x
x
x x x x
0
2
2 2 2 2
=
+ +
⎛
⎝
⎜
⎞
⎠
⎟
→
lim
sin
cos
sin
x
x
x
x
x
x
0
2
2
1 2
2
2
[Dividing Nr. and Dr. by 2x ]
=
+ +
=
1
1 1 1
1
3
. { lim
sin
x
x
x
→
=
⎡
⎣
⎢
⎤
⎦
⎥
0
2
2
1
EXAMPLE 4
Evaluate lim
x
n
x
x
e
→∞
.
Solution.
The given limit is lim
x
n
x
x
e
→∞
.
Here f x xn
( ) = and g x ex
( ) = .
∴ lim ( )
x
f x x
→∞
∞
= = ∞ and lim ( )
x
g x e
→∞
∞
= = ∞
∴ lim
( )
( )
x
f x
g x
→∞
is
∞
∞
form.
By L’Hopital’s rule,
lim
( )
( )
lim
( )
( )
x x
f x
g x
f x
g x
→∞ →∞
=
′
′
=
→∞
−
lim
x
n
x
nx
e
1
∞
∞
⎡
⎣
⎢
⎤
⎦
⎥
form
Now applying L’Hopital’s rule ( )
n −1 times, we get f x n
n
( )
( ) !
= and g x e
n x
( )
( ) = .
∴ lim
( )
( )
lim
( )
( )
( )
( )
x x
n
n
f x
g x
f x
g x
→∞ →∞
= = = =
∞
=
→∞ ∞
lim
! ! !
x x
n
e
n
e
n
0 .
EXAMPLE 5
Evaluate limlog tan
tan
x
x x
→0
2 3 .
Solution.
The given limit is limlog tan
tan
x
x x
→0
2 3 .
We know that log
log
log
b
e
e
a
a
b
= , using change of base rule in quotient form.
∴ log tan
log tan
log tan
tan 2 3
3
2
x
e
e
x
x
x
=
M03_ENGINEERING_MATHEMATICS-I _CH03_Part C.indd 87 5/19/2016 1:07:04 PM
3.88 ■ Engineering Mathematics
∴ limlog tan lim
log tan
log tan
tan
x
x
x
e
e
x
x
x
→ →
=
0
2
0
3
3
2
∞
∞
⎡
⎣
⎢
⎤
⎦
⎥
form
=
⋅ ⋅
⋅ ⋅
→
lim tan
sec
tan
sec
x
x
x
x
x
0
2
2
1
3
3 3
1
2
2 2
[by L’Hopital’s rule]
=
→
3
2
2 3
3 2
0
2
2
lim
tan sec
tan sec
x
x x
x x
=
→
3
2
2
2
2
3
3
3
0
2
2
lim
sin
cos
cos
sin
cos
cos
x
x
x
x
x
x
x
⇒ limlog tan lim
sin cos
sin cos
tan
x
x
x
x
x x
x x
→ →
=
0
2
0
3
3
2
2 2 2
2 3 3
=
→
3
2
4
6
0
lim
sin
sin
x
x
x
0
0
form
⎡
⎣
⎢
⎤
⎦
⎥
= = × =
→
3
2
4 4
6 6
3
2
4
6
1
0
lim
cos
cos
x
x
x
. [by L’Hopital’s rule]
EXAMPLE 6
Evaluate limlog ( ) cot
x
e x x
→1
1
2
2
p
.
Solution.
The given limit is limlog ( )cot
x
e x x
→
−
1
1
2
p
.
Now limlog ( )cot
x
e x x
→
−
1
1
2
p
= × = −∞ ×
log cot
e 0
2
0
p
form.
So, we have to rewrite as
0
0
or
∞
∞
form.
∴ limlog ( )cot lim
log ( )
tan
x
e
x
e
x x
x
x
→ →
− =
−
⎡
⎣
⎢
⎢
⎢
⎤
⎦
⎥
⎥
⎥
1 1
1
2
1
2
p
p
∞
∞
⎡
⎣
⎢
⎤
⎦
⎥
form
=
−
−
⋅
⎡
⎣
⎢
⎢
⎢
⎢
⎤
⎦
⎥
⎥
⎥
⎥
→
lim
( )
sec
x
x
x
1 2
1
1
2 2
p p
, [by L’Hopital’s rule]
= −
−
⎡
⎣
⎢
⎢
⎢
⎤
⎦
⎥
⎥
⎥
→
2 2
1
1
2
p
p
lim
cos
x
x
x
0
0
form
⎛
⎝
⎜
⎞
⎠
⎟
M03_ENGINEERING_MATHEMATICS-I _CH03_Part C.indd 88 5/19/2016 1:07:09 PM
Differential Calculus ■ 3.89
= −
−
⎛
⎝
⎜
⎞
⎠
⎟ ⋅
−
⎡
⎣
⎢
⎢
⎢
⎢
⎤
⎦
⎥
⎥
⎥
⎥
→
2
2
2 2 2
1
1
p
p p p
lim
cos sin
x
x x
[by L’Hopital’s rule]
= × −
⎛
⎝
⎜
⎞
⎠
⎟ ⋅ =
2
2
2 2 2
0
p
p p p
cos sin
EXAMPLE 7
Evaluate lim
sin
x x x
→
⎛
⎝
⎜
⎞
⎠
⎟
0 2 2
1 1
2 .
Solution.
The given limit is lim
sin
x x x
→
−
⎛
⎝
⎜
⎞
⎠
⎟
0 2 2
1 1
Now lim
sin
x x x
→
−
⎛
⎝
⎜
⎞
⎠
⎟
0 2 2
1 1
= ∞ − ∞ form. So, we have to rewrite as
0
0
or
∞
∞
form.
∴ lim
sin
lim
sin
sin
x x
x x
x x
x x
→ →
−
⎡
⎣
⎢
⎤
⎦
⎥ =
−
0 2 2 0
2 2
2 2
1 1 0
0
form
⎛
⎝
⎜
⎞
⎠
⎟
=
−
→
lim
sin
sin
x
x
x
x
0
2
2
2
1
0
0
form
⎛
⎝
⎜
⎞
⎠
⎟ [dividing Nr. and Dr. by x2
]
=
− ⋅
→
lim
sin cos sin
sin cos
x
x x x x x
x
x x
0
2 2
4
2 2
2
[by L’Hopital’s rule]
=
−
×
→
lim
sin [ cos sin ]
sin cos
x
x x x x x
x x x
0 4
2
2
=
−
→
lim
cos sin
cos
x
x x x
x x
0 3
=
−
→
lim
tan
x
x x
x
0 3
0
0
form
⎡
⎣
⎢
⎤
⎦
⎥
=
−
→
lim
sec
x
x
x
0
2
2
1
3
[by L’Hopital’s rule]
=
−
→
lim cos
x
x
x
0
2
2
1
1
3
=
−
→
lim
cos
cos
x
x
x x
0
2
2 2
1
3
= −
⎛
⎝
⎜
⎞
⎠
⎟
→
lim
sin
cos
x
x
x x
0
2
2 2
3
= −
⎛
⎝
⎜
⎞
⎠
⎟ =
−
⋅ = −
→
1
3
1
3
1
1
3
0
2
lim
tan
x
x
x
M03_ENGINEERING_MATHEMATICS-I _CH03_Part C.indd 89 5/19/2016 1:07:15 PM
3.90 ■ Engineering Mathematics
Type II: Problems of the type 0 , ,1
8 8
∞ ∞
If A f x
x a
g x
= [ ]
→
lim ( )
( )
is one of these forms, we take logarithm and rewrite log lim ( ) log ( )
e
x a
e
A g x f x
= ⋅
→
in the form
0
0
or
∞
∞
and evaluate.
EXAMPLE 8
Evaluate lim
sin
0
1/
x
x
x
x
→
⎛
⎝
⎜
⎞
⎠
⎟
1
.
Solution.
The given limit is lim
sin
x
x
x
x
→ +
⎛
⎝
⎜
⎞
⎠
⎟
0
1
.
Let A
x
x
x
x
=
⎛
⎝
⎜
⎞
⎠
⎟
→ +
lim
sin
0
1
( )
1∞
form
∴ log lim log
sin
e
x
e
A
x
x
x
=
⎛
⎝
⎜
⎞
⎠
⎟
→ +
0
1
∞⋅
( )
0form
Since limlog
sin
log
x
e e
x
x
→
⎛
⎝
⎜
⎞
⎠
⎟ = =
0
1 0 and lim
x x
→
= ∞
0
1
, were write in the form
0
0
or
∞
∞
.
∴ log lim
log
sin
e
x
e
A
x
x
x
=
⎛
⎝
⎜
⎞
⎠
⎟
→ +
0
0
0
form
⎡
⎣
⎢
⎤
⎦
⎥
=
− ⋅
⎡
⎣
⎢
⎤
⎦
⎥
→ +
lim
sin cos sin
x
x
x
x x x
x
0
2
1
1
1
, [by L’Hopital’s rule]
=
−
→ +
lim
cos sin
sin
x
x x x
x x
0
0
0
form
⎡
⎣
⎢
⎤
⎦
⎥
=
− + ⋅ −
+ ⋅
→ +
lim
( sin ) cos cos
cos sin
x
x x x x
x x x
0
1
1
, [by L’Hopital’s rule]
=
−
+
→ +
lim
sin
cos sin
x
x x
x x x
0
0
0
form
⎡
⎣
⎢
⎤
⎦
⎥
=
− + ⋅
− + ⋅ +
→ +
lim
[ cos sin ]
( sin ) cos cos
x
x x x
x x x x
0
1
1
, [by L’Hopital’s rule]
=
− +
− +
=
→ +
lim
[ cos sin ]
sin cos
x
x x x
x x x
0 2
0
2
= 0.
∴ loge A A e
= ⇒ = =
0 1
0
.
M03_ENGINEERING_MATHEMATICS-I _CH03_Part C.indd 90 5/19/2016 1:07:22 PM
Differential Calculus ■ 3.91
EXAMPLE 9
Evaluate lim (sec )
/2
cot
x
x
x
→p
.
Solution.
The given limit is lim sec
cot
x
x
x
→
( )
p 2
.
Let A x
x
x
= ( )
→
lim sec
cot
p 2
∞
( )
0
form
∴ log lim log sec
cot
e
x
e
x
A x
= ( )
→p 2
=
→
lim cot log sec
x
e
x x
p 2
[ ]
0⋅∞form
=
→
lim
logsec
tan
x
x
x
p 2
∞
∞
⎡
⎣
⎢
⎤
⎦
⎥
form
=
⋅
→
lim sec
sec tan
sec
x
x
x x
x
p 2 2
1
[by L’Hopital’s rule]
=
→
lim
tan
sec
x
x
x
p 2 2
= ⋅
→
lim
sin
cos
cos
x
x
x
x
p 2
2
= lim sin cos
x
x x
→
= ⋅ =
p 2
1 0 0
∴ loge A A e
= ⇒ = =
0 1
0
EXAMPLE 10
Evaluate lim
/
x
x x x x x
a b c d
→
⎡
⎣
⎢
⎤
⎦
⎥
0
1
4
1 1 1
, where a, b, c, d are positive numbers.
Solution.
The given limit is lim
/
x
x x x x x
a b c d
→
+ + +
⎡
⎣
⎢
⎤
⎦
⎥
0
1
4
Let A
a b c d
x
x x x x x
=
+ + +
⎡
⎣
⎢
⎤
⎦
⎥
→
lim
/
0
1
4
[1∞
form]
∴ log limlog
/
e
x
e
x x x x x
A
a b c d
=
+ + +
⎡
⎣
⎢
⎤
⎦
⎥
→0
1
4
=
+ + +
⎡
⎣
⎢
⎤
⎦
⎥
→
lim log
x
e
x x x x
x
a b c d
0
1
4
[∞⋅0form]
⇒ log lim
log
e
x
e
x x x x
A
a b c d
x
=
+ + +
⎡
⎣
⎢
⎤
⎦
⎥
→0
4 0
0
form
⎡
⎣
⎢
⎤
⎦
⎥
=
+ + +
+ + +
→
lim
[ log log log log ]
x
x x x x
x
e
x
e
x
e
x
e
a b c d
a a b b c c d d
0
1
4
1
4
1
×
[by L’Hospital’s
rule]
M03_ENGINEERING_MATHEMATICS-I _CH03_Part C.indd 91 5/19/2016 1:07:29 PM
3.92 ■ Engineering Mathematics
=
+ + +
+ + +
= +
1
1
4
0 0 0 0
0 0 0 0
a b c d
a a b b c c d d
a
e e e e
e
[ log log log log ]
[log log
g log log ] log ( ) log ( ) /
e e e e e
b c d abcd abcd
+ + = =
1
4
14
⇒ log log ( ) /
e e
A abcd
= 1 4
⇒ A abcd
= ( ) /
1 4
.
EXAMPLE 11
Evaluate lim( ) .
/log ( )
x
x
x e
→1
2 1 1
12 2
Solution.
The given limit is lim( ) .
/log ( )
x
x
x e
→ −
−
−
1
2 1 1
1
Let A x
x
x
e
= −
→ −
−
lim( ) .
/log ( )
1
2 1 1
1 [00
form]
∴ log lim[log ( ) ]
/log ( )
e
x
e
x
A x e
= −
→ −
−
1
2 1 1
1
=
−
−
⎡
⎣
⎢
⎤
⎦
⎥
→ −
lim
log ( )
log ( )
x
e
e
x
x
1
2
1
1
1
∞
∞
form
⎡
⎣
⎢
⎤
⎦
⎥
=
−
−
⎡
⎣
⎢
⎤
⎦
⎥
→ −
lim
log ( )
log ( )
x
e
e
x
x
1
2
1
1
∞
∞
form
⎡
⎣
⎢
⎤
⎦
⎥
=
−
−
⎡
⎣
⎢
⎤
⎦
⎥
−
−
⎡
⎣
⎢
⎢
⎢
⎢
⎤
⎦
⎥
⎥
⎥
⎥
→ −
lim
( )
( )
( )
,
x
x
x
x
1
2
1
1
2
1
1
1
[by L’ Hopital’s rule]
=
−
+ −
⎡
⎣
⎢
⎤
⎦
⎥ =
+
⎡
⎣
⎢
⎤
⎦
⎥ =
⋅
+
=
→ − → −
lim
( )
( )( )
lim
x x
x x
x x
x
x
1 1
2 1
1 1
2
1
2 1
1 1
1
1
∴ loge
A = 1 ⇒ A = e1
= e
Type III: Problems to find the limit using the expansions of sin x, cos x, tan x, ex
, loge
(1 1 x)
We know
(1) sin
! !
x x
x x
= − + −
3 5
3 5
… (2) cos
! !
x
x x
= − + −
1
2 4
2 4
…
(3) tan x x
x
x
= + + +
3
5
3
2
15
… (4) e
x x x x
x
= + + + + +
1
1 2 3 4
2 3 4
! ! ! !
…
(5) log ( )
e x x
x x x
1
2 3 4
2 3 4
+ = − + − +…
M03_ENGINEERING_MATHEMATICS-I _CH03_Part C.indd 92 5/19/2016 1:07:34 PM
Differential Calculus ■ 3.93
EXAMPLE 12
Determine a and b so that lim
sin sin
.
x
a x b x
x
→0 3
2
1
2
5
Solution.
Given lim
sin sin
.
x
a x b x
x
→
−
=
0 3
2
1
⇒ lim
( )
!
( )
! ! !
x
a x
x x
b x
x x
x
→
− + −
⎡
⎣
⎢
⎤
⎦
⎥ − − + −
⎡
⎣
⎢
⎤
⎦
⎥
=
0
3 5 3 5
3
2
2
3
2
5 3 5
1
… …
⇒ lim ( )
! ! ! !
x x
a b x
a b
x
a b
x
→
− +
−
+
⎛
⎝
⎜
⎞
⎠
⎟ + −
⎛
⎝
⎜
⎞
⎠
⎟ +
⎡
⎣
⎢
⎤
0 3
3 5
1
2
8
3 3
32
5 5
…
⎦
⎦
⎥ = 1
⇒ lim
x
a b
x
b a a b
x
→
−
+
−
⎛
⎝
⎜
⎞
⎠
⎟ +
−
⎛
⎝
⎜
⎞
⎠
⎟ −
⎡
⎣
⎢
⎤
⎦
⎥ =
0 2
2
2 8
6
32
120
1
…
Suppose 2 0
a b
− ≠ , then as x
a b
x
→
−
→ ∞
0
2
2
, and hence the limit is infinite, which contradicts the
hypothesis that the limit is finite and equal to1.
∴ 2 0 2
a b b a
− = ⇒ = (1)
and
− +
= ⇒ − + =
8
6
1 8 2 6
a b
a a ⇒ − = ⇒ = −
6 6 1
a a (2)
∴ b a
= = − = −
2 2 1 2
( ) . So, a = −1, b = −2
EXAMPLE 13
If lim
sin sin
x
x a x
x
→0 3
2 1
is finite, then find the value of a and the limit.
Solution.
The given limit is lim
sin sin
x
x a x
x
→
+
0 3
2
and it is finite, say k.
∴ lim
sin sin
x
x a x
x
k
→
+
=
0 3
2
⇒ lim
( )
!
( )
! ! !
x x
x
x x
a x
x x
→
− + + + − + +
⎛
⎝
⎜
⎞
⎠
⎟
⎡
⎣
⎢
⎤
0 3
3 5 3 5
1
2
2
3
2
5 3 5
... ...
⎦
⎦
⎥ = k
⇒ lim ( )
! ! ! !
x x
a x
a
x
a
x
→
+ − +
⎛
⎝
⎜
⎞
⎠
⎟ + +
⎛
⎝
⎜
⎞
⎠
⎟ +
⎡
⎣
⎢
⎤
⎦
⎥
0 3
3 5
1
2
8
3 3
32
5 5
... =
= k
⇒ lim
( )
x
a
x
a a
x k
→
+
−
+
⎛
⎝
⎜
⎞
⎠
⎟ +
+
⎛
⎝
⎜
⎞
⎠
⎟ +
⎡
⎣
⎢
⎤
⎦
⎥ =
0 2
2
2 8
6
32
120
...
M03_ENGINEERING_MATHEMATICS-I _CH03_Part C.indd 93 5/19/2016 1:07:41 PM
3.94 ■ Engineering Mathematics
Suppose 2 0
+ ≠
a , then as x
a
x
→
+
→ ∞
0
2
2
, and hence the limit is infinite, which contradicts the
fact that the limit is finite.
∴ 2 0 2
+ = ⇒ = −
a a and −
+
⎛
⎝
⎜
⎞
⎠
⎟ =
8
6
a
k ⇒ −
−
⎛
⎝
⎜
⎞
⎠
⎟ = ⇒ = −
8 2
6
1
k k
∴ a = −2 and the limit is −1.
EXERCISE 3.11
I. Evaluate the following limits.
1. lim
log ( )
x
e
x
x
→
+
−
0
1
3 1
2. lim
tan
x
x x
x
→
−
0 3
3. lim
log ( )
log cos
x
e
e
x
x
→
−
0
2
1
4. lim
log
logcot
x
e x
x
→0
2
2
5. lim
sin
sin
x
x x
e e
x x
→
−
−
0
6. lim
sin
x x x
→
−
⎛
⎝
⎜
⎞
⎠
⎟
0
1 1
7. lim (sec tan )
x
x x
→
−
p 2
8. lim
sin sin
x
x x x
x
→
−
−
0
1 2
4
9. lim
tan
x
x
x
→1
2
p
10. lim(cos )
x
x
x
→0
1
2
2
/
11. lim
tan
x
x x
x
→
−
0 3
12. lim
sin
x
x x
e e x
x x
→
−
− −
−
0
2
13. lim
tan
x
x
x
x
→
⎛
⎝
⎜
⎞
⎠
⎟
0
1 2
14. lim(cos )cot
x
x
x
→0
2
15. lim(tan )tan
x
x
x
→
p
4
2
16. lim
sin
sin /( sin )
x
x x x
x
x
→
−
⎛
⎝
⎜
⎞
⎠
⎟
0
17. lim
( )
.
/
x
x
x e ex
x
→
+ − +
0
1
2
1
1
2 18. lim
( ) /
x
x
x e
x
→
+ −
0
1
1
19. lim
cos sin
sin
.
x
x x x
x x
→
−
0 2
20. Find the value of a and b if lim
( cos ) sin
x
x a x b x
x
→
+ −
⎧
⎨
⎩
⎫
⎬
⎭
=
0 3
1
1.
ANSWERS TO EXERCISE 3.11
1. log3 e 2.
1
3
3. 2 4. −1 5. 1 6. 0 7. 0
8.
−3
40
9. e−2 p
10. e−2
11. −
1
3
12. 2 13. e13
/
14. e−12
/
15.
1
e
16.
1
e
17.
11
24
e
18. −
e
2
19. −
1
3
20. a b
= − = −
5
2
3
2
and
3.7 MAXIMA AND MINIMA OF A FUNCTION OF ONE VARIABLE
We have already seen the applications of derivative in problems of tangent and normal, in deciding
increasing and decreasing nature of a function in an interval. We shall now use it to locate maxima
and minima of a function.
Incalculustheterm“maximum”isusedintwosenses“absolute”maximumand“relative”maximum.
Similarly, absolute minimum and relative minimum.
M03_ENGINEERING_MATHEMATICS-I _CH03_Part C.indd 94 5/19/2016 1:08:41 PM
Differential Calculus ■ 3.95
Definition 3.3 Let f be the function defined on [ , ]
a b and let c a b
∈( , ).
Then (i) f is said to have a relative maximum (or local maximum) at c, if there is a neighbourhood
( , )
c c
− +
d d of c such that f x f c x c c
( ) ( ) ( , )
 ∀ ∈ − +
d d , x c
≠ .
That is f c
( ) is the greatest value in a neighbourhood of c.
(ii) f is said to have a relative minimum (or local minimum) at c, if there is a neighbourhood
( , )
c c
− +
d d of c such that f x f c x c c
( ) ( ) ( , )
 ∀ ∈ − +
d d , x c
≠ .
That is f c
( ) is the least value in a neighbourhood of c.
Note (1) If f c
( ) is a relative maximum or relative minimum, then f c
( ) is called an extreme value
of f at c or extremum of f at c.
Definition3.4 Let f be defined on[ , ]
a b . f is said to have an absolute maximum (or global maximum)
on [ , ]
a b if there is at least one point c a b
∈[ , ] such that f x f c x a b
( ) ( ) [ , ]
≤ ∀ ∈ .
Inotherwords, the largest value of f on [ , ]
a b is called the absolute maximum
Definition 3.5 Let f be defined on [ , ]
a b . f is said to have an absolute minimum (or global minimum)
on [ , ]
a b if there is at least one point c a b
∈[ , ] such that f x f c x a b
( ) ( ) [ , ]
≥ ∀ ∈ .
That is the least value of f on [ , ]
a b is called the absolute minimum (or global minimum).
Note
1. Given a function f defined on [ , ]
a b , the absolute maximum and the absolute minimum need not
exist.
For example: If f x x
x
x
( ) =
 ≤
=
⎧
⎨
⎪
⎩
⎪
1
0 1
0 0
if
if
Then f has no absolute maximum on [ , ]
a b .
However, if f is continuous on a closed and
bounded interval [ , ]
a b , then absolute maximum
and absolute minimum exist.
2. From the definition of maximum and minimum
it is obvious that f c
( ) is an extreme value of f at
c, iff f x f c
( ) ( )
− keeps the same sign for all x,
other than c, in some neighbourhood of c.
Theorem 3.6 A necessary condition for the existence of an extremum at an interior point
Let f be a function defined on the interval [ , ]
a b and c a b
∈( , ). If f(c) is an extremum at c and if f c
′( )
exists, then f c
′( ) = 0 .
y
x
o
a C1 C2 Ca b
( ) ( ) ( )
Fig. 3.16
M03_ENGINEERING_MATHEMATICS-I _CH03_Part C.indd 95 5/19/2016 1:08:49 PM
3.96 ■ Engineering Mathematics
3.7.1 Geometrical Meaning
Let y f x
= ( ) be the graph of f on [ , ]
a b , then P c f c
( , ( )) is a point on the curve y f x
= ( ).
If f c
( ) is a maximum value, then in ( , ]
c c
− d the curve is
increasing and so f x
′( )  0 in ( , )
c c
− d and decreasing in
( , )
c c + d .
That is f x
′( )  0 in ( , )
c c + d .
If f c
′( ) exists, then f c
′( ) must be zero.
That is the tangent is parallel to the x-axis, because it is
increasing up to the point P and momentarily at rest at P and then
decreasing.
Similarly, if f c
( ) is a minimum value, then f c
′( ) = 0 .
Note
1. The points where f x
′( ) = 0 are called stationary points of f.
2. The converse of the above theorem is not true.
Similarly, if f c
′( ) = 0, then f c
( ) is not an extremum.
For example: Consider f x x
( ) = 3
.
f x x f
′ ′
( ) ( ) .
= ∴ =
3 0 0
2
But f ( )
0 is neither a maximum nor a minimum because there is no
neighbourhood of 0 in which f x f
( ) ( )
− 0 keeps the same sign for x ≠ 0.
For, f x x
( ) = 3
 0 if x  0 and f x x
( ) = 
3
0 if x  0.
3. It is possible that f c
( ) is an extreme value of f
even if f c
′( ) does not exist.
For example: Consider f x x
( ) = .
We know that f ′( )
0 does not exist.
But f ( )
0 is a minimum value of f x
( ) .
In fact, f ( )
0 is the absolute minimum.
Definition 3.6 Critical Points
Let f be a function defined on [ , ]
a b . The points x a b
∈[ , ] at which f x
′( ) = 0 or f x
′( ) does not exist
are called critical points of f.
For f x x
( ) = , x = 0 is a critical point but not a stationary point.
3.7.2 Tests for Maxima and Minima
(1) Second Derivative Test
Let f be a function defined on [ , ]
a b and let f be twice differentiable in a neighbourhood ( , )
c c
− +
d d
of c a b
∈( , ) and f c
′( ) = 0. Suppose f c
″( ) ≠ 0 , then
Fig. 3.17
y
x
P
c − δ c + δ
c
x
y
o
−δ δ
Fig. 3.18
x
y = −x
y = x
y
o
Fig. 3.19
M03_ENGINEERING_MATHEMATICS-I _CH03_Part C.indd 96 5/19/2016 1:09:01 PM
Differential Calculus ■ 3.97
1. f c
( ) is a maximum if f c
″( )  0 and 2. f c
( ) is a minimum if f c
″( )  0 .
Note If f c
″( ) = 0 , then the second derivative test cannot be applied.
In this case, we use the following general test involving higher derivatives or the first derivative
test.
(2) General Test
Let f be differentiable n times and f c f c f c f c
n n
′ ″ ...,
( ) , ( ) , ( ) ( )
= = ≠
−
( ) ( )
0 0 0
1
and .
If n is even, then
1. f c
( ) is a maximum if f c
n
( )
( )  0 2. f c
( ) is a minimum if f c
n
( )
( )  0.
If n is odd, then f c
( ) is neither a maximum nor a minimum.
(3) First Derivative Test
Let f be defined on [a,b] and c ∈ (a,b).
Let f be differentiable in a neighbourhood ( , )
c c
− +
d d of c, except possibly at c.
(i) If f x x c
′( )  
0 for and f x x c
′( )  
0 for in the neighbourhood of c, then f c
( ) is a
maximum value.
That is, f x
′( ) changes from positive to negative in the neighbourhood of c as x increases.
(ii) If f x x c
′( )  
0 for and f x x c
′( )  
0 for in the neighbourhood of c, then f c
( ) is a
minimum value.
That is, f x
′( ) changes from negative to positive in the neighbourhood of c as x increases.
SUMMARY
To find the maximum and minimum values of a function f on [ , ]
a b .
(i) Find the critical points. That is, find the points where f x
′( ) = 0 or f x
′( ) does not exist.
(ii) Use the second derivative test or the first derivative test and decide the maximum and minimum.
(iii) Absolute maximum will occur at a relative maximum or at the end points.
Absolute minimum will occur at a relative minimum or at the end points.
WORKED EXAMPLES
EXAMPLE 1
Find the maxima and minima of the function 10 24 15 40 108
6 5 4 3
x x x x
2 1 2 1 .
Solution.
Let f x x x x x
( ) .
= − + − +
10 24 15 40 108
6 5 4 3
∴ f x x x x x
′( ) = − + −
60 120 60 120
5 4 3 2
= − + −
60 2 2
5 4 3 2
( )
x x x x
f x x x x x
″( ) [ ]
= − + −
60 5 8 3 4
4 3 2
.
For maxima or minima f x
′( ) = 0
M03_ENGINEERING_MATHEMATICS-I _CH03_Part C.indd 97 6/3/2016 7:51:08 PM
3.98 ■ Engineering Mathematics
∴ 60 2 2 0
5 4 3 2
( )
x x x x
− + − = ⇒ x x x x
5 4 3 2
2 2 0
− + − =
⇒ x x x x
2 3 2
2 2 0
[ ]
− + − = ⇒ x x x x
2 2
2 2 0
[ ( ) ( )]
− + − =
⇒ x x x
2 2
2 1 0
( )( )
− + = ⇒ x = 0 2
or [{ x2
1 0
+ ≠ ]
When x = 2, f ″( ) ( )
2 60 5 2 8 2 3 2 4 2 60 20 0
4 3 2
= ⋅ − ⋅ + ⋅ − ⋅ = ×  .
When x = 2, the function is minimum.
The minimum value is f ( )
2 10 2 24 2 15 2 40 2 108
6 5 4 3
= ⋅ − ⋅ + ⋅ − ⋅ +
= − + − + =
640 324 240 320 108 344.
When x = 0, ′′ =
f x
( ) 0, the test fails.
Note ′′′ = − + −
f x x x x
( ) [ ]
60 20 24 6 4
3 2
∴ ′′′ = − ≠
f ( )
0 240 0 .
So, f ( )
0 is neither a maximum nor a minimum.
EXAMPLE 2
Find the maximum and minimum values of f x x x
( ) , [ , ]
5 2 2
4 4 4
2
∈ . Also find the absolute
maximum and absolute minimum, if they exist.
Solution.
Let f x x x
( ) , [ , ]
= − ∈ −
4 4 4
2
.
We know 4 4
2 2
− = −
x x if 4 0
2
− ≥
x
⇒ x x
2
4 0 2 2
− ≤ ⇒ − ≤ ≤
and 4 4
2 2
− = − −
x x
( ), if 4 0
2
− 
x .
⇒ x2
4 0
−  ⇒  − 
x x
2 2
or
∴ f x
x x
x x x
( ) =
− − ≤ ≤
−  − 
⎧
⎨
⎪
⎩
⎪
4 2 2
4 2 2
2
2
if
if or
∴ f x
x x
x x x
′( ) =
− −  
 − 
⎧
⎨
⎩
2 2 2
2 2 2
if
if or
f x
x
x x
″( ) =
− −  
 − 
⎧
⎨
⎩
2 2 2
2 2 2
if
if or
∴ f x x
′( ) ( , )
= ⇒ = ∈ −
0 0 2 2 .
At x = −2 2
, , f x
′( ) does not exist. [Since, f is continuous at x = 2 and f ′( )
2 4
− = − , f ′( )
2 4
+ =
∴ f ′( )
2 does not exist. Similarly, f ′( )
−2 does not exist]
The critical points are x = −
0 2 2
, , .
x
o
(0, −4)
(0, 4)
(−2, 0)
x = −4 x = 4
(2, 0)
y
Fig. 3.20
M03_ENGINEERING_MATHEMATICS-I _CH03_Part C.indd 98 5/19/2016 1:09:20 PM
Differential Calculus ■ 3.99
When x f x
= = − 
0 2 0
, ( )
″ .
∴ f x
( ) has a maximum at x = 0 and the maximum value = 4.
Since f x
′( ) does not exist at x x
= − =
2 2
, , we use the first derivative test.
In a neighbourhood of −2,
f x x
′( )   −
0 2
if and f x x
′( ) .
  −
0 2
if
So, f ( )
−2 is a minimum.
Similarly, in a neighbourhood of 2,
f x x
′( )  
0 2
if and f x x
′( ) .
 
0 2
if
So, f ( )
2 is a minimum and the minimum value is zero.
The least value of f x
( ) in [ , ]
−4 4 is 0. ∴ the absolute minimum = 0.
Though f ( )
0 4
= is a relative maximum, it is not the absolute maximum.
Absolute maximum occur at the end points x = 4 or x = −4 and the value is
f ( ) .
4 4 4 4 16 12 12
2
= − = − = − =
EXAMPLE 3
In a submarine cable the speed of signalling varies as x
x
e
2 1
log ,
⎛
⎝
⎜
⎞
⎠
⎟ where x is the ratio of the
radius of the core to that of the covering. Find the values of x for which the speed of signaling is
maximum.
Solution.
Let S be the speed of signalling in a submarine cable.
Then S kx
x
kx x
e e
=
⎛
⎝
⎜
⎞
⎠
⎟ = −
2 2
1
log log , where x  0, k  0
∴
dS
dx
k x
x
x x kx x
e e
= − ⋅ + ⋅
⎡
⎣
⎢
⎤
⎦
⎥ = − +
2 1
2 1 2
log [ log ].
For maximum or minimum,
dS
dx
= 0
⇒ − + =
kx x
e
[ log ]
1 2 0
⇒ 1 2 0
+ =
loge x ⇒ loge x x e
e
= − ⇒ = =
−
1
2
1
1
2
[ ]
{ kx ≠ 0
Now
d S
dx
k x
x
x
e
2
2
2
1
1 2 1
= − ⋅ ⋅ + + ⋅
⎡
⎣
⎢
⎤
⎦
⎥
( log ) = − + + = − +
k x k x
e e
[ log ] [ log ]
2 1 2 3 2
When x
e
=
1
,
d S
dx
k
e
e
= − +
⎡
⎣
⎢
⎤
⎦
⎥ 
3 2
1
0
2
2
log .
∴when x
e
=
1
, S is maximum.
M03_ENGINEERING_MATHEMATICS-I _CH03_Part C.indd 99 5/19/2016 1:09:29 PM
3.100 ■ Engineering Mathematics
EXAMPLE 4
A factory D is to be connected by a road with a straight railway line on which a town A is
situated. The distance DB of the factory to the railway line is 5 3 km. Length AB of the railway
line is 20km. Freight charges on the road are twice the charges on the railway. At what point
P PA PB
( )
 on the railway line should the road DP be connected so as to ensure minimum
freight charges from the factory to the town.
Solution.
D is the factory, A is the town and AB is the straight railway line.
Given DB = 5 3 km.
Let BP x
= , then PA x
= −
20 and DP x
= +
2
75 is the road.
Let k be the freight charge on railway. Then 2k is the freight charge on road.
If F is the total freight charges, then F k x k x x
= + + − ≤ ≤
2 75 20 0 20
2
( ), .
∴
dF
dx
k
x
x k
= ⋅
+
⋅ + −
2
1
2 75
2 1
2
( )
=
+
−
⎡
⎣
⎢
⎤
⎦
⎥
k
x
x
2
75
1
2
.
For maximum or minimum,
dF
dx
= 0
⇒ k
x
x
2
75
1 0
2
+
−
⎡
⎣
⎢
⎤
⎦
⎥ = ⇒
2
75
1 0
2
x
x +
− =
⇒ 2 75
2
x x
= + ⇒ 4 75
2 2
x x
= + ⇒ 3 75 25 5
2 2
x x x
= ⇒ = ⇒ = [ ]
{ x  0
Now d F
dx
k x x
x
x
x
2
2
2
2
2
2
75 2 2
2
2 75
75
=
+ ⋅ − ⋅
+
⎡
⎣
⎢
⎤
⎦
⎥
+
( )
=
+ −
⎡
⎣ ⎤
⎦
+ +
=
+
k x x
x x
k
x
2 75 2
75 75
150
75
2 2
2 2 2 3 2
( )
( ) ( )
.
/
When x
d F
dx
k k
= =
+
= 
5
150
25 75
150
10
0
2
2 3 2 3
,
( ) /
∴ when x = 5, F is minimum.
So, the freight charge will be minimum if the road is connected to the railway line at a distance 5 km
from Bor 15 km from the town A.
EXAMPLE 5
A rectangular sheet of metal has four equal square portions removed at the corners and the sides
are then turned up so as to form an open rectangular box. Show that when the volume contained
in the box is a maximum, the depth will be
1 2 2
b
a b a ab b
1 2 2 2
⎡
⎣
⎤
⎦
, where a and b the sides of
the original rectangle.
B
D
x A
P 20 − x
90°
x2
+ 75
3
5
Fig. 3.21
M03_ENGINEERING_MATHEMATICS-I _CH03_Part C.indd 100 5/19/2016 1:09:38 PM
Differential Calculus ■ 3.101
Solution.
Given a and b be the sides of the rectangular sheet of metal.
Let x be the side of square cut off from the corners.
∴ the dimensions of the box formed by folding up the sides are a x b x
− −
2 2
, and x.
The volume of the box V x a x b x
= − −
( )( )
2 2
⇒ V x ab a b x x
= − + +
[ ( ) ]
2 4 2
⇒ V abx a b x x
= − + +
2 4
2 3
( )
∴
dV
dx
ab a b x x
= − + +
4 12 2
( ) .
For maximum or minimum,
dV
dx
= 0
12 4 0
2
x a b x ab
− + + =
( )
⇒ x
a b a b ab
=
+ ± + −
4 16 48
24
2
( ) ( )
=
+ ± + −
=
+ ± + + −
4 4 3
24
2 3
6
2
2 2
( ) ( )
( )
a b a b ab
a b a b ab ab
=
+ ± + −
= + + + −
⎡
⎣
⎤
⎦
+ − + −
⎡
⎣
⎤
⎦
a b a b ab
a b a b ab a b a b ab
2 2
2 2 2 2
6
1
6
1
6
or .
Now
d V
dx
x a b
2
2
24 4
= − +
( ) = − +
4 6
[ ( )].
x a b
When x a b a b ab
= + − + −
( )
1
6
2 2
,
d V
dx
a b a b ab
a b
a b a b ab
2
2
2 2
2 2
4 6
6
4
=
+ − + −
⎛
⎝
⎜
⎞
⎠
⎟ − +
⎡
⎣
⎢
⎢
⎤
⎦
⎥
⎥
= + − + − −
( )
(a
a b a b ab
+
⎡
⎣
⎤
⎦
= − + − 
) .
4 0
2 2
∴ when the depth is
1
6
2 2
a b a b ab
+ − + −
⎡
⎣
⎤
⎦
, V is maximum.
EXAMPLE 6
A cone circumscribed a sphere of radius r. Prove that when the volume of the cone is minimum,
its height is 4r and the semi−vertical angle is sin .
21 1
3
⎛
⎝
⎜
⎞
⎠
⎟
x x
x
x
x a − 2x
b − 2x
Fig. 3.22
M03_ENGINEERING_MATHEMATICS-I _CH03_Part C.indd 101 5/19/2016 1:09:45 PM
3.102 ■ Engineering Mathematics
Solution.
Let the sphere be of radius r. Let the cone be of radius R and height h.
Let the semi−vertical angle of the cone be u. Let V be the volume of the cone.
Then Volume V R h
=
1
3
2
p .
Let O be centre of the sphere. D be the centre of the
base circle of the cone.
∴ OD r AD h
= =
and
∴ OA h r
= −
From Δ = ⇒ =
ABD
BD
AD
BD h
, tan tan
u u
From Δ =
AEO
EO
EA
, tanu.
But EA OA r h r r h r rh r h hr
= − = − − = + − − = −
2 2 2 2 2 2 2 2
2 2
( )
∴ tanu =
r
h hr
2
2
−
∴ BD h
r
h hr
= ⋅
−
2
2
=
−
hr
h hr
2
2
.
∴
V
h r
h hr
h
=
−
1
3 2
2 2
2
p . =
−
=
−
1
3 2
1
3 2
2
3
2
2
p p
r
h
h h r
r
h
h r
( ) ( )
∴
dV
dh
r h r h h
h r
=
− − ⋅
−
p 2 2
2
3
2 2 1
2
[( ) ]
( )
=
− −
−
=
−
−
p p
r h h r h
h r
r h h r
h r
2
2
2
2
2 4
3 2
4
3 2
[ ]
( )
( )
( )
.
For maximum or minimum
dV
dh
= 0
⇒
pr h h r
h r
2
2
4
3 2
0
( )
( )
−
−
= ⇒ h h r
( )
− =
4 0 ⇒ h − 4r = 0 ⇒ h r
= 4 [{h ≠ 0]
Now
d V
dh
r h r h r h rh h r
h r
2
2
2 2 2
4
3
2 2 4 4 2 2
2
=
− ⋅ − − − −
−
p [( ) ( ) ( ) ( )]
( )
=
− − − − −
−
pr h r h r h r h rh
h r
2 2
4
3
2 2 2 2 2 4
2
( )[( ) ( ) ( )]
( )
⇒
d V
dh
r h r h h r
h r
2
2
2 2
3
3
2 2 2 4
2
=
− − −
−
p [ ( ) ( )]
( )
.
When h r
= 4 , d V
dh
r r r h
r r
r
r
r
2
2
2 2
3
2
3
2 4 2 2 0
4 2 3
2
2 3
0
=
− − ×
−
= ⋅ = 
p p p
( )
( )
A
B C
E
O
θ
D
R
r
h
r
90°
Fig. 3.23
M03_ENGINEERING_MATHEMATICS-I _CH03_Part C.indd 102 5/19/2016 1:09:54 PM
Differential Calculus ■ 3.103
∴ when h r
= 4 , V is minimum.
Now sinu =
OE
OA
r
h r
r
r r
=
−
=
−
=
4
1
3
⇒ u =
⎛
⎝
⎜
⎞
⎠
⎟
−
sin .
1 1
3
EXERCISE 3.12
1. Find the maximum and minimum values of x x x
5 4 3
5 5 1
− + − .
2. Find the maximum and minimum values of
x x
x x
2
2
1
1
+ +
− +
.
3. Find the maximum and minimum values of a x b x
2 2 2 2
sin cos .
+
4. If xy = 4, find the maximum and minimum values of 4 9
x y
+ .
5. Find the maximum and minimum values of x x
− 2
on [ , ].
−2 2
6. An isosceles triangle with vertex ( , )
0 2 is inscribed in the ellipse
x y
2 2
9 4
1
+ = . Find the equation
of the base if the area of the triangle is a maximum.
7. A manufacturer plans to construct a cylindrical can to hold one cubic meter of liquid. If the cost
of constructing the top and bottom of the can is twice the cost of constructing the side, what are
the dimensions of the most economical can?
8. Find the rectangle of maximum area with sides parallel to the coordinate axes which can be
inscribed in the figure bounded by two parabolas 3 12 2
y x
= − and 6 12
2
y x
= − .
9. The cost of fuel in running an engine is proportional to the square of the speed and is Rs. 48
per hour for speed of 16 km/hr and other costs per hour amount Rs. 300. What is the most
economical speed and the cost of a journey of 400 km.
10. Show that the function sin ( cos )
x x
1+ is a maximum when x =
p
3
. Does this function have
minimum at x = 0 orp?
11. Let f x
x a a x
x x
( )
, .
=
− + − − 
− ≥
⎧
⎨
⎪
⎩
⎪
2 9 9 2
2 3 2
2
if
if
Find the values of a if f x
( ) has a local minimum at x = 2.
[ ( )
lim ( )
Hint: if
if and
f x x a a r
x x f x f
x
= − + − − 
= − ≥ ≥
→ −
2 9 9 2
2 3 2
2
2
(
( )]
2
12. Find the maximum possible slope for a tangent line to the curve y
e x
=
+ −
8
1 3
.
13. Find the area of the largest rectangle with lower base on the x-axis and the upper vertices on
y x
= −
12 2
.
M03_ENGINEERING_MATHEMATICS-I _CH03_Part C.indd 103 5/19/2016 1:10:01 PM
3.104 ■ Engineering Mathematics
ANSWERS TO EXERCISE 3.12
1. Maximum at x = 2, Maximum value = −9
Minimum at x = 3, Minimum value = −28
No extremum at x = 0
3. Maximum at x =
p
2
, Maximum value = a
Minimum at x = p, Minimum value = b
5. Maximum at x = −2, x =
1
2
and x = 2, Maximum values are 6, 4 and 2
Minimum at x = 0 and x = 1, Minimum values are 0, 0
6. y + =
1 0, 7. h r
= 4 8. 16
9. 40 km per hour and Rs. 6000.
10. x f
= = − + =
p p p p
, ( ) sin ( cos )
″ 4 1 0
Hence, f x
( ) is neither a maximum nor a minimum at x = p.
12. So, the greatest possible slope is when x e
= log 3 and greatest slope = 2.
13. Maximum area = 32 sq.unit.
3.8 ASYMPTOTES
The study of asymptotes is yet another aspect of characterizing the shape of a curve. In this section we
study rectilinear asymptote. Roughly, an asymptote to an infinite curve is a straight line touching the
curve at an infinite distance from the origin.
In order that a curve to have asymptote it should extend up to infinity. Closed curves like circle and
ellipse will not have asymptotes. But every curve extending up to infinity need not have asymptotes
for example parabola y ax
2
4
= extends up to infinity, yet it has no asymptote.
We shall now formally define an asymptote.
Definition 3.7 A point P x y
( , ) on an infinite curve is said to tend to infinity (i.e., P→ ∞) along the
curve as either x or y or both tend to ∞ or −∞ as P moves along the curve.
Definition 3.8 Asymptote
A straight line at a finite distance from the origin is called an asymptote of an infinite curve, if when a
point P on the curve tends to ∞ along the curve, the perpendicular distance from P to the line tends to 0.
An asymptote parallel to the x-axis is called a horizontal asymptote and an asymptote parallel to
the y-axis is called a vertical asymptote.
An asymptote which is not parallel to either axis will be called an oblique asymptote.
Theorem 3.7 If y mx c
= + (where m and c are finite) is an asymptote of an infinite curve, then
m
y
x
x
=
⎛
⎝
⎜
⎞
⎠
⎟
→∞
lim and c y mx
x
= −
→∞
lim( ),
where P x y
( , ) is any point on the infinite curve.
Proof Given P x y
( , ) be any point on the infinite curve.
2. Maximum at x = 1, Maximum value = 3
Minimum at x = −1, Minimum value =
1
3
4. Maximum at x = 3, Maximum value = −24
Minimum at x = 3, Minimum value = 24
11. a ∈ −∞ − ∞
( , ] [ , ).
1 10
∪
M03_ENGINEERING_MATHEMATICS-I _CH03_Part C.indd 104 5/19/2016 1:10:07 PM
Differential Calculus ■ 3.105
The perpendicular distance from P x y
( , ) to the line y mx c
− − = 0 (1)
is d
y mx c
m
=
− −
+
1 2
(2)
If the line (1) is an asymptote to the curve, then d → 0 as P → ∞. i.e., as x → ∞(or −∞).
∴ lim( )
x
y mx c
→∞
− − = 0 ⇒ lim( ) .
x
y mx c
→∞
− =
Also
y
x
m y mx
x
− = −
( )
1
∴ lim lim( ) lim
x x x
y
x
m y mx
x
c
→∞ →∞ →∞
−
⎛
⎝
⎜
⎞
⎠
⎟ = − = × =
1
0 0 ⇒ lim
x
y
x
m
→∞
=
Hence, lim
x
y
x
m
→∞
⎛
⎝
⎜
⎞
⎠
⎟ = and c y mx
x
= −
→∞
lim( ).
Conversely, if these two limits exists as P → ∞, then y mx c
− − → 0 as x → ∞
and hence, d → 0 as P → ∞
∴ y mx c
= + is an asymptote.
Note
(1) In the theorem m and c are finite. If m = 0, then the asymptote is parallel to x-axis.
(2) The above theorem gives a method of finding asymptotes not parallel to y-axis.
Working rule:
Given a curve f x y
( , ) = 0.
(i) Find lim ,
x
y
x
→∞
⎛
⎝
⎜
⎞
⎠
⎟ where y x
= f( ).
For different branches of the curve, we may get different values for this limit.
(ii) If m is one such value, then find lim( ).
x
y mx
→∞
−
Let this limit be c, then y mx c
= + is an asymptote to the curve.
Note
The above method will give all asymptotes not parallel to y-axis.
To find asymptotes not parallel to x-axis, we start with x my d
= + and x y
= f( ),
where m
x
y
y
=
⎛
⎝
⎜
⎞
⎠
⎟
→∞
lim and d x my
y
= −
→∞
lim( ).
WORKED EXAMPLES
EXAMPLE 1
Find the asymptotes of the curve y
x
x
5
2
3
2
.
Solution.
The given curve is y
x
x
=
−
3
2
.
M03_ENGINEERING_MATHEMATICS-I _CH03_Part D.indd 105 5/19/2016 7:42:05 PM
3.106 ■ Engineering Mathematics
When x y
= → ∞
2, . ∴ x = 2 is a vertical asymptote.
Also rewriting the equation as x interms of y, x
y
y
=
−
2
3
.
When y x
= → ∞
3, . So, y = 3 is a horizontal asymptote.
Note: Determination of asymptotes parallel to the axes
Let x k
= be an asymptote parallel to the y-axis. Then lim )
y
x k
→∞
− =
( 0 ⇒ lim .
y
x k
→∞
=
Find the values of x, for which y → ∞. For each value of x we get a vertical asymptote x k
= .
Similarly, to find the asymptote parallel to the x-axis, find the values of y for which x → ∞.
For each value of y, we get a horizontal asymptote y k
= .
EXAMPLE 2
Find the vertical and horizontal asymptotes of the curve y
x
x x
5
1 2
3
2 15
.
2
2
Solution.
The curve is y
x
x x
=
+ −
3
2 15
2
2
⇒
3
3 5
2
x
x x
( )( )
− +
When x = −5 and x = 3, y → ∞ ∴ x = −5 and x = 3 are vertical asymptotes.
Now lim lim
x x
x
x x
→∞ →∞
=
+ −
⎡
⎣
⎢
⎤
⎦
⎥
y
3
2 15
2
2
=
+ −
⎛
⎝
⎜
⎞
⎠
⎟
⎡
⎣
⎢
⎢
⎢
⎢
⎤
⎦
⎥
⎥
⎥
⎥
=
+ −
⎡
⎣
→∞ →∞
lim lim
x x
x
x
x x x x
3
1
2 15
3
1
2 15
2
2
2 2
⎢
⎢
⎢
⎢
⎤
⎦
⎥
⎥
⎥
= 3
∴ y = 3 is the horizontal asymptote.
EXAMPLE 3
Find the vertical and horizontal asymptotes of the graph of the function f x
x
x x
( )
9
3
.
2
2
5
2
1
Solution.
Let the equation of the given curve be
y
x
x x
=
−
+
2
2
9
3
=
+ −
+
=
−
( )( )
( )
.
x x
x x
x
x
3 3
3
3
When x y
= → ∞
0, . ∴ x = 0 is a vertical asymptote.
Now lim lim lim .
x x x
y
x
x x
→∞ →∞ →∞
=
−
⎛
⎝
⎜
⎞
⎠
⎟ = −
⎛
⎝
⎜
⎞
⎠
⎟ =
3
1
3
1
∴ y = 1 is the horizontal asymptote.
Note
The graph has a break at x = 0 i.e., discontinuous at x = 0
and continuous for all other values of x.
The y-axis x = 0 and y = 1 are the asymptotes.
y
y = 1
x = 3
0 x
Fig. 3.24
M03_ENGINEERING_MATHEMATICS-I _CH03_Part D.indd 106 5/19/2016 7:42:13 PM
Differential Calculus ■ 3.107
EXAMPLE 4
Find the asymptote of the curve y
x
x
x
5
2
1
2
3
5 .
Solution.
The given curve is y
x
x
x
=
−
+
2
3
5 .
When x y
= → ∞
3, . ∴ x = 3 is a vertical asymptote.
Now
lim lim lim .
x x x
y
x
x
x
x
x
→∞ →∞ →∞
=
−
+
⎛
⎝
⎜
⎞
⎠
⎟ =
−
+
⎛
⎝
⎜
⎜
⎜
⎞
⎠
⎟
⎟
⎟
→ ∞
2
3
5
2
1
3
5
∴ there is no horizontal asymptote.
To find the oblique asymptote
We know m
y
x x
x x
=
⎛
⎝
⎜
⎞
⎠
⎟ =
−
+
⎛
⎝
⎜
⎞
⎠
⎟ =
∞
+ =
→∞ →∞
lim lim
2
3
5
2
5 5
And
c y mx
x
x
x x
x
x
x x x
= − =
−
+ −
⎛
⎝
⎜
⎞
⎠
⎟ =
−
⎛
⎝
⎜
⎞
⎠
⎟ =
→∞ →∞ →∞
lim( ) lim lim l
2
3
5 5
2
3
i
im .
x
x
→∞
−
⎛
⎝
⎜
⎜
⎜
⎞
⎠
⎟
⎟
⎟
=
−
=
2
1
3
2
1 0
2
∴ y x
= +
5 2 is an oblique asymyptote.
EXAMPLE 5
Find the asymptotes if any, of the curve y xe x
5 1/
.
Solution.
The given curve is y xe x
= 1/
.
When x
x
→ → ∞
0
1
+ , . ∴ → ∞
e x
1/
and lim lim (
/
x x
x
y xe
→ + → +
= ⋅∞
0 0
1
0 form)
=
∞
∞
⎛
⎝
⎜
⎞
⎠
⎟
→ +
lim
/
/
x
x
e
x
0
1
1
form
=
−
= = ∞
→ +
→ +
lim
( / )
, [
lim .
/
/
x
x
x
x
e x
x
e
0
1 2
2
0
1
1
1
by L hopital s rule]
’ ’
∴ as x y
→ + → ∞
0 , . Hence, x = 0 is a vertical asymptote.
It can be seen that as x y
→ ∞ → ∞
, and so, there is no horizontal asymptote.
M03_ENGINEERING_MATHEMATICS-I _CH03_Part D.indd 107 5/19/2016 7:42:17 PM
3.108 ■ Engineering Mathematics
To find the oblique asymptote
We know
and
m
y
x
xe
x
e e
c y mx
x x
x
x
x
x
= = = = =
= − =
→∞ →∞ →∞
→∞
lim lim lim .
lim( ) lim
/
/
1
1 0
1
x
x
x
xe x
→∞
−
( )
/
1 (∞⋅0 form)
⇒ c
e
x
e x
x
e e
x
x
x
x
x
x
=
−
=
−
−
= = =
→∞ →∞ →∞
lim
( )
/
lim
( / )
/
lim
/ /
/
1 1 2
2
1 0
1
1
1
1
1
0
0
form
⎛
⎝
⎜
⎞
⎠
⎟
∴ y x
= +1 is the oblique asymptote.
3.8.1 A General Method
Find the asymptotes of the rational algebraic curve f x y
( , ) 5 0
Consider the general algebraic curve of nth
degree in x and y
a x a x y a x y a xy a y
b x b x y b
n n n
n
n
n
n
n n
n
0 1
1
2
2 2
1
1
1
1
2
2
+ + + + +
+ + + +
− −
−
−
− −
…
… y
y c x c x y c y
r x r y s
n n n
n
n
n n n
− − − −
−
+ + + + +
+ + + =
1
2
2
3
3 2
1 0
… …
( ) (1)
It can be rewritten as
x a a
y
x
a
y
x
a
y
x
a
y
x
x b b
n
n
n
n
n
n
n
0 1 2
2
2 1
1
1
1
+ + + +
⎛
⎝
⎜
⎞
⎠
⎟ +
⎡
⎣
⎢
⎢
⎤
⎦
⎥
⎥
+ +
−
−
−
…
2
2 3
2
2
1
1
2
2 3
2
2
y
x
b
y
x
b
y
x
x c c
y
x
c
y
x
n
n
n
n
n
n
n
+ + +
⎡
⎣
⎢
⎤
⎦
⎥ + + + +
⎡
⎣
⎢
−
−
−
−
−
… …
⎤
⎤
⎦
⎥ +
+ +
⎛
⎝
⎜
⎞
⎠
⎟ + =
−
…
x r r
y
x
s
n n n
1 0
It is of the form
x
y
x
x
y
x
x
y
x
x
y
x
n
n
n
n
n
n
f f f f
⎛
⎝
⎜
⎞
⎠
⎟ +
⎛
⎝
⎜
⎞
⎠
⎟ +
⎛
⎝
⎜
⎞
⎠
⎟ + +
⎛
⎝
⎜
⎞
−
−
−
−
1
1
2
2 1
…
⎠
⎠
⎟ +
⎛
⎝
⎜
⎞
⎠
⎟ =
f0 0
y
x
. (2)
Where fr
y
x
⎛
⎝
⎜
⎞
⎠
⎟ is a polynomial of degree r in
y
x
.
To find the point of intersection of the line y mx c
= + with (2), put
y
x
m
c
x
= + in (2).
∴ x m
c
x
x m
c
x
x m
c
x
n
n
n
n
n
n
f f f
+
⎛
⎝
⎜
⎞
⎠
⎟ + +
⎛
⎝
⎜
⎞
⎠
⎟ + +
⎛
⎝
⎜
⎞
⎠
⎟ + =
−
−
−
−
1
1
2
2 0
… .
Expanding by Taylor’s theorem, we get
x m
c
x
m
c
x
m
n
n n n
f f f
( ) ( )
!
( )
+ ′ + ′′ +
⎡
⎣
⎢
⎤
⎦
⎥
1
2
2
2
…
+ + ′ + ′′ +
⎡
⎣
⎢
⎤
⎦
⎥
−
− − −
x m
c
x
m
c
x
m
n
n n n
1
1 1
2
2 1
1
2
f f f
( ) ( )
!
( ) …
= −
→∞
lim ( )
/
x
x
x e1
1
M03_ENGINEERING_MATHEMATICS-I _CH03_Part D.indd 108 5/19/2016 7:42:22 PM
Differential Calculus ■ 3.109
+ + ′ + ′′ +
⎡
⎣
⎢
⎤
⎦
⎥ + =
−
− − −
x m
c
x
m
c
x
m
n
n n n
2
2 2
2
2 2
1
2
0
f f f
( ) ( )
!
( ) .
… …
⇒ x m x c m m
n
n
n
n n
f f f
( ) [ ( ) ( )]
+ ′ +
−
−
1
1
+ ′′ + ′ +
⎡
⎣
⎢
⎤
⎦
⎥ + =
−
− −
x
c
m c m m
n
n n n
2
2
1 2
2
0
!
( ) ( ) ( ) .
f f f …
Dividing by xn
, we get
f f f
n n n
m
x
c m m
( ) [ ( ) ( )]
+ ′ + −
1
1
+ ′′ + ′ +
⎡
⎣
⎢
⎤
⎦
⎥ + =
− −
1
2
0
2
2
1 2
x
c
m c m m
n n n
!
( ) ( ) ( )
f f f … (3)
Also from (2), we get
f f f
n n n
y
x x
y
x x
y
x
⎛
⎝
⎜
⎞
⎠
⎟ +
⎛
⎝
⎜
⎞
⎠
⎟ +
⎛
⎝
⎜
⎞
⎠
⎟ + =
− −
1 1
0
1 2 2 … . (4)
y = mx + c is an asymptote if lim .
x
y
x
m
→
⎛
⎝
⎜
⎞
⎠
⎟ =
∞
Hence, from (4), we get fn m
( ) .
= 0 (5)
The real values of m are the slopes of the asymptotes.
Substituting (5) in (3), we get
1 1
2
1 2
2
1 2
x
c m m
x
c
m c m m
n n n n n
[ ( ) ( )]
!
( ) ( ) ( )
′ + + ′′ + ′ +
⎡
⎣
⎢
⎤
⎦
⎥
− − −
f f f f f +
+ =
… 0.
Multiplying by x and taking limit as x → ∞, we get
c m m
n n
′ + =
−
f f
( ) ( )
1 0
⇒ c
m
m
n
n
= −
′
−
f
f
1( )
( )
if ′ ≠
fn m
( ) .
0 (6)
If m1
, m2
, …, mr
are the real roots of fn m
( ) ,
= 0 then the corresponding values of c from (6)
are c1
, c2
, …, cr
∴ the asymptotes are
y m x c y m x c y m x c
r r
= + = + = +
1 1 2 2
, , , .
…
Note
(1) Suppose ′ =
fn m
( ) 0 and fn m
− ≠
1 0
( ) then c is infinite and hence, there is no asymptote to the
curve, in this case.
(2) Suppose ′ =
fn m
( ) 0 and fn m
( ) = 0 then c m m
n n
f f
( ) ( )
+ =
−1 0 is an identity.
If ′ =
fn m
( ) 0, then fn m
( ) = 0 has repeated roots.
M03_ENGINEERING_MATHEMATICS-I _CH03_Part D.indd 109 5/19/2016 7:42:26 PM
3.110 ■ Engineering Mathematics
Let the repeated roots be m1
, m1
, then c is given by
c
m c m m
n n n
2
1 2
2
0
′′ + ′ + =
− −
f f f
( ) ( ) ( ) if ′′ ≠
fn m
( ) .
0
If c1
, c2
are the roots, then y m x c
= +
1 1 and y m x c
= +
1 2 are parallel asymptotes.
Working Rule to find oblique asymptotes of algebraic rational function f(x, y) = 0
(1) Put x = 1, y = m in the highest degree terms.
That is in the nth
degree terms and find fn m
( ).Solve fn m
( ) = 0 to find the real roots m m mr
1 2
, ,..., .
(2) Put x = 1, y = m in the next highest degree terms. That is in the (n − 1)th
degree terms and get
fn m
−1( ).
Then find c
m
m
n
n
= −
′
−
f
f
1( )
( )
if ′ ≠
fn m
( ) .
0
Find c1
, c2
, …, cr
corresponding to m1
, m2
, … mr
.
Then the asymptotes are
y m x c y m x c y m x c
r r
= + = + = +
1 1 2 2
, , ..., .
(3) If ′ =
fn m
( ) 0 and ′ =
−
fn m
1 0
( ) and two roots of fn m
( ) = 0 are equal say m1
, m1
, then the values of
c are given by
c
m c m m m
n n n n
2
1 2
2
0 0
′′ + ′ + ′ = ′′ ≠
− −
f f f f
( ) ( ) ( ) ( ) .
if
If c1
, c2
are the roots, then we get parallel asymptotes y m x c
= +
1 1 and y m x c
= +
1 2.
3.8.2 Asymptotes parallel to the coordinates axes
Let f(x, y) = 0 be the rational algebraic equation of the given curve.
(1) To find the asymptotes parallel to the x-axis, equate to zero the coefficients of highest power
of x.
The linear factors of this equation are the asymptotes parallel to the x-axis.
If the highest coefficient is constant or if the linear factors are imaginary, then there is no
horizontal asymptotes.
(2) To find the asymptotes parallel to the y-axis, equate to zero the coefficients of the highest power
of y.
The real linear factors of this equation are the asymptotes parallel to the y-axis.
If the highest coefficient is constant or if the linear factors are imaginary, then there is no vertical
asymptotes.
WORKED EXAMPLES
EXAMPLE 1
Find the asymptotes of the curve
x x y xy y y xy y
3 2 2 3 2
2 2 4 2 1 0.
1 2 2 1 1 1 2 5
M03_ENGINEERING_MATHEMATICS-I _CH03_Part D.indd 110 5/19/2016 7:42:30 PM
Differential Calculus ■ 3.111
Solution.
The given curve is
x x y xy y y xy y
3 2 2 3 2
2 2 4 2 1 0
+ − − + + + − = .
It is a third degree equation. The third degree terms are
x x y xy y
3 2 2 3
2 2
+ − − .
Put x = 1, y = m, we get
f3
2 3
1 2 2
( )
m m m m
= + − − (1)
Solve f3 0
( )
m = ⇒ 1 2 2 0
2 3
+ − − =
m m m
⇒ 1 2 1 2 0
2
+ − − =
m m m
( )
⇒ ( )( )
1 2 1 0
2
+ − =
m m ⇒ ( )( )( )
1 2 1 1 0
+ − + =
m m m ⇒ m = − −
1
2
1 1
, ,
Now put x =1, y = m in the second degree terms 4y2
+ 2xy.
We get f2
2
4 2 2 2 1
( ) ( )
m m m m m
= + = +
Now c
m
m
m
m
n
n
= −
′
= −
′
−
f
f
f
f
1 2
3
( )
( )
( )
( )
But f3
2 3
1 2 2
( )
m m m m
= + − −
∴ ′ = − − = − + −
f3
2 2
2 2 6 2 3 1
( ) ( )
m m m m m
∴ c
m m
m m
m m
m m
=
− +
− + −
=
+
+ −
2 2 1
2 3 1
2 1
3 1
2 2
( )
( )
( )
.
When m = −
1
2
, c = 0
When m = −1 c =
− − +
− + − −
=
− −
=
( )( )
( ) ( )
.
1 2 1
3 1 1 1
1
3 1 1
1
2
When m = 1 c =
+
+ −
= =
1 2 1 1
3 1 1 1
3
3
1
2
( )
⋅
⋅
∴ the asymptotes are y x y x y x
= − = − + = +
1
2
1 1
, , .
Note Since the coefficient of x3
and y3
are constants, there is no asymptotes parallel to x-axis and
y-axis.
EXAMPLE 2
Find the asymptotes of the curve y x y xy y
3 2 2
2 1 0.
1 1 2 1 5
Solution.
The given curve is
y x y xy y
3 2 2
2 1 0
+ + − + = .
It is cubic equation.
M03_ENGINEERING_MATHEMATICS-I _CH03_Part D.indd 111 5/19/2016 7:42:35 PM
3.112 ■ Engineering Mathematics
Since coefficient of y 3
is 1, a constant, there is no asymptotes parallel to the y-axis.
The highest degree term in x is x2
and the coefficient of x2
is y, equating the coefficient of x2
to
zero we get y = 0 is the asymptote, which is the x−axis.
To find the other asymptotes
Put x y m
= =
1, in the cubic terms y x y xy
3 2 2
2
+ + .
∴ f3
3 2
2
( )
m m m m
= + +
∴ ′ = + +
f3
2
3 4 1
( ) .
m m m
There is no second degree terms.
∴ f2 0
( )
m = and c
m
m
m
= −
′
′ ≠
f
f
f
2
3
3 0
( )
( )
( )
if (1)
Solving f3 0
( )
m =
⇒ m m m
3 3
2 0
+ + =
⇒ m m m
( )
2
2 1 0
+ + = ⇒ m m
( )
+ =
1 0
2
⇒ m m
= = − −
0 1 1
or , .
When m c
= =
0 0
, . ∴ the asymptote isy = 0.
But when m = −1, we can’t find c using (1), because ′ − =
f3 1 0
( ) .
∴ we can find c using
c
m c m m
2
3 2 1
2
0
′′ + ′ + =
f f f
( ) ( ) ( )
Now f f f
3 2 1
6 4 0 1
″ ′
( ) , ( ) , ( )
m m m m
= + = = −
∴
c
m m
2
2
6 4 0 0
( )
+ + − = ⇒ c m m
2
3 4 0
( )
+ − =
When m c
= − − + − =
1 3 1 4 1 0
2
, ( ( ) ) ⇒ c c
2
1 0 1
− = ⇒ = ±
∴ there are two parallel asymptotes
y x y x
= − + = − −
1 1
and .
∴ the three asymptotes are
y y x y x
= = − + = − −
0 1 1
, , .
EXAMPLE 3
Find the asymptotes of the curve x
t
t
y
t
t
5
1
5
1
1
2
3
2
1
,
2
1
.
Solution.
The equation of the curve is given in parametric form
x
t
t
y
t
t
=
+
=
+
+
2
3
2
1
2
1
and .
M03_ENGINEERING_MATHEMATICS-I _CH03_Part D.indd 112 5/19/2016 7:42:43 PM
Differential Calculus ■ 3.113
When t x y
= − → ∞ → ∞
1, and , we get an asymptote.
We know that y mx c
= + is an asymptote if m
y
x
x
=
→∞
lim and c y mx
x
= −
→∞
lim( )
where (x, y) is a point on the curve.
We have m
y
x
x
=
⎛
⎝
⎜
⎞
⎠
⎟
→∞
lim =
+
+
+
⎡
⎣
⎢
⎢
⎢
⎢
⎤
⎦
⎥
⎥
⎥
⎥
→−
lim
t
t
t
t
t
1
2
2
3
2
1
1
( , ).
{ asx t
→ ∞ → −1
=
+ − +
⎡
⎣
⎢
⎤
⎦
⎥ =
− + − − − +
−
→−
lim
( )( ) (( ) )[( ) ( ) ]
( )
t
t t t
t
1
2 2
2
2 2
2 1 1 2 1 1 1
1 2
2
1 2 1 1 1 9
= + + + =
( )( ) .
and c y mx
x
= −
→∞
lim( ) = −
=
+
+
−
+
⎡
⎣
⎢
⎤
⎦
⎥
→∞
→−
lim( )
lim
x
t
y x
t
t
t
t
9
2
1
9
1
1
2 2
3
=
+
→−
lim
( )(
t
t 2 1
1
2
+
+ − +
+ +
=
+ − + − +
→−
t t t
t t
t t t t t
t
3 2
3
1
2 2 2
9 1
1 1
2 1 9 1
) ( )
( )( )
lim
[( )( ) ]( )
(
( )( )
1 1 3
+ +
t t
=
+ − + −
+
=
− + + − + −
→−
→−
lim
( )( )
( )
lim
t
t
t t t t
t
t t t t t
1
2 2 2
3
1
4 3 2 2
2 1 9
1
2 2 2 9
9
1
6 2 2
1
2
3
1
4 3 2
3
t
t
t t t t
t
t
( )
lim
+
=
− + − +
+
→−
0
0
form
⎡
⎣
⎢
⎤
⎦
⎥
=
− − −
→−
lim
t
t t t
t
1
3 2
2
4 3 12 2
3 [by L’Hopital’s rule]
=
− − − − − −
−
=
− − + −
=
−
=
4 1 3 1 12 1 2
3 1
4 3 12 2
3
12 9
3
1
3 2
2
( ) ( ) ( )
( )
.
∴ the asymptote is y x
= +
9 1.
3.8.3 Another Method for Finding the Asymptotes
Let the equation of the curve be nth
degree in x and y.
Suppose the nth
degree curve can be put in the form ( )
ax by c P F
n n
+ + + =
− −
1 1 0, where Pn−1 and Fn−1
denote polynomials of degree ( )
n −1 in x and y.
Any line parallel to ax by c
+ + = 0 that cut the curve in two points at infinity is an asymptote and
it is given by ax by c
F
P
y
a
b
x
n
n
+ + +
⎛
⎝
⎜
⎞
⎠
⎟ =
=− →∞
−
−
lim ,
1
1
0 if the limit is finite.
M03_ENGINEERING_MATHEMATICS-I _CH03_Part D.indd 113 5/19/2016 7:42:49 PM
3.114 ■ Engineering Mathematics
Suppose ax by c
+ + is a factor of Pn−1
, then the equation of the curve takes the form
( )
ax by c P F
n n
+ + + =
− −
2
2 2 0 and the parallel asymptotes are given by
ax by c
F
P
n
n
+ + = ± −
⎛
⎝
⎜
⎞
⎠
⎟
⎡
⎣
⎢
⎢
⎤
⎦
⎥
⎥
−
−
lim ,
/
2
2
1 2
when x y y
a
b
x
, .
→ ∞ = −
along
If the equation is (ax + by + c)Pn−1
+ Fn−2
= 0, then ax + by + c = 0 is an asymptote.
WORKED EXAMPLES
EXAMPLE 1
Find the asymptotes of x y axy
3 3
3
1 5 .
Solution.
The equation of the given curve is x y axy
3 3
3
+ = .
⇒ ( )( ) .
x y x xy y axy
+ − + − =
2 2
3 0
This is of the form ( ) .
x y P F
n n
+ + =
− −
1 1 0
∴ the asymptotes parallel to x y
+ = 0is
⇒ x y
axy
x xy y
y x
+ +
−
− +
⎡
⎣
⎢
⎤
⎦
⎥ =
=− →∞
lim
3
0
2 2
⇒ x y
ax x
x x x x
x
+ +
− −
− − + −
=
→∞
lim
( )
( ) ( )
3
0
2 2
⇒ x y
ax
x
x
+ + =
→∞
lim
3
3
0
2
2
⇒ x y a
x
+ + =
→∞
lim 0 ⇒ x y a
+ + = 0.
There is no asymptote parallel to the axes. It has only one asymptote.
EXAMPLE 2
Find the asymptotes of ( ) (
x y
1 1 1 5 1 2
2
x y x y
2 2) 9 2.
Solution.
The equation of the given curve is ( ) ( ) .
x y x y x y
+ + + = + −
2
2 2 9 2
This is of the form ( ) .
x y P F
n n
+ + =
− −
2
2 2 0
The asymptotes parallel to x y
+ = 0 are
( ) lim
x y
x y
x y
y x
+ =
+ −
+ +
=− →∞
2 9 2
2 2
=
− −
− +
→∞
lim
x
x x
x x
9 2
2 2
=
+
−
=
+
⎛
⎝
⎜
⎞
⎠
⎟
−
⎛
⎝
⎜
⎞
⎠
⎟
=
+
→∞ →∞ →∞
lim lim lim
x x x
x
x
x
x
x
x
x
8 2
2
8 1
2
8
1
2
8 1
2
8
⎛
⎛
⎝
⎜
⎞
⎠
⎟
−
=
1
2
8
x
{
2
0
x
→
⎡
⎣
⎢
⎤
⎦
⎥
M03_ENGINEERING_MATHEMATICS-I _CH03_Part D.indd 114 5/19/2016 7:42:56 PM
Differential Calculus ■ 3.115
∴ x y
+ = ±2 2 are two asymptotes.
Now the equation is of the form
( )
x y P F
n n
+ + + =
− −
2 2 0
1 2
∴ x y
+ + =
2 2 0 ia an asymptote.
Hence, x y x y
+ = ± + + =
2 2 2 2 0
, are the three asymptotes. [Work out this by the general
method]
EXAMPLE 3
Find the asymptotes of x x y xy x xy
3 2 2 2
2 2 0.
2 1 1 2 1 5
Solution.
It is a third degree equation in x and y.
Since the coefficient of x3
is constant there is no asymptote parallel to the x-axis.
Since the coefficient of y 3
is x, asymptote parallel to the y-axis is x = 0.
That is the y-axis itself.
Factorising the third degree terms
x x xy y x x y
( ) ( )
2 2
2 2 0
− + + − + = ⇒ x x y x x y
( ) ( )
− + − + =
2
2 0
⇒ x y x x y x
( ) ( )
− − − + =
2
2 0 ⇒ ( ) ( ) .
y x y x
x
− − − + =
2 2
0
Asymptote parallel to y x
− = 0 is given by ( ) ( ) lim
y x y x
x
y x
− − − + =
= →∞
2 2
0
⇒ ( ) ( )
y x y x
− − − =
2
0
⇒ ( )[( ) ]
y x y x
− − − =
1 0 ⇒ y x y x
− = − − =
0 1 0
,
∴ the asymptotes are x y x y x
= − = − − =
0 0 1 0
, , .
3.8.4 Asymptotes by Inspection
In certain cases, we can find the asymptotes of an rational algebraic equation without any calculations.
If the equation can be rewritten in the form F F
n n
+ =
−2 0, where Fn is a polynomial of degree n in x
and y and Fn−2 is a polynomial of degree almost n − 2.
If Fn can be factored into linear factors so that no two of them represent parallel straight lines, then
Fn = 0 gives all the asymptotes.
For example: The equation of the hyperbola
x
a
y
b
2
2
2
2
1
− = is of the F F
n n
+ =
−2 0, where
F
x
a
y
b
x
a
y
b
x
a
y
b
n = − = −
⎛
⎝
⎜
⎞
⎠
⎟ +
⎛
⎝
⎜
⎞
⎠
⎟
2
2
2
2
.
So, the asymptotes are
x
a
y
b
x
a
y
b
− = + =
0 0
and .
M03_ENGINEERING_MATHEMATICS-I _CH03_Part D.indd 115 5/19/2016 7:43:03 PM
3.116 ■ Engineering Mathematics
WORKED EXAMPLES
EXAMPLE 4
Find the asymptotes of ( )( )( 2 4) 3 7 6.
x y x y x y x y
1 2 2 2 5 1 2
Solution.
The given curve is
( )( )( ) ( ) .
x y x y x y x y
+ − − − − + − =
2 4 3 7 6 0
This is of the form F F
n n
+ =
−2 0, where F F x y x y x y
n = = + − − −
3 2 4
( )( )( ) and Fn is the product of
linear factors, which do not represent parallel lines.
∴ the asymptotes are given by
Fn = 0 ⇒ ( )( )( )
x y x y x y
+ − − − =
2 4 0
∴ The asymptotes of the given curve are x y x y x y
+ = − = − − =
0 0 2 4 0
, , .
3.8.5 Intersection of a Curve and Its Asymptotes
Any asymptote of an algebraic curve of nth
degree cuts the curve in two points at infinity and in ( )
n − 2
other points. So, the n asymptotes of the curve cut it in atmost n n
( )
− 2 points.
If the equation of the curve is written in the form F F
n n
+ =
−2 0, where Fn is of nth
degree and is a
product of n linear factors and Fn−2 is of degree atmost n − 2, then, the equation of the asymptote is
given by Fn = 0.
So, the point of intersection of the curve and the asymptote are obtained by solving Fn = 0,
F F
n n
+ =
−2 0 and hence such points lie on the curve Fn− =
2 0.
Note
If C is the equation of the curve and A is the combined equation of the asymptotes, then the curve on
which the points intersection of the asymptotes lie is C A
− = 0.
WORKED EXAMPLES
EXAMPLE 5
Show that the asymptotes of the cubic x y xy xy y x y
2 2 2
0
2 1 1 1 2 5 cut the curve again in
three points which lie on the line x y
1 5 0 .
Solution.
The given curve is
x y xy xy y x y
2 2 2
0
− + + + − =
Since the coefficient of x2
is y, the asymptote parallel to the x-axis is y = 0.
Since the coefficient of y 2
is 1− x , the equation of the asymptote parallel to the y-axis is
1 0 1
− = ⇒ =
x x .
M03_ENGINEERING_MATHEMATICS-I _CH03_Part D.indd 116 5/19/2016 7:43:08 PM
Differential Calculus ■ 3.117
Now the equation can be rewritten as
xy x y xy y x y
( ) ( )
− + + + − =
2
0
This is of the form ( ) .
x y P F
n n
− + =
− −
1 1 0
∴ the asymptote parallel to x y
− = 0 is
x y
F
P
x y
n
n
− + =
= →∞
−
−
lim 1
1
0 ⇒ x y
xy y x y
xy
x y
− +
+ + −
⎡
⎣
⎢
⎤
⎦
⎥ =
= →∞
lim
2
0
⇒ x y
x x x x
x
x
− +
+ + −
⎡
⎣
⎢
⎤
⎦
⎥ =
→∞
lim
2 2
2
0 ⇒x y
x
x
x
− +
⎛
⎝
⎜
⎞
⎠
⎟ =
→∞
lim
2
0
2
2
⇒ x y
− + =
2 0.
∴ the asymptotes are y x x y
= − = − + =
0 1 0 2 0
, , .
The curve cannot have more than 3 asymptotes.
∴ their combined equation is
y x x y
( )( )
− − + =
1 2 0 ⇒ ( )( )
xy y x y
− − + =
2 0
⇒ x y xy xy xy y y
2 2 2
2 2 0
− + − + − = ⇒ x y xy xy y y
2 2 2
2 0
− + + − = .
∴ A x y xy xy y y
≡ − + + − =
2 2 2
2 0.
The curve is
C x y xy xy y x y
≡ − + + + − =
2 2 2
0.
The point of intersection of the asymptotes lie on the curve.
C A
− = 0. ⇒ x y
+ = 0,
which is a straight line and the number of points of intersection is 3(3 – 2) = 3.
EXAMPLE 6
Show that the four asymptotes of the curve
( )( 4 ) 6 5 3 2 3 1 0
2 2 2 2 3 2 2 2 2
x y y x x x y xy y x xy
2 2 1 2 2 1 2 1 2 5
cut the curve again in eight points which lie on a conic.
Solution.
The given curve is ( )( ) .
x y y x x x y xy y x xy
2 2 2 2 3 2 2 2 2
4 6 5 3 2 3 1 0
− − + − − + − + − =
Put x y m
= =
1, in the fourth degree terms, we get f4
2 2
1 4
( ) ( )( )
m m m
= − − .
Put x y m
= =
1, in the third degree terms, we get f3
2
6 5 3
( )
m m m
= − − .
∴
′ = − + − −
= − − + = −
f4
2 2
2 2 2
1 2 4 2
2 1 4 2 5 2
( ) ( )( ) ( )( )
[ ] [ ]
m m m m m
m m m m m
∴ c
m
m
m m
m m
= −
′
= −
− −
−
⎡
⎣
⎢
⎤
⎦
⎥
f
f
3
4
2
2
6 5 3
2 5 2
( )
( ) ( )
.
M03_ENGINEERING_MATHEMATICS-I _CH03_Part D.indd 117 5/19/2016 7:43:16 PM
3.118 ■ Engineering Mathematics
Solving f4 0
( ) ,
m = we get
( )( )
1 4 0
2 2
− − =
m m ⇒ 1 0 4 0
2 2
− = − =
m m
or ⇒ m m
= ± = ±
1 2
or .
When m c
= − = −
− − − −
− − −
⎡
⎣
⎢
⎤
⎦
⎥ = −
+ −
− ⋅
=
1
6 5 1 3 1
2 1 5 2 1
6 5 3
2 3
8
2
2
,
( ) ( )
( )( ( ) ) ( ) 2
2 3
4
3
×
= .
∴ asymptote is y x
= − +
4
3
⇒ y x
+ − =
4
3
0.
When m c
= = −
− ⋅ − ⋅
⋅ ⋅ − ⋅
= −
−
⋅
=
1
6 5 1 3 1
2 1 5 1 2 1
2
2 3
1
3
2
2
,
( )
( )
( )
.
∴ the asymptote is y x
= +
1
3
⇒ y x
− − =
1
3
0.
When m c
= − = −
− − − −
− − −
= −
+ −
− −
=
2
6 5 2 3 2
2 2 5 2 2
6 10 12
4 5 8
2
2
,
[ ( ) ( ) ]
( )[ ( ) ]
[ ]
[ ]
−
−
×
= −
4
4 3
1
3
.
∴ the asymptote is y x
= − −
2
1
3
⇒ y x
+ + =
2
1
3
0.
When m c
= = −
− × − ⋅
⋅ − ⋅
2
6 5 2 3 2
2 2 5 2 2
2
2
,
[ ]
( )
= −
− −
−
[ ]
( )
6 10 12
4 5 8
= −
×
= −
16
4 3
4
3
.
∴ the asymptote is y x
= −
2
4
3
⇒ y x
− + =
2
4
3
0.
The fourth degree equation has 4 asymptotes.
∴ the combined equation of the asymptotes is
y x y x y x y x
+ −
⎛
⎝
⎜
⎞
⎠
⎟ − −
⎛
⎝
⎜
⎞
⎠
⎟ + +
⎛
⎝
⎜
⎞
⎠
⎟ − +
⎛
⎝
⎜
⎞
⎠
⎟ =
4
3
1
3
2
1
3
2
4
3
0
⇒ y x y x y x y x y x y x
2 2 2 2
1
3
4
3
4
9
4
4
3
2
1
3
2
4
9
− − + − − +
⎡
⎣
⎢
⎤
⎦
⎥ − + + + − +
⎡
( ) ( ) ( ) ( )
⎣
⎣
⎢
⎤
⎦
⎥ = 0
⇒ ( )( ) ( )( ) ( )( ) ( )
y x y x y x y x y x y x y x
2 2 2 2 2 2 2 2 2 2
4
4
3
2
1
3
2
4
9
− − + − + + − − + −
− + − − + + − + − − +
1
3
4
4
9
2
1
9
2
4
27
2 2
( )( ) ( )( ) ( )( ) ( )
y x y x y x y x y x y x y x
− − − − − + − − − − −
4
3
4
16
9
2
4
9
2
16
27
2 2
( )( ) ( )( ) ( )( ) ( )
y x y x y x y x y x y x y x
+ − + + + − + =
4
9
4
16
27
2
4
27
2
16
81
0
2 2
( ) ( ) ( )
y x y x y x
M03_ENGINEERING_MATHEMATICS-I _CH03_Part D.indd 118 5/19/2016 7:43:23 PM
Differential Calculus ■ 3.119
⇒ ( )( )
x y y x xy x x y y x xy x
2 2 2 2 2 3 2 2 2
4 3 6 5
17
9
2
9
5
3
4
3
16
81
0
− − − + − + + + − − =
∴ A x y y x xy x x y y x xy x
≡ − − − + − + + + − − =
( )( )
2 2 2 2 2 3 2 2 2
4 3 6 5
17
9
2
9
5
3
4
3
16
81
0
C x y y x x x y xy y x xy
≡ − − + − − + − + − =
( )( )
2 2 2 2 3 2 2 2 2
4 6 5 3 2 3 1 0.
The points of intersection lie on the curve C A
− = 0.
⇒ 2
17
9
2
9
3
5
3
4
3
1
16
81
0
2 2 2 2
y y x x xy xy x
− − − + − + − + =
⇒
1
9
11
9
4
3
4
3
65
81
0
2 2
y x
xy
x
− + + − =
⇒ y x xy x
2 2
11 12 12
65
9
0
− + + − = .
which is a hyperbola. [
∴
h2
− ab  0]
EXAMPLE 7
Determine the asymptotes of the curve
4 17 4 4 2 2 0
4 4 2 2 2 2 2
( ) ( ) ( )
x y x y x y x x
1 2 2 2 1 2 5 and show that they pass through the points
of intersection of the curve with the ellipse x y
2 2
4 4
1 5 .
Solution.
The given curve is
4 17 4 4 2 2 0
4 4 2 2 2 2 2
( ) ( ) ( )
x y x y x y x x
+ − − − + − =
Put x y m
= =
1, in the fourth degree terms, we get f4
4 2
4 1 17
( ) ( )
m m m
= + −
∴ ′ = −
f4
3
16 34
( )
m m m
Put x y m
= =
1, in the third degree terms, we get f3
2
4 4 1
( ) ( )
m m
= − − .
∴ c
m
m
= −
′
f
f
3
4
( )
( )
=
−
−
=
−
−
4 4 1
16 34
2 4 1
8 17
2
3
2
3
( ) ( )
m
m m
m
m m
Solving, f4 0
( )
m = , we get
4 1 17 0
4 2
( )
+ − =
m m ⇒ 4 17 4 0
4 2
m m
− + =
⇒ 4 16 4 0
4 2 2
m m m
− − + = ⇒ 4 4 1 4 0
2 2 2
m m m
( ) ( )
− − − =
M03_ENGINEERING_MATHEMATICS-I _CH03_Part D.indd 119 5/19/2016 7:43:29 PM
3.120 ■ Engineering Mathematics
⇒ ( )( )
4 1 4 0
2 2
m m
− − = ⇒ 4 1 0
2
m − = or m2
4 0
− = ⇒ m = ±
1
2
or m = ± 2.
When m = −
1
2
, c =
⋅ −
⎛
⎝
⎜
⎞
⎠
⎟ −
⎡
⎣
⎢
⎢
⎤
⎦
⎥
⎥
−
⎛
⎝
⎜
⎞
⎠
⎟ − −
⎛
⎝
⎜
⎞
⎠
⎟
=
⋅ −
⎡
⎣
2 4
1
2
1
8
1
2
17
1
2
2 4
1
4
1
2
3
⎢
⎢
⎤
⎦
⎥
− +
=
1
17
2
0.
∴ the asymptote is y
x
y x
= − ⇒ + =
2
2 0 .
When m =
1
2
, c =
⋅
⎛
⎝
⎜
⎞
⎠
⎟ −
⎡
⎣
⎢
⎤
⎦
⎥
⎛
⎝
⎜
⎞
⎠
⎟ −
⎛
⎝
⎜
⎞
⎠
⎟
=
2 4
1
4
1
8
1
2
17
1
2
0
3
. ∴ the asymptote is y
x
y x
= ⇒ − =
2
2 0 .
When m = −2, c =
⋅ −
− − −
2 4 4 1
8 2 17 2
3
( )
( ) ( )
=
×
− +
=
−
= −
2 15
64 34
30
30
1.
∴ the asymptote is y x y x
= − − ⇒ + + =
2 1 2 1 0.
When m = 2, c =
⋅ −
× − ×
2 4 4 1
8 2 17 2
3
( )
=
×
−
= =
2 15
64 34
30
30
1.
∴ the asymptote is y x y x
= + ⇒ − + =
2 1 2 1 0
( ) .
The 4th
degree equation has 4 asymptotes.
Now the combined equation of the asymptotes is
( )( )[ ( )][ ( )]
2 2 2 1 2 1 0
y x y x y x y x
+ − + + − + =
⇒ ( )[ ( ) ]
4 2 1 0
2 2 2 2
y x y x
− − + =
⇒ ( )[ ( )]
4 4 4 1 0
2 2 2 2
y x y x x
− − + + =
⇒ ( )( )
4 4 4 1 0
2 2 2 2
y x y x x
− − − − =
⇒ ( )( ) ( ) ( )
4 4 4 4 4 0
2 2 2 2 2 2 2 2
y x y x x y x y x
− − − − − − =
⇒ 4 17 4 16 4 4 0
4 2 2 4 2 3 2 2
y x y x xy x y x
− + − + − + =
⇒ 4 17 16 4 4 0
4 4 2 2 2 3 2 2
( )
x y x y xy x y x
+ − − + − + =
∴ A x y x y xy x y x
≡ + − − + − + =
4 17 16 4 4 0
4 4 2 2 2 3 2 2
( )
M03_ENGINEERING_MATHEMATICS-I _CH03_Part D.indd 120 5/19/2016 7:43:38 PM
Differential Calculus ■ 3.121
The curve is C x y x y xy x x
≡ + − − + + − =
4 17 16 4 2 4 0
4 4 2 2 2 3 2
( ) .
The four asymptotes intersect the curve in 4 4 2 8
( )
− = points and they lie on the curve
C A
− = 0. ⇒ 4 4 0
2 2
y x
+ − = ⇒ x y
2 2
4 4
+ = .
which is an ellipse.
EXERCISE 3.13
I. Obtain the horizontal and the vertical asymptotes, if any, of the following curves.
1. y
x
x
=
− 2
2. y
x
x
=
+
2
1
3. y
x
x
=
−
2
1
4. x y
2 2
5 1
+ = 5. y x x
e
= 
log , 0 6. y e x
= − 2
7. y
x
x
=
+
2
1
8. y
x
x
=
−
+
3 1
2
9. y
x
x
=
+
−
2
2
2
1
10. y x
= sec 11. y x
= tan 12. xy x x
e
= 
log , 0
13. y ex
= 14. y
x
x
=
+
−
2
3
15. y
x
x
=
+
2
3
2
II. Find the asymptotes of the following curves.
1. x y xy xy y x
2 2 2
3 0
+ + + + =
2. ( )( )( ) ( )
x y x y x y x x y x
+ − − − − + =
2 4 2 4 0
3. 2 2 4 8 4 1 0
3 2 2 3 2
x x y xy y x xy x
− − + − + − + =
4. x y x y xy x y
2 2 2 2
1 0
− − + + + =
5. ( ) ( ) ( )
x y x y x y
+ + + − + − =
2
2 2 9 2 0
6. y xy x y x y xy x y x
3 2 2 3 2 2
2 2 3 7 2 2 2 1 0
− − + + − + + + + =
7. y x y xy y
3 2 2
2 1 0
+ + − + =
8. x x y xy y x y
3 2 2 3
2 4 8 4 8 1
+ − − − + =
9. y x x y
2 2
= −
( )
10. 8 10 3 2 4 2 0
2 2
x xy y x y
+ − − + − =
11. ( )( )
x y x y x y
2 2
2 1 1 0
− + + + + + =
12. x x y xy x xy
3 2 2 2
2 2 0
− + + − + =
13. ( )( )( )( )
y x y x y x y x x y
+ + + − + − + =
− + −
1 1 2
2 3 5 0
2 2
III. Show that the asymptotes of the cubic x y xy x y y x y
3 3
2 2 1 0
− + − + − + =
( ) ( ) cuts the curve in
three points which lie on the straight line x y
− + =
1 0.
IV
. Show that the four asymptotes of the curve
( )( )
x y y x x x y xy y x xy
2 2 2 2 3 2 2 3 2
4 6 5 3 2 3 1 0
− − + − − + − + − = cuts in 8 points which lie on a
circle.
M03_ENGINEERING_MATHEMATICS-I _CH03_Part D.indd 121 5/19/2016 8:44:52 PM
3.122 ■ Engineering Mathematics
ANSWERS TO EXERCISE 3.13
I.
1. x y
= =
2 1
, 2. x = −1 3. x y
= ± =
1 0
,
4. No, it is an ellipse which is a finite curve. 5. x = 0
6. y = 0 7. y = 0 8. x y
= − =
2 3
,
9. x y
= ± =
1 1
, 10. x n n
= + =
( ) , , , , ,
2 1
2
0 1 2 3
p
…
11. x n n
= + =
( ) , , , , ,
2 1
2
0 1 2 3
p
… 12. y = 0
13. y = 0 14. x = 3 and y = 1 15. x = 3, y = 2x − 6
II.
1. x y y x
= − = = −
1 0
, , 2. y x y x y x
= + = − = − +
9 2 4 2
, ,
3. y x y x y x
= − + = + = −
2 2 2 4
, , 4. x y x y
= = = =
0 0 1 1
, , ,
5. x y x y
+ + = + = ±
2 2 0 2 2
, 6. y x y x y x
= − = − − =
1 2 2
, ,
7. y x y x y
= + = + = −
0 1 1
, , 8. y
x
y
x
y
x
= = − + = − −
2 2
1
2
1
, ,
9. y = x − 1 10. 3y = −2x + 1
11. x + 2y + 1 = 0; y = x; y = −x 12. x = 0, y = x, y = x + 1
13. y + x − 1 = 0, y + 2x + 1 = 0, y + 3x − 2 = 0 and y − x = 0
3.9 CONCAVITY
In Section 3.4, we have seen that the sign of first derivative of a function tells us where the function is
increasing or decreasing. Critical points are the points where the first derivative is zero or the points
where the first derivative does not exist. At these points, local maximum or local minimum occurs.
We shall now discuss another aspect of the shape of a curve called concavity. All these concepts are
needed to draw the graph of a function.
Definition 3.9 Let f be a differentiable function in the interval (a, b). The graph of f, viz, the curve
given by the equation y f x
= ( ) is said to be concave up in (a, b) if the curve lies above every tangent
to the curve in (a, b)
The curve is said to be concave down in (a, b) if the curve lies below every tangent to the curve
in (a, b)
Note
Concave up is sometimes referred as convex down and concave down is referred as convex up.
M03_ENGINEERING_MATHEMATICS-I _CH03_Part D.indd 122 5/19/2016 8:44:55 PM
Differential Calculus ■ 3.123
Theorem 3.8 Criterion for Concavity
Let f be defined on [a, b] and let f″ exist in (a, b).
1. If f″ (x)  0 ∀ x a b
∈( , ), then the graph of f, viz, the curve y f x
= ( ) is concave down in ( , ).
a b
2. If f″ (x)  0 ∀ x a b
∈( , ), then the graph of f, viz, the curve y f x
= ( ) is concave up in ( , ).
a b
Definition 3.10 Point of Inflexion
A point P on the curve y f x
= ( ) is said to be a point of inflexion, if the curve has a tangent at the point
P and the curve changes from concave up to concave down or vice versa at the point P.
Criteria for point of inflexion (or inflection)
1. If f be a function such that f″(c) = 0 and f″′(c) ≠ 0 then the point ( , ( ))
c f c is a point of inflexion
on the curve y f x
= ( ).
2. Let f be a function such that f″(x) changes sign in a neighbourhood ( , )
c c
− +
d d of c as x
increases, then the point ( , ( ))
c f c is a point of inflexion on the curve y f x
= ( ).(even if f″(c) = 0
or f″(c) does not exist).
Note
1. The position of the point of inflexion on a curve is independent of the position of x and y axes.
Therefore, the point of inflexion is unaffected by the
interchange of these x and y axes. When
dy
dx
= ∞, we may
use
dx
dy
d x
dy
,
2
2
to determine the point of inflexion.
2. At a point of inflexion, the curve crosses the tangent at the
point.
For example, for the curve y x x
= =
3
0
, is a point of
inflexion, the tangent at the point is x-axis
x
O
y
y = x3
Fig. 3.27
x = a x = b
Concave up
x = a x = b
Concave down
Fig. 3.25 Fig. 3.26
M03_ENGINEERING_MATHEMATICS-I _CH03_Part D.indd 123 5/19/2016 8:44:58 PM
3.124 ■ Engineering Mathematics
WORKED EXAMPLES
EXAMPLE 1
Test the concavity of the curve y x
e
5 log .
Solution.
The given curve is y x
e
= log (1)
Since the domain of loge x is x  0, we test
the concavity in the interval ( , ).
0 ∞
Differentiating (1) w.r.t. x, we get
dy
dx x
d y
dx x
x
= = −  ∀ 
1 1
0 0
2
2 2
and
Therefore, the entire curve is concave down in the
interval ( , )
0 ∞
EXAMPLE 2
Find the ranges of values of x for which the curve y x x x x
5 2 1 1 1
4 3 2
6 12 4 10 is concave up
or down. Further, find the points of inflexion.
Solution.
The given curve is
y x x x x x
= − + + + ∈ −∞ ∞
4 3 2
6 12 4 10, ( , )
∴
dy
dx
x x x
= − + +
4 18 24 4
3
and
d y
dx
x x
2
2
2
12 36 24
= − + = − + = − −
12 3 2 12 1 2
2
( ) ( )( )
x x x x
When 1  x  2, ( )( )
x x
− − 
1 2 0
∴ if 1  x  2, then
d y
dx
2
2
0

The curve is concave down in (1, 2).
Similarly, if x  1 or x  2, then ( )( )
x x
− − 
1 2 0
∴ if x  1 or x  2, then
d y
dx
2
2
0

The curve is concave up in ( , )
−∞ ∞
1 and (2, ).
To find the point of inflexion, we have
d y
dx
d y
dx
2
2
3
3
0 0
= ≠
and
x
y
O (1, 0)
y = loge x
Fig. 3.28
∞
−∞
1 2
M03_ENGINEERING_MATHEMATICS-I _CH03_Part D.indd 124 6/3/2016 7:57:01 PM
Differential Calculus ■ 3.125
Now,
d y
dx
2
2
0
= ⇒ 12 1 2 0 1 2
( )( )
x x x
− − = ⇒ = or
and
d y
dx
3
3
= 24 36
x −
When x
d y
dx
= = ⋅ − = − ≠
1 24 1 36 12 0
3
3
,
When x
d y
dx
= = ⋅ − = ≠
2 24 2 36 12 0
3
3
,
When x = 1 and x = 2, the curve has the points of inflexion.
When x y
= = − × + × + × + =
1 1 6 1 12 1 4 1 10 21
, .
When x y
= = − × + × + × + =
2 2 6 2 12 2 4 2 10 34
4 3 2
,
The points of inflexion on the curve are (1, 21) and (2, 34).
EXAMPLE 3
Test the concavity of the curve x y a x y a
2 2 3
1 1 5
( ) and show that the points of inflexion lie on
the line x y a
1 5
4 3 .
Solution.
The given curve is
x y a x y a
2 2 3
+ + =
( )
⇒ y x a a a x
( )
2 2 3 2
+ = − ⇒ y
a a x
x a
=
−
+
2
2 2
( )
(1)
Differentiating (1) w.r. to x
dy
dx
a x a a x x
x a
a x a ax x
x
=
+ − − −
+
=
− − − +
2 2 2
2 2 2
2 2 2 2
2
1 2
2 2
[( )( ) ( ) ]
( )
[ ]
( +
+
=
− −
+
a
a x ax a
x a
2 2
2 2 2
2 2 2
2
)
[ ]
( )
and
d y
dx
a x a x a x ax a x a x
x a
2
2
2 2 2 2 2 2 2 2
2 2 4
2 2 2 2 2
=
+ − − − − + ⋅
+
[( ) ( ) ( ) .( ) ]
( )
=
=
+ + − − − −
+
a x a x a x a x x ax a
x a
2 2 2 2 2 2 2
2 2 4
2 4 2
( )[ ( )( ) ( )]
( )
=
− + − − + +
+
=
− − + +
2 2 4 2
2 3 3
2 3 2 2 3 3 2
2 2 3
2 3 3 2
a x ax a x a x ax a x
x a
a x a ax
[ ]
( )
[ a
a x
x a
2
2 2 3
]
( )
+
M03_ENGINEERING_MATHEMATICS-I _CH03_Part D.indd 125 5/19/2016 8:45:04 PM
3.126 ■ Engineering Mathematics
=
− + + +
+
= −
+
+
− + −
2 3
2
2 3 3
2 2 3
2
2 2 3
2 2
a x a ax x a
x a
a x a
x a
x ax a
[ ( ) ( )]
( )
( )
( )
3
3
2
4
2
2 2 3
2 2
ax
a x a
x a
x ax a
⎡
⎣ ⎤
⎦ = −
+
+
− +
⎡
⎣ ⎤
⎦
( )
( )
∴
d y
dx
x a x ax a
2
2
2 2
0 4 0
= ⇒ + − + =
( )[ ] ⇒ x a x a a
+ = − =
0 4
2
or 0
2
x +
Now, x a x a
+ = ⇒ = −
0
and x a a
2
4
− x + =
2
0
⇒ x
a a a
=
+ −
4 16 4
2
2 2
=
+
= ±
4 2 3
2
2 3
a a
a
( )
∴ x a x a x a
= − = − = +
, ( ) , ( )
2 3 2 3
and
d y
dx
a
x a
x a x a x a
2
2
2
2 2 3
2
2 3 2 3
= −
+
+ − − − +
( )
( )[ ( ) ][ ( ) ]
If x  −a, all the three factors are negative.
⇒ ( )[ ( ) ] [ ( ) ]
x a x a x a
+ − − − + 
2 3 2 3 0 and
a
x a
2
2 2 3
2
0
−
+

( )
always
∴
d y
dx
2
2
0

If −   − 
a x a
d y
dx
( ) ,
2 3 0
2
2
then
If ( ) ( ) ,
2 3 2 3 0
2
2
−   + 
a x a
d y
dx
then
If x a
d y
dx
 + 
( ) ,
2 3 0
2
2
then
∴ the curve is concave up in the intervals ( , ), [( ) , ( ) ]
−∞ − − +
a a a
2 3 2 3 and concave down in the
intervals [ , ( ) ] [( ) , )
− − + ∞
a a a
2 3 2 3
and
The points of inflexion are at x a a a
= − − +
, ( ) , ( ) .
2 3 2 3
When x a y
a a a
a a
a
= − =
+
+
=
,
( )
2
2 2
When x a y
a a a
a a
a
a
a
= − =
− −
− +
=
−
− + +
=
( ) ,
[ ( ) ]
( )
[ ]
[ ]
(
2 3
2 3
2 3
3 1
4 4 3 3 1
3
2
2 2 2
3
2
−
−
−
1
8 4 3
)
⇒ y
a a
=
−
−
=
−
−
∴ − = − = −
( )
[ ]
( )
( )
[ ( ) ( )]
3 1
4 2 3
3 1
2 3 1
3 1 4 2 3 2 2 3
2
2
−∞ ∞
−a (2 − 3)a (2 + 3)a
M03_ENGINEERING_MATHEMATICS-I _CH03_Part D.indd 126 5/19/2016 8:45:07 PM
Differential Calculus ■ 3.127
=
−
=
+
− +
=
+
a a a
2 3 1
3 1
2 3 1 3 1
3 1
4
( )
( )
( )( )
( )
When x a
= +
( ) ,
2 3 y
a a a
a a
a
a
y
a
=
− +
+ +
=
− −
+ + +
=
− +
2
2 2 2
3
2
2 3
2 3
3 1
4 3 4 3 1
3 1
4 2
[ ( ) ]
( )
[ ]
( )
( )
( +
+
=
− +
+
3
3 1
2 3 1 2
)
( )
( )
a
=
−
+
=
− −
+ −
=
− −
a a a
2 3 1
3 1
2 3 1 3 1
3 1
4
( )
( )
( )( )
( )
Thus, the points of inflexion are the points A(−a, a), B 2 3
4
3 1
−
( ) +
( )
⎛
⎝
⎜
⎞
⎠
⎟
a
a
,
and C = 2 3
4
3 1
+
( ) − −
( )
⎛
⎝
⎜
⎞
⎠
⎟
a
a
,
To prove the points A, B, and C are collinear, we have to prove the slope of AB = the slope BC.
Now, the slope of AB =
+ −
− +
a
a
a a
4
3 1
2 3
( )
=
+ −
− +
=
−
−
⎡
⎣
⎢
⎤
⎦
⎥ = −
a
a
4
3 1 4
2 3 1
1
4
3 3
3 3
1
4
( )
( )
and slope of BC =
− − − +
+ − −
=
− − + +
⎡
⎣
⎤
⎦
+ − −
⎡
⎣
⎤
⎦
=
a a
a a
a
a
4
3 1
4
3 1
2 3 2 3
4
3 1 3 1
2 3 2 3
( ) ( )
( ) ( )
−
− = −
1
4
2 3
2 3
1
4
∴ slope of AB = slope of BC
Therefore, the points A, B, C are collinear.
The equation of the line in which the points of inflexion is
y a x a
− = − +
1
4
( ) ⇒ 4 4
y a x a
− = − − ⇒ x y a
+ =
4 3
EXERCISE 3.14
1. Show that y x
= 4
is concave upwards at the origin.
2. Find the intervals in which the curve y x x x
= − + −
3 40 3 20
5 3
is concave upwards or
downwards.
3. Find the intervals in which the curve y x x
= −
3 2
2 3
is concave upwards or concave downwards.
4. Show that the curve y
x
x
=
+
6
3
2
has three points of inflexion and they are collinear.
5. Find the points of inflexion of the curve y x x
2 2
1
= +
( ) .
[ ( ) ( )
∴ + = + + = +
3 1 3 1 2 3 2 2 3
2
⇒
M03_ENGINEERING_MATHEMATICS-I _CH03_Part D.indd 127 5/19/2016 8:45:10 PM
3.128 ■ Engineering Mathematics
ANSWERS TO EXERCISE 3.14
2. Concave up in (−2, 0), ( , )
2 ∞ and concave down in ( , )
−∞ − 2 and(0, 2).
3. Concave up in −∞ −
⎛
⎝
⎜
⎞
⎠
⎟
,
1
2
and concave down in
1
2
, .
∞
⎛
⎝
⎜
⎞
⎠
⎟
5.
1
3
4
3 3
1
3
4
3 3
, , ,
⎛
⎝
⎜
⎞
⎠
⎟ −
⎛
⎝
⎜
⎞
⎠
⎟
3.10 CURVE TRACING
In dealing with the problems of finding the area of curves, length of arc, volume of solids of
revolution, surface area of revolution etc, it is necessary to know the shape of the curve represented
by the equation.
It is not always possible to draw the curve by plotting few of the points. We can only draw the curve
with the knowledge of the important characteristics of the curve like increasing, decreasing nature,
maxima and minima, special points on the curve, concavity and convexity, asymptotes of the curve
etc.
We shall now give the general procedure for tracing the graph of y f x
= ( ). The equation may be
given in cartesian form, parametric form or polar form.
3.10.1 procedure for Tracing the Curve Given by the Cartesian Equation f(x, y) 5 0.
1. Symmetry
The curve is symmetrical
(i) about the x-axis if the equation is even degree in y .
(ii) about the y-axis if the equation is even degree in x.
(iii) about the origin O, when ( , )
x y is replaced by ( , )
− −
x y , the equation is unaltered
(iv) about the line y x
= if the equation is unaltered when x and y are interchanged. i.e., ( , )
x y is
replaced by ( , )
y x
(v) about the line y x
= − if the equation is unaltered when( , )
x y is replaced by ( , )
− −
y x .
2. Special points on the curve
Intersection with the axes and the origin, points of inflection etc.
3. Tangents at the origin
It is obtained by equating the lowest degree terms to zero, if it is a polynomial equation in x and y
passing through the origin.
4.Asymptotes
Find the vertical, horizontal and oblique asymptotes.
5. Region
Identify the domain or region of the plane in which the graph exists.
M03_ENGINEERING_MATHEMATICS-I _CH03_Part D.indd 128 5/19/2016 8:45:13 PM
Differential Calculus ■ 3.129
6. Sign of
dy
dx
Determine the intervals of increasing, decreasing, Critical points etc.
7. Sign of
d y
dx
2
2
Intervals of concavity upwards and downwards and point of inflexion.
8. Loop
If the curve intersects the line of symmetry at two points A and B , then there is a loop
between A and B .
Note
However, the order of the steps can be interchanged depending on the nature of the equation of the curve.
WORKED EXAMPLES
EXAMPLE 1
Trace the curve y x
2 3
5 . [It is called the semi-cubical parabola]
Solution.
The given curve is y x
2 3
= .
1. Symmetry
The given equation is even degree in y, so the curve is symmetrical about the x-axis.
2. Origin: it is a point on the curve.
3. Tangent at the origin:
The tangent at the origin is got by equating the lowest degree terms to zero.
That is y y
2
0 0
= ⇒ =
∴ the x-axis is the tangent at the origin.
4. Region
y x x
2 3
0 0 0
≥ ⇒ ≥ ⇒ ≥ . ∴ the curve lies on the right side of y-axis.
5. Sign of
dy
dx
y x y
dy
dx
x
2 3 2
2 3
= ⇒ = ⇒
dy
dx
x
y
=
3
2
2
∴ if y  0,
dy
dx
 0 That is, the curve is increasing for all x ≥ 0 and y  0.
So, the curve is increasing in the first quadrant.
Also if y  0,
dy
dx
 0 i.e., the curve is decreasing for all x ≥ 0 and y  0.
So, the curve is decreasing in the 4th
quadrant.
M03_ENGINEERING_MATHEMATICS-I _CH03_Part D.indd 129 5/19/2016 8:45:18 PM
3.130 ■ Engineering Mathematics
6. Sign of
d y
dx
2
2
d y
dx
y x x
dy
dx
y
2
2
2
2
3
2
2
=
⋅ − ⋅
⎡
⎣
⎢
⎢
⎢
⎤
⎦
⎥
⎥
⎥
=
− ⋅
⎡
⎣
⎢
⎢
⎢
⎤
⎦
⎥
⎥
⎥
3
2
2 2
2
xy x
dy
dx
y
= −
⎡
⎣ ⎤
⎦
3
2
4 3
3
2 3
x
y
y x = ⋅ −
⎡
⎣ ⎤
⎦
3
4
4 3
3
3 3
x
y
x x = = = ⋅ =
3
4
3
4
3
4
1 3
4
4
3
4
2
4
3
x
y
x
yy
x
y x
x
y
.
∴
d y
dx
2
2
0
 if y  0 (as already x  0) and
d y
dx
2
2
0
 if y  0.
∴ the curve is concave up if y  0 and concave
down if y  0.
So, the curve is concave up in the first quadrant and the
curve is concave down in the fourth quadrant.
7.Asymptotes
It has no asymptotes.
With these information we shall draw the curve.
The curve is as shown in Fig. 3.29.
EXAMPLE 2
Trace the curve y a x x
2 3
2
( ) .
2 5 [This curve is called the Cissoid of Diocles]
Solution.
The given equation of the curve is y
x
a x
2
3
2
=
−
. (1)
1.Symmetry
The equation is even degree in y, so the curve is symmetrical about the x-axis.
2. Origin: It is a point on the curve.
The tangent at the origin is given by y y
2
0 0
= ⇒ = That is the x-axis is the tangent at the origin.
3. Region:
y
x
a x
x
x a
2
3 3
0
2
0
2
0
≥ ⇒
−
≥ ⇒
−
≤ ⇒
x
x a
x a
3
2
0 0 2
−
≤ ⇒ ≤  .
∴ the curve lies between the lines x = 0 and x a
= 2 .
4.Asymptote
When x a
→ 2 , y → ∞ ∴ x a
= 2 is a vertical asymptote.
5. Sign of
dy
dx
Differentiating (1) with respect to x, we get
x
y
o
Fig. 3.29
M03_ENGINEERING_MATHEMATICS-I _CH03_Part E.indd 130 5/19/2016 8:48:06 PM
Differential Calculus ■ 3.131
2
2 3 1
2
6 2
2
2 3
2
2 3
2
y
dy
dx
a x x x
a x
ax x
a x
=
− ⋅ − −
−
=
−
−
( ) ( )
( ) ( )
⇒
dy
dx
x a x
y a x
x a x
y a x
=
−
−
=
−
−
2 3
2 2
3
2
2
2
2
2
( )
( )
( )
( )
Since 0 2 3 0
≤  − 
x a a x
, and ( ) .
2 0
2
a x
− 
∴
dy
dx
 0 if y  0
and
dy
dx
 0 if y  0
∴ the curve is increasing in the first quadrant and the curve is decreasing in the 4th
quadrant
Also it touches x a
= 2 at infinity
With these informations, we can draw the curve.
The curve is as shown in Fig. 3.30.
EXAMPLE 3
Trace the curve y
x a x
a x
2
2 2 2
2 2
5
2
1
( )
. [This curve is called Lemniscate of Bernoulli]
Solution.
The given equation of the curve is y
x a x
a x
2
2 2 2
2 2
=
−
+
( )
(1)
1. Symmetry
The equation is even degree in x and y .
So, the curve is symmetrical about the x-axis as well as the y-axis.
When ( , )
x y is replaced by ( , )
− −
x y equation is unaltered.
∴ the curve is symmetrical about the origin.
2. Origin
Origin is a point on the curve.
3. Tangent at the origin
We have
y
x a x
a x
2
2 2 2
2 2
=
−
+
( )
⇒ y a x x a x
2 2 2 2 2 4
( )
+ = − ⇒ a x y x y x
2 2 2 2 2 4
( )
− = +
Tangent at the origin is got by equating the lowest degree terms to zero.
i.e., x y
2 2
0
− = ⇒ = ±
y x
∴ y x
= and y x
= − are the tangents at the origin.
Fig. 3.30
x
y
o
x = 2a
M03_ENGINEERING_MATHEMATICS-I _CH03_Part E.indd 131 5/19/2016 8:48:10 PM
3.132 ■ Engineering Mathematics
4. Special points
To find the point of intersection with the x-axis, put y = 0 in (1)
∴ x a x
2 2 2
0
( )
− = ⇒ x2
0
= or a x
2 2
0
− = ⇒ x = 0 0
, or x a
= ±
So, the curve passes through the origin twice and the points ( , ), ( , )
−a a
0 0 .
To find the intersection with the y-axis, put x = 0 in (1).
∴ y = 0
So, it meets the y-axis only at the origin.
5. Region
y
x a x
a x
2
2 2 2
2 2
=
−
+
( )
y x a x
a x
2 2 2 2
2 2
0 0
0
≥ ⇒ − ≥
⇒ − ≥
( )
⇒ x a a x a
2 2
0
− ≤ ⇒ − ≤ ≤ .
∴ the curve lies between x = −a and x = a.
6. Loop
Since the curve meets the line of symmetry, the
x-axis, at O( , ), ( , ), ( , )
0 0 0 0
A a B a
− there is a loop
between O and A and a loop between O and B.
With these informations, we shall draw the curve.
The curve is as shown in Fig. 3.31.
EXAMPLE 4
Trace the curve x y axy a
3 3
3 0
1 5 ,  . [This curve is called the Folium of Descartes]
Solution.
The given equation of the curve is x y axy a
3 3
3 0
+ = 
, (1)
1. Symmetry
The equation is unaltered if x and y are interchanged.
So, the curve is symmetric about the line y x
= .
2. Origin
Origin lies on the curve.
3. Tangent at the origin
Tangents at the origin are got by equating the lowest degree terms to zero
∴ xy = 0 ⇒ x = 0, y = 0
So, the y-axis and the x-axis are the tangents at the origin.
y
x
A
B
O
y = −x
y = x
(a, 0)
(−a, 0)
Fig. 3.31
M03_ENGINEERING_MATHEMATICS-I _CH03_Part E.indd 132 5/19/2016 8:48:14 PM
Differential Calculus ■ 3.133
4. Special points
To find the point of intersection with y = x, put y = x in (1)
∴ x x ax
3 3 2
3
+ =
⇒ 2 3 0
3 2
x ax
− =
⇒ x x a
2
2 3 0
( )
− = ⇒ x x a
2
0 2 3 0
= − =
or ⇒ x x
a
= 0 0
3
2
, or =
When x = 0, y = 0
When x
a
y
a
=
3
2
3
2
, = ∴ the point of intersections are O(0, 0) and A
a a
3
2
3
2
,
⎛
⎝
⎜
⎞
⎠
⎟
The curve meets the axes only at the origin, twice.
5. Loop
Since the curve intersects the line of symmetry
y = x at O and A, there is a loop between O and A.
6.Asymptotes
The coefficients of x3
and y3
are constants and so
there is no vertical or horizontal asymptotes.
To find the oblique asymptotes of
x y axy
3 3
3 0
− − =
Put x = 1, y = m in the highest degree terms x y
3 3
+
∴ f f
3
3
3
2
1 3
( ) , ( )
m m m m
= + =
′
Now put x = 1, y = m in −3axy
∴ f2 3
( ) .
m am
= −
Solve, f3 0
( )
m = ⇒ 1 + m3
= 0 ⇒ m = −1
Now c
m
m
am
m
a
m
=
−
′
= −
−
=
f
f
2
3
2
3
3
( )
( )
( )
When m = −1, c
a
a
=
−
= −
1
∴ asymptote is y = −x − a ⇒ x + y + a = 0
With these informations, we can draw the curve. The curve is as shown in Fig. 3.32.
EXAMPLE 5
Trace the curve y x x x
2
1 2 3
5 2 2 2
( )( )( ).
Solution.
The equation of the given curve is y x x x
2
1 2 3
= − − −
( )( )( ) (1)
1. Symmetry
The equation is even degree in y and so the curve is symmetrical about the x-axis.
y
x
A
x = 0
y = 0
x + y + a = 0
y =
x
O
3a
2
3a
2
,
Fig. 3.32
M03_ENGINEERING_MATHEMATICS-I _CH03_Part E.indd 133 5/19/2016 8:48:17 PM
3.134 ■ Engineering Mathematics
2. Special points
To find the point of intersection with the x-axis, put y = 0
∴ ( )( )( )
x x x
− − − =
1 2 3 0 ⇒ x = 1 2 3
, ,
It does not intersect the y-axis, because when x y
= = − 
0 6 0
2
, . So, y is imaginary
3. Region
If x  1, then x x x
−  −  − 
1 0 2 0 3 0
, ,
∴ ( )( )( )
x x x y
− − −  ⇒ 
1 2 3 0 0
2
∴ y is imaginary
So, the curve does not exist if x  1
But if 1 2
≤ ≤
x and x ≥ 3, y 2
0
≥
So, the curve lies in between x = 1 and x = 2 and x ≥ 3.
4. Loop
The curve lies between the points A( , )
1 0 and B( , )
2 0 and symmetric about the x-axis and so there is
a loop between A and B
5. Sign of
dy
dx
y x x x x x x
y
dy
dx
x x
2 3 2
2
1 2 3 6 11 6
2 3 12 11
= − − − = − + −
= − +
( )( )( )
⇒
dy
dx
x x
y
=
− +
3 12 11
2
2
If x
dy
dx
 
3 0
, , when y  0 and
dy
dx
 0, when y  0
So, for all x ≥ 3, the curve is strictly increasing above the x-axis and strictly decreasing below the
x-axis.
With these information, we shall draw the graph of the curve.
The curve is as shown in Fig. 3.33.
x
y
O (2, 0) (3, 0)
(1, 0)
x = 1 x = 2 x = 3
Fig. 3.33
EXAMPLE 6
Trace the curve whose equation is y
x
x
5
1
2
2
2
1
1
.
∞
−∞
1 2 3
M03_ENGINEERING_MATHEMATICS-I _CH03_Part E.indd 134 5/19/2016 8:48:21 PM
Differential Calculus ■ 3.135
Solution.
The equation of the given curve is y
x
x
=
+
−
2
2
1
1
(1)
1. Symmetry
Since the equation is even degree in x, the curve is symmetrical about the y-axis.
2.Asymptotes
When x = −1 and x y
= → ∞
1,
∴ x = −1 and x = 1 are vertical asymptotes.
lim lim lim
x x x
y
x
x
x
x
→∞ →∞ →∞
=
+
−
=
+
−
=
2
2
2
2
1
1
1
1
1
1
1
∴ y = 1 is the horizontal asymptote.
3. Region
y
x
x
=
+
−
2
2
1
1
⇒ y x x
( )
2 2
1 1
− = + ⇒ x y y
2
1 1
( )
− = + ⇒ x
y
y
2 1
1
=
+
−
Series x
y
y
y y
2
0
1
1
0 1 1
≥ ⇒
+
−
≥ ⇒ ≤ − ≥
or
The curve lies in the part of y ≤ −1 and y  1
i.e., the curve lies above the line y = 1 and below the line y = −1 for all x ≠ ±1
4. Sign of
dy
dx
y
x
x
dy
dx
x x x x
x
x x x
x
=
+
−
=
− ⋅ − +
−
=
− − −
2
2
2 2
2 2
2 2
1
1
1 2 1 2
1
2 1 1
( ) ( )( )
( )
[ ]
( 2
2 2 2 2
1
4
1
−
= −
−
) ( )
x
x
∴
dy
dx
x
 
0 if 0 and
dy
dx
x
 0 if 0
So, the curve is increasing if x  0 and is decreasing if x 0
When x y
= = −
0 1
, . In the interval (−1, 1) the curve increases upto the point (0, −1) and then
decreases.
If −  
1 1
x , then x y
2
1 0 0
−  ∴ 
.
So, in this part, the curve lies below the x-axis.
If x  1, then
dy
dx
 0 and so, the curve is decreasing.
If x  −1,then
dy
dx
 0 and so, the curve is increasing.
∴
M03_ENGINEERING_MATHEMATICS-I _CH03_Part E.indd 135 5/19/2016 8:48:26 PM
3.136 ■ Engineering Mathematics
5. Sign of
d y
dx
2
2
We have
dy
dx
x
x
= −
−
4
1
2 2
( )
∴ d y
dx
x x x x
x
x x
2
2
2 2 2
2 4
2 2
4 1 1 2 1 2
1
4
1 1
=
− − ⋅ − ⋅ −
⎡
⎣ ⎤
⎦
−
= −
− − −
( ) ( )( )
( )
( )[ 4
4
1
4 1 3
1
2
2 4
2
2 3
x
x
x
x
]
( )
( )
( )
−
=
+
−
If x  1,
d y
dx
2
2
0
 ∴ the curve is concave up [∴ x2
− 1  0]
If x  −1,
d y
dx
2
2
0
 ∴ the curve is concave up
6.Assymptotes
x = −1, x = 1 are the vertical asymptotes. y = 1 is the horizontal asymptote.
The curve lies in the region y  −1 and y  1 and decreasing if x  1 and concave up.
Increasing if x  −1 and concave up
We draw the curve.
The curve is as shown in Fig. 3.34.
y
x
y = 1
x = 1
y = −1
x = −1
O
(0, 1)
(0, −1)
Fig. 3.34
M03_ENGINEERING_MATHEMATICS-I _CH03_Part E.indd 136 5/19/2016 8:48:28 PM
Differential Calculus ■ 3.137
3.10.2 Procedure for Tracing of Curve Given by Parametric Equations x 5 f(t), y 5 g(t)
If the current coordinates (x, y) of the curve are expressed interms of another variable t, then t is called
the parameter and the equations x = f(t), y = g(t) are called the parametric equations of the curve.
1. Symmetry
(i) If f(−t) = f(t) and g(−t) = −g(t), then the curve is symmetrical about the x-axis.
(ii) If f(−t) = −f(t) and g(−t) = g(t), then the curve is symmetrical about the y-axis.
(iii) If f(−t) = f(t) and g(−t) = g(t), then the curve is symmetrical in the opposite quadrants.
2. Special points
To find the points of intersection with x-axis, put y = 0 ⇒ g(t) = 0
To find the points of intersection with the y-axis, put x = 0 ⇒ f(t) = 0.
3. Region
Determine the limits of x and y and hence the limt of t
4. Sign of derivative
dy
dx
Find
dx
dt
and dy
dx
and the values of t for which x and y are increasing or decreasing.
Find the tangent parallel to the axes.
i.e.,
dy
dx
= 0 or ∞.
Also check for concavity. i.e.,
d y
dx
2
2
0
 
or 0
5. Period
If x and y are periodic functions of t with a common period, study the curve in this period.
Note If it is possible to eliminate the parameter t and get the Cartesian form, then we can trace the
curve by the first method.
WORKED EXAMPLES
EXAMPLE 7
Trace the curve x a t
a t
y a t
e
5 1 5
cos log tan ; sin .
2 2
2
[This curve is called the tractrix]
Solution
Given x a t
a t
y a t
e
= + =
cos log tan sin .
2 2
2
and
Let x = f(t) and y = g(t).
1. Symmetry
f t a t
a t
a t
a t
f t
e e
( ) cos( ) log tan cos log tan ( )
− = − + −
⎛
⎝
⎜
⎞
⎠
⎟ = + =
2 2 2 2
2 2
and g t a t a t g t
( ) sin( ) sin ( ).
− = − = − = −
∴ the curve is symmetrical about the x-axis.
2. Intersection with the axes
To find the intersection with the x-axis, put y = 0 ∴ a t t
sin , , , ...
= ⇒ =
0 0 2
p p
M03_ENGINEERING_MATHEMATICS-I _CH03_Part E.indd 137 5/19/2016 8:48:29 PM
3.138 ■ Engineering Mathematics
When t = 0, x → ∞ and y = 0
∴ x-axis is an asymptote to the curve
When t =
p
2
, x y a
= =
0 and
∴ the curve intersects the y-axis at (0, a).
3. Sign of derivative
dx
dt
a t
a
t
t t
a t
a
t
= − +
= − +
sin
tan
tan sec
sin
tan
2
1
2
2
2 2
1
2
2
1
2
1
2
2
⋅ ⋅ ⋅ ⋅
⋅ ⋅
c
cos
sin
sin
( sin )
sin
cos
sin
2
2 2
2
1
t
a t
a
t
a t
t
a t
t
= − + =
−
=
and
dy
dt
a t
= cos .
∴
dy
dx
dy
dt
dx
dt
a t
a t
t
t
t
t
= = = =
cos
cos
sin
sin
cos
tan
2
When t
dy
dx
= =
p
2
, ∞ and the point is (0, a)
∴y-axis is tangent at (0, a)
If 0
2
0 0
   
t
dx
dt
dy
dt
p
, ,
then
∴ x increases from −∞ to 0 and y increase
from 0 to a
i.e., (x, y) varies from (−∞, 0) to (0, a)
If
p
p
2
0 0
   
t
dx
dt
dy
dt
, ,
then
∴ x increases from 0 to ∞
and y decreases from a to 0
i.e., (x, y) varies from (0, a) to (∞, 0).
∴ the graph above the x-axis is as in Fig. 3.35
Since the curve is symmetric about the x-axis, taking reflection about the x-axis, we get the graph of
the given equation as in Fig. 3.36.
Note The cartesian equation of the tractix is x a y
a a a y
a a y
= − +
− −
+ −
⎛
⎝
⎜
⎞
⎠
⎟
2 2
2 2
2 2
2
log
x
y
(0, a)
t = 0 t = π
O
t =
2
π
Fig. 3.35
x
x ′
y
y ′
(0, a)
(0, −a)
O
Fig. 3.36
M03_ENGINEERING_MATHEMATICS-I _CH03_Part E.indd 138 5/19/2016 8:48:31 PM
Differential Calculus ■ 3.139
EXAMPLE 8
Trace the curve x a y a
5 u 2 u 5 2 u
( sin ), ( cos ).
1 [This curve is called a cycloid]
Cycloid is a curve traced out by a fixed point on the circumference of a circle when it rolls on a
fixed straight line without slipping.
This fixed line is called the base of the curve.
Solution.
Given parametric equations are x a y a
= − = −
( sin ) ( cos )
u u u
and 1
Let x f
= ( )
u and y g
= ( )
u
1. Symmetry
f a
( ) ( sin( ))
− = − − −
u u u = − + = − − = −
a a f
( sin ) ( sin ) ( )
u u u u u
g a
( ) ( cos( ))
− = − −
u u
1 = − =
a g
( cos ) ( )
1 u u
∴ the curve is symmetric about the y-axis.
We shall consider the graph for u ≥ 0.
2. To find the point of intersection with the x-axis
Put y a
= ⇒ − = ⇒ =
0 1 0 1
( cos ) cos
u u ⇒ u p p
= 0 2 4
, , ,…
When u = 0, x y
= =
0 0
and
∴ the origin corresponds to u = 0 and the origin lies on the curve.
Since − ≤ ≤
1 1
cosu , 0 2
≤ ≤
y a.
When u p
= 2 , x a a
= − =
( sin )
2 2 2
p p p and y a
= − =
( )
1 1 0.
∴ the points of intersections with x-axis are ( , ) , )
0 0 2 0
and ( pa .
When u p p p p
= = =
, x a a
( sin )
− and y a a
= − =
( cos )
1 2
p , which is the maximum value of y.
3. Sign of the derivative
dx
d
a a
u
u
u
= − =
( cos ) sin
1 2
2
2
and
dy
d
a
u
u
= sin
If 0  
u p, then
dx
du
 0 and
dy
du
 0
∴ x increases from 0 to 2ap and y increases from
0 to 2a.
We shall draw one arch of the curve between
u = 0 and u p
= 2 .
i.e., between the points ( , )
0 0 and ( , )
2 0
ap on the
curve.
We see that the curve increases from ( , )
0 0
to ( , )
a a
p 2 and decreases from ( , )
a a
p 2 to
( , )
2 0
ap as in Fig. 3.37.
x
y = 2a
(2aπ, 0)
(aπ, 2a)
O
Fig. 3.37
M03_ENGINEERING_MATHEMATICS-I _CH03_Part E.indd 139 5/19/2016 8:48:39 PM
3.140 ■ Engineering Mathematics
Similarly another arch is from u p
= 2 and u p
= 4 .
Because of the symmetry about the y-axis, we can reflect about the y-axis and get the full graph as
in Fig. 3.38.
The x-axis is the base line on which the circle rolls. Then the points 0 2 4 6
, , , ,
a a a
p p p are the points
where the fixed point of the circle touches the base line.
Note
There are different forms of cycloids with base line the x-axis, y = 0 or the line y a
= 2 .
1. The parametric equations are x a y a
= + = +
( sin ), ( cos )
u u u
1
When u = =
0 0
, x and y a
= 2
So, the point corresponding to u = 0 is ( , )
0 2a
The curve meets the x-axis, y = 0
⇒ 1 0
+ =
cosu ⇒ = −
cosu 1
⇒ u p p p
= −
, , , ,
3 … …
So, one arch of the curve is between
u p p
= − and
When u p
= − , x a
= − p and y = 0.
When u p
= , x a
= p and y = 0
So, the graph is as shown in the Fig. 3.39.
2. The parametric equations are
x a y a
5 u1 u 5 2 u
( sin ), (1 cos )
When u = = =
0 0 0
, ,
x y .
The curve meets the x-axis, y = 0 ⇒ a( cos )
1 0
− =
u
⇒ cosu = 1 ⇒ u p p p p
= − −
0 2 4 2 4
, , , , , ,
… …
When u p
= 2 , x a
= 2 p, y = 0 and when u p
= 4 , x a
= 4 p, y = 0
When u p
= −2 , x a
= −2 p, y = 0 and when u p
= −4 , x a
= −4 p, y = 0
x
y
y = 2a
2aπ
−2aπ
−4aπ
−6aπ 4aπ 6aπ
O
Fig. 3.38
x
y
(0, 2a)
aπ
−aπ
−3aπ 3aπ
O
Fig. 3.39
M03_ENGINEERING_MATHEMATICS-I _CH03_Part E.indd 140 5/19/2016 8:48:50 PM
Differential Calculus ■ 3.141
d
d
a
dy
d
a
dy
d
a
a
a
x
x
u
u
u
u
u
u
u u
= (1+ ), =
(1+ )
cos sin
cos
= =
sin
sin .cos
2
2 2
2
2
2
2
0 0 2
3
2
a
dy
dx
dy
dx
cos
tan
,
,
u
u
u p p
u p
=
= =
= =
at , 4 , ......
and at
∞ p
p p
, 5 , ......
When u varies from 0 to p, x increases from 0 to ap and y increases from 0 to 2a
When u varies from p to 2p, x increases from ap to 2ap and y decreases from 2a to 0.
So, the graph is as shown in Fig. 3.40.
Fig. 3.40
x
y
2a
(0, 2a)
(aπ, 2a) y = 2a
(−aπ , 0) (aπ , 0)
(−3aπ, 0) (3aπ, 0)
O (0, 0)
3.10.3 Procedure for Tracing of Curve given by Equation in Polar Coordinates f(r, u) 5 0
Let the polar equation of the curve be r f
= ( ).
u
Relation between Cartesian and polar is x r y r
= =
cos sin
u u
and
1. Symmetry
(i) When u is replaced by −u and if the equation is
unaltered, then the curve is symmetrical about the
initial line u = 0 (i.e., the x-axis).
(ii) When u is replaced by p u
− and if the equation is
unaltered, then the curve is symmetrical about the
line u
p
=
2
(i.e., the y-axis).
(iii) When u is replaced by p u
+ and if the equation is
unaltered, then the curve is symmetrical about the
pole 0.
(iv) When u is replaced by
p
u
2
− and if the equation
is unaltered, then the curve is symmetrical about
the line u
p
=
4
(i.e., the line y = x).
x
y
=
2
0
P (r, θ)
r
θ
π
θ
M03_ENGINEERING_MATHEMATICS-I _CH03_Part E.indd 141 5/19/2016 8:48:38 PM
3.142 ■ Engineering Mathematics
(v) When u is replaced by p and r is replaced by –r and if the equation is unaltered, then the
curve is symmetrical about the pole.
2. Pole
If r = 0 for u a
= , then the curve passes through the pole and the line u a
= is tangent at the
pole.
3. Region
If r is imaginary for values of u lying between u u u u
= =
1 2
, ,
and then the curve does not lie
between the lines u u u u
= =
1 2
, .
and
4. Points of intersection
Determine the points where the curve meets the lines u u
p
u
p
u p u
p
= = = = =
0
4 2
3
2
, , , ,
5. Tangent line
Find the values of f with the formula tanf
u
= r
d
dr
where f is the angle between the tangent at
the point p r
( , )
u and the radius vector OP.
6. Loop
If a curve meets a line u a
= at A and B and the curve is symmetrical about the line, then a loop
of the curve exists between A and B.
WORKED EXAMPLES
EXAMPLE 1
Trace the curve r a
5 1 u
(1 cos ). [This curve is called a cardioid]
Solution.
The given curve is r a
= +
( cos )
1 u
1. Symmetry
If u is replaced by −u, then r a
= + −
( cos( ))
1 u = a( cos )
1+ u
Therefore, the equation is unaltered. Hence, the curve is symmetrical about the initial line u = 0.
2. r = ⇒ + ⇒ = −
0 1 0 1
cos cos
u u
= ⇒ u p
=
∴ the tangent at the pole is the line u p
=
3. When u = 0, r a
= 2 , which is the maximum value of r.
When u varies from 0 to p, r decreases from 2a to 0.
4. We know that tan f
u
= r
d
dr
.
Therefore,
dr
d
a
u
u
= −
( sin ) ⇒
d
dr a
u
u
= −
1
sin
∴ tan ( cos )
sin
f u
u
= +
−
⎛
⎝
⎜
⎞
⎠
⎟
a
a
1
1
= − = − = +
⎛
⎝
⎜
⎞
⎠
⎟
2
2
2
2 2
2 2 2
2
cos
sin cos
cot tan
u
u u
u p u
f
p u
=
2 2
+
M03_ENGINEERING_MATHEMATICS-I _CH03_Part E.indd 142 5/19/2016 8:48:47 PM
Differential Calculus ■ 3.143
When u f
p
= =
0
2
,
∴ the tangent at the point (2a, 0) is perpendicular to the initial line u = 0
u
p p p
p
: 0
points:
3 2
2
3
2
3
2 2
0
r a
a
a
a
O
:
A B C D
The curve is as in figure A to O
By symmetry about u = 0, by reflecting the point ABCDO about u = 0,
we get the full curve as in Fig. 3.41.
O
θ = π θ = 0
A
a
2a
B
C
D
x
y
2π
3 π
3
2
3a
2
a
(2a, 0)
θ =
θ =
Fig. 3.41
EXAMPLE 2
Trace the curve r a
5 u
sin .
3 [This curve is called 3 leaved rose]
Solution.
The given curve is r a
= sin3u.
1. Symmetry
When u is replaced by p u
− , r a a a
= − = − =
sin ( ) sin( ) sin
3 3 3 3
p u p u u
So, the equation is unaltered.
Hence, the curve is symmetrical about the line u
p
=
2
(i.e., y-axis)
2. The maximum value of r is a, when sin 3u is maximum,
That is, when sin 3u = 1.
⇒ 3
2
5
2
9
2
u
p p p
= , , ,..... ⇒ u
p p p
= ……
6 6
9
6
, , ,
5
⇒ u = ° °
30 150 270
° ...
, , ,
M03_ENGINEERING_MATHEMATICS-I _CH03_Part E.indd 143 5/19/2016 8:48:51 PM
3.144 ■ Engineering Mathematics
So, the curve lies within circle r = a, and r varies from –a to 0.
We get the third loop OBO.
3. r = ⇒ =
0 3 0
sin u ⇒ 3 0 2 3 4 5
u p p p p p
= , , , , , ⇒ u
p p
p
p p
= 0
3
2
3
4
3
5
3
, , , , ,
Therefore, u u
p
u
p
u p u
p
u
p
= = = = = =
0
3
2
3
4
3
5
3
, , , , , are tangents at the ori-
gin and the curve passes through the pole.
4. Loop
As u varies from 0 to
p
6
, r varies from 0 to a. In other words, the curve is from O to A.
As u varies from
p p
6 3
to , r varies from a to 0. In other words, the curve is from A to O.
Therefore, a loop OAO is formed.
By the symmetry about u
p
=
2
, reflecting about u
p
=
2
, we get the second loop in the second
quadrant. As u varies from
4
3
3
2
p p
to , r varies from 0 to –a and
as u varies from
3
2
5
3
p p
to , r varies
from −a to O. we get the third loop
OBO.
Note
1. More generally, the curve is of the
form r a n r a n
= =
sin cos
u u
or .
When n is odd, it is called n-leaved
rose
2. When n is even, it is a 2n-leaved
rose.
For example, r a
= sin 2u will have
4 leaves and the curve lies within
the circle r = a.
Limacon of Pascal
The polar curve r a b
= + cosu, where
a, b  0 is called Limacon of Pascal.
When a = b, it becomes the cardioid
r a
= +
( cos
1 u), which is discussed in worked example 1. When
a
b
 1, that is, a  b, it is called a
Limacon of Pascal with an inner loop. When 1 2
 
a
b
, it is called a dimpled Limacon and when
a
b
≥ 2 , it is called a Convex Limacon.
O x
y
A
B
C
θ = π θ = 0
π
3
θ =
π
6
θ =
2π
3
θ =
5π
6
θ =
4π
3
θ =
3π
2
θ =
5π
3
θ =
Fig. 3.42
M03_ENGINEERING_MATHEMATICS-I _CH03_Part E.indd 144 5/19/2016 8:48:55 PM
Differential Calculus ■ 3.145
EXAMPLE 3
Trace the curve r 5 1 u
1 2 cos .
Solution.
The given curve is r = +
1 2cosu. Here a = 1, b = 2. ∴ 
a b
Therefore, it is a Limacon with an inner loop.
1. Symmetry
When u is replaced by −u, we get r = + − = +
1 2 1 2
cos( ) cos
u u
Therefore, the equation is unaltered. The curve is symmetrical about the initial line u = 0
2. Pole
r = ⇒ = − ⇒ =
0
1
2
2
3
4
3
cos ,
u u
p p
Inotherwords, the curve passes through the pole and u
p
u
p
= =
2
3
4
3
, are the tangents at the pole.
3. When u = 0, r 5 3 is the farthest point (3, 0).
When u
p
=
2
, r = 1. There is no asymptote, since r is finite for every value of u.
Since the curve is symmetric about u = 0, we shall find the variation of r as u varies from 0 to p.
u
p p p p p
p
=
+ −
0
6 3 2
2
3
5
6
3 1 3 2 1 0 1 3 1
and r = −
The points are A B C D O E F
The curve is ABCDO and OEF.
By symmetry about u = 0, we get the full curve as in Fig. 3.43.
Fig. 3.43
θ = 0
θ = π
x
y
O
E
F A
B
C
D
(3, 0)
π
3
θ =
π
6
θ =
2π
3
θ =
5π
6
θ =
M03_ENGINEERING_MATHEMATICS-I _CH03_Part E.indd 145 5/19/2016 8:48:59 PM
3.146 ■ Engineering Mathematics
EXERCISE 3.15
Trace the following curves
1. y
x
a x
2
3
2
=
−
2. a y x a x
2 2 2 2 2
= −
( ) 3. y
x a x
a x
2
2
=
−
+
( )
4. y
x
x
2
2
2 1
1
=
−
−
5. x y a
2
3
2
3
2
3
+ = 6. y x x a
2 2 2 2
= −
7. y
x
x
2
3
1
=
−
8. x x y a x y
2 2 2 2 2 2
( ) ( )
+ = − 9. r a
= sin 2u
10. r a
= −
( cos
1 u) 11. r = −
1 2sinu 12. x
at
t
y
at
t
a
=
+
=
+

3
1
3
1
0
3
2
3
, ,
[Hint: Folium of Descartes]
13. y a x x a x a
2 2
0
( ) ( ), .
− = +  14. xy a a x a
2 2
0
= − 
( ),
15. x a
= =
cos .
3 3
u u
, sin
y a
ANSWERS TO EXERCISE 3.15
1.
x
y
O
x = 2a
2.
x
y
y = x
y = −x
O
20
(a, 0)
(−a, 0)
3.
x
y
y = x
y = −x
x = −a
4.
(−1, 0) (1, 0)
(0, 1)
(0, −1)
1
x = −1
x = 1
x
y
1
2
2
( , 0)
x =
M03_ENGINEERING_MATHEMATICS-I _CH03_Part E.indd 146 5/19/2016 8:49:02 PM
Differential Calculus ■ 3.147
5.
x
(−a, 0)
(0, −a)
(0, a)
(a, 0)
y 6.
x
y
y = 1
y = −1
x = a
7.
x
y = x − 1
x = 1
2
y
1
2
y = x +1
2
(− , 0)
8.
x
y
y = x
y = −x
O
(a, 0)
(−a, 0)
9.
θ = π θ = 0
3π
4
θ =
π
2
y
x
θ =
π
4
θ =
10.
θ = π θ = 0
x
y
a
2a
O
π
2
θ =
M03_ENGINEERING_MATHEMATICS-I _CH03_Part E.indd 147 5/19/2016 8:49:04 PM
3.148 ■ Engineering Mathematics
11.
π
2
θ = 0
y
x
θ =
3π
2
θ =
13. y
x
y = −x
y = x
x = a
O
B A
(a, 0)
(−a, 0)
14.
x
y
O (a, 0)
x = a
x = 0
15.
x
O
y
(0, a)
(a, 0)
(−a, 0)
(0, −a)
SHORT ANSWER QUESTIONS
1. Find the first two differential coefficients of y e x
x
5 ?
2
3
cos .
2. Find
d y
dx
y x x
3
3
3
if log
5 . 3. If y 5 a cos mx 1 b sin mx, then prove that
d y
dx
m y
2
2
2
0
1 5 .
4. If y 5 e ax b
x
3
( )
1 , then prove that
d y
dx
dy
dx
y
2
2
6 9 0
2 1 5 .
5. Show that the length of the sub-tangent at any point of the curve xm
yn
5 am 1 n
varies as the abscissa.
6. For the catenary y 5 c cos h
x
c
, prove that the length of the normal is
y
c
2
.
7. Find the equation of the tangent at the point (2, 22) on the curve y
x
x
2
3
4
5
2
.
8. Show that the curves y 5 x2
and 6y 5 7 2 x3
cut orthogonally at the point (1, 1).
9. If y 5 sin21
x, then prove that (1 2 x2
)
d y
dx
x
dy
dx
2
2
0
2 5 .
10. Find ‘c’ of Lagrange’s mean value theorem for f(x) 5 ln x in [1, e].
M03_ENGINEERING_MATHEMATICS-I _CH03_Part E.indd 148 5/19/2016 8:49:06 PM
Differential Calculus ■ 3.149
11. Find the value of ‘a’ if x3
2 ax2
1 3x 1 1 is strictly increasing ; x [ R.
12. Using Taylor’s theorem, express the polynomial 2x3
1 7x2
1 x 1 6 in powers of (x 2 1).
13. Prove that f
x
x
f x
x
x
f x
x
x
f x
2 3
2
1 1
1
2 1
1
5 2
1
9 1
1
0 1
⎛
⎝
⎜
⎞
⎠
⎟ ( ) ( )
( )
( ) …
14. Expand esinx
by Maclaurin series up to terms containing x4
.
15. Evaluate lim
tan sin
.
x
x x
x
→0 3
2
16. Evaluate lim .
x
ax bx
e e
x
→0
2
17. Prove that the curve y 5 x4
is concave upwards at the origin.
18. Find the asymptotes of the curve y
x
x
5
2
3
2
which are the parallel to the x-axis.
19. Find the vertical asymptotes of the curve y
x
x x
5
1 1
3
2 5
2
2
.
20. If the function f(x) 5 sinx 2 asin2x 2
1
3
3
sin x 1 2ax is increasing for all x [ R, then find the value of a.
OBJECTIVE TYPE QUESTIONS
A. Fill up the blanks
1. The equation of tangent at the point where the curve y = be
x
a
−
cuts the y-axis is __________
2. The value of ‘t’ for which the tangent is perpendicular to x-axis is __________
3. The length of the sub-tangent at any point on the curve y = be
x
a
−
is __________
4. The length of the sub-normal at any point on the hyperbola
x
a
y
b
2
2
2
2
1
− = is __________
5. The length of the sub-tangent at any point on the parabola y2
= 4ax is __________
6. The maximum value of
1
2
(sin cos )
x x
− is __________
7. The vertical asymptote of the curve y
x x
x
=
2
2 1
2
+ −
+
is __________
8. The curve y = x3
− 3x2
− 9x + 9 has a point of inflexion at x = __________
9. The equations of the tangents at the origin are __________
10. The interval in which f x
x
x
( ) =
1 2
+
is strictly increasing is __________
11. Using the function f(x) = x x
1
; x  0, the bigger of the two numbers pe
and ep
is __________
M03_ENGINEERING_MATHEMATICS-I _CH03_Part E.indd 149 5/19/2016 8:49:08 PM
3.150 ■ Engineering Mathematics
12. lim
cos sin
sin
x
x
→
−
0
x x
x x
2
= __________
13. lim
x
x
→∞
4
2
ex
is __________
14. lim
cos
x→
−
0
3 1
2
x
x
is __________
15. The curve y = x4
at the origin is concave __________
B. Choose the correct answer
1. x x
1
, x  0, is a decreasing function if
(a) x  e (b) x  e (c) x
e

1
(d) x
e

1
2. The value of lim
x→
p
4
(tan x)tan2x
is
(a)
1
e
(b) e (c) e (d)
1
e
3. The vertical and horizontal asymptotes of y =
x
x − 2
are
(a) x = 2, y = 1 (b) x = 2, y = −1 (c) x = 2, y = −1 (d) x = 2, y = 2
4. The equation of the normal to the curve x2
= 4y passing through the point (1, 2) is
(a) x + y + 3 = 0 (b) x − y − 3 = 0 (c) x + y − 3 = 0 (d) None of these
5. The two curves x3
− 3xy2
+ 2 = 0 and 3x2
y − y3
− 2 = 0
(a) cut at right angles (b) touch each other
(c) cut at an angle
p
4
(d) None of these
6. If f(x) = x3
+ 3x, then the value of c ∈ (0, 4) such that
f f
f c
( ) ( )
( )
4 0
4 0
−
−
= ′ is
(a)
19
3
(b)
4
3
(c)
4
3
(d) None of these
7. If f(x) = x3
− 6x2
− 36x + 7, then f(x) is strictly increasing for the value of x.
(a) x  −1 and x  5 (b) x  −2 and x  6
(c) x  −3 and x  3 (d) x  −4 and x  1
8. Maximum value of f(x) =
x
x x
2
4
+ +
on [−1, 1] is
(a) −
1
4
(b) −
1
3
(c)
1
6
(d)
1
5
9. The curve y = 3x5
− 40x3
+ 3x − 20 is concave up in the intervals
(a) (−2, 0) and (2, ∞) (b) (−3, 0) and (1, ∞)
(c) (0, 2) and (2, ∞) (d) None of these
M03_ENGINEERING_MATHEMATICS-I _CH03_Part E.indd 150 5/19/2016 8:49:11 PM
Differential Calculus ■ 3.151
10. The point of inflexion of the curve y2
= x(x + 1)2
is
(a)
1
3
4
3 3
,
⎛
⎝
⎜
⎞
⎠
⎟ (b)
2
3
4
3 3
,
−
⎛
⎝
⎜
⎞
⎠
⎟
(c)
2
3
5 2
3 3
,
⎛
⎝
⎜
⎞
⎠
⎟ (d) None of these
11. The maximum value of the function y = x(x − 1)2
, 0 ≤ x ≤ 2, is
(a) 0 (b)
4
27
(c) −4 (d) None of these
12. If a  0, then the function f(x) = eax
+ e−ax
is decreasing for all values of x, where
(a) x  0 (b) x  0 (c) x  1 (d) x  1
13. Which of the following functions satisfies the conditions of Rolle’s theorem?
(a) f x
x
x
( ) =
−1
, 0 ≤ x ≤ 1 (b) f x x x
( ) ( )
= −1 , 0 ≤ x ≤ 1
(c) f x
x
x
( )
tan
= , 0 ≤ x ≤ p (d) f x
x
( ) sin
=
1
,
−1
p
≤ x ≤
1
p
14. If 2a + 3b + c = 0, then at least one root of the equation ax2
+ bx + c = 0 lies in the interval
(a) (0, 1) (b) (1, 2) (c) (2, 3) (d) (1, 3)
15. If the line y = 2x + k is a tangent to the curve x2
= 4y, then k is equal to
(a) 4 (b)
1
2
(c) −4 (d) −
1
2
16. The radius of curvature at any point on the curve 2x2
+ 2y2
+ 5x − 2y + 1 = 0 is
(a)
4
21
(b)
21
4
(c)
5
2
(d) None of these
17. The family of straight lines 2y − 4x + l = 0 has envelope
(a) x2
+ y2
= 2 (b) x2
− y2
= 2 (c) x y
=
1
2
(d) No envelope
18. Envelope of the family of straight lines x cosu + ysinu = a, where a is constant, is
(a) x2
− 2xy = 0 (b) x2
− y2
= a2
(c) x2
+ y2
= a2
(d) None of these
19. The centre of curvature at any point on the curve x2
+ y2
− 2x + 4y + 2 = 0 is
(a) (−2, 4) (b) (1, −2) (c) (−1, 2) (d) None of these
20. The centre of curvature of y = x2
at origin is
(a)
1
2
1
2
,
⎛
⎝
⎜
⎞
⎠
⎟ (b) 0
1
2
,
⎛
⎝
⎜
⎞
⎠
⎟ (c)
1
2
0
,
⎛
⎝
⎜
⎞
⎠
⎟ (d)
1
4
1
4
,
⎛
⎝
⎜
⎞
⎠
⎟
21. Asymptote parallel to x-axis and y-axis are
(a) y = 1 and x = 1 (b) y = 1 and x = 2 (c) y = 2 and x = 0 (d) y = 2 and x = 1
22. Number of oblique asymptotes of the curve x2
y + xy2
+ xy + y2
+ 3x = 0 is
(a) 0 (b) 1 (c) 2 (d) 3
23. The number of asymptotes of the curve y2
(x2
− y2
) − 2ay3
+ 2a3
x = 0 is
(a) 1 (b) 2 (c) 3 (d) 4
M03_ENGINEERING_MATHEMATICS-I _CH03_Part E.indd 151 5/19/2016 8:49:14 PM
3.152 ■ Engineering Mathematics
24. The equation of the asymptotes of x3
+ y3
= 3axy, a  0, is
(a) x − y − a = 0 (b) x + y + a = 0 (c) x + y − a = 0 (d) x − y + a = 0
25. The asymptotes of the curve (y − x)2
(y − 2x) − (y − x)(y − 6x) + x − 5y + 3 = 0 parallel to the line y − x = 0
are
(a) y − x − 1 = 0 and y − x + 1 = 0 (b) y − x − 2 = 0 and y − x + 2 = 0
(c) y − x − 1 = 0 and y − x − 4 = 0 (d) None of these
ANSWERS
A. Fill up the blanks
1.
x
a
x
b
+ = 1 2. t =
1
2
3. a 4. b
a
x
2
2
5. 2 x
6. 1 7. x = −2 8. x = 1 9. y = ±x 10. [−1, 1]
11. ep
12. −
1
3
13. 0 14. −
9
2
15. up
B. Choose the correct answer
1. (b) 2. (a) 3. (a) 4. (c) 5. (a) 6. (b) 7. (b) 8. (a) 9. (c) 10. (a)
11. (b) 12. (a) 13. (b) 14. (a) 15. (b) 16. (b) 17. (d) 18. (c) 19. (b) 20. (b)
21. (c) 22. (b) 23. (c) 24. (b) 25. (c)
M03_ENGINEERING_MATHEMATICS-I _CH03_Part E.indd 152 5/19/2016 8:49:15 PM
4.1 CURVATURE IN CARTESIAN COORDINATES
4.1.0 Introduction
To characterize a curve completely we have seen various aspects of the curve such as increasing and
decreasing nature, maximum and minimum points, concavity and convexity, symmetry and special
points such as points of inflexion etc. Another aspect to characterize the shape of a curve is the degree
of its bending or curvature.
In many practical problems we are concerned with the bending of a curve at different points or
the bending of two curves such as rail tracks. The concept of curvature is considered while laying rail
tracks and designing highways. The curvature at a point is a numerical measure of the rate of bending
of a curve.
4.1.1 Measure of Curvature
Definition 4.1 Let Γ be a curve that does not intersect itself and having tangents at each point. Let A
be a fixed point on the curve from which arc length is mea-
sured. Let P and Q be neighbouring points on the curve so
that AP = s and AQ = s + Δs.
∴ length of arc PQ = Δs
Let the tangents at P and Q make angles c and c + Δc
respectively with the positive direction of x-axis.
∴ Δc is the angle between the tangents at P and Q.
Precisely, Δc is the angle through which the tangent
turns from P to Q as P moves along the arc through the
distance Δs.
1. The angle Δc is called the angle of contigence of the
arc PQ or the total curvature of the arc PQ.
2. The ratio Δc
Δs
is called the average curvature of the arc PQ.
3. The curvature of the curve at P is defined as lim
Δ
Δ
Δ
s s
d
ds
→0
c c
= and it is denoted by the greek letter
k (kappa). Thus, k
c
=
d
ds
.
Note
1. s and c are called the intrinsic coordinates of P and f(s, c) = 0 is called the intrinsic equation of
the curve.
2. Since the difference in angles and difference in arc lengths are Δ Δ
c and s , we have k
c
=
d
ds
.
So, curvature is a positive quantity.
Q
P
s
Δs
Δψ
ψ + Δψ
ψ
A
X
Y
O
Fig. 4.1
4
Applications of Differential
Calculus
M04_ENGINEERING_MATHEMATICS-I _CH04_Part-A.indd 1 5/12/2016 10:08:23 AM
4.2 ■ Engineering Mathematics
Theorem 4.1 The curvature of a circle at any point is a constant and is equal to the reciprocal of the
radius of the circle.
Proof Consider a circle with centre C and radius r. Let P and Q be two neighbouring points on the
circle.
Let the angles which the tangents at P, Q make with x-axis
be c, c + Δc ∴ ˆ
PCQ = Δc
Arc AP = s and arc AQ = s + Δs so that arc PQ = Δs
But we know arc Δs = rΔc [From trigonometry]
∴
Δ
Δ
c
s r
=
1
∴ lim [ ]
Δ
Δ
Δ
s s r
r
→
=
0
1
c
{ the radius is constant
⇒
d
ds r
c
=
1
∴ curvature at the point P is a constant =
1
r
Hence, curvature at any point of the circle is a constant =
1
r
= reciprocal of its radius
Note If r → ∞, the curvature tends to zero. i.e., when radius r → ∞, the circle approaches a straight
line.
Hence, the curvature of a straight line is zero at any of its points. In otherwords, the straight line
does not bend at any point.
Definition 4.2 Radius of Curvature
If the curvature at a point P on a curve is k, then 1
k
is called the radius of curvature at P (if k ≠ 0).
Radius of curvature is denoted by Greek letter r.
Thus, r
c
= =
1
k
ds
d
.
Note From the definition of curvature it is obvious that we should know the intrinsic equation of the
curve. This is not easy in many cases. Generally, equation of a curve is given in Cartesian or polar
coordinates. So, we shall derive formula for radius of curvature for Cartesian equation of a given curve.
4.1.2 Radius of Curvature for Cartesian Equation of a Given Curve
Let y = f(x) be the equation of a curve, then we know that at the point (x, y),
dy
dx
= tanc, where c is the
angle made by the tangent at (x, y) with the positive direction of the x-axis.
∴
d y
dx
d
dx
d
ds
ds
dx
2
2
2
2
1
=
= +
sec
( tan )
c
c
c
c
C
r
A P
Q
Δψ
ψ + Δψ
ψ
X
Y
O
Fig. 4.2
M04_ENGINEERING_MATHEMATICS-I _CH04_Part-A.indd 2 5/12/2016 10:08:27 AM
Applications of Differential Calculus ■ 4.3
∴
= +
⎛
⎝
⎜
⎞
⎠
⎟
⎡
⎣
⎢
⎤
⎦
⎥ ⋅
=
+
⎛
⎝
⎜
⎞
⎠
⎟
⎡
⎣
⎢
⎤
⎦
⎥
⋅
1
1
1
2
2
2
2
dy
dx
ds
dx
dy
dx
d y
dx
ds
d
r
r
x
x
But we know that
∴
( ) ( ) ( )
ds dx dy
ds
dx
dy
dx
2 2 2
2 2
1
= +
⎛
⎝
⎜
⎞
⎠
⎟ = +
⎛
⎝
⎜
⎞
⎠
⎟
⇒ ds
dx
dy
dx
= +
⎛
⎝
⎜
⎞
⎠
⎟
⎡
⎣
⎢
⎤
⎦
⎥
1
2 1 2
/
∴ r =
+
⎛
⎝
⎜
⎞
⎠
⎟
⎡
⎣
⎢
⎤
⎦
⎥
1
2 3 2
2
2
dy
dx
d y
dx
/
⇒ r =
+
( ) /
1 1
2 3 2
2
y
y
(1)
where and
y
dy
dx
y
d y
dx
1 2
2
2
= =
Note
1. When calculating r only positive value should be taken i.e., numerical value of r is taken as
radius of curvature, since it cannot be negative. If y2 0
 , the curve is concave up and if y2 0

then it is concave down or convex up at the point.
2. At a point of inflexion i.e., when y2 0
= , the curvature is defined as zero.
3. If the equation of curve is x = f(y), then r =
+
⎛
⎝
⎜
⎞
⎠
⎟
⎡
⎣
⎢
⎤
⎦
⎥
1
2 3 2
2
2
dx
dy
d x
dy
/
=
+
≠
( ) /
1
0
1
2 3 2
2
2
x
x
x
if (2)
where x
dx
dy
x
d x
dy
1 2
2
2
= =
and
4. If at a point
dy
dx
= ∞ formula (1) cannot be used. i.e., if the tangent is parallel to y-axis,
then
dx
dy
= 0. So, we use formula (2) in such cases.
P
ψ
X
Y
y = f(x)
O
Fig. 4.3
M04_ENGINEERING_MATHEMATICS-I _CH04_Part-A.indd 3 5/12/2016 10:08:34 AM
4.4 ■ Engineering Mathematics
4.1.3 Radius of Curvature for Parametric Equations
If the equation of curve is given by parametric equations x f t y g t
= =
( ), ( ), then we find
dx
dt
dy
dt
,
∴
Let
dx
dt
x
dy
dt
y
dy
dx
dy
dt
dx
dt
y
x
= ′ = ′
= =
′
′
,
∴ d y
dx
d
dx
dy
dx
d
dt
y
x
dt
dx
x y y x
x
2
2
2
1
=
⎛
⎝
⎜
⎞
⎠
⎟ =
′
′
⎛
⎝
⎜
⎞
⎠
⎟ ⋅
=
′ ′′ − ′ ′′
′
⋅
( ) ′
′
=
′ ′′ − ′ ′′
′
x
x y y x
x
( )3
∴ the radius of curvature r =
+
′
′
⎛
⎝
⎜
⎞
⎠
⎟
⎡
⎣
⎢
⎤
⎦
⎥
′ ′′ − ′ ′′
1
2 3 2
y
x
x y y x
/
(
( )
′
x 3
=
′ + ′
′ ′′ − ′ ′′
( )
[ ]
/
x y
x y y x
2 2 3 2
in magnitude
Note Radius of curvature for parametric equations can be obtained by using formula (1).
WORKED EXAMPLES
EXAMPLE 1
Find the radius of curvature at the point
1
4
1
4
1
, .
⎛
⎝
⎜
⎞
⎠
⎟ on x y
1 5
Solution.
The given curve is x y
+ = 1 (1)
Differentiating w.r.to x, we get
⇒
1
2
1
2
0
x y
dy
dx
dy
dx
y
x
+ ⋅ =
= − =
−
= −
= − = − −
x
x
y x
x
x
1
1 1
1
1
1 1 2
[ ( ) ]
/
From
= − − ⋅
⎛
⎝
⎜
⎞
⎠
⎟ =
−
d y
dx
x
1
2
1
2
2
2
3 2
/
x
x3 2
/
At the point
1
4
1
4
, ,
⎛
⎝
⎜
⎞
⎠
⎟
dy
dx
= − = − = −
1
1
14
1 2 1
/
and
d y
dx
2
2 3 2
3 2
1
2
1
4
4
2
4 2
2
4
=
⋅
⎛
⎝
⎜
⎞
⎠
⎟
= =
⋅
=
/
/
M04_ENGINEERING_MATHEMATICS-I _CH04_Part-A.indd 4 5/12/2016 10:08:39 AM
Applications of Differential Calculus ■ 4.5
∴ y y
1 2
1 4
= − =
and
∴ the radius of curvature r =
+
=
+
= =
( ) ( )
/ /
1 1 1 2 2
4
1
2 3 2
2
3 2
2
y
y y
1
2
EXAMPLE 2
Find the radius of curvature at the point
3
2
3
2
a a
,
⎛
⎝
⎜
⎞
⎠
⎟ on the curve x y axy
3 3
3
1 5 .
Solution.
The given curve is x y axy
3 3
3
+ = . (1)
Differentiating w.r.to x, we get
3 3 3 1
2 2
x y
dy
dx
a x
dy
dx
y
+ = + ⋅
⎡
⎣
⎢
⎤
⎦
⎥
⇒
dy
dx
y ax ay x
[ ]
2 2
− = − ⇒ dy
dx
ay x
y ax
=
−
−
2
2
(2)
Differentiating (2) w.r.to x, we get
d y
dx
y ax a
dy
dx
x ay x y
dy
dx
a
y ax
2
2
2 2
2 2
2 2
=
− −
⎛
⎝
⎜
⎞
⎠
⎟ − − −
⎛
⎝
⎜
⎞
⎠
⎟
−
( ) ( )
( )
At the point
3
2
3
2
a a
, ,
⎛
⎝
⎜
⎞
⎠
⎟
dy
dx
a
a a
a
a
a
=
⋅ −
− ⋅
= −
3
2
9
4
9
4
3
2
1
2
2
and d y
dx
a
a
a
a a
a a
a a
a
2
2
2 2 2
2
9
4
3
2
3
3
2
9
4
3
9
4
=
− ⋅
⎛
⎝
⎜
⎞
⎠
⎟ − − − −
⎛
⎝
⎜
⎞
⎠
⎟ − −
−
( ) ( )
3
3
2
2 2
a
⎛
⎝
⎜
⎞
⎠
⎟
=
− − −
⎛
⎝
⎜
⎞
⎠
⎟
⎡
⎣
⎢
⎤
⎦
⎥
⎛
⎝
⎜
⎞
⎠
⎟
=
− ⋅ ⋅
⎛
⎝
⎜
⎞
⎠
⎟
( )
4
3
4
3
4
3
4
4 2
3
4
3
2 2
2 2
2
a
a a
a
a
a
a2
2 2 2
4
8
3
4
32
3
⎛
⎝
⎜
⎞
⎠
⎟
=
−
= −
a
a a
∴ y y
a
1 2
1
32
3
= − = −
and
∴ =
+
the radius of curvature r
( ) /
1 1
2 3 2
2
y
y
=
+
−
=
− ×
= −
( ) /
1 1
32
3
2 2 3
32
3
8 2
3 2
a
a a
Since r is positive, r =
3
8 2
a
M04_ENGINEERING_MATHEMATICS-I _CH04_Part-A.indd 5 5/12/2016 10:08:44 AM
4.6 ■ Engineering Mathematics
EXAMPLE 3
Find the radius of curvature of the curve xy a x a
2 3 3
0
5 2 at ( , .
)
Solution.
The given curve is xy a x
2 3 3
= −
Differentiating w.r.to x, we get
x y
dy
dx
y x
dy
dx
x y
xy
⋅ + ⋅ = − ⇒ =
− +
2 1 3
3
2
2 2
2 2
( )
At the point (a, 0),
dy
dx
= ∞ ∴ = ⇒ =
dx
dy
x
0 0
1
So, we use the formula, r =
+
( ) /
1 1
2 3 2
2
x
x
Now,
dx
dy
xy
x y
= −
+
2
3 2 2
Differentiating w.r.to y
d x
dy
x y x y
dx
dy
xy x
dx
dy
y
2
2
2 2
2 3 1 3 2 2
=
− + ⋅ +
⎛
⎝
⎜
⎞
⎠
⎟ − ⋅ +
⎛
⎝
⎜
⎞
⎠
⎟
⎧
⎨
⎩
⎫
⎬
⎭
( )
(
( )
3 2 2 2
x y
+
At the point(a, 0), d x
dy
a a
a a
2
2
2
2 2
2
3
3
2
3
= −
⋅
= −
( )
∴ x x
a
1 2
0
2
3
= = −
and
∴ the radius of curvature r =
+
=
+
−
= −
( ) ( )
/
/ /
1 1 0
2 3
3
2
1
2 3 2
2
3 2
x
x a
a
Since r is positive, r =
3
2
a
EXAMPLE 4
In an ellipse
x
a
y
b
2
2
2
2
1
1 5 , show that the radius of curvature at an end of the major axis is equal
to the semi-latus rectum of the ellipse.
Solution.
The given curve is
x
a
y
b
2
2
+ =
2
2
1 (1)
An end of the major axis is (a, 0)
Differentiating (1) w.r.to x, we get
1
2
1
2 0
2 2
2
2
a
x
b
y
dy
dx
dy
dx
b
a
x
y
⋅ + = = −
⇒
M04_ENGINEERING_MATHEMATICS-I _CH04_Part-A.indd 6 5/12/2016 10:08:50 AM
Applications of Differential Calculus ■ 4.7
At the point (a, 0),
dy
dx
= ∞ ∴ = ⇒ =
dx
dy
x
0 0
1
So, we use the formula r =
+
( ) /
1 1
2 3 2
2
x
x
Now dx
dy
a
b
y
x
= − ⋅
2
2
Differentiating w.r.to y, we get
d x
dy
a
b
x y
dx
dy
x
2
2
2
2 2
1
= − ⋅
⋅ − ⋅
⎡
⎣
⎢
⎤
⎦
⎥
At the point (a, 0), d x
dy
a
b
a
a
a
b
2
2
2
2 2 2
= − = − ∴ x x
a
b
1 2 2
0
= = −
and
∴ the radius of curvature r =
+
−
= −
( ) /
1 0 3 2
2
2
a
b
b
a
Since r is positive, r =
b
a
2
, which is the length of the semi-latus rectum of the ellipse.
EXAMPLE 5
For the curve y
x
x
5
1
a
a
, if r is the radius of curvature at any point (x, y), show that
2
2 3 2 2
r
5 1
a
y
x
x
y
⎛
⎝
⎜
⎞
⎠
⎟
⎛
⎝
⎜
⎞
⎠
⎟
⎛
⎝
⎜
⎞
⎠
⎟
/
.
Solution.
The given curve is y
ax
a x
=
+
(1)
Differentiating w.r.to x, we get
dy
dx
a a x x
a x
a
a x
=
+ −
+
=
+
[( ) ]
( ) ( )
⋅ ⋅
1 1
2
2
2
and d y
dx
a
a x
2
2
2
3
2
= −
+
( )
At the point (x, y), y
a
a x
y
a
a x
1
2
2 2
2
3
2
=
+
= −
+
( ) ( )
and
∴ the radius of curvature r =
+
=
+
+
⎡
⎣
⎢
⎤
⎦
⎥
−
+
( ) ( )
( )
/
/
1
1
2
1
2 3 2
2
4
4
3 2
2
3
y
y
a
a x
a
a x
M04_ENGINEERING_MATHEMATICS-I _CH04_Part-A.indd 7 5/12/2016 10:09:07 AM
4.8 ■ Engineering Mathematics
Since r is positive,
r =
+ +
⎡
⎣ ⎤
⎦
+
⎡
⎣ ⎤
⎦
+
=
+ +
⎡
⎣ ⎤
⎦
( )
( )
( )
( )
/
/
/
a x a
a x
a
a x
a x a
4 4 3 2
4 3 2
2
3
4 4 3 2
2 2a
a a x
2 3
⋅ +
( )
⇒ 2 4 4 3 2
3 3
r
a
a x a
a a x
=
+ +
⎡
⎣ ⎤
⎦
+
( )
( )
/
⇒
2
2 3 4 4
3 3 2 3
r
a
a x a
a a x
⎛
⎝
⎜
⎞
⎠
⎟ =
+ +
⎡
⎣ ⎤
⎦
+
⎡
⎣ ⎤
⎦
/
/
( )
( )
raising to the pow
wer
dividing t
2
3
4 4
2 2
2
2
2
2
⎡
⎣
⎢
⎤
⎦
⎥
=
+ +
+
=
+
+
+
( )
( )
( )
( )
a x a
a a x
a x
a
a
a x
e
erm by term
[ ]
We have y
ax
a x
=
+
⇒ =
+
y
x
a
a x
and
x
y
a x
a
=
+
∴ 2
2 3 2 2
r
a
x
y
y
x
⎛
⎝
⎜
⎞
⎠
⎟ =
⎛
⎝
⎜
⎞
⎠
⎟ +
⎛
⎝
⎜
⎞
⎠
⎟
/
EXAMPLE 6
If r r
1 2
, be the radii of curvatures at the ends of a focal chord of a parabola whose latus rectum
is 2l, prove that ( ) ( )
/ / /
r 1 r 5
2 2 2
1
2 3
2
2 3 2 3
l .
Solution.
Let the parabola be y ax
2
4
= (1)
We know that 4a is the length of the latus rectum.
Given 2l is the latus rectum.
∴ 4 2
2
a l a
l
= ⇒ =
Let S be the focus (a, 0).
Let PQ be the focal chord.
Let P be ( , )
at at
2
2 and Q be ( , )
at at
1
2
1
2 .
The Slope of PQ =
−
−
=
−
−
=
−
+ −
=
+
y y
x x
at at
at at
a t t
a t t t t
t t
1 2
1 2
1
1
2 2
1
1 1
1
2 2
2
2
( )
( )( )
[
[ ]
{ t t
1 ≠
Slope of SP =
−
−
=
−
=
−
2 0 2
1
2
1
2 2 2
at
at a
at
a t
t
t
( )
Since slope of PQ = Slope of SP
O
P(at2
, 2at)
Q(at1
2
, 2at1
)
(a, 0)
S
M04_ENGINEERING_MATHEMATICS-I _CH04_Part-A.indd 8 5/12/2016 10:09:13 AM
Applications of Differential Calculus ■ 4.9
⇒
2 2
1
1
2
t t
t
t
+
=
−
∴ t t t t
2
1
1
− = +
( ) ⇒ t tt t
2
1
2
1
− = + ⇒ t t
1 1
= − ⇒ t
t
1
1
= − (2)
The radius of curvature at ( , )
at at
2
2 is r = +
2 1 2 3 2
a t
( ) /
∴ At the point P( , ),
at at
2
2 r1
2 3 2
2 1
= +
a t
( ) /
⇒ r1
2
3 2 3 2 1
2 1
−
− −
= +
( ) ( )
/
a t ⇒ r1
2
3
2 3
2
2
1
−
−
=
+
( ) /
a
t
At the point Q (at at
1
2
1
2
, ), r 2 1
2 3 2
2 1
= +
a t
( ) /
⇒ r2
2
3 2 3
1
2 1
2 1
− −
( )
= +
−
( ) /
a t
= +
⎛
⎝
⎜
⎞
⎠
⎟ =
+
= ⋅
+
−
−
−
−
−
−
( ) ( )
( )
( )
/ / /
2 1
1
2
1
2
1
2 3
2
1
2 3
2 1
2
2 3
2
2
a
t
a
t
t
a
t
t
[Using (2)]
∴ r r
1
2
3
2
2
3 2 3
2
2 3
2
2
2
1
1
2
1
− −
− −
+ =
+
+ ⋅
+
( ) ( )
/ /
a
t
a
t
t
∴
=
+
+
+
⎛
⎝
⎜
⎞
⎠
⎟
=
+
+
= =
−
− − −
( )
( ) ( )
/
/ / /
2
1
1 1
2
1
1
2
2 3
2
2
2
2 3
2
2
2 3 2
a
t
t
t
a
t
t
a l 3
3
1
2
3
2
2
3 2 3
r r
− −
−
+ = l /
[{ 2a = l]
EXAMPLE 7
Prove that the radius of curvature at any point of the cycloid x 5 u1 u
a( )
sin , y 5 2 u
a( )
1 cos is
4
2
acos
u
.
Solution.
The given curve is x a y a
= + = −
( sin ) ( cos )
u u u
and 1
∴
dx
d
a a
dy
d
a
u
u
u
u
u
= + = =
( cos ) cos sin
1 2
2
2
and
∴
dy
dx
dy
d
dx
d
= u
u
= = =
a
a
a
a
sin
cos
sin cos
cos
tan
u
u
u u
u
u
2
2
2
2 2
2
2
2
2 2
∴
d y
dx
d
d
dy
dx
d
dx
2
2
=
⎛
⎝
⎜
⎞
⎠
⎟ ⋅
u
u
= ⋅ ⋅ =
sec
sec
2
2
4
2
1
2
1
2
2
2
4
u
u
u
a
a
cos
M04_ENGINEERING_MATHEMATICS-I _CH04_Part-A.indd 9 5/12/2016 10:09:20 AM
4.10 ■ Engineering Mathematics
∴ y y
a
1 2
4
2
2
4
= =
tan
u
u
and
sec
∴ the radius of curvature
sec
r
u
=
+
=
+
⎛
⎝
⎜
⎞
⎠
⎟
( )
tan
/
1
1
2
1
2 3 2
2
2
3
2
4
y
y u
u
u
u
u
2
4
4
2
2
3
4
a
a
= =
sec
sec
4 cos
2
a
EXAMPLE 8
If r r
1 2
, be the radii of curvature at the points P and Q on the cycloid x 5 u1 u
a( )
sin ,
y a
5 2 u
( 1 cos ), where the tangents are at right angles, then r 1 r 5
1
2
2
2 2
16a .
Solution.
Given x a y a
= + = −
(cos sin ), ( cos )
u u u
1
From Example 7, the radius of curvature at any point u is
r
u
= 4
2
acos
Let the parameters of the points P be u1
and Q be u2
, then
r
u
r
u
1
1
2
2
4
2
4
2
= =
a a
cos , cos
But the slope of tangent at P is tan
u1
2
and the slope of the tangent at Q is tan
u2
2
Since tangents are perpendicular to each other, we get
tan tan
u u
1 2
2 2
1
= − ⇒ tan
tan
cot
u
u
u
2
1
1
2
1
2
2
= − = −
tan tan
u p u
2 1
2 2 2
= +
⎛
⎝
⎜
⎞
⎠
⎟ ⇒
u p u
2 1
2 2 2
= +
∴ r
p u u
2
1 1
4
2 2
4
2
= +
⎛
⎝
⎜
⎞
⎠
⎟ = −
a a
cos sin
∴
r r
u u
1
2
2
2 2 2 1 2 2 1
16
2
16
2
+ = +
a a
cos sin
⇒ r r
u u
1
2
2
2 2 2 1 2 1
16
2 2
+ = +
⎛
⎝
⎜
⎞
⎠
⎟
a cos sin ⇒ r r
1
2
2
2
+ = 16 2
a
EXAMPLE 9
Find the points on the parabola y x
2
5 4 at which the radius of curvature is 4 2.
Solution.
Given y x
2
4
= (1)
M04_ENGINEERING_MATHEMATICS-I _CH04_Part-A.indd 10 5/12/2016 10:09:26 AM
Applications of Differential Calculus ■ 4.11
Differentiating w.r.to x,
2 4
y
dy
dx
= ⇒ dy
dx y
=
2
and d y
dx y
dy
dx y
2
2 2 3
2 4
= − ⋅ = −
Let (a, b) be the point on the curve at which the radius of curvature is 4 2.
Since (a, b) is on y2
= 4x, b a
2
4
= (2)
At the point (a, b),
dy
dx b
d y
dx b
= = −
2 4
2
2 3
, ∴ y
b
y
b
1 2 3
2 4
= = −
and
r =
+
( ) =
+
⎛
⎝
⎜
⎞
⎠
⎟
−
= −
+
= −
+
1
1
4
4
4
4
4
1
2 3 2
2
2
3 2
3
2 3 2
3
2 3 2
y
y
b
b
b
b
b
/
/
/ /
( ) ( )
4
4
Since r is positive, r =
+
( ) /
b2 3 2
4
4
Given r = 4 2
∴
( ) /
b2 3 2
4
4
4 2
+
= ⇒ ( ) /
4 4 16 2
3 2
a + = ⇒ 4 1 16 2
3 2 3 2
/ /
( )
a + =
⇒ 4 1 16 2
3 3 2
( )
a + = × [squaring both sides]
⇒ ( )
a a a
+ =
×
= = + = ⇒ =
1
16 2
4
8 2 1 2 1
3
2
3
3
⇒
(2) is b a b b
2 2
4 4 2
= ⇒ = ⇒ = ±
∴ the points are (1, 2) and (1, −2).
4.1.4 Centre of Curvature and Circle of Curvature
Let Γ be a simple curve having tangent at each point. At any point P on this curve we can draw a circle
having the same curvature at P as the curve Γ.
This circle is called the circle of curvature and its centre is called the centre of curvature and its
radius is the radius of curvature of Γ at P.
How to draw the circle of curvature is given in the next definition.
Definition 4.3 Let Γ be a simple curve and let P be a point of Γ.
Draw the normal at P to the curve Γ in the direction of the concavity of the curve (which is the positive
direction of the normal) and cut off a segment PC = r, the radius of curvature of Γ at P.
M04_ENGINEERING_MATHEMATICS-I _CH04_Part-A.indd 11 5/12/2016 10:09:30 AM
4.12 ■ Engineering Mathematics
The point C is called the centre of curvature of the given curve at P.
The circle with centre C and radius r (passing through P) is
called the circle of curvature of the given curve at P.
Note
1. From the definition of circle of curvature it follows that at the
given point, the curvature of the curve and curvature of the
circle are the same.
2. It is quite possible that the circle of curvature at a point crosses
the curve as in Fig. 4.4, just as a tangent line crosses the curve
at the point of inflexion.
4.1.5 Coordinates of the Centre of Curvature
Let P (x, y) be the point on y f x
= ( ). Let C ( , )
x y be the centre
of curvature at P.
Then PC = r.
Let the tangent at P make an angle c with the x-axis.
Then = c [{ angle between two lines = angle
between their perpendiculars]
From the right angle CNP
NP
NP
Δ , sin sin
c
r
r c
= ⇒ =
Now x x
= = − = − = −
OM OL ML OL NP r c
sin
and y y
= = + = +
MC MN MC r c
cos
Since tan ,
sin , cos
c
c c
= =
=
+
=
+
dy
dx
y
y
y y
1
1
1
2
1
2
1
1
1
and r =
+
( ) /
1 1
2 3 2
2
y
y
∴ x x
y
y
y
y
= −
+
⋅
+
( ) /
1
1
1
2 3 2
2
1
1
2 ⇒ x x
y y
y
= −
+
1 1
2
2
(1 )
(1)
and y y
y
y y
= +
+
⋅
+
( ) /
1 1
1
1
2 3 2
2 1
2
⇒ y y
y
y
= +
(1+ )
1
2
2
(2)
Thus, the centre of curvature ( , )
x y is given by (1) and (2).
∴ the equation of the circle of curvature at P is ( ) ( )
x x y y
− + − =
2 2 2
r
Note The centre of the curvature formula holds if y2 0 0
 
or .
P ρ
C
tangent at P
circle of
curvature
Fig. 4.4
N
M L
P(x, y)
ψ
X
Y
O
ψ
ρ
C(x, y)
Fig. 4.5
1 1
2
+ y
ψ
y1
1
Fig. 4.6
M04_ENGINEERING_MATHEMATICS-I _CH04_Part-A.indd 12 5/12/2016 10:09:38 AM
Applications of Differential Calculus ■ 4.13
WORKED EXAMPLES
EXAMPLE 1
Find the circle of curvature at (3, 4) on xy 5 12.
Solution.
The given curve is xy = 12 ⇒ y
x
=
12
∴
dy
dx x
d y
dx x
= − = +
12 24
2
2
2 3
and
At the point (3, 4)
dy
dx
= − = −
12
9
4
3
and
d y
dx
2
2
24
27
8
9
= =
∴ y y
1 2
4
3
8
9
= − =
and
The centre of curvature ( , )
x y is given by
x
y
= −
+
= −
−
⎛
⎝
⎜
⎞
⎠
⎟
+
⎛
⎝
⎜
⎞
⎠
⎟
= + ⋅ =
= +
x
y y
y
y
1 1
2
2
1
3
4
3
1
16
9
8
9
3
4
3
25
8
43
6
( )
(1
1
4
1
16
9
8
9
4
25
8
57
8
1
2
2
+
= +
+
= + =
y
y
)
∴ the centre of Curvature is ( , )
43
6
,
57
8
x y =
⎛
⎝
⎜
⎞
⎠
⎟
and the radius of curvature r =
+
=
+
⎛
⎝
⎜
⎞
⎠
⎟
=
× ×
=
( ) ( )
/
/
/
1
1
4
9
8
9
25
9 3
8
9
125
24
1
2 3 2
2
3 2
3 2
y
y
∴ the equation of circle of curvature at (3, 4) is
( ) ( )
x x y y
− + − =
2 2 2
r ⇒ x y
−
⎛
⎝
⎜
⎞
⎠
⎟ + −
⎛
⎝
⎜
⎞
⎠
⎟ =
⎛
⎝
⎜
⎞
⎠
⎟
43
6
57
8
125
24
2 2 2
.
EXAMPLE 2
Show that the circle of curvature of x y
1 5 a at
a a
4 4
,
⎛
⎝
⎜
⎞
⎠
⎟ is x y
2 1 2 5
3
4
3
4 2
2 2 2
a a a
⎛
⎝
⎜
⎞
⎠
⎟
⎛
⎝
⎜
⎞
⎠
⎟ .
Solution.
The given curve is x y a
+ = ⇒ y a x
= − (1)
Differentiating w.r.to x, we get
1
2
1
2
y
dy
dx x
⋅ = − ⇒
dy
dx
y
x
= − (2)
M04_ENGINEERING_MATHEMATICS-I _CH04_Part-A.indd 13 5/12/2016 10:09:43 AM
4.14 ■ Engineering Mathematics
Now dy
dx
a x
x
a
x
a x
= −
−
( )
= − = − ⋅ −
1 1 1 2
/ [from (1)]
∴
d y
dx
a x
a
x
2
2
3 2 3 2
12
2
= − − =
− −
( / )
/ /
At the point
a a
4 4
,
⎛
⎝
⎜
⎞
⎠
⎟
dy
dx
a
a
= − = −
/
/
4
4
1
and
d y
dx
a a a
a a a
2
2
3 2
2 4 2
4 2 4
= ⋅
⎛
⎝
⎜
⎞
⎠
⎟ = ⋅
⋅
=
− /
∴ y y
a
1 2
1
4
= − =
and
∴ the radius of curvature r =
+
=
+
= =
( ) ( )
/
/ /
1 1 1
4
2
2
1
2 3 2
2
3 2
y
y a
a a
2
At the point
a a
4 4
, ,
⎛
⎝
⎜
⎞
⎠
⎟ the coordinates of the centre of curvature ( , )
x y is given by
x
y
= −
+
= −
− +
= + =
= +
+
= +
x
y y
y
a
a
a a a
y
y
y
a
1 1
2
2
1
2
2
1
4
1 1 1
4 4 2
3
4
1
4
( ) ( )( )
/
( ) 1
1 1
4 4 2
3
4
+
= + =
a
a a a
∴ the centre of curvature is ( , ) ,
x y
a a
=
⎛
⎝
⎜
⎞
⎠
⎟
3
4
3
4
∴ the circle of curvature at
a a
4 4
,
⎛
⎝
⎜
⎞
⎠
⎟ is
( ) ( )
x x y y
− + − =
2 2 2
r ⇒ x
a
y
a a
−
⎛
⎝
⎜
⎞
⎠
⎟ + −
⎛
⎝
⎜
⎞
⎠
⎟ =
3
4
3
4 2
2 2 2
.
EXAMPLE 3
Find the centre of curvature and equation of the circle of curvature at the point P on the curve
y ex
5 where the curve crosses the y-axis.
Solution.
The given curve is y ex
= (1)
∴
dy
dx
ex
= and
d y
dx
ex
2
2
=
Also given P is the point on the y-axis where the curve crosses it.
M04_ENGINEERING_MATHEMATICS-I _CH04_Part-A.indd 14 5/12/2016 10:09:49 AM
Applications of Differential Calculus ■ 4.15
Equation of y-axis is x = 0.
∴ y e
= =
0
1
∴ P is ( , )
0 1
∴ At the point P,
dy
dx
d y
dx
= =
1 1
2
2
, and ∴ y1 1
= and y2 1
=
r =
+
( ) =
+
=
1 1 1
1
2 2
1
2 3 2
2
3 2
y
y
/
/
( )
At the point P, the coordinates of the centre of curvature ( , )
x y is given by
and
x x
y y
y
y y
y
y
= −
+
( ) = −
+
= −
= +
+
= +
+
=
1 1
2
2
1
2
2
1
0
1 1 1
1
2
1
1
1 1
1
3
( )
( )
∴ the centre of curvature is ( , ) ( , )
x y = −2 3
∴ the equation of the circle of curvature is
( ) ( )
x x y y
− + − =
2 2 2
r ⇒ ( ) ( )
x y
+ + − =
2 3 8
2 2
EXERCISE 4.1
1. Find the radius of curvature at (−2, 0) on the curve y x
= +
3
8.
2. Find r for the curve y c
x
c
= cosh at the point (0, c).
3. Find the radius of curvature at any point ( cos , sin )
a b
u u on the ellipse
x
a
y
b
2
2
2
2
1
+ = .
4. Find the radius of curvature at any point (x, y) on the curve y
a
e e
= +
( )
−
2
x
a
x
a
.
5. Find the radius of curvature of x c y c
2
2
= −
( ) where it crosses the y-axis.
6. Show that the radius of curvature of the curve x a a
= −
3 3
cos cos ,
u u y a a
= −
3 3
sin sin
u u is
3asin .
u
7. Find the radius of curvature of the curve x a
= cos ,
u y = sinu at u
p
=
4
.
8. Find the radius of curvature at x c
= on the curve xy c
= 2
.
9. Find the radius of curvature at x = 1 on y x
e
= log .
10. Find the radius of curvature at ( , )
−2 2
a a on y
a x y
x
=
+
( )
2 2
2
.
11. Find the radius of curvature of the curve x e t
= t
cos , y e t
= t
sin at (1, 0).
12. Find the radius of curvature of the parabola x at y at
= =
2
2
, at t.
13. Find the radius of curvature at any point ‘u’ on x a
= +
log( tan ),
sec u u y a
= sec u.
M04_ENGINEERING_MATHEMATICS-I _CH04_Part-A.indd 15 5/12/2016 10:10:00 AM
4.16 ■ Engineering Mathematics
14. Find the radius of curvature at y a
= 2 on the curve y ax
2
4
= .
15. Prove that at the point x =
p
2
of the curve y x x
= −
4 2
sin sin , r =
5 5
4
.
16. Prove that the radius of curvature at any point (x, y) on
x
a
y
b
⎛
⎝
⎜
⎞
⎠
⎟ +
⎛
⎝
⎜
⎞
⎠
⎟ =
1 2 1 2
1
/ /
is r =
+
2 3 2
( )
.
/
ax by
ab
17. Show that the radius of curvature at the point ( cos , sin )
a a
3 3
u u on the curve x y a
2 3 2 3 2 3
/ / /
+ = is
3a sin u cos u.
18. Prove that the radius of curvature at any point of the astroid x y a
2 3 2 3 2
/ /
+ = is three times the
length of the perpendicular from the origin to the tangent at that point.
19. Find the radius of curvature and the curvature at the point (0, c) on the curve y c
x
c
= cosh .
20. If r is the radius of curvature at any point P on the parabola y ax
2
4
= and S is its focus, show
that r2
varies as (SP)3
.
21. Find r for the curve x a t t t y a t t t
= + = −
(cos sin ), (sin cos ).
22. Show that the radius of curvature at any point of the curve x ae
= −
u
u u
(sin cos ),
y ae
= +
u
u u
(sin cos ) is twice the perpendicular distance from the origin to the tangent at the point.
23. Show that the measure of curvature of the curve
x
a
y
b
+ = 1 at any point (x, y) on it is
ab
ax by
2 3 2
( )
.
/
+
24. Find the centre of curvature of the hyperbola
x
a
y
b
2
2
2
2
1
− = at the point ( , tan )
a b
sec u u .
25. Find the centre of curvature of y ax
2
4
= at an end of the latus rectum.
26. Find the centre of curvature at (c, c) on xy c
= 2
.
27. Find the circle of curvature at
1
4
1
4
1
, .
⎛
⎝
⎜
⎞
⎠
⎟ + =
on x y
28. Find the circle of curvature for the curve x y xy
3 3
3
+ = at the point 3
2
3
2
,
⎛
⎝
⎜
⎞
⎠
⎟ on it.
29. Find the coordinates of the centre of curvature of the curve x y a xy
4 4 2
2
+ = at (a, a).
30. If the centre of curvature of the ellipse
x
a
y
b
2
2
2
2
1
+ = at one end of the minor axis lies at the other
end. Find the eccentricity of the ellipse.
[Hint At (0, b), the centre of curvature is (0, −b)∴ =
r 2b compute r and find e]
31. Find the equation of the circle of curvature at (3, 6) on y x
2
12
= .
32. Find the equation of the circle of curvature at (c, c) on xy = c2
.
33. Find the radius of curvature and centre of curvature at any point (x, y) on the curve y c
x
c
= log .
sec
34. Find the radius of curvature and centre of curvature of the curve x y
4 4
2
+ = at the point (1, 1).
ANSWERS TO EXERCISE 4.1
1. 6 2. c 3.
1 2 2 2 3 2
ab
a b
( sin cos ) /
u u
+ 4. a
x
a
cosh2
5. c 7. a 8. c 2 9.
2 2
3
M04_ENGINEERING_MATHEMATICS-I _CH04_Part-A.indd 16 5/12/2016 10:10:10 AM
Applications of Differential Calculus ■ 4.17
10. 2a 11. 2 12. 2 1 2
a t
( )
+ 13. asec2
u
14. r = 4 2
a . 15. r =
5 5
4
16. r= +
2 3 2
ab
ax by
( ) .
/
17. 3asinθcosθ
18. r = 3p 19. Curvature =
1
c
20. r2 3
(SP)
=
4
a
21. at
22. r = 2p 24. x
a b
a
y
a b
b
=
+
=
− +
2 2
3
2 2
3
sec u u
;
( )
tan 25. ( , )
5 2
a a
−
26. ( , )
2 2
c c 27. x y
−
⎛
⎝
⎜
⎞
⎠
⎟ + −
⎛
⎝
⎜
⎞
⎠
⎟ =
3
4
3
4
1
2
2 2
28. x y x y
2 2 21
8
432
128
0
+ − + + =
( ) 29.
6
7
6
7
a a
,
⎛
⎝
⎜
⎞
⎠
⎟ 30.
1
2
31. ( ) ( )
x y
− + + =
15 6 288
2 2
32. ( ) ( )
x c y c c
− + − =
2 2 2
2 2 2
33. c
x
c
x c
x
c
y c
sec , tan ,
− +
⎛
⎝
⎜
⎞
⎠
⎟ 34.
2
3
2
3
2
3
, ,
⎛
⎝
⎜
⎞
⎠
⎟
4.1.6 Radius of Curvature in Polar Coordinates
Let the equation of the curve in polar coordinates be r = f(u)
Let P(r, u) be any point on the curve
Let r be the radius of curvature at the point P.
Let O be the pole and OA be the initial line. Draw the tangent at P and it meets OA at the point B.
Let PB make an angle c with OA.
Let C be a fixed point on the curve from which the arc length is measured.
Let CP = s and CQ = s + Δs. so that the arc PQ = Δs.
Let AOP=u and f the angle between the tangent at P and the radius vector OP
∴ the radius of curvature is r
c
=
ds
d
and from Fig. 4.7 c = u + f
[ From Δ OPB]
∴
d
d
d
d
c
u
f
u
= +
1
We know tanf = r
d
dr
r
dr
d
u
u
=
Differentiating with respect to u, we get
sec2
2
2
2
f
f
u
u u u
u
d
d
dr
d
dr
d
r
d r
d
dr
d
=
⋅ −
⎛
⎝
⎜
⎞
⎠
⎟
=
⎛
⎝
⎜
⎞
⎠
⎟ −
⎛
⎝
⎜
⎞
⎠
⎟
dr
d
r
d r
d
dr
d
u u
u
2 2
2
2
Q
P
O B A
C
r
r +
Δr
θ
φ
ψ
Δs
s
Fig. 4.7
M04_ENGINEERING_MATHEMATICS-I _CH04_Part-A.indd 17 5/12/2016 10:10:19 AM
4.18 ■ Engineering Mathematics
⇒
d
d
dr
d
r
d r
d
dr
d
f
u f
u u
u
=
⎛
⎝
⎜
⎞
⎠
⎟ −
⎛
⎝
⎜
⎞
⎠
⎟
⎡
⎣
⎢
⎢
⎢
⎢
⎤
⎦
⎥
⎥
⎥
⎥
1
2
2 2
2
2
sec
=
+
⎛
⎝
⎜
⎞
⎠
⎟ −
⎛
⎝
⎜
⎞
⎠
⎟
⎡
⎣
⎢
⎢
⎢
⎢
⎤
⎦
⎥
⎥
⎥
⎥
=
+
1
1
1
1
2
2 2
2
2
2
tan f
u u
u
dr
d
r
d r
d
dr
d
r
dr
r
d
dr
d
r
d r
d
dr
d
dr
d
u
u u
u
u
⎛
⎝
⎜
⎞
⎠
⎟
⎛
⎝
⎜
⎞
⎠
⎟ −
⎛
⎝
⎜
⎞
⎠
⎟
⎡
⎣
⎢
⎢
⎢
⎢
⎤
⎦
⎥
⎥
⎥
⎥
=
2
2 2
2
2
⎛
⎛
⎝
⎜
⎞
⎠
⎟
+
⎛
⎝
⎜
⎞
⎠
⎟
⎛
⎝
⎜
⎞
⎠
⎟ −
⎛
⎝
⎜
⎞
⎠
⎟
⎡
⎣
⎢
⎢
⎢
⎢
2
2
2
2 2
2
2
r
dr
d
dr
d
r
d r
d
dr
d
u
u u
u
⎤
⎤
⎦
⎥
⎥
⎥
⎥
=
⎛
⎝
⎜
⎞
⎠
⎟ −
+
⎛
⎝
⎜
⎞
⎠
⎟
dr
d
r
d r
d
r
dr
d
u u
u
2 2
2
2
2
∴ d
d
d
d
dr
d
r
d r
d
r
dr
d
r
dr
d
c
u
f
u
u u
u
u
= + = +
⎛
⎝
⎜
⎞
⎠
⎟ −
+
⎛
⎝
⎜
⎞
⎠
⎟
=
+
⎛
⎝
⎜
1 1
2 2
2
2
2
2 ⎞
⎞
⎠
⎟ +
⎛
⎝
⎜
⎞
⎠
⎟ −
+
⎛
⎝
⎜
⎞
⎠
⎟
=
+
⎛
⎝
⎜
⎞
⎠
⎟ −
2 2 2
2
2
2
2
2
2
dr
d
r
d r
d
r
dr
d
r
dr
d
r
d
u u
u
u
2
2
2
2
2
r
d
r
dr
d
u
u
+
⎛
⎝
⎜
⎞
⎠
⎟
We know
ds
d
r
dr
d
u u
= +
⎛
⎝
⎜
⎞
⎠
⎟
2
2
∴ the radius curvature r = ds
d
d
d
r
dr
d
r
dr
d
r
dr
d
u
u
c
u u
u
⋅ =
+
⎛
⎝
⎜
⎞
⎠
⎟ +
⎛
⎝
⎜
⎞
⎠
⎟
⎡
⎣
⎢
⎢
⎤
⎦
⎥
⎥
+
⎛
⎝
⎜
⎞
2
2
2
2
2
2
⎠
⎠
⎟ −
2 2
2
r
d r
du
⇒ =
+
⎛
⎝
⎜
⎞
⎠
⎟
⎡
⎣
⎢
⎢
⎤
⎦
⎥
⎥
+
⎛
⎝
⎜
⎞
⎠
⎟ −
r
u
u u
r
dr
d
r
dr
d
r
d r
d
2
2 3 2
2
2 2
2
2
/
M04_ENGINEERING_MATHEMATICS-I _CH04_Part-A.indd 18 5/12/2016 10:10:22 AM
Applications of Differential Calculus ■ 4.19
⇒ =
+
r
r r
2
1
1
2 3 2
2
1
2
2
1 2
2
2
2
⎡
⎣ ⎤
⎦
+ −
= =
/
.
r r rr
r
dr
d
r
d r
d
where and
u u
WORKED EXAMPLES
EXAMPLE 1
Find the radius of curvature of the cardioid r = a (1 + cos u) and show that
r2
r
is a constant.
Solution.
The given equation is
r = a (1 + cos u) (1)
The radius curvature is r =
r r
r r rr
2
1
2
3
2
2
1
2
2
2
+
( )
+ −
Differentiating (1) with respect to u, we get
r
dr
d
a a
1 = = − = −
u
u u
( sin ) sin and r
d r
d
a
2
2
2
= = −
u
u
cos
Now r r r a
a a
a
2
1
2 2 2 2
2 2 2 2
2 2 2
1
1 2
+ = +
= + +
= + + +
sin
( cos ) sin
cos cos sin
u
u u
u u u
u
u u u u
⎡
⎣ ⎤
⎦
= + + +
⎡
⎣ ⎤
⎦ = +
[ ]=
a a ar
2 2 2 2
1 2 2 1 2
cos sin cos cos
∴ r r ar
2
1
2
3
2
3
2
2
+
⎡
⎣ ⎤
⎦ = [ ]
and r r rr r a r a
a
2
1
2
2
2 2 2
2
2 2
1
+ − = + − −
=
sin ( cos )
(
u u
+
+ + + ⋅ +
= + +
cos ) sin ( cos )cos
cos sin
u u u u
u u u
2 2 2
2 2 2
2 1
1 2
a a a
a + 2cos +co
os +cos
+3cos
u u
u u u
u
2
2 2 2
2
1 2
3 1 3
⎡
⎣ ⎤
⎦
= + +
⎡
⎣ ⎤
⎦
= + =
a
a a
(cos sin )
( cos ) r
r [ cos sin ]
{ 2 2
1
u u
+ =
∴ the radius of curvature is r =
[ ]
2
3
3
2
ar
ar
⇒ r
r
=
( ) = =
2
3
8
9
8
9
2
3
2
2
ar
ar
ar
r
a
( )
,
⇒ constant
M04_ENGINEERING_MATHEMATICS-I _CH04_Part-A.indd 19 5/12/2016 10:10:26 AM
4.20 ■ Engineering Mathematics
EXAMPLE 2
Find the radius of curvature at any point on the curve rn
= an
sinnu, where a is a constant.
Solution.
The given curve is
rn
= an
sin nu
Taking log on both sides, we get
⇒
log log log sin
log log log sin
e
n
e
n
e
e e e
r a n
n r n a n
= +
= +
u
u (1)
The radius of curvature at any point is
r =
+
+ −
( )
r r
r r rr
2
1
2
3
2
2
1
2
2
2
(2)
Differentiating (1) with respect to u, we get
⇒
n
r
dr
d n
n n
dr
d
r n r r n
r
d r
d
r
⋅ = ⋅
= =
= = −
1 1
1
2
2
2
u u
u
u
u u
u
sin
cos
cot cot
cos
⇒
e
ec ec
2 2 2
n n n
dr
d
nr n r n
u u
u
u u
⋅
⎡
⎣ ⎤
⎦ + = − +
cot cos cot
Now r r r r n r n r n
2
1
2 2 2 2 2 2 2 2
1
+ = + = + =
cot ( cot )
u u u
cosec
∴ r r r
2
1
2 3 2 2
+
⎡
⎣ ⎤
⎦ =
/
c
cosec cosec
2
3
2 3 3
n r n
u u
⎡
⎣ ⎤
⎦ =
and r r r r r r n r nr n r n
r r n
2
1
2
2
2 2 2 2 2
2 2 2
2 2
+ − = + − − +
= +
cot ( cot )
cot
u u u
cosec
u
u u
u u
u
+
= + +
= +
nr n
r n nr n
r n nr
2 2
2 2 2 2
2 2 2
1
cosec
cosec
cosec cose
( cot )
c
c cosec
2 2 2
1
n n r n
u u
= +
( )
Substituting in (2), we get
r
u
u
u
=
+
=
+
r n
n r n
r n
n
3 3
2 2
1 1
cosec
cosec
cosec
( )
=
+
⋅ =
+
⋅ =
+
− +
r
n n
r
n
a
r
a r
n
n
n
n n
1
1
1 1
1
sin u
[Using (1)]
Note
1. When n = 1, the given curve is r = a sinu
which is a circle and the radius of curvature is r =
+
=
+
a
r a
−1 1
1 1 2
M04_ENGINEERING_MATHEMATICS-I _CH04_Part-A.indd 20 5/12/2016 10:10:29 AM
Applications of Differential Calculus ■ 4.21
2. When n =
1
2
, the given curve is
r a r a
a
1
2
1
2 2
2 2 2
1
= ⇒ = = −
sin sin ( cos )
u u
u
which is a cardioid and the radius of curvature is
r =
+
= =
− +
a r
a r ar
1
2
1
2
1
1 2 1 2
1
2
1
2
3
2
3
/ /
3. When n = −
1
2
, the given curve is
r a a
r a
r a
− −
−
= −
⎛
⎝
⎜
⎞
⎠
⎟ = −
⇒ = −
⇒ =
1
2
1
2 1 2
1 2 1 2
2 2
1 1
2
1 1
sin sin
sin
s
/
/ /
u u
u
i
in
cos
cos
2
2
1
2
2
1
u u
u
⇒ =
−
⇒ = −
a
r
a
r
which is a parabola and the radius of curvature is
r =
− +
= − = −
− − −
⎛
⎝
⎜
⎞
⎠
⎟ +
−
a r
a r
r
a
1
2
1
2
1
1 2
3
2
3
2
1 2
1
2
1
2 2
/
/
Since r is positive, r = 2
3
2
1 2
r
a /
4. When n = 2, the given curve is
r2
= a2
sin2u
which is lemniscate of Bernoulli and radius of curvature is
r =
+
=
− +
a r a
r
2 2 1 2
2 1 3
5. When n = −2, the given curve is
r a a
r a
− − −
= − = −
⇒ = −
2 2 2
2 2
2 2
1 2
sin( ) sin
sin
u u
u
which is a rectangular hyperbola and the radius of curvature is
r =
− +
= − = −
− − − +
−
a r
a r
r
a
2 2 1
2 3
3
2
2 1
( )
Since r is positive, r =
r
a
3
2
M04_ENGINEERING_MATHEMATICS-I _CH04_Part-A.indd 21 5/12/2016 10:10:34 AM
4.22 ■ Engineering Mathematics
4.1.7 Radius of Curvature at the Origin
Newton’s Method
1. If the curve y = f(x) passes through the origin and the x-axis is tangent at the origin O(0,0), then
at the point O(0,0), the radius of curvature r =
→
lim
x
x
y
0
2
2
Proof
Let y = f(x) be the equation of the curve.
Since the x-axis is a tangent at the origin O(0, 0) to the curve, we have
dy
dx
y
= ⇒ =
0 0
1
The radius of curvature r =
+
=
( )
1 1
1
2
2 2
3
2
y
y y
∴ at the origin O(0, 0), r =
1
2
y
(1)
Now consider
lim lim
x x
x
y
x
y
→ →
=
0
2
0
1
2
2
2 [By L’ Hopital’s rule]
⇒ lim
x
x
y y
→
=
0
2
2
2
1
(2)
∴ from (1) and (2), we get at the origin O(0, 0), r =
⎛
⎝
⎜
⎞
⎠
⎟
→
lim
x
x
y
0
2
2
2. If the curve y = f(x) passes through the origin and the y-axis is tangent at the origin O(0, 0), then
at O(0, 0), r =
→
lim
y
y
x
0
2
2
.
Proof
The curve is y = f(x)
Since the y-axis is tangent at the origin O(0, 0) to the curve
dy
dx
dx
dy
x
= ∞ ⇒ = ⇒ =
0 0
1
But, the radius of curvature r =
+
=
( )
1 1
1
2
3
2
2 2
x
x x
∴ at the origin O(0, 0), r =
1
2
x
(1)
Now, consider
lim lim
lim
y y
y
y
x
y
dx
dy
→ →
→
⎛
⎝
⎜
⎞
⎠
⎟ =
⋅
[ ]
=
0
2
0
0
2
2
2
By L’Hopital’s rule
y
y
x x x
y
1
0
2 2
1 1
=
⎡
⎣
⎢
⎤
⎦
⎥ = [ ]
→
lim By L’Hopital’s rule
M04_ENGINEERING_MATHEMATICS-I _CH04_Part-A.indd 22 5/12/2016 10:10:38 AM
Applications of Differential Calculus ■ 4.23
From (1) and (2), we get, at the origin O(0, 0), r =
→
lim
y
y
x
0
2
2
.
3. If the curve y = f(x) passes through the origin O(0, 0), but neither the x-axis nor the y-axis is a
tangent at the origin, then at the origin O(0, 0), r =
+
⎡
⎣ ⎤
⎦
1 2
3
2
p
q
, where p f q f
= ′ = ′′
( ), ( )
0 0 .
Proof
In this case we use Maclaurin’s series expansion for f(x)
∴ y f x f
x
f
x
f
= = + ′ + ′′ +⋅⋅⋅
( ) ( )
!
( )
!
( )
0
1
0
2
0
2
Putting p f q f
= ′ = ′′
( ), ( )
0 0 , we get
y px
q
x
= + +⋅⋅⋅
2
2
[{ f(0) = 0]
Thus, at the origin O(0, 0), r =
+
⎡
⎣ ⎤
⎦
1 2
3
2
p
q
.
Note
1. In this case we may not be able to find y1
, y at the origin O(0, 0) in the usual way.
So, we substitute
y px
q
x
= + +⋅⋅⋅
2
2
in the given equation and equate the like coefficients of p and q.
2. If the curve passes through the origin, then the equation of the tangent at the origin is obtained by
equating the lowest degree terms to zero.
WORKED EXAMPLES
EXAMPLE 1
Find the radius of curvature at the origin for x y x y
3 3 2
2 6 0
1 2 1 5 .
Solution.
The given curve is
x y x y
3 3 2
2 6 0
+ − + = (1)
Since there is no constant term in the equation, it passes through the origin (0, 0).
The tangent at the origin O(0, 0) is obtained by equating the lower degree term to zero.
In (1) the lowest degree term is 6y
∴ y = 0 is the tangent at the origin. i.e., the x-axis the tangent at the origin.
∴ the radius of curvature r =
⎛
⎝
⎜
⎞
⎠
⎟
→
lim
x
x
y
0
2
2
⇒ 2
0
2
r =
⎛
⎝
⎜
⎞
⎠
⎟
→
lim
x
x
y
M04_ENGINEERING_MATHEMATICS-I _CH04_Part-A.indd 23 5/12/2016 10:10:43 AM
4.24 ■ Engineering Mathematics
Divide the equation (1) by y.
∴
x
y
y
x
y
3
2
2
2 6 0
+ − + =
⇒ x
x
y
y
x
y
2
2
2
2 6 0
⎛
⎝
⎜
⎞
⎠
⎟ + −
⎛
⎝
⎜
⎞
⎠
⎟ + = (2)
As x → 0, we have y → 0.
∴ from the equation (2), we get 0 2 0 2 2 6 0
. .
r r
+ − + = ⇒ 4 6
3
2
r r
= ⇒ =
EXAMPLE 2
Find the radius of curvature at the origin for 2 3 4 2 0
4 4 2 2
x y x y xy y x
1 1 1 2 1 5 .
Solution.
The given curve is
2 3 4 2 0
4 4 2 2
x y x y xy y x
+ + + − + = (1)
There is no constant term in the equation (1). Therefore it passes through the origin.
The tangent at the origin is obtained by equating the lowest degree term in the equation (1) to
zero.
The lowest degree term in equation (1) is 2x.
∴ x = 0, is the tangent at the origin. That is, the y-axis is the tangent at the origin.
∴ the radius of curvature r =
⎛
⎝
⎜
⎞
⎠
⎟
→
lim
y
y
x
0
2
2
⇒ 2
0
2
r =
⎛
⎝
⎜
⎞
⎠
⎟
→
lim
y
y
x
Dividing (1) by x, we get
2 3 4 2 0
3
4 2
x
y
x
xy y
y
x
+ ⋅ + + − + =
⇒ 2 3 4 2 0
3 2
2 2
x y
y
x
xy y
y
x
+ ⋅
⎛
⎝
⎜
⎞
⎠
⎟ + + −
⎛
⎝
⎜
⎞
⎠
⎟ + = (2)
As x → 0, y → 0.
∴from the equation( 2), we get 0 0 2 0 2 2 0
+ + + − + =
. r r ⇒ 2 2 1
r r
= ⇒ =
EXAMPLE 3
Find the radius of curvature at the origin for the curve y a x x a x
2 2
( ) ( )
2 5 + .
Solution.
The given curve is y a x x a x
2 2
( ) ( )
− = + (1)
It passes through the origin. The equation of the tangent at the origin is obtained by equating the
lowest degree terms to zero.
M04_ENGINEERING_MATHEMATICS-I _CH04_Part-A.indd 24 5/12/2016 10:10:49 AM
Applications of Differential Calculus ■ 4.25
The lowest degree term in equation (1) is ay ax
2 2
−
∴the tangent at the origin is ay ax y x y x
2 2 2 2
0
− = = =
⇒ ⇒ ± .
Which are neither parallel to the x-axis nor to the y-axis.
∴ substituting y px
q
x
= + +
2
1
2 … inequation ( ), we get
px
q
x a x x a x
+ +
⎛
⎝
⎜
⎞
⎠
⎟ −
( ) = +
( )
2
2
2
2
…
⇒ p x pqx a x ax x
2 2 3 2 3
+ +
( ) −
( ) = +
…
⇒ ap x apqx p x ax x
2 2 3 2 3 2 3
+ − + +
… =
Equating the coefficients of x2
and x3
on both sides, we get
ap a p p
2 2
1 1
= ⇒ = ⇒ = ± and apq p
− =
2
1
When p aq aq q
a
= − = ⇒ = ⇒ =
1 1 1 2
2
,
When p aq aq q
a
= − − − = ⇒ = − ⇒ = −
1 1 1 2
2
,
At the origin (0, 0): r =
+
( )
1 2
3
2
p
q
When p q
a
= =
1
2
, , r =
( )
1 1
2
2 2
2
2
2
+
= =
a
a
a
When p q
a
= − = −
1
2
, , r =
+
−
= −
( )
1 1
2
2
3
2
a
a
Since r is positive, in both cases r = a 2
4.1.8 Pedal Equation or p – r Equation of a Curve
Let O be the pole and OA be the initial line. Let P be the point (r, u) on the curve r = f(u).
Let PT be the tangent at the point P.
Let OP = r and the angle between OP and PT be f. Let OM be the perpendicular drawn from the
pole to the tangent at the point P.
Let OM = p.
From ΔOPM,
OM
OP
= −
sin( )
180 f ⇒ ΟΜ = OP sin f ⇒ p = r sin f
M04_ENGINEERING_MATHEMATICS-I _CH04_Part-A.indd 25 5/12/2016 10:10:56 AM
4.26 ■ Engineering Mathematics
⇒
1 1
2 2 2
p r
=
sin f
= = +
( )
= +
⎛
⎝
⎜
⎞
⎠
⎟
⎡
⎣
⎢
⎢
⎤
⎦
⎥
⎥
1 1
1
1
1
1
2
2
2
2
2
2
r r
r r
dr
d
cosec f f
u
cot
∴ 1 1 1
2 2 4
2
p r r
dr
d
5 1
u
⎛
⎝
⎜
⎞
⎠
⎟
which is called the p – r equation or pedal equation of a curve, r = f(u).
WORKED EXAMPLES
EXAMPLE 1
Find the p – r equation of the cardioid r a
5 2 u
( ).
1 cos
Solution.
The given equation is
r a
= −
( cos )
1 u (1)
The pedal equation of the curve (1) is
1 1 1
2 2 4
2
p r r
dr
d
= +
⎛
⎝
⎜
⎞
⎠
⎟
u
Differentiating (1) with respect to u, we get
dr
d
a a
u
u u
= − −
[ ]=
( sin ) sin
∴ the pedal equation is
1 1 1
2 2 4
2 2
p r r
a
= + sin u =
+
=
−
( ) +
=
+ − +
⎡
r a
r
a a
r
a
2 2 2
4
2 2 2 2
4
2 2 2
1
1 2
sin
cos sin
cos cos sin
u
u u
u u u
⎣
⎣ ⎤
⎦
=
+ + −
⎡
⎣ ⎤
⎦ = −
r
a
r
a
r
4
2 2 2
4
2
4
1 2 2
1
cos sin cos
( cos )
u u u
u
1 2 2
2
2 4 3
2
3
p
a
r
r
a
r
p
r
a
= ⋅ = =
⇒ .
p
P
M
O T A
r
φ
180
−
φ
ψ
Fig. 4.8
M04_ENGINEERING_MATHEMATICS-I _CH04_Part-A.indd 26 5/12/2016 10:11:01 AM
Applications of Differential Calculus ■ 4.27
EXAMPLE 2
Find the p – r equation of the curve r a m
m m
5 u
cos .
Solution.
The given equation is r a m
m m
= cos u (1)
The p – r equation is
1 1 1
2 2 4
2
p r r
dr
d
= +
⎛
⎝
⎜
⎞
⎠
⎟
u
(2)
Differentiating (1) with respect to u, we get
mr
dr
d
ma m
dr
d
a
r
m
m m
m
m
−
−
= − ⇒ = −
1
1
u
u
u
u
sin sin
⇒
dr
d
a
r
m
m
m
u
u
⎛
⎝
⎜
⎞
⎠
⎟ = −
2 2
2 2
2
sin = −
−
a
r
m
m
m
2
2 2
2
1
( cos )
u = −
⎛
⎝
⎜
⎞
⎠
⎟
−
a
r
r
a
m
m
m
m
2
2 2
2
2
1
Substituting in Equation(2), we get
1 1 1
1
2 2 4
2
2 2
2
2
p r r
a
r
r
a
m
m
m
m
= + −
⎛
⎝
⎜
⎞
⎠
⎟
⎡
⎣
⎢
⎤
⎦
⎥
−
= + −
+
1 1
2
2
2 2 2
r
a
r r
m
m
⇒
1
2
2
2 2
2 2 2 2 2 1 1
p
a
r
p a r r pa r
m
m
m m m m m
= ⇒ = = ⇒ =
+
+ + +
( )
Note
1. When m = 1, the curve is r a
= cosu, which is a circle.
The pedal equation is pa r
= 2
2. When m = 2, the curve is r a
2 2
2
= cos u, which is lemniscate of Bernoulli.
The (p – r) equation is pa r
2 3
=
3. When m =
1
2
, the curve is
r a r a
a
1
2
1
2 2
2 2 2
1
= ⇒ = = +
cos cos ( cos )
u u
u
Which is a cardioid and the p – r equation is
pa r r p
r
a
1
2
1
2
1
3
2 2
3
= = ⇒ =
+
4. When m = −
1
2
, the curve is r a a
− −
= −
⎛
⎝
⎜
⎞
⎠
⎟ =
1
2
1
2
1
2
2 2
cos cos
u u
⇒
r a
r a
=
= =
+
1
2
1
2
2
1 1
2
1 1
2
1
cos
cos
u
u c
cos
cos
u
u
2
2
1
a
a
r
⇒ = +
Squaring,
M04_ENGINEERING_MATHEMATICS-I _CH04_Part-A.indd 27 5/12/2016 10:11:10 AM
4.28 ■ Engineering Mathematics
Which is a parabola and the p – r equation is
pa r r p a r p ar
− − +
−
= = ⇒ = ⇒ =
1
2
1
2
1
1
2 2 1 2
5. When m = −1, the curve is
r a
r a
a
r
− −
= − ⇒ = ⇒ =
1 1 1 1
cos( ) cos cos
u u u, a straight line.
and the p – r equation is
pa r p a
− − +
= = ⇒ =
1 1 1
1
When m = −2, the curve is
⇒
r a
r a a
r a
− −
= −
= = ⇒ =
2 2
2 2 2
2 2
2
1 1
2
1
2
2
cos(
cos
sec
sec
u
u
u
u
)
which is a rectangular hyperbola and the p – r equation is
pa r r
p
a r
pr a
− − + −
= = ⇒ = ⇒ =
2 2 1 1
2
2
1
4.1.9 Radius of Curvature Using the p 2 r Equation of a Curve
Let r f
= ( )
u be the equation of the curve.
We know that the radius of curvature at any point ( , )
r u is
r
u
u u
=
+
⎛
⎝
⎜
⎞
⎠
⎟
⎡
⎣
⎢
⎢
⎤
⎦
⎥
⎥
+
⎛
⎝
⎜
⎞
⎠
⎟ −
=
+
r
dr
d
r
dr
d
r
d r
d
r r
2
2
2
2 2
2
2
1
2
3 2
2
/
[ ]
]
/
3 2
2
1
2
2
2
r r rr
+ −
For some curves, it is not easy to find r using the above formula. In such cases, we find r using the
(p – r) equation of the curve.
Prove that the radius curvature r5r
dr
dp
Proof
Let O be the pole and OA be the intial line. Let P r
( , )
u be any point on the curve r f
= ( )
u
Let r be the radius of curvature at P.
Let PT be the tangent at the point P and it meets OA at T.
Draw OM perpendicular to PT
Let OP = r and OM = p
∠AOP = u. Let ∠ OPT = f and ∠PTA = c
∴ c u f
= +
M04_ENGINEERING_MATHEMATICS-I _CH04_Part-A.indd 28 5/12/2016 10:11:19 AM
Applications of Differential Calculus ■ 4.29
From ΔOPM,
OM
OP
= =
sin sin
f f
⇒ p r
We know sinf
u
= r
d
ds
and cosf =
dr
ds
∴ tanu
u
u
= = ⋅
r
d
dr
r
dr
d
1
We have p = rsinf
Differentiating with respect to r, we get
dp
dr
r
d
dr
r
dr
ds
d
dr
r
d
ds
r
d
ds
r
d
ds
r
d
ds
d
ds
= +
= +
= + = +
cos sin
f
f
f
f u
f u f u
⎡
⎡
⎣
⎢
⎤
⎦
⎥ = + =
r
d
ds
r
d
ds
( )
u f
c
ds
d
r
dr
dP
r
dr
dP
ds
d
c
r r
c
= = =
⎡
⎣
⎢
⎤
⎦
⎥
⇒ {
∴ the radius of curvature at the point P r
( , )
u on the curve is r = r
dr
dP
WORKED EXAMPLES
EXAMPLE 3
Find the radius curvature at any point on the cardioid r a
5 2 u
( )
1 cos using the p – r equation
of the curve.
Solution.
The given curve is r a
= −
( cos )
1 u
The p – r equation is
p
r
a
2
3
2
= (1) [Refer worked example 1, page 4.26]
Let r be the radius curvature at any point P r
( , )
u on the curve,
∴ r = r
dr
dp
Now p
r
a
2
3
2
= ⇒ r ap
3 2
2
=
P
O T
M
p
A
r
θ
φ
ψ
Fig. 4.9
M04_ENGINEERING_MATHEMATICS-I _CH04_Part-A.indd 29 5/12/2016 10:11:30 AM
4.30 ■ Engineering Mathematics
Differentiating w.r.to p, we get
∴ 3 2 2
4 4
2
2
3
2
2
3
2
1
2
r
dr
dp
a p r
dr
dp
ap
r
a
r
r
a
ar
= ⋅ ⇒ = = ⋅ =
( )
[using (1)]
∴ the radius of curvature r =
2
3
2ar
EXAMPLE 4
Find the (p – r) equation of the curve x y ax
2 2
1 5 and hence, deduce its radius of curvature.
Solution.
The given curvature is x y ax
2 2
+ = .
Put x r y r
= =
cos , sin .
u u
∴ Its polar equation is
r r ar
r ar r ar r
2 2 2 2
2 2 2 2
cos sin cos
(cos sin ) cos cos
u u u
u u u u
+ =
⇒ + = ⇒ = ⇒ = a
acosu
The (p – r) equation is
1 1 1
2 2 4
2
p r r
dr
d
= +
⎛
⎝
⎜
⎞
⎠
⎟
u
We have r a
= cosu ∴
dr
d
a
u
u
= − sin
⇒
1 1 1 1
1
2 2 4
2 2
4
2 2 2
4
2 2 2 2
2
p r r
a
r
r a
r
a a
a
= + = +
= + =
sin [ sin ]
[ sin ]
u u
u u
cos
[
[ sin ]
( )
cos2 2
4
2
4
4 2 2 2
1
u u
+
=
= ⇒ =
r
a
r
r a p r ap
The radius of curvature is r = r
dr
dp
Differentiating (1) w.r to p, we get
∴ the radius of curvature
2
2
2 2
r
dr
dp
a
dr
dp
a
r
r
a
r
a
= ⇒ =
= ⋅ =
r
Note that r = a cos u is a circle of diameter a. So, the radius =
a
2
. Hence, r =
a
2
.
EXERCISE 4.2
1. Find the radius of curvature of the rectangular hyperbola r a
2 2
2
= sec u.
2. Find the radius of curvature at the point ( , )
r u on the curve r a n
n n
= cos u.
∴
M04_ENGINEERING_MATHEMATICS-I _CH04_Part-A.indd 30 5/12/2016 10:11:36 AM
Applications of Differential Calculus ■ 4.31
3. Find the radius of curvature at a point on the cardioid r a
= −
( cos )
1 u .
4. Show that the radius of curvature of r a
2 2
2
= cos u is
a
r
2
3
.
5. Find the radius of curvature at the origin for the following curves.
( ) ( ) ( ) ( )
( )
1 0 2
3 4 5 2
4 3 2 2 2 2 2 3
3 2 3 2
y x a x y a y a y x x
x x y y x xy
+ + + − = − =
− − + − +
+ − = − = + +
3 8 0 4 2
2 2 2
y y y x x xy y
( )
6. Find the radius of curvature using p−r equation for the following curves.
( ) sin ( ) sin ( ) ( ) cos
cot
1 2 3 4
2
1
r a r a r a e
a
r
= = =
m m
u u u
u a
m = −
ANSWERS TO EXERCISE 4.2
1.
r
a
3
2 2. a
r
n
n
n
− +
+
1
1
3. 2
3
2ar 5.( ) ( ) ( ) ( )
1
2
2 2 3 3 45 4
1
2 2
a
a
6. ( ) , ( ) ,
( ) sin ,
sin
( )
1
2
2
1
3 4
2 1
1
r ap
a
pa r a
r
m
p r
r
m m m
m
= = = =
+
= =
+
− +
r r
a r
a
p
p ar
r
a
2
3
2
2
= =
, r
4.2 EVOLUTE
Definition 4.4 The locus of centre of curvature of a given curve Γ is called the evolute of the curve.
The given curve Γ is called an involute of the evolute. In fact, for the evolute there are many
involutes.
4.2.1 Properties of Evolute
The evolute has some interesting properties.
Property I
The normal at any point P to a given Curve is a tangent to the evolute at the centre of curvature of P.
Proof
Let P(x, y) be any point on the curve y = f(x). Let (x, y) be the centre of curvature at P to the given
curve.
Centre of curvature is given by
x x
= = − = −
ON OM NM BP
Let r be the radius of curvature at the point P (x, y)
∴
BP
r
c
= sin
⇒ BP = r c
sin
∴ x x
= − r c
sin
M04_ENGINEERING_MATHEMATICS-I _CH04_Part-A.indd 31 5/12/2016 10:11:41 AM
4.32 ■ Engineering Mathematics
and y y
= = + = +
CN BN BC BC
But
BC
BC
r
c r c
= ⇒ =
cos cos
y y
= + r c
cos
PC is normal to the curve at
∴ slope of PC =
−1
tan c
We now show that the slope of the evolute at the
point (x, y) = slope of PC.
Since the evolute is the locus of centre of
curvature, the point (x, y) is any point on the evolute.
∴ the slope of evolute =
dy
dx
=
dy
ds
dx
ds
, where s is arc length.
But
dx
ds
=
dx
ds
d
ds
d
ds
− +
⎧
⎨
⎩
⎫
⎬
⎭
r c
c
c
r
cos sin and
dx
ds
= cos c
∴
dx
ds
d
ds
d
ds
= − −
= − −
cos cos . sin
cos cos sin
c r c
r
c
r
c c c
r
1
⇒
dx
ds
d
ds
= −sin c
r
(1)
Now
dy
ds
dy
ds
dy
ds
d
ds
= + −
⎡
⎣
⎢
⎤
⎦
⎥ +
r c c
r
cos cos and
dy
ds
= sin c
∴
dy
ds
d
ds
d
ds
= − +
= − +
sin sin cos
sin sin cos
c r c
r
c
r
c c c
r
1
⇒
dy
ds
d
ds
= cos c
r
(2)
dy
dx
d
ds
d
ds
=
−
= − = − =
cos
sin
cot
tan
c
r
c
r
c
c
1
slope of pC
∴ the normal at P is tangent to the evolute at its centre of curvature.
∴
N M
B
O
C
ρ
ψ
ψ
P(x, y)
(x, y)
x
y
Fig. 4.10
M04_ENGINEERING_MATHEMATICS-I _CH04_Part-A.indd 32 5/12/2016 10:11:48 AM
Applications of Differential Calculus ■ 4.33
Property 2
The length of an arc of the evolute is equal to the difference between the radii of curvature of the given
curve which are tangent to the arc at its extremities, provided that along the arc of the given curve, r
increases or decreases.
Proof
We know the differential arc length of any curve is
ds dx dy
( ) = ( ) + ( )
2 2 2
Let C1
C2
be an arc of the evolute, C1
C2
are the centres of curvature of P1
P2
respectively.
For the evolute if s′ is the arc length of evolute measured from the fixed point A and (x, y) is any-
point on the evolute.
∴ ds dx dy
dx
ds
d
ds
dy
ds
d
ds
′
( ) = ( ) + ( )
= − =
2 2 2
sin c
r
c
r
and cos
(3)
But [from property (1)]
Squaring and adding, we get
dx
ds
dy
ds
d
ds
⎛
⎝
⎜
⎞
⎠
⎟ +
⎛
⎝
⎜
⎞
⎠
⎟ =
⎛
⎝
⎜
⎞
⎠
⎟
2 2 2
r
(4)
But ds
ds
dx
ds
dy
ds
′
⎛
⎝
⎜
⎞
⎠
⎟ =
⎛
⎝
⎜
⎞
⎠
⎟ +
⎛
⎝
⎜
⎞
⎠
⎟
2 2 2
[Dividing (3) by ds]
⇒ =
⎛
⎝
⎜
⎞
⎠
⎟
d
ds
r
2
Using (4)
⇒
ds
ds
d
ds
′
= ±
r
⇒ ds d
′ = ± r
∴ integrating, ′ = ±
s c
r +
If arc AC1
= s1
′ and arc AC2
= s2
′ , then arc C1
C2
= s2
′ − s1
′
If r1
and r2
are radii of curvatures at the points to P1
, P2
on the given curve, then
′ =
s c
1 1
± +
r and ′ = ± +
s c
2 2
r ∴ ′ − ′ = ± −
( )
s s
2 1 2 1
r r
∴ arc C C
1 2 2 1
= −
r r
Hence, the result.
Note
For a given curve Γ there is only one evolute C. But there are many curves for which C is the
evolute. So, there are many involutes.
C1
C2
y
x
ρ1
P1
P2
ρ2
s1
′
A
O
Fig. 4.11
M04_ENGINEERING_MATHEMATICS-I _CH04_Part-A.indd 33 5/12/2016 10:11:53 AM
4.34 ■ Engineering Mathematics
Let P1
P2
P3
P4
…, be the given curve
C1
C2
C3
C4
… be its evolute, where Ci
is the
centre of curvature at Pi
If the evolute is taken as the given curve
P1
P2
P3
P4
… is an evlute. P1
C1
P2
C2
… are
normal at P1
, P2
, …, respectively touching the
evolute at C1
,C2
… respectively.
Now construct the curve P′
1
P′
2
P′
3
… such
that P1
P′
1
= P2
P′
2
= P3
P′
3
= …
Then the curve P′
1
P′
2
P′
3
… is an involute.
Similarly, we can construct many involutes
for the given curve C1
C2
C3
…
4.2.2 Procedure to Find the Evolute
Let y = f(x) (1) be the equation of the given
curve. If ( , )
x y is the centre of curvature at
any point P (x, y) on (1), then
x x
y y
y
= −
+
( )
1 1
2
2
1
2
( ) and y y
y
y
= +
+
( )
1
3
1
2
2
( )
Eliminating x, y using (1), (2) and (3), we get a relation in x y
, . Replacing x by x and y by y, we get
the equation of locus of ( , ),
x y which is the evolute of the given curve.
The process of elimination of x and y would become simpler if the point (x, y) is taken in terms of
a parameter t.
WORKED EXAMPLES
EXAMPLE 1
Find the equation of the evolute of the parabola y2
4
5 ax.
Solution.
The given curve is y ax
2
4
= . (1)
Let P ( , )
at at
2
2 be any point on the parabola.
Differentiating w.r.to x, 2 4
y
dy
dx
a
= ⇒ dy
dx
a
y
=
2
and d y
dx
a
y
dy
dx
a
y
2
2 2
2
3
2 4
= − ⋅ = −
At the point (at2
, 2at),
dy
dx
a
at t
d y
dx
a
at at
= = = − = −
2
2
1 4
2
1
2
2
2
2
3 3
and
( )
∴ y
t
y
at
1 2 3
1 1
2
= = −
and
C1
C2
C3
C4
P2
P1
P′
1
P′
2
P′
3
P′
4
P3 P4
Fig. 4.12
M04_ENGINEERING_MATHEMATICS-I _CH04_Part-A.indd 34 5/12/2016 10:11:59 AM
Applications of Differential Calculus ■ 4.35
The centre of curvature ( , )
x y at P is given by
x x
y y
y
at
t t
at
at a t
= −
+
= −
+
⎛
⎝
⎜
⎞
⎠
⎟
−
= + +
1 1
2
2
2
2
3
2 2
1
1
1
1
1
2
2 1
( )
( ) = +
3 2
2
at a
∴ 3 2
2
at x a
= − ⇒ t
x a
a
2 2
3
=
−
⇒ t
x a
a
=
−
⎛
⎝
⎜
⎞
⎠
⎟
2
3
1 2
/
(2)
and y y
y
y
= +
+
1 1
2
2
= +
+
−
= − + = −
2
1
1
1
2
2 2 1 2
2
3
2 3
at t
at
at at t at
( )
⇒ y at
= −2 3
(3)
Eliminating t from (2) and (3) we get,
y a
x a
a
= − ⋅
−
⎛
⎝
⎜
⎞
⎠
⎟
2
2
3
3 2
/
Squaring both sides, ( ) ( )
y
a
a
x a
2
2
3
3
4
27
2
= − ⇒ 27 4 2
2 3
a y x a
( ) ( )
= −
∴ the locus of ( , )
x y is 27 4 2
2 3
ay x a
= −
( ) ,
which is the equation of the evolute of the parabola.
EXAMPLE 2
Find the equation of the evolute of the ellipse
x y
2
2
2
2
1
a b
1 5 .
Solution.
The given curve is
x
a
y
b
2
2
2
2
1
+ = (1)
Let P ( cos , sin )
a b
u u be any point on the ellipse
Differentiating w.r.to x, we get 2
2
0
2 2
x
a
y
b
dy
dx
+ = ⇒
dy
dx
b
a
x
y
= −
2
2
∴ d y
dx
b
a
y x
dy
dx
y
2
2
2
2 2
1
= −
⋅ − ⋅
⎡
⎣
⎢
⎢
⎤
⎦
⎥
⎥
At the point (a b
cos , sin )
u u
dy
dx
b
a
a
b
= − ⋅
2
2
cos
sin
u
u
= −
b
a
cos
sin
u
u
M04_ENGINEERING_MATHEMATICS-I _CH04_Part-B.indd 35 5/12/2016 10:26:41 AM
4.36 ■ Engineering Mathematics
and d y
dx
b
a
b a
b
a
b
b
2
2
2
2 2 2
= −
−
−
⎛
⎝
⎜
⎞
⎠
⎟
⎡
⎣
⎢
⎢
⎤
⎦
⎥
⎥
=
−
sin cos
cos
sin
sin
u u
u
u
u
2
2
2
2 2
2 3 2 3
1
a
b b
b
b
a
[ sin cos ]
sin sin
u u
u u
+
= −
∴ y
b
a
y
b
a
1 2 2 3
= − = −
cos
sin sin
u
u u
and
The centre of curvature ( , )
x y at the point P is given by
x x
y y
y
a
b
a
b
a
= −
+
= −
−
⎛
⎝
⎜
⎞
⎠
⎟ +
⎛
⎝
⎜
1 1
2
2
2 2
2 2
1
1
( )
cos
cos
sin
cos
sin
u
u
u
u
u
⎞
⎞
⎠
⎟
−
= − +
⎛
⎝
⎜
⎞
⎠
⎟
=
b
a
a a
b
a
a
2 3
2
2 2
2 2
1
1
sin
cos cos sin
cos
sin
cos
u
u u u
u
u
u
u u u u
u u u
u
− −
= − −
= −
a
b
a
a
b
a
a
b
a
cos sin cos
cos ( sin ) cos
cos c
2
2
3
2
2
3
3
2
1
o
os cos
3
2 2
3
u u
=
−
a b
a
⇒ x
a b
a
=
−
2 2
3
cos u (1)
and y y
y
y
b
b
a
b
a
b
a
b
= +
+
= +
+
−
= −
1
1
1
2
2
2
2
2
2
2 3
2 3
sin
cos
sin
sin
sin
sin
u
u
u
u
u
u
1
1
2
2
2
2
2
3 2
+
⎛
⎝
⎜
⎞
⎠
⎟
= − −
b
a
b
a
b
b
cos
sin
sin sin sin cos
u
u
u u u u
= − −
= − =
−
b
a
b
b
a
b
b a
b
sin ( cos ) sin
sin sin sin
u u u
u u u
1 2
2
3
3
2
3
2 2
3
⇒ y
a b
b
= −
−
2 2
3
sin u (2)
M04_ENGINEERING_MATHEMATICS-I _CH04_Part-B.indd 36 5/12/2016 10:26:45 AM
Applications of Differential Calculus ■ 4.37
Eliminate u from (1) and (2).
From (1), we get
ax
a b
2 2
3
−
= cos u ⇒ cos
/
u =
−
⎛
⎝
⎜
⎞
⎠
⎟
ax
a b
2 2
1 3
Similarly, from (2) sin
/
u = −
−
⎛
⎝
⎜
⎞
⎠
⎟
by
a b
2 2
1 3
We know that cos sin
2 2
1
u u
+ =
⇒
( )
/ /
ax
a b
by
a b
2 2
2 3
2 2
2 3
1
−
⎡
⎣
⎢
⎤
⎦
⎥ +
−
−
⎡
⎣
⎢
⎤
⎦
⎥ =
⇒
( )
( )
( )
( )
/
/
/
/
ax
a b
by
a b
2 3
2 2 2 3
2 3
2 2 2 3
1
−
+
−
= ⇒ ( ) ( ) ( )
/ / /
ax by a b
2 3 2 3 2 2 2 3
+ = −
∴ the locus of ( , )
x y is ( ) ( ) ( ) ,
/ / /
ax by a b
2 3 2 3 2 2 2 3
+ = −
which is the equation of the evolute of the ellipse.
EXAMPLE 3
Find the evolute of the rectangular hyperbola xy c
5 2
.
Solution.
The given curve is xy c
= 2
. (1)
Let P ct
c
t
,
⎛
⎝
⎜
⎞
⎠
⎟ be any point on (1)
(1) ⇒ y
c
x
=
2
∴
dy
dx
c
x
= −
2
2 and
d y
dx
c
x
2
2
2
3
2
=
At the point ct
c
t
,
⎛
⎝
⎜
⎞
⎠
⎟,
dy
dx
c
c t t
= − = −
2
2 2 2
1
and
d y
dx
c
c t ct
2
2
2
3 3 3
2 2
= =
∴ y
t
y
ct
1 2 2 3
1 2
= − =
and
The centre of curvature ( , )
x y at the point P is given by
x x
y y
y
ct t t
ct
ct
ct
t
= −
+
= −
− +
⎛
⎝
⎜
⎞
⎠
⎟
= + +
⎛
⎝
⎜
⎞
⎠
⎟ =
1 1
2
2
2 4
3
4
1
1
1
1
2 2
1
1 3
( ) c
ct c
t
2 2 3
+
⇒ x
c
t
t
= +
2
3 1
3
4
( ) (2)
M04_ENGINEERING_MATHEMATICS-I _CH04_Part-B.indd 37 5/12/2016 10:26:56 AM
4.38 ■ Engineering Mathematics
and y y
y
y
c
t
t
ct
= +
+
= +
+
1 1
1
2
1
2
2
4
3
= + + = + = +
c
t
c
t
t
c
t
ct
t
c
t
t
2
1
3
2 2 2
3
4
4
4
( ) ( )
⇒ y
c
t
t t
= +
2
3
3
2 6
( ) (3)
∴ x y
c
t
t t t
c
t
t t t
c
t
t
+ = + + +
= + + + = +
2
3 1 3
2
1 3 3
2
1
3
4 2 6
3
2 4 6
3
2 3
[ ]
[ ] ( )
⇒ x y
c t
t
+ =
+
⎛
⎝
⎜
⎞
⎠
⎟
2
1
2 3
⇒ ( ) /
/
x y
c t
t
+ =
⎛
⎝
⎜
⎞
⎠
⎟
+
⎛
⎝
⎜
⎞
⎠
⎟
1 3
1 3 2
2
1
(4)
Also x y
c
t
t t t
c
t
t t t
c
t
t
c
− = + − −
= − + − = − =
−
2
3 1 3
2
1 3 3
2
1
2
1
3
4 2 6
3
2 4 6
3
2 3
[ ]
[ ] ( )
t
t
t
2 3
⎡
⎣
⎢
⎤
⎦
⎥
⇒ ( ) /
/
x y
c t
t
− =
⎛
⎝
⎜
⎞
⎠
⎟
−
⎡
⎣
⎢
⎤
⎦
⎥
1 3
1 3 2
2
1
(5)
Eliminating t from (4) and (5), we get the equation of the evolute.
Now, ( ) ( )
/ /
/
x y x y
c t
t
t
t
+ − − =
⎛
⎝
⎜
⎞
⎠
⎟
+
⎛
⎝
⎜
⎞
⎠
⎟ −
−
⎛
⎝
⎜
⎞
⎠
⎟
⎡
⎣
⎢
⎤
2 3 2 3
2 3 2 2 2 2
2
1 1
⎦
⎦
⎥
=
⎛
⎝
⎜
⎞
⎠
⎟
+ − −
⎡
⎣
⎢
⎤
⎦
⎥
c t t
t
2
1 1
2 3 2 2 2 2
2
/
( ) ( )
=
⎛
⎝
⎜
⎞
⎠
⎟ ⋅ =
c t
t
c
2
4
2 3 2
2
/ 2
2 3
2 3
2
3
1
1
3 2 3
2
4 4 4
/
/
/
( )
⋅ = =
−
c c
⇒ ( ) ( ) ( )
/ / /
x y x y c
+ − − =
2 3 2 3 2 3
4
∴ the locus of ( , )
x y is ( ) ( ) ( ) ,
/ / /
x y x y c
+ − − =
2 3 2 3 2 3
4
which is the equation of the evolute.
M04_ENGINEERING_MATHEMATICS-I _CH04_Part-B.indd 38 5/12/2016 10:27:02 AM
Applications of Differential Calculus ■ 4.39
EXAMPLE 4
Show that the evolute of the cycloid x 5 u 2 u
a( sin ), y 5 2 u
a( )
1 cos is another cycloid.
Solution.
Let P ‘u’ be any point on the cycloid.
Given the parametric equation of the cycloid.
x a y a
= − = −
( sin ) ( cos )
u u u
and 1
∴
dx
d
a a
dy
d
a a
u
u
u
u
u
u u
= − = = =
( cos ) sin sin sin cos
1 2
2
2
2 2
2
and
∴ dy
dx
dy
d
dx
d
a
a
= = = =
u
u
u u
u
u
u
u
2
2 2
2
2
2
2
2
2
sin cos
sin
cos
sin
cot
and d y
dx
d
d
d
dx
a
2
2
2
2
4
2 2
1
2
1
2
2
2
=
⎛
⎝
⎜
⎞
⎠
⎟ = − ⋅ ⋅ = −
u
u u u
u
u
cot
sin
cosec
cosec
4
4a
∴ y y
a
1 2
4
2
2
4
= = −
cot
u
u
and
cosec
The centre of curvature ( , )
x y at u is given by
x x
y y
y
a
a
= −
+
= − −
+
⎛
⎝
⎜
⎞
⎠
⎟
−
1 1
2
2
2
4
1
2
1
2
2
4
( )
( sin ) cot
cot
u u
u
u
u
cosec
= − + ⋅
= − +
a
a
a a
( sin )
cos
sin
( sin ) cos
u u
u
u
u
u
u u
u
4
2
2
2
2
4
2
2
4
cosec
cosec
⋅
⋅sin
u
2
⇒
= − + ⋅ = +
= +
( sin ) sin sin
( sin )
u u u u u
u u
2
a a a
x a
a
(1)
and y y
y
y
a
a
= +
+
= − +
+
−
1
1
1
2
2
4
1
2
2
2
4
( cos )
cot
u
u
u
cosec
M04_ENGINEERING_MATHEMATICS-I _CH04_Part-B.indd 39 5/12/2016 10:27:07 AM
4.40 ■ Engineering Mathematics
a a
= − −
1 4
( cos )
u
cosec
c
cosec
2
4
2
2
u
u
= − − = − = −
a a a a a
( cos ) sin sin sin sin
1 4
2
2
2
4
2
2
2
2 2 2 2
u
u u u u
⇒ y a
= − −
( cos )
1 u (2)
Elimination of u from (1) and (2) is very difficult.
∴ the locus of ( , )
x y is given by the parametric equations
x a y a
= + = − −
( sin ) ( cos ),
u u u
and 1
which is another cycloid.
EXAMPLE 5
Show that the evolute of the tractrix x t
t
5 1
a cos log tan ,
2
⎛
⎝
⎜
⎞
⎠
⎟ y t
5 asin is the catenary
y
x
5 a
a
cosh .
Solution.
Let t be any point on the given curve
x a t
t
y a t
= +
⎛
⎝
⎜
⎞
⎠
⎟ =
cos logtan sin
2
and
∴
dx
dt
a t
t
t
a t
t
t
= − + ⋅ ⋅
⎡
⎣
⎢
⎢
⎤
⎦
⎥
⎥
= − +
sin
tan
sec
sin
cos
sin cos
1
2
2
1
2
2
2
2
2
2
2
2
t
⎡
⎣
⎢
⎢
⎢
⎤
⎦
⎥
⎥
⎥
and
dy
dt
a t
= cos
= +
⎡
⎣
⎢
⎢
⎤
⎦
⎥
⎥
= − +
⎡
⎣
⎢
⎤
⎦
⎥ =
a t
t t
a t
t
a
t
−
−
sin
sin cos
sin
sin
sin
si
1
2
2 2
1 1 2
n
n
cos
sin
t
a t
t
⎡
⎣
⎢
⎤
⎦
⎥ =
2
∴ dy
dx
dy
dt
dx
dt
a t
a
t
t
t
t
t
= = = =
cos
cos
sin
sin
cos
tan
2
d y
dx
d
dt
dy
dx
dt
dx
t
t
a t
t
a t
2
2
2
2 4
=
⎛
⎝
⎜
⎞
⎠
⎟ = ⋅ =
sec
sin
cos
sin
cos
∴ y t y
t
a t
1 2 4
= =
tan
sin
cos
and
M04_ENGINEERING_MATHEMATICS-I _CH04_Part-B.indd 40 5/12/2016 10:27:13 AM
Applications of Differential Calculus ■ 4.41
The centre of curvature ( , )
x y is given by
x x
y y
y
a t
t t t
t
a
e
= −
+
= +
⎛
⎝
⎜
⎞
⎠
⎟ −
+
1 1
2
2
2
1
2
1
( )
cos log tan
tan ( tan )
sin
cos
s
cos log tan
sin
cos
sec cos
sin
cos
4
2 4
2
t
a t
t
a
t
t
t t
t
a t
e
= +
⎡
⎣
⎢
⎤
⎦
⎥ − ⋅
= + l
log tan cos
e
t
a t
2
⎡
⎣
⎢
⎤
⎦
⎥ −
⇒ x a
t x
a
t
e
= ⇒ =
log tan log tan
2 2
e
(1)
and y y
y
y
a t
t
t
a t
= +
+
= +
+
1 1
1
2
2
2
4
sin
tan
sin
cos
= +
=
+
= = ⋅
+
a t
a t t
t
a
t t
t
a
t
a
t
sin
sec cos
sin
(sin cos )
sin sin
tan
2 4
2 2
2
1
2
2
2
2
tan
t
⇒ y
a
t
t
= +
⎛
⎝
⎜
⎜
⎞
⎠
⎟
⎟
2
1
2
2
tan
tan (2)
(1) e
t
x
a
= tan
2
⇒ e
t
x
a
−
=
1
2
tan
(2) ⇒ y
a
e e
a
e e
x
a
x
a
x
a
x
a
= + = +
−
2 2
( ) ( ) = a
x
a
cosh
∴the locus of ( , )
x y is y a
x
a
= cosh , which is a catenary.
EXERCISE 4.3
1. Find the evolute of the curve x a y a
= + = −
(cos sin ), (sin cos ).
u u u u u u
2. Find the evolute of the hyperbola
x
a
y
b
2
2
2
2
1
− = .
3. Find the evolute of the parabola x y
2
4
= .
4. Show that the evolute of the cycloid x a t t y a t
= + = −
( sin ), ( cos )
1 is given by x a t t
= −
( sin ),
y a a t
− = +
( cos ).
2 1
ANSWERS TO EXERCISE 4.3
1. x y a
2 2 2
+ = 2. ( ) ( ) ( )
/ / /
ax by a b
2 3 2 3 2 2 2 3
− = + 3. 27 4 2
2 3
x y
= −
( )
M04_ENGINEERING_MATHEMATICS-I _CH04_Part-B.indd 41 5/12/2016 10:27:21 AM
4.42 ■ Engineering Mathematics
4.3 ENVELOPE
Consider the system of straight lines y mx
m
= +
1
(1) where m is a parameter. For different values
of m, we have different straight lines and so (1) represents a family of straight lines. Each member of
this family touches the curve y x
2
4
= . So, these lines cover the curve y x
2
4
= . This curve is called the
envelope of the family of lines. We shall now define envelope.
Definition 4.5 Let f x y
( , , )
a = 0 be a single parameter family of curves, where a is the parameter.
The envelope of this family of curves is a curve which touches every member of the family.
4.3.1 Method of Finding Envelope of Single Parameter Family of Curves
1. Given the curves f x y
( , , )
a = 0 (1)
Find
∂
∂
=
a
a
f x y
( , , ) 0 (2)
Eliminate a from (1) and (2). The eliminant, if exists, is an equation in x and y. It is the envelope
of the family (1).
2. It is impossible to eliminate a from (1) and (2), then solve for x and y in terms of a. It will give
the parametric representation of the envelope.
3. If the equation of the family of curves (1) can be written in the form of a quadratic in the parameter
a as A B C
a a
2
0
+ + = (3)
where A, B, C are functions of x and y,
Then the envelope is B2
− 4AC = 0
For, differentiating (3) w.r.to a,we get 2 0
A B
a + = ⇒ a =
−B
A
2
Substituting in (3), we get
A
B
4A
B
2A
C
B
4A
C B 4AC
2
2
2 2
2
⋅ − + = − + = − =
0 0 0
⇒ ⇒ ⇒ B 4AC
2
− = 0
which is the equation of the envelope.
Note
(1) A point P (a, b) is a singular point of a curve f x y
( , , ) (
a a
= 0 fixed) (1)
if it satisfies (1)
∂
∂
=
f
x
0 2
( ) and ∂
∂
=
f
y
0 (3)
P is said to be an ordinary point if atleast one of (2) and (3) is not satisfied.
(2) The characteristic points of the family of curves f x y
( , , )
a = 0 are those ordinary points of the
family where the equations
f x y
( , , ) ,
a = 0
∂
∂
=
f x y
( , , )
a
a
0 simultaneously hold.
Characteristic points are isolated on each curve.
M04_ENGINEERING_MATHEMATICS-I _CH04_Part-B.indd 42 5/12/2016 10:27:31 AM
Applications of Differential Calculus ■ 4.43
Infact, the envelope of a family of curves f x y
( , , )
a = 0, a is a parameter, is the locus of their
isolated characteristic points.
(3) Not every single parameter family has envelope. For example, the family of concentric circles
x y
2 2 2
+ = a has no envelope, as there is no characteristic point.
WORKED EXAMPLES
EXAMPLE 1
Find the envelope of the family lines y mx a m b
= ± −
2 2 2
, where m is the parameter.
Solution.
Given family is y mx a m b
= ± −
2 2 2
, m is the parameter
⇒ y mx a m b
− ± −
= 2 2 2
⇒ ( )
y mx a m b
− = −
2 2 2 2
⇒ y mxy m x a m b
2 2 2 2 2 2
2
− + = −
⇒ m x a mxy y b
2 2 2 2 2
2 0
( ) ( )
− − + + =
This is quadratic in m
Here A B C
= − = − = +
x a xy y b
2 2 2 2
2
, ,
∴ the envelope is B AC
2
4 0
− =
⇒ 4 4 0
2 2 2 2 2 2
x y x a y b
− − + =
( )( )
⇒ x y x y b x a y a b
2 2 2 2 2 2 2 2 2 2
0 4
− + − − =
( ) [ ]
÷ by
⇒ b x a y a b
2 2 2 2 2 2
0
− − = ⇒ b x a y a b
2 2 2 2 2 2
− = ⇒ x
a
y
b
2
2
2
2
1
− =
which is a hyperbola.
EXAMPLE 2
Find the envelope of the straight lines represented by x y
cos sin sec ,
a 1 a 5 a
a where a is the
parameter.
Solution.
Given family is x y a
cos sin sec
a a a
+ = , where a is the parameter
Dividing by cos a, x y a
+ =
tan sec
a a
2
= +
a( tan )
1 2
a
⇒ a y a x
tan tan ( )
2
0
a a
− + − = , which is a quadratic in tan a
Here A B C
= = − = −
a y a x
, ,
∴ the envelope is B AC
2
4 0
− = ⇒ y a a x y a a x
2 2
4 0 4
− − = =
( ) ( )
⇒ −
which is a parabola.
M04_ENGINEERING_MATHEMATICS-I _CH04_Part-B.indd 43 5/12/2016 10:27:42 AM
4.44 ■ Engineering Mathematics
EXAMPLE 3
Find the envelope of the lines x y a
cos sin ,
3 3
a1 a 5 where a is a parameter.
Solution.
Given x y a
cos sin ,
3 3
a a
+ = where a is the parameter. (1)
Differentiating w.r.to a, we get
⇒
x y
x y
⋅ − + ⋅ ⋅ =
=
3 3 0
2 2
2 2
cos ( sin ) sin cos
cos sin sin cos
a a a a
a a a a
⇒ tana =
x
y
∴ sina =
+
x
x y
2 2
, cosa =
+
y
x y
2 2
Substituting in (1), x
y
x y
y
x
x y
a
⋅
+
+ ⋅
+
=
3
2 2 3 2
3
2 2 3 2
( ) ( )
/ /
⇒
xy x y
x y
a
( )
( ) /
2 2
2 2 3 2
+
+
= ⇒
xy
x y
a
( ) /
2 2 1 2
+
=
⇒ xy a x y
= +
2 2
⇒ x y a x y
2 2 2 2 2
= +
( ),
which is the envelope.
EXAMPLE 4
Find the envelope of the family of straight lines y x
cos sin
a 2 a 5 acos ,
2a a being the
parameter.
Solution
Given y x a
cos sin cos
a a a
− = 2 (1)
where a is a parameter
Differentiating partially w.r.to a, we get
− − = −
y x a
sin cos sin
a a a
2 2
⇒ y x a
sin cos sin
a a a
+ = 2 2 (2)
( )sin ( )cos
1 2
a a
− ,
⇒ − − = − ⋅
x x a a
sin cos cos sin sin cos
2 2
2 2 2
a a a a a a
⇒ − + = −
x a
(sin cos ) (sin cos sin cos )
2 2
2 2 2
a a a a a a
⇒ x a
a
= −
= − −
⎡
⎣ ⎤
⎦
[ sin cos sin cos
sin cos sin (cos sin )
2 2 2
4 2 2 2
a a a a
a a a a a
⇒ x a
= +
⎡
⎣ ⎤
⎦
3 2 3
sin sin
a a a
cos (3)
Fig. 4.13
α
x
y
2 2
+
x y
M04_ENGINEERING_MATHEMATICS-I _CH04_Part-B.indd 44 5/12/2016 10:27:54 AM
Applications of Differential Calculus ■ 4.45
( )cos ( )sin
1 2
a a
+
⇒ y a
(cos sin ) [cos cos sin sin ]
2 2
2 2 2
a a a a a a
+ = +
⇒ y a
= − +
⎡
⎣ ⎤
⎦
(cos sin )cos sin cos
2 2 2
4
a a a a a
= +
a[cos sin cos ]
3 2
3
a a a (4)
∴
x y a
a
− = + − −
= −
[sin sin cos cos sin cos ]
[sin cos ]
3 2 3 2
3
3 3
a a a a a a
a a
⇒
x y
a
−
⎛
⎝
⎜
⎞
⎠
⎟ = −
1 3
/
sin cos
a a (5)
and
x y a
a
+ = + + +
⎡
⎣ ⎤
⎦
= +
sin sin sin cos sin
(sin cos )
3 2 2 3
3
3 3
a a a a a a
a a
cos
∴
x y
a
+
⎛
⎝
⎜
⎞
⎠
⎟ = +
1 3
/
sin cos
a a (6)
Squaring and adding (5) and (6), we get
⇒
( ) ( )
(sin cos ) (sin cos )
sin
/
/
/
/
x y
a
x y
a
−
+
+
= − + +
= +
2 3
2 3
2 3
2 3
2 2
2
a a a a
a c
cos sin cos sin cos sin cos
(cos sin )
(
2 2 2
2 2
2 2
2 2
a a a a a a a
a a
− + +
= + =
−
x y)
) ( )
/ / /
2 3 2 3 2 3
2
+ + =
x y a
which is the envelope.
4.3.2 Envelope of Two Parameter Family of Curves
1. Let f x y
( , , , )
a b = 0 (1)
be a 2-parameter family of curves, where a, b are the parameters such that
f (a, b) = 0 (2)
Find b in terms of a from (2) and substitute in (1) and thus the problem is reduced to one
parameter family and proceed as above.
2. The following method is more convenient in many cases. For a fixed point (x, y) of the envelope
treating b as a function of a differentiate (1) and (2) w.r.to a and eliminate
d
d
b
a
from these equations.
Using this relation with (1) and (2), eliminate a and b. The eliminant, if exists, gives the envelope.
WORKED EXAMPLES
EXAMPLE 1
Find the envelope of the famly of straight lines
x y
a b
1 51, where ab c a b
5 2
and , are parameters,
c is a constant.
M04_ENGINEERING_MATHEMATICS-I _CH04_Part-B.indd 45 5/12/2016 10:27:58 AM
4.46 ■ Engineering Mathematics
Solution.
Given
x
a
y
b
+ = 1 (1) and ab = c2
⇒ b
c
a
=
2
(2)
Substituting in (1), we get
x
a
y
c
a
x
a c
ay
+ = + =
2 2
1
1
1
⇒ ⇒ c x a y ac
2 2 2
+ =
⇒
ya c a c x
2 2 2
0
− + =
This is a quadratic in the parameter a. Here A B C
= = − =
y c c x
, ,
2 2
∴ the envelope is B2
− 4AC = 0 ⇒ c y c x
4 2
4 0
− ⋅ = ⇒ 4 2
xy c
=
which is a rectangular hyperbola.
EXAMPLE 2
Find the envelope of the family of straight lines
x y
a b
1 51 where the parameters a and b are
related by the equation a b c
n n n
1 5 , c being a constant.
Solution.
Given
x
a
y
b
+ = 1 (1) and a b c
n n n
+ = (2)
Differentiating (1) and (2) with respect to a, treating b as a function of a, we get
− − = ⇒ = −
x
a
y
b
db
da
db
da
b x
a y
2 2
2
2
0 (3)
and na nb
db
da
n n
− −
+ ⋅ =
1 1
0 ⇒
db
da
a
b
= −
−
−
n
n
1
1
(4)
From (3) and (4) we get, b x
a y
a
b
2
2
1
=
−
−
n
n 1
⇒ x
a
y
b
x
a
a
y
b
b
n+1 n+1 n n
= ⇒ =
∴
x
a
a
y
b
b
x
a
y
b
a b c
n n n n n
using (1) and
and since each ratio
= =
+
+
=
1
2
( )
=
=
⎡
⎣
⎢
⎢
⎢
⎤
⎦
⎥
⎥
⎥
sum of Nrs
sum of Drs
∴ x
a
y
b c
n n n
+ +
= =
1 1
1
Now
x
an+
=
1
cn
1
⇒ a c x
y
b c
= = ⇒
+
+
( )
n n
n
and
1
1
1
1
n
b c y
= +
( )
n n
1
1
M04_ENGINEERING_MATHEMATICS-I _CH04_Part-B.indd 46 5/12/2016 10:28:04 AM
Applications of Differential Calculus ■ 4.47
Substitute in (1), then we get
x
c x
y
c y
x y c
n n n n n n
n
n
n
n
n
n
/ / / /
+ + + +
+ + +
⋅
+
⋅
= ⇒ + =
1 1 1 1 1 1
1 1 1
1
which is the required envelope.
Note
Some of the important particular cases are
1. For n = 1, we get
x
a
y
b
a b c
+ = + =
1, . Then the envelope is x y c
+ =
2. For n = 2, we get
x
a
y
b
a b c
+ = + =
1 2 2 2
, . Then the envelope is x y c
2 3 2 3 2 3
/ / /
,
+ = which is the
astroid.
3. For n = 3, we get
x
a
y
b
a b c
+ = + =
1 3 3 3
, . Then the envelope is x y c
3 4 3 4 3 4
/ / /
+ =
4. For n = 1 and c = 1, we get
x
a
y
b
a b
+ = + =
1 1
, . Then the envelope is x y
+ = 1
EXAMPLE 3
Prove that the envelope of the system of lines
x
l
y
m
1 5 1,where the parameters l and m are connected
by
l
a
m
b
1 5 1 is the curve
x y
a b
1 51.
Solution.
Given
x
l
y
m
+ = 1 (1) and
l
a
m
b
+ = 1 (2)
Treating m as a function of l, differentiate (1) and (2) w.r.to l.
∴ − − ⋅ =
x
l
y
m
dm
dl
2 2
0 ⇒ dm
dl
m x
l y
= −
2
2
(3)
and
1 1
0
a b
dm
dl
+ ⋅ = ⇒
dm
dl
b
a
= − (4)
From (3) and (4) we get,
− = − = =
m x
l y
b
a
x
bl
y
am
x
l
bl
y
m
bm
2
2 2 2
⇒ ⇒
∴
x
l
bl
y
m
am
x
l
y
m
bl am
= =
+
+ bl am
=
+
1
[using (1)]
Now
l
a
m
b
+ = 1 ⇒ bl am ab
+ = .
M04_ENGINEERING_MATHEMATICS-I _CH04_Part-B.indd 47 5/12/2016 10:28:10 AM
4.48 ■ Engineering Mathematics
∴
x
bl
y
am ab
2 2
1
= = ⇒
x
bl ab
l ax
2
2
1
= ⇒ = ⇒ l ax
=
Similarly, m by
=
Substituting in (2),
ax
a
by
b
+ = 1 ⇒
x
a
y
b
+ = 1
which is the required envelope.
EXAMPLE 4
Find the envelope of a system of concentric and coaxial ellipses of constant area.
Solution.
Let the common axes of the system of ellipses by the coordinate axes and the common centre be the
origin
∴ the equation of the family of ellipses is
x
a
y
b
2
2
2
2
1
+ = (1)
where a and b are the parameters.
Given the area of the ellipse is constant. Let it be A.
But we know that the area of the ellipse is p ab.
∴ A ab b
A
a
= ⇒ =
p
p
∴ (1) becomes x
a
y
A
a
2
2
2
2
2 2
1
+ =
p
⇒
x
a
a
A
y
2
2
2 2
2
2
1
+ =
p
(2)
which is the given family of ellipses with parameter a.
∴ differentiating (2) w.r.to a, we get
− + =
−
2 2 0
3 2
2
2
2
a x
A
ay
p
⇒
p2
2
2 3 2
2
3
A
ay a x
x
a
= =
−
⇒ a y
A x
a
A x
y
a
A x
y
4 2
2 2
2
4
2
2
2
2
2
= ⇒ = ⇒ =
p p p
∴ (2) becomes x
A x
y
A
A x
y
y
2 2
2
2
1
p
p
p
+ ⋅ ⋅ =
⇒
p p p
A
xy
A
xy
A
xy
+ = ⇒ =
1 2 1 ⇒ xy
A
=
2p
⇒ xy c
= 2
c
A
=
2
2
where
p
∴ envelope is a rectangular hyperbola.
4.3.3 Evolute as the Envelope of Normals
A property of evolute is that the normal at a point P on the given curve G is a tangent to the evolute
with the centre of curvature as point of contact. Hence, the envelope of normals to G is the same as the
locus of the centre of curvature and hence, it is the evolute.
M04_ENGINEERING_MATHEMATICS-I _CH04_Part-B.indd 48 5/12/2016 10:28:16 AM
Applications of Differential Calculus ■ 4.49
Procedure to find the evolute as the envelope of normals
1. Take any point on the given curve in terms of a parameter, if possible.
2. Find the equation of the normal at that point.
3. Find the envelope of the normal.
4. This envelope is the evolute of the given curve.
WORKED EXAMPLES
EXAMPLE 1
Find the evolute of
x y
2
2
2
2
1
a b
1 5 as envelope of normals.
Solution.
Let P ( cos , sin )
a b
u u be any point on
x
a
y
b
2
2
2
2
1
+ =
First we shall find the equation of the normal at P( cos , sin )
a b
u u .
Differentiating w.r.to x,
2 2
0
2 2
x
a
y
b
dy
dx
+ = ⇒ dy
dx
b x
a y
= −
2
2
At the point ‘P’,
dy
dx
b
a
a
b
= − ⋅
2
2
cos
sin
u
u
= − =
b
a
cotu slope of the tangent at P.
∴ slope of the normal at P = −
−
= =
1
b
a
a
b
a
b
cot
tan
sin
cos
u
u
u
u
∴ the equation of the normal is y b
a
b
x a
− = −
sin
sin
cos
( cos )
u
u
u
u
⇒ b y b a x a
cos sin cos sin sin cos
u u u u u u
⋅ − = ⋅ −
2 2
⇒ a x b y a b
sin cos ( )sin cos
u u u u
⋅ − = −
2 2
⇒
ax by
a b
cos sin
( )
u u
− = −
2 2
(1)
where u is the parameter.
Differentiating (1) w.r.to u partially, we get
⇒ − − + =
ax by
cos
( sin )
sin
cos
2 2
0
u
u
u
u
⇒ ax
by
sin
cos sin
cos
u
u u
u
2 2
= −
⇒
ax by
ax by
cos sin
cos
cos
sin
sin
3 3 2 2
u u
u
u
u
u
= ⇒ =
−
−
M04_ENGINEERING_MATHEMATICS-I _CH04_Part-B.indd 49 5/12/2016 10:28:21 AM
4.50 ■ Engineering Mathematics
∴ each ratio =
+
⎛
⎝
⎜
⎞
⎠
⎟
=
−
= −
ax by ax by
a b
cos sin
cos sin
cos sin
u u
u u
u u
−
+
2 2
2 2
1
[Using (1)
∴ ax
a b
ax
a b
ax
a b
cos
cos cos
3
2 2 3
2 2 2 2
1
3
u
u u
= − ⇒ =
−
⇒ =
−
⎛
⎝
⎜
⎞
⎠
⎟
and − = − ⇒ = −
−
⇒ −
−
⎛
⎝
⎜
⎞
⎠
⎟
by
a b
by
a b
by
a b
sin
sin sin
3
2 2 3
2 2 2 2
1
3
u
u u
we know that cos2
u + sin2
u = 1
∴ ax
a b
by
a b
ax
a b
by
a
2 2
2
3
2 2
2
3
2
3
2 2
2
3
2
3
1
−
⎛
⎝
⎜
⎞
⎠
⎟ + −
−
⎛
⎝
⎜
⎞
⎠
⎟ =
−
+
( )
( )
( )
( 2
2 2
2
3
2
3
2
3 2 2
2
3
1
−
= ⇒ + = −
b
ax by a b
)
( ) ( ) ( )
which is the evolute of the given curve.
EXAMPLE 2
Find the evolute of the parabola y x
2
4
5 as the envelope of normals.
Solution.
Let P ( , )
t t
2
2 be any point on the parabola y x
2
4
= . First we shall find the equation of the normal at P.
Differentiating w.r.to x, we get
2 4
2
y
dy
dx
dy
dx y
= ⇒ =
At the point P,
dy
dx t t
= = =
2
2
1
slope of the tangent at P
∴ slope of the normal at P = −t
∴ the equation of the normal at P is
y t t x t
− = − −
2 2
( ) ⇒ y tx t t
+ = +
2 3
(1)
where t is the parameter.
Differentiating (1) w.r.to t, we get
x t t
x
= + ⇒ =
−
2 3
2
3
2 2
⇒ =
−
⎛
⎝
⎜
⎞
⎠
⎟
t
x 2
3
1 2
/
(2)
We have y tx t t
+ = +
2 3
⇒
M04_ENGINEERING_MATHEMATICS-I _CH04_Part-B.indd 50 5/12/2016 10:28:25 AM
Applications of Differential Calculus ■ 4.51
⇒
y t x t t t x
x x
x
y
x
= − + + = − −
−
⎛
⎝
⎜
⎞
⎠
⎟
−
− −
⎡
⎣
⎢
⎤
⎦
⎥
=
−
[ ] [ ( )]
( )
/
2 2
2
3
2
3
2
2 2
1 2
=
2
2
3
2
3
2
1 2
⎛
⎝
⎜
⎞
⎠
⎟ − −
⎡
⎣
⎢
⎤
⎦
⎥
/
( )
x
[Using (2)]
Squaring, y
x
x
2 2
2
3
4
9
2
=
−
⎛
⎝
⎜
⎞
⎠
⎟ −
⎡
⎣
⎢
⎤
⎦
⎥
( )
⇒ y x
2 3
4
27
2
= −
( ) ⇒ = −
27 4 2
2 3
y x
( ) ,
which is the evolute of the parabola.
EXAMPLE 3
Find the evolute of the hyperbola
x
a
y
b
2
2
2
2
1
− 5 as the envelope of its normals.
Solution.
The equation of the hyperbola is
x
a
y
b
2
2
2
2
1
− =
We have x a
= sec ,
u y b
= tanu, as parametric equation of the hyperbola.
We shall find the equation of the normal at the point “u”
dx
d
a
dy
d
b
u
u u
u
u
= =
sec tan sec .
and 2
∴ dy
dx
dy
d
dx
d
b
a
= =
u
u
u
u u
sec
sec tan
2
= = = =
b
a
b
a
b
a
sec
tan cos
cos
sin sin
u
u u
u
u u
1
slope of the tangent.
∴ the slope of the normal = −
a
b
sinu
∴ the equation of the normal at the point ‘u’ is
y b
a
b
x a
− = − −
tan
sin
( sec )
u
u
u
⇒ by b a x a
− = − +
2 2
tan sin tan
u u u
⇒ a x by a b
sin ( )tan
u u
⋅ + = +
2 2
⇒ ax by a b
cos cot ( )
u u
+ = +
2 2
(1)
where u is the parameter.
⇒
M04_ENGINEERING_MATHEMATICS-I _CH04_Part-B.indd 51 5/12/2016 10:28:31 AM
4.52 ■ Engineering Mathematics
Differentiating (1) partially w.r.to u, we get
− − =
ax by
sinu u
cosec2
0
⇒ − =
ax by
sin
sin
u
u
1
2
⇒
sin3
u = −
by
ax
⇒
sinu = −
⎛
⎝
⎜
⎞
⎠
⎟
by
ax
1 3
= −
( )
( )
/
/
by
ax
1 3
1 3
∴ cos
( ) ( )
( )
/ /
/
u =
−
ax by
ax
2 3 2 3
1 3
Substituting in (1) we get
ax
ax by
ax
by ax by
by
a b
⋅
−
+
⋅ −
−
= +
( ) ( )
( )
( ) ( )
( )
/ /
/
/ /
/
2 3 2 3
1 3
2 3 2 3
1 3
2 2
⇒
( ) ( ) ( ) ( ) ( ) ( )
/ / / / / /
ax ax by by ax by a b
2 3 2 3 2 3 2 3 2 3 2 3 2 2
− − − = +
⇒
( ) ( ) ( ) ( )
/ / / /
ax by ax by a b
2 3 2 3 2 3 2 3 2 2
−
⎡
⎣ ⎤
⎦ − = +
⇒
( ) ( )
/ / /
ax by a b
2 3 2 3 3 2 2 2
−
⎡
⎣ ⎤
⎦ = +
⇒
( ) ( ) ( ) ,
/ / /
ax by a b
2 3 2 3 2 2 2 3
− = +
which is the evolute of the hyperbola.
EXERCISE 4.4
1. Find the envelope of the family of lines
x
t
yt c
+ = 2 , t being a parameter.
2. Find the envelope of the family of lines
x
a
y
b
cos sin ,
u u
+ = 1 u being the parameter.
3. Find the envelope of the family of lines y mx am am
= − −
2 3
, where m is the parameter.
4. Find the envelope of x y r
cos sin ,
u u
+ = where u is the parameter.
5. Find the envelope of ( ) ,
x y
− + =
a a
2 2
4 a is the parameter.
6. Find the envelope of y mx am
= + 2
, m being the parameter.
7. Find the envelope of the family of ellipses
x
a
y
b
2
2
2
2
1
+ = for which a b c
+ = , c is a constant.
θ
Fig. 4.14
M04_ENGINEERING_MATHEMATICS-I _CH04_Part-B.indd 52 5/12/2016 10:28:38 AM
Applications of Differential Calculus ■ 4.53
8. Find the envelope of the family of parabolas y x
gx
u
= −
tan
cos
,
a
a
2
2 2
2
a being the parameter.
9. Find the envelope of ( ) ( ) .
x y
− + − =
a a a
2 2
2
10. Find the envelope of the family of curves
a
x
b
y
c
2 2
cos sin
u u
− = for different values of u.
11. Find the envelope of the family of straight lines y mx a m
= ± +
1 2
where m is the parameter.
12. Find the envelope of the family of straight lines y mx
m
= +
1
.
13. Find the envelope of
x
a
y
b
cos sin
,
a a
+ = 1 a is the parameter.
14. Find the envelope of the family of curves x x a
2
( )
− + ( )( ) ,
x a y m
+ − =
2
0 where m is a parameter
and a is a constant.
15. Find the envelope of
x
a
y
b
2
2
2
2
1
+ = , where a b c
n n n
+ = , a and b are the parameters and c is a
constant.
16. Find the envelope of
x
a
y
b
+ = 1, where a, b are the parameters and are related by a b c
m n m n
= +
.
17. Find the envelope of the family of lines
x
a
y
b
+ = 1 subject to the condition a b
+ = 1.
18. Find the evolute of the parabola x2
= 4ay, treating it as the envelope of normals.
ANSWERS TO EXERCISE 4.4
1. xy c
= 2
2.
x
a
y
b
2
2
2
2
1
+ = 3. 27 4 2
2 3
ay x a
= −
( )
4. x y r
2 2 2
+ = 5. y x
2
4 1
= +
( ) 6. x ay
2
4 0
+ =
7. x y c
2 3 2 3 2 3
/ / /
+ = 8. y
u
g
gx
u
= −
2 2
2
2 2
9. ( ) ( )
x y x y
+ + = +
1 2
2 2 2
10. a y b x c
4 2 4 2 2
+ = 11. x y a
2 2 2
+ = 12. y x
2
4
=
13.
x
a
y
b
2
2
2
2
1
+ = 14. x = 0, x = a 15. x y c
2
2
2
2
2
2
n
n
n
n
n
n
+ + +
+ =
16. x y
c m n
m n
m n
m n m n
m n
=
⋅ ⋅
+
+
+
( )
17. x y
+ = 1 18. 27ax2
= 4 (y − 2a)3
M04_ENGINEERING_MATHEMATICS-I _CH04_Part-B.indd 53 5/12/2016 10:28:53 AM
4.54 ■ Engineering Mathematics
SHORT ANSWER QUESTIONS
1. Find the curvature of x y x y
2 2
4 6 10 0
1 2 2 1 5 at any point on it.
2. Define curvature of a plane curve and what is the curvature of a straight line?
3. What is the radius of curvature at (4, 3) on the curve x y
2 2
25
1 5 ?
4. Find the curvature of y x
2
4
5 at its vertex.
5. Find the curvature of the curve y c
x
c
5 logsec at any point.
6. Find the radius of curvature at x 5
p
2
on y 54 sin x.
7. True or false.When the tangent at a point on a curve is parallel to the x-axis, then the curvature at that
point is same as the second derivative at that point.
8. Find the radius of curvature of the curve given by x 5 1 u
3 2 cos , y 5 1 u
4 2 sin .
9. Find the radius of curvature of the curve x a y b
5 u 5 u
cos sin
, at any point ‘u’.
10. Find the centre of curvature of y x
5 2
at the origin.
11. Define the circle of curvature at a point P(x1
, y1
) on the curve y 5 f(x).
12. Write down the equation of the circle of curvature of a curve at a given point.
13. If the centre of curvature of curve is
c
a
t
c
a
t
cos , sin
3 3
⎛
⎝
⎜
⎞
⎠
⎟ , find the evolute of the curve.
14. Show that the family of straight lines 2 4 0
y x
2 1 l 5 , has no envelope, where l is a parameter.
15. Find the envelope of the family of straight lines y mx m
5 6 2
2
1 where m is a parameter.
16. Find the envelope of x y ax by
2 2
0
1 2 u2 u5
cos sin , where u is the parameter.
17. Find the envelope of the family of circles ( )
x y
2a 1 5 a
2 2
4 , where a is the parameter.
18. Find the envelope of the curve y mx
a
m
5 1 where m is a parameter.
19. Find the envelope y x
gx
u
5 a2
a
tan
cos
2
2 2
2
, a being the parameter.
20. Find the envelope of the family of lines
x
t
yt c
1 5 2 , where t is the parameter.
OBJECTIVE TYPE QUESTIONS
A. Fill up the blanks
1. The curvature of the curve 2x2
+ 2y2
+ 5x − 2y + 1 = 0 at any point is ____________.
2. The radius of curvature at (4, 3) on x2
+ y2
= 25 is __________.
3. For the curve x2
= 2c (y − c), the radius of curvature at (0, c) is ___________.
4. The radius of curvature of the curve y = ex
at the point (0, 1) is __________.
5. The radius of curvature at (0, p
2
) on r = a cosu is ____________.
6. The curvature at any point on 3x + 4y = 8 is ___________.
7. The center of curvature at any point of 2x2
+ 2y2
+ 5x − 2y + 1 = 0 is ___________.
M04_ENGINEERING_MATHEMATICS-I _CH04_Part-B.indd 54 5/12/2016 10:29:01 AM
Applications of Differential Calculus ■ 4.55
8. For the p-r equation of a curve, the radius of curvature is given by ___________.
9. The evolute of the curve x2
+ y2
+ 8x − 6y + 7 = 0 is ___________.
10. The envelope of the family of lines y = mx + am2
, where m is the parameter is __________.
B. Choose the correct answer
1. For a curve y = f(x) if
dy
dx
= ∞ at a point, then the radius of curvature at the point is given by the formula
(a)
( )
1 1
2 3 2
2
+ y
y
(b)
( )
1 1
2 3 2
2
+ x
x
(c)
y
y
2
1
2
1
( )
+
(d)
x
x
2
1
2
1
( )
+
2. The curvature at the point (c, c) on xy = c2
is
(a)
1
c
(b) 2c (c)
1
2c
(d) none of these
3. The radius of curvature at the point (1, 1) on x4
+ y4
= 2 is
(a)
1
2
(b)
3
2
(c)
2
3
(d)
1
3
4. Find the value of p at (0, c) on y = c cosh
x
c
(a) c (b) 2c (c)
1
c
(d)
1
2c
5. The curvature at any point on x2
+ y2
= 9 is
(a) 3 (b)
1
3
(c) 2 (d) none of these
6. The radius of curvature at the origin on the curve y2
(a − x) = x2
(a + x) is
(a) a (b) 2a (c) a 2 (d) none of these
7. Center of curvature of y = x2
at (0, 0) is
(a)
1
2
1
2
,
⎛
⎝
⎜
⎞
⎠
⎟ (b) 0
1
2
,
⎛
⎝
⎜
⎞
⎠
⎟ (c)
1
2
0
,
⎛
⎝
⎜
⎞
⎠
⎟ (d) none of these
8. If a plane curve has a constant radius of curvature at any point, then the curve is
(a) a straight line (b) a parabola (c) a circle (d) an ellipse
9. The radius of curvature of x3
− y3
− 2x2
+ 6y = 0 at (0, 0) is
(a) 1 (b)
3
2
(c)
1
2
(d) 2
10. The locus of centre of curvature is called
(a) Envelope (b) Evolute (c) circle of curvature (d) none of these
11. The centre of curvature at the point (2, 2) on the curve xy = a2
is
(a) (4, 1) (b) (4, 4) (c) (2, 2) (d) (3, 3)
12. The value of ‘a’ for which the radius of curvature of the curve x2
= 2ay at (0, 0) is
(a) 1 (b) 2 (c) 3 (d)
1
2
13. The radius of curvature at any point on the curve whose p-r equation is p2
= ar varies as
(a) r (b) r
3
2
(c) r
1
2
(d) r
−
1
2
14. The envelope of the lines x cosu + y sinu = a where u is the parameter is
(a) x2
+ y2
= a2
(b) x2
− y2
= a2
(c) x + y = a (d) x − y = a
M04_ENGINEERING_MATHEMATICS-I _CH04_Part-B.indd 55 5/12/2016 10:29:09 AM
4.56 ■ Engineering Mathematics
15. The envelope of the family of lines y mx x
= + +
1 2
, where m is a parameter, is
(a) x2
+ y2
= 1 (b) x2
− y2
= 1 (c) x + y = 1 (d) x − y = 1
ANSWERS
A. Fill up the blanks
1.
4
21
2. 5 3. c 4. 2 5
5.
a
2
6. 0 7. −
⎛
⎝
⎜
⎞
⎠
⎟
5
4
1
2
, 8. r
dr
dp
9. (−4, 3) 10. x2
+ 4ay = 0
B. Choose the correct answer
1. b 2. c 3. c 4. a 5. b 6. c 7. b 8. c 9. b 10. b
11. b 12. c 13. b 14. a 15. a
M04_ENGINEERING_MATHEMATICS-I _CH04_Part-B.indd 56 5/12/2016 10:29:11 AM
5.0 INTRODUCTION
There are many practical situations in which a quantity of interest depends on the values of two or
more variables.
For example
(i) The volume of a circular cylinder is V = pr2
h, where r is the radius of the base circle and h is the
height of the cylinder. So, V is a function of two variables r and h.
(ii) The volume of a rectangular parallelopiped is V = lbh, where l, b, h are the length, breadth and
height. Here V is a function of three variables l, b, h.
Similarly we can have functions of more than two or three variables. But, for simplicity, we shall deal
with functions of two variables and the arguments and results can be extended to more than two variables.
5.1 LIMIT AND CONTINUITY
Definition 5.1 Function of two variables
Let S be a subset of R2
. A function f: S → R is a rule which assigns to every (x, y) ∈ S a unique real
number in R, denoted by f(x, y).
We say f(x, y) is a function of two independent variables x and y.
S is called the domain of the function f and the range is a subset of R.
EXAMPLE 1
If f x y
x x
x y
( , ) 5
1
2
2
3
, find the domain and f(1, 3).
Solution.
Domain of f is the set of all points in the plane at which f(x, y) exists. f(x, y) is defined for all x ≠ y
So, domain D x y R x y
= ∈ ≠
{ }
( , ) 2
Geometrically, D is the xy-plane, except the line y = x.
f ( , )
1 3
1 3 3
1 3
10
2
5
=
+ ⋅
−
=
−
= −
Neighbourhood of a point in the plane
Definition 5.2 The d-neighbourhood of the point
(a,b)is the disc ( , ) ( , )
( ) ( )
x y a b
x a y b
− 
⇒ − + − 
d
d
2 2
A neighbourhood may also be taken as a square
0  ⏐x − a⏐  d and 0  ⏐y − b⏐  d
δ
(a, b)
5
Differential Calculus of
Several Variables
Fig. 5.1
M05_ENGINEERING_MATHEMATICS-I _CH05_Part A.indd 1 5/12/2016 10:23:56 AM
5.2 ■ Engineering Mathematics
Limit of a function
Definition 5.3 Let f be a function defined on S ⊂ R2
. The function f is said to tend to the limit l as
(x,y)→(a,b)iftoeverye0,∃d0,suchthat f x y l
( , ) ,
−  e forall(x,y)satisfying ( , ) ( , )
x y a b
−  d
Then we write symbolically, lim ( , )
( , ) ( , )
x y a b
f x y l
→
= or
lim ( , ) ( , ) ( , ) ( , )
x a
y b
f x y l f x y l x y a b
→
→
= → →
or as
This limit is called the double limit or simultaneous limit of f(x, y)
Note
(1) If for every (x, y) ∈ S ⊂ R2
, there is a unique z assigned by f, then z = f(x, y). Geometrically this
represents a surface.
(2) If lim ( , )
( , ) ( , )
x y a b
f x y l
→
= and if y = f(x) is a function such that f(x) → b as x → a,
then f(x, f(x)) → l as x → a.
That is lim ( , ( ))
x a
f x x l
→
=
f .
(3) To test limit f(x, y) does not exist.
Find any two paths y = f1
(x), y = f2
(x) in the domain of f such that lim ( , ( ))
x a
f x x l
→
=
f1 1 and
lim ( , ( ))
x a
f x x l
→
=
f2 2
If l1
≠ l2
, then the limit of the function does not exist.
EXAMPLE 2
Show that the lim
( , ) ( , )
x y
x
x y
→
⎡
⎣
⎢
⎤
⎦
⎥
0 0
2
4 2
1
does not exist.
Solution.
Given f x y
x y
x y
( , ) =
+
2
4 2
Choose two paths y = mx and y = mx2
and test.
Along y 5 mx
lim ( , ) lim lim
( , ) ( , )
x y x a x
f x y
x mx
x m x
mx
x m
→ → →
=
⋅
+
⎡
⎣
⎢
⎤
⎦
⎥ =
+
0 0
2
4 2 2 0 2 2
2 2
0
0
0
=
+
=
m
Along y 5 mx2
lim ( , ) lim lim
( , ) ( , )
x y x
y mx
x
f x y
x y
x y
x mx
→ →
=
→
=
+
=
⋅
0 0 0
2
4 2 0
2
2
⎡
⎣
⎢
⎤
⎦
⎥
2
2
4 2 4 0 2 2
1 1
x m x
m
m
m
m
x
+
=
+
=
+
→
lim
This depends on m and so for different values of m, we will get different limit values.
Hence, the limits along different paths are different.
∴ the limit does not exist.
M05_ENGINEERING_MATHEMATICS-I _CH05_Part A.indd 2 5/12/2016 10:23:59 AM
Differential Calculus of Several Variables ■ 5.3
Note The existence of lim ( , ( ))
x a
f x x
→
f does not imply the existence of lim ( , ).
x a
y b
f x y
→
→
Repeated limits or iterated limits
Definition 5.4 If f(x, y) is defined in a neighbourhood of (a, b) and if lim ( , )
x a
f x y
→
exists, then the limit
is a function of y and the limit as y → b is written as lim lim ( , )
y b x a
f x y
→ →
. This limit is called repeated limit
of f(x, y) as x → a first and then as y → b.
Similarly, we can define the repeated limit lim lim ( , )
x a y b
f x y
→ →
. The two repeated limits may or may not
exist and when they exist, they may or may not be equal. Even if the repeated limits have the same
value, the double limit may not exsist.
Remark If the double limit lim ( , )
x a
y b
f x y
→
→
exists, then we cannot say repeated limits exist. But if the
repeated limits exist and are not equal, then the double limit cannot exist.
(2) If the double limit exist and repeated limits exist, then they are equal.
That is lim ( , ) lim lim ( , )
( , ) ( , )
x y a b x a y b
f x y f x y
→ → →
=
EXAMPLE 3
If f x y
x y
x y
( , ) ,
5
2
1
2 2
2 2
where ( , ) ( , )
x y ≠ 0 0 , find the repeated limits and double limit, if they
exist.
Solution.
Given f x y
x y
x y
( , ) =
−
+
2 2
2 2
∴ lim lim ( , ) lim lim lim lim
x y x y x x
f x y
x y
x y
x
x
→ → → → → →
=
−
+
= =
0 0 0 0
2 2
2 2 0
2
2 0
0
1 1
=
and lim lim ( , ) lim lim lim lim
y x y x y y
f x y
x y
x y
y
y
→ → → → →
=
−
+
=
−
=
0 0 0 0
2 2
2 2 0
2
2 →
→
− = −
0
1 1
( )
Since the repeated limits are unequal, double limit does not exist.
Continuity of a function
Definition 5.5 A function f(x, y) defined in SCR2
is said to be continuous at the point (a, b) if
lim ( , ) ( , )
( , ) ( , )
x y a b
f x y f a b
→
5
M05_ENGINEERING_MATHEMATICS-I _CH05_Part A.indd 3 5/12/2016 10:24:03 AM
5.4 ■ Engineering Mathematics
WORKED EXAMPLES
EXAMPLE 1
Text the continuity of the function
f x y
xy
x y
x y
x y
( , )
( , ) ( , )
( , ) ( , )
5 1
5
2 2
0 0
0 0 0
if
if
≠
⎧
⎨
⎪
⎩
⎪
at the origin.
Solution.
Given f x y
xy
x y
x y
x y
( , )
( , ) ( , )
( , ) ( , )
= +
≠
=
⎧
⎨
⎪
⎩
⎪
2 2
0 0
0 0 0
if
if
∴ lim ( , ) lim
( , ) ( , ) ( , ) ( , )
f x y
xy
x y
x y x y
→ →
=
+
0 0 0 0 2 2
We shall verify
lim ( , ) ( , )
( , ) ( , )
x y
f x y f
→
=
0 0
0 0 by ∈ − d definition
Let ∈  0 be given.
Then
f x y f
xy
x y
x y
x y
( , ) ( , )
− =
+
− =
+
0 0 0
2 2 2 2
[
∴
f(0,0) = 0]
But x x y y x y
 +  +
2 2 2 2
and
∴
x y x y
x y
x y
x y
 +
+
 +
2 2
2 2
2 2
⇒
∴ f x y f x y
( , ) ( , )
−  ∈ ⇒ +  ∈
0 0 2 2
Take d d
= ∈ − + − 
, ( ) ( )
then x y
0 0
2 2
Thus, f x y f x y
( , ) ( , ) ( ) ( )
−  ∈ − + − 
0 0 0 0
2 2
if d
∴ by definition lim ( , ) ( , ) .
( , ) ( , )
x y
f x y f
→
= =
0 0
0 0 0
Hence, is continuous at
f x y
( , ) ( , ).
0 0
M05_ENGINEERING_MATHEMATICS-I _CH05_Part A.indd 4 5/12/2016 10:24:10 AM
Differential Calculus of Several Variables ■ 5.5
EXAMPLE 2
If f x y
xy
x y
( , ) ,
5
1
2
2 2
then test lim ( , )
x
y
f x y
→
→
0
0
exists or not.
Solution.
Given f x y
xy
x y
( , ) =
+
2
2 2
∴
lim ( , ) lim
x
y
x
y
f x y
xy
x y
→
→
→
→
=
+
0
0
0
0
2 2
2
Take a path y = mx
∴ lim ( , ) lim lim
x
y
x x
f x y
x mx
x m x
m
m
m
m
→
→
→ →
=
⋅
+
=
+
=
+
0
0
0 2 2 2 0 2 2
2 2
1
2
1
The limit depends on m and so for different values of m, we get different limits. So, the limit is not
unique.
Hence, the limit does not exist.
EXAMPLE 3
Find the limit and test for continuity of the function.
f x y
x y
x y
x y
x y
( , )5
2
1
1
1 5
3 3
0
0 0
if
if
≠
⎧
⎨
⎪
⎩
⎪
at the point (0, 0).
Solution.
Given f x y
x y
x y
x y
x y
( , ) =
=
⎧
⎨
⎪
⎩
⎪
3 3
0
0 0
−
+
≠
+
if
if
+
By the definition of the function f(0, 0) = 0
Now lim ( , ) lim
( , ) ( , ) ( , ) ( , )
x y x y
f x y
x y
x y
→ →
=
−
+
0 0 0 0
3 3
Take a path y = mx3
− x, m ≠ 0
∴ lim ( , ) lim
( )
( , ) ( , )
x y x
f x y
x mx x
x mx x
→ →
=
− −
+ −
0 0 0
3 3 3
3
=
− −
=
− −
=
− −
= ≠
→
→
lim
( )
lim
( ) ( )
,
x
x
x x mx
mx
mx
m m m
m
0
3 3 2 3
3
0
2 3 3
1
1 1 1 1 2
0
Since the limit depends on m, for different values of m, we will have different limit values.
So, the limit is not unique. Hence, limit does not exist.
∴ the function is not continuous at (0, 0).
M05_ENGINEERING_MATHEMATICS-I _CH05_Part A.indd 5 5/12/2016 10:24:16 AM
5.6 ■ Engineering Mathematics
EXERCISE 5.1
1. Evaluate the following limits, if they exist.
(i) lim
x
y
xy
x y
→
→
+
0
0
2 2
(ii) lim
x
y
xy
x y
→
→
+
0
0
3
2 6
(iii) lim
( )
( )
x
y
x y
y x
→
→
−
−
2
2
2
2
2. Test continuity of the following
(i) f x y
x y x y
x y
( , )
( , ) ( , )
( , ) ( , )
=
+ ≠
=
⎧
⎨
⎩
2
4 1 2
0 1 2
if
if
(ii) f x y
xy
x y
x y
x y
( , )
,
,
= +
≠ ≠
= =
⎧
⎨
⎪
⎩
⎪
2
2 2
0 0
0 0 0
if
if
(iii) f x y
x y
x y
x y
x y
( , )
( , ) ( , )
( , ) ( , )
=
−
+
≠
=
⎧
⎨
⎪
⎩
⎪
2 2
2 2
0 0
0 0 0
if
if
ANSWERS TO EXERCISE 5.1
1. (i) does not exist. (ii) does not exist (iii) does not exist.
2. (i) not continuous
(ii) not continuous
[Hint limit does not exist. Choose paths y = x, x = y3
]
(iii) not continuous
5.2 PARTIAL DERIVATIVES
Functions of two or more independent variables appear in many practical problems more often than
functions of one independent variable. The concept of derivative of a single variable function f(x)
is extended to functions of two or more variables. Suppose f(x, y) is a function of two independent
variables x and y, we treat y as constant and find the derivative of f(x, y) w.r.to x, then the derivative is
called a partial derivative. Partial derivatives find applications in a wide variety of fields like fluid
dynamics, electricity, physical sciences, econometrics, probability theory etc.
Definition 5.6 Let z = f(x, y) be a real function of two independent variables x and y. Let (x0
, y0
) be a
point in the domain of f. The partial derivative of f(x, y) w.r.to x at (x0
, y0
) is the limit
lim
( , ) ( , )
,
0
0 0 0 0
h
f x h y f x y
h
→
1 2
if the limit exists.
Then it is denoted by
∂
∂
f
x
⎛
⎝
⎜
⎞
⎠
⎟
( , )
x y
0 0
or
∂
∂
z
x
⎛
⎝
⎜
⎞
⎠
⎟
( , )
x y
0 0
or fx
(x0
, y0
).
Similarly, partial derivative of f(x, y) w.r.to y at (x0
, y0
) is the limit
lim
( , ) ( , )
,
k→
+ −
0
0 0 0 0
f x y k f x y
k
if the limit exists.
It is denoted by ∂
∂
∂
∂
f
y
z
y
f x y
⎛
⎝
⎜
⎞
⎠
⎟
⎛
⎝
⎜
⎞
⎠
⎟
( , ) ( , )
( , )
x y x y
y
or or
0 0 0 0
0 0
M05_ENGINEERING_MATHEMATICS-I _CH05_Part A.indd 6 5/12/2016 10:24:19 AM
Differential Calculus of Several Variables ■ 5.7
If the partial derivatives of z = f(x, y) exist at any point in its domain, then the partial derivatives
w.r.to x is simply written as
∂
∂
z
x
or
∂
∂
f
x
or fx
, assuming the point as (x, y).
Similarly, the partial derivative w.r.to y is written as ∂
∂
z
y
or ∂
∂
f
y
or fy
5.2.1 Geometrical Meaning of
∂
∂
z
x
,
∂
∂
z
y
Let z = f(x, y) be a real function of two independent variables x, y. For every point (x, y) in its domain
R in the xy plane there is a real number z, where f(x, y) = z. The set of all points (x, y, z), where
z = f(x, y), in space determine a surface S. This surface is called the graph of the function f.
Thus, z = f(x, y) represents a surface in space.
The equation y = y0
represents a vertical plane (parallel to
xoz plane) intersecting the surface in a curve C : z = f(x, y0
).
The partial derivative
∂
∂
z
x
at (x0
, y0
) represents the slope of the
tangent to this curve at the point (x0
, y0
, z0
), where z0
= f(x0
, y0
).
Similarly, the partial derivative ∂
∂
z
y
at (x0
, y0
) is the slope of
the tangent to the curve z = f(x0
, y) at the point (x0
, y0
, z0
), where
z0
= f(x0
, y0
).
Note
(1) If z = f(x, y) then f(x, y) = k for all points in the domain of f, where k is a constant, is called a level
curve of function f.
(2) If u = f(x, y, z) be a function of three independent variables x, y, z then the graph of f is a
4-dimensional surface.
f(x, y, z) = c, where c is a constant, is called a level surface. For different c, we have different level
surfaces. No two level surfaces intersect.
(3) A function f(x, y) may not be continuous at a point, but still it can have partial derivatives with
respect to x and y at that point.
For example, consider f(x, y) =
0
1
0
0
⎧
⎨
⎩
≠
=
if
if
xy
xy
.
We shall find the limit (x, y) → (0, 0) along y = x, where f(x, y) = 0, except at (0, 0).
lim ( , ) lim
( , ) ( , ) ( , ) ( , )
x y x y
f x y
→ →
= =
0 0 0 0
0 0
But f(0, 0) = 1. Hence, f is not continuous at (0, 0).
Now, fx
(0, 0) = lim lim
( , ) ( , )
h h
f h f
h h
→ →
+ −
=
−
=
0 0
0 0 0 0 0 0
0
and f
f k f
k k
y
k k
( , ) lim
( , ) ( , )
lim
0 0
0 0 0 0 0 0
0
0 0
=
+ −
=
−
=
→ →
Thus, the partial derivatives exist at the origin (0, 0), but f is not continuous at the origin (0, 0).
This is different from functions of single variable where the existence of derivatives implies
continuity.
z = f(x, y0
)
(x0
, y0
, z0
)
P
Z
O Y
X
Fig. 5.2
M05_ENGINEERING_MATHEMATICS-I _CH05_Part A.indd 7 5/12/2016 10:24:25 AM
5.8 ■ Engineering Mathematics
5.2.2 Partial Derivatives of Higher Order
Let z = f(x, y) be a function of two independent variables. The derivatives ∂
∂
∂
∂
f
x
f
y
, are called partial
derivatives of first order, which are again functions of x, y and can be differentiated partially w.r.to
x, y. These are called partial derivatives of second order and denoted by
∂
∂
∂
∂
∂
∂
∂
∂
∂
∂
∂
∂ ∂
x
f
x
f
x
f
x
f
y
f
x y
f
y
f
y
⎛
⎝
⎜
⎞
⎠
⎟ =
⎛
⎝
⎜
⎞
⎠
⎟ =
∂
∂
∂
∂
2
2
2
or
or
xx
yx
⎛
⎛
⎝
⎜
⎞
⎠
⎟ =
∂
∂
⎛
⎝
⎜
⎞
⎠
⎟ =
2
2
2
f
y
f
y
f
x
f
y x
f
or
or
yy
xy
∂
∂
∂
∂
∂
∂ ∂
It can be shown that if fx
, fy
and fxy
are continuous, then fxy
= fyx
. In fact the elementary functions that we
come across satisfy these conditions. In many practical applications also these conditions are satisfied.
So, we shall assume this in our discussions.
Differentiating the second order derivatives partially w.r.to x, y, we get third order derivatives.
5.2.3 Homogeneous Functions and Euler’s Theorem
Definition 5.7 A function f(x, y) is said to be homogeneous of degree (or order) n if f(tx, ty) = tn
f(x, y)
for any positive t.
For example (1): f x y
x y
x y
( , ) =
+
−
6 6
4 4
is homogeneous of degree 2,
since f tx ty
t x t y
t x t y
t x y
t x y
t x y
x
( , )
( )
( )
( )
=
+
−
=
+
−
=
+
6 6 6 6
4 4 4 4
6 6 6
4 4 4
2 6 6
4
−
−
=
y
t f x y
4
2
( , )
Note that f x y x
y
x
y
x
x
y
x
( , ) .
=
+
⎛
⎝
⎜
⎞
⎠
⎟
−
⎛
⎝
⎜
⎞
⎠
⎟
⎛
⎝
⎜
⎜
⎜
⎜
⎞
⎠
⎟
⎟
⎟
⎟
=
⎛
⎝
⎜
⎞
⎠
⎟
2
6
4
2
1
1
F
(2) f x y
y
x
( , ) tan
= −1
is homogeneous functions of degree 0,
since f tx ty
ty
tx
y
x
t f x y
( , ) tan tan ( , )
= = =
− −
1 1 0
Theorem 5.1 Euler’s theorem
If f(x, y) is a homogeneous function of degree n in x and y having continuous partial derivatives, then
x
f
x
y
f
y
nf x y
∂
∂
∂
∂
1 5 ( , ).
Proof Given f(x, y) is a homogeneous function in x and y of degree n, we can write
M05_ENGINEERING_MATHEMATICS-I _CH05_Part A.indd 8 5/12/2016 10:24:27 AM
Differential Calculus of Several Variables ■ 5.9
∴
f x y x
y
x
f
x
x
y
x
y
x
nx
y
x
( , ) =
⎛
⎝
⎜
⎞
⎠
⎟
= ⋅ ′
⎛
⎝
⎜
⎞
⎠
⎟
−
⎛
⎝
⎜
⎞
⎠
⎟ +
⎛
⎝
⎜
−
n
n n
F
F F
∂
∂ 2
1 ⎞
⎞
⎠
⎟
∴ x
f
x
x y
y
x
nx
y
x
∂
∂
= − ′
⎛
⎝
⎜
⎞
⎠
⎟ +
⎛
⎝
⎜
⎞
⎠
⎟
−
n n
F F
1
(1)
∂
∂
f
y
x
y
x x
x
y
x
= ⋅ ′
⎛
⎝
⎜
⎞
⎠
⎟ ⋅ = ′
⎛
⎝
⎜
⎞
⎠
⎟
−
n n
F F
1 1
∴ y
f
y
x y
y
x
∂
∂
= ′
⎛
⎝
⎜
⎞
⎠
⎟
−
n
F
1 (2)
(1) + (2) ⇒ x
f
x
y
f
y
nx
y
x
∂
∂
∂
∂
+ =
⎛
⎝
⎜
⎞
⎠
⎟
n
F = n f x y
( , )
This theorem can be extended to homogeneous function of any number of variables.
If f(x, y, z) is a homogeneous function of degree n in three independent variables x, y, z and differenti-
able then x
f
x
y
f
y
z
f
z
nf
∂
∂
∂
∂
∂
∂
+ + = . ■
WORKED EXAMPLES
EXAMPLE 1
If u 5 log (x3
1 y3
1 z3
2 3xyz), then prove that
(i) ∂
∂
∂
∂
∂
∂
u
x
u
y
u
z x y z
1 1 5
1 1
3 (ii) ∂
∂
∂
∂
∂
∂
x y z
u
x y z 2
1 1 52
1 1
⎛
⎝
⎜
⎞
⎠
⎟
2
9
( )
Solution.
Given u = log (x3
+ y3
+ z3
− 3xyz)
∴
∂
∂
u
x x y z xyz
x yz
x yz
x y z xyz
=
+ + −
− =
−
+ + −
1
3
3 3
3
3
3 3 3
2
2
3 3 3
[ ]
[ ]
Similarly,
∂
∂
∂
∂
u
y
y zx
x y z xyz
u
z
z xy
x y z xyz
=
−
+ + −
=
−
+ + −
3
3
3
3
2
3 3 3
2
3 3 3
[ ] [ ]
and
∴ ∂
∂
∂
∂
∂
∂
u
x
u
y
u
z
x y z yz zx xy
x y z xyz
1 1 5
1 1 2 2 2
1 1 2
3[
3
2 2 2
3 3 3
]
We know that
x y z xyz x y z xy yz zx x y z
3 3 3 2 2 2
3
+ + − = + + − − − + +
( )( )
∴ ∂
∂
∂
∂
∂
∂
u
x
u
y
u
z
x y z xy yz zx
x y z x y z xy yz
+ + =
+ + − − −
+ + + + − − −
3 2 2 2
2 2 2
( )
( )( z
zx x y z
)
=
+ +
3
Let
M05_ENGINEERING_MATHEMATICS-I _CH05_Part A.indd 9 5/12/2016 10:24:31 AM
5.10 ■ Engineering Mathematics
(ii) ⇒
∂
∂
+
∂
∂
+
∂
∂
⎛
⎝
⎜
⎞
⎠
⎟ =
+ +
x y z
u
x y z
3
(1)
Operating
∂
∂
+
∂
∂
+
∂
∂
⎛
⎝
⎜
⎞
⎠
⎟
x y z
on both sides, we get
∂
∂
+
∂
∂
+
∂
∂
⎛
⎝
⎜
⎞
⎠
⎟ =
∂
∂
+
∂
∂
+
∂
∂
⎛
⎝
⎜
⎞
⎠
⎟ + +
⎛
⎝
⎜
⎞
⎠
⎟
=
∂
∂ + +
x y z
u
x y z x y z
x x y
2
3
3
z
z y x y z z x y z
x
x y z
⎛
⎝
⎜
⎞
⎠
⎟ +
∂
∂ + +
⎛
⎝
⎜
⎞
⎠
⎟ +
∂
∂ + +
⎛
⎝
⎜
⎞
⎠
⎟
=
∂
∂
+ + +
∂
∂
−
3 3
3 3
1
( )
y
y
x y z
z
x y z
x y z x y z x y
( ) ( )
( ) ( ) (
+ + +
∂
∂
+ +
= − + + ⋅ − + + ⋅ − +
− −
− −
1 1
2 2
3
3 1 3 1 3 +
+ ⋅
= −
+ +
−
+ +
−
+ +
= −
+ +
−
z
x y z x y z x y z x y z
)
( ) ( ) ( ) ( )
2
2 2 2 2
1
3 3 3 9
EXAMPLE 2
If u 5 (x 2 y) (y 2 z) (z 2 x), then prove that (i)
∂
∂
∂
∂
∂
∂
u
x
u
y
u
z
1 1 50 (ii) x
u
x
y
u
y
z
u
z
u
∂
∂
∂
∂
∂
∂
1 1 5 3
Solution.
Given u = (x − y) (y − z) (z − x)
∴
∂
∂
u
x
y z x y z x
= − − − + − ⋅
( )[( )( ) ( ) ]
1 1
= − − + + − = − + − − = − − +
( )( ) ( )( ) ( )
y z x y z x y z y z y z x y z yx zx
2 2 2
2 2
Similarly,
∂
∂
∂
∂
u
y
z x zy xy
u
z
x y xz yz
= − − + = − − +
2 2 2 2
2 2 2 2
and
(i)
∂
∂
∂
∂
∂
∂
u
x
u
y
u
z
y z yx zx z x zy x y xz yz
+ + = − − + + − − + − − + =
2 2 2 2 2 2
2 2 2 2 2 0
(ii) u is a homogeneous function of degree 3, since
u xt yt zt tx ty ty tz tz tx t x y y z z x
t
( , , ) ( ) ( ) ( ) ( ) ( ) ( )
(
= − − − = − − −
=
3
3
x
x y y z z x t u x y z
− − − =
) ( ) ( ) ( , , )
3
So, by Euler’s theorem, we get
x
u
x
y
u
y
z
u
z
u
∂
∂
∂
∂
∂
∂
+ + = 3
M05_ENGINEERING_MATHEMATICS-I _CH05_Part A.indd 10 5/12/2016 10:24:35 AM
Differential Calculus of Several Variables ■ 5.11
EXAMPLE 3
If u f
x
y
y
z
z
x
5 , ,
⎛
⎝
⎜
⎞
⎠
⎟ then prove that x
u u
y
z
u
z
∂
∂
∂
∂
∂
∂
x
1 1 5
y 0.
Solution.
Given u is a function of x, y, z
and u x y z f
x
y
y
z
z
x
( , , ) , ,
=
⎛
⎝
⎜
⎞
⎠
⎟
∴ u tx ty tz f
tx
ty
ty
tz
tz
tx
f
x
y
y
z
z
x
u x y z
( , , ) , , , , ( , , )
=
⎛
⎝
⎜
⎞
⎠
⎟ =
⎛
⎝
⎜
⎞
⎠
⎟ =
∴ u(x, y, z) is a homogeneous function of degree 0 in x, y, z
By Euler’s theorem, we get x
u
x
y
u
y
z
u
z
∂
∂
∂
∂
∂
∂
+ + = 0.
EXAMPLE 4
If u 5 f(x 2 y, y 2 z, z 2 x) show that
∂
∂
∂
∂
∂
∂
u u
x y
u
z
1 1 50.
Solution.
Given u = f(x − y, y − z, z − x)
Put x1
= x − y, y1
= y − z, z1
= z − x, then
u = f(x1
, y1
, z1
), where x1
, y1
, z1
are functions of x, y, z.
We know du
u
x
dx
u
y
dy
u
z
dz
= ⋅ + ⋅ + ⋅
∂
∂
∂
∂
∂
∂
1
1
1
1
1
1
∴
∂
∂
∂
∂
∂
∂
∂
∂
∂
∂
∂
∂
∂
∂
u
x
u
x
x
x
u
y
y
x
u
z
z
x
= ⋅ + ⋅ + ⋅
1
1
1
1
1
1
Now x x y
1 = −
∴ ∂
∂
∂
∂
∂
∂
x
x
x
y
x
z
1 1 1
1 1 0
= = − =
, ,
y1
= y − z ∴ ∂
∂
∂
∂
∂
∂
y
x
y
y
y
z
1 1 1
0 1 1
= = = −
, ,
and z1
= z − x ∴ ∂
∂
∂
∂
∂
∂
z
x
z
y
z
z
1 1 1
1 0 1
= − = =
, ,
∴
∂
∂
∂
∂
∂
∂
∂
∂
∂
∂
∂
∂
∂
∂
u
x
u
x
x
x
u
y
y
x
u
z
z
x
= + +
1
1
1
1
1
1
⇒
∂
∂
∂
∂
∂
∂
u
x
u
x
u
z
= −
1 1
(1)
Similarly,
∂
∂
∂
∂
∂
∂
∂
∂
∂
∂
∂
∂
∂
∂
u
y
u
x
x
y
u
y
y
y
u
z
z
y
= ⋅ + ⋅ + ⋅
1
1
1
1
1
1
⇒
∂
∂
∂
∂
∂
∂
u
y
u
x
u
y
= − +
1 1
(2)
M05_ENGINEERING_MATHEMATICS-I _CH05_Part A.indd 11 5/12/2016 10:24:40 AM
5.12 ■ Engineering Mathematics
and
∂
∂
∂
∂
∂
∂
∂
∂
∂
∂
∂
∂
∂
∂
u
z
u
x
x
z
u
y
y
z
u
z
z
z
= ⋅ + ⋅ + ⋅
1
1
1
1
1
1
⇒
∂
∂
∂
∂
∂
∂
u
z
u
y
u
z
= − +
1 1
(3)
(1) + (2) + (3) ⇒
∂
∂
∂
∂
∂
∂
∂
∂
∂
∂
∂
∂
∂
∂
∂
∂
∂
∂
u
x
u
y
u
z
u
x
u
z
u
x
u
y
u
y
u
z
+ + = − − + − + =
1 1 1 1 1 1
0
EXAMPLE 5
If u
x y
x y
5
1
1
2
sin ,
1 ⎛
⎝
⎜
⎞
⎠
⎟
then prove that x
u
x
y
u
y
u
∂
∂
∂
∂
1 5
1
2
tan .
Solution.
Given u
x y
x y
=
+
+
⎛
⎝
⎜
⎞
⎠
⎟
−
sin 1
⇒ sinu
x y
x y
=
+
+
Let f x y
x y
x y
f x y u
( , ) ( , ) sin
=
+
+
∴ =
∴ f tx ty
tx ty
tx ty
t
x y
x y
t f x y
( , ) ( , )
/ /
=
+
+
=
+
+
⎛
⎝
⎜
⎞
⎠
⎟
=
1 2 1 2
∴ f is a homogeneous function of degree
1
2
By Euler’s theorem, we get x
f
x
y
f
y
f
∂
∂
∂
∂
+ =
1
2
⇒ x
x
u y
y
u u f u
∂
∂
∂
∂
(sin ) (sin ) sin [ sin ]
+ = =
1
2
since
⇒ x u
u
x
y u
u
y
u
cos cos sin
∂
∂
∂
∂
+ =
1
2
⇒ x
u
x
y
u
y
u
u
∂
∂
∂
∂
+ =
1
2
sin
cos
⇒ x
u
x
y
u
y
u
∂
∂
∂
∂
+ =
1
2
tan
Another result on homogeneous functions which follow from Euler’s theorem is given below.
Theorem 5.2
If u(x, y) is homogeneous function of degree n in x and y with all first and second derivatives
continuous, then
x
u
x
xy
u
x y
y
u
y
n n u
2
2
2
2
2
2
2
2 1
∂
∂
∂
∂ ∂
∂
∂
1 1 5 2
( )
Proof Given u(x, y) is a homogeneous function of x and y of degree n.
So, by Euler’s theorem x
u
x
y
u
y
nu
∂
∂
∂
∂
+ = (1)
M05_ENGINEERING_MATHEMATICS-I _CH05_Part A.indd 12 5/12/2016 10:24:45 AM
Differential Calculus of Several Variables ■ 5.13
Differentiating (1) partially w.r.to x, we get
⇒
x
u
x
u
x
y
u
x y
n
u
x
x
u
x
y
u
x y
n
u
x
∂
∂
∂
∂
∂
∂ ∂
∂
∂
∂
∂
∂
∂ ∂
∂
∂
2
2
2
2
2
2
1
+ + =
+ = −
( )
Multiplying by x, x
u
x
xy
u
x y
n x
u
x
2
2
2
2
1
∂
∂
∂
∂ ∂
∂
∂
+ = −
( ) (2)
Now differentiating (1) w.r.to y, we get
⇒
x
u
y x
y
u
y
u
y
n
u
y
x
u
x y
y
u
y
n
u
y
⋅ + ⋅ + =
+ = −
∂
∂ ∂
∂
∂
∂
∂
∂
∂
∂
∂ ∂
∂
∂
∂
∂
2 2
2
2 2
2
1
( ) assu
uming
∂
∂ ∂
∂
∂ ∂
2 2
u
x y
u
y x
=
⎡
⎣
⎢
⎤
⎦
⎥
Multiplying by y, xy
u
x y
y
u
y
n y
u
y
∂
∂ ∂
∂
∂
∂
∂
2
2
2
2
1
+ = −
( ) (3)
(2) + (3) ⇒ x
u
x
xy
u
x y
y
u
y
n x
u
x
y
u
y
n n
2
2
2
2
2
2
2
2 1 1
∂
∂
∂
∂ ∂
∂
∂
∂
∂
∂
∂
+ + = − +
⎡
⎣
⎢
⎤
⎦
⎥ = −
( ) ( ) u
u [ ( )]
Using 1
⇒ x u xyu y u n n u
2 2
2 1
xx xy yy
+ + = −
( )
WORKED EXAMPLES
EXAMPLE 6
If z xf
y
x
y
x
5 1
⎛
⎝
⎜
⎞
⎠
⎟
⎛
⎝
⎜
⎞
⎠
⎟
g , then show that x
z
x
xy
z
x y
y
z
y
2
2
2
2
2
2
2
2 0
∂
∂
∂
∂ ∂
∂
∂
1 1 5 .
Solution.
Given z xf
y
x
g
y
x
=
⎛
⎝
⎜
⎞
⎠
⎟ +
⎛
⎝
⎜
⎞
⎠
⎟
Let u xf
y
x
v g
y
x
z u v
=
⎛
⎝
⎜
⎞
⎠
⎟ =
⎛
⎝
⎜
⎞
⎠
⎟ ∴ = +
, (1)
u tx ty tx f
ty
tx
t x f
y
x
tu
( , ) =
⎛
⎝
⎜
⎞
⎠
⎟ =
⎛
⎝
⎜
⎞
⎠
⎟
⎡
⎣
⎢
⎤
⎦
⎥ =
∴ u is homogeneous of degree 1.
By theorem 5.2
x
u
x
xy
u
x y
y
u
y
n n u
2
2
2
2
2
2
2
2 ( 1) 0
∂
∂
∂
∂ ∂
∂
∂
1 1 5 2 5 [{ n = 1] (2)
∴
v x y g
y
x
v tx ty g
ty
tx
g
y
x
v x y
( , )
( , ) ( , )
=
⎛
⎝
⎜
⎞
⎠
⎟
=
⎛
⎝
⎜
⎞
⎠
⎟ =
⎛
⎝
⎜
⎞
⎠
⎟ =
Now
M05_ENGINEERING_MATHEMATICS-I _CH05_Part A.indd 13 5/12/2016 10:24:49 AM
5.14 ■ Engineering Mathematics
∴ v is homogeneous of degree 0.
∴ x
v
x
xy
v
x y
y
v
y
n n v
2
2
2
2
2
2
2
2 1 0
∂
∂
∂
∂ ∂
∂
∂
+ + = − =
( ) [{ n = 0] (3)
(2) + (3) ⇒ x
x
u v xy
x y
u v y
y
u v
2
2
2
2
2
2
2
2 0
∂
∂
∂
∂ ∂
∂
∂
( ) ( ) ( )
+ + + + + =
⇒ x
z
x
xy
z
x y
y
z
y
2
2
2
2
2
2
2
2 0
∂
∂
∂
∂ ∂
∂
∂
+ + =
EXAMPLE 7
If u5 2
2 2
x
y
x
y
x
y
2 1 2 1
tan tan , then find the value of x
u
x
2
2
2
∂
∂
1 2
2
2
2
2
xy
u
x y
y
u
y
∂
∂ ∂
+
∂
∂
.
Solution.
Given u x y x
y
x
y
x
y
( , ) tan tan
= −
− −
2 1 2 1
∴ u tx ty t x
ty
tx
t y
tx
ty
t x
( , ) tan tan
tan
=
⎛
⎝
⎜
⎞
⎠
⎟ −
⎛
⎝
⎜
⎞
⎠
⎟
=
− −
−
2 2 1 2 2 1
2 2 1 y
y
x
y
x
y
t u x y
−
⎡
⎣
⎢
⎤
⎦
⎥ =
−
2 1 2
tan ( , )
∴ u(x, y) is homogeneous of degree 2 and it is differentiable twice, partially.
∴ by theorem 5.2,
x
u
x
xy
u
x y
y
u
y
u u
2
2
2
2
2
2
2
2 2 2 1 2
∂
∂
∂
∂ ∂
∂
∂
+ + = − =
( )
EXAMPLE 8
If u 5 xy
, then show that (i) uxy
5 uyx
(ii) uxxy
5 uxyx
Solution.
Given u = xy
∴ ux
= yxy − 1
[treating y as constant] (1)
and uy
= xy
loge
x [treating x as constant] (2)
Differentiating (1) again w.r.to x, uxx
= y(y − 1)xy − 2
Differentiating again w.r.to y, we get
u y y x x x y y
xxy
y 2
e
y 2
1) log 1 ( 1 1
= − + ⋅ + − ⋅
− −
( [ ) ]
[ ( ]
= − + −
−
x y y x y
y 2
e
1) log 2 1 (3)
Differentiating (1) w.r.to y, we get
u y x x x u x y x
xy
y
e
y
xy
y
e
= ⋅ + ⋅ = +
− − −
1 1 1
1 1
log [ log ]
⇒ (4)
Differentiating (2) w.r.to x, we get
u x
x
x y x u x y x
yx
y
e
y
yx
y
e
= ⋅ + ⋅ = +
− −
1
1
1 1
log [ log ]
⇒ (5)
M05_ENGINEERING_MATHEMATICS-I _CH05_Part A.indd 14 5/12/2016 10:24:52 AM
Differential Calculus of Several Variables ■ 5.15
From (4) and (5), we get uxy
= uyx
, which is (i)
Again differentiating (4) w.r.to x, we get
⇒
u x y
x
y x y x
x y y y
xyx
y
e
y
y
= ⋅
⎡
⎣
⎢
⎤
⎦
⎥ + + ⋅ −
= ⋅ + − +
− −
−
1 2
2
1
1 1
1 1
( log ) ( )
( )( lo
og )
[ ( )( log )] [ ( )log
e
y
xyx
y
e
y
e
x x
u x y y y x x y y x y
−
− −
= + − + = − +
2
2 2
1 1 1 2 −
−1] (6)
From (3) and (6), we get uxxy
= uxyx
, which is (ii)
EXAMPLE 9
If r x y z
2 2 2 2
5 1 1 , then prove that
∂
∂
∂
∂
∂
∂
2
2
2
2
2
2
2
r
x
r
y
r
z r
1 1 5 .
Solution.
Given r x y z
2 2 2 2
= + + ∴ 2 2
r
r
x
x
r
x
x
r
∂
∂
⇒
∂
∂
= =
∴ ∂
∂
∂
∂
2
2 2 2
2 2
3
1
r
x
r x
r
x
r
r x
x
r
r
r x
r
=
⋅ −
=
− ⋅
=
−
Similarly,
∂
∂
∂
∂
2
2
2 2
3
2
2
2 2
3
r
y
r y
r
r
z
r z
r
=
−
=
−
and
∴
∂
∂
∂
∂
∂
∂
2
2
2
2
2
2
2 2 2 2 2 2
3
2 2 2 2
3
3
r
x
r
y
r
z
r x r y r z
r
r x y z
r
+ + =
− + − + −
=
− + +
=
( ) 3
3 2 2
2 2
3
2
3
r r
r
r
r r
−
= =
5.2.4 Total Derivatives
Let u = f(x, y) be a function of 2 variables x, y. If x and y are continuous functions of t then z will be
ultimately a function of t only or z is a composite function of t. Then we can find the ordinary
derivative
du
dt
which is called the total derivative of u to distinguish it from the partial derivatives ∂
∂
∂
∂
u
x
u
y
, .
We have
du
dt
u
x
dx
dt
u
y
dy
dt
= +
∂
∂
∂
∂
This is also know as chain rule for one independent variable.
Proof u = f(x, y), x = F(t), y = G(t).
Giving increment Δt to t will result in increments Δx, Δy and Δu in x, y and u.
∴ Δ Δ Δ
Δ Δ Δ Δ
u f x x y y f x y
f x x y y f x y y f x y y f
= + + −
= + + − + + + −
( , ) ( , )
( , ) ( , ) ( , ) (x
x y
, )
∴ Δ
Δ
Δ Δ Δ
Δ
Δ
Δ
u
t
f x x y y f x y y
t
f x y y f x y
t
=
+ + − +
+
+ −
( , ) ( , ) ( , ) ( , )
=
+ + − +
+
+ −
f x x y y f x y y
x
x
t
f x y y f x y
y
y
t
( , ) ( , ) ( , ) ( , )
Δ Δ Δ
Δ
Δ
Δ
Δ
Δ
Δ
Δ
M05_ENGINEERING_MATHEMATICS-I _CH05_Part A.indd 15 5/12/2016 10:25:04 AM
5.16 ■ Engineering Mathematics
∴
du
dt
u
t
t x y
t
= → → →
→
lim , , ,
Δ
Δ
Δ
Δ Δ Δ
0
0 0 0
as
∴
du
dt
f
x
dx
dt
f
y
dy
dt
du
dt
u
x
dx
dt
u
y
dy
dt
u f
= + =
∂
∂
+
∂
∂
=
∂
∂
∂
∂
or [ ]
{ (1)
Cor (1) In differential form the result (1) can be written as
df
f
x
dx
f
y
dy du
u
x
dx
u
y
dy
= + = +
∂
∂
∂
∂
∂
∂
∂
∂
or
du is called the total differential of u.
Similarly, if u = f(x, y, z) of 3 independent variable x, y, z, then the total differential is
du
u
x
dx
u
y
dy
u
z
dz
= + +
∂
∂
∂
∂
∂
∂
Note: The function z = f(x, y) is differentiable at the point (x0
, y0
) if the first partial derivatives fx
, fy
exist at (x0
, y0
) and are continuous at (x0
, y0
) and
dz f x y dx f x y dy
x y
= +
( , ) ( , ) .
0 0 0 0
From this result, it follows that if f(x, y) is differentiable at (x0
, y0
), then f is continuous at
(x0
, y0
).
Cor (2) If u = f(x, y) where x and y are function of t1
, t2
, then u is ultimately a function of t1
, t2
and so
z is a composite function of t1
, t2
.
Then we have partial derivatives of u w.r.to t1
, t2
∴
∂
∂
∂
∂
∂
∂
∂
∂
∂
∂
∂
∂
∂
∂
∂
∂
∂
∂
∂
∂
u
t
u
x
x
t
u
y
y
t
u
t
u
x
x
t
u
y
y
t
1 1 1 2 2 2
= + ⋅ = + ⋅
and
These are chain rules for two independent variables.
Cor (3) Differentiation of implicit functions
The equation f(x, y) = 0 defines y implicitly as a function of x. Suppose the function f(x, y) is differen-
tiable, then the total differential
⇒
df
df
dx
dx
df
dy
dy
=
+ =
0
0
⇒
∂
∂
∂
∂
f
x
f
y
dy
dx
+ = 0
⇒
dy
dx
f
x
f
y
dy
dx
f
f
f
=
−
= − ≠
∂
∂
∂
∂
⇒ x
y
y
if 0
M05_ENGINEERING_MATHEMATICS-I _CH05_Part A.indd 16 5/12/2016 10:25:07 AM
Differential Calculus of Several Variables ■ 5.17
WORKED EXAMPLES
EXAMPLE 1
If u 5 x2
y3
, x 5 log t, y 5 et
, then find
d
d
u
t
.
Solution.
Given u = x2
y3
, x = log t, y = et
. So, u is ultimately a function of t
We know du
u
x
dx
u
y
dy
= +
∂
∂
∂
∂
∴ du
dt
u
x
dx
dt
u
y
dy
dt
= +
∂
∂
∂
∂
.
But ∂
∂
∂
∂
u
x
xy
u
y
x y
dx
dt t
dy
dt
e
= = ⋅ = =
2 3
1
3 2 2
, , , t
∴
du
dt
xy
t
x y e
t e
t
t e e
t
t
= ⋅ +
= ⋅ ⋅ + ⋅ ⋅ =
2
1
3
2
1
3
2
3 2 2
2
t
3t 2t t
log (log ) (log )e
e t e
e t
t
t t
t t
t
3 3
+ = +
3 2 3
2
3
(log )
log
[ log ]
EXAMPLE 2
If u x y
5 2
2
sin ( ),
1
where x = 3t, y = 4t3
, then show that
du
dt
5
2
3
1
1 1
2
t
t
, .
−  
Solution.
Given u = sin−1
(x − y), where x = 3t, y = 4t3
We know du
u
x
dx
u
y
dy
= +
∂
∂
∂
∂
∴ du
dt
u
x
dx
dt
u
y
dy
dt
= +
∂
∂
∂
∂
But
∂
∂
∂
∂
u
x x y
u
y x y
=
− −
=
− −
−
1
1
1
1
1
2 2
( )
,
( )
( ) and dx
dt
dy
dt
t
= =
3 12 2
,
∴
du
dt x y
t
t
x y
=
− −
− =
− −
1
1
3 12
3 1
1
2
2
2
2
( )
( )
( )
( )
− 4
Now 1 − (x − y)2
= 1 − (3t − 4t3
)2
= 1 − (9t2
+ 16t6
− 24t4
) = 1 − 9t2
+ 24t4
− 16t6
Since sum of the coefficients of R. H. S = 0, t2
= 1 will satisfy the polynomial 1 − 9t2
+ 24t4
− 16t6
∴ 1 1 16 8 1
1 16 8 1
2 2 4 2
2 4 2
− − = − − + −
= − − − +
= −
( ) ( )( )
( )( )
( )(
x y t t t
t t t
t2
1 4
− t
t2
− = − −
1 1 1 4
2 2 2 2
) ( )( )
t t
1 16 24 9 1
0 16 8 1
16 8 1 0
− −
− −
− −
∴
du
dt
t
t t t
t
=
−
− −
=
−
− 
3 1 4
1 1 4
3
1
1 4 0
2
2 2 2 2
2
( )
( )( )
[ ]
since
EXAMPLE 3
Find
du
dx
if u 5 cos (x2
1 y2
) and a2
x2
1 b2
y2
5 c2
.
Solution.
Given u = cos (x2
+ y2
) and a2
x2
+ b2
y2
= c2
M05_ENGINEERING_MATHEMATICS-I _CH05_Part A.indd 17 5/12/2016 10:25:12 AM
5.18 ■ Engineering Mathematics
We know du
u
x
dx
u
y
dy
= +
∂
∂
∂
∂
∴ du
dx
u
x
u
y
dy
dx
= +
∂
∂
∂
∂
But a2
x2
+ b2
y2
= c2
, then
dy
dx
f
f
x
y
= −
Here f = a2
x2
+ b2
y2
− c2
∴ fx
= 2a2
x and fy
= 2b2
y
∴
dy
dx
a x
b y
a x
b y
=
−
=
2
2
2
2
2
2
−
Now
∂
∂
u
x
x y x
= − + ⋅
sin( )
2 2
2 and ∂
∂
u
y
x y y
= − + ⋅
sin( )
2 2
2
∴ du
dx
x x y y x y
a x
b y
x x y
= − + − + ⋅
⎛
⎝
⎜
⎞
⎠
⎟
= − +
2 2
2
2 2 2 2
2
2
2 2
sin sin
sin
( ) ( )
(
−
)
) ( ) ( )sin(
1 2 1
2
2
2
2 2
2
2 2
2 2 2
−
⎧
⎨
⎩
⎫
⎬
⎭
= + ⋅ −
⎛
⎝
⎜
⎞
⎠
⎟ = −
a
b
x x y
a
b
x
b
a b x
sin +
+ y2
)
EXAMPLE 4
If u 5 f(x, y), x 5 r cos u, y 5 r sin u, then show that ∂
∂
∂
∂
∂
∂
∂
∂
u
x
u
y
u
r r
u
⎛
⎝
⎜
⎞
⎠
⎟
⎛
⎝
⎜
⎞
⎠
⎟
⎛
⎝
⎜
⎞
⎠
⎟
⎛
⎝
⎜
⎞
⎠
⎟
2 2 2
2
2
1
1 5 1
u
.
Solution.
Since x and y are functions of r and u, u is a composite function of r and u. So, we have partial
derivatives of u w.r.to r, u
We know that du
u
x
dx
u
y
dy
= +
∂
∂
∂
∂
∴
∂
∂
∂
∂
∂
∂
∂
∂
∂
∂
∂
∂
∂
∂
∂
∂
∂
∂
∂
∂
u
r
u
x
x
r
u
y
y
r
u u
x
x u
y
y
= + = +
,
u u u
Since x = r cos u and y = r sin u
∴
∂
∂
∂
∂
∂
∂
∂
∂
∂
∂
∂
∂
∂
∂
x
r
y
r
x
r
y
r
u
r
u
x
x
= =
= − =
= ⋅
cos sin
sin cos
u u
u
u
u
u
and
and
r
r
u
y
y
r
u
x
u
y
+ ⋅ = +
∂
∂
∂
∂
∂
∂
∂
∂
cos sin
u u
and
∂
∂
∂
∂
∂
∂
∂
∂
∂
∂
∂
∂
∂
∂
u u
x
x u
y
y u
x
r
u
y
r
u u u
u u
= ⋅ + ⋅ = − +
( sin ) ( cos )
⇒
1
r
u u
x
u
y
∂
∂
∂
∂
∂
∂
u
u u
= − +
sin cos
∴
∂
∂
∂
∂
∂
∂
∂
∂
∂
∂
u
r r
u u
x
u
y
u
x
⎛
⎝
⎜
⎞
⎠
⎟ +
⎛
⎝
⎜
⎞
⎠
⎟ = +
⎛
⎝
⎜
⎞
⎠
⎟ + −
2 2 2
1
u
u u
cos sin sin
n cos
u u
+
⎛
⎝
⎜
⎞
⎠
⎟
∂
∂
u
y
2
=
⎛
⎝
⎜
⎞
⎠
⎟ +
⎛
⎝
⎜
⎞
⎠
⎟ +
+
⎛
∂
∂
∂
∂
∂
∂
∂
∂
∂
∂
u
x
u
y
u
x
u
y
u
x
2
2
2
2
2
cos sin cos sin
u u u u
⎝
⎝
⎜
⎞
⎠
⎟ +
⎛
⎝
⎜
⎞
⎠
⎟ − ⋅
2
2
2
2
2
sin cos sin cos
u u u u
∂
∂
∂
∂
∂
∂
u
y
u
x
u
y
M05_ENGINEERING_MATHEMATICS-I _CH05_Part A.indd 18 5/12/2016 10:25:17 AM
Differential Calculus of Several Variables ■ 5.19
=
⎛
⎝
⎜
⎞
⎠
∂
∂
u
x
⎟
⎟ + +
⎛
⎝
⎜
⎞
⎠
⎟ +
2
2 2
2
2 2
[cos sin ] [sin cos ]
u u u u
∂
∂
u
y
⇒
∂
∂
∂
∂
∂
∂
∂
∂
u
r r
u u
x
u
y
⎛
⎝
⎜
⎞
⎠
⎟ +
⎛
⎝
⎜
⎞
⎠
⎟ =
⎛
⎝
⎜
⎞
⎠
⎟ +
⎛
⎝
⎜
⎞
⎠
⎟
2
2
2 2 2
1
u
EXAMPLE 5
If u f
y x
xy
z x
zx
5
2 2
,
⎛
⎝
⎜
⎞
⎠
⎟, then prove that x
u
x
y
u
y
z
u
z
2 2 2
0
∂
∂
∂
∂
∂
∂
1 1 5 .
Solution.
Given u f
y x
xy
z x
zx
=
− −
⎛
⎝
⎜
⎞
⎠
⎟
,
Put r
x y
xy y x
s
z x
zx x z
=
−
= − =
−
= −
1 1 1 1
and
∴ u is a function of r, s and r and s are functions of x, y, z
We know du
u
r
dr
u
s
ds
= +
∂
∂
∂
∂
∴ ∂
∂
∂
∂
∂
∂
∂
∂
∂
∂
∂
∂
∂
∂
∂
∂
∂
∂
∂
∂
∂
∂
∂
∂
u
x
u
r
r
x
u
s
s
x
u
y
u
r
r
y
u
s
s
y
u
z
u
= ⋅ + ⋅ = ⋅ + ⋅ =
, ,
r
r
r
z
u
s
s
z
⋅ + ⋅
∂
∂
∂
∂
∂
∂
But
and
r
y x
r
x x
r
y y
r
z
s
x z
s
x x
= − = + = − =
= − = −
1 1 1 1
0
1 1 1
2 2
2
∴
∂
∂
∂
∂
∂
∂
∴
∂
∂
, ,
,
∂
∂
∂
∂
∂
s
y
s
z z
= =
0
1
2
,
∴
∂
∂
∂
∂
∂
∂
u
x
u
r x
u
s x
= ⋅ + −
⎛
⎝
⎜
⎞
⎠
⎟
1 1
2 2
⇒ x
u
x
u
r
u
s
2 ∂
∂
∂
∂
∂
∂
= − (1)
∂
∂
∂
∂
∂
∂
u
y
u
r y
u
s
= ⋅ −
⎛
⎝
⎜
⎞
⎠
⎟ + ⋅
1
0
2
⇒ y
u
y
u
r
2 ∂
∂
∂
∂
= − (2)
and
∂
∂
∂
∂
∂
∂
u
z
u
r
u
s z
= ⋅ + ⋅
⎛
⎝
⎜
⎞
⎠
⎟
0
1
2 ⇒ z
u
z
u
s
2 ∂
∂
∂
∂
= (3)
(1) + (2) + (3) ⇒ + + = − − + =
x
u
x
y
u
y
z
u
y
u
r
u
s
u
r
u
s
2 2 2
0
∂
∂
∂
∂
∂
∂
∂
∂
∂
∂
∂
∂
∂
∂
M05_ENGINEERING_MATHEMATICS-I _CH05_Part A.indd 19 5/12/2016 10:25:22 AM
5.20 ■ Engineering Mathematics
EXAMPLE 6
If z is a function of x and y and x 5 u cos a 2 v sin a, y 5 u sin a 1 v cos a, then show that
∂
∂
∂
∂
∂
∂
∂
∂
2
2
2
2
2
2
2
2
z
x
z
y
z
u
z
v
1 5 1 .
Solution.
Given z is a composite function of u and v and x = u cos a − v sin a, y = u sin a + v cos a
We have dz
z
x
dx
z
y
dy
= +
∂
∂
∂
∂
∴
∂
∂
∂
∂
∂
∂
∂
∂
∂
∂
z
u
z
x
x
u
z
y
y
u
= + (1)
and
∂
∂
∂
∂
∂
∂
∂
∂
∂
∂
z
v
z
x
x
v
z
y
y
v
= + (2)
But, ∂
∂
∂
∂
x
u
x
v
= = −
cos , sin
a a ,
∂
∂
∂
∂
y
u
y
v
= =
sin , cos
a a
∴
∂
∂
∂
∂
∂
∂
∂
∂
∂
∂
∂
∂
∂
∂
∂
z
u
z
x
z
y
z
u
z
x
z
y x
= +
= + = +
cos sin
cos sin cos sin
a a
a a a a
∂
∂y
z
⎛
⎝
⎜
⎞
⎠
⎟
∴ operator
∂
∂
∂
∂
∂
∂
u x y
= +
cos sin
a a (3)
and
∂
∂
∂
∂
∂
∂
∂
∂
∂
∂
z
v
z
x
z
y x y
z
= − + = − +
⎛
⎝
⎜
⎞
⎠
⎟
( sin ) cos sin cos
a a a a
∴ operator
∂
∂
∂
∂
∂
∂
v x y
= − +
⎛
⎝
⎜
⎞
⎠
⎟
sin cos
a a (4)
Now
∂
∂
∂
∂
∂
∂
∂
∂
∂
∂
∂
∂
∂
∂
2
2
z
u u
z
u x y
z
x
z
=
⎛
⎝
⎜
⎞
⎠
⎟ = +
⎛
⎝
⎜
⎞
⎠
⎟ +
cos sin cos sin
a a a a
y
y
z
x
z
x y
z
y x
⎛
⎝
⎜
⎞
⎠
⎟
= + + +
cos cos sin sin cos sin
2
2
2
2 2
2
a a a a a a
∂
∂
∂
∂ ∂
∂
∂ ∂
∂
∂
∂
2
2
z
y
∂
∂
∂
∂
∂
∂ ∂
∂
∂
∂
2
2
2
2
2
2
2
2
2
2
2
z
u
z
x
z
x y
z
y
z
= + +
cos sin cos sin
a a a a assuming
∂
∂ ∂
∂
∂ ∂
x y
z
y x
=
2
⎡
⎣
⎢
⎤
⎦
⎥ (5)
and
∂
∂
∂
∂
∂
∂
∂
∂
∂
∂
∂
∂
∂
2
2
z
v v
z
v x y
z
x
=
⎛
⎝
⎜
⎞
⎠
⎟ = − +
⎛
⎝
⎜
⎞
⎠
⎟ − +
sin cos sin cos
a a a a
z
z
y
z
x
z
x y
z
y x
∂
∂
∂
∂
∂ ∂
∂
∂ ∂
⎛
⎝
⎜
⎞
⎠
⎟
= − − +
sin sin cos sin cos cos
2
2
2
2 2
a a a a a 2
2
2
2
a
∂
∂
z
y
⇒
M05_ENGINEERING_MATHEMATICS-I _CH05_Part A.indd 20 5/12/2016 10:25:27 AM
Differential Calculus of Several Variables ■ 5.21
∂
∂
∂
∂
∂
∂ ∂
∂
∂
2
2
2
2
2
2
2
2
2
2
z
v
z
x
z
x y
z
y
= − +
sin sin cos cos
a a a a (6)
(5) + (6) ⇒
∂
∂
∂
∂
∂
∂
∂
∂
∂
∂
2
2
2
2
2 2
2
2
2 2
2
2
2
z
u
z
v
z
x
z
y
z
+ = + + +
=
(cos sin ) (sin cos )
a a a a
x
x
z
y
2
2
2
+
∂
∂
.
EXAMPLE 7
If z f x y
5 ( , ) where x u v
5 2
2 2
, y uv
5 2 , prove that
∂
∂
∂
∂
∂
∂
∂
∂
⎛
⎝
⎜
⎞
⎠
⎟
2
2
2
2
2 2
2
2
2
2
4
z
u
z
v
u v
z
x
z
y
1 5 1 1
( ) .
Solution.
Given z f x y
= ( , ) where x u v
= −
2 2
, y uv
= 2
Since z is a function of x, y,we have dz
z
x
dx
z
y
dy
=
∂
∂
+
∂
∂
(1)
But x and y are function of u and v.
So, z is ultimately a function of u and v.
∴ ∂
∂
=
∂
∂
∂
∂
+
∂
∂
∂
∂
z
u
z
x
x
u
z
y
y
u
But x u v y uv
= − =
2 2
2
and
∴ ∂
∂
=
∂
∂
=
x
u
u
y
u
v
2 2
and
∴
∂
∂
=
∂
∂
⋅ +
∂
∂
⋅ =
∂
∂
+
∂
∂
=
∂
∂
+
∂
∂
⎛
⎝
⎜
⎞
⎠
⎟
z
u
z
x
u
z
y
v u
z
x
v
z
y
u
x
v
y
z
2 2 2 2 2 2
⇒ ∂
∂
=
∂
∂
+
∂
∂
u
u
x
v
y
2 2
Now
∂
∂
=
∂
∂
∂
∂
=
∂
∂
∂
∂
+
∂
∂
2
2
2 2 2
z
u u
z
u u
u
z
x
v
z
y u
u
z
x
⎛
⎝
⎜
⎞
⎠
⎟
⎛
⎝
⎜
⎞
⎠
⎟ =
∂
∂
∂
∂
⎛
⎝
⎜
⎞
⎠
⎟
⎟ +
∂
∂
∂
∂
⎛
⎝
⎜
⎞
⎠
⎟
2
u
v
z
y
⇒
∂
∂
2
2
2 1 2 0
z
u
z
x
u
u
z
x
z
y
v
u
z
y
=
∂
∂
⋅ + ⋅
∂
∂
∂
∂
⎛
⎝
⎜
⎞
⎠
⎟
⎧
⎨
⎩
⎫
⎬
⎭
+
∂
∂
⋅ +
∂
∂
∂
∂
⎛
⎝
⎜
⎞
⎠
⎟
⎟
⎧
⎨
⎩
⎫
⎬
⎭
=
∂
∂
+
∂
∂
∂
∂
⎛
⎝
⎜
⎞
⎠
⎟ +
∂
∂
∂
∂
⎛
⎝
⎜
⎞
⎠
⎟
2 2 2
z
x
u
u
z
x
v
u
z
y
=
∂
∂
+
∂
∂
+
∂
∂
⎡
⎣
⎢
⎤
⎦
⎥
∂
∂
⎛
⎝
⎜
⎞
⎠
⎟ +
∂
∂
+
∂
∂
⎡
⎣
⎢
⎤
⎦
⎥
∂
2 2 2 2 2 2 2
z
x
u u
x
v
y
z
x
v u
x
v
y
z
∂
∂
⎛
⎝
⎜
⎞
⎠
⎟
=
∂
∂
+
∂
∂
∂
∂
⎛
⎝
⎜
⎞
⎠
⎟ +
∂
∂
∂
∂
⎛
⎝
⎜
⎞
⎠
⎟
⎧
⎨
⎩
⎫
⎬
⎭
+
y
z
x
u u
x
z
x
v
y
z
x
v
2 2 2 2 2 2
2 2
u
x
z
y
v
y
z
y
∂
∂
∂
∂
⎛
⎝
⎜
⎞
⎠
⎟ +
∂
∂
∂
∂
⎛
⎝
⎜
⎞
⎠
⎟
⎧
⎨
⎩
⎫
⎬
⎭
M05_ENGINEERING_MATHEMATICS-I _CH05_Part A.indd 21 5/12/2016 10:25:32 AM
5.22 ■ Engineering Mathematics
∴
∂
∂
=
∂
∂
+
∂
∂
+
∂
∂ ∂
+
∂
∂ ∂
+
∂
∂
2
2
2
2
2
2 2
2
2
2
2 4 4 4 4
z
u
z
x
u
z
x
uv
z
y x
uv
z
x y
v
z
y
(1)
Also ∂
∂
=
∂
∂
⋅
∂
∂
+
∂
∂
⋅
∂
∂
z
v
z
x
x
v
z
y
y
v
and
∂
∂
= −
∂
∂
=
x
v
v
y
v
u
2 2
,
∴
∂
∂
=
∂
∂
− +
∂
∂
= −
∂
∂
+
∂
∂
= −
∂
∂
+
∂
∂
⎛
⎝
⎜
⎞
⎠
⎟
z
v
z
x
v
z
y
u v
z
x
u
z
y
v
x
u
y
z
( )
2 2 2 2 2 2
∴ ∂
∂
= −
∂
∂
+
∂
∂
v
v
x
u
y
2 2
Now
∂
∂
=
∂
∂
∂
∂
⎛
⎝
⎜
⎞
⎠
⎟ =
∂
∂
−
∂
∂
+
∂
∂
⎛
⎝
⎜
⎞
⎠
⎟ = −
∂
∂
∂
∂
⎛
⎝
⎜
2
2
2 2 2
z
v v
z
v v
v
z
x
u
z
y v
v
z
x
⎞
⎞
⎠
⎟ +
∂
∂
∂
∂
⎛
⎝
⎜
⎞
⎠
⎟
2
v
u
z
y
⇒ ∂
∂
= −
∂
∂
⋅ + ⋅
∂
∂
∂
∂
⎛
⎝
⎜
⎞
⎠
⎟
⎧
⎨
⎩
⎫
⎬
⎭
+
∂
∂
⋅ +
∂
∂
∂
∂
⎛
⎝
⎜
⎞
2
2
2 1 2 0
z
v
z
x
v
v
z
x
z
y
u
v
z
y⎠
⎠
⎟
⎧
⎨
⎩
⎫
⎬
⎭
= −
∂
∂
−
∂
∂
∂
∂
⎛
⎝
⎜
⎞
⎠
⎟ +
∂
∂
∂
∂
⎛
⎝
⎜
⎞
⎠
⎟
= −
∂
∂
−
2 2 2
2 2
z
x
v
v
z
x
u
v
z
y
z
x
v −
−
∂
∂
+
∂
∂
⎧
⎨
⎩
⎫
⎬
⎭
∂
∂
⎛
⎝
⎜
⎞
⎠
⎟ + −
∂
∂
+
∂
∂
⎧
⎨
⎩
⎫
⎬
⎭
∂
∂
⎛
⎝
⎜
⎞
2 2 2 2 2
v
x
u
y
z
x
u v
x
u
y
z
y⎠
⎠
⎟
= −
∂
∂
+
∂
∂
∂
∂
⎛
⎝
⎜
⎞
⎠
⎟ −
∂
∂
∂
∂
⎛
⎝
⎜
⎞
⎠
⎟ −
∂
∂
∂
∂
⎛
⎝
⎜
2 4 4 4
2
z
x
v
x
z
x
uv
y
z
x
uv
x
z
y
⎞
⎞
⎠
⎟ +
∂
∂
∂
∂
⎛
⎝
⎜
⎞
⎠
⎟
4 2
u
y
z
y
⇒
∂
∂
= −
∂
∂
+
∂
∂
−
∂
∂ ∂
−
∂
∂ ∂
+
∂
∂
2
2
2
2
2
2 2
2
2
2
2 4 4 4 4
z
v
z
x
v
z
x
uv
z
y x
uv
z
x y
u
z
y
(2)
Adding (1) and (2), we get
∂
∂
+
∂
∂
= +
∂
∂
+ +
∂
∂
= +
∂
∂
2
2
2
2
2 2
2
2
2 2
2
2
2 2
2
4 4 4 4
4
z
u
z
v
u v
z
x
u v
z
y
u v
z
( ) ( )
( )
x
x
z
y
2
2
2
+
∂
∂
⎛
⎝
⎜
⎞
⎠
⎟
Note The same problem is asked as below also. If g x y u v
( , ) ( , )
= c where u x y
= −
2 2
and v = 2xy,
then prove that ∂
∂
+
∂
∂
= +
∂
∂
+
∂
∂
⎛
⎝
⎜
⎞
⎠
⎟
2
2
2
2
2 2
2
2
2
2
4
g
x
g
y
x y
u v
( ) .
c c
EXAMPLE 8
Transform the equation z z z
xx xy yy
1 1 5
2 0 by changing the independent variables using
u x y
5 2 and v x y
5 1 .
Solution.
Given z z z
xx + + =
2 0
xy yy (1)
M05_ENGINEERING_MATHEMATICS-I _CH05_Part A.indd 22 5/12/2016 10:25:37 AM
Differential Calculus of Several Variables ■ 5.23
and u x y v x y
= − = +
,
In the given equation independent variables are x and y. We have to change them to u and v.
So, we treat z as a function of u and v
∴ dz
z
u
u
z
v
dv
z
x
z
u
u
x
z
v
v
x
=
∂
∂
∂ +
∂
∂
∂
∂
=
∂
∂
⋅
∂
∂
+
∂
∂
⋅
∂
∂
⇒ and
∂
∂
=
∂
∂
=
u
x
v
x
1 1
,
∴
∂
∂
=
∂
∂
+
∂
∂
=
∂
∂
+
∂
∂
⎛
⎝
⎜
⎞
⎠
⎟
∂
∂
=
∂
∂
+
∂
∂
z
x
z
u
z
v u v
z
x u v
⇒
Now
∂
∂
=
∂
∂
∂
∂
⎛
⎝
⎜
⎞
⎠
⎟ =
∂
∂
+
∂
∂
⎛
⎝
⎜
⎞
⎠
⎟
∂
∂
+
∂
∂
⎛
⎝
⎜
⎞
⎠
⎟
2
2
z
x x
z
x u v
z
u
z
v
=
∂
∂
∂
∂
⎛
⎝
⎜
⎞
⎠
⎟ +
∂
∂
∂
∂
⎛
⎝
⎜
⎞
⎠
⎟ +
∂
∂
∂
∂
⎛
⎝
⎜
⎞
⎠
⎟ +
∂
∂
∂
∂
⎛
⎝
⎜
⎞
⎠
⎟
u
z
u u
z
v v
z
u v
z
v
⇒
∂
∂
=
∂
∂
+
∂
∂ ∂
+
∂
∂ ∂
+
∂
∂
2
2
2
2
2 2 2
2
z
x
z
u
z
u v
z
v u
z
v
(2)
Now ∂
∂
=
∂
∂
∂
∂
+
∂
∂
∂
∂
z
y
z
u
u
y
z
v
v
y
and
∂
∂
= −
∂
∂
=
u
y
u
y
1 1
,
∴
∂
∂
= −
∂
∂
+
∂
∂
= −
∂
∂
+
∂
∂
⎛
⎝
⎜
⎞
⎠
⎟
∂
∂
= −
∂
∂
+
∂
∂
z
y
z
u
z
v u v
z
y u v
⇒
∴
∂
∂
=
∂
∂
∂
∂
⎛
⎝
⎜
⎞
⎠
⎟ = −
∂
∂
+
∂
∂
⎛
⎝
⎜
⎞
⎠
⎟ −
∂
∂
+
∂
∂
⎛
⎝
⎜
⎞
⎠
⎟
2
2
z
y y
z
y u v
z
u
z
v
= −
∂
∂
−
∂
∂
⎛
⎝
⎜
⎞
⎠
⎟ −
∂
∂
∂
∂
⎛
⎝
⎜
⎞
⎠
⎟ +
∂
∂
−
∂
∂
⎛
⎝
⎜
⎞
⎠
⎟ +
∂
∂
∂
∂
⎛
⎝
⎜
⎞
⎠
u
z
u u
z
v v
z
u v
z
v
⎟
⎟
⇒
∂
∂
=
∂
∂
−
∂
∂ ∂
−
∂
∂ ∂
+
∂
∂
2
2
2
2
2 2 2
2
z
y
z
u
z
u v
z
v u
z
v
(3)
and
∂
∂ ∂
=
∂
∂
∂
∂
⎛
⎝
⎜
⎞
⎠
⎟ =
∂
∂
+
∂
∂
⎛
⎝
⎜
⎞
⎠
⎟ −
∂
∂
+
∂
∂
⎛
⎝
⎜
⎞
⎠
⎟
=
∂
∂
−
∂
2
z
x y x
z
y u v
z
u
z
v
u
z
∂
∂
⎛
⎝
⎜
⎞
⎠
⎟ +
∂
∂
∂
∂
⎛
⎝
⎜
⎞
⎠
⎟ +
∂
∂
−
∂
∂
⎛
⎝
⎜
⎞
⎠
⎟ +
∂
∂
∂
∂
⎛
⎝
⎜
⎞
⎠
⎟
u u
z
v v
z
u v
z
v
⇒ ∂
∂ ∂
= −
∂
∂
+
∂
∂ ∂
−
∂
∂ ∂
+
∂
∂
2 2
2
2 2 2
2
z
x y
z
u
z
u v
z
v u
z
v
(4)
Substituting (2), (3) and (4) in (1), we get
∂
∂
+
∂
∂ ∂
+
∂
∂ ∂
+
∂
∂
+ −
∂
∂
+
∂
∂ ∂
−
∂
∂ ∂
+
∂
2
2
2 2 2
2
2
2
2 2 2
2
z
u
z
u v
z
v u
z
v
z
u
z
u v
z
v u
z
∂
∂
⎛
⎝
⎜
⎞
⎠
⎟
+
∂
∂
−
∂
∂ ∂
−
∂
∂ ∂
+
∂
∂
=
v
z
u
z
u v
z
v u
z
v
2
2
2
2 2 2
2
0
M05_ENGINEERING_MATHEMATICS-I _CH05_Part A.indd 23 5/12/2016 10:25:43 AM
5.24 ■ Engineering Mathematics
⇒ 4 2 2 0
2
2
2 2
∂
∂
+
∂
∂ ∂
−
∂
∂ ∂
=
z
v
z
u v
z
v u
⇒ 2 0 2 0
2
2
2 2
∂
∂
+
∂
∂ ∂
−
∂
∂ ∂
= + − =
z
v
z
u v
z
v u
z z z
⇒ vv vu uv
which is the transformed equation.
Note In general z z
uv vu
≠ . If z z z
uv vu vv
then
= =
, 0
EXERCISE 5.2
1. If z = x3
+ y3
− 3axy, then show that ∂
∂ ∂
=
∂
∂ ∂
2 2
z
x y
z
y x
.
2. If u x
y
x
y
x
y
= −
− −
2 1 2 1
tan tan , then show that
∂
∂
2 2 2
2 2
u
x y
x y
x y
∂
=
−
+
.
3. If z
x y
x y
=
+
+
2 2
, then show that
∂
∂
∂
∂
∂
∂
∂
∂
z
x
z
y
z
x
z
y
−
⎛
⎝
⎜
⎞
⎠
⎟ = − −
⎛
⎝
⎜
⎞
⎠
⎟
2
4 1 .
4. If u = f(r), where r x y
= +
2 2
, prove that
∂
∂
∂
∂
2
2
2
2
1
u
x
u
y
f r
r
f r
+ = ′′ + ′
( ) ( ).
5. If z = f(x + ct) + g (x − ct), where c is a constant, prove that
∂
∂
∂
∂
2
2
2
2
2
z
t
c
z
x
= .
6. If z
x
y
y
x
= +
− −
sin tan
1 1
, then prove that x
z
x
y
z
y
∂
∂
∂
∂
+ = 0.
7. If z
x y xy
=
+ +
1
2 2
, then prove that x
z
x
y
z
y
z
∂
∂
∂
∂
+ = −2 .
8. If u
x y xy
x y
=
−
+
3 3
, then prove that x
u
x
xy
u
x y
y
u
y
xy x y
2
2
2
2
2
2
2
2 6
∂
∂
∂
∂ ∂
∂
∂
+ + = −
( ).
9. If u
x y
x y
=
+
−
⎛
⎝
⎜
⎞
⎠
⎟
loge
3 3
, then prove that x
u
x
y
u
y
∂
∂
∂
∂
+ = 2.
10. If u
x y
x y
=
+
+
⎛
⎝
⎜
⎞
⎠
⎟
−
sin 1
2 2
, then prove that x
u
x
y
u
y
u
∂
∂
∂
∂
+ = tan .
11. If u = (x − y)4
+ (y − z)4
+ (z − x)4
, then find the value of ∂
∂
∂
∂
∂
∂
u
x
u
y
u
z
+ + .
12. If sinu
x y
x y
=
+
2 2
, then show that x
u
x
y
u
y
u.
∂
∂
∂
∂
+ = 3tan
13. If u
x
y
y
z
z
x
= + + , then show that x
u
x
y
u
y
z
u
z
∂
∂
∂
∂
∂
∂
+ + = 0.
M05_ENGINEERING_MATHEMATICS-I _CH05_Part A.indd 24 5/12/2016 10:25:52 AM
Differential Calculus of Several Variables ■ 5.25
14. If u
x y
x y
=
+
−
⎛
⎝
⎜
⎞
⎠
⎟
−
tan ,
1
3 3
then prove that x
u
x
y
u
y
u
∂
∂
∂
∂
+ = sin .
2
15. If u x y
y
x
= + + −
log( ) tan
2 2 1
, then prove that uxx
+ uyy
= 0.
16. If u x
y
x
y
x
y
= −
− −
2 1 2 1
tan tan , then prove that
∂
∂ ∂
2 2 2
2 2
u
x y
x y
x y
=
−
+
.
17. If u = x2
+ y2
+ z2
and x = e2t
, y = e2t
cos 3t, z = e2t
sin 3t, then find
du
dt
as a total derivative.
18. If u = x3
+ y3
, x = a cos t, y = b sin t, then find
du
dt
.
19. If u = f(r, s) where r = x + at, s = y + bt and x, y, t are independent variables, then show that
∂
∂
∂
∂
∂
∂
u
t
a
u
x
b
u
y
= + .
20. If u = x2
+ y2
+ z2
and x = et
, y = et
sin t, z = et
cos t, then find
du
dt
.
21. If z = f(x, y), where x = u + v, y = uv, then prove that u
z
u
v
z
v
x
z
x
y
z
y
∂
∂
∂
∂
∂
∂
∂
∂
+ = + 2 .
22. If u = f(x2
+ 2yz, y2
+ 2zx), then prove that
( ) ( )
y zx
u
x
x yz
u
y
2 2
− + − +
∂
∂
∂
∂
( ) .
z xy
u
z
2
0
− =
∂
∂
23. If u = f(2x − 3y, 3y − 4z, 4z − 2x), then prove that
1
2
1
3
1
4
0
∂
∂
∂
∂
∂
∂
u
x
u
y
u
z
+ + = .
24. If z = log (u2
+ v) where u e v x y
= = +
+
x y
2 2
2
, , then find
∂
∂
z
x
and ∂
∂
z
y
.
25. If yx
= xy
, then show that dy
dx
y y x y
x x y x
=
−
−
( log )
( log )
, using partial derivative method.
26. If u = f(x2
− y2
, y2
− z2
, z2
− x2
), then prove that 1 1 1
0
x
u
x y
u
y z
u
z
∂
∂
∂
∂
∂
∂
+ + = .
27. Find
du
dt
, when u = x2
y, x = t2
, y = et
28. If u = xy + yz + zx where x
t
y e
= =
1
, t
, and z e
= −t
, then find
du
dt
.
29. Find
du
dt
, when u
x
y
x e y t
= = =
sin , ,
t 2
.
30. If z is a function of x and y and x = eu
1 e2v
, y 5 e2u
2 ev
, then show that
∂
∂
∂
∂
∂
∂
∂
∂
z
u
z
v
x
z
x
y
z
y
− = − .
31. If z = f(x, y), where x = eu
cos v, y = eu
sin v, show that y
z
u
x
z
v
e
z
y
∂
∂
+
∂
∂
=
∂
∂
2u
.
32. If u2
+ 2v2
= 1 − x2
+ y2
and u2
+ v2
= x2
+ y2
− 2, then find
∂
∂
u
x
and
∂
∂
v
x
.
33. If z x y
= +
2 2
and x y xy
3 3 2
3 5
+ + =
a a , then find the value of
dz
dx
when x = y = a.
M05_ENGINEERING_MATHEMATICS-I _CH05_Part A.indd 25 5/12/2016 10:26:02 AM
5.26 ■ Engineering Mathematics
ANSWERS TO EXERCISE 5.2
11. 0
17. 8e4t
18. 3 sin t cos t (b3
sin t − a3
cos t)
20. 4e2t
24. 2 2 1 4 1
2
2
2
2
x u
u v
yu
u v
( )
,
+
+
+
+
27. t3
(4 + t) et
28. 2
2
t
t t t
[ sinh cosh ]
−
29.
e
t
e
t
t
t t
3 2
2
cos [ ]
⎛
⎝
⎜
⎞
⎠
⎟ −
32.
∂
∂
∂
∂
u
x
x
u
v
x
x
v
= =
−
3 2
,
33. 0
5.3 JACOBIANS
Jacobians have many important applications such as functional dependence, transformation of vari-
able in multiple integrals, problems in partial differentiation and in the study of existence of implicit
functions determined by a system of functional equations.
Definition 5.8
(1) If u and v are continuous functions of two independent variables x and y, having first order partial
derivatives, then the determinant
∂
∂
∂
∂
∂
∂
∂
∂
u
x
u
y
v
x
v
y
is called the Jacobian determinant or Jacobian of u
and v with respect to x and y and is denoted by ∂
∂
( , )
( , )
u v
x y
or J
u v
x y
,
,
⎛
⎝
⎜
⎞
⎠
⎟ or J.
Thus, ∂
∂
∂
∂
∂
∂
∂
∂
∂
∂
( , )
( , )
u v
x y
u
x
u
y
v
x
v
y
=
(2) If u, v, w are continuous functions of three independent variables x, y, z having first order partial
derivatives then the Jacobian of u, v, w with respect to x, y, z is defined as
∂
∂
∂
∂
∂
∂
∂
∂
∂
∂
∂
∂
∂
∂
∂
∂
∂
∂
∂
∂
( , , )
( , , )
u v w
x y z
u
x
u
y
u
z
v
x
v
y
v
z
w
x
w
y
w
z
=
Similarly, we can define Jacobians for functions of 4 or more variables.
M05_ENGINEERING_MATHEMATICS-I _CH05_Part A.indd 26 5/12/2016 9:35:41 AM
Differential Calculus of Several Variables ■ 5.27
5.3.1 Properties of Jacobians
For simplicity we shall prove the properties of Jacobians for two variables. However, they can be
extended to any number of variables.
Property 1 If u and v are functions of x and y, then
∂
∂
∂
∂
( , )
( , )
( , )
( , )
u v
x y
x y
u v
⋅ = 1
Proof Let u = f1
(x, y) and v = f2
(x, y) be continuous functions of two independent variables x and y
having first order partial derivatives then J =
∂
∂
( , )
( , )
u v
x y
The condition for these equations to be solvable for x and y is J ≠ 0.
If x = g1
(u, v) and y = g2
(u, v) and ′ =
J
∂
∂
( , )
( , )
,
x y
u v
then to prove JJ′ = 1
We have u f x y
= 1( , )
∴ du
u
x
dx
u
y
dy
= +
∂
∂
∂
∂
(1) and dv
v
x
dx
v
y
dy
= +
∂
∂
∂
∂
(2)
Since u and v are independent variables from differentials (1) and (2) we get
∂
∂
∂
∂
∂
∂
∂
∂
u
u
u
v
v
v
v
u
= = = =
1 0 1 0
, , ,
∴ ∂
∂
∂
∂
∂
∂
∂
∂
∂
∂
∂
∂
∂
∂
∂
∂
u
x
x
u
u
y
y
u
u
x
x
v
u
y
y
v
+ = + =
1 0
and
∂
∂
∂
∂
∂
∂
∂
∂
∂
∂
∂ ∂
∂
∂
∂
v
x
x
v
v
y
y
v
v
x
x
u
v
y
y
u
+ =
∂
+ =
1 0
and
Now JJ′ =
=
⋅ +
∂
∂
∂
∂
∂
∂
∂
∂
∂
∂
∂
∂
∂
∂
∂
∂
∂
∂
∂
∂
∂
∂
∂
∂
∂
∂
u
x
u
y
v
x
v
y
x
u
x
v
y
u
y
v
u
x
x
u
u
y
y
u
u
x
x
x
v
u
y
y
v
v
x
x
u
v
y
y
u
v
x
x
v
v
y
y
v
⋅ +
⋅ + ⋅ ⋅ +
=
∂
∂
∂
∂
∂
∂
∂
∂
∂
∂
∂
∂
∂
∂
∂
∂
∂
∂
∂
∂
∂
∂
1 0
0 1
=
= 1 ■
Property 2 Jacobians of composite functions or chain rule
If u and v are functions of p and q, where p and q are functions of x and y, then ∂
∂
∂
∂
∂
∂
( , )
( , )
( , )
( , )
( , )
( , )
u v
x y
u v
p q
p q
x y
= ⋅
Proof If u and v are continuous functions of p and q and p and q are functions of x and y, then
du
u
p
dp
u
q
dq dv
v
p
dp
v
q
dq
= + ⋅ = + ⋅
∂
∂
∂
∂
∂
∂
∂
∂
and
M05_ENGINEERING_MATHEMATICS-I _CH05_Part A.indd 27 5/12/2016 9:35:46 AM
5.28 ■ Engineering Mathematics
∴
∂
∂
∂
∂
∂
∂
∂
∂
∂
∂
∂
∂
∂
∂
∂
∂
∂
∂
∂
∂
u
x
u
p
p
x
u
q
q
x
v
x
v
p
p
x
v
q
q
x
= ⋅ + ⋅ = ⋅ + ⋅
and
∂
∂
∂
∂
∂
∂
∂
∂
∂
∂
∂
∂
∂
∂
∂
∂
∂
∂
∂
∂
u
y
u
p
p
y
u
q
q
y
v
y
v
p
p
y
v
q
q
y
= ⋅ + ⋅ = ⋅ + ⋅
and
∴
∂
∂
∂
∂
∂
∂
∂
∂
∂
∂
∂
∂
∂
∂
∂
∂
∂
∂
∂
∂
( , )
( , )
( , )
( , )
u v
p q
p q
x y
u
p
u
q
v
p
v
q
p
x
p
y
q
x
q
y
⋅ =
=
=
⋅ + ⋅ +
⋅ + ⋅
∂
∂
∂
∂
∂
∂
∂
∂
∂
∂
∂
∂
∂
∂
∂
∂
∂
∂
∂
∂
∂
∂
∂
∂
∂
u
p
p
x
u
q
q
x
u
p
p
y
u
q
q
y
v
p
p
x
v
q
q
x
v
v
p
p
y
v
q
q
y
u
x
u
y
v
x
v
y
u v
x y
∂
∂
∂
∂
∂
∂
∂
∂
∂
∂
∂
∂
∂
∂
∂
∂
∂
+
= =
( , )
( , )
∴
∂
∂
∂
∂
∂
∂
( , )
( , )
( , )
( , )
( , )
( , )
u v
x y
u v
p q
p q
x y
= ⋅ ■
Note Extension to three variables
(1) ∂
∂
∂
∂
( , , )
( , , )
( , , )
( , , )
u v w
x y z
x y z
u v w
⋅ = 1 and (2) ∂
∂
∂
∂
∂
∂
( , , )
( , , )
( , , )
( , , )
( , , )
( , , )
u v w
x y z
u v w
p q r
p q r
x y z
= ⋅
Property 3 If u and v are functions of two independent variables x and y and u and v are functionally
dependent [i.e., f(u, v) = 0], then
∂
∂
( , )
( , )
.
u v
x y
= 0
Proof If u and v are not independent, then there is a relation between u and v. Let f(u, v) = 0 be the
relation between u and v.
Differentiating with respect to x and y we have,
∂
∂
∂
∂
f
u
u
f
v
v
∂ + ∂ = 0
∴
∂
∂
∂
∂
∂
∂
∂
∂
f
u
u
x
f
v
v
x
+ ⋅ = 0 (1) and
∂
∂
∂
∂
∂
∂
∂
∂
f
u
u
y
f
v
v
y
⋅ + ⋅ = 0 (2)
Eliminating
∂
∂
∂
∂
f
u
f
v
, from (1) and (2), we get
∂
∂
∂
∂
∂
∂
∂
∂
u
x
u
y
v
x
v
y
= 0 ⇒ ∂
∂
( , )
( , )
u v
x y
= 0 ■
Note
(1) The converse of property 3 is also true.
(2) The property can be extended to functions of more than two variables.
M05_ENGINEERING_MATHEMATICS-I _CH05_Part A.indd 28 5/12/2016 9:35:51 AM
Differential Calculus of Several Variables ■ 5.29
Property 4 If x = f(u, v), y = g(u, v) and h(x, y) = F(u, v), then h x y dx dy u v du dv
( , ) ( , )
=
∫∫ ∫∫′
R R
F J ,
where dx dy = J du dv and J =
∂
∂
( , )
( , )
x y
u v
is the Jacobian of transformation.
Similarly, if x, y, z are functions of u, v, w, then the Jacobian of transformation J =
∂
∂
( , , )
( , , )
x y z
u v w
and
f x y z dx dy dz
( , , )
R
∫∫∫ = ∫∫∫F J
R
( , , )
u v w du dv dw
WORKED EXAMPLES
EXAMPLE 1
If u 5 x2
1 1, v 5 y2
2 2, then find ∂
∂
( )
( )
.
u, v
x, y
Solution.
We have ∂
∂
∂
∂
∂
∂
∂
∂
∂
∂
( , )
( , )
u v
x y
u
x
u
y
v
x
v
y
=
Given u = x2
+ 1 ∴ ∂
∂
∂
∂
u
x
x
u
y
= =
2 0
and
and v = y2
− 2 ∴ ∂
∂
∂
∂
v
x
v
y
y
= =
0 2
and
∴
∂
∂
( , )
( , )
.
u v
x y
x
y
xy
= =
2 0
0 2
4
EXAMPLE 2
If x 5 r cos u, y 5 r sin u, then find the Jacobian of x and y with respect to r and u.
Solution.
The Jacobian of x and y with respect to r and u is ∂
∂
∂
∂
∂
∂
∂
∂
∂
∂
( , )
( , )
x y
r
x
r
x
y
r
y
u
u
u
=
Given x = r cos u ∴
∂
∂
∂
∂
x
r
x
r
= = −
cos sin
u
u
u
and
and y r
= sinu ∴
∂
∂
∂
∂
y
r
y
r
= =
sin cos
u
u
u
and
∴ ∂
∂
( , )
( , )
cos sin
sin cos
cos sin (cos sin
x y
r
r
r
r r r
u
u u
u u
u u u
=
−
= + = +
2 2 2 2
2
u) = r
M05_ENGINEERING_MATHEMATICS-I _CH05_Part A.indd 29 5/12/2016 9:35:58 AM
5.30 ■ Engineering Mathematics
Note x = r cos u, y = r sin u transforms cartesian coordinates into polar coordinates.
dx dy dr d r dr d
dx dy r dr d
= =
=
∫∫ ∫∫
J
by property 4
R R
u u
u .
EXAMPLE 3
If x 5 u (1 2 v), y 5 uv, then compute J and ′
J and prove that JJ′ 51.
Solution.
We know J , J
= ′ =
∂
∂
∂
∂
( , )
( , )
( , )
( , )
x y
u v
u v
x y
To prove JJ′ = 1
Given x = u(1 − v) ∴ ∂
∂
∂
∂
x
u
v
x
v
u
= − = −
1 and
and y uv
= ∴
∂
∂
y
u
v
= and
∂
∂
y
v
u
=
∴ J = = =
− −
= − + = − + =
∂
∂
∂
∂
∂
∂
∂
∂
∂
∂
( , )
( , )
( )
x y
u v
x
u
x
v
y
u
y
v
v u
v u
u v uv u uv uv
1
1 u
u
Now to find ′ = =
J
∂
∂
∂
∂
∂
∂
∂
∂
∂
∂
( , )
( , )
u v
x y
u
x
u
y
v
x
v
y
We have to find u and v in terms of x and y.
We have x = u(1 – v) = u – uv and y = uv
∴ x = u – y ⇒ u = x + y ∴
∂
∂
∂
∂
u
x
u
y
= =
1 1
and
and y = uv ⇒ v
y
u
y
x y
= =
+
∴
∂
∂
v
x
y
x y
d
dx x a x a
= −
+
=
+
⎛
⎝
⎜
⎞
⎠
⎟ = −
+
⎡
⎣
⎢
⎤
⎦
⎥
( ) ( )
2 2
1
1 1
{
and
∂
∂
⋅ ⋅
v
y
x y y
x y
x
x y
=
+ −
+
=
+
( )
( ) ( )
1 1
2 2
∴ J′ =
∂
∂
∂
∂
∂
∂
∂
∂
∂
∂
( , )
( , )
( ) ( )
( )
u v
x y
u
x
u
y
v
x
v
y
y
x y
x
x y
x
x y
=
= −
+ +
=
+
1 1
2 2
2
+
+
+
=
+
+
=
+
=
= =
y
x y
x y
x y x y u
u
u
( ) ( )
.
2 2
1 1
1
1
JJ′ ⋅
∴
M05_ENGINEERING_MATHEMATICS-I _CH05_Part A.indd 30 5/12/2016 9:36:05 AM
Differential Calculus of Several Variables ■ 5.31
EXAMPLE 4
If u 5 2xy, v 5 x2
2 y2
, x 5 r cos u, y 5 r sin u, evaluate ∂
∂
( )
( , )
u v
r
,
u
without actual substitution.
Solution.
Given u, v are functions of x and y and x and y are functions of r and u.
So, by property 2 of composite function
∂
∂
∂
∂
∂
∂
( , )
( , )
( , )
( , )
( , )
( , )
u v
r
u v
x y
x y
r
u u
= ⋅
Given u xy
= 2 ∴
∂
∂
∂
∂
u
x
y
u
y
x
= =
2 2
and
and v x y
= −
2 2
∴ ∂
∂
=
∂
∂
= −
v
x
x
v
y
y
2 2
and
∴
∂
∂
∂
∂
∂
∂
∂
∂
∂
∂
( , )
( , )
( )
u v
x y
u
x
u
y
v
x
v
y
y x
x y
y x x y
= =
−
= − − = − +
2 2
2 2
4 4 4
2 2 2 2
Since x = r cos u, y = r sin u ⇒ x2
+ y2
= r2
cos2
u + r2
sin2
u = r2
∴ ∂
∂
( , )
( , )
u v
x y
r
= −4 2
From example 2, we have
∂
∂
( , )
( , )
x y
r
r
u
=
∴
∂
∂
( , )
( , )
u v
r
r r r
u
= − ⋅ = −
4 4
2 3
EXAMPLE 5
For the transformation x 5 r sin u cos f, y 5 r sin u sin f, z 5 r cos u, compute the Jacobian of
x, y, z with respect to r, u, f.
Solution.
The Jacobian of transformation is
J =
∂
∂
( , , )
( , , )
x y z
r u f
=
∂
∂
∂
∂
∂
∂
∂
∂
∂
∂
∂
∂
∂
∂
∂
∂
∂
∂
x
r
x x
y
r
y y
z
r
z z
u f
u f
u f
Given x = r sin u cos f
∴
∂
∂
∂
∂
∂
∂
x
r
x
r
x
r
= = = −
sin cos , cos cos , sin sin
u f
u
u f
f
u f
(x, y, z)
(r, θ, φ)
r sinθ
P
r
Z
Y
M
X
θ
φ
Fig. 5.3
M05_ENGINEERING_MATHEMATICS-I _CH05_Part A.indd 31 5/12/2016 9:36:15 AM
5.32 ■ Engineering Mathematics
and y r
= sin sin
u f
∴
∂
∂
∂
∂
∂
∂
∂
∂
y
r
y
r
y
r
z r
z
r
= = =
=
=
sin sin , cos sin , sin cos
cos
cos
u f
u
u f
f
u f
u
u
u
u
u
f
, sin ,
∂
∂
∂
∂
z
r
z
= − = 0
∴ J =
−
sin cos cos cos sin sin
sin sin cos sin sin cos
cos
u f u f u f
u f u f u f
r r
r r
u
u u
−r sin 0
Expanding using third row, we get
J = + + +
cos [ cos sin cos cos sin sin ] sin [ sin cos
u u u f u u f u u f
r r r r
2 2 2 2 2 2
r
r
r r
sin sin ]
sin [cos (cos sin ] sin [sin (cos
2 2
2 2 2 2 2 2 2
u f
u u f f u u f
= + + +
+
= + =
sin )]
sin [cos sin ] sin
2
2 2 2 2
f
u u u u
r r
Note This is the transformation of cartesian coordinates to spherical polar coordinates (r, u, f)
dx dy dz dr d d r dr d d
= = ⋅
J u f u u f
2
sin
EXAMPLE 6
In cylindrical polar coordinates x 5 r cos f, y 5 r sin f, z 5 z, show that
∂
∂
( )
( , , )
.
x y z
z
, ,
r f
5 r
Solution.
We have
∂
∂
∂
∂
∂
∂
∂
∂
∂
∂
∂
∂
∂
∂
∂
∂
∂
∂
∂
∂
( , , )
( , , )
x y z
z
x x x
z
y y y
z
z z z
z
r f
r f
r f
r f
=
Given x
x x x
z
=
= = − =
r f
r
f
f
r f
cos
cos , sin ,
∂
∂
∂
∂
∂
∂
0
and y = r f
sin
∴ ∂
∂
∂
∂
∂
∂
∂
∂
∂
∂
∂
∂
y y y
z
z z
z z z
z
r
f
f
r f
r f
= = =
=
= = =
sin , cos ,
, ,
0
0 0 1
(ρ, φ, z)
P
z
Z
Y
M
X
ρ
φ
(x, y, z)
∴
Fig. 5.4
M05_ENGINEERING_MATHEMATICS-I _CH05_Part A.indd 32 5/12/2016 9:36:35 AM
Differential Calculus of Several Variables ■ 5.33
∴ ∂
∂
( , , )
( , , )
cos sin
sin cos
cos sin (
x y z
z
r f
f r f
f r f
r f r f r
=
−
= + =
0
0
0 0 1
2 2
c
cos sin )
2 2
f f r
+ =
Note This is the transformation of cartesian coordinate to cylindrical coordinates (r, f, z).
dx dy dz d d dz d d dz
= =
J r f r r f
EXAMPLE 7
If u
yz
x
v
zx
y
w
xy
z
5 5 5
, , , then show that
∂
∂
( )
( )
.
u v w
x y z
, ,
, ,
5 4
Solution.
We have,
∂
∂
∂
∂
∂
∂
∂
∂
∂
∂
∂
∂
∂
∂
∂
∂
∂
∂
∂
∂
( , , )
( , , )
u v w
x y z
u
x
u
y
u
z
v
x
v
y
v
z
w
x
w
y
w
z
=
Given u
yz
x
u
x
yz
x
u
y
z
x
= =
−
=
∴
∂
∂
∂
∂
2
, and
∂
∂
u
z
y
x
=
v
zx
y
v
x
z
y
v
y
zx
y
= = = −
∴
∂
∂
∂
∂
, 2
and
∂
∂
v
z
x
y
=
w
xy
z
w
x
y
z
w
y
x
z
w
z
xy
z
= = = = −
∴
∂
∂
∂
∂
∂
∂
, and 2
∴ ∂
∂
( , , )
( , , )
u v w
x y z
yz
x
z
x
y
x
z
y
zx
y
x
y
y
z
x
z
xy
z
x y z
yz xz x
=
−
−
−
=
−
2
2
2
2 2 2
1
y
y
zy zx xy
zy xz xy
−
−
[Take from I row
from II row and
1
1 1
2
2 2
x
y z
from III row]
M05_ENGINEERING_MATHEMATICS-I _CH05_Part A.indd 33 5/12/2016 9:36:41 AM
5.34 ■ Engineering Mathematics
=
−
−
−
x y z
x y z
2 2 2
2 2 2
1 1 1
1 1 1
1 1 1
[Take from I column
from II
yz
zx c
column and from III column]
xy
= − + − − − − + + = + +
1 1 1 1 1 1 1 1 1 0 2
( ) ( ) ( ) 2
2 4
=
EXAMPLE 8
If u 5 x 1 y 1 z, uv 5 y 1 z, uvw 5 z, then find ∂
∂
( )
( )
.
x y z
u v w
, ,
, ,
Solution.
Given u = x + y + z, uv = y + z, uvw = z
∴ u = x + uv ⇒ x = u − uv
y = uv − z = uv − uvw and z = uvw
Now x = u − uv ∴
∂
∂
∂
∂
∂
∂
x
u
v
x
v
u
x
w
= − = − =
1 0
, and
y = uv − uvw ∴
∂
∂
∂
∂
∂
∂
y
u
v vw
y
v
u uw
y
w
uv
= − = − = −
, and
and z uvw
= ∴
∂
∂
∂
∂
∂
∂
z
u
vw
z
v
uw
z
w
uv
= = =
, , and
∴
∂
∂
∂
∂
∂
∂
∂
∂
∂
∂
∂
∂
∂
∂
∂
∂
∂
∂
∂
∂
( , , )
( , , )
x y z
u v w
x
u
x
v
x
w
y
u
y
v
y
w
z
u
z
v
z
w
v
= =
− −
1 u
u
v vw u uw uv
vw uw uv
0
− − −
=
− −
− − −
=
− −
uv
v u
v vw u uw
vw uw
uv
uv
v u
v u
vw u
1 0
1
1
1 0
0
3
[ ]
Taking out from C
w
w
uv v u uv uv u uv uv u v
1
1
2 2 3
2
3
R R R
Expanding by C
→ +
= − + = − + =
[( ) ] ( ) [ ]
EXAMPLE 9
If u
x y
xy
v x y
5
1
2
5 1
2 2
1
1 1
, tan tan find ∂
∂
( )
( )
u, v
x, y
.
Solution.
Given u
x y
xy
=
+
−
1
and v x y
= +
− −
tan tan
1 1
M05_ENGINEERING_MATHEMATICS-I _CH05_Part A.indd 34 5/12/2016 9:36:47 AM
Differential Calculus of Several Variables ■ 5.35
Now tan tan(tan tan )
tan(tan ) tan(tan )
tan(tan
v x y
x y
= + =
+
−
− −
− −
−
1 1
1 1
1
1 x
x y
x y
xy
u
) tan(tan )
⋅
=
+
−
=
−1
1
∴ u and v are not independent, That is u and v are functionally dependent.
∴ by property 3,
∂
∂
( , )
( , )
u v
x y
= 0.
5.3.2 Jacobian of Implicit Functions
If y1
, y2
, y3
, … yn
are implicitly given as functions of x1
, x2
, …, xn
by the functional equations
fi
(x1
, x2
, … xn
, y1
, y2
, y3
, … yn
) = 0 for i = 1, 2, … n, then
∂ …
∂ …
∂ …
∂ …
( , , , )
( , , , )
( )
( , , , )
( , , , )
f f f
x x x
f f f
y y y
1 2
1 2
1 2
1 2
1
n
n
n n
n
= − ⋅
⋅
∂ …
∂ …
( , , , )
( , , , )
y y y
x x x
1 2
1 2
n
n
WORKED EXAMPLES
EXAMPLE 10
If F 5 xu 1 v 2 y, G 5 u2
1 vy 1 w, H 5 zu 2 v 1 uw compute ( )
( )
( )
( )
( )
( )
1 2
∂
∂
∂
∂
F, G, H
u, v, w
x, y, z
u, v, w
( )
( )
( )
.
3
∂
∂
F, G, H
x, y, z
Solution.
F = xu + v − y, G = u2
+ vy + w and H = zu − v + vw
These equations implicitly define x, y, z interms of u, v, w.
∴ by the Jacobian of implicit functions, we have
∂
∂
∂
∂
∂
∂
( )
( , , )
( )
(
( , , )
( , , )
( , , )
F, G, H F, G, H)
u v w x y z
x y z
u v w
= − ⋅
1 3
⇒
∂
∂
∂
∂ ∂
∂
( , , )
( , , )
( )
( )
( , , ) ( )
( , , )
x y z
u v w u v w
x y z
= − ×
1
1
3 F, G, H
F, G, H
Given F = xu + v − y
∴
∂
∂
∂
∂
∂
∂
∂
∂
∂
∂
∂
∂
F F F
and
F F F
x
u
y z u
x
v w
= = − = = = =
, , , ,
1 0 1 0
G = u2
+ vy + w
∂
∂
∂
∂
∂
∂
∂
∂
∂
∂
∂
∂
G G G
and
G G G
x y
v
z u
u
v
y
w
= = = = = =
0 0 2 1
, , , ,
and H = zu − v + vw
∂
∂
∂
∂
∂
∂
∂
∂
∂
∂
∂
∂
H H H
and
H H H
x y z
u
u
z
v
w
w
v
= = = = = − + =
0 0 1
, , , ,
M05_ENGINEERING_MATHEMATICS-I _CH05_Part A.indd 35 5/12/2016 9:36:52 AM
5.36 ■ Engineering Mathematics
∴
∂
∂
( )
( , , )
F, G, H
u v w
x
u y
z w v
=
− +
1 0
2 1
1
= − − + − − = − + + −
x vy w uv z x w vy z uv
{ ( )} ( ) ( )
1 1 2 1 2
∴
∂
∂
∂
∂
∂
∂
∂
∂
∂
∂
∂
∂
∂
∂
∂
∂
∂
∂
∂
∂
( )
( , , )
F, G, H
F F F
G G G
H H H
x y z
x y z
x y z
x y z
u
= =
−1 0
0
0 0
0 0
2
v
u
u vu u v
= =
( )
∴ ∂
∂
( , , )
( , , )
( ) [ ( ) ] [ ]
x y z
u v w
x vy w uv z
u v
x w vy uv z
=
− + − − +
=
− − + −
1 1 2 1 2
3
2
u
u v
2
EXAMPLE 11
If x 1 y 1 z 2 u 5 0, y 1 z 1 uv 5 0, z 2 uvw 5 0 then find
∂
∂
( )
)
.
x, y, z
(u, v, w
Solution.
Given x + y +z − u = 0, y + z − uv = 0, z − uvw = 0
These equations implicitly define x, y, z interms of u, v, w
Let f1
= x + y + z − u, f2
= y + z − uv and f3
= z − uvw
To find ∂
∂
( , , )
( , , )
.
x y z
u v w
By the Jacobian of implicit functions, we have
∂
∂
∂
∂
∂
∂
( , , )
( , , )
( )
( , , )
( , , )
( , , )
( ,
f f f
u v w
f f f
x y z
x y z
u v
1 2 3 3 1 2 3
1
= − ⋅
,
, )
w
∴
∂
∂
∂
∂
∂
∂
( , , )
( , , )
( )
( , , )
( , , )
( , , )
( , ,
x y z
u v w
f f f
u v w
f f f
x y
= −1 3
1 2 3
1 2 3
z
z)
We have f1
= x + y + z − u
∴ ∂
∂
∂
∂
∂
∂
∂
∂
∂
∂
∂
∂
f
x
f
y
f
z
f
u
f
v
f
w
1 1 1 1 1 1
1 1 1 1 0 0
= = = = − = =
, , , ,
and
f2
= y + z − uv
∂
∂
∂
∂
∂
∂
∂
∂
∂
∂
∂
∂
f
x
f
y
f
z
f
u
v
f
v
u
f
w
2 2 2 2 2 2
0 1 1 0
= = = = − = − =
, , , ,
and
and f3
= z − uvw
∴
∂
∂
∂
∂
∂
∂
∂
∂
∂
∂
∂
∂
f
x
f
y
f
z
f
u
vw
f
v
uw
f
w
uv
3 3 3 3 3 3
0 0 1
= = = = − = − = −
, , , ,
and
M05_ENGINEERING_MATHEMATICS-I _CH05_Part A.indd 36 5/12/2016 9:36:58 AM
Differential Calculus of Several Variables ■ 5.37
∴
∂
∂
∂
∂
∂
∂
∂
∂
∂
∂
∂
∂
∂
∂
∂
∂
∂
( , , )
( , , )
f f f
x y z
f
x
f
y
f
z
f
x
f
y
f
z
f
x
f
1 2 3
1 1 1
2 2 2
3 3
=
∂
∂
∂
∂
y
f
z
3
1 1 1
0 1 1
0 0 1
1
= =
∂
∂
( , , )
( , , )
( )[( )( )]
f f f
u v w
v u
vw uw uv
u uv u
1 2 3 2
1 0 0
0 1
=
−
− −
− − −
= − − − = − v
v
∴
∂
∂
( , , )
( , , )
( )
( )
x y z
u v w
u v
u v
= − ⋅
−
=
1
1
3
2
2
EXERCISE 5.3
1. If x = sin u cos v, y = sin u sin v, then find ∂
∂
( , )
( , )
.
x y
u v
2. If x = er
sec u, y = er
tan u, then show that
∂
∂
( , )
( , )
sec
x y
r
e r
u
u
= 2
. Verify
∂
∂
∂
∂
( , )
( , )
( , )
( , )
x y
r
r
x y
u
u
⋅ = 1.
3. If x = u(1 + v), y = v (1 + u), then find ∂
∂
( , )
( , )
x y
u v
and show that
∂
∂
∂
∂
( , )
( , )
( , )
( , )
.
x y
u v
u v
x y
⋅ = 1
4. If x = u + v, y = u − v, then find ∂
∂
( , )
( , )
x y
u v
and prove that
∂
∂
∂
∂
( , )
( , )
( , )
( , )
.
x y
u v
u v
x y
⋅ = 1
5. If x = e2u
cos v, y = e2u
sin v, then find ∂
∂
( , )
( , )
x y
u v
and ∂
∂
( , )
( , )
u v
x y
.
6. If x = u − v2
, y = u + v2
, then find ∂
∂
( , )
( , )
x y
u v
.
7. If u = x2
+ y2
+ z2
, v = x + y + z, w = xy + yz + zx, then show that
∂
∂
( , , )
( , , )
.
u v w
x y z
= 0 Is u, v, w
functionally related? If so find the relation between them.
8. If u = y + z, v = x +2z2
, w = x − 4yz − zy2
, then find ∂
∂
( , , )
( , , )
u v w
x y z
.
9. If u
y
x
v
x y
x
= =
+
2 2 2
2 2
, , then find ∂
∂
( , )
( , )
u v
x y
.
10. If u3
+ v3
= x + y, u2
+ v2
= x3
+ y3
, then prove that ∂
∂
( , )
( , )
( )
( )
.
u v
x y
y x
uv u v
=
−
−
1
2
2 2
11. If x = v2
+ w2
, y = w2
+ u2
, z = u2
+ v2
, then prove that ∂
∂
( , , )
( , , )
x y z
u v w
= 0.
M05_ENGINEERING_MATHEMATICS-I _CH05_Part A.indd 37 5/12/2016 9:37:08 AM
5.38 ■ Engineering Mathematics
12. If u = x + y + z, v = xy + yz + zx, w = x3
+ y3
+z3
− 3xyz, then prove that ∂
∂
( , , )
( , , )
u v w
x y z
= 0.
13. If u
x
v
x
y
w x y zy
= = = + +
1 2
2
, , , then find ∂
∂
( , , )
( , , )
u v w
x y z
. Hence, find ∂
∂
( , , )
( , , )
x y z
u v w
.
14. If u = x(1 − y), v = xy(1 − z), w = xyz, then prove that
∂
∂
( , , )
( , , )
u v w
x y z
x y
= 2
.
15. If x = a(u + v), y = b(u − v) and u = r2
cos 2u, v = r2
sin 2u, then find ∂
∂
( , )
( , )
x y
r u
.
16. If u = x + y, v
y
x y
=
+
, then find ∂
∂
( )
( )
u,v
x, y
.
17. If x = uv, y
u v
u v
=
+
−
, then find ∂
∂
( )
( )
u,v
x, y
.
18. If u = xyz, v = x2
+ y2
+ z2
, w = x + y + z, then find ∂
∂
( )
( )
.
x, y, z
u,v,w
19. If u = x2
− 2y, v = x + y + z, w = x − 2y + 3z, then find ∂
∂
( )
( )
u,v,w
x, y, z
ANSWERS TO EXERCISE 5.3
1. sin u cos u 2. e2r
sec u 3. 1 + u + v 4. −2
5. 2e4u
, 4v 6. 4v 7. v2
= u + 2w 8.
y y
x
( )
2
2
2
2
−
9.
y
x
2
10. y x
uv u v
2 2
2
−
−
( )
13. 1 15. 8ab r3
16.
1
u
17. ( )
u v
uv
− 2
4
18.
1
2( )( )( )
x y y z z x
− − −
19. 10 4
x +
5.4 TAYLOR’S SERIES EXPANSION FOR FUNCTION OF TWO VARIABLES
The Taylor’s series expansion of a single variable function f(x) in a neighbourhood of a point a is
f a h f a
h
f a
h
f a
( ) ( )
!
( )
!
( )
+ = + ′ + ′′ +
1 2
2
…
which is an infinite power series in h.
Maclaurin’s series is f x f xf
x
f
( ) ( ) ( )
!
( )
= + ′ + ′′ +
0 0
2
0
2
…
These ideas are extended to a function f(x, y) of two independent variables x, y. We state the theorem.
Theorem 5.3 Taylor’s theorem
Let f(x, y) be a function of two independent variables x, y defined in a region R of the xy-plane and let
(a, b) be a point in R. Suppose f(x, y) has all its partial derivatives in a neighbourhood of (a, b), then
M05_ENGINEERING_MATHEMATICS-I _CH05_Part A.indd 38 5/12/2016 9:37:17 AM
Differential Calculus of Several Variables ■ 5.39
f a h b k f a b h
x
k
y
f a b
h
x
k
y
( , ) ( , ) ( , )
!
+ + = + +
⎛
⎝
⎜
⎞
⎠
⎟
+ +
⎛
⎝
⎜
⎞
⎠
⎟
∂
∂
∂
∂
∂
∂
∂
∂
1
2
2
2 3
1
3
f a b h
x
k
y
f a b
( , )
!
( , )
+ +
⎛
⎝
⎜
⎞
⎠
⎟ +
∂
∂
∂
∂
…
i.e., x y xx
f a h b k f a b h f a b k f a b h f
( , ) ( , ) ( , ) ( , )
!
[ (
+ + = + +
⎡
⎣ ⎤
⎦ +
1
2
2
a
a b hk f a b k f a b
h f a b h k f a b
, ) ( , ) ( , )]
!
[ ( , ) ( ,
+ +
+ +
2
1
3
3
2
3 2
xy yy
xxx xxy )
) ( , ) ( , )]
+ + +
3 2 3
hk f a b k f a b
xyy yyy
…
Modified forms
1. Put x = a + h, y = b + k, then h = x − a, k = y − b
∴ the Taylor’s series can be written as
f x y f a b x a f a b y b f a b
x a f a
( , ) ( , ) {( ) ( , ) ( ) ( , )}
!
{( ) ( ,
= + − + −
+ −
x y
xx
1
2
2
b
b x a y b f a b y b f a b
) ( )( ) ( , ) ( ) ( , )}
+ − − + − +
2 2
xy yy
… (1)
This series is known as the Taylor’s series expansion of f(x, y) in the neighbourhood of (a, b) or
about the point (a, b).
2. Putting a = 0, b = 0, we get the expansion of f(x, y) in the neighbourhood of (0, 0)
f x y f xf yf
x f xy f
( , ) ( , ) [ ( , ) ( , )]
!
[ ( , ) ( ,
= + +
+ +
0 0 0 0 0 0
1
2
0 0 2 0
2
x y
xx xy 0
0 0 0
2
) ( , )]
+ +
y f yy
…
This is called Maclaurin’s series for f(x, y) in powers of x and y.
Note Taylor’s formula gives polynomial approximation to a function of two variables about a given
point.
WORKED EXAMPLES
EXAMPLE 1
Expand tan21 y
x
about (1, 1) upto the second degree terms.
Solution.
We know the expansion of f(x, y) about the point (a, b) as Taylor’s series is
f x y f a b x a f a b y b f a b
x a f a
( , ) ( , ) [( ) ( , ) ( ) ( , )]
!
[( ) ( ,
= + − + −
+ −
x y
xx
1
2
2
b
b x a y b f a b y b f a b
) ( )( ) ( , ) ( ) ( , )]
+ − − + − +
2 2
xy yy
…
Here (a, b) 5 (1, 1)
∴ f x y f x f y f
x f
( , ) ( , ) [( ) ( , ) ( ) ( , )]
!
[( ) ( ,
= + − + −
+ −
1 1 1 1 1 1 1 1
1
2
1 1
2
x y
xx 1
1 2 1 1 1 1 1 1 1
2
) ( )( ) ( , ) ( ) ( , )]
+ − − + − +
x y f y f
xy yy
…
M05_ENGINEERING_MATHEMATICS-I _CH05_Part A.indd 39 5/12/2016 9:37:27 AM
5.40 ■ Engineering Mathematics
Given f x y
y
x
f
( , ) tan , ( , ) tan
= = =
− −
1 1
1 1 1
4
p
∴ f
y
x
y
x
y
x y
f
f
y
x
x
x x
y
=
+
−
⎛
⎝
⎜
⎞
⎠
⎟ =
−
+
=
−
+
= −
=
+
⋅
1
1
1 1
1
1 1
1
2
1
1
1
2
2
2 2 2
2
2
( , )
=
=
+
=
+
=
x
x y
f
2 2
1 1
1
1 1
1
2
y ( , )
f
x y y x
x y
xy
x y
f
xx xx
= −
+ ⋅ − ⋅
+
⎧
⎨
⎩
⎫
⎬
⎭
=
+
=
⋅ ⋅
( )
( ) ( )
( , )
2 2
2 2 2 2 2 2
0 2 2
1 1
2 1 1
1
1 1
1
2
2
( )
+
=
f
y
y
x y
f
x y y
xy xy
=
−
+
⎛
⎝
⎜
⎞
⎠
⎟ =
−
+
=
=
( + − − −
∂
∂ 2 2 2
2 2
1 1
1 1
1 1
0
1
, ( , )
( )
)( ) ( )2
2
2 2 2
2 2
2 2 2
y
x y
y x
x y
( ) ( )
+
=
−
+
f
y
x
x y
f
x y x y
x y
yy yy
=
+
⎛
⎝
⎜
⎞
⎠
⎟ =
−
= −
=
( + ⋅ − ⋅
+
∂
∂ 2 2 2
2 2
2 2
1 1
2
2
1
2
0 2
, ( , )
)
( )
) ( )
2 2 2 2
2
=
−
+
xy
x y
∴ f x y x y
x x
( , ) ( ) ( )
( ) ( )(
= + − −
⎛
⎝
⎜
⎞
⎠
⎟ + − ⋅
⎡
⎣
⎢
⎤
⎦
⎥
+ − ⋅ + −
p
4
1
1
2
1
1
2
1
2
1
1
2
1
2
y
y y
− ⋅ + −
−
⎛
⎝
⎜
⎞
⎠
⎟
⎡
⎣
⎢
⎤
⎦
⎥ +
1 0 1
1
2
2
) ( ) …
⇒ tan ( ) ( ) ( ) ( )
−
= − − + − + − − −
1 2 2
4
1
2
1
1
2
1
1
4
1
1
4
1
y
x
x y x y
p
EXAMPLE 2
Expand ex
cos y near the point 1
4
,
p
⎛
⎝
⎜
⎞
⎠
⎟ by Taylor’s series as far as quadratic terms.
Solution.
We know Taylor’s series about the point (a, b) is
f x y f a b x a f a b y b f a b
x a f a
( , ) ( , ) [( ) ( , ) ( ) ( , )]
!
[( ) ( ,
= + − + −
+ −
x y
xx
1
2
2
b
b x a y b f a b y b f a b
) ( )( ) ( , ) ( ) ( , )]
+ − − + − +
2 2
xy yy
…
Here (a, b) 5 1
4
,
p
⎛
⎝
⎜
⎞
⎠
⎟
M05_ENGINEERING_MATHEMATICS-I _CH05_Part A.indd 40 5/12/2016 9:37:37 AM
Differential Calculus of Several Variables ■ 5.41
∴ f x y f x f y f
( , ) , ( ) , ,
=
⎛
⎝
⎜
⎞
⎠
⎟ + −
⎛
⎝
⎜
⎞
⎠
⎟ + −
⎛
⎝
⎜
⎞
⎠
⎟
⎛
⎝
⎜
⎞
⎠
1
4
1 1
4 4
1
4
p p p p
x y ⎟
⎟
⎡
⎣
⎢
⎤
⎦
⎥
+ −
⎛
⎝
⎜
⎞
⎠
⎟ + − −
⎛
⎝
⎜
⎞
⎠
⎟
⎛
⎝
⎜
⎞
1
2
1 1
4
2 1
4
1
4
2
( ) , ( ) ,
x f x y f
xx xy
p p p
⎠
⎠
⎟
⎡
⎣
⎢ + −
⎛
⎝
⎜
⎞
⎠
⎟
⎛
⎝
⎜
⎞
⎠
⎟
⎤
⎦
⎥ +
y f
p p
4
1
4
2
yy , …
Given f x y e y f e
e
f e y f
( , ) cos , , cos
cos , ,
=
⎛
⎝
⎜
⎞
⎠
⎟ = ⋅ =
= ⋅
⎛
⎝
⎜
⎞
⎠
x
x
x
x
1
4 4 2
1
4
p p
p
⎟
⎟ = ⋅ =
= −
⎛
⎝
⎜
⎞
⎠
⎟ = − ⋅ = −
=
e
e
f e y f e
e
f e
cos ,
sin , , sin
co
p
p p
4 2
1
4 4 2
y
x
y
xx
x
s
s , , cos ,
cos ,
y f e
e
f e y f e
xx
yy
x
xy
1
4 4 2
1
4
p p
p
⎛
⎝
⎜
⎞
⎠
⎟ = ⋅ =
= − ⋅
⎛
⎝
⎜
⎞
⎠
⎟ = − ⋅s
sin
sin , , cos
p
p p
4 2
1
4 4 2
= −
= −
⎛
⎝
⎜
⎞
⎠
⎟ = − ⋅ = −
e
f e y f e
e
xy
x
yy
∴ e y
e
x
e
y
e
x
e
x y
x
cos ( )
( ) ( )
= + − + −
⎛
⎝
⎜
⎞
⎠
⎟ −
⎛
⎝
⎜
⎞
⎠
⎟
+ − ⋅ + − −
2
1
2 4 2
1
2
1
2
2 1
2
p
p
p p
4 2 4 2
2
1 1
2
⎛
⎝
⎜
⎞
⎠
⎟ −
⎛
⎝
⎜
⎞
⎠
⎟ + −
⎛
⎝
⎜
⎞
⎠
⎟ −
⎛
⎝
⎜
⎞
⎠
⎟
⎡
⎣
⎢
⎤
⎦
⎥ +
= + − −
e
y
e
e
x
…
( ) y
y x x y y
−
⎛
⎝
⎜
⎞
⎠
⎟ + − − − −
⎛
⎝
⎜
⎞
⎠
⎟ − −
⎛
⎝
⎜
⎞
⎠
⎟
⎡
⎣
⎢
⎤
⎦
⎥
p p p
4
1
2
1 1
4
1
2 4
2
2
( ) ( )
EXAMPLE 3
Expand ex
loge
(1 1 y) in powers of x and y upto terms of third degree.
Solution.
Required the expansion in powers of x and y and so Maclaurin’s series is to be used.
We know f x y f x f y f x f xy f
( , ) ( , ) [ ( , ) ( , )] [ ( , ) ( ,
= + + + +
0 0 0 0 0 0
1
2
0 0 2 0 0
2
x y xx xy )
) ( , )]
+ y f
2
0 0
yy
+ + + + +
1
3
0 0 3 0 0 3 0 0 0 0
3 2 2 3
!
[ ( , ) ( , ) ( , ) ( , )]
x f x y f xy f y f
xxx xxy xyy xyy
…
…
Here (a,b) 5 (0, 0)
Given f(x, y) = ex
log (1 + y), f(0, 0) = e0
log (1 + 0) = 0,
M05_ENGINEERING_MATHEMATICS-I _CH05_Part A.indd 41 5/12/2016 9:37:41 AM
5.42 ■ Engineering Mathematics
∴ f e y
f e
y
f e y
f e
y
f
e
x
x
x
x
x
y
xx
xy
yy
= +
= ⋅
+
= +
= ⋅
+
= −
log( ),
,
log( ),
,
1
1
1
1
1
1
x
x
x
x
x
y
f e y
f e
y
f
e
y
f
( )
,
log ( ),
,
( )
,
1
1
1
1
1
2
2
+
= +
= ⋅
+
= −
+
=
xxx
xxy
xyy
yyy
2
2
1 3
e
y
x
( )
,
+
fx
(0, 0) = 0
fy
(0, 0) = 1
fxx
(0, 0) = 0
fxy
(0, 0) = 1,
fyy
(0, 0) = −1
fxxx
(0, 0) = 0
fxxy
(0, 0) = 1,
fxyy
(0, 0) = −1,
fyyy
(0, 0) = 2
∴
f x y x y x xy y
x x y xy
( , ) [ ( )]
[
= + ⋅ + ⋅ + ⋅ + ⋅ + ⋅ −
+ ⋅ + ⋅ +
0 0 1
1
2
0 2 1 1
1
6
0 3 1 3
2 2
3 2 2
2 3
1 2
( ) ]
− + ⋅
y
⇒ e y y xy y x y xy y
x
log( )
1
1
2
1
2
1
2
1
3
2 2 2 3
+ = + − + − +
EXAMPLE 4
Expand x2
y 1 3y 2 2 in powers of x 2 1 and y 1 2 using Taylor’s theorem.
Solution.
We know
f x y f a b x a f a b y b f a b
x a f a
( , ) ( , ) [( ) ( , ) ( ) ( , )]
!
[( ) ( ,
= + − + −
+ −
x y
xx
1
2
2
b
b x a y b f a b y b f a b
x a f a b
) ( )( ) ( , ) ( ) ( , )]
!
[( ) ( ,
+ − − + −
+ −
2
1
3
2
3
xy yy
xxx )
) ( ) ( ) ( , )
( )( ) ( , ) ( ) (
+ − −
+ − − + −
3
3
2
2 3
x a y b f a b
x a y b f a b y b f
xxy
xyy yyy a
a b
, )]+…
Here (a, b) 5 (1, 22)
Given f(x, y) = x2
y + 3y − 2, f(1, −2) = −2 − 6 − 2 = −10
∴ f xy f
f x f
f y f
x x
y y
xx x
= − = ⋅ ⋅ − = −
= + − = + =
=
2 1 2 2 1 2 4
3 1 2 1 3 4
2
2
, ( , ) ( )
, ( , )
, x
x ( , ) ( )
1 2 2 2 4
− = − = −
M05_ENGINEERING_MATHEMATICS-I _CH05_Part A.indd 42 5/12/2016 9:37:45 AM
Differential Calculus of Several Variables ■ 5.43
yy yy
xy xy
x
, ( , )
, ( , )
0 1 2 0
2 1 2 2 1 2
= − =
= − = ⋅ =
f f
f x f
f x
xx xxx
= − =
0 1 2 0
, ( , )
f
f f
f f
f f
xxy xxy
xyy xyy
yyy yyy
= − =
= − =
= − =
2 1 2 2
0 1 2 0
0 1 2 0
( , )
( , )
( , )
∴ x y y x y
x x y
2
2
3 2 10 1 4 2 4
1
2
1 4 2 1 2
+ − = − + − − + + ⋅
+ − − + − +
[( )( ) ( ) ]
[( ) ( ) ( )( )⋅
⋅ + + ⋅
+ − ⋅ + − + ⋅ + − + ⋅ +
2 2 0
1
6
1 0 3 1 2 2 3 1 2 0 0
2
3 2 2
( ) ]
[( ) ( ) ( ) ( )( ) ]
y
x x y x y +
+
= − − − + + − − + − + + − +
…
10 4 1 4 2 2 1 2 1 2 1 2
2 2
( ) ( ) ( ) ( )( ) ( ) ( )
x y x x y x y
Note Since the given function is 3rd
degree in x, y, the expansion terminates with 3rd
degree terms.
EXAMPLE 5
If f(x, y) 5 tan21
(xy) compute an approximate value of f(0.9, 21.2).
Solution.
We shall use Taylor’s series to find the approximate value. The point (0.9, −1.2) is close to the point
(1, −1). So, we shall find the Taylor’s series about (1, −1).
f x y f x f y f x f
( , ) ( , ) [( ) ( , ) ( ) ( , )]
!
[( )
= − + − − + + − + −
1 1 1 1 1 1 1 1
1
2
1 2
x y xx (
( , )
( )( ) ( , ) ( ) ( , )]
1 1
2 1 1 1 1 1 1 1
2
−
+ − + − + + − +
x y f y f
xy yy
…
Here (a, b) 5 (1, 21)
Given f x y xy f
f
x y
y f
( , ) tan , ( , ) tan ( )
, ( , )
= − = − =
−
=
+
⋅ − =
− −
1 1
2 2
1 1 1
4
1
1
1 1
p
x x
−
−
=
+
⋅ − =
=
+ ⋅ − ⋅
+
1
2
1
1
1 1
1
2
1 0 2
1
2 2
2 2 2
2 2 2
f
x y
x f
f
x y xy y
x y
y y
xx
, ( , )
( )
( )
=
=
−
+
− = − = −
2
1
1 1
2
4
1
2
3
2 2 2
xy
x y
f
( )
( , )
xx
f
y
y
x y
f
x y y x y
x y
xy xy
=
+
⎛
⎝
⎜
⎞
⎠
⎟ − =
=
+ ⋅ − ⋅
+
∂
∂ 1
1 1 0
1 1 2
1
2 2
2 2 2
2 2 2
( , )
( )
( )
=
=
−
+
1
1
2 2
2 2 2
x y
x y
( )
M05_ENGINEERING_MATHEMATICS-I _CH05_Part A.indd 43 5/12/2016 9:37:48 AM
5.44 ■ Engineering Mathematics
f
x y x x y
x y
x y
x y
f
yy yy
=
+ ⋅ − ⋅
+
=
−
+
− = =
( )
( ) ( )
( , )
1 0 2
1
2
1
1 1
2
4
2 2 2
2 2 2
3
2 2 2
1
1
2
∴ tan ( ) ( ) ( ) ( )
−
=
−
+ −
−
⎛
⎝
⎜
⎞
⎠
⎟ + + + − ⋅ + + + ⋅
1 2 2
4
1
1
2
1
1
2
1
2
1
1
2
0 1
1
2
xy x y x y
p ⎡
⎡
⎣
⎢
⎤
⎦
⎥
f x y xy x y x y
( , ) tan [ ( ) ( )] [( ) ( ) ]
= =
−
+ − − + + + − + +
−1 2 2
4
1
2
1 1
1
4
1 1
p
Put x 5 0.9, y 5 21.2
∴ f ( . , . ) ( . . ) ( . . )
0 9 1 2
4
1
2
0 1 0 2
1
4
0 01 0 04
− = − + − + +
p
=
−
− + = − − + = −
p
4
0 1
2
0 05
4
0 7854 0 05 0 0125 0 8229
. .
. . . .
Note We have approximated tan−1
xy by a second degree polynomial in x and y. Using this polynomial
we have found the approximate value of f(0.9, −1.2) = −0.8229
But by direct computation f(0.9, −1.2) = tan−1
(−1.08) = tan−1
1.08 = −0.8238
correct upto 4 decimal places.
The error is only 0.0009, which is negligible.
EXERCISE 5.4
1. Using Taylor’s series, verify that log ( )
( ) ( )
1
2 3
2 3
+ + = + −
+
+
+
−
x y x y
x y x y …
2. Using Taylor’s series, verify that tan ( )
( ) ( )
−
+ = + −
+
+
+
−
1
3 5
3 5
x y x y
x y x y …
3. Expand 1
1+ −
x y
by Taylor’s series upto second degree terms.
4. Find the Taylor’s series expansion of sin x sin y as a polynomial in x and y upto second degree.
5. Expand ex
sin y about the point −
⎛
⎝
⎜
⎞
⎠
⎟
1
4
,
p
upto third degree terms using Taylor’s series.
6. Expand sin (xy) in powers of (x − 1) and y −
⎛
⎝
⎜
⎞
⎠
⎟
p
2
upto the second degree terms.
7. Expand ex
cos y in powers of x and y at (0, 0) upto third degree term, by Taylor’s theorem.
8. Expand exy
in powers of (x − 1) and (y − 1) upto third degree terms, by Taylor’s series.
ANSWERS TO EXERCISE 5.4
3. 1 − x + y + x2
− 2xy + y2
4. xy
5.
1
2
1 1
4
1
2
1 1
4
1
2 4
2
e
x y x x y y
+ + + −
⎛
⎝
⎜
⎞
⎠
⎟
⎡
⎣
⎢ + + + + −
⎛
⎝
⎜
⎞
⎠
⎟ − −
⎛
⎝
( ) ( ) ( )
p p p
⎜
⎜
⎞
⎠
⎟
2
+ + + − −
⎛
⎝
⎜
⎞
⎠
⎟ − + −
⎛
⎝
⎜
⎞
⎠
⎟ − −
⎛
⎝
⎜
⎞
1
6
1
1
2
1
4
1
2
1
4
1
6 4
3 2
2
( ) ( ) ( )
x x y x y y
p p p
⎠
⎠
⎟
3
M05_ENGINEERING_MATHEMATICS-I _CH05_Part A.indd 44 5/12/2016 9:37:54 AM
Differential Calculus of Several Variables ■ 5.45
6. 1
8
1
2
1
2
1
2 2
2
2
2
− − − − −
⎛
⎝
⎜
⎞
⎠
⎟ − −
⎛
⎝
⎜
⎞
⎠
⎟
p p p p
( ) ( )
x x y y
7. 1
1
2
1
6
3
2 2 3 2
+ + − + − +
x x y x xy
( ) ( ) …
8. e x y x x y y
x
{ ( ) ( ) [( ) ( )( ) ( ) ]
[( ) (
1 1 1
1
2
1 4 1 1 1
1
6
1 9
2 2
3
+ − + − + − + − − + −
+ − + x
x y x y y
− − + − − + − +
1 1 9 1 1 1
2 2 3
) ( ) ( )( ) ( ) ] }
…
5.5 MAXIMA AND MINIMA FOR FUNCTIONS OF TWO VARIABLES
You have learned maxima and minima of a function f(x) of a single variable in x. We shall extend these
ideas to a function f(x, y) of two variables in x and y. We shall derive the conditions of maxima and
minima as an application of quadratic form.
Definition 5.9 Let f(x, y) be a continuous function defined in a closed and bounded domain D of the
xy-plane and let (a, b) be an interior point of D.
(i) f(a, b) is said to be a local maximum or relative maximum value of f(x, y) at the point (a, b), if
there exists a neighbourhood N of (a, b) such that f(x, y)  f(a, b) for all points (x, y) in N, other
than the point (a, b). And,
(ii) f(a, b) is said to be a local minimum or relative minimum if f(x, y)  f(a, b) for all points (x, y)
in N, other than the point (a, b)
Note
(1) A common name for relative maximum or relative minimum is extreme value.
A relative maximum or relative minimum is simply referred to as maximum or minimum.
(2) In contrast, the greatest value of f(x, y) over the entire domain including the boundary is called
the global maximum or the absolute maximum value of f(x, y) on D and smallest value of
f(x, y) over the entire domain D is called the global minimum or absolute minimum.
Fig. 5.5 Fig. 5.6
(a, b)
(x, y)
Z
X
Y
Maximum
z = f(x, y)
(a, b)
(x, y)
Z
X
Y
Minimum
z = f(x, y)
M05_ENGINEERING_MATHEMATICS-I _CH05_Part A.indd 45 5/12/2016 9:37:58 AM
5.46 ■ Engineering Mathematics
Definition 5.10 Stationary point of f(x, y)
A point (a, b) satisfying fx
= 0 and fy
= 0 is called a stationary point of f(x, y).
5.5.1 Necessary Conditions for Maximum or Minimum
If f(a, b) is an extreme value of f(x, y) at (a, b), then (a, b) is a stationary point of f(x, y) if fx
and fy
exist at (a, b) and fx
(a, b) = 0, fy
(a, b) = 0
Note
(1) But the converse is not true i.e., if (a, b) is a stationary point of f(x, y), then (a, b) need not be an
extreme point.
For example, consider the function f(x, y) defined by
f x y
( , ) =
⎧
⎨
⎩
0 if 0 or 0
1, otherwise
x y
= =
then fx
(0, 0) = 0, fy
(0, 0) = 0.
But f(0, 0) is not an extreme value.
i.e., (0, 0) is not an extreme point.
Some more conditions are needed to ensure the extreme
value. They are the sufficient conditions.
(2) The graph of the function f(x, y) is the surface
z = f(x, y). Corresponding to the point (a, b) in D,
P (a, b, z1
), where z1
= f(a, b), is a point on the surface.
If (a, b) is stationary point of the function f(x, y), then
P (a, b, z1
) is a stationary point on the surface.
If the tangent plane exists at the stationary point on the surface, then it will be parallel to the
xy-plane z = 0, f(a, b) is called a stationary value of f(x, y).
(3) Stationary points on a surface are usually classified into three categories: maxima, minima and
saddle points. If the surface is regarded as a mountain landscape we can visualise these categories as
mountain tops, bottoms of valleys and mountain passe (saddle is the seat for a rider on horse back).
5.5.2 Sufficient Conditions for Extreme Values of f(x, y).
Let (a, b) be a stationary point of the differentiable function f(x, y).
i.e., fx
(a, b) = 0, fy
(a, b) = 0.
Let fxx
(a, b) = r, fxy
(a, b) = s, fyy
(a, b) = t.
(i) If rt − s2
 0 and r  0, then f(a, b) is a maximum value.
(ii) If rt − s2
 0 and r  0, then f(a, b) is a minimum value.
(iii) If rt − s2
 0, then f(a, b) is not an extreme value, but (a, b) is a saddle point of f(x, y).
(iv) If rt − s2
= 0 then no conclusion is possible and further investigation is required.
5.5.3 Working Rule to find Maxima and Minima of f(x, y)
Step 1: Find f
f
x
f
f
y
x y
= =
∂
∂
∂
∂
, and solve fx
= 0, fy
= 0 as simultaneous equations in x and y.
Let (a, b), (a1
, b1
),… be the solutions, which are stationary points of f(x, y).
D
(a, b)
Z
X
Y
P (a, b, z1
)
Fig. 5.7
M05_ENGINEERING_MATHEMATICS-I _CH05_Part B.indd 46 5/12/2016 9:40:42 AM
Differential Calculus of Several Variables ■ 5.47
Step 2: Find r f
f
x
s f
f
x y
t f
f
y
= = = = = =
xx xy yy
∂
∂
∂
∂ ∂
∂
∂
2
2
2 2
2
, , .
Step 3: Evaluate r, s, t at each stationary point.
At the stationary point (a, b)
(i) If rt − s2
 0 and r  0, then f(a, b) is a maximum value of f(x, y).
(ii) If rt − s2
 0 and r  0, then f(a, b) is a minimum value of f(x, y).
(iii) If rt − s2
 0, then (a, b) is a saddle point.
(iv) If rt − s2
= 0, no conclusion can be made; further investigation is required.
Note
(i) Instead of r, s, t, we can also use the symbols A, B, C respectively.
(ii) The expression rt − s2
enables us to discriminate the stationary points and so it is called the
discriminant of the function f(x, y).
Definition 5.11 Critical Point
A point (a, b) is a critical point of f(x, y) if fx
= 0 and fy
= 0 at (a, b) or fx
and fy
do not exist at (a, b).
Maxima or minima occur at a critical point.
Note Generally, in this book we deal with differentiable functions f(x, y). So, critical points are all
stationary points.
WORKED EXAMPLES
EXAMPLE 1
Examine f(x, y) 5 x3
1 y3
2 12x 2 3y 1 20 for its extreme values.
Solution.
Given f(x, y) = x3
+ y3
− 12x − 3y + 20
∴ f x f y
r f x s f t f y
x y
xx xy yy
and
= − = −
= = = = = =
3 12 3 3
6 0 6
2 2
,
,
To find the stationary points, solve fx
= 0 and fy
= 0
∴ 3 12 0 4 2
2 2
x x x
− = ⇒ = ⇒ = ±
and 3y2
− 3 = 0 ⇒ y2
= 1 ⇒ y = ±1
The points are (2, 1) (2, −1), (−2, 1), (−2, −1)
At the point (2, 1)
r = 6 ⋅ 2 = 12  0, s = 0 and t = 6 ⋅ 1 = 6
∴ rt − s2
= 12 × 6 = 72  0 and r  0
∴ (2, 1) is a minimum point.
Minimum value = f(2, 1) = 23
+ 1 − 12 × 2 − 3 ⋅ 1 + 20 = 8 + 1 − 24 − 3 + 20 = 2
M05_ENGINEERING_MATHEMATICS-I _CH05_Part B.indd 47 5/12/2016 9:40:43 AM
5.48 ■ Engineering Mathematics
At the point (22, 1)
r = 6 × (−2) = −12  0, s = 0 and t = 6 ⋅ 1 = 6
∴ rt − s2
= −12 × 6 − 0 = −72  0
∴ (−2, 1) is a saddle point.
At the point (2, 21)
r = 6 ⋅ 2 = 12  0, s = 0 and t = 6(−1) = −6
∴ rt − s2
= 12(−6) − 0 = −72  0
∴ (2, −1) is a saddle point.
At the point (22, 21)
r = 6(−2) = −12  0, s = 0, and t = 6(−1) = −6
∴ rt − s2
= (−12)(−6) − 0 = 72  0 and r  0
∴ (−2, −1) is a maximum point.
Maximum value = f(−2, −1) = (−2)3
+ (−1)3
− 12(−2) − 3(−1) + 20 = −8 − 1 + 24 + 3 + 20 = 38
EXAMPLE 2
Discuss the maxima and minima of f(x, y) 5 x3
y2
(1 2 x 2 y).
Solution.
Given f(x, y) = x3
y2
(1 − x − y) = − −
x y x y x y
3 2 4 2 3 3
∴ f x y x y x y f x y x y x y
x y
= − − = − −
3 4 3 2 2 3
2 2 3 2 2 3 3 4 3 2
,
r f xy x y xy s f x y x y x y
t f x x
= = − − = = − −
= = − −
xx xy
yy
6 12 6 6 8 9
2 2
2 2 2 3 2 3 2 2
3 4
,
6
6 3
x y
To find the stationary points, solve fx
= 0 and fy
= 0
∴ 3x2
y2
− 4x3
y2
− 3x2
y3
= 0 ⇒ x y x y
2 2
(3 4 3
− − =
) 0 (1)
⇒ x y x y
= = − − =
0 0 3 4 3 0
, or
and 2 2 3 0
3 4 3 2
x y x y x y
− − = ⇒ x y x y
3
2 2 3 0
[ ]
− − = (2)
∴ x y x y
= = − − =
0 0 2 2 3 0
, or
We find that (0, 0) satisfies the equations (1) and (2)
Solving 3 4 3 0 4 3 3
− − = ⇒ + =
x y x y (3)
and 2 2 3 0 2 3 2
− − = ⇒ + =
x y x y (4)
(3) − (4) ⇒ 2x = 1 ⇒ x =
1
2
When x y y
= ⇒ + = ⇒ =
1
2
4 2
1
2
3 2
1
3
, ( ) .
When x = 0, (3) ⇒ y = 1 and (4) ⇒ 2.0 + 3y = 2 ⇒ y =
2
3
M05_ENGINEERING_MATHEMATICS-I _CH05_Part B.indd 48 5/12/2016 9:40:46 AM
Differential Calculus of Several Variables ■ 5.49
When y = 0, (3) ⇒ x =
3
4
and (4) ⇒ x = 1
∴ the stationary points are ( , ), , , , , ( , ), , , ( , )
0 0
1
2
1
3
0
2
3
0 1
3
4
0 1 0
⎛
⎝
⎜
⎞
⎠
⎟
⎛
⎝
⎜
⎞
⎠
⎟
⎛
⎝
⎜
⎞
⎠
⎟
At the points (0, 0), 0
2
3
0 1
3
4
0 1 0
, , ( , ), , ( , )
⎛
⎝
⎜
⎞
⎠
⎟
⎛
⎝
⎜
⎞
⎠
⎟ and
r = 0, s = 0, t = 0 ∴ rt − s2
= 0
∴ we cannot say maximum or minimum. Further investigation is required.
At the point
1
2
1
3
,
⎛
⎝
⎜
⎞
⎠
⎟
r
s
= ⋅
⎛
⎝
⎜
⎞
⎠
⎟ − ⋅ ⋅ − ⋅ ⋅ = − − = − 
= ⋅ ⋅ −
6
1
2
1
3
12
1
4
1
9
6
1
2
1
27
1
3
1
3
1
9
1
9
0
6
1
4
1
3
2
8
8
1
8
1
3
9
1
4
1
9
1
2
1
3
1
4
1
12
⋅ ⋅ − ⋅ ⋅ = − − = −
t = ⋅ − ⋅ − ⋅ ⋅ = − − = −
2
1
8
2
1
16
6
1
8
1
3
2
8
1
8
2
8
1
8
∴ rt s
− = −
⎛
⎝
⎜
⎞
⎠
⎟ −
⎛
⎝
⎜
⎞
⎠
⎟ −
−
⎛
⎝
⎜
⎞
⎠
⎟ = − = 
2
2
1
9
1
8
1
12
1
72
1
144
1
144
0
∴ rt − s2
 0 and r  0
∴ the point
1
2
1
3
,
⎛
⎝
⎜
⎞
⎠
⎟ is a maximum point.
The maximum value = ⋅ − −
⎛
⎝
⎜
⎞
⎠
⎟ = ⋅ =
1
8
1
9
1
1
2
1
3
1
72
1
6
1
432
EXAMPLE 3
Find the maximum and minimum values of sin x sin y sin (x 1 y), 0  x, y  p.
Solution.
Given f(x, y) = sin x sin y sin (x 1 y)
∴ f y x x y x y x
y x x y y
x = + + +
= + + =
sin [sin cos( ) sin( )cos ]
sin sin( ) sin sin(2
2x y
+ )
f x y x y x y y x x y
r f y
y
xx
= + + + = +
= =
sin [sin cos( ) sin( )cos ] sin sin( )
sin
2
c
cos( ) sin cos( )
2 2 2 2
x y y x y
+ ⋅ = +
⇒ s f y x y x y y x y y
= = + + + = + +
xy sin cos( ) sin( )(cos ) sin( )
2 2 2
⇒ s x y
t f x x y
= +
= = +
sin( )
sin cos( )
2 2
2 2
yy
M05_ENGINEERING_MATHEMATICS-I _CH05_Part B.indd 49 5/12/2016 9:40:49 AM
5.50 ■ Engineering Mathematics
To find the stationary points, solve fx
= 0 and fy
= 0
∴ sin sin( )
y x y
2 0
+ = (1)
and sin sin( )
x x y
+ = 0 (2)
Since x, y ≠ 0 and sin x ≠ 0, sin y ≠ 0
∴ (1) ⇒ sin (2x + y) = 0
and (2) ⇒ sin (x + 2y) = 0
Since 0  x, y  p, 0  2x  2p and 0  y  p
Adding 0  2x + y  3p
Similarly, 0  x + 2y  3p
∴ sin (2x + y) = 0 ⇒ 2x + y = p or 2p
and sin (x + 2y) = 0 ⇒ x + 2y = p or 2p
If 2x + y = p and x + 2y = p, then x − y = 0 ⇒ x = y
∴ 3
3 3
x x y
= ⇒ = ∴ =
p
p p
∴ one point is
p p
3 3
,
⎛
⎝
⎜
⎞
⎠
⎟
If 2x + y = p and x + 2y = 2p, then x − y = −p ⇒ x = y −p,
∴ )
2 3 3
(y y y y
− + = ⇒ = ⇒ =
p p p p which is
not admissible since y  p
Similarly, 2x + y = 2p and x + 2y = p are also not admissible.
Now, take 2 2
x y
+ = p and x y
+ =
2 2p , then x − y = 0 ⇒ x = y
∴ 3 2
2
3
x x
= ⇒ =
p
p
∴ y =
2
3
p
∴ another point is
2
3
2
3
p p
,
⎛
⎝
⎜
⎞
⎠
⎟
So, the stationary points are
p p
3 3
,
⎛
⎝
⎜
⎞
⎠
⎟ and
2
3
2
3
p p
,
⎛
⎝
⎜
⎞
⎠
⎟
At the point
p p
3 3
,
⎛
⎝
⎜
⎞
⎠
⎟
r s t
= = −  = = +
⎛
⎝
⎜
⎞
⎠
⎟ = − =
2
3
2
3
2
0
4
3 3
3
2
2
sin cos , sin sin sin
p
p
p
p
p p
and
3
3
3
⋅ = −
cosp
∴ rt s
− = − = 
2
3
3
4
9
4
0 and 0
r 
M05_ENGINEERING_MATHEMATICS-I _CH05_Part B.indd 50 5/12/2016 9:40:53 AM
Differential Calculus of Several Variables ■ 5.51
∴ the point
p p
3 3
,
⎛
⎝
⎜
⎞
⎠
⎟ is a maximum point
The maximum value = f
p p
3 3
,
⎛
⎝
⎜
⎞
⎠
⎟ = = ⋅ =
sin sin sin
p p p
3 3
2
3
3
2
3
2
3
2
3 3
8
At the point
2
3
2
3
p p
,
⎛
⎝
⎜
⎞
⎠
⎟
r s t
= = =  = = = =
2
2
3
2
2 3
2
3 0
8
3 3
3
2
2
2
3
2
sin cos , sin sin sin cos
p
p
p p p
and p
p = 3
∴ rt s r
− = ⋅ − =  
2
3 3
3
4
9
4
0 0
and
∴ the point
2
3
2
3
p p
,
⎛
⎝
⎜
⎞
⎠
⎟ is a minimum point.
The minimum value = f
2
3
2
3
p p
,
⎛
⎝
⎜
⎞
⎠
⎟ = = −
⎛
⎝
⎜
⎞
⎠
⎟ = −
sin sin sin
2
3
2
3
4
3
3
2
3
2
3
2
3 3
8
p p p
5.5.4 Constrained Maxima and Minima
In many practical problems on maxima and minima we have to find the extreme values of a function
of two or more variables which are not independent but are connected by some relation. For example,
suppose we want to find the
maximum value of x2
+ y2
+ z2
(1)
subject to the condition 2x + 3y + 5z = 4 (2)
One method is to find z from (2) and substitute in (1), then it reduces to a function u (x, y) of
two independent variables x and y. As above, we can find the maximum or minimum value of
u (x, y).
Suppose the relation between the variables is complicated, then finding z interms of x and y will be
difficult or impossible. In such cases we use the versatile Lagrange’s multiplier method, in which the
introduction of a multiplier enables us to solve the constrained extreme problems without solving the
constrained equation for one variable in terms of others.
5.5.5 Lagrange’s Method of (undetermined) Multiplier
Let f(x, y, z) be the function whose extreme values are to be found subject to the restriction
f (x, y, z) = 0 (1) .
Between the variables x, y, z construct the auxiliary function
F(x, y, z) = f(x, y, z) + lf(x, y, z)
where l is an undetermined parameter independent of x, y, z.
l is called Lagrange’s multiplier.
Any relative extremum of f(x, y, z) subject to (1) must occur at a stationary point of F(x, y, z).
The stationary points of F are given by
∂
∂
∂
∂
∂
∂
∂
∂
F F F F
x y z
= = = =
0 0 0 0
, , ,
l
M05_ENGINEERING_MATHEMATICS-I _CH05_Part B.indd 51 5/12/2016 9:40:56 AM
5.52 ■ Engineering Mathematics
⇒ f f f x y z
x x y y z z and
+ = + = + = =
lf lf lf f
0 0 0 0
, , ( , , )
⇒
f f f
x y z
x
x
y
y
z
z
and
f f f
l f
= = = − =
( , , ) 0
Solving these equations, we find the values of x, y, z, which are the stationary points of F, giving the
maximum and minimum values of f(x, y, z).
Note This method does not specify the extreme value obtained is a maximum or minimum. It is
usually decided from the physical and geometrical considerations of the problem.
A method on the basis of quadratic form is given below to decide maxima or minima at the
stationary point for constrained maxima and minima.
5.5.6 Method to Decide Maxima or Minima
We shall see sufficient conditions given by quadratic form of the differentials.
1. For unconstrained functions.
Let u = f(x, y) be a function of two variables.
∴ the total differential du = fx
dx + fy
dy
Necessary conditions for maxima or minima of u = f(x, y) is
du = 0 ⇒ f dx f dy
x y
+ = 0
⇒ fx
= 0, fy
= 0, since dx, dy may take any value.
The sufficient condition for minimum is d2
u  0 and maximum is d2
u  0.
Thus, du = 0 and d2
u  0 are the necessary and sufficient conditions for minimum.
Similarly, du = 0 and d2
u  0 are the necessary and sufficient conditions for maximum.
Now, d2
u = d(fx
) dx + d(fy
) dy
= +
⎛
⎝
⎜
⎞
⎠
⎟ + +
⎛
⎝
⎜
⎞
⎠
⎟
= +
∂
∂
∂
∂
∂
∂
∂
∂
f
x
dx
f
y
dy dx
f
x
dx
f
y
dy dy
f dx f
x x y y
xx x
( y
y xy yy xy yx
xx xy
Assuming
dy dx f dx f dy dy f f
f dx f dx dy
) ( ) [ ]
( )
+ + =
= + +
2
f
f dxdy f dy
f dx f dx dy f dy
xy yy
xx xy yy
+
= + +
( )
( ) ( )
2
2 2
2
Thus, d2
u is a quadratic form in dx, dy.
The matrix of the quadratic form is called the Hessian matrix.
H
xx xy
xy yy
=
f f
f f
⎡
⎣
⎢
⎢
⎤
⎦
⎥
⎥
Its principal minors are D1
= fxx
= r
D
xx xy
xy yy
xx yy xy
2
2 2
= = − = −
f f
f f
f f f rt s
( )
M05_ENGINEERING_MATHEMATICS-I _CH05_Part B.indd 52 5/12/2016 9:40:58 AM
Differential Calculus of Several Variables ■ 5.53
For minimum d2
u  0
i.e., the quadratic form is positive definite.
∴ D1
 0, D2
 0 ⇒ r  0 and rt − s2
 0
For maximum, d2
u  0
⇒ D1
 0, D2
 0 ⇒ r  0 and rt − s2
 0
This can be extended to three or more variables.
The necessary and sufficient conditions are (i) for maximum du = 0 and d2
u  0
and (ii) for minimum du = 0 and d2
u  0.
2. If u = f(x, y, z), then du = fx
dx + fy
dy + fz
dz and
d u f dx f dy f dz f dydz f dxdz f dxdy
d
2
xx yy zz yz zx xy
= + + + + +
( ) ( ) ( )
2 2 2
2 2 2
u
u f f f
= ⇒ = = =
0 0 0 0
x y z
, ,
which gives the stationary points.
The matrix of the quadratic form in dx, dy, dz is the
Hessian H
xx xy xz
yx yy yz
zx zy zz
=
⎡
⎣
⎢
⎢
⎢
⎤
⎦
⎥
⎥
⎥
f f f
f f f
f f f
The principal minors are D1
= fxx
, D
xx xy
yx yy
2 =
f f
f f
and D H
3 =
At a stationary point (a, b, c), if D1
 0, D2
 0, and D3
 0, then u is minimum.
If D1
 0, D2
 0, and D3
 0 then u is maximum.
In the same way we can extend to function of n variables f(x1
, x2
, …, xn
)
3. We shall now see how the Hessian changes in the discussion of constrained maxima and
minima.
For example, consider the quadratic form in two variables.
Q = ax2
+2hxy + by2
with linear constraint ax + by = 0 ⇒ y
x
= −
a
b
∴ Q = + −
⎛
⎝
⎜
⎞
⎠
⎟ + −
⎛
⎝
⎜
⎞
⎠
⎟ = − +
ax hx
x
b
x x
h b
2
2 2
2
2 2
2 2
a
b
a
b b
b ab a
[ ]
a
Since
x2
2
b
 0, Q  0 or  0 if ab2
− 2hab + ba2
 0 or  0
We can easily see that − [ab2
− 2hab + ba2
] =
0 a b
a
b
a h
h b
∴ Q if
 
0
0
0
a b
a
b
a h
h b
and Q if
 
0
0
0
a b
a
b
a h
h b
M05_ENGINEERING_MATHEMATICS-I _CH05_Part B.indd 53 5/12/2016 9:41:01 AM
5.54 ■ Engineering Mathematics
The determinant
0 a b
a
b
a h
h b
is made up of the matrix of coefficients of the quadratic form Q
which is bordered by coefficients of the linear constraint. So, this is called a bordered determinant.
Thus, the corresponding matrix is called the bordered Hessian matrix.
H =
⎡
⎣
⎢
⎢
⎢
⎤
⎦
⎥
⎥
⎥
0 a b
a
b
a h
h b
, bordered by the linear constraint.
The bordered principle minors are D1 = = −
0 2
a
a
a
a
and D2 =
0 a b
a
b
a h
h b
Since D1
= −a2
is always negative,
Q  0, if D2
 0 and Q  0, if D2
 0
4. We shall now consider quadratic form in three variables.
Q = + + + + +
a x a x a x a x x a x x a x x
11 1
2
22 2
2
33 3
2
12 1 2 23 2 3 31 3 1
2 2 2 subject to the linear constraint
b1
x1
+ b2
x2
+ b3
x3
= 0.
Then the corresponding bordered Hessian is
H =
0 1 2 3
1 11 12 13
2 21 22 23
3 31 32 33
b b b
b a a a
b a a a
b a a a
⎡
⎣
⎢
⎢
⎢
⎢
⎤
⎦
⎥
⎥
⎥
⎥
The bordered principle minors are
D D
1
1
1 11
2
1 2
1 11 12
2 21 22
0
0
= =
b
b a
b b
b a a
b a a
, and D H
3 =
Since D1 1
2
= −b is always negative, Q  0 if D2
 0 and D3
 0 and Q  0 if D2
 0 and D3
 0.
Similarly, we can discuss conditions for more than three variables.
5. Extremum with general constraints
Extreme values of u = f(x, y) subject to f (x, y) = 0
Stationary points are given by du = 0, f = 0
At a stationary point, u is maximum if d2
u  0 and df = 0
and u is minimum if d2
u  0 and df = 0
where d2
u = fxx
(dx)2
+ fyy
(dy)2
+ 2fxy
dx dy is a quadratic form in dx, dy and
df = 0 ⇒ fx
dx + fy
dy = 0, which is linear in dx, dy.
So, the corresponding bordered Hessian matrix is
H
x y
x xx xy
y yx yy
=
⎡
⎣
⎢
⎢
⎢
⎤
⎦
⎥
⎥
⎥
0 f f
f
f
f f
f f
M05_ENGINEERING_MATHEMATICS-I _CH05_Part B.indd 54 5/12/2016 9:41:04 AM
Differential Calculus of Several Variables ■ 5.55
The bordered principal minors are D x
x x
1
0
=
f
f f
and D
x y
x xx xy
y yx yy
2
0
=
f f
f
f
f f
f f
.
D x
1
2
0
= − 
f always
∴ u is maximum (i.e., d2
u  0), if D2
 0
and u is minimum (i.e., d2
u  0), if D2
 0
6. Extreme values of u 5 f(x, y, z) subject to f (x, y, z) 5 0.
The bordered Hessian matrix is
H
x y z
x xx xy xz
y yx yy yz
z zx zy zz
=
⎡
⎣
⎢
⎢
⎢
⎢
⎢
⎤
⎦
⎥
⎥
⎥
⎥
⎥
0 f f f
f
f
f
f f f
f f f
f f f
The bordered principal minors are
D D D H
x
x xx
x y
x xx xy
y yx yy
1 2 3
0
0
= = =
f
f
f f
f
f
f
f f
f f
, ,
Since D x
1
2
0
= − 
f always,
u is maximum (i.e., d2
u  0), if D2
 0 and D3
 0
and u is minimum (i.e., d2
u  0), if D2
 0 and D3
 0
7. Sufficient conditions for Lagrange’s method
Extreme values of f(x, y, z) subject to f(x, y, z) = 0
Form the auxiliary function F(x, y, z) = f(x, y, z) + lf(x, y, z), where l is the Lagrange’s
multiplier.
Stationary points are given by Fx
= 0, Fy
= 0, Fz
= 0, f = 0
At the stationary point we have maximum if d2
F  0, df = 0
⇒ fx
dx + fy
dy + fz
dz = 0 and minimum if d2
F  0, df = 0
The corresponding bordered Hessian is
H
x y z
x xx xy xz
y yx yy yz
z zx zy zz
=
⎡
⎣
⎢
⎢
⎢
⎢
⎢
⎤
⎦
⎥
⎥
⎥
⎥
⎥
0 f f f
f
f
f
F F F
F F F
F F F
The bordered principal minor D x
x xx
x
1
2
0
= = −
f
f
f
F
which is always negative.
∴ At a stationary point f(x, y, z) is minimum if D2
 0 and D3
 0 and maximum if D2
 0 and D3
 0
M05_ENGINEERING_MATHEMATICS-I _CH05_Part B.indd 55 5/12/2016 9:41:06 AM
5.56 ■ Engineering Mathematics
WORKED EXAMPLES
EXAMPLE 1
A rectangular box, open at the top, is to have a volume of 32 cc. Find dimensions of the box which
requires least amount of material for its construction.
Solution.
Let x, y, z be the length, breadth and height of the box. Given volume of the box is 32 cc.
⇒ xyz = 32, x, y, z  0 (1)
We want to minimize the amount of material for its construction. i.e., surface area of the box is to be
minimized.
Surface area S = xy + 2xz + 2yz [{ top is open] (2)
We shall solve by two methods.
Method 1 xyz = 32 ⇒ z
xy
=
32
∴ S = + +
xy x y
xy
2
32
( ) ⇒ S = + +
⎛
⎝
⎜
⎞
⎠
⎟
xy
x y
64
1 1
∴
∂
∂
S
x
y
x
= −
64
2
and
∂
∂
S
y
x
y
= −
64
2
To find stationary points, solve
∂
∂
S
x
= 0 and ∂
∂
S
y
= 0
⇒ y
x
x
y
− = − =
64
0
64
0
2 2
and
⇒ x y
2
64
= and xy2
64
= (3)
∴ x y xy
2 2
= ⇒ x = y [ , ]
{ x y
 
0 0
∴ (3) ⇒ x x y
3
64 4 4
= ⇒ = ∴ =
∴ stationary point is (4, 4)
Now r
S
x x
= =
∂
∂
2
2 3
128
, s
S
x y
t
S
y y
= = = =
∂
∂ ∂
∂
∂
2 2
2 3
1
128
and
∴ at the point (4, 4), r = = 
128
4
2 0
3
, s t
= = =
1
128
4
2
3
and
∴ rt − s2
= 2 ⋅ 2 − 1 = 3  0
Since r  0 and rt − s2
 0, it is a minimum point
When x = 4, y = 4, z = =
32
16
2
∴ dimensions of the box are x = 4 cms, y = 4 cms and z = 2 cms.
M05_ENGINEERING_MATHEMATICS-I _CH05_Part B.indd 56 5/12/2016 9:41:11 AM
Differential Calculus of Several Variables ■ 5.57
Method 2 Lagrange’s method
We have to minimise S = xy + 2xz + 2yz (1)
Subject to xyz = 32 ⇒ xyz − 32 = 0 (2)
Form the auxiliary function
F(x, y, z) = xy + 2xz + 2yz + l(xyz − 32)
where l is the Lagrange’s multiplier.
∴ F
F
x
y z yz F
F
y
x z xz F
F
z
x y xy F
x y z
= = + + = = + + = = + + =
∂
∂
∂
∂
∂
∂
2 2 2 2
l l l f
l
, , and
To find stationary points, solve Fx
= 0, Fy
= 0, Fz
= 0, f = 0
Fx
= 0 ⇒ y + 2z + lyz = 0
⇒ y + 2z = −lyz ⇒ xy + 2zx = −lxyz [multiplying by x] (3)
Fy
= 0 ⇒ x + 2z + lxz = 0
⇒ x + 2z = − lxz ⇒ xy + 2zy = −lxyz [multiplying by y] (4)
and Fz
= 0 ⇒ 2x + 2y + lxy = 0
⇒ 2x + 2y = −lxy ⇒ 2xz + 2yz = −lxyz [multiplying by z] (5)
From (3), (4) and (5)
⇒ xy zx xy zy xz yz
xy zx xy zy zx zy x y
+ = + = +
+ = + ⇒ = ⇒ =
2 2 2 2
2 2 2 2
and xy zx xz yz
+ = +
2 2 2 ⇒ xy yz x z
= ⇒ =
2 2
∴ x y z
= = 2 (6)
Substituting in (2), we get
2 2 32
z z z
⋅ ⋅ = ⇒ 4 32
3
z = ⇒ z z
3
8 2
= ⇒ =
∴ (6) ⇒ x = 4, y = 4
∴ the stationary point is (4, 4, 2)
So, the dimensions are 4 cms, 4 cms, 2 cms.
Remark We have not justified S is minimum at (4, 4, 2). We shall use the bordered Hessian to decide.
H
x y z
x xx xy xz
y yx yy yz
z zx zy zz
=
0 f f f
f
f
f
F F F
F F F
F F F
⎡
⎣
⎢
⎢
⎢
⎢
⎢
⎤
⎦
⎥
⎥
⎥
⎥
⎥
When x = 4, y = 4, z = 2, Fx
= 0 ⇒ 4 +4 + 8l = 0 ⇒ l = −1
M05_ENGINEERING_MATHEMATICS-I _CH05_Part B.indd 57 5/12/2016 9:41:13 AM
5.58 ■ Engineering Mathematics
∴ Fx
= y +2z − yz, Fy
= x +2z − xz and Fz
= 2x +2z − xy
∴ Fxx
= 0, Fyy
= 0, Fzz
= 0 and Fyx
= Fxy
= 1 − z; Fxz
= Fzx
= 2 − y
At (4, 4, 2)
Fxx
= 0, Fyy
= 0, Fzz
= 0
Fxy
= 1 − 2 = −1, Fxz
= 2 − 4 = −2, Fyz
= 2 − 4 = −2
fx
= 8, fy
= 8, fz
= 16
∴ H =
0 8 8 16
8 0 1 2
8 1 0 2
16 2 2 0
− −
− −
− −
⎡
⎣
⎢
⎢
⎢
⎢
⎤
⎦
⎥
⎥
⎥
⎥
The bordered principal minors are D1
0 8
8 0
64 0
= = −  ;
D
D
2
3
0 8 8
8 0 1
8 1 0
64
0 1 1
1 0 1
1 1 0
64 2 128 0
0 8 8 16
8 0 1 2
8
= −
−
= −
−
= − = − 
=
− −
−
( )
1
1 0 2
16 2 2 0
8 8
0 1 1 2
1 0 1 2
1 1 0 2
2 2 2 0
−
− −
=
− −
− −
− −
.
= × + +
− −
− −
− −
64 2 2
0 1 1 1
1 0 1 1
1 1 0 1
1 1 1 0
( )( )
=
− −
− +
− +
→ −
→ −
256
0 1 0 0
1 0 1 1
1 1 1 0
1 1 0 1
3 3 2
4 4 2
C C C
C C C
= −
− −
256 1
1 1 1
1 1 0
1 0 1
1
( ) , expanding by R
= −
→ +
→ +
= − − = − × = − 
256
1 0 0
1 2 1
1 1 2
256 4 1 256 3 768 0
2 2 2
3 3 1
C C C
C C C
( )
M05_ENGINEERING_MATHEMATICS-I _CH05_Part B.indd 58 5/12/2016 9:41:16 AM
Differential Calculus of Several Variables ■ 5.59
Since D1
 0, D2
 0, D3
 0
d2
F is positive definite and hence minimum.
∴ the function S is minimum when x = 4, y = 4 and z = 2.
EXAMPLE 2
Find the shortest and longest distance from the point (1, 2, −1) to the sphere x2
1 y2
1 z2
5 24,
using Lagrange’s method of constrained maxima and minima.
Solution.
Let P(x, y, z) be a point on the sphere
x2
+ y2
+ z2
= 24 and A be (1, 2, −1).
The distance AP = − + − + +
( ) ( ) ( )
x y z
1 2 1
2 2 2
Let f(x, y, z) = (x − 1)2
+ (y − 2)2
+ (z + 1)2
(1)
AP is minimum or maximum if f(x, y, z) is minimum or maximum.
So, we minimize or maximize f(x, y, z) subject to x2
+ y2
+ z2
= 24
Let f(x, y, z) = x2
+ y2
+ z2
− 24 = 0 (2)
Form the auxillary function
F(x, y, z) = f(x, y, z) + lf(x, y, z)
where l is the Lagrange’s multiplier.
F(x, y, z) = (x − 1)2
+ (y − 2)2
+ (z + 1)2
+ l (x2
+ y2
+ z2
− 24)
∴ F x x F y y F z z F
x y z and
= − + = − + = + + =
2 1 2 2 2 2 2 1 2
( ) , ( ) , ( )
l l l f
l
To find the stationary points solve Fx
= 0, Fy
= 0, Fz
= 0, f = 0
∴ F x x
x = ⇒ − + =
0 2 1 2 0
( ) l ⇒ x x
− = −
1 l ⇒ − =
−
= −
l
x
x x
1
1
1
⇒ F y y y y
y = ⇒ − + = ⇒ − = −
0 2 2 2 0 2
( ) l l ⇒ − =
−
= −
l
y
y y
2
1
2
and F z z z z
z = ⇒ + + = ⇒ + = −
0 2 1 2 0 1
( ) l l ⇒ − =
+
= +
l
z
z z
1
1
1
∴ 1
1
1
2
1
1
− = − = +
x y z
Now 1
1
1
2
− = −
x y
⇒ − = − ⇒ =
1 2
2
x y
y x
and 1
1
1
1 1 1
− = + ⇒ − = = −
x z x z
z x
⇒
∴ 2 2
x y z
= = − ⇒ x
y
z
= = −
2
We have x2
+ y2
+ z2
= 24
⇒ x x x
2 2 2
4 24
+ + = ⇒ 6 24 4 2
2 2
x x x
= ⇒ = ⇒ = ±
M05_ENGINEERING_MATHEMATICS-I _CH05_Part B.indd 59 5/12/2016 9:41:20 AM
5.60 ■ Engineering Mathematics
When x = 2, y = 4, z = −2 and when x = −2, y = −4, z = +2
The stationary points are P1
(2, 4, −2) and P2
(−2, −4, 2)
AP and AP
1 2
1 4 1 6 9 36 9 3 6
= + + = = + + =
∴ the shortest distance = 6 and the longest distance = 3 6
EXAMPLE 3
The temperature T at any point (x, y, z) in space is T 5 400 xyz2
. Find the highest temperature on
the surface of the unit sphere x2
1 y2
1 z2
5 1.
Solution.
We want to maximize T = 400 xyz2
Subject to f(x, y, z) = x2
+ y2
+ z2
− 1 = 0 (1)
Auxiliary function is F(x, y, z) = T + lf(x, y, z)
⇒ F(x, y, z) = 400 xyz2
+ l( x2
+ y2
+ z2
− 1)
where l is the Lagrange’s multiplier.
∴ F yz x F xz y F xyz z
x y z
, and F
= + = + = + =
400 2 400 2 800 2
2 2
l l l f
l
,
To find stationary points, solve Fx
= 0, Fy
= 0, Fz
= 0, f = 0
∴ F yz x
x = ⇒ + =
0 400 2 0
2
l ⇒ 400 2
2
yz x
= − l ⇒
200 2
yz
x
= −l (2)
F xz y
y = ⇒ + =
0 400 2 0
2
l ⇒ 200 2
xz
y
= −l (3)
F xyz z
z = ⇒ + =
0 800 2 0
l ⇒ = −
400xy l (4)
From (2), (3) and (4), we get
200 200
400
2 2
yz
x
xz
y
xy
= =
Now
200 200
2 2
yz
x
xz
y
= ⇒ y x y x
2 2
= ⇒ = ± (5)
and 200
400
2
xz
y
xy
= ⇒ z y
2 2
2
= ⇒ z y
= ± ⋅
2 (6)
Substituting in (1) we get
y y y
2 2 2
2 1
+ + = ⇒ 4 1
1
4
1
2
2 2
y y y
= ⇒ = ⇒ = ±
∴ x = ±
1
2
and z = ± ⋅ ±
⎛
⎝
⎜
⎞
⎠
⎟ = ±
2
1
2
1
2
M05_ENGINEERING_MATHEMATICS-I _CH05_Part B.indd 60 5/12/2016 9:41:27 AM
Differential Calculus of Several Variables ■ 5.61
The stationary points are given by x y z
= ± = ± = ±
1
2
1
2
1
2
, ,
These give 8 stationary points. We want the maximum value of T = 400 xyz2
, and so we must have
xy positive. This will occur at 4 of the points.
i.e., at the points
1
2
1
2
1
2
1
2
1
2
1
2
1
2
1
2
1
2
1
2
1
2
1
, , , , , , , , , , ,
⎛
⎝
⎜
⎞
⎠
⎟
−
⎛
⎝
⎜
⎞
⎠
⎟ − −
⎛
⎝
⎜
⎞
⎠
⎟ − − −
2
2
⎛
⎝
⎜
⎞
⎠
⎟
∴ maximum T C
= × ⋅ ⋅ = °
400
1
2
1
2
1
2
50
EXAMPLE 4
Find the volume of the largest rectangular parallelopiped that can be inscribed in the ellipsoid
x
a
y
b
z
c
2
2
2
2
2
2
1
1 1 5 .
Solution.
Given the ellipsoid
x
a
y
b
z
c
2
2
2
2
2
2
1
+ + =
By the symmetry of the ellipsoid, for the largest parallelopiped, the edges must be parallel to the
coordinate axes and the centre coincides with the centre (0, 0, 0) of the ellipsoid.
Let P (x, y, z) be the coordinates of a vertex on the
ellipsiod, then the dimensions of the rectangular
parallelopiped (or cuboid) are 2x, 2y, 2z respectively.
∴ volume V = 2x ⋅ 2y ⋅ 2z
= 8xyz
Let f( , , )
x y z
x
a
y
b
z
c
= + + − =
2
2
2
2
2
2
1 0 (1)
We want to maximize V subject to f(x, y, z) = 0
Form the auxiliary equation F(x, y, z) =V + lf (x, y, z),
where l is the Lagrange’s multiplier.
⇒ F( , , )
x y z xyz
x
a
y
b
z
c
= + + + −
⎛
⎝
⎜
⎞
⎠
⎟
8 1
2
2
2
2
2
2
l
∴ F yz
x
a
x = +
8 2 2
l
, F zx
y
b
F xy
z
c
F
y z
, and
= + = + =
8 2 8 2
2 2
l l
f
l
To find stationary points solve Fx
= 0, Fy
= 0, Fz
= 0, f = 0
∴ F yz
x
a
x = ⇒ + =
0 8 2 0
2
l
⇒ 4 2
yz
x
a
= −
l
⇒ 4
2
2
xyz
x
a
= −l [multiplying by x]
⇒ − =
4 2
2
xyz x
a
l
(2)
Z
P
O
X
Y
Fig. 5.8
M05_ENGINEERING_MATHEMATICS-I _CH05_Part B.indd 61 5/11/2016 4:42:57 PM
5.62 ■ Engineering Mathematics
F xz
y
b
y = ⇒ + =
0 8 2 0
2
l ⇒ −
4 2
2
xyz y
b
l
= [multiplying by y] (3)
F xy
z
a
z = ⇒ + =
0 8 2 0
2
l ⇒ −
4 2
2
xyz z
b
l
= [multiplying by z] (4)
∴ From (2), (3) and (4), we get
x
a
y
b
z
c
2
2
2
2
2
2
= =
We have
x
a
y
b
z
c
2
2
2
2
2
2
1
+ + =
∴
x
a
x
a
x
a
2
2
2
2
2
2
1
+ + = ⇒ 3 1
3 3
2
2
2
2
x
a
x
a
x
a
= ⇒ = ⇒ = ±
Similarly, y
b
= ±
3
and z
c
= ±
3
∴ So, the stationary points are given by
x
a
y
b
z
c
= ± = ± = ±
3 3 3
, ,
∴ there are 8 stationary points.
Since we want maximum value of V, choose the points with the product of xyz positive.
This will occur at 4 of the points. They are
a b c a b c
3 3 3 3 3 3
, , , , , ,
⎛
⎝
⎜
⎞
⎠
⎟
− −
⎛
⎝
⎜
⎞
⎠
⎟
− −
⎛
⎝
⎜
⎞
⎠
⎟
− −
⎛
⎝
⎜
⎞
⎠
⎟
a b c a b c
3 3 3 3 3 3
, , , , ,
∴ maximum V =
8
3 3
abc
EXAMPLE 5
Divide the number 24 into three parts such that the continued product of the first, square of the
second and the cube of the third may be maximum.
Solution.
Let 24 be divided into 3 parts x, y, z, so that
x + y + z = 24 where x, y, z  0
∴ x + y + z − 24 = 0 (1)
and the product is xy2
z3
We have to maximize this product subject to (1)
Let f(x, y, z) = xy2
z3
and f (x, y, z) = x2
+ y2
+ z2
− 24
Form the auxiliary function
F(x, y, z) = f(x, y, z) + lf(x, y, z)
M05_ENGINEERING_MATHEMATICS-I _CH05_Part B.indd 62 5/11/2016 4:43:03 PM
Differential Calculus of Several Variables ■ 5.63
where l is the Lagrange’s multiplier.
⇒ F( , , ) ( )
x y z xy z x y z
= + + + −
2 3
24
l
∴ F y z
x = +
2 3
l, F xyz F xy z F
y z
, and
= + = + =
2 3
3 2 2
l l f
l
To find stationary points, solve Fx
= 0, Fy
= 0, Fz
= 0, f = 0
∴ F y z
x = ⇒ + =
0 0
2 3
l ⇒ y z
2 3
= −l (2)
F xyz
y = ⇒ + =
0 2 0
3
l ⇒ 2 3
xyz = −l (3)
F xy z
z = ⇒ + =
0 3 0
2 2
l ⇒ 3 2 2
xy z = −l (4)
From (2), (3), (4) y z xyz xy z
2 3 3 2 2
2 3
= =
∴ y z xyz
2 3 3
2
= ⇒
and xy z xy z z x
2 3 2 2
3 3
= ⇒ =
Subsituting in (1), we get x x x
+ + =
2 3 24 ⇒ 6 24 4
x x
= ⇒ =
∴ y z
= =
8 12
and
∴ the product is maximum if the parts are 4, 8, 12.
Note We shall test it is indeed maximum.
The bordered Hessian matrix is H
x y z
x xx xy xz
y yx yy yz
z zx zy zz
=
0 f f f
f
f
f
F F F
F F F
F F F
⎡
⎣
⎢
⎢
⎢
⎢
⎢
⎤
⎦
⎥
⎥
⎥
⎥
⎥
Now Fx
= y2
z3
+ l ⇒ F F yz F y z
xx xy xz
= = =
0 2 3
3 2 2
, ,
⇒ F xy z F xz F yz F xyz
y yy yx yz
= + ⇒ = = =
2 2 2 6
2 3 3 3 2
l , ,
⇒ F xy z F xy z F y z F xyz
z zz zx zy
= + ⇒ = = =
3 6 3 6
2 2 2 2 2 2
l , ,
When x = 4, y = 8, z = 12
F F F F
xx xy yx yy
= = = ⋅ = ⋅ = ⋅ ⋅ = ⋅
0 2 812 2 12 2 4 12 2 12
3 4 3 3 3 3
, ,
F F F F
F
yz zy zx xz
zz
= = ⋅ ⋅ = ⋅ = = ⋅ = ⋅
= ⋅ ⋅
6 4 812 2 12 3 8 12 2 12
6 4 8
2 4 3 2 2 4 3
2
, .
⋅
⋅ = ⋅
12 2 12
7 2
Now f(x, y, z) = x + y + z − 24
⇒ fx
= 1, fy
= 1, fz
= 1
y x
2
=
M05_ENGINEERING_MATHEMATICS-I _CH05_Part B.indd 63 5/11/2016 4:43:12 PM
5.64 ■ Engineering Mathematics
∴ the bordered Hessian matrix is
H =
0 1 1 1
1 0 2 12 2 12
1 2 12 2 12 2 12
1 2 12 2 12 2 12
4 3 4 3
4 3 3 3 4 3
4 3 4 3 7 2
⋅ ⋅
⋅ ⋅ ⋅
⋅ ⋅ ⋅
⎡
⎡
⎣
⎢
⎢
⎢
⎢
⎤
⎦
⎥
⎥
⎥
⎥
The principal bordered minors are D1
0 1
1 0
1 0
= = 
⎡
⎣
⎢
⎤
⎦
⎥ −
D2
4 3
4 3 3 3
3 3 4 3 4 3
0 1 1
1 0 2 12
1 2 12 2 12
1 2 12 2 12 1 2 12
= ⋅
⋅ ⋅
= − ⋅ − ⋅ + ⋅ ⋅
= −
[ ] [ ]
8
8 12 16 12 16 12 24 12 0
3 3 3 3
⋅ + ⋅ + ⋅ = ⋅ 
D3 =
⋅ ⋅
⋅ ⋅ ⋅
⋅ ⋅ ⋅
0 1 1 1
1 0 2 12 2 12
1 2 12 2 12 2 12
1 2 12 2 12 2 12
4 3 4 3
4 3 3 3 4 3
4 3 4 3 7 2
2
4 3 4 3
4 3 3
4 3 6 2
3 3 2
0 1 0 0
1 0 2 12 2 12
1 2 12 8 12 0
1 2 12 0 2 12
=
⋅ ⋅
⋅ − ⋅
⋅ − ⋅
→ −
C C C
C
C C C
4 4 2
→ −
= −
⋅ ⋅
− ⋅
− ⋅
1
1 2 12 2 12
1 8 12 0
1 0 2 12
4 3 4 3
3
6 2
1
expanding by R
= − ⋅ ⋅ ⋅ −
( )
1 2 12 2 12
1 2 12
1 1 0
1 0 4
3 3 4 2 [Taking out 23
⋅123
from c2
and 24
⋅122
from c3
]
= − ⋅ − − −
= − ⋅ + =
( ) [ ( )] [ ]
( ) [ ]
1 2 12 1 12 4 1 2
1 2 12 12 12
7 5
3
7 5
expanding by R
(
( )
− ⋅ ⋅ 
1 2 12 24 0
7 5
Since D1
 0, D2
 0 and D3
 0, f(x, y, z) is maximum at (4, 8, 12).
EXAMPLE 6
Find the maximum value of xm
yn
zp
subject to x 1 y 1 z 5 a.
Solution.
Let f(x, y, z) = xm
yn
zp
(1)
M05_ENGINEERING_MATHEMATICS-I _CH05_Part B.indd 64 5/11/2016 4:43:14 PM
Differential Calculus of Several Variables ■ 5.65
Maximize (1) subject to f(x, y, z) = x + y + z − a = 0 (2)
Form the auxiliary function
F(x, y, z) = f(x, y, z) + lf(x, y, z)
where l is the Lagrange’s multiplier.
⇒ F m n p
( , , ) ( )
x y z x y z x y z a
= + + + −
l
∴ F mx y zp
x
n n
= +
−1
l, F nx y z F px y z F
p
y
m n p
z
m n
, and
= + = + =
− −
1 1
l l f
l
To find stationary points, solve Fx
= 0, Fy
= 0, Fz
= 0, f = 0
F mx y z mx y z
x
n n p n n p
= ⇒ + = ⇒ = −
− −
0 0
1 1
l l (2)
Similarly, Fy = 0 ⇒ nx y z
m n p
−
= −
1
l (3)
Fz = 0 ⇒ px y z
m n p−
= −
1
l (4)
∴ From (2), (3) and (4), we get
mx y z nx y z px y z
m n p m n p m n p
− − −
= =
1 1 1
⇒ m
x
n
y
p
z
x y z
= = [ ]
dividing by m n p
⇒
x
m
y
n
z
p
x y z
m n p
a
m n p
= = =
+ +
+ +
=
+ +
∴ x
am
m n p
y
an
m n p
z
ap
m n p
=
+ +
=
+ +
=
+ +
, ,
Stationary point is
am
m n p
an
m n p
ap
m n p
+ + + + + +
⎛
⎝
⎜
⎞
⎠
⎟
, ,
Maximum value of f
am
m n p
an
m n p
ap
m n p
=
+ +
⎛
⎝
⎜
⎞
⎠
⎟ + +
⎛
⎝
⎜
⎞
⎠
⎟ + +
⎛
⎝
⎜
⎞
⎠
⎟
m n p
=
⋅
+ +
+ +
+ +
a m n p
m n p m n p
m n p m n p
( )
EXERCISE 5.5
1. Find the extreme values of the function f(x, y) = x3
+ y3
− 3x − 12y + 20.
2. Find the maximum and minimum values of x2
− xy + y2
− 2x + y.
3. Find the maximum and minimum values of x3
+ 3xy2
− 15y2
+ 72x.
4. Find the maxima and minima of the function x3
y2
(12 − x − y).
5. Find the extreme values of the function x xy y
x y
2 2 1 1
+ + + + .
M05_ENGINEERING_MATHEMATICS-I _CH05_Part B.indd 65 5/11/2016 4:43:19 PM
5.66 ■ Engineering Mathematics
6. Find the extreme values of the function y4
− x4
+ 2(x2
−y2
).
7. If the perimeter of a triangle is a given constant, show that the area is maximum when the triangle
is equilateral.
8. Locate the stationary points of x4
+ y4
− 2x2
+ 4xy − 2y2
and determine their nature.
9. Examine maximum and minimum values of sinx + siny + sin (x + y), 0  x  p, 0  y p.
10. Find the dimensions of the rectangular box open at the top, of maximum capacity whose surface
is 432 sq.cm.
11. Examine f(x, y) = x3
+ y3
− 3axy for maximum and minimum values.
12. Find the extreme values, if any, of the function f(x, y) = x4
+ y2
+ x2
y.
13. A flat circular plate is heated so that the temperature at any point (x, y) is u(x, y) = x2
+ 2y2
− x.
Find the coldest point on the plate.
14. In a plane triangle, find the maximum value of cos A cos B cos C.
15. Find the minimum value of x2
+ y2
+ z2
, given that xyz = a3
.
16. Find the maximum and minimum distances of the point (3, 4, 12) from the sphere x2
+ y2
+ z2
= 1.
17. Find the maximum and minimum distances from the origin to the curve 5x2
+ 6xy+ 5y2
− 8 = 0.
18. Find the minimum values of the function x2
+ y2
+ z2
subject to the condition
ax + by + cz = a + b + c.
19. Find the minimum values of the function x2
+ y2
+ z2
subject to the condition xy + yz + zx = 3a2
.
20. A thin closed rectangular box is to have one edge equal to twice the other and a constant volume
72 m3
. Find the least surface area of the box.
21. Show that the area of the greatest rectangle that can be inscribed in an ellipse 4x2
+ 9y2
= 36, hav-
ing its sides parallel to the axes is 12 sq. units.
22. Find the shortest distance from the origin to the curve x2
+ 8xy + 7y2
= 225.
23. Using Lagrange’s method of multipliers, show that the stationary value of a3
x2
+ b3
y2
+ c3
z2
, where
1 1 1
1
x y z
+ + = , occurs at x
a b c
a
=
+ +
, y
a b c
b
z
a b c
c
=
+ +
=
+ +
, .
and
24. If u = x2
+ y2
− z2
where ax + by + cz − p = 0, then find the stationary value of u.
25. Find the minimum value of x2
yz3
subject to 2x + y + 3z = a.
26. If xyz = 8, find the values of x, y, z for which u
xyz
x y z
=
+ +
5
2 4
is a maximum.
27. Test for the extreme of the function f(x, y) = x4
+ y4
− x2
− y2
− 1.
ANSWERS TO EXERCISE 5.5
1. (i) Minimum at (1, 2); Minimum value = 2 2. Minimum at (1, 0); Minimum value = −1
(ii) Maximum at (−1, −2); Maximum value = 38
3. (i) Maximum at (4, 0); Maximum value = 112 4. Maximum at (6, 4); Maximum value = 6912
(ii) Minimum at (6, 0); Minimum value = 108
5. Minimum at 1
3
1
3
3 3
,
⎛
⎝
⎜
⎞
⎠
⎟
; Minimum value = 34 3
/
6. (i) Minimum at (0, ±1); Minimum value = −1 and (ii) Maximum at (±1, 0); Maximum value = 1
M05_ENGINEERING_MATHEMATICS-I _CH05_Part B.indd 66 5/11/2016 4:43:20 PM
Differential Calculus of Several Variables ■ 5.67
8. (i) Stationary points are (0, 0) ( , )
2 2
− and ( , )
− 2 2 and Minimum at ( , )
2 2
− and
( , )
− 2 2
9. Maximum at
p p
3 3
,
⎛
⎝
⎜
⎞
⎠
⎟ ; and maximum value
3 3
2
10. Dimensions 12, 12, 6 cms.
11. Maximum value = −a3
if a  0 and minimum value = −a3
if a  0
12. Minimum value 0 13.
1
2
0
,
⎛
⎝
⎜
⎞
⎠
⎟ 14. 1
8
15. Minimum value = 3a2
16. Maximum distance = 14, minimum distance = 12
17. Maximum distance = 4, and minimum distance = 1
18. Minimum value = ( )
a b c
a b c
+ +
+ +
2
2 2 2
19. Minimum value = 3a2
20. 108 m2
22. shortest distance = 5
23. x
a b c
a
y
a b c
b
z
a b c
c
=
+ +
=
+ +
=
+ +
, , 24. u
P
a b c
=
+ +
2
2 2 2
( )
25.
a
6
6
⎛
⎝
⎜
⎞
⎠
⎟ 26. x = 4, y = 2, z = 1
27. Maximum at (0, 0) and value = −1 and minimum at ± ± = −
1
2
1
2
3
2
,
⎛
⎝
⎜
⎞
⎠
⎟ and value
5.6 ERRORS AND APPROXIMATIONS
All physical quantities, when measured however precisely, are subjected to small errors in their
observed values, resulting in a cumulative error in the dependent variable. Our aim is to estimate such
error.
If u = f(x, y), then the total differential relation is,
du
f
x
dx
f
y
dy
=
∂
∂
+
∂
∂
, which is an exact relation.
An approximate error relation is obtained by replacing differentials by increments Δx, Δy and Δu.
∴Δ Δ Δ
u
f
x
x
f
y
y
=
∂
∂
+
∂
∂
, giving the total error Δu in u approximately in terms of the errors Δx and
Δy in x and y, respectively.
Δx, Δy and Δu are called the absolute errors in x, y and u, respectively.
Δ Δ Δ
x
x
y
y
u
u
, and are called the relative errors in x, y and u, respectively.
Δ Δ Δ
x
x
y
y
u
u
× × ×
100 100 100
, and are called the percentage errors in x, y and u, respectively.
If relative error or percentage errors are given in problems, it is advantages to take logarithm and
differentiate.
If y = f(x), then dy = f ′(x) dx ∴ Δy = f ′(x) Δx approximately
M05_ENGINEERING_MATHEMATICS-I _CH05_Part B.indd 67 5/11/2016 4:43:24 PM
5.68 ■ Engineering Mathematics
WORKED EXAMPLES
EXAMPLE 1
The dimensions of a cone are given by radius 5 4 cm, and altitude 5 6 cm. What is the error in
calculation of its volume, if there is a shortage of 0.01 cm in the measures used.
Solution.
Let r be the radius and h be the height of the cone in centimetre.
∴ The volume of the cone V r h
=
1
3
2
p (1)
The differential relation is
dV
v
r
dr
V
h
dh
= +
∂
∂
∂
∂
The error relation is
Δ Δ Δ
V
V
r
r
V
h
h
= +
∂
∂
∂
∂
(2)
From equation (1), we get
∂
∂
∂
∂
V
r
h r
V
h
r
= =
1
3
2
1
3
2
p p
and
∴ Δ Δ Δ
V hr r r h
= +
1
3
2
1
3
2
p p
Given r = 4 cm and h = 6 cm, Δr = Δh = −0.01 = −
1
100
∴ ΔV = × × −
⎛
⎝
⎜
⎞
⎠
⎟ + −
⎛
⎝
⎜
⎞
⎠
⎟
= − + = −
2
3
6 4
1
100 3
4
1
100
300
48 16
64
300
2
p p
p p
[ ] =
= −
16
75
p
cm3
∴ the volume is decreased by
16
75
p
cm3
.
EXAMPLE 2
The torsional rigidity of length of a wire is obtained from the formula N
Il
t r
5
p
8
2 4
. If l is decreased
by 2%,r is increased by 2% and t is increased by 1.5%,then show that the value of N is diminished
by 13% approximately.
Solution.
Given N
Il
t r
=
8
2 4
p
(1)
Taking logarithm on both sides of equation (1), we get
log log log log log
e e e e e
N I l t r
= + − −
8 2 4
p
M05_ENGINEERING_MATHEMATICS-I _CH05_Part B.indd 68 5/11/2016 4:43:27 PM
Differential Calculus of Several Variables ■ 5.69
Taking differentials, we get
∴
dN
N
dl
l
dt
t
dr
r
= + − −
0 2 4
∴ Error relation is
∴
Δ Δ Δ Δ
Δ Δ Δ Δ
N
N
l
l
t
t
r
r
N
N
l
l
t
t
r
r
= − −
× = × − × − ×
2 4
100 100 2 100 4 100
Given: l is decreased by 2%. ∴
Δl
l
× = −
100 2
r is increased by 2% ∴
Δr
r
× =
100 2
t is increased by 1.5%. ∴
Δt
t
× =
100 1 5
.
∴
ΔN
N
× = − − − × = − − − = −
100 2 2 1 5 4 2 2 3 8 13
( . )
∴ the value of N is diminished by 13%.
EXAMPLE 3
In estimating the cost of a pile of bricks measured as 6 m 3 50 m 3 4 m, the tape is stretched
1% beyond the standard length. If the count is 12 bricks in 1 m3
and bricks cost `100 per 1000,
then find the approximate error in cost.
Solution.
Let l, b and h be the length, breadth and height of the rectangular pile, respectively, in meters. Hence,
its volume
V = l b h (1)
Taking loge
on both sides, we get
log log log log
e e e e
V l b h
= + +
Taking differentials, we get
1 1 1 1
V
dV
l
dl
b
db
h
dh
= + +
∴ Error relation is
Δ Δ Δ Δ
V
V
l
l
b
b
h
h
= + +
M05_ENGINEERING_MATHEMATICS-I _CH05_Part B.indd 69 5/11/2016 4:43:30 PM
5.70 ■ Engineering Mathematics
Given V = 6 × 50 × 4 = 1200 m3
and
Δ Δ Δ
l
l
b
b
h
h
× = × = × =
100 100 100 1
⇒
Δ Δ Δ
l
l
b
b
h
h
= = =
1
100
∴
Δ
Δ
V
V
V V
= ⇒ = × = × =
3
100
3
100
3
100
1200 36 3
m
Given the number of bricks in 1 cubic meter is 12.
∴ number of bricks in ΔV = 36 × 12 = 432
Cost of 1000 bricks is `100
∴ Cost of 432 bricks is = ×
432
100
1000
= 43.2
⇒ Error in cost is = `43.20
EXAMPLE 4
The focal length of a mirror is given by the formula
1 1 2
v u f
2 5 . If equal errors d are made in
the determinations of u and v, then show that the relative error
Δf
f
in focal length is given by
d 1
1 1
u v
⎛
⎝
⎜
⎞
⎠
⎟ .
Solution.
Given
1 1 2
2 1 1 1
v u f
f v u
− = ⇒ = −
− − −
Taking differential,
− = − +
2 1 1
2 2 2
f
df
v
dv
u
du
∴ Error relation is
− = − +
2 2 2 2
Δ Δ Δ
f
f
v
v
u
u
Given Δ Δ
u v
= = d
∴ − ⋅ = − +
2
2 2
f
f
f v u
Δ d d
⇒
− ⋅ = −
⎛
⎝
⎜
⎞
⎠
⎟ = +
⎛
⎝
⎜
⎞
⎠
⎟ −
⎛
⎝
⎜
⎞
⎠
⎟ = +
⎛
⎝
⎜
⎞
⎠
2 1 1 1 1 1 1 1 1
2 2
f
f
f u v u v u v u v
Δ
d d d ⎟
⎟ ⋅ −
⎛
⎝
⎜
⎞
⎠
⎟
2
f
M05_ENGINEERING_MATHEMATICS-I _CH05_Part B.indd 70 5/11/2016 4:43:33 PM
Differential Calculus of Several Variables ■ 5.71
⇒
Δf
f u v
= +
⎛
⎝
⎜
⎞
⎠
⎟
d
1 1
∴ the relative error in f is d
1 1
u v
+
⎛
⎝
⎜
⎞
⎠
⎟.
EXAMPLE 5
If a triangle be slightly disturbed so as to remain inscribed in the same circle, then prove that
Δ Δ Δ
a
A
b
B
c
C
cos cos cos
1 1 5 0.
Solution.
We know from trigonometry that
a
A
b
B
c
C
R
sin sin sin
= = = 2
⇒ a R A b R B
= =
2 2
sin , sin
(1)
and c = 2R sin C
When the triangle inscribed in the circle of radius R is slightly disturbed, the sides and angles will be
slightly changed. Here R is constant, since the circle is not changed.
Taking differentials to the relation (1), we get
da R A dA db R B dB dc R C dC
= ⋅ = ⋅ = ⋅
2 2 2
cos , cos cos
and
∴ the error relations are
∴
Δ Δ Δ Δ Δ Δ
Δ
Δ
Δ
a R A A b R B B c R C C
a
A
R A
b
B
= ⋅ = ⋅ = ⋅
=
2 2 2
2
cos , cos cos
cos
,
cos
and
=
= =
2 2
R B
c
C
R C
Δ
Δ
Δ
and
cos
∴
Δ Δ Δ
Δ Δ Δ
a
A
b
B
c
C
R A B C
cos cos cos
[ ]
+ + = + +
2
But
∴ A B C dA dB dC A B C
+ + = + + + = + + =
p, 0 0
and Δ Δ Δ
Hence,
Δ Δ Δ
a
A
b
B
c
C
R
cos cos cos
+ + = ⋅ =
2 0 0
EXAMPLE 6
The angles of a triangle ABC are calculated from the sides a, b, and c. If small errors
d d d
a b c
, , and are made in the measurements of the sides, then show that the error in the angle
A is approximately d 5 d 2 d 2 d
A
a
a b c c c
2Δ
( cos cos ).
A
A
R
B
B
C
C
c
a
b
Fig. 5.9
M05_ENGINEERING_MATHEMATICS-I _CH05_Part B.indd 71 5/11/2016 4:43:39 PM
5.72 ■ Engineering Mathematics
Solution.
From trigonometry, we know that the relation between sides and angle A of a triangle is
a b c bc A
2 2 2
2
= + − cos .
Taking differentials, we get
⇒
2 2 2 2
ada bdb cdc A bdc cdb bc AdA
ada bdb cdc b
= + − + −
= + −
[cos ( ) ( sin )]
cos A
Adc c Adb bc AdA
bc AdA ada bdb cdc b Adc c Adb
− +
= − − + +
cos sin
sin cos cos
Since area of ΔABC is
Δ Δ
= ⇒ =
1
2
2
bc A bc A
sin sin
∴ 2Δ⋅ = − − − −
dA ada b c A db c b A dc
( cos ) ( cos )
Given that the errors in a, b and c are d d d
a b c
, and respectively.
So, the error in A is dA
∴ 2Δd d d d
A a a b c A b c b A c
= − − − −
( cos ) ( cos )
We know by projection formula that
b c A a C b c A a C
= + ⇒ − =
cos cos cos cos
and c = a cos B + b cos A ⇒ c b A a B
− =
cos cos
∴ 2Δd d d d d d d
A a a a C b a B c a a C b B c
= − − = − −
cos cos ( cos cos )
⇒ d d d d
A
a
a C b B c
= − ⋅ − ⋅
2Δ
[ cos cos ]
EXERCISE 5.6
1. The pressure p and the volume v of a gas are connected by pv1.4
= c, a constant. Find the percent-
age increase in pressure corresponding to
1
2
% diminish in the volume.
2. If q is calculated from q r h
= K 2
, where K is a constant, then show that a small % error in r is
four times as serious as the same % error in h.
3. Find the percentage error in the area of an ellipse if one per cent error is made in measuring the
major and minor axes.
4. The resistance of a circuit was found by using the formula C
E
R
= . If there be possible errors of
1
10
amperes in C and
1
20
volt in E, what is the possible error in R, given C = 18 amp, E = 100 volts.
M05_ENGINEERING_MATHEMATICS-I _CH05_Part B.indd 72 5/11/2016 4:43:47 PM
Differential Calculus of Several Variables ■ 5.73
5. The range R of a projectile which starts with a velocity v at an angle of elevation a is given by
R
v
g
=
2
2
sin a. Find the percentage error in R due to an error of 1% in v and an error of
1
2
% in a.
6. The time T of a complete oscillation of a simple pendulum of length l is given by T
l
g
= 2p ,
where g is a constant. Find the approximate error in the calculated value of T corresponding to an
error of 2% in the value of l.
7. The work that must be done to propel a ship of displacement D for distance s in time t is
proportional to
s D
t
2
3
2
2
. Estimate roughly the percentage increase of work necessary where the
distance is increased by 1%, the time is diminished by 1% and the displacement of the ship is
diminished by 3%.
8. If the area of a triangle is calculated from the formula Δ =
1
2
bc A
sin , and if b and c are measured
correctly, but A is taken as 60° with possible error of 5′, then calculate the possible percentage of
error is Δ.
ANSWERS TO EXERCISE 5.6
1. 0.7% 3. 2% 4. 0.028 ohm 5. ( cot )%
2 2
+ a a 6. 1% 7. −
1
2
% 8. 0.084%
SHORT ANSWER QUESTIONS
1. If u
x y
x y
5
1
1
log
4 4
⎛
⎝
⎜
⎞
⎠
⎟, then show that x
z
x
y
z
y
∂
∂
∂
∂
1 5 3.
2. If u
x
y
y
x
5 1
2 2
sin tan
1 1
, then prove that x
u
x
y
u
y
∂
∂
∂
∂
1 5 0.
3. If u
x y
x y
5
1
1
2
2cos 1 ⎛
⎝
⎜
⎞
⎠
⎟
, then show that x
u
x
u
y
∂
∂
∂
∂
1 1 5
y
u
cot
2
0.
4. If z 5 f(x, y), x 5 u 2 v, y 5 uv, then prove that ( )
u v
z
x
u v
1 5 2
∂
∂
∂
∂
∂
∂
z
u
z
v
.
5. If u = x2
1 y2
, x 5 e2t
, y 5 e2t
cos 3t, then find
du
dt
as a total derivative.
6. If u 5 f(x, y) and x 5 r 1 s, y 5 r 2 s, then prove that
∂
∂
∂
∂
∂
∂
u
r
u
s
u
x
1 5 2 .
7. Find
du
dt
if u
x
y
x e y t
t
e
= , = ; = log .
8. If u
y
x
z
x
5 1 , then find x
u
x
y
u
y
z
u
z
∂
∂
∂
∂
∂
∂
1 1 .
9. Find
dy
dx
if xy
1 yx
5 a, a is a constant and x, y  0.
10. Find
dy
dx
if xy
5 yx
.
M05_ENGINEERING_MATHEMATICS-I _CH05_Part B.indd 73 5/11/2016 4:44:01 PM
5.74 ■ Engineering Mathematics
11. If z
y
x
5 sin
⎛
⎝
⎜
⎞
⎠
⎟ , then show that
∂
∂ ∂
∂
∂ ∂
2 2
.
z
y x
z
x y
5
12. If z 5 f(x 1 ay) 1 g(x 2 ay), where a is constant, then prove that
∂
∂
∂
∂
2
2
2
2
2
.
z
y
a
z
x
5
13. If x = r cos u, y = r sin u, then find
∂
∂
( , )
( , )
.
r
x y
u
14. If x 5 u(1 1 v), y 5 v(1 1 u), then find ∂
∂
( , )
( , )
x y
u v
.
15. If u
y
x
v
x
y
5 5
2 2
, , then find
∂
∂
( , )
( , )
x y
u v
.
16. If u 5 x2
+ y2
, v 5 2xy and x 5 r cos u, y 5 r sin u, then find
∂
∂
( , )
( ,
u v
r
.
u )
17. If x2
y 1 3y 2 2 is expanded as Maclaurin’s series, then find the value at the point (1, 0).
18. Find the Taylor’s series expansion of xy
near the point (1, 1) upto first degree terms.
19. Find the stationary points of f(x, y) 5 x3
1 3xy2
2 15x2
2 15y2
1 72x.
20. Find the stationary points of f(x, y) 5 x3
1 y3
2 3x 2 12y 1 20
OBJECTIVE TYPE QUESTIONS
A. Fill up the blanks
1. If u
x y
x y
=
−
+
⎛
⎝
⎜
⎞
⎠
⎟
−
sin 1
then x
u
x
y
u
y
∂
∂
+
∂
∂
= ____________.
2. If u
y
x
z
x
= + then x
u
x
y
u
y
∂
∂
+
∂
∂
= _________.
3. The slope of the curve 2xy − ln xy = 2 at the point (1, 1) is ___________.
4. If x = r cosu, y = r sinu then
∂
∂
∂
∂
=
r
x
x
r
. ___________.
5. If x3
+ y3
= 3axy, then
dy
dx
= _____________.
6. If u = x + y, y = uv, then
∂
∂
( , )
( , )
x y
u v
= ___________.
7. If u =
2
2
x y
−
, v =
y
2
, then
∂
∂
( , )
( , )
x y
u v
= ___________.
8. The necessary and sufficient conditions for f(x, y) to have a relative maximum at the point (a, b) is
___________.
9. The maximum value of f(x, y) = x2
+ y2
subject to the constraint x = 1 is _________.
10. If the point (1, 1) is a stationary point of f(x, y) and if fxx
= 6xy3
, fxy
= 9x2
y, and fyy
= 6x2
y, then the point (1, 1)
is ___________.
B. Choose the correct answer
1. If u
x
y
y
z
z
x
= + + , then x
u
x
y
u
y
u
z
∂
∂
+
∂
∂
+
∂
∂
is equal to
(a) u (b) 0 (c) 2u (d) none of these
M05_ENGINEERING_MATHEMATICS-I _CH05_Part B.indd 74 5/11/2016 4:44:09 PM
Differential Calculus of Several Variables ■ 5.75
2. If u2
+ 2v2
= 1 − x2
+ y2
and u2
+ v2
= x2
+ y2
− 2, then
∂
∂
v
x
is equal to
(a) x (b) 3x (c)
3x
u
(d) −
2x
v
3. If u = f(y − z, z − x, x − y), then
∂
∂
+
∂
∂
+
∂
∂
u
x
u
y
u
z
is equal to
(a) x + y + z (b) 1 + x + y + z (c) 1 (d) 0
4. If u
x y
x y
=
+
+
⎛
⎝
⎜
⎞
⎠
⎟
−
tan 1
, then x
u
x
y
u
y
∂
∂
+
∂
∂
is equal to
(a) 2 cos2u (b) sin2 u (c) sin u (d) none of these
5. If x = r cosu, y = r sinu, then the value of
∂
∂
+
∂
∂
2
2
2
2
u u
x y
is
(a) 0 (b) 1 (c)
∂
∂
r
x
(d)
∂
∂
r
y
6. If u x y z
= + +
2 2 2
, then ∂
∂
+
∂
∂
+
∂
∂
2
2
2
2
2
2
u
x
u
y
u
z
is equal to
(a) 4u (b)
2
u
(c) 2u (d) −
u
2
7. If u
y
x
=
⎛
⎝
⎜
⎞
⎠
⎟
−
sin 1
, then x
u
x
y
u
y
∂
∂
+
∂
∂
is equal to
(a) 0 (b) u (c)
u
2
(d) 2u
8. If f
x y
x y
=
+
+
⎛
⎝
⎜
⎞
⎠
⎟
−
sin 1
2 2
, then x
f
x
y
f
y
∂
∂
+
∂
∂
is equal to
(a) f (b) 2f (c) tan f (d) sin f
9. If z e y
x
= sin , where x = ln t and y = t2
, then
dz
dt
is
(a)
e
t
y t y
x
(sin cos )
−2 2
(b)
e
t
y t y
x
(sin cos )
+2 2
(c)
e
t
y t y
x
(cos sin )
+2 2
(d)
e
t
y t y
x
(cos sin )
−2 2
10. If x = u + v and y = u − v, then
∂
∂
( , )
( , )
x y
u v
is equal to
(a) 0 (b) 1 (c) 2 (d) − 2
11. If u
y
x
=
2
2
and v
x y
x
=
+
2 2
2
, then
∂
∂
( , )
( , )
u v
x y
is equal to
(a) y (b) x (c)
y
x
2
(d)
x
y
2
M05_ENGINEERING_MATHEMATICS-I _CH05_Part B.indd 75 5/11/2016 4:44:21 PM
5.76 ■ Engineering Mathematics
12. Expansion of ex
cos y in powers of x and y upto first degree by Taylor series is
(a) 1 + x (b) 1 + y (c) 1 + x + y (d) none of these
13. The Taylor series expansion of xy
about the point (1, 1) upto first degree is
(a) 1 + x (b) 1 + (x − 1) (c) 2 + (x − 1) (d) 1 + (y − 1)
14. The expansion of exy
is power of (x − 1) and (y − 1) upto first degree terms by Taylor series is
(a) 1 1 1
+ − + −
( ) ( )
x y (b) e e x e y
+ − + −
( ) ( )
1 1
(c) 2 1 1
e e x e y
+ − + −
( ) ( ) (d) none of these
15. The linear approximation of f x y x xy y
( , ) = − + +
2 2
1
2
3 at (3, 2) is
(a) 8 + 4(x − 3) − (y − 2) (b) 2x − y − 2
(c) 3 − 2(x − 3) − (y − 2) (d) none of these
16. A minimum point of f(x, y) = x2
+ y2
+ 6x + 12 is
(a) (3, 0) (b) (−3, 0) (c) (0, 3) (d) (0, −3)
17. A stationary point of f(x, y) = x2
− xy+ y2
− 2x + y is
(a) (1, 1) (b) (1, 0) (c) (0, 1) (d) (−1, 0)
18. The nature of the stationary point (0, −1) for the function f(x, y), if fxx
= 4 − 12x2
, fxy
= 0, and
fyy
= −4 + 12y2
is
(a) minimum point (b) maximum point
(c) saddle point (d) cannot decide
19. If w = xy + z, x = cos t, y = sin t, and z = t, then
dw
dt
at t = 0 is
(a) 0 (b) 1 (c) 2 (d) −2
20. The side a and angle A of a triangle ABC remain constant, where as the other element of the triangle slightly
vary, then
(a)
d d
b
C
c
B
cos cos
+ = 0 (b)
d d
b
B
c
C
cos cos
=
(c)
d d
b
B
c
C
cos cos
+ = 0 (d) none of these
ANSWERS
A. Fill up the blanks
1. 0 2. 0 3. − 1 4. cos2
u 5. ay x
y ax
−
−
2
2
6. u 7. 2 8. f f rt s r
x y
= = −  
0 0 0 0
2
, , , 9. 1
10. saddle point
B. Choose the correct answer
1. (b) 2. (d) 3. (d) 4. (d) 5. (a) 6. (b) 7. (a) 8. (c) 9. (b) 10. (d)
11. (c) 12. (a) 13. (b) 14. (b) 15. (a) 16. (b) 17. (b) 18. (a) 19. (c) 20. (c)
M05_ENGINEERING_MATHEMATICS-I _CH05_Part B.indd 76 5/11/2016 4:44:25 PM
6.0 INTRODUCTION
Calculus is one of the remarkable achievements of human intellect. It is a collection of fascinating
and exciting ideas rather than a technical tool. Calculus has two main divisions ‘differential calculus’
and ‘integral calculus’.
Both had their origin from geometrical problems.
Integral calculus had its origin from the problem of area and differential calculus had its origin
from the problem of tangent to a curve.
The term integration means summation. Infact definite integral is the process of finding a limit of a sum.
The integration symbol ‘∫’ was divised by stretching the summation symbol ‘S’ conveying the
meaning of the process.
6.1 INDEFINITE INTEGRAL
We consider indefinite integral as reverse process of differentiation.
Definition 6.1
If f(x) is continuous function of x such that F′(x) 5 f(x) in [a, b], then F(x) 1 c is defined as the
indefinite integral of f(x) and is denoted by f x dx
( )
∫ .
Thus, f x dx F x c
( ) ( )
= +
∫
Here f(x) is called the integrand and the arbitrary constant c is called the constant of integration,
dx indicates that the variable of integration is x. f(x)dx is called an element of integration.
F(x) is called an antiderivative or primitive of f(x).
F(x) + c is referred to as the most general primitive.
Note In computing indefinite integral, no interest is shown on the interval [a, b]. It is to be understood
that f x dx F x c
( ) ( )
= +
∫ is valid in some suitable sub-interval.
Leibnitz used the symbol f x dx
( )
∫ to denote general primitive of f.
6.1.1 Properties of Indefinite Integral
From the definition of indefinite integral, we have the following properties
1.
d
dx
f x dx f x
( ) ( )
∫
⎡
⎣
⎤
⎦ =
2. d f x f x c
( ( )) ( )
= +
∫
3. d f x dx f x dx
( ) ( )
∫
( )=
4. [ ( ) ( )] ( ) ( )
f x g x dx f x dx g x dx
± = ±
∫ ∫
∫
5. kf x dx k f x dx
( ) ( ) ,
= ∫
∫ where k is a constant.
6
Integral Calculus
M06_ENGINEERING_MATHEMATICS-I _CH06_PART A.indd 1 5/19/2016 4:42:30 PM
6.2 ■ Engineering Mathematics
Table of Integrals
Now we list the standard indefinite integrals derived from the derivatives of standard functions
1. x dx
x
n
n
n
n
=
+
≠ −
+
∫
1
1
1
if 2.
dx
x
x c
e
= +
∫ log
3. e dx e c
x x
= +
∫ 4. sin cos
x dx x c
= − +
∫
5. cos sin
xdx x c
= +
∫ 6. tan log sec
xdx x c
e
= +
∫
7. sec log sec tan
log tan
x dx x x c
x
c
e
e
= + +
+
⎛
⎝
⎜
⎞
⎠
⎟ +
∫
or
p
4 2
8. cos log cos cot
log tan
ec ec
or
x dx x x c
x
c
e
e
= − + +
+
∫
2
9. cot log sin
xdx x c
= +
∫ 10. sec tan
2
xdx x c
= +
∫
11. cos cot
ec2
xdx x c
= − +
∫ 12. sec tan sec
x x dx x c
= +
∫
13. cos cot cos
ec ec
x x dx x c
= − +
∫ 14.
dx
a x a
x
a
c a
2 2
1
1
0
+
= + ≠
−
∫ tan ,
15.
dx
a x a
a x
a x
c
e
2 2
1
2
−
=
+
−
+
∫ log 16.
dx
x a a
x a
x a
c
e
2 2
1
2
−
=
−
+
+
∫ log
17.
dx
a x
x
a
c a x a a
2 2
1
0
−
= + −   
−
∫ sin , , .
18.
dx
x a
x x a c x a
e
2 2
2 2
0
−
= + − +  
∫ log ,
19.
dx
a x
x a x c
e
2 2
2 2
+
= + + +
∫ log 20.
dx
x x a a
x
a
c
2 2
1
1
−
= +
−
∫ sec
21. [ ( )] )
[ ( )]
f x f x dx
f x
n
c n
n
n
′( =
+
+ ≠ −
+
∫
1
1
1
if 22.
f x
f x
dx f x c
e
′( )
( )
log ( )
∫ = +
23. a x dx
x a x a x
a
c
2 2
2 2 2
1
2 2
− =
−
+ +
−
∫ sin
24. a x dx
x x a a
x x a c
e
2 2
2 2 2
2 2
2 2
+ =
+
+ + +
( ) +
∫ log
25. x a dx
x x a a
x x a c
e
2 2
2 2 2
2 2
2 2
− =
−
− + −
( ) +
∫ log
26. If f x dx F x c f ax b dx
a
F ax b c
( ) ( ) , ( ) ( )
= + + = + +
∫
∫ then
1
27. a dx
a
a
c a a
x
x
e
= +  ≠
∫ log
, ,
0 1
M06_ENGINEERING_MATHEMATICS-I _CH06_PART A.indd 2 5/19/2016 4:42:35 PM
Integral Calculus ■ 6.3
In the above formula the derivative of the R.H.S is the integrand.
In the evaluation of the integrals, three main techniques are used.
They are 1. Integration by substitution
2. Integration by partial fractions
3. Integration by parts
6.1.2 Integration by Parts
If u and v are differentiable function of x, then uv dx uv u v dx
= − ∫
∫ 1 1
′
where u
du
dx
v v dx
′ = = ∫
, 1
Integration by parts is used when the integrand is a product of two functions.
The success of this method depends upon the proper choice of u as that function which comes first
in the word ‘ILATE’, where
I – inverse circular function, L – logarithmic function
A – algebraic function, T – Trigonometric function
E – exponential function
6.1.3 Bernoulli’s Formula
If u and v are differentiable functions of x, then
uv dx uv u v u v u v
= − + − +
∫ 1 2 3 4
′ ″ ″′ …
where primes denote differentiation and suffixes denote integration.
That is u
du
dx
u
d u
dx
u
d u
dx
′ ″ ″′ …
= = =
, , ,
2
2
3
3
and v vdx v v dx v v dx v v dx
1 2 1 3 2 4 3
= = = =
∫ ∫ ∫ ∫
, , , , …
If u is a polynomial in x, then Bernoulli’s formula terminates.
6.1.4 Special Integrals
1. e f x f x dx e f x c
x x
[ ( ) ( )] ( )
+ = +
∫ ′
2. e bx dx
e
a b
a bx b bx
ax
ax
cos [ cos sin ]
=
+
+
∫ 2 2
3. e bx dx
e
a b
a bx b bx
ax
ax
sin [ sin cos ]
=
+
−
∫ 2 2
Solution.
To prove e bx dx
e
a b
a bx b bx
ax
ax
sin [ sin cos ]
=
+
−
∫ 2 2
Let I e bx dx
ax
= ∫ sin .
It is a product of two functions. So, we use integration by parts to evaluate the integral.
Taking u e u ae
ax ax
= =
, .
′
M06_ENGINEERING_MATHEMATICS-I _CH06_PART A.indd 3 5/19/2016 4:42:36 PM
6.4 ■ Engineering Mathematics
and v bx v vdx bx dx
bx
b
= = = = −
∫
∫
sin , sin
cos
1
[ I uv u v dx
e
bx
b
ae
bx
b
dx
e
ax ax
ax
= −
= −
⎡
⎣
⎢
⎤
⎦
⎥ − −
⎡
⎣
⎢
⎤
⎦
⎥
= −
∫
∫
1 1
′
cos cos
cos
s
cos
cos sin sin
bx
b
a
b
e bx dx
e bx
b
a
b
e bx
b
ae
bx
b
ax
ax ax
ax
+
= − + −
⎧
⎨
⎩
⎫
∫
∫ ⎬
⎬
⎭
dx [Again integrating by parts]
I
e bx
b
a
b
e bx
a
b
e bx dx
ax
ax ax
= − + − ∫
cos
sin sin
2
2
2
⇒ I
e
b
a bx b bx
a
b
I
ax
= − −
2
2
2
[ sin cos ]
⇒ 1
2
2 2
+
⎛
⎝
⎜
⎞
⎠
⎟ = −
a
b
I
e
b
a bx b bx
ax
[ sin cos ]
⇒
a b
b
I
e
b
a bx b bx
ax
2 2
2 2
+
⎛
⎝
⎜
⎞
⎠
⎟ = −
[ sin cos ] ⇒ I
e
a b
a bx b bx
ax
=
+
−
2 2
[ sin cos ]
[ e bx dx
e
a b
a bx b bx
ax
ax
sin [ sin cos ]
=
+
−
∫ 2 2
Similarly, (2) is
e bx dx
e
a b
a bx b bx
ax
ax
cos [ cos sin ]
=
+
+
∫ 2 2
Remember as below:
e bx dx
e
a b
a bx
d
dx
bx
e bx dx
e
a
ax
ax
ax
ax
sin sin (sin )
cos
=
+
−
⎡
⎣
⎢
⎤
⎦
⎥
=
∫ 2 2
2
2 2
+
−
⎡
⎣
⎢
⎤
⎦
⎥
∫ b
a bx
d
dx
bx
cos (cos )
WORKED EXAMPLES
EXAMPLE 1
Evaluate e x x dx
x
2
2 3
cos sin .
∫
Solution.
Let I e x x dx
x
= ∫
2
2 3
cos sin
We know sin cos [sin( ) sin( )]
A B A B A B
= + + −
1
2
M06_ENGINEERING_MATHEMATICS-I _CH06_PART A.indd 4 5/19/2016 4:42:39 PM
Integral Calculus ■ 6.5
[ sin cos [sin( ) sin( )]
3 2
1
2
3 2 3 2
x x x x x x
= + + − = +
1
2
5
[sin sin ]
x x
[
I e x x dx
x
= +
∫
2 1
2
5
(sin sin ) = +
= ⋅
+
− + ⋅
∫
∫
1
2
5
1
2
1
2 4 25
2 5 5 5
1
2
2 2
2
e x dx e x dx
e
x x
e
x x
x
sin sin
[ sin cos ]
2
2
2 2
4 1
2
58
2 5 5 5
10
2
x
x x
x x c
e
x x
e
x x
+
− +
= − + −
[ sin cos ]
[ sin cos ] [ sin cos ]
]+ c
EXAMPLE 2
Evaluate x x dx
2 1
tan .
2
∫
Solution.
Let I x x dx
= −
∫
2 1
tan
Take u x v x
= =
−
tan 1 2
and [ u
x
v x dx
x
′ =
+
= =
∫
1
1 3
2 1
2
3
and
Integrating by parts, we get
I uv u v dx
= − ∫
1 1
′ = ⋅ −
+
−
∫
tan
( )
1
3
2
3
3
1
1 3
x
x
x
x
dx
= −
+
= −
+ −
+
=
−
−
∫
∫
x
x
x
x
dx
x
x
x x x
x
dx
x
3
1
3
2
3
1
2
2
3
3
1
3 1
3
1
3
1
1
3
tan
tan
( )
tan−
−
− −
+
⎛
⎝
⎜
⎞
⎠
⎟
⎧
⎨
⎩
⎫
⎬
⎭
∫
1
2
1
3 1
x x
x
x
dx
⇒ I
x
x
x
x c
e
= − − +
⎡
⎣
⎢
⎤
⎦
⎥ +
−
3
1
2
2
3
1
3 2
1
2
1
tan log ( )
⇒ x x dx
x
x
x
x c
e
2 1
3
1
2
2
3 6
1
6
1
tan tan log ( )
− −
= − + + +
∫
EXAMPLE 3
Evaluate x x dx
n
log .
e
∫
Solution.
Let I x x dx
n
e
= ∫ log
Take u x v x
e
n
= =
log and [ u
x
v x dx
x
n
n
n
′ = = =
+
+
∫
1
1
1
1
and
Integrating by parts, we get
I uv u v dx
= − ∫
1 1
′ = ⋅
+
− ⋅
+
+ +
∫
loge
n n
x
x
n x
x
n
dx
1 1
1
1
1
M06_ENGINEERING_MATHEMATICS-I _CH06_PART A.indd 5 5/19/2016 4:42:42 PM
6.6 ■ Engineering Mathematics
=
+
−
+
=
+
−
+ +
+
=
+
+ +
+
∫
x x
n n
x dx
x x
n n
x
n
c
x
n
e n
n
e
n
n
1
1 1
1
1
1
1
1
1 1
log
log
( ) ( )
1
1 1
2
1
2
1 1 1
1 1
log
( ) ( )
[( )log ]
e
n n
e
x
n
x
n
c
x
n
n x c
+
−
+
+ =
+
+ − +
+ +
[ x x dx
x
n
n x c
n
n
log
( )
[( )log ]
=
+
+ − +
+
∫
1
2
1
1 1
EXAMPLE 4
Evaluate 3 2
x
x dx
sin .
∫
Solution.
Let I x dx
x
= ∫3 2
sin
Take u v x
x
= =
3 2
, sin [ u v
x
x
e
′ −
= =
3 3
2
2
1
log
cos
and
Integrating by parts, we get
I
x x
dx
x
x x
e
x
e
= −
⎛
⎝
⎜
⎞
⎠
⎟ − −
⎛
⎝
⎜
⎞
⎠
⎟
= − +
∫
3
2
2
3 3
2
2
3
2
2
1
2
cos
log
cos
cos log 3
3 3 2
3 2
2
1
2
3 3
2
2
3 3
2
2
x
x
e
x x
e
x dx
x x x
dx
cos
cos
log
sin
log
sin
∫
∫
= − + −
⎡
⎣
⎢
⎤
⎤
⎦
⎥
= − + − ( ) ∫
3 2
2
1
4
3 3 2
1
4
3 3 2
2
x
e
x
e
x
x
x x dx
cos
(log ) sin log sin
⇒ I
x
x I
x
e
x
e
= − + − ( )
3 2
2
1
4
3 3 2
1
4
3
2
cos
(log ) sin log
?
⇒ 1
1
4
3
3 2
2
1
4
3 3 2
2
+
⎛
⎝
⎜
⎞
⎠
⎟ = − +
(log )
cos
(log ) sin
e
x
e
x
I
x
x
?
⇒
4 3
4
3 2
2
1
4
3 3 2
2
+
⎛
⎝
⎜
⎞
⎠
⎟ = − +
(log ) cos
(log ) sin
e
x
e
x
I
x
x
?
[ I x x c
x
e
e
=
+
− + +
3
4 3
2 2 3 2
2
(log )
[ cos log sin ]
EXAMPLE 5
Evaluate x e dx
x
3 2
2
∫ .
Solution.
Let I x e dx
x
= −
∫
3 2
M06_ENGINEERING_MATHEMATICS-I _CH06_PART A.indd 6 5/19/2016 4:42:45 PM
Integral Calculus ■ 6.7
By Bernoulli’s formula,
I uv u v u v u v
= − + − +
1 2 3 4
′ ″ ″′ …
where u x v e x
= = −
3 2
and
[ u x u x u
′ ″ = ″′
= =
3 6 6
2
, , and v e dx
e
x
x
1
2
2
2
= =
−
−
−
∫
v
e
dx
e e
x x x
2
2 2 2
2
2
1
2 2 2
=
−
=
− −
=
−
− − −
∫ ( ) ( ) ( )
, v
e
dx
e e
x x x
3
2
2
2
2
2
3
2 2 2 2
=
−
=
− −
=
−
− − −
∫ ( ) ( ) ( ) ( )
v
e
dx
e e
x x x
4
2
3
2
3
2
4
2 2 2 2
=
−
=
− −
=
−
− − −
∫ ( ) ( ) ( ) ( )
[ I x
e
x
e
x
e e
c
x x x x
=
−
−
−
+
−
−
−
+
− − − −
3
2
2
2
2
2
3
2
4
2
3
2
6
2
6
2
( ) ( ) ( )
= − − − −
⎡
⎣
⎢
⎤
⎦
⎥ +
−
e
x x x
c
x
2
3 2
2
3
4
6
8
6
16
[ x e dx
e
x x x c
x
x
3 2
2
3 2
8
4 6 6 3
−
−
∫ = − + + + +
[ ]
EXAMPLE 6
Evaluate x x dx
2
2
sin .
∫
Solution.
Let I = x x dx
2
2
sin
∫
By Bernoulli’s formula,
I = uv1
− u′v2
+ u″v3
− u′″v4
+…
Where u = x2
and v = sin 2x
∴ u′ = 2x, u″ = 2, u′″ = 0 and v1
= sin
cos
2
2
2
x dx
x
= −
∫
V2
= −
cos sin
2
2
2
4
x
dx
x
= −
∫
V3
= − = −
⎛
⎝
⎜
⎞
⎠
⎟ =
∫
sin cos
cos
2
4
1
4
2
2
1
8
2
x x
x
∴ I x
x
x
x x
c
x x
x
=
⎛
⎝
⎜
⎞
⎠
⎟ −
⎛
⎝
⎜
⎞
⎠
⎟ + +
= − +
2
2 2
2
2
2
2
4
2
2
8
1
2
2
2
− −
cos sin cos
cos s
sin cos
2
1
4
2
x x c
+ +
=
1
4
2 2 1 2 2
2
x x x x c
sin ( )cos
+ −
⎡
⎣ ⎤
⎦ +
EXAMPLE 7
Evaluate e
x
x
dx
x 1
1 2
2
2
1
⎛
⎝
⎜
⎞
⎠
⎟
∫ .
Solution.
Let I e
x
x
dx e
x
x
dx
x x
=
−
+
⎛
⎝
⎜
⎞
⎠
⎟ =
−
+
∫ ∫
1
1
1
1
2
2 2
2 2
( )
( )
M06_ENGINEERING_MATHEMATICS-I _CH06_PART A.indd 7 5/19/2016 4:42:48 PM
6.8 ■ Engineering Mathematics
=
+ −
+
=
+
−
+
⎡
⎣
⎢
⎤
⎦
⎥
∫ ∫
e
x x
x
dx e
x
x
x
dx
x x
( )
( ) ( )
1 2
1
1
1
2
1
2
2 2 2 2 2
If f x
x
f x
x
x
( ) , ( )
( )
=
+
= −
+
1
1
2
1
2 2 2
then ′
[ I e f x f x dx
x
= +
∫ [ ( ) )]
′( = + =
+
+
e f x c
e
x
c
x
x
( )
1 2
EXAMPLE 8
Evaluate
e x x
x
dx
x
( )
( ) /
3
2 3 2
1
1
1 1
1
∫ .
Solution.
Let I e
x x
x
dx e
x x
x
dx e
x
x
x x x
=
+ +
+
=
+ +
+
=
+
∫ ∫
( )
( )
[ ( ) ]
( ) (
/ /
3
2 3 2
2
2 3 2 2
1
1
1 1
1 1
1
1
1
1 2 2 3 2
) ( )
/ /
+
+
⎡
⎣
⎢
⎤
⎦
⎥
∫ x
If f x
x
x
( )
( )
,
/
=
+
2 1 2
1
then f x
x x x x
x
′( )
( ) ( )
( )
/ /
/
=
+ ⋅ − ⋅ + ⋅
+
⎡
⎣ ⎤
⎦
−
2 1 2 2 1 2 1
2 1 2 2
1 1
1
2
1 2
1
=
+ − +
+
=
+ −
+
+
=
−
( ) ( )
( )
( )
( )
/ /
/
/
x x x
x
x
x
x
x
x
2 1 2 2 1 2 2
2
2 1 2
2
2 1 2
2
2
1 1
1
1
1
1
+
+ −
+
=
+
1
1
1
1
2
2 3 2 2 3 2
x
x x
( ) ( )
/ /
[ I e f x f x dx
x
= +
∫ [ ( ) ( )]
′ = + =
+
+
e f x c e
x
x
c
x x
( )
( ) /
1 2 1 2
EXAMPLE 9
Evaluate e
x x
x
dx
x
tan ( )
.
2
?
1 1
1
1 1
1
2
2
∫
Solution.
Let I e
x x
x
dx
x
=
+ +
+
−
∫
tan ( )
1 1
1
2
2
⋅
Put t x dt
dx
x
= ∴ =
+
−
tan 1
2
1
and x t
= tan
[ I e t t dt
t
= + +
∫ [ tan tan ]
1 2
= + = +
∫ ∫
e t t dt e t t dt
t t
[sec tan ] [tan sec ]
2 2
If f t t
( ) tan ,
= then f t t
′( ) sec
= 2
[ I e f t f t dt
t
= +
∫ [ ( ) ( )]
′ = + = + = +
−
e f t c e t c xe c
t t x
( ) tan tan 1
M06_ENGINEERING_MATHEMATICS-I _CH06_PART A.indd 8 5/19/2016 4:42:51 PM
Integral Calculus ■ 6.9
EXERCISE 6.1
Evaluate the following integrals:
1. x x dx
2
3
sin
∫ 2. x x dx
2 1
tan−
∫ 3. x x dx
2 1
sec−
∫
4. e x dx
x
2
4
cos
∫ 5. x x dx
e
log
∫ 6. x x dx
2
sin
∫
7. log x dx
( )
∫
2
8. x e dx
x
5 2
∫ 9. e x dx
x
3
5
sin
∫
10. x x dx
3
cos
∫ 11. e x x dx
x
2
3 5
sin cos
∫ 12. x e dx
x
2 5
−
∫
13. e
x
x
dx
x +
+
⎛
⎝
⎜
⎞
⎠
⎟
∫
1
2 2
( )
14. e
x x
x
dx
x
2
2
3 3
2
+ +
+
⎛
⎝
⎜
⎞
⎠
⎟
∫ ( )
15. e
x
x
dx
x 1
1
+
+
⎛
⎝
⎜
⎞
⎠
⎟
∫
sin
cos
16. e x x dx
x
4
6 2
cos cos
∫ 17. sin−
∫
1
x dx 18. a x dx
2 2
+
∫
19. x x dx
4
sin
∫ 20. x x dx
2
2
cos
∫
ANSWERS TO EXERCISE 6.1
1. − + + +
1
3
3
2
9
3
2
9
3
2
x x x x x c
cos sin cos 2.
x
x
x
x c
3
1
2
2
3
1
3 2
1
2
1
tan log( )
−
− − +
⎡
⎣
⎢
⎤
⎦
⎥ +
3.
x
x
x
x c
3
1
2
2
3
1
3
1
3
1 2
sec ( )
−
−
−
− +
⎡
⎣
⎢
⎤
⎦
⎥ + 4.
e
x x c
x
2
20
2 4 4 4
[ cos sin ]
+ +
5.
x
x
x
c
2 2
2 4
log − + 6. 2 2 2
x x x x c
sin cos ( )
+ − +
7. x x x x x c
(log ) log
2
2 2
− + + 8. e x x x x x
x
2 5 4 3 2
5
2
5
2
15
4
15
4
15
8
− + − + −
⎡
⎣
⎢
⎤
⎦
⎥
9.
e
x x c
x
3
34
3 5 5 5
[ sin cos ]
− + 10. x x x x x x x c
3 2
3 6
sin cos sin cos
+ − − +
11.
e
x x
e
x x c
x x
2 2
6
8 4 8
8
2 2
[sin cos ] [sin cos ]
− − − + 12. e
x x
c
x
−
− + −
⎡
⎣
⎢
⎤
⎦
⎥ +
5
2
5
2
25
2
125
13. e
x
x
c
x −
+
⎛
⎝
⎜
⎞
⎠
⎟ +
1
1
14. e
x
x
c
x +
+
⎛
⎝
⎜
⎞
⎠
⎟ +
1
2
15. e
x
c
x
⋅ +
tan
2
16.
e
x x
e
x x c
x x
4 4
40
8 2 8
16
4 4
[cos sin ] [cos sin ]
+ + + +
17. x x x c
sin−
+ − +
1 2
1 18.
x a x a
x a x c
e
2 2 2
2 2
2 2
+
+ + + +
log
19. x x x x x x c
2 4 2
4 6 12 24
( )sin ( )cos
− − − + + 20.
1
4
1 2 2 2 2
2
( )sin cos
+ +
⎡
⎣ ⎤
⎦ +
x x x x c
M06_ENGINEERING_MATHEMATICS-I _CH06_PART A.indd 9 5/19/2016 4:42:58 PM
6.10 ■ Engineering Mathematics
6.2 DEFINITE INTEGRAL (NEWTON–LEIBNITZ FORMULA)
Definition 6.2
If f(x) is a continuous function on [a, b] and F x f x
′( ) ( )
= on [a, b], then the definite integral
f x dx
a
b
( )
∫ is defined as F(b) 2 F(a).
[ f x dx F b F a
a
b
( ) ( ( )
= −
∫ )
Note
1. The difference F(b) − F(a) is written symbolically F x a
b
( )
[ ] .
Hence, the definite integral f x dx F x F b F a
a
b
a
b
( ) ( ) ( ) ( )
= [ ] = −
∫
2. Newton–Leibnitz formula gives a practical method of computing definite integrals when an
anti derivative of the integrand is known.
3. In a definite integral f x dx
a
b
( ) ,
∫ when substitution or transformation of variable is made, it should
be either an increasing function or a decreasing function in the given interval.
6.2.1 Properties of Definite Integral
If f(x) is a continuous and integrable function of x in [a, b], then the following properties are satisfied.
1. f x dx f x dx
a
b
b
a
( ) ( )
= −∫
∫
2. f x dx f x dx f x dx a c b
c
b
a
c
a
b
( ) ( ) ( ) ,
= +  
∫
∫
∫
3. f x dx f a b x dx
a
b
a
b
( ) ( )
= + −
∫
∫
4. f x dx f a x dx
a
a
( ) ( )
= −
∫
∫ 0
0
5. f x dx f x dx
a
a
a
( ) ( )
= ∫
∫
−
2
0
if f(x) is an even function of x (i.e., f(−x) = f(x) ∀ x ∈[−a, a])
and f x dx
a
a
( ) =
−
∫ 0 if f(x) is an odd function of x (i.e., f(−x) = −f(x) ∀ x ∈[−a, a])
6. f x dx f x dx
a
a
( ) ( )
= ∫
∫ 2
0
0
2
if f(2a − x) = f(x) and f x dx
a
( ) =
∫ 0
0
2
if f(2a − x) = −f(x)
7. If f x g x
( ) ( ),
≤ then f x dx g x dx
a
b
a
b
( ) ( )
≤ ∫
∫
M06_ENGINEERING_MATHEMATICS-I _CH06_PART A.indd 10 5/19/2016 4:43:01 PM
Integral Calculus ■ 6.11
Note f x dx f u du f t dt
a
b
a
b
a
b
( ) ( ) ( )
= = ∫
∫
∫
That is the value of a definite integral is unaffected by the change of dummi variable, if the limits and
function are the same.
Periodic Function
Definition 6.3
A real function f is said to be periodic if there exists a positive number T such that
f x T f x x R
( ) ( ) .
+ = ∀ ∈
The smallest such T is called the period of the function.
EXAMPLE
We know
cos( ) cos ,cos( ) cos ,
x x x x
+ = + =
2 4
p p cos( ) cos .
x x
+ =
6p and so on
The smallest one is 2p. So, 2p is the period of cos x.
8. If f(x) is periodic with period T, then
(i) f x dx n f x dx n Z
a
T
a
a nT
( ) ( ) ,
= ∈
∫
∫
+
(ii) f x dx n f x dx n Z
T
nT
( ) ( ) ,
= ∈
∫
∫ 0
0
(iii) f x dx f x dx n Z
a
b
a nT
b nT
( ) ( ) ,
= ∈
∫
∫
+
+
Now we shall prove these formulae.
1. f x dx f x dx
a
b
b
a
( ) ( )
52∫
∫
Proof
Let F x f x a b
′( ) ( ) [ , ]
= on
By Newton–Leibnitz formula,
f x dx F x F b F a
a
b
a
b
( ) ( ) ( ) ( )
= [ ] = −
∫
and f x dx F x F a F b F b F a
b
a
b
a
( ) ( ) ( ) ( ) ( ) ( )
=[ ] = − = − −
[ ]
∫
[ f x dx f x dx
a
b
b
a
( ) ( )
= − ∫
∫ ■
M06_ENGINEERING_MATHEMATICS-I _CH06_PART A.indd 11 5/19/2016 4:43:03 PM
6.12 ■ Engineering Mathematics
2. f x dx f x dx f x dx
c
c
b a
a
a
( ) ( ) ( )
5 1 ∫
∫
∫
Proof
We have
f x dx F b F a
f x dx F c F a
a
b
a
c
( ) ( ) ( )
( ) ( ) ( )
= −
= −
∫
∫
and f x dx F b F c
c
b
( ) ( ) ( )
= −
∫
∴ f x dx f x dx F c F a F b F c
c
b
a
c
( ) ( ) ( ) ( ) ( ) ( )
+ = − + −
∫
∫
= − = ∫
F b F a f x dx
a
b
( ) ( ) ( )
∴ f x dx f x dx f x dx
c
a
a
c
a
b
( ) ( ) ( )
= + ∫
∫
∫ ■
3. f x dx f a b x dx
a
b
a
b
( ) ( )
5 1 2
∫
∫
Proof
R.H.S = f a b x dx
a
b
( )
+ −
∫
Put t a b x dt dx dx dt
= + − ∴ = − ⇒ = −
When x = a, t = b and when x = b, t = a
∴ R.H.S = − = −∫
∫ f t dt f t dt
b
a
b
a
( )( ) ( )
= = =
∫ ∫
f t dt f x dx
a
b
a
b
( ) ( ) L.H.S
[by property 1]
∴ f x dx f a b x dx
a
b
a
b
( ) ( )
= + −
∫
∫ ■
4. f x dx f a x dx
a
a
( ) ( )
5 2
0
0
∫
∫
Proof
In 3, put a = 0, b = a, then a b x a x
+ − = −
∴ f x dx f a x dx
a
a
( ) ( ) .
= −
∫
∫ 0
0
■
M06_ENGINEERING_MATHEMATICS-I _CH06_PART A.indd 12 5/19/2016 4:43:07 PM
Integral Calculus ■ 6.13
5. f x dx f x dx
a
a
a
( ) ( )
5
2
2
0
∫
∫ if f(x) is an even function of x and
f x dx
a
a
( ) 5
2
0
∫ if f(x) is an odd function of x
Proof
f x dx f x dx f x dx
a
a
a
a
( ) ( ) ( )
= + ∫
∫
∫ −
− 0
0
(1) [by property 2]
Let I f x dx
a
=
−
∫ ( )
0
Put x t dx dt
= − ∴ = −
When x = −a, t = a and when x = 0, t = 0
∴ I f t dt
a
= − −
∫ ( )( )
−
0
= − − = − = −
∫ ∫ ∫
f t dt f t dt f x dx
a
a a
( ) ( ) ( )
0
0 0
[by note]
If f(x) is an even function of x, then f(−x) = f(x). ∴ f x dx f x dx
a
a
( ) ( )
= ∫
∫ 0
0
If f(x) is an odd function of x, then f(−x) = −f(x). ∴ f x dx f x dx
a
a
( ) ( )
= −∫
∫
− 0
0
Substituting in (1), we get
f x dx f x dx f x dx
a
a
a
a
( ) ( ) ( )
= + ∫
∫
∫
− 0
0
= ∫
2
0
f x dx
a
( ) if f (x) is an even function of x
and f x dx f x dx f x dx
a
a
a
a
( ) ( ) ( )
= − + ∫
∫
∫
− 0
0
= 0 if f (x) is an odd function of x. ■
6. f x dx f x dx f a x f x
a
a
( ) ( ) ( ) ( )
5 2 5
2 if 2
0
0
2
∫
∫ and
f x dx f a x f x
a
( ) ( ) ( )
5 2 52
0 2
0
2
if
∫
Proof
f x dx f x dx f x dx
a
a
a
a
( ) ( ) ( )
= + ∫
∫
∫
2
0
0
2
(1)
Let I f x dx
a
a
= ∫ ( )
2
M06_ENGINEERING_MATHEMATICS-I _CH06_PART A.indd 13 5/19/2016 4:43:10 PM
6.14 ■ Engineering Mathematics
Put 2a x t dx dt dx dt
− = ∴ − = ⇒ = −
When x = a, t = a and when x = 2a, t = 0
∴ I f a t dt
a
= − −
∫ ( )( )
2
0
= − − = − = −
∫ ∫ ∫
f a t dt f a t dt f a x dx
a
a a
( ) ( ) ( )
2 2 2
0
0 0
∴ I f x dx f a x dx
a
a
a
= = −
∫
∫ ( ) ( )
2
0
2
If f (2a−x) = f (x), then f x dx f x dx
a
a
a
( ) ( )
= ∫
∫ 0
2
.
If f (2a−x) = − f (x) , then f x dx f x dx
a
a
a
( ) ( )
= −∫
∫ 0
2
.
Substituting in (1), we get
f x dx f x dx f x dx f x dx f a x f x
f x
a
a
a a
( ) ( ) ( ) ( ) ( ) ( )
(
= + = − =
∫
∫
∫ ∫
0
0
0
2
0
2 2
if
)
) ( ) ( ) ( ) ( )
dx f x dx f x dx f a x f x
a
a
a
= − = − = −
∫
∫
∫ 0
0
0
2
0 2
if ■
8. ( ) ( ) ( )
i f x dx n f x dx
a
T
a
a nT
5
1
∫
∫
Proof
Given f(x) is periodic with period T.
[ f x T f x x R
( ) ( )
+ = ∀ ∈ and f x rT f x Z
( ) ( )
+ = ∀ ∈
r 1
( )
Now f x dx f x dx f x dx f x dx
a
a nT
a
a T
a rT
a r T
a
( ) ( ) ( ) ( )
( )
+ +
+
+ +
+
∫ ∫ ∫
= + + + + +
… …
1
T
T
a T
a n T
a nT
f x dx
+
+ −
+
∫ ∫
2
1
( )
( )
Consider, I f x dx
a rT
a r T
=
+
+ +
∫ ( )
( )
1
Put x y rT dx dy
= + ∴ =
When x a rT y rT a rT y a
= + + = + ⇒ =
,
When x a r T
= + +
( ) ,
1 y rT a r T y a rT T rT a T
+ = + + = + + = +
( )
1 ⇒ −
[ f x dx f y rT dy
a
a T
a rT
a r T
( ) ( )
( )
= +
+
+
+ +
∫
∫
1
= =
+ +
∫ ∫
f y dy f x dx
a
a T
a
a T
( ) ( ) [using (1)]
Putting r = 1, 2, 3, …, (n − 1) in I, we get
f x dx f x dx f x dx f x dx
a
a T
a T
a T
a
a T
a T
a T
( ) ( ) , ( ) ( ) , ,
= =
+
+
+ +
+
+
∫
∫ ∫
∫
2
2
3
…
M06_ENGINEERING_MATHEMATICS-I _CH06_PART A.indd 14 5/19/2016 4:43:14 PM
Integral Calculus ■ 6.15
[
f x dx f x dx
f x dx f x dx f
a
a T
a n T
a nT
a
a T
a
a nT
( ) ( )
( ) ( ) (
( )
=
= +
+
+ −
+
+
+
∫
∫
∫
∫
1
x
x dx f x dx f x dx
a
a T
a
a T
a
a T
) ( ) ( )
+ + +
∫ ∫ ∫
+ + +
…
⇒ f x dx n f x dx
a
a nT
a
a T
( ) ( )
1 1
5
∫ ∫ ■
8. ( ) ( ) ( )
ii
0
0
f x dx n f x dx
T
nT
5 ∫
∫
Putting a = 0 in 8(i), we get f x dx n f x dx
T
nT
( ) ( ) .
5
0
0
∫
∫ ■
8. ( ) ( ) ( ) , .
iii f x dx f x dx n z
a nT
b nT
a
b
1
1
5 e
∫ ∫
Put x = nT + y ∴ dx = dy
When x = a + nT, then a + nT = nT + y ⇒ y = a
When x = b + nT, then b + nT = nT + y ⇒ y = b
∴ f x dx f y nT dy f y dy
a nT
b nT
a
b
a
b
( ) ( ) ( )
= + =
+
+
∫ ∫
∫ since f is of period T.
∴ ∈
f x dx f x dx n z
a
b
a nT
b nT
( ) ( ) , .
= ∫
∫
+
+
WORKED EXAMPLES
EXAMPLE 1
Show that
sin
sin cos
n
n n
x
x x
dx
1
5
p
p
0
2
4
∫ .
Solution.
Let I
x
x x
dx
n
n n
=
+
∫
sin
sin cos
0
2
p
(1)
Also I
x
x x
dx
x
n
n n
n
=
−
⎛
⎝
⎜
⎞
⎠
⎟
−
⎛
⎝
⎜
⎞
⎠
⎟ + −
⎛
⎝
⎜
⎞
⎠
⎟
=
∫
sin
sin cos
cos
c
p
p p
p
2
2 2
0
2
o
os sin
n n
x x
dx
+
∫
0
2
p
(2)
M06_ENGINEERING_MATHEMATICS-I _CH06_PART A.indd 15 5/19/2016 4:43:15 PM
6.16 ■ Engineering Mathematics
(1) + (2) ⇒ 2
0
2
I
x x
x x
dx
n n
n n
=
+
+
∫
sin cos
sin cos
p
= = [ ] =
∫dx x 0
2
0
2
2
p
p
p
∴ I =
p
4
⇒
sin
sin cos
n
n n
x
x x
dx
+
=
∫
0
2
4
p
p
Note Since the right hand side is independent of n, this is true for all n.
Similarly,
cos
cos sin
n
n n
x
x x
dx
+
=
∫
0
2
4
p
p
for any n.
EXAMPLE 2
Prove that log tan log .
e e
x dx
1
8
2
0
4
1
p
p
( ) =
∫
Solution.
Let I x dx
e
= +
( )
∫log tan
1
0
4
p
(1)
Also I x dx
e
= + −
⎛
⎝
⎜
⎞
⎠
⎟
⎡
⎣
⎢
⎤
⎦
⎥
∫log tan
1
4
0
4
p
p
[by property 4]
Now tan
p
4
−
⎛
⎝
⎜
⎞
⎠
⎟
x =
−
+
=
−
+
tan tan
tan tan
tan
tan
p
p
4
1
4
1
1
x
x
x
x
∴ 1
4
1
1
1
+ −
⎛
⎝
⎜
⎞
⎠
⎟ = +
−
+
tan
tan
tan
p
x
x
x
=
+ + −
+
=
+
1 1
1
2
1
tan tan
tan tan
x x
x x
.
∴ I
x
dx
e
=
+
⎛
⎝
⎜
⎞
⎠
⎟
∫log
tan
2
1
0
4
p
(2)
(1) + (2) ⇒ 2 1
2
1
0
4
0
4
I x dx
x
dx
e e
= +
( ) +
+
⎛
⎝
⎜
⎞
⎠
⎟
∫
∫log tan log
tan
p
p
= +
( )+
+
⎛
⎝
⎜
⎞
⎠
⎟
⎡
⎣
⎢
⎤
⎦
⎥
∫ log tan log
tan
e e
x
x
dx
1
2
1
0
4
p
= +
( )
+
⎛
⎝
⎜
⎞
⎠
⎟
⎡
⎣
⎢
⎤
⎦
⎥
∫ log tan
tan
e x
x
dx
1
2
1
0
4
p
M06_ENGINEERING_MATHEMATICS-I _CH06_PART A.indd 16 5/19/2016 4:43:19 PM
Integral Calculus ■ 6.17
= = [ ] =
⎛
⎝
⎜
⎞
⎠
⎟
∫log log log
e e e
dx x
2 2 2
4
0
4
0
4
p
p
p
∴ I e
=
p
8
2
log
EXAMPLE 3
Prove that
x
x
dx
1
2 1
4
3
4
1
5 p 2
p
p
sin
.
⎡
⎣
⎤
⎦
∫
Solution.
Let I
x
x
dx
=
+
∫ 1
4
3
4
sin
p
p
(1)
First remove x by using property 4.
Here f x
x
x
a b
( )
sin
, ,
= = =
1 4
3
4
+
p p
∴ f a b x f x f x
( ) ( )
+ − = + −
⎛
⎝
⎜
⎞
⎠
⎟ = −
p p
p
4
3
4
∴ f x
x
x
x
x
( )
sin( ) sin
p
p
p
p
− =
−
+ −
=
−
+
1 1
Since f x dx f a b x dx
a
b
a
b
( ) ( )
= + −
∫
∫ , we have I
x
x
dx
=
−
+
∫
p
p
p
1
4
3
4
sin
2
( )
(1) + (2) ⇒ 2
1 1
4
3
4
4
3
4
I
x
x
dx
x
x
dx
=
+
+
−
+
∫ ∫
sin sin
p
p
p
p
p
=
+ −
+
=
+
∫ ∫
x x
x
dx
x
dx
p p
p
p
p
p
1 1
4
3
4
4
3
4
sin sin
=
+ −
⎛
⎝
⎜
⎞
⎠
⎟
∫
p
p
p
p
dx
x
1
2
4
3
4
cos
=
−
⎛
⎝
⎜
⎞
⎠
⎟
∫
p
p
p
p
dx
x
2
1
2 2
2
4
3
4
cos
M06_ENGINEERING_MATHEMATICS-I _CH06_PART A.indd 17 5/19/2016 4:43:22 PM
6.18 ■ Engineering Mathematics
= −
⎛
⎝
⎜
⎞
⎠
⎟
∫
p p
2 4 2
2
4
3
4
sec
x
dx
p
p
=
−
⎛
⎝
⎜
⎞
⎠
⎟
−
⎡
⎣
⎢
⎢
⎢
⎢
⎤
⎦
⎥
⎥
⎥
⎥
p
p
p
p
2
4 2
1
2
4
3
4
tan
x
= − −
⎛
⎝
⎜
⎞
⎠
⎟ − −
⎛
⎝
⎜
⎞
⎠
⎟
⎡
⎣
⎢
⎤
⎦
⎥
p
p p p p
tan tan
4
3
8 4 8
= − −
⎛
⎝
⎜
⎞
⎠
⎟ −
⎛
⎝
⎜
⎞
⎠
⎟
⎡
⎣
⎢
⎤
⎦
⎥
p
p p
tan tan
8 8
= − − −
⎡
⎣
⎢
⎤
⎦
⎥
p
p p
tan tan
8 8
⇒ 2 2
8
2 2 1
I = = −
( )
p
p
p
tan { tan tan
p
8
22
1
2
2 1
=
°
= −
⎡
⎣
⎢
⎤
⎦
⎥
∴ I = −
( )
p 2 1
EXAMPLE 4
Evaluate log sin
e xdx
0
2
p
∫ .
Solution.
Let I xdx
e
= ∫log sin
0
2
p
(1)
Also I x dx
e
= −
⎛
⎝
⎜
⎞
⎠
⎟
∫log sin
p
p
2
0
2
= ∫log cos
e xdx
0
2
p
(2) [by property 4]
(1) + (2) ⇒ 2
0
2
0
2
I xdx xdx
e e
= +
∫ ∫
log sin log cos
p p
= +
∫(log sin logcos )
e x x dx
0
2
p
= ∫log sin cos
e x x dx
0
2
p
M06_ENGINEERING_MATHEMATICS-I _CH06_PART A.indd 18 5/19/2016 4:43:25 PM
Integral Calculus ■ 6.19
=
⎛
⎝
⎜
⎞
⎠
⎟
∫log
sin
e
x
dx
2
2
0
2
p
[ sin sin cos ]
{ 2 2
x x x
=
= ∫(log sin log )
e e
x dx
2 2
0
2
−
p
= − ∫
∫(log sin ) log
e e
x dx dx
2 2
0
2
0
2
p
p
⇒ 2 2
1 0
2
I I x
e
= − [ ]
log
p
= − −
⎡
⎣
⎢
⎤
⎦
⎥ = −
I I
e e
1 1
2
2
0
2
2
log log
p p
.
where I x dx
e
1
0
2
2
= ∫log sin
p
Put t x
= 2 ∴ = ⇒ =
dt dx dx
dt
2
2
When x = 0, t = 0 and when x =
p
2
, t = p.
∴ I t
dt
e
1
0
2
= ∫log sin
p
= ∫
1
2 0
log sin
e t dt
p
= ⋅ ∫
1
2
2
0
2
log sin
e t dt
p
By property 6
{ f t t
t f t
p p
−
( ) = −
( )
= = ( )
⎡
⎣
⎢
⎢
⎢
⎤
⎦
⎥
⎥
⎥
logsin
logsin
= log sin
e t dt
0
2
p
∫ = =
∫log sin
e x dx I
0
2
p
∴ 2
2
2
I I e
= −
p
log ⇒ I e
= −
p
2
2
log .
EXAMPLE 5
Show that
log
( )
log
e
e
x
x
x
dx
1
1
5 p
1
1
2
2
0
⎛
⎝
⎜
⎞
⎠
⎟
∫
∞
.
Solution.
Let I
x
x
x
dx
e
=
+
⎛
⎝
⎜
⎞
⎠
⎟
+
∞
∫
log
( )
1
1 2
0
Put x = tanu ∴ dx d
= sec2
u u
When x = = ⇒ =
0 0 0
, tanu u and when x = ∞ = ∞⇒ =
, tanu u
p
2
.
M06_ENGINEERING_MATHEMATICS-I _CH06_PART A.indd 19 5/19/2016 4:43:30 PM
6.20 ■ Engineering Mathematics
∴ I d
e
=
+
⎛
⎝
⎜
⎞
⎠
⎟
+
( )
∫
log tan
tan
sec
tan
u
u
u
u
u
p 1
1
2
2
0
2
=
+
⎛
⎝
⎜
⎞
⎠
⎟
∫log
tan
tan
e d
1 2
0
2
u
u
u
p
=
⎛
⎝
⎜
⎞
⎠
⎟
∫log
sec
tan
e d
2
0
2
u
u
u
p
= ⋅
⎛
⎝
⎜
⎞
⎠
⎟
∫log
cos
cos
sin
e d
1
2
0
2
u
u
u
u
p
=
⎛
⎝
⎜
⎞
⎠
⎟
∫log
sin cos
e d
1
0
2
u u
u
p
=
⎛
⎝
⎜
⎞
⎠
⎟
∫log
sin cos
e d
2
2
0
2
u u
u
p
=
⎛
⎝
⎜
⎞
⎠
⎟
∫log
sin
e d
2
2
0
2
u
u
p
= − ∫
∫log log sin
e e
d d
2 2
0
2
0
2
u u u
p
p
= [ ] − ∫
log log sin
e e d
2 2
0
2
0
2
u u u
p
p
= − ∫
p
u u
p
2
2 2
0
2
log log sin
e e d = −
p
2
2 1
loge I
where I d
e
1
0
2
2
= ∫log sin
p
u u = =
∫ ∫
1
2 0 0
2
log sin log sin
e e
d d
p
p
u u u u = −
p
2
2
loge
[Refer example 4]
[ I e e
= − −
⎛
⎝
⎜
⎞
⎠
⎟
p p
2
2
2
2
log log
= +
p p
2
2
2
2
log log
e e = ploge 2 .
M06_ENGINEERING_MATHEMATICS-I _CH06_PART A.indd 20 5/19/2016 4:43:34 PM
Integral Calculus ■ 6.21
EXAMPLE 6
Prove that
x x x
x
dx
sin sin cos
2
2
2
8
0
2
p
2 p
5
p
p
⎛
⎝
⎜
⎞
⎠
⎟
∫ .
Solution.
Let I
x x x
x
dx
=
⎛
⎝
⎜
⎞
⎠
⎟
−
∫
sin sin cos
2
2
2
0
p
p
p
Put 2 2 2 2
x t dx dt dx dt
− = ∴ = ⇒ =
p
When x t t
= = − ⇒ = −
0 2
2
, p
p
and When x t t
= = − ⇒ =
p p p
p
, 2 2
2
[ I
t t t
t
dt
=
+
⎛
⎝
⎜
⎞
⎠
⎟ + +
⎛
⎝
⎜
⎞
⎠
⎟
⎛
⎝
⎜
⎞
⎠
⎟
−
∫
p
p
p p
p
p
2
2
2 2
2
2
2
sin( )sin cos
=
+
⎛
⎝
⎜
⎞
⎠
⎟ − ⋅ −
⎛
⎝
⎜
⎞
⎠
⎟
−
∫
p p
p
p
2
2
2
2
2
2 t t t
t
dt
( sin ) sin sin
=
⋅
⎛
⎝
⎜
⎞
⎠
⎟
+
⎛
⎝
− −
∫ ∫
p
p
p
p
p
p
p
4
2
2 1
2
2
2
2
2
2
2
sin sin sin
sin sin sin
t t
t
dt t t
⎜
⎜
⎞
⎠
⎟ dt
⇒ I I I
= +
p
4
1
2
1 2
where I
t t
t
dt
1
2
2 2
2
=
⋅
⎛
⎝
⎜
⎞
⎠
⎟
−
∫
sin sin sin
p
p
p
and I t t dt
2
2
2
2
2
=
⎛
⎝
⎜
⎞
⎠
⎟
−
∫ sin sin sin
p
p
?
p
Let f t
t t
t
( )
sin sin sin
=
⎛
⎝
⎜
⎞
⎠
⎟
2
2
p
[ f t
t t
t
( )
sin( )sin sin( )
− =
− −
⎛
⎝
⎜
⎞
⎠
⎟
−
2
2
p
= −
⎛
⎝
⎜
⎞
⎠
⎟
sin sin sin
2
2
t t
t
p
= − f t
( ) [ sin( ) sin ]
{ − = −
t t
M06_ENGINEERING_MATHEMATICS-I _CH06_PART A.indd 21 5/19/2016 4:43:37 PM
6.22 ■ Engineering Mathematics
∴ f t
( ) is an odd function of t. [ I f t dt
1
2
2
0
= =
−
∫ ( )
p
p
[by property 5]
Now, let g t t t
( ) sin sin sin
=
⎛
⎝
⎜
⎞
⎠
⎟
2
2
p
[ g t t t
( ) sin( )sin sin( )
− = − −
⎛
⎝
⎜
⎞
⎠
⎟
2
2
p
=
⎛
⎝
⎜
⎞
⎠
⎟ =
sin sin sin ( )
2
2
t t g t
p
∴ g t
( ) is an even function of t.
[ I g t dt g t dt
2
0
2
2
2
2
= = ∫
∫
−
( ) ( )
p
p
p
=
⎛
⎝
⎜
⎞
⎠
⎟
∫
2 2
2
0
2
sin sin sin
t t dt
p
p
[by property 5]
=
⎛
⎝
⎜
⎞
⎠
⎟
∫
4
2
0
2
sin cos sin sin
t t t dt
p
p
Put u t t
u
= ⇒ =
p
p
2
2
sin sin ∴ =
costdt du
2
p
.
When t u
= = =
0
2
0 0
, sin
p
and when t u
= = =
p p p p
2 2 2 2
, sin
[ I
u
u du
2
0
2
4
2 2
= ⋅ ⋅
∫ p p
p
sin = ∫
16
2
0
2
p
p
u u du
sin .
Integrating by parts, we get
I u u u du
2 2 0
2
0
2
16
1
= −
[ ] − ⋅ −
⎧
⎨
⎪
⎩
⎪
⎫
⎬
⎪
⎭
⎪
∫
p
p
p
( cos ) ( cos )
=
⎧
⎨
⎪
⎩
⎪
⎫
⎬
⎪
⎭
⎪
∫
16
0
2
0
2
p
p
[ ] cos
+ udu
= [ ] = −
⎡
⎣
⎢
⎤
⎦
⎥
16 16
2
0
2 0
2
2
p p
p
p
sin sin sin
u = − =
16
1 0
16
2 2
p p
( )
[ I I I
= +
p
4
1
2
1 2 = × + ×
p
p
4
0
1
2
16
2
=
8
2
p
M06_ENGINEERING_MATHEMATICS-I _CH06_PART A.indd 22 5/19/2016 4:43:42 PM
Integral Calculus ■ 6.23
EXAMPLE 7
Prove that cot ( ) log .
2
2 1 5
p
2
1 2
0
1
1
2
2
x x dx e
∫
Solution.
Let I x x dx
= − +
−
∫cot ( )
1 2
0
1
1 =
− +
⎛
⎝
⎜
⎞
⎠
⎟
−
∫tan 1
2
0
1
1
1 x x
dx
=
+ −
− −
⎛
⎝
⎜
⎞
⎠
⎟
−
∫tan
( )
( )
1
0
1
1
1 1
x x
x x
dx
= + −
− −
∫[tan tan ( )]
1 1
0
1
1
x x dx
= + −
− −
∫
∫tan tan ( )
1 1
0
1
0
1
1
x dx x dx
= +
− −
∫
∫tan tan
1 1
0
1
0
1
x dx x dx [by property 4]
= −
∫
2 1
0
1
tan x dx
= ⋅
⎡
⎣ ⎤
⎦ −
+
⋅
⎧
⎨
⎪
⎩
⎪
⎫
⎬
⎪
⎭
⎪
−
∫
2
1
1
1
0
1
2
0
1
tan x x
x
x dx
= − − +
⎡
⎣ ⎤
⎦
⎧
⎨
⎩
⎫
⎬
⎭
−
2 1 0
1
2
1
1 2
0
1
[tan ] log ( )
e x
= − −
⎧
⎨
⎩
⎫
⎬
⎭
= −
2
4
1
2
2 1
2
2
p p
[log log ] log
e e e
EXAMPLE 8
Prove that tan ( ) log .
−
−
1 2
0
1
1 2
x x dx e
+
∫ 5
Solution.
We know that tan cot tan cot
− − −
⇒ −
1 1 1 1
2 2
u u
p
u
p
u
+ = =
−
∴ − − −
∴ −
− −
−
tan ( ) cot (
tan ( )
1 2 1 2
1 2
0
1
1
2
1
1
x x x x
x x dx
+ = +
+ =
∫
p
)
p
p
p
p
2
1
2
1
2
1 2
0
1
0
1
1 2
0
1
− −
− +
−
cot ( )
cot ( )
−
+
⎡
⎣
⎢
⎤
⎦
⎥
= −
=
∫
∫ ∫
x x dx
dx x x dx
[
[ ] log log log
x e e e
0
1
2
2
2 2
2 2
− − −
p p p
⎛
⎝
⎜
⎞
⎠
⎟ = + = [using worked example 7]
M06_ENGINEERING_MATHEMATICS-I _CH06_PART A.indd 23 5/19/2016 4:43:45 PM
6.24 ■ Engineering Mathematics
EXAMPLE 9
Prove that
x dx
a x b x ab
2 2 2 2
2
0
2
cos sin
.
1
5
p
p
∫
Solution.
Let I
x dx
a x b x
=
+
∫ 2 2 2 2
0 cos sin
p
( )
1
Also I
x dx
a x b x
=
−
− + −
∫
( )
cos ( ) sin ( )
p
p p
2 2 2 2
0
p
[by property 4]
⇒ I
x
a x b x
dx
=
−
( )
+
∫
p
2 2 2 2
0 cos sin
p
( )
2
(1) + (2) ⇒ 2 2 2 2 2
0
I
x x
a x b x
dx
=
+ −
+
∫
p
cos sin
p
=
+
∫
p
1
2 2 2 2
0 a x b x
dx
cos sin
p
Let f x
a x b x
( ) =
+
1
2 2 2 2
cos sin
[ f a x f x
( ) ( )
2 − = −
p =
− + −
1
2 2 2 2
a x b x
cos ( ) sin ( )
p p
=
+
=
1
2 2 2 2
a x b x
f x
cos sin
( )
[ 2 2 2 2 2 2
0
2
I
dx
a x b x
=
+
∫
p
p
cos sin
[by property 6]
⇒ I
dx
x a b x
=
+
∫
p
p
cos [ tan ]
2 2 2 2
0
2
=
+
∫
p
p
sec
[ tan ]
2
2 2 2
0
2
dx
a b x
Put t x dt x dx
= ∴ =
tan sec2
.
When x t
= = =
0 0 0
, tan and when x t
= = = ∞
p p
2 2
, tan
[ I
dt
a b t
=
+
∞
∫
p 2 2 2
0
=
+
∞
∫
p
b
dt
a
b
t
2 2
2
2
0
=
⎡
⎣
⎢
⎢
⎢
⎤
⎦
⎥
⎥
⎥
−
∞
p
b a
b
t
a
b
2
1
0
1
tan = ∞ − = −
⎡
⎣
⎢
⎤
⎦
⎥ =
− −
p p p p
ab ab ab
[tan tan ]
1 1
2
0
2
0
2
.
Note In the interval ( , )
0 p we cannot put t x
= tan as it is not increasing there and discontinuous at
x =
p
2
. So, we reduced the interval ( , )
0 p to 0
2
,
p
⎛
⎝
⎜
⎞
⎠
⎟ by property 6, so that in 0
2
,
p
⎛
⎝
⎜
⎞
⎠
⎟, tan x is strictly
increasing.
M06_ENGINEERING_MATHEMATICS-I _CH06_PART A.indd 24 5/19/2016 4:43:50 PM
Integral Calculus ■ 6.25
Integrals of Periodic Functions
EXAMPLE 10
Evaluate 1 2
0
4
2
p
cos x dx
∫ .
Solution.
Let I x dx
= −
∫ 1 2
0
4
cos
p
= ∫ 2 2
0
4
sin x dx
p
= ∫
2
0
4
sin x dx
p
[ ]
{ x x x x x x x
2
0 0
= = ≥ = − 
if and if
But sin x is periodic with period p. That is, T = p in property 8(1).
∴ we have sin x dx
0
4
4
p
∫ = sin x dx
0
p
∫
But sin ( , ) sin sin
x x x x
≥ ∈ =
0 0
if p ∴
[ 4 4
0 0
sin sin
x dx x dx
p p
∫ ∫
= = −
[ ] = − − = − − − =
4 4 0 4 1 1 8
0
cos [cos cos ] [ ]
x
p
p
∴ I = × =
2 8 8 2
EXAMPLE 11
Evaluate sin cos
x x dx
1
p
0
∫ .
Solution.
Let I x x dx
= +
∫ sin cos
0
p
Now sin cos
x x
+ = +
⎡
⎣
⎢
⎤
⎦
⎥
2
1
2
1
2
sin cos
x x
= ⋅ + ⋅
⎡
⎣
⎢
⎤
⎦
⎥ = −
⎛
⎝
⎜
⎞
⎠
⎟
2
4 4
2
4
sin sin cos cos cos
p p p
x x x
But sin cos
x x
+ = −
⎛
⎝
⎜
⎞
⎠
⎟
2
4
cos x
p
is of period p.
[ I x dx
= −
⎛
⎝
⎜
⎞
⎠
⎟
∫
2
4
0
cos
p
p
Put t x
= −
p
4
. [ dt = dx
M06_ENGINEERING_MATHEMATICS-I _CH06_PART A.indd 25 5/19/2016 4:43:55 PM
6.26 ■ Engineering Mathematics
When x t x t
= = − = = − =
0
4 4
3
4
, ,
p
p p
p p
and when .
[ I t dt
=
−
∫
2
4
3
4
cos
p
p
But cost ≥ 0 in −
⎛
⎝
⎜
⎞
⎠
⎟
p p
4 2
, and cost  0 in
p p
2
3
4
,
⎛
⎝
⎜
⎞
⎠
⎟
∴ cos cos ,
t t
= −
⎛
⎝
⎜
⎞
⎠
⎟
in
p p
4 2
, and cos cos ,
t t
= −
⎛
⎝
⎜
⎞
⎠
⎟
in
p p
2
3
4
[ I t dt t dt
= + −
⎧
⎨
⎪
⎩
⎪
⎫
⎬
⎪
⎭
⎪
∫
∫
−
2
2
3
4
4
2
cos cos
p
p
p
p
= [ ] −[ ]
⎧
⎨
⎩
⎫
⎬
⎭
−
2
4
2
2
3
4
sin sin
t t
p
p
p
p
= − −
⎛
⎝
⎜
⎞
⎠
⎟
⎡
⎣
⎢
⎤
⎦
⎥ − −
⎡
⎣
⎢
⎤
⎦
⎥
⎧
⎨
⎩
⎫
⎬
⎭
2
2 4
3
4 2
sin sin sin sin
p p p p
= + − +
⎡
⎣
⎢
⎤
⎦
⎥ =
2 1
1
2
1
2
1 2 2.
EXAMPLE 12
Prove that sin cos
x dx n v v n Z
n v
5 1 2 p
p 1
2 1 0
0
if and
≤  ∈
∫ .
Solution.
Let I x dx
n v
=
+
∫ sin
0
p
= + = +
∫ ∫
+
sin sin
x dx x dx I I
n
n
n v
0
1 2
p
p
p
where I x dx
n
1
0
= ∫ sin
p
. But sin x is periodic with period p.
[ I n x dx
1
0
= ∫ sin
p
[by property 8(i)]
= ∫
n x dx
sin
0
p
[since in
sin , ]
x  ( )
0 0 p
= −
[ ] = − − = − − − =
n x n n n
cos [cos cos ] [ ]
0
0 1 1 2
p
p
and I x dx
n
n v
2 =
+
∫ sin
p
p
Put x n y
= +
p [ dx = dy. When x = np, y x n v y v
= = + =
0 and when p , .
M06_ENGINEERING_MATHEMATICS-I _CH06_PART A.indd 26 6/3/2016 8:16:38 PM
Integral Calculus ■ 6.27
[ I n y dy
v
2
0
= +
∫ sin( )
p = =
∫ ∫
sin sin
y dy y dy
v v
0 0
[ , sin ]
{ 0 0
≤ ≤ 
y v y
p 
= −
[ ] = − − = −
cos [cos cos ] cos
y v v
v
0
0 1 .
[ I I I n v
= + = + −
1 2 2 1 cos .
EXERCISE 6.2
Evaluate the following integrals:
1.
dx
x
1
4
3
4
+
∫ cos
p
p
2.
x x
x x
dx n
n
n n
sin
sin cos
,
2
2 2
0
2
0
+

∫
p
3.
log x
x
dx
1 2
0
1
−
∫
4.
cos−
∫
1
0
1
x
x
dx 5.
tan−
∞
+
( )
∫
1
2
0 1
x
x x
dx 6.
x dx
x
1 2
0 +
∫ sin
p
7.
x x
x x
dx
tan
sec tan
+
∞
∫
0
8.
dx
x
dx
1
0
2
+
∫ tan
p
9.
dx
x a x
a
+ +
∫ 2 2
0
10. u u u
p
sin3
0
∫ d 11. cos sin
x x dx
−
∫
0
2
p
12. 1 2
0
100
−
∫ cos x dx
p
13.
x x
x
dx
sin
cos
1 2
0 +
∫
p
14.
x dx
x x
sin cos
+
∫
0
2
p
15. Prove that f x dx f x f x dx
a
a a
( ) [ ( ) ( )] .
−
∫ ∫
= + −
0
Hence, evaluate u u u u
sin cos .
d
−
∫p
p
2
2
ANSWERS TO EXERCISE 6.2
1. 2 2. p2
3. −
p
2
2
log 4.
p
2
2
log 5.
p
2
2
log 6.
p2
2 2
7. p
p
2
1
−
⎛
⎝
⎜
⎞
⎠
⎟ 8.
p
4
9.
p
4
10.
2
3
p
11. 2 2 1
− 12. 200 2
13.
p2
4
14.
p
2 2
2 1
⋅ +
( )
loge 15.
p
4
M06_ENGINEERING_MATHEMATICS-I _CH06_PART A.indd 27 5/20/2016 10:09:10 AM
6.28 ■ Engineering Mathematics
6.3 DEFINITE INTEGRAL f x
a
b
( )dx
∫ AS LIMIT OF A SUM
Let f be a bounded function defined on the finite interval [ , ]
a b .
Divide [ , ]
a b into n sub-intervals by the points x x xn
1 2 1
, , , ,
… − not necessarily equidistant.
Take x a x b
n
0 = =
and .
Now [ , , , , ]
x x x xn
0 1 2
… form a partition P a b
of [ , ] and we have n sub-intervals.
I x x r n
r r r
= =
−
[ , ], , , , ,
1 1 2 3 … , Let dr r r
x x
= − −1 be the length of Ir.
Let cr be any point in Ir. Then form the sum f cr r
r
n
( )
=
∑ d
1
.
This sum is called the Riemann sum of f x a b
( ) ,
on[ ] for the partition P.
The length of the largest sub-interval is denoted by d and is called the norm of the partition.
The function f x
( ) is Reimann integrable if lim ( )
n
r r
r
n
f c
→∞
→ =
∑
d
d
0 1
exists and is independent of the choice
of the interval and the point cr.
This limit is called the definite integral of f x a b
( ) [ , ]
over .
We write f x dx f c
a
b
n
r r
r
n
( ) lim ( )
=
∫ ∑
→∞
→ =
d
d
0 1
In practical applications, for convenience, we take the length of the sub-interval equal to h
b a
n
=
−
,
where n is the number of sub-intervals.
Then x a h x a h x a rh b x a nh
r n
1 2 2
= + = + = + = = +
, , , , ,
… …
and cr is taken as an end point of Ir.
Then f x dx h f a rh
a
b
h
n r
n
( ) lim ( )
= +
∫ ∑
→
→∞ =
−
0
0
1
( )
1
Or
f x dx h f a rh
a
b
n
h r
n
( ) lim ( )
= +
∫ ∑
→∞
→ =
0 1
( )
2
If a b h
n
= = =
0 1
1
, , then [ lim ( )
n
r
n
n
f
r
n
f x dx
→∞
=
−
⎛
⎝
⎜
⎞
⎠
⎟ = ∫
∑
1
0
1
0
1
This formula enables us to evaluate the limit of a certain sums interms of the integrals.
6.3.1 Working Rule
1. First rewrite the given limit of a sum in the form lim
n
r
n
n
f
r
n
→∞
=
⎛
⎝
⎜
⎞
⎠
⎟
∑
1
1
M06_ENGINEERING_MATHEMATICS-I _CH06_PART A.indd 28 5/20/2016 10:09:16 AM
Integral Calculus ■ 6.29
2. Treat
r
n
as x and
1
n
as dx, then f
r
n
f x
⎛
⎝
⎜
⎞
⎠
⎟ as ( )
3. Then the summation become integral as n → ∞
4. Limits are obtained from x
r
n
= . When r x
n
n
= = → → ∞
1
1
0
, as and when r n x
n
n
= = =
, 1
5. Then the given limit is f x dx
( )
0
1
∫ and 6. Evaluate f x dx
( )
0
1
∫ by using methods of integration.
Note Suppose the limit is lim
n
r
n
n
f
r
n
→∞
=
⎛
⎝
⎜
⎞
⎠
⎟
∑
1
1
4
, then the limits of integration are 1, 4 because if
r x
n
n r n x
n
n
= = → → ∞ = = =
1
1
0 4
4
4
, ,
as and and the integral is f x dx
( )
0
4
∫ .
WORKED EXAMPLES
EXAMPLE 1
Show that lim
n
r
n
n r
→∞
∑
1
4 2 2
1 2
5
5
p
6
.
Solution.
The given limit is lim
n
r
n
n r
→∞
= −
∑
1
4 2 2
1
Rewrite in the form f
r
n
⎛
⎝
⎜
⎞
⎠
⎟ . So, take out n2
as common.
[ lim
n
r
n
n r
→∞
= −
∑
1
4 2 2
1
=
−
→∞
=
∑
lim
n
r
n
n
r
n
1
4
2
2
1
=
−
⎛
⎝
⎜
⎞
⎠
⎟
→∞
=
∑
lim
n
r
n
n
n
r
n
1 1
4
2
1
Treat
r
n
as x and
1
n
as dx. When r x
n
n
= = → → ∞
1
1
0
, as and when r n x
n
n
= = =
, 1
[ lim
n
r
n
n r
→∞
= −
∑
1
4 2 2
1
=
−
∫
dx
x
4 2
0
1
=
⎡
⎣
⎢
⎤
⎦
⎥ = − =
− − −
sin sin sin
1
0
1
1 1
2
1
2
0
6
x p
.
EXAMPLE 2
Find the value of lim
n→ + + +
⎡
⎣
⎢
⎤
⎦
⎥
∞
…
1
1
4
8
9
27 2
3 3 3
2
3
n n n
n
n
1 1 1 1 .
M06_ENGINEERING_MATHEMATICS-I _CH06_PART A.indd 29 5/20/2016 10:09:20 AM
6.30 ■ Engineering Mathematics
Solution.
The given limit is lim
n
r
n
r
n r
→∞
= +
∑
2
3 3
1
Rewrite in the form f
r
n
⎛
⎝
⎜
⎞
⎠
⎟ . So, take out n3
as common.
[ lim lim lim
n
r
n
n
r
n
n
r
n r
r
n
r
n
n
r
n
→∞
=
→∞
=
→∞
+
=
+
⎛
⎝
⎜
⎞
⎠
⎟
=
⎛
∑ ∑
2
3 3
1
2
3
3
3
1
1
1 ⎝
⎝
⎜
⎞
⎠
⎟
+
⎛
⎝
⎜
⎞
⎠
⎟
⎛
⎝
⎜
⎞
⎠
⎟
=
∑
2
3
1
1
r
n
r
n
Treat
r
n
x
= and
1
n
as dx.
When r = 1, x
n
= →
1
0 as n → ∞ and when r n
= , x
n
n
= = 1
[ lim
log ( )
n
r
n
e
r
n r
x
x
dx
x
x
dx
x
→∞
= +
=
+
=
+
= +
∑ ∫ ∫
2
3 3
1
2
3
0
1 2
3
0
1
3
1
1
3
3
1
1
3
1
⎡
⎡
⎣ ⎤
⎦
′
=
⎡
⎣
⎢
⎤
⎦
⎥
= + − +
[ ]=
0
1
1
3
1 1 1 0
{
f x
f x
dx f x
e
e
( )
( )
log ( )
log ( ) log( )
1
1
3
2
loge
[ lim log
x
e
n n n
n
n
→∞ +
+
+
+
+
+ +
⎡
⎣
⎢
⎤
⎦
⎥ =
1
1
4
8
9
27 2
1
3
2
3 3 3
2
3
…
EXAMPLE 3
Show that lim .
/
n
n
n n
n
n e
→∞
+
⎛
⎝
⎜
⎞
⎠
⎟ +
⎛
⎝
⎜
⎞
⎠
⎟ +
⎛
⎝
⎜
⎞
⎠
⎟
⎡
⎣
⎢
⎤
⎦
⎥
1
1
1
2
1
4
1
… 5
Solution.
Let A
n n
n
n
n
n
= +
⎛
⎝
⎜
⎞
⎠
⎟ +
⎛
⎝
⎜
⎞
⎠
⎟ +
⎛
⎝
⎜
⎞
⎠
⎟
⎡
⎣
⎢
⎤
⎦
⎥
→∞
lim
/
1
1
1
2
1
1
…
To convert the product into sum, take logarithm on both sides
log lim log
l
/
e
n
e
n
A
n n
n
n
= +
⎛
⎝
⎜
⎞
⎠
⎟ +
⎛
⎝
⎜
⎞
⎠
⎟ +
⎛
⎝
⎜
⎞
⎠
⎟
⎡
⎣
⎢
⎤
⎦
⎥
=
→∞
1
1
1
2
1
1
…
i
im log
n
e
n n n
n
n
→∞
+
⎛
⎝
⎜
⎞
⎠
⎟ +
⎛
⎝
⎜
⎞
⎠
⎟ +
⎛
⎝
⎜
⎞
⎠
⎟
⎡
⎣
⎢
⎤
⎦
⎥
1
1
1
1
2
1
…
[{ loge
is a continuous function]
M06_ENGINEERING_MATHEMATICS-I _CH06_PART A.indd 30 5/20/2016 10:09:23 AM
Integral Calculus ■ 6.31
lim
n n
→∞
=
1
l
log log log
lim
e e e
n
n n
n
n
1
1
1
2
1
+
⎛
⎝
⎜
⎞
⎠
⎟ + +
⎛
⎝
⎜
⎞
⎠
⎟ + + +
⎛
⎝
⎜
⎞
⎠
⎟
⎡
⎣
⎢
⎤
⎦
⎥
=
…
→
→∞
=
+
⎛
⎝
⎜
⎞
⎠
⎟
∑
1
1
1
n
r
n
e
r
n
log
Treat
r
n
x
= and
1
n
as dx.
When r = 1, x
n
= →
1
0 as n → ∞ and when r n
= , x
n
n
= = 1
[ log log ( )
e e
A x dx
= +
∫ 1
0
1
Integrating by parts, we get
log log ( )
log ( ) log
e e
e e
A x x
x
xdx
x
x
= +
[ ] −
+
= + −
[ ]−
+
∫
1
1
1
1 1 1
1
0
1
0
1
0
1
? ?
∫
∫
∫
∫
= −
+ −
+
= − −
+
⎛
⎝
⎜
⎞
⎠
⎟
= − +
dx
x
x
dx
x
dx
dx
e
e
e
log
log
log
2
1 1
1
2 1
1
1
2
0
1
0
1
0
0
1
0
1
0
1
0
1
1
1
2 1
2 1 0 2
∫ ∫ +
= −[ ] + +
[ ]
= − −
( )+ −
x
dx
x x
e e
e e
log log ( )
log log l
log log
e e
1 2 2 1
= −
⇒ log log log log log log
e e e e e e
A e e
e
A
e
= − = − = =
2 4
4 4
2
⇒
[ lim
/
n
n
n n
n
n e
→∞
+
⎛
⎝
⎜
⎞
⎠
⎟ +
⎛
⎝
⎜
⎞
⎠
⎟ +
⎛
⎝
⎜
⎞
⎠
⎟
⎡
⎣
⎢
⎤
⎦
⎥ =
1
1
1
2
1
4
1
…
EXAMPLE 4
Show that lim
n
n
n n n
n
n
→∞
+
⎛
⎝
⎜
⎞
⎠
⎟ +
⎛
⎝
⎜
⎞
⎠
⎟ +
⎛
⎝
⎜
⎞
⎠
⎟ +
⎛
⎝
⎜
⎞
⎠
⎟
⎡
1
1
1
2
1
3
1
2
2
2
2 2
2
2 2
2
…
⎣
⎣
⎢
⎢
⎤
⎦
⎥
⎥
2 2
4
/
.
n
e
5
Solution.
Let A
n n n
n
n
n
= +
⎛
⎝
⎜
⎞
⎠
⎟ +
⎛
⎝
⎜
⎞
⎠
⎟ +
⎛
⎝
⎜
⎞
⎠
⎟ +
⎛
⎝
⎜
⎞
⎠
⎟
→∞
lim 1
1
1
2
1
3
1
2
2
2
2 2
2
2 2
2
…
n
n n
⎡
⎣
⎢
⎢
⎤
⎦
⎥
⎥
2 2
/
M06_ENGINEERING_MATHEMATICS-I _CH06_PART A.indd 31 5/20/2016 10:09:26 AM
6.32 ■ Engineering Mathematics
To convert the product into sum, take logarithm on both sides
[ log limlog
e
n
e
n
A
n n
n
n
= +
⎛
⎝
⎜
⎞
⎠
⎟ +
⎛
⎝
⎜
⎞
⎠
⎟ +
⎛
⎝
⎜
⎞
⎠
⎟
⎡
⎣
⎢
⎢
→∞
1
1
1
2
1
2
2
2
2 2
2
…
⎤
⎤
⎦
⎥
⎥
2 2
n
= +
⎛
⎝
⎜
⎞
⎠
⎟ +
⎛
⎝
⎜
⎞
⎠
⎟ +
⎛
⎝
⎜
⎞
⎠
⎟
⎡
⎣
⎢
⎢
⎤
⎦
→∞
lim log
n
e
n
n n n
n
n
2
1
1
1
2
1
2 2
2
2
2 2
2
… ⎥
⎥
⎥
= +
⎛
⎝
⎜
⎞
⎠
⎟ + +
⎛
⎝
⎜
⎞
⎠
⎟ + + +
⎛
→∞
lim log log log
n
e e e
n n n
n
n
n
2
1
1
2 1
2
1
2 2
2
2
2
2
…
⎝
⎝
⎜
⎞
⎠
⎟
⎡
⎣
⎢
⎤
⎦
⎥
= +
⎛
⎝
⎜
⎞
⎠
⎟ =
⎛
⎝
⎜
⎞
⎠
⎟ +
→∞
=
→∞
∑
lim log lim log
n
e
r
n
n
e
n
r
r
n n
r
n
r
2
1
1
2 1
2
2
2
1
2
n
n
r
n
2
1
⎛
⎝
⎜
⎞
⎠
⎟
=
∑
Treat
r
n
x
= and
1
n
as dx.
When r = 1, x
n
= →
1
0as n → ∞ and when r n
= , x
n
n
= = 1
[ log log ( )
e e
A x x dx
= +
∫2 1 2
0
1
Put 1 2
2
+ = ∴ =
x t xdx dt.
When x t
= =
0 1
, and when x t
= =
1 2
,
[ log log
e A t dt
= ∫
1
2
Integrating by parts, we get
log log
e e
A t t
t
t dt
= ⋅
[ ] − ⋅
∫
1
2
1
2
1
= − ∫
2 2
1
2
loge dt = −[ ] = − − = −
log log ( ) log
e e e
t
2 4 2 1 4 1
2
1
2
⇒ log log log log
e e e e
A e
e
= − =
4
4
⇒ A
e
=
4
[ lim
n
n
n n n
n
n
→∞
+
⎛
⎝
⎜
⎞
⎠
⎟ +
⎛
⎝
⎜
⎞
⎠
⎟ +
⎛
⎝
⎜
⎞
⎠
⎟ +
⎛
⎝
⎜
⎞
⎠
⎟
⎡
1
1
1
2
1
3
1
2
2
2
2 2
2
2 2
2
…
⎣
⎣
⎢
⎢
⎤
⎦
⎥
⎥
=
2 2
4
n
e
.
EXERCISE 6.3
Evaluate the following limits as integrals
1. lim
n n n n
→∞ +
+
+
+ +
⎡
⎣
⎢
⎤
⎦
⎥
1
1
1
2
1
2
… . 2. lim
( )
n
r
n
n r
→∞
=
−
+
⎡
⎣
⎢
⎤
⎦
⎥
∑
1
2 2 1 2
0
1
.
M06_ENGINEERING_MATHEMATICS-I _CH06_PART A.indd 32 5/20/2016 10:09:30 AM
Integral Calculus ■ 6.33
3. lim
[ ( )]
n
r
n
n
n r
→∞
= + −
⎡
⎣
⎢
⎢
⎤
⎦
⎥
⎥
∑
3 1 3
1
. 4. lim
n
n
n
n
n
n
n
→∞
+
+
+
+ +
⎡
⎣
⎢
⎤
⎦
⎥
1 2 2
3 2 3 2 3 2
… .
5. lim
n
r
r
r n
→∞
=
∞
+
⎡
⎣
⎢
⎤
⎦
⎥
∑
3
4 4
1
. 6. lim
( )
n
r
n
r
n r
→∞
= +
∑
2
3
1
.
7. lim
n
r
n
r
n r
→∞
= +
∑ 2 2
1
. 8. lim
n
r
n
n r
n
→∞
=
−
⎡
⎣
⎢
⎢
⎤
⎦
⎥
⎥
∑
2 2
2
1
.
9. lim
( )( ) ( )
n
n
n n n n
n
→∞
+ + +
⎡
⎣
⎢
⎤
⎦
⎥
3 3 3 3 3
3
1
1 2 …
. 10. lim
n
r
n
r
n r
→∞
= +
∑
4
5 5
1
.
11. lim
n
r
n
n r
→∞
=
−
−
∑
1
2 2
0
1
. 12. lim
n
n
n n
n
n
→∞
+
⎛
⎝
⎜
⎞
⎠
⎟ +
⎛
⎝
⎜
⎞
⎠
⎟ +
⎛
⎝
⎜
⎞
⎠
⎟
⎡
⎣
⎢
⎤
⎦
⎥
1
1
1
2
1
2
2
2
2
2
1
… .
13. lim
n
n
n
n
n
n
n
n
n n
→∞
+
+
+
+
+ +
+ −
( )
⎡
⎣
⎢
⎢
⎤
⎦
⎥
⎥
2 2 2 2 2 2 2
1 2 1
… .
ANSWERS TO EXERCISE 6.3
1. loge 2 2.
p
2
3.
1
3
4.
2
3
2 2 1
−
( ) 5.
1
4
2
loge
6.
3
8
7.
1
2
2
loge 8.
p
4
9. 4 3
3
e
p
−
10.
1
5
2
loge
11.
p
2
12. 2 2
2
e
p
−
13.
p
4
6.4 REDUCTION FORMULAE
Integrals of type sin , tan ,
n n n ax
x dx x dx x e dx
∫ ∫
∫ cannot be evaluated directively. Applying integration
by parts, we can reduce an integral with index n  0, called the order of the integral, to an integral
of the reduced order with a smaller index. The relation between the given integral and the reduced
integral of lower order is called the reduction formula.
We derive the reduction formula for some standard integrals
6.4.1 The Reduction Formula for (a) sinn
xdx
∫ and (b) cosn
xdx
∫
(a) sinn
x dx
∫
Solution.
Let I x dx
n
n
= ∫sin = −
∫sin sin
n
x x dx
1
M06_ENGINEERING_MATHEMATICS-I _CH06_PART A.indd 33 5/20/2016 10:09:35 AM
6.34 ■ Engineering Mathematics
Taking u x v x
n
= =
−
sin , sin
1
and integrating by parts, we get
I x x n x x x dx
n
n n
= − − − −
− −
∫
sin ( cos ) ( )sin cos ( cos )
1 2
1
= − + −
− −
∫
sin cos ( ) sin cos
n n
x x n x x dx
1 2 2
1
= − + − −
− −
∫
sin cos ( ) sin ( sin )
n n
x x n x x dx
1 2 2
1 1
= − + − − −
− −
∫
∫
sin cos ( ) sin ( ) sin
n n n
x x n x dx n x dx
1 2
1 1
= − + − − −
−
−
sin cos ( ) ( )
n
n n
x x n I n I
1
2
1 1
[ ( ) sin cos ( )
1 1 1
1
2
+ − = − + −
−
−
n I x x n I
n
n
n
⇒ nI x x n I
n
n
n
= − + −
−
−
sin cos ( )
1
2
1
[ I
x x
n
n
n
I
n
n
n
= − +
−
−
−
sin cos
1
2
1
[ the reduction formula is sinn
x dx
∫ = − +
−
−
−
sin cos
n
n
x x
n
n
n
I
1
2
1
.
(b) cosn
x dx
∫
Solution.
Let I x dx
n
n
= ∫cos = −
∫cos cos
n
x x dx
1
Taking u x v x
n
= =
−
cos , cos
1
and integrating by parts, we get
I x x n x x x dx
n
n n
= − − −
− −
∫
cos sin ( )cos ( sin )sin
1 2
1
= + −
− −
∫
cos sin ( ) cos sin
n n
x x n x x dx
1 2 2
1
= + − −
− −
∫
cos sin ( ) cos ( cos )
n n
x x n x x dx
1 2 2
1 1
= + − − −
− −
∫ ∫
cos sin ( ) cos ( ) cos
n n n
x x n x dx n x dx
1 2
1 1
⇒ I x x n I n I
n
n
n n
= + − − −
−
−
cos sin ( ) ( )
1
2
1 1
( ) cos sin ( )
1 1 1
1
2
+ − = + −
−
−
n I x x n I
n
n
n
⇒ nI x x n I
n
n
n
= + −
−
−
cos sin ( )
1
2
1
∴ I
x x
n
n
n
I
n
n
n
= +
−
−
−
cos sin
1
2
1
∴ the required reduction formula for cosn
x dx
∫ = +
−
−
−
cos sin
n
n
x x
n
n
n
I
1
2
1
.
M06_ENGINEERING_MATHEMATICS-I _CH06_PART A.indd 34 5/20/2016 10:09:40 AM
Integral Calculus ■ 6.35
Deduction:
If n is a non-negative integer, then prove that
sin cos
n n
x dx x dx
= ∫
∫ 0
2
0
2
p
p
=
−
⋅
−
−
⋅
−
−
⋅ ⋅
−
⋅
−
−
⋅
−
−
n
n
n
n
n
n
n
n
n
n
n
n
n
1 3
2
5
4
3
4
1
2 2
1 3
2
5
4
4
5
…
…
p
if iseven
⋅
⋅ ⋅
⎧
⎨
⎪
⎪
⎩
⎪
⎪
2
3
1 if is odd
n
Solution.
Let I x dx
n
n
= ∫sin
0
2
p
By reduction formula, we have
I
x x
n
n
n
I
n
n
n
= −
⎡
⎣
⎢
⎤
⎦
⎥ +
−
−
−
sin cos
1
0
2
2
1
p
⇒ I
n
n
I
n
n
I
n n n
= +
−
=
−
− −
0
1 1
2 2
⇒ I
n
n
I
n n
− −
=
−
−
2 4
3
2
, I
n
n
I
n n
− −
=
−
−
4 6
5
4
and so on.
[ I
n
n
n
n
n
n
I I
n =
−
⋅
−
−
⋅
−
−
1 3
2
5
4
1 0
…, the last integral is or
Case 1: If n is even, then
I
n
n
n
n
n
n
I
n =
−
⋅
−
−
⋅
−
−
⋅ ⋅
1 3
2
5
4
3
4
1
2
0
…
But I x dx
0
0
0
2
= ∫sin
p
= [ ] =
x 0
2
2
p
p
[ I
n
n
n
n
n
n
n =
−
⋅
−
−
⋅
−
−
⋅ ⋅
1 3
2
5
4
3
4
1
2 2
… p
, if n is even
Case 2: if n is odd, then
In =
n
n
n
n
n
n
I
−
⋅
−
−
⋅
−
−
⋅ ⋅
1 3
2
5
4
4
5
2
3
1
…
But I x dx
1
0
2
= ∫sin
p
= −
[ ] = − −
⎡
⎣
⎢
⎤
⎦
⎥ = − − =
cos cos cos ( )
x 0
2
2
0 1 0 1 1
p
p
M06_ENGINEERING_MATHEMATICS-I _CH06_PART A.indd 35 5/20/2016 10:09:43 AM
6.36 ■ Engineering Mathematics
∴ I
n
n
n
n
n
n
n =
−
⋅
−
−
⋅
−
−
⋅ ⋅
1 3
2
5
4
4
5
2
3
1
…
∴ sinn
x dx
n
n
n
n
n
n
n
n
n
n
n
0
2
1 3
2
5
4
3
4
1
2 2
1 3
p p
∫ =
−
⋅
−
−
⋅
−
−
⋅ ⋅
−
⋅
−
−
… if is even
2
2
5
4
4
5
2
3
1
⋅
−
−
⋅ ⋅
⎧
⎨
⎪
⎪
⎩
⎪
⎪
n
n
n
… if is odd
Similarly, we get
cosn
x dx
n
n
n
n
n
n
n
n
n
n
n
0
2
1 3
2
5
4
3
4
1
2 2
1 3
p p
∫ =
−
⋅
−
−
⋅
−
−
⋅ ⋅
−
⋅
−
−
… if is even
2
2
5
4
4
5
2
3
1
⋅
−
−
⋅ ⋅
⎧
⎨
⎪
⎪
⎩
⎪
⎪
n
n
n
… if is odd
[ sin cos
n n
x dx x dx
= ∫
∫ 0
2
0
2
p
p
=
−
⋅
−
−
⋅
−
−
⋅ ⋅
−
⋅
−
−
⋅
−
−
n
n
n
n
n
n
n
n
n
n
n
n
n
1 3
2
5
4
3
4
1
2 2
1 3
2
5
4
4
5
…
…
p
if is even
⋅
⋅ ⋅
⎧
⎨
⎪
⎪
⎩
⎪
⎪
2
3
1 if is odd
n
6.4.2 The Reduction Formula for (a) tann
xdx
∫ and (b) cotn
xdx
∫
(a) tann
x dx
∫
Solution.
Let I x dx
n
n
= ∫tan = −
∫tan tan
n
x x dx
2 2
= −
−
∫tan (sec )
n
x x dx
2 2
1
= −
− −
∫
∫tan sec tan
n n
x x dx x dx
2 2 2
=
− +
−
− +
−
(tan )
x
n
I
n
n
2 1
2
2 1
=
−
−
−
−
(tan )
x
n
I
n
n
1
2
1
⇒ tan
(tan )
n
n
n
x dx
x
n
I
∫ =
−
−
−
−
1
2
1
(b) cotn
x dx
∫
Solution.
Let I x dx
n
n
= ∫cot = −
∫cot cot
n
x x dx
2 2
= −
−
∫cot ( )
n
x x dx
2 2
1
cosec
M06_ENGINEERING_MATHEMATICS-I _CH06_PART A.indd 36 5/20/2016 10:09:47 AM
Integral Calculus ■ 6.37
= − − −
− −
∫
∫cot ( ) cot
n n
x x dx x dx
2 2 2
cosec
⇒ I
x
n
I
n
n
n
= −
− +
−
− +
−
(cot ) 2 1
2
2 1
= −
−
−
−
−
(cot )
x
n
I
n
n
1
2
1
∴ cot
(cot )
n
n
n
x dx
x
n
I
∫ = −
−
−
−
−
1
2
1
.
6.4.3 The Reduction Formula for (a) secn
xdx
∫ and (b) cosecn
xdx
∫
(a) secn
x dx
∫
Solution
Let I x dx
n
n
= ∫sec = −
∫secn
x x dx
2 2
sec
Take u x v x
n
= =
−
sec 2 2
, sec and
integrating by parts, we get
I x x n x x x x dx
n
n n
= − −
− −
∫
sec 2 3
2
tan ( )sec sec tan tan
= − −
− −
∫
secn n
x x n x x dx
2 2 2
2
tan ( ) sec tan
= − − −
− −
∫
secn n
x x n x x dx
2 2 2
2 1
tan ( ) sec (sec )
= − − + −
− −
∫
∫
secn n n
x x n x dx n x dx
2 2
2 2
tan ( ) sec ( ) sec
⇒ I x x n I n I
n
n
n n
= − − + −
−
−
sec 2
2
2 2
tan ( ) ( )
⇒ ( ) tan ( )
1 2 2
2
2
+ − = + −
−
−
n I x x n I
n
n
n
sec
⇒ ( ) tan ( )
n I x x n I
n
n
n
− = + −
−
−
1 2
2
2
sec
[ I
x x
n
n
n
I
n
n
n
=
−
+
−
−
−
−
sec 2
2
1
2
1
tan
( )
( )
( )
[ sec
tan
( )
( )
( )
n
n
n
x dx
x x
n
n
n
I
∫ =
−
+
−
−
−
−
sec 2
2
1
2
1
.
(b) cosecn
x dx
∫
Solution.
Let I x dx
n
n
= ∫cosec = −
∫cosec cosec
n
x x dx
2 2
Take u x v x
n
= =
−
cosec cosec
2 2
,
M06_ENGINEERING_MATHEMATICS-I _CH06_PART A.indd 37 5/20/2016 10:09:51 AM
6.38 ■ Engineering Mathematics
Integrating by parts, we get
I x x n x x x x dx
n
n n
= − − − − −
− −
∫
cosec cosec cosec
2 3
2
( cot ) ( ) ( cot )( cot )
= − − −
− −
∫
cosec cosec
n n
x x n x x dx
2 2 2
2
cot ( ) cot
= − − − −
− −
∫
cosec cosec cosec
n n
x x n x x dx
2 2 2
2 1
cot ( ) ( )
= − − − + −
− −
∫ ∫
cosec cosec cosec
n n n
x x n x dx n x dx
2 2
2 2
cot ( ) ( )
= − − − + −
−
−
cosecn
n n
x x n I n I
2
2
2 2
cot ( ) ( )
⇒ ( ) cot ( )
1 2 2
2
2
+ − = − + −
−
−
n I x x n I
n
n
n
cosec
⇒ ( ) cot ( )
n I x x n I
n
n
n
− = − + −
−
−
1 2
2
2
cosec
[ I
x x
n
n
n
I
n
n
n
= −
−
+
−
−
−
−
cosec 2
2
1
2
1
cot
[ cot
cot
n
n
n
x dx
x x
n
n
n
I
∫ = −
−
+
−
−
−
−
cosec 2
2
1
2
1
WORKED EXAMPLES
EXAMPLE 1
Evaluate
x
ax x
dx
a 3
2
0
2
2 −
∫ .
Solution.
Let I
x
ax x
dx
a
=
−
∫
3
2
0
2
2
Put x a
= 2 2
sin u [ dx a d
= 4 sin cos
u u u
When x = = ⇒ =
0 0 0
, sinu u and when x a
= = ⇒ =
2 1
2
, sinu u
p
[ I
a a
a a a
d
=
−
∫
( sin ) sin cos
sin ( sin )
2 4
2 2 2
2 3
2 2 2
0
2
u u u
u u
u
p
?
/
= −
∫
32 2 1
4
7
2
0
2
a a
d
sin cos
sin sin
u u
u u
u
p/
= ∫
16 3
6
0
2
a d
sin cos
cos
u u
u
u
p/
= ∫
16 3 6
0
2
a d
sin
/
u u
p
= =
16
5
6
3
4
1
2 2
5
2
3 3
a a
? ? ?
p
p [{ n = 6 is even]
M06_ENGINEERING_MATHEMATICS-I _CH06_PART A.indd 38 5/20/2016 10:09:54 AM
Integral Calculus ■ 6.39
EXAMPLE 2
Evaluate
dx
x
( )
.
1 2 8
0 +
∞
∫
Solution.
Let I
dx
x
=
+
∫ ( )
1 2 8
0
∞
Put x = tanu [ dx d
= sec2
u u
When x = = ⇒ =
0 0 0
, tanu u and when x = = ⇒ =
∞ ∞
,tanu u
p
2
[ I
d
= +
∫
sec
( tan )
/
2
2 8
0
2
1
u
u
u
p
= ∫
sec
sec
/ 2
16
0
2
u
u
u
p
d
= ∫ cos
/
14
0
2
u u
p
d = =
13
14
11
12
9
10
7
8
5
6
3
4
1
2 2
429
4090
? ? ? ? ? ? ?
p p
[{ n = 14 is even]
EXAMPLE 3
If I
t
t
dt
n
n
=
+
∫ ( )
1 2
, then show that I I
t
n
dt
n n
n
+
+
+ =
+
2
1
1
. Hence, evaluate I6.
Solution.
Given I
t
t
dt
n
n
=
+
∫ ( )
1 2
Put t x dt x dx
= ∴ =
tan sec2
[ I
x
x
x dx x dx
n
n
n
=
+
=
∫ ∫
tan
( tan )
sec tan
1 2
2
⇒ I
x
n
I
n
n
n
=
−
−
−
−
tan 1
2
1
[using reduction formula 6.4.2(a)]
⇒ I I
x
n
n n
n
+ =
−
−
−
2
1
1
tan
⇒ I I
t
n
n n
n
+ =
−
−
−
2
1
1
( )
1
Replacing n by n + 2 in ( ),
1 we get
I I
t
n
n n
n
+ + −
+ −
+ =
+ −
2 2 2
2 1
2 1
⇒ I I
t
n
n n
n
+
+
+ =
+
2
1
1
( )
2
To evaluate I6 . I
t
t
dt
6
6
2
1
=
+
∫
Put n = 6 in ( ),
1 we get
I I
t
6 4
5
5
+ = ⇒ I
t
I
6
5
4
5
= −
M06_ENGINEERING_MATHEMATICS-I _CH06_PART A.indd 39 5/20/2016 10:10:00 AM
6.40 ■ Engineering Mathematics
= − −
⎡
⎣
⎢
⎤
⎦
⎥
t t
I
5 3
2
5 3
= − + = − + −
t t
I
t t
t I
5 3
2
5 3
0
5 3 5 3
.
But I x dx dx x t
0
0 1
= = = = −
∫
∫tan tan
[ I
t t
t t c
6
5 3
1
5 3
= − + − +
−
tan
EXAMPLE 4
If I xdx
n
n
= ∫ tan
/
0
4
p
, then prove that (1) ( )[ ]
n I I
n n
− + =
−
1 1
1 and (2) n I I
n n
[ ]
+ −
+ =
1 2 1.
Hence, evaluate I5.
Solution.
Given I x dx
n
n
= ∫ tan
/
0
4
p
1. To prove ( )[ ]
n I I
n n
2 1 5
2
1 1
1
By reduction formula 6.4.2 (a), we have
I
x
n
I
n n
=
−
⎡
⎣
⎢
⎤
⎦
⎥ −
−
−
tan 1
0
4
2
1
p
=
−
−
⎡
⎣
⎢
⎤
⎦
⎥ −
− −
−
1
1 4
0
1 1
2
n
In
tan tan
p
=
−
− − −
1
1
1 0 2
n
In
( ) =
−
− −
1
1
2
n
In
⇒ I
n
I
n n
=
−
1
1
2
− − ( )
1
⇒ I I
n
n n
+ =
−
−2
1
1
⇒ ( )[ ]
n I I
n n
− + =
−
1 1
2 ( )
2
2. To prove n I I
n n
[ ]
1 2
1 5
1 1 1
The result ( )
1 is true for all n ≥ 2. Replacing n by ( )
n +1 in ( )
2 , we get
( )[ ]
n I I
n n
+ − + =
+ + −
1 1 1
1 1 2 ⇒ n I I
n n
[ ]
+ −
+ =
1 1 1
To find I5
I x dx
5
5
0
4
= ∫tan
p
Put n = 5 in ( )
1 , we get
I I
5 3
1
4
= − = − −
⎡
⎣
⎢
⎤
⎦
⎥
1
4
1
2
1
I = − +
1
4
1
I
M06_ENGINEERING_MATHEMATICS-I _CH06_PART A.indd 40 5/20/2016 10:10:05 AM
Integral Calculus ■ 6.41
But I x dx x
1
0
4
0
4
= = [ ]
∫tan logsec
p
p
= −
⎡
⎣
⎢
⎤
⎦
⎥
logsec logsec
p
4
0
= − =
log log log
e e e
2 1
1
2
2
[ I e e
5
1
2
2
1
4
1
4
2 2 1
= − = −
[ ]
log log
EXAMPLE 5
If u x e dx
n
n x
a
= −
∫
0
, then prove that u n a u a n u
n n n
− + + − =
− −
( ) ( ) .
1 2
1 0
Solution.
Given u x e dx
n
n x
a
= −
∫
0
Take u x v e
n x
= = −
, . Integrating by parts, we get
u x
e
nx
e
dx
n
n
x a
n
x
a
=
−
⎡
⎣
⎢
⎤
⎦
⎥ −
−
−
−
−
∫
1 1
0
1
0
= − − +
− − −
∫
[ ]
a e n x e dx
n a n x
a
0 1
0
⇒ u a e nu
n
n a
n
= − +
−
−1
[ u a e n u
n
n a
n
−
− −
−
= − + −
1
1
2
1
( )
[ u n a u a e nu nu au
n n
n a
n n n
− + = − + − −
−
−
− − −
( ) 1 1 1 1
= − −
−
−
a e au
n a
n 1
= − − − + −
− − −
−
a e a a e n u
n a n a
n
[ ( ) ]
1
2
1
= − + − −
− −
−
a e a e a n u
n a n a
n
( )
1 2 = − − −
a n un
( )
1 2
[ u n a u a n u
n n n
− + + − =
− −
( ) ( )
1 2
1 0
EXAMPLE 6
If I x e dx
n
n x
= ∫ , then show that I nI x e
n n
n x
+ =
−1 . Hence, find I4 .
Solution.
Given I x e dx
n
n x
= ∫
Take u x v e
n x
= =
, . Integrating by parts, we get
I x e n x e dx
n
n x n x
= − ⋅ −
∫
1
= − −
∫
x e n x e dx
n x n x
1
⇒ I x e nI
n
n x
n
= − −1 ( )
1
⇒ I nI x e
n n
n x
+ =
−1
M06_ENGINEERING_MATHEMATICS-I _CH06_PART A.indd 41 5/20/2016 10:10:10 AM
6.42 ■ Engineering Mathematics
To find I x e dx
x
4
4
= ∫
Put n = 4 in ( )
1 .
[ I x e I
x
4
4
3
4
= − = − −
x e x e I
x x
4 3
2
4 3
[ ]
= − +
x e x e I
x x
4 3
2
4 12
= − + −
x e x e x e I
x x x
4 3 2
1
4 12 2
[ ]
= − + −
x e x e x e I
x x x
4 3 2
1
4 12 24
= − + − −
x e x e x e xe I
x x x x
4 3 2
0
4 12 24[ ]
= − + − + ∫
x e x e x e xe e dx
x x x x x
4 3 2
4 12 24 24 [{ I e dx
x
0 = ∫ ]
= − + − +
x e x e x e xe e
x x x x x
4 3 2
4 12 24 24
= − + − +
e x x x x
x
[ ]
4 3 2
4 12 24 24
EXAMPLE 7
If u x x dx n
n
n
= ≥
∫ sin ( )
0
2
0
p
, then prove that u n n u n n
n n
n
+ − =
⎛
⎝
⎜
⎞
⎠
⎟ ≥
−
−
( ) , .
1
2
0
2
1
p
Hence, evaluate u2.
Solution.
Given u x x dx
n
n
= ∫ sin
0
2
p
Take u x v x
n
= =
, sin . Integrating by parts, we get
u x x nx x dx
n
n n
= −
( )
⎡
⎣ ⎤
⎦ − −
−
∫
cos ( cos )
0
2 1
0
2
p
p
= + −
∫
0 1
0
2
n x x dx
n
cos
p
= ⎡
⎣ ⎤
⎦ − −
⎧
⎨
⎪
⎩
⎪
⎫
⎬
⎪
⎭
⎪
− −
∫
n x x n x x dx
n n
1
0
2 2
0
2
1
sin ( ) sin
p
p
=
⎛
⎝
⎜
⎞
⎠
⎟ −
⎡
⎣
⎢
⎢
⎤
⎦
⎥
⎥
− −
⎡
⎣
⎢
⎢
⎢
⎤
⎦
⎥
⎥
−
−
∫
n n n x x dx
n
n
p p
p
2 2
0 1
1
2
0
2
sin ( ) sin
⎥
⎥
⇒ u n n n u
n
n
n
=
⎛
⎝
⎜
⎞
⎠
⎟ − −
−
−
p
2
1
1
2
( )
⇒ u n n u n
n n
n
+ − =
⎛
⎝
⎜
⎞
⎠
⎟
−
−
( )
1
2
2
1
p
( )
1
M06_ENGINEERING_MATHEMATICS-I _CH06_PART A.indd 42 5/20/2016 10:10:15 AM
Integral Calculus ■ 6.43
To find u2.
Put n = 2 in ( )
1 , then we get
u u
2 0
2 1
2 2 1 2
2
+ − = ⋅
⎛
⎝
⎜
⎞
⎠
⎟
−
( )
p
⇒ + =
u u
2 0
2 p
But u x dx x
0
0
2
0
2
0 1 1
= = −[ ] = − − =
∫sin cos ( )
p
p
[ u u
2 2
2 1 2
+ ⋅ = ⇒ = −
p p
EXAMPLE 8
If I d
n
n
= ∫u u u
p
sin
0
2
, then prove that I
n
n
I
n
n
n n
=
−
+ ≥
−
1 1
2
2 2
, . Hence, find I4.
Solution.
Given I d
n
n
= ∫u u u
p
sin ,
0
2
= −
∫u u u u
p
sin sin
n
d
2 2
0
2
= −
−
∫u u u u
p
(sin ) ( cos )
n
d
2 2
0
2
1
= −
− −
∫
∫u u u u u u u
p
p
(sin ) (sin ) cos
n n
d d
2 2
0
2
2
0
2
= −
−
−
∫
I d
n
n
2
2
0
2
u u u u u
p
cos [(sin ) cos ]
⇒ I I
n
n n
n n
= −
−
⎡
⎣
⎢
⎤
⎦
⎥ − − +
−
− −
2
1
0
2
1
u u
u
u u u
u
p
cos
(sin )
[ ( sin ) cos ]
(sin ) 1
1
0
2
1
n
d
−
⎧
⎨
⎪
⎩
⎪
⎫
⎬
⎪
⎭
⎪
∫ u
p
= − +
−
−
−
⎫
⎬
⎪
⎭
⎪
⎧
⎨
⎪
−
−
∫
∫
I
n
d
n
d
n
n n
2
1
0
2
0
2
0
1
1
1
1
u u u u u u
p
p
sin (sin ) cos
/
/
⎩
⎩
⎪
= −
−
+
−
⎡
⎣
⎢
⎤
⎦
⎥
−
I
n
I
n n
n n
n
2
0
2
1
1
1
1
sin u
p
M06_ENGINEERING_MATHEMATICS-I _CH06_PART A.indd 43 5/20/2016 10:10:18 AM
6.44 ■ Engineering Mathematics
= −
−
+
−
−
⎡
⎣
⎢
⎤
⎦
⎥
−
I
n
I
n n
n n
n n
2
1
1
1
1 2
0
( )
sin sin
p
⇒ I I
n
I
n n
n n n
= −
−
+
−
−2
1
1
1
1
( )
⇒ 1
1
1
1
1
2
+
−
⎛
⎝
⎜
⎞
⎠
⎟ = +
−
−
n
I I
n n
n n
( )
⇒
n
n
I I
n n
n n
− +
−
⎛
⎝
⎜
⎞
⎠
⎟ = +
−
−
1 1
1
1
1
2
( )
⇒
n
n
I I
n n
n n
−
⎛
⎝
⎜
⎞
⎠
⎟ = +
−
−
1
1
1
2
( )
⇒ I
n
n
I
n
n n n
n n
=
−
+
−
⋅
−
−
1 1 1
1
2
( )
⇒ I
n
n
I
n
n n
=
−
+
−
1 1
2 2
To find I4
If n = 4, then I I
4 2 2
3
4
1
4
= + , I I
2 0 2
1
2
1
2
= +
But I d
0
0
2
= ∫u u
p
=
⎡
⎣
⎢
⎤
⎦
⎥
u2
0
2
2
p
= ⋅ =
1
2 4 8
2 2
p p
.
[ I2
2 2
1
2 8
1
4
4
16
= ⋅ + =
+
p p
[ I4
2 2 2
3
4
4
16
1
16
3 4 4
64
3 16
64
= ⋅
+
+ =
+ +
=
+
p p p
( )
.
EXAMPLE 9
If I x dx
n
n
5
p
p
cot
4
2
∫ , show that I
n
I n
n n
5 2
1
1
2
2
−
≥
− , . Hence, evaluate cot4
0
2
x dx
p
∫ .
Solution.
Given I x dx
n
n
= ∫cot
p
p
4
2
M06_ENGINEERING_MATHEMATICS-I _CH06_PART A.indd 44 5/20/2016 10:10:21 AM
Integral Calculus ■ 6.45
By reduction formula for cotn
x dx
∫ , we have
I
x
n
I
n
n
n
=
−
⎡
⎣
⎢
⎤
⎦
⎥ −
−
−
(cot )
/
/
1
4
2
2
1 p
p
=
−
−
− − −
1
1
0 1 2
n
In
[ ] [Refer page 6.36]
⇒ I
n
I n
n n
=
−
− ≥
−
1
1
2
2 , ( )
1
To find I4 . I x dx
4
4
4
2
= ∫cot
p
p
Put n = 4 in ( )
1 , then I I
4 2
1
3
= − = − − = − + + = − +
1
3
1 1
1
3
2
3
0 0 0
( )
I I I .
But I dx x
0
4
2
4
2
2 4 4
= = [ ] = − =
∫
p
p
p
p
p p p
.
[ I4
2
3 4
3 8
12
= − + =
−
p p
.
6.4.4 The Reduction Formula for sin cos
m n
x xdx
∫ , Where m n
, are Non-negative
Integers
Solution.
Let I x x dx
m n
m n
, sin cos
= ∫
= −
∫sin cos cos
m n
x x x dx
1
= −
∫cos (sin cos )
n m
x x x dx
1
Take u x v x x
n m n
= =
−
cos , sin cos
1
. Integrating by parts, we get
I x
x
m
n x x
x
m
dx
m n
n
m
n
m
, cos
sin
( )cos ( sin )
sin
=
+
− − −
+
−
+
−
+
∫
1
1
2
1
1
1
1
=
+
+
−
+
− +
−
∫
cos sin
sin sin cos
n m
m n
x x
m
n
m
x x x dx
1 1
2 2
1
1
1
=
+
+
−
+
−
− +
−
∫
cos sin
sin ( cos )cos
n m
m n
x x
m
n
m
x x x dx
1 1
2 2
1
1
1
1
=
+
+
−
+
−
−
+
− +
−
∫
∫
cos sin
sin cos sin cos
n m
m n m n
x x
m
n
m
x x dx
n
m
x x
1 1
2
1
1
1
1
1
d
dx
M06_ENGINEERING_MATHEMATICS-I _CH06_PART A.indd 45 5/20/2016 10:10:26 AM
6.46 ■ Engineering Mathematics
=
+
+
−
+
−
−
+
− +
−
cos sin
, ,
n m
m n m n
x x
m
n
m
I
n
m
I
1 1
2
1
1
1
1
1
⇒ 1
1
1 1
1
1
1 1
2
+
−
+
⎛
⎝
⎜
⎞
⎠
⎟ =
+
+
−
+
+ −
−
n
m
I
x x
m
n
m
I
m n
m n
m n
, ,
sin cos
⇒
m n
m
I
x x
m
n
m
I
m n
m n
m n
+ + −
+
⎛
⎝
⎜
⎞
⎠
⎟ =
+
+
−
+
+ −
−
1 1
1 1
1
1
1 1
2
, ,
sin cos
⇒
m n
m
I
x x
m
n
m
I
m n
m n
m n
+
+
⎛
⎝
⎜
⎞
⎠
⎟ =
+
+
−
+
+ −
−
1 1
1
1
1 1
2
, ,
sin cos
[ I
x x
m n
n
m n
I
m n
m n
m n
, ,
sin cos
=
+
+
−
+
+ −
−
1 1
2
1
Deduction:
The Reduction formula for sin cos ,
m n
x x dx
0
2
p
∫ where m n
, are non-negative integers.
Solution.
Let I x x dx
m n
m n
, sin cos
= ∫
0
2
p
By reduction formula, we have
I
x x
m n
n
m n
I
m n
m n
m n
, ,
sin cos
=
+
⎡
⎣
⎢
⎤
⎦
⎥ +
−
+
+ −
−
1 1
0
2
2
1
p
= +
−
+
−
0
1
2
n
m n
Im n
,
⇒ I
n
m n
I
m n m n
, ,
=
−
+
−
1
2
[ I
n
m n
I
m n m n
, ,
− −
=
−
+ −
2 4
3
2
, I
n
m n
I
m n m n
, ,
− −
=
−
+ −
4 4
5
4
[ I
n
m n
n
m n
n
m n
m n
, ,
=
−
+
⋅
−
+ −
⋅
−
+ −
1 3
2
5
4
… the last integral is I I
m m
, ,
1 0
or .
Case 1: If n is odd, reduce by n, then we get
I
n
m n
n
m n
n
m n m
I
m n m
, ,
=
−
+
⋅
−
+ −
⋅
−
+ − +
1 3
2
5
4
2
3
1
…
But I x x dx
m
m
, sin cos
1
0
2
= ∫
p
=
+
⎡
⎣
⎢
⎤
⎦
⎥ =
+
+
sinm
x
m m
1
0
2
1
1
1
p
M06_ENGINEERING_MATHEMATICS-I _CH06_PART A.indd 46 5/20/2016 10:10:30 AM
Integral Calculus ■ 6.47
[ I
n
m n
n
m n
n
m n m m
m n
, =
−
+
⋅
−
+ −
⋅
−
+ − +
⋅
+
1 3
2
5
4
2
3
1
1
…
Similarly, if m is odd, reduce by m.
[ I
m
m n
m
m n n n
=
+
−
+ − + +
−
… ⋅
1 3
2
2
3
1
1
,
Case 2: If n is even, reduce by n, we get
I
n
m n
n
m n
n
m n m m
I
m n m
, ,
=
−
+
⋅
−
+ −
⋅
−
+ − +
⋅
+
1 3
2
5
4
3
4
1
2
0
…
But I x dx
m
m
, sin
0
0
2
= ∫
p
=
−
⋅
−
−
⋅ ⋅
m
m
m
m
1 3
2
3
4
1
2 2
… p
if m is even
=
−
⋅
−
−
⋅
m
m
m
m
1 3
2
2
3
1
… if m is odd
[ I
n
m n
n
m n m m
m
m
m
m
m n
, =
−
+
⋅
−
+ − +
⋅
+
⋅
−
⋅
−
−
⋅ ⋅
1 3
2
3
4
1
2
1 3
2
3
4
1
2 2
… … p
. if m is even
=
−
+
⋅
−
+ − +
⋅
+
⋅
−
⋅
−
−
⋅
n
m n
n
m n m m
m
m
m
m
1 3
2
3
3
1
2
1 3
2
2
3
1
… … if m is odd.
Note If both m and n are odd or even reduce by smaller index and use case (1) and m, n are small
numbers, we can directly integrate by substitution.
WORKED EXAMPLES
EXAMPLE 1
Evaluate sin cos
8 7
0
2
x x dx
p
∫ .
Solution.
Let I x x dx
8 7
8 7
0
2
, sin cos
= ∫
p
. Here m n
= =
8 7
, is odd.
I
n
m n
n
m n m m
m n
, =
−
+
⋅
−
+ − +
⋅
+
1 3
2
2
3
1
1
… = ⋅ ⋅ ⋅ =
6
15
4
13
2
11
1
9
16
6435
.
EXAMPLE 2
Evaluate x a x dx.
a
2 2
0
2 3/2
( )
2
∫
Solution.
Let I x a x dx
a
= −
∫
2 2
0
2 3 2
( ) /
M06_ENGINEERING_MATHEMATICS-I _CH06_PART A.indd 47 5/20/2016 10:10:34 AM
6.48 ■ Engineering Mathematics
Let x a dx a d
= ∴ =
sin cos
u u u
When x = = ⇒ =
0 0 0
, sinu u and when x a
= = ⇒ =
, sinu u
p
1
2
[
I a a a a d
a
= −
= −
∫
∫
2 2
0
2
2 2 2 3 2
6 2
0
2
2
1
sin ( sin ) cos
sin ( sin )
/
/
/
u u u u
u u
p
p
3
3 2
6 2
0
2
3 6 2
0
2
4
/
/ /
cos
sin cos cos sin cos
u u
u u u u u u u
p p
d
a d a d
= =
∫ ∫
Here both the indices are even.
[ we take the smaller one as n. [ m n
= =
4 2
, .
[ I a d
a a
= ⋅ = ⋅ ⋅ ⋅ =
∫
6 4
0
2 6 6
1
6 6
3
4
1
2 2 32
cos
/
u u
p p
p
EXAMPLE 3
Evaluate x x x dx.
3 2
0
4
4 2
∫
Solution.
Let I x x x dx
= −
∫
3 2
0
4
4
Put x dx d
= ∴ =
4 8
2
sin sin cos
u u u u
When x = = ⇒ =
0 0 0
, sinu u and when x = = ⇒ =
4 1
2
, sinu u
p
[
I d
= ⋅ − ⋅
= ⋅
∫ ( sin ) sin sin sin cos
sin sin
/
4 4 4 16 8
4 4
2
0
2
3 2 4
3 6
u u u u u u
u
p
u
u u u u u
u u u u
p
p
0
2
2
8
0
2
1 8
2048 20
/
/
sin sin cos
sin cos cos
∫
∫
− ⋅
= ⋅ ⋅ =
d
d 4
48 8
0
2
2
sin cos
/
u u u
p
∫ ⋅ d
Both indices are even and n = 2 is smaller.
[
I d
= ⋅ = ⋅ ⋅ ⋅ ⋅ ⋅ ⋅ =
∫
2048
1
10
2048
1
10
7
8
5
6
3
4
1
2 2
28
8
0
2
sin
/
u u
p
p
p
M06_ENGINEERING_MATHEMATICS-I _CH06_PART A.indd 48 5/20/2016 10:10:38 AM
Integral Calculus ■ 6.49
EXAMPLE 4
Evaluate cos 3 sin 6
4 3
0
6
u u u
p
∫ d
Solution.
Let I d
= ∫cos sin
4 3
0
6
3 6
u u u
p
Put x dx d dx d
= ∴ = =
3 3
1
3
u u u
⇒
When u = =
0 0
, x and when u
p p p
= = =
6
3
6 2
, x
Now sin sin ( sin cos ) sin cos
3 3 3 3 3
6 2 2 8
u = = =
x x x x x
[
I x x x dx x xdx
= = = ⋅ ⋅ =
∫ ∫
cos sin cos cos sin
4 3 3
0
2
7 3
0
2
8
1
3
8
3
8
3
2
10
1
8
1
1
p p
5
5
Aliter:
I x xdx x x x dx
x
= = −
=
∫ ∫
8
3
8
3
1
8
3
7 3
0
2
7 2
0
2
7
cos sin cos sin ( cos )
cos sin
p p
x
xdx x xdx
x x
0
2
9
0
2
8
0
2 10
8
3 8 10
p p
p
∫ ∫
−
= −
⎡
⎣
⎢
⎤
⎦
⎥ − −
⎡
⎣
⎢
⎤
⎦
cos sin
cos cos
⎥
⎥
= − − + −
⎡
⎣
⎢
⎤
⎦
⎥ = −
⎡
⎣
⎢
⎤
⎦
⎥ =
−
×
⎡
0
2
8
3
1
8
0 1
1
10
0 1
8
3
1
8
1
10
8
3
10 8
8 10
p
( ) ( )
⎣
⎣
⎢
⎤
⎦
⎥ =
×
⎡
⎣
⎢
⎤
⎦
⎥ =
8
3
2
8 10
1
15
6.4.5 The Reduction Formula For (a)∫xm
(log x)n
dx, (b) ∫xn
sin mx dx, (c) ∫ xn
cos mx dx
(a) x x dx
m
e
n
( )
log
∫
Solution.
Let I x x dx x x dx
m n
m
e
n
e
n m
, (log ) (log )
= =
∫ ∫
Take u x v x
e
n m
= =
(log ) , . Integrating by parts, we get
[ I x
x
m
n x
x
x
m
dx
x x
m n e
n
m
e
n
m
m
e
, (log ) (log )
(log
= ⋅
+
− ⋅ ⋅
+
=
+
−
+
+
∫
1
1
1
1
1
1
1
)
)
(log )
n
e
n
m
m
n
m
x x dx
+
−
+
⋅
∫
−
1 1
1
M06_ENGINEERING_MATHEMATICS-I _CH06_PART A.indd 49 5/20/2016 10:10:42 AM
6.50 ■ Engineering Mathematics
⇒ I
x x
m
n
m
I
m n
m n
m n
, ,
(log )
=
+
−
+
+
−
1
1
1 1
(b) x mx dx
n
sin
∫
Solution.
Let I x mx dx
n
n
= ∫ sin
Take u x v mx
n
= =
, sin . Integrating by parts, we get
⇒
I x
mx
m
nx
mx
m
dx
x mx
m
n
m
x
n
n n
n
n
= ⋅ −
⎛
⎝
⎜
⎞
⎠
⎟ − −
⎛
⎝
⎜
⎞
⎠
⎟
= − +
−
−
∫
cos cos
cos
1
1
∫
∫
∫
= − + − −
⎡
⎣
⎢
⎤
⎦
⎥
− −
cos
cos sin
( )
sin
mxdx
x mx
m
n
m
x
mx
m
n x
mx
m
dx
n
n n
1 2
1 Ag
gain integrating by parts
[ ]
= − + −
−
−
x mx
m
n
m
x mx
n n
n
n
cos
sin
( )
2
1 1
m
m
x mxdx
I
x mx
m
n
m
x mx
n n
m
I
n
n
n
n
n
2
2
2
1
2 2
1
−
−
−
∫
= − + −
−
sin
cos
sin
( )
(c) x mx dx
n
cos
∫
Solution.
Let I x mx dx
n
n
= ∫ cos
Take u x v mx
n
= =
, cos . Integrating by parts, we get
⇒
I x
mx
m
nx
mx
m
dx
x mx
m
n
m
x mxdx
x
n
n n
n
n
n
= ⋅ −
= −
= −
−
−
∫
∫
sin sin
sin
sin
sin
1
1
m
mx
m
n
m
x
mx
m
n x
mx
m
dx
x mx
m
n n
n
−
−
− −
−
⎡
⎣
⎢
⎤
⎦
⎥
= −
− −
∫
1 2
1
( cos )
( )
( cos )
sin
+
+ −
−
= − +
− −
−
∫
n
m
x mx
n n
m
x mxdx
I
x mx
m
n
m
x
n n
n
n
n
2
1
2
2
2
1
1
cos
( )
cos
sin
cosm
mx
n n
m
In
−
−
−
( )
1
2 2
M06_ENGINEERING_MATHEMATICS-I _CH06_PART A.indd 50 5/20/2016 10:10:44 AM
Integral Calculus ■ 6.51
6.4.6 The Reduction Formula for (a) e x dx
ax m
sin
∫ and (b) e x dx
ax n
cos
∫
(a) e x dx
ax n
sin
∫
Solution.
Let I e xdx xe dx
n
ax n n ax
= =
∫ ∫
sin sin
Take u x v e
n ax
= =
sin , . Integrating by parts, we get
I x
e
a
n x x
e
a
dx
e x
a
n
a
x xe
n
n
ax
n
ax
ax n
n
= −
= −
−
−
∫
∫
sin sin cos
sin
sin cos
1
1 a
ax
ax n
n
ax
n
dx
e x
a
n
a
x x
e
a
x x x n
= − − − + −
− −
sin
sin cos sin ( sin ) cos ( )
1 1
1 s
sin cos
sin
sin cos
n
ax
ax n
ax n
x x
e
a
dx
e x
a
n
a
e x x
−
−
⎡
⎣ ⎤
⎦
⎧
⎨
⎩
⎫
⎬
⎭
= − +
∫
2
2
1 n
n
a
x n x x e dx
e x
a
a x n
n n ax
ax n
2
2 2
1
2
1
− + −
⎡
⎣ ⎤
⎦
= −
−
−
∫ sin ( )sin cos
sin
sin c
cos sin ( )sin ( sin )
sin
x
n
a
x n x x e dx
e
n n ax
ax n
[ ]+ − + − −
⎡
⎣ ⎤
⎦
=
−
−
∫
2
2 2
1 1
1
1
2 2 2
2
1 1
1
x
a
a x n x
n
a
n xe dx
n n
a
e
n ax ax n
sin cos ( )sin
( )
sin
−
[ ]+ − − + +
− −
x
x dx
∫
∫
e x
a
a x n x
n
a
e x dx
n n
a
I
ax n
ax n
∫
= −
[ ]− +
−
−
sin
sin cos sin
( )
1
2
2
2 2
1
n
n
ax
n
n n
e
a
x a x n x
n
a
I
n n
a
I
−
−
−
= −
[ ]− +
−
2
2
1
2 2 2
1
sin sin cos
( )
⇒ 1
1
2
2
1
2 2 2
+
⎛
⎝
⎜
⎞
⎠
⎟ = −
[ ]+
−
−
−
n
a
I
e x
a
a x n x
n n
a
I
n
ax n
n
sin
sin cos
( )
⇒
n a
a
I
e x
a
a x n x
n n
a
I
n
ax n
n
2 2
2
1
2 2 2
1
+
⎛
⎝
⎜
⎞
⎠
⎟ = −
[ ]+
−
−
−
sin
sin cos
( )
⇒ I
e x
n a
a x n x
n n
n a
I
I
e
n
ax n
n
n
ax
=
+
−
[ ]+
−
+
=
−
−
sin
sin cos
( )
( )
sin
1
2 2 2 2 2
1
n
n
n
x
n a
a x n x
n n
n a
I
−
−
+
−
[ ]+
−
+
1
2 2 2 2 2
1
sin cos
( )
( )
(b) e xdx
ax n
cos
∫
Solution.
Let I e xdx
n
ax n
= ∫ cos = ∫cosn ax
xe dx
M06_ENGINEERING_MATHEMATICS-I _CH06_PART A.indd 51 5/19/2016 4:54:07 PM
6.52 ■ Engineering Mathematics
Take u x v e
n ax
= =
cos , . Integrating by parts, we get
I x
e
a
n x x x
e
a
dx
e x
a
n
a
x
n
n
ax
n
ax
ax n
n
= − −
= +
−
−
∫
cos cos ( sin )
cos
cos si
1
1
n
n
cos
cos sin cos cos ( )co
xe dx
e x
a
n
a
x x
e
a
x x n
ax
ax n
n
ax
n
∫
= + ⋅ − + −
− −
1 1
1 s
s ( sin )sin
cos
cos
n
ax
ax n
ax n
x x x
e
a
dx
e x
a
n
a
e
−
−
−
⎡
⎣ ⎤
⎦
⎧
⎨
⎩
⎫
⎬
⎭
= +
∫
∫
2
2
1
x
x x
n
a
x n x x e dx
e x
a
a
n n ax
ax n
sin cos ( )cos sin
cos
c
− − −
⎡
⎣ ⎤
⎦
=
−
−
∫
2
2 2
1
2
1
o
os sin cos ( )cos ( cos )
c
x n x
n
a
x n x x e dx
e
n n ax
ax
+
[ ]− − − −
⎡
⎣ ⎤
⎦
=
−
∫
2
2 2
1 1
o
os
cos sin ( )cos ( )cos
n
n n ax
x
a
a x n x
n
a
n x n x e
−
−
+
[ ]− + − − −
⎡
⎣ ⎤
⎦
1
2 2
2
1 1 1 d
dx
e x
a
a x n x
n
a
e xdx
n n
a
e
ax n
ax n ax
∫
∫
= +
[ ]− +
−
−
cos
cos sin cos
( )
1
2
2
2 2
1
c
cosn
xdx
−
∫
2
⇒ I
e x
a
a x n x
n
a
I
n n
a
I
n
ax n
n n
= +
[ ]− +
−
−
−
cos
cos sin
( )
1
2
2
2 2 2
1
⇒ 1
1
2
2
1
2 2 2
+
⎛
⎝
⎜
⎞
⎠
⎟ = +
[ ]+
−
−
−
n
a
I
e x
a
a x n x
n n
a
I
n
ax n
n
cos
cos sin
( )
⇒
n a
a
I
e x
a
a x n x
n n
a
I
n
ax n
n
2 2
2
1
2 2 2
1
+
⎛
⎝
⎜
⎞
⎠
⎟ = +
[ ]+
−
−
−
cos
cos sin
( )
[ I
e x
n a
a x n x
n n
n a
I
n
ax n
n
=
+
+
[ ]+
−
+
−
−
cos
cos sin
( )
( )
1
2 2 2 2 2
1
[ e xdx
e x
n a
a x n x
n n
n a
I
ax n
ax n
n
cos
cos
cos sin
( )
( )
∫ =
+
+
[ ]+
−
+
−
−
1
2 2 2 2 2
1
6.4.7 The Reduction Formula for (a) cos sin
m
x n x dx
∫ and (b) cos cos
m
x nxdx
∫
Deduce if f m n x nx dx
m
( , ) cos cos ,
/
= ∫
0
2
p
then prove that f m n
m
m
f m n
( , ) ( , )
=
+
− −
1
1 1 and hence
prove that f n n n
( , ) = +
p
2 1
where m n
, are non-negative integers.
(a) cos sin
m
x nx dx
∫
Solution.
I x nxdx
m n
m
, cos sin
= ∫
M06_ENGINEERING_MATHEMATICS-I _CH06_PART A.indd 52 5/19/2016 4:54:10 PM
Integral Calculus ■ 6.53
Take u x v nx
m
= =
cos , sin
Integrating by parts, we get
I x
nx
n
m x x
nx
n
dx
m n
m m
, cos
cos
cos ( sin )
cos
c
= −
⎛
⎝
⎜
⎞
⎠
⎟ − − −
⎛
⎝
⎜
⎞
⎠
⎟
= −
−
∫
1
o
os cos
cos cos sin
m
m
x nx
n
m
n
x nx xdx
− −
∫
1
Now sin( ) sin( )
n x nx x
− = −
1 = −
sin cos cos sin
nx x nx x
⇒ cos sin sin cos sin( )
nx x nx x n x
= − −1
[ I
x nx
n
m
n
x nx x n x dx
x
m n
m
m
m
,
cos cos
cos sin cos sin( )
cos
= − − − −
[ ]
= −
−
∫
1
1
c
cos
cos sin cos sin( )
nx
n
m
n
x nxdx
m
n
x n xdx
m m
− + −
∫ ∫
−1
1
⇒ I
x nx
n
m
n
I
m
n
I
m n
m
m n m n
, , ,
cos cos
= − − + − −
1 1
⇒ 1 1 1
+
⎛
⎝
⎜
⎞
⎠
⎟ = − + − −
m
n
I
x nx
n
m
n
I
m n
m
m n
, ,
cos cos
⇒
m n
n
I
x nx
n
m
n
I
m n
m
m n
+
= − + − −
, ,
cos cos
1 1
[ I
x nx
m n
m
m n
I
m n
m
m n
, ,
cos cos
= −
+
+
+
− −
1 1
[ cos sin
cos cos
,
m
m
m n
x nxdx
x nx
m n
m
m n
I
∫ = −
+
+
+
− −
1 1
(b) cos cos
m
x nxdx
∫
Solution.
Let I x nxdx
m n
m
, cos cos
= ∫
Take u x v nx
m
= =
cos , cos . Integrating by parts, we get
I
x nx
n
m x x
nx
n
dx
x nx
m n
m
m
m
,
cos sin
cos ( sin )
sin
cos sin
= − −
⎛
⎝
⎜
⎞
⎠
⎟
=
−
∫
1
n
n
m
n
x nx xdx
m
+ −
∫cos sin sin .
1
cos( ) cos( )
n x nx x
− = −
1 = +
cos cos sin sin
nx x nx x
M06_ENGINEERING_MATHEMATICS-I _CH06_PART A.indd 53 5/19/2016 4:54:13 PM
6.54 ■ Engineering Mathematics
[ sin sin cos( ) cos cos
nx x n x nx x
= − −
1
[ I
x nx
n
m
n
x n x nx dx
x nx
n
m n
m
m
m
,
cos sin
cos cos( ) cos
cos sin
= + − −
[ ]
=
−
∫
1
1
+
+ − −
−
∫ ∫
m
n
x n xdx
m
n
x nxdx
m m
cos cos( ) cos cos
1
1
⇒ I
x nx
n
m
n
I
m
n
I
m n
m
m n m n
, , ,
cos sin
= + −
− −
1 1
⇒ 1 1 1
+
⎛
⎝
⎜
⎞
⎠
⎟ = + − −
m
n
I
x nx
n
m
n
I
m n
m
m n
, ,
cos sin
⇒
m n
n
I
x nx
n
m
n
I
m n
m
m n
+
⎛
⎝
⎜
⎞
⎠
⎟ = + − −
, ,
cos sin
1 1
[ I
x nx
m n
m
m n
I
m n
m
m n
, ,
cos sin
=
+
+
+
− −
1 1
Deduction:
Given f m n x nxdx
m
( , ) cos cos
/
= ∫
0
2
p
=
+
⎡
⎣
⎢
⎤
⎦
⎥ +
+
− −
= +
+
− −
cos sin
( , )
( , )
/
m
x nx
m n
m
m n
f m n
m
m n
f m n
0
2
1 1
0 1 1
p
[ f m n
m
m n
f m n
( , ) ( , )
=
+
− −
1 1
If m n
= , then f n n
n
n n
f n n
( , ) ( , )
=
+
− −
1 1
⇒ f n n f n n
f n n
f n n
f
( , ) ( , )
( , )
( , )
(
= − −
= ⋅ − −
= − −
= ⋅
1
2
1 1
1
2
1
2
2 2
1
2
2 2
1
2
1
2
2
2
n
n n
f n n
f n n
f
n
− −
= − −
= − −
=
3 3
1
2
3 3
1
2
4 4
1
2
0 0
3
4
, )
( , )
( , )
( , )
:
M06_ENGINEERING_MATHEMATICS-I _CH06_PART A.indd 54 5/19/2016 4:54:16 PM
Integral Calculus ■ 6.55
But f x xdx
( , ) cos cos
/
0 0 0
0
0
2
= ∫
p
= = [ ] =
∫ dx x
0
2
0
2
2
p
p p
/
/
[ f n n n n
( , ) = ⋅ = +
1
2 2 2 1
p p
EXERCISE 6.4
1. Evaluate the following integrals
(a) sin
/
8
0
2
x dx
p
∫ (b) sin
/
7
0
2
x dx
p
∫ (c) sin cos
/
7 5
0
2
x x dx
p
∫ (d) sin cos
/
6 4
0
2
x x dx
p
∫
(e) sin cos
/
15 3
0
2
x x dx
p
∫ (f)
x
a x
dx
3
2 2 5
0 ( )
+
∞
∫
2. If I a x dx
n
n
a
= −
∫( )
2 2
0
where n is a positive integer, then prove that I
na
n
I
n n
=
+
−
2
2 1
2
1.
3. If I x x dx
n
n
= −
∫
2 3
0
1
1
( ) , prove that I
n
n
I
n n
=
+
−
1
1. Hence, find x x dx
2 3 7
0
1
1
( ) .
−
∫
4. If I x x dx
n
n
= ∫ cos ,
/
0
2
p
show that I n n I
n n
n
+ − =
⎛
⎝
⎜
⎞
⎠
⎟
−
( ) .
1
2
2
p
5. Obtain the reduction formula for I e x dx
n
x n
= −
∞
∫ sin
0
and show that ( ) ( ) .
1 1
2
2
+ = − −
n I n n I
n n
Hence, evaluate I4
.
ANSWERS TO EXERCISE 6.4
1. (a)
35
256
p
(b)
16
35
(c)
1
120
(d)
3
512
p
(e)
1
144
(f)
1
24 6
a
3.
1
24
5.
24
85
6.5 APPLICATION OF INTEGRAL CALCULUS
In this section, we deal with some of the important applications of Integral Calculus.
They are 1. Area of plane curves
2. Length of arc of plane curves
3. Volume of solids of revolution
4. Area of surface of revolution
M06_ENGINEERING_MATHEMATICS-I _CH06_PART A.indd 55 5/19/2016 4:54:20 PM
6.56 ■ Engineering Mathematics
6.5.1 Area of Plane Curves
6.5.1 (a) Area of Plane Curves in Cartesian Coordinates
1. If f x
( ) is continuous, positive and bounded in
[ , ],
a b then f x dx
a
b
( )
∫ geometrically represents
the area bounded by the curve y f x
= ( ), the
x-axis and the abscissae x a
= and x b
=
∴ area A ydx f x dx
a
b
a
b
= =
∫ ∫ ( )
2. If y f x
= ( ) crosses the x-axis (as in Fig 6.2)
at x c
= in [ , ],
a b then the area is given by
= +
∫ ∫
A f x dx f x dx
a
c
c
b
( ) ( ) ,
Since f x dx
c
b
( ) ,
∫  0 for area, we take the
absolute value.
3. If the area is bounded by the curve x g y
= ( ), the
y-axis and the ordinates y c y d
= =
, , then the
area
A xdy g y dy
c
d
c
d
= =
∫ ∫ ( )
4. Area bounded between two curves
If f x g x x a b
( ) ( ) [ , ],
≤ ∀ ∈ then the area
bounded between the curves y f x
= ( ) and
y g x
= ( ) in [ , ]
a b is
A g x f x dx
a
b
= −
[ ]
∫ ( ) ( )
x = a x = b
y = f(x)
y
O x
Fig. 6.1
O
y
x
x = b
y = a
y = f(x)
y = g(x)
Fig. 6.4
x = a
x = b
x = c
y = f(x)
O
y
x
Fig. 6.2
y
x
O
y = c
y = d
x = g(y)
Fig. 6.3
M06_ENGINEERING_MATHEMATICS-I _CH06_PART A.indd 56 5/19/2016 4:54:24 PM
Integral Calculus ■ 6.57
WORKED EXAMPLES
EXAMPLE 1
Find the area of the ellipse
x
a
y
b
2
2
2
2
1
1 5 .
Solution.
The given curve is the ellipse
x
a
y
b
2
2
2
2
1
+ = (1)
∴ area A ydx
a
b
= ∫
The area in the four quadrants are equal, because
the ellipse is symmetric w.r.to both the axis.
Equation (1) ⇒ y
b
x
a
a x
a
2
2
2
2
2 2
2
1
= − =
−
⇒ y
b
a
a x
= ± −
2 2
When y = 0,
x
a
x a x a
2
2
2 2
1
= ⇒ = ⇒ = ±
∴ area of the ellipse A = ×
4 Area in the first quadrant
= = −
=
−
+
⎡
⎣
⎢
⎢
⎤
⎦
⎥
⎥
=
∫ ∫
−
4 4
4
2 2
4
0
2 2
0
2 2 2
1
0
ydx
b
a
a x dx
b
a
x a x a x
a
b
a
a a
a
sin
0
0
2
1 0 2
2
2
1 1
0
+ −
( )
⎡
⎣
⎢
⎤
⎦
⎥ = ⋅ =
− −
a
ab ab
a
sin sin
p
p
EXAMPLE 2
Find the area of the curve x y a
2/3 2/3 2/3
+ = .
Solution.
The given curve is x y a
2 3 2 3 2 3
/ / /
.
+ = (1)
∴ Area A ydx
a
b
= ∫
The curve is symmetric w.r.to both the axes. ∴ the area in the four quadrants are equal.
Equation (1) ⇒ y a x y a x
2 3 2 3 2 3 2 3 2 3 3 2
/ / / / / /
= − ⇒ = −
⎡
⎣ ⎤
⎦
When y = 0, x a x a x a
2 3 2 3 2 2
/ /
= ⇒ = ⇒ = ±
O
y
y′
x
x′
B′
A′ A
B
(−a, 0) (a, 0)
Fig. 6.5
M06_ENGINEERING_MATHEMATICS-I _CH06_PART A.indd 57 5/19/2016 4:54:27 PM
6.58 ■ Engineering Mathematics
∴ area A = ×
4 Area in the first quadrant
= = −
∫ ∫
4 4
0
2 3 2 3 3 2
0
ydx a x dx
a a
( )
/ / /
Put x a
= sin3
u ∴ =
dx a d
3 2
sin cos
u u u
When x = 0, sinu u
= ⇒ =
0 0 and
When x a
= , sinu u
p
= ⇒ =
1
2
∴ area A a a a d
= −
⎡
⎣ ⎤
⎦
∫
4 3
2 3 2 3 2
0
2 3 2
2
/ /
/ /
sin sin cos
u u u u
p
= −
=
∫
∫
12 1
12
2 2 3 2
0
2
2
2 3
0
2
2
a d
a d
( sin ) sin cos
cos sin cos
/
/
/
u u u u
u u u
p
p
u
u
u u u
p
= ∫
12 2 4
0
2
2
a d
cos sin
/
u u
p
=
−
+ ∫
12
2 1
4 2
2 4
0
2
a d
cos
/
p
p
Using reduction formula
4 is
[ ]
= ⋅ ⋅ ⋅ = =
12
6
3
4
1
2 2
3
8
2
2
a
a n
{ e
even
[ ]
EXAMPLE 3
Show that the area of the loop of the curve ay a x
2 2
( )
5 2
x is
8
15
2
a
.
Solution.
The given curve is ay x a x
2 2
= −
( ) ( )
1
To find the loop of the curve, first trace the curve.
Since the equation is of even degree in y, it is symmetric about the x-axis.
To find the intersection with the x-axis, put y = 0 in ( )
1
[ x a x x a
2
0 0 0
( ) , , .
− = ⇒ =
If x a y
 , 2
is negative ⇒ y is imaginary. So, the curve does not exit beyond x a
= .
Tangents at the origin is obtained by equating the lowest degree terms to zero.
[ ay ax y x y x
2 2 2 2
0
− = ⇒ = ⇒ = ±
∴ the loop of the curve is a shown in Fig 6.7.
O
y
y′
x
x′ (a, 0)
(0, a)
(0, −a)
(−a, 0)
Fig. 6.6
M06_ENGINEERING_MATHEMATICS-I _CH06_PART A.indd 58 5/19/2016 4:54:31 PM
Integral Calculus ■ 6.59
Let A be the area of the loop of the curve.
[ A = ×
2 area of the loop above the x-axis
= =
−
= −
∫ ∫
∫
2 2
2
0 0
0
ydx
x a x
a
dx
a
x a xdx
a a
a
Put t a x dx dt dx dt
= − ∴− = ⇒ = −
When x t a
= =
0, and when x a t
= =
, 0
[ A
a
a t t dt
a
= − −
∫
2
0
( ) ( ) = − −
∫
2
0
a
a t tdt
a
( )
= −
∫
2 1 2 3 2
0
a
at t dt
a
( )
/ /
= −
⎡
⎣
⎢
⎤
⎦
⎥
2
3 2 5 2
3 2 5 2
0
a
at t
a
/ /
/ /
= ⋅ −
⎡
⎣
⎢
⎤
⎦
⎥ = −
⎡
⎣
⎢
⎤
⎦
⎥ = ⋅ ⋅ =
4
3 5
4
3 5
4
2
15
8
3 2 5 2 5 2 5 2 5 2 2
a
a
a a
a
a a
a
a a
/ / / / /
1
15
EXAMPLE 4
Find the area bounded by the curve y a x x
2 3
2
( )
2 5 and its asymptote.
Solution.
The given curve is y a x x
2 3
2
( )
− = ⇒ =
−
y
x
a x
2
3
2
( )
( )
1
The equation is even degree in y. So, the curve is symmetric about the x-axis.
To find the point of intersection with the x-axis, put y = 0 in ( )
1
∴ x x
3
0 0
= ⇒ = .
When x = 2a, y2
is infinite
∴ x a
= 2 is an asymptote.
Tangent at the origin is y = 0, the x-axis.
The curve will be as shown in the figure.
Let A = area bounded by the asymptote
∴ A = ×
2 area above the x-axis
= ∫
2
0
2
y dx
a
=
−
∫
2
2
0
2
x
x
a x
dx
a
O
y
x
y = x
y = −x
(a, 0)
Fig. 6.7
O
y
y′
x
x′
(2a, 0)
x = 2a
Fig. 6.8
M06_ENGINEERING_MATHEMATICS-I _CH06_PART A.indd 59 5/19/2016 4:54:36 PM
6.60 ■ Engineering Mathematics
Put x a
= 2 2
sin u [ dx a d
= 4 sin cos
u u u
When x = = ⇒ =
0 0 0
, sinu u and when x a
= = ⇒ =
2 1
2
2
, sin u u
p
[ A a
a
a a
a d
=
−
∫
2 2
2
2 2
4
2
2
2
0
2
sin
sin
sin
sin cos
u
u
u
u u u
p
=
−
∫
16
1
2 3
2
0
2
a d
sin
sin cos
sin
u
u u
u
u
p
?
= ⋅
∫
16 2 4
0
2
a d
sin
cos
cos
u
u
u
u
p
= = ⋅ ⋅ ⋅ =
∫
16 16
3
4
1
2 2
3
2 4
0
2
2 2
a d a a
sin u u
p
p
p
.
EXAMPLE 5
Compute the area bounded by the curve y x x x
5 2 1 1
4 3 2
2 3 , the x 5 axis and the ordinates
corresponding to the points of minimum of the function.
Solution.
Given y x x x
= − + +
4 3 2
2 3 [
dy
dx
x x x
= − +
4 6 2
3 2
For maximum or minimum
dy
dx
= 0
⇒ x x x
− + =
4 6 2 0
3 2
⇒ 2 2 3 1 0
2
x x x
[ ]
− + = ⇒ 2 2 1 1 0
x x x
( )( )
− − = ⇒ =
x 0
1
2
1
, ,
Now
d y
dx
x x
2
2
2
12 12 2
= − +
When x
d y
dx
= = 
0 2 0
2
2
, . [ y is minimum.
When x
d y
dx
= =
⎛
⎝
⎜
⎞
⎠
⎟ − + = − + = − 
1
2
12
1
2
12
1
2
2 3 6 2 1 0
2
2
2
, ? ? [ y is maximun.
When x
d y
dx
= = − + = 
1 12 1 12 1 2 2 0
2
2
, ? ? [ y is minimum
∴ the minimum points correspond to x = 0 and x = 1 and the curve is above the x-axis in this interval.
∴ required area is A ydx
= ∫
0
1
= − + +
= − + +
⎡
⎣
⎢
⎤
⎦
⎥ = − + + − =
∫( )
x x x dx
x x x
x
4 3 2
0
1
5 4 3
0
1
2 3
5
2
4 3
3
1
5
1
2
1
3
3 0
6 −
− + +
=
15 10 90
30
91
30
M06_ENGINEERING_MATHEMATICS-I _CH06_PART A.indd 60 5/19/2016 4:54:40 PM
Integral Calculus ■ 6.61
EXAMPLE 6
The gradient of a curve at any point is x x
2
4 3
2 1 and the curve passes through ( , )
3 1 . Find the
area enclosed by this curve, the x-axis and the maximum and minimum ordinates.
Solution.
Let y f x
= ( ) be the equation the curve.
Given the slope of the curve at any point is x x
2
4 3
− + .
We know that the slope of the curve at any point is the same as the slope of the tangent at that point.
At any point( , )
x y , the slope of the tangent is
dy
dx
.
[
dy
dx
x x
= − +
2
4 3
Integrating w.r.to x,
y x x dx
= − +
∫( )
2
4 3
⇒ y
x x
x c
= − + +
3 2
3
4
2
3 ⇒ y
x
x x c
= − + +
3
2
3
2 3
It passes through the point ( , )
3 1
[ 1
3
3
2 3 3 3
3
2
= − + +
? ? c = − + + ⇒ =
9 18 9 1
c c
∴ the equation of the curve is
y
x
x x
= − + +
3
2
3
2 3 1 ( )
1
For maximum or minimum,
dy
dx
= 0 ⇒ x x
2
4 3 0
− + = ⇒ ( )( )
x x
− − =
3 1 0 ⇒ =
x 1 3
,
and
d y
dx
x
2
2
2 4
= −
When x =1,
d y
dx
= − = − 
2 1 4 2 0
2
2
? ∴ y is maximum at x = 1.
When x =3,
d y
dx
= − = 
6 4 2 0
2
2
∴ y is minimum at x = 3
∴ area bounded by the curve ( )
1 , the x-axis and the maximum and the minimum ordinates is
A y dx
= ∫
1
3
= − + +
⎛
⎝
⎜
⎞
⎠
⎟ = − + +
⎡
⎣
⎢
⎤
⎦
⎥
∫
x
x x dx
x x x
x
3
2
1
3 4 3 2
1
3
3
2 3 1
1
3 4
2
3
3
2
? ? ?
M06_ENGINEERING_MATHEMATICS-I _CH06_PART A.indd 61 5/19/2016 4:54:45 PM
6.62 ■ Engineering Mathematics
= − − − + − + −
= × − × + × +
=
1
12
3 1
2
3
3 1
3
2
3 1 3 1
1
12
80
2
3
26
3
2
8 2
4 4 3 3 2 2
( ) ( ) ( ) ( )
2
20
3
52
3
14
20 52 42
3
10
3
− + =
− +
=
EXAMPLE 7
Find the area of the propeller shaded region enclosed by the curves x y
2 5
1 3
0 and x y
2 5
1 5
0.
Solution.
The given curves are
x y x y
− = ⇒ =
1 3 3
0 ( )
1
and x y x y
− = ⇒ =
1 5 5
0 ( )
2
To find the points of intersection solve ( )
1 and ( )
2
∴ x x x x
3 5 3 2
1 0
= ⇒ − =
( )
⇒ x 0 1 1
= − +
, ,
When x y x y
= − = − = =
1 1 1 1
, ,
and when
The curves are symmetric about the origin.
Area bounded by the curves is
A = 2[area in theIquadrant]
= −
( )
= −
⎡
⎣
⎢
⎤
⎦
⎥ = −
⎡
⎣
⎢
⎤
⎦
⎥ =
−
⎡
⎣
⎢
⎤
⎦
⎥ =
∫
2
2
4 6
2
1
4
1
6
2
3 2
12
2
1
3 5
0
1
4 6
x x dx
x x
1
12
1
6
⎛
⎝
⎜
⎞
⎠
⎟ =
EXAMPLE 8
Find the area between the curves y x x x
5 1 1 1
4 3
16 4 and y x x x
5 1 1 1
4 2
6 8 4 .
Solution.
Let f x x x x
( ) = + + +
4 3
16 4
g x x x x
( ) = + + +
4 2
6 8 4
Now f x g x x x x
( ) ( )
− = − +
3 2
6 8
The points of intersection of the two
curves is given by f x g x
( ) ( )
− = 0
⇒ x x x
3 2
6 8 0
− + =
O
(1, 1)
(1, 0)
(−1, −1)
(−1, 0)
y
x
Fig. 6.9
y
x
O
(0, 4)
x = 2 x = 4
Fig. 6.10
M06_ENGINEERING_MATHEMATICS-I _CH06_PART A.indd 62 5/19/2016 4:54:48 PM
Integral Calculus ■ 6.63
⇒ x x x
( )
2
6 8 0
− + =
⇒ x x x
( )( )
+ − =
2 4 0
⇒ x = 0 2 4
, ,
When x = 0, y = 4.
In the interval [ , ]
0 4 , the curves intersect at x = 2.
Required area is A f x g x dx f x g x dx
= − + −
∫ ∫
( ( ) ( )) ( ( ) ( ))
0
2
2
4
Now f x g x dx x x x dx
( ) ( ) ( )
− = − +
∫ ∫
0
2
3 2
0
2
6 8
= − +
⎡
⎣
⎢
⎤
⎦
⎥ = − + = − + =
x x x
4 3 2
0
2 4
3 2
4
6
3
8
4
2
4
2 2 2 2 4 16 16 4
? ?
and ( ( ) ( )) ( )
f x g x dx x x x dx
− = − +
∫ ∫
2
4
3 2
2
4
6 8
= − +
⎡
⎣
⎢
⎤
⎦
⎥
= − − − + −
=
x x x
4 3 2
2
4
4 4 3 3 2 2
4
6
3
8
4
1
4
4 2 2 4 2 2 4 2
1
4
240
( ) ( ) ( )
( ) −
− + = − + = −
2 56 4 12 60 112 48 4
( ) ( )
∴ Area A = + − = + =
4 4 4 4 8.
EXAMPLE 9
Find the area bounded by y x x y x x y x x x
5 5 52 1 1
, [ , ], , [ , ] , [ , ]
∈ ∈ ∈
0 1 1 2 2 4 0 2
2 2
and .
Solution.
The given curves are y x x
= ∈
, [ , ]
0 1
⇒ y x x
2
0 1
= ∈
, [ , ] ( )
1
y x x
= ∈
2
1 2
, [ , ] ( )
2
and y x x
= − + +
2
2 4 ( )
3
= − − + = − − − + = − − +
( ) [( ) ] ( )
x x x x
2 2 2
2 4 1 1 4 1 5
⇒ y x
− = − −
5 1 2
( ) ,
M06_ENGINEERING_MATHEMATICS-I _CH06_PART A.indd 63 5/19/2016 4:54:52 PM
6.64 ■ Engineering Mathematics
Which is a downward parabola with vertex
( , )
1 5 and axis x = 1 as in Fig 6.11.
[ area A y dx y dx y dx
= − −
∫ ∫ ∫
( ) ( )
( )
3
0
2
1
0
1
2
1
2
= − + + − −
∫ ∫ ∫
( )
x x dx xdx x dx
2
0
2
0
1
2
1
2
2 4
= − + +
⎡
⎣
⎢
⎤
⎦
⎥ −
⎡
⎣
⎢
⎤
⎦
⎥ −
⎡
⎣
⎢
⎤
⎦
⎥
x x
x
x x
3 2
0
2 3 2
0
1 3
1
2
3
2
2
4
3 2 3
= − + + ⋅ − − − − −
2
3
2 4 2 0
2
3
1 0
1
3
2 1
3
2 3 3
[ ] [ ]
= − + + − − = − + =
− +
=
8
3
4 8
2
3
7
3
17
3
12
17 36
3
19
3
EXAMPLE 10
For any real t x
e e
y
e e
t t t t
, ,
5
1
5
2
2 2
2 2
is a point on the hyperbola x y
2 2
1
2 5 . Show that the
area bounded by this hyperbola and the lines joining its centre to the points corresponding to
t t
1 1
and2 is t1
.
Solution.
The given equation of the hyperbola is
x y
2 2
1
− = ( )
1
Also given x
e e
y
e e
t R
t t t t
=
+
=
−
∈
− −
2 2
, ; ( )
2
[
e e e e
t t t t
+ −
⎛
⎝
⎜
⎞
⎠
⎟
− −
2 2
, are the coordinates of any
point on the rectangular hyperbola x y
2 2
1
− = .
Centre of the hyperbola is the origin O.
Let P be the point on the hyperbola corresponding
to the parameter t t
= 1.
[ P
e e e e
t t t t
=
+ −
⎛
⎝
⎜
⎞
⎠
⎟
− −
1 1 1 1
2 2
,
O
P
t1
X
Y
Q
R
A
Fig. 6.12
y2
= x
y2
= x
y = −x2
+ 2x + 4
x2
= y
x = 1 x = 2
(1, 5)
x
y
O
Fig. 6.11
M06_ENGINEERING_MATHEMATICS-I _CH06_PART A.indd 64 5/19/2016 4:54:55 PM
Integral Calculus ■ 6.65
Let Q be the point on the curve corresponding to t t
= − 1.
[ Q
e e e e
t t t t
=
+ −
⎛
⎝
⎜
⎞
⎠
⎟
− −
1 1 1 1
2 2
, =
+
−
−
⎛
⎝
⎜
⎞
⎠
⎟
− −
e e e e
t t t t
1 1 1 1
2 2
,
[ P Q
and have same x-coordinates but y-coordinates have opposite signs.
Hence, Q is the image of Pin the x-axis and so PQ is perpendicular to the x-axis
Since the points P Q
and and the curve are symmetric about the x-axis, OP and OQ are symmetric
about the x-axis.
So, the area bounded by OP, OQ and the curve is = 2 (area above x-axis)
Let PQ cuts the x-axis at R.
[ the required area = 2[Areaof the right angled OPR area APR
Δ − ]
where area APR is the area bounded by the curve, the x-axis and the line PR.
Now area of ΔOPR OR PR
= ⋅
1
2
=
+
⋅
−
= −
− −
−
1
2 2 2
1
8
1 1 1 1
1 1
2 2
e e e e
e e
t t t t
t t
( )
and the area APR y
dx
dt
dt
t
= ∫
0
1
[ ]
{ t A
= 0correspondsto
Since y
e e
x
e e dx
dt
e e
t t t t t t
=
−
=
+
∴ =
−
− − −
2 2 2
and [ ]
{ t t P
= 1 correspondsto
[ area APR
e e e e
dt
t t
t t t
=
−
⋅
− −
∫ 2 2
0
1
−
= −
= + −
= +
−
−
⎡
⎣
−
−
−
∫
∫
1
4
1
4
2
1
4 2 2
2
2
0
2 2
0
2 2
1
1
( )
( )
e e dt
e e dt
e e
t
t t
t
t t
t
t t
⎢
⎢
⎤
⎦
⎥
0
1
t
= − − − −
⎛
⎝
⎜
⎞
⎠
⎟
⎡
⎣
⎢
⎤
⎦
⎥ = − −
−
−
1
4 2 2
2
1
2
1
2
0
1
8 2
2 2
1
2 2 1
1 1
1 1
e e
t e e
t
t t
t t
− ( )
∴ required area A = − − − −
⎧
⎨
⎩
⎫
⎬
⎭
⎡
⎣
⎢
⎤
⎦
⎥ =
⎛
⎝
⎜
⎞
⎠
⎟
− −
2
1
8
1
8 2
2
2
2 2 2 2 1 1
1 1 1 1
( ) ( )
e e e e
t t
t t t t
=
= t1.
M06_ENGINEERING_MATHEMATICS-I _CH06_PART A.indd 65 5/19/2016 4:54:59 PM
6.66 ■ Engineering Mathematics
EXERCISE 6.5
1. Find the area bounded by the curve x y
+ = 1and the coordinate axes.
2. Find the area bounded by the parabola and its latus rectum.
3. Find the area bounded by the curve y x x
= −
3
4 and the x-axes.
4. Find the area of the curve y x x
2 4 2
9
= −
( ).
5. Find the area bounded by the curve and its asymptote
(i) y
x
x
2
3
2
=
−
(ii) y
a x
a x
2
2
=
−
(iii) xy a a x
2 2
= −
( )
6. Find the area of the loop of the curve
(i) a y x a x
2 2 3
= −
( ) (ii) 3 2 2
ay x x a
= −
( ) (iii) y
a a x
a x
2
2 2 2
2 2
=
−
+
( )
7. Find the area in the I quadrant bounded by y x
2
= , the x-axis and the line x y
− = 2.
8. Find the area bounded by y ax
2
4
= and x by
2
4
= .
9. Find the area bounded by the parabola y x
= 2
and the line 2 3 0
x y
− + = .
10. Show that the larger of the two areas into which the circle x y a
2 2 2
64
+ = is divided by the parabola
y ax
2
12
= is
16
3
8 3
2
a
( )
p − .
11. Find the area bounded by the parabola x y
= −2 2
, x y
= −
1 3 2
.
12. Find the area bounded by x y
2
4
= and y
x
=
+
8
4
2
.
13. Find the area of the region bounded by the parabola y x x
= − − +
2
2 3, the tangent at the point
P( , )
2 5
− on the curve and the y-axis.
14. Find the area of the loop of the curve y x
a x
a x
2 2
=
−
⎛
⎝
⎜
⎞
⎠
⎟
+
.
15. Find the area of the curve y x
= sin bounded by the x-axis (i) in [0, 2p] and (ii) in [−p, p].
16. Compute the area bounded by the curve by y x
= and y x
= 2
.
17. Find the area bounded by the curve x y
2
4
= and the straight line x y
= −
4 2.
18. Show that the parabola y x
2
= divides the circle x y
2 2
2
+ = into two portions whose area are in
the ratio ( ) : ( ).
9 2 3 2
p p
− +
19. Find the area bounded by one arch of the cycloid x a y a
= − = −
( sin ), ( cos )
u u u
1 and its base.
M06_ENGINEERING_MATHEMATICS-I _CH06_PART A.indd 66 5/19/2016 4:55:05 PM
Integral Calculus ■ 6.67
ANSWERS TO EXERCISE 6.5
1.
1
6
2.
8
3
2
a 3. 8 4.
31
4
p
5. (i) 3p (ii) pa2
(iii) pa2
6. (i)
p
8
2
a (ii)
8 3
45
2
a (iii)
1
2
2 2
( )
p − a
7.
10
3
8.
16
3
ab
9.
32
3
11.
4
3
12. 2
4
3
p − 13.
8
3
14.
a2
2
4
( ).
p + 15. (i) 4, (ii) 4
16. 1
3
17. 9
8
6.5.1 (b) Area in Polar Coordinates
Formula: The area bounded by the curve r f
= ( )
u and the radius vectors u a u b
= =
and is
A r d
= ∫
1
2
2
u
a
b
.
Proof
Given r f
= ( )
u is the equation of the curve.
Let A B
and be two points on the curve with radii
vectors u a u b
= =
and
f ( )
u is continuous in [ , ]
a b
Let P r
( , )
u and Q r r
( , )
+ +
Δ Δ
u u be
neighbouring points on the curve.
Let ΔA be the element area of the strip OPQ.
Then Δ Δ
A r
=
1
2
2
u approximately.
∴ Δ Δ
A r
∑ ∑
=
1
2
2
u
The limit of ΔA
∑ as Δu → 0 is the area of OAB.
∴ area of the region OAB =
1
2
2
r du
a
b
∫ = ∫
1
2
2
r du
a
b
. ■
x
B
A
P (r, θ)
Q (r + Δr, θ + Δθ)
Δθ
β
α
O
Fig. 6.13
M06_ENGINEERING_MATHEMATICS-I _CH06_PART A.indd 67 5/19/2016 4:55:12 PM
6.68 ■ Engineering Mathematics
WORKED EXAMPLES
EXAMPLE 1
Find the area of the cardioid r a
5 1 u
( cos ).
1
Solution.
The given curve is r a
= +
( cos )
1 u .
∴ area A r d
= ∫
1
2
2
u
a
b
The equation is unaffected if u is changed to −u,
because cos( ) cos
− =
u u.
∴ the curve is symmetric about the initial line OX
and u varies from 0 to p.
∴ area of the curve = 2 (area above OX)
Area A r d a d
= × = +
∫ ∫
2
1
2
1
2
0
2
0
u u u
p p
( cos )
= + +
= + +
+
⎡
⎣
⎢
⎤
⎦
⎥
=
∫
∫
a d
a d
a
2 2
0
2
0
2
1 2
1 2
1 2
2
3
2
( cos cos )
cos
cos
u u u
u
u
u
p
p
+
+ +
⎡
⎣
⎢
⎤
⎦
⎥
= + +
⎡
⎣
⎢
⎤
⎦
⎥
=
∫ 2
2
2
3
2
2
2
4
3
2
0
2
0
2
cos
cos
sin
sin
u
u
u
u u
u
p
p
p
d
a
a +
+ + −
⎡
⎣
⎢
⎤
⎦
⎥ =
2
2
4
0
3
2
2
sin
sin
p
p pa
EXAMPLE 2
Find the area outside the circle r a
5 u
2 cos and inside the cardioid r a
5 1 u
( cos )
1 .
Solution.
Given the circle r a
= 2 cosu ( )
1
and the cardioid r a
= +
( cos )
1 u ( )
2
The required area is as shown in the Fig 6.15,
since the circle lies inside the cardioid.
From ( )
1 , when u = =
0 2
, r a
and when u = =
p
2
0
, r
x
(a, 0)
O (2a, 0)
Fig. 6.15
θ = π
θ = 0
2θ x
θ
r
O
Fig. 6.14
M06_ENGINEERING_MATHEMATICS-I _CH06_PART A.indd 68 5/19/2016 4:55:18 PM
Integral Calculus ■ 6.69
To find the point of intersection, solve ( )
1 and ( )
2
∴ a a
( cos ) cos
1 2
+ =
u u ⇒ cosu u p
= =
1 0 2
⇒ or
When u
p
= = ⋅ =
3
2
1
2
, r a a [From (1)]
That is the circle lies inside the cardioid.
Required area A = Area of the cardioid − Area of the circle
Area of the cardioid =
3
2
2
pa
[by example 1]
Area of the circle = pa2
, since radius is a.
∴ required area = − =
3
2 2
2
2
2
p
p
p
a
a
a
.
EXAMPLE 3
Find the area of a loop of the curve r a
5 u
sin3 .
Solution.
Given the curve is r a
= sin3u
When u = =
0 0
, r
When u
p p
= = =
6 2
, sin
r a a, which is the
maximum value of r.
When u
p
p
= = =
3
0
, sin
r a
So, as u varies from 0 to
p
6
, x goes from 0 toA
and as u varies from
p
6
to
p
3
, x comes from A
to 0.
So, as u varies from 0
3
to
p
, we get a loop as
in Fig. 6.16.
Area of the loop = ∫
1
2
2
0
3
r du
p
= =
−
⎡
⎣
⎢
⎤
⎦
⎥
=
⎡
⎣
⎢
⎤
⎦
∫ ∫
1
2
3
2
1 6
2
4
6
6
2 2
0
3 2
0
3
2
a d
a
d
a
sin
cos
sin
u u
u
u
u
u
p p
− ⎥
⎥ = − −
⎡
⎣
⎢
⎤
⎦
⎥ =
0
3 2 2
4 3
2
6
0
12
p
p p p
a a
sin
x
y
A
θ = 0
O
θ =
2
π
θ =
3
π
θ =
6
π
60°
30°
Fig. 6.16
M06_ENGINEERING_MATHEMATICS-I _CH06_PART A.indd 69 5/19/2016 4:55:25 PM
6.70 ■ Engineering Mathematics
EXAMPLE 4
Show that the area between the cardioids r a
5 1 u
( cos )
1 and r a
5 2 u
( cos )
1 is
( )
.
3 8
2
2
p 2
a
Solution.
The given equations of the two cardioids are
r a
= +
( cos )
1 u ( )
1
r a
= −
( cos )
1 u ( )
2
The area common to the cardioids is the two shaded regions as in Fig 6.17, which are equal in area,
because both the curves are symmetric about the initial line.
Common Area A = 2[area of the part above the line of OX ].
The two cardioids interact at u
p p
=
2
3
2
, . since a(1 − cosu) = a(1 + cosu) ⇒ cosu = 0 ⇒ u
p p
=
2
3
2
, .
But area of the loop above the line OX = ⋅ =
∫ ∫
2
1
2
2
0
2
2
0
2
r d r d
u u
p p
where r is from the cardioid ( )
2 .
Now r d a d
2
0
2
2 2
0
2
1
u u u
p p
∫ ∫
= −
( cos ) = − +
= − +
+
⎛
⎝
⎜
⎞
⎠
⎟
=
∫
∫
a d
a d
a
2 2
0
2
2
0
2
2
1 2
1 2
1 2
2
( cos cos )
cos
cos
u u u
u
u
u
p
p
3
3
2
2
2
2
3
2
2
2
4
0
2
2
0
2
− +
⎛
⎝
⎜
⎞
⎠
⎟
= − +
⎛
⎝
⎜
⎞
⎠
⎟
=
∫ cos
cos
sin
sin
u
u
u
u u
u
p
p
d
a
a2
2 2 2
3
2 2
2
2 4
0
3
4
2
3 8
4
⋅ − + −
⎛
⎝
⎜
⎞
⎠
⎟ = −
⎛
⎝
⎜
⎞
⎠
⎟ =
−
p p p p p
sin
sin ( )
a a
x
A
A′
(2a, 0)
(−2a, 0) r = 2a
r = a(1 − cos θ) r = a(1 + cos θ)
r = 2a
θ =
2
π
O
P
Fig. 6.17
M06_ENGINEERING_MATHEMATICS-I _CH06_PART A.indd 70 5/19/2016 4:55:30 PM
Integral Calculus ■ 6.71
∴ area of the loop above the x-axis =
a2
3 8
4
( )
p −
∴ common Area A
a a
= × − = −
2
4
3 8
2
3 8
2 2
( ) ( )
p p .
EXAMPLE 5
Prove that the area of the loop of the curve x y axy
3 3
3
1 5 is
3
2
2
a
.
Solution.
The given curve is x y axy
3 3
3
+ = ( )
1
Transform ( )
1 to polar coordinates by putting x r
5 u
cos and y r
5 u
sin
∴ the equation ( )
1 becomes r r ar
3 3 3 3
3
cos sin cos sin
u u u u
+ =
⇒ r ar
3 3 3 2
3
(cos sin ) cos sin
u u u u
+ =
⇒ r a
(cos sin ) cos sin
3 3
3
u u u u
+ = ⇒ r
a
=
+
3
3 3
sin cos
cos sin
u u
u u
If r = 0, then cos sin
u u = 0 ⇒ = ⇒ = ⇒ =
sin
sin
2
2
0 2 0 2 0
u
u u u p
or 2 =
⇒ u u
p
= 0
2
or = , which are the limits for u.
As u varies from 0 to
p
2
, we get a loop of the curve, because r varies from 0 to 0.
For the figure, refer the Fig 3.32, page 3.133
∴ area of the loop is A r d
= ∫
1
2
2
0
2
u
p/
=
+
=
∫
1
2
9
9
2
2 2 2
3 3 2
0
2
2 2 2
6
a
d
a
sin cos
(cos sin )
sin cos
cos (
/
u u
u u
u
u u
u
p
1
1
9
2 1
3 2
0
2 2 2 2
3
0
2
+
=
+
∫ ∫
tan )
tan sec
( tan )
/ /
u
u
u u
u
u
p p
d
a
d
Put t = +
1 3
tan u ∴ dt d
= 3 2 2
tan sec
u u u ⇒ tan sec .
2 2 1
3
u u5
d dt
When u = = + ⇒ =
0 1 0 1
3
, tan
t t and when u
p p
= = + ⇒ =
2
1
2
3
, tan
t t ∞
∴ A
a
t
dt
= ∫
9
2
1
3
2
2
1
∞
= =
− +
⎡
⎣
⎢
⎤
⎦
⎥
= − ⎡
⎣ ⎤
⎦ = −
−
− +
−
∫
3
2
3
2 2 1
3
2
3
2
1
2
2
1
2 2 1
1
2
1
1
2
a
t dt
a t
a
t
a
t
∞ ∞
∞ ⎡
⎡
⎣
⎢
⎤
⎦
⎥ = − −
⎡
⎣
⎢
⎤
⎦
⎥ = − − =
1
2 2 2
3
2
1
1
3
2
0 1
3
2
∞
∞
a a a
[ ]
M06_ENGINEERING_MATHEMATICS-I _CH06_PART A.indd 71 6/3/2016 8:26:42 PM
6.72 ■ Engineering Mathematics
EXERCISE 6.6
1. Find the area of the cardioid r a
= −
( cos ).
1 u
2. Find the area of circle r = +
3 2sinu..
3. Find the area of the lemniscate r a
2 2
2
= cos .
u
4. Find the area common to the circles r a
= 2 and r a
= 2 cosu.
5. Find the area of the loop of the curve r a
= sin 2u.
6. Find the area of circle r a
= 2 cos .
u
7. Show that the curve r = +
3 2cosu consists of a single oval and find its area.
ANSWERS TO EXERCISE 6.6
1.
3
2
2
pa
2. pa2
3. a2
4. a2
1
( )
p − 5.
pa2
8
.
6. pa2
7. 11p
6.5.2 Length of the Arc of a Curve
The process of finding the length of a continuous curve is known as rectification.
A curve having arc length is said to be a rectifiable curve.
As in the case of area, we can find the arc length in Cartesian and polar coordinates.
6.5.2 (a) Length of the Arc in Cartesian Coordinates
Let y f x
= ( ) be the Cartesian equation of the curve whose length is required between x a
= and x b
= .
F
x = a x = b
P(x, y) Q(x + Δx, y + Δy)
A
B
y
x
Δx
Δy
Δs
Fig. 6.18
Let the arc length be measured from a fixed point F on the curve. Let the lines x a
= and x b
= meet
the curve at Aand Brespectively.
Let FA s
= 1 and FB s
= 2 .
Let P x y
( , ) and Q x x y y
( , )
+ +
Δ Δ are neighbouring points on the curve such that FP s
= and
FQ s s
= + Δ .
Let PQ s
= Δ be the element arc.
M06_ENGINEERING_MATHEMATICS-I _CH06_PART A.indd 72 5/19/2016 4:55:42 PM
Integral Calculus ■ 6.73
The sum of such element arcs Δs
∑ gives approximately arc AB.
The limit when the largest element Δs → 0, we have the length of arc AB ds
s
s
= ∫
1
2
1. Since A and B on the curve correspond to x a
= and x b
= ,
we have arc length = ∫
ds
dx
dx
a
b
We know ( ) ( ) ( )
ds dx dy
ds
dx
dy
dx
2 2 2
2
1
= + = +
⎛
⎝
⎜
⎞
⎠
⎟
⇒
∴ s
dy
dx
a
b
= +
⎛
⎝
⎜
⎞
⎠
⎟
∫ 1
2
dx
2. If the points A and B on the curve corresponding to y c
= and y d
= , then the arc length
= = +
⎛
⎝
⎜
⎞
⎠
⎟
∫ ∫
ds
dy
dy
dx
dy
c
d
c
d
1
2
dy
3. Parametric form
If x f t
= ( ) and y g t
= ( ) be the parametric equations of the given curve y f x
= ( ) and the limits of
t are t1 and t2 , then arc length
= =
⎛
⎝
⎜
⎞
⎠
⎟ +
⎛
⎝
⎜
⎞
⎠
⎟
∫ ∫
ds
dt
dt
dx
dt
dy
dt
t
t
t
t
1
2
1
2 2 2
dt
WORKED EXAMPLES
EXAMPLE 1
Find the length of arc of the curve x y
3 2
= from x x
= =
0 1
to
Solution:
Given x y
3 2
= and a b
= =
0 1
, ( )
1
Length of arc s
ds
dx
dx
dy
dx
dx
a
b
= = +
⎛
⎝
⎜
⎞
⎠
⎟
∫ ∫ 1
2
0
1
Differentiating ( )
1 w.r.to x, we get
3 2
3
2
2
2
x y
dy
dx
dy
dx
x
y
= ⇒ =
∴ 1 1
9
4
1
9
4
1
9
4
2 4
2
4
3
+
⎛
⎝
⎜
⎞
⎠
⎟ = + = + = +
dy
dx
x
y
x
x
x
∴ 1 1
9
4
2
+
⎛
⎝
⎜
⎞
⎠
⎟ = +
dy
dx
x
M06_ENGINEERING_MATHEMATICS-I _CH06_PART A.indd 73 5/19/2016 4:55:47 PM
6.74 ■ Engineering Mathematics
∴ s
x
dx
= +
∫ 1
9
4
0
1
= +
⎛
⎝
⎜
⎞
⎠
⎟
=
+
⎛
⎝
⎜
⎞
⎠
⎟
×
⎡
⎣
⎢
⎢
⎢
⎢
⎤
⎦
⎥
⎥
⎥
⎥
=
∫ 1
9
4
1
9
4
9
4
3
2
8
27
1 2
0
1
3 2
0
1
x
dx
x
/
/
1
1
9
4
1
8
27
13 13
8
1
1
27
13 13 8
3 2
+
⎛
⎝
⎜
⎞
⎠
⎟ −
⎡
⎣
⎢
⎤
⎦
⎥ = −
⎡
⎣
⎢
⎤
⎦
⎥ = −
/
[ ]
EXAMPLE 2
Find the length of one loop of the curve 3 2 2
ay x x a
5 2
( ) .
Solution.
Given 3 2 2
ay x x a
= −
( ) (1)
It is even degree in y and so symmetric about the
x-axis.
When y x x a x a a
= − = ⇒ =
0 0 0
2
, ( ) , ,
That is the curve meets the x-axis at x = 0 and
x = a two times
So, we get a loop between x = 0 and x = a as in
Fig 6.19.
Let A be the point (a, 0) on the x-axis
Length of the arc OA
ds
dx
dx
a
= ∫
0
∴ length of the loop = 2 × the length of arc OA
= = +
⎛
⎝
⎜
⎞
⎠
⎟
∫
∫
2 2 1
2
0
0
ds
dx
dx
dy
dx
a
a
dx
Differentiating (1) w.r.to x, we get
6 2 1
2 3
2
ay
dy
dx
x x a x a
x a x x a x a x a
= ⋅ − + − ⋅
= − + + − = − −
( ) ( )
( ) ( ) ( )( )
⇒
dy
dx
x a x a
ay
=
− −
( )( )
3
6
∴
dy
dx
x a x a
a y
⎛
⎝
⎜
⎞
⎠
⎟ =
− −
2 2 2
2 2
3
36
( ) ( )
=
− −
−
=
−
( ) ( )
( )
( )
x a x a
ax x a
x a
ax
2 2
2
2
3
12
3
12
∴ 1 1
3
12
12 3
12
2 2 2
+
⎛
⎝
⎜
⎞
⎠
⎟ = +
−
=
+ −
dy
dx
x a
ax
ax x a
ax
( ) ( )
{ ( )
( )
( )
ax b
ax b
a n
n
n
n
+ =
+
+
⎡
⎣
⎢
⎤
⎦
⎥
+
∫
1
1
1
if ≠ −
y
x
A
x = a
(a, 0)
O
Fig. 6.19
M06_ENGINEERING_MATHEMATICS-I _CH06_PART B.indd 74 5/19/2016 3:09:31 PM
Integral Calculus ■ 6.75
=
+ − +
=
+ +
=
+
12 9 6
12
9 6
12
3
12
2 2 2 2 2
ax x ax a
ax
x ax a
ax
x a
ax
( )
∴ 1
3
12
3
2 3
2 2
+
⎛
⎝
⎜
⎞
⎠
⎟ =
+
=
+
dy
dx
x a
ax
x a
a x
( )
∴ length of the loop =
+
∫
2
3
2 3
0
x a
a x
dx
a
= +
⎡
⎣
⎢
⎤
⎦
⎥
= +
⎡
⎣ ⎤
⎦
= ⋅
∫
∫
−
1
3
3
1
3
3
1
3
3
3 2
0
2 1 2
0
3 2
a
x
a
x
dx
a
x ax dx
a
x
a
a
1/ /
/
/
+
+ ⋅
⎡
⎣
⎢
⎤
⎦
⎥
= + ⋅ −
⎡
⎣ ⎤
⎦ = +
⎡
a
x
a
a a a
a
a a
a
1 2
0
3 2 1 2 3 2 3 2
1 2
1
3
2 2 0
1
3
2 2
/
/ / / /
/
⎣
⎣ ⎤
⎦ =
⋅
=
4
3
4
3
1 2
a a
a
a
/
EXAMPLE 3
Find the length of the curve x y a
2 3 2 3 2 3
/
1 5
/ /
.
Solution.
The given curve is x y a
2 3 2 3 2 3
/ / /
+ = (1)
It is symmetric w.r.to both the axes
∴ the length of the arc is the same in all four
quardrants as in Fig 6.20.
When y x a x a x a
= = ⇒ = ⇒ ±
0 2 3 2 3 2 2
, / /
When x y a y a y a
= = ⇒ = ⇒ = ±
0 2 3 2 3 2 2
, / /
∴ length of the arc AB = length of the arc BC = length
of the arc CD = length of the arc DA
∴ length of the curve = 4 × length of the arc AB
= ∫
4
0
×
ds
dx
dx
a
Differentiating (1) w.r.to x, we get
2
3
2
3
0
1
3
1
3
x y
dy
dx
− −
+ =
O
C A
y
y′
x
B
D
x′ (a, 0)
(0, a)
(0, −a)
(−a, 0)
Fig. 6.20
M06_ENGINEERING_MATHEMATICS-I _CH06_PART B.indd 75 5/19/2016 3:09:35 PM
6.76 ■ Engineering Mathematics
⇒ y
dy
dx
x
− −
= −
1 3 1 3
/ /
⇒
dy
dx
x
y
y
x
= − = −
−
−
+
1 3
1 3
1 3
1 3
/
/
/
/
∴
dy
dx
y
x
⎛
⎝
⎜
⎞
⎠
⎟ =
2 2 3
2 3
/
/
∴ 1 1
2 2 3
2 3
2 3 2 3
2 3
+
⎛
⎝
⎜
⎞
⎠
⎟ = + =
+
dy
dx
y
x
x y
x
/
/
/ /
/
2 3
2 3
=
a
x
/
/
[from (1)]
∴ 1
2 2 3
2 3
1 3
1 3
1 3 1 3
+
⎛
⎝
⎜
⎞
⎠
⎟ = = = −
dy
dx
a
x
a
x
a x
/
/
/
/
/ /
∴ length of the curve is s a x dx
a
= ∫
−
4 1 3
0
1 3
/ /
=
− +
⎡
⎣
⎢
⎢
⎢
⎤
⎦
⎥
⎥
⎥
=
⎡
⎣
⎢
⎤
⎦
⎥ =
− +
4
1
3
1
4
2 3
6
1 3
1 3 1
0
1 3
2 3
0
1 3
a
x
a
x
a
a
a
/
/
/
/
/
/
(a
a a
2 3
0 6
/
)
− =
EXAMPLE 4
Find the length of the curve x a x a y
2 2 2 2 2
8
( )
2 5 .
Solution.
Given curve is x a x a y
2 2 2 2 2
8
( )
− = (1)
The equation of the curve is of even degree in x and y and so the curve is symmetric w.r.to both the
axes.
If y a x x x a a
= − = ⇒ = = −
0 0 0 0
2 2 2
, ( ) , ,
then x or
That is it meets the x-axis at the arigin x = 0 twice,
x = −a and x = a.
If x y
= = ±
0 0
, and if , 0
x a y
= =
∴ the curve passes through the origin and meets the
x-axis at the points A a
( , )
0 andB a
( , )
− 0 .
∴we get two loops of the curve as in Fig 6.21.
∴ total length of the curve is
s = 4 × length of the arc OA
4 4 1
0
2
0
ds
dx
dx
dy
dx
dx
a a
∫ ∫
= +
⎛
⎝
⎜
⎞
⎠
⎟
×
Differentiating (1) w.r.to x, we get
8 2 2 2
2 2 2 2
a y
dy
dx
x x a x x
= − + −
( ) ( )
= − + − = − + = −
2 2 2 4 2 2 2
3 2 3 3 2 2 2
x a x x x a x x a x
[ ]
y
x
O
A
B
(a, 0)
(−a, 0)
Fig. 6.21
M06_ENGINEERING_MATHEMATICS-I _CH06_PART B.indd 76 5/19/2016 3:09:40 PM
Integral Calculus ■ 6.77
∴
dy
dx
x a x
a y
=
−
[ ]
2 2
2
2
8
∴
dy
dx
x a x
a y
⎛
⎝
⎜
⎞
⎠
⎟ =
−
2 2 2 2
2 2
2
8
[ ( )]
( )
=
−
x a x
a a y
2 2 2 2
2 2 2
2
8 8
( )
.
=
−
⋅ −
=
−
−
x a x
a x a x
a x
a a x
2 2 2 2
2 2 2 2
2 2 2
2 2 2
2
8
2
8
( )
( )
( )
( )
[from (1)]
∴ 1 1
2
8
2 2 2 2
2 2 2
+
⎛
⎝
⎜
⎞
⎠
⎟ = +
−
−
dy
dx
a x
a a x
( )
( )
=
− + −
−
8 2
8
2 2 2 2 2 2
2 2 2
a a x a x
a a x
( ) ( )
( )
=
− + − +
−
=
− +
−
8 8 4 4
8
9 12 4
8
4 2 2 4 2 2 4
2 2 2
4 2 2 4
2 2 2
a a x a a x x
a a x
a a x x
a a x
( )
( )
=
=
−
−
( )
( )
3 2
8
2 2 2
2 2 2
a x
a a x
∴ 1
3 2
8
3 2
2 2
2 2 2 2
2 2 2
2 2
2 2
+
⎛
⎝
⎜
⎞
⎠
⎟ =
−
−
=
−
−
dy
dx
a x
a a x
a x
a a x
( )
( )
∴ Length of the curve s
a x
a a x
dx
a
=
−
−
∫
4
3 2
2 2
2 2
2 2
0
=
− +
−
= − +
−
⎡
⎣
⎢
⎤
⎦
∫
∫ ∫
4
2
2 2
2
2
2 2 2
2 2
0
2 2
0
2
2 2
0
( )
a x a
a a x
dx
a
a x dx
a
a x
dx
a
a a
⎥
⎥
=
2
2
2 2
2 2 2
1
0
2 1
a
x a x a x
a
a
x
a
a
−
+
⎧
⎨
⎪
⎩
⎪
⎫
⎬
⎪
⎭
⎪
⎡
⎣
⎢
⎢
⎤
⎦
⎥
⎥
+
⎡
⎣
⎢
⎤
⎦
⎥
− −
sin sin
0
0
a
⎧
⎨
⎪
⎩
⎪
⎫
⎬
⎪
⎭
⎪
= + − + −
⎡
⎣ ⎤
⎦
= +
− − − −
2
0 1 0 1 0
2
2 2
2 1 1 2 1 1
2 2
a
a a
a
a a
(sin sin ) (sin sin )
. .
p p
⎡
⎡
⎣
⎢
⎤
⎦
⎥ = =
2
2
2
a
a a
. p p
EXAMPLE 5
Find the perimeter of the loop of the curve x t
5 2
and y t
t
5 −
3
3
.
Solution.
Given x t
= 2
and y t
t
= −
3
3
M06_ENGINEERING_MATHEMATICS-I _CH06_PART B.indd 77 5/19/2016 3:09:44 PM
6.78 ■ Engineering Mathematics
⇒ y t
t
t
t
2
3
2
2 2
3
1
3
2
= −
⎡
⎣
⎢
⎤
⎦
⎥ = −
⎛
⎝
⎜
⎞
⎠
⎟ = −
⎛
⎝
⎜
⎞
⎠
⎟
x
x
1
3
2
When y x
x
= −
⎛
⎝
⎜
⎞
⎠
⎟ =
0 1
3
0
2
, ⇒ x
x
= −
⎛
⎝
⎜
⎞
⎠
⎟ =
0 1
3
0
2
or ⇒ x = =
0 3 3
, ,
x
∴ the curve meets the x-axis at the origin
and at the point (3, 0), twice.
∴ the loop of the curve is as shown in the
Fig 6.22.
Let A be the point (3, 0)
When x t
= =
0 0
, and when x t
= =
3 3
,
Length of the loop = 2 × arc length of OA.
Since the equation of the curve is in
parametric form, the length of the loop is
s
ds
dt
dt
t
t
= ∫
2
1
2
where t1 0
= and t2 3
= .
∴ s
dx
dt
dy
dt
dt
=
⎛
⎝
⎜
⎞
⎠
⎟ +
⎛
⎝
⎜
⎞
⎠
⎟
∫
2
2 2
0
3
We have x t
= 2
⇒
dx
dt
t
= 2 and y t
t
= −
3
3
⇒
dy
dt
t
t
= − = −
1
3
3
1
2
2
∴
dx
dt
dy
dt
t t t t t t t
⎛
⎝
⎜
⎞
⎠
⎟ +
⎛
⎝
⎜
⎞
⎠
⎟ = + − = + − + = + + =
2 2
2 2 2 2 2 4 4 2
4 1 4 1 2 2 1
( ) (
( )
1 2 2
+ t
∴
dx
dt
dy
dt
t t
⎛
⎝
⎜
⎞
⎠
⎟ +
⎛
⎝
⎜
⎞
⎠
⎟ = + = +
2 2
2 2 2
1 1
( )
∴ s t dt
= +
∫
2 1 2
0
3
( )
= +
⎡
⎣
⎢
⎤
⎦
⎥ = +
⎡
⎣
⎢
⎤
⎦
⎥ = +
⎡
⎣
⎤
⎦ =
2
3
2 3
3 3
3
2 3 3 4 3
3
0
3
t
t
EXERCISE 6.7
1. Find the length of the following curves
(i) 9 4 1
2 2 3
x y
= +
( ) from the point
2
3
0
,
⎛
⎝
⎜
⎞
⎠
⎟ to the point
10 5
3
2
,
⎛
⎝
⎜
⎞
⎠
⎟ .
(ii) 2 1 3
y x x
= − −
( )( ) between x = 1 and x = 3.
(iii) y ax
2
4
= cut off by the line 3 8
y x
= .
y
A
x
(3, 0)
O
Fig. 6.22
M06_ENGINEERING_MATHEMATICS-I _CH06_PART B.indd 78 5/19/2016 3:09:50 PM
Integral Calculus ■ 6.79
2. Find the perimeter of the loop of the curves.
(i) 6 2
2 3
ay x x a
= −
( ) (ii) 9 2 5
2 3
xy x a x a
= − −
( )( )
3. Find the length of the curve x y
= − =
2 2 2 2
u u u
sin , sin as u varies from 0 2
to p.
4. Find the length of the curve x at t y at t
= =
2 2
cos , sin from the origin to the point t = 5.
5. Find the length of the curve x a y a
= + = −
(cos sin ), (sin cos )
u u u u u u from u = 0 to u
p
=
2
.
6. Prove that the length of parabola y2
= 4ax cut off by the latus rectum is 2 2 1 2
a[ log( )]
+ +
7. Find the length of one complete arch of the cycloid x a
= −
( sin )
u u and y a
= −
( cos )
1 u .
ANSWERS TO EXERCISE 6.7
1. (i)
22
3
(ii) 2 1 2
+ +
log( ) (iii)
15
16
2
+
⎛
⎝
⎜
⎞
⎠
⎟
log a
2. (i)
8
3
a
(ii) 4 3
a 3. 8 4.
19
3
a
5.
p2
8
a
7. 8a
6.5.2 (b) Length of the Arc in Polar Coordinates
Let r f
= ( )
u be the equation of the curve. Let A and B be two points on the curve with vectorial angles
a and b. Then the length of the arc AB is s
ds
d
d
= ∫ u
u
a
b
.
We know the differential arc in polars is
( ) ( ) ( )
ds r d dr
2 2 2 2
= +
u
∴
ds
d
r
dr
d
u u
⎛
⎝
⎜
⎞
⎠
⎟ = +
⎛
⎝
⎜
⎞
⎠
⎟
2
2
2
⇒
ds
d
r
dr
d
u u
= +
⎛
⎝
⎜
⎞
⎠
⎟
2
2
∴ s r
dr
d
d
= +
⎛
⎝
⎜
⎞
⎠
⎟
∫
2
2
u
u
a
b
When the limits for r are given, the arc length is s
ds
dr
dr
r
r
= ∫
1
2
= +
⎛
⎝
⎜
⎞
⎠
⎟
∫ 1 2
2
1
2
r
d
dr
dr
r
r
u
.
M06_ENGINEERING_MATHEMATICS-I _CH06_PART B.indd 79 5/19/2016 3:09:57 PM
6.80 ■ Engineering Mathematics
WORKED EXAMPLES
EXAMPLE 1
Find the length of the cardioid r a
5 1 u
( cos )
1 . Also show that the upper half is bisected by
u 5
p
3
.
Solution.
The equation of the given curve is r a
= +
( cos )
1 u (1)
The cardioid is symmetric about the initial line
Ox as shown in Fig 6.23
So, the length of the curve is
2 × length of the arc OBA
= = +
⎛
⎝
⎜
⎞
⎠
⎟
∫ ∫
2 2
0
2
2
0
ds
d
d r
dr
d
d
u
u
u
u
p p
Differentiating (1) w.r.to u, we get
dr
d
a a
u
u u
= − = −
( sin ) sin ⇒
dr
d
a
u
u
⎛
⎝
⎜
⎞
⎠
⎟ =
2
2 2
sin
∴ r
dr
d
a a
2
2
2 2 2 2
1
+
⎛
⎝
⎜
⎞
⎠
⎟ = + +
u
u u
( cos ) sin
= +
a2 2 2
1 2
( cos cos sin
u u u
+ + )
= + + = + = + =
a a a a
2 2 2 2 2
1 2 1 2 2 2 1 4
2
( cos ) ( cos ) ( cos ) cos
u u u
u
∴ r
dr
d
a a
2
2
2 2
4
2
2
2
+
⎛
⎝
⎜
⎞
⎠
⎟ = =
u
u u
cos cos
∴ s a d
= ∫
2 2
2
0
cos
u
u
p
=
⎡
⎣
⎢
⎤
⎦
⎥ = −
⎡
⎣
⎢
⎤
⎦
⎥ = − =
4
2
12
8
2
0 8 1 0 8
0
a a a a
sin /
/
sin sin ( )
u p
p
∴ upper half curve is of length 4a.
Now, length of arc AB = ∫
ds
d
d
u
u
p
0
3
= +
⎛
⎝
⎜
⎞
⎠
⎟
∫ r
dr
d
d
2
2
0
3
u
u
p
= ∫2
2
0
3
a d
cos
u
u
p
=
⎡
⎣
⎢
⎤
⎦
⎥ = −
⎡
⎣
⎢
⎤
⎦
⎥ = −
⎡
⎣
⎢
⎤
⎦
⎥ =
2
2
2
4
6
0 4
1
2
0 2
0
3
a a a a
sin /
/
sin sin
u
u
p
p
∴ arc AB = half of the upper half of the cardioid.
⇒ the line u
p
=
3
bisects the upper half of the cardioid.
θ = π
θ = 0
O x
B
A
π
3
Fig. 6.23
M06_ENGINEERING_MATHEMATICS-I _CH06_PART B.indd 80 5/19/2016 3:10:02 PM
Integral Calculus ■ 6.81
EXAMPLE 2
Prove that the length of the equiangular spiral r ae
5 u a
cot
between the points with radii vectors
r1
and r2
is r r
1 2
2 a
sec .
Solution.
The equation of the given curve is r = aeu cota
(1)
Since the limits for r are given, the length of the arc is s
ds
dr
dr
r
r
= ∫
1
2
∴ s r
d
dr
dr
r
r
= +
⎛
⎝
⎜
⎞
⎠
⎟
∫ 1 2
2
1
2
u
Differentiating (1) w.r.to u, we get
dr
d
ae
u
a
u a
= cot
cot
⇒
d
ae
u
a
u a
dr
=
1
cot
.cot
=
1
r cot a
∴ r
d
dr
u
a
a
= =
1
cot
tan ⇒ r
d
dr
2
2
2
u
a
⎛
⎝
⎜
⎞
⎠
⎟ = tan
∴ 1 1
2
2
2 2
+
⎛
⎝
⎜
⎞
⎠
⎟ = + =
r
d
d
u
a a
r
tan sec
⇒ 1 2
2
2
+
⎛
⎝
⎜
⎞
⎠
⎟ = =
r
d
dr
u
a a
sec sec
∴ s dr
r
r
= ∫seca
1
2
= sec [ ]
a r r
r
1
2
⇒ s r r
= −
sec [ ]
a 2 1 if r r
2 1

Note: If r r
2 1
 , s r r
= 2 1
− seca, since s is positive.
EXERCISE 6.8
1. Find the perimeter of the cardioid r = +
5 1
( cos )
u .
2. Find the length of the parabola r a
( cos )
1 2
+ =
u cut off by its latus rectum.
3. Find the perimeter of the curve r a
= sin3
3
u
.
4. Find the perimeter of the curve r a
= +
(cos sin )
u u 0 ≤ ≤
u p.
ANSWERS TO EXERCISE 6.8
1. 40 2. 2 2 1 2
a + +
⎡
⎣
⎤
⎦
log( ) 3.
3
2
pa
4. 2pa
M06_ENGINEERING_MATHEMATICS-I _CH06_PART B.indd 81 5/19/2016 3:10:08 PM
6.82 ■ Engineering Mathematics
6.5.3 Volume of Solid of Revolution
The volume of solid of revolution is obtained by revolving a plane area about line in the plane. This
line is called the axis of revolution.
6.5.3(a) Volume in Cartesian Coordinates
Formula1: The volume of the solid of revolution obtained by revolving the area bounded by y f x
= ( ),
the x-axis, x a
= and x b
= about the x-axis is
V y dx
a
b
= ∫p 2
Proof Let y f x
= ( ) be the equation of the curve.
Let A and B be the points on the curve with
x = a, x = b.
The area ABCD is revolved about the x-axis, a
solid of revolution is generated.
Let P(x, y) and Q x y
( )
+ +
Δ Δ
x y
, be two
neighbouring points on the curve.
The element area is y x
Δ .
An element volume is generated by the element
area y x
Δ , which is practically a rectangle as Δx
is small.
When y x
Δ is revolved about the x-axis we get a
circular disc of radius y and thickness Δx.
∴ Δ Δ
V y
= p 2
x ⇒ Δ Δ
v = ∑
∑ py x
2
.
The sum of such element volume is approximately the required volume.
∴ in the limit, as Δx → 0 we get the volume
V y dx
a
b
= ∫p 2
Formula 2: The volume generated by revolving the area bounded by x = g(y), y = c and y = d about the
y-axis is V x dy
c
d
= ∫p 2
Formula 3: If the parametric equations of the curve are given by x = f(t) and y = g(t), then volume of
the solid obtained by revolving area about the x-axis is
V
dx
dt
dt
t
t
= ∫py 2
1
2
and when revolved about the y-axis
V
dy
dt
dt
t
t
= ∫px2
3
4
y
y
P
D
A
C
Q
B
x
Δx
x = a
x = b
O
Fig. 6.24
M06_ENGINEERING_MATHEMATICS-I _CH06_PART B.indd 82 5/19/2016 3:10:13 PM
Integral Calculus ■ 6.83
Formula 4: If f x f x x a b
2 1
( ) ( ) [ , ]
 ∀ ∈ and the area
bounded by the curves y f x y f x
= =
1 2
( ), ( )
and x = a, x = b (that is area ABCD) is revolved
about the x-axis, the volume of the solid
generated is
V y dx
a
b
= −
∫p(y 2
2
1
2
)
where y f x y f x
1 1 2 2
= =
( ), ( ).
Similarly, the area bounded by the
x g y x h y
= =
( ), ( ) and y c y d
= =
, is revolved
about the y-axis, the volume of the solid generated is
V x dy
c
d
= −
∫p(x2
2
1
2
)
where x1
= g(y) and x2
= h(y)
Formula 5: Solid of revolution about any
line L in the xy plane.
Let y f x
= ( ) be the equation of curve.
The given line L is in the xy plane is taken as the
x-axis.
Let A and B be two points on the curve. Draw AC and BD perpendicular to the line L.
When the area ACDB as in Fig 6.27 is revolved
about the line L, we get the required volume of solid of
revolution.
Let PQNM be the element area perpendicular to CD.
When the element area is revolved about the line L,
we get a circular disc of height PM and width MN.
The element volume ΔV is the volume of the circular
disc
∴ ΔV = p( ) .( )
PM MN
2
The limit of the sum of such element volume is the
volume of the solid of revolution.
∴ Volume V PM d OM
= ∫ p( ) ( )
2
OC
OD
.
WORKED EXAMPLES
EXAMPLE 1
Find the volume of the solid generated by revolving the ellipse
x
a
y
b
a b
2
2
2
2
1
1 5 ,  be the major
axis.
Solution.
The equation of the ellipse is
x
a
y
b
2
2
2
2
1
+ = (1)
C
D
x
M
N
y
A
P
Q
B
L
y = f(x)
O
Fig. 6.27
y
A B
D
C
x
x = b
y = f1(x)
y = f2(x)
x = b
x = a
x = a
O
Fig. 6.25
Fig. 6.26
y
x
y = c
y
y = d
x = h(y)
x = g(y)
O
M06_ENGINEERING_MATHEMATICS-I _CH06_PART B.indd 83 5/19/2016 3:10:20 PM
6.84 ■ Engineering Mathematics
The x-axis is the major axis.
The ellipse meets the x-axis at x = −a, a.
∴ Volume V y dx
a
a
= ∫ p
−
2
Now
y
b
x
a
y
b
a
a x
2
2
2
2
2
2
2
2 2
1
= ⇒ = −
− ( )
∴ V
b
a
a x dx
a
a
= −
∫
p
2
2
2 2
−
( )
= −
∫
2
2
2
0
2 2
p
b
a
a x dx
a
( ) [{ a x
2 2
= is even function]
=
⎡
⎣
⎢
⎤
⎦
⎥
2
3
2
2
2
3
0
p
b
a
a x
x
a
− = −
⎡
⎣
⎢
⎤
⎦
⎥ = =
2
3
2
2
3
4
3
2
2
2
2 2
2
3
2
p p p
b
a
a a
a b
a
a
ab
. .
Note If revolved about the minor axis (y-axis), Volume =
4
3
2
pa b
EXAMPLE 2
A sphere of radius a is divided into two parts by a plane at a distance
a
2
from the centre. Show
that the ratio of the volume of two parts is 5:27.
Solution.
A sphere of radius a is obtained by revolving the
semi-circular area of radius a as in figure about the
x-axis.
The sphere is cut off by a plane at a distance
a
2
from
the centre (0,0) means the area of the semi-circle is cut
off by the line x
a
=
2
Let V1 andV2 be the two volumes generated by the two
areas A1
and A2
.
Equation of the circle is x y a
2 2 2
+ = ( )
1
[ Volume V1 is generated by the area bounded the portion of the circle ( )
1 and the lines
x
a
=
2
, x = a.
[ Volume V y dx
a
a
1
2
2
= ∫ p = −
∫
p ( )
a x dx
a
a
2 2
2
= −
⎡
⎣
⎢
⎤
⎦
⎥
p a x
x
a
a
2
3
2
3
y
x = a x
(0, 0)
O
A2
A1
x =
2
a
Fig. 6.29
O
y
x
A′ A
(−a, 0) (a, 0)
Fig. 6.28
M06_ENGINEERING_MATHEMATICS-I _CH06_PART B.indd 84 5/19/2016 3:10:27 PM
Integral Calculus ■ 6.85
= −
⎛
⎝
⎜
⎞
⎠
⎟ − −
⎛
⎝
⎜
⎞
⎠
⎟
⎡
⎣
⎢
⎤
⎦
⎥
p a a
a
a
a
2 3
3
2
1
3 8
= −
⎡
⎣
⎢
⎤
⎦
⎥
p a
a a
2
3
2
1
3
7
8
. . = −
⎡
⎣
⎢
⎤
⎦
⎥ =
−
⎡
⎣
⎢
⎤
⎦
⎥ =
p p
p
a a
a
3 3
3
1
2
7
24
12 7
24
5
24
.
We know that the volume of the sphere of radius a is
4
3
3
pa .
∴ Volume V a
a
2
3
3
4
3
5
24
= −
p
p
=
−
=
p p
a a
3 3
32 5
24
27
24
( )
∴ V V
a a
1 2
3 3
24 24
5 27
: : :
= =
5 27
p p
EXAMPLE 3
Find the volume of a spherical cap of height h cut off from a solid sphere of radius a.
Solution.
The equation of the circle of radius a is x y a
2 2 2
+ = .
Required the volume of the sphere cap of height h
cut off from a sphere of radius a.
∴ OA = a − h, AB = h
If the area ABC is revolved about the x-axis,
then we get the spherical cap of height h.
∴ required volume V y dx
a h
a
=
−
∫ p 2
=
−
∫
p y dx
a h
a
2
= −
−
∫ ( )
a x dx
a h
a
2 2
= −
⎡
⎣
⎢
⎤
⎦
⎥
−
p a x
x
a h
a
2
3
3
= − − − − −
⎡
⎣
⎢
⎤
⎦
⎥
p a a a h a a h
2 3 3
1
3
( ( )) ( ( ) )
= − − + − +
⎡
⎣
⎢
⎤
⎦
⎥
p a h a a a h ah h
2 3 3 2 2 3
1
3
3 3
( )
=
− + −
⎡
⎣
⎢
⎤
⎦
⎥
p
3 3 3
3
2 2 2 3
a h a h ah h
= − = −
p p
3
3
3
3
2 3
2
( ) ( )
ah h
h
a h
y
A
(a − h, 0)
B (a, 0)
C
O h
Fig. 6.30
M06_ENGINEERING_MATHEMATICS-I _CH06_PART B.indd 85 5/19/2016 3:10:32 PM
6.86 ■ Engineering Mathematics
Note Sometimes the spherical cap formula is given in
terms of base radius of the cap and its height h.
If we assume the base radius of the spherical
cap is c. i.e., AC = c
Then OC2
= OA2
+ AC2
= − +
( )
a h c
2 2
⇒ a a ah h c
2 2 2 2
2
= − + +
⇒ 2
2
2 2
2 2
ah h c a
h c
h
= + ⇒ =
+
∴ Volume of the cap =
+
−
⎡
⎣
⎢
⎤
⎦
⎥
ph h c
h
h
2 2 2
3
3
2
( )
= + − = +
p p
h
h
h c h
h
h c
2
2 2 2 2 2
6
3 3 2
6
3
[ ] [ ]
EXAMPLE 4
The area bounded by one arch of the cycloid x a y a
5 u 2 u 5 2 u
( ), ( cos )
sin 1 and its base is
revolved about its base. Find the volume generated.
Solution.
The parametric equations of the cycloid are x a y a
= = −
( ), ( cos )
u u u
− sin 1
The base is the x-axis.
The curve meets the x-axis y = 0 ∴ cosu = 1 ⇒ u = 0, 2p
The volume of the solid generated by revolving the area bounded by one arch of the given curve and
its base (x-axis) about the x-axis is
V y
dx
d
d y
dx
d
d
= ∫
∫ p
u
u p
u
u
p
p
2 2
0
0
2
=
We have
x a
= −
( sin )
u u ∴
dx
d
a
u
u
= −
( cos )
1
∴ V a a d
= −
∫
p u u u
p
2 2
0
2
1 1
( ) ( cos )
− cos
= −
∫
p u u
p
a3 3
0
2
1
( )
cos d =
⎛
⎝
⎜
⎞
⎠
⎟
∫
p
u
u
p
a3 2
3
0
2
2
2
sin d =
⎛
⎝
⎜
⎞
⎠
⎟
∫
8
2
3 6
0
2
p
u
u
p
a sin d
Put t =
u
2
∴ du
1
2
= dt ⇒ d dt
u = 2
When u = =
0 0
, t and when u p p
= =
2 , t
y
x
A
(a − h, 0)
B (a, 0)
O h
a−h
c
a
C
Fig. 6.31
M06_ENGINEERING_MATHEMATICS-I _CH06_PART B.indd 86 5/19/2016 3:10:39 PM
Integral Calculus ■ 6.87
∴ V a t dt
= ∫
8 2
3 6
0
p
p
sin = ∫
16 3 6
0
p
p
a tdt
sin
=
= =
∫
16 2
32
5
6
3
4
1
2 2
5
3 6
0
2
3 3
p
p
p
p
p
a t dt
a a
× sin
. . . .
[ sin ( ) sin ( )
sin ( )
( ) ( )
u g property f t
t f t
f t dt f t dt
p p
p
− = −
= =
=
0
2
6
6
0
∴
2
2
0
∫
∫
⎤
⎦
⎥
⎥
⎥
p
EXAMPLE 5
The area bounded by y x
2
4
5 and the line x 5 4 is revolved about the line x 5 4. Find the
volume of the solid of revolution.
Solution.
Given y x
2
4
= (1)
Let the line x = 4 meets the parabola in A and B
When x = 4, y2
= 16 ⇒ y ± 4
∴ A is (4, 4) and B is (4, −4)
The area OAB is revolved about the line x = 4
to get the solid of revolution.
Let P(x, y) be any point on the curve.
Draw PM perpendicular to the line AB.
∴ PM = 4 − ON = 4 − x
The line x = 4 is parallel to the y-axis.
∴ required volume V PM dy
=
−
∫ p
4
4
2
( ) = −
−
∫
p ( )
4 2
4
4
x dy
= −
⎛
⎝
⎜
⎞
⎠
⎟
−
∫
p 4
4
2 2
4
4
y
dy
= −
⎛
⎝
⎜
⎞
⎠
⎟
∫
2p 4
4
2 2
0
4
y
dy { the is even
function 4
4
2 2
−
⎛
⎝
⎜
⎞
⎠
⎟
⎡
⎣
⎢
⎢
⎤
⎦
⎥
⎥
y
= + −
⎛
⎝
⎜
⎞
⎠
⎟
∫
2p 16
16
2
4
2
0
4
y
y dy
= + −
⎡
⎣
⎢
⎤
⎦
⎥
2p 16
1
16 5
2
3
5 3
0
4
y
y y
. .
y
O N x
C
(4, 0)
M
A(4, 4)
B(4, −4)
x = 4
P(x, y)
y2
= 4x
Fig. 6.32
M06_ENGINEERING_MATHEMATICS-I _CH06_PART B.indd 87 5/19/2016 3:10:44 PM
6.88 ■ Engineering Mathematics
= + −
⎡
⎣
⎢
⎤
⎦
⎥
2p 16 4
1
16
4
5
2
4
3
5 3
× . .
= + −
⎡
⎣
⎢
⎤
⎦
⎥ =
+ −
⎛
⎝
⎜
⎞
⎠
⎟ =
⎛
⎝
⎜
⎞
⎠
⎟ =
2p p p
× 4 1
1
5
2
3
128
15 3 10
15
128
8
15
1024
3 p
p
15
EXAMPLE 6
Find the volume generated when the area bounded by the parabolas y x
2
4
5 2 and y x
2
4 4
5 2
revolves
1. about the common axis of the two curves
2. about the y-axis.
Solution.
The given parabolae are
y x x
2
4 4
= − = − −
( ) (1)
and y x x
2
4 4 4 1
= − = − −
( ) (2)
For the first parabola, the x-axis is the axis and
the vertex is (4, 0).
For the second parabola, the axis is the x-axis
and the vertex is (1, 0).
∴ the common axis is the x-axis.
To find the point of intersection, solve (1) and (2).
∴ 4 4 4 3 0 0
− = − ⇒ = ⇒ =
x x x x
When x = 0, y y
2
4 2
= ⇒ ± .
∴ the points of intersection are (0, 2), (0, −2).
The common area is as shown in the Fig 6.33.
The volume of the solid generated by revolving the common area about the x-axis is the same as
the volume of the solid generated by revolving the area above the x-axis, about the x-axis.
∴ required volume V y dx y dx
= − ∫
∫p p
1
2
2
2
0
1
0
4
, where y x y
1
2
2
2
4 4
= = − 4
− , x
= − − −
∫
∫
p p
( ) ( )
4 4 4
0
1
0
4
x dx x dx
=
−
−
⎡
⎣
⎢
⎤
⎦
⎥ −
−
−
⎡
⎣
⎢
⎤
⎦
⎥
p p
( ) ( )
4
2
4
1
2
2
0
4 2
0
1
x x
= − − − − + − − −
p
p
2
4 4 4 0 2 1 1 1 0
2 2 2 2
[( ) ( ) ] [( ) ( ) ]
= ×
− − + − = − = − =
p
p
p
p p p p
2
0 16 2 0 1
2
16 2 8 2 6
[ ] [ ]
y
x
B
O
C
A
(0, 2)
(0, −2)
(4, 0)
(1, 0)
Fig. 6.33
M06_ENGINEERING_MATHEMATICS-I _CH06_PART B.indd 88 5/19/2016 3:10:48 PM
Integral Calculus ■ 6.89
2. If the area is revolved about the y-axis, then the volume generated is
V x x dy
= −
−
∫ p( )
1
2
2
2
2
2
, where x y x y
1
2
2
2
4
1
4
4
= − = −
, ( )
= − − −
⎡
⎣
⎢
⎤
⎦
⎥
= −
=
−
−
∫
∫
p
p
p
( ) ( )
( )
4
1
16
4
15
16
4
15
16
2 2 2 2
2
2
2 2
2
2
2
y y dy
y dy
(
( )
4 2 2
2
2
−
−
∫ y dy
= −
∫
15
8
4 2 2
0
2
p
( )
y dy
{ ( ) ,
( ) ( )
4
4 4
2
2 2 2 2
0
2
2
2
−
− −
⎡
⎣
⎢
⎢
⎢ ∫
∫
−
y y
y dy y dy
is an even function
= 2
⎤
⎤
⎦
⎥
⎥
⎥
= − +
∫
15
8
16 8 2 4
0
2
p
( )
y y dy
= − +
⎡
⎣
⎢
⎤
⎦
⎥
15
8
16 8
3 5
3 5
0
2
p
y
y y
= − +
⎡
⎣
⎢
⎤
⎦
⎥
15
8
16 2
8
3
1
5
25
p
× × 2 ×
3
= − +
⎡
⎣
⎢
⎤
⎦
⎥
15 32
8
1
2
3
1
5
p ×
=
− +
⎡
⎣
⎢
⎤
⎦
⎥ = =
15
15 10 3
15
15 4
8
15
32
p p p
× 4 × ×
Remark: From the above problem, we observe that the solids generated revolving the same area about
two different axes of revolution are different. Hence, volume generated are different.
EXERCISE 6.9
1. Find the volume of the solid generated by revolving about the x-axis, the area bounded by
x y a
1 2 1 2 1 2
/ / /
+ = and the coordinates axes.
2. The area bounded by y
x
2
2
4
2
= + and the line 5 8 14 0
x y
− + = is revolved about the x-axis. Find
the volume of the solid generated.
Hint: =
V p
p
1
16
5
2
7
4
2
891
1280
2 2 2
1
x x
dx
+
⎛
⎝
⎜
⎞
⎠
⎟ − +
⎛
⎝
⎜
⎞
⎠
⎟
⎡
⎣
⎢
⎢
⎤
⎦
⎥
⎥
=
/2
2
2
∫
⎡
⎣
⎢
⎢
⎤
⎦
⎥
⎥
3. Find the volume if the area of the loop of y x x
2 2
4
= +
( ) is revolved about x-axis.
4. The area of the loop of y x x x
2 2
1 1
( ) ( )
+ = − is revolved about the x-axis. Find the volume of the
solid of revolution.
M06_ENGINEERING_MATHEMATICS-I _CH06_PART B.indd 89 5/19/2016 3:10:52 PM
6.90 ■ Engineering Mathematics
5. The area bounded by the portion of the curve y e x
x
= sin between x = 0 and x = p, revolves about
the x-axis. Find the volume generated.
6. Find the volume of the solid generated by revolving the area of the curve y x
= 3
, y = 0 and x = 2.
7. Find the volume of the solid obtained by revolving the area of the curve y
ax x
a
2
3 4
2
=
−
about the
x-axis.
8. The volume of the solid generated by revolving the area bounded by y x a a
( )
2 2 3
+ = and its
asymptote about the asymptote.
9. The area bounded by y ax
2
4
= and x ay
2
4
= , a  0, revolves about the x-axis. Show that the
volume of the solid formed is V =
96
5
2
pa
.
10. Compute the volume of the solid generated by revolving about the y-axis, the area bounded by
y x
= 2
and 8 2
x y
= .
11. Find the volume of the solid generated when the area of the loop of the curve y x x
2 2
2 1
= −
( )
resolves about the x-axis.
12. Find the volume of a right circular cone of base radius r and height h by integration.
13. When the area of the curve x y a
2 3 2 3 2 3
/
+ =
/ /
in the first quadrant is revolved about the x-axis, find
the volume of the solid generated.
14. Find the volume of the solid generated by revolving the loop of the curve 3 2 2
ay x x a
= −
( ) , about
the x-axis.
15. Find the volume of the solid generated by revolving the catenary y a
x
a
= cosh about the x-axis
between x = 0 and x = b.
16. A bowl has a shape that can be generated by revolving the graph y
x
=
2
2
between y = 0 and y = 5
about the y-axis. Find the volume of bowl.
17. Find the volume of the frustrum of a right circular cone whose lower base has radius R, upper
base is of radius r and height h.
18. If the curve ( )
a x y a x
− 2 2
= revolved about its asymptote, find the volume formed.
19. The area bounded by y x
2
4
= and the line x = 4 above the x-axis is revolved about the x-axis. Find
the volume of the solid generated.
20. Find the volume of the solid if the area included between the curve xy a a x
2 2
= −
( ) and its
asymptote is revolved about the asymptote.
ANSWERS TO EXERCISE 6.9
1.
pa3
15
2.
891
1280
p
3.
64
3
p
4. p 2 2
4
3
log −
⎡
⎣
⎢
⎤
⎦
⎥ 5.
p p
8
1
2
e −
⎡
⎣ ⎤
⎦
6.
64
5
p
7.
pa3
20
8.
p2 2
2
a
9.
96
5
2
pa
10.
24
5
p
11.
p
48
12. pr h
2
. 13.
16
105
3
pa
14.
pa3
36
15. = − +
−
p p
a3
2 2
2
8 2
[ ]
/ /
e e
a b
b a b a
16. 25p 17.
ph
R rh r
3
2 2
[ ]
+ + 18.
p2 3
2
a
19. 32p 20.
p2 3
2
a
M06_ENGINEERING_MATHEMATICS-I _CH06_PART B.indd 90 5/19/2016 3:11:03 PM
Integral Calculus ■ 6.91
6.5.3 (b) Volume in Polar Coordinates
1. Revolution about the initial line
Let r f
= ( )
u be the equation of the given curve
When arc OAB bounded by the given curve and
radii vector u a
= and u b
= is revolved about the
initial line, the volume of the solid generated is
V r d
= ∫
2
3
3
p
u u
a
b
sin
2. Revolution about the line u
p
=
2
When the area OAB is revolved about the line
u
p
=
2
, the volume is V r d
= ∫
2
3
3
p
u u
a
b
cos .
WORKED EXAMPLES
EXAMPLE 1
Find the volume of the solid generated by revolving the area of the cardioid r 5 2 u
a( cos )
1
about the initial line.
Solution.
Given r a
= −
( cos )
1 u (1)
Since the volume of the solid generated by revolving the
area of the cardioid about the initial line is same as the
volume generated by revolving the area OPA above the
initial line, about the initial line.
Required volume V = ∫
2
3
3
p
u u
a
b
r d
sin ,
where a = 0 and b p
=
For, when r = 0, 1 0 1 0
− = ⇒ = ⇒ =
cos cos
u u u
and when r = 2a, 1 2 1
− = ⇒ = − ⇒ =
cos cos
u u u p
∴ V r d
= ∫
2
3
3
0
p
u u
p
sin = −
∫
2
3
1
3
0
p
u u u
p
a d
( cos sin
)3
=
⎛
⎝
⎜
⎞
⎠
⎟
∫
2
3
2
2
2
2 2
3
2
3
0
p u u u
u
p
a
d
sin sin cos
= ∫
32
3 2 2
3
7
0
p u u
u
p
a
d
sin cos
A
B
O x
y
θ = 0
r = f(θ)
α
β
θ =
2
π
Fig. 6.34
O
P
A x
Fig. 6.35
M06_ENGINEERING_MATHEMATICS-I _CH06_PART B.indd 91 5/19/2016 3:16:14 PM
6.92 ■ Engineering Mathematics
=
⎡
⎣
⎢
⎤
⎦
⎥
32
3
2
1 2 8
3
0
p u
p
a sin /
( / )
s
×
{ sin
sin
( )
n
n
a a
a
a n
u u u
u
cos d =
+
⎡
⎣
⎢
⎤
⎦
⎥
+
∫
1
1
= −
⎡
⎣
⎢
⎤
⎦
⎥ = − =
8
3 2
0
8
3
1 0
8
3
3 3 3
p p p p
a a a
sin sin [ ]
8 8
EXAMPLE 2
Show that the volume of the solid generated by revolving the lemniscate r a
2 2
2
5 u
cos about the
line u 5
p
2
is 2
8
3
pa
.
Solution.
Given r a
2 2
2
= cos u (1)
Required volume is V r d
= ∫
2
3
3
p
u u
a
b
cos
since the area is revolved about the line u
p
=
⎡
⎣
⎢
⎤
⎦
⎥
2
If we replace r by −r, then
( ) cos cos
− = ⇒ =
r a r a
2 2 2 2
2 2
u u
∴ the equation is unaffected.
When u is changed to −u, the equation is unaffected,
since cos(−2u) = cos 2u.
∴ the curve is symmetric about the initial line and pole respectively.
When r = = ⇒ = ⇒ =
0 2 0 2
2 4
, cos u u
p
u
p
When r a
= = ⇒ = ⇒ =
, cos2 1 2 0 0
u u u
When r a
= − = ⇒ = ⇒ =
, cos2 1 2 0 0
u u u
We get two loops of the curve as in Fig 6.36.
The volume of the solid generated by revolving the area of the lemniscate about the line u
p
=
2
is
equal to 2 times the volume generated by the area above Ox of one loop of the curve revolving about
the line u
p
=
2
.
∴ required volume is V r d
= ∫
2
2
3
3
0
4
×
p
u u
p
cos
Now r a r a r a
2 2 1 2 3 3 3 2
2 2 2
= ⇒ = ⇒ =
cos (cos ) (cos )
/ /
u u u
∴ V a d
= ∫
2
2
3
2
3 3 2
0
×
p
u u u
p
(cos ) cos
/
= −
∫
4
3
1 2
3
2 3 2
0
2
p
u u u
p
a
d
( sin ) cos
/
y
x
θ =
4
π
−
θ =
2
π
θ =
4
π
Fig. 6.36
M06_ENGINEERING_MATHEMATICS-I _CH06_PART B.indd 92 5/19/2016 3:16:21 PM
Integral Calculus ■ 6.93
Put 2 sin sin
u f
= ∴ 2
1
2
cos cos cos
u u f f u u f f
d d
= ⇒
cos d d
=
When u f f
= = ⇒ =
0 0 0
, sin and when u
p
=
4
, sin sin
f
p
f
p
= = = ⇒ =
2
4
2
1
2
1
2
⋅
∴ V
a
d
= − ⋅
∫
4
3
1
2
3
2
0
2
p
f
f
f
p
( sin
cos
)3/2
= ∫
4
3 2
3
3
0
2
p
f f f
p
a
d
cos cos
= ∫
4
3 2
3
4
0
2
p
f f
p
a
d
cos = = =
4
3 2
3
4
1
2 2 4 2
2
8
3 2 3 2 3
p p p p
a a a
. . .
EXERCISE 6.10
1. Find the volume of the solid generated by revolving the curve r a b a b
= + 
cos ,
u about the
initial line.
2. The area of the loop of r a
= cos3u lying between u
p
= −
6
and u
p
=
6
is revolved about the initial
line. Find the volume generated. Hint : sin
V r d
=
⎡
⎣
⎢
⎢
⎢
⎤
⎦
⎥
⎥
⎥
∫
2
3
3
0
6
p
u u
p
3. Find the volume of solid generated by revolving the area of the cardioid r a
= +
( cos )
1 u about the
initial line.
4. Find the volume of the solid formed by rotating the area of r a
3 2
= cosu about its line of symmetry.
ANSWERS TO EXERCISE 6.10
1.
4
3
2 2
pa a b
( )
+ 2.
19
960
3
pa
3.
8
3
3
pa
4.
8
15
3
pa
6.5.4 Surface Area of Revolution
An arc of a curve is revolved about an axis, a surface is generated. This surface is called the surface
of revolution and its area is the surface area.
We find the surface area in Cartesian and polar coordinates.
6.5.4(a) Surface Area of Revolution in Cartesian Coordinates
Let y f x
= ( ) be the equation of the curve.
Let AB be an arc on the curve.
Let PQ = Δ s be an element arc in between the points A and B.
M06_ENGINEERING_MATHEMATICS-I _CH06_PART B.indd 93 5/19/2016 3:16:26 PM
6.94 ■ Engineering Mathematics
Let the coordinates of P be (x, y) and the
coordinates of Q be ( ).
x x y
+ Δ , Δ
y+
The element arc Δ s is revolved about the x-axis,
we get the element surface as a circular ring of
radius y and width Δ s. Let Δ S be the element
surface area generated by the element arc Δ s .
∴ Δ Δ
S y s
= 2p
The sum of such element surface areas
= =
∑ ∑
Δ 2 Δ
S s
py
∴ the surface area is S
x
=
→
→
∑
lim
Δ
Δ
Δ
0
0
s
S =
→
∑
lim
Δ
Δ
x
y
0
2p s = ∫ 2
1
2
py ds
s
s
with proper limits s1
and s2
.
(a) If the limits for x are known, say x = a and x = b, then
S y
ds
dx
dx y
dy
dx
dx
a
b
a
b
= = +
⎛
⎝
⎜
⎞
⎠
⎟
∫ ∫
2 2 1
2
p p
(b) If the limits for y are known say y = c and y = d, then
S x
ds
dy
dy x
dx
dy
dy
c
d
a
b
= = +
⎛
⎝
⎜
⎞
⎠
⎟
∫ ∫
2 2 1
2
p p
(c) If the equation of the curve is given in parametric form, x f t y g t
= =
( ), ( ) and the limits for t are
t = t1
and t = t2
, then
S
ds
dt
dt
t
t
= ∫2
1
2
py =
⎛
⎝
⎜
⎞
⎠
⎟ +
⎛
⎝
⎜
⎞
⎠
⎟
∫2
1
2 2 2
py
t
t
dx
dt
dy
dt
dt
WORKED EXAMPLES
EXAMPLE 1
The portion of the curve y
x
5
2
2
cut off by the straight line y 5
3
2
is revolved about the y-axis.
Find the surface area of revolution.
Solution.
The given curve is y
x
=
2
2
, which is a parabola with vertex (0, 0).
A
B
O
y
x
P(x, y) Q(x + Δx, y + Δy)
ΔB
y = f(x)
M
Fig. 6.37
M06_ENGINEERING_MATHEMATICS-I _CH06_PART B.indd 94 5/19/2016 3:16:31 PM
Integral Calculus ■ 6.95
It is symmetric about the y-axis. Let the line y =
3
2
intersect the parabola at the points A and B
∴the portion of the curve Cut off by the line y =
3
2
is the
arc AOB as in figure.
The surface obtained by revolving arc AOB about the
y-axis, is the same as the surface obtained by revolving
arc OA about the y-axis.
∴ the surface area generated is
S x
ds
dy
dy x
dx
dy
dy
= = +
⎛
⎝
⎜
⎞
⎠
⎟
∫ ∫
2 2 1
0
3 2
0
3 2 2
p p
/ /
we have y
x
=
2
2
∴
dy
dx
x
x
= =
2
2
∴
dx
dy x
dx
dy x
= ⇒
⎛
⎝
⎜
⎞
⎠
⎟ =
1 1
2
2
∴ 1 1
1 1
2
2
2
2
+
⎛
⎝
⎜
⎞
⎠
⎟ = + =
+
dx
dy x
x
x
∴ 1
1 1
2 2
2
2
+
⎛
⎝
⎜
⎞
⎠
⎟ =
+
=
+
dx
dy
x
x
x
x
∴ S x
x
x
dy
=
+
∫
2
1
0
3 2 2
p
/
= +
=
+
⋅
⎡
⎣
⎢
⎤
⎦
⎥
∫
2 2 1
2
2 1
2 3 2
0
3 2
3 2
0
3 2
p
p
y dy
y
/
/ /
( )
( / )
[{ x2
= 2y]
= ⋅ +
⎛
⎝
⎜
⎞
⎠
2
3
2
3
2
1
p
⎟
⎟ − ⋅ +
⎡
⎣
⎢
⎢
⎤
⎦
⎥
⎥
= − = − = −
3 2
3 2
2 3 2 3
2 0 1
2
3
2 1
2
3
2 1
2
3
8 1
/
/
/
( )
[( ) ] [ ] ( )
p p p
=
=
14
3
p
EXAMPLE 2
Find the surface area formed by revolving four-cusped hypocycloid (astroid) x y a
2 3 2 3 2 3
/ / /
1 5
about the x-axis.
Solution.
The given curve is
x y a
2 3 2 3 2 3
/ / /
+ = (1)
The curve is symmetric w.r.to both the axes.
Let x-axis meets the curve at the points A and C and the y-axis meets the curve at B and D
y
x
A
B
x
y = 3/2
O
Fig. 6.38
M06_ENGINEERING_MATHEMATICS-I _CH06_PART B.indd 95 5/19/2016 3:16:37 PM
6.96 ■ Engineering Mathematics
When y x a x a x a
= = ⇒ = ⇒ = ±
0 2 3 2 3 2 2
, / /
∴ A is ( , ),
a C
0 is ( , ).
−a 0
Similarly, B is ( , )
0 a and D is ( , )
0 − a
By symmetry the four arcs AB, BC, CD and DA
are equal.
[ the surface area generated by revolving the
curve about the x-axis is equal to twice the surface
area generated by the arc AB about the x-axis. x varies from 0 to a.
[ Surface area S y
ds
dx
dx
a
= × ∫
2 2
0
p = +
⎛
⎝
⎜
⎞
⎠
⎟
∫
4 1
0
2
p y
dy
dx
dx
a
Differentiating (1) w.r.to x, we get
2
3
2
3
0
1 3 1 3
x y
dy
dx
− −
+ =
/ /
⇒ x y
dy
dx
− −
+ =
1 3 1 3
0
/ /
⇒
dy
dx
x
y
y
x
= − = −
−
−
1 3
1 3
1 3
1 3
/
/
/
/
∴
dy
dx
y
x
⎛
⎝
⎜
⎞
⎠
⎟ =
2 2 3
2 3
/
/
∴ 1 1
2 2 3
2 3
+
⎛
⎝
⎜
⎞
⎠
⎟ = +
dy
dx
y
x
/
/
=
+
=
x y
x
a
x
2 3 2 3
2 3
2 3
2 3
/ /
/
/
/
[ ( )]
Using 1
∴ 1
2 2 3
2 3
1 2 1 3
1 3
+
⎛
⎝
⎜
⎞
⎠
⎟ =
⎡
⎣
⎢
⎤
⎦
⎥ =
dy
dx
a
x
a
x
/
/
/ /
/
We have
x y a
2 3 2 3 2 3
/ / /
+ = ⇒ y a x
2 3 2 3 2 3
/ / /
= − ⇒ y a x
= −
( )
/ / /
2 3 2 3 3 2
[ S a x
a
x
dx
a
= − ⋅
∫
4 2 3 2 3 3 2
1 3
1 3
0
p ( )
/ / /
/
/
= − ⋅
∫
4
1
1 3 2 3 2 3 3 2
0
1 3
pa a x
x
dx
a
/ / / /
/
( )
Let t a x
2 2 3 2 3
= −
/ /
[ 2
2
3
2
3
1
2
3
1
1
3
tdt x dx
x
dx
= − = −
−
−
⇒ tdt
x
dx
= −
−
1
3
1
1
3
⇒ − =
3
1
1
3
tdt dx
x
−
When x = 0, t a t a
2 2 3 1 3
= ⇒ =
/ /
and when x = a, t a a
= − =
2 3 2 3
0
/ /
[ S a t tdt
a
= −
∫
4 3
1 3 2 3 2
0
1 3
p / /
( ) ( )
/
= −
=
=
⎡
⎣
⎢
⎤
⎦
⎥
∫
∫
12
12
12
5
1 3 4
0
1 3 4
0
1 3
5
0
1 3
1 3
1
p
p
p
a t dt
a t dt
a
t
a
a
a
/
/
/
/
/
/3
3
12
5
0
12
5
12
5
1 3
1 3 5 1 3 5 3 2
= −
⎡
⎣
⎢
⎤
⎦
⎥ =
⋅
=
p
p p
a
a a a a
/
/ / /
( )
O
y
y′
x
x′ (a, 0)
B(0, a)
D(0, −a)
A
C
(−a, 0)
Fig. 6.39
M06_ENGINEERING_MATHEMATICS-I _CH06_PART B.indd 96 5/19/2016 3:16:50 PM
Integral Calculus ■ 6.97
EXAMPLE 3
Find the surface generated by revolving the portion of the curve y x
2
4
5 1 cut off by the straight
line x 5 2, about the x-axis.
Solution.
The given curve is y x
2
4
= + (1)
is a parabola with vertex ( , ).
−4 0
It is symmetric about the x-axis. Let A be the vertex.
∴ A is ( , ).
−4 0
Let the straight line x = 2 intersect the parabola at
the points B B
, .
′
The straight line x = 2 meets the x-axis at ( , ).
2 0
The required surface area generated by revolving
the arc AB about the x-axis.
x varies from −4 to 2.
∴ Surface area is S y
ds
dx
dx y
dy
dx
dx
= = +
⎛
⎝
⎜
⎞
⎠
⎟
− −
∫ ∫
2 2 1
4
2 2
4
2
p p
Differentiating (1) w.r.to x, we get
2 1
1
2
1
4
2
2
y
dy
dx
dy
dx y
dy
dx y
= ⇒ = ⇒
⎛
⎝
⎜
⎞
⎠
⎟ =
∴ 1 1
1
4
4 1
4
2
2
2
2
+
⎛
⎝
⎜
⎞
⎠
⎟ = + =
+
dy
dx y
y
y
∴ 1
4 1
2
2 2
+
⎛
⎝
⎜
⎞
⎠
⎟ =
+
dy
dx
y
y
∴ S y
y
y
dx
=
+
−
∫
2
4 1
2
2
4
2
p = +
= + +
= +
=
+
−
−
−
+
∫
∫
∫
p
p
p
p
4 1
4 4 1
4 17
4 17
2
4
2
4
2
4
2
1 2 1
y dx
x dx
x dx
x
( )
( )( / )
4
4 12 1
4 17
4 3 2
6
4 2 1
4
2
3 2
4
2
(( / ) )
( )
( / )
[(
/
+
⎡
⎣
⎢
⎤
⎦
⎥
=
+
×
⎡
⎣
⎢
⎤
⎦
⎥
= ⋅ +
−
−
p
p
x
7
7 4 4 17
6
25 1
6
5 1
6
5 1
3 2 3 2
3 2 2 3 2
3
) ( ( ) ) ]
[( ) ] [( ) ]
[ ]
/ /
/ /
− − +
= − = −
= −
p p
p
=
= − = × =
p p p
6
125 1
6
124
62
3
[ ]
y
A
(−4, 0)
(2, 0)
x
O
y′ B′
B
x′
Fig. 6.40
M06_ENGINEERING_MATHEMATICS-I _CH06_PART B.indd 97 5/19/2016 3:16:57 PM
6.98 ■ Engineering Mathematics
EXAMPLE 4
Compute the surface area generated when an arc of the curve x t y
t
t
5 5 2
2 2
3
3
, ( ) between
the points of intersection of the curve and the x-axis is revolved about the x-axis.
Solution.
The given curve is
x t y
t
t
= = −
2 2
3
3
, ( ) (1)
Which is parametric form
[ S y
ds
dt
dt
t
t
= ∫2
1
2
p =
⎛
⎝
⎜
⎞
⎠
⎟ +
⎛
⎝
⎜
⎞
⎠
⎟
∫
2
2 2
1
2
p y
dx
dt
dy
dt
dt
t
t
To find the limits
When y
t
t t t
= − = ⇒ = = ±
0
3
3 0 0 3
2
, ( ) ,
When t x
= =
0 0
, and when t x
= ± =
3 3
,
[ We get the loop of the curve as in figure.
[ t varies from t = 0 to t = 3
[ the required surface area is
S y
dx
dt
dy
dt
dt
=
⎛
⎝
⎜
⎞
⎠
⎟ +
⎛
⎝
⎜
⎞
⎠
⎟
∫
2
2 2
0
3
p
We have x t
= 2
and y
t
t t t
= − = −
3
3
1
3
3
2 3
( ) ( )
∴
dx
dt
t
dy
dt
t t
= = − = −
2
1
3
3 3 1
2 2
and ( ) ( )
∴
dx
dt
dy
dt
t t
⎛
⎝
⎜
⎞
⎠
⎟ +
⎛
⎝
⎜
⎞
⎠
⎟ = + −
2 2
2 2 2
4 1
( ) = + − + = + + = +
4 2 1 2 1 1
2 4 2 4 2 2 2
t t t t t t
( )
∴
dx
dt
dy
dt
t t
⎛
⎝
⎜
⎞
⎠
⎟ +
⎛
⎝
⎜
⎞
⎠
⎟ = + = +
2 2
2 2 2
1 1
( )
∴ S
t
t t dt
= − − +
∫
2
3
3 1
2 2
0
3
p ( )( ) Since
and
t t t
t t
y
t
t
 ⇒  ⇒ − 
⇒ − −  
∴ = − − 
⎡
⎣
⎢
⎢
⎢
⎢
⎢
3 3 3 0
3 0 0
3
3 0
2 2
2
2
( )
( )
⎤
⎤
⎦
⎥
⎥
⎥
⎥
⎥
∴ S t t t dt t t t dt
t t
= − − + = − − +
= − −
∫ ∫
2
3
3 1
2
3
3 1
2
3
2
3 2
0
3
3 2
0
3
5
p p
p
( )( ) ( )( )
( 3
3
0
3
3
−
∫ t dt
)
y
O x
(3, 0)
Fig. 6.41
M06_ENGINEERING_MATHEMATICS-I _CH06_PART B.indd 98 5/19/2016 3:17:06 PM
Integral Calculus ■ 6.99
= − − −
⎡
⎣
⎢
⎤
⎦
⎥
= −
( ) −
( ) −
( ) −
⎡
⎣
⎢
⎢
⎢
⎤
⎦
2
3 6
2
4
3
2
2
3
3
6
3
2
3
3
2
0
6 4 2
0
3
6 4 2
p
p
t t t
⎥
⎥
⎥
⎥
= − − −
⎡
⎣
⎢
⎤
⎦
⎥ = − − −
⎡
⎣
⎢
⎤
⎦
⎥ = − −
⎡
⎣
⎢
⎤
⎦
2
3
3
6
3
2
3
2
2
3
9
2
9
2
9
2
2
3
9
2
3 2 2
p p p
⎥
⎥ = 3p
EXERCISE 6.11
1. Find the surface area generated by revolving the arc of the curve 8 1
2 2 2
y x x
= −
( ) about the x-axis.
2. Find the surface area generated by revolving the curve 3 3
y x
= between x = −2 and x = 2 about
the x-axis.
3. Find the surface area generated by revolving the loop of the curve 9 3
2 2
y x x
= −
( ) about the x-axis.
4. An arc of the curve ay x
2 5
= from x = 0 to x a
= 4 is revolved about the y-axis, find the surface
area generated.
5. Find the surface area of the right circular cone of height h and base radius r.
6. A quadrant of a circle of radius 2 revolves about the tangent at one end. Show that the surface area
generated is 4p p
( ).
− x
7. The part of the parabola y x
2
4
= cut off by the latus rectum revolves about the tangent at the
vertex. Find the curved surface of the real thus generated.
8. Find the area of the surface generated by revolving the cardioid x a
= −
( cos cos ),
2 2
u u
y a
= +
( sin sin )
2 2
u u about the x-axis.
9. Find the area of the surface generated by revolving one arch of the cardioid x a t t
= −
( sin )
y a t
= −
( cos )
1 about the x-axis.
10. The asteroid x a t y a t
= =
sin , cos
3 3
is revolved about the x-axis. Find the surface area generated.
11. Find the surface area obtained by revolving a loop of the curve 9 3
2 2
ax y a y
= −
( ) about the y-axis.
12. Find the surface area of the ellipsoid formed by revolving the ellipse
x
a
y
b
2
2
2
2
1
+ = about the x-axis.
Deduce the surface area of the sphere of radius a.
ANSWERS TO EXERCISE 6.11
1.
p
2
2. ( )
34 17 2
9
−
p
3. 3p 4.
128
1215
1 125 10
2
pa ( )
+
5.
1
3
2
pr h 7. pa2
3 2 1 2
− +
⎡
⎣
⎤
⎦
log( ) 8.
128
5
2
pa 9.
64
3
2
pa
10.
12
5
2
pa
. 11. 3 2
pa 12. 2 1
1
pab e
e
e
− + −
2 1
sin ,
⎡
⎣
⎢
⎤
⎦
⎥ 4pa2
M06_ENGINEERING_MATHEMATICS-I _CH06_PART B.indd 99 5/19/2016 3:17:12 PM
6.100 ■ Engineering Mathematics
6.5.4 (b) Surface Area in Polar Coordinates
Let r f
= ( )
u be the equation of the curve.
Let A and B be two points on the curve with vectorial
angles a and b.
1. If the arc AB is revolved about the initial line
u = 0 (i.e., the x-axis) then the surface is generated.
The area of the surface is S y ds
= ∫2p with
limits for s.
∴ S y
ds
d
d
= ∫2p
u
u
a
b
= ∫2p u
u
u
a
b
r
ds
d
d
sin = +
⎛
⎝
⎜
⎞
⎠
⎟
∫2 2
2
p u
u
u
a
b
r r
dr
d
d
sin [ sin ]
{ y r
= u
2. If the arc AB is revolved about the line u
p
=
2
(i.e., about the y-axis, then a surface is generated)
The area of the surface is
S xds
= ∫2p within suitable limits
= ∫2p
u
u
a
b
x
ds
d
d = +
⎛
⎝
⎜
⎞
⎠
⎟
∫2 2
2
p u
u
u
a
b
r r
dr
d
d
cos [ cos ]
{ x r
= u
WORKED EXAMPLES
EXAMPLE 1
Find the area of the surface formed by revolving the lemniscate r a
2 2
2
5 u
cos about the polar
axis (polar axis is the initial line).
Solution.
Given the curve
r a r a
2 2
2 2
= ⇒ =
cos cos
u u
⇒
cos2 0
2
2
2
4 4
u
p
u
p
p
u
p
≥ ⇒ − ≤ ≤
− ≤ ≤
and
3
2
2
5
2
3
4
5
4
p
u
p p
u
p
≤ ≤ ⇒ ≤ ≤
The curve is symmetric about the initial line
A
B
O x
y
θ = 0
r = f(θ)
α
β
θ =
2
π
Fig. 6.42
M06_ENGINEERING_MATHEMATICS-I _CH06_PART B.indd 100 5/19/2016 3:17:17 PM
Integral Calculus ■ 6.101
When u = 0, r a
= ± and when u
p
= =
2
0 0
, ,
r
We get the two loops of the curve as in Fig 6.43.
The required surface area is
S = area of the surface generated by revolving the two
loops about the initial line.
= 2[area of the surface generated by revolving the
arc OA] [{ the curve is symmetric]
= = +
⎛
⎝
⎜
⎞
⎠
⎟
∫ ∫
2 2 4
0
4
2
2
0
4
p
u
u p u
u
u
p p
y
ds
d
d r r
dr
d
d
/ /
sin
We have r a
= cos2u
∴
dr
d
a
u u
u
= −
1
2 2
2 2
cos
( sin )⋅ = −
asin
cos
2
2
u
u
∴
dr
d
a
u
u
u
⎛
⎝
⎜
⎞
⎠
⎟ =
2 2 2
2
2
sin
cos
∴ r
dr
d
a
a
2
2
2
2 2
2
2
2
+
⎛
⎝
⎜
⎞
⎠
⎟ = +
u
u
u
u
cos
sin
cos
=
+
=
+
⎡
⎣ ⎤
⎦ =
a a a a
2 2 2 2 2 2 2 2
2 2
2
2 2
2 2
cos sin
cos
cos sin
cos cos
u u
u
u u
u u
∴ r
dr
d
a
2
2
2
+
⎛
⎝
⎜
⎞
⎠
⎟ =
u u
cos
∴ S a
a
d
= ∫
4 2
2
0
4
p u u
u
u
p
cos sin
cos
/
= = −
∫
4 4
2
0
4
2
0
4
p u u p u
p
p
a d a
sin [ cos ]
/
/
= − −
⎡
⎣
⎢
⎤
⎦
⎥
= − −
⎡
⎣
⎢
⎤
⎦
⎥ = − −
⎡
⎣
⎢
⎤
⎦
⎥ = −
4
4
0
4
1
2
1 4
2
2
1 4
2
2 2
p
p
p p p
a
a a
cos cos
a
a a
2 2
2 2
2
2 2 2
−
⎡
⎣
⎢
⎤
⎦
⎥ = −
⎡
⎣
⎤
⎦
p
EXAMPLE 2
Find the area of the surface generated by revolving one branch of the lemniscates r a
5 u
cos 2
about the tangent at the origin.
y
O
x
θ =
2
π
θ =
4
π
A(a, 0)
B(−a, 0)
Fig. 6.43
M06_ENGINEERING_MATHEMATICS-I _CH06_PART B.indd 101 5/19/2016 3:17:24 PM
6.102 ■ Engineering Mathematics
Solution.
Given r a
= cos2u (1)
The curve has two loops as in Fig 6.44.
u
p
=
4
is a tangent at the origin to the right side loop.
This loop is revolved about u
p
=
4
.
Let P r
( , )
u be any point on the curve.
Draw PM perpendicular to the tangent u
p
=
4
.
From the right angled triangle OPM, we get
PM
OP
PM OP r a
= −
⎛
⎝
⎜
⎞
⎠
⎟
= −
⎛
⎝
⎜
⎞
⎠
⎟ = −
⎛
⎝
⎜
⎞
⎠
⎟ =
sin
sin sin cos
p
u
p
u
p
u u
4
4 4
2 s
sin
p
u
4
−
⎛
⎝
⎜
⎞
⎠
⎟
∴ S PM
ds
d
d
=
−
∫ 2
4
4
p
u
u
p
p
/
/
= −
⎛
⎝
⎜
⎞
⎠
⎟ +
⎛
⎝
⎜
⎞
⎠
⎟
=
−
∫
2 2
4
2 2
2
2
4
4
p u
p
u
u
u
p u
p
p
a r
dr
d
d
a
cos sin
cos sin
/
/
p
p
u
u
u
p
p
4 2
4
4
−
⎛
⎝
⎜
⎞
⎠
⎟
−
∫
a
d
cos
/
/
From example 1, page 6.100
⎡
⎣
⎢
+
⎛
⎝
⎜
⎞
⎠
⎟ =
⎤
⎦
⎥
⎥
r
dr
d
a
2
2
2
u u
cos
= −
⎛
⎝
⎜
⎞
⎠
⎟
−
∫
2
4
2
4
4
p
p
u u
p
p
a d
sin
/
/
=
− −
⎛
⎝
⎜
⎞
⎠
⎟
−
⎡
⎣
⎢
⎢
⎢
⎢
⎤
⎦
⎥
⎥
⎥
⎥
= −
⎛
⎝
⎜
⎞
⎠
⎟
−
2
4
1
2
4
2
4
4
2
p
p
u
p
p
u
p
p
a
a
cos
cos
/
/
⎡
⎡
⎣
⎢
⎤
⎦
⎥ = −
⎛
⎝
⎜
⎞
⎠
⎟
⎡
⎣
⎢
⎤
⎦
⎥ =
−p
p
p
p
p
/
/
cos cos
4
4
2 2
2 0
2
2
a a
EXERCISE 6.12
1. Find the surface area generated by rotating the cardioid r a
= +
( cos )
1 u about the initial line.
2. Find the surface area generated when the curve r = +
4 2cosu revolves about its axis.
y
x
P(r, θ)
O
M
θ =
4
π
−
θ
θ =
2
π
θ =
4
π
Fig. 6.44
M06_ENGINEERING_MATHEMATICS-I _CH06_PART B.indd 102 5/19/2016 3:17:29 PM
Integral Calculus ■ 6.103
3. The portion of the parabola r
a
=
+
2
1 cosu
cut off by the latus rectum revolves about the axis. Find
the surface area generated.
4. Find the surface area generated by revolving the curve r a
= 2 cosu about the initial line.
5. Find the area of the surface generated by revolution of the curve r = 2a sin u about the polar axis.
ANSWERS TO EXERCISE 6.12
1.
32
5
2
pa
2.
37
5
p
3.
8
3
2
pa 4. 4 2
pa 5. 4 2 2
p a
SHORT ANSWER QUESTIONS
Evaluate the following integrals
1. e xdx
x
−
∫
3
4
sin 2. e xdx
x
3 2
cos
∫ 3. x x dx
2 3
sin
∫
4.
log x
x
dx
2
∫ 5. sin cos
6 2
x xdx
∫ 6. cos sin
3 2
x xdx
∫
7. e e dx
x x
sin
∫ 8.
x
x
dx
25 4 2
+
∫ 9.
( )
1 2
3
2
6
−
∫
x
x
dx
10.
x
x
dx
−
−
∫
1
2
11.
xe
x
dx
x
( )
+
∫ 1 2
12. sec6
xdx
∫
13. cosec3
xdx
∫ 14. x xdx
n
log
0
1
∫ 15. sin6
0
2
xdx
p
∫
16. cos9
0
2
xdx
p
∫ 17. sin cos
7 6
0
2
x xdx
p
∫ 18. sin cos
2
0
2
4
x xdx
p
∫
19. sin cos
8
0
2
6
x xdx
p
∫ 20.
x
x x
dx
+ −
∫ 5
2
3
21.
sin
sin cos
3
3 3
0
2
x
x x
dx
+
∫
p
22. lim
n
n
n
n
n r
→∞
= +
∑ 2 2
1
23.
dx
x x
( )( )
+ +
∫ 1 1
2
0
1
24.
x
x
dx
−
+
∫
1
1 3
0
2
( )
OBJECTIVE TYPE QUESTIONS
A. Fill up the blanks
1.
e
e
dx
x
x
1
2
3
+
∫
ln
ln
=___________ 2.
sin
sin cos
x
x x
dx
+
∫
0
2
p
=___________
3.
sin
sin cos
x
x x
dx
+
∫
0
2
p
=___________ 4. sin cos
3 4
x x dx
−
∫p
p
=___________
M06_ENGINEERING_MATHEMATICS-I _CH06_PART B.indd 103 5/19/2016 3:17:39 PM
6.104 ■ Engineering Mathematics
5.
x
x x
dx
+ −
∫ 9
2
7
=___________ 6.
e x x
dx
x
2 2
2
2
2
0
2
sec tan
+
⎛
⎝
⎜
⎞
⎠
⎟
∫
p
=___________
7.
sin
sin
4
0
x
x
dx
p
∫ =___________ 8. lim
n
r
n
n r
→∞
= +
∑
1
1
=___________
9. The area of the region in the first quadrant bounded by y-axis and curves y = sin x and y = cos x
is______________
10. The length of the arc of the curve 6xy = x4
+ 3 from x = 1 to x = 2 is___________
11. The area of the surface of the solid generated by the revolution of the line segment y = 2x from x = 0 to x = 2
about x-axis is__________
12. The area bounded by y2
= x and x2
= y is________
13. The length of the arc of the curve y = logc
sec x between x = 0 and x =
p
6
is ________
14. If the area of the curve y2
= 4x bounded by y = 0 and x = 1 is rotated about the line x = 1, then the volume of
the solid generated is____________
15. The surface area of the surface generated by the revolution of the line segment y = x + 1 from x = 0 to x = 2
about the x-axis is equal to ___________
B. Choose the correct answer
1.
(sin cos )
sin
x x
x
dx
+
+
∫ 1 2
is equal to
(a) sin x (b) cos x (c) x (d) tan x
2.
loge
a
b
x
x
dx
∫ is equal to
(a)
1
2
log .log ( )
e e
b
a
ab
⎛
⎝
⎜
⎞
⎠
⎟ (b) log .log ( )
e e
a
b
ab
⎛
⎝
⎜
⎞
⎠
⎟ (c) log .log ( )
e e
b
a
ab
⎛
⎝
⎜
⎞
⎠
⎟ (d) None of these
3. 5 3
0
1
x dx
−
∫ is
(a) −
1
2
(b)
13
10
(c)
1
2
(d)
23
10
4.
8
8
3
5
−
+ −
∫
x
x x
dx is
(a) 1 (b)
1
2
(c)
3
2
(d) 3
5.
x
dx
x
2
0
2
∞
∫ is equal to
(a) (loge
2)−2
(b) 2loge
2 (c) 2(loge
2)−3
(d) None of these
6. lim
( )
n
n
n
n
n
n
n
n
n n
→∞
+
+
+
+
+
+ −
⎡
⎣
⎢
⎤
⎦
⎥
2 2 2 2 2 2 2
1 2 1
… is equal to
(a)
3
4
p
(b)
p
4
(c)
p
3
(d) None of these
M06_ENGINEERING_MATHEMATICS-I _CH06_PART B.indd 104 5/19/2016 3:17:44 PM
Integral Calculus ■ 6.105
7. sin cos
5 7
2
2
x x dx
−
∫p
p
is equal to
(a) 0 (b) p (c)
5
4
p
(d) None of these
8. The value of
x
x
dx
n
m n
−
+
∞
+
∫
1
0
1
( )
is equal to
(a)
m n
m n
2 +
(b)
m n
m n
+
(c)
m n
m n
+ +1
(d) None of these
9.
tanx
x
dx
1
0
2
+
∫ tan
p
is equal to
(a)
p
2
(b)
p
4
(c)
3
4
p
(d) 0
10. If the function f is continuous for all x ≥ 0 and satisfies f t dt x x x x
x
( ) sin cos
= − + + +
∫
1
2
2
1
2
2
0
2
then the
value of ′
⎛
⎝
⎜
⎞
⎠
⎟
f
p
4
is
(a) p − 2 (b) p + 2 (c) 2 − p (d) − p
11. The length of the curve y = log sec x between the points with abscissae 0,
p
3
is equal to
(a) log ( )
e 2 3
+ (b) log ( )
e 3 1
+ (c) log ( )
e 2 1
+ (d) log (
e 2 3
+
12. The area bounded by the parabola y2
= 4ax and its latus rectum is given by
(a) y dx
a
0
∫ (b) 2 4
0
axdx
a
∫ (c)
y
a
dy
a 2
0
4
∫ (d) 2 4axdx
a
a
−
∫
13. The area of the cardiod r = a(1−cosu) is given by
(a) 3pa2
(b) 6pa2
(c) pa2
(d)
3
2
2
pa
14. The volume of the solid obtained by revolving the area of the parabola y2
= 4ax cut off by the latus rectum
about the tangent at the vertex is given by
(a)
pa3
5
(b)
2
5
3
pa
(c)
4
3
3
pa
(d)
2
3
3
pa
15. The volume of the solid generated by the revolution of r = 2a cosu about the initial line is given by
(a)
2
3
3
pa
(b)
4
3
3
pa
(c)
8
3
3
pa
(d) None of these
M06_ENGINEERING_MATHEMATICS-I _CH06_PART B.indd 105 5/19/2016 3:17:50 PM
6.106 ■ Engineering Mathematics
ANSWERS
A. Fill up the blanks
1. loge
4
3
2.
p
4
3.
p
4
4. 0 5.
5
2
6. e
p
2
7. 0 8. ln2 9. 2 1
− 10.
17
12
11. 8 5p 12.
1
3
13.
1
2
3
loge 14.
16
15
p
15. 8 2p
B. Choose the correct answer
1. (c) 2. (a) 3. (b) 4. (a) 5. (c) 6. (b) 7. (a) 8. (b) 9. (b) 10. (c)
11. (d) 12. (b) 13. (d) 14. (c) 15. (b)
M06_ENGINEERING_MATHEMATICS-I _CH06_PART B.indd 106 5/19/2016 3:17:53 PM
7.1 IMPROPER INTEGRALS
The definite integral f x dx
a
b
( )
∫ is defined as the limit of a sum under two conditions (i) the interval
[a, b] is of finite length and (ii) f is defined and bounded on [a, b]. Then f x dx
a
b
( )
∫ is called a proper
integral.
But there are many practical problems where f is unbounded on [a, b] or the interval is not finite.
Such integrals are known as improper integrals.
For example:
dx
x
dx
x
e x dx
x
, ,
0
1
2
0
2
1
∫ ∫ ∫
+
∞
−
−∞
∞
are improper integrals.
7.1.1 Kinds of Improper Integrals and Their Convergence
(a) Improper integrals of the first kind
If f is continuous and the interval is infinite, then the infinite integrals f x dx
a
( ) ,
∞
∫ f x dx
b
( ) ,
−∞
∫ f x
( )
−∞
∞
∫ dx
are called improper integrals of the first kind.
1. We define f x dx f x dx
a
b
a
b
( ) lim ( )
∞
→∞
∫ ∫
=
if (i) the proper integral f x dx
a
b
( )
∫ exists for every b  a
(ii) the limit lim ( )
b
a
b
f x
→∞ ∫ exists with value equal to A, where A is finite.
Then f x dx
a
( )
∞
∫ is said to converge to A.
A is called the value of the integral and we write f x dx A
a
( ) .
∞
∫ =
Otherwise, f x dx
a
( )
∞
∫ is said to diverge.
2. We define f x dx f x dx
b
a
a
b
( ) lim ( )
−∞
→−∞
∫ ∫
=
if (i) the proper integral f x dx
a
b
( )
∫ exists for every a  b
7
Improper Integrals
M07_ENGINEERING_MATHEMATICS-I _CH07_Part A.indd 1 5/12/2016 9:52:30 AM
7.2 ■ Engineering Mathematics
(ii) the limit lim ( )
a
a
b
f x dx
→−∞ ∫ exists with value equal to B, where B is finite
Then f x dx
b
( )
−∞
∫ is said to converge to B.
B is called the value of the integral and we write f x dx B
b
( ) .
−∞
∫ =
Otherwise, f x dx
b
( )
−∞
∫ is said to diverge.
3. We define
f x dx f x dx f x dx
c
c
( ) ( ) ( )
−∞
∞
−∞
∞
∫ ∫ ∫
= + for some c,
if both the integrals on the R.H.S converge.
Then f x dx
( )
2∞
∞
∫ is said to converge to the sum of the values.
The integral f x dx
( )
−∞
∞
∫ is said to diverge if at least one of the integrals on the R.H.S diverges.
Note The integral f x dx
a
b
( )
∫ for every b ≥ a is analogus to “partial sum” in infinite series and so it may
be considered as “partial integral”.
(b) Improper integrals of the second kind
If the interval [a, b] is finite and f is unbounded at one or more points on [a, b], then f x dx
a
b
( )
∫ is called
an improper integral of the second kind.
1. If f is unbounded at a only (i.e., f has an infinite discontinuity at a), then we define
f x dx f x dx b a
a
b
a
b
( ) lim ( ) ,
∫ ∫
= ∈ −
∈→ +
+∈
0
0 ,
if (i) the proper integral f x dx
a
b
( )
+∈
∫ exists
(ii) the limit exists and is equal to A.
Then the integral f x dx
a
b
( )
∫ is said to converge to A.
A is called the value of the integral and we write f x dx A
a
b
( ) .
∫ =
Otherwise, f x dx
a
b
( )
∫ is said to diverge.
M07_ENGINEERING_MATHEMATICS-I _CH07_Part A.indd 2 5/12/2016 9:52:36 AM
Improper Integrals ■ 7.3
2. If f is unbounded at b only, then we define
f x dx f x dx b a
a
b
a
b
( ) lim ( ) , .
∫ ∫
= ∈ −
∈→ +
−∈
0
0
if (i) the proper integral f x dx
a
b
( )
−∈
∫ exists,
(ii) the limit lim ( )
∈→ +
−∈
∫
0
f x dx
a
b
exists and is equal to B.
Then f x dx
a
b
( )
∫ is said to converge to B.
B is called the value of the integral and we write f x dx B
a
b
( )
∫ =
Otherwise, f x dx
a
b
( )
∫ is said to diverge.
3. If f is unbounded at c only, a  c  b, then we define
f x dx f x dx f x dx
a
b
a
c
c
b
( ) lim ( ) lim ( )
∫ ∫ ∫
= +
∈→ +
−∈
→ +
0 0
d
d
+
,
if both the limits exist.
Then f x dx
a
b
( )
∫ is said to converge to the sum of the limits.
If at least one of the limits fail to exist, then f x dx
a
b
( )
∫ is said to diverge.
Remark:
Cauchy’s Principal Value
1. If f x dx
( )
−∞
∞
∫ is defined as lim ( )
a
a
a
f x dx
→∞
−
∫ and if the limit exists with value A, then A is called
Cauchy’s principal value (CPV) of f x dx
( ) .
−∞
∞
∫
Note that Cauchy’s principal value of f x dx
( )
−∞
∞
∫ may exist even if the improper integral diverges.
2. Similarly, Cauchy’s principal value of
f x dx f x dx
a
b
a
c
( ) lim ( )
∫ ∫
= +
⎡
⎣
⎢
∈→ +
−∈
0
f x dx
c
b
( )
+∈
∫
⎤
⎦
⎥ if the R.H.S limits exist.
3. If the improper integral converges to A, then CPV = A.
M07_ENGINEERING_MATHEMATICS-I _CH07_Part A.indd 3 5/12/2016 9:52:42 AM
7.4 ■ Engineering Mathematics
WORKED EXAMPLES
Problems based on improper integral of the first kind
EXAMPLE 1
Evaluate the improper integral
dx
x
1 2
0 1
,
∞
∫ if it exists.
Solution.
Let I
dx
x
=
+
∞
∫1 2
0
=
+
→∞ ∫
lim
b
b
dx
x
1 2
0
=
= − = − = −
−
− − − −
lim[tan ]
lim[tan tan ] tan tan
b
b
b
x
b
→∞
→∞
∞
1
0
1 1 1 1
0 0
2
0
p
=
=
p
2
EXAMPLE 2
Evaluate
1
2
1 x
dx
∞
∫ if it exists.
Solution.
Let I
x
dx
=
∞
∫
1
2
1
=
→∞ ∫
lim
b
b
x
dx
1
2
1
=
⎡
⎣
⎢
⎤
⎦
⎥
=
⎡
⎣
⎢
⎤
⎦
⎥ =
⎡
⎣
⎢
⎤
→∞
→∞ →∞
lim
lim lim
b
b
b
b
b
x
x b
−
−
− − +
2 1
1
1
2 1
1 1
1
+
+
⎦
⎦
⎥ =
∞
⎡
⎣
⎢
⎤
⎦
⎥ =
− +
1
1 1
EXAMPLE 3
Evaluate xe dx
x
2
2
2
∞
∞
∫ if it exists.
Solution.
Let I xe dx xe dx xe dx I I
x x x
= = + = +
−
−∞
∞
−
−∞
−
∞
∫ ∫ ∫
2 2 2
0
0
1 2
where I xe dx xe dx
x
a
x
a
1
0 0
2 2
= =
−
−∞
→−∞
−
∫ ∫
lim
Put t = x2
∴ dt = 2xdx ⇒ xdx dt
=
1
2
When x = a, t = a2
and when x t
= =
0 0
,
∴ I e
dt
a
t
a
1
0
2
2
= ⋅
→−∞
−
∫
lim =
⎡
⎣
⎢
⎤
⎦
⎥ =
= =
1
2 1
1
2
1
2
1
1
2
2
0
0
lim lim [ ]
[ ]
a
t
a
a
a
e
e e
e
→−∞
−
→−∞
−
−∞
−
− −
− − −
2
2
1 0
1
2
[ ]
− −
=
M07_ENGINEERING_MATHEMATICS-I _CH07_Part A.indd 4 5/12/2016 9:52:47 AM
Improper Integrals ■ 7.5
and I xe dx
x
2
0
2
= −
∞
∫ =
→∞
−
∫
lim
a
x
a
xe dx
2
0
=
→∞
−
∫
lim
a
t
a
e dt
1
2
0
2
=
⎡
⎣
⎢
⎤
⎦
⎥
= = = −
1
2 1
1
2
1
2
1
1
2
0
0
2
2
lim
lim [ ] [ ] [
a
t a
a
a
e
e e e
→∞
−
→∞
− −∞
−
− − − − 0
0 1
1
2
− =
]
∴ I xe dx
x
= = − + =
−
−∞
∞
∫
2 1
2
1
2
0
EXAMPLE 4
Evaluate
dx
a x
2 2
0
0
1
∞
∫ 
, a , if it exists.
Solution.
Let I
dx
a x
dx
a x
a
x
a
c
c
c
c
=
+
=
+
=
⎡
⎣
⎢
⎤
⎦
⎥
∞
→∞
→∞
∫ ∫
2 2
0
2 2
0
1
0
1
lim
lim tan−
=
⎡
⎣
⎢
⎤
⎦
⎥ = [ ] = =
lim tan tan tan
c a
c
a a a a
→∞
− − −
− ∞ − .
1
0
1
0
1
2 2
1 1 1 p p
EXAMPLE 5
Evaluate x xdx
sin ,
2∞
∫
0
if it exists.
Solution.
Let I x xdx
=
−∞
∫ sin
0
=
→−∞ ∫
lim sin
a
a
x xdx
0
=
=
lim [ ( cos ) ( sin )] [
lim
a
a
a
x x x
→ −∞
→
− − − 0
by Bernoulli’s formula,
−
−∞
→ −∞
−
− −
[ cos sin ] , sin ]
lim ( cos sin )
x x x u x v x
a a a
a
a
+ = =
= +
0
0
Here
[
[ ]= −
→ −∞
lim [ cos sin ]
a
a a a
But sin a and cos a oscillate finitely between −1 and +1.
Since a cos a → ∞ as a → ∞, limit is −∞
∴ the integral I x xdx
=
−∞
∫ sin
0
diverges to −∞.
M07_ENGINEERING_MATHEMATICS-I _CH07_Part A.indd 5 5/12/2016 9:52:52 AM
7.6 ■ Engineering Mathematics
EXAMPLE 6
Evaluate
dx
x x
e
e (log )
,
3
∞
∫ if convergent.
Solution.
Let I
dx
x x
e
e
=
∞
∫ (log )3
=
→∞ ∫
lim
(log )
a
e
e
a
dx
x x 3
Put t = loge
x ∴ dt
x
dx
=
1
When x = e, t = loge
e = 1 and when x = a, t = loge
a
∴ I
dt
t
a
a
e
=
→∞ ∫
lim
log
3
1
=
→∞
−
∫
lim ( )
log
a
a
t dt
e
3
1
=
=
lim
lim
lim
log
log
a
a
a
a
a
t
t
e
e
→∞
→∞
→
−
−
−
−
⎡
⎣
⎢
⎤
⎦
⎥
⎡
⎣
⎢
⎤
⎦
⎥
=
2
1
2
1
2
1
2
1
1
2 ∞
∞
− −
∞
− − −
1
1
1
2
1
1
1
2
0 1
1
2
2
(log )
[ ]
e a
⎡
⎣
⎢
⎤
⎦
⎥ =
⎡
⎣
⎢
⎤
⎦
⎥ = =
EXAMPLE 7
Evaluate e xdx
x
2
sin ,
0
∞
∫ if it exists.
Solution.
Let I e xdx
x
= −
∞
∫ sin
0
=
→∞
−
∫
lim sin
b
x
b
e xdx
0
=
⎡
⎣
⎢
⎤
⎦
⎥
= +
lim ( sin cos )
lim [ (sin cos )]
b
x b
b
x
e
x x
e x x
→∞
−
→∞
−
− −
−
2
1
2
0
0
b
b
b
b
e b b e
e
= + +
= = =
− −
− − − −
→∞
−
−∞
1
2
0 1
1
2
1
1
2
0 1
1
0
lim [ (sin cos ) ( )]
[ ] [ ]
2
2
M07_ENGINEERING_MATHEMATICS-I _CH07_Part A.indd 6 5/12/2016 9:52:57 AM
Improper Integrals ■ 7.7
EXAMPLE 8
Prove that
dx
x
a p
p
a
, ,
 
0 0
∞
∫ is convergent if p  1 and divergent if p ≤ 1.
Solution.
Let I
dx
x
x dx a p
p b
p
a
b
a
= =  
→∞
−
∞
∫
∫ lim , ,
0 0
=
−
=
−
−
→∞
−
→∞
−
lim lim
b
p
a
b
b
p p
x
p
b a
p
+ − + +
+
⎡
⎣
⎢
⎤
⎦
⎥
+
⎡
⎣
⎢
⎤
⎦
⎥
1 1 1
1 1
If p  1,then −p + 1  0. ∴ as b → ∞, b−p + 1
→ 0
∴ I
a
p
a
p
p p
=
−
− +
= −
−
− + −
0
1 1
1 1
if p  0
If p  1, then −p + 1  0. ∴ as b → ∞, b−p + 1
→ ∞
∴ I = ∞ if p  1
When p = 1, I
x
dx
b
a
b
=
→∞ ∫
lim
1
=
= − = − =
∞
lim log
lim[log log ] log
b
e a
b
b
x
b a a
→
→∞
[ ]
∞ ∞
∴ I is convergent if p  1 and divergent if 0 1
 ≤
p
That is
dx
x p
a
∞
∫ is convergent if p  1 and divergent if 0 1
 ≤
p .
Note
1
2
1 x
dx
∞
∫ is convergent, since p = 
2 1.
EXAMPLE 9
Evaluate
x
x x
dx
1
2 1
3
1 1
2
2 ( )( )
.
∞
∫
Solution.
Let I
x
x x
dx
=
+
− +
∞
∫
3
1 1
2
2 ( )( )
=
+
− +
→∞ ∫
lim
( )( )
b
b
x
x x
dx
3
1 1
2
2
Let
x
x x
A
x
Bx C
x
+
− +
=
−
+
+
+
3
1 1 1 1
2 2
( )( )
⇒ x + 3 = A(x2
+ 1) + (Bx + C)(x − 1)
Put x = 1, then 4 = A(1 + 1) ⇒ 2A = 4 ⇒ A = 2
Put x = 0, then 3 = A − C ⇒ C = A − 3 = 2 − 3 = −1
Equating coefficients of x2
, 0 = A + B ⇒ B = −A = −2
M07_ENGINEERING_MATHEMATICS-I _CH07_Part A.indd 7 5/12/2016 9:53:04 AM
7.8 ■ Engineering Mathematics
∴
x
x x x
x
x x
x
x x
+
− +
=
−
+
− −
+
=
−
−
+
−
+
3
1 1
2
1
2 1
1
2
1
2
1
1
1
2 2 2 2
( )( )
∴ I
x
x
x x
dx
b
b
=
−
−
+
−
+
⎡
⎣
⎢
⎤
⎦
⎥
→∞ ∫
lim
2
1
2
1
1
1
2 2
2
= − − + −
= −
−
→
lim log ( ) log ( ) tan
lim log ( )
b
e e
b
b
e
x x x
x
→∞
∞
⎡
⎣ ⎤
⎦
2 1 1
1
2 1
2
2
−
− + −
=
−
+
−
−
−
log ( ) tan
lim log
( )
tan
e
b
b
e
x x
x
x
2 1
2
2
2
1
1
1
1
⎡
⎣ ⎤
⎦
⎡
⎣
⎢
⎤
⎦
⎥
→∞
x
x
b
b
b
b
b
e e
⎡
⎣
⎢
⎤
⎦
⎥
⎛
⎝
⎜
⎞
⎠
⎟
→∞
2
2
2
1
2
2
1
1
2 1
2
=
−
+
− −
−
+
−
lim log
( )
tan log
( )
1
1
2
1
1
1
1
1
2
2
2
2
⎛
⎝
⎜
⎞
⎠
⎟ − −
⎡
⎣
⎢
⎤
⎦
⎥
⎛
⎝
⎜
⎞
⎠
⎟
⎛
⎝
⎜
−
→∞
( tan )
lim log
=
−
+
b
e
b
b
b
b
⎞
⎞
⎠
⎟
⎛
⎝
⎜
⎜
⎜
⎜
⎞
⎠
⎟
⎟
⎟
⎟
⎡
⎣
⎢
⎢
⎢
⎢
⎤
⎦
⎥
⎥
⎥
⎥
→∞
− − +
=
− −
tan log tan
lim lo
1 1
1
5
2
b e
b
g
g tan log tan
e e
b
b
b
1
1
1
1
1
5
2
2
2
1 1
−
+
− +
− −
⎛
⎝
⎜
⎞
⎠
⎟
⎛
⎝
⎜
⎞
⎠
⎟
⎛
⎝
⎜
⎜
⎜
⎜
⎞
⎠
⎟
⎟
⎟
⎟
−
⎡
⎡
⎣
⎢
⎢
⎢
⎢
⎤
⎦
⎥
⎥
⎥
⎥
∞
= − − +
= − + + =
− −
−
log tan log tan
tan log
e e
e
1
1
5
2
2
2 5
1 1
1
p
l
log tan log cot
e e
5
2
2 5 2
1 1
− − = −
− −
p
⎛
⎝
⎜
⎞
⎠
⎟
EXAMPLE 10
Evaluate the improper integral
dv
v v
( )( tan )
1 1
2 1
0 1 1 2
∞
∫ .
Solution.
Let I
dv
v v
=
+ + −
∞
∫ ( )( tan )
1 1
2 1
0
Here f v
v v
( )
( )( tan )
=
+ + −
1
1 1
2 1
When v = 0, f ( )
( )( )
0
1
1 0 1 0
1
=
+ +
=
∴ v = 0 is a point of continuity of f(v).
∴ I
dv
v v
b
b
=
+ +
→∞ −
∫
lim
( )( tan )
1 1
2 1
0
M07_ENGINEERING_MATHEMATICS-I _CH07_Part A.indd 8 5/12/2016 9:53:07 AM
Improper Integrals ■ 7.9
Let I
dv
v v
b
1 2 1
0 1 1
=
+ + −
∫ ( )( tan )
Put t = tan−1
v ∴ dt
v
dv
=
+
1
1 2
When and when
v t v b t b
= = = = =
− −
0 0 0
1 1
, tan , tan
∴ I
dt
t
t
b
e
b
1
0
0
1
1
1
1
=
+
= +
[ ]
−
−
∫
tan
tan
log ( )
= + − = +
− −
log ( tan ) log log ( tan )
e e e
b b
1 1 1
1 1
∴ I b
b
e
= lim log ( tan )
→∞
−
1 1
+
⎡
⎣ ⎤
⎦ = + = +
⎛
⎝
⎜
⎞
⎠
⎟
log ( tan ) log
e e
1 1
2
1
−
∞
p
Problems based on improper integral of the second kind
EXAMPLE 11
Evaluate the improper integral
dx
x
9 2
0
3
2
,
∫ if it exists.
Solution.
Let I
dx
x
=
−
∫ 9 2
0
3
Here the integrand is f x
x
( ) =
−
1
9 2
When x f
= = = ∞
3 3
1
0
, ( ) . ∴ f(x) is unbounded when x = 3.
∴ the integrand is unbounded when x = 3 and the interval [0, 3] is finite.
So, it is an improper integral of the second kind.
∴ I
dx
x
=
−
∫ 9 2
0
3
=
−
∈→ +
−∈
∫
lim
0 2
0
3
9
dx
x
=
⎡
⎣
⎢
⎤
⎦
⎥
=
⎡
⎣
⎢
⎤
⎦
⎥ =
+
+
lim sin
lim sin sin si
∈→
−
−∈
∈→
− −
− ∈
−
0
1
0
3
0
1 1
3
3
3
0
x
n
n [ , ]
−
− = ∈ − ∈
1
1 0
2
0 3 3
p
as → →
EXAMPLE 12
Evaluate the improper integral
dx
x
( )
,
/
21 2 3
0
2
∫ if it exists.
Solution.
Let I
dx
x
=
−
∫ ( ) /
1 2 3
0
2
M07_ENGINEERING_MATHEMATICS-I _CH07_Part A.indd 9 5/12/2016 9:53:13 AM
7.10 ■ Engineering Mathematics
Here the integrand is f x
x
( )
( ) /
=
−
1
1 2 3
When x f
= = = ∞
1 1
1
0
, ( ) ∴ f(x) is unbounded at x = 1.
∴ the integrand is unbounded when x = 1 and the interval [0, 2] is finite.
Hence, it is an improper integral of the second kind.
∴ I
dx
x
=
−
∫ ( ) /
1 2 3
0
2
=
−
+
−
∫ ∫
dx
x
dx
x
( ) ( )
/ /
1 1
2 3
0
1
2 3
1
2
=
−
+
−
= −
∈→ +
−∈
→ +
+
∈→ +
∫ ∫
lim
( )
lim
( )
lim (
/ /
0 2 3
0
1
0 2 3
1
2
0
1 1
1
dx
x
dx
x
x
d
d
)
) lim ( )
/ /
−
−∈
→ +
−
+
∫ ∫
+ −
2 3
0
1
0
2 3
1
2
1
dx x dx
d
d
=
⎡
⎣
⎢
⎤
⎦
⎥ +
⎡
⎣
⎢
⎤
⎦
⎥
=
+
lim
( )
/
lim
( )
/
/ /
∈→
−∈
→
− −
0
1 3
0
1
0
1 3
1
2
1
1 3
1
1 3
3
x x
d
d
l
lim[( ) ( ) ] lim[ ( ) ]
lim
/ / / /
∈→ →
∈
− ∈− − − − −
0
1 3 1 3
0
1 3 1 3
1 1 1 3 1 1 1
3
+ +
=
d
d
→
→ →
− ∈ − − − − −
−
0
1 3
0
1 3 1 3
1 3 1 1 1
3 0 1 3 1
[( ) ( )] lim ( ) [ ( ) ]
[ ] [
/ / /
+ =
= + +
d
d {
0
0 6
] =
EXAMPLE 13
Evaluate the improper integral
dx
x x
2 2
0
2
2
,
∫ if it exists.
Solution.
Let I
dx
x x
dx
x x
=
−
=
−
∫ ∫
2 2
2
0
2
0
2
( )
Here the integrand is f x
x x
( )
( )
=
−
1
2
When x f x f
= = = ∞ = = = ∞
0 0
1
0
2 2
1
0
, ( ) , ( )
and when
∴ f(x) is unbounded at x = 0 and x = 2
∴ the integrand is unbounded and the interval [0, 2] is finite.
Hence, it is an improper integral of the second kind.
∴ I
dx
x x
dx
x x
dx
x x
dx
x x
=
−
=
−
+
−
=
−
+
∫ ∫ ∫
∫
∈→
+∈
( ) ( ) ( )
lim
( )
2 2 2
2
0
2
0
1
1
2
0
0
1
l
lim
( )
d
d
→
−
−
= +
∫
0
1
2
1 2
2
dx
x x
I I
M07_ENGINEERING_MATHEMATICS-I _CH07_Part A.indd 10 5/12/2016 9:53:18 AM
Improper Integrals ■ 7.11
Let 1
2 2
x x
A
x
B
x
( )
−
= +
−
⇒ 1 2
= − +
A x Bx
( )
Putting x A A
= = =
0 1 2
1
2
, ⇒ and Putting x B B
= = =
2 1 2
1
2
, ⇒
∴
1
2
1
2
1 1
2
1
2
x x x x
( ) ( )
−
= ⋅ + ⋅
−
∴
dx
x x x x
dx
( ) ( )
2
1
2
1 1
2 2
−
= ⋅ +
−
⎛
⎝
⎜
⎞
⎠
⎟
∫ ∫
= − − =
−
⎛
⎝
⎜
⎞
⎠
⎟
1
2
1
2
2
1
2 2
log log ( ) log
e e e
x x
x
x
(1)
Now, I
dx
x x
1
0
0
1
2
=
−
∈→
+∈
∫
lim
( )
=
−
⎡
⎣
⎢
⎤
⎦
⎥
∈→
+∈
lim log
0
0
1
1
2 2
e
x
x
[using (1)]
= −
+ ∈
+ ∈
⎡
⎣
⎢
⎤
⎦
⎥
⎧
⎨
⎩
⎫
⎬
⎭
=
lim log log
( )
lim log
∈→
∈→
− −
0
0
1
2
1
2 1
0
2 0
1
2
1
e e
e −
− loge
∈
− ∈
⎡
⎣
⎢
⎤
⎦
⎥
⎧
⎨
⎩
⎫
⎬
⎭
2
= −
∈
− ∈
⎛
⎝
⎜
⎞
⎠
⎟
⎧
⎨
⎩
⎫
⎬
⎭
= − = ∞
∈→
1
2 2
1
2
0
0
lim log log
e e
and I
dx
x x
2
0
1
2
2
=
−
→
−
∫
lim
( )
d
d
=
⎛
⎝
⎜
⎞
⎠
⎟
⎡
⎣
⎢
⎤
⎦
⎥
lim log
d
d
→
−
−
0
1
2
1
2 2
e
x
x
[using (1)]
=
1
2
2
2 2
1
2 1
0
lim log
( )
log
d
d
d
→
−
− −
−
−
e e
⎛
⎝
⎜
⎞
⎠
⎟
⎡
⎣
⎢
⎤
⎦
⎥
=
−
⎛
⎝
⎜
⎞
⎠
⎟
⎡
⎣
⎢
⎤
⎦
⎥
1
2
2
1
0
lim log log
d
d
d
→
−
e e
= − = =
1
2
2
0
0
1
2
0
lim log log
d→
∞ ∞
e e
∴ I I I
= + =
1 2 ∞
i.e., the limit does not exist.
∴ the integral
dx
x x
( )
2
0
2
−
∫ is divergent.
M07_ENGINEERING_MATHEMATICS-I _CH07_Part A.indd 11 5/12/2016 9:53:24 AM
7.12 ■ Engineering Mathematics
EXAMPLE 14
Evaluate the improper integral log | |
e x dx
21
1
∫ .
Solution.
Let I x dx
e
=
−
∫ log
1
1
= ⎡
⎣ ⎤
⎦
=
∫
2
2
0
1
log log
log
e e
e
x dx x is even
x
x dx x x x
0
1
0
∫ = ≥
⎡
⎣ ⎤
⎦
if
Here f x x
e
( ) log
=
As x x
e
→ →
0+ ∞
, log . So, f(x) is unbounded at x = 0.
∴ the integrand is unbounded and the interval [−1, 1] is fininte.
Hence, it is an improper integral of the second kind.
But I xdx x x
x
x dx
e e
= = ⋅
[ ] − ⋅
⎧
⎨
⎪
⎩
⎪
⎫
⎬
⎪
⎭
⎪
∈→ +
∈
∈→ + ∈
∈
∫ ∫
lim log lim log
0
1
0
1
1
1
=
= − ∈ ∈−
{ }
∈→ +
∈
lim log [ ]
0
1
0 e x
=
=
=
+
+
+
lim [ log ( )]
lim [ log ]
lim [ lo
∈→
∈→
∈→
− ∈ ∈− − ∈
− ∈ ∈− + ∈
− ∈
0
0
0
1
1
2
e
e
g
g ]
lim [ log ]
e
e
∈ −
− ∈ ∈
∈→
1 0
2 2
0
+
⎡
⎣
⎢
⎤
⎦
⎥
= −
+
∞
∞
form
⎡
⎣
⎢
⎤
⎦
⎥
Now lim ( log ) lim
log
/
lim
/
/
lim (
∈→ ∈→
∈→ ∈→
∈ ∈
∈
∈
∈
− ∈
− ∈
0 0
0 2 0
1
1
1
+ +
+
=
= =
e
e
+
)
) [ ]
= 0 by L-Hopital s rule
’
∴ I = =
2 0 2 2
[ ]− −
EXAMPLE 15
Evaluate
x
x
dx
1 2
0
1
2
∫ .
Solution.
Let I
x
x
dx
= ∫ 1 2
0
1
−
Hence, it is an improper integral of the second kind
Here f x
x
x
( ) =
−
1 2
When x = 1, f ( ) .
1
1
0
= = ∞ ∴ f(x) is unbounded at x = 1.
M07_ENGINEERING_MATHEMATICS-I _CH07_Part A.indd 12 5/12/2016 9:53:29 AM
Improper Integrals ■ 7.13
∴ the integrand is unbounded and the interval is finite
∴ I
x
x
dx x x dx
=
−
= − − −
∈→ +
−∈
∈→ +
−∈
−
∫ ∫
lim lim ( ) ( )
0 2
0
1
0
2
0
1 1
2
1
1
2
1 2
= −
−
= − −
−
lim
( )
lim ( )
∈→ +
∈
∈→ +
⎡
⎣
⎢
⎢
⎢
⎤
⎦
⎥
⎥
⎥
⎡
⎣
⎢
⎤
⎦
⎥
0
2
1
2
0
1
0
2
1
2
1
2
1
1
2
1
x
x 0
0
1
0
2
1
2
1
2
1 1 1 1 1 1 0 1 1
−
= − − − − = − − − = − − =
∈
∈→ +
∈
⎡
⎣
⎢
⎤
⎦
⎥ { }
lim [ ( ) ] ( ) ( )
∴
x
x
dx
1
1
2
0
1
−
∫ =
EXERCISE 7.1
Test the convergence of the following improper integrals using definition. Find the value if convergent.
1.
dx
x2
1
∞
∫ 2.
1
0
1 x
dx p
p
, 
∞
∫ 3. x dx
−
∞
∫
( / )
3 2
1
4.
x
x
dx
1 4
+
−∞
∞
∫ 5.
dx
x x
2
2 5
+ +
−∞
∞
∫ 6.
2
4
1 e
dx
x
+
∞
∫
7.
dx
x
4 2
0
2
−
∫ 8.
dx
x
( )
1 2
1
2
−
∫ 9. e dx p
px
−
∞
∫
0
0
, 
10. tan xdx
−
∫p
p
2
2
11.
1
1
1
1
+
−
−
x
x
dx
∫ 12.
dx
x
p
p
, 
∫ 0
0
1
13. x x dx
sin
0
∞
∫ 14.
x dx
x
( )
2 3
2 3
−
∞
∫
ANSWERS TO EXERCISE 7.1
1. 1 2.
1
1
p −
if p  1, divergent if p ≤ 1 3.
1
2
4. 0 5.
p
2
6. Divergent
7.
p
2
8. Divergent 9.
1
0
p
p
if 
10. Divergent 11. p
12.
1
1
p −
if p  1, Divergent if p ≥ 1 13. Divergent 14. 1
M07_ENGINEERING_MATHEMATICS-I _CH07_Part A.indd 13 5/12/2016 9:53:37 AM
7.14 ■ Engineering Mathematics
7.1.2 Tests of Convergence of Improper Integrals
As in the case of series of positive terms, we have tests for convergence of improper integrals with
positive integrand.
(a) Tests of convergence of improper integrals of the first kind
We state the following theorems without proof.
Theorem 7.1 Let f x x a
( ) .
 ∀ ≥
0 Then f x dx
a
( )
∞
∫ is convergent if and only if there exists a
constant M  0 such that f x dx M b a
a
b
( ) .
∫ ≤ ∀ ≥
Comparison Test
Theorem 7.2 Iff(x)andg(x)arebothpositiveandcontinuouson[a,∞)and 0 ≤ ≤ ∀ ≥
f x g x x a
( ) ( ) ,
then f x dx
a
( )
∞
∫ converges if g x dx
a
( )
∞
∫ converges and f x dx g x dx
a a
( ) ( ) .
∞ ∞
∫ ∫
≤
Note The above result is equivalently, if f x dx
a
( )
∞
∫ diverges, then g x dx
a
( )
∞
∫ diverges.
Limit form of Comparison Test
Theorem7.3 If f(x)andg(x)arebothpositiveandcontinuouson[a,∞)suchthat lim
( )
( )
, ,
x
f x
g x
l l
→∞
=   ∞
0
then f x dx
a
( )
∞
∫ and g x dx
a
( )
∞
∫ converge or diverge together.
That is both the integrals behave alike.
If g x dx
a
( )
∞
∫ is convergent, then f x dx
a
( )
∞
∫ is convergent, and if g x dx
a
( )
∞
∫ is divergent, then f x dx
a
( )
∞
∫
is divergent.
Note If lim
( )
( )
,
x
f x
g x
→∞
= 0 then f x dx
a
( )
∞
∫ is convergent if g x dx
a
( )
∞
∫ is convergent.
As in the case of series, here also we consider the following improper integrals for comparison,
1. The p-integral,
dx
x
a p
p
a
,  
∞
∫ 0 0
and is convergent if p  1 and divergent if 0 1
 ≤
p .
2. e dx
x
−
∞
∫
a
0
is convergent if a  0 and divergent if a ≤ 0.
Absolute Convergence
The improper integral f x dx
a
( )
∞
∫ is said to be absolutely convergent if f x dx
a
( )
∞
∫ is convergent.
M07_ENGINEERING_MATHEMATICS-I _CH07_Part A.indd 14 5/12/2016 9:54:06 AM
Improper Integrals ■ 7.15
WORKED EXAMPLES
EXAMPLE 1
Test the convergence of
x
x
dx
1 4
1 1
∞
∫ .
Solution.
Given
x
x
dx
1 4
1 +
∞
∫
Here f x
x
x
x
x
x
x
x
( ) .
=
+
=
+
⎛
⎝
⎜
⎞
⎠
⎟
= ⋅
+
⎛
⎝
⎜
⎞
⎠
⎟
1
1
1
1 1
1
1
4
4
4
3
4
Take g x
x
( ) .
=
1
3
∴
f x
g x
x
x
x
x
( )
( )
=
+
⎛
⎝
⎜
⎞
⎠
⎟
⋅ =
+
1
1
1
1
1
1
3
4
3
4
lim
( )
( )
lim ( )
x x
f x
g x
x
→ →
∞ ∞
=
+
= ≠
1
1
1
1 0
4
∴ by the comparison test,
f x dx g x dx
( ) ( )
1 1
∞ ∞
∫ ∫
and behave alike.
But g x dx
dx
x
( )
1
3
1
∞ ∞
∫ ∫
= is convergent by p-integral, since p = 
3 1.
∴ f x dx
xdx
x
( )
1
4
1 1
∞ ∞
∫ ∫
=
+
is convergent.
EXAMPLE 2
Test the convergence of
dx
x x
( )
.
1
1 1
∞
∫
Solution.
Given
dx
x x
( )
.
1
1 +
∞
∫
Here f x
x x x
x
( )
( )
.
/
=
+
=
+
1
1
1
1
1
3 2 ⎡
⎣
⎢
⎤
⎦
⎥
Take g x
x
( ) .
/
=
1
3 2
∴ f x
g x
x
x
x
x
( )
( ) /
/
=
+
=
+
1
1
1
1
1
1
3 2
3 2
⎡
⎣
⎢
⎤
⎦
⎥
⋅
M07_ENGINEERING_MATHEMATICS-I _CH07_Part A.indd 15 5/12/2016 9:54:13 AM
7.16 ■ Engineering Mathematics
∴ lim
( )
( )
lim ( )
x x
f x
g x
x
→ →
∞ ∞
=
+
= ≠
1
1
1
1 0
∴ by the comparison test,
f x dx g x dx
( ) ( )
1 1
∞ ∞
∫ ∫
and behave alike.
But g x dx
dx
x
( ) /
1
3 2
1
∞ ∞
∫ ∫
= is convergent by p-integral, since p = 
3
2
1.
∴ f x dx
dx
x x
( )
( )
1 1 1
∞ ∞
∫ ∫
=
+
is convergent.
EXAMPLE 3
Test the convergence of e dx
x
2 2
0
∞
∫ .
Solution.
Let I e dx
x
= −
∞
∫
2
0
= + = +
− −
∞
∫ ∫
e dx e dx I I
x x
2 2
0
1
1
1 2
where I e dx
x
1
0
1
2
= −
∫ is proper integral
and I e dx
x
2
1
2
= −
∞
∫ is an improper integral of the first kind
we shall test the convergent of I2
Here f x e x
( ) = − 2
. Consider g x
x
( ) =
1
2
∴ f x
g x
x e
x
e
x
x
( )
( )
= =
−
2
2
2
2
∴ lim
( )
( )
lim
x x x
f x
g x
x
e
→∞ →∞
=
∞
∞
⎡
⎣
⎢
⎤
⎦
⎥
2
2
form
=
⋅
= =
∞
=
→∞ →∞
lim lim
x x x x
x
e x e
2
2
1 1
0
2 2
[L-Hopital’s rule]
But
dx
x2
1
∞
∫ is convergent by p-integral, since p = 
2 1. ∴ I e dx
x
2
1
2
= −
∞
∫ is convergent.
∴ I I I
= +
1 2 is convergent.
Hence, e dx
x
−
∞
∫
2
0
is convergent.
M07_ENGINEERING_MATHEMATICS-I _CH07_Part A.indd 16 5/12/2016 9:54:20 AM
Improper Integrals ■ 7.17
EXAMPLE 4
Test the convergence of
sin
.
2
2
0
x
x
dx
∞
∫
Solution.
Let I
x
x
dx
x
x
dx
x
x
dx
= = +
∞ ∞
∫ ∫ ∫
sin sin sin
.
2
2
0
2
2
0
1 2
2
1
But lim
x
x
x
→
=
0
2
2
1
sin
.
∴ 0 is not a point of infinite discontinuity.
Hence,
sin2
2
0
1
x
x
dx
∫ is a proper-integral and it has finite value.
So, we shall test the convergence of
sin
,
2
2
1
x
x
dx
∞
∫ which is an improper integral.
We know
sin2
2 2
1
1
x
x x
x
≤ ∀ ≥ ∴
sin
.
2
2
1
2
1
1
x
x
dx
x
dx
∞ ∞
∫ ∫
≤
But
dx
x2
1
∞
∫ is convergent by p-integral, since p = 
2 1
∴
sin2
2
1
x
x
dx
∞
∫ is convergent, by the comparison test
Hence,
sin2
2
0
x
x
dx
∞
∫ is convergent.
EXAMPLE 5
Test the convergence of
log
.
x
x
dx
2
1
∞
∫
Solution.
Given
log
.
x
x
dx
2
1
∞
∫
Here f x
x
x
x
( )
log
,
= 2
1
≥ . Consider g x
x
( ) .
/
=
1
3 2
∴
f x
g x
x
x
x
x
x
( )
( )
log log
.
/
= ⋅ =
2
3 2
∴ lim
( )
( )
lim
log
x x
f x
g x
x
x
→∞ →∞
=
∞
∞
⎡
⎣
⎢ form
⎤
⎤
⎦
⎥
M07_ENGINEERING_MATHEMATICS-I _CH07_Part A.indd 17 5/12/2016 9:54:29 AM
7.18 ■ Engineering Mathematics
= = =
∞
lim lim
x x
x
x
x
→∞ →
1
1
2
2
0 [by L’Hopital’s Rule]
But g x dx
dx
x
( ) /
1
3 2
1
∞ ∞
∫ ∫
= is convergent by p-integral, since p = 
3
2
1.
∴ f x dx
x
x
dx
( )
log
1
2
1
∞ ∞
∫ ∫
= is convergent.
EXAMPLE 6
Test the convergence of
dx
x x
1 2
1 1
∞
∫ .
Solution.
Given
dx
x x
1 2
1 +
∞
∫ .
Here f x
x x
x
x
( ) .
=
+
=
+
1
1
1
1
1
2
2
2
Take g x
x
( ) =
1
2
∴ f x
g x
x
x
x
x
( )
( )
=
+
⋅ =
+
1
1
1
1
1
1
2
2
2
2
lim
( )
( )
lim ( )
x x
f x
g x
x
→ →
∞ ∞
=
+
= ≠
1
1
1
1 0
2
∴ by the comparison test,
f x dx g x dx
( ) ( )
and
1
1
∞
∞
∫
∫ behave alike.
But g x dx
x
dx
( )
1
2
1
1
∞ ∞
∫ ∫
= is convergent by p-integral, since p = 
2 1.
∴ f x dx
dx
x x
( )
1
2
1 1
∞ ∞
∫ ∫
=
+
is convergent.
EXAMPLE 7
Test the convergence of
dx
ex
11
0
∞
∫ .
M07_ENGINEERING_MATHEMATICS-I _CH07_Part A.indd 18 5/12/2016 9:54:34 AM
Improper Integrals ■ 7.19
Solution.
Given
dx
ex
+
∞
∫ 1
0
. Here f x
ex
( ) .
=
+
1
1
We know e e x
x x
+1 0
≥ ∀ ≥ ⇒
1
1
1
e e
x x
+
≤
∴
1
1
0 0
e
dx
dx
e
x x
+
≤
∞ ∞
∫ ∫
But
dx
e
e dx
x
x
0 0
∞
−
∞
∫ ∫
= is convergent, since a = 
1 0.
∴
dx
ex
+
∞
∫ 1
0
is convergent, by comparison test.
EXAMPLE 8
Test the convergence of
cos
.
x
x
dx
1 2
0 1
∞
∫
Solution.
Given
cos
.
x
x
dx
1 2
0 +
∞
∫ Here f x
x
x
( )
cos
=
+
1 2
But
cos x
x x
x
1
1
1
0
2 2
+
≤
+
∀ ≥ ∴
cos x
x
dx
x
dx
1
1
1
2
0
2
0
+
≤
+
∞ ∞
∫ ∫
Now
dx
x
x
1 2
0
1
0
+
= [ ]
∞
− ∞
∫ tan = ∞ − = − =
− −
tan tan .
1 1
0
2
0
2
p p
∴ dx
x
1 2
0 +
∞
∫ is convergent. ⇒
cos x
x
dx
1 2
0 +
∞
∫ is convergent.
Hence,
cos x
x
dx
1 2
0 +
∞
∫ is absolutely convergent.
(b) Test of convergence of Improper Integrals of the second kind
We state the following theorems without proof.
Theorem 7.4 Let f(x) be positive and integrable in a  x ≤ b and f(x) is unbounded at a. Then f x dx
a
b
( )
∫
will converge, if there exists a positive number M such that f x dx M
a
b
( ) ,
+∈
∫  ∀ ∈ where 0 ∈ −
b a.
M07_ENGINEERING_MATHEMATICS-I _CH07_Part A.indd 19 5/12/2016 9:54:43 AM
7.20 ■ Engineering Mathematics
Comparison Test
Theorem 7.5 If f(x) and g(x) be positive and integrable in a  x ≤ b and f(x) ≤ g(x) then f x dx
a
b
( )
∫
converges if g x dx
a
b
( )
∫ converges.
Limit form of Comparison Test
Theorem 7.6 Let f(x) and g(x) be positive and integrable in a  x ≤ b. If lim
( )
( )
( ),
x a
f x
g x
c
→ +
= ≠ 0 then
f x dx
a
b
( )
∫ and g x dx
a
b
( )
∫ behave alike.
That is both converge or diverge.
If g x dx
a
b
( )
∫ is convergent, then f x dx
a
b
( )
∫ is convergent.
If g x dx
a
b
( )
∫ is divergent, then f x dx
a
b
( )
∫ is divergent.
Note
1. If lim
( )
( )
x a
f x
g x
→ +
= 0 and g x dx
a
b
( )
∫ converges, then f x dx
a
b
( )
∫ converges.
2. If lim
( )
( )
( )
x a
f x
g x
→ +
= ∞ − ∞
or and g x dx
a
b
( )
∫ diverges, then f x dx
a
b
( )
∫ diverges.
Improper Integrals for Comparison
1.
dx
x a
a
b
( )
−
 ≥
∫ l
l l
converges if and diverges if
1 1
2.
dx
b x
a
b
( )
.
−

∫ m
m m
converges if and diverges if
1 1
≥
WORKED EXAMPLES
EXAMPLE 1
Test the convergence of the improper integral
dx
x x
1 3
0
1
1
/
( )
.
1
∫
Solution.
Given
dx
x x
1 3
0
1
1
/
( )
+
∫ . Here f x
x x
( )
( )
/
=
+
1
1
1 3
.
M07_ENGINEERING_MATHEMATICS-I _CH07_Part A.indd 20 5/12/2016 9:54:51 AM
Improper Integrals ■ 7.21
When x = 0, f ( )
0
1
0
= = ∞ ∴ f(x) is unbounded at x = 0
Take g x
x
( ) /
=
1
1 3
∴ lim
( )
( )
lim
( )
/
/
x x
f x
g x
x
x x
→ →
0 0
1 3
1 3
1
=
+
=
+
= ≠
lim ( )
x x
→0
1
1
1 0
∴ by the comparison test,
f x dx
( )
0
1
∫ and g x dx
( )
0
1
∫ behave alike.
But g x dx
dx
x
( ) /
= ∫
∫ 1 3
0
1
0
1
is convergent, since l = 
1
3
1
∴ f x dx
dx
x x
( )
( )
/
0
1
1 3
0
1
1
∫ ∫
=
+
is convergent
EXAMPLE 2
Test the convergence of the improper integral
dx
x x
2 3
0
1
1
( )
.
1
∫
Solution.
Given
dx
x x
2 3
0
1
1
( )
+
∫ . Here f x
x x
( )
( )
.
=
+
1
1
2 3
When x f
= = = ∞
0 0
1
0
, ( ) ∴ f(x) is unbounded when x = 0
Take g x
x
( ) =
1
2
∴
f x
g x x x
x
x
( )
( ) ( ) ( )
=
+
⋅ =
+
1
1
1
1
2 3
2
3
∴ lim
( )
( )
lim
( )
( )
x x
f x
g x x
→0 0 3
1
1
1 0
=
+
= ≠
→
∴ by the limits form of comparison test,
f x dx
( )
0
1
∫ and g x dx
( )
0
1
∫ behave alike.
But g x dx
x
dx
( )
0
1
2
0
1
1
∫ ∫
= is divergent, since l = 
2 1
∴ f x dx
dx
x x
( )
( )
0
1
2 3
0
1
1
∫ ∫
=
+
is divergent.
M07_ENGINEERING_MATHEMATICS-I _CH07_Part A.indd 21 5/12/2016 9:55:18 AM
7.22 ■ Engineering Mathematics
EXAMPLE 3
Test the convergence and evaluate the improper integral
x
x
dx
e
log
.
1
2
∫
Solution.
Given
x
x
dx
e
log
1
2
∫ . Here f x
x
x
x
e
( )
log
,
= ≥ 1
When x f x
e
= = = ∞
1
1
1
, ( )
log
∴ f(x) is unbounded when x = 1
Take g x
x x
e
( )
log
=
1
∴ f x
g x
x
x
x x x
e
e
( )
( ) log
log /
= ⋅ = 3 2
∴ lim
( )
( )
lim ( )
/
x x
f x
g x
x
→ →
1 1
3 2
1 0
= = ≠
∴ by the limits comparison test,
f x dx
( )
1
2
∫ and g x dx
( )
1
2
∫ behave alike.
But g x dx
x x
dx
e
( )
log
1
2
1
2
1
∫ ∫
=
= =
∈
+∈
∈
+∈
∫ ∫
lim
log
lim
log
→ →
0
1
2
0
1
2
1 1
x x
dx
x
x
dx
e e
/
= [ ]
= − +
[ ]
=
lim log (log )
lim log (log ) log (log )
∈→ +∈
∈→
∈
0 1
2
0
2 1
e e
e e e
x
l
log log log (log ) log log log
e e e e e
2 1 2 0
− = − = ∞
∴ g x dx
( )
1
2
∫ is divergent.
∴ f x dx
x
x
dx
e
( )
log
1
2
1
2
∫ ∫
= is divergent.
EXAMPLE 4
Test the convergence of the improper integral
dx
x2
1
1
2
∫ .
Solution.
Given
dx
x2
1
1
−
∫ . Here f x
x
( ) .
=
1
2
M07_ENGINEERING_MATHEMATICS-I _CH07_Part A.indd 22 5/12/2016 9:55:25 AM
Improper Integrals ■ 7.23
When x f x
= = = ∞
0
1
0
, ( )
∴ f(x) has infinite discontinuity at x = 0. (f(x) is unbounded at x = 0).
It is improper integral of second kind.
Hence,
dx
x
dx
x
dx
x
2
1
1
2
1
0
2
0
1
− −
∫ ∫ ∫
= + = +
∈→ −
−
∈
→ +
∫ ∫
lim lim
0 2
1
0 2
1
dx
x
dx
x
d
d
=
−
⎡
⎣
⎢
⎤
⎦
⎥ +
⎡
⎣
⎢
⎤
⎦
⎥
= −
⎡
⎣
⎢
⎤
∈
−
−
∈
+
−
∈ −
lim lim
lim
→ − →
→
−
0
1
1
0
1 1
0
1 1
1
x x
x
d
d
⎦
⎦
⎥ −
⎡
⎣
⎢
⎤
⎦
⎥
−
∈
+
1
0
1
1
lim
d
d
→ x
= −
∈
− −
⎡
⎣
⎢
⎤
⎦
⎥ − +
⎡
⎣
⎢
⎤
⎦
⎥ = ∞ + ∞ = ∞
∈ − +
lim ( ) lim
→ →
0 0
1
1 1
1
d d
∴ the given integral is divergent.
∴
dx
x2
1
1
−
∫ is divergent.
EXAMPLE 5
Prove that sin ( )
x dx
2
0
∞
∫ converge.
Solution.
Let I x dx
=
∞
∫sin ( )
2
0
The function is bounded, but the interval is infinite.
So, it is improper integral of the first kind.
Put t x t
= 2
0
∴  and dt xdx dx
dt
x
dt
t
= = =
2
2 2
⇒
When x t x t
= = = ∞ = ∞
0 0
, ,
and when
∴ I t
dt
t
t
t
dt
= =
∞ ∞
∫ ∫
sin
sin
.
2
1
2
0 0
But lim
sin
lim
sin
t t
t
t
t
t
t
→ + → +
=
⎛
⎝
⎜
⎞
⎠
⎟ = ⋅ =
0 0
0 1 0
∴ 0 is not a discontinuity.
∴ I
t
t
dt
t
t
dt I I
= + = +
∫ ∫
∞
1
2
1
2
0
2
2
1 2
sin sin
/
/
p
p
M07_ENGINEERING_MATHEMATICS-I _CH07_Part A.indd 23 5/12/2016 9:55:30 AM
7.24 ■ Engineering Mathematics
where I
t
t
dt
1
0
2
1
2
= ∫
sin
/
p
is a proper integral.
and I
t
t
dt
2
2
1
2
=
∞
∫
sin
/
p
is improper integral.
= ⋅ −
⎡
⎣ ⎤
⎦ − − ⋅ −
⎧
⎨
⎪
⎩
⎪
⎫
⎬
⎪
⎭
⎪
− ∞ −
∞
∫
1
2
1
2
1 2
2
3 2
2
t t t t dt
/
/
/
/
( cos ) ( cos )
p
p
=
= −
⎧
⎨
⎪
⎩
⎪
⎫
⎬
⎪
⎭
⎪
= −
∞ ∞
∫ ∫
1
2
0
1
2
1
4
3 2
2
3 2
2
cos cos
/
/
/
/
t
t
dt
t
t
dt
p p
But
cos
/ /
t
t t
3 2 3 2
1
≤ and
1
3 2
2 t
dt
/
/
p
∞
∫ is convergent by p-integral, since p = 
3
2
1
∴
cos
/
/
t
t
dt
3 2
2
p
∞
∫ is absolutely convergent and hence, convergent.
I2
is convergent and I1
is proper integral. ∴ I is convergent.
That is sin ( )
x dx
2
0
∞
∫ is convergent.
Note Similarly, we can prove cos ( )
x dx
2
0
∞
∫ is convergent.
These two integrals are called Fresnel’s integrals.
They are useful in explaining the concept of light diffraction.
EXAMPLE 6
Show that
sin x
x
dx
0
∞
∫ converges.
Solution.
Let I
x
x
dx
=
∞
∫
sin
0
We know lim
sin
x
x
x
→0
1
= ∴ 0 is a point of continuity.
So, it is an improper integral of the first kind.
We write I
x
x
dx
x
x
dx I I
= + = +
∫ ∫
∞
sin sin
/
/
0
2
2
1 2
p
p
where I
x
x
dx
1
0
2
= ∫
sin
/
p
is a proper integral having a finite value
M07_ENGINEERING_MATHEMATICS-I _CH07_Part A.indd 24 5/12/2016 9:55:35 AM
Improper Integrals ■ 7.25
and I
x
x
dx
2
2
=
∞
∫
sin
/
p
is an improper integral.
=
= −
⎡
⎣
⎢
⎤
⎦
⎥ − − −
∞
∞
∫
lim
sin
lim ( cos ) ( cos )
/
/
b
b
b
b
x
x
dx
x
x
x
x
→
→
p
p p
2
2
2
1 1
/
/2
b
dx
∫
⎧
⎨
⎪
⎩
⎪
⎫
⎬
⎪
⎭
⎪
/
lim cos
cos
2
2
1
0
b
b
b
b
x
x
dx
∫
= − −
⎛
⎝
⎜
⎞
⎠
⎟ −
⎧
⎨
⎪
⎩
⎪
∞
→
p
⎫
⎫
⎬
⎪
⎭
⎪
= −
⎛
⎝
⎜
⎞
⎠
⎟ −
⎧
⎨
⎪
⎩
⎪
⎫
⎬
⎪
⎭
⎪
∞ ∫
lim cos
cos
/
b
b
b
b
x
x
dx
→
1
2
2
p
Now
cos x
x x
x
2 2
1
2
≤ ∀ ≥
p
∴
cos x
x
dx
x
dx
b b
2
2
2
2
1
p p
∫ ∫
≤
∴ by the comparison test,
cos x
x
dx
b
2
2
p
∫ and 1
2
2
x
dx
b
p
∫ behave alike.
But
1
2
2 x
dx
p/
∞
∫ is convergent by p-integral, since p = 2  1
∴
cos
/
x
x
dx
2
2
p
∞
∫ is convergent.
∴
cos
/
x
x
dx
2
2
p
∞
∫ is absolutely convergent and hence, convergent.
∴ I1
is proper integral and I2
is convergent. ∴ I is convergent.
That is
sin x
x
dx
0
∞
∫ is convergent.
EXAMPLE 7
Show that sin log sin
/
x x dx
e
0
2
p
∫ is convergent and its value is log
2
e
.
Solution.
Let I x x dx
e
= ∫ sin log sin .
/
0
2
p
Here f x x x
e
( ) sin log sin
=
As x x
→ + →
0 , log sin −∞ and so f(x) is unbounded at x = 0.
∴ I x x dx
e
=
∈→ +
∈
∫
lim sin log sin .
/
0
2
p
M07_ENGINEERING_MATHEMATICS-I _CH07_Part A.indd 25 5/12/2016 9:55:42 AM
7.26 ■ Engineering Mathematics
Integrating by parts,
I x x
x
x x dx
e
= ⋅ −
[ ] − ⋅ −
⎧
⎨
∈ + ∈
∈
∫
lim log sin ( cos )
sin
cos ( cos )
/
/
→0
2
2
1
p
p
⎪
⎪
⎩
⎪
⎫
⎬
⎪
⎭
⎪
= −
[ ] +
−
⎧
⎨
⎪
∈ + ∈
∈
∫
lim cos log sin
sin
sin
/
/
→0
2
2
2
1
x x
x
x
dx
e
p
p
⎩
⎩
⎪
⎫
⎬
⎪
⎭
⎪
= − + ∈ ∈
⎡
⎣
⎢
⎤
⎦
⎥ + −
∈ +
lim cos log sin cos log sin
sin
s
→0 2 2
1
p p
e e
x
i
in
lim cos log sin s
/
x dx
x
e
⎛
⎝
⎜
⎞
⎠
⎟
⎧
⎨
⎪
⎩
⎪
⎫
⎬
⎪
⎭
⎪
= + ∈ ∈+ −
∈
∈ +
∫
p 2
0
0
→
cosec i
in
/
x dx
( )
⎧
⎨
⎪
⎩
⎪
⎫
⎬
⎪
⎭
⎪
∈
∫
p 2
=
⎛
⎝
⎜
⎞
⎠
⎟ + +
⎡
⎣
⎢
⎤
⎦
⎥
+
lim cos log sin cos log tan cos
/
∈→
∈
∈
∈ ∈
0
2
2
2 2 2
e e
x
x
p
⎧
⎧
⎨
⎩
⎫
⎬
⎭
= + +
⎛
⎝
⎜
⎞
⎠
⎟ +
⎧
⎨
⎩
+
lim cos log log sin log cos log
∈→
∈
∈ ∈
0
2
2 2
e e e et
tan cos log tan cos
lim log cos cos
p p
4 2 2
2
0
+
⎡
⎣
⎢ − −
⎤
⎦
⎥
⎫
⎬
⎭
= ⋅
+
e
e
∈
∈
∈+
∈→
∈
∈
∈
∈
∈
+
∈
∈
∈
log sin cos log cos log
sin
cos
cos
e e e
2 2
0 2
2
+ − −
⎡
⎣
⎢
⎢
⎢
⎤
⎦
⎥
⎥
⎥
= − ∈+ ∈
∈
+ ∈
∈
{ −
∈ +
lim (log )cos cos log sin cos log cos log sin
→0
2 1
2 2
e e e e
∈
∈
−
∈
⎛
⎝
⎜
⎞
⎠
⎟
⎫
⎬
⎭
= − ∈− − ∈
∈ +
2 2
2 1 1
0
log cos
lim (log )cos ( cos )log si
e
e e
→
n
n cos log cos log cos
∈
{ + ∈
∈
+
∈
}
2 2 2
e e
But ( cos )log sin sin log sin
1
2
2
2 2
2
− ∈
∈
=
∈ ∈
e e
∴ lim ( cos )log sin lim log , sin
∈ +
− ∈
∈
= =
∈
→ →
→
0 0
2
1
2
2
2
0
e
t
e
t t t
where as 0
∈→
=
∞
∞
⎛
⎝
⎜
⎞
⎠
⎟
lim
log
t
et
t
→0
2
2
1
form =
−
= − =
lim lim ( )
t t
t
t
t
→ →
0
3
0
2
2
2
0 [L-Hopital’s rule]
and log log as 0
e e e
cos cos log
∈
= =
2
0 1 0
→ ∈→
∴ I e
e
e e e e
= − = − =
(log )cos log log log .
2 1 0 2
2
M07_ENGINEERING_MATHEMATICS-I _CH07_Part A.indd 26 5/20/2016 11:19:14 AM
Improper Integrals ■ 7.27
EXERCISE 7.2
Test the convergence of the following improper integrals.
1.
log x
x
dx
3
1
∞
∫ 2.
dx
x x
+
∞
∫ sin2
1
3.
dx
x ex
2
1 1
( )
+
∞
∫
4.
x
x
dx
+
∞
∫
1
3
1
5.
sin x
x
dx
3
1
∞
∫ 6.
cos x
x
dx
1 3
0 +
∞
∫
7.
cos mx
x
dx
1 2
0 +
∞
∫ 8.
2 2 1
1
+ +

⎡
⎣
⎢
⎤
⎦
⎥
∞
∫
cos cos
x
x
dx
x
x x
Hint:
9.
tan
( ) /
1
1
1
1
5 2
x
x x
dx g x
x
+
=
⎡
⎣
⎢
⎤
⎦
⎥
∞
∫ Hint: compare with 10.
sin x
x
dx
2
1
∞
∫
11.
dx
x x x
g x
x
( )( )
( ) /
− −
=
⎡
⎣
⎢
⎤
⎦
⎥
∞
∫ 1 2
1
3
3 2
Hint: compare with 12.
dx
x x
( )
1
0
1
−
∫
13.
sin x
x
dx
3
0
p
∫ 14.
dx
x x
1 3 2
0
1
1
/
( )
+
∫ 15.
dx
x
cos
/
0
2
p
∫
16.
dx
x x
I
dx
x x
dx
x x
3
1
1
3
1
0
3
0
1
− −
∫ ∫ ∫
= +
⎡
⎣
⎢
⎤
Hint: both are divergent.
⎦
⎦
⎥
17.
sin
/
x
x
dx
n
0
2
p
∫ 18.
log x
x
dx
2
0
2
−
∫
ANSWERS TO EXERCISE 7.2
1. convergent 2. divergent 3. convergent
4. divergent 5. convergent 6. convergent
7. convergent 8. divergent 9. convergent
10. convergent 11. convergent 12. convergent
13. convergent 14. convergent 15. divergent
16. divergent 17. convergent if n  2 18. convergent
7.2 Evaluation of Integral by Leibnitz’s Rule
In engineering applications we come across integrals involving a parameter such as
x
x
dx
e
a
−
∫
1
0
1
log
, where a ≥ 0.
The evaluation of such integrals is difficult by the usual methods of integration. Leibnitz’s rule changes
this integral, by differentiation, into a simpler integral which can be easily evaluated.
M07_ENGINEERING_MATHEMATICS-I _CH07_Part A.indd 27 5/20/2016 11:19:38 AM
7.28 ■ Engineering Mathematics
7.2.1 Leibnitz’s Rule—Differentiation Under Integral Sign for Variable limits
Theorem 7.7 If f(x, a), a(a) and b(a) are differentiable functions of a, where a is a parameter and
∂
∂
f
a
is continuous, then
d
d
f x dx
f x
dx f b
a
b
a
b
a
a
a
a
a
a
a
a
a
( , )
( , )
[ ( )
( )
( )
( )
( )
∫ ∫
⎧
⎨
⎪
⎩
⎪
⎫
⎬
⎪
⎭
⎪
=
∂
+
∂
,
, ] [ ( ), ] .
a
a
a a
a
db
d
f a
da
d
−
The proof of the theorem is beyond the scope of the book.
Corollary 1: If the limits a and b are constants (independent of the parameter a), then the Leibnitz’s
rule becomes
d
d
f x dx
f x
dx
a
b
a
b
a
a
a
a
( , )
( , )
∫ ∫
⎧
⎨
⎪
⎩
⎪
⎫
⎬
⎪
⎭
⎪
=
∂
∂
Corollary 2: If the limits are functions of a, a(a) and b(a), but f is independent of a, then the
Leibnitz’s rule becomes
d
d
f x dx f b
db
d
f a
da
d
a
b
a
a
a
a
a
a
a
( ) [ ( )] [ ( )]
( )
( )
∫
⎧
⎨
⎪
⎩
⎪
⎫
⎬
⎪
⎭
⎪
= −
Note
1. When f x dx
a
b
( , )
( )
( )
a
a
a
∫ is integrated and evaluated, it will be ultimately a function of a, say g(a). So,
differentiation of the integral w.r.to a is ordinary derivative
dg
da
.
But f(x, a) is a function two variables x and a. So, derivative of f w.r.to a is partial derivative
∂
∂
f
a
.
2. When f is independent of a, it is a function of x alone and so
∂
∂
=
f
a
0.
So, corollary 2 does not contain integral on the R.H.S.
3. Leibnitz’s rule can be used even if one of the limits of integration is infinite.
That is, the integral is of the form f x dx
a
( , )
a
∞
∫ or f x dx
a
( , ) .
( )
a
a
∞
∫
WORKED EXAMPLES
EXAMPLE 1
Evaluate
x
x
dx
e
a
2
a
1
0
0
1
log
, ,
≥
∫ using Leibnitz’s rule.
Solution.
Let F
x
x
dx
e
( )
log
a
a
=
−
∫
1
0
1
(1)
M07_ENGINEERING_MATHEMATICS-I _CH07_Part A.indd 28 5/20/2016 11:19:45 AM
Improper Integrals ■ 7.29
[When the integral is evaluated, it will be a function of a].
Differentiating w.r.to a, using corollary (1) of Leibnitz’s rule, we get
dF
d
x
x
dx
x
x dx
x
e e
e
a a a
a
a
=
∂
∂
−
⎛
⎝
⎜
⎞
⎠
⎟ = ⋅
∂
∂
−
=
∫ ∫
0
1
0
1
0
1 1
1
1
log log
( )
log
1
1
0
1 1
0
1
1
1
1
∫
∫
⋅
= =
⎡
⎣
⎢
⎤
⎦
⎥ =
x x dx
x dx
x
e
a
a
a
a a
log
+
+ +
{
d
dx
a a a
x x
e
[ ] log
=
⎡
⎣
⎢
⎤
⎦
⎥
⇒ dF
da a
=
1
1
+
Integrating w.r.to a, we get
F d C
e
( ) log ( )
a
a
a a
=
+
= + +
∫
1
1
1 (2)
∴ F C F C
e
( ) log ( )
0 1 0
= + =
⇒
Put a = 0 in (1), we get
F
x
x
dx
x
dx C
e e
( )
log log
0
1 1 1
0 0
0
0
1
0
1
=
−
=
−
= =
∫ ∫ ⇒
∴ F e
( ) log ( )
a a
= +1 ⇒
x
x
dx
e
a
a
−
= +
∫
1
1
0
1
log
log ( )
EXAMPLE 2
Evaluate e
x
x
dx
x
2a
a
sin
,
0
0
∞
∫ ≥ and hence, show that
sin
.
x
x
dx
0
2
∞
∫ 5
p
Solution.
Let F e
x
x
dx
x
( )
sin
a a
= −
∞
∫
0
(1)
Differentiating w.r.to a, using cor (1) of Leibnitz’s rule, we get
dF
d
e
x
x
dx
x
x
e dx
x x
a a a
a a
=
∂
⎛
⎝
⎜
⎞
⎠
⎟ =
∂
∂
( )
∞
−
∞
−
∫ ∫
∂
0 0
sin sin
[{ the limits are constants]
= −
= −
−
∞
−
∞
∫
∫
sin
( )
sin
x
x
e x dx
e xdx
x
x
a
a
0
0
M07_ENGINEERING_MATHEMATICS-I _CH07_Part A.indd 29 5/20/2016 11:19:52 AM
7.30 ■ Engineering Mathematics
= −
+
− −
( )
⎡
⎣
⎢
⎤
⎦
⎥
− ∞
e
x x
x
a
a
a
2
0
1
sin cos
{ e bxdx
e
a b
a bx b bx
ax
ax
sin [ sin cos ]
∫ =
+
−
⎡
⎣
⎢
⎤
⎦
⎥
2 2
∴ =
+
+
⎡
⎣ ⎤
⎦ =
+
− = −
+
− ∞
1
1
1
1
0 1
1
1
2 0 2 2
a
a
a a
a
e x x
x
( sin cos ) [ ]
Integrating w.r.to a, we get
F
d
( )
a
a
a
= −
+
∫ 2
1
⇒ F C
( ) tan
a a
= − +
−1
Put a
p
= ∞ ∴ ∞ = − ∞ + = − +
−
, ( ) tan
F C C
1
2
From (1), we get,
F e
x
x
dx dx
( )
sin
∞ = = =
−∞
∞ ∞
∫ ∫
0 0
0 0 ∴ 0
2 2
= − + =
p p
C C
⇒
∴ F( ) tan
a
p
a
= − −
2
1
⇒ e
x
x
dx
x
−
∞
−
∫ = −
a p
a
0
1
2
sin
tan = cot−1
a { tan cot
− −
⎡
⎣
⎢
⎤
⎦
⎥
1 1
2
a a
p
+ = (2)
To deduce the value of
sin
,
x
x
dx
0
0
∞
∫ =
put in (2)
a .
∴
sin
tan
x
x
dx
0
1
2
0
2
∞
−
∫ = − =
p p
EXAMPLE 3
Prove that
d
da
x
a
dx a a a
a
tan tan log ( ),
2 2
5 2 1
1
0
1 2
2
2
1
2
1
∫
⎛
⎝
⎜
⎞
⎠
⎟ using Leibnitz’s rule. Hence, evaluate
tan21
0
2
x
a
dx
a
∫ .
Solution.
Let F a
x
a
dx
a
( ) tan
= −
∫
1
0
2
(1)
M07_ENGINEERING_MATHEMATICS-I _CH07_Part A.indd 30 5/20/2016 11:20:00 AM
Improper Integrals ■ 7.31
Differentiating w.r.to parameter a using Leibnitz’s rule, we get
dF
da a
x
a
dx
a
a
a
x
a
x
a
a
=
∂
∂
⎛
⎝
⎜
⎞
⎠
⎟ +
⎛
⎝
⎜
⎞
⎠
⎟ ⋅ −
=
+
−
− −
∫ tan tan
1
0
1
2
2
2
2
2 0
1
1
2
2
0
1
2 2
0
1
2
2
2
2
2
1
2
⎛
⎝
⎜
⎞
⎠
⎟ +
= −
+
+
= − +
∫
∫
−
−
dx a a
x
a x
dx a a
a
a
a
e
tan
tan
log ( x
x a a
f x
f x
dx f x
a
e
2
0
1
2
2
) tan
( )
( )
log ( )
⎡
⎣ ⎤
⎦ +
′
=
⎡
⎣
⎢
⎤
⎦
⎥
−
∫
{
= − + − +
= −
+
+
−
−
1
2
2
1
2
1
2
2 4 2 1
2 2
2
[log ( ) log ] tan
log
( )
tan
e e
e
a a a a a
a a
a
a 1
1 1 2
2
1
2
1
a a a a
e
= − +
−
tan log ( )
Integrating w.r.to a, we get
F a a a da a da
a
a
a
a
da
e
( ) tan log ( )
tan
= − +
= ⋅ −
+
⋅
⎡
−
−
∫ ∫
∫
2
1
2
1
2
2
1
1 2
1 2
1
2
2
2
⎣
⎣
⎢
⎤
⎦
⎥ − + ⋅ −
+
⋅ ⋅
⎡
⎣
⎢
⎤
⎦
⎥
= −
+
∫
−
1
2
1
1
1
2
1
2
2
2 1
2
2
log ( )
tan
e a a
a
a a da
a a
a
a
da
a
a
a
a
a
da
a a
a
a C
e
e
∫ ∫
− + +
+
= − + +
−
2
1
1
2
1
2
2
2
2 1 2
log ( )
tan log ( )
Putting a = 0, we get F C C
( )
0 0
= + =
Putting a = 0 in (1), we get F(0) = 0 ∴ C = 0
∴ F a a a
a
a
e
( ) tan log ( )
= − +
−
2 1 2
2
1
⇒ tan tan log ( )
− −
∫ = − +
1
0
2 1 2
2
2
1
x
a
dx a a
a
a
a
e
EXAMPLE 4
Let I e dx
x
a
x
5
2 2
2
2
0
⎛
⎝
⎜
⎞
⎠
⎟
∞
∫ , Prove that
dI
dx
I
522 . Hence, find the value of I.
Solution.
Given I e dx e e dx
x
a
x x
a
x
= =
− −
⎛
⎝
⎜
⎞
⎠
⎟
∞
−
−
∞
∫ ∫
2
2
2
2
2
0 0
(1)
M07_ENGINEERING_MATHEMATICS-I _CH07_Part A.indd 31 5/20/2016 11:20:11 AM
7.32 ■ Engineering Mathematics
Differentiating (1) w.r.to a using Leibnitz’s rule, we get
dI
da a
e e dx
e
a
e dx e e
x
a
x
x
a
x x
=
∂
∂
⋅
( )
=
∂
∂
⎛
⎝
⎜
⎞
⎠
⎟ =
∞
−
−
−
∞
−
−
−
∫
∫
0
0
2
2
2
2
2
2 2
a
a
x x
a
x
a
x
dx a e e
x
dx
2
2 2
2
2
2
2
2
0 2
0
−
⎛
⎝
⎜
⎞
⎠
⎟ = −
⎛
⎝
⎜
⎜
⎞
⎠
⎟
⎟
∞
−
∞
∫ ∫
−
Put y
a
x
x
a
y
dx
a
y
dy
= = = −
⇒ ∴ 2
When x y x y
= = ∞ = ∞ =
0 0
, ,
and when
∴ dI
da
a e e
y
a
a
y
dy
a
y y
= −
⎛
⎝
⎜
⎞
⎠
⎟ −
⎛
⎝
⎜
⎞
⎠
⎟
−
−
∞
∫
2
2
2 2
2
2 2
0
⇒
dI
da
e e dy
y
a
y
= −
∞
∫
2
2
2
2
0 −
= − = −
− −
∞
∫
2 2
2 2
0
e e dx I
x a x
( )
/
∴
dI
I
da
= −2
Integrating, we get
⇒
dI
I
da
∫ ∫
= −2
⇒ log I a C
= − +
2 ⇒ I e a C
= − +
2
e e
C a
= ⋅ −2
= Ke K e
a C
=
−2
, where
Putting then
a I Ke K
= = =
0 0
,
Putting a = 0 in (1), then
I e dx
x
( )
0
2
2
0
= =
−
∞
∫
p
⇒ K =
p
2
[Result]
∴ I e a
= −
p
2
2
EXAMPLE 5
Prove that
tan
( )
log ( ), .
2
1
5
p
1
1
2
0 1 2
1 0
ax
x x
dx a a
∞
∫ ≥
Solution.
Let F a
ax
x x
dx
( )
tan
( )
=
+
−
∞
∫
1
2
0 1
(1)
Differentiating (1) w.r.to a, using Leibnitz’s rule, we get
dF
da a
ax
x x
dx
x x a
ax d
=
∂
∂ +
⎛
⎝
⎜
⎞
⎠
⎟ =
+
∂
∂
∞ − ∞
−
∫ ∫
0
1
2 2
0
1
1
1
1
tan
( ) ( )
(tan ) x
x
x x a x
xdx
x a x
dx
=
+ +
⋅ =
+ +
∞ ∞
∫ ∫
1
1
1
1
1
1 1
2
0
2 2 2 2 2
0
( ) ( )( )
M07_ENGINEERING_MATHEMATICS-I _CH07_Part A.indd 32 5/20/2016 11:20:25 AM
Improper Integrals ■ 7.33
We shall put
1
1 1
2 2 2
( )( )
+ +
x a x
into partial fractions.
Since it is a function of x2
, treating x2
as u, we write the special partial fraction
1
1 1 1 1
2 2
( )( ) ( ) ( )
+ +
=
+
+
+
u a u
A
u
B
a u
⇒ 1 1 1
2
= + + +
A a u B u
( ) ( )
Put u A a A
a
= − = − =
−
1 1 1
1
1
2
2
, ( )
then ⇒
Put u
a
B
a
B
a
a
B
a
a
= − = −
⎛
⎝
⎜
⎞
⎠
⎟
−
⎛
⎝
⎜
⎞
⎠
⎟ = = −
−
1
1 1
1 1
1
1
2 2
2
2
2
2
, then ⇒ ⇒
∴ 1
1 1
1
1
1
1 1
1
1
2 2
2
2 2
( )( )
+ +
=
−
⋅
+
−
−
⋅
+
u a u a u
a
a a u
⇒
1
1 1
1
1
1
1 1
1
1
2 2 2 2 2
2
2 2 2
( )( ) ( )
+ +
=
−
⋅
+
−
−
⋅
+
x a x a x
a
a a x
∴
dF
da a x
a
a a x
dx
=
−
⋅
+
−
−
⋅
+
⎡
⎣
⎢
⎤
⎦
⎥
∞
∫
1
1
1
1 1
1
1
2 2
2
2 2 2
0 ( )
=
− +
−
− +
=
−
[ ] −
−
∞
∞
− ∞
∫
∫
1
1 1 1
1
1
1
1 1
2 2
2
2 2 2
0
0
2
1
0
2
a
dx
x
a
a a x
dx
a
x
a
( )
tan
( a
a
dx
a
a
x
2
2
2
2
0
1
)
+
⎛
⎝
⎜
⎞
⎠
⎟
∞
∫
=
−
∞ −
[ ]−
−
⎡
⎣
⎢
⎤
⎦
⎥
=
−
− − −
1
1
0
1
1
1
1 1
1
1 2
2
1 1
2
1
0
2
a a a
x
a
a
tan tan
( )
tan
/ /
∞
p
−
−
⎡
⎣
⎢
⎤
⎦
⎥ −
−
∞ −
[ ]
=
−
−
−
−
⎡
⎣
⎢
⎤
− −
0
1
0
1
1 2 1 2
0
2
1 1
2 2
a
a
a
a
a
( )
tan tan
( ) ( )
p p
⎦
⎦
⎥ =
−
−
=
+
p p
2
1
1 2 1
2
( )
( ) ( )
a
a a
M07_ENGINEERING_MATHEMATICS-I _CH07_Part A.indd 33 5/20/2016 11:20:33 AM
7.34 ■ Engineering Mathematics
∴
dF
da a
=
+
p
2 1
( )
Integrating w.r.to a, we get
F a
da
a
a C
e
( ) log ( )
=
+
= + +
∫
p p
2 1 2
1
Put a = 0, then F C C C
( ) log
0
2
1 0
= + = + =
p
But from (1) F
x x
dx C
( )
tan
( )
0
0
1
0 0
1
2
0
=
+
= =
−
∞
∫ [
∴ F a a a
e
( ) log ( ),
= +
p
2
1 0
≥
⇒ tan
( )
log ( ),
−
∞
+
= +
∫
1
2
0 1 2
1 0
ax
x x
dx a a
e
p
≥
EXAMPLE 6
Evaluate
log ( )
,
e
a
ax
x
dx a
1
1
0
2
0
1
1
∫ ≥ and hence, show that
log ( )
log .
e
e
x
x
dx
1
1 8
2
2
0
1
1
1
5
p
∫
Solution.
Let F a
ax
x
dx
e
a
( )
log ( )
=
+
+
∫
1
1 2
0
(1)
Differentiating (1) w.r.to a, we get by Leibnitz’s rule
dF
da a
ax
x
dx
a
a
e
a
e
=
∂
∂
+
+
⎛
⎝
⎜
⎞
⎠
⎟ +
+
+
⋅ −
∫
log ( ) log ( )
log
1
1
1
1
1 1
2
0
2
2
⇒
=
+
∂
∂
+
⎛
⎝
⎜
⎞
⎠
⎟ +
+
+
−
=
+
⋅
+
∫
1
1
1
1
1
0
1
1
1
1
2
0
2
2
2
x a
ax dx
a
a
x a
e
a
e
log ( )
log ( )
x
x
xdx
a
a
dF
da
x
x ax
dx
a
a
e
a
e
⋅ +
+
+
=
+ +
⋅ +
+
∫
∫
0
2
2
2
0
2
1
1
1 1
1
log ( )
( )( )
log ( )
)
1 2
+ a
To evaluate this integral, we put
x
x ax
( )( )
1 1
2
+ +
into partial fractions.
Let
x
x ax
Ax B
x
C
ax
( )( )
1 1 1 1
2 2
+ +
=
+
+
+
+
∴ x Ax B ax C x
= + + + +
( )( ) ( )
1 1 2
M07_ENGINEERING_MATHEMATICS-I _CH07_Part A.indd 34 5/20/2016 11:20:39 AM
Improper Integrals ■ 7.35
Put then
x
a a
C
a
C
a
a a
= − − = +
⎛
⎝
⎜
⎞
⎠
⎟
+
= −
1 1
1
1 1 1
2
2
2
,
( )
⇒ ⇒ C
a
a
= −
+
1 2
Equating coefficients of x2
, we get
0
1
1
1
1
2 2
= ⇒
Aa C A
C
a a
a
a a
+ = − = − −
+
⎛
⎝
⎜
⎞
⎠
⎟ =
+
Equating constants, we get
0
1 2
= + = − =
+
B C B C
a
a
⇒
∴ x
x ax
a
x
a
a
x
a
a ax
( )( ) ( ) ( ) ( )
1 1
1
1 1
1 1
1
1
2
2 2
2 2
+ +
= +
+
+
+
−
+
⋅
+
=
+
⋅
+
+
−
+
⋅
+
=
+
⋅
+
+
+
1
1 1 1
1
1
1
1 1 1
2 2 2
2 2 2
( ) ( ) ( ) ( )
( ) ( ) ( )
a
x a
x
a
a ax
a
x
x
a
a
⋅
⋅
+
−
+
⋅
+
1
1 1
1
1
2 2
( ) ( ) ( )
x
a
a ax
∴
xdx
x ax a
xdx
x
a
a
dx
x
a a a
( )( ) ( ) ( ) ( ) ( )
1 1
1
1 1 1 1
2
0
2 2
0
2 2
0
+ +
=
+ +
+
+ +
−
∫ ∫ ∫
a
a
a
dx
ax
a
( ) ( )
1 1
2
0
+ +
∫
=
+
+
⎡
⎣ ⎤
⎦ +
+
[ ] −
+
−
1
1
1
2
1
1 1
1
2
2
0 2
1
0 2
( )
log ( )
( )
tan
( )
log
a
x
a
a
x
a
a a
e
a a
e (
( )
( )
log ( ) log
( )
tan tan
1
1
2 1
1 1
1
0
2
2
2
1
+
[ ]
=
+
+ −
⎡
⎣ ⎤
⎦ +
+
−
−
ax
a
a
a
a
a
a
e e
−
−
[ ]
−
+
+ −
⎡
⎣ ⎤
⎦
1
2
2
0
1
1
1 1
( )
log ( ) log
a
a
e e
∴
= −
+
+ +
+
= −
+
+
−
1
2 1
1
1
1
2 1
1
2
2
1
2
2
2
( )
log ( )
tan
( )
( )
log ( )
a
a
a a
a
dF
da a
a
e
e +
+
+
+
+
+
=
+
+
+
−
−
a a
a a
a
a
a
a
e
e
tan
( ) ( )
log ( )
log ( )
( )
tan
1
2 2
2
2
2
1
1
1
1
1
1
2 1
a
a
a
( )
1 2
+
Integrating w.r.to a, we get
F a
a
a
da
a a
a
da
a
e
e
( )
log ( )
( )
tan
( )
log ( )
=
+
+
+
+
= + ⋅
∫ ∫
−
1
2
1
1 1
1
2
1
1
2
2
1
2
2
(
( )
tan
( )
1 1
2
1
2
+
⎡
⎣
⎢
⎤
⎦
⎥ +
+
∫ ∫
−
a
da
a a
a
da
M07_ENGINEERING_MATHEMATICS-I _CH07_Part A.indd 35 5/20/2016 11:20:45 AM
7.36 ■ Engineering Mathematics
= + ⋅ −
+
⋅
⎡
⎣
⎢
⎤
⎦
⎥ +
+
− −
−
∫
1
2
1
1
1
2
1
2 1
2
1
1
2
log ( ) tan tan
tan
( )
e a a
a
a a da
a a
a
d
da
a a
a a
a
da
a a
a
da
e
∫
∫ ∫
= + ⋅ −
+
+
+
−
− −
1
2
1
1 1
2 1
1
2
1
2
log ( ) tan
tan tan
⇒ F a a a C
e
( ) log ( ) tan
= + ⋅ +
−
1
2
1 2 1
Put a = 0, then F C C
e
( ) log ( ) tan
0
1
2
1 0 0
1
= + ⋅ + =
−
But from (1), we get F C
( )
0 0 0
= =
[
Hence, F a a a
e
( ) log ( ) tan
= + ⋅ −
1
2
1 2 1
⇒
log ( )
log ( ) tan
e
a
e
ax
x
dx a a
1
1
1
2
1
2
0
2 1
+
+
= + ⋅
∫
−
(2)
To deduce, put a 5 1 in (2).
∴
log ( )
log tan log log
e
e e e
x
x
dx
1
1
1
2
2 1
1
2
2
4 8
2
2
0
1
1
+
+
= ⋅ = ⋅ =
∫
− p p
EXAMPLE 7
Prove that
e
x
e dx a a
x
ax
e
2
2
2 5 1
( ) log ( ), .
1 1 0
0
∞
∫ ≥
Solution.
Let F a
e
x
e dx
x
ax
( ) ( )
= −
−
−
∞
∫ 1
0
(1)
Differentiating (1) w.r.to a, we get
dF
da a
e
x
e dx
e
x a
e dx
e
x
x
ax
x
ax
x
=
∂
∂
−
⎛
⎝
⎜
⎞
⎠
⎟ =
∂
∂
−
=
−
−
∞ −
−
∞
−
∫ ∫
( ) ( )
(
1 1
0 0
−
− −
−
∞
∫ e x dx
ax
)( )
0
= ⋅ =
− −
∞
− +
∞
∫ ∫
e e dx e dx
x ax a x
( )
0
1
0
=
− +
⎡
⎣
⎢
⎤
⎦
⎥ = −
+
− =
+
− + ∞
−∞
e
a a
e e
a
a x
( )
( )
[ ]
1
0
0
1
1
1
1
1
M07_ENGINEERING_MATHEMATICS-I _CH07_Part A.indd 36 5/20/2016 11:20:51 AM
Improper Integrals ■ 7.37
Integrating w.r.to a,
⇒ F a
da
a
a C
e
( ) log ( )
=
+
= + +
∫1
1
Put a = 0, then F C C
e
( ) log
0 1
= + =
But from (1), we get F
e
x
dx C
x
( ) ( )
0 1 1 0 0
0
= − = =
−
∞
∫ [
Hence, F a a
e
( ) log ( )
= +
1
⇒ e
x
e dx a
x
ax
e
−
−
∞
− = +
∫ ( ) log ( )
1 1
0
EXAMPLE 8
Evaluate log( cos ) , .
1 0 1
0
1 a a
p
x dx
∫  
Solution.
Let F x dx
( ) log( cos )
a a
p
= +
∫ 1
0
(1)
Differentiating w.r.to a, by Leibnitz’s rule, we get
dF
d
x dx
x
x dx
x
a a
a
a
a
a
a
p p
=
∂
∂
+ =
+
⋅
=
+
∫ ∫
0 0
1
1
1
1
1
[log ( cos )]
cos
cos
cos
co
os
cos
cos
cos
x
dx
x
x
dx
x
dx
0
0
0
1 1 1
1
1
1
1
1
p
p
p
a
a
a
a a
∫
∫
∫
=
+ −
+
= −
+
⎡
⎣
⎢
⎤
⎦
⎥
∴
= −
+
= −
+
∫ ∫
∫
1 1 1
1
1 1 1
1
0 0
0
0
a a a
a a a
p p
p
p
dx
x
dx
x
x
dx
cos
[ ]
cos x
dx
p
a a a
p
= −
+
∫
1 1
1
0
cos
(2)
Let I
x
dx
=
+
∫
1
1
0
a
p
cos
Put t
x
= tan .
2
dt
x
dx
⋅
sec
2
1
2
2
∴ =
⇒ dx
dt
x
dt
x
dt
t
= =
+
=
+
2
2
2
1
2
2
1
2 2
2
sec tan
M07_ENGINEERING_MATHEMATICS-I _CH07_Part A.indd 37 5/20/2016 11:21:03 AM
7.38 ■ Engineering Mathematics
When x = 0, t = tan 0 = 0 and when x = p, t = = ∞
tan
p
2
∴ I
t
t
dt
t
=
+
−
+
⋅
+
∞
∫
1
1
1
1
2
1
2
2
2
0
a
=
=
=
2
1 1
2
1 1
2
1
1
1
2 2
0
2
0
2
dt
t t
dt
t
dt
t
+ + −
+ + −
−
+
−
+
⎡
⎣
⎢
∞
∞
∫
∫
a
a a
a
a
a
( )
( )
( )
⎤
⎤
⎦
⎥
∞
∫
0
{ cos
tan
tan
x
x
x
=
−
+
1
2
1
2
2
2
⎡
⎣
⎢
⎢
⎢
⎤
⎦
⎥
⎥
⎥
∴
=
−
⋅
+
−
+
−
⎡
⎣
⎢
⎢
⎢
⎤
⎦
⎥
⎥
⎥
− +
−
∞
2
1
1
1
1
1
1
0 1
2
1 1
1
0
a a
a
a
a
a
a a
tan ,
( )( )
tan
t
 
= −
− −
∞ −
[ ]
−
⋅
−
= − ⋅
−
1 1
2 2
2
0
2
1 2 1
1
1
tan
= =
a
p p
a
a
p
a a
p
a
dF
d
Integrating w.r.to a, we get
F d
d d d
( ) log
a
p
a
p
a a
a p
a
a
p
a
a a
p a p
a
a a
= −
−
⎡
⎣
⎢
⎤
⎦
⎥ = −
−
= −
−
∫ ∫ ∫ ∫
1 1 1
2 2 2
Let I
d
1 2
1
=
−
∫
a
a a
Put a u a u u
= =
sin cos
∴d d
I
d d d
1 2
1
=
−
= =
∫ ∫ ∫
cos
sin sin
cos
sin cos sin
u u
u u
u u
u u
u
u
=
= − +
∫cosec
cosec
u u
u u
d
e
log ( cot )
= − +
⎡
⎣
⎢
⎤
⎦
⎥
= −
+
⎡
⎣
⎢
⎤
⎦
⎥ = −
+ −
log
sin
cos
sin
log
cos
sin
log
e
e e
1
1 1 1
u
u
u
u
u
a
a
a
2
⎡
⎣
⎢
⎤
⎦
⎥
M07_ENGINEERING_MATHEMATICS-I _CH07_Part A.indd 38 5/20/2016 11:21:14 AM
Improper Integrals ■ 7.39
∴ F C
e e
e e
( ) log log
log log
a p a p
a
a
p a
a
a
=
+ −
⎡
⎣
⎢
⎤
⎦
⎥ +
+ −
⎡
⎣
⎢
⎤
⎦
⎥
⎡
+
= +
1 1
1 1
2
2
⎣
⎣
⎢
⎤
⎦
⎥ +
⋅
+ −
⎡
⎣
⎢
⎤
⎦
⎥ + + +
C
C C
e e
= = −
p a
a
a
p a
log
( )
log ( )
1 1
1 1
2
2
Put a = 0, then F C
e
( ) log
0 2
= +
p
From (1), we get F dx
( ) log
0 1 0
0
= =
∫
p
∴ p p
log log
e e
C C
2 0 2
+ = = −
⇒
∴ F e e e
( ) log ( ) log log
a p a p p
a
= + − − =
+ −
⎡
⎣
⎢
⎤
⎦
⎥
1 1 2
1 1
2
2
2
∴ log ( cos ) log
1
1 1
2
0
2
+ =
+ −
⎡
⎣
⎢
⎤
⎦
⎥
∫ a p
a
p
x dx e
EXAMPLE 9
Show that
log ( sin )
sin
, .
/
e y x
x
dx y y
1
1 1 0
2
2
0
2
1
5p 1 2
p
⎡
⎣ ⎤
⎦
∫ ≥
Solution.
Let F y
y x
x
dx
e
( )
log ( sin )
sin
/
=
+
∫
1 2
2
0
2
p
(1)
Differentiating (1) w.r.to y, using Leibnitz’s rule, we get
dF
dy y
y x
x
dx
x y
y
=
∂
∂
+
⎡
⎣
⎢
⎤
⎦
⎥ =
∂
∂
+
∫
log ( sin )
sin sin
log ( si
/
1 1
1
2
2
0
2
2
p
n
n )
/
2
0
2
x dx
( )
⎡
⎣
⎢
⎤
⎦
⎥
∫
p
= ⋅
+
⋅
⎡
⎣
⎢
⎤
⎦
⎥
=
+
⎡
⎣
⎢
⎤
⎦
⎥
∫
1 1
1
1
1
2 2
2
0
2
2
0
2
sin ( sin )
sin
sin
/
/
x y x
x dx
y x
p
p
∫
∫
∫
=
+
⎡
⎣
⎢
⎤
⎦
⎥
dx
x
x y x
dx
sec
sec tan
[
/ 2
2 2
0
2
p
Multiplying Nr and Dr by
y sec ]
sec
tan tan
sec
( )tan
/
2
2
2 2
0
2 2
1 1 1
x
x
x y x
dx
x
y
=
+ +
⎡
⎣
⎢
⎤
⎦
⎥ =
+ +
∫
p
2
2
0
2
x
dx
⎡
⎣
⎢
⎤
⎦
⎥
∫
p/
M07_ENGINEERING_MATHEMATICS-I _CH07_Part A.indd 39 5/20/2016 11:21:26 AM
7.40 ■ Engineering Mathematics
Put t x dt xdx
= =
tan . sec
[ 2
When and when
x t x t
= = = = = = ∞
0 0 0
2 2
, tan , tan
p p
∴
dF
dy
dt
y t y
dt
y
t
=
+ +
=
+
+
+
∞ ∞
∫ ∫
1 1
1
1 1
1
2
0 2
0
( ) ( )
( )
=
+
⋅
+ +
⎛
⎝
⎜
⎜
⎞
⎠
⎟
⎟
⎡
⎣
⎢
⎢
⎢
⎤
⎦
⎥
⎥
⎥
=
+
∞
−
∞
−
1
1
1
1
1
1
1
1
1
1
0
1
( )
( )
tan
( )
tan
y
y
t
y
y
−
−
[ ] =
+
−
⎡
⎣
⎢
⎤
⎦
⎥ =
+
−
tan 1
0
1
1 2
0
2 1
y y
p p
Integrating w.r.to y, we get
F y
y
dy y dy
y
C y C
( ) ( )
( )
/
/
=
+
⋅ = + =
+
+ = + +
∫ ∫
−
p p p
p
2 1 2
1
2
1
1 2
1
1 2
1 2
/
Put y = 0, then F C
( )
0 = +
p
But from (1), F
x
dx
( )
log
sin
/
0
1
0
2
0
2
= =
∫
p
∴ p p
+ = = −
C C
0 ⇒
∴ F y y
( ) = +
p p
1 − y
= +
⎡
⎣ ⎤
⎦
p 1 1
−
∴
log ( sin )
sin
/
1
1 1
2
2
0
2
+
= + −
{ }
∫
y x
x
dx y
p
p
EXAMPLE 10
Differentiating x dx
m
0
1
∫ w.r.to m successively, evaluate x x dx
m
e
n
(log )
0
1
∫ , where n N
∈ .
Solution.
Let F m x dx
m
( ) = ∫
0
1
Differentiating w.r.to m, using Leibnitz’s rule, we get
dF
dm m
x dx x x dx
m m
e
=
∂
∂
=
∫ ∫
0
1
0
1
( ) log
d
dx
a a a
x x
e
=
⎡
⎣
⎢
⎤
⎦
⎥
( ) log
{
M07_ENGINEERING_MATHEMATICS-I _CH07_Part A.indd 40 5/20/2016 11:21:54 AM
Improper Integrals ■ 7.41
Differentiating again w.r.to m, using Leibnitz’s rule, we get
d F
dm m
x x dx
x
m
x dx
x x x dx
m
e
e
m
e
m
e
2
2
0
1
0
1
=
∂
∂
=
∂
∂
= ⋅
∫
∫
( log )
log ( )
log log
0
0
1
2
0
1
∫ ∫
= x x dx
m
e
(log )
Proceeding in the same way, differentiating n times w.r.to m, we get
d F
dm
x x dx
n
n
m
e
n
= ∫ (log )
0
1
(1)
But F m x dx
x
m m m
m
m
( ) [ ]
=
⎡
⎣
⎢
⎤
⎦
⎥ =
+
− =
+
∫
0
1 1
0
1
1
1
1
1 0
1
1
=
+
+
∴ dF
dm m
d F
dm m m
= −
+
= − − ⋅
+
= − ⋅
+
1
1
1 2
1
1
1
2
1
2
2
2 3
2
3
( )
( )( )
( )
( )
!
( )
and
d F
dm m m
3
3
2
4
3
4
1 2
3
1
1
3
1
= − ⋅
−
+
= −
+
( ) !
( )
( )
( )
!
( )
Proceeding in the same way, differentiating n times w.r.to m, we get
d F
dm
n
m
n
n
n
n
=
−
+ +
( ) !
( )
1
1 1
(2)
From (1) and (2), we get
x x dx
n
m
m
e
n n
n
(log ) ( )
!
( )
0
1
1
1
1
∫ = −
+ +
EXAMPLE 11
Evaluate
dx
a x
2 2
0 1
∞
∫ and then using the method of differentiation under the sign of integration
[i.e., Leibnitz’s rule] find the value of the integrals
dx
a x
( )
,
2 2 2
0 1
∞
∫
dx
a x
( )
2 2 3
0 1
∞
∫ and hence, obtain an
expression for
dx
a x n
( )
.
2 2 1
0 1 1
∞
∫
Solution.
Given
dx
a x
a
2 2
0
0
+

∞
∫ ,
M07_ENGINEERING_MATHEMATICS-I _CH07_Part A.indd 41 5/20/2016 11:22:04 AM
7.42 ■ Engineering Mathematics
We know
dx
a x a
x
a a
2 2
0
1
0
1 1
1 1
0
+
=
⎡
⎣
⎢
⎤
⎦
⎥ = ∞ −
[ ]
∞
−
∞
− −
∫ tan tan tan = −
⎡
⎣
⎢
⎤
⎦
⎥
1
2
0
a
p
⇒
dx
a x a
2 2
0
2
+
=
∞
∫
p
(1)
Differentiating (1) w.r.to a, by Leibnitz’s rule, we get
d
da
dx
a x
d
da a
2 2
0
2
+
⎡
⎣
⎢
⎤
⎦
⎥ =
⎛
⎝
⎜
⎞
⎠
⎟
∞
∫
p
⇒
∂
∂ +
⎛
⎝
⎜
⎞
⎠
⎟ = −
⎛
⎝
⎜
⎞
⎠
⎟
∞
∫ a a x
dx
a
1
2
1
2 2
0
2
p
{ y
x
dy
dx x
= ⇒ = −
1 1
2
⎡
⎣
⎢
⎤
⎦
⎥
⇒ ∂
∂
+
⎡
⎣ ⎤
⎦ = −
−
∞
∫ a
a x dx
a
( )
2 2 1
0
2
2
p
⇒ ( )( )
− + = −
−
∞
∫ 1 2
2
2 2 2
0
2
a x a dx
a
p
⇒ −
+
= −
∞
∫
2
1
2
2 2 2
0
2
a
a x
dx
a
( )
p
⇒
1
4
2 2 2
0
3
( )
a x
dx
a
+
=
∞
∫
p
(2)
Differentiating (2) w.r.to a, by Leibnitz’s rule, we get
d
da a x
dx
d
da a
1
4
2 2 2
0
3
( )
+
=
⎛
⎝
⎜
⎞
⎠
⎟
∞
∫
p
⇒
∂
∂ +
⎛
⎝
⎜
⎞
⎠
⎟ =
⎛
⎝
⎜
⎞
⎠
⎟
∞
−
∫ a a x
dx
d
da
a
1
4
2 2 2
0
3
( )
p
⇒ ∂
∂
+ = −
−
∞
−
∫ a
a x dx a
( ) ( )
2 2 2
0
4
4
3
p
⇒ ( )( )
− + = −
−
∞
−
∫ 2 2
3
4
2 2 3
0
4
a x adx a
p
⇒ −
+
= −
∞
∫
4
1 3
4
2 2 3
0
4
a
a x
dx
a
( )
p
⇒ dx
a x a
( )
2 2 3
0
5
3
16
+
=
∞
∫
p (3)
M07_ENGINEERING_MATHEMATICS-I _CH07_Part A.indd 42 5/20/2016 11:22:14 AM
Improper Integrals ■ 7.43
Differentiating (3) w.r.to a, we get
⇒
d
da a x
dx
d
da a
1 3
16
2 2 3
0
5
( )
+
=
⎛
⎝
⎜
⎞
⎠
⎟
∞
∫
p
⇒
∂
∂
+ =
⎛
⎝
⎜
⎞
⎠
⎟
−
∞
−
∫ a
a x dx
d
da
a
( )
2 2 3
0
5
3
16
p
⇒ ( )( )
− + = −
⋅
−
∞
−
∫ 3 2
3 5
16
2 2 4
0
6
a x adx a
p
⇒
− + = −
⋅
−
∞
−
∫
6
3 5
16
2 2 4
0
6
a a x dx a
( )
p
⇒ 6
1 3 5
16
1
2 2 4
0
6
a
a x
dx
a
( )
+
=
⋅
∞
∫
p
⇒
dx
a x a
( )
2 2 4
0
7
3 5
6 16
1
+
=
⋅
⋅
∞
∫
p
(4)
We observe that
dx
a x a a
dx
a x a a
dx
a x
2 2
0
2 2 2
0
3 3
2 2 3
2
1
2
4
1 1
2 2
+
= = ⋅
+
= = ⋅ ⋅
+
∞
∞
∫
∫
p p
p p
( )
( )
0
0
5 5
3
16
1 3
4
1
2 2
∞
∫ = = ⋅ ⋅ ⋅
p p
a a
dx
a x a a
( )
2 2 4
0
7 7
3 5
6 16
1 1 5
6
3
4
1
2 2
+
=
×
×
⋅ = ⋅ ⋅ ⋅ ⋅
∞
∫
p p
Proceeding in this way, from the pattern, we fin
P. Sivaramakrishna Das, C. Vijayakumari - Engineering Mathematics-Pearson Education (2017).pdf
P. Sivaramakrishna Das, C. Vijayakumari - Engineering Mathematics-Pearson Education (2017).pdf
P. Sivaramakrishna Das, C. Vijayakumari - Engineering Mathematics-Pearson Education (2017).pdf
P. Sivaramakrishna Das, C. Vijayakumari - Engineering Mathematics-Pearson Education (2017).pdf
P. Sivaramakrishna Das, C. Vijayakumari - Engineering Mathematics-Pearson Education (2017).pdf
P. Sivaramakrishna Das, C. Vijayakumari - Engineering Mathematics-Pearson Education (2017).pdf
P. Sivaramakrishna Das, C. Vijayakumari - Engineering Mathematics-Pearson Education (2017).pdf
P. Sivaramakrishna Das, C. Vijayakumari - Engineering Mathematics-Pearson Education (2017).pdf
P. Sivaramakrishna Das, C. Vijayakumari - Engineering Mathematics-Pearson Education (2017).pdf
P. Sivaramakrishna Das, C. Vijayakumari - Engineering Mathematics-Pearson Education (2017).pdf
P. Sivaramakrishna Das, C. Vijayakumari - Engineering Mathematics-Pearson Education (2017).pdf
P. Sivaramakrishna Das, C. Vijayakumari - Engineering Mathematics-Pearson Education (2017).pdf
P. Sivaramakrishna Das, C. Vijayakumari - Engineering Mathematics-Pearson Education (2017).pdf
P. Sivaramakrishna Das, C. Vijayakumari - Engineering Mathematics-Pearson Education (2017).pdf
P. Sivaramakrishna Das, C. Vijayakumari - Engineering Mathematics-Pearson Education (2017).pdf
P. Sivaramakrishna Das, C. Vijayakumari - Engineering Mathematics-Pearson Education (2017).pdf
P. Sivaramakrishna Das, C. Vijayakumari - Engineering Mathematics-Pearson Education (2017).pdf
P. Sivaramakrishna Das, C. Vijayakumari - Engineering Mathematics-Pearson Education (2017).pdf
P. Sivaramakrishna Das, C. Vijayakumari - Engineering Mathematics-Pearson Education (2017).pdf
P. Sivaramakrishna Das, C. Vijayakumari - Engineering Mathematics-Pearson Education (2017).pdf
P. Sivaramakrishna Das, C. Vijayakumari - Engineering Mathematics-Pearson Education (2017).pdf
P. Sivaramakrishna Das, C. Vijayakumari - Engineering Mathematics-Pearson Education (2017).pdf
P. Sivaramakrishna Das, C. Vijayakumari - Engineering Mathematics-Pearson Education (2017).pdf
P. Sivaramakrishna Das, C. Vijayakumari - Engineering Mathematics-Pearson Education (2017).pdf
P. Sivaramakrishna Das, C. Vijayakumari - Engineering Mathematics-Pearson Education (2017).pdf
P. Sivaramakrishna Das, C. Vijayakumari - Engineering Mathematics-Pearson Education (2017).pdf
P. Sivaramakrishna Das, C. Vijayakumari - Engineering Mathematics-Pearson Education (2017).pdf
P. Sivaramakrishna Das, C. Vijayakumari - Engineering Mathematics-Pearson Education (2017).pdf
P. Sivaramakrishna Das, C. Vijayakumari - Engineering Mathematics-Pearson Education (2017).pdf
P. Sivaramakrishna Das, C. Vijayakumari - Engineering Mathematics-Pearson Education (2017).pdf
P. Sivaramakrishna Das, C. Vijayakumari - Engineering Mathematics-Pearson Education (2017).pdf
P. Sivaramakrishna Das, C. Vijayakumari - Engineering Mathematics-Pearson Education (2017).pdf
P. Sivaramakrishna Das, C. Vijayakumari - Engineering Mathematics-Pearson Education (2017).pdf
P. Sivaramakrishna Das, C. Vijayakumari - Engineering Mathematics-Pearson Education (2017).pdf
P. Sivaramakrishna Das, C. Vijayakumari - Engineering Mathematics-Pearson Education (2017).pdf
P. Sivaramakrishna Das, C. Vijayakumari - Engineering Mathematics-Pearson Education (2017).pdf
P. Sivaramakrishna Das, C. Vijayakumari - Engineering Mathematics-Pearson Education (2017).pdf
P. Sivaramakrishna Das, C. Vijayakumari - Engineering Mathematics-Pearson Education (2017).pdf
P. Sivaramakrishna Das, C. Vijayakumari - Engineering Mathematics-Pearson Education (2017).pdf
P. Sivaramakrishna Das, C. Vijayakumari - Engineering Mathematics-Pearson Education (2017).pdf
P. Sivaramakrishna Das, C. Vijayakumari - Engineering Mathematics-Pearson Education (2017).pdf
P. Sivaramakrishna Das, C. Vijayakumari - Engineering Mathematics-Pearson Education (2017).pdf
P. Sivaramakrishna Das, C. Vijayakumari - Engineering Mathematics-Pearson Education (2017).pdf
P. Sivaramakrishna Das, C. Vijayakumari - Engineering Mathematics-Pearson Education (2017).pdf
P. Sivaramakrishna Das, C. Vijayakumari - Engineering Mathematics-Pearson Education (2017).pdf
P. Sivaramakrishna Das, C. Vijayakumari - Engineering Mathematics-Pearson Education (2017).pdf
P. Sivaramakrishna Das, C. Vijayakumari - Engineering Mathematics-Pearson Education (2017).pdf
P. Sivaramakrishna Das, C. Vijayakumari - Engineering Mathematics-Pearson Education (2017).pdf
P. Sivaramakrishna Das, C. Vijayakumari - Engineering Mathematics-Pearson Education (2017).pdf
P. Sivaramakrishna Das, C. Vijayakumari - Engineering Mathematics-Pearson Education (2017).pdf
P. Sivaramakrishna Das, C. Vijayakumari - Engineering Mathematics-Pearson Education (2017).pdf
P. Sivaramakrishna Das, C. Vijayakumari - Engineering Mathematics-Pearson Education (2017).pdf
P. Sivaramakrishna Das, C. Vijayakumari - Engineering Mathematics-Pearson Education (2017).pdf
P. Sivaramakrishna Das, C. Vijayakumari - Engineering Mathematics-Pearson Education (2017).pdf
P. Sivaramakrishna Das, C. Vijayakumari - Engineering Mathematics-Pearson Education (2017).pdf
P. Sivaramakrishna Das, C. Vijayakumari - Engineering Mathematics-Pearson Education (2017).pdf
P. Sivaramakrishna Das, C. Vijayakumari - Engineering Mathematics-Pearson Education (2017).pdf
P. Sivaramakrishna Das, C. Vijayakumari - Engineering Mathematics-Pearson Education (2017).pdf
P. Sivaramakrishna Das, C. Vijayakumari - Engineering Mathematics-Pearson Education (2017).pdf
P. Sivaramakrishna Das, C. Vijayakumari - Engineering Mathematics-Pearson Education (2017).pdf
P. Sivaramakrishna Das, C. Vijayakumari - Engineering Mathematics-Pearson Education (2017).pdf
P. Sivaramakrishna Das, C. Vijayakumari - Engineering Mathematics-Pearson Education (2017).pdf
P. Sivaramakrishna Das, C. Vijayakumari - Engineering Mathematics-Pearson Education (2017).pdf
P. Sivaramakrishna Das, C. Vijayakumari - Engineering Mathematics-Pearson Education (2017).pdf
P. Sivaramakrishna Das, C. Vijayakumari - Engineering Mathematics-Pearson Education (2017).pdf
P. Sivaramakrishna Das, C. Vijayakumari - Engineering Mathematics-Pearson Education (2017).pdf
P. Sivaramakrishna Das, C. Vijayakumari - Engineering Mathematics-Pearson Education (2017).pdf
P. Sivaramakrishna Das, C. Vijayakumari - Engineering Mathematics-Pearson Education (2017).pdf
P. Sivaramakrishna Das, C. Vijayakumari - Engineering Mathematics-Pearson Education (2017).pdf
P. Sivaramakrishna Das, C. Vijayakumari - Engineering Mathematics-Pearson Education (2017).pdf
P. Sivaramakrishna Das, C. Vijayakumari - Engineering Mathematics-Pearson Education (2017).pdf
P. Sivaramakrishna Das, C. Vijayakumari - Engineering Mathematics-Pearson Education (2017).pdf
P. Sivaramakrishna Das, C. Vijayakumari - Engineering Mathematics-Pearson Education (2017).pdf
P. Sivaramakrishna Das, C. Vijayakumari - Engineering Mathematics-Pearson Education (2017).pdf
P. Sivaramakrishna Das, C. Vijayakumari - Engineering Mathematics-Pearson Education (2017).pdf
P. Sivaramakrishna Das, C. Vijayakumari - Engineering Mathematics-Pearson Education (2017).pdf
P. Sivaramakrishna Das, C. Vijayakumari - Engineering Mathematics-Pearson Education (2017).pdf
P. Sivaramakrishna Das, C. Vijayakumari - Engineering Mathematics-Pearson Education (2017).pdf
P. Sivaramakrishna Das, C. Vijayakumari - Engineering Mathematics-Pearson Education (2017).pdf
P. Sivaramakrishna Das, C. Vijayakumari - Engineering Mathematics-Pearson Education (2017).pdf
P. Sivaramakrishna Das, C. Vijayakumari - Engineering Mathematics-Pearson Education (2017).pdf
P. Sivaramakrishna Das, C. Vijayakumari - Engineering Mathematics-Pearson Education (2017).pdf
P. Sivaramakrishna Das, C. Vijayakumari - Engineering Mathematics-Pearson Education (2017).pdf
P. Sivaramakrishna Das, C. Vijayakumari - Engineering Mathematics-Pearson Education (2017).pdf
P. Sivaramakrishna Das, C. Vijayakumari - Engineering Mathematics-Pearson Education (2017).pdf
P. Sivaramakrishna Das, C. Vijayakumari - Engineering Mathematics-Pearson Education (2017).pdf
P. Sivaramakrishna Das, C. Vijayakumari - Engineering Mathematics-Pearson Education (2017).pdf
P. Sivaramakrishna Das, C. Vijayakumari - Engineering Mathematics-Pearson Education (2017).pdf
P. Sivaramakrishna Das, C. Vijayakumari - Engineering Mathematics-Pearson Education (2017).pdf
P. Sivaramakrishna Das, C. Vijayakumari - Engineering Mathematics-Pearson Education (2017).pdf
P. Sivaramakrishna Das, C. Vijayakumari - Engineering Mathematics-Pearson Education (2017).pdf
P. Sivaramakrishna Das, C. Vijayakumari - Engineering Mathematics-Pearson Education (2017).pdf
P. Sivaramakrishna Das, C. Vijayakumari - Engineering Mathematics-Pearson Education (2017).pdf
P. Sivaramakrishna Das, C. Vijayakumari - Engineering Mathematics-Pearson Education (2017).pdf
P. Sivaramakrishna Das, C. Vijayakumari - Engineering Mathematics-Pearson Education (2017).pdf
P. Sivaramakrishna Das, C. Vijayakumari - Engineering Mathematics-Pearson Education (2017).pdf
P. Sivaramakrishna Das, C. Vijayakumari - Engineering Mathematics-Pearson Education (2017).pdf
P. Sivaramakrishna Das, C. Vijayakumari - Engineering Mathematics-Pearson Education (2017).pdf
P. Sivaramakrishna Das, C. Vijayakumari - Engineering Mathematics-Pearson Education (2017).pdf
P. Sivaramakrishna Das, C. Vijayakumari - Engineering Mathematics-Pearson Education (2017).pdf
P. Sivaramakrishna Das, C. Vijayakumari - Engineering Mathematics-Pearson Education (2017).pdf
P. Sivaramakrishna Das, C. Vijayakumari - Engineering Mathematics-Pearson Education (2017).pdf
P. Sivaramakrishna Das, C. Vijayakumari - Engineering Mathematics-Pearson Education (2017).pdf
P. Sivaramakrishna Das, C. Vijayakumari - Engineering Mathematics-Pearson Education (2017).pdf
P. Sivaramakrishna Das, C. Vijayakumari - Engineering Mathematics-Pearson Education (2017).pdf
P. Sivaramakrishna Das, C. Vijayakumari - Engineering Mathematics-Pearson Education (2017).pdf
P. Sivaramakrishna Das, C. Vijayakumari - Engineering Mathematics-Pearson Education (2017).pdf
P. Sivaramakrishna Das, C. Vijayakumari - Engineering Mathematics-Pearson Education (2017).pdf
P. Sivaramakrishna Das, C. Vijayakumari - Engineering Mathematics-Pearson Education (2017).pdf
P. Sivaramakrishna Das, C. Vijayakumari - Engineering Mathematics-Pearson Education (2017).pdf
P. Sivaramakrishna Das, C. Vijayakumari - Engineering Mathematics-Pearson Education (2017).pdf
P. Sivaramakrishna Das, C. Vijayakumari - Engineering Mathematics-Pearson Education (2017).pdf
P. Sivaramakrishna Das, C. Vijayakumari - Engineering Mathematics-Pearson Education (2017).pdf
P. Sivaramakrishna Das, C. Vijayakumari - Engineering Mathematics-Pearson Education (2017).pdf
P. Sivaramakrishna Das, C. Vijayakumari - Engineering Mathematics-Pearson Education (2017).pdf
P. Sivaramakrishna Das, C. Vijayakumari - Engineering Mathematics-Pearson Education (2017).pdf
P. Sivaramakrishna Das, C. Vijayakumari - Engineering Mathematics-Pearson Education (2017).pdf
P. Sivaramakrishna Das, C. Vijayakumari - Engineering Mathematics-Pearson Education (2017).pdf
P. Sivaramakrishna Das, C. Vijayakumari - Engineering Mathematics-Pearson Education (2017).pdf
P. Sivaramakrishna Das, C. Vijayakumari - Engineering Mathematics-Pearson Education (2017).pdf
P. Sivaramakrishna Das, C. Vijayakumari - Engineering Mathematics-Pearson Education (2017).pdf
P. Sivaramakrishna Das, C. Vijayakumari - Engineering Mathematics-Pearson Education (2017).pdf
P. Sivaramakrishna Das, C. Vijayakumari - Engineering Mathematics-Pearson Education (2017).pdf
P. Sivaramakrishna Das, C. Vijayakumari - Engineering Mathematics-Pearson Education (2017).pdf
P. Sivaramakrishna Das, C. Vijayakumari - Engineering Mathematics-Pearson Education (2017).pdf
P. Sivaramakrishna Das, C. Vijayakumari - Engineering Mathematics-Pearson Education (2017).pdf
P. Sivaramakrishna Das, C. Vijayakumari - Engineering Mathematics-Pearson Education (2017).pdf
P. Sivaramakrishna Das, C. Vijayakumari - Engineering Mathematics-Pearson Education (2017).pdf
P. Sivaramakrishna Das, C. Vijayakumari - Engineering Mathematics-Pearson Education (2017).pdf
P. Sivaramakrishna Das, C. Vijayakumari - Engineering Mathematics-Pearson Education (2017).pdf
P. Sivaramakrishna Das, C. Vijayakumari - Engineering Mathematics-Pearson Education (2017).pdf
P. Sivaramakrishna Das, C. Vijayakumari - Engineering Mathematics-Pearson Education (2017).pdf
P. Sivaramakrishna Das, C. Vijayakumari - Engineering Mathematics-Pearson Education (2017).pdf
P. Sivaramakrishna Das, C. Vijayakumari - Engineering Mathematics-Pearson Education (2017).pdf
P. Sivaramakrishna Das, C. Vijayakumari - Engineering Mathematics-Pearson Education (2017).pdf
P. Sivaramakrishna Das, C. Vijayakumari - Engineering Mathematics-Pearson Education (2017).pdf
P. Sivaramakrishna Das, C. Vijayakumari - Engineering Mathematics-Pearson Education (2017).pdf
P. Sivaramakrishna Das, C. Vijayakumari - Engineering Mathematics-Pearson Education (2017).pdf
P. Sivaramakrishna Das, C. Vijayakumari - Engineering Mathematics-Pearson Education (2017).pdf
P. Sivaramakrishna Das, C. Vijayakumari - Engineering Mathematics-Pearson Education (2017).pdf
P. Sivaramakrishna Das, C. Vijayakumari - Engineering Mathematics-Pearson Education (2017).pdf
P. Sivaramakrishna Das, C. Vijayakumari - Engineering Mathematics-Pearson Education (2017).pdf
P. Sivaramakrishna Das, C. Vijayakumari - Engineering Mathematics-Pearson Education (2017).pdf
P. Sivaramakrishna Das, C. Vijayakumari - Engineering Mathematics-Pearson Education (2017).pdf
P. Sivaramakrishna Das, C. Vijayakumari - Engineering Mathematics-Pearson Education (2017).pdf
P. Sivaramakrishna Das, C. Vijayakumari - Engineering Mathematics-Pearson Education (2017).pdf
P. Sivaramakrishna Das, C. Vijayakumari - Engineering Mathematics-Pearson Education (2017).pdf
P. Sivaramakrishna Das, C. Vijayakumari - Engineering Mathematics-Pearson Education (2017).pdf
P. Sivaramakrishna Das, C. Vijayakumari - Engineering Mathematics-Pearson Education (2017).pdf
P. Sivaramakrishna Das, C. Vijayakumari - Engineering Mathematics-Pearson Education (2017).pdf
P. Sivaramakrishna Das, C. Vijayakumari - Engineering Mathematics-Pearson Education (2017).pdf
P. Sivaramakrishna Das, C. Vijayakumari - Engineering Mathematics-Pearson Education (2017).pdf
P. Sivaramakrishna Das, C. Vijayakumari - Engineering Mathematics-Pearson Education (2017).pdf
P. Sivaramakrishna Das, C. Vijayakumari - Engineering Mathematics-Pearson Education (2017).pdf
P. Sivaramakrishna Das, C. Vijayakumari - Engineering Mathematics-Pearson Education (2017).pdf
P. Sivaramakrishna Das, C. Vijayakumari - Engineering Mathematics-Pearson Education (2017).pdf
P. Sivaramakrishna Das, C. Vijayakumari - Engineering Mathematics-Pearson Education (2017).pdf
P. Sivaramakrishna Das, C. Vijayakumari - Engineering Mathematics-Pearson Education (2017).pdf
P. Sivaramakrishna Das, C. Vijayakumari - Engineering Mathematics-Pearson Education (2017).pdf
P. Sivaramakrishna Das, C. Vijayakumari - Engineering Mathematics-Pearson Education (2017).pdf
P. Sivaramakrishna Das, C. Vijayakumari - Engineering Mathematics-Pearson Education (2017).pdf
P. Sivaramakrishna Das, C. Vijayakumari - Engineering Mathematics-Pearson Education (2017).pdf
P. Sivaramakrishna Das, C. Vijayakumari - Engineering Mathematics-Pearson Education (2017).pdf
P. Sivaramakrishna Das, C. Vijayakumari - Engineering Mathematics-Pearson Education (2017).pdf
P. Sivaramakrishna Das, C. Vijayakumari - Engineering Mathematics-Pearson Education (2017).pdf
P. Sivaramakrishna Das, C. Vijayakumari - Engineering Mathematics-Pearson Education (2017).pdf
P. Sivaramakrishna Das, C. Vijayakumari - Engineering Mathematics-Pearson Education (2017).pdf
P. Sivaramakrishna Das, C. Vijayakumari - Engineering Mathematics-Pearson Education (2017).pdf
P. Sivaramakrishna Das, C. Vijayakumari - Engineering Mathematics-Pearson Education (2017).pdf
P. Sivaramakrishna Das, C. Vijayakumari - Engineering Mathematics-Pearson Education (2017).pdf
P. Sivaramakrishna Das, C. Vijayakumari - Engineering Mathematics-Pearson Education (2017).pdf
P. Sivaramakrishna Das, C. Vijayakumari - Engineering Mathematics-Pearson Education (2017).pdf
P. Sivaramakrishna Das, C. Vijayakumari - Engineering Mathematics-Pearson Education (2017).pdf
P. Sivaramakrishna Das, C. Vijayakumari - Engineering Mathematics-Pearson Education (2017).pdf
P. Sivaramakrishna Das, C. Vijayakumari - Engineering Mathematics-Pearson Education (2017).pdf
P. Sivaramakrishna Das, C. Vijayakumari - Engineering Mathematics-Pearson Education (2017).pdf
P. Sivaramakrishna Das, C. Vijayakumari - Engineering Mathematics-Pearson Education (2017).pdf
P. Sivaramakrishna Das, C. Vijayakumari - Engineering Mathematics-Pearson Education (2017).pdf
P. Sivaramakrishna Das, C. Vijayakumari - Engineering Mathematics-Pearson Education (2017).pdf
P. Sivaramakrishna Das, C. Vijayakumari - Engineering Mathematics-Pearson Education (2017).pdf
P. Sivaramakrishna Das, C. Vijayakumari - Engineering Mathematics-Pearson Education (2017).pdf
P. Sivaramakrishna Das, C. Vijayakumari - Engineering Mathematics-Pearson Education (2017).pdf
P. Sivaramakrishna Das, C. Vijayakumari - Engineering Mathematics-Pearson Education (2017).pdf
P. Sivaramakrishna Das, C. Vijayakumari - Engineering Mathematics-Pearson Education (2017).pdf
P. Sivaramakrishna Das, C. Vijayakumari - Engineering Mathematics-Pearson Education (2017).pdf
P. Sivaramakrishna Das, C. Vijayakumari - Engineering Mathematics-Pearson Education (2017).pdf
P. Sivaramakrishna Das, C. Vijayakumari - Engineering Mathematics-Pearson Education (2017).pdf
P. Sivaramakrishna Das, C. Vijayakumari - Engineering Mathematics-Pearson Education (2017).pdf
P. Sivaramakrishna Das, C. Vijayakumari - Engineering Mathematics-Pearson Education (2017).pdf
P. Sivaramakrishna Das, C. Vijayakumari - Engineering Mathematics-Pearson Education (2017).pdf
P. Sivaramakrishna Das, C. Vijayakumari - Engineering Mathematics-Pearson Education (2017).pdf
P. Sivaramakrishna Das, C. Vijayakumari - Engineering Mathematics-Pearson Education (2017).pdf
P. Sivaramakrishna Das, C. Vijayakumari - Engineering Mathematics-Pearson Education (2017).pdf
P. Sivaramakrishna Das, C. Vijayakumari - Engineering Mathematics-Pearson Education (2017).pdf
P. Sivaramakrishna Das, C. Vijayakumari - Engineering Mathematics-Pearson Education (2017).pdf
P. Sivaramakrishna Das, C. Vijayakumari - Engineering Mathematics-Pearson Education (2017).pdf
P. Sivaramakrishna Das, C. Vijayakumari - Engineering Mathematics-Pearson Education (2017).pdf
P. Sivaramakrishna Das, C. Vijayakumari - Engineering Mathematics-Pearson Education (2017).pdf
P. Sivaramakrishna Das, C. Vijayakumari - Engineering Mathematics-Pearson Education (2017).pdf
P. Sivaramakrishna Das, C. Vijayakumari - Engineering Mathematics-Pearson Education (2017).pdf
P. Sivaramakrishna Das, C. Vijayakumari - Engineering Mathematics-Pearson Education (2017).pdf
P. Sivaramakrishna Das, C. Vijayakumari - Engineering Mathematics-Pearson Education (2017).pdf
P. Sivaramakrishna Das, C. Vijayakumari - Engineering Mathematics-Pearson Education (2017).pdf
P. Sivaramakrishna Das, C. Vijayakumari - Engineering Mathematics-Pearson Education (2017).pdf
P. Sivaramakrishna Das, C. Vijayakumari - Engineering Mathematics-Pearson Education (2017).pdf
P. Sivaramakrishna Das, C. Vijayakumari - Engineering Mathematics-Pearson Education (2017).pdf
P. Sivaramakrishna Das, C. Vijayakumari - Engineering Mathematics-Pearson Education (2017).pdf
P. Sivaramakrishna Das, C. Vijayakumari - Engineering Mathematics-Pearson Education (2017).pdf
P. Sivaramakrishna Das, C. Vijayakumari - Engineering Mathematics-Pearson Education (2017).pdf
P. Sivaramakrishna Das, C. Vijayakumari - Engineering Mathematics-Pearson Education (2017).pdf
P. Sivaramakrishna Das, C. Vijayakumari - Engineering Mathematics-Pearson Education (2017).pdf
P. Sivaramakrishna Das, C. Vijayakumari - Engineering Mathematics-Pearson Education (2017).pdf
P. Sivaramakrishna Das, C. Vijayakumari - Engineering Mathematics-Pearson Education (2017).pdf
P. Sivaramakrishna Das, C. Vijayakumari - Engineering Mathematics-Pearson Education (2017).pdf
P. Sivaramakrishna Das, C. Vijayakumari - Engineering Mathematics-Pearson Education (2017).pdf
P. Sivaramakrishna Das, C. Vijayakumari - Engineering Mathematics-Pearson Education (2017).pdf
P. Sivaramakrishna Das, C. Vijayakumari - Engineering Mathematics-Pearson Education (2017).pdf
P. Sivaramakrishna Das, C. Vijayakumari - Engineering Mathematics-Pearson Education (2017).pdf
P. Sivaramakrishna Das, C. Vijayakumari - Engineering Mathematics-Pearson Education (2017).pdf
P. Sivaramakrishna Das, C. Vijayakumari - Engineering Mathematics-Pearson Education (2017).pdf
P. Sivaramakrishna Das, C. Vijayakumari - Engineering Mathematics-Pearson Education (2017).pdf
P. Sivaramakrishna Das, C. Vijayakumari - Engineering Mathematics-Pearson Education (2017).pdf
P. Sivaramakrishna Das, C. Vijayakumari - Engineering Mathematics-Pearson Education (2017).pdf
P. Sivaramakrishna Das, C. Vijayakumari - Engineering Mathematics-Pearson Education (2017).pdf
P. Sivaramakrishna Das, C. Vijayakumari - Engineering Mathematics-Pearson Education (2017).pdf
P. Sivaramakrishna Das, C. Vijayakumari - Engineering Mathematics-Pearson Education (2017).pdf
P. Sivaramakrishna Das, C. Vijayakumari - Engineering Mathematics-Pearson Education (2017).pdf
P. Sivaramakrishna Das, C. Vijayakumari - Engineering Mathematics-Pearson Education (2017).pdf
P. Sivaramakrishna Das, C. Vijayakumari - Engineering Mathematics-Pearson Education (2017).pdf
P. Sivaramakrishna Das, C. Vijayakumari - Engineering Mathematics-Pearson Education (2017).pdf
P. Sivaramakrishna Das, C. Vijayakumari - Engineering Mathematics-Pearson Education (2017).pdf
P. Sivaramakrishna Das, C. Vijayakumari - Engineering Mathematics-Pearson Education (2017).pdf
P. Sivaramakrishna Das, C. Vijayakumari - Engineering Mathematics-Pearson Education (2017).pdf
P. Sivaramakrishna Das, C. Vijayakumari - Engineering Mathematics-Pearson Education (2017).pdf
P. Sivaramakrishna Das, C. Vijayakumari - Engineering Mathematics-Pearson Education (2017).pdf
P. Sivaramakrishna Das, C. Vijayakumari - Engineering Mathematics-Pearson Education (2017).pdf
P. Sivaramakrishna Das, C. Vijayakumari - Engineering Mathematics-Pearson Education (2017).pdf
P. Sivaramakrishna Das, C. Vijayakumari - Engineering Mathematics-Pearson Education (2017).pdf
P. Sivaramakrishna Das, C. Vijayakumari - Engineering Mathematics-Pearson Education (2017).pdf
P. Sivaramakrishna Das, C. Vijayakumari - Engineering Mathematics-Pearson Education (2017).pdf
P. Sivaramakrishna Das, C. Vijayakumari - Engineering Mathematics-Pearson Education (2017).pdf
P. Sivaramakrishna Das, C. Vijayakumari - Engineering Mathematics-Pearson Education (2017).pdf
P. Sivaramakrishna Das, C. Vijayakumari - Engineering Mathematics-Pearson Education (2017).pdf
P. Sivaramakrishna Das, C. Vijayakumari - Engineering Mathematics-Pearson Education (2017).pdf
P. Sivaramakrishna Das, C. Vijayakumari - Engineering Mathematics-Pearson Education (2017).pdf
P. Sivaramakrishna Das, C. Vijayakumari - Engineering Mathematics-Pearson Education (2017).pdf
P. Sivaramakrishna Das, C. Vijayakumari - Engineering Mathematics-Pearson Education (2017).pdf
P. Sivaramakrishna Das, C. Vijayakumari - Engineering Mathematics-Pearson Education (2017).pdf
P. Sivaramakrishna Das, C. Vijayakumari - Engineering Mathematics-Pearson Education (2017).pdf
P. Sivaramakrishna Das, C. Vijayakumari - Engineering Mathematics-Pearson Education (2017).pdf
P. Sivaramakrishna Das, C. Vijayakumari - Engineering Mathematics-Pearson Education (2017).pdf
P. Sivaramakrishna Das, C. Vijayakumari - Engineering Mathematics-Pearson Education (2017).pdf
P. Sivaramakrishna Das, C. Vijayakumari - Engineering Mathematics-Pearson Education (2017).pdf
P. Sivaramakrishna Das, C. Vijayakumari - Engineering Mathematics-Pearson Education (2017).pdf
P. Sivaramakrishna Das, C. Vijayakumari - Engineering Mathematics-Pearson Education (2017).pdf
P. Sivaramakrishna Das, C. Vijayakumari - Engineering Mathematics-Pearson Education (2017).pdf
P. Sivaramakrishna Das, C. Vijayakumari - Engineering Mathematics-Pearson Education (2017).pdf
P. Sivaramakrishna Das, C. Vijayakumari - Engineering Mathematics-Pearson Education (2017).pdf
P. Sivaramakrishna Das, C. Vijayakumari - Engineering Mathematics-Pearson Education (2017).pdf
P. Sivaramakrishna Das, C. Vijayakumari - Engineering Mathematics-Pearson Education (2017).pdf
P. Sivaramakrishna Das, C. Vijayakumari - Engineering Mathematics-Pearson Education (2017).pdf
P. Sivaramakrishna Das, C. Vijayakumari - Engineering Mathematics-Pearson Education (2017).pdf
P. Sivaramakrishna Das, C. Vijayakumari - Engineering Mathematics-Pearson Education (2017).pdf
P. Sivaramakrishna Das, C. Vijayakumari - Engineering Mathematics-Pearson Education (2017).pdf
P. Sivaramakrishna Das, C. Vijayakumari - Engineering Mathematics-Pearson Education (2017).pdf
P. Sivaramakrishna Das, C. Vijayakumari - Engineering Mathematics-Pearson Education (2017).pdf
P. Sivaramakrishna Das, C. Vijayakumari - Engineering Mathematics-Pearson Education (2017).pdf
P. Sivaramakrishna Das, C. Vijayakumari - Engineering Mathematics-Pearson Education (2017).pdf
P. Sivaramakrishna Das, C. Vijayakumari - Engineering Mathematics-Pearson Education (2017).pdf
P. Sivaramakrishna Das, C. Vijayakumari - Engineering Mathematics-Pearson Education (2017).pdf
P. Sivaramakrishna Das, C. Vijayakumari - Engineering Mathematics-Pearson Education (2017).pdf
P. Sivaramakrishna Das, C. Vijayakumari - Engineering Mathematics-Pearson Education (2017).pdf
P. Sivaramakrishna Das, C. Vijayakumari - Engineering Mathematics-Pearson Education (2017).pdf
P. Sivaramakrishna Das, C. Vijayakumari - Engineering Mathematics-Pearson Education (2017).pdf
P. Sivaramakrishna Das, C. Vijayakumari - Engineering Mathematics-Pearson Education (2017).pdf
P. Sivaramakrishna Das, C. Vijayakumari - Engineering Mathematics-Pearson Education (2017).pdf
P. Sivaramakrishna Das, C. Vijayakumari - Engineering Mathematics-Pearson Education (2017).pdf
P. Sivaramakrishna Das, C. Vijayakumari - Engineering Mathematics-Pearson Education (2017).pdf
P. Sivaramakrishna Das, C. Vijayakumari - Engineering Mathematics-Pearson Education (2017).pdf
P. Sivaramakrishna Das, C. Vijayakumari - Engineering Mathematics-Pearson Education (2017).pdf
P. Sivaramakrishna Das, C. Vijayakumari - Engineering Mathematics-Pearson Education (2017).pdf
P. Sivaramakrishna Das, C. Vijayakumari - Engineering Mathematics-Pearson Education (2017).pdf
P. Sivaramakrishna Das, C. Vijayakumari - Engineering Mathematics-Pearson Education (2017).pdf
P. Sivaramakrishna Das, C. Vijayakumari - Engineering Mathematics-Pearson Education (2017).pdf
P. Sivaramakrishna Das, C. Vijayakumari - Engineering Mathematics-Pearson Education (2017).pdf
P. Sivaramakrishna Das, C. Vijayakumari - Engineering Mathematics-Pearson Education (2017).pdf
P. Sivaramakrishna Das, C. Vijayakumari - Engineering Mathematics-Pearson Education (2017).pdf
P. Sivaramakrishna Das, C. Vijayakumari - Engineering Mathematics-Pearson Education (2017).pdf
P. Sivaramakrishna Das, C. Vijayakumari - Engineering Mathematics-Pearson Education (2017).pdf
P. Sivaramakrishna Das, C. Vijayakumari - Engineering Mathematics-Pearson Education (2017).pdf
P. Sivaramakrishna Das, C. Vijayakumari - Engineering Mathematics-Pearson Education (2017).pdf
P. Sivaramakrishna Das, C. Vijayakumari - Engineering Mathematics-Pearson Education (2017).pdf
P. Sivaramakrishna Das, C. Vijayakumari - Engineering Mathematics-Pearson Education (2017).pdf
P. Sivaramakrishna Das, C. Vijayakumari - Engineering Mathematics-Pearson Education (2017).pdf
P. Sivaramakrishna Das, C. Vijayakumari - Engineering Mathematics-Pearson Education (2017).pdf
P. Sivaramakrishna Das, C. Vijayakumari - Engineering Mathematics-Pearson Education (2017).pdf
P. Sivaramakrishna Das, C. Vijayakumari - Engineering Mathematics-Pearson Education (2017).pdf
P. Sivaramakrishna Das, C. Vijayakumari - Engineering Mathematics-Pearson Education (2017).pdf
P. Sivaramakrishna Das, C. Vijayakumari - Engineering Mathematics-Pearson Education (2017).pdf
P. Sivaramakrishna Das, C. Vijayakumari - Engineering Mathematics-Pearson Education (2017).pdf
P. Sivaramakrishna Das, C. Vijayakumari - Engineering Mathematics-Pearson Education (2017).pdf
P. Sivaramakrishna Das, C. Vijayakumari - Engineering Mathematics-Pearson Education (2017).pdf
P. Sivaramakrishna Das, C. Vijayakumari - Engineering Mathematics-Pearson Education (2017).pdf
P. Sivaramakrishna Das, C. Vijayakumari - Engineering Mathematics-Pearson Education (2017).pdf
P. Sivaramakrishna Das, C. Vijayakumari - Engineering Mathematics-Pearson Education (2017).pdf
P. Sivaramakrishna Das, C. Vijayakumari - Engineering Mathematics-Pearson Education (2017).pdf
P. Sivaramakrishna Das, C. Vijayakumari - Engineering Mathematics-Pearson Education (2017).pdf
P. Sivaramakrishna Das, C. Vijayakumari - Engineering Mathematics-Pearson Education (2017).pdf
P. Sivaramakrishna Das, C. Vijayakumari - Engineering Mathematics-Pearson Education (2017).pdf
P. Sivaramakrishna Das, C. Vijayakumari - Engineering Mathematics-Pearson Education (2017).pdf
P. Sivaramakrishna Das, C. Vijayakumari - Engineering Mathematics-Pearson Education (2017).pdf
P. Sivaramakrishna Das, C. Vijayakumari - Engineering Mathematics-Pearson Education (2017).pdf
P. Sivaramakrishna Das, C. Vijayakumari - Engineering Mathematics-Pearson Education (2017).pdf
P. Sivaramakrishna Das, C. Vijayakumari - Engineering Mathematics-Pearson Education (2017).pdf
P. Sivaramakrishna Das, C. Vijayakumari - Engineering Mathematics-Pearson Education (2017).pdf
P. Sivaramakrishna Das, C. Vijayakumari - Engineering Mathematics-Pearson Education (2017).pdf
P. Sivaramakrishna Das, C. Vijayakumari - Engineering Mathematics-Pearson Education (2017).pdf
P. Sivaramakrishna Das, C. Vijayakumari - Engineering Mathematics-Pearson Education (2017).pdf
P. Sivaramakrishna Das, C. Vijayakumari - Engineering Mathematics-Pearson Education (2017).pdf
P. Sivaramakrishna Das, C. Vijayakumari - Engineering Mathematics-Pearson Education (2017).pdf
P. Sivaramakrishna Das, C. Vijayakumari - Engineering Mathematics-Pearson Education (2017).pdf
P. Sivaramakrishna Das, C. Vijayakumari - Engineering Mathematics-Pearson Education (2017).pdf
P. Sivaramakrishna Das, C. Vijayakumari - Engineering Mathematics-Pearson Education (2017).pdf
P. Sivaramakrishna Das, C. Vijayakumari - Engineering Mathematics-Pearson Education (2017).pdf
P. Sivaramakrishna Das, C. Vijayakumari - Engineering Mathematics-Pearson Education (2017).pdf
P. Sivaramakrishna Das, C. Vijayakumari - Engineering Mathematics-Pearson Education (2017).pdf
P. Sivaramakrishna Das, C. Vijayakumari - Engineering Mathematics-Pearson Education (2017).pdf
P. Sivaramakrishna Das, C. Vijayakumari - Engineering Mathematics-Pearson Education (2017).pdf
P. Sivaramakrishna Das, C. Vijayakumari - Engineering Mathematics-Pearson Education (2017).pdf
P. Sivaramakrishna Das, C. Vijayakumari - Engineering Mathematics-Pearson Education (2017).pdf
P. Sivaramakrishna Das, C. Vijayakumari - Engineering Mathematics-Pearson Education (2017).pdf
P. Sivaramakrishna Das, C. Vijayakumari - Engineering Mathematics-Pearson Education (2017).pdf
P. Sivaramakrishna Das, C. Vijayakumari - Engineering Mathematics-Pearson Education (2017).pdf
P. Sivaramakrishna Das, C. Vijayakumari - Engineering Mathematics-Pearson Education (2017).pdf
P. Sivaramakrishna Das, C. Vijayakumari - Engineering Mathematics-Pearson Education (2017).pdf
P. Sivaramakrishna Das, C. Vijayakumari - Engineering Mathematics-Pearson Education (2017).pdf
P. Sivaramakrishna Das, C. Vijayakumari - Engineering Mathematics-Pearson Education (2017).pdf
P. Sivaramakrishna Das, C. Vijayakumari - Engineering Mathematics-Pearson Education (2017).pdf
P. Sivaramakrishna Das, C. Vijayakumari - Engineering Mathematics-Pearson Education (2017).pdf
P. Sivaramakrishna Das, C. Vijayakumari - Engineering Mathematics-Pearson Education (2017).pdf
P. Sivaramakrishna Das, C. Vijayakumari - Engineering Mathematics-Pearson Education (2017).pdf
P. Sivaramakrishna Das, C. Vijayakumari - Engineering Mathematics-Pearson Education (2017).pdf
P. Sivaramakrishna Das, C. Vijayakumari - Engineering Mathematics-Pearson Education (2017).pdf
P. Sivaramakrishna Das, C. Vijayakumari - Engineering Mathematics-Pearson Education (2017).pdf
P. Sivaramakrishna Das, C. Vijayakumari - Engineering Mathematics-Pearson Education (2017).pdf
P. Sivaramakrishna Das, C. Vijayakumari - Engineering Mathematics-Pearson Education (2017).pdf
P. Sivaramakrishna Das, C. Vijayakumari - Engineering Mathematics-Pearson Education (2017).pdf
P. Sivaramakrishna Das, C. Vijayakumari - Engineering Mathematics-Pearson Education (2017).pdf
P. Sivaramakrishna Das, C. Vijayakumari - Engineering Mathematics-Pearson Education (2017).pdf
P. Sivaramakrishna Das, C. Vijayakumari - Engineering Mathematics-Pearson Education (2017).pdf
P. Sivaramakrishna Das, C. Vijayakumari - Engineering Mathematics-Pearson Education (2017).pdf
P. Sivaramakrishna Das, C. Vijayakumari - Engineering Mathematics-Pearson Education (2017).pdf
P. Sivaramakrishna Das, C. Vijayakumari - Engineering Mathematics-Pearson Education (2017).pdf
P. Sivaramakrishna Das, C. Vijayakumari - Engineering Mathematics-Pearson Education (2017).pdf
P. Sivaramakrishna Das, C. Vijayakumari - Engineering Mathematics-Pearson Education (2017).pdf
P. Sivaramakrishna Das, C. Vijayakumari - Engineering Mathematics-Pearson Education (2017).pdf
P. Sivaramakrishna Das, C. Vijayakumari - Engineering Mathematics-Pearson Education (2017).pdf
P. Sivaramakrishna Das, C. Vijayakumari - Engineering Mathematics-Pearson Education (2017).pdf
P. Sivaramakrishna Das, C. Vijayakumari - Engineering Mathematics-Pearson Education (2017).pdf
P. Sivaramakrishna Das, C. Vijayakumari - Engineering Mathematics-Pearson Education (2017).pdf
P. Sivaramakrishna Das, C. Vijayakumari - Engineering Mathematics-Pearson Education (2017).pdf
P. Sivaramakrishna Das, C. Vijayakumari - Engineering Mathematics-Pearson Education (2017).pdf
P. Sivaramakrishna Das, C. Vijayakumari - Engineering Mathematics-Pearson Education (2017).pdf
P. Sivaramakrishna Das, C. Vijayakumari - Engineering Mathematics-Pearson Education (2017).pdf
P. Sivaramakrishna Das, C. Vijayakumari - Engineering Mathematics-Pearson Education (2017).pdf
P. Sivaramakrishna Das, C. Vijayakumari - Engineering Mathematics-Pearson Education (2017).pdf
P. Sivaramakrishna Das, C. Vijayakumari - Engineering Mathematics-Pearson Education (2017).pdf
P. Sivaramakrishna Das, C. Vijayakumari - Engineering Mathematics-Pearson Education (2017).pdf
P. Sivaramakrishna Das, C. Vijayakumari - Engineering Mathematics-Pearson Education (2017).pdf
P. Sivaramakrishna Das, C. Vijayakumari - Engineering Mathematics-Pearson Education (2017).pdf
P. Sivaramakrishna Das, C. Vijayakumari - Engineering Mathematics-Pearson Education (2017).pdf
P. Sivaramakrishna Das, C. Vijayakumari - Engineering Mathematics-Pearson Education (2017).pdf
P. Sivaramakrishna Das, C. Vijayakumari - Engineering Mathematics-Pearson Education (2017).pdf
P. Sivaramakrishna Das, C. Vijayakumari - Engineering Mathematics-Pearson Education (2017).pdf
P. Sivaramakrishna Das, C. Vijayakumari - Engineering Mathematics-Pearson Education (2017).pdf
P. Sivaramakrishna Das, C. Vijayakumari - Engineering Mathematics-Pearson Education (2017).pdf
P. Sivaramakrishna Das, C. Vijayakumari - Engineering Mathematics-Pearson Education (2017).pdf
P. Sivaramakrishna Das, C. Vijayakumari - Engineering Mathematics-Pearson Education (2017).pdf
P. Sivaramakrishna Das, C. Vijayakumari - Engineering Mathematics-Pearson Education (2017).pdf
P. Sivaramakrishna Das, C. Vijayakumari - Engineering Mathematics-Pearson Education (2017).pdf
P. Sivaramakrishna Das, C. Vijayakumari - Engineering Mathematics-Pearson Education (2017).pdf
P. Sivaramakrishna Das, C. Vijayakumari - Engineering Mathematics-Pearson Education (2017).pdf
P. Sivaramakrishna Das, C. Vijayakumari - Engineering Mathematics-Pearson Education (2017).pdf
P. Sivaramakrishna Das, C. Vijayakumari - Engineering Mathematics-Pearson Education (2017).pdf
P. Sivaramakrishna Das, C. Vijayakumari - Engineering Mathematics-Pearson Education (2017).pdf
P. Sivaramakrishna Das, C. Vijayakumari - Engineering Mathematics-Pearson Education (2017).pdf
P. Sivaramakrishna Das, C. Vijayakumari - Engineering Mathematics-Pearson Education (2017).pdf
P. Sivaramakrishna Das, C. Vijayakumari - Engineering Mathematics-Pearson Education (2017).pdf
P. Sivaramakrishna Das, C. Vijayakumari - Engineering Mathematics-Pearson Education (2017).pdf
P. Sivaramakrishna Das, C. Vijayakumari - Engineering Mathematics-Pearson Education (2017).pdf
P. Sivaramakrishna Das, C. Vijayakumari - Engineering Mathematics-Pearson Education (2017).pdf
P. Sivaramakrishna Das, C. Vijayakumari - Engineering Mathematics-Pearson Education (2017).pdf
P. Sivaramakrishna Das, C. Vijayakumari - Engineering Mathematics-Pearson Education (2017).pdf
P. Sivaramakrishna Das, C. Vijayakumari - Engineering Mathematics-Pearson Education (2017).pdf
P. Sivaramakrishna Das, C. Vijayakumari - Engineering Mathematics-Pearson Education (2017).pdf
P. Sivaramakrishna Das, C. Vijayakumari - Engineering Mathematics-Pearson Education (2017).pdf
P. Sivaramakrishna Das, C. Vijayakumari - Engineering Mathematics-Pearson Education (2017).pdf
P. Sivaramakrishna Das, C. Vijayakumari - Engineering Mathematics-Pearson Education (2017).pdf
P. Sivaramakrishna Das, C. Vijayakumari - Engineering Mathematics-Pearson Education (2017).pdf
P. Sivaramakrishna Das, C. Vijayakumari - Engineering Mathematics-Pearson Education (2017).pdf
P. Sivaramakrishna Das, C. Vijayakumari - Engineering Mathematics-Pearson Education (2017).pdf
P. Sivaramakrishna Das, C. Vijayakumari - Engineering Mathematics-Pearson Education (2017).pdf
P. Sivaramakrishna Das, C. Vijayakumari - Engineering Mathematics-Pearson Education (2017).pdf
P. Sivaramakrishna Das, C. Vijayakumari - Engineering Mathematics-Pearson Education (2017).pdf
P. Sivaramakrishna Das, C. Vijayakumari - Engineering Mathematics-Pearson Education (2017).pdf
P. Sivaramakrishna Das, C. Vijayakumari - Engineering Mathematics-Pearson Education (2017).pdf
P. Sivaramakrishna Das, C. Vijayakumari - Engineering Mathematics-Pearson Education (2017).pdf
P. Sivaramakrishna Das, C. Vijayakumari - Engineering Mathematics-Pearson Education (2017).pdf
P. Sivaramakrishna Das, C. Vijayakumari - Engineering Mathematics-Pearson Education (2017).pdf
P. Sivaramakrishna Das, C. Vijayakumari - Engineering Mathematics-Pearson Education (2017).pdf
P. Sivaramakrishna Das, C. Vijayakumari - Engineering Mathematics-Pearson Education (2017).pdf
P. Sivaramakrishna Das, C. Vijayakumari - Engineering Mathematics-Pearson Education (2017).pdf
P. Sivaramakrishna Das, C. Vijayakumari - Engineering Mathematics-Pearson Education (2017).pdf
P. Sivaramakrishna Das, C. Vijayakumari - Engineering Mathematics-Pearson Education (2017).pdf
P. Sivaramakrishna Das, C. Vijayakumari - Engineering Mathematics-Pearson Education (2017).pdf
P. Sivaramakrishna Das, C. Vijayakumari - Engineering Mathematics-Pearson Education (2017).pdf
P. Sivaramakrishna Das, C. Vijayakumari - Engineering Mathematics-Pearson Education (2017).pdf
P. Sivaramakrishna Das, C. Vijayakumari - Engineering Mathematics-Pearson Education (2017).pdf
P. Sivaramakrishna Das, C. Vijayakumari - Engineering Mathematics-Pearson Education (2017).pdf
P. Sivaramakrishna Das, C. Vijayakumari - Engineering Mathematics-Pearson Education (2017).pdf
P. Sivaramakrishna Das, C. Vijayakumari - Engineering Mathematics-Pearson Education (2017).pdf
P. Sivaramakrishna Das, C. Vijayakumari - Engineering Mathematics-Pearson Education (2017).pdf
P. Sivaramakrishna Das, C. Vijayakumari - Engineering Mathematics-Pearson Education (2017).pdf
P. Sivaramakrishna Das, C. Vijayakumari - Engineering Mathematics-Pearson Education (2017).pdf
P. Sivaramakrishna Das, C. Vijayakumari - Engineering Mathematics-Pearson Education (2017).pdf
P. Sivaramakrishna Das, C. Vijayakumari - Engineering Mathematics-Pearson Education (2017).pdf
P. Sivaramakrishna Das, C. Vijayakumari - Engineering Mathematics-Pearson Education (2017).pdf
P. Sivaramakrishna Das, C. Vijayakumari - Engineering Mathematics-Pearson Education (2017).pdf
P. Sivaramakrishna Das, C. Vijayakumari - Engineering Mathematics-Pearson Education (2017).pdf
P. Sivaramakrishna Das, C. Vijayakumari - Engineering Mathematics-Pearson Education (2017).pdf
P. Sivaramakrishna Das, C. Vijayakumari - Engineering Mathematics-Pearson Education (2017).pdf
P. Sivaramakrishna Das, C. Vijayakumari - Engineering Mathematics-Pearson Education (2017).pdf
P. Sivaramakrishna Das, C. Vijayakumari - Engineering Mathematics-Pearson Education (2017).pdf
P. Sivaramakrishna Das, C. Vijayakumari - Engineering Mathematics-Pearson Education (2017).pdf
P. Sivaramakrishna Das, C. Vijayakumari - Engineering Mathematics-Pearson Education (2017).pdf
P. Sivaramakrishna Das, C. Vijayakumari - Engineering Mathematics-Pearson Education (2017).pdf
P. Sivaramakrishna Das, C. Vijayakumari - Engineering Mathematics-Pearson Education (2017).pdf
P. Sivaramakrishna Das, C. Vijayakumari - Engineering Mathematics-Pearson Education (2017).pdf
P. Sivaramakrishna Das, C. Vijayakumari - Engineering Mathematics-Pearson Education (2017).pdf
P. Sivaramakrishna Das, C. Vijayakumari - Engineering Mathematics-Pearson Education (2017).pdf
P. Sivaramakrishna Das, C. Vijayakumari - Engineering Mathematics-Pearson Education (2017).pdf
P. Sivaramakrishna Das, C. Vijayakumari - Engineering Mathematics-Pearson Education (2017).pdf
P. Sivaramakrishna Das, C. Vijayakumari - Engineering Mathematics-Pearson Education (2017).pdf
P. Sivaramakrishna Das, C. Vijayakumari - Engineering Mathematics-Pearson Education (2017).pdf
P. Sivaramakrishna Das, C. Vijayakumari - Engineering Mathematics-Pearson Education (2017).pdf
P. Sivaramakrishna Das, C. Vijayakumari - Engineering Mathematics-Pearson Education (2017).pdf
P. Sivaramakrishna Das, C. Vijayakumari - Engineering Mathematics-Pearson Education (2017).pdf
P. Sivaramakrishna Das, C. Vijayakumari - Engineering Mathematics-Pearson Education (2017).pdf
P. Sivaramakrishna Das, C. Vijayakumari - Engineering Mathematics-Pearson Education (2017).pdf
P. Sivaramakrishna Das, C. Vijayakumari - Engineering Mathematics-Pearson Education (2017).pdf
P. Sivaramakrishna Das, C. Vijayakumari - Engineering Mathematics-Pearson Education (2017).pdf
P. Sivaramakrishna Das, C. Vijayakumari - Engineering Mathematics-Pearson Education (2017).pdf
P. Sivaramakrishna Das, C. Vijayakumari - Engineering Mathematics-Pearson Education (2017).pdf
P. Sivaramakrishna Das, C. Vijayakumari - Engineering Mathematics-Pearson Education (2017).pdf
P. Sivaramakrishna Das, C. Vijayakumari - Engineering Mathematics-Pearson Education (2017).pdf
P. Sivaramakrishna Das, C. Vijayakumari - Engineering Mathematics-Pearson Education (2017).pdf
P. Sivaramakrishna Das, C. Vijayakumari - Engineering Mathematics-Pearson Education (2017).pdf
P. Sivaramakrishna Das, C. Vijayakumari - Engineering Mathematics-Pearson Education (2017).pdf
P. Sivaramakrishna Das, C. Vijayakumari - Engineering Mathematics-Pearson Education (2017).pdf
P. Sivaramakrishna Das, C. Vijayakumari - Engineering Mathematics-Pearson Education (2017).pdf
P. Sivaramakrishna Das, C. Vijayakumari - Engineering Mathematics-Pearson Education (2017).pdf
P. Sivaramakrishna Das, C. Vijayakumari - Engineering Mathematics-Pearson Education (2017).pdf
P. Sivaramakrishna Das, C. Vijayakumari - Engineering Mathematics-Pearson Education (2017).pdf
P. Sivaramakrishna Das, C. Vijayakumari - Engineering Mathematics-Pearson Education (2017).pdf
P. Sivaramakrishna Das, C. Vijayakumari - Engineering Mathematics-Pearson Education (2017).pdf
P. Sivaramakrishna Das, C. Vijayakumari - Engineering Mathematics-Pearson Education (2017).pdf
P. Sivaramakrishna Das, C. Vijayakumari - Engineering Mathematics-Pearson Education (2017).pdf
P. Sivaramakrishna Das, C. Vijayakumari - Engineering Mathematics-Pearson Education (2017).pdf
P. Sivaramakrishna Das, C. Vijayakumari - Engineering Mathematics-Pearson Education (2017).pdf
P. Sivaramakrishna Das, C. Vijayakumari - Engineering Mathematics-Pearson Education (2017).pdf
P. Sivaramakrishna Das, C. Vijayakumari - Engineering Mathematics-Pearson Education (2017).pdf
P. Sivaramakrishna Das, C. Vijayakumari - Engineering Mathematics-Pearson Education (2017).pdf
P. Sivaramakrishna Das, C. Vijayakumari - Engineering Mathematics-Pearson Education (2017).pdf
P. Sivaramakrishna Das, C. Vijayakumari - Engineering Mathematics-Pearson Education (2017).pdf
P. Sivaramakrishna Das, C. Vijayakumari - Engineering Mathematics-Pearson Education (2017).pdf
P. Sivaramakrishna Das, C. Vijayakumari - Engineering Mathematics-Pearson Education (2017).pdf
P. Sivaramakrishna Das, C. Vijayakumari - Engineering Mathematics-Pearson Education (2017).pdf
P. Sivaramakrishna Das, C. Vijayakumari - Engineering Mathematics-Pearson Education (2017).pdf
P. Sivaramakrishna Das, C. Vijayakumari - Engineering Mathematics-Pearson Education (2017).pdf
P. Sivaramakrishna Das, C. Vijayakumari - Engineering Mathematics-Pearson Education (2017).pdf
P. Sivaramakrishna Das, C. Vijayakumari - Engineering Mathematics-Pearson Education (2017).pdf
P. Sivaramakrishna Das, C. Vijayakumari - Engineering Mathematics-Pearson Education (2017).pdf
P. Sivaramakrishna Das, C. Vijayakumari - Engineering Mathematics-Pearson Education (2017).pdf
P. Sivaramakrishna Das, C. Vijayakumari - Engineering Mathematics-Pearson Education (2017).pdf
P. Sivaramakrishna Das, C. Vijayakumari - Engineering Mathematics-Pearson Education (2017).pdf
P. Sivaramakrishna Das, C. Vijayakumari - Engineering Mathematics-Pearson Education (2017).pdf
P. Sivaramakrishna Das, C. Vijayakumari - Engineering Mathematics-Pearson Education (2017).pdf
P. Sivaramakrishna Das, C. Vijayakumari - Engineering Mathematics-Pearson Education (2017).pdf
P. Sivaramakrishna Das, C. Vijayakumari - Engineering Mathematics-Pearson Education (2017).pdf
P. Sivaramakrishna Das, C. Vijayakumari - Engineering Mathematics-Pearson Education (2017).pdf
P. Sivaramakrishna Das, C. Vijayakumari - Engineering Mathematics-Pearson Education (2017).pdf
P. Sivaramakrishna Das, C. Vijayakumari - Engineering Mathematics-Pearson Education (2017).pdf
P. Sivaramakrishna Das, C. Vijayakumari - Engineering Mathematics-Pearson Education (2017).pdf
P. Sivaramakrishna Das, C. Vijayakumari - Engineering Mathematics-Pearson Education (2017).pdf
P. Sivaramakrishna Das, C. Vijayakumari - Engineering Mathematics-Pearson Education (2017).pdf
P. Sivaramakrishna Das, C. Vijayakumari - Engineering Mathematics-Pearson Education (2017).pdf
P. Sivaramakrishna Das, C. Vijayakumari - Engineering Mathematics-Pearson Education (2017).pdf
P. Sivaramakrishna Das, C. Vijayakumari - Engineering Mathematics-Pearson Education (2017).pdf
P. Sivaramakrishna Das, C. Vijayakumari - Engineering Mathematics-Pearson Education (2017).pdf
P. Sivaramakrishna Das, C. Vijayakumari - Engineering Mathematics-Pearson Education (2017).pdf
P. Sivaramakrishna Das, C. Vijayakumari - Engineering Mathematics-Pearson Education (2017).pdf
P. Sivaramakrishna Das, C. Vijayakumari - Engineering Mathematics-Pearson Education (2017).pdf
P. Sivaramakrishna Das, C. Vijayakumari - Engineering Mathematics-Pearson Education (2017).pdf
P. Sivaramakrishna Das, C. Vijayakumari - Engineering Mathematics-Pearson Education (2017).pdf
P. Sivaramakrishna Das, C. Vijayakumari - Engineering Mathematics-Pearson Education (2017).pdf
P. Sivaramakrishna Das, C. Vijayakumari - Engineering Mathematics-Pearson Education (2017).pdf
P. Sivaramakrishna Das, C. Vijayakumari - Engineering Mathematics-Pearson Education (2017).pdf
P. Sivaramakrishna Das, C. Vijayakumari - Engineering Mathematics-Pearson Education (2017).pdf
P. Sivaramakrishna Das, C. Vijayakumari - Engineering Mathematics-Pearson Education (2017).pdf
P. Sivaramakrishna Das, C. Vijayakumari - Engineering Mathematics-Pearson Education (2017).pdf
P. Sivaramakrishna Das, C. Vijayakumari - Engineering Mathematics-Pearson Education (2017).pdf
P. Sivaramakrishna Das, C. Vijayakumari - Engineering Mathematics-Pearson Education (2017).pdf
P. Sivaramakrishna Das, C. Vijayakumari - Engineering Mathematics-Pearson Education (2017).pdf
P. Sivaramakrishna Das, C. Vijayakumari - Engineering Mathematics-Pearson Education (2017).pdf
P. Sivaramakrishna Das, C. Vijayakumari - Engineering Mathematics-Pearson Education (2017).pdf
P. Sivaramakrishna Das, C. Vijayakumari - Engineering Mathematics-Pearson Education (2017).pdf
P. Sivaramakrishna Das, C. Vijayakumari - Engineering Mathematics-Pearson Education (2017).pdf
P. Sivaramakrishna Das, C. Vijayakumari - Engineering Mathematics-Pearson Education (2017).pdf
P. Sivaramakrishna Das, C. Vijayakumari - Engineering Mathematics-Pearson Education (2017).pdf
P. Sivaramakrishna Das, C. Vijayakumari - Engineering Mathematics-Pearson Education (2017).pdf
P. Sivaramakrishna Das, C. Vijayakumari - Engineering Mathematics-Pearson Education (2017).pdf
P. Sivaramakrishna Das, C. Vijayakumari - Engineering Mathematics-Pearson Education (2017).pdf
P. Sivaramakrishna Das, C. Vijayakumari - Engineering Mathematics-Pearson Education (2017).pdf
P. Sivaramakrishna Das, C. Vijayakumari - Engineering Mathematics-Pearson Education (2017).pdf
P. Sivaramakrishna Das, C. Vijayakumari - Engineering Mathematics-Pearson Education (2017).pdf
P. Sivaramakrishna Das, C. Vijayakumari - Engineering Mathematics-Pearson Education (2017).pdf
P. Sivaramakrishna Das, C. Vijayakumari - Engineering Mathematics-Pearson Education (2017).pdf
P. Sivaramakrishna Das, C. Vijayakumari - Engineering Mathematics-Pearson Education (2017).pdf
P. Sivaramakrishna Das, C. Vijayakumari - Engineering Mathematics-Pearson Education (2017).pdf
P. Sivaramakrishna Das, C. Vijayakumari - Engineering Mathematics-Pearson Education (2017).pdf
P. Sivaramakrishna Das, C. Vijayakumari - Engineering Mathematics-Pearson Education (2017).pdf
P. Sivaramakrishna Das, C. Vijayakumari - Engineering Mathematics-Pearson Education (2017).pdf
P. Sivaramakrishna Das, C. Vijayakumari - Engineering Mathematics-Pearson Education (2017).pdf
P. Sivaramakrishna Das, C. Vijayakumari - Engineering Mathematics-Pearson Education (2017).pdf
P. Sivaramakrishna Das, C. Vijayakumari - Engineering Mathematics-Pearson Education (2017).pdf
P. Sivaramakrishna Das, C. Vijayakumari - Engineering Mathematics-Pearson Education (2017).pdf
P. Sivaramakrishna Das, C. Vijayakumari - Engineering Mathematics-Pearson Education (2017).pdf
P. Sivaramakrishna Das, C. Vijayakumari - Engineering Mathematics-Pearson Education (2017).pdf
P. Sivaramakrishna Das, C. Vijayakumari - Engineering Mathematics-Pearson Education (2017).pdf
P. Sivaramakrishna Das, C. Vijayakumari - Engineering Mathematics-Pearson Education (2017).pdf
P. Sivaramakrishna Das, C. Vijayakumari - Engineering Mathematics-Pearson Education (2017).pdf
P. Sivaramakrishna Das, C. Vijayakumari - Engineering Mathematics-Pearson Education (2017).pdf
P. Sivaramakrishna Das, C. Vijayakumari - Engineering Mathematics-Pearson Education (2017).pdf
P. Sivaramakrishna Das, C. Vijayakumari - Engineering Mathematics-Pearson Education (2017).pdf
P. Sivaramakrishna Das, C. Vijayakumari - Engineering Mathematics-Pearson Education (2017).pdf
P. Sivaramakrishna Das, C. Vijayakumari - Engineering Mathematics-Pearson Education (2017).pdf
P. Sivaramakrishna Das, C. Vijayakumari - Engineering Mathematics-Pearson Education (2017).pdf
P. Sivaramakrishna Das, C. Vijayakumari - Engineering Mathematics-Pearson Education (2017).pdf
P. Sivaramakrishna Das, C. Vijayakumari - Engineering Mathematics-Pearson Education (2017).pdf
P. Sivaramakrishna Das, C. Vijayakumari - Engineering Mathematics-Pearson Education (2017).pdf
P. Sivaramakrishna Das, C. Vijayakumari - Engineering Mathematics-Pearson Education (2017).pdf
P. Sivaramakrishna Das, C. Vijayakumari - Engineering Mathematics-Pearson Education (2017).pdf
P. Sivaramakrishna Das, C. Vijayakumari - Engineering Mathematics-Pearson Education (2017).pdf
P. Sivaramakrishna Das, C. Vijayakumari - Engineering Mathematics-Pearson Education (2017).pdf
P. Sivaramakrishna Das, C. Vijayakumari - Engineering Mathematics-Pearson Education (2017).pdf
P. Sivaramakrishna Das, C. Vijayakumari - Engineering Mathematics-Pearson Education (2017).pdf
P. Sivaramakrishna Das, C. Vijayakumari - Engineering Mathematics-Pearson Education (2017).pdf
P. Sivaramakrishna Das, C. Vijayakumari - Engineering Mathematics-Pearson Education (2017).pdf
P. Sivaramakrishna Das, C. Vijayakumari - Engineering Mathematics-Pearson Education (2017).pdf
P. Sivaramakrishna Das, C. Vijayakumari - Engineering Mathematics-Pearson Education (2017).pdf
P. Sivaramakrishna Das, C. Vijayakumari - Engineering Mathematics-Pearson Education (2017).pdf
P. Sivaramakrishna Das, C. Vijayakumari - Engineering Mathematics-Pearson Education (2017).pdf
P. Sivaramakrishna Das, C. Vijayakumari - Engineering Mathematics-Pearson Education (2017).pdf
P. Sivaramakrishna Das, C. Vijayakumari - Engineering Mathematics-Pearson Education (2017).pdf
P. Sivaramakrishna Das, C. Vijayakumari - Engineering Mathematics-Pearson Education (2017).pdf
P. Sivaramakrishna Das, C. Vijayakumari - Engineering Mathematics-Pearson Education (2017).pdf
P. Sivaramakrishna Das, C. Vijayakumari - Engineering Mathematics-Pearson Education (2017).pdf
P. Sivaramakrishna Das, C. Vijayakumari - Engineering Mathematics-Pearson Education (2017).pdf
P. Sivaramakrishna Das, C. Vijayakumari - Engineering Mathematics-Pearson Education (2017).pdf
P. Sivaramakrishna Das, C. Vijayakumari - Engineering Mathematics-Pearson Education (2017).pdf
P. Sivaramakrishna Das, C. Vijayakumari - Engineering Mathematics-Pearson Education (2017).pdf
P. Sivaramakrishna Das, C. Vijayakumari - Engineering Mathematics-Pearson Education (2017).pdf
P. Sivaramakrishna Das, C. Vijayakumari - Engineering Mathematics-Pearson Education (2017).pdf
P. Sivaramakrishna Das, C. Vijayakumari - Engineering Mathematics-Pearson Education (2017).pdf
P. Sivaramakrishna Das, C. Vijayakumari - Engineering Mathematics-Pearson Education (2017).pdf
P. Sivaramakrishna Das, C. Vijayakumari - Engineering Mathematics-Pearson Education (2017).pdf
P. Sivaramakrishna Das, C. Vijayakumari - Engineering Mathematics-Pearson Education (2017).pdf
P. Sivaramakrishna Das, C. Vijayakumari - Engineering Mathematics-Pearson Education (2017).pdf
P. Sivaramakrishna Das, C. Vijayakumari - Engineering Mathematics-Pearson Education (2017).pdf
P. Sivaramakrishna Das, C. Vijayakumari - Engineering Mathematics-Pearson Education (2017).pdf
P. Sivaramakrishna Das, C. Vijayakumari - Engineering Mathematics-Pearson Education (2017).pdf
P. Sivaramakrishna Das, C. Vijayakumari - Engineering Mathematics-Pearson Education (2017).pdf
P. Sivaramakrishna Das, C. Vijayakumari - Engineering Mathematics-Pearson Education (2017).pdf
P. Sivaramakrishna Das, C. Vijayakumari - Engineering Mathematics-Pearson Education (2017).pdf
P. Sivaramakrishna Das, C. Vijayakumari - Engineering Mathematics-Pearson Education (2017).pdf
P. Sivaramakrishna Das, C. Vijayakumari - Engineering Mathematics-Pearson Education (2017).pdf
P. Sivaramakrishna Das, C. Vijayakumari - Engineering Mathematics-Pearson Education (2017).pdf
P. Sivaramakrishna Das, C. Vijayakumari - Engineering Mathematics-Pearson Education (2017).pdf
P. Sivaramakrishna Das, C. Vijayakumari - Engineering Mathematics-Pearson Education (2017).pdf
P. Sivaramakrishna Das, C. Vijayakumari - Engineering Mathematics-Pearson Education (2017).pdf
P. Sivaramakrishna Das, C. Vijayakumari - Engineering Mathematics-Pearson Education (2017).pdf
P. Sivaramakrishna Das, C. Vijayakumari - Engineering Mathematics-Pearson Education (2017).pdf
P. Sivaramakrishna Das, C. Vijayakumari - Engineering Mathematics-Pearson Education (2017).pdf
P. Sivaramakrishna Das, C. Vijayakumari - Engineering Mathematics-Pearson Education (2017).pdf
P. Sivaramakrishna Das, C. Vijayakumari - Engineering Mathematics-Pearson Education (2017).pdf
P. Sivaramakrishna Das, C. Vijayakumari - Engineering Mathematics-Pearson Education (2017).pdf
P. Sivaramakrishna Das, C. Vijayakumari - Engineering Mathematics-Pearson Education (2017).pdf
P. Sivaramakrishna Das, C. Vijayakumari - Engineering Mathematics-Pearson Education (2017).pdf
P. Sivaramakrishna Das, C. Vijayakumari - Engineering Mathematics-Pearson Education (2017).pdf
P. Sivaramakrishna Das, C. Vijayakumari - Engineering Mathematics-Pearson Education (2017).pdf
P. Sivaramakrishna Das, C. Vijayakumari - Engineering Mathematics-Pearson Education (2017).pdf
P. Sivaramakrishna Das, C. Vijayakumari - Engineering Mathematics-Pearson Education (2017).pdf
P. Sivaramakrishna Das, C. Vijayakumari - Engineering Mathematics-Pearson Education (2017).pdf
P. Sivaramakrishna Das, C. Vijayakumari - Engineering Mathematics-Pearson Education (2017).pdf
P. Sivaramakrishna Das, C. Vijayakumari - Engineering Mathematics-Pearson Education (2017).pdf
P. Sivaramakrishna Das, C. Vijayakumari - Engineering Mathematics-Pearson Education (2017).pdf
P. Sivaramakrishna Das, C. Vijayakumari - Engineering Mathematics-Pearson Education (2017).pdf
P. Sivaramakrishna Das, C. Vijayakumari - Engineering Mathematics-Pearson Education (2017).pdf
P. Sivaramakrishna Das, C. Vijayakumari - Engineering Mathematics-Pearson Education (2017).pdf
P. Sivaramakrishna Das, C. Vijayakumari - Engineering Mathematics-Pearson Education (2017).pdf
P. Sivaramakrishna Das, C. Vijayakumari - Engineering Mathematics-Pearson Education (2017).pdf
P. Sivaramakrishna Das, C. Vijayakumari - Engineering Mathematics-Pearson Education (2017).pdf
P. Sivaramakrishna Das, C. Vijayakumari - Engineering Mathematics-Pearson Education (2017).pdf
P. Sivaramakrishna Das, C. Vijayakumari - Engineering Mathematics-Pearson Education (2017).pdf
P. Sivaramakrishna Das, C. Vijayakumari - Engineering Mathematics-Pearson Education (2017).pdf
P. Sivaramakrishna Das, C. Vijayakumari - Engineering Mathematics-Pearson Education (2017).pdf
P. Sivaramakrishna Das, C. Vijayakumari - Engineering Mathematics-Pearson Education (2017).pdf
P. Sivaramakrishna Das, C. Vijayakumari - Engineering Mathematics-Pearson Education (2017).pdf
P. Sivaramakrishna Das, C. Vijayakumari - Engineering Mathematics-Pearson Education (2017).pdf
P. Sivaramakrishna Das, C. Vijayakumari - Engineering Mathematics-Pearson Education (2017).pdf
P. Sivaramakrishna Das, C. Vijayakumari - Engineering Mathematics-Pearson Education (2017).pdf
P. Sivaramakrishna Das, C. Vijayakumari - Engineering Mathematics-Pearson Education (2017).pdf
P. Sivaramakrishna Das, C. Vijayakumari - Engineering Mathematics-Pearson Education (2017).pdf
P. Sivaramakrishna Das, C. Vijayakumari - Engineering Mathematics-Pearson Education (2017).pdf
P. Sivaramakrishna Das, C. Vijayakumari - Engineering Mathematics-Pearson Education (2017).pdf
P. Sivaramakrishna Das, C. Vijayakumari - Engineering Mathematics-Pearson Education (2017).pdf
P. Sivaramakrishna Das, C. Vijayakumari - Engineering Mathematics-Pearson Education (2017).pdf
P. Sivaramakrishna Das, C. Vijayakumari - Engineering Mathematics-Pearson Education (2017).pdf
P. Sivaramakrishna Das, C. Vijayakumari - Engineering Mathematics-Pearson Education (2017).pdf
P. Sivaramakrishna Das, C. Vijayakumari - Engineering Mathematics-Pearson Education (2017).pdf
P. Sivaramakrishna Das, C. Vijayakumari - Engineering Mathematics-Pearson Education (2017).pdf
P. Sivaramakrishna Das, C. Vijayakumari - Engineering Mathematics-Pearson Education (2017).pdf
P. Sivaramakrishna Das, C. Vijayakumari - Engineering Mathematics-Pearson Education (2017).pdf
P. Sivaramakrishna Das, C. Vijayakumari - Engineering Mathematics-Pearson Education (2017).pdf
P. Sivaramakrishna Das, C. Vijayakumari - Engineering Mathematics-Pearson Education (2017).pdf
P. Sivaramakrishna Das, C. Vijayakumari - Engineering Mathematics-Pearson Education (2017).pdf
P. Sivaramakrishna Das, C. Vijayakumari - Engineering Mathematics-Pearson Education (2017).pdf
P. Sivaramakrishna Das, C. Vijayakumari - Engineering Mathematics-Pearson Education (2017).pdf
P. Sivaramakrishna Das, C. Vijayakumari - Engineering Mathematics-Pearson Education (2017).pdf
P. Sivaramakrishna Das, C. Vijayakumari - Engineering Mathematics-Pearson Education (2017).pdf
P. Sivaramakrishna Das, C. Vijayakumari - Engineering Mathematics-Pearson Education (2017).pdf
P. Sivaramakrishna Das, C. Vijayakumari - Engineering Mathematics-Pearson Education (2017).pdf
P. Sivaramakrishna Das, C. Vijayakumari - Engineering Mathematics-Pearson Education (2017).pdf
P. Sivaramakrishna Das, C. Vijayakumari - Engineering Mathematics-Pearson Education (2017).pdf
P. Sivaramakrishna Das, C. Vijayakumari - Engineering Mathematics-Pearson Education (2017).pdf
P. Sivaramakrishna Das, C. Vijayakumari - Engineering Mathematics-Pearson Education (2017).pdf
P. Sivaramakrishna Das, C. Vijayakumari - Engineering Mathematics-Pearson Education (2017).pdf
P. Sivaramakrishna Das, C. Vijayakumari - Engineering Mathematics-Pearson Education (2017).pdf
P. Sivaramakrishna Das, C. Vijayakumari - Engineering Mathematics-Pearson Education (2017).pdf
P. Sivaramakrishna Das, C. Vijayakumari - Engineering Mathematics-Pearson Education (2017).pdf
P. Sivaramakrishna Das, C. Vijayakumari - Engineering Mathematics-Pearson Education (2017).pdf
P. Sivaramakrishna Das, C. Vijayakumari - Engineering Mathematics-Pearson Education (2017).pdf
P. Sivaramakrishna Das, C. Vijayakumari - Engineering Mathematics-Pearson Education (2017).pdf
P. Sivaramakrishna Das, C. Vijayakumari - Engineering Mathematics-Pearson Education (2017).pdf
P. Sivaramakrishna Das, C. Vijayakumari - Engineering Mathematics-Pearson Education (2017).pdf
P. Sivaramakrishna Das, C. Vijayakumari - Engineering Mathematics-Pearson Education (2017).pdf
P. Sivaramakrishna Das, C. Vijayakumari - Engineering Mathematics-Pearson Education (2017).pdf
P. Sivaramakrishna Das, C. Vijayakumari - Engineering Mathematics-Pearson Education (2017).pdf
P. Sivaramakrishna Das, C. Vijayakumari - Engineering Mathematics-Pearson Education (2017).pdf
P. Sivaramakrishna Das, C. Vijayakumari - Engineering Mathematics-Pearson Education (2017).pdf
P. Sivaramakrishna Das, C. Vijayakumari - Engineering Mathematics-Pearson Education (2017).pdf
P. Sivaramakrishna Das, C. Vijayakumari - Engineering Mathematics-Pearson Education (2017).pdf
P. Sivaramakrishna Das, C. Vijayakumari - Engineering Mathematics-Pearson Education (2017).pdf
P. Sivaramakrishna Das, C. Vijayakumari - Engineering Mathematics-Pearson Education (2017).pdf
P. Sivaramakrishna Das, C. Vijayakumari - Engineering Mathematics-Pearson Education (2017).pdf
P. Sivaramakrishna Das, C. Vijayakumari - Engineering Mathematics-Pearson Education (2017).pdf
P. Sivaramakrishna Das, C. Vijayakumari - Engineering Mathematics-Pearson Education (2017).pdf
P. Sivaramakrishna Das, C. Vijayakumari - Engineering Mathematics-Pearson Education (2017).pdf
P. Sivaramakrishna Das, C. Vijayakumari - Engineering Mathematics-Pearson Education (2017).pdf
P. Sivaramakrishna Das, C. Vijayakumari - Engineering Mathematics-Pearson Education (2017).pdf
P. Sivaramakrishna Das, C. Vijayakumari - Engineering Mathematics-Pearson Education (2017).pdf
P. Sivaramakrishna Das, C. Vijayakumari - Engineering Mathematics-Pearson Education (2017).pdf
P. Sivaramakrishna Das, C. Vijayakumari - Engineering Mathematics-Pearson Education (2017).pdf
P. Sivaramakrishna Das, C. Vijayakumari - Engineering Mathematics-Pearson Education (2017).pdf
P. Sivaramakrishna Das, C. Vijayakumari - Engineering Mathematics-Pearson Education (2017).pdf
P. Sivaramakrishna Das, C. Vijayakumari - Engineering Mathematics-Pearson Education (2017).pdf
P. Sivaramakrishna Das, C. Vijayakumari - Engineering Mathematics-Pearson Education (2017).pdf
P. Sivaramakrishna Das, C. Vijayakumari - Engineering Mathematics-Pearson Education (2017).pdf
P. Sivaramakrishna Das, C. Vijayakumari - Engineering Mathematics-Pearson Education (2017).pdf
P. Sivaramakrishna Das, C. Vijayakumari - Engineering Mathematics-Pearson Education (2017).pdf
P. Sivaramakrishna Das, C. Vijayakumari - Engineering Mathematics-Pearson Education (2017).pdf
P. Sivaramakrishna Das, C. Vijayakumari - Engineering Mathematics-Pearson Education (2017).pdf
P. Sivaramakrishna Das, C. Vijayakumari - Engineering Mathematics-Pearson Education (2017).pdf
P. Sivaramakrishna Das, C. Vijayakumari - Engineering Mathematics-Pearson Education (2017).pdf
P. Sivaramakrishna Das, C. Vijayakumari - Engineering Mathematics-Pearson Education (2017).pdf
P. Sivaramakrishna Das, C. Vijayakumari - Engineering Mathematics-Pearson Education (2017).pdf
P. Sivaramakrishna Das, C. Vijayakumari - Engineering Mathematics-Pearson Education (2017).pdf
P. Sivaramakrishna Das, C. Vijayakumari - Engineering Mathematics-Pearson Education (2017).pdf
P. Sivaramakrishna Das, C. Vijayakumari - Engineering Mathematics-Pearson Education (2017).pdf
P. Sivaramakrishna Das, C. Vijayakumari - Engineering Mathematics-Pearson Education (2017).pdf
P. Sivaramakrishna Das, C. Vijayakumari - Engineering Mathematics-Pearson Education (2017).pdf
P. Sivaramakrishna Das, C. Vijayakumari - Engineering Mathematics-Pearson Education (2017).pdf
P. Sivaramakrishna Das, C. Vijayakumari - Engineering Mathematics-Pearson Education (2017).pdf
P. Sivaramakrishna Das, C. Vijayakumari - Engineering Mathematics-Pearson Education (2017).pdf
P. Sivaramakrishna Das, C. Vijayakumari - Engineering Mathematics-Pearson Education (2017).pdf
P. Sivaramakrishna Das, C. Vijayakumari - Engineering Mathematics-Pearson Education (2017).pdf
P. Sivaramakrishna Das, C. Vijayakumari - Engineering Mathematics-Pearson Education (2017).pdf
P. Sivaramakrishna Das, C. Vijayakumari - Engineering Mathematics-Pearson Education (2017).pdf
P. Sivaramakrishna Das, C. Vijayakumari - Engineering Mathematics-Pearson Education (2017).pdf
P. Sivaramakrishna Das, C. Vijayakumari - Engineering Mathematics-Pearson Education (2017).pdf
P. Sivaramakrishna Das, C. Vijayakumari - Engineering Mathematics-Pearson Education (2017).pdf
P. Sivaramakrishna Das, C. Vijayakumari - Engineering Mathematics-Pearson Education (2017).pdf
P. Sivaramakrishna Das, C. Vijayakumari - Engineering Mathematics-Pearson Education (2017).pdf
P. Sivaramakrishna Das, C. Vijayakumari - Engineering Mathematics-Pearson Education (2017).pdf
P. Sivaramakrishna Das, C. Vijayakumari - Engineering Mathematics-Pearson Education (2017).pdf
P. Sivaramakrishna Das, C. Vijayakumari - Engineering Mathematics-Pearson Education (2017).pdf
P. Sivaramakrishna Das, C. Vijayakumari - Engineering Mathematics-Pearson Education (2017).pdf
P. Sivaramakrishna Das, C. Vijayakumari - Engineering Mathematics-Pearson Education (2017).pdf
P. Sivaramakrishna Das, C. Vijayakumari - Engineering Mathematics-Pearson Education (2017).pdf
P. Sivaramakrishna Das, C. Vijayakumari - Engineering Mathematics-Pearson Education (2017).pdf
P. Sivaramakrishna Das, C. Vijayakumari - Engineering Mathematics-Pearson Education (2017).pdf
P. Sivaramakrishna Das, C. Vijayakumari - Engineering Mathematics-Pearson Education (2017).pdf
P. Sivaramakrishna Das, C. Vijayakumari - Engineering Mathematics-Pearson Education (2017).pdf
P. Sivaramakrishna Das, C. Vijayakumari - Engineering Mathematics-Pearson Education (2017).pdf
P. Sivaramakrishna Das, C. Vijayakumari - Engineering Mathematics-Pearson Education (2017).pdf
P. Sivaramakrishna Das, C. Vijayakumari - Engineering Mathematics-Pearson Education (2017).pdf
P. Sivaramakrishna Das, C. Vijayakumari - Engineering Mathematics-Pearson Education (2017).pdf
P. Sivaramakrishna Das, C. Vijayakumari - Engineering Mathematics-Pearson Education (2017).pdf
P. Sivaramakrishna Das, C. Vijayakumari - Engineering Mathematics-Pearson Education (2017).pdf
P. Sivaramakrishna Das, C. Vijayakumari - Engineering Mathematics-Pearson Education (2017).pdf
P. Sivaramakrishna Das, C. Vijayakumari - Engineering Mathematics-Pearson Education (2017).pdf
P. Sivaramakrishna Das, C. Vijayakumari - Engineering Mathematics-Pearson Education (2017).pdf
P. Sivaramakrishna Das, C. Vijayakumari - Engineering Mathematics-Pearson Education (2017).pdf
P. Sivaramakrishna Das, C. Vijayakumari - Engineering Mathematics-Pearson Education (2017).pdf
P. Sivaramakrishna Das, C. Vijayakumari - Engineering Mathematics-Pearson Education (2017).pdf
P. Sivaramakrishna Das, C. Vijayakumari - Engineering Mathematics-Pearson Education (2017).pdf
P. Sivaramakrishna Das, C. Vijayakumari - Engineering Mathematics-Pearson Education (2017).pdf
P. Sivaramakrishna Das, C. Vijayakumari - Engineering Mathematics-Pearson Education (2017).pdf
P. Sivaramakrishna Das, C. Vijayakumari - Engineering Mathematics-Pearson Education (2017).pdf
P. Sivaramakrishna Das, C. Vijayakumari - Engineering Mathematics-Pearson Education (2017).pdf
P. Sivaramakrishna Das, C. Vijayakumari - Engineering Mathematics-Pearson Education (2017).pdf
P. Sivaramakrishna Das, C. Vijayakumari - Engineering Mathematics-Pearson Education (2017).pdf
P. Sivaramakrishna Das, C. Vijayakumari - Engineering Mathematics-Pearson Education (2017).pdf
P. Sivaramakrishna Das, C. Vijayakumari - Engineering Mathematics-Pearson Education (2017).pdf
P. Sivaramakrishna Das, C. Vijayakumari - Engineering Mathematics-Pearson Education (2017).pdf
P. Sivaramakrishna Das, C. Vijayakumari - Engineering Mathematics-Pearson Education (2017).pdf
P. Sivaramakrishna Das, C. Vijayakumari - Engineering Mathematics-Pearson Education (2017).pdf
P. Sivaramakrishna Das, C. Vijayakumari - Engineering Mathematics-Pearson Education (2017).pdf
P. Sivaramakrishna Das, C. Vijayakumari - Engineering Mathematics-Pearson Education (2017).pdf
P. Sivaramakrishna Das, C. Vijayakumari - Engineering Mathematics-Pearson Education (2017).pdf
P. Sivaramakrishna Das, C. Vijayakumari - Engineering Mathematics-Pearson Education (2017).pdf
P. Sivaramakrishna Das, C. Vijayakumari - Engineering Mathematics-Pearson Education (2017).pdf
P. Sivaramakrishna Das, C. Vijayakumari - Engineering Mathematics-Pearson Education (2017).pdf
P. Sivaramakrishna Das, C. Vijayakumari - Engineering Mathematics-Pearson Education (2017).pdf
P. Sivaramakrishna Das, C. Vijayakumari - Engineering Mathematics-Pearson Education (2017).pdf
P. Sivaramakrishna Das, C. Vijayakumari - Engineering Mathematics-Pearson Education (2017).pdf
P. Sivaramakrishna Das, C. Vijayakumari - Engineering Mathematics-Pearson Education (2017).pdf
P. Sivaramakrishna Das, C. Vijayakumari - Engineering Mathematics-Pearson Education (2017).pdf
P. Sivaramakrishna Das, C. Vijayakumari - Engineering Mathematics-Pearson Education (2017).pdf
P. Sivaramakrishna Das, C. Vijayakumari - Engineering Mathematics-Pearson Education (2017).pdf
P. Sivaramakrishna Das, C. Vijayakumari - Engineering Mathematics-Pearson Education (2017).pdf
P. Sivaramakrishna Das, C. Vijayakumari - Engineering Mathematics-Pearson Education (2017).pdf
P. Sivaramakrishna Das, C. Vijayakumari - Engineering Mathematics-Pearson Education (2017).pdf
P. Sivaramakrishna Das, C. Vijayakumari - Engineering Mathematics-Pearson Education (2017).pdf
P. Sivaramakrishna Das, C. Vijayakumari - Engineering Mathematics-Pearson Education (2017).pdf
P. Sivaramakrishna Das, C. Vijayakumari - Engineering Mathematics-Pearson Education (2017).pdf
P. Sivaramakrishna Das, C. Vijayakumari - Engineering Mathematics-Pearson Education (2017).pdf
P. Sivaramakrishna Das, C. Vijayakumari - Engineering Mathematics-Pearson Education (2017).pdf
P. Sivaramakrishna Das, C. Vijayakumari - Engineering Mathematics-Pearson Education (2017).pdf
P. Sivaramakrishna Das, C. Vijayakumari - Engineering Mathematics-Pearson Education (2017).pdf
P. Sivaramakrishna Das, C. Vijayakumari - Engineering Mathematics-Pearson Education (2017).pdf
P. Sivaramakrishna Das, C. Vijayakumari - Engineering Mathematics-Pearson Education (2017).pdf
P. Sivaramakrishna Das, C. Vijayakumari - Engineering Mathematics-Pearson Education (2017).pdf
P. Sivaramakrishna Das, C. Vijayakumari - Engineering Mathematics-Pearson Education (2017).pdf
P. Sivaramakrishna Das, C. Vijayakumari - Engineering Mathematics-Pearson Education (2017).pdf
P. Sivaramakrishna Das, C. Vijayakumari - Engineering Mathematics-Pearson Education (2017).pdf
P. Sivaramakrishna Das, C. Vijayakumari - Engineering Mathematics-Pearson Education (2017).pdf
P. Sivaramakrishna Das, C. Vijayakumari - Engineering Mathematics-Pearson Education (2017).pdf
P. Sivaramakrishna Das, C. Vijayakumari - Engineering Mathematics-Pearson Education (2017).pdf
P. Sivaramakrishna Das, C. Vijayakumari - Engineering Mathematics-Pearson Education (2017).pdf
P. Sivaramakrishna Das, C. Vijayakumari - Engineering Mathematics-Pearson Education (2017).pdf
P. Sivaramakrishna Das, C. Vijayakumari - Engineering Mathematics-Pearson Education (2017).pdf
P. Sivaramakrishna Das, C. Vijayakumari - Engineering Mathematics-Pearson Education (2017).pdf
P. Sivaramakrishna Das, C. Vijayakumari - Engineering Mathematics-Pearson Education (2017).pdf
P. Sivaramakrishna Das, C. Vijayakumari - Engineering Mathematics-Pearson Education (2017).pdf
P. Sivaramakrishna Das, C. Vijayakumari - Engineering Mathematics-Pearson Education (2017).pdf
P. Sivaramakrishna Das, C. Vijayakumari - Engineering Mathematics-Pearson Education (2017).pdf
P. Sivaramakrishna Das, C. Vijayakumari - Engineering Mathematics-Pearson Education (2017).pdf
P. Sivaramakrishna Das, C. Vijayakumari - Engineering Mathematics-Pearson Education (2017).pdf
P. Sivaramakrishna Das, C. Vijayakumari - Engineering Mathematics-Pearson Education (2017).pdf
P. Sivaramakrishna Das, C. Vijayakumari - Engineering Mathematics-Pearson Education (2017).pdf
P. Sivaramakrishna Das, C. Vijayakumari - Engineering Mathematics-Pearson Education (2017).pdf
P. Sivaramakrishna Das, C. Vijayakumari - Engineering Mathematics-Pearson Education (2017).pdf
P. Sivaramakrishna Das, C. Vijayakumari - Engineering Mathematics-Pearson Education (2017).pdf
P. Sivaramakrishna Das, C. Vijayakumari - Engineering Mathematics-Pearson Education (2017).pdf
P. Sivaramakrishna Das, C. Vijayakumari - Engineering Mathematics-Pearson Education (2017).pdf
P. Sivaramakrishna Das, C. Vijayakumari - Engineering Mathematics-Pearson Education (2017).pdf
P. Sivaramakrishna Das, C. Vijayakumari - Engineering Mathematics-Pearson Education (2017).pdf
P. Sivaramakrishna Das, C. Vijayakumari - Engineering Mathematics-Pearson Education (2017).pdf
P. Sivaramakrishna Das, C. Vijayakumari - Engineering Mathematics-Pearson Education (2017).pdf
P. Sivaramakrishna Das, C. Vijayakumari - Engineering Mathematics-Pearson Education (2017).pdf
P. Sivaramakrishna Das, C. Vijayakumari - Engineering Mathematics-Pearson Education (2017).pdf
P. Sivaramakrishna Das, C. Vijayakumari - Engineering Mathematics-Pearson Education (2017).pdf
P. Sivaramakrishna Das, C. Vijayakumari - Engineering Mathematics-Pearson Education (2017).pdf
P. Sivaramakrishna Das, C. Vijayakumari - Engineering Mathematics-Pearson Education (2017).pdf
P. Sivaramakrishna Das, C. Vijayakumari - Engineering Mathematics-Pearson Education (2017).pdf
P. Sivaramakrishna Das, C. Vijayakumari - Engineering Mathematics-Pearson Education (2017).pdf
P. Sivaramakrishna Das, C. Vijayakumari - Engineering Mathematics-Pearson Education (2017).pdf
P. Sivaramakrishna Das, C. Vijayakumari - Engineering Mathematics-Pearson Education (2017).pdf
P. Sivaramakrishna Das, C. Vijayakumari - Engineering Mathematics-Pearson Education (2017).pdf
P. Sivaramakrishna Das, C. Vijayakumari - Engineering Mathematics-Pearson Education (2017).pdf
P. Sivaramakrishna Das, C. Vijayakumari - Engineering Mathematics-Pearson Education (2017).pdf
P. Sivaramakrishna Das, C. Vijayakumari - Engineering Mathematics-Pearson Education (2017).pdf
P. Sivaramakrishna Das, C. Vijayakumari - Engineering Mathematics-Pearson Education (2017).pdf
P. Sivaramakrishna Das, C. Vijayakumari - Engineering Mathematics-Pearson Education (2017).pdf
P. Sivaramakrishna Das, C. Vijayakumari - Engineering Mathematics-Pearson Education (2017).pdf
P. Sivaramakrishna Das, C. Vijayakumari - Engineering Mathematics-Pearson Education (2017).pdf
P. Sivaramakrishna Das, C. Vijayakumari - Engineering Mathematics-Pearson Education (2017).pdf
P. Sivaramakrishna Das, C. Vijayakumari - Engineering Mathematics-Pearson Education (2017).pdf
P. Sivaramakrishna Das, C. Vijayakumari - Engineering Mathematics-Pearson Education (2017).pdf
P. Sivaramakrishna Das, C. Vijayakumari - Engineering Mathematics-Pearson Education (2017).pdf
P. Sivaramakrishna Das, C. Vijayakumari - Engineering Mathematics-Pearson Education (2017).pdf
P. Sivaramakrishna Das, C. Vijayakumari - Engineering Mathematics-Pearson Education (2017).pdf
P. Sivaramakrishna Das, C. Vijayakumari - Engineering Mathematics-Pearson Education (2017).pdf
P. Sivaramakrishna Das, C. Vijayakumari - Engineering Mathematics-Pearson Education (2017).pdf
P. Sivaramakrishna Das, C. Vijayakumari - Engineering Mathematics-Pearson Education (2017).pdf
P. Sivaramakrishna Das, C. Vijayakumari - Engineering Mathematics-Pearson Education (2017).pdf
P. Sivaramakrishna Das, C. Vijayakumari - Engineering Mathematics-Pearson Education (2017).pdf
P. Sivaramakrishna Das, C. Vijayakumari - Engineering Mathematics-Pearson Education (2017).pdf
P. Sivaramakrishna Das, C. Vijayakumari - Engineering Mathematics-Pearson Education (2017).pdf
P. Sivaramakrishna Das, C. Vijayakumari - Engineering Mathematics-Pearson Education (2017).pdf
P. Sivaramakrishna Das, C. Vijayakumari - Engineering Mathematics-Pearson Education (2017).pdf
P. Sivaramakrishna Das, C. Vijayakumari - Engineering Mathematics-Pearson Education (2017).pdf
P. Sivaramakrishna Das, C. Vijayakumari - Engineering Mathematics-Pearson Education (2017).pdf
P. Sivaramakrishna Das, C. Vijayakumari - Engineering Mathematics-Pearson Education (2017).pdf
P. Sivaramakrishna Das, C. Vijayakumari - Engineering Mathematics-Pearson Education (2017).pdf
P. Sivaramakrishna Das, C. Vijayakumari - Engineering Mathematics-Pearson Education (2017).pdf
P. Sivaramakrishna Das, C. Vijayakumari - Engineering Mathematics-Pearson Education (2017).pdf
P. Sivaramakrishna Das, C. Vijayakumari - Engineering Mathematics-Pearson Education (2017).pdf
P. Sivaramakrishna Das, C. Vijayakumari - Engineering Mathematics-Pearson Education (2017).pdf
P. Sivaramakrishna Das, C. Vijayakumari - Engineering Mathematics-Pearson Education (2017).pdf
P. Sivaramakrishna Das, C. Vijayakumari - Engineering Mathematics-Pearson Education (2017).pdf
P. Sivaramakrishna Das, C. Vijayakumari - Engineering Mathematics-Pearson Education (2017).pdf
P. Sivaramakrishna Das, C. Vijayakumari - Engineering Mathematics-Pearson Education (2017).pdf
P. Sivaramakrishna Das, C. Vijayakumari - Engineering Mathematics-Pearson Education (2017).pdf
P. Sivaramakrishna Das, C. Vijayakumari - Engineering Mathematics-Pearson Education (2017).pdf
P. Sivaramakrishna Das, C. Vijayakumari - Engineering Mathematics-Pearson Education (2017).pdf
P. Sivaramakrishna Das, C. Vijayakumari - Engineering Mathematics-Pearson Education (2017).pdf
P. Sivaramakrishna Das, C. Vijayakumari - Engineering Mathematics-Pearson Education (2017).pdf
P. Sivaramakrishna Das, C. Vijayakumari - Engineering Mathematics-Pearson Education (2017).pdf
P. Sivaramakrishna Das, C. Vijayakumari - Engineering Mathematics-Pearson Education (2017).pdf
P. Sivaramakrishna Das, C. Vijayakumari - Engineering Mathematics-Pearson Education (2017).pdf
P. Sivaramakrishna Das, C. Vijayakumari - Engineering Mathematics-Pearson Education (2017).pdf
P. Sivaramakrishna Das, C. Vijayakumari - Engineering Mathematics-Pearson Education (2017).pdf
P. Sivaramakrishna Das, C. Vijayakumari - Engineering Mathematics-Pearson Education (2017).pdf
P. Sivaramakrishna Das, C. Vijayakumari - Engineering Mathematics-Pearson Education (2017).pdf
P. Sivaramakrishna Das, C. Vijayakumari - Engineering Mathematics-Pearson Education (2017).pdf
P. Sivaramakrishna Das, C. Vijayakumari - Engineering Mathematics-Pearson Education (2017).pdf
P. Sivaramakrishna Das, C. Vijayakumari - Engineering Mathematics-Pearson Education (2017).pdf
P. Sivaramakrishna Das, C. Vijayakumari - Engineering Mathematics-Pearson Education (2017).pdf
P. Sivaramakrishna Das, C. Vijayakumari - Engineering Mathematics-Pearson Education (2017).pdf
P. Sivaramakrishna Das, C. Vijayakumari - Engineering Mathematics-Pearson Education (2017).pdf
P. Sivaramakrishna Das, C. Vijayakumari - Engineering Mathematics-Pearson Education (2017).pdf
P. Sivaramakrishna Das, C. Vijayakumari - Engineering Mathematics-Pearson Education (2017).pdf
P. Sivaramakrishna Das, C. Vijayakumari - Engineering Mathematics-Pearson Education (2017).pdf
P. Sivaramakrishna Das, C. Vijayakumari - Engineering Mathematics-Pearson Education (2017).pdf
P. Sivaramakrishna Das, C. Vijayakumari - Engineering Mathematics-Pearson Education (2017).pdf
P. Sivaramakrishna Das, C. Vijayakumari - Engineering Mathematics-Pearson Education (2017).pdf
P. Sivaramakrishna Das, C. Vijayakumari - Engineering Mathematics-Pearson Education (2017).pdf
P. Sivaramakrishna Das, C. Vijayakumari - Engineering Mathematics-Pearson Education (2017).pdf
P. Sivaramakrishna Das, C. Vijayakumari - Engineering Mathematics-Pearson Education (2017).pdf
P. Sivaramakrishna Das, C. Vijayakumari - Engineering Mathematics-Pearson Education (2017).pdf
P. Sivaramakrishna Das, C. Vijayakumari - Engineering Mathematics-Pearson Education (2017).pdf
P. Sivaramakrishna Das, C. Vijayakumari - Engineering Mathematics-Pearson Education (2017).pdf
P. Sivaramakrishna Das, C. Vijayakumari - Engineering Mathematics-Pearson Education (2017).pdf
P. Sivaramakrishna Das, C. Vijayakumari - Engineering Mathematics-Pearson Education (2017).pdf
P. Sivaramakrishna Das, C. Vijayakumari - Engineering Mathematics-Pearson Education (2017).pdf
P. Sivaramakrishna Das, C. Vijayakumari - Engineering Mathematics-Pearson Education (2017).pdf
P. Sivaramakrishna Das, C. Vijayakumari - Engineering Mathematics-Pearson Education (2017).pdf
P. Sivaramakrishna Das, C. Vijayakumari - Engineering Mathematics-Pearson Education (2017).pdf
P. Sivaramakrishna Das, C. Vijayakumari - Engineering Mathematics-Pearson Education (2017).pdf
P. Sivaramakrishna Das, C. Vijayakumari - Engineering Mathematics-Pearson Education (2017).pdf
P. Sivaramakrishna Das, C. Vijayakumari - Engineering Mathematics-Pearson Education (2017).pdf
P. Sivaramakrishna Das, C. Vijayakumari - Engineering Mathematics-Pearson Education (2017).pdf
P. Sivaramakrishna Das, C. Vijayakumari - Engineering Mathematics-Pearson Education (2017).pdf
P. Sivaramakrishna Das, C. Vijayakumari - Engineering Mathematics-Pearson Education (2017).pdf
P. Sivaramakrishna Das, C. Vijayakumari - Engineering Mathematics-Pearson Education (2017).pdf
P. Sivaramakrishna Das, C. Vijayakumari - Engineering Mathematics-Pearson Education (2017).pdf
P. Sivaramakrishna Das, C. Vijayakumari - Engineering Mathematics-Pearson Education (2017).pdf
P. Sivaramakrishna Das, C. Vijayakumari - Engineering Mathematics-Pearson Education (2017).pdf
P. Sivaramakrishna Das, C. Vijayakumari - Engineering Mathematics-Pearson Education (2017).pdf
P. Sivaramakrishna Das, C. Vijayakumari - Engineering Mathematics-Pearson Education (2017).pdf
P. Sivaramakrishna Das, C. Vijayakumari - Engineering Mathematics-Pearson Education (2017).pdf
P. Sivaramakrishna Das, C. Vijayakumari - Engineering Mathematics-Pearson Education (2017).pdf
P. Sivaramakrishna Das, C. Vijayakumari - Engineering Mathematics-Pearson Education (2017).pdf
P. Sivaramakrishna Das, C. Vijayakumari - Engineering Mathematics-Pearson Education (2017).pdf
P. Sivaramakrishna Das, C. Vijayakumari - Engineering Mathematics-Pearson Education (2017).pdf
P. Sivaramakrishna Das, C. Vijayakumari - Engineering Mathematics-Pearson Education (2017).pdf
P. Sivaramakrishna Das, C. Vijayakumari - Engineering Mathematics-Pearson Education (2017).pdf
P. Sivaramakrishna Das, C. Vijayakumari - Engineering Mathematics-Pearson Education (2017).pdf
P. Sivaramakrishna Das, C. Vijayakumari - Engineering Mathematics-Pearson Education (2017).pdf
P. Sivaramakrishna Das, C. Vijayakumari - Engineering Mathematics-Pearson Education (2017).pdf
P. Sivaramakrishna Das, C. Vijayakumari - Engineering Mathematics-Pearson Education (2017).pdf
P. Sivaramakrishna Das, C. Vijayakumari - Engineering Mathematics-Pearson Education (2017).pdf
P. Sivaramakrishna Das, C. Vijayakumari - Engineering Mathematics-Pearson Education (2017).pdf
P. Sivaramakrishna Das, C. Vijayakumari - Engineering Mathematics-Pearson Education (2017).pdf
P. Sivaramakrishna Das, C. Vijayakumari - Engineering Mathematics-Pearson Education (2017).pdf
P. Sivaramakrishna Das, C. Vijayakumari - Engineering Mathematics-Pearson Education (2017).pdf
P. Sivaramakrishna Das, C. Vijayakumari - Engineering Mathematics-Pearson Education (2017).pdf
P. Sivaramakrishna Das, C. Vijayakumari - Engineering Mathematics-Pearson Education (2017).pdf
P. Sivaramakrishna Das, C. Vijayakumari - Engineering Mathematics-Pearson Education (2017).pdf
P. Sivaramakrishna Das, C. Vijayakumari - Engineering Mathematics-Pearson Education (2017).pdf
P. Sivaramakrishna Das, C. Vijayakumari - Engineering Mathematics-Pearson Education (2017).pdf
P. Sivaramakrishna Das, C. Vijayakumari - Engineering Mathematics-Pearson Education (2017).pdf
P. Sivaramakrishna Das, C. Vijayakumari - Engineering Mathematics-Pearson Education (2017).pdf
P. Sivaramakrishna Das, C. Vijayakumari - Engineering Mathematics-Pearson Education (2017).pdf
P. Sivaramakrishna Das, C. Vijayakumari - Engineering Mathematics-Pearson Education (2017).pdf
P. Sivaramakrishna Das, C. Vijayakumari - Engineering Mathematics-Pearson Education (2017).pdf
P. Sivaramakrishna Das, C. Vijayakumari - Engineering Mathematics-Pearson Education (2017).pdf
P. Sivaramakrishna Das, C. Vijayakumari - Engineering Mathematics-Pearson Education (2017).pdf
P. Sivaramakrishna Das, C. Vijayakumari - Engineering Mathematics-Pearson Education (2017).pdf
P. Sivaramakrishna Das, C. Vijayakumari - Engineering Mathematics-Pearson Education (2017).pdf
P. Sivaramakrishna Das, C. Vijayakumari - Engineering Mathematics-Pearson Education (2017).pdf
P. Sivaramakrishna Das, C. Vijayakumari - Engineering Mathematics-Pearson Education (2017).pdf
P. Sivaramakrishna Das, C. Vijayakumari - Engineering Mathematics-Pearson Education (2017).pdf
P. Sivaramakrishna Das, C. Vijayakumari - Engineering Mathematics-Pearson Education (2017).pdf
P. Sivaramakrishna Das, C. Vijayakumari - Engineering Mathematics-Pearson Education (2017).pdf
P. Sivaramakrishna Das, C. Vijayakumari - Engineering Mathematics-Pearson Education (2017).pdf
P. Sivaramakrishna Das, C. Vijayakumari - Engineering Mathematics-Pearson Education (2017).pdf
P. Sivaramakrishna Das, C. Vijayakumari - Engineering Mathematics-Pearson Education (2017).pdf
P. Sivaramakrishna Das, C. Vijayakumari - Engineering Mathematics-Pearson Education (2017).pdf
P. Sivaramakrishna Das, C. Vijayakumari - Engineering Mathematics-Pearson Education (2017).pdf
P. Sivaramakrishna Das, C. Vijayakumari - Engineering Mathematics-Pearson Education (2017).pdf
P. Sivaramakrishna Das, C. Vijayakumari - Engineering Mathematics-Pearson Education (2017).pdf
P. Sivaramakrishna Das, C. Vijayakumari - Engineering Mathematics-Pearson Education (2017).pdf
P. Sivaramakrishna Das, C. Vijayakumari - Engineering Mathematics-Pearson Education (2017).pdf
P. Sivaramakrishna Das, C. Vijayakumari - Engineering Mathematics-Pearson Education (2017).pdf
P. Sivaramakrishna Das, C. Vijayakumari - Engineering Mathematics-Pearson Education (2017).pdf
P. Sivaramakrishna Das, C. Vijayakumari - Engineering Mathematics-Pearson Education (2017).pdf
P. Sivaramakrishna Das, C. Vijayakumari - Engineering Mathematics-Pearson Education (2017).pdf
P. Sivaramakrishna Das, C. Vijayakumari - Engineering Mathematics-Pearson Education (2017).pdf
P. Sivaramakrishna Das, C. Vijayakumari - Engineering Mathematics-Pearson Education (2017).pdf
P. Sivaramakrishna Das, C. Vijayakumari - Engineering Mathematics-Pearson Education (2017).pdf
P. Sivaramakrishna Das, C. Vijayakumari - Engineering Mathematics-Pearson Education (2017).pdf
P. Sivaramakrishna Das, C. Vijayakumari - Engineering Mathematics-Pearson Education (2017).pdf
P. Sivaramakrishna Das, C. Vijayakumari - Engineering Mathematics-Pearson Education (2017).pdf
P. Sivaramakrishna Das, C. Vijayakumari - Engineering Mathematics-Pearson Education (2017).pdf
P. Sivaramakrishna Das, C. Vijayakumari - Engineering Mathematics-Pearson Education (2017).pdf
P. Sivaramakrishna Das, C. Vijayakumari - Engineering Mathematics-Pearson Education (2017).pdf
P. Sivaramakrishna Das, C. Vijayakumari - Engineering Mathematics-Pearson Education (2017).pdf
P. Sivaramakrishna Das, C. Vijayakumari - Engineering Mathematics-Pearson Education (2017).pdf
P. Sivaramakrishna Das, C. Vijayakumari - Engineering Mathematics-Pearson Education (2017).pdf
P. Sivaramakrishna Das, C. Vijayakumari - Engineering Mathematics-Pearson Education (2017).pdf
P. Sivaramakrishna Das, C. Vijayakumari - Engineering Mathematics-Pearson Education (2017).pdf
P. Sivaramakrishna Das, C. Vijayakumari - Engineering Mathematics-Pearson Education (2017).pdf
P. Sivaramakrishna Das, C. Vijayakumari - Engineering Mathematics-Pearson Education (2017).pdf
P. Sivaramakrishna Das, C. Vijayakumari - Engineering Mathematics-Pearson Education (2017).pdf
P. Sivaramakrishna Das, C. Vijayakumari - Engineering Mathematics-Pearson Education (2017).pdf
P. Sivaramakrishna Das, C. Vijayakumari - Engineering Mathematics-Pearson Education (2017).pdf
P. Sivaramakrishna Das, C. Vijayakumari - Engineering Mathematics-Pearson Education (2017).pdf
P. Sivaramakrishna Das, C. Vijayakumari - Engineering Mathematics-Pearson Education (2017).pdf
P. Sivaramakrishna Das, C. Vijayakumari - Engineering Mathematics-Pearson Education (2017).pdf
P. Sivaramakrishna Das, C. Vijayakumari - Engineering Mathematics-Pearson Education (2017).pdf
P. Sivaramakrishna Das, C. Vijayakumari - Engineering Mathematics-Pearson Education (2017).pdf
P. Sivaramakrishna Das, C. Vijayakumari - Engineering Mathematics-Pearson Education (2017).pdf
P. Sivaramakrishna Das, C. Vijayakumari - Engineering Mathematics-Pearson Education (2017).pdf
P. Sivaramakrishna Das, C. Vijayakumari - Engineering Mathematics-Pearson Education (2017).pdf
P. Sivaramakrishna Das, C. Vijayakumari - Engineering Mathematics-Pearson Education (2017).pdf
P. Sivaramakrishna Das, C. Vijayakumari - Engineering Mathematics-Pearson Education (2017).pdf
P. Sivaramakrishna Das, C. Vijayakumari - Engineering Mathematics-Pearson Education (2017).pdf
P. Sivaramakrishna Das, C. Vijayakumari - Engineering Mathematics-Pearson Education (2017).pdf
P. Sivaramakrishna Das, C. Vijayakumari - Engineering Mathematics-Pearson Education (2017).pdf
P. Sivaramakrishna Das, C. Vijayakumari - Engineering Mathematics-Pearson Education (2017).pdf
P. Sivaramakrishna Das, C. Vijayakumari - Engineering Mathematics-Pearson Education (2017).pdf
P. Sivaramakrishna Das, C. Vijayakumari - Engineering Mathematics-Pearson Education (2017).pdf
P. Sivaramakrishna Das, C. Vijayakumari - Engineering Mathematics-Pearson Education (2017).pdf
P. Sivaramakrishna Das, C. Vijayakumari - Engineering Mathematics-Pearson Education (2017).pdf
P. Sivaramakrishna Das, C. Vijayakumari - Engineering Mathematics-Pearson Education (2017).pdf
P. Sivaramakrishna Das, C. Vijayakumari - Engineering Mathematics-Pearson Education (2017).pdf
P. Sivaramakrishna Das, C. Vijayakumari - Engineering Mathematics-Pearson Education (2017).pdf
P. Sivaramakrishna Das, C. Vijayakumari - Engineering Mathematics-Pearson Education (2017).pdf
P. Sivaramakrishna Das, C. Vijayakumari - Engineering Mathematics-Pearson Education (2017).pdf
P. Sivaramakrishna Das, C. Vijayakumari - Engineering Mathematics-Pearson Education (2017).pdf
P. Sivaramakrishna Das, C. Vijayakumari - Engineering Mathematics-Pearson Education (2017).pdf
P. Sivaramakrishna Das, C. Vijayakumari - Engineering Mathematics-Pearson Education (2017).pdf
P. Sivaramakrishna Das, C. Vijayakumari - Engineering Mathematics-Pearson Education (2017).pdf
P. Sivaramakrishna Das, C. Vijayakumari - Engineering Mathematics-Pearson Education (2017).pdf
P. Sivaramakrishna Das, C. Vijayakumari - Engineering Mathematics-Pearson Education (2017).pdf
P. Sivaramakrishna Das, C. Vijayakumari - Engineering Mathematics-Pearson Education (2017).pdf
P. Sivaramakrishna Das, C. Vijayakumari - Engineering Mathematics-Pearson Education (2017).pdf
P. Sivaramakrishna Das, C. Vijayakumari - Engineering Mathematics-Pearson Education (2017).pdf
P. Sivaramakrishna Das, C. Vijayakumari - Engineering Mathematics-Pearson Education (2017).pdf
P. Sivaramakrishna Das, C. Vijayakumari - Engineering Mathematics-Pearson Education (2017).pdf
P. Sivaramakrishna Das, C. Vijayakumari - Engineering Mathematics-Pearson Education (2017).pdf
P. Sivaramakrishna Das, C. Vijayakumari - Engineering Mathematics-Pearson Education (2017).pdf
P. Sivaramakrishna Das, C. Vijayakumari - Engineering Mathematics-Pearson Education (2017).pdf
P. Sivaramakrishna Das, C. Vijayakumari - Engineering Mathematics-Pearson Education (2017).pdf
P. Sivaramakrishna Das, C. Vijayakumari - Engineering Mathematics-Pearson Education (2017).pdf
P. Sivaramakrishna Das, C. Vijayakumari - Engineering Mathematics-Pearson Education (2017).pdf
P. Sivaramakrishna Das, C. Vijayakumari - Engineering Mathematics-Pearson Education (2017).pdf
P. Sivaramakrishna Das, C. Vijayakumari - Engineering Mathematics-Pearson Education (2017).pdf
P. Sivaramakrishna Das, C. Vijayakumari - Engineering Mathematics-Pearson Education (2017).pdf
P. Sivaramakrishna Das, C. Vijayakumari - Engineering Mathematics-Pearson Education (2017).pdf
P. Sivaramakrishna Das, C. Vijayakumari - Engineering Mathematics-Pearson Education (2017).pdf
P. Sivaramakrishna Das, C. Vijayakumari - Engineering Mathematics-Pearson Education (2017).pdf
P. Sivaramakrishna Das, C. Vijayakumari - Engineering Mathematics-Pearson Education (2017).pdf
P. Sivaramakrishna Das, C. Vijayakumari - Engineering Mathematics-Pearson Education (2017).pdf
P. Sivaramakrishna Das, C. Vijayakumari - Engineering Mathematics-Pearson Education (2017).pdf
P. Sivaramakrishna Das, C. Vijayakumari - Engineering Mathematics-Pearson Education (2017).pdf
P. Sivaramakrishna Das, C. Vijayakumari - Engineering Mathematics-Pearson Education (2017).pdf
P. Sivaramakrishna Das, C. Vijayakumari - Engineering Mathematics-Pearson Education (2017).pdf
P. Sivaramakrishna Das, C. Vijayakumari - Engineering Mathematics-Pearson Education (2017).pdf
P. Sivaramakrishna Das, C. Vijayakumari - Engineering Mathematics-Pearson Education (2017).pdf
P. Sivaramakrishna Das, C. Vijayakumari - Engineering Mathematics-Pearson Education (2017).pdf
P. Sivaramakrishna Das, C. Vijayakumari - Engineering Mathematics-Pearson Education (2017).pdf
P. Sivaramakrishna Das, C. Vijayakumari - Engineering Mathematics-Pearson Education (2017).pdf
P. Sivaramakrishna Das, C. Vijayakumari - Engineering Mathematics-Pearson Education (2017).pdf
P. Sivaramakrishna Das, C. Vijayakumari - Engineering Mathematics-Pearson Education (2017).pdf
P. Sivaramakrishna Das, C. Vijayakumari - Engineering Mathematics-Pearson Education (2017).pdf

P. Sivaramakrishna Das, C. Vijayakumari - Engineering Mathematics-Pearson Education (2017).pdf

  • 2.
    Pearson is theworld’s learning company, with presence across 70 countries worldwide. Our unique insights and world-class expertise comes from a long history of working closely with renowned teachers, authors and thought leaders, as a result of which, we have emerged as the preferred choice for millions of teachers and learners across the world. We believe learning opens up opportunities, creates fulfilling careers and hence better lives. We hence collaborate with the best of minds to deliver you class- leading products, spread across the Higher Education and K12 spectrum. Superior learning experience and improved outcomes are at the heart of everything we do. This product is the result of one such effort. Your feedback plays a critical role in the evolution of our products and you can reachus@pearson.com. We look forward to it. About Pearson A01_ENGINEERING_MATHEMATICS-I _FM - (Reprint).indd 1 3/2/2017 6:17:51 PM
  • 3.
    This page isintentionally left blank
  • 4.
    Engineering Mathematics P. SivaramakrishnaDas Professor of Mathematics and Head of the P.G. Department of Mathematics (Retired) Ramakrishna Mission Vivekananda College Mylapore, Chennai Presently Professor of Mathematics and Head of the Department of Science and Humanities K.C.G College of Technology (a unit of Hindustan Group of Institutions Karapakkam, Chennai) C. Vijayakumari Professor of Mathematics (Retired) Queen Mary’s College (Autonomous) Mylapore, Chennai A01_ENGINEERING_MATHEMATICS-I _FM - (Reprint).indd 3 3/2/2017 6:17:52 PM
  • 5.
    A01_ENGINEERING_MATHEMATICS-I _FM -(Reprint).indd 4 3/2/2017 6:17:52 PM Copyright © 2017 Pearson India Education Services Pvt. Ltd Published by Pearson India Education Services Pvt. Ltd, CIN: U72200TN2005PTC057128, formerly known as TutorVista Global Pvt. Ltd, licensee of Pearson Education in South Asia. No part of this eBook may be used or reproduced in any manner whatsoever without the publisher’s prior written consent. This eBook may or may not include all assets that were part of the print version. The publisher reserves the right to remove any material in this eBook at any time. eISBN 978-93-325-8776-2 Registered office: 4th Floor, Software Block, Elnet Software City, TS-140, Block 2 & 9, Rajiv Gandhi Salai, Taramani, Chennai 600 113, Tamil Nadu, India. Fax: 080-30461003, Phone: 080-30461060 www.pearson.co.in, Email: companysecretary.india@pearson.com Head Office: 15th Floor, Tower-B, World Trade Tower, Plot No. 1, Block-C, Sector 16, Noida 201 301, Uttar Pradesh, India. ISBN 978-93-325-1912-1
  • 6.
    Dedicated to Our Beloved Parents A01_ENGINEERING_MATHEMATICS-I_FM - (Reprint).indd 5 3/2/2017 6:17:52 PM
  • 7.
    This page isintentionally left blank
  • 8.
    Prefacexxxi About the Authorsxxxiii A. ALGEBRA 1. Matrices 1.1 2. Sequences and Series 2.1 B. CALCULUS 3. Differential Calculus 3.1 4. Applications of Differential Calculus 4.1 5. Differential Calculus of Several Variables 5.1 6. Integral Calculus 6.1 7. Improper Integrals 7.1 8. Multiple Integrals 8.1 9. Vector Calculus 9.1 C. DIFFERENTIAL EQUATIONS 10. Ordinary First Order Differential Equations 10.1 11. Ordinary Second and Higher Order Differential Equations 11.1 12. Applications of Ordinary Differential Equations 12.1 13. Series Solution of Ordinary Differential Equations and Special Functions 13.1 14. Partial Differential Equations 14.1 Brief Contents A01_ENGINEERING_MATHEMATICS-I _FM - (Reprint).indd 7 3/2/2017 6:17:52 PM
  • 9.
    viii n BriefContents D. COMPLEX ANALYSIS 15. Analytic Functions 15.1 16. Complex Integration 16.1 E. SERIES AND TRANSFORMS 17. Fourier Series 17.1 18. Fourier Transforms 18.1 19. Laplace Transforms 19.1 F. APPLICATIONS 20. Applications of Partial Differential Equations 20.1 Index I.1 A01_ENGINEERING_MATHEMATICS-I _FM - (Reprint).indd 8 3/2/2017 6:17:52 PM
  • 10.
    Prefacexxxi About the Authorsxxxiii 1. Matrices 1.1 1.0 Introduction 1.1 1.1 Basic Concepts 1.1 1.1.1 Basic Operations on Matrices 1.4 1.1.2 Properties of Addition, Scalar Multiplication and Multiplication 1.5 1.2 Complex Matrices 1.7 Worked Examples 1.10 Exercise 1.1 1.13 Answers to Exercise 1.1 1.14 1.3 Rank of a Matrix 1.14 Worked Examples 1.16 Exercise 1.21.23 Answers to Exercise 1.21.24 1.4 Solution of System of Linear Equations 1.24 1.4.1 Non-homogeneous System of Equations 1.24 1.4.2 Homogeneous System of Equations 1.25 1.4.3 Type 1: Solution of Non-homogeneous System of Equations 1.26 Worked Examples1.26 1.4.4 Type 2: Solution of Non-homogeneous Linear Equations Involving Arbitrary Constants 1.34 Worked Examples1.34 1.4.5 Type 3: Solution of the System of Homogeneous Equations 1.38 Worked Examples1.38 1.4.6 Type 4: Solution of Homogeneous System of Equation Containing Arbitrary Constants 1.41 Worked Examples1.41 Exercise 1.31.44 Answers to Exercise 1.31.45 1.5 Matrix Inverse by Gauss–Jordan method 1.46 Worked Examples1.47 Exercise 1.41.53 Answers to Exercise 1.41.53 Contents A01_ENGINEERING_MATHEMATICS-I _FM - (Reprint).indd 9 3/2/2017 6:17:52 PM
  • 11.
    x n Contents 1.6Eigen Values and Eigen Vectors 1.54 1.6.0 Introduction 1.54 1.6.1 Vector 1.54 Worked Examples 1.55 1.6.2 Eigen Values and Eigen Vectors 1.56 1.6.3 Properties of Eigen Vectors 1.57 Worked Examples 1.58 1.6.4 Properties of Eigen Values 1.67 Worked Examples 1.70 Exercise 1.5 1.72 Answers to Exercise 1.5 1.73 1.6.5 Cayley-Hamilton Theorem 1.73 Worked Examples 1.75 Exercise 1.6 1.82 Answers to Exercise 1.6 1.83 1.7 Similarity Transformation and Orthogonal Transformation 1.83 1.7.1 Similar Matrices 1.83 1.7.2 Diagonalisation of a Square Matrix 1.84 1.7.3 Computation of the Powers of a Square Matrix 1.85 1.7.4 Orthogonal matrix 1.86 1.7.5 Properties of orthogonal matrix 1.86 1.7.6 Symmetric Matrix 1.87 1.7.7 Properties of Symmetric Matrices 1.88 1.7.8 Diagonalisation by Orthogonal Transformation or Orthogonal Reduction   1.89 Worked Examples 1.90 1.8 Real Quadratic Form. Reduction to Canonical Form 1.96 Worked Examples 1.99 Exercise 1.7 1.111 Answers to Exercise 1.7 1.112 Short Answer Questions1.113 Objective Type Questions1.114 Answers1.116 2. Sequences and Series 2.1 2.0 Introduction 2.1 2.1 Sequence 2.1 2.1.1 Infinite Sequence 2.1 2.1.2 Finite sequence 2.2 2.1.3 Limit of a sequence 2.2 2.1.4 Convergent sequence 2.2 2.1.5 Oscillating sequence 2.2 2.1.6 Bounded sequence 2.2 2.1.7 Monotonic Sequence 2.3 Worked Examples 2.3 Exercise 2.1 2.9 Answers to Exercise 2.1 2.9 A01_ENGINEERING_MATHEMATICS-I _FM - (Reprint).indd 10 3/2/2017 6:17:52 PM
  • 12.
    Contents n xi 2.2Series 2.9 2.2.1 Convergent Series 2.9 2.2.2 Divergent series2.10 2.2.3 Oscillatory series2.10 2.2.4 General properties of series2.10 2.3 Series of Positive Terms 2.10 2.3.1 Necessary Condition for Convergence of a Series 2.10 2.3.2 Test for convergence of positive term series2.11 2.3.3 Comparison tests2.11 Worked Examples2.13 Exercise 2.22.17 Answers to Exercise 2.22.18 2.3.4 De’ Alembert’s Ratio Test 2.18 Worked Examples2.21 Exercise 2.32.25 Answers to Exercise 2.32.26 2.3.5 Cauchy’s Root Test 2.27 Worked Examples2.28 2.3.6 Cauchy’s Integral Test 2.30 Worked Examples2.32 Exercise 2.42.36 Answers to Exercise 2.42.36 2.3.7 Raabe’s Test 2.36 Worked Examples2.37 Exercise 2.52.41 Answers to Exercise 2.52.42 2.3.8 Logarithmic Test 2.42 Worked Examples2.44 2.4 Alternating Series 2.46 2.4.1 Leibnitz’s Test 2.46 Worked Examples2.47 2.5 Series of Positive and Negative Terms 2.50 2.5.1 Absolute Convergence and Conditional Convergence 2.50 2.5.2 Tests for absolute convergence2.50 Worked Examples2.51 Exercise 2.62.55 Answers to Exercise 2.62.55 2.6 Convergence of Binomial Series 2.56 2.7 Convergence of the Exponential Series 2.57 2.8 Convergence of the Logarithmic Series 2.57 2.9 Power Series 2.58 2.9.1 Hadmard’s Formula 2.59 2.9.2 Properties of power series2.60 Worked Examples2.60 Exercise 2.72.66 Answers to Exercise 2.72.67 A01_ENGINEERING_MATHEMATICS-I _FM - (Reprint).indd 11 3/2/2017 6:17:52 PM
  • 13.
    xii n Contents Short Answer Questions 2.67 Objective Type Questions 2.69 Answers 2.70 3. Differential Calculus 3.1 3.0 Introduction 3.1 3.1 Successive Differentiation 3.2 Worked Examples 3.3 Exercise 3.1 3.6 3.1.1 The nth Derivative of Standard Functions 3.7 Worked Examples 3.11 Exercise 3.2 3.16 Answers to Exercise 3.2 3.17 Worked Examples 3.18 Exercise 3.33.24 3.2 Applications of Derivative 3.25 3.2.1 Geometrical Interpretation of Derivative 3.25 3.2.2 Equation of the Tangent and the Normal to the Curve y = f(x)3.25 Worked Examples3.26 Exercise 3.43.33 Answers to Exercise 3.43.34 3.2.3 Length of the Tangent, the Sub-Tangent, the Normal and the Sub-normal 3.34 Worked Examples3.36 Exercise 3.53.38 Answers to Exercise 3.53.38 3.2.4 Angle between the Two Curves 3.38 Worked Examples3.39 Exercise 3.63.42 Answers to Exercise 3.63.43 3.3 Mean-value Theorems of Derivatives 3.43 3.3.1 Rolle’s Theorem 3.43 Worked Examples3.44 3.3.2 Lagrange’s Mean Value Theorem 3.47 Worked Examples3.49 3.3.3 Cauchy’s Mean Value Theorem 3.53 Worked Examples3.54 Exercise 3.73.56 Answers to Exercise 3.73.58 3.4 Monotonic Functions 3.58 3.4.1 Increasing and Decreasing Functions 3.58 3.4.2 Piece-wise Monotonic Function 3.58 3.4.3 Test for increasing or decreasing functions3.59 Worked Examples3.60 Exercise 3.83.65 Answers to Exercise 3.83.66 A01_ENGINEERING_MATHEMATICS-I _FM - (Reprint).indd 12 3/2/2017 6:17:52 PM
  • 14.
    Contents n xiii 3.5Generalised Mean Value Theorem 3.66 3.5.1 Taylor’s Theorem with Lagrange’s Form of Remainder 3.66 3.5.2 Taylor’s series 3.68 3.5.3 Maclaurin’s theorem with Lagrange’s form of remainder 3.68 3.5.4 Maclaurin’s series 3.68 Worked Examples 3.69 Exercise 3.9 3.74 Answers to Exercise 3.9 3.74 3.5.5 Expansion by Using Maclaurin’s Series of Some Standard Functions 3.75 Worked Examples 3.75 3.5.6 Expansion of Certain Functions Using Differential Equations 3.78 Worked Examples 3.78 Exercise 3.10 3.81 Answers to Exercise 3.10 3.82 3.6 Indeterminate Forms 3.82 3.6.1 General L’Hopital’s Rule for 0 0 Form 3.84 Worked Examples 3.85 Exercise 3.11 3.94 Answers to Exercise 3.11 3.94 3.7 Maxima and Minima of a Function of One Variable 3.94 3.7.1 Geometrical Meaning 3.96 3.7.2 Tests for Maxima and Minima 3.96 Summary 3.97 Worked Examples 3.97 Exercise 3.12 3.103 Answers to Exercise 3.123.104 3.8 Asymptotes 3.104 Worked Examples3.105 3.8.1 A General Method 3.108 3.8.2 Asymptotes Parallel to the Coordinates Axes 3.110 Worked Examples 3.110 3.8.3 Another Method for Finding the Asymptotes 3.113 Worked Examples 3.114 3.8.4 Asymptotes by Inspection 3.115 Worked Examples 3.116 3.8.5 Intersection of a Curve and Its Asymptotes 3.116 Worked Examples 3.116 Exercise 3.13 3.121 Answers to Exercise 3.13 3.122 3.9 Concavity 3.122 Worked Examples3.124 Exercise 3.143.127 Answers to Exercise 3.143.128 3.10 Curve Tracing 3.128 3.10.1 Procedure for Tracing the Curve Given by the Cartesian Equation f(x, y) = 0. 3.128 Worked Examples3.129 A01_ENGINEERING_MATHEMATICS-I _FM - (Reprint).indd 13 3/2/2017 6:17:52 PM
  • 15.
    xiv n Contents 3.10.2Procedure for Tracing of Curve Given by Parametric Equations x = f(t), y = g(t)3.137 Worked Examples3.137 3.10.3 Procedure for Tracing of Curve Given by Equation in Polar Coordinates f(r, u) = 0 3.141 Worked Examples3.142 Exercise 3.153.146 Answers to Exercise 3.153.146 Short Answer Questions3.148 Objective Type Questions3.149 Answers3.152 4. Applications of Differential Calculus 4.1 4.1 Curvature in Cartesian Coordinates 4.1 4.1.0 Introduction 4.1 4.1.1 Measure of Curvature 4.1 4.1.2 Radius of Curvature for Cartesian Equation of a Given Curve 4.2 4.1.3 Radius of Curvature for Parametric Equations 4.4 Worked Examples 4.4 4.1.4 Centre of Curvature and Circle of Curvature 4.11 4.1.5 Coordinates of the Centre of Curvature 4.12 Worked Examples 4.13 Exercise 4.1 4.15 Answers to Exercise 4.1 4.16 4.1.6 Radius of Curvature in Polar Coordinates 4.17 Worked Examples 4.19 4.1.7 Radius of Curvature at the Origin 4.22 Worked Examples 4.23 4.1.8 Pedal Equation or p - r Equation of a Curve 4.25 Worked Examples 4.26 4.1.9 Radius of Curvature Using the p - r Equation of a Curve 4.28 Worked Examples 4.29 Exercise 4.2 4.30 Answers to Exercise 4.2 4.31 4.2 Evolute 4.31 4.2.1 Properties of Evolute 4.31 4.2.2 Procedure to Find the Evolute 4.34 Worked Examples 4.34 Exercise 4.3 4.41 Answers to Exercise 4.3 4.41 4.3 Envelope 4.42 4.3.1 Method of Finding Envelope of Single Parameter Family of Curves 4.42 Worked Examples 4.43 4.3.2 Envelope of Two Parameter Family of Curves 4.45 Worked Examples 4.45 A01_ENGINEERING_MATHEMATICS-I _FM - (Reprint).indd 14 3/2/2017 6:17:53 PM
  • 16.
    Contents n xv 4.3.3Evolute as the Envelope of Normals 4.48 Worked Examples4.49 Exercise 4.44.52 Answers to Exercise 4.44.53 Short Answer Questions4.54 Objective Type Questions4.54 Answers4.56 5. Differential Calculus of Several Variables 5.1 5.0 Introduction 5.1 5.1 Limit and Continuity 5.1 Worked Examples 5.4 Exercise 5.1 5.6 Answers to Exercise 5.1 5.6 5.2 Partial Derivatives 5.6 5.2.1 Geometrical Meaning of ∂ ∂ ∂ ∂ z x z y , 5.7 5.2.2 Partial Derivatives of Higher Order 5.8 5.2.3 Homogeneous Functions and Euler’s Theorem 5.8 Worked Examples 5.9 5.2.4 Total Derivatives 5.15 Worked Examples 5.17 Exercise 5.25.24 Answers to Exercise 5.25.26 5.3 Jacobians 5.26 5.3.1 Properties of Jacobians 5.27 Worked Examples5.29 5.3.2 Jacobian of Implicit Functions 5.35 Worked Examples5.35 Exercise 5.35.37 Answers to Exercise 5.35.38 5.4 Taylor’s Series Expansion for Function of Two Variables 5.38 Worked Examples5.39 Exercise 5.45.44 Answers to Exercise 5.45.44 5.5 Maxima and Minima for Functions of Two Variables 5.45 5.5.1 Necessary Conditions for Maximum or Minimum 5.46 5.5.2 Sufficient Conditions for Extreme Values of f(x, y) 5.46 5.5.3 Working Rule to Find Maxima and Minima of f(x, y) 5.46 Worked Examples5.47 5.5.4 Constrained Maxima and Minima 5.51 5.5.5 Lagrange’s Method of (undetermined) Multiplier 5.51 5.5.6 Method to Decide Maxima or Minima 5.52 Worked Examples5.56 Exercise 5.55.65 Answers to Exercise 5.55.66 A01_ENGINEERING_MATHEMATICS-I _FM - (Reprint).indd 15 3/2/2017 6:17:53 PM
  • 17.
    xvi n Contents 5.6Errors and Approximations 5.67 Worked Examples 5.68 Exercise 5.6 5.72 Answers to Exercise 5.6 5.73 Short Answer Questions 5.73 Objective Type Questions 5.74 Answers 5.76 6. Integral Calculus 6.1 6.0 Introduction 6.1 6.1 Indefinite Integral 6.1 6.1.1 Properties of Indefinite Integral 6.1 6.1.2 Integration by Parts 6.3 6.1.3 Bernoulli’s Formula 6.3 6.1.4 Special Integrals 6.3 Worked Examples 6.4 Exercise 6.1 6.9 Answers to Exercise 6.1 6.9 6.2 Definite Integral (Newton–Leibnitz formula) 6.10 6.2.1 Properties of Definite Integral 6.10 Worked Examples6.15 Exercise 6.26.27 Answers to Exercise 6.26.27 6.3 Definite Integral f x dx a b ( ) ∫ as Limit of a Sum 6.28 6.3.1 Working Rule 6.28 Worked Examples6.29 Exercise 6.36.32 Answers to Exercise 6.36.33 6.4 Reduction Formulae 6.33 6.4.1 The Reduction Formula for (a) sinn x dx ∫ and (b) cosn x dx ∫ 6.33 6.4.2 The Reduction Formula for (a) tann x dx ∫ and (b) cotn xdx ∫ 6.36 6.4.3 The Reduction Formula for (a) secn x dx ∫ and (b) cosecn x dx ∫ 6.37 Worked Examples6.38 6.4.4 The Reduction Formula for sin cos m n x x dx ∫ , Where m, n are Non-negative Integers6.45 Worked Examples6.47 6.4.5 The Reduction Formula for (a) ∫xm (log x)n dx, (b) ∫xn sin mx dx, (c) ∫ xn cos mx dx6.49 6.4.6 The Reduction Formula for (a) e x dx ax m sin ∫ and (b) e x dx ax n cos ∫ 6.51 A01_ENGINEERING_MATHEMATICS-I _FM - (Reprint).indd 16 3/2/2017 6:17:54 PM
  • 18.
    Contents n xvii 6.4.7The Reduction Formula for (a) cos sin m x nx dx ∫ and (b) cos cos m x nx dx ∫ 6.52 Exercise 6.4 6.55 Answers to Exercise 6.4 6.55 6.5 Application of Integral Calculus 6.55 6.5.1 Area of Plane Curves 6.56 6.5.1 (a) Area of Plane Curves in Cartesian Coordinates 6.56 Worked Examples 6.57 Exercise 6.5 6.66 Answers to Exercise 6.5 6.67 6.5.1 (b) Area in Polar Coordinates 6.67 Worked Examples 6.68 Exercise 6.6 6.72 Answers to Exercise 6.6 6.72 6.5.2 Length of the Arc of a Curve 6.72 6.5.2 (a) Length of the Arc in Cartesian Coordinates 6.72 Worked Examples 6.73 Exercise 6.7 6.78 Answers to Exercise 6.7 6.79 6.5.2 (b) Length of the Arc in Polar Coordinates 6.79 Worked Examples 6.80 Exercise 6.8 6.81 Answers to Exercise 6.8 6.81 6.5.3 Volume of Solid of Revolution 6.82 6.5.3(a) Volume in Cartesian Coordinates 6.82 Worked Examples 6.83 Exercise 6.9 6.89 Answers to Exercise 6.9 6.90 6.5.3 (b) Volume in Polar Coordinates 6.91 Worked Examples 6.91 Exercise 6.10 6.93 Answers to Exercise 6.10 6.93 6.5.4 Surface Area of Revolution 6.93 6.5.4(a) Surface Area of Revolution in Cartesian Coordinates 6.93 Worked Examples 6.94 Exercise 6.11 6.99 Answers to Exercise 6.11 6.99 6.5.4 (b) Surface Area in Polar Coordinates 6.100 Worked Examples6.100 Exercise 6.126.102 Answers to Exercise 6.126.103 Short Answer Questions6.103 Objective Type Questions6.103 Answers6.106 A01_ENGINEERING_MATHEMATICS-I _FM - (Reprint).indd 17 3/2/2017 6:17:55 PM
  • 19.
    xviii n Contents 7.Improper Integrals 7.1 7.1 Improper Integrals 7.1 7.1.1 Kinds of Improper Integrals and Their Convergence 7.1 Worked Examples 7.4 Exercise 7.17.13 Answers to Exercise 7.17.13 7.1.2 Tests of Convergence of Improper Integrals 7.14 Worked Examples 7.15 Exercise 7.27.27 Answers to Exercise 7.27.27 7.2 Evaluation of Integral by Leibnitz’s Rule 7.27 7.2.1 Leibnitz’s Rule—Differentiation Under Integral Sign for Variable Limits 7.28 Worked Examples7.28 Exercise 7.3 7.47 Answers to Exercise 7.37.47 7.3 Beta and Gamma functions 7.47 7.3.1 Beta Function 7.47 7.3.2 Symmetric property of beta function7.48 7.3.3 Different forms of beta function7.48 7.4 The Gamma Function 7.49 7.4.1 Properties of Gamma Function 7.50 7.4.2 Relation between Beta and Gamma Functions 7.51 Worked Examples7.55 Exercise 7.47.69 Answers to Exercise 7.47.69 7.5 The Error Function 7.70 7.5.1 Properties of Error Functions 7.70 7.5.2 Series expansion for error function7.71 7.5.3 Complementary error function7.71 Worked Examples7.72 Exercise 7.57.76 Answers to Exercise 7.57.76 Short Answer Questions7.76 Objective Type Questions7.77 Answers7.78 8. Multiple Integrals 8.1 8.1 Double Integration 8.1 8.1.1 Double Integrals in Cartesian Coordinates 8.1 8.1.2 Evaluation of Double Integrals 8.2 Worked Examples 8.3 Exercise 8.1 8.6 Answers to Exercise 8.1 8.7 8.1.3 Change of Order of Integration 8.7 Worked Examples 8.8 A01_ENGINEERING_MATHEMATICS-I _FM - (Reprint).indd 18 3/2/2017 6:17:55 PM
  • 20.
    Contents n xix Exercise 8.28.15 Answers to Exercise 8.28.15 8.1.4 Double Integral in Polar Coordinates 8.16 Worked Examples8.16 8.1.5 Change of Variables in Double Integral 8.19 Worked Examples8.19 Exercise 8.38.26 Answers to Exercise 8.38.27 8.1.6 Area as Double Integral 8.27 Worked Examples8.28 Exercise 8.48.31 Answers to Exercise 8.48.31 Worked Examples8.32 Exercise 8.58.37 Answers to Exercise 8.58.37 8.2 Area of a Curved Surface 8.37 8.2.1 Surface Area of a Curved Surface 8.38 8.2.2 Derivation of the Formula for Surface Area 8.38 8.2.3 Parametric Representation of a Surface 8.41 Worked Examples8.41 Exercise 8.68.49 Answers to Exercise 8.68.49 8.3 Triple Integral in Cartesian Coordinates 8.49 Worked Examples8.50 Exercise 8.78.55 Answers to Exercise 8.78.56 8.3.1 Volume as Triple Integral 8.56 Worked Examples8.56 Exercise 8.88.63 Answers to Exercise 8.88.64 Short Answer Questions8.64 Objective Type Questions8.64 Answers8.66 9. Vector Calculus 9.1 9.0 Introduction 9.1 9.1 Scalar and Vector Point Functions 9.1 9.1.1 Geometrical Meaning of Derivative 9.2 9.2 Differentiation Formulae 9.3 9.3 Level Surfaces 9.4 9.4 Gradient of a Scalar Point Function or Gradient of a Scalar Field 9.4 9.4.1 Vector Differential Operator 9.4 9.4.2 Geometrical Meaning of ∇φ 9.4 9.4.3 Directional Derivative 9.5 9.4.4 Equation of Tangent Plane and Normal to the Surface 9.5 A01_ENGINEERING_MATHEMATICS-I _FM - (Reprint).indd 19 3/2/2017 6:17:55 PM
  • 21.
    xx n Contents 9.4.5Angle between Two Surfaces at a Common Point 9.6 9.4.6 Properties of gradients 9.6 Worked Examples 9.8 Exercise 9.1 9.20 Answers to Exercise 9.1 9.21 9.5 Divergence of a Vector Point Function or Divergence of a Vector Field 9.22 9.5.1 Physical Interpretation of Divergence 9.22 9.6 Curl of a Vector Point Function or Curl of a Vector Field 9.23 9.6.1 Physical Meaning of Curl F 9.23 Worked Examples 9.24 Exercise 9.2 9.30 Answers to Exercise 9.2 9.31 9.7 Vector Identities 9.31 Worked Examples 9.37 9.8 Integration of Vector Functions 9.39 9.8.1 Line Integral 9.40 Worked Examples 9.40 Exercise 9.3 9.46 Answers to Exercise 9.3 9.47 9.9 Green’s Theorem in a Plane 9.47 9.9.1 Vector Form of Green’s Theorem 9.50 Worked Examples 9.50 9.10 Surface Integrals 9.56 9.10.1 Evaluation of Surface Integral 9.57 9.11 Volume Integral 9.58 Worked Examples 9.58 9.12 Gauss Divergence Theorem 9.62 9.12.1 Results Derived from Gauss Divergence Theorem 9.64 Worked Examples 9.68 9.13 Stoke’s Theorem 9.81 Worked Examples 9.83 Exercise 9.4 9.97 Answers to Exercise 9.49.100 Short Answer Questions9.100 Objective Type Questions9.101 Answers9.102 10. Ordinary First Order Differential Equations 10.1 10.0 Introduction 10.1 10.1 Formation of Differential Equations 10.2 Worked Examples 10.2 Exercise 10.1 10.5 Answers to Exercise 10.1 10.6 10.2 First Order and First Degree Differential Equations 10.6 10.2.1 Type I Variable Separable Equations 10.6 = 1 curl 2 w v A01_ENGINEERING_MATHEMATICS-I _FM - (Reprint).indd 20 3/2/2017 6:17:55 PM
  • 22.
    Contents n xxi Worked Example 10.6 Exercise 10.2 10.9 Answers to Exercise 10.2 10.9 10.2.2 Type II Homogeneous Equation 10.10 Worked Examples10.10 Exercise 10.310.13 Answers to Exercise 10.310.14 10. 2.3 Type III Non-Homogenous Differential Equations of the First Degree 10.14 Worked Examples10.16 Exercise 10.410.21 Answers to Exercise 10.410.21 10.2.4 Type IV Linear Differential Equation 10.22 Worked Examples10.23 Exercise 10.510.27 Answers to Exercise 10.510.27 10.2.5 Type V Bernoulli’s Equation 10.28 Worked Examples10.28 Exercise 10.610.31 Answers to Exercise 10.610.31 10.2.6 Type VI Riccati Equation 10.31 Worked Examples10.33 Exercise 10.710.36 Answers to Exercise 10.710.36 10.2.7 Type VII First Order Exact Differential Equations 10.37 Worked Examples10.39 Exercise 10.810.41 Answers to Exercise 10.810.42 10.3 Integrating Factors 10.42 Worked Examples10.43 10.3.1 Rules for Finding the Integrating Factor for Non-Exact Differential Equation Mdx + Ndy = 0 10.45 Worked Examples10.46 Exercise 10.910.56 Answers to Exercise 10.910.56 10.4 Ordinary Differential Equations of the First Order but of Degree Higher than One 10.56 10.4.1 Type 1 Equations Solvable for p 10.57 Worked Examples10.57 Exercise 10.1010.59 Answers to Exercise 10.1010.60 10.4.2 Type 2 Equations Solvable for y10.60 Worked Examples10.61 A01_ENGINEERING_MATHEMATICS-I _FM - (Reprint).indd 21 3/2/2017 6:17:55 PM
  • 23.
    xxii n Contents 10.4.3Type 3 Equations Solvable for x10.64 Worked Examples10.65 Exercise 10.1110.67 Answers to Exercise 10.1110.67 10.4.4 Type 4 Clairaut’s Equation 10.67 Worked Examples10.68 Exercise 10.1210.71 Answers to Exercise 10.1210.71 Short Answer Questions10.71 Objective Type Questions10.72 Answers10.74 11. Ordinary Second and Higher Order Differential Equations 11.1 11.0 Introduction 11.1 11.1 Linear Differential Equation with Constant Coefficients 11.1 11.1.1 Complementary Function 11.1 11.1.2 Particular Integral 11.2 Worked Examples 11.3 Exercise 11.111.19 Answers to Exercise 11.111.19 11.2 Linear Differential Equations with Variable Coefficients 11.21 11.2.1 Cauchy’s Homogeneous Linear Differential Equations 11.21 Worked Examples11.22 11.2.2 Legendre’s Linear Differential Equation 11.29 Worked Examples11.30 Exercise 11.211.32 Answers to Exercise 11.211.33 11.3 Simultaneous Linear Differential Equations with Constant Coefficients 11.34 Worked Examples11.34 Exercise 11.311.43 Answers to Exercise 11.311.44 11.4 Method of Variation of Parameters 11.44 11.4.1 Working rule11.45 Worked Examples11.45 Exercise 11.411.51 Answers to Exercise 11.411.52 11.5 Method of Undetermined Coefficients 11.52 Worked Examples11.54 Exercise 11.511.60 Answers to Exercise 11.511.60 Short Answers Questions11.60 Objective Type Questions11.61 Answers 11.63 A01_ENGINEERING_MATHEMATICS-I _FM - (Reprint).indd 22 3/2/2017 6:17:55 PM
  • 24.
    Contents n xxiii 12.Applications of Ordinary Differential Equations 12.1 12.0 Introduction 12.1 12.1 Applications of Ordinary Differential Equations of First Order 12.1 12.1.1 Law of Growth and Decay 12.1 12.1.2 Newton’s Law of Cooling of Bodies 12.2 Worked Examples 12.2 Exercise 12.1 12.7 Answers To Exercise 12.1 12.8 12.1.3 Chemical Reaction and Solutions 12.8 Worked Examples 12.9 Exercise 12.212.12 Answers to Exercise 12.212.13 12.1.4 Simple Electric Circuit 12.13 Worked Examples12.14 Exercise 12.312.19 Answers to Exercise 12.312.19 12.1.5 Geometrical Applications 12.20 12.1.5 (a) Orthogonal Trajectories in Casterian Coordinates 12.20 Worked Examples12.21 12.1.5 (b) Orthogonal Trajectories in Polar Coordinates 12.23 Worked Examples12.24 Exercise 12.412.26 Answers to Exercise 12.412.27 12.2 Applications of Second Order Differential Equations 12.27 12.2.1 Bending of Beams 12.27 Worked Examples12.29 12.2.2 Electric Circuits 12.34 Worked Examples12.34 Exercise 12.512.38 Answers to Exercise 12.512.39 12.2.3 Simple Harmonic Motion (S.H.M) 12.40 Worked Examples12.41 Exercise 12.612.43 Answers to Exercise 12.612.44 Objective Type Questions12.44 Answers12.45 13. Series Solution of Ordinary Differential Equations and Special Functions 13.1 13.0 Introduction 13.1 13.1 Power Series Method 13.1 13.1.1 Analytic Function 13.1 13.1.2 Regular Point 13.2 13.1.3 Singular Point 13.2 13.1.4 Regular and Irregular Singular Points 13.2 Worked Examples 13.3 Exercise 13.1 13.9 Answers to Exercise 13.1 13.9 A01_ENGINEERING_MATHEMATICS-I _FM - (Reprint).indd 23 3/2/2017 6:17:55 PM
  • 25.
    xxiv n Contents 13.2Frobenius Method 13.9 Worked Examples13.11 Exercise 13.213.33 Answers to Exercise 13.213.33 13.3 Special Functions 13.34 13.4 Bessel Functions 13.34 13.4.1 Series Solution of Bessel’s Equation 13.34 13.4.2 Bessel’s Functions of the First Kind 13.37 Worked Examples13.39 13.4.3 Some Special Series 13.40 13.4.4 Recurrence Formula for Jn (x)13.41 13.4.5 Generating Function for Jn (x) of Integral Order 13.44 Worked Examples13.46 13.4.6 Integral Formula for Bessel’s Function Jn (x) 13.49 Worked Examples13.53 13.4.7 Orthogonality of Bessel’s Functions 13.56 13.4.8 Fourier–Bessel Expansion of a Function f(x)13.59 Worked Examples13.60 13.4.9 Equations Reducible to Bessel’s Equation 13.62 Worked Examples13.62 Exercise 13.313.65 Answers to Exercise 13.313.66 13.5 Legendre Functions 13.66 13.5.1 Series Solution of Legendre’s Differential Equation 13.66 13.5.2 Legendre Polynomials 13.71 13.5.3 Rodrigue’s Formula 13.71 Worked Examples13.73 13.5.4 Generating Function for Legendre Polynomials 13.74 Worked Examples13.75 13.5.5 Orthogonality of Legendre Polynomials in [-1, 1] 13.77 Worked Examples13.80 13.5.6 Fourier–Legendre Expansion of f(x) in a Series of Legendre Polynomials13.83 Worked Examples13.83 Exercise 13.413.85 Answers to Exercise 13.413.85 14. Partial Differential Equations 14.1 14.0 Introduction 14.1 14.1 Order and Degree of Partial Differential Equations 14.1 14.2 Linear and Non-linear Partial Differential Equations 14.1 14.3 Formation of Partial Differential Equations 14.2 Worked Examples 14.2 Exercise 14.114.15 Answers to Exercise 14.114.15 A01_ENGINEERING_MATHEMATICS-I _FM - (Reprint).indd 24 3/2/2017 6:17:55 PM
  • 26.
    Contents n xxv 14.4Solutions of Partial Differential Equations 14.16 14.4.1 Procedure to find general integral and singular integral for a first order partial differential equation14.17 Worked Examples14.17 Exercise 14.214.20 Answers to Exercise 14.214.20 14.4.2 First Order Non-linear Partial Differential Equation of Standard Types 14.20 Worked Examples14.21 Exercise 14.314.25 Answers to Exercise 14.314.25 Worked Examples14.26 14.4.3 Equations Reducible to Standard Forms 14.33 Worked Examples14.35 Exercise 14.414.38 Answers to Exercise 14.414.38 14.5 Lagrange’s Linear Equation 14.39 Worked Examples14.41 Exercise 14.514.48 Answers to Exercise 14.514.48 14.6 Homogeneous Linear Partial Differential Equations of the Second and Higher Order with Constant Coefficients 14.49 14.6.1 Working Procedure to Find Complementary Function 14.50 14.6.2 Working Procedure to Find Particular Integral 14.51 Worked Examples14.53 Exercise 14.614.66 Answers to Exercise 14.614.67 14.7 Non-homogeneous Linear Partial Differential Equations of the Second and Higher Order with Constant Coefficients 14.68 Worked Examples14.69 Exercise 14.714.73 Answers to Exercise 14.714.73 Short Answer Questions14.74 Objective Type Questions14.74 Answers 14.76 15. Analytic Functions 15.1 15.0 Preliminaries 15.1 15.1 Function of a Complex Variable 15.2 15.1.1 Geometrical Representation of Complex Function or Mapping 15.3 15.1.2 Extended complex number system 15.4 15.1.3 Neighbourhood of a point and region 15.5 15.2 Limit of a Function 15.5 15.2.1 Continuity of a function 15.6 15.2.2 Derivative of f(z) 15.6 15.2.3 Differentiation formulae 15.7 A01_ENGINEERING_MATHEMATICS-I _FM - (Reprint).indd 25 3/2/2017 6:17:55 PM
  • 27.
    xxvi n Contents 15.3Analytic Function 15.8 15.3.1 Necessary and Sufficient Condition for f(z)to be Analytic 15.8 15.3.2 C-R equations in polar form15.10 Worked Examples15.11 Exercise 15.115.20 Answers to Exercise 15.115.21 15.4 Harmonic Functions and Properties of Analytic Function 15.21 15.4.1 Construction of an Analytic Function Whose Real or Imaginary Part is Given Milne-Thomson Method 15.23 Worked Examples15.25 Exercise 15.215.32 Answers to Exercise 15.215.33 15.5 Conformal Mapping 15.33 15.5.1 Angle of rotation15.34 15.5.2 Mapping by elementary functions15.36 Worked Examples15.37 Exercise 15.315.72 Answers to Exercise 15.315.74 15.5.3 Bilinear Transformation 15.79 Worked Examples15.82 Exercise 15.415.89 Answers to Exercise 15.415.90 Short Answer Questions15.90 Objective Type Questions15.91 Answers15.92 16. Complex Integration 16.1 16.0 Introduction 16.1 16.1 Contour Integral 16.1 16.1.1 Properties of Contour Integrals 16.1 Worked Examples 16.2 16.1.2 Simply Connected and Multiply Connected Domains 16.4 16.2 Cauchy’s Integral Theorem or Cauchy’s Fundamental Theorem 16.4 16.2.1 Cauchy-Goursat Integral Theorem 16.5 16.3 Cauchy’s Integral Formula 16.6 16.3.1 Cauchy’s Integral Formula for Derivatives 16.7 Worked Examples 16.7 Exercise 16.116.12 Answers to Exercise 16.116.13 16.4 Taylor’s Series and Laurent’s Series 16.14 16.4.1 Taylor’s Series 16.14 16.4.2 Laurent’s series16.15 Worked Examples16.16 Exercise 16.216.22 Answers to Exercise 16.216.23 A01_ENGINEERING_MATHEMATICS-I _FM - (Reprint).indd 26 3/2/2017 6:17:56 PM
  • 28.
    Contents n xxvii 16.5Classification of Singularities 16.24 16.6 Residue 16.26 16.6.1 Methods of Finding Residue 16.26 16.7 Cauchy’s Residue Theorem 16.27 Worked Examples16.28 Exercise 16.316.34 Answers to Exercise 16.316.36 16.8 Application of Residue Theorem to Evaluate Real Integrals 16.36 16.8.1 Type 1 16.36 Worked Examples16.37 16.8.2 Type 2. Improper Integrals of Rational Functions 16.44 Worked Examples16.46 16.8.3 Type 3 16.50 Worked Examples16.50 Exercise 16.416.55 Answers to Exercise 16.416.56 Short Answer Questions16.56 Objective Type Questions16.58 Answers16.60 17 Fourier Series 17.1 17.0 Introduction 17.1 17.1 Fourier series 17.2 17.1.1 Dirichlet’s Conditions 17.2 17.1.2 Convergence of Fourier Series 17.3 Worked Examples 17.5 17.2 Even and Odd Functions 17.15 17.2.1 Sine and Cosine Series 17.15 Worked Examples17.16 Exercise 17.117.23 Answers to Exercise 17.117.25 17.3 Half-Range Series 17.26 17.3.1 Half-range Sine Series 17.27 17.3.2 Half-range cosine series17.27 Worked Examples17.28 Exercise 17.217.36 Answers to Exercise 17.217.37 17.4 Change of Interval 17.38 Worked Examples17.39 17.5 Parseval’s Identity 17.47 Worked Examples17.47 Exercise 17.317.50 Answers to Exercise 17.317.52 17.6 Complex Form of Fourier Series 17.53 Worked Examples17.55 A01_ENGINEERING_MATHEMATICS-I _FM - (Reprint).indd 27 3/2/2017 6:17:56 PM
  • 29.
    xxviii n Contents Exercise 17.417.59 Answers to Exercise 17.417.59 17.7 Harmonic Analysis 17.60 17.7.1 Trapezoidal Rule 17.60 Worked Examples17.62 Exercise 17.517.68 Answers to Exercise 17.517.69 Short Answer Questions17.69 Objective Type Questions17.70 Answers17.72 18. Fourier Transforms 18.1 18.0 Introduction 18.1 18.1 Fourier Integral Theorem 18.1 18.1.1 Fourier Cosine and Sine Integrals 18.2 Worked Examples 18.2 18.1.2 Complex Form of Fourier Integral 18.6 18.2 Fourier Transform Pair 18.7 18.2.1 Properties of Fourier transforms 18.8 Worked Examples18.12 Exercise 18.118.21 Answers to Exercise 18.118.22 18.3 Fourier Sine and Cosine Transforms 18.23 18.3.1 Properties of Fourier Sine and Cosine Transforms 18.24 Worked Examples18.29 Exercise 18.218.39 Answers to Exercise 18.218.39 18.4 Convolution Theorem 18.40 18.4.1 Definition: Convolution of Two Functions 18.40 18.4.2 Theorem 18.1: Convolution theorem or Faltung theorem18.41 18.4.3 Theorem 18.2 : Parseval’s identity for Fourier transforms or Energy theorem18.41 Worked Examples18.43 Exercise 18.318.51 Answers to Exercise 18.318.52 Short Answer Questions 18.52 Objective Type Questions18.53 Answers18.54 19. Laplace Transforms 19.1 19.0 Introduction 19.1 19.1 Condition for Existence of Laplace Transform 19.1 19.2 Laplace Transform of Some Elementary Functions 19.2 19.3 Some Properties of Laplace Transform 19.4 Worked Examples 19.5 A01_ENGINEERING_MATHEMATICS-I _FM - (Reprint).indd 28 3/2/2017 6:17:56 PM
  • 30.
    Contents n xxix Exercise 19.1 19.9 Answers to Exercise 19.119.10 19.4 Differentiation and Integration of Transforms 19.11 Worked Examples19.12 Exercise 19.219.20 Answers to Exercise 19.219.20 19.5 Laplace Transform of Derivatives and Integrals 19.21 Worked Examples19.23 19.5.1 Evaluation of Improper Integrals using Laplace Transform 19.25 Worked Examples19.25 19.6 Laplace Transform of Periodic Functions and Other Special Type of Functions 19.27 Worked Examples19.29 19.6.1 Laplace Transform of Unit Step Function 19.36 19.6.2 Unit impulse function19.37 19.6.3 Dirac-delta function19.37 19.6.4 Laplace transform of delta function19.37 Worked Examples19.38 Exercise 19.319.39 Answers to Exercise 19.319.41 19.7 Inverse Laplace Transforms 19.41 19.7.1 Type 1 – Direct and shifting methods19.43 Worked Examples19.43 19.7.2 Type 2 – Partial Fraction Method 19.44 Worked Examples19.44 19.7.3 Type 3 – 1. Multiplication by s and 2. Division by s19.48 Worked Examples19.48 19.7.4 Type 4 – Inverse Laplace Transform of Logarithmic and Trigonometric Functions 19.50 Worked Examples19.50 Exercise 19.419.53 Answers to Exercise 19.419.54 19.7.5 Type 5 – Method of Convolution 19.55 Worked Examples19.57 Exercise 19.519.60 Answers to Exercise 19.519.61 19.7.6 Type 6: Inverse Laplace Transform as Contour Integral 19.61 Worked Examples19.62 Exercise 19.619.64 Answers to Exercise 19.619.65 19.8 Application of Laplace Transform to the Solution of Ordinary Differential Equations 19.65 19.8.1 First Order Linear Differential Equations with Constant Coefficients 19.65 Worked Examples19.65 19.8.2 Ordinary Second and Higher Order Linear Differential Equations with Constant Coefficients 19.68 Worked Examples19.68 A01_ENGINEERING_MATHEMATICS-I _FM - (Reprint).indd 29 3/2/2017 6:17:56 PM
  • 31.
    xxx n Contents 19.8.3Ordinary Second Order Differential Equations with Variable Coefficients 19.72 Worked Examples19.72 Exercise 19.719.75 Answers to Exercise 19.719.76 19.8.4 Simultaneous Differential Equations 19.77 Worked Examples19.77 19.8.5 Integral–Differential Equation 19.83 Worked Examples19.83 Exercise 19.819.85 Answers to Exercise 19.819.86 Short Answer Questions19.86 Objective Type Questions19.86 Answers19.88 20. Applications of Partial Differential Equations 20.1 20.0 Introduction 20.1 20.1 One Dimensional Wave Equation – Equation of Vibrating String 20.2 20.1.1 Derivation of Wave Equation 20.2 20.1.2 Solution of One-Dimensional Wave Equation by the Method of Separation of Variables (or the Fourier Method) 20.3 Worked Examples 20.5 Exercise 20.120.34 Answers to Exercise 20.120.35 20.1.3 Classification of Partial Differential Equation of Second Order 20.36 Worked Examples20.37 Exercise 20.220.38 Answers to Exercise 20.220.38 20.2 One-Dimensional Equation of Heat Conduction (In a Rod) 20.39 20.2.1 Derivation of Heat Equation 20.39 20.2.2 Solution of Heat Equation by Variable Separable Method 20.40 Worked Examples20.42 Exercise 20.320.62 Answers to Exercise 20.320.63 Worked Examples20.64 Exercise 20.420.68 Answers to Exercise 20.420.69 20.3 Two Dimensional Heat Equation in Steady State 20.69 20.3.1 Solution of Two Dimensional Heat Equation 20.70 Worked Examples20.71 Exercise 20.520.83 Answers to Exercise 20.520.84 Short Answer Questions20.85 Objective Type Questions20.86 Answers20.88 IndexI.1 A01_ENGINEERING_MATHEMATICS-I _FM - (Reprint).indd 30 3/2/2017 6:17:56 PM
  • 32.
    This book EngineeringMathematics is written to cover the topics that are common to the syllabi of various universities in India. Although this book is designed primarily for engineering courses, it is also suitable for Mathematics courses and for various competitive examinations. The aim of the book is to provide a sound understanding of Mathematics. The experiences of both the authors in teaching undergraduate and postgraduate students from diverse backgrounds for over four decades have helped to present the subject as simple as possible with clarity and rigour in a step-by-step approach. This book has many distinguishing features. The topics are well organized to create self-confidence and interest among the readers to study and apply the mathematical tools in engineering and science disciplines. The subject is presented with a lot of standard worked examples and exercises that will help the readers to develop maturity in Mathematics. This book is organized into 20 chapters. At the end of each chapter, short answer questions and objective questions are given to enhance the understanding of the topics. Chapter 1 focuses on the applications of matrices to the consistency of simultaneous linear equations and Eigen value problems. Chapter 2 discusses convergence of sequence and series. Chapter 3 deals with differentiation and applications of derivative, Rolle’s Theorem, mean value theorems, asymptotes and curve tracing. Chapter 4 deals with the geometrical application of derivative in radius of curvature, centre of curvature, evolute and envelope. Chapter 5 elaborates calculus of several variables. Chapter 6 deals with integral calculus and applications of integral calculus. Chapter 7 discusses improper integrals, and beta and gamma functions. Chapter 8 focuses on multiple integrals. Chapter 9 deals with vector calculus. Chapter 10 discusses solution of various types of first order differential equations. Chapter 11 is concerned with the solution of second order and higher order linear differential equations. Chapter 12 deals with some applications of ordinary differential equations. Chapter 13 conforms to series solution of ordinary differential equations and special functions. Chapter 14 focuses on solution of partial differential equations. Preface A01_ENGINEERING_MATHEMATICS-I _FM - (Reprint).indd 31 3/2/2017 6:17:56 PM
  • 33.
    xxxii n Preface Chapter15 examines analytic functions. Chapter 16 focuses on complex integration. Chapter 17 deals with Fourier series. Chapter 18 pertains to Fourier transforms. Chapter 19 discusses Laplace transforms. Chapter 20 is concerned with applications of partial differential equations. Mathematics is a subject that can be mastered only through hard work and practice. Follow the maximum, Mathematics without practice is blind and practice without understanding is futile. “Tell me and I will forget Show me and I will remember Involve me and I will understand” —Confucius We hope that this book is student-friendly and that it will be well received by students and teachers. We heartily welcome valuable comments and suggestions from our readers for the improvement of this book, which may be addressed to profpsdas@yahoo.com. ACKNOWLEDGEMENTS P. Sivaramakrishna Das: I express my gratitude to our chairperson, Dr Elizabeth Varghese, and the directors of K.C.G. College of Technology for giving me an opportunity to write this book. I am obliged to my department colleagues for their encouragement. The inspiration to write this book came from my wife, Prof. C. Vijayakumari, who is also the co-author of this book. P. Sivaramakrishna Das and C. Vijayakumari: We are grateful to the members of our family for lending us their support for the successful completion of this book. We are obliged to Sojan Jose, R. Dheepika and C. Purushothaman of Pearson India Education Services Pvt. Ltd, for their diligence in bringing this work out to fruition. P. Sivaramakrishna Das C. Vijayakumari A01_ENGINEERING_MATHEMATICS-I _FM - (Reprint).indd 32 3/2/2017 6:17:56 PM
  • 34.
    Prof. Dr P.Sivaramakrishna Das started his career in 1967 as assistant professor of Mathematics at Ramakrishna Mission Vivekananda College, Chennai, his alma mater and retired as Head of the P.G. Department of Mathematics from the same college after an illustrious career spanning 36 years. Currently, he is professor of Mathematics and Head of the Department of Science and Humanities, K.C.G. College of Technology, Chennai (a unit of Hindustan Group of Institutions). P. Sivaramakrishna Das has done pioneering research work in the field of “Fuzzy Algebra” and possess a Ph.D. in this field. His paper on fuzzy groups and level subgroups was a fundamental paper on fuzzy algebra with over 600 citations and it was the first paper from India. With a teaching experience spanning over 49 years, he is an accomplished teacher of Mathematics at undergraduate and postgraduate levels of Arts and Science and Engineering colleges in Chennai. He has guided several students to obtain their M.Phil. degree from the University of Madras, Chennai. He was the most popular and sought-after teacher of Mathematics in Chennai during 1980s for coaching students for IIT-JEE. He has produced all India 1st rank and several other ranks in IIT-JEE. He was also a visiting professor at a few leading IIT-JEE training centres in Andhra Pradesh. Along with his wife C. Vijayakumari, he has written 10 books covering various topics of Engineering Mathematics catering to the syllabus of Anna University, Chennai, and has also written “Numerical Analysis”, an all India book, catering to the syllabi of all major universities in India. Prof. Dr C. Vijayakumari began her career in 1970 as assistant professor of Mathematics at Government Arts College for Women, Thanjavur, and has taught at various Government Arts and Science colleges across Tamil Nadu before retiring as professor of Mathematics from Queen Mary’s College (Autonomous), Chennai after an illustrious career of spanning 36 years. As a visiting professor of Mathematics, she has taught the students at two engineering colleges in Chennai. With a teaching experience spanning over 40 years, she is an accomplished teacher of Mathematics and Statistics at both undergraduate and postgraduate levels. She has guided many students to obtain their M.Phil. degree from the University of Madras, Chennai and Bharathiar University, Coimbatore. Along with her husband P. Sivaramakrishna Das, she has co-authored several books on Engineering Mathematics catering to the syllabus of Anna University, Chennai and has also co-authored “Numerical Analysis”, an all India book, catering to the syllabi of all major universities in India. About the Authors A01_ENGINEERING_MATHEMATICS-I _FM - (Reprint).indd 33 3/2/2017 6:17:56 PM
  • 35.
    This page isintentionally left blank
  • 36.
    Engineering Mathematics A01_ENGINEERING_MATHEMATICS-I _FM- (Reprint).indd 35 3/2/2017 6:17:56 PM
  • 37.
    This page isintentionally left blank
  • 38.
    1.0 INTRODUCTION The conceptof matrices and their basic operations were introduced by the British mathematician Arthur Cayley in the year 1858. He wondered whether this part of mathematics will ever be used. However, after 67 years, in 1925, the German physicist Heisenberg used the algebra of matrices in his revolutionary theory of quantum mechanics. Over the years, the theory of matrices have been found as an elegant and powerful tool in almost all branches of Science and Engineering like electrical networks, graph theory, optimisation techniques, system of differential equations, stochastic processes, computer graphics, etc. Because of the digital computers, usage of matrix methods have become greatly fruitful. In this chapter, we review some of the basic concepts of matrices. We shall discuss two important applications of matrices, namely consistency of system of linear equations and the eigen value problems. 1.1 BASIC CONCEPTS Definition 1.1 Matrix A rectangular array of mn numbers (real or complex) arranged in m rows (horizontal lines) and n columns (vertical lines) and enclosed in brackets [ ] is called an m × n matrix. The numbers in the matrix are called entries or elements of the matrix. Usually an m × n matrix is written as A a a a a a a a a a a a a a a j n j n i i i ij in = a11 12 13 1 1 21 22 23 2 2 1 2 3 … … … … … … A A A A A A A A A a a a a a m m m mj mn 1 2 3 … … ⎡ ⎣ ⎢ ⎢ ⎢ ⎢ ⎢ ⎢ ⎢ ⎢ ⎢ ⎤ ⎦ ⎥ ⎥ ⎥ ⎥ ⎥ ⎥ ⎥ ⎥ ⎥ where aij is the element lying in the ith row and jth column, the first suffix refers to row and the second suffix refers to column. The matrix A is briefly written as A = [aij ]m × n , i = 1, 2, 3, …, m, j = 1, 2, 3, …, n If all the entries are real, then the matrix A is called a real matrix. Definition 1.2 Square Matrix In a matrix, if the number of rows = number of columns = n, then it is called a square matrix of order n. If A is a square matrix of order n, then A = [aij ]n × n , i = 1, 2, 3, …, n; j = 1, 2, 3, …, n. Definition 1.3 Row Matrix A matrix with only one row is called a row matrix. 1 Matrices M01_ENGINEERING_MATHEMATICS-I _CH01_Part A.indd 1 5/30/2016 4:34:37 PM
  • 39.
    1.2 ■ EngineeringMathematics EXAMPLE 1.1 Let A = [a11 a12 a13 … a1n ]. It is a row matrix with n columns. So, it is of type 1 × n. EXAMPLE 1.2 Let A = [1, 2, 3, 4]. It is a row matrix with 4 columns. So, it is a row matrix of type 1 × 4. Definition1.4 Column Matrix A matrix with only one column is called a column matrix. EXAMPLE 1.3 Let A a a a an = ⎡ ⎣ ⎢ ⎢ ⎢ ⎢ ⎢ ⎢ ⎤ ⎦ ⎥ ⎥ ⎥ ⎥ ⎥ ⎥ 11 21 31 1 : It is a column matrix with n rows. So, it is of type n × 1. EXAMPLE 1.4 Let A = − ⎡ ⎣ ⎢ ⎢ ⎢ ⎢ ⎢ ⎢ ⎤ ⎦ ⎥ ⎥ ⎥ ⎥ ⎥ ⎥ 1 0 2 1 3 It is a column matrix with 5 rows. So, it is of type 5 × 1. Definition 1.5 Diagonal Matrix A square matrix A = [aij ] with all entries aij = 0 when i ≠ j is is called a diagonal matrix. In other words a square matrix in which all the off diagonal elements are zero is called a diagonal matrix. EXAMPLE 1.5 (1) A a ann = … … … 11 0 0 0 0 0 0 0 0 0 22 a : : : ⎡ ⎣ ⎢ ⎢ ⎢ ⎢ ⎤ ⎦ ⎥ ⎥ ⎥ ⎥ is a diagonal matrix of order n. (2) A = − ⎡ ⎣ ⎢ ⎢ ⎢ ⎤ ⎦ ⎥ ⎥ ⎥ 2 0 0 0 3 0 0 0 4 is a diagonal matrix of order 3. (3) A = − ⎡ ⎣ ⎢ ⎢ ⎢ ⎢ ⎤ ⎦ ⎥ ⎥ ⎥ ⎥ 1 0 0 0 0 2 0 0 0 0 3 0 0 0 0 0 is a diagonal matrix of order 4. M01_ENGINEERING_MATHEMATICS-I _CH01_Part A.indd 2 5/30/2016 4:34:38 PM
  • 40.
    Matrices ■ 1.3 Definition1.6 Scalar Matrix In a diagonal matrix if all the diagonal elements are equal to a non-zero scalar a, then it is called a scalar matrix. EXAMPLE 1.6 A = ⎡ ⎣ ⎢ ⎢ ⎢ ⎤ ⎦ ⎥ ⎥ ⎥ a a a 0 0 0 0 0 0 is a scalar matrix. Definition 1.7 Unit Matrix or Identity Matrix In a diagonal matrix, if all the diagonal elements are equal to 1, then it is called a Unit matrix or identity matrix. EXAMPLE 1.7 [ ], , 1 1 0 0 1 1 0 0 0 1 0 0 0 1 ⎡ ⎣ ⎢ ⎤ ⎦ ⎥ ⎡ ⎣ ⎢ ⎢ ⎢ ⎤ ⎦ ⎥ ⎥ ⎥ are identity matrices of orders 1, 2, 3 respectively. They are denoted by I1 , I2 , I3 . In general, In is the identity matrix of order n. Definition 1.8 Zero Matrix or Null Matrix In a matrix (rectangular or square), if all the entries are equal to 0, then it is called a zero matrix or null matrix. EXAMPLE 1.8 A B = ⎡ ⎣ ⎢ ⎤ ⎦ ⎥ = ⎡ ⎣ ⎢ ⎤ ⎦ ⎥ 0 0 0 0 0 0 0 0 0 0 0 0 , are zero matrices of types 2 × 2 and 2 × 4. Definition 1.9 Triangular matrix A square matrix A = [aij ] is said to be an upper triangular matrix if all the entries below the main diagonal are zero. That is aij = 0 if i j A square matrix A = [aij ] is said to be a lower triangular matrix if all the entries above the main diagonal are zero. That is aij = 0 if i j EXAMPLE 1.9 (1) The matrices A B = − ⎡ ⎣ ⎢ ⎢ ⎢ ⎤ ⎦ ⎥ ⎥ ⎥ = − ⎡ ⎣ ⎢ ⎢ ⎢ ⎢ ⎤ ⎦ ⎥ ⎥ ⎥ ⎥ 1 2 3 0 1 4 0 0 5 4 1 0 2 0 2 3 1 0 0 0 2 0 0 0 5 and are upper triangular matrices. (2) The matrices A = − ⎡ ⎣ ⎢ ⎤ ⎦ ⎥ 2 0 1 0 and B = − ⎡ ⎣ ⎢ ⎢ ⎢ ⎤ ⎦ ⎥ ⎥ ⎥ 1 0 0 2 1 0 0 2 1 are lower triangular matrices. M01_ENGINEERING_MATHEMATICS-I _CH01_Part A.indd 3 5/30/2016 4:34:39 PM
  • 41.
    1.4 ■ EngineeringMathematics 1.1.1 Basic Operations on Matrices Definition 1.10 Equality of Matrices Two matrices A = [aij ] and B = [bij ] of the same type m × n are said to be equal if aij = bij for all i, j and is written as A = B. Definition 1.11 Addition of Matrices Let A = [aij ] and B = [bij ] of the same type m × n. Then A + B = [cij ], where cij = aij + bij for all i and j and A + B is of type m × n. EXAMPLE 1.10 If A = − ⎡ ⎣ ⎢ ⎤ ⎦ ⎥ 1 2 3 0 1 5 and B = − ⎡ ⎣ ⎢ ⎤ ⎦ ⎥ 1 2 3 1 0 2 , then A B + = − + + + + + − ⎡ ⎣ ⎢ ⎤ ⎦ ⎥ = ⎡ ⎣ ⎢ ⎤ ⎦ ⎥ 1 1 2 2 3 3 0 1 1 0 5 2 0 4 6 1 1 3 We see that A and B are of type 2 × 3 and A + B is also of type 2 × 3. Definition 1.12 Scalar Multiplication of a Matrix Let A = [aij ] be an m × n matrix and k be a scalar, then kA = [kaij ]. EXAMPLE 1.11 If A a a a a a a = ⎡ ⎣ ⎢ ⎤ ⎦ ⎥ 11 12 13 21 22 23 , then kA ka ka ka ka ka ka = ⎡ ⎣ ⎢ ⎤ ⎦ ⎥ 11 12 13 21 22 23 . In particular if k = −1, then − = − − − − − − ⎡ ⎣ ⎢ ⎤ ⎦ ⎥ A a a a a a a 11 12 13 21 22 23 . Multiplication of Matrices If A and B are two matrices such that the number of columns of A is equal to the number of rows of B, then the product AB is defined. Two such matrices are said to be conformable for multiplication. In the product AB, A is known as pre-factor and B is known as post-factor. Definition 1.13 Let A = [aij ] be an m × p matrix and B = [bij ] be an p × n matrix, then AB is defined and AB = [cij ] is an m × n matrix, where c a b ij ik kj k p = = ∑1 . That is cij is the sum of the products of the corresponding elements of the ith row of A and the jth column of B. EXAMPLE 1.12 Let A B = ⎡ ⎣ ⎢ ⎢ ⎢ ⎤ ⎦ ⎥ ⎥ ⎥ = ⎡ ⎣ ⎢ ⎢ ⎢ ⎤ ⎦ ⎥ ⎥ ⎥ 1 1 2 0 1 3 2 2 1 1 2 3 1 2 1 and Since A is of type 3 × 3 and B is of type 3 × 2, AB is defined and AB is of type 3 × 2. AB = ⎡ ⎣ ⎢ ⎢ ⎢ ⎤ ⎦ ⎥ ⎥ ⎥ ⎡ ⎣ ⎢ ⎢ ⎢ ⎤ ⎦ ⎥ ⎥ ⎥ = ⋅ + ⋅ + ⋅ ⋅ + ⋅ + 1 1 2 0 1 3 2 2 1 1 2 3 1 2 1 1 1 1 3 2 2 1 2 1 1 2 2 1 0 1 1 3 3 2 0 2 1 1 3 1 2 1 2 3 1 2 2 2 2 1 1 1 ⋅ ⋅ + ⋅ + ⋅ ⋅ + ⋅ + ⋅ ⋅ + ⋅ + ⋅ ⋅ + ⋅ + ⋅ ⎡ ⎣ ⎢ ⎢ ⎢ ⎤ ⎦ ⎥ ⎥ ⎥ = = ⎡ ⎣ ⎢ ⎢ ⎢ ⎤ ⎦ ⎥ ⎥ ⎥ 8 5 9 4 10 7 M01_ENGINEERING_MATHEMATICS-I _CH01_Part A.indd 4 5/30/2016 4:34:41 PM
  • 42.
    Matrices ■ 1.5 NoteIf A and B are square matrices of order n, then both AB and BA are defined, but not necessarily equal. That is, AB ≠ BA, in general. So, matrix multiplication is not commutative. 1.1.2 Properties of addition, scalar multiplication and multiplication 1. If A, B, C are matrices of the same type, then (i) A + B = B + A (ii) A + (B + C) = (A + B) + C (iii) A + 0 = A (iv) A + (−A) = 0 (v) a(A + B) = aA + aB (vi) (a + b)A = aA + bA (vii) a(bA) = (ab)A for any scalars a, b. 2. If A, B, C are conformable for multiplication, then (i) a(AB) = (aA)B = A(aB) (ii) A(BC) = (AB)C (iii) (A + B)C = AC + BC, where A and B are of type m × p and C is of type p × n. (iv) If A is a square matrix, then A2 = A × A, A3 = A2 × A, …, An = An − 1 × A Definition 1.14 Transpose of a Matrix Let A = [aij ] be an m × n matrix. The transpose of A is obtained by interchanging the rows and columns of A and it is denoted by AT . ∴ = A a T ji [ ] is a n × m matrix. Properties: (i) (AT )T = A (ii) (A + B)T = AT + BT (iii) (AB)T = BT AT (iv) (aA)T = aAT Definition 1.15 Symmetric Matrix A square matrix A = [aij ] of order n is said to be symmetric if AT = A. This means [aji ] = [aij ] ⇒ aji = aij for i, j = 1, 2, …n Thus, in a symmetric matrix elements equidistant from the main diagonal are the same. EXAMPLE 1.13 A a h g h b f g f c = ⎡ ⎣ ⎢ ⎢ ⎢ ⎤ ⎦ ⎥ ⎥ ⎥ and B = − − ⎡ ⎣ ⎢ ⎢ ⎢ ⎢ ⎢ ⎤ ⎦ ⎥ ⎥ ⎥ ⎥ ⎥ 1 2 3 4 2 0 5 7 3 5 2 8 4 7 8 4 are symmetric matrices of orders 3 and 4. Definition 1.16 Skew-Symmetric Matrix A square matrix A = [aij ] of order n is said to be skew-symmetric if AT = −A. This means [aji ] = −[aij ] ⇒ aji = − aij for all i, j = 1, 2, …, n In particular, put j = i, then aii = − aii ⇒ 2aii = 0 ⇒ aii = 0 for all i = 1, 2, …, n So, in a skew-symmetric matrix, the diagonal elements are all zero and elements equidistant from the main diagonal are equal in magnitude, but opposite in sign. M01_ENGINEERING_MATHEMATICS-I _CH01_Part A.indd 5 5/30/2016 4:34:41 PM
  • 43.
    1.6 ■ EngineeringMathematics EXAMPLE 1.14 A B = − ⎡ ⎣ ⎢ ⎤ ⎦ ⎥ = − − − ⎡ ⎣ ⎢ ⎢ ⎢ ⎤ ⎦ ⎥ ⎥ ⎥ 0 1 1 0 0 2 3 2 0 4 3 4 0 and are skew-symmetric matrices of orders 2 and 3. Definition 1.17 Non-Singular Matrix A Square matrix A is said to be non-singular if A ≠ 0 ( A means determinant of A). If A = 0, then A is singular. Definition 1.18 Minor and Cofactor of an Element Let A = [aij ] be a square matrix of order n. If we delete the row and column of the element aij , we get a square submatrix of order (n − 1). The determinant of this submatrix is called the minor of the element aij and is denoted by Mij . The cofactor of aij in A is A M ij i j ij = − + ( ) 1 EXAMPLE 1.15 A = − ⎡ ⎣ ⎢ ⎢ ⎢ ⎤ ⎦ ⎥ ⎥ ⎥ 1 6 2 0 2 4 3 1 2 The cofactor of a11 = 1 is A11 1 1 1 2 4 1 2 = − − + ( ) = −4 −4 = −8 The cofactor of a12 = 6 is A12 1 2 1 0 4 3 2 = − + ( ) = − (−12) = 12 The cofactor of a32 = 1 is A32 3 2 1 1 2 0 4 = − + ( ) = − (4 −0) = −4 Similarly, we can determine the cofactors of other elements. Definition 1.19 Adjoint of a Matrix Let A = [aij ] be a square matrix. The adjoint of A is defined as the transpose of the matrix of cofactors of the elements of A and it is denoted by adj A. Thus, adj A A A A A A A A A A n n n n nn T = ⎡ ⎣ ⎢ ⎢ ⎢ ⎢ ⎤ ⎦ ⎥ ⎥ ⎥ ⎥ 11 12 1 21 21 2 1 2 … … … : : : Properties: If A and B are square matrices of order n, then (i) adj AT = (adj A)T (ii) (adj A) A = A (adj A) = A In . (iii) adj(AB) = (adj A) (adj B) Using property (ii), we define inverse. Definition 1.20 Inverse of a Matrix If A is a non-singular matrix, then the inverse of A is defined as adj A A and it is denoted by A−1 . M01_ENGINEERING_MATHEMATICS-I _CH01_Part A.indd 6 5/30/2016 4:34:44 PM
  • 44.
    Matrices ■ 1.7 ∴A A A − = 1 adj EXAMPLE 1.16 Find the inverse of A = − ⎡ ⎣ ⎢ ⎢ ⎢ ⎤ ⎦ ⎥ ⎥ ⎥ 1 6 2 0 2 4 3 1 2 . Solution. Given A = − ⎡ ⎣ ⎢ ⎢ ⎢ ⎤ ⎦ ⎥ ⎥ ⎥ 1 6 2 0 2 4 3 1 2 ∴ A = − 1 6 2 0 2 4 3 1 2 = 1(−4 −4) −6(0 − 12) + 2(0 + 6) = −8 + 72 + 12 = 76 ≠ 0 Since A ≠ 0, A is non-singular and hence A−1 exists and A A A − = 1 adj . We shall find the cofactors of the elements of A A A A 11 1 1 12 1 2 13 1 2 4 1 2 4 4 8 1 0 4 3 2 0 12 12 = − − = − − = − = − = − − = = + + ( ) ( ) , ( ) ( ) (− − − = + = = − = − − = − = − + + + 1 0 2 3 1 0 6 6 1 6 2 1 2 12 2 10 1 1 3 21 2 1 22 2 ) ( ) , ( ) ( ) ( ) A A 2 2 23 2 3 31 3 1 1 2 3 2 2 6 4 1 1 6 3 1 1 18 17 1 6 2 2 4 = − = − = − = − − = = − − + + ( ) , ( ) ( ) ( ) A A = = + = = − = − − = − = − − = − − + + ( ) , ( ) ( ) ( ) ( 24 4 28 1 1 2 0 4 4 0 4 1 1 6 0 2 2 32 3 2 33 3 3 A A 0 0 2 ) = − ∴ 8 12 6 10 4 17 28 4 2 8 10 28 12 4 4 6 17 = − − − − − ⎡ ⎣ ⎢ ⎢ ⎢ ⎤ ⎦ ⎥ ⎥ ⎥ = − − − − − adj A T 2 2 ⎡ ⎣ ⎢ ⎢ ⎢ ⎤ ⎦ ⎥ ⎥ ⎥ ∴ A − = − − − − − ⎡ ⎣ ⎢ ⎢ ⎢ ⎤ ⎦ ⎥ ⎥ ⎥ 1 1 76 8 10 28 12 4 4 6 17 2 1.2 COMPLEX MATRICES A matrix with at least one element as complex number is called a complex matrix. Let A = [aij ] be a complex matrix. The conjugate matrix of A is denoted by A and A aij = ⎡ ⎣ ⎤ ⎦. M01_ENGINEERING_MATHEMATICS-I _CH01_Part A.indd 7 5/30/2016 4:34:46 PM
  • 45.
    1.8 ■ EngineeringMathematics EXAMPLE 1.17 A i i i = − − ⎡ ⎣ ⎢ ⎤ ⎦ ⎥ 2 2 3 2 0 3 is a complex matrix. The conjugate of A is A i i i i i i = − − ⎡ ⎣ ⎢ ⎢ ⎤ ⎦ ⎥ ⎥ = − + ⎡ ⎣ ⎢ ⎤ ⎦ ⎥ 2 2 3 2 0 3 2 2 3 2 0 3 [{ conjugate of a + ib = a − ib] We denote A T ( ) by A*. ∴ A* is the transpose of the conjugate of A. In the above example A i i i * = − + ⎡ ⎣ ⎢ ⎢ ⎢ ⎤ ⎦ ⎥ ⎥ ⎥ 2 3 2 0 2 3 Note We have A A A A T T T ⎡ ⎣ ⎤ ⎦ = ⎡ ⎣ ⎤ ⎦ ∴ = ⎡ ⎣ ⎤ ⎦ ∗ ∴ If A a A a A a ji T ji T ji = = ⎡ ⎣ ⎤ ⎦ [ ], [ ], then =[ ] ∴ A ∗ = [ ] aji Definition 1.21 Hermitian Matrix A complex square matrix A is said to be a Hermitian matrix if A* = A and Skew-Hermitian matrix if A* = −A. A Hermitian matix is also denoted by AH . If A = [aij ], then A aji * [ ] = ∴ A* = A ⇒ aji = aij for all i and j Put j = i, then aii = aii ⇒ aii are real numbers. So, the diagonal elements of a Hermitian matrix are real numbers. The elements equidistant from the main diagonal are conjugates. A* = −A ⇒ aji = −aij for all i and j Put j = i, then aii = −aii If aii = a + ib, then aii = a − ib ∴ a − ib = −(a + ib) ⇒ 2a = 0 ⇒ a = 0 ∴ aii = ib, which is purely imaginary if b ≠ 0 and 0 if b = 0. ∴ the diagonal elements of a Skew-Hermitian matrix are all purely imaginary or 0 and the elements equidistant from the main diagonal are conjugates with opposite sign. Properties: If A and B are complex matrices, then 1. A A ( ) = , 2. A B A B + = + 3. a a A A = 4. AB A B = 5. (A*).* = A 6. (A + B).* = A* + B* 7. (aA).* = aA * 8. (AB).* = B*A* Definition 1.22 Unitary Matrix A complex square matrix is said to be unitary if AA* = A*A = I From the definition it is obvious that A* is the inverse of A. ∴ A* = A−1 M01_ENGINEERING_MATHEMATICS-I _CH01_Part A.indd 8 5/30/2016 4:34:50 PM
  • 46.
    Matrices ■ 1.9 EXAMPLE1.18 Show that A i i 5 2 2 1 1 3 3 2 ⎡ ⎣ ⎢ ⎤ ⎦ ⎥ is a Hermitian matrix. Solution. Given A = − − + ⎡ ⎣ ⎢ ⎤ ⎦ ⎥ 1 3 3 2 i i ∴ A A i i T T * = ( ) = − − + ⎡ ⎣ ⎢ ⎢ ⎤ ⎦ ⎥ ⎥ 1 3 3 2 = − + − ⎡ ⎣ ⎢ ⎤ ⎦ ⎥ = − − + ⎡ ⎣ ⎢ ⎤ ⎦ ⎥ 1 3 3 2 1 3 3 2 i i i i T = A ∴ A is Hermitian matrix. EXAMPLE 1.19 Show that B i i i i i i 5 2 1 1 2 2 1 2 1 3 3 2 3 0 2 3 3 2 2 3 2 ⎡ ⎣ ⎢ ⎢ ⎢ ⎤ ⎦ ⎥ ⎥ ⎥ is a Hermitian matrix. Solution. Since the diagonal elements are real and elements equidistant from the main diagonal are conjugates, B is a Hermitian matrix. EXAMPLE 1.20 Show that A i i i 5 1 2 2 2 1 1 0 ( ) ⎡ ⎣ ⎢ ⎤ ⎦ ⎥ is a Skew-Hermitian matrix. Solution. Given A i i i = + − − ⎡ ⎣ ⎢ ⎤ ⎦ ⎥ 2 1 1 0 ( ) Since the diagonal elements are purely imaginary or zero and (1 + i) and − (1 − i) are conjugates with opposite sign, A is Skew-Hermitian matrix. EXAMPLE 1.21 Show that B i i i i i i i i 5 1 2 2 2 1 2 1 2 2 2 1 2 5 1 0 2 3 2 5 2 3 3 ( ) ( ) ( ) ⎡ ⎣ ⎢ ⎢ ⎢ ⎤ ⎦ ⎥ ⎥ ⎥ is skew-Hermitian. Solution. Given B i i i i i i i i = + − − − + − + − − ⎡ ⎣ ⎢ ⎢ ⎢ ⎤ ⎦ ⎥ ⎥ ⎥ 2 1 2 5 1 0 2 3 2 5 2 3 3 ( ) ( ) ( ) In B, the diagonal elements are purely imaginary or zero and the elements equidistant from the main diagonal are conjugates with opposite sign. So, B is skew-Hermitian matrix. Note If A is a real matrix, then the definition of unitary ⇒ AAT = AT A = I. In this case A is called an orthogonal matrix. So, if A is an orthogonal matrix, then AT = A−1 . M01_ENGINEERING_MATHEMATICS-I _CH01_Part A.indd 9 5/30/2016 4:34:52 PM
  • 47.
    1.10 ■ EngineeringMathematics WORKED EXAMPLES EXAMPLE 1 If A i i i i 5 1 2 1 2 2 2 3 1 3 5 4 2 ⎡ ⎣ ⎢ ⎤ ⎦ ⎥ , then show that AA* is a Hermitian matrix. Solution. Given A i i i i = + − + − − ⎡ ⎣ ⎢ ⎤ ⎦ ⎥ 2 3 1 3 5 4 2 ∴ A* = A i i i i T T [ ] = − − − − − + ⎡ ⎣ ⎢ ⎤ ⎦ ⎥ 2 3 1 3 5 4 2 = − − − − − + ⎡ ⎣ ⎢ ⎢ ⎢ ⎤ ⎦ ⎥ ⎥ ⎥ 2 5 3 1 3 4 2 i i i i We have to prove AA* is a Hermitian matrix. That is to prove (AA*)* = AA* Now AA i i i i i i i i * = + − + − − ⎡ ⎣ ⎢ ⎤ ⎦ ⎥ − − − − − + ⎡ ⎣ ⎢ ⎢ ⎢ ⎤ ⎦ ⎥ ⎥ ⎥ 2 3 1 3 5 4 2 2 5 3 1 3 4 2 = + − + ⋅ + − + − − + − + − + − + + ( )( ) ( )( ) ( )( ) ( ) ( ) ( 2 2 3 3 1 3 1 3 2 5 3 1 3 4 2 i i i i i i i i i i i i i i i i i ) ( ) ( )( ) ( )( ) ( ) ( )( ) − − + ⋅ + − − − − − + − + − + ⎡ ⎣ ⎢ 5 2 3 4 2 1 3 5 5 4 2 4 2 ⎤ ⎤ ⎦ ⎥ = + + + + − − − − + + − + + − − + − + 2 1 9 1 3 10 5 3 4 10 6 10 5 3 4 10 6 25 4 2 2 2 2 2 2 i i i i i i i i i + + ⎡ ⎣ ⎢ ⎤ ⎦ ⎥ = − + − − − − ⎡ ⎣ ⎢ ⎤ ⎦ ⎥ = − + − − ⎡ ⎣ ⎢ ⎤ 2 24 14 2 6 14 2 6 46 24 20 2 20 2 46 2 i i i i ⎦ ⎦ ⎥ = − [ ] { i2 1 ∴ ( *)* AA i i T = − + − − ⎡ ⎣ ⎢ ⎢ ⎤ ⎦ ⎥ ⎥ 24 20 2 20 2 46 = − − − + ⎡ ⎣ ⎢ ⎤ ⎦ ⎥ = − + − − ⎡ ⎣ ⎢ ⎤ ⎦ ⎥ 24 20 2 20 2 46 24 20 2 20 2 46 i i i i T = AA* ⇒ (AA*)* = AA* Hence, AA* is a Hermitian matrix. EXAMPLE 2 Show that every square complex matrix can be expressed uniquely as P + iQ, where P and Q are Hermitian matrices. Solution. Let A be any square complex matrix. We shall rewrite A as A A A i i A A = + + − ⎡ ⎣ ⎢ ⎤ ⎦ ⎥ 1 2 1 2 [ *] ( *) M01_ENGINEERING_MATHEMATICS-I _CH01_Part A.indd 10 5/30/2016 4:34:54 PM
  • 48.
    Matrices ■ 1.11 PutP A A Q i A A = + = − 1 2 1 2 ( *), ( *), then A = P + iQ. We shall now prove P and Q are Hermitian. Now, P A A A A A A P * ( *) ( * ( *)* ( * ) * = + ⎡ ⎣ ⎢ ⎤ ⎦ ⎥ = + ⎡ ⎣ ⎢ ⎤ ⎦ ⎥ = + = 1 2 1 2 1 2 ∴ P is Hermitian. and Q A A i A A i A A i A A Q * ( *) ( * ( *)* [ * ] ( *) * = − ⎡ ⎣ ⎢ ⎤ ⎦ ⎥ = − [ ]= − − = − = 1 2 1 2 1 2 1 2 i ∴ Q is Hermitian. We shall now prove the uniqueness of the expression A = P + iQ. If possible, let A = R + iS (1) where R and S are Hermitian matrices. ∴ R* = R and S* = S Now, A* = (R + iS)* = R* + (iS)* = R* − iS* = R − iS [by property] (2) (1) + (2) ⇒ A + A* = 2R ⇒ R = 1 2 ( *) A A P + = (1) − (2) ⇒ A − A* = 2iS ⇒ S = 1 2i A A Q ( *) − = ∴ the expression A = P + iQ is unique. EXAMPLE 3 If A is any square complex matrix, prove that (1) A 1 A* is Hermitian and (ii) A 5 B 1 C, where B is Hermitian and C is Skew-Hermitian. Solution. Given A is a square complex matrix. (i) Let P = A + A* ∴ P* = (A + A*)* = A* + (A*)* = A* + A = A + A* = P [by property] ∴ P is Hermitian Hence, A + A* is Hermitian. To prove (ii): Since A is square complex matrix, we can write A as A A A A A = + + − 1 2 1 2 ( *) ( *) = B + C where B A A = + 1 2 ( *) is Hermitian by part (i) and C A A = − 1 2 ( *) ⇒ C A A A A * ( *) ( * ( *)* * = − ⎡ ⎣ ⎢ ⎤ ⎦ ⎥ = − [ ] 1 2 1 2 = − = − − = − 1 2 1 2 [ * ] [ *] A A A A C ∴ C is Skew- Hermitian. M01_ENGINEERING_MATHEMATICS-I _CH01_Part A.indd 11 5/30/2016 4:34:57 PM
  • 49.
    1.12 ■ EngineeringMathematics EXAMPLE 4 If A 5 1 2 1 0 1 2 2 0 i i 1 ⎡ ⎣ ⎢ ⎤ ⎦ ⎥ , then show that (I 2 A) (I 1 A)21 is a unitary matrix. Solution. Given A i i = + − + ⎡ ⎣ ⎢ ⎤ ⎦ ⎥ 0 1 2 1 2 0 = + − − ⎡ ⎣ ⎢ ⎤ ⎦ ⎥ 0 1 2 1 2 0 i i ( ) . Let I = ⎡ ⎣ ⎢ ⎤ ⎦ ⎥ 1 0 0 1 . ∴ I A i i + = ⎡ ⎣ ⎢ ⎤ ⎦ ⎥ + + − − ⎡ ⎣ ⎢ ⎤ ⎦ ⎥ 1 0 0 1 0 1 2 1 2 0 ( ) = + − − ⎡ ⎣ ⎢ ⎤ ⎦ ⎥ 1 1 2 1 2 1 i i ( ) I A i i i i + = + − − = + − + = + + = ≠ 1 1 2 1 2 1 1 1 2 1 2 1 1 4 6 0 ( ) ( )( ) ∴ Inverse of I + A exists and ( ) ( ) I A I A I A + = + + −1 adj adj( ) ( ) ( ) I A i i i i T + = − − + ⎡ ⎣ ⎢ ⎤ ⎦ ⎥ = − + − ⎡ ⎣ ⎢ ⎤ ⎦ ⎥ 1 1 2 1 2 1 1 1 2 1 2 1 ∴ ( ) ( ) I A i i + = − + − ⎡ ⎣ ⎢ ⎤ ⎦ ⎥ −1 1 6 1 1 2 1 2 1 ∴ I A i i − = ⎡ ⎣ ⎢ ⎤ ⎦ ⎥ − + − + ⎡ ⎣ ⎢ 1 0 0 1 0 1 2 1 2 0 ⎤ ⎤ ⎦ ⎥ = − + − ⎡ ⎣ ⎢ ⎤ ⎦ ⎥ 1 1 2 1 2 1 ( ) i i ∴ (I A I A i i i i − + = − + − ⎡ ⎣ ⎢ ⎤ ⎦ ⎥ − + − ⎡ ⎣ ⎢ ⎤ ⎦ ⎥ = − − )( ) ( ) ( ) 1 1 6 1 1 2 1 2 1 1 1 2 1 2 1 1 6 1 ( ( )( ) ( ) ( ) ( ) ( ) ( )( ) 1 2 1 2 1 2 1 2 1 2 1 2 1 2 1 2 1 + − − + − + − + − − − + + ⎡ ⎣ ⎢ i i i i i i i i ⎤ ⎤ ⎦ ⎥ = − + − + − − + + ⎡ ⎣ ⎢ ⎤ ⎦ ⎥ = − − + 1 6 1 1 4 2 1 2 2 1 2 1 4 1 1 6 4 2 1 2 2 ( ) ( ) ( ) ( ) ( ) ( i i i 1 1 2 4 − − ⎡ ⎣ ⎢ ⎤ ⎦ ⎥ = i B ) , say Now, B i i T * ( ) ( ) = − − + − − ⎡ ⎣ ⎢ ⎢ ⎤ ⎦ ⎥ ⎥ 1 6 4 2 1 2 2 1 2 4 = − − − + − ⎡ ⎣ ⎢ ⎤ ⎦ ⎥ = − + − − − ⎡ ⎣ ⎢ ⎤ ⎦ ⎥ 1 6 4 2 1 2 2 1 2 4 1 6 4 2 1 2 2 1 2 4 ( ) ( ) ( ) ( ) i i i i T To prove B = (I − A) (I + A)−1 is unitary, verify BB* = I Now, BB i i i i * ( ) ( ) ( ) ( ) = − − + − − ⎡ ⎣ ⎢ ⎤ ⎦ ⎥ − + − − − ⎡ ⎣ ⎢ ⎤ ⎦ ⎥ 1 36 4 2 1 2 2 1 2 4 4 2 1 2 2 1 2 4 = + + − − + + + − − + − + 1 36 16 4 1 2 1 2 8 1 2 8 1 2 8 1 2 8 1 2 4 1 2 ( )( ) ( ) ( ) ( ) ( ) ( i i i i i i i) )( ) 1 2 16 − + ⎡ ⎣ ⎢ ⎤ ⎦ ⎥ i M01_ENGINEERING_MATHEMATICS-I _CH01_Part A.indd 12 5/30/2016 4:35:00 PM
  • 50.
    Matrices ■ 1.13 () ( ) 1 36 16 4 1 4 0 0 4 1 4 6 1 36 36 0 0 36 = + + + + ⎡ ⎣ ⎢ ⎤ ⎦ ⎥ = ⎡ ⎣ ⎢ ⎢ ⎤ ⎦ ⎥ = ⎡ ⎣ ⎢ ⎤ ⎦ ⎥ = 1 0 0 1 I. ∴ B is unitary. Hence, (I − A)(I + A)−1 is unitary. Note Another method: To prove B is unitary, verify B* = B−1 EXERCISE 1.1 1. If A B A B + = ⎡ ⎣ ⎢ ⎤ ⎦ ⎥ − = ⎡ ⎣ ⎢ ⎤ ⎦ ⎥ 7 0 2 5 3 0 0 3 , , find A and B 2. Find x, y, z and w if 3 6 1 2 4 3 x y z w x w x y z w ⎡ ⎣ ⎢ ⎤ ⎦ ⎥ = − ⎡ ⎣ ⎢ ⎤ ⎦ ⎥ + + + ⎡ ⎣ ⎢ ⎤ ⎦ ⎥ 3. If matrix A has x rows and x +5 columns and B has y rows and 11 − y columns such that both AB and BA exist, then find x and y. 4. If A = − ⎡ ⎣ ⎢ ⎢ ⎢ ⎤ ⎦ ⎥ ⎥ ⎥ 2 3 4 1 2 3 1 1 2 and B = − ⎡ ⎣ ⎢ ⎢ ⎢ ⎤ ⎦ ⎥ ⎥ ⎥ 1 3 0 1 2 1 0 0 2 , then find AB and BA and test their equality. 5. If A = − ⎡ ⎣ ⎢ ⎢ ⎢ ⎢ ⎤ ⎦ ⎥ ⎥ ⎥ ⎥ 0 2 2 0 tan tan a a , show that I A I A + = − − ⎡ ⎣ ⎢ ⎤ ⎦ ⎥ [ ] cos sin sin cos a a a a 6. If A = − ⎡ ⎣ ⎢ ⎤ ⎦ ⎥ cos sin sin cos a a a a , then verify that AAT = I2 . 7. If A is a square matrix, then show that A can be expressed as A = P + Q, where P is symmetric and Q is skew-symmetric. Hint: Take P A A Q A A T T = + = − ⎡ ⎣ ⎢ ⎤ ⎦ ⎥ 2 2 , 8. If A = − ⎡ ⎣ ⎢ ⎢ ⎢ ⎤ ⎦ ⎥ ⎥ ⎥ 2 0 1 2 1 3 1 1 0 and f(x) = x2 − 5x + 6, then find f(A). 9. If A = − ⎡ ⎣ ⎢ ⎢ ⎢ ⎤ ⎦ ⎥ ⎥ ⎥ 1 1 1 2 3 0 18 2 10 , then prove that A(adj A) = 0 0 0 0 0 0 0 0 0 ⎡ ⎣ ⎢ ⎢ ⎢ ⎤ ⎦ ⎥ ⎥ ⎥ . 10. Find the inverse of A = − ⎡ ⎣ ⎢ ⎢ ⎢ ⎤ ⎦ ⎥ ⎥ ⎥ 1 0 0 3 3 0 5 2 1 in terms of adj A. 11. Show that A i i i i = + − + + − ⎡ ⎣ ⎢ ⎤ ⎦ ⎥ 1 2 1 1 1 1 is unitary. 12. If A and B are orthogonal matrices of the same order, prove that AB is orthogonal. [Hint: AAT = I, BBT = I. Compute AB(AB)T = A(BBT )AT = AAT = I]. M01_ENGINEERING_MATHEMATICS-I _CH01_Part A.indd 13 5/30/2016 4:35:03 PM
  • 51.
    1.14 ■ EngineeringMathematics 13. If A and B are Hermitian matrices of the same order, prove that (i) A + B is Hermitian (ii) AB + BA is Hermitian (iii) iA is Skew-Hermitian (iv) AB − BA is Skew-Hermitian 14. Find the inverse of the following matrices. (i) 2 1 4 3 0 1 1 1 2 − − − ⎡ ⎣ ⎢ ⎢ ⎢ ⎤ ⎦ ⎥ ⎥ ⎥ (ii) 4 3 3 1 0 1 4 4 3 − − − − − ⎡ ⎣ ⎢ ⎢ ⎢ ⎤ ⎦ ⎥ ⎥ ⎥ 15. If A = 3 3 4 2 3 4 0 1 1 − − − ⎡ ⎣ ⎢ ⎢ ⎢ ⎤ ⎦ ⎥ ⎥ ⎥ , then show that A3 = A−1 . ANSWERS TO EXERCISE 1.1 1. A B = ⎡ ⎣ ⎢ ⎤ ⎦ ⎥ = ⎡ ⎣ ⎢ ⎤ ⎦ ⎥ 5 0 1 4 2 0 1 1 , 2. x = 2, y = 4, z = 1, w = 3 3. x = 3, y = 8 4. AB ≠ BA 8. f A ( ) = − − − − − − ⎡ ⎣ ⎢ ⎢ ⎢ ⎤ ⎦ ⎥ ⎥ ⎥ 1 1 3 1 1 10 5 4 4 10. A− = − − ⎡ ⎣ ⎢ ⎢ ⎢ ⎢ ⎢ ⎤ ⎦ ⎥ ⎥ ⎥ ⎥ ⎥ 1 1 0 0 1 1 3 0 3 2 3 1 14. (i) A− = − − − − − ⎡ ⎣ ⎢ ⎢ ⎢ ⎤ ⎦ ⎥ ⎥ ⎥ 1 1 6 1 5 8 14 3 1 3 (ii) A− = − − − − ⎡ ⎣ ⎢ ⎢ ⎢ ⎤ ⎦ ⎥ ⎥ ⎥ 1 4 3 3 1 0 1 4 4 3 1.3 RANK OF A MATRIX Let A = [aij ] be an m × n matrix. A matrix obtained by omitting some rows and columns of A is called a submatrix of A. The determinant of a square submatrix of order r is called a minor of order r of A. EXAMPLE 1.22 Consider A = − − − ⎡ ⎣ ⎢ ⎢ ⎢ ⎤ ⎦ ⎥ ⎥ ⎥ 2 3 4 1 0 3 4 0 3 2 1 2 Omitting the fourth column, we get the submatrix A1 2 3 4 0 3 4 3 2 1 = − − ⎡ ⎣ ⎢ ⎢ ⎢ ⎤ ⎦ ⎥ ⎥ ⎥ and A1 2 3 4 0 3 4 3 2 1 = − − is a minor of order 3. Omitting the first and third columns and the third row, we get the submatrix A2 3 1 3 0 = − ⎡ ⎣ ⎢ ⎤ ⎦ ⎥ and A2 3 1 3 0 = − is a minor of order 2. Since A2 = 3 ≠ 0, it is called a non-vanishing minor of order 2. But 3 4 3 4 0 = , so it is called a vanishing minor of order 2. M01_ENGINEERING_MATHEMATICS-I _CH01_Part A.indd 14 5/30/2016 4:35:06 PM
  • 52.
    Matrices ■ 1.15 Definition1.23 Rank of a Matrix Let A be an m × n matrix. A is said to be of rank r if (1) at least one minor of A of order r is not zero and (ii) every minor of A of order (r + 1) (and higher order) is zero. The rank of A is denoted by r(A) or r(A). Note (1) The definition says rank of A is the order of the largest non-vanishing minor of A. (2) The Rank of Zero matrix is zero. (3) All non-zero matrices have rank ≥ 1. (4) The rank of an m × n matrix is less than or equal to the min {m, n}. (5) r(A) = r(AT ) (6) If In is the unit matrix of order n, then In = ≠ 1 0 and so, r(In ) = n. To find the rank of a matrix A, we have to identify the largest non-vanishing minor. This process involves a lot of computations and so it is tedious for matrices of large type. To reduce the computations, we apply elementary transformations and transform the given matrix to a convenient form, namely Echelon form or normal form. Elementary transformations 1. Interchange of any two rows (or columns) 2. Multiplication of elements of any row (or column) by a non-zero number k. 3. Addition to the elements of a row (column), the corresponding elements of another row (column) multiplied by a fixed number. Note When an elementary transformation is applied to a row, it is called a row transformation and when it is applied to a column, it is called a column transformation. Notation: The following symbols will be used to denote the elementary row operations. (i) Ri ↔ Rj means ith row and jth row are interchanged. (ii) Ri → kRi means the elements of ith row is multiplied by k (≠0) (iii) Ri → Ri + kRj means the jth row is multiplied by k and added to the ith row. Similarly we indicate the column transformations by Ci ↔ Cj , Ci → kCi , Ci → Ci + kCj Definition 1.24 Equivalent Matrices Two matrices A and B of the same type are said to be equivalent if one matrix can be obtained from the other by a sequence of elementary row (column) transformations. Then we write A ~ B. Results: 1. The Rank of a matrix is unaffected by elementary transformations. 2. Equivalent matrices have the same rank. Definition 1.25 Echelon Matrix A matrix is called a row-echelon matrix if (1) all zero rows (i.e., rows with zero elements only), if any, are on the bottom of the matrix and (ii) each leading non-zero element is to the right of the leading non-zero element in the preceding row. M01_ENGINEERING_MATHEMATICS-I _CH01_Part A.indd 15 5/30/2016 4:35:07 PM
  • 53.
    1.16 ■ EngineeringMathematics EXAMPLE 1.23 A = ⎡ ⎣ ⎢ ⎢ ⎢ ⎤ ⎦ ⎥ ⎥ ⎥ 1 2 3 0 1 2 0 0 0 , B = − − ⎡ ⎣ ⎢ ⎢ ⎢ ⎢ ⎤ ⎦ ⎥ ⎥ ⎥ ⎥ 2 1 1 0 0 0 1 2 0 0 0 0 0 0 0 0 , C = − − ⎡ ⎣ ⎢ ⎢ ⎢ ⎢ ⎤ ⎦ ⎥ ⎥ ⎥ ⎥ 1 1 0 4 5 0 1 2 1 3 0 0 0 6 1 0 0 0 0 0 and D = ⎡ ⎣ ⎢ ⎢ ⎢ ⎤ ⎦ ⎥ ⎥ ⎥ 1 2 3 0 2 1 0 0 2 are row echelon matrices. Note Triangular matrix is a special case of an echelon matrix. Result: If a matrix A is equivalent to a row echelon matrix B, then r(A) = the number of non-zero rows of B. In the above examples, r(A) = 2, r(B) = 2, r(C) = 3, r(D) = 3. WORKED EXAMPLES EXAMPLE 1 Find the rank of the matrix A 5 1 2 3 0 2 4 3 2 3 2 1 3 6 8 7 5 ⎡ ⎣ ⎢ ⎢ ⎢ ⎢ ⎤ ⎦ ⎥ ⎥ ⎥ ⎥ , by reducing to an echelon matrix. Solution. Given A = ⎡ ⎣ ⎢ ⎢ ⎢ ⎢ ⎤ ⎦ ⎥ ⎥ ⎥ ⎥ 1 2 3 0 2 4 3 2 3 2 1 3 6 8 7 5 ∼ 1 2 3 0 0 0 3 2 0 4 8 3 0 4 11 5 2 3 2 2 1 3 3 − − − − − ⎡ ⎣ ⎢ ⎢ ⎢ ⎢ ⎤ ⎦ ⎥ ⎥ ⎥ ⎥ → + − → + − R R R R R R ( ) ( ) 1 1 4 4 1 4 4 3 6 1 2 3 0 0 0 3 2 0 4 8 3 0 0 3 2 1 2 R R R R R R → + − − − − − ⎡ ⎣ ⎢ ⎢ ⎢ ⎢ ⎤ ⎦ ⎥ ⎥ ⎥ ⎥ → − ( ) ∼ ∼ 3 3 0 0 4 8 3 0 0 3 2 0 0 3 2 2 3 − − − − ⎡ ⎣ ⎢ ⎢ ⎢ ⎢ ⎤ ⎦ ⎥ ⎥ ⎥ ⎥ ↔ R R ∼ 1 2 3 0 0 4 8 3 0 0 3 2 0 0 0 0 4 4 3 − − − ⎡ ⎣ ⎢ ⎢ ⎢ ⎢ ⎤ ⎦ ⎥ ⎥ ⎥ ⎥ → − R R R = B, which is a row echelon matrix. ∴ r(A) = the number of non-zero rows in B = 3 M01_ENGINEERING_MATHEMATICS-I _CH01_Part A.indd 16 5/30/2016 4:35:09 PM
  • 54.
    Matrices ■ 1.17 EXAMPLE2 Determine the rank of the matrix A 5 2 2 2 1 2 3 1 3 6 9 3 2 4 6 2 ⎡ ⎣ ⎢ ⎢ ⎢ ⎤ ⎦ ⎥ ⎥ ⎥ , by reducing to an echelon matrix. Solution. Given A = − − − ⎡ ⎣ ⎢ ⎢ ⎢ ⎤ ⎦ ⎥ ⎥ ⎥ 1 2 3 1 3 6 9 3 2 4 6 2 ∼ 1 2 3 1 0 0 0 0 0 0 0 0 3 2 2 2 1 3 3 1 − ⎡ ⎣ ⎢ ⎢ ⎢ ⎤ ⎦ ⎥ ⎥ ⎥ → + − → + − R R R R R R ( ) ( ) = B, which is a row echelon matrix. ∴ r(A) = the number of non-zero rows in B = 1 EXAMPLE 3 Find the value of k if the rank of the matrix 6 3 5 9 5 2 3 6 3 1 2 3 2 1 1 k ⎡ ⎣ ⎢ ⎢ ⎢ ⎢ ⎤ ⎦ ⎥ ⎥ ⎥ ⎥ is 3. Solution. Let A k = ⎡ ⎣ ⎢ ⎢ ⎢ ⎢ ⎤ ⎦ ⎥ ⎥ ⎥ ⎥ 6 3 5 9 5 2 3 6 3 1 2 3 2 1 1 ∼ ∼ 1 1 2 5 6 3 2 5 2 3 6 3 1 2 3 2 1 1 1 6 1 1 2 5 6 3 2 0 1 2 7 6 1 1 k R R ⎡ ⎣ ⎢ ⎢ ⎢ ⎢ ⎢ ⎢ ⎤ ⎦ ⎥ ⎥ ⎥ ⎥ ⎥ ⎥ → − − − − − − − − − ⎡ ⎣ ⎢ ⎢ ⎢ ⎢ ⎢ ⎢ ⎢ ⎢ ⎢ ⎢ ⎤ ⎦ ⎥ ⎥ ⎥ ⎥ ⎥ ⎥ ⎥ ⎥ ⎥ ⎥ → + − 3 2 0 1 2 3 6 3 2 0 0 4 6 3 5 2 2 1 k R R R ( ) R R R R R R R 3 3 1 4 4 1 3 2 → + − → + − ( ) ( ) ∼ 1 1 2 5 6 3 2 0 1 2 7 6 3 2 0 0 4 6 0 0 0 4 6 3 3 − − − − − ⎡ ⎣ ⎢ ⎢ ⎢ ⎢ ⎢ ⎢ ⎢ ⎢ ⎢ ⎢ ⎤ ⎦ ⎥ ⎥ ⎥ ⎥ ⎥ ⎥ ⎥ ⎥ ⎥ ⎥ → k R R R R 3 2 − M01_ENGINEERING_MATHEMATICS-I _CH01_Part A.indd 17 5/30/2016 4:35:10 PM
  • 55.
    1.18 ■ EngineeringMathematics k R4 1 1 2 5 6 3 2 0 1 2 7 6 3 2 0 0 4 6 0 0 0 0 3 − − − − ⎡ ⎣ ⎢ ⎢ ⎢ ⎢ ⎢ ⎢ ⎢ ⎢ ⎤ ⎦ ⎥ ⎥ ⎥ ⎥ ⎥ ⎥ ⎥ ⎥ → ∼ R R R 4 3 + = B Given r(A) = 3. So, the number of non-zero rows of B should be 3. ∴ k − 3 = 0 ⇒ k = 3 Definition 1.26 Elementary Matrix A matrix obtained from a unit matrix by performing a single elementary row (column) transformation is called an elementary matrix. Since unit matrices are non-singular square matrices, elementary matrices are also non-singular. EXAMPLE 1.24 I3 1 0 0 0 1 0 0 0 1 = ⎡ ⎣ ⎢ ⎢ ⎢ ⎤ ⎦ ⎥ ⎥ ⎥ z 1 0 0 0 1 1 0 0 1 3 3 2 ⎡ ⎣ ⎢ ⎢ ⎢ ⎤ ⎦ ⎥ ⎥ ⎥ → + C C C This is an elementary matrix. Similarly, 1 0 0 0 3 0 0 0 1 ⎡ ⎣ ⎢ ⎢ ⎢ ⎤ ⎦ ⎥ ⎥ ⎥ got by R2 → 3R2 is an elementary matrix. Definition 1.27 Normal form of a Matrix Any non-zero matrix A of rank r can be reduced by a sequence of elementary transformations to the form Ir 0 0 0 ⎡ ⎣ ⎢ ⎤ ⎦ ⎥, where Ir is a unit matrix of order r. This form is called a normal form of A. Other normal forms are Ir , Ir 0 ⎡ ⎣ ⎢ ⎤ ⎦ ⎥, [Ir , 0]. Theorem 1.1 Let A be an m × n matrix of rank r. Then there exist non-singular matrices P and Q of orders m and n respectively such that PAQ = Ir 0 0 0 ⎡ ⎣ ⎢ ⎤ ⎦ ⎥ Note Each elementary row transformation of A is equivalent to pre multiplying A by the corresponding elementary matrix. Each elementary column transformation is equivalent to post multiplying A by the corresponding elementary matrix. So, there exists elementary matrices P1 , P2 , …, Pk and Q1 , Q2 , …, Qt such that P1 P2 … Pk A Q1 Q2 … Qt = Ir 0 0 0 ⎡ ⎣ ⎢ ⎤ ⎦ ⎥ M01_ENGINEERING_MATHEMATICS-I _CH01_Part A.indd 18 5/30/2016 4:35:12 PM
  • 56.
    Matrices ■ 1.19 ⇒PAQ = Ir 0 0 0 ⎡ ⎣ ⎢ ⎤ ⎦ ⎥ where P = P1 P2 … Pk , Q = Q1 Q2 … Qt Working rule to find normal form and P, Q: Let A be a non-zero m × n matrix write A = Im AIn (which is obviously true). Reduce A on the L. H. S to normal form by applying elementary row and column transformations on A. Each elementary row transformation of A will be applied to Im on R. H. S and each elementary column transformation of A will be applied to In on R. H. S. After a sequence of suitable applications of elementary transformations, we get Ir 0 0 0 ⎡ ⎣ ⎢ ⎤ ⎦ ⎥ = PAQ. Then the rank of A is the rank of Ir = r WORKED EXAMPLES EXAMPLE 1 Reduce the matrix 0 1 2 1 1 2 3 1 3 1 1 3 ⎡ ⎣ ⎢ ⎢ ⎢ ⎤ ⎦ ⎥ ⎥ ⎥ to normal form and hence find the rank. Solution. Let A = ⎡ ⎣ ⎢ ⎢ ⎢ ⎤ ⎦ ⎥ ⎥ ⎥ 0 1 2 1 1 2 3 2 3 1 1 3 ∼ ∼ 1 0 2 1 2 1 3 2 1 3 1 3 1 0 0 0 2 1 1 0 1 3 1 2 1 2 3 3 ⎡ ⎣ ⎢ ⎢ ⎢ ⎤ ⎦ ⎥ ⎥ ⎥ ↔ − − ⎡ ⎣ ⎢ ⎢ ⎢ ⎤ ⎦ ⎥ ⎥ ⎥ → C C C C + + − → − ( ) 2 1 4 4 1 C C C C ∼ ∼ 1 0 0 0 0 1 1 0 0 3 1 2 2 1 0 0 0 0 1 0 0 0 3 2 2 2 2 1 3 3 1 − − ⎡ ⎣ ⎢ ⎢ ⎢ ⎤ ⎦ ⎥ ⎥ ⎥ → + − → − R R R R R R ( ) ⎡ ⎡ ⎣ ⎢ ⎢ ⎢ ⎤ ⎦ ⎥ ⎥ ⎥ → + ⎡ ⎣ ⎢ ⎢ ⎢ ⎤ ⎦ ⎥ ⎥ ⎥ → + − C C C R R R 3 3 2 3 3 2 1 0 0 0 0 1 0 0 0 0 2 2 3 1 0 0 ∼ ∼ ( ) 0 0 0 1 0 0 0 0 1 1 1 2 3 3 ⎡ ⎣ ⎢ ⎢ ⎢ ⎤ ⎦ ⎥ ⎥ ⎥ → R R M01_ENGINEERING_MATHEMATICS-I _CH01_Part A.indd 19 5/30/2016 4:35:14 PM
  • 57.
    1.20 ■ EngineeringMathematics 1 0 0 0 0 1 0 0 0 0 1 0 4 4 3 ⎡ ⎣ ⎢ ⎢ ⎢ ⎤ ⎦ ⎥ ⎥ ⎥ → − C C C ∼ = = [ : ] I3 0 This is the normal form of A and so the r(A) = 3 EXAMPLE 2 Let A 5 2 2 1 1 1 1 1 1 3 1 1 ⎡ ⎣ ⎢ ⎢ ⎢ ⎤ ⎦ ⎥ ⎥ ⎥ .Find matrices P and Q such that PAQ is in the normal form.Also find rank of A. Solution. Given A = − − ⎡ ⎣ ⎢ ⎢ ⎢ ⎤ ⎦ ⎥ ⎥ ⎥ × 1 1 1 1 1 1 3 1 1 3 3 Consider A = I3 AI3 ⇒ 1 1 1 1 1 1 3 1 1 1 0 0 0 1 0 0 0 1 1 0 0 0 1 0 0 0 1 − − ⎡ ⎣ ⎢ ⎢ ⎢ ⎤ ⎦ ⎥ ⎥ ⎥ = ⎡ ⎣ ⎢ ⎢ ⎢ ⎤ ⎦ ⎥ ⎥ ⎥ ⎡ ⎣ ⎢ ⎢ ⎢ ⎤ ⎦ A ⎥ ⎥ ⎥ ⎥ Our aim is to reduce the LHS matrix to normal form. Also row operations to be applied to pre factor and column operations to be applied to post factor. Apply, and to post factor C C C C C C 2 2 1 3 3 1 1 0 0 1 2 2 3 4 4 → + → + ⎡ ⎣ ⎢ ⎢ ⎢ ⎤ ⎦ ⎥ ⎥ ⎥ ⎥ = ⎡ ⎣ ⎢ ⎢ ⎢ ⎤ ⎦ ⎥ ⎥ ⎥ ⎡ ⎣ ⎢ ⎢ ⎢ ⎤ ⎦ ⎥ ⎥ ⎥ 1 0 0 0 1 0 0 0 1 1 1 1 0 1 0 0 0 1 A R R R R R R 2 2 1 3 3 1 3 1 0 0 0 2 2 0 4 4 1 → − → + − ⎡ ⎣ ⎢ ⎢ ⎢ ⎤ ⎦ ⎥ ⎥ ⎥ = ( ) and to pre factor 0 0 0 1 1 0 3 0 1 1 1 1 0 1 0 0 0 1 − − ⎡ ⎣ ⎢ ⎢ ⎢ ⎤ ⎦ ⎥ ⎥ ⎥ ⎡ ⎣ ⎢ ⎢ ⎢ ⎤ ⎦ ⎥ ⎥ ⎥ A R R R 3 3 2 2 1 0 0 0 2 2 0 0 0 1 0 0 1 1 0 1 → + − ⎡ ⎣ ⎢ ⎢ ⎢ ⎤ ⎦ ⎥ ⎥ ⎥ = − − ( ) and to pre factor − − ⎡ ⎣ ⎢ ⎢ ⎢ ⎤ ⎦ ⎥ ⎥ ⎥ ⎡ ⎣ ⎢ ⎢ ⎢ ⎤ ⎦ ⎥ ⎥ ⎥ 2 1 1 1 1 0 1 0 0 0 1 A R R 2 2 1 2 1 0 0 0 1 1 0 0 0 1 0 0 1 2 1 2 0 1 2 1 → ⎡ ⎣ ⎢ ⎢ ⎢ ⎤ ⎦ ⎥ ⎥ ⎥ = − − − and to pre factor ⎡ ⎡ ⎣ ⎢ ⎢ ⎢ ⎢ ⎤ ⎦ ⎥ ⎥ ⎥ ⎥ ⎡ ⎣ ⎢ ⎢ ⎢ ⎤ ⎦ ⎥ ⎥ ⎥ A 1 1 1 0 1 0 0 0 1 M01_ENGINEERING_MATHEMATICS-I _CH01_Part A.indd 20 5/30/2016 4:35:16 PM
  • 58.
    Matrices ■ 1.21 CC C 3 3 2 1 0 0 0 1 0 0 0 0 1 0 0 1 2 1 2 0 1 → − ⎡ ⎣ ⎢ ⎢ ⎢ ⎤ ⎦ ⎥ ⎥ ⎥ = − − − and to post factor 2 2 1 1 1 0 0 1 1 0 0 1 ⎡ ⎣ ⎢ ⎢ ⎢ ⎢ ⎤ ⎦ ⎥ ⎥ ⎥ ⎥ − ⎡ ⎣ ⎢ ⎢ ⎢ ⎤ ⎦ ⎥ ⎥ ⎥ A ⇒ I PAQ 2 0 0 0 ⎡ ⎣ ⎢ ⎤ ⎦ ⎥ = This shows r(A) = 2, and P Q = − − − ⎡ ⎣ ⎢ ⎢ ⎢ ⎢ ⎤ ⎦ ⎥ ⎥ ⎥ ⎥ = − ⎡ ⎣ ⎢ ⎢ ⎢ ⎤ ⎦ ⎥ ⎥ ⎥ 1 0 0 1 2 1 2 0 1 2 1 1 1 0 0 1 1 0 0 1 , EXAMPLE 3 Let A 5 2 2 2 2 1 1 1 2 4 2 2 1 2 2 0 2 ⎡ ⎣ ⎢ ⎢ ⎢ ⎤ ⎦ ⎥ ⎥ ⎥ . Find the non-singular matrices P and Q, such that PAQ is in the normal form.Also find the rank of A. Solution. Given A = − − − − ⎡ ⎣ ⎢ ⎢ ⎢ ⎤ ⎦ ⎥ ⎥ ⎥ × 1 1 1 2 4 2 2 1 2 2 0 2 3 4 Consider A = I3 AI4 ⇒ 1 1 1 2 4 2 2 1 2 2 0 2 1 0 0 0 1 0 0 0 1 1 0 0 0 0 1 0 0 0 0 1 − − − − ⎡ ⎣ ⎢ ⎢ ⎢ ⎤ ⎦ ⎥ ⎥ ⎥ = ⎡ ⎣ ⎢ ⎢ ⎢ ⎤ ⎦ ⎥ ⎥ ⎥ A 0 0 0 0 0 1 ⎡ ⎣ ⎢ ⎢ ⎢ ⎢ ⎤ ⎦ ⎥ ⎥ ⎥ ⎥ Our aim is to reduce the LHS matrix to normal form. Also row operations to be applied to pre factor and column operations to be applied to post factor. C C C C C C C C C 2 2 1 3 3 1 4 4 1 2 1 0 0 0 4 6 6 9 2 4 2 → + → + → + − − ( ) and to post factor − − ⎡ ⎣ ⎢ ⎢ ⎢ ⎤ ⎦ ⎥ ⎥ ⎥ = ⎡ ⎣ ⎢ ⎢ ⎢ ⎤ ⎦ ⎥ ⎥ ⎥ − ⎡ ⎣ ⎢ ⎢ ⎢ ⎢ ⎤ 6 1 0 0 0 1 0 0 0 1 1 1 1 2 0 1 0 0 0 0 1 0 0 0 0 1 A ⎦ ⎦ ⎥ ⎥ ⎥ ⎥ R R R R R R 2 2 1 3 3 1 4 2 1 0 0 0 0 6 6 9 0 4 2 6 → + − → + − − − ⎡ ⎣ ⎢ ( ) ( ) and to pre factor ⎢ ⎢ ⎢ ⎤ ⎦ ⎥ ⎥ ⎥ = − − ⎡ ⎣ ⎢ ⎢ ⎢ ⎤ ⎦ ⎥ ⎥ ⎥ − ⎡ ⎣ ⎢ ⎢ ⎢ ⎢ ⎤ ⎦ ⎥ ⎥ 1 0 0 4 1 0 2 0 1 1 1 1 2 0 1 0 0 0 0 1 0 0 0 0 1 A ⎥ ⎥ ⎥ M01_ENGINEERING_MATHEMATICS-I _CH01_Part A.indd 21 5/30/2016 4:35:18 PM
  • 59.
    1.22 ■ EngineeringMathematics R R R R 2 2 3 3 1 3 1 2 1 0 0 0 0 2 2 3 0 2 1 3 1 0 → → − − ⎡ ⎣ ⎢ ⎢ ⎢ ⎤ ⎦ ⎥ ⎥ ⎥ = and to pre factor 0 0 4 3 1 3 0 1 0 1 2 1 1 1 2 0 1 0 0 0 0 1 0 0 0 0 1 − − ⎡ ⎣ ⎢ ⎢ ⎢ ⎢ ⎢ ⎢ ⎤ ⎦ ⎥ ⎥ ⎥ ⎥ ⎥ ⎥ − ⎡ ⎣ ⎢ ⎢ ⎢ ⎢ ⎤ ⎦ ⎥ ⎥ ⎥ A ⎥ ⎥ C C C 4 4 2 3 2 1 0 0 0 0 2 2 0 0 2 1 0 1 0 0 4 3 1 → + ⎡ ⎣ ⎢ ⎢ ⎢ ⎤ ⎦ ⎥ ⎥ ⎥ = − and to post factor 3 3 0 1 0 1 2 1 1 1 1 2 0 1 0 3 2 0 0 1 0 0 0 0 1 − ⎡ ⎣ ⎢ ⎢ ⎢ ⎢ ⎢ ⎢ ⎤ ⎦ ⎥ ⎥ ⎥ ⎥ ⎥ ⎥ − ⎡ ⎣ ⎢ ⎢ ⎢ ⎢ ⎢ ⎢ ⎢ ⎤ ⎦ ⎥ ⎥ ⎥ A ⎥ ⎥ ⎥ ⎥ ⎥ C C C 3 3 2 1 0 0 0 0 2 0 0 0 2 1 0 1 0 0 4 3 1 3 → − − ⎡ ⎣ ⎢ ⎢ ⎢ ⎤ ⎦ ⎥ ⎥ ⎥ = − and to post factor 0 0 1 0 1 2 1 1 0 1 2 0 1 1 3 2 0 0 1 0 0 0 0 1 − ⎡ ⎣ ⎢ ⎢ ⎢ ⎢ ⎢ ⎢ ⎤ ⎦ ⎥ ⎥ ⎥ ⎥ ⎥ ⎥ − − ⎡ ⎣ ⎢ ⎢ ⎢ ⎢ ⎢ ⎢ ⎢ ⎤ ⎦ ⎥ ⎥ ⎥ A ⎥ ⎥ ⎥ ⎥ ⎥ R R R 3 3 2 1 0 0 0 0 2 0 0 0 0 1 0 1 0 0 4 3 1 3 0 → − − ⎡ ⎣ ⎢ ⎢ ⎢ ⎤ ⎦ ⎥ ⎥ ⎥ = − and to pre factor 1 1 3 1 3 1 2 1 1 0 1 2 0 1 1 3 2 0 0 1 0 0 0 0 1 − ⎡ ⎣ ⎢ ⎢ ⎢ ⎢ ⎢ ⎢ ⎢ ⎤ ⎦ ⎥ ⎥ ⎥ ⎥ ⎥ ⎥ ⎥ − − ⎡ ⎣ ⎢ ⎢ ⎢ ⎢ ⎢ ⎢ ⎢ ⎤ ⎦ A ⎥ ⎥ ⎥ ⎥ ⎥ ⎥ ⎥ ⎥ R R R R 2 2 3 3 1 2 1 1 0 0 0 0 1 0 0 0 0 1 0 1 0 → → − ⎡ ⎣ ⎢ ⎢ ⎢ ⎤ ⎦ ⎥ ⎥ ⎥ = ( ) and to pre factor 0 0 2 3 1 6 0 1 3 1 3 1 2 1 1 0 1 2 0 1 1 3 2 0 0 1 0 0 0 0 1 − − − ⎡ ⎣ ⎢ ⎢ ⎢ ⎢ ⎢ ⎢ ⎢ ⎤ ⎦ ⎥ ⎥ ⎥ ⎥ ⎥ ⎥ ⎥ − − ⎡ ⎣ ⎢ A ⎢ ⎢ ⎢ ⎢ ⎢ ⎢ ⎢ ⎤ ⎦ ⎥ ⎥ ⎥ ⎥ ⎥ ⎥ ⎥ ⇒ [I3 : 0] = PAQ, where P Q = − − − ⎡ ⎣ ⎢ ⎢ ⎢ ⎢ ⎢ ⎢ ⎢ ⎤ ⎦ ⎥ ⎥ ⎥ ⎥ ⎥ ⎥ ⎥ = − − 1 0 0 2 3 1 6 0 1 3 1 3 1 2 1 1 0 1 2 0 1 1 3 2 0 0 1 0 0 0 , 0 0 1 ⎡ ⎣ ⎢ ⎢ ⎢ ⎢ ⎢ ⎢ ⎢ ⎤ ⎦ ⎥ ⎥ ⎥ ⎥ ⎥ ⎥ ⎥ and the rank of A = 3 Remark: To find the rank of a matrix, the simplest method is to reduce to row echelon form. M01_ENGINEERING_MATHEMATICS-I _CH01_Part A.indd 22 5/30/2016 4:35:19 PM
  • 60.
    Matrices ■ 1.23 EXERCISE1.2 Find the rank of the following matrices reducing to echelon form. 1. 2 3 1 1 1 1 2 4 3 1 3 2 6 3 0 7 − − − − − − − ⎡ ⎣ ⎢ ⎢ ⎢ ⎢ ⎤ ⎦ ⎥ ⎥ ⎥ ⎥ 2. 0 1 3 1 1 0 1 1 3 1 0 2 1 1 2 0 − − − ⎡ ⎣ ⎢ ⎢ ⎢ ⎢ ⎤ ⎦ ⎥ ⎥ ⎥ ⎥ 3. 1 2 3 0 2 4 3 2 3 2 1 3 6 8 7 5 ⎡ ⎣ ⎢ ⎢ ⎢ ⎢ ⎤ ⎦ ⎥ ⎥ ⎥ ⎥ 4. 4 3 0 2 3 4 1 3 7 7 1 5 − − − − ⎡ ⎣ ⎢ ⎢ ⎢ ⎤ ⎦ ⎥ ⎥ ⎥ 5. 1 2 1 3 4 1 2 1 3 1 1 2 1 2 0 1 − − ⎡ ⎣ ⎢ ⎢ ⎢ ⎢ ⎤ ⎦ ⎥ ⎥ ⎥ ⎥ 6. 1 1 2 1 1 1 2 1 1 2 1 1 1 3 0 3 1 1 2 3 − − − − − ⎡ ⎣ ⎢ ⎢ ⎢ ⎢ ⎢ ⎢ ⎤ ⎦ ⎥ ⎥ ⎥ ⎥ ⎥ ⎥ 7. 1 1 1 1 1 3 2 1 2 0 3 2 3 3 3 3 − − − ⎡ ⎣ ⎢ ⎢ ⎢ ⎢ ⎤ ⎦ ⎥ ⎥ ⎥ ⎥ 8. 1 2 2 3 2 5 4 6 1 3 2 2 2 4 4 6 − − − − − − ⎡ ⎣ ⎢ ⎢ ⎢ ⎢ ⎤ ⎦ ⎥ ⎥ ⎥ ⎥ 9. 3 1 5 1 1 2 1 5 1 5 7 2 − − − − − ⎡ ⎣ ⎢ ⎢ ⎢ ⎤ ⎦ ⎥ ⎥ ⎥ 10. Find the rank of the matrix A = ⎡ ⎣ ⎢ ⎢ ⎢ ⎤ ⎦ ⎥ ⎥ ⎥ 1 3 4 3 3 9 12 3 1 3 4 1 , by reducing to an echelon matrix. 11. Find the rank of the matrix A = − − − ⎡ ⎣ ⎢ ⎢ ⎢ ⎤ ⎦ ⎥ ⎥ ⎥ 2 1 1 12 8 6 10 5 6 . 12. Reduce the matrix 2 1 3 6 3 3 1 2 1 1 1 2 − − − ⎡ ⎣ ⎢ ⎢ ⎢ ⎤ ⎦ ⎥ ⎥ ⎥ to normal form and hence find the rank. 13. Find the values of k if the rank of 4 4 3 1 1 1 1 0 2 2 2 9 9 3 − − ⎡ ⎣ ⎢ ⎢ ⎢ ⎢ ⎤ ⎦ ⎥ ⎥ ⎥ ⎥ k k is 3. 14. Find the values of a and b if the matrix 2 1 1 3 1 1 2 4 7 1 − − − ⎡ ⎣ ⎢ ⎢ ⎢ ⎤ ⎦ ⎥ ⎥ ⎥ a b is of rank 2. 15. Find the values of a and b if the matrix 1 2 3 1 2 1 1 2 6 2 − − − ⎡ ⎣ ⎢ ⎢ ⎢ ⎤ ⎦ ⎥ ⎥ ⎥ a b is of rank 2. 16. Reduce to normal form and find the rank of 1 1 2 3 4 1 0 2 0 3 1 4 0 1 0 2 − − ⎡ ⎣ ⎢ ⎢ ⎢ ⎢ ⎤ ⎦ ⎥ ⎥ ⎥ ⎥ . M01_ENGINEERING_MATHEMATICS-I _CH01_Part A.indd 23 5/30/2016 4:35:23 PM
  • 61.
    1.24 ■ EngineeringMathematics 17. Reduce to normal form and find the rank of 0 1 2 1 1 2 3 2 3 1 1 3 ⎡ ⎣ ⎢ ⎢ ⎢ ⎤ ⎦ ⎥ ⎥ ⎥ . 18. If A = − − ⎡ ⎣ ⎢ ⎢ ⎢ ⎤ ⎦ ⎥ ⎥ ⎥ 1 1 2 1 2 3 0 1 1 , then find non-singular matrices P and Q such that PAQ is in normal form and find its rank. ANSWERS TO EXERCISE 1.2 1. 3 2. 2 3. 3 4. 2 5. 3 6. 3 7. 3 8. 3 9. 3 10. 2 11. 3 12. 3 13. k = 2 14. a = 4, b = 18 15. a = 4, b = 6 16. [I4 , 0], rank = 4 17. [I3 , 0], rank = 3 18. P Q = − − ⎡ ⎣ ⎢ ⎢ ⎢ ⎤ ⎦ ⎥ ⎥ ⎥ = − − − ⎡ ⎣ ⎢ ⎢ ⎢ ⎤ ⎦ ⎥ ⎥ ⎥ 1 0 0 1 1 0 1 1 1 1 1 1 0 1 1 0 0 1 , and rank = 2. 1.4 SOLUTION OF SYSTEM OF LINEAR EQUATIONS There are many problems in science and engineering whose solution often depends upon a system of linear equations. The equation a1 x1 + a2 x2 + … + an xn = b is called a non-homogeneous linear equation in n variables x1 , x2 , …, xn where b ≠ 0 and at least one ai ≠ 0. If b = 0, then the equation a1 x1 + a2 x2 + … + an xn = 0 is called a homogenous linear equation in x1 , x2 , …, xn . 1.4.1 Non-homogeneous System of Equations Consider the system of m linear equations in n variables x1 , x2 , …, xn a11 x1 + a12 x2 + … + a1n xn = b1 a21 x1 + a22 x2 + … + a2n xn = b2 : am1 x1 + am2 x2 + … + amn xn = bm , where at least one bi ≠ 0 If A a a a a a a a a a B b b b n n m m mn m = ⎡ ⎣ ⎢ ⎢ ⎢ ⎢ ⎤ ⎦ ⎥ ⎥ ⎥ ⎥ = ⎡ 11 12 1 21 22 2 1 2 1 2 … … … : : : : , ⎣ ⎣ ⎢ ⎢ ⎢ ⎢ ⎤ ⎦ ⎥ ⎥ ⎥ ⎥ = ⎡ ⎣ ⎢ ⎢ ⎢ ⎢ ⎤ ⎦ ⎥ ⎥ ⎥ ⎥ , , X x x xn 1 2 : then the system of equations can be written as a single matrix equation AX = B. The matrix A is called the coefficient matrix. A solution of the system is a set of values of x1 , x2 , …, xn which satisfy the m equations. The system of equations is said to be consistent if it has at least one solution. If the system has no solution, then the system of equations is said to be inconsistent. The condition for the consistency of the system is given by Rouche’s theorem. We shall state the theorem without proof. M01_ENGINEERING_MATHEMATICS-I _CH01_Part A.indd 24 5/30/2016 4:35:24 PM
  • 62.
    Matrices ■ 1.25 Theorem1.2 Rouche’s Theorem The system of linear equations AX = B is consistent if and only if the coefficient matrix A and the augmented matrix [A, B] have the same rank. That is., r(A) = r([A, B]) Working rule: Let AX = B represent a system of m equations in n variables. 1. Write down the coefficient matrix A and the augmented matrix [A, B]. Find r(A), r([A, B]) 2. If r(A) ≠ r([A, B]), then the system is inconsistent. That is it has no solution. 3. If r(A) = r([A, B]) = n, the number of variables, then the system is consistent with unique solution. 4. If r(A) = r([A, B]) n, the number of variables, then the system is consistent with infinite number of solutions. If the rank is r, then in this case the solution set will contain n − r parameters or arbitrary constants. To get the solutions we assign arbitrary values to n − r variables and write down the solutions in terms of them. Forexample,thesystemx+y+z=1,2x−y+3z=−1,2x+5y+z=5isconsistentwithinfinitenumberof solutions. Here r = 2, n = 3. ∴ the solution set will contain n − r = 3 − 2 = 1 parameter. We assign an arbitrary value to one variable, say y. Put y = k and solve for x and z in terms of k. The solution set is x = 4 + 2k, y = k, z = −3 − 3k, where k is any real number. Note If m = n, then A is a square matrix and the system of equations AX = B has unique solution if A is non-singular. That is., A ≠ 0, then r(A) = number of variables n. The unique solution is X = A−1 B. 1.4.2 Homogeneous System of Equations Consider the homogeneous system a11 x1 + a12 x2 + … + a1n xn = 0 a21 x1 + a22 x2 + … + a2n xn = 0 : am1 x1 + am2 x2 + … + amn xn = 0 If A a a a a a a a a a X x x x n n m m mn n = ⎡ ⎣ ⎢ ⎢ ⎢ ⎢ ⎤ ⎦ ⎥ ⎥ ⎥ ⎥ = 11 12 1 21 22 2 1 2 1 2 … … … : : : : , ⎡ ⎡ ⎣ ⎢ ⎢ ⎢ ⎢ ⎤ ⎦ ⎥ ⎥ ⎥ ⎥ , then the matrix equation is AX = 0. For this system x1 = 0, x2 = 0, …, xn = 0 is always a solution. This is called the trivial solution. If A ≠ 0, the r(A) = n and the only solution is the trivial solution. So, the condition for non-trivial solution is A = 0 (or r(A) n). In solving equations we use only row operations. M01_ENGINEERING_MATHEMATICS-I _CH01_Part A.indd 25 5/30/2016 4:35:26 PM
  • 63.
    1.26 ■ EngineeringMathematics 1.4.3 Type 1: Solution of Non-homogeneous System of Equations WORKED EXAMPLES (A) Non-homogeneous system with unique solution EXAMPLE 1 Test for consistency and solve 2x 2 y 1 z 5 7, 3x 1 y 2 5z 5 13, x 1 y 1 z 5 5. Solution. The given equations are x + y + z = 5 2x − y + z = 7 3x + y − 5z = 13 We have rearranged the equation for convenience in reducing to row echelon form. The coefficient matrix is A = − − ⎡ ⎣ ⎢ ⎢ ⎢ ⎤ ⎦ ⎥ ⎥ ⎥ 1 1 1 2 1 1 3 1 5 and the augmented matrix is [ , ] : : : : : : A B = − − ⎡ ⎣ ⎢ ⎢ ⎢ ⎤ ⎦ ⎥ ⎥ ⎥ − − − − − − ⎡ ⎣ 1 1 1 5 2 1 1 7 3 1 5 13 1 1 1 5 0 3 1 3 0 2 8 2 ∼ ⎢ ⎢ ⎢ ⎢ ⎤ ⎦ ⎥ ⎥ ⎥ → − → − R R R R R R 2 2 1 3 3 1 2 3 ∼ ∼ 1 1 1 5 0 1 1 3 1 0 1 4 1 1 3 1 2 1 1 1 5 0 1 1 3 2 2 3 3 : : : : : − − − ⎡ ⎣ ⎢ ⎢ ⎢ ⎢ ⎤ ⎦ ⎥ ⎥ ⎥ ⎥ → − → R R R R 1 1 0 0 11 3 0 3 3 2 − ⎡ ⎣ ⎢ ⎢ ⎢ ⎢ ⎢ ⎢ ⎢ ⎤ ⎦ ⎥ ⎥ ⎥ ⎥ ⎥ ⎥ ⎥ → + : R R R From the last matrix, we find A ∼ 1 1 1 0 1 1 3 0 0 11 3 − ⎡ ⎣ ⎢ ⎢ ⎢ ⎢ ⎢ ⎢ ⎢ ⎤ ⎦ ⎥ ⎥ ⎥ ⎥ ⎥ ⎥ ⎥ M01_ENGINEERING_MATHEMATICS-I _CH01_Part A.indd 26 5/30/2016 4:35:27 PM
  • 64.
    Matrices ■ 1.27 Thenumber of non-zero rows in the equivalent matrices of A and [A, B] are 3. ∴ r(A) = 3, r([A, B]) = 3 ⇒ r(A) = r([A, B]) = 3, the number of variables. So, the equations are consistent with unique solution. From the reduced matrix [A, B], we find the given equations are equivalent to x + y + z = 5, y + 1 3 z = 1 and − 11 3 z = 0 ⇒ z = 0 ∴ y = 1 and x + 1 + 0 = 5 ⇒ x = 4. So, the unique solution is x = 4, y = 1, z = 0. EXAMPLE 2 Test for the consistency and solve x 1 2y 1 z 5 3, 2x 1 3y 1 2z 5 5, 3x 2 5y 1 5z 5 2, 3x 1 9y 2 z 5 4. Solution. The given equations are x + 2y + z = 3 2x + 3y + 2z = 5 3x − 5y + 5z = 2 3x + 9y − z = 4. The coefficient matrix is A = − − ⎡ ⎣ ⎢ ⎢ ⎢ ⎢ ⎤ ⎦ ⎥ ⎥ ⎥ ⎥ 1 2 1 2 3 2 3 5 5 3 9 1 The augmented matrix is [ , ] : : : : : : A B = ∼ 1 2 1 3 2 3 2 5 3 5 5 2 3 9 1 4 1 2 1 3 0 1 0 1 0 11 2 − − ⎡ ⎣ ⎢ ⎢ ⎢ ⎢ ⎤ ⎦ ⎥ ⎥ ⎥ ⎥ − − − : : : : − − − ⎡ ⎣ ⎢ ⎢ ⎢ ⎢ ⎤ ⎦ ⎥ ⎥ ⎥ ⎥ → − → − → − − 7 0 3 4 5 2 3 3 1 2 1 3 0 2 2 1 3 3 1 4 4 1 R R R R R R R R R ∼ 1 1 0 1 0 0 2 4 0 0 4 8 11 3 1 2 1 3 0 1 3 3 2 4 4 2 : : : : − − − ⎡ ⎣ ⎢ ⎢ ⎢ ⎢ ⎤ ⎦ ⎥ ⎥ ⎥ ⎥ → − → + − R R R R R R ∼ 0 0 1 0 0 1 2 0 0 1 2 1 2 1 4 3 3 4 4 : : : − ⎡ ⎣ ⎢ ⎢ ⎢ ⎢ ⎤ ⎦ ⎥ ⎥ ⎥ ⎥ → → − R R R R M01_ENGINEERING_MATHEMATICS-I _CH01_Part A.indd 27 5/30/2016 4:35:28 PM
  • 65.
    1.28 ■ EngineeringMathematics ⇒ [ , ] : : : : A B R R R ∼ 1 2 1 3 0 1 0 1 0 0 1 2 0 0 0 0 4 4 3 − − ⎡ ⎣ ⎢ ⎢ ⎢ ⎢ ⎤ ⎦ ⎥ ⎥ ⎥ ⎥ → − From this last matrix we find A ∼ 1 2 1 0 1 0 0 0 1 0 0 0 − ⎡ ⎣ ⎢ ⎢ ⎢ ⎢ ⎤ ⎦ ⎥ ⎥ ⎥ ⎥ The number of non-zero rows in the equivalent matrices of A and [A B] are 3. ∴ r(A) = 3, r([A, B]) = 3 ⇒ r(A) = r([A, B]) = 3, the number of variables. So, the equations are consistent with unique solution From the reduced matrix [A, B], we find the given equations are equivalent to x + 2y + z = 3, −y = −1 and z = 2 ∴ y = 1, z = 2 and so x + 2 ⋅ 1 + 2 = 3 ⇒ x = −1 So, the unique solution is x = −1, y = 1, z = 2. EXAMPLE 3 Solve x2 yz 5 e, xy2 z3 5 e, x3 y2 z 5 e using matrices. Solution. The given equations are x2 yz = e (1) xy2 z3 = e (2) x3 y2 z = e (3) Taking logarithm to the base e on both sides of (1), (2) and (3), we get and log log log log log log log log lo e e e e e e e e x yz e x y z x y z 2 2 1 2 1 = ⇒ + + = ⇒ + + = g g log log log log log log log e e e e e e e xy z e x y z x y z e x 2 3 3 2 2 3 1 3 = ⇒ + + = = ⇒ + 2 2 1 log log e e y z + = For simplicity, put x1 = loge x, y1 = loge y, z1 = loge z ∴ the equations are 2x1 + y1 + z1 = 1 x1 + 2y1 + 3z1 = 1 3x1 + 2y1 + z1 = 1 The coefficient matrix is A = ⎡ ⎣ ⎢ ⎢ ⎢ ⎤ ⎦ ⎥ ⎥ ⎥ 2 1 1 1 2 3 3 2 1 M01_ENGINEERING_MATHEMATICS-I _CH01_Part A.indd 28 5/30/2016 4:35:29 PM
  • 66.
    Matrices ■ 1.29 Theaugmented matrix is [ , ] : : : A B = ⎡ ⎣ ⎢ ⎢ ⎢ ⎤ ⎦ ⎥ ⎥ ⎥ 2 1 1 1 1 2 3 1 3 2 1 1 ∼ ∼ 1 2 3 1 2 1 1 1 3 2 1 1 1 2 3 1 0 3 5 1 0 4 8 2 1 2 : : : : : : ⎡ ⎣ ⎢ ⎢ ⎢ ⎤ ⎦ ⎥ ⎥ ⎥ ↔ − − − − − − ⎡ ⎣ ⎢ ⎢ ⎢ R R ⎤ ⎤ ⎦ ⎥ ⎥ ⎥ → − → − R R R R R R 2 2 1 3 3 1 2 3 ⇒ − − − − − ⎡ ⎣ ⎢ ⎢ ⎢ ⎢ A B 1 2 3 1 0 3 5 1 0 0 4 3 2 3 [ , ] : : : ∼ ⎢ ⎢ ⎤ ⎦ ⎥ ⎥ ⎥ ⎥ ⎥ → − R R R 3 3 2 4 3 From the last matrix, we find A ∼ 1 2 3 0 3 5 0 0 4 3 − − − ⎡ ⎣ ⎢ ⎢ ⎢ ⎢ ⎤ ⎦ ⎥ ⎥ ⎥ ⎥ The number of non-zero rows in the equivalent matrices of A and [A, B] are 3. ∴ r(A) = 3, r([A, B]) = 3 ⇒ r(A) = r([A, B]) = 3, the number of variables. So, the equations are consistent with unique solution. From the reduced matrix [A, B], we find that the given equations are equivalent to x1 + 2y1 + 3z1 = 1 (4) −3y1 − 5z1 = −1 (5) and − = − ⇒ = 4 3 2 3 1 2 1 1 z z Substituting in (5), we get − − ⋅ = − ⇒ = − = − ⇒ = − 3 5 1 2 1 3 1 5 2 3 2 1 2 1 1 1 y y y Substituting in (4) we get ⇒ ∴ x x x x x x e e 1 1 1 1 1 2 1 2 3 1 2 1 1 2 1 1 1 2 1 2 1 2 1 2 + − ⎛ ⎝ ⎜ ⎞ ⎠ ⎟ + ⋅ = ⇒ + = ⇒ = − = = ⇒ = ⇒ = log 2 2 1 1 2 1 1 2 1 2 1 2 1 1 2 1 2 = = − ⇒ = − ⇒ = = = ⇒ = ⇒ = = − e y y y e e z z z e e e e log log M01_ENGINEERING_MATHEMATICS-I _CH01_Part A.indd 29 5/30/2016 4:35:31 PM
  • 67.
    1.30 ■ EngineeringMathematics So, the unique solution is x e y e z e = = = , , 1 . (B) Non-homogeneous system with infinite number of solutions EXAMPLE 4 By investigating the rank of relevant matrices, show that the following equations possess a one parameter family of solutions: 2x 2 y 2 z 5 2, x 12y 1 z 5 2, 4x 2 7y 2 5z 5 2. Solution. The given equations are x +2y + z = 2 2x − y − z = 2 4x − 7y − 5z = 2 The coefficient matrix is A = − − − − ⎡ ⎣ ⎢ ⎢ ⎢ ⎤ ⎦ ⎥ ⎥ ⎥ 1 2 1 2 1 1 4 7 5 The augmented matrix is [ , ] : : : : : : A B = − − − − ⎡ ⎣ ⎢ ⎢ ⎢ ⎤ ⎦ ⎥ ⎥ ⎥ − − − − − − 1 2 1 2 2 1 1 2 4 7 5 2 1 2 1 2 0 5 3 2 0 15 9 6 ∼ ⎡ ⎡ ⎣ ⎢ ⎢ ⎢ ⎤ ⎦ ⎥ ⎥ ⎥ → − → − − − − ⎡ ⎣ ⎢ ⎢ ⎢ ⎤ ⎦ ⎥ ⎥ ⎥ R R R R R R 2 2 1 3 3 1 2 4 1 2 1 2 0 5 3 2 0 0 0 0 ∼ : : : R R R R 3 3 2 3 → − From the last matrix we find A ∼ 1 2 1 0 5 3 0 0 0 − − ⎡ ⎣ ⎢ ⎢ ⎢ ⎤ ⎦ ⎥ ⎥ ⎥ The number of non-zero rows of equivalent matrices of A and [A, B] are 2 ∴ r(A) = 2, r([A, B]) = 2 ⇒ r(A) = r([A, B]) = 2 the number of variables 3. So, the equations are consistent with infinite number of solutions involving one parameter, since n − r = 3 − 2 = 1. From the reduced matrix [A, B], we find that the given equations are equivalent to x + 2y + z = 2 (1) − 5y − 3z = − 2 ⇒ 5y + 3z = 2 (2) Assign arbitrary value to one of the variables. Put z = k in (2) ∴ 5y + 3k = 2 ⇒ y k = − 2 3 5 M01_ENGINEERING_MATHEMATICS-I _CH01_Part A.indd 30 5/30/2016 4:35:33 PM
  • 68.
    Matrices ■ 1.31 Substitutingin (1), we get, x k k x k k k k k + − + = = − − − = − + − = + 2 2 3 5 2 2 2 2 3 5 10 4 6 5 5 6 5 ( ) ( ) ∴ the solution set is x k = + 1 5 6 ( ), y k z k = − = 1 5 2 3 ( ), , where k is any real number. EXAMPLE 5 Solve, if the equations are consistent: x 2 y 1 2z 5 1, 3x 1 y 1 z 5 4, x 1 3y 23z 5 2, 5x 2 y 1 5z 5 6. Solution. The given equations are x − y + 2z = 1 3x + y + z = 4 x + 3y − 3z = 2 5x − y + 5z = 6 The coefficient matrix is A = − − − ⎡ ⎣ ⎢ ⎢ ⎢ ⎢ ⎤ ⎦ ⎥ ⎥ ⎥ ⎥ 1 1 2 3 1 1 1 3 3 5 1 5 The augmented matrix is [ , ] : : : : : : A B = − − − ⎡ ⎣ ⎢ ⎢ ⎢ ⎢ ⎤ ⎦ ⎥ ⎥ ⎥ ⎥ − − − 1 1 2 1 3 1 1 4 1 3 3 2 5 1 5 6 1 1 2 1 0 4 5 1 0 4 5 ∼ : : : : 1 0 4 5 1 3 5 1 1 2 1 0 4 5 2 2 1 3 3 1 4 4 1 − ⎡ ⎣ ⎢ ⎢ ⎢ ⎢ ⎤ ⎦ ⎥ ⎥ ⎥ ⎥ → − → − → − − − R R R R R R R R R ∼ : : : : 1 0 0 0 0 0 0 0 0 3 3 2 4 4 2 ⎡ ⎣ ⎢ ⎢ ⎢ ⎢ ⎤ ⎦ ⎥ ⎥ ⎥ ⎥ → − → − R R R R R R From the last matrix, we find A ∼ 1 1 2 0 4 5 0 0 0 0 0 0 − − ⎡ ⎣ ⎢ ⎢ ⎢ ⎢ ⎤ ⎦ ⎥ ⎥ ⎥ ⎥ The number of non-zero rows of the equivalent matrices of A and [A, B] are 2. ⇒ M01_ENGINEERING_MATHEMATICS-I _CH01_Part A.indd 31 5/30/2016 4:35:34 PM
  • 69.
    1.32 ■ EngineeringMathematics ∴ r(A) = 2, r([A, B]) = 2 ⇒ r(A) = r([A, B]) = 2 3, the number of variables. So, the equations are consistent with infinite number of solutions involving one parameter, since n − r = 3 − 2 = 1. From reduced matrix [A, B], we find that the given equations are equivalent to x − y + 2z = 1 (1) 4y − 5z = 1 (2) Put z = k, in (2) then 4y − 5k = 1 ⇒ y k = + 1 5 4 Substituting in (1), we get x k k x k k k k k − 1 5 4 2 1 1 1 5 4 2 4 1 5 8 4 5 3 4 + + = ⇒ = + + − = + + − = − ∴ the solution set is x k y k z k = − = + = 5 3 4 1 5 4 , , , where k is any real number. EXAMPLE 6 Test the consistency of the system of equations and solve, if consistent: x1 1 2x2 2 x3 2 5x4 5 4, x1 1 3x2 2 2x3 2 7x4 5 5, 2x1 2 x2 1 3x3 5 3. Solution. The given equations are x1 + 2x2 − x3 − 5x4 = 4 x1 + 3x2 − 2x3 − 7x4 = 5 2x1 − x2 + 3x3 + 0x4 = 3 The coefficient matrix is A = − − − − − ⎡ ⎣ ⎢ ⎢ ⎢ ⎤ ⎦ ⎥ ⎥ ⎥ 1 2 1 5 1 3 2 7 2 1 3 0 The augmented matrix is [ , ] : : : : : A B = − − − − − ⎡ ⎣ ⎢ ⎢ ⎢ ⎤ ⎦ ⎥ ⎥ ⎥ − − − − − 1 2 1 5 4 1 3 2 7 5 2 1 3 0 3 1 2 1 5 4 0 1 1 2 1 0 ∼ 5 5 5 10 5 2 1 2 1 5 4 0 1 1 2 1 0 0 0 0 0 2 2 1 3 3 1 : : : : − ⎡ ⎣ ⎢ ⎢ ⎢ ⎤ ⎦ ⎥ ⎥ ⎥ → − → − − − − − R R R R R R ∼ ⎡ ⎡ ⎣ ⎢ ⎢ ⎢ ⎤ ⎦ ⎥ ⎥ ⎥ → + R R R 3 3 2 5 From the last matrix, we find A ∼ 1 2 1 5 0 1 1 2 0 0 0 0 − − − − ⎡ ⎣ ⎢ ⎢ ⎢ ⎤ ⎦ ⎥ ⎥ ⎥ M01_ENGINEERING_MATHEMATICS-I _CH01_Part A.indd 32 5/30/2016 4:35:36 PM
  • 70.
    Matrices ■ 1.33 Thenumber of non-zero rows of the equivalent matrices of A and [A, B] are 2. ∴ r(A) = 2, r([A, B]) = 2 ⇒ r(A) = r([A, B]) = 2 4, the number of variables. So, the equations are consistent with infinite number of solutions containing two parameters, since n − r = 4 − 2 = 2. From the reduced matrix of [A, B] we find that the given equations are equivalent to x1 + 2x2 − x3 − 5x4 = 4 (1) and x2 − x3 − 2x4 = 1 (2) Put x3 = k1 , x4 = k2 , then (2) ⇒ x2 − k1 − 2k2 = 1 ⇒ x2 = 1 + k1 + 2k2 Substituting in (1), we get x1 + 2(1 + k1 + 2k2 ) − k1 − 5k2 = 4 ⇒ x1 + 2 + 2k1 + 4k2 − k1 − 5k2 = 4 ⇒ x1 + k1 − k2 = 2 ⇒ x1 = 2 − k1 + k2 ∴ the solution set is x1 = 2 − k1 + k2 , x2 = 1 + k1 + 2k2 , x3 = k1 , x4 = k2 , where k1 , k2 are any real numbers. (C) Non-homogeneous system with no solution EXAMPLE 7 Examine for the consistency of the following equations 2x 1 6y 1 11 5 0, 6x 1 20y 2 6z 1 3 5 0, 6y 2 18z 1 1 5 0. Solution. The given equations are 2x + 6y + 0z = −11 6x + 20y − 6z = −3 0x + 6y − 18z = −1 The coefficient matrix is A = − − ⎡ ⎣ ⎢ ⎢ ⎢ ⎤ ⎦ ⎥ ⎥ ⎥ 2 6 0 6 20 6 0 6 18 The augmented matrix is [ , ] : : : : : A B = − − − − − ⎡ ⎣ ⎢ ⎢ ⎢ ⎤ ⎦ ⎥ ⎥ ⎥ − − − 2 6 0 11 6 20 6 3 0 6 18 1 1 3 0 11 2 6 20 6 3 0 6 ∼ − − − ⎡ ⎣ ⎢ ⎢ ⎢ ⎢ ⎤ ⎦ ⎥ ⎥ ⎥ ⎥ → 18 1 1 2 1 1 : R R M01_ENGINEERING_MATHEMATICS-I _CH01_Part A.indd 33 5/30/2016 4:35:37 PM
  • 71.
    1.34 ■ EngineeringMathematics − − − − ⎡ ⎣ ⎢ ⎢ ⎢ ⎢ ⎤ ⎦ 1 3 0 11 2 0 2 6 30 0 6 18 1 : : : ∼ ⎥ ⎥ ⎥ ⎥ ⎥ → − R R R 2 2 1 6 ⇒ [ , ] : : : A B R R R ∼ 1 3 0 11 2 0 2 6 30 0 0 0 91 3 3 3 2 − − − ⎡ ⎣ ⎢ ⎢ ⎢ ⎢ ⎤ ⎦ ⎥ ⎥ ⎥ ⎥ → − From the last matrix, we find A ∼ 1 3 0 0 2 6 0 0 0 − ⎡ ⎣ ⎢ ⎢ ⎢ ⎤ ⎦ ⎥ ⎥ ⎥ The number of non-zero rows in the equivalent matrices of A and [A, B] are 2 and 3 respectively. ∴ r(A) = 2, r([A, B]) = 3 ⇒ r(A) ≠ r([A, B]). Hence, the equations are inconsistent and the system has no solution. 1.4.4 Type 2: Solution of Non-homogeneous Linear Equations Involving Arbitrary Constants WORKED EXAMPLES EXAMPLE 1 Show that the system of equations 3x 2 y 1 4z 5 3, x 1 2y 2 3z 5 22, 6x 1 5y 1 lz 5 23 has at least one solution for any real number l. Find the set of solutions when l 5 25. Solution. The given equations are x + 2y − 3z = −2, 3x − y + 4z = 3 6x + 5y + lz = −3 The coefficient matrix is A = − − ⎡ ⎣ ⎢ ⎢ ⎢ ⎤ ⎦ ⎥ ⎥ ⎥ 1 2 3 3 1 4 6 5 l and the augmented matrix is [ , ] : : : : : : A B = − − − − ⎡ ⎣ ⎢ ⎢ ⎢ ⎤ ⎦ ⎥ ⎥ ⎥ − − − − + 1 2 3 2 3 1 4 3 6 5 3 1 2 3 2 0 7 13 9 0 7 18 l l ∼ 9 9 3 6 2 2 1 3 3 1 ⎡ ⎣ ⎢ ⎢ ⎢ ⎤ ⎦ ⎥ ⎥ ⎥ → − → − R R R R R R M01_ENGINEERING_MATHEMATICS-I _CH01_Part A.indd 34 5/30/2016 4:35:38 PM
  • 72.
    Matrices ■ 1.35 ⇒ 12 3 2 0 7 13 9 0 0 5 0 − − − + ⎡ A B [ , ] : : : ∼ l ⎣ ⎣ ⎢ ⎢ ⎢ ⎤ ⎦ ⎥ ⎥ ⎥ → − R R R 3 3 2 From the last matrix we find A ∼ 1 2 3 0 7 13 0 0 5 − − + ⎡ ⎣ ⎢ ⎢ ⎢ ⎤ ⎦ ⎥ ⎥ ⎥ l Case (i): If l + 5 ≠ 0 ⇒ l ≠ −5, the number of non-zero rows in the equivalent matrices of [A, B] and A are 3. ∴ r(A) = 3, r([A, B]) = 3 ⇒ r(A) = r([A, B]) = 3, the number of variables. So, the equations are consistent with unique solution. Case (ii): If l + 5 = 0 ⇒ l = −5, then we get [ , ] : : : A B ∼ 1 2 3 2 0 7 13 9 0 0 0 0 − − − ⎡ ⎣ ⎢ ⎢ ⎢ ⎤ ⎦ ⎥ ⎥ ⎥ and A ∼ 1 2 3 0 7 13 0 0 0 − − ⎡ ⎣ ⎢ ⎢ ⎢ ⎤ ⎦ ⎥ ⎥ ⎥ The number of non-zero rows of equivalent matrices of [A, B] and A are 2. ∴ r(A) = 2, r([A, B]) = 2 ⇒ r(A) = r([A, B]) = 2 3, the number of variables. So, the equations are consistent with infinite number of solutions involving one parameter since n − r = 3 − 2 = 1. From cases (i) and (ii), we find that the equations are consistent for all values of l. We shall now find the solution when l = −5. The solutions will contain one parameter. In this case from the last matrix [A, B], we find the equations are equivalent to x + 2y − 3z = −2 (1) − 7y + 13z = 9 (2) Put z 5 k in (2), then −7y + 13k = 9 ⇒ = − ⇒ = − 7 13 9 1 7 13 9 y k y k ( ) Substituting in (1) we get x k k x k k k k + ⋅ − − = − ⇒ = − − − + = − − + + = 2 1 7 13 9 3 2 2 2 7 13 9 3 1 7 14 26 18 21 1 ( ) ( ) [ ] 7 7 4 5 [ ] − k ∴ the solutions are x k y k z k = − = − = 1 7 4 5 1 7 13 9 [ ], [ ], , where k is any real number. M01_ENGINEERING_MATHEMATICS-I _CH01_Part A.indd 35 5/30/2016 4:35:39 PM
  • 73.
    1.36 ■ EngineeringMathematics EXAMPLE 2 Find the values of a and b if the equations x 1 y 1 2z 5 2, 2x 2 y 1 3z 5 2, 5x 2 y 1 az 5 b have (i) no solutions, (ii) unique solution and (iii) infinite number of solutions. Solution. The given equations are x + y + 2z = 2 2x − y +3z = 2 5x − y + az = b The coefficient matrix is A a = − − ⎡ ⎣ ⎢ ⎢ ⎢ ⎤ ⎦ ⎥ ⎥ ⎥ 1 1 2 2 1 3 5 1 The augmented matrix is [ , ] : : : A B a b = − − ⎡ ⎣ ⎢ ⎢ ⎢ ⎤ ⎦ ⎥ ⎥ ⎥ 1 1 2 2 2 1 3 2 5 1 ∼ ∼ 1 1 2 2 0 3 1 2 0 6 10 10 2 5 1 1 2 2 2 1 3 3 1 : : : − − − − − − ⎡ ⎣ ⎢ ⎢ ⎢ ⎤ ⎦ ⎥ ⎥ ⎥ → − → − a b R R R R R R : : : : 2 0 3 1 2 0 0 8 6 2 3 3 2 − − − − − ⎡ ⎣ ⎢ ⎢ ⎢ ⎤ ⎦ ⎥ ⎥ ⎥ → − a b R R R From this matrix, we find A a ∼ 1 1 2 0 3 1 0 0 8 − − − ⎡ ⎣ ⎢ ⎢ ⎢ ⎤ ⎦ ⎥ ⎥ ⎥ Case (i): The equations have no solution ⇒ r(A) ≠ r([A, B]) This is possible, if r(A) = 2 and r([A, B]) = 3 ⇒ a − 8 = 0 and b − 6 ≠ 0 ⇒ a = 8 and b ≠ 6. Case (ii): The equations have unique solution ⇒ r(A) = r([A, B]) = 3. ∴ a − 8 ≠ 0 and b is any real number. ∴ a ≠ 8 and b is any real number. Case (iii): The equations have infinite number of solutions ⇒ r(A) = r([A, B]) = 2 3, the number of variables. This is possible, if a − 8 = 0 and b − 6 = 0 ⇒ a = 8, b = 6 Thus, no solution ⇒ a = 8, b ≠ 6 Unique solution ⇒ a ≠ 8, b is any real number Infinite number of solutions ⇒ a = 8, b = 6. M01_ENGINEERING_MATHEMATICS-I _CH01_Part A.indd 36 5/30/2016 4:35:40 PM
  • 74.
    Matrices ■ 1.37 EXAMPLE3 For what values of k, the equations x 1 y 1 z 5 1, 2x 1 y 1 4z 5 k and 4x 1 y 1 10z 5 k2 have (i) a unique solution, (ii) infinite number of solutions, (iii) no solution and solve them completely in each case of consistency. Solution. The given equations are x + y + z = 1 2x + y + 4z = k 4x + y + 10z = k2 The coefficient matrix is A = ⎡ ⎣ ⎢ ⎢ ⎢ ⎤ ⎦ ⎥ ⎥ ⎥ 1 1 1 2 1 4 4 1 10 The augmented matrix is ⇒ [ , ] : : : : : : A B k k k k = ⎡ ⎣ ⎢ ⎢ ⎢ ⎤ ⎦ ⎥ ⎥ ⎥ − − − − ⎡ ⎣ 1 1 1 1 2 1 4 4 1 10 1 1 1 1 0 1 2 2 0 3 6 4 2 2 ∼ ⎢ ⎢ ⎢ ⎢ ⎤ ⎦ ⎥ ⎥ ⎥ → − → − − − − − − ⎡ ⎣ R R R R R R k k k 2 2 1 3 3 1 2 2 4 1 1 1 1 0 1 2 2 0 0 0 4 3 2 ∼ : : : ( ) ⎢ ⎢ ⎢ ⎢ ⎤ ⎦ ⎥ ⎥ ⎥ → − − − − + ⎡ ⎣ ⎢ ⎢ ⎢ ⎤ ⎦ ⎥ ⎥ ⎥ R R R A B k k k 3 3 2 2 3 1 1 1 1 0 1 2 2 0 0 0 3 2 [ , ] : : : ∼ From the last matrix, we find A ∼ 1 1 1 0 1 2 0 0 0 − ⎡ ⎣ ⎢ ⎢ ⎢ ⎤ ⎦ ⎥ ⎥ ⎥ Since the number of non-zero rows is 2, r(A) = 2 (i) If k2 − 3k + 2 = 0 ⇒ (k − 2)(k − 1) = 0 ⇒ k = 1, k = 2 ∴ [ , ] : : : [ , ] A B k r A B ∼ 1 1 1 1 0 1 2 2 0 0 0 0 2 − − ⎡ ⎣ ⎢ ⎢ ⎢ ⎤ ⎦ ⎥ ⎥ ⎥ = ∴ So, r(A) = r([A,B]) = 2 3, the number of variables. ∴ the system of equations is consistent with infinite number of solutions if k = 1 or k = 2. M01_ENGINEERING_MATHEMATICS-I _CH01_Part A.indd 37 5/30/2016 4:35:42 PM
  • 75.
    1.38 ■ EngineeringMathematics (ii) If k2 − 3k + 2 ≠ 0 ⇒ k ≠ 1 and k ≠ 2, then r([A, B]) = 3 ∴ r(A) ≠ r([A, B]) So, the system is inconsistent and has no solution if k ≠ 1 and k ≠ 2. Now we shall find the solutions if k = 1 and k = 2. If k = 1, then [ , ] : : : A B = − − ⎡ ⎣ ⎢ ⎢ ⎢ ⎤ ⎦ ⎥ ⎥ ⎥ 1 1 1 1 0 1 2 1 0 0 0 0 So, the equivalent equations are x + y + z = 1 and −y + 2z = −1 Put z = k1 , then −y + 2k1 = −1 ⇒ y = 1 + 2k1 ∴ x + 1 + 2k1 + k1 = 1 ⇒ x = −3k1 ∴ the solutions are x = 3k1 , y = 1 + 2k1 , z = k1 , where k1 is any real number If k = 2, then [ , ] : : : A B = − ⎡ ⎣ ⎢ ⎢ ⎢ ⎤ ⎦ ⎥ ⎥ ⎥ 1 1 1 1 0 1 2 0 0 0 0 0 So, the equivalent equations are x + y + z = 1 and −y + 2z = 0 ⇒ y = 2z. Put z = k2 , then y = 2k2 ∴ x + 2k2 + k2 = 1 ⇒ x = 1 − 3k2 ∴ the solutions are x = 1 − 3k2 , y = 2k2 , z = k2 , where k2 is any real number. 1.4.5 Type 3: Solution of the System of Homogeneous Equations WORKED EXAMPLES EXAMPLE 1 Find all the non-trivial solutions of 7x 1 y 2 2z 5 0, x 1 5y 2 4z 5 0, 3x 2 2y 1 z 5 0. Solution. The given equations are 7x + y − 2z = 0 x + 5y − 4z = 0 3x − 2y + z = 0 The coefficient matrix is A = − − − ⎡ ⎣ ⎢ ⎢ ⎢ ⎤ ⎦ ⎥ ⎥ ⎥ 7 1 2 1 5 4 3 2 1 Since R. H. S of the equations is zero it is enough, we consider A instead of augmented matrix [ , ] : : : A B = − − − ⎡ ⎣ ⎢ ⎢ ⎢ ⎤ ⎦ ⎥ ⎥ ⎥ 7 1 2 0 1 5 4 0 3 2 1 0 , because r(A) = r([A, B]) always. M01_ENGINEERING_MATHEMATICS-I _CH01_Part A.indd 38 5/30/2016 4:35:43 PM
  • 76.
    Matrices ■ 1.39 AR R R ∼ ∼ 1 5 4 7 1 2 3 2 1 1 5 4 0 34 26 0 17 13 1 2 2 − − − ⎡ ⎣ ⎢ ⎢ ⎢ ⎤ ⎦ ⎥ ⎥ ⎥ ↔ − − − ⎡ ⎣ ⎢ ⎢ ⎢ ⎤ ⎦ ⎥ ⎥ ⎥ → → − → − R R R R R 2 1 3 3 1 7 3 ∼ ∼ 1 5 4 0 17 13 0 17 13 1 2 1 5 4 0 17 13 0 0 0 2 2 − − − ⎡ ⎣ ⎢ ⎢ ⎢ ⎤ ⎦ ⎥ ⎥ ⎥ → − − − ⎡ ⎣ ⎢ ⎢ ⎢ ⎤ ⎦ ⎥ ⎥ R R ⎥ ⎥ → + R R R 3 3 2 The number of non-zero rows is 2. ∴ r(A) = 2 the number of variables. ∴ the number of solutions is infinite containing n − r = 3 − 2 = 1 parameter. From the last equivalent matrix, the given equations are equivalent to x + 5y − 4z = 0 (1) and 17 13 0 13 17 y z y z k − = ⇒ = = ∴ y = 13k, z = 17k. and (1) ⇒ x + 5 × 13k − 4 × 17k = 0 ⇒ x = 3k ∴ the solutions are x = 3k, y = 13k, z = 17k, where k is any real number. Aliter: Since the number of equations is same as the number of variables, the coefficient matrix A is a square matrix. ∴ A = − − − = ⋅ − − ⋅ + − − − = − − + = 7 1 2 1 5 4 3 2 1 7 5 8 1 1 12 2 2 15 21 13 34 0 ( ) ( ) ( ) . ∴ r(A) 3, the number of variables. ∴ the homogeneous system has non-trivial solutions. The solutions can be obtained by the rule of cross multiplication, using first and second equations x y z − + = − + = − 4 10 2 28 35 1 ⇒ x y z 6 26 34 = = ⇒ x y z k 3 13 17 = = = ,say ∴ the solutions are x k y k z k k 3 13 17 = = = , , , where is any rea al number. 1 5 x y z 1 5 7 1 −2 −4 M01_ENGINEERING_MATHEMATICS-I _CH01_Part A.indd 39 5/30/2016 4:35:45 PM
  • 77.
    1.40 ■ EngineeringMathematics EXAMPLE 2 Solve completely the homogeneous system 3x 1 4y 2z 2 6w 5 0, 2x 1 3y 1 2z 2 3w 5 0, 2x 1 y 2 14z 2 9w 5 0, x 1 3y 1 13z 1 3w 5 0. Solution. The given equations are 3x + 4y − z − 6w = 0 2x + 3y + 2z − 3w = 0 2x + y − 14z − 9w = 0 x + 3y + 13z + 3w = 0 The coefficient matrix is ⇒ A = − − − − − ⎡ ⎣ ⎢ ⎢ ⎢ ⎢ ⎤ ⎦ ⎥ ⎥ ⎥ ⎥ − − − − 3 4 1 6 2 3 2 3 2 1 14 9 1 3 13 3 1 3 13 3 2 3 2 3 2 1 14 9 3 4 ∼ 1 1 6 1 3 13 3 0 3 24 9 0 5 40 15 0 5 40 15 1 4 − ⎡ ⎣ ⎢ ⎢ ⎢ ⎢ ⎤ ⎦ ⎥ ⎥ ⎥ ⎥ ↔ − − − − − − − − − ⎡ ⎣ ⎢ ⎢ ⎢ R R ∼ ⎢ ⎢ ⎤ ⎦ ⎥ ⎥ ⎥ ⎥ → − → − → − − − − − − − R R R R R R R R R 2 2 1 3 3 1 4 4 1 2 2 3 1 3 13 3 0 3 24 9 0 5 40 15 ∼ 0 0 0 0 0 1 3 13 3 0 1 8 3 0 1 8 3 0 0 0 0 4 4 3 2 ⎡ ⎣ ⎢ ⎢ ⎢ ⎢ ⎤ ⎦ ⎥ ⎥ ⎥ ⎥ → − ⎡ ⎣ ⎢ ⎢ ⎢ ⎢ ⎤ ⎦ ⎥ ⎥ ⎥ ⎥ → R R R R ∼ − − → − ⎡ ⎣ ⎢ ⎢ ⎢ ⎢ ⎤ ⎦ ⎥ ⎥ ⎥ ⎥ → − 1 3 1 5 1 3 13 3 0 1 8 3 0 0 0 0 0 0 0 0 2 3 3 3 3 2 R R R A R R R ∼ The last equivalent matrix has 2 non-zero rows. ∴ r(A) = 2 4, the number of variables. ∴ the equations have infinite number of solutions and will contain n − r = 4 − 2 = 2 parameters. The given equations are equivalent to x + 3y + 13z + 3w = 0 and y + 8z + 3w = 0 Put z = k1 and w = k2 , then y = −8k1 − 3k2 and x + 3(−8k1 − 3k2 ) + 13k1 + 3k2 = 0 ⇒ x − 24k1 − 9k2 + 13k1 + 3k2 = 0 ⇒ x − 11k1 − 6k2 = 0 ⇒ x = 11k1 + 6k2 ∴ the solution set is x = 11k1 + 6k2 , y = −8k1 − 3k2 , z = k1 , w = k2 , where k1 , k2 are any real numbers. M01_ENGINEERING_MATHEMATICS-I _CH01_Part A.indd 40 5/30/2016 4:35:46 PM
  • 78.
    Matrices ■ 1.41 EXAMPLE3 Find all the non-trivial solutions of x 2 y 1 z 5 0, 2x 1 y 2 z 5 0, x 1 5y 2 5z 5 0. Solution. The given equations are x − y + z = 0 2x + y − z = 0 x + 5y − 5z = 0 The coefficient matrix is A = − − − ⎡ ⎣ ⎢ ⎢ ⎢ ⎤ ⎦ ⎥ ⎥ ⎥ 1 1 1 2 1 1 1 5 5 ∴ A = − − − 1 1 1 2 1 1 1 5 5 = 1(−5 + 5) − (−1)(−10 + 1) + (10 − 1) = 0 − 9 + 9 = 0 ∴ r(A) 3, the number of variables. ∴ the homogeneous system has non-trivial solutions. The solutions can be obtained by the rule of cross multiplication using first and second equations. x y z + − = + = + 1 1 2 1 1 2 ⇒ = = ⇒ = = = x y z x y z k 0 3 3 0 1 1 ∴ x = 0, y = k, z = k ∴ the solution set is x = 0, y = k, z = k, where k is any real number. 1.4.6 Type 4: Solution of Homogeneous System of Equation Containing Arbitrary Constants WORKED EXAMPLES EXAMPLE 1 If x a b c y b c a z c a b 5 2 5 2 5 2 , , , then prove that 1+ xy + yz + zx = 0. Solution. The given equations are and x a b c x b c a a bx cx y b c a y c a b ay b cy z c a b z = − ⇒ − = ⇒ − + = = − ⇒ − = ⇒ + − = = − ⇒ ( ) ( ) 0 0 ( ( ) ( ) a b c az bz c − = ⇒ − − = ⎫ ⎬ ⎪ ⎪ ⎪ ⎭ ⎪ ⎪ ⎪ 0 1 −1 1 x y z −1 1 1 2 1 −1 M01_ENGINEERING_MATHEMATICS-I _CH01_Part A.indd 41 5/30/2016 4:35:49 PM
  • 79.
    1.42 ■ EngineeringMathematics It is a system of homogeneous equations in a, b, c. From the given equations, it is obvious that a, b, c cannot be simultaneously zero or no two of them equal [For if all a, b, c are zero, then x a b c y b c a z c a b = − = − = − , , are indeterminate, do not exist.] ∴ the system of equations (1) has non-trivial solutions ∴ = ⇒ − − + − − = ⇒ − − − − − + + − − = ⇒ − − A x x y y z z yz x y yz x yz z y 0 1 1 1 0 1 1 0 1 ( ) ( )( ) ( ) z z xy xyz xyz xz xy yz zx xy yz zx − + − − = ⇒ − − − − = ⇒ + + + = 0 1 0 1 0 EXAMPLE 2 Find the values of l for which the equations ( 1) (3 1) 2 0 1) (4 2) ( 3) 0 2 (3 1) 3( l 2 1 l 1 1 l 5 l 2 1 l 2 1 l 1 5 1 l 1 1 l2 x y z x y z x y ( 1 1)z 5 0 are consistent and find x : y : z, when l has the smallest of these values.What happens when l has the greater of these values? Solution. The given equations are ( ) ( ) ( ) ( ) ( ) ( ) ( l l l l l l l l − + + + = − + − + + = + + + − 1 3 1 2 0 1 4 2 3 0 2 3 1 3 x y z x y z x y 1 1 0 )z = Since the system is homogeneous it is always consistent with at least the trivial solution x = 0, y = 0 and z = 0. It will have non-trivial solution if A = 0 ⇒ l l l l l l l l − + − − + + − = 1 3 1 2 1 4 2 3 2 3 1 3 1 0 ( ) ⇒ l l l l l l l l l + − + + 6 3 1 2 6 4 2 3 6 3 1 3( − − = → + + 1 0 1 1 2 3 ) C C C C M01_ENGINEERING_MATHEMATICS-I _CH01_Part A.indd 42 5/30/2016 4:35:51 PM
  • 80.
    Matrices ■ 1.43 ⇒ + −+ + − = 6 1 3 1 2 1 4 2 3 1 3 1 3 1 0 ( ) l l l l l l l ⇒ + 6 1 3 1 2 0 l l l l − − − + − = → − → − 3 3 0 0 3 0 2 2 1 3 3 1 l l R R R R R R ⇒ − = 6 3 0 2 l l ( ) ⇒ = − = ⇒ = 0 3 0 3 2 l l l ( ) or ∴ l = = 0 3 or . ∴ the least value is l = 0 When l = 0, the equations become and − + = ⇒ − = ⇒ = − − + = ⇒ − − + = ⇒ = + − = ⇒ + − x y x y x y x y z y y z y z x y z y y z 0 0 2 3 0 2 3 0 2 3 0 2 3 = = ⇒ = 0 y z ∴ = = ∴ = 1 1 1 x y z x y z : : : : When l = 3, then the equations become 2 10 6 0 5 3 0 2 10 6 0 5 3 0 2 10 6 0 5 x y z x y z x y z x y z x y z x y + + = ⇒ + + = + + = ⇒ + + = + + = ⇒ + + + = 3 0 z ∴ the equations coincide with x + 5y + 3z = 0 (1) ∴ the solution set is a two parameter family, since n = 3, r = 1 ∴ n − r = 2. Put y = k1 , z = k2 in (1), then x + 5k1 + 3k2 = 0 ⇒ x = −5k1 − 3k2 So, the solutions are x = −5k1 − 3k2 , y = k1 , z = k2 , where k1 , k2 are any real numbers. EXAMPLE 3 If the system of equations x 5 cy 1 bz, y 5 az 1 cx, z 5 bx 1 ay have non-trivial solutions, prove that a2 1 b2 1 c2 1 2abc 5 1 and the solutions are x y z a b c : : 1 : 1 : 1 2 2 2 5 2 2 2 . Solution. The given equations are x − cy − bz = 0 cx − y + az = 0 bx + ay − z = 0 It is a homogeneous system in x, y, z M01_ENGINEERING_MATHEMATICS-I _CH01_Part A.indd 43 5/30/2016 4:35:52 PM
  • 81.
    1.44 ■ EngineeringMathematics The coefficient matrix is A c b c a b a = − − − − ⎡ ⎣ ⎢ ⎢ ⎢ ⎤ ⎦ ⎥ ⎥ ⎥ 1 1 1 Given that this homogeneous system has non-trivial solution ∴ = ⇒ − − − − = A c b c a b a 0 1 1 1 0 ⇒ − − − − − + − + = a c c ab b ac b 1 1 0 2 ( ) ( )( ) ( )( ) ⇒ − a 1 2 − − − − − = c abc abc b 2 2 0 ⇒ − + + − = a b c abc 2 2 2 1 2 0 ( ) ⇒ + + + = a b c abc 2 2 2 2 1 (1) The non-trivial solutions are obtained by the rule of cross multiplication from first and second equations. x ac b y bc a z c − − = − − = − + 1 2 ⇒ + = + = − x ac b y bc a z c 1 2 ⇒ + = + = − x ac b y bc a z c 1 2 2 2 2 ( ) ( ) ( ) ⇒ + + x a c b ab 2 2 2 2 c c y b c a abc z c = + + = − 2 2 2 2 2 2 1 ( ) ⇒ x a c a c y b c b c z + − − = + − − = − 2 2 2 2 2 2 2 2 1 1 1 ( c c2 2 ) using (1) ⇒ x a c y b c z c 2 2 2 2 2 2 1 1 1 1 1 ( )( ) ( )( ) ( ) − − = − − = − ⇒ x a y b z 2 2 1 1 1 ⇒ − = − = − c c2 ∴ x y z a b c 2 2 2 1 1 1 = − − − : : : : EXERCISE 1.3 1. Test the consistency of the following system of equation and solve, if consistent. (i) 2x − 3y +7z = 5, 3x + y − 3z = 13, 2x + 19y − 47z = 32 (ii) 2x + 5y + 3z = 1, −x + 2y + z = 2 , x + y + z = 0 (iii) 3x + y + 2z = 3, 2x − 3y − z = −3, x + y + z = 2 M01_ENGINEERING_MATHEMATICS-I _CH01_Part A.indd 44 5/30/2016 4:35:55 PM
  • 82.
    Matrices ■ 1.45 (iv)x + y + z = 3, x + 2y + 2z = 4, x + 4y + 9z = 6 (v) 2x − y + z = 7, 3x + y − 5z = 13, x + y + z = 5 (vi) x + 2y − z = 3, 3x − y + 2z = 1, 2x − 2y + 3z = 2, x − y + z = −1 (vii) x1 − x2 + x3 + x4 = 2, x1 + x2 − x3 + x4 = −4, x1 + x2 + x3 − x4 = 4, x1 + x2 + x3 + x4 = 0 (viii) x1 + 2x2 − x3 = 3, 3x1 − x2 − 2x3 = 1, 2x1 − 2x2 + 3x3 = 2, x1 − x2 + x3 = −1 (ix) 4x − 2y + 6z = 8, x + y − 3z = −1, 15x − 3y + 9z = 21 (x) 2x + y + 5z = 4, 3x − 2y + 2z = 2, 5x− 8y − 4z = 1 2. Find all the values of a and b for which the equations. x + y + z = 3, x + 2y + 2z = 6, x + ay + 3z = b have (1) no solution, (ii) unique solution and (iii) infinite number of solutions. 3. Discuss the solutions of ax + 2y + z = 1, x + 2ay + z = 6, x + 2y + az = 1. 4. Determine the values of k such that the equation kx + y + z = 1, x + ky + z = 1, x + y + kz = 1 have (i) unique solution, (ii) infinite number of solutions and (iii) no solution. 5. Investigate for what values of l and m the equations x + y +z = 6, x + 2y +3z = 10, x + 2y + lz = m have (a) no solution, (b) unique solution and (c) infinite number of solutions. 6. Find all non-trivial solutions of x1 + 2x2 + x3 = 0, 3x1 + x2 − x3 = 0. 7. Find the value of l, if the equations 3x1 + x2 − lx3 = 0, 4x1 − 2x2 − 3x3 = 0, 2lx1 − 4x2 + lx3 = 0 have non-trivial solution. Hence, find the solutions. 8. Find the non-trivial solution of the equations x + 5y + 3z = 0, 5x + y − l = 0, x + 2y + lz = 0 and the values of l. 9. Determine the values of l for which the system of equations lx1 − 2x2 + x3 = 0, lx1 + (1 − l)x2 + x3 = 0, 2x1 − x2 + 2lx3 = 0 has non-trivial solutions and find the solution in each case. 10. Determine the values of l for which the system of equations 2x1 − 2x2 + x3 = lx1 , 2x1 − 3x2 + 2x3 = lx2 , −x1 + 2x2 = lx3 has non-trivial solutions and find the solutions. ANSWERS TO EXERCISE 1.3 1. (i) In consistent. (ii) x = −1, y = 0, z = 1; (iii) x = 1, y = 2, z = −1 (iv) x = 2, y = 1, z = 0; (v) x = 4, y = 1, z = 0 (vi) x = −1, y = 4, z = 4; (vii) x1 = 1, x2 = 2, x3 = 2, x4 = −2w (viii) x1 = −1, x2 = 4, x3 = 4 (ix) x = 1, y = 3k − 2, z = k for all k. (x) In consistent. Hence, no solution. 2. (i) No solution if a = 3, b ≠ 9, (ii) Unique solution if a = 3, b is any real number. (iii) Infinite number of solutions if a = 3, b = 9. 3. (i) Unique solution if a ≠ 1, b ≠ −2, (ii) No solution if a = 1, b ≠ 1 and a = −2, b ≠ −2 (iii) Infinite number of solutions if a = 1, b = 1 and a = −2, b = −2. 4. (i) Unique solution if k ≠ 2, 1. (ii) Infinite number of solutions if k = 1 and (iii) No solution if k = − 2. 5. (a) No solution if l = 3 and m ≠ 10 (b) Unique solution if l ≠ 3 and m is any real number. (c) Infinite number of solution if l = 3, m =10 6. x1 = 3k, x2 = −4k, x3 = 5k for all k. M01_ENGINEERING_MATHEMATICS-I _CH01_Part A.indd 45 5/30/2016 4:35:56 PM
  • 83.
    1.46 ■ EngineeringMathematics 7. When l = 9; x1 = 21k, x2 = 27k, x3 = 10k for all k. When l = −1; x1 = k, x2 = −13k, x3 = 10k for all k. 8. When l = 1; x = 3k, y = −2k, z = 3k for all k. 9. When l = 3; x1 = −11k, x2 = −16k, x3 = k for all k. When l = 1; x1 = k, x2 = 0, x3 = −k for all k. When l = −1; x1 = k, x2 = 0, x3 = k for all k. 10. When l = 1; x1 = 2k1 − k2 , x2 = k1 , x3 = k2 for all k1 , k2 . When l = −3; x1 = −k, x2 = −2k, x3 = k for all k. 1.5 MATRIX INVERSE BY GAUSS–JORDAN METHOD We shall explain the method for 3 × 3 matrix. Let A a a a a a a a a a = ⎡ ⎣ ⎢ ⎢ ⎢ ⎤ ⎦ ⎥ ⎥ ⎥ 11 12 13 21 22 23 31 32 33 If A is non-singular, then there exists a 3 × 3 matrix X = ⎡ ⎣ ⎢ ⎢ ⎢ ⎤ ⎦ ⎥ ⎥ ⎥ x x x x x x x x x 11 12 13 21 22 23 31 32 33 such that AX = I ⇒ a a a a a a a a a x x x x x x x 11 12 13 21 22 23 31 32 33 11 12 13 21 22 23 31 ⎡ ⎣ ⎢ ⎢ ⎢ ⎤ ⎦ ⎥ ⎥ ⎥ x x x 32 33 1 0 0 0 1 0 0 0 1 ⎡ ⎣ ⎢ ⎢ ⎢ ⎤ ⎦ ⎥ ⎥ ⎥ = ⎡ ⎣ ⎢ ⎢ ⎢ ⎤ ⎦ ⎥ ⎥ ⎥ This equation is equivalent to the three equations below: a a a a a a a a a x x 11 12 13 21 22 23 31 32 33 11 21 31 1 ⎡ ⎣ ⎢ ⎢ ⎢ ⎤ ⎦ ⎥ ⎥ ⎥ ⎡ ⎣ ⎢ ⎢ ⎢ ⎤ ⎦ ⎥ ⎥ ⎥ = x 0 0 0 ⎡ ⎣ ⎢ ⎢ ⎢ ⎤ ⎦ ⎥ ⎥ ⎥ (1) a a a a a a a a a x x x 11 12 13 21 22 23 31 32 33 12 22 32 0 ⎡ ⎣ ⎢ ⎢ ⎢ ⎤ ⎦ ⎥ ⎥ ⎥ ⎡ ⎣ ⎢ ⎢ ⎢ ⎤ ⎦ ⎥ ⎥ ⎥ = 1 1 0 ⎡ ⎣ ⎢ ⎢ ⎢ ⎤ ⎦ ⎥ ⎥ ⎥ (2) and a a a a a a a a a x x x 11 12 13 21 22 23 31 32 33 13 23 33 0 ⎡ ⎣ ⎢ ⎢ ⎢ ⎤ ⎦ ⎥ ⎥ ⎥ ⎡ ⎣ ⎢ ⎢ ⎢ ⎤ ⎦ ⎥ ⎥ ⎥ = 0 0 1 ⎡ ⎣ ⎢ ⎢ ⎢ ⎤ ⎦ ⎥ ⎥ ⎥ (3) Equation (1) is a system of linear equations. Solving by Jordan’s method (or by Gauss elimination method), we get x x x 11 21 31 , , and so the vector x x x 11 21 31 ⎡ ⎣ ⎢ ⎢ ⎢ ⎤ ⎦ ⎥ ⎥ ⎥ is known. Similarly solving (2) and (3), we get the other columns of X, and hence, X is known. This matrix X is the inverse of A. M01_ENGINEERING_MATHEMATICS-I _CH01_Part A.indd 46 5/30/2016 4:35:58 PM
  • 84.
    Matrices ■ 1.47 Nowto solve equation (1), we start with the augmented matrix A I , 1 [ ] where I1 1 0 0 = ⎡ ⎣ ⎢ ⎢ ⎢ ⎤ ⎦ ⎥ ⎥ ⎥ and trans- form by row operations so that A is reduced to unit matrix in Jordan’s method, then we write the solu- tion for x x x 11 21 31 , , directly. The same procedure is applied to solve (2) and (3) by writing A I , 2 [ ] and A I , 3 [ ]. In practice, we will not do this individually and convert A into a unit matrix, but we start with A I I I A I ⏐ 1 2 3 ⎡ ⎣ ⎤ ⎦ = ( ) , and convert A into unit matrix by row operations and find X. Working rule Consider the augmented matrix [A, I ], where I is the identity matrix of the same order as A. By row operations, reduce A into a unit matrix, then correspondingly I will be changed into a matrix X. This matrix X is the inverse of A. It is advisable to change the pivot element to 1 before applying row operations at each step. WORKED EXAMPLES EXAMPLE 1 Using Gauss–Jordan method, find the inverse of the matrix A 5 2 2 2 1 1 3 1 3 3 2 4 4 . ⎡ ⎣ ⎢ ⎢ ⎢ ⎤ ⎦ ⎥ ⎥ ⎥ Solution. Given A = − − − 1 1 3 1 3 3 2 4 4 ⎡ ⎣ ⎢ ⎢ ⎢ ⎤ ⎦ ⎥ ⎥ ⎥ . To find A–1 Consider the augmented matrix A I , : : : [ ]= − − − ⎡ ⎣ ⎢ ⎢ ⎢ ⎤ ⎦ ⎥ ⎥ ⎥ 1 1 3 1 0 0 1 3 3 0 1 0 2 4 4 0 0 1 ∼ 1 1 3 1 0 0 0 2 6 1 1 0 0 2 10 2 0 1 2 2 2 1 3 3 1 : : : − − − ⎡ ⎣ ⎢ ⎢ ⎢ ⎤ ⎦ ⎥ ⎥ ⎥ → − → + R R R R R R ∼ 1 1 3 1 0 0 0 1 3 1 2 1 2 0 0 1 5 1 0 1 2 1 2 1 2 2 2 3 3 : : : − − − ⎡ ⎣ ⎢ ⎢ ⎢ ⎢ ⎢ ⎢ ⎤ ⎦ ⎥ ⎥ ⎥ ⎥ ⎥ ⎥ → → R R R R [The pivot 2 in R2 is reduced to 1] ∼ 1 0 6 3 2 1 2 0 0 1 3 1 2 1 2 0 0 0 2 1 2 1 2 1 2 1 1 1 : : : − − − ⎡ ⎣ ⎢ ⎢ ⎢ ⎢ ⎢ ⎢ ⎢ ⎤ ⎦ ⎥ ⎥ ⎥ ⎥ ⎥ ⎥ ⎥ → + − R R ( ( ) → + R R R R 2 3 3 2 M01_ENGINEERING_MATHEMATICS-I _CH01_Part A.indd 47 5/30/2016 4:36:00 PM
  • 85.
    1.48 ■ EngineeringMathematics ∼ 1 0 6 3 2 1 2 0 0 1 3 1 2 1 2 0 0 0 1 1 4 1 4 1 4 1 2 3 3 : : : − − − ⎡ ⎣ ⎢ ⎢ ⎢ ⎢ ⎢ ⎢ ⎢ ⎤ ⎦ ⎥ ⎥ ⎥ ⎥ ⎥ ⎥ ⎥ → R R (The pivot 2 in R3 is reduced to 1) ∼ 1 0 0 0 2 3 2 0 1 0 1 4 5 4 3 4 0 0 1 1 4 1 4 1 4 6 1 1 : : : − − ⎡ ⎣ ⎢ ⎢ ⎢ ⎢ ⎢ ⎢ ⎢ ⎤ ⎦ ⎥ ⎥ ⎥ ⎥ ⎥ ⎥ ⎥ → + − ( R R ) ) → + R R R R 3 2 2 3 3 ∴ the inverse matrix of A is A − = − − ⎡ ⎣ ⎢ ⎢ ⎢ ⎢ ⎢ ⎢ ⎢ ⎤ ⎦ ⎥ ⎥ ⎥ ⎥ ⎥ ⎥ ⎥ 1 0 2 3 2 1 4 5 4 3 4 1 4 1 4 1 4 EXAMPLE 2 Find the inverse of the matrix A 5 2 2 4 1 2 2 3 1 1 2 2 ⎡ ⎣ ⎢ ⎢ ⎢ ⎤ ⎦ ⎥ ⎥ ⎥ by Gauss–Jordan method. Solution. Given A = − 4 1 2 3 1 2 2 2 1 − ⎡ ⎣ ⎢ ⎢ ⎢ ⎤ ⎦ ⎥ ⎥ ⎥ . To find A–1 Consider the augmented matrix A I , : : : [ ] = − − ⎡ ⎣ ⎢ ⎢ ⎢ ⎤ ⎦ ⎥ ⎥ ⎥ 4 1 2 1 0 0 2 3 1 0 1 0 1 2 2 0 0 1 ∼ 1 1 4 1 2 1 4 0 0 2 3 1 0 1 0 1 2 2 0 0 1 1 4 1 1 : : : − − ⎡ ⎣ ⎢ ⎢ ⎢ ⎢ ⎤ ⎦ ⎥ ⎥ ⎥ ⎥ → R R (The pivot 4 in R1 is reduced to 1) ∼ 1 1 4 1 2 1 4 0 0 0 5 2 2 1 2 1 0 0 9 4 3 2 1 4 0 1 2 2 : : : − − − − ⎡ ⎣ ⎢ ⎢ ⎢ ⎢ ⎢ ⎢ ⎢ ⎤ ⎦ ⎥ ⎥ ⎥ ⎥ ⎥ ⎥ ⎥ → + R R − − ( ) → − 2 1 3 3 1 R R R R M01_ENGINEERING_MATHEMATICS-I _CH01_Part A.indd 48 5/30/2016 4:36:03 PM
  • 86.
    Matrices ■ 1.49 −− − − ⎡ ⎣ ⎢ ⎢ ⎢ ⎢ ⎢ ⎢ 1 1 4 1 2 1 4 0 0 0 1 4 5 1 5 2 5 0 0 9 4 3 2 1 4 0 1 ∼ : : : ⎢ ⎢ ⎤ ⎦ ⎥ ⎥ ⎥ ⎥ ⎥ ⎥ ⎥ → R R 2 2 5 2 The ivot in is reduced to 1 2 p 5 2 R ⎡ ⎣ ⎢ ⎤ ⎦ ⎥ ∼ 1 0 7 10 3 10 1 10 0 0 1 4 5 1 5 2 5 0 0 0 3 10 7 10 9 10 1 : : : − − − − − ⎡ ⎣ ⎢ ⎢ ⎢ ⎢ ⎢ ⎢ ⎢ ⎤ ⎦ ⎥ ⎥ ⎥ ⎥ ⎥ ⎥ ⎥ ⎥ → + − ⎛ ⎝ ⎜ ⎞ ⎠ ⎟ → + − − − R R R R R R 1 1 3 3 2 1 4 9 4 1 0 7 10 3 10 1 10 0 0 1 4 5 1 5 2 5 0 0 2 ∼ : : 0 0 1 7 3 3 10 3 10 3 3 3 : − − ⎡ ⎣ ⎢ ⎢ ⎢ ⎢ ⎢ ⎢ ⎢ ⎤ ⎦ ⎥ ⎥ ⎥ ⎥ ⎥ ⎥ ⎥ → − R R The ivot in is reduced to 1 3 p − ⎡ ⎣ ⎢ ⎤ ⎦ ⎥ 3 10 R ∼ 1 0 0 4 3 2 7 3 0 1 0 5 3 2 8 3 0 0 1 7 3 3 10 3 1 1 : : : − − − − − ⎡ ⎣ ⎢ ⎢ ⎢ ⎢ ⎢ ⎢ ⎢ ⎤ ⎦ ⎥ ⎥ ⎥ ⎥ ⎥ ⎥ ⎥ → + R R − − ⎛ ⎝ ⎜ ⎞ ⎠ ⎟ → + 7 10 4 5 3 2 2 3 R R R R ∴ the inverse of A is A − = − − − − − ⎡ ⎣ ⎢ ⎢ ⎢ ⎢ ⎢ ⎢ ⎢ ⎤ ⎦ ⎥ ⎥ ⎥ ⎥ ⎥ ⎥ ⎥ 1 4 3 2 7 3 5 3 2 8 3 7 3 3 10 3 EXAMPLE 3 Solve the system of equations x y z x y z x y z 1 1 5 1 2 5 2 2 2 5 3 4 3 3 2 2 4 4 ; ; 8 by finding the matrix inverse by Gauss–Jordan method. Solution. The given system of equations is x y z x y z x y z + + = + − = − − − = 3 4 3 3 2 2 4 4 8 M01_ENGINEERING_MATHEMATICS-I _CH01_Part A.indd 49 5/30/2016 4:36:05 PM
  • 87.
    1.50 ■ EngineeringMathematics The coefficient matrix is A B X = − − − − ⎡ ⎣ ⎢ ⎢ ⎢ ⎤ ⎦ ⎥ ⎥ ⎥ = ⎡ ⎣ ⎢ ⎢ ⎢ ⎤ ⎦ ⎥ ⎥ ⎥ = ⎡ ⎣ ⎢ ⎢ ⎢ ⎤ ⎦ ⎥ ⎥ 1 1 3 1 3 3 2 4 4 4 2 8 , and x y z ⎥ ⎥ ∴ the system of equations is AX B X A B = ⇒ = −1 . We find A −1 by the method of matrix inverse by Gauss–Jordan method. Consider the augmented matrix A I , : : : : : [ ]= − − − − ⎡ ⎣ ⎢ ⎢ ⎢ ⎤ ⎦ ⎥ ⎥ ⎥ ∼ − − 1 1 3 1 0 0 1 3 3 0 1 0 2 4 4 0 0 1 1 1 3 1 0 0 0 2 6 1 1 0 0 0 2 2 2 0 1 2 1 1 3 1 0 0 0 1 3 1 2 1 2 0 0 1 2 2 1 3 3 1 − ⎡ ⎣ ⎢ ⎢ ⎢ ⎤ ⎦ ⎥ ⎥ ⎥ → − → + ∼ − − − : : : R R R R R R 1 1 1 0 1 2 1 2 1 2 1 0 4 2 0 1 2 0 1 3 1 2 1 2 0 0 2 2 3 3 : : : ⎡ ⎣ ⎢ ⎢ ⎢ ⎢ ⎢ ⎢ ⎤ ⎦ ⎥ ⎥ ⎥ ⎥ ⎥ ⎥ → → ∼ − − R R R R − − ⎡ ⎣ ⎢ ⎢ ⎢ ⎢ ⎢ ⎢ ⎢ ⎤ ⎦ ⎥ ⎥ ⎥ ⎥ ⎥ ⎥ ⎥ → + 1 1 1 0 1 2 1 1 3 : R R R ∼ − − − 1 0 4 2 0 1 2 0 1 3 1 2 1 2 0 0 0 : : 2 2 1 2 1 2 1 2 3 3 2 : ⎡ ⎣ ⎢ ⎢ ⎢ ⎢ ⎢ ⎢ ⎢ ⎤ ⎦ ⎥ ⎥ ⎥ ⎥ ⎥ ⎥ ⎥ → + R R R ∼ − − − − − ⎡ ⎣ ⎢ ⎢ ⎢ ⎢ ⎢ ⎢ ⎢ ⎤ ⎦ ⎥ ⎥ ⎥ ⎥ ⎥ ⎥ ⎥ → − ⎛ 1 0 4 2 0 1 2 0 1 3 1 2 1 2 0 0 0 1 1 4 1 4 1 4 1 2 3 : : : R ⎝ ⎝ ⎜ ⎞ ⎠ ⎟ R3 M01_ENGINEERING_MATHEMATICS-I _CH01_Part A.indd 50 5/30/2016 4:36:06 PM
  • 88.
    Matrices ■ 1.51 ∼− − − − − − ⎡ ⎣ ⎢ ⎢ ⎢ ⎢ ⎢ ⎢ ⎢ ⎤ ⎦ ⎥ ⎥ ⎥ ⎥ ⎥ ⎥ ⎥ → 1 0 0 3 1 3 2 0 1 0 5 4 1 4 3 4 0 0 1 1 4 1 4 1 4 1 1 : : : R R − − → + 4 3 3 2 2 3 R R R R ∴ the inverse of A is A − = − − − − − − ⎡ ⎣ ⎢ ⎢ ⎢ ⎢ ⎢ ⎢ ⎢ ⎤ ⎦ ⎥ ⎥ ⎥ ⎥ ⎥ ⎥ ⎥ 1 3 1 3 2 5 4 1 4 3 4 1 4 1 4 1 4 ∴ X A B = −1 ⇒ x y z ⎡ ⎣ ⎢ ⎢ ⎢ ⎢ ⎢ ⎢ ⎤ ⎦ ⎥ ⎥ ⎥ ⎥ ⎥ ⎥ = − − − − − − ⎡ ⎣ ⎢ ⎢ ⎢ ⎢ ⎢ ⎢ ⎢ ⎤ ⎦ ⎥ ⎥ ⎥ ⎥ ⎥ 3 1 3 2 5 4 1 4 3 4 1 4 1 4 1 4 ⎥ ⎥ ⎥ ⎡ ⎣ ⎢ ⎢ ⎢ ⎢ ⎢ ⎢ ⎤ ⎦ ⎥ ⎥ ⎥ ⎥ ⎥ ⎥ 4 2 8 = + + − − − − − − ⎡ ⎣ ⎢ ⎢ ⎢ ⎢ ⎢ ⎢ ⎤ ⎦ ⎥ ⎥ ⎥ ⎥ ⎥ ⎥ = − − ⎡ ⎣ ⎢ ⎢ ⎢ ⎢ ⎢ ⎢ ⎤ 12 12 12 5 1 2 6 1 1 2 2 26 23 2 7 2 ⎦ ⎦ ⎥ ⎥ ⎥ ⎥ ⎥ ⎥ ∴ the solution is x y z = = − = − 26 23 2 7 2 , , EXAMPLE 4 Solve the system of equations 2 2 10 2 2 9 2 2 11 x y z x y z x y z 1 1 5 1 1 5 1 1 5 ; ; by finding the inverse by Gauss–Jordan method. Solution. The given system of equations is 2 2 10 2 2 9 2 2 11 x y z x y z x y z + + = + + = + + = The coefficient matrix is A B X = ⎡ ⎣ ⎢ ⎢ ⎢ ⎤ ⎦ ⎥ ⎥ ⎥ = ⎡ ⎣ ⎢ ⎢ ⎢ ⎤ ⎦ ⎥ ⎥ ⎥ = ⎡ ⎣ ⎢ ⎢ ⎢ ⎤ ⎦ ⎥ ⎥ ⎥ 2 1 2 2 2 1 1 2 2 10 9 11 , and x y z M01_ENGINEERING_MATHEMATICS-I _CH01_Part A.indd 51 5/30/2016 4:36:09 PM
  • 89.
    1.52 ■ EngineeringMathematics ∴ the system of equation is AX B = ⇒ X A B = −1 . We find A −1 by the method of matrix inverse by Gauss–Jordan method. Consider the augmented matrix A I , : : : [ ]= ⎡ ⎣ ⎢ ⎢ ⎢ ⎤ ⎦ ⎥ ⎥ ⎥ 2 1 2 1 0 0 2 2 1 0 1 0 1 2 2 0 0 1 ∼ ⎡ ⎣ ⎢ ⎢ ⎢ ⎢ ⎢ ⎤ ⎦ ⎥ ⎥ ⎥ ⎥ ⎥ → 1 1 2 1 1 2 0 0 2 2 1 0 1 0 1 2 2 0 0 1 1 2 1 1 : : : R R ∼ − − − ⎡ ⎣ ⎢ ⎢ ⎢ ⎢ ⎢ ⎤ ⎦ ⎥ ⎥ ⎥ ⎥ ⎥ → − → − 1 1 2 1 1 2 0 0 0 1 1 1 1 0 0 3 2 1 1 2 0 1 2 2 2 1 3 3 : : : R R R R R R R1 ∼ − − − − ⎡ ⎣ ⎢ ⎢ ⎢ ⎢ ⎢ ⎤ ⎦ ⎥ ⎥ ⎥ ⎥ ⎥ → − 1 0 3 2 1 1 2 0 0 1 1 1 1 0 0 0 5 2 1 3 2 1 1 2 1 1 2 : : : R R R R3 3 3 2 3 2 → − R R ∼ − − − − ⎡ ⎣ ⎢ ⎢ ⎢ ⎢ ⎢ ⎤ ⎦ ⎥ ⎥ ⎥ ⎥ ⎥ → 1 0 3 2 1 1 2 0 0 1 1 1 1 0 0 0 1 2 5 3 5 2 5 2 5 3 3 : : : R R ∼ 1 0 0 0 2 5 2 5 3 5 0 1 0 3 5 2 5 2 5 0 0 1 2 5 3 5 2 5 3 2 1 1 : : : − − − ⎡ ⎣ ⎢ ⎢ ⎢ ⎢ ⎢ ⎢ ⎢ ⎤ ⎦ ⎥ ⎥ ⎥ ⎥ ⎥ ⎥ ⎥ → − R R R R R R R 3 2 2 3 → + ∴ the inverse of A is A − = − − − ⎡ ⎣ ⎢ ⎢ ⎢ ⎢ ⎢ ⎢ ⎢ ⎤ ⎦ ⎥ ⎥ ⎥ ⎥ ⎥ ⎥ ⎥ 1 2 5 2 5 3 5 3 5 2 5 2 5 2 5 3 5 2 5 M01_ENGINEERING_MATHEMATICS-I _CH01_Part A.indd 52 5/30/2016 4:36:11 PM
  • 90.
    Matrices ■ 1.53 ∴X A B − = 1 ⇒ x y z ⎡ ⎣ ⎢ ⎢ ⎢ ⎢ ⎢ ⎢ ⎢ ⎤ ⎦ ⎥ ⎥ ⎥ ⎥ ⎥ ⎥ = − − − ⎡ ⎣ ⎢ ⎢ ⎢ ⎢ ⎢ ⎢ ⎢ ⎤ ⎦ ⎥ ⎥ ⎥ ⎥ ⎥ ⎥ ⎥ ⎡ ⎣ 2 5 2 5 3 5 3 5 2 5 2 5 2 5 3 5 2 5 10 9 11 ⎢ ⎢ ⎢ ⎢ ⎢ ⎢ ⎢ ⎤ ⎦ ⎥ ⎥ ⎥ ⎥ ⎥ ⎥ = − − + + − + ⎡ ⎣ ⎢ ⎢ ⎢ ⎢ ⎢ ⎢ ⎢ ⎤ ⎦ ⎥ ⎥ ⎥ ⎥ ⎥ ⎥ ⎥ = − 20 5 18 5 33 5 30 5 18 5 22 5 20 5 27 5 22 5 38 3 + 3 3 5 40 30 5 42 27 5 1 2 3 − − ⎡ ⎣ ⎢ ⎢ ⎢ ⎢ ⎢ ⎢ ⎢ ⎤ ⎦ ⎥ ⎥ ⎥ ⎥ ⎥ ⎥ ⎥ = ⎡ ⎣ ⎢ ⎢ ⎢ ⎢ ⎢ ⎢ ⎤ ⎦ ⎥ ⎥ ⎥ ⎥ ⎥ ⎥ ∴ the solution is x y z = = = 1 2 3 , , . EXERCISE 1.4 Find the matrix inverse by Gauss–Jordan method 1. 1 1 3 1 3 3 2 4 4 − − − − ⎡ ⎣ ⎢ ⎢ ⎢ ⎤ ⎦ ⎥ ⎥ ⎥ 2. 2 2 6 2 6 6 4 8 8 − − − ⎡ ⎣ ⎢ ⎢ ⎢ ⎤ ⎦ ⎥ ⎥ ⎥ 3. 2 1 2 2 2 1 1 2 2 ⎡ ⎣ ⎢ ⎢ ⎢ ⎤ ⎦ ⎥ ⎥ ⎥ 4. 8 4 0 4 8 4 0 4 8 − − − − ⎡ ⎣ ⎢ ⎢ ⎢ ⎤ ⎦ ⎥ ⎥ ⎥ 5. 2 2 4 2 3 2 1 1 1 − − ⎡ ⎣ ⎢ ⎢ ⎢ ⎤ ⎦ ⎥ ⎥ ⎥ 6. 2 1 1 3 2 3 1 4 9 ⎡ ⎣ ⎢ ⎢ ⎢ ⎤ ⎦ ⎥ ⎥ ⎥ 7. Solve the system of linear equations x y z x y z x y z + + = − + = + + = 9 2 3 4 13 3 4 5 40 , , , finding the inverse matrix by Gauss–Jordan method. 8. Solve the system of equations 2 10 3 2 3 18 4 9 16 x y z x y z x y z + + = + + = + + = , , , finding the inverse matrix by Gauss–Jordan method. ANSWERS TO EXERCISE 1.4 1. A − = − − − − − ⎡ ⎣ ⎢ ⎢ ⎢ ⎢ ⎢ ⎢ ⎢ ⎤ ⎦ ⎥ ⎥ ⎥ ⎥ ⎥ ⎥ ⎥ 1 3 1 3 2 5 4 1 4 3 4 1 4 1 4 1 4 2. A − = − − − ⎡ ⎣ ⎢ ⎢ ⎢ ⎤ ⎦ ⎥ ⎥ ⎥ 1 1 56 12 4 6 1 5 3 5 3 1 3. A − = − − − ⎡ ⎣ ⎢ ⎢ ⎢ ⎤ ⎦ ⎥ ⎥ ⎥ 1 1 5 2 2 3 2 2 2 2 3 2 4. A − = ⎡ ⎣ ⎢ ⎢ ⎢ ⎤ ⎦ ⎥ ⎥ ⎥ 1 1 16 3 2 1 2 4 2 1 2 3 5. A − = − − ⎡ ⎣ ⎢ ⎢ ⎢ ⎤ ⎦ ⎥ ⎥ ⎥ 1 1 10 5 2 16 0 2 4 5 0 10 6. A − = − − − − − ⎡ ⎣ ⎢ ⎢ ⎢ ⎢ ⎢ ⎢ ⎢ ⎤ ⎦ ⎥ ⎥ ⎥ ⎥ ⎥ ⎥ ⎥ 1 3 5 2 1 2 12 17 2 3 2 5 7 2 1 2 7. x y z = = = 1 3 5 , , 8. x y z = = − = 7 9 5 , , M01_ENGINEERING_MATHEMATICS-I _CH01_Part A.indd 53 5/30/2016 4:36:16 PM
  • 91.
    1.54 ■ EngineeringMathematics 1.6 EIGEN VALUES AND EIGEN VECTORS 1.6.0 Introduction In this section we study certain numbers associated with a square matrix, called eigen values and certain vectors associated with them, called eigen vectors. The problem of determining eigen values and eigen vectors of a square matrix is called an eigen value problem. The eigen value problem arise in a wide range of physical and engineering applications such as mechanical system, electrical networks, Markov processes, elastic deformations, etc. Eigen value problems are used in diagonalisation of a matrix of a quadratic form. 1.6.1 Vector The vector 2 3 4 i j k + − can be regarded as the triplet (2, 3, −4). Definition 1.28 An ordered n-tuple (x1 , x2 , …, xn ) of numbers x1 , x2 , …, xn is called an n-dimensional vector. For example the triplet (2, 3, −4) is a 3-dimensional vector. (1, 0, −2, 3) is a 4-dimensional vector. A row matrix is also called a row vector and a column matrix is called a column vector. Definition 1.29 If X1 = (a1 , a2 , …, an ), X2 = (b1 , b2 , …, bn ) be two n-dimensional vectors, then their sum and scalar multiplications are X1 + X2 = (a1 + b1 , a2 + b2 , …, an + bn ), aX1 = (aa1 , aa2 , …, aan ), which are n-dimensional vectors. X1 = X2 if and only if a1 = b1 , a2 = b2 , …, an = bn Definition 1.30 Linear Combination If X1 , X2 , …, Xr are r vectors of n-dimension and if a1 , a2 , …, ar are numbers, then the vector a1 X1 + a2 X2 + … + ar Xr is called a linear combination of the vectors X1 , X2 , …, Xr . Definition 1.31 Linearly dependent and independent vectors (a) The set of vectors X1 , X2 , …, Xr is said to be linearly dependent if there exist numbers a1 , a2 , …, ar , not all zero, such that a1 X1 + a2 X2 + … + ar Xr = 0 (b) The set of vectors X1 , X2 , …, Xr is said to be linearly independent if any relation of the form a1 X1 + a2 X2 + … + ar Xr = 0 ⇒ a1 = 0, a2 = 0, …, ar = 0 Note (i) If X1 , X2 , …, Xr are linearly dependent, then some vector is a linear combination of others. (ii) In a plane or 2-dimensional space, non-collinear vectors are linearly independent vectors whereas collinear vectors are dependent vectors. In 3-dimesional space, non-coplanar vectors are linearly independent vectors whereas coplanar vectors are dependent vectors. Example: i j k = = = ( , , ), ( , , ), ( , , ) 1 0 0 0 1 0 0 0 1 are linearly independent vectors. (iii) Any set of vectors containing zero vector 0 is a linearly dependent set. M01_ENGINEERING_MATHEMATICS-I _CH01_Part A.indd 54 5/30/2016 4:36:18 PM
  • 92.
    Matrices ■ 1.55 (iv)Rank of an m × n matrix A is equal to the maximum number of independent column vectors or row vectors of A. (v) A useful result to test linear independence: Let X1 , X2 , …, Xn be n vectors of n-dimensional space. Let A be the matrix having these n-vectors as columns (or rows). Then A is a square matrix of order n. If A ≠ 0 , then X1 , X2 , …, Xn are linearly independent. If A = 0 , then X1 , X2 , …, Xn are linearly dependent. WORKED EXAMPLES EXAMPLE 1 Show that the vectors (1, 2, 3), (3, 22, 1), (1, 26, 25) are linearly dependent. Solution. Let A = − − − ⎡ ⎣ ⎢ ⎢ ⎢ ⎤ ⎦ ⎥ ⎥ ⎥ 1 3 1 2 2 6 3 1 5 with the vectors as columns. Then A = − − − = ⋅ + − − + + ⋅ + = − + = 1 3 1 2 2 6 3 1 5 1 10 6 3 10 18 1 2 6 16 24 8 0 ( ) ( ) ( ) ∴ the vectors (1, 2, 3), (3, −2, 1) and (1, −6, −5) are linearly dependent. EXAMPLE 2 Show that the vectors X1 = (1, 2, 23, 4), X2 = (3, 21, 2, 1), X3 = (1, 25, 8, 27) are linearly dependent and find the relation between them. Solution. Let A = − − − − ⎡ ⎣ ⎢ ⎢ ⎢ ⎤ ⎦ ⎥ ⎥ ⎥ 1 2 3 4 3 1 2 1 1 5 8 7 with the vectors as rows. We shall use elementary row operations. ∴ A ∼ − 1 2 3 4 0 7 11 11 0 7 11 11 3 2 2 1 2 3 3 1 3 − − − − ⎡ ⎣ ⎢ ⎢ ⎢ ⎤ ⎦ ⎥ ⎥ ⎥ → − = ′ → − = ′ R R R R R R R R ∼ ∼ 1 2 3 4 0 7 11 11 0 0 0 0 3 3 2 3 − − − ⎡ ⎣ ⎢ ⎢ ⎢ ⎤ ⎦ ⎥ ⎥ ⎥ → ′ − ′ = ′′ R R R R Since the maximum number of non-zero rows is 2, which is less than the number of vectors, the given vectors are linearly dependent. M01_ENGINEERING_MATHEMATICS-I _CH01_Part B.indd 55 5/30/2016 5:03:24 PM
  • 93.
    1.56 ■ EngineeringMathematics The relation between them is obtained as below. ′′= ⇒ ′ − ′ = ⇒ − − − = ⇒ − + = R R R R R R R R R R 3 3 2 3 1 2 1 3 2 1 0 0 3 0 2 0 ( ) Since the rows are vectors, we get X3 − X2 + 2X1 = 0 which is the relation between the vectors. Note The rows of the matrix are the given vectors. So, only row operations must be used to find the relationship between the vectors. 1.6.2 Eigen Values and Eigen Vectors Definition 1.32 Let A be a square matrix of order n. A number l is called an eigen value of A if there exists a non-zero column matrix X such that AX = lX. Then X is called an eigen vector of A cor- responding to l. If A and X ij n n n = ⎡ ⎣ ⎤ ⎦ = ⎡ ⎣ ⎢ ⎢ ⎢ ⎢ ⎤ ⎦ ⎥ ⎥ ⎥ ⎥ × a x x x 1 2 : , then AX = lX ⇒ (A − lI)X = 0. This will represent a system of linear homogeneous equations in x1 , x2 , …, xn . Since X ≠ 0 at least one of the xi ≠ 0. Hence, the homogeneous system has nontrivial solutions. ∴ the determinant of coefficients A I − = l 0. This equation is called the characteristic equation of A. The determinant A I − l , on expansion, will be a nth degree polynomial in l and is known as the characteristic polynomial of A. The roots of the characteristic equation are the eigen values of A. Definition 1.33 Characteristic Equation and Characteristic Polynomial If l is a characteristic root of a square matrix A, then A I − = l 0 is called the characteristic equation of A. The polynomial A I − l in l is called the characteristic polynomial of A. Note (1) The word ‘eigen’ is German, which means ‘characteristic’ or ‘proper’. So, an eigen value is also known as characteristic root or proper value. Sometimes it is also known as latent root. (2) If A I = ⎡ ⎣ ⎢ ⎤ ⎦ ⎥ = ⎡ ⎣ ⎢ ⎤ ⎦ ⎥ a a a a 11 12 21 22 1 0 0 1 , , then the characteristic equation of A is A I − = l 0 ⇒ − − = ⇒ − − − = a a a a a a a a 11 12 21 22 11 22 21 12 0 0 l l l l ( )( ) M01_ENGINEERING_MATHEMATICS-I _CH01_Part B.indd 56 5/30/2016 5:03:25 PM
  • 94.
    Matrices ■ 1.57 ⇒⋅ − + a a a a 11 22 11 ( 2 22 2 21 12 2 11 22 11 22 21 12 2 1 0 0 ) ( ) ( ) l l l l l l + − = ⇒ − + + − = ⇒ − + a a a a a a a a S S2 2 0 = where S1 = a11 + a22 = sum of the diagonal elements of A. S A 2 11 22 21 12 = ⋅ − ⋅ = a a a a (3) If A I = ⎡ ⎣ ⎢ ⎢ ⎢ ⎤ ⎦ ⎥ ⎥ ⎥ = ⎡ ⎣ ⎢ ⎢ ⎢ ⎤ ⎦ a a a a a a a a a 11 12 13 21 22 23 31 32 33 1 0 0 0 1 0 0 0 1 , ⎥ ⎥ ⎥ ⎥ , then the characteristic equation of A is A I − = l 0 ⇒ a a a a a a a a a 11 12 13 21 22 23 31 32 33 0 − − − l l l = Expanding this determinant we will get l3 − S1 l2 + S2 l − S3 = 0, where S1 = sum of the diagonal elements of A S2 = sum of the minors of elements of the main diagonal S3 = A We will use this formula in problems. Definition 1.34 The set of all distinct eigen values of the square matrix A is called the spectrum ofA. The largest of the absolute values of the eigen values of A is called the spectral radius of A. The set of all eigen vectors corresponding to an eigen value l of A, together with zero vector, forms a vector space which is called the eigenspace of A corresponding to l. 1.6.3 Properties of Eigen Vectors Theorem 1.3 (1) Eigen vector corresponding to an eigen value is not unique. (2) Eigen vectors corresponding to different eigen values are linearly independent. Proof (1) Let l be an eigen value of a square matrix A of order n. Let X be an eigen vector corresponding to l. Then AX = lX Multiply by a constant C ∴ C(AX) = C(lX) ⇒ A(CX) = l(CX) Since C ≠ 0, X ≠ 0 we have CX ≠ 0 ∴ CX is an eigen vector corresponding to l for any C ≠ 0. Hence, eigen vector is not unique for the eigen value l. M01_ENGINEERING_MATHEMATICS-I _CH01_Part B.indd 57 5/30/2016 5:03:26 PM
  • 95.
    1.58 ■ EngineeringMathematics (2) Let l1 , l2 be two different eigen values of A. Let X1 , X2 be the corresponding eigen vectors. ∴ AX1 = l1 X1 (1) and AX2 = l2 X2 (2) We have to prove X1 and X2 are linearly independent. Suppose a1 X1 + a2 X2 = 0 (3) then A(a1 X1 + a2 X2 ) = 0 ⇒ a a 1 1 2 2 0 ( ) ( ) AX AX + = ⇒ a l a l 1 1 1 2 2 2 0 ( ) ( ) X X + = ⇒ ( ) ( ) a l a l 1 1 1 2 2 2 0 X X + = (4) Multiply (3) by l1 , we get l a l a 1 1 1 1 2 2 0 ( ) ( ) X X + = ⇒ ( ) ( ) a l a l 1 1 1 2 1 2 0 X X + = (5) (4) − (5) ⇒ a l l 2 2 1 2 0 ( ) − = X (6) Since l l l l 1 2 2 1 2 0 0 ≠ ⇒ − ≠ ≠ and X ∴ ( ) l l 2 1 2 0 − ≠ X ∴ (6) ⇒ = a2 0 ∴ (3) ⇒ = a1 1 0 X ⇒ a1 1 0 0 = ≠ , . since X Thus, a a 1 1 2 2 0 X X + = ⇒ a a 1 2 0 0 = = and ∴ X1 and X2 are linearly independent. Note (1) If all the n eigen values l1 , l2 , …, ln of A are different, then the corresponding eigen vectors X1 , X2 , …, Xn are linearly independent. (2) A given eigen vector of A corresponds to only one eigen value of A. (3) Eigen vectors corresponding to equal eigen values may be linearly independent or dependent. WORKED EXAMPLES EXAMPLE 1 Find the eigen values and eigen vectors of the matrix 4 1 3 2 . ⎡ ⎣ ⎢ ⎤ ⎦ ⎥ Solution. Let A = ⎡ ⎣ ⎢ ⎤ ⎦ ⎥ 4 1 3 2 . The characteristic equation of A is A I − = l 0 M01_ENGINEERING_MATHEMATICS-I _CH01_Part B.indd 58 5/30/2016 5:03:29 PM
  • 96.
    Matrices ■ 1.59 ⇒ 41 3 2 0 − − = l l ⇒ l l 2 1 2 0 − + = S S where S1 = sum of the diagonal elements of A = 4 + 2 = 6 S A 2 4 1 3 2 8 3 5 = = = − = ∴ the characteristic equation is l2 − 6l + 5 = 0 ⇒ (l − 1) (l − 5) = 0 ⇒ l = 1, 5 which are the eigen values of A. To find eigen vectors: Let X = ⎡ ⎣ ⎢ ⎤ ⎦ ⎥ x x 1 2 be an eigen vector of A corresponding to l. Then ( ) A I X − = l 0 ⇒ 4 1 3 2 0 0 1 2 − − ⎡ ⎣ ⎢ ⎤ ⎦ ⎥ ⎡ ⎣ ⎢ ⎤ ⎦ ⎥ = ⎡ ⎣ ⎢ ⎤ ⎦ ⎥ l l x x ⇒ ( ) ( ) 4 0 3 2 0 1 2 1 2 − + = + − = ⎫ ⎬ ⎭ l l x x x x (I) Case (i) If l = 1, then equations (I) become 3x1 + x2 = 0 and 3x1 + x2 = 0 ∴ x2 = −3x1 Choosing x1 = 1, we get x2 = −3. ∴ eigen vector is X1 1 3 = − ⎡ ⎣ ⎢ ⎤ ⎦ ⎥ Case (ii) If l = 5, then equations (I) become −x1 + x2 = 0 and 3x1 − 3x2 = 0 ∴ x1 = x2 Choosing x1 = 1, we get x2 = 1 ∴ eigen vector is X2 1 1 = ⎡ ⎣ ⎢ ⎤ ⎦ ⎥ Thus, eigen values of A are 1, 5 and the corresponding eigen vectors are 1 3 1 1 − ⎡ ⎣ ⎢ ⎤ ⎦ ⎥ ⎡ ⎣ ⎢ ⎤ ⎦ ⎥ , Note In case (i) we have only one equation 3x1 + x2 = 0 to solve for x1 and x2 . So, we have infinite number of solutions x1 = k, x2 = −3k, for any k ≠ 0. We have chosen the simplest solution. Infact k k k − ⎡ ⎣ ⎢ ⎤ ⎦ ⎥ = − ⎡ ⎣ ⎢ ⎤ ⎦ ⎥ 3 1 3 is an eigen vector for l = 1 for any k ≠ 0. So, for l = 1 there are many eigen vectors. This verifies property 1. EXAMPLE 2 Show that the real matrix a b b a 2 ⎡ ⎣ ⎢ ⎤ ⎦ ⎥ has two eigen vectors 1 i ⎡ ⎣ ⎢ ⎤ ⎦ ⎥ and 1 −i ⎡ ⎣ ⎢ ⎤ ⎦ ⎥, where b ≠ 0. Solution. Let A = − ⎡ ⎣ ⎢ ⎤ ⎦ ⎥ a b b a . The characteristic equation of A is A I − = l 0 M01_ENGINEERING_MATHEMATICS-I _CH01_Part B.indd 59 5/30/2016 5:03:32 PM
  • 97.
    1.60 ■ EngineeringMathematics ⇒ a b b a − − − = l l 0 ⇒ l l 2 1 2 0 − + = S S where S1 = sum of the diagonal elements of A = a + a = 2a S A 2 2 2 = = − = + a b b a a b ∴ the characteristic equation is l2 − 2al + (a2 + b2 ) = 0 ⇒ l = ± − + = ± − = ± = + − 2 4 4 2 4 2 2 2 2 2 2 2 2 a a a b a b a ib a ib a ib ( ) or which are the eigen values of A. To find eigen vectors: Let X = ⎡ ⎣ ⎢ ⎤ ⎦ ⎥ x x 1 2 be an eigen vector of A corresponding to l. Then ( ) A I X − = ⇒ − − − ⎡ ⎣ ⎢ ⎤ ⎦ ⎥ ⎡ ⎣ ⎢ ⎤ ⎦ ⎥ = ⎡ ⎣ ⎢ ⎤ ⎦ ⎥ l l l 0 0 0 1 2 a b b a x x ⇒ ( ) ( ) a x bx bx a x − + = − + − = ⎫ ⎬ ⎭ l l 1 2 1 2 0 0 (I) Case (i) If l = a + ib, then the equations (I) become ( ( )) a a ib x bx − + + 1 2 0 = and − + − − bx a a ib x 1 2 0 ( ) = ⇒ − + = ibx bx 1 2 0 ⇒ x ix 2 1 = and − − = bx ibx 1 2 0 ⇒ − = x ix 1 2 ⇒ i x ix 2 1 2 = ⇒ x ix 2 1 = So, we have only one equation x ix 2 1 = Choosing x1 = 1, we get x2 = i ∴ an eigen vector is X1 1 = ⎡ ⎣ ⎢ ⎤ ⎦ ⎥ i Case (ii) If l = a − ib, then the equations (I) become and ( ) ( ) a a ib x bx bx a a ib x − + + = − + − + = 1 2 1 2 0 0 ⇒ ibx bx x ix bx ibx x ix 1 2 2 1 1 2 2 1 0 0 + = ⇒ = − − + = ⇒ = − Choosing x1 = 1, we get x2 = −i ∴ an eigen vector is X2 1 = ⎡ ⎣ ⎢ ⎤ ⎦ ⎥ −i M01_ENGINEERING_MATHEMATICS-I _CH01_Part B.indd 60 5/30/2016 5:03:36 PM
  • 98.
    Matrices ■ 1.61 Thus,the eigen values of A are a + ib, a − ib and the corresponding eigen vectors are X1 1 = ⎡ ⎣ ⎢ ⎤ ⎦ ⎥ i and X2 1 = ⎡ ⎣ ⎢ ⎤ ⎦ ⎥ i − EXAMPLE 3 Find the eigen values and eigen vectors of the matrix 3 4 4 1 2 4 1 1 3 2 2 2 ⎡ ⎣ ⎢ ⎢ ⎢ ⎤ ⎦ ⎥ ⎥ ⎥ . Solution. Let A = − − ⎡ ⎣ ⎢ ⎢ ⎢ ⎤ ⎦ ⎥ ⎥ ⎥ 3 4 4 1 2 4 1 1 3 − The characteristic equation of A is A I − = l 0 ⇒ 3 4 4 1 2 4 1 1 3 0 − − − − − − = l l l ⇒ l l l 3 1 2 2 3 0 − + − = S S S where S1 = sum of main diagonal elements of A = 3 + (−2) + 3 = 4 S2 = sum of minors of diagonal elements of A = − − + + − − = − + + − + − + = − + + − = 2 4 1 3 3 4 1 3 3 4 1 2 6 4 9 4 6 4 2 5 2 1 ( ) ( ) and S A 3 3 6 4 4 3 4 4 1 2 6 4 4 6 = = − + + − + − + = − − + = − ( ) ( ) ( ) ∴ the characteristic equation is l3 − 4l2 + l + 6 = 0 We choose integer factors of constant term 6 for trial solution. We find l = −1 is a root. To find the other roots we perform synthetic division Other roots are given by ⇒ ⇒ l l l l l 2 5 6 0 2 3 0 2 3 − + = − − = = ( )( ) or − − − − − 1 1 4 1 6 0 1 5 6 1 5 6 0 ∴ the eigen values are l = −1, 2, 3 [different roots] To find eigen vectors: Let X = ⎡ ⎣ ⎢ ⎢ ⎢ ⎤ ⎦ ⎥ ⎥ ⎥ x x x 1 2 3 be an eigen vector corresponding to the eigen value l. Then ( ) A I X − = ⇒ − − − − − − ⎡ ⎣ ⎢ ⎢ ⎢ ⎤ ⎦ ⎥ ⎥ ⎥ ⎡ ⎣ ⎢ ⎢ ⎢ ⎤ ⎦ ⎥ ⎥ ⎥ = l l l l 0 3 1 1 4 4 2 4 1 3 0 0 0 1 2 3 x x x ⎡ ⎡ ⎣ ⎢ ⎢ ⎢ ⎤ ⎦ ⎥ ⎥ ⎥ ⇒ M01_ENGINEERING_MATHEMATICS-I _CH01_Part B.indd 61 5/30/2016 5:03:38 PM
  • 99.
    1.62 ■ EngineeringMathematics ⇒ ( ) ( ) ( ) 3 4 4 0 2 4 0 3 0 1 2 3 1 2 3 1 2 3 − − + = − + + = − + − = ⎫ ⎬ ⎪ ⎭ ⎪ l l l x x x x x x x x x (I) Case (i) If l = −1, then the equations (I) become 4x1 − 4x2 + 4x3 = 0 ⇒ x1 − x2 + x3 = 0 x1 − x2 + 4x3 = 0 and x1 − x2 + 4x3 = 0 The different equations are x1 − x2 + x3 = 0 and x1 − x2 + 4x3 = 0 By rule of cross multiplication, we get ⇒ x x x x x x x x x 1 2 3 1 2 3 1 2 3 4 1 1 4 1 1 3 3 0 1 1 0 − + = − = − + − = − = ⇒ = = Choosing x1 = 1, x2 = 1, x3 = 0, we get an eigen vector X1 1 1 0 = ⎡ ⎣ ⎢ ⎢ ⎤ ⎦ ⎥ ⎥ Case (ii) If l = 2, then equations (I) become x1 − 4x2 + 4x3 = 0, x1 − 4x2 + 4x3 = 0 and x1 − x2 + x3 = 0 ∴ the different equations are x1 − 4x2 + 4x3 = 0 and x1 − x2 + x3 = 0 By the rule of cross multiplication, we get ⇒ x x x x x x x x x 1 2 3 1 2 3 1 2 3 4 4 4 1 1 4 0 3 3 0 1 1 − + − = − + = = ⇒ = = = Choosing x1 = 0, x2 = 1, x3 = 1, we get an eigen vector X2 0 1 1 = ⎡ ⎣ ⎢ ⎢ ⎤ ⎦ ⎥ ⎥ Case (iii) If l = 3, then equations (I) become 0 4 4 0 0 0 5 4 0 0 0 1 2 3 1 2 3 1 2 3 1 2 3 x x x x x x x x x x x x − + = ⇒ − + = − + = − + = and The equations are different, but only two of them are independent. So, we can choose any two of them to solve. From the first two equations, we get ⇒ x x x x x x 1 2 3 1 2 3 4 5 1 0 0 1 1 1 1 − + = − = + = = −1 −1 x1 x2 x3 1 −1 1 −1 1 4 −4 −1 x1 x2 x3 1 −4 1 −1 4 1 −1 −5 x1 x2 x3 0 −1 1 −5 1 4 M01_ENGINEERING_MATHEMATICS-I _CH01_Part B.indd 62 5/30/2016 5:03:40 PM
  • 100.
    Matrices ■ 1.63 Choosingx1 = 1, x2 = 1, x3 = 1, we get an eigen vector X3 1 1 1 = ⎡ ⎣ ⎢ ⎢ ⎤ ⎦ ⎥ ⎥ Thus, the eigen values of A are −1, 2, 3 and corresponding eigen vectors are X X X 1 2 3 1 1 0 0 1 1 1 1 1 = ⎡ ⎣ ⎢ ⎢ ⎤ ⎦ ⎥ ⎥ = ⎡ ⎣ ⎢ ⎢ ⎤ ⎦ ⎥ ⎥ = ⎡ ⎣ ⎢ ⎢ ⎤ ⎦ ⎥ ⎥ , , Note (1) We are using the following integer root theorem for trial solution. “For the equation of the form xn + an − 1 xn − 1 + an − 2 xn − 2 + … + a1 x + a0 = 0 with integer coefficients ai , any rational root is an integer and is a factor of the constant term a0 ”. So, it is enough we try factors of the constant term for integer solutions. If there is no integer solution, then real roots should be irrational. (2) In the above problem the eigen values −1, 2, 3 are different. So, by property (2) the eigen vectors are linearly independent. We shall verify this: Consider B = ⎡ ⎣ ⎢ ⎢ ⎢ ⎤ ⎦ ⎥ ⎥ ⎥ 1 1 0 0 1 1 1 1 1 with the eigen vectors as rows. Then B = ⋅ − − + = ≠ 1 0 1 1 0 1 0 ( ) ∴ X1 , X2 , X3 are linearly independent. EXAMPLE 4 Find the eigen values and eigen vectors of 2 2 1 1 3 1 1 2 2 ⎡ ⎣ ⎢ ⎢ ⎤ ⎦ ⎥ ⎥ . Solution. Let A = ⎡ ⎣ ⎢ ⎢ ⎤ ⎦ ⎥ ⎥ 2 2 1 1 3 1 1 2 2 The characteristic equation of A is A I − = l 0 ⇒ 2 2 1 1 3 1 1 2 2 0 − − − = l l l ⇒ l l l 3 1 2 2 3 0 − + − = S S S where S1 = sum of the diagonal elements of A = 2 + 3 + 2 = 7 S2 = sum of minors of the diagonal elements of determinant A = + + = − + − + − = = = − − − + − = − 3 1 2 2 2 1 1 2 2 2 1 3 6 2 4 1 6 2 11 2 6 2 2 2 1 1 2 3 8 3 S A ( ) ( ) ( ) 2 2 1 5 − = ∴ the characteristic equation is l3 − 7l2 + 11l − 5 = 0 M01_ENGINEERING_MATHEMATICS-I _CH01_Part B.indd 63 5/30/2016 5:03:42 PM
  • 101.
    1.64 ■ EngineeringMathematics Choose the integer factors of constant term −5 for trial. The integer factors of −5 are −5, 1, or −1, 5. We find l = 1 is a root. Other roots are given by l2 − 6l + 5 = 0 ⇒ (l − 1) (l − 5) = 0 ⇒ l = 1, 5 ∴ the eigen values are l = 1, 1, 5 (Two equal eigen values) To find eigen vectors: Let X = ⎡ ⎣ ⎢ ⎢ ⎢ ⎤ ⎦ ⎥ ⎥ ⎥ x x x 1 2 3 be an eigen vector of A corresponding to the eigen value l. Then A I X ( ) − = ⇒ − − − ⎡ ⎣ ⎢ ⎢ ⎤ ⎦ ⎥ ⎥ ⎡ ⎣ ⎢ ⎢ ⎤ ⎦ ⎥ ⎥ = ⎡ ⎣ ⎢ l l l l 0 2 2 1 1 3 1 1 2 2 0 0 0 1 2 3 x x x ⎢ ⎢ ⎤ ⎦ ⎥ ⎥ ⇒ ( ) ( ) ( ) 2 2 0 3 0 2 2 0 1 2 3 1 2 3 1 2 3 − + + = + − + = + + − = ⎫ ⎬ ⎪ ⎭ ⎪ l l l x x x x x x x x x (I) Case (i) If l = 5, then the equations (I) become −3x1 + 2x2 + x3 = 0, x1 − 2x2 + x3 = 0 and x1 + 2x2 − 3x3 = 0 These 3 equations are different, but only 2 of them are independent. So, we can choose any two of them to solve for x1 , x2 , x3 . From last two equations, by the rule of cross multiplication, we get ⇒ ⇒ x x x x x x x x x 1 2 3 1 2 3 1 2 3 6 2 1 3 2 2 4 4 4 1 1 1 − = + = + = = = = Choosing x1 = 1, x2 = 1, x3 = 1, we get an eigen vector X1 1 1 1 = ⎡ ⎣ ⎢ ⎢ ⎢ ⎤ ⎦ ⎥ ⎥ ⎥ Case (ii) If l = 1, then the equations (I) become x1 + 2x2 + x3 = 0, x1 + 2x2 + x3 = 0 and x1 + 2x2 + x3 = 0 We have only one equation x1 + 2x2 + x3 = 0 to solve for x1 , x2 , x3 . Assign arbitrary values for two var- iables and solve for the third. Choose x3 = 0, then x1 + 2x2 = 0 ⇒ x1 = −2x2 Choose x2 = 1, ∴ x1 = −2, we get an eigen vector X2 2 1 0 = − ⎡ ⎣ ⎢ ⎢ ⎢ ⎤ ⎦ ⎥ ⎥ ⎥ 1 1 7 11 5 0 1 6 5 1 6 5 0 − − − − −2 2 x1 x2 x3 1 −2 1 2 1 −3 M01_ENGINEERING_MATHEMATICS-I _CH01_Part B.indd 64 5/30/2016 5:03:43 PM
  • 102.
    Matrices ■ 1.65 Weshall find one more solution from x1 + 2x2 + x3 = 0 Choose x2 = 0 then x1 + x3 = 0 ⇒ x3 = − x1 Choose x1 = 1 ∴ x3 = −1 ∴ another eigen vector corresponding to l = 1 is X3 1 0 1 = − ⎡ ⎣ ⎢ ⎢ ⎢ ⎤ ⎦ ⎥ ⎥ ⎥ Thus, eigen values of A are 5, 1, 1 and the corresponding eigen vectors are X X and X 1 2 3 1 1 1 2 1 0 1 0 1 = ⎡ ⎣ ⎢ ⎢ ⎢ ⎤ ⎦ ⎥ ⎥ ⎥ = − ⎡ ⎣ ⎢ ⎢ ⎢ ⎤ ⎦ ⎥ ⎥ ⎥ = − ⎡ ⎣ ⎢ ⎢ ⎢ ⎤ ⎦ ⎥ ⎥ ⎥ , Note Though the eigen values are not different, we could find independent eigen vectors. For, consider B = − − ⎡ ⎣ ⎢ ⎢ ⎢ ⎤ ⎦ ⎥ ⎥ ⎥ 1 1 1 2 1 0 1 0 1 with the vectors as rows Then B = − − − − + − = − − − = − ≠ 1 1 0 1 2 0 1 0 1 1 2 1 4 0 ( ) ( ) ( ) ∴ X1 , X2 , X3 are linearly independent. EXAMPLE 5 Find the eigen values and eigen vectors of the matrix 6 6 5 14 13 10 7 6 4 − − − ⎡ ⎣ ⎢ ⎢ ⎢ ⎤ ⎦ ⎥ ⎥ ⎥ . Solution. Let A = − − − ⎡ ⎣ ⎢ ⎢ ⎢ ⎤ ⎦ ⎥ ⎥ ⎥ 6 6 5 14 13 10 7 6 4 The characteristic equation of A is A I − = l 0 ⇒ 6 6 5 14 13 10 7 6 4 0 − − − − − − = l l l ⇒ l l l 3 1 2 2 3 0 − + − = S S S where S1 = sum of the diagonal elements of A = 6 + (−13) + 4 = −3 S2 = sum of minors of elements of the diagonal of A = − − + + − − = − + + − + − + = − + = 13 10 6 4 6 5 7 4 6 6 14 13 52 60 24 35 78 84 8 11 6 3 ( ) ( ) ( ) S A 3 6 52 60 6 56 70 5 84 91 48 6 14 5 7 48 84 35 = = − + + − + − + = + − + = − + = ( ) ( ) ( ) ( ) ( ) − −1 ∴ the characteristic equation is l3 + 3l2 + 3l + 1 = 0 ⇒ (l + 1)3 = 0 ⇒ l = −1, −1, −1 Three equal eigen values. M01_ENGINEERING_MATHEMATICS-I _CH01_Part B.indd 65 5/30/2016 5:03:45 PM
  • 103.
    1.66 ■ EngineeringMathematics To find eigen vectors: Let X = ⎡ ⎣ ⎢ ⎢ ⎢ ⎤ ⎦ ⎥ ⎥ ⎥ x x x 1 2 3 be an eigen vector corresponding to the eigen value l. Then ( ) A I X − = l 0 ⇒ 6 6 5 14 13 10 7 6 4 0 0 0 1 2 3 − − − − − − ⎡ ⎣ ⎢ ⎢ ⎢ ⎤ ⎦ ⎥ ⎥ ⎥ ⎡ ⎣ ⎢ ⎢ ⎢ ⎤ ⎦ ⎥ ⎥ ⎥ = ⎡ ⎣ ⎢ ⎢ ⎢ ⎤ ⎦ l l l x x x ⎥ ⎥ ⎥ ⎥ ⇒ ( ) ( ) ( ) 6 6 5 0 14 13 10 0 7 6 4 0 1 2 3 1 2 3 1 2 3 − − + = − + + = − + − = ⎫ ⎬ ⎪ ⎭ l l l x x x x x x x x x ⎪ ⎪ (I) If l = −1, then the equations (I) become 7 6 5 0 14 12 10 0 7 6 5 0 7 6 5 0 1 2 3 1 2 3 1 2 3 1 2 3 x x x x x x x x x x x x − + = − + = ⇒ − + = − + = We have only one equation 7x1 − 6x2 + 5x3 = 0 Assign arbitrary values to two variables and find the third. We shall find 3 vectors. Putting x1 = 0, we get −6x2 + 5x3 = 0 ⇒ 6x2 = 5x3 ⇒ x x 2 3 5 6 = Choosing x2 = 5, x3 = 6, we get an eigen vector X1 0 5 6 = ⎡ ⎣ ⎢ ⎢ ⎢ ⎤ ⎦ ⎥ ⎥ ⎥ Putting x2 = 0, we get 7x1 + 5x3 = 0 ⇒ 7x1 = −5x3 ⇒ x x 1 3 5 7 = − Choosing x1 = 5, x3 = −7, we get the second eigen vector X2 5 0 7 = − ⎡ ⎣ ⎢ ⎢ ⎢ ⎤ ⎦ ⎥ ⎥ ⎥ Again, putting x3 = 0, we get 7x1 − 6x2 = 0 ⇒ 7x1 = 6x2 ⇒ x x 1 2 6 7 = Choosing x1 = 6, x2 = 7, we get the third eigen vector X3 6 7 0 = ⎡ ⎣ ⎢ ⎢ ⎢ ⎤ ⎦ ⎥ ⎥ ⎥ Thus, eigen values of A are −1, −1, −1 and the corresponding eigen vectors are X X 1 2 0 5 6 5 0 7 = ⎡ ⎣ ⎢ ⎢ ⎢ ⎤ ⎦ ⎥ ⎥ ⎥ = − ⎡ ⎣ ⎢ ⎢ ⎢ ⎤ ⎦ ⎥ ⎥ ⎥ , and X3 6 7 0 = ⎡ ⎣ ⎢ ⎢ ⎢ ⎤ ⎦ ⎥ ⎥ ⎥ , which are different. M01_ENGINEERING_MATHEMATICS-I _CH01_Part B.indd 66 5/30/2016 5:03:48 PM
  • 104.
    Matrices ■ 1.67 NoteIf B = − ⎡ ⎣ ⎢ ⎢ ⎢ ⎤ ⎦ ⎥ ⎥ ⎥ 0 5 6 5 0 7 6 7 0 with the eigen vectors as rows, then B = − − + − − = − = 0 5 0 42 6 35 0 210 210 0 ( ) ( ) ∴ the vectors X1 , X2 , X3 are linearly dependent. However, any two of them are linearly independent. Geometrically, it means that all the vectors are coplanar, but any two of them are non-collinear. In this example we have seen −1 is the only eigen value of 3 × 3 matrix and two linearly independent eigen vectors. 1.6.4 Properties of Eigen Values 1. A square matrix A and its transpose AT have the same eigen values. Proof Eigen values of A are the roots of its characteristic equation A I − = l 0 (1) We know ( ) ( ) A I A I T T T − = − l l [ ( ) ] { A B A B T T T + = + = − = − A I A I T T T l l [ ] { I I T = ∴ ( ) A I A I T T − = − l l (2) For any square matrix B, B B T = ∴ ( ) A I A I T − = − l l (3) From (2) and (3), A I A I T − = − l l . This shows that the characteristic polynomial of A and AT are the same. Hence, the characteristic equations of A and AT is (1). ∴ A and AT have the same eigen values. ■ 2. Sum of the eigen values of a square matrix A is equal to the sum of the elements on its main diagonal. Proof Let A be a square matrix of order n. Then the characteristic equation of A is A I − = l 0 ⇒ l l l n n n n n S S S − + − + − = − − 1 1 2 2 1 0 ... ( ) (1) where S1 = sum of the diagonal elements of A If l1 , l2 , …, ln are the roots of (1), then l1 , l2 , …, ln are the eigen values of A. From theory of equations, sum of the roots of (1) is = − − coefficient of coefficient of n n l l 1 ⇒ l1 + l2 + … + ln = −(−S1 ) = S1 ∴ the sum of the eigen values = l1 + l2 + … + ln = S1 = sum of the diagonal elements of the matrix A. ■ M01_ENGINEERING_MATHEMATICS-I _CH01_Part B.indd 67 5/30/2016 5:03:50 PM
  • 105.
    1.68 ■ EngineeringMathematics Note Sum of the diagonal elements of A is called the trace of A. ∴ Sum of the eigen values = trace of A 3. Product of the eigen values of a square matrix A is equal to A . Proof Let A be a square matrix of order n. Then its characteristic equation is A I − = l 0 ⇒ l l l n n n n n S S S − + − + − = − − 1 1 2 2 1 0 ... ( ) (1) where S A n = . If l1 , l2 , …, ln are the n roots of (1), then from theory of equations, the product of roots = − ( ) 1 constant term coefficient of n n l ⇒ l l l 1 2 2 1 1 1 … n n n n n n n S S S A = − − = − = = ( ) ( ) ( ) [{ (−1)2n = 1] ∴ the product of the eigen values = = = l l l 1 2 … n n S A . ■ Note If at least one eigen value is 0, then A = 0 ∴ A is a singular matrix. If all the eigen values are non-zero, then A ≠ 0 ∴ A is a non-singular if all the eigen values are non-zero. 4. If l1 , l2 , …, ln are non-zero eigen values of square matrix of order n, then 1 1 1 1 2 l l l , , , … n are eigen values of A 21 . Proof Let l be any non-zero eigen value of A, then there exists a non-zero column matrix X such that AX = lX. Since all the eigen values are non-zero, A is non-singular. ∴ A −1 exists. ∴ A −1 (AX) = A −1 (lX) ⇒ (A −1 A)X = l(A −1 X) ⇒ IX = l(A −1 X) ⇒ X A X X A X A X X 1 1 1 = ⇒ = ⇒ = − − − l l l ( ) . 1 1 [{ l ≠ 0] So, is an eigen value of A . 1 1 l − This is true for all the eigen values of A. ∴ … 1 1 1 1 2 l l l , , , n are the eigen values of A −1 . ■ Note that the eigen vector for A −1 corresponding to 1 l is also X. M01_ENGINEERING_MATHEMATICS-I _CH01_Part B.indd 68 5/30/2016 5:03:53 PM
  • 106.
    Matrices ■ 1.69 5.If l1 , l2 , ???, ln are the eigen values of A, then (i) cl1 , cl2 , ???, cln are the eigen values of cA, where c ≠ 0 (ii) l l l 1 2 m m n m , , , … are the eigen values of Am , where m is a positive integer. Proof Let l be any eigen value of A, then there exists a non-zero column matrix X such that AX = lX (1) (i) Multiply by c ≠ 0 then c(AX) = c(lX) ⇒ (cA) X = (cl) X ∴ cl is an eigen value of cA. This is true for all eigen values of A. ∴ cl1 , cl2 , …, cln are the eigen values of cA. (ii) Now A2 X = A(AX) = A(lX) = l(AX) = l(lX) = l2 X [using (1)] ∴ A2 X = l2 X ⇒ l2 is an eigen value of A2 . Similarly, A3 X = A(A2 X) = A(l2 X) = l2 (AX) = l2 (lX) = l3 X A3 X = l3 X ⇒ l3 is an eigen value of A3 . Proceeding in this way, we have Am X = lm X for any positive integer m. This is true for all eigen values. ∴ l l l 1 2 m m n m , , , … are the eigen values of Am . ■ 6. If l1 , l2 , …, ln are the eigen values of A, then (i) l1 2 K, l2 2 K, …, ln 2 K are the eigen values of A 2 KI. (ii) a l 1 a l 1 a a l 1 a l 1 a a l 1 a l 1 a 0 1 1 1 2 0 2 2 1 2 2 0 2 1 2 2 , , , … n n are the eigen values of a 1 a 1 a 0 2 1 2 A A I. Proof Let l be any eigen value of A. Then AX = lX (1) where X ≠ 0 is a column matrix. ∴ AX − KX = lX − KX ⇒ (A − KI)X = (l − K)X ∴ l − K is an eigen value of A − KI. This is true for all eigen values of A. ∴ l1 − K, l2 − K, …, ln − K are the eigen values of A − KI. (ii) We have AX = lX and A2 X = l2 X. ∴ a0 (A2 X) = a0 (l2 X) and a1 (AX) = a1 (lX) ∴ a0 (A2 X) + a1 (AX) = a0 (l2 X) + a1 (lX) Adding a2 X on both sides, we get a0 (A2 X) + a1 (AX) + a2 X = a0 (l2 X) + a1 (lX) + a2 X ⇒ (a0 A2 + a1 A + a2 I)X = (a0 l2 + a1 l + a2 )X This means a0 l2 + a1 l + a2 is an eigen value of a0 A2 + a1 A + a2 I. This is true for all eigen values of A. ∴ + + + + + + a l a l a a l a l a a l a l a 0 1 2 1 1 2 0 2 2 1 2 2 0 2 1 2 , , , … n n are the eigen values of a a a 0 2 1 2 A A I + + . ■ M01_ENGINEERING_MATHEMATICS-I _CH01_Part B.indd 69 5/30/2016 5:03:54 PM
  • 107.
    1.70 ■ EngineeringMathematics Note 1. The eigen values of the unit matrix 1 0 0 0 1 0 0 0 1 ⎡ ⎣ ⎢ ⎢ ⎢ ⎤ ⎦ ⎥ ⎥ ⎥ are 1, 1, 1 and the corresponding eigen vectors are 1 0 0 0 1 0 0 0 1 ⎡ ⎣ ⎢ ⎢ ⎢ ⎤ ⎦ ⎥ ⎥ ⎥ ⎡ ⎣ ⎢ ⎢ ⎢ ⎤ ⎦ ⎥ ⎥ ⎥ ⎡ ⎣ ⎢ ⎢ ⎢ ⎤ ⎦ ⎥ ⎥ ⎥ , , , which are independent. 2. The eigen values of a triangular matrix l l l 1 12 13 2 23 3 0 0 0 a a a ⎡ ⎣ ⎢ ⎢ ⎢ ⎤ ⎦ ⎥ ⎥ ⎥ are the main diagonal elements l1 , l2 , l3. 3. If l is an eigen value of A then AX = lX. We have seen A2 X = l2 X, …, Am X = lm X. Thus, the eigen values of A, A2 , …, Am are l, l2 , …, lm which are all different. But they all have the same eigen vector X. Similarly, l and a0 l2 + a1 l + a2 are eigen values of A and a0 A2 + a1 A + a2 I. But they have the same eigen vector X. WORKED EXAMPLES EXAMPLE 1 Find the sum and product of the eigen values of the matrix 1 2 2 1 0 3 2 1 3 − − − − ⎡ ⎣ ⎢ ⎢ ⎢ ⎤ ⎦ ⎥ ⎥ ⎥ . Solution. Let A = − − − − ⎡ ⎣ ⎢ ⎢ ⎢ ⎤ ⎦ ⎥ ⎥ ⎥ 1 2 2 1 0 3 2 1 3 Sum of the eigen values = Sum of the elements on the main diagonal = 1 + 0 + (−3) = −2 Product of the eigen values = = − − − − A 1 2 2 1 0 3 2 1 3 = 1(0 + 3) − 2 (−3 + 6) − 2(−1 − 0) = 3 − 6 + 2 = −1 EXAMPLE 2 If 2 and 3 are eigen values of A 5 2 2 2 3 10 5 2 3 4 3 5 7 ⎡ ⎣ ⎢ ⎢ ⎢ ⎤ ⎦ ⎥ ⎥ ⎥ , find the eigen values of A −1 and A3 . Solution. Given A 3 10 5 2 3 4 3 5 7 = − − − ⎡ ⎣ ⎢ ⎢ ⎢ ⎤ ⎦ ⎥ ⎥ ⎥ M01_ENGINEERING_MATHEMATICS-I _CH01_Part B.indd 70 5/30/2016 5:03:56 PM
  • 108.
    Matrices ■ 1.71 Alsogiven 2 and 3 are two eigen values of A. Let l be the 3rd eigen value. We know, sum of the eigen values = sum of the diagonal elements. ⇒ 2 + 3 + l = 3 + (−3) + 7 ⇒ l = 2 So, eigen values of A are 2, 2, 3 ∴ the eigen values of A −1 are 1 2 1 2 1 3 , , and the eigen values of A3 are 23 , 23 , 33 ⇒ 8, 8, 27. EXAMPLE 3 If 4 1 ⎡ ⎣ ⎢ ⎤ ⎦ ⎥ is an eigen vector of the matrix 5 4 1 2 ⎡ ⎣ ⎢ ⎤ ⎦ ⎥, then find the corresponding eigen value. Solution. Let A = ⎡ ⎣ ⎢ ⎤ ⎦ ⎥ 5 4 1 2 and X = ⎡ ⎣ ⎢ ⎤ ⎦ ⎥ 4 1 . If l is the eigen value corresponding to an eigen vector X, then (A − lI)X = 0 ⇒ 5 4 1 2 4 1 0 0 5 4 4 0 6 − − ⎡ ⎣ ⎢ ⎤ ⎦ ⎥ ⎡ ⎣ ⎢ ⎤ ⎦ ⎥ = ⎡ ⎣ ⎢ ⎤ ⎦ ⎥ ⇒ − + = ⇒ = l l l l ( )⋅ EXAMPLE 4 If A 5 3 1 4 0 2 6 0 0 5 ⎡ ⎣ ⎢ ⎢ ⎤ ⎦ ⎥ ⎥ , then find the eigen values of A2 2 2A + I. Solution. Given A 3 1 4 0 2 6 0 0 5 = ⎡ ⎣ ⎢ ⎢ ⎤ ⎦ ⎥ ⎥ Since A is a triangular matrix, the eigen values are the diagonal elements. ∴ 3, 2, 5 are the eigen values of A. ∴ the eigen values of A2 − 2A + I are 32 − 2 ⋅ 3 + 1, 22 − 2 ⋅ 2 + 1, 52 − 2 ⋅ 5 + 1 i.e., the eigen values of A2 − 2A + I are 4, 1, 16. EXAMPLE 5 The product of two eigen values of the matrix A 5 2 2 2 2 6 2 2 2 3 1 2 1 3 ⎡ ⎣ ⎢ ⎢ ⎤ ⎦ ⎥ ⎥ is 16. Find the third eigen value. Solution. Let l1 , l2 , l3 be the eigen values of A. Given l1 ⋅ l2 = 16 We know that l1 ⋅ l2 ⋅ l3 = A ⇒ 16 6 2 2 2 3 1 2 1 3 6 9 1 2 6 2 2 2 6 3 l = − − − − = − + − + + − ( ) ( ) ( ) ⇒ 16 48 8 8 32 3 3 l l = − − = ⇒ = 2 2 M01_ENGINEERING_MATHEMATICS-I _CH01_Part B.indd 71 5/30/2016 5:03:58 PM
  • 109.
    1.72 ■ EngineeringMathematics EXAMPLE 6 Find the eigen values of the matrix 1 2 5 4 2 2 ⎡ ⎣ ⎢ ⎤ ⎦ ⎥ . Hence, find the matrix whose eigen values are 1 6 and 21. Solution. Let A = − − ⎡ ⎣ ⎢ ⎤ ⎦ ⎥ 1 2 5 4 . The characteristic equation of A is A I − = l 0 ⇒ 1 2 5 4 0 0 2 1 2 − − − − ⇒ − + l l l l = = S S where S1 = 1 + 4 = 5 and S2 = A = 4 − 10 = −6 ∴ the characteristic equation is l2 − 5l − 6 = 0 ⇒ (l − 6) (l + 1) = 0 ⇒ l = 6, −1 Since 6, −1 are the eigen values of A, by property (4), 1 6 1 , − are the eigen values of A −1 . So, the required matrix is A A adj A 1 T − = = − ⎡ ⎣ ⎢ ⎤ ⎦ ⎥ 1 1 6 4 5 2 1 = − ⎡ ⎣ ⎢ ⎤ ⎦ ⎥ 1 6 4 2 5 1 EXAMPLE 7 If a, b are the eigen values of 3 1 1 5 2 2 ⎡ ⎣ ⎢ ⎤ ⎦ ⎥ form the matrix whose eigen values are a3 , b3 . Solution. Let A = − − ⎡ ⎣ ⎢ ⎤ ⎦ ⎥ 3 1 1 5 . Since a, b are the eigen values of A, by property 5(ii), a3 , b3 are the eigen values of A3 . Now A A A 2 3 1 1 5 3 1 1 5 10 8 26 8 = ⋅ = − − ⎡ ⎣ ⎢ ⎤ ⎦ ⎥ − − ⎡ ⎣ ⎢ ⎤ ⎦ ⎥ = − − ⎡ ⎣ ⎢ ⎤ ⎦ ⎥ and A A A 3 2 10 8 8 26 3 1 1 5 38 50 50 138 = = − − ⎡ ⎣ ⎢ ⎤ ⎦ ⎥ − − ⎡ ⎣ ⎢ ⎤ ⎦ ⎥ = − − ⎡ ⎣ ⎢ ⎤ ⎦ ⎥ EXERCISE 1.5 Find eigen values and eigen vectors of the following matrices. 1. 2 2 0 2 1 1 7 2 3 − − ⎡ ⎣ ⎢ ⎢ ⎤ ⎦ ⎥ ⎥ 2. 4 20 10 2 10 4 6 30 13 − − − − − ⎡ ⎣ ⎢ ⎢ ⎢ ⎤ ⎦ ⎥ ⎥ ⎥ 3. − − − − − ⎡ ⎣ ⎢ ⎢ ⎤ ⎦ ⎥ ⎥ 2 2 3 2 1 6 1 2 0 4. 7 2 0 2 6 2 0 2 5 − − − − ⎡ ⎣ ⎢ ⎢ ⎢ ⎤ ⎦ ⎥ ⎥ ⎥ 5. 6 2 2 2 3 1 2 1 3 − − − − ⎡ ⎣ ⎢ ⎢ ⎤ ⎦ ⎥ ⎥ 6. 1 1 3 1 5 1 3 1 1 ⎡ ⎣ ⎢ ⎢ ⎢ ⎤ ⎦ ⎥ ⎥ ⎥ 7. 2 1 1 1 2 1 1 1 2 − − − − ⎡ ⎣ ⎢ ⎢ ⎤ ⎦ ⎥ ⎥ 8. 3 10 5 2 3 4 3 5 7 − − − ⎡ ⎣ ⎢ ⎢ ⎢ ⎤ ⎦ ⎥ ⎥ ⎥ M01_ENGINEERING_MATHEMATICS-I _CH01_Part B.indd 72 5/30/2016 5:04:01 PM
  • 110.
    Matrices ■ 1.73 9. −− − − − − ⎡ ⎣ ⎢ ⎢ ⎢ ⎤ ⎦ ⎥ ⎥ ⎥ 5 5 9 8 9 18 2 3 7 10. 2 1 1 1 2 1 0 0 1 ⎡ ⎣ ⎢ ⎢ ⎢ ⎤ ⎦ ⎥ ⎥ ⎥ ANSWERS TO EXERCISE 1.5 1. l = 1, 3, −4; eigen vectors 2 1 4 2 1 2 1 3 13 − − ⎡ ⎣ ⎢ ⎢ ⎢ ⎤ ⎦ ⎥ ⎥ ⎥ − ⎡ ⎣ ⎢ ⎢ ⎢ ⎤ ⎦ ⎥ ⎥ ⎥ − ⎡ ⎣ ⎢ ⎢ ⎢ ⎤ ⎦ ⎥ ⎥ ⎥ , , 2. l = 0, −1, 2; eigen vectors 5 1 0 2 0 1 0 1 2 ⎡ ⎣ ⎢ ⎢ ⎢ ⎤ ⎦ ⎥ ⎥ ⎥ ⎡ ⎣ ⎢ ⎢ ⎢ ⎤ ⎦ ⎥ ⎥ ⎥ − ⎡ ⎣ ⎢ ⎢ ⎢ ⎤ ⎦ ⎥ ⎥ ⎥ , , 3. l = −3, −3, 5; eigen vectors 2 1 0 3 0 1 1 2 1 − ⎡ ⎣ ⎢ ⎢ ⎤ ⎦ ⎥ ⎥ ⎡ ⎣ ⎢ ⎢ ⎤ ⎦ ⎥ ⎥ − − ⎡ ⎣ ⎢ ⎢ ⎤ ⎦ ⎥ ⎥ , , 4. l = 3, 6, 9; eigen vectors 1 2 2 2 1 2 2 2 1 ⎡ ⎣ ⎢ ⎢ ⎤ ⎦ ⎥ ⎥ − ⎡ ⎣ ⎢ ⎢ ⎤ ⎦ ⎥ ⎥ − ⎡ ⎣ ⎢ ⎢ ⎤ ⎦ ⎥ ⎥ , , 5. l = 2, 2, 8; eigen vectors 1 0 2 1 2 0 2 1 1 − ⎡ ⎣ ⎢ ⎢ ⎢ ⎤ ⎦ ⎥ ⎥ ⎥ ⎡ ⎣ ⎢ ⎢ ⎢ ⎤ ⎦ ⎥ ⎥ ⎥ − ⎡ ⎣ ⎢ ⎢ ⎢ ⎤ ⎦ ⎥ ⎥ ⎥ , , 6. l = −2, 3, 6; eigen vectors − ⎡ ⎣ ⎢ ⎢ ⎢ ⎤ ⎦ ⎥ ⎥ ⎥ − ⎡ ⎣ ⎢ ⎢ ⎢ ⎤ ⎦ ⎥ ⎥ ⎥ ⎡ ⎣ ⎢ ⎢ ⎢ ⎤ ⎦ ⎥ ⎥ ⎥ 1 0 1 1 1 1 1 2 1 , , 7. l = 1, 1, 4; eigen vectors 1 1 0 0 1 1 1 1 1 ⎡ ⎣ ⎢ ⎢ ⎢ ⎤ ⎦ ⎥ ⎥ ⎥ ⎡ ⎣ ⎢ ⎢ ⎢ ⎤ ⎦ ⎥ ⎥ ⎥ − ⎡ ⎣ ⎢ ⎢ ⎢ ⎤ ⎦ ⎥ ⎥ ⎥ , , 8. l = 3, 2, 2; eigen vectors X1 2 3 1 1 2 5 2 5 = − ⎡ ⎣ ⎢ ⎢ ⎢ ⎤ ⎦ ⎥ ⎥ ⎥ = = − ⎡ ⎣ ⎢ ⎢ ⎢ ⎤ ⎦ ⎥ ⎥ ⎥ and X X 9. l = −1, −1, −1; eigen vectors X1 = X2 = X3 = − ⎡ ⎣ ⎢ ⎢ ⎢ ⎤ ⎦ ⎥ ⎥ ⎥ 3 6 2 10. l = 1, 1, 3; eigen vectors X X X 1 2 3 1 0 1 0 1 1 1 1 0 = − ⎡ ⎣ ⎢ ⎢ ⎢ ⎤ ⎦ ⎥ ⎥ ⎥ = − ⎡ ⎣ ⎢ ⎢ ⎢ ⎤ ⎦ ⎥ ⎥ ⎥ = ⎡ ⎣ ⎢ ⎢ ⎢ ⎤ ⎦ ⎥ ⎥ ⎥ , , 1.6.5 Cayley-Hamilton Theorem Theorem 1.4 Every square matrix satisfies its characteristic equation Proof Let A aij n n = [ ] × be a square matrix of order n. Then the Characteristic polynomial is A I a a a a a a a a a a a a n n n n n nn − = − − − l l l l 11 12 13 1 21 22 23 2 1 2 3 … … … : M01_ENGINEERING_MATHEMATICS-I _CH01_Part B.indd 73 5/30/2016 5:04:04 PM
  • 111.
    1.74 ■ EngineeringMathematics The coefficient of ln is (−1)n from the product of (a11 − l) (a22 − l)... (ann − l). ∴ let A I a a a n n n − = − +…+ l l l l ( 1) 1 2 2 n n + + ⎡ ⎣ ⎤ ⎦ − − 1 (1) Since the elements of A − lI are at most first degree in l, the elements of adj (A − lI) are ordinary polynomials in l of degree at most (n − 1). ∴ adj (A − lI) can be written as a matrix polynomial in l of degree n − 1. Let adj( ) A I B B B B n n n n − = + + + − − − − l l l l 0 1 1 2 2 3 1 … n (2) where B0 , B1 ,…, Bn − 1 are n × n matrices. The elements of these matrices are function of aij . We know that if A is a n × n matrix, then A A A I (adj ) (adjA) A = = where I is n × n identity matrix. ∴ we have ( ) ( ) A I A I A I I − − = − = l l l adj Substituting from (1) and (2), we have ( )[ ] ( ) ( A I B B B B B a n n n n n n n n − + + + + + = − + + − − − − − − l l l l l l l 0 1 1 2 2 3 2 1 1 1 1 … a a a a n n n 2 2 1 l l − − + + … ) Equating the coefficients of lm , ln − 1 , ln − 2 … l and term independent of l, we get −IB0 = (−1)n , AB0 − IB0 = (−1)n a1 I, AB1 − IB2 = (−1)n a2 I, … , ABn − 2 − IBn − 1 = (−1) an − 1 I, ABn − 1 = (−1)n an I Pre-multiplying the above equation by An , An − 1 , An − 2 , …, A, I, we get − = − − = − − = − − − − − A B A A B A B a A A B A B a A n n n n n n n n n n 0 0 1 1 1 1 1 1 2 2 2 1 1 1 ( ) ( ) ( ) n n n n A B AB a AB a − − − − − − = − = − 2 2 2 1 1 1 1 1 : n n n n n ( ) ( ) A I Adding we get, ⇒ ( ) [ ... ] ... − + + + = + + + = − − − − 1 0 0 1 1 2 2 1 1 2 2 n n n n n n n n n A a A a A a I A a A a A a I This means A satisfies the equation l l l n n n n a a a + + + + = − − 1 1 2 2 0 … , which is the characteristic equation of A. Hence, the theorem. Properties: Cayley–Hamilton Theorem has the following two important properties: 1. To find the inverse of a non-singular matrix A 2. To find higher integral power of A M01_ENGINEERING_MATHEMATICS-I _CH01_Part B.indd 74 5/30/2016 5:04:06 PM
  • 112.
    Matrices ■ 1.75 WORKEDEXAMPLES EXAMPLE 1 Verify that A 1 2 2 1 5 2 ⎡ ⎣ ⎢ ⎤ ⎦ ⎥ satisfies its characteristic equation and hence find A4 . Solution. Given A = − ⎡ ⎣ ⎢ ⎤ ⎦ ⎥ 1 2 2 1 The characteristic equation of A is A I − = l 0 ⇒ l l 2 1 2 0 − + = S S where S S A 1 2 1 1 0 1 4 5 = + − = = = − − = − ( ) and ∴ the characteristic equation is l2 − 5 = 0 (1) By Cayley-Hamilton theorem, A satisfies (1). That is A2 − 5I = 0 (2) We shall now verify this by direct computation. ∴ A A A I A I 2 2 1 2 2 1 1 2 2 1 5 0 0 5 1 0 0 1 5 = ⋅ = − ⎡ ⎣ ⎢ ⎤ ⎦ ⎥ − ⎡ ⎣ ⎢ ⎤ ⎦ ⎥ = ⎡ ⎣ ⎢ ⎤ ⎦ ⎥ = ⎡ ⎣ ⎢ ⎤ ⎦ ⎥ − = 5 5 0 0 5 5 1 0 0 1 5 0 0 5 5 0 0 5 0 0 0 0 ⎡ ⎣ ⎢ ⎤ ⎦ ⎥ − ⎡ ⎣ ⎢ ⎤ ⎦ ⎥ = ⎡ ⎣ ⎢ ⎤ ⎦ ⎥ − ⎡ ⎣ ⎢ ⎤ ⎦ ⎥ = ⎡ ⎣ ⎢ ⎤ ⎦ ⎥ ⇒ A 2 − 5I = 0. Hence, A satisfies its characteristic equation. To find A4 : We have A 2 = 5I [from (2)] ∴ A4 = 5A2 = ⎡ ⎣ ⎢ ⎤ ⎦ ⎥ = ⎡ ⎣ ⎢ ⎤ ⎦ ⎥ 5 5 0 0 5 25 0 0 25 . EXAMPLE 2 Verify Cayley-Hamilton theorem for the matrix A 1 4 2 3 5 ⎡ ⎣ ⎢ ⎤ ⎦ ⎥ and find its inverse. Also express A5 2 4A4 2 7A3 1 11A2 2 A 2 10I as a linear polynomial in A. Solution. Given A = ⎡ ⎣ ⎢ ⎤ ⎦ ⎥ 1 4 2 3 The characteristic equation of A is A I − = l 0 ⇒ l l 2 1 2 0 − + = S S where S S A 1 2 1 3 4 3 8 5 = + = = = − = − , M01_ENGINEERING_MATHEMATICS-I _CH01_Part B.indd 75 5/30/2016 5:04:09 PM
  • 113.
    1.76 ■ EngineeringMathematics ∴ the characteristic equation is l2 − 4l − 5 = 0 (1) By Cayley-Hamilton theorem, A satisfies (1). ∴ A2 − 4A − 5I = 0 (2) We shall now verify this by direct computations. A A A 2 1 4 2 3 1 4 2 3 9 16 8 17 = ⋅ = ⎡ ⎣ ⎢ ⎤ ⎦ ⎥ ⎡ ⎣ ⎢ ⎤ ⎦ ⎥ = ⎡ ⎣ ⎢ ⎤ ⎦ ⎥ A A I 2 4 5 9 16 8 17 − − = ⎡ ⎣ ⎢ ⎤ ⎤ ⎦ ⎥ − ⎡ ⎣ ⎢ ⎤ ⎦ ⎥ − ⎡ ⎣ ⎢ ⎤ ⎦ ⎥ 4 1 4 2 3 5 1 0 0 1 = ⎡ ⎣ ⎢ ⎤ ⎦ ⎥ − ⎡ ⎣ ⎢ ⎤ ⎦ ⎥ − ⎡ ⎣ ⎢ ⎤ ⎦ ⎥ = − − − − − − − 9 16 8 17 4 16 8 12 5 0 0 5 9 4 5 16 16 0 8 8 0 17 1 12 5 0 0 0 0 − ⎡ ⎣ ⎢ ⎤ ⎦ ⎥ = ⎡ ⎣ ⎢ ⎤ ⎦ ⎥ ⇒ A2 − 4A − 5I = 0. Hence, the theorem is verified. To find A 21 : We have 5I = A2 − 4A Multiply by A −1 , we get 5A −1 = A −1 A2 − 4 A −1 A 5 4 1 4 2 3 4 1 0 0 1 1 4 2 3 4 0 0 4 1 4 1 A− = − = ⎡ ⎣ ⎢ ⎤ ⎦ ⎥ − ⎡ ⎣ ⎢ ⎤ ⎦ ⎥ = ⎡ ⎣ ⎢ ⎤ ⎦ ⎥ − ⎡ ⎣ ⎢ ⎤ ⎦ ⎥ = − A I 4 4 0 2 0 3 4 3 4 2 1 − − − ⎡ ⎣ ⎢ ⎤ ⎦ ⎥ = − − ⎡ ⎣ ⎢ ⎤ ⎦ ⎥ ∴ A− = − − ⎡ ⎣ ⎢ ⎤ ⎦ ⎥ 1 1 5 3 4 2 1 Finally, to find A5 − 4A4 − 7A3 + 11A2 − A − 10I: Consider the polynomial l5 − 4l4 − 7l3 + 11l2 − l − 10 (3) Divide the polynomial (3) by l2 − 4l − 5. Division is indicated below. l l l l l l l l l l l l l l l 2 3 5 5 3 4 5 2 3 4 7 11 10 4 5 2 11 2 − − − + − − + − − − − − + − − 4 3 2 4 3 2 l l l l l l l l l 3 2 2 8 10 3 11 10 3 12 15 5 + + − − − − + 2 ∴ We get the quotient l3 − 2l + 3 and remainder l + 5. M01_ENGINEERING_MATHEMATICS-I _CH01_Part B.indd 76 5/30/2016 5:04:10 PM
  • 114.
    Matrices ■ 1.77 ∴l5 − 4l4 − 7l3 + 11l2 − l − 10 = (l2 − 4l − 5)(l3 − 2l + 3) + l + 5 Replace l by A, we get A5 − 4A4 − 7A3 + 11A2 − A − 10I = (A2 − 4A − 5I) (A3 − 2A + 3I) + A + 5I = 0 + A + 5I = A + 5I [using (2)] which is a linear polynomial in A. EXAMPLE 3 Find the characteristic equation of the matrixA given A 2 1 1 1 2 1 1 1 2 5 2 2 2 2 ⎡ ⎣ ⎢ ⎢ ⎢ ⎤ ⎦ ⎥ ⎥ ⎥ . Hence,find A21 and A4 . Solution. Given A = − − − − ⎡ ⎣ ⎢ ⎢ ⎢ ⎤ ⎦ ⎥ ⎥ ⎥ 2 1 1 1 2 1 1 1 2 The characteristic equation of A is A I − = l 0 ⇒ 2 1 1 1 2 1 1 1 2 0 − − − − − − − l l l = ⇒ 0 3 1 2 2 3 − + − = l l l S S S where S1 = sum of the diagonal elements of A = 2 + 2 + 2 = 6 S2 = sum of the minors of the diagonal elements of A = − − + + − − = − + − + − = = = − + − + + − = 2 1 1 2 2 1 1 2 2 1 1 2 4 1 4 1 4 1 9 2 4 1 2 1 1 2 3 S A ( ) ( ) ( ) 6 6 1 1 4 − − = ∴ the characteristic equation is l3 − 6l2 + 9l − 4 = 0 By Cayley-Hamilton theorem, A satisfies its characteristic equation ∴ A3 − 6A2 + 9A − 4I = 0 (1) ⇒ 4I = A3 − 6A2 + 9A Multiply by A−1 , 4IA−1 = A3 A−1 − 6A2 ⋅ A−1 + 9A A−1 ⇒ 4A−1 = A2 − 6A + 9I But A2 2 1 1 1 2 1 1 1 2 2 1 1 1 2 1 1 1 2 4 1 1 2 = − − − − ⎡ ⎣ ⎢ ⎢ ⎢ ⎤ ⎦ ⎥ ⎥ ⎥ − − − − ⎡ ⎣ ⎢ ⎢ ⎢ ⎤ ⎦ ⎥ ⎥ ⎥ = + + − − 2 2 1 2 1 2 2 2 1 1 4 1 1 2 2 2 1 2 1 2 2 1 1 4 6 5 5 − + + − − − + + − − − + + − − − + + ⎡ ⎣ ⎢ ⎢ ⎢ ⎤ ⎦ ⎥ ⎥ ⎥ = − −5 5 6 5 5 5 6 − − ⎡ ⎣ ⎢ ⎢ ⎢ ⎤ ⎦ ⎥ ⎥ ⎥ M01_ENGINEERING_MATHEMATICS-I _CH01_Part B.indd 77 5/30/2016 5:04:11 PM
  • 115.
    1.78 ■ EngineeringMathematics ∴ 4 6 5 5 5 6 5 5 5 6 6 2 1 1 1 2 1 1 1 2 9 1 0 0 A 1 − = − − − − ⎡ ⎣ ⎢ ⎢ ⎢ ⎤ ⎦ ⎥ ⎥ ⎥ − − − − − ⎡ ⎣ ⎢ ⎢ ⎢ ⎤ ⎦ ⎥ ⎥ ⎥ + 0 0 1 0 0 0 1 6 12 9 5 6 5 6 5 6 6 12 9 5 6 5 6 5 6 6 12 9 ⎡ ⎣ ⎢ ⎢ ⎢ ⎤ ⎦ ⎥ ⎥ ⎥ − + − + − − + − + − + − − + − + = ⎡ ⎡ ⎣ ⎢ ⎢ ⎢ ⎤ ⎦ ⎥ ⎥ ⎥ = − − ⎡ ⎣ ⎢ ⎢ ⎢ ⎤ ⎦ ⎥ ⎥ ⎥ 3 1 1 1 3 1 1 1 3 ∴ A − = − − ⎡ ⎣ ⎢ ⎢ ⎢ ⎤ ⎦ ⎥ ⎥ ⎥ 1 1 4 3 1 1 1 3 1 1 1 3 (1) ⇒ A A A I 3 2 6 9 4 = − + ∴ A A A A A A I A A A A I 4 3 2 2 2 2 6 9 4 6 6 9 4 9 4 27 50 24 = − + = − + − + = − + [ ] [Multiplying by A] = ⎡ ⎣ ⎢ ⎢ ⎢ ⎤ ⎦ ⎥ ⎥ ⎥ ⎡ ⎣ ⎢ ⎢ ⎢ ⎤ ⎦ ⎥ ⎥ ⎥ + 27 6 5 5 5 6 5 5 5 6 50 2 1 1 1 2 1 1 1 2 24 1 0 0 − − − − − − − − − 0 0 1 0 0 0 1 162 100 24 135 50 135 50 135 50 162 100 24 ⎡ ⎣ ⎢ ⎢ ⎢ ⎤ ⎦ ⎥ ⎥ ⎥ = + + + + − − − − − − − − − − − − − 135 50 135 50 135 50 162 100 24 86 85 85 85 86 85 8 + + + ⎡ ⎣ ⎢ ⎢ ⎢ ⎤ ⎦ ⎥ ⎥ ⎥ = 5 5 85 86 − ⎡ ⎣ ⎢ ⎢ ⎢ ⎤ ⎦ ⎥ ⎥ ⎥ EXAMPLE 4 Use Cayley-Hamilton theorem to find the matrix A8 2 5A7 1 7A6 2 3A5 1 8A4 2 5A3 1 8A2 2 2A 1 I if the matrix A 2 1 1 0 1 0 1 1 2 5 ⎡ ⎣ ⎢ ⎢ ⎢ ⎤ ⎦ ⎥ ⎥ ⎥ . Solution. Given A = ⎡ ⎣ ⎢ ⎢ ⎢ ⎤ ⎦ ⎥ ⎥ ⎥ 2 1 1 0 1 0 1 1 2 The characteristic equation is A I − = l 0 ⇒ 2 1 1 0 1 0 1 1 2 0 0 3 1 2 2 3 − − − = ⇒ − + − = l l l l l l S S S where S1 = 2 + 1 + 2 = 5 M01_ENGINEERING_MATHEMATICS-I _CH01_Part B.indd 78 5/30/2016 5:04:13 PM
  • 116.
    Matrices ■ 1.79 S SA 2 3 1 0 1 2 2 1 1 2 2 1 0 1 2 4 1 2 7 2 2 1 0 1 1 4 1 3 = + + = + − + = = = ⋅ − ⋅ + − = − = ( ) ∴ the characteristic equation is l3 − 5l2 + 7l − 3 = 0 By Cayley-Hamilton theorem, we get A3 − 5A2 + 7A − 3I = 0 (1) We have to find the matrix A8 − 5A7 + 7A6 − 3A5 + 8A4 − 5A3 + 8A2 − 2A + I = f(A), say We shall rewrite this matrix polynomial in terms of A3 − 5A2 + 7A − 3I ∴ the polynomial f(A) = A5 (A3 − 5A2 + 7A − 3I) + 8A4 − 5A3 + 8A2 − 2A + I = 8A4 − 5A3 + 8A2 − 2A + I [Using (1)] = 8A(A3 − 5A2 + 7A − 3I) + 35A3 − 48A2 + 22A + I = 35A3 − 48A2 + 22A + I [Using (1)] = 35(A3 − 5A2 + 7A − 3I) + 127A2 − 223A + 106I = 127A2 − 223A + 106I [Using (1)] But A2 2 1 1 0 1 0 1 1 2 2 1 1 0 1 0 1 1 2 5 4 4 0 1 0 4 4 5 = ⎡ ⎣ ⎢ ⎢ ⎢ ⎤ ⎦ ⎥ ⎥ ⎥ ⎡ ⎣ ⎢ ⎢ ⎢ ⎤ ⎦ ⎥ ⎥ ⎥ = ⎡ ⎣ ⎢ ⎢ ⎢ ⎤ ⎦ ⎥ ⎥ ⎥ ⎥ ∴ f ( ) A = ⎡ ⎣ ⎢ ⎢ ⎢ ⎤ ⎦ ⎥ ⎥ ⎥ − ⎡ ⎣ ⎢ ⎢ ⎢ ⎤ ⎦ ⎥ ⎥ ⎥ 127 5 4 4 0 1 0 4 4 5 223 2 1 1 0 1 0 1 1 2 106 1 0 0 0 + 1 1 0 0 0 1 635 446 106 508 223 508 223 0 127 223 106 0 508 ⎡ ⎣ ⎢ ⎢ ⎢ ⎤ ⎦ ⎥ ⎥ ⎥ = − − − − + + − − − − ⎡ ⎣ ⎢ ⎢ ⎢ ⎤ ⎦ ⎥ ⎥ ⎥ = ⎡ ⎣ 223 508 223 635 446 106 295 285 285 0 10 0 285 285 295 + ⎢ ⎢ ⎢ ⎢ ⎤ ⎦ ⎥ ⎥ ⎥ Note: Otherwise divide l8 − 5l7 + 7l6 − 3l5 + 8l4 − 5l3 + 8l2 − 2l + 1 by l3 − 5l2 + 7l − 3 and proceed as in example 2. EXAMPLE 5 If A 1 0 0 1 0 1 0 1 0 5 ⎡ ⎣ ⎢ ⎢ ⎢ ⎤ ⎦ ⎥ ⎥ ⎥ , then show that An 5 An 2 2 1 A2 2 I for n $ 3. Hence, find A50 . Solution. Given A = 1 0 0 1 0 1 0 1 0 ⎡ ⎣ ⎢ ⎢ ⎢ ⎤ ⎦ ⎥ ⎥ ⎥ . M01_ENGINEERING_MATHEMATICS-I _CH01_Part B.indd 79 5/30/2016 5:04:15 PM
  • 117.
    1.80 ■ EngineeringMathematics The characteristic equation of A is A I − = l 0 ⇒ l l l 3 1 2 2 3 0 − + − = S S S where S S 1 2 1 0 1 1 0 1 0 0 0 1 0 1 0 1 0 0 1 = = + + = − + + = − , and S A 3 1 = = − ∴ the characteristic equation is l3 − l2 − l + 1 = 0 (1) By Cayley-Hamilton theorem, A statisfies (1) ∴ A3 − A2 − A + I = 0 ⇒ A3 − A2 = A − I (2) Multiplying (2) by A, A2 , …, An − 3 , we get the equations A A A A A A A A A A A A A A A A n n n n 4 3 2 5 4 3 2 6 5 4 3 1 2 3 − = − − = − − = − − = − − − − : : Adding all these equations, we get A A A I n n − = − 2 2 − ⇒ A A A I for all n n = + − ≥ −2 2 3 ( ) n (i) A A A I A A A I n n n n − − − − = + − = + − 2 4 2 4 6 2 : : : ∴ A A A I A I n n− = + − + − 4 2 2 ( ) ( ) A A A I n n = + − −4 2 2( ) (ii) ⇒ = + − + − − A A I A I n 6 2 2 2( ) ⇒ A A A I n n = + − −6 2 3( ) (iii) ⇒ A A A I n n = + − −8 2 4( ) (iv) A A If n is even, then A A A I n n n = + − ⎛ ⎝ ⎜ ⎞ ⎠ ⎟ − − − ( ) ( ) 2 2 2 2 n observe ⎡ ⎣ ⎢ the coefficients of A2 − I in (i), (ii), (iii) … and index of A. We see 2 2 1 = in (i), 4 2 2 = in (ii), 6 2 3 = in (iii), 8 2 4 = in (iv) and so on n − ⎤ ⎦ ⎥ 2 2 in the last one M01_ENGINEERING_MATHEMATICS-I _CH01_Part B.indd 80 5/30/2016 5:04:18 PM
  • 118.
    Matrices ■ 1.81 ∴A A A I n = + − ⎛ ⎝ ⎜ ⎞ ⎠ ⎟ − − 2 2 2 2 2 2 n n ⇒ A A I n = − − ⎛ ⎝ ⎜ ⎞ ⎠ ⎟ 2 2 2 2 n n Putting n = 50, we get A50 = 25A2 − 24I But A A A 2 1 0 0 1 0 1 0 1 0 1 0 0 1 0 1 0 1 0 1 0 0 1 1 0 1 0 1 = ⋅ = ⎡ ⎣ ⎢ ⎢ ⎢ ⎤ ⎦ ⎥ ⎥ ⎥ ⎡ ⎣ ⎢ ⎢ ⎢ ⎤ ⎦ ⎥ ⎥ ⎥ = ⎡ ⎣ ⎢ ⎢ ⎢ ⎢ ⎤ ⎦ ⎥ ⎥ ⎥ ∴ A50 25 1 0 0 1 1 0 1 0 1 24 1 0 0 0 1 0 0 0 1 1 0 0 25 1 0 25 0 = ⎡ ⎣ ⎢ ⎢ ⎢ ⎤ ⎦ ⎥ ⎥ ⎥ − ⎡ ⎣ ⎢ ⎢ ⎢ ⎤ ⎦ ⎥ ⎥ ⎥ = 1 1 ⎡ ⎣ ⎢ ⎢ ⎢ ⎤ ⎦ ⎥ ⎥ ⎥ EXAMPLE 6 If A 1 2 2 1 5 2 ⎡ ⎣ ⎢ ⎤ ⎦ ⎥ , then find An in terms of A and I. Solution. Given A = − ⎡ ⎣ ⎢ ⎤ ⎦ ⎥ 1 2 2 1 The characteristic equation is l2 − 5 = 0 [see example 17] By Cayley-Hamiltons theorem A2 − 5I = 0 (1) To find An , consider the polynomial ln Dividing ln by l2 − 5, we get ln = (l2 − 5) f(l) + al + b (2) where f(l) is the quotient and al + b is the remainder. We shall now find the values of a and b. The eigen values of A are l = − 5 5 , Substitute l = 5 in (2) then 5 0 5 ( ) = + + n a b ⇒ a b 5 5 + = ( ) n (3) Substitute l = − 5 in (2), then − ( ) = + − ( )+ 5 0 5 n a b ⇒ − + = − ( ) a b 5 5 n (4) (3) + (4) ⇒ 2 5 5 b = ( ) + − ( ) n n ∴ b = ( ) + − ( ) = ( ) + − 5 5 2 5 1 1 2 n n n n ( ( ) ) (3) − (4) ⇒ 2 5 5 5 a = ( ) − − ( ) n n M01_ENGINEERING_MATHEMATICS-I _CH01_Part B.indd 81 5/30/2016 5:04:22 PM
  • 119.
    1.82 ■ EngineeringMathematics ∴ a = ( ) − − ( ) = ( ) − 5 5 2 5 5 1 1 2 n n n n ( ( ) ) − Replacing l by A in (2), we get ∴ A A I A A I A I A A n n n n n = − + + = + + = ( ) − − ⎛ ⎝ ⎜ ⎞ ⎠ ⎟ + ( ) + ( ) ( ) ( ) ( 2 5 0 5 1 1 2 5 1 f a b a b − − ⎛ ⎝ ⎜ ⎞ ⎠ ⎟ 1 2 ) . n I EXERCISE 1.6 Verify Cayley-Hamilton theorem for the following matrices and hence find their inverses. 1. 1 3 7 4 2 3 1 2 1 ⎡ ⎣ ⎢ ⎢ ⎢ ⎤ ⎦ ⎥ ⎥ ⎥ 2. 1 0 3 2 1 1 1 1 1 − − ⎡ ⎣ ⎢ ⎢ ⎢ ⎤ ⎦ ⎥ ⎥ ⎥ 3. − − − ⎡ ⎣ ⎢ ⎢ ⎢ ⎤ ⎦ ⎥ ⎥ ⎥ 1 0 3 8 1 7 3 0 8 4. 7 2 2 6 1 2 6 2 1 − − − − ⎡ ⎣ ⎢ ⎢ ⎢ ⎤ ⎦ ⎥ ⎥ ⎥ 5. Verify that the matrix A = − − − − ⎡ ⎣ ⎢ ⎢ ⎢ ⎤ ⎦ ⎥ ⎥ ⎥ 2 1 2 1 2 1 1 1 2 satisfies its characteristic equation and hence find A4 . 6. A = ⎡ ⎣ ⎢ ⎤ ⎦ ⎥ 7 3 2 6 , find An in terms of A and I using Cayley-Hamilton theorem and hence find A3 . 7. Find A4 using Cayley-Hamilton theorem for the matrix A = − − ⎡ ⎣ ⎢ ⎢ ⎢ ⎤ ⎦ ⎥ ⎥ ⎥ 1 2 3 2 1 4 3 1 1 . Find A4 + A3 − 18A2 − 39A + 2I 8. Find the eigen values and eigen vectors of the system of equations 10x1 + 2x2 + x3 = lx1 , 2x1 + 10x2 + x3 = lx2 , 2x1 + x2 + 10x3 = lx3 [Hint: Equations can be rewritten as (10 − l)x1 + 2x2 + x3 = 0, 2x1 + (10 − l)x2 + x3 = 0, 2x1 + x2 + (10 − l)x3 = 0 If A = ⎡ ⎣ ⎢ ⎢ ⎢ ⎤ ⎦ ⎥ ⎥ ⎥ 10 2 1 2 10 1 2 1 10 and X = ⎡ ⎣ ⎢ ⎢ ⎢ ⎤ ⎦ ⎥ ⎥ ⎥ x x x 1 2 3 then these equations in matrix form is (A − lI)X = 0 and so A I − = l 0 is the characteristic equation of A and l = 8, 9, 13. Eigen vectors are given by (I)] 9. If l is an eigen value of a non-singular matrix A, show that A l is an eigen value of the matrix adj A. Hint: AX = lX ⇒ (adj A) (AX) = (adj A) (lX) A X adj A X = l( ) ⇒ adj A X A X = ⎤ ⎦ ⎥ l ( ) ( ⎡ ⎣ ⎢ M01_ENGINEERING_MATHEMATICS-I _CH01_Part B.indd 82 5/30/2016 5:04:25 PM
  • 120.
    Matrices ■ 1.83 10.Verify Cayley-Hamilton theorem for the matrix A = − ⎡ ⎣ ⎢ ⎤ ⎦ ⎥ 1 2 1 3 and find its inverse and also find A6 − 4A5 + 8A4 − 12A3 + 14A2 . 11. Verify Cayley-Hamilton theorem and find the inverse of A 13 3 5 0 4 0 15 9 7 = − − − ⎡ ⎣ ⎢ ⎢ ⎢ ⎤ ⎦ ⎥ ⎥ ⎥ ANSWERS TO EXERCISE 1.6 1. 1 35 4 11 5 1 6 25 6 1 10 − − − − − ⎡ ⎣ ⎢ ⎢ ⎢ ⎤ ⎦ ⎥ ⎥ ⎥ 2. 1 9 0 3 3 3 2 7 3 1 1 − − − ⎡ ⎣ ⎢ ⎢ ⎢ ⎤ ⎦ ⎥ ⎥ ⎥ 3. 8 0 3 43 1 17 3 0 1 − − − ⎡ ⎣ ⎢ ⎢ ⎢ ⎤ ⎦ ⎥ ⎥ ⎥ 4. 1 3 3 2 2 6 5 2 6 2 5 − − − − − ⎡ ⎣ ⎢ ⎢ ⎢ ⎤ ⎦ ⎥ ⎥ ⎥ 5. A4 124 123 162 95 96 123 95 95 124 = − − − − ⎡ ⎣ ⎢ ⎢ ⎢ ⎤ ⎦ ⎥ ⎥ ⎥ 6. A A n n n n n = − ⎡ ⎣ ⎢ ⎤ ⎦ ⎥ + ⋅ − ⋅ ⎡ ⎣ ⎢ ⎤ ⎦ ⎥ = ⎡ ⎣ 9 4 5 7 3 2 6 9 4 4 9 5 1 0 0 1 463 399 266 330 3 ; ⎢ ⎢ ⎤ ⎦ ⎥ 7. A4 248 101 218 272 109 50 104 98 204 = ⎡ ⎣ ⎢ ⎢ ⎢ ⎤ ⎦ ⎥ ⎥ ⎥ 8. 3 2 2 1 1 3 1 1 1 − ⎡ ⎣ ⎢ ⎢ ⎢ ⎤ ⎦ ⎥ ⎥ ⎥ − ⎡ ⎣ ⎢ ⎢ ⎢ ⎤ ⎦ ⎥ ⎥ ⎥ ⎡ ⎣ ⎢ ⎢ ⎢ ⎤ ⎦ ⎥ ⎥ ⎥ , , 10. A− = − − ⎡ ⎣ ⎢ ⎤ ⎦ ⎥ − − ⎡ ⎣ ⎢ ⎤ ⎦ ⎥ 1 1 5 3 2 1 1 1 8 4 7 , 11. A 1 − − − ⎡ ⎣ ⎢ ⎢ ⎢ ⎤ ⎦ ⎥ ⎥ ⎥ = 1 64 7 6 5 0 4 0 15 18 13 1.7 SIMILARITY TRANSFORMATION AND ORTHOGONAL TRANSFORMATION 1.7.1 Similar Matrices Definition 1.35 Let A and B be square matrices of order n. A is said to be similar to B if there exists a non-singular matrix P of order n such that A = P−1 BP (1) The transformation (1) which transforms B into A is called a similarity transformation. The matrix P is called a similarity matrix. Note We shall now see that if A is similar to B then B is similar to A. A = P−1 BP ⇒ PA P−1 = B (Premultiplying by P and postmultiplying by P−1 ) ⇒ (P−1 )−1 A(P−1 ) = B ⇒ Q−1 AQ = B (2) where Q = P−1 M01_ENGINEERING_MATHEMATICS-I _CH01_Part B.indd 83 5/30/2016 5:04:28 PM
  • 121.
    1.84 ■ EngineeringMathematics The relation (2) means B is similar to A. Thus, if A is similar to B, then B is similar to A. Hence, we simply say A and B are similar matrices. An important property of similarity transformations is that they preserve eigen values, which is proved in the next theorem. Theorem 1.5 Similar matrices have the same eigen values. Proof Let A and B be two similar matrices of order n. Then B = P−1 AP, by definition. ∴ the characteristic polynomial of B is B I − l Now B I P AP I P AP P IP − = − = − − − − l l l 1 1 1 ⇒ = − − P A I P 1 ( ) l = − − P A I P 1 l = AB A B [ ] { = − = − = − − − A I P P A I P P A I I 1 1 l l l ⇒ − = B I A l − − lI = I [ ] { 1 ∴ A and B have the same characteristic polynomial and hence have the same characteristic equation. So, A and B have the same eigen values. Note Similar matrices A and B have the same determinant value i.e., A B = . For B P AP B P AP P A P A P P A I A = ⇒ = = = = = − − − − 1 1 1 1 1.7.2 Diagonalisation of a Square Matrix Definition 1.36 A square matrix A is said to be diagonalisable if there exists a non-singular matrix P such that P−1 AP = D, where D is a diagonal matrix. The matrix P is called a modal matrix of A. The next theorem provides us with a method of diagonalisation. Theorem 1.6 If A is a square matrix of order n, having n linearly independent eigen vectors and M is the matrix whose columns are the eigen vectors of A, then M−1 AM = D, where D is the diagonal matrix whose diagonal elements are the eigen values of A. Proof Let X1 , X2 , …, Xn be n linearly independent eigen vectors of A corresponding to the eigen values l1 , l2 , …, ln of A. ∴ AXi = li Xi , i = 1, 2, 3, …, n. Let M = [X1 X2 … Xn ] be the matrix formed with the eigen vectors as columns. Then AM = [AX1 AX2 AX3 … AXn ] = [l1 X1 l2 X2 l3 X3 … ln Xn ] = … ⎡ ⎣ ⎢ ⎢ ⎢ ⎢ ⎢ ⎢ ⎤ ⎦ ⎥ ⎥ ⎥ ⎥ ⎥ ⎥ [ ] X X Xn n 1 2 1 2 3 0 0 0 0 0 0 0 0 0 0 l l l l … … : : : : M01_ENGINEERING_MATHEMATICS-I _CH01_Part B.indd 84 5/30/2016 5:04:29 PM
  • 122.
    Matrices ■ 1.85 ⇒ AMMD where D M AM D n = = ⎡ ⎣ ⎢ ⎢ ⎢ ⎢ ⎤ ⎦ ⎥ ⎥ ⎥ ⎥ = , l l l 1 2 1 0 0 0 0 0 : : : … − The matrix M which diagonalises A is called the modal matrix of A and the resulting diagonal matrix D whose elements are eigen values of A is called the spectral matrix of A. 1.7.3 Computation of the Powers of a Square Matrix Diagonalisation of a square matrix A is very useful to find powers of A, say Ar . By the theorem 1.6, D = M−1 AM ∴ D M AM M AM M A MM AM M AIAM M A M 2 1 1 1 1 1 1 2 = = ( ) ( ) ( ) − − − − − − = = Similarly, D D D M A M M AM M A MM AM M A IAM M A M 3 2 1 2 1 1 2 1 1 2 1 3 = = = = = − − − − − − ( ) ( ) ( ) Proceeding in this way, we can find ∴ D M A M A MD M where D r r r r r r r n r = = = ⎡ ⎣ ⎢ ⎢ ⎢ ⎢ ⎢ ⎤ ⎦ − − 1 1 1 2 0 0 0 0 0 0 , l l l … … … … … … … ⎥ ⎥ ⎥ ⎥ ⎥ ⎥ Note (1) If the eigen values l1 , l2 , …, ln of A are different then the corresponding eigen vectors X1 , X2 , …, Xn are linearly independent by theorem 1.2.1 (2). So, A can be diagonalised. (2) Even if 2 or more eigen values are equal, if we can find independent eigen vectors corresponding to them (see worked example 6), then A can be diagonalised. Thus, independence of eigen vectors is the condition for diagonalisation. Working rule to diagonalise a n 3 n matrix A by similarity transformation: Step 1: Find the eigen values l1 , l2 , …, ln Step 2: Find linearly independent eigen vectors X1 , X2 , …, Xn Step 3: Form the modal matrix M = [X1 X2 … Xn ] Step 4: Find M−1 and AM. Step 5: Compute M−1 AM = D = ⎡ ⎣ ⎢ ⎢ ⎢ ⎢ ⎤ ⎦ ⎥ ⎥ ⎥ ⎥ l l l 1 2 0 0 0 0 0 0 0 0 … … … … : : : : : n ⇒ M01_ENGINEERING_MATHEMATICS-I _CH01_Part B.indd 85 5/30/2016 5:04:31 PM
  • 123.
    1.86 ■ EngineeringMathematics 1.7.4 Orthogonal Matrix Definition 1.37 A real square matrix A is said to be an orthogonal matrix if AAT = AT A = I, where I is the unit matrix of the same order as A. From this definition it is clear that AT = A−1 . So, an orthogonal matrix is also defined as below. Definition 1.38 A real square matrix A is orthogonal if AT = A−1 . EXAMPLE 1.25 Prove that A cos sin sin cos 5 u u 2 u u ⎡ ⎣ ⎢ ⎤ ⎦ ⎥ is orthogonal. Solution. Given A = − ⎡ ⎣ ⎢ ⎤ ⎦ ⎥ cos sin sin cos u u u u ∴ A = − ⎡ ⎣ ⎢ ⎤ ⎦ ⎥ = + cos sin sin cos cos sin u u u u u u 2 2 1 = ∴ A is non-singular. Hence, A adj A A A 1 T T − = = = − ⎡ ⎣ ⎢ ⎤ ⎦ ⎥ cos sin sin cos u u u u [ ] { A = 1 ∴ A is orthogonal. 1.7.5 Properties of Orthogonal Matrix 1. If A is orthogonal, then AT is orthogonal. Proof Given A is orthogonal. ∴ AAT = AT A = I Reversing the roles of A and AT, we see AT A = AAT = I ⇒ AT is orthogonal. Note Since AT = A−1 , it follows A−1 is orthogonal. 2. If A is an orthogonal matrix, then A 1. 56 Proof Given A is orthogonal. Then AAT = 1 ⇒ AAT = 1 ⇒ A AT = 1 But we know A A T = ∴ A A A A = = ± 1 1 1 2 ⇒ ⇒ = 3. If l is an eigen value of an orthogonal matrix A, then 1 l is also an eigen value of A. Proof Given A is orthogonal and l is an eigen value of A. M01_ENGINEERING_MATHEMATICS-I _CH01_Part B.indd 86 5/30/2016 5:04:32 PM
  • 124.
    Matrices ■ 1.87 ThenAT = A−1 . By property (4) of eigen values, 1 l is an eigen value of A−1 and so an eigen value of AT . By property (1), A and AT have same eigen values. ∴ 1 l is an eigen of A and hence l, 1 l are eigen values of orthogonal matrix A. 4. If A and B are orthogonal matrices, then AB is orthogonal. Proof Given A and B are orthogonal matrices. ∴ AT = A−1 and BT = B−1 Now (AB)T = BT AT = B−1 A−1 = (AB)−1 ∴ AB is orthogonal. 5. Eigen values of an orthogonal matrix are of magnitude 1. Proof Let A be an orthogonal matrix and let l be an eigen value of A. Then AX = lX, where X ≠ 0 (1) Taking complex conjugate, we get A X X = l But A is real matrix ∴ A A = Hence, AX X = l Taking transpose, ( ) ( ) AX X T T = l ⇒ X A X T T T = l ⇒ X A X T 1 T − = l [ ] { A A T = −1 (2) Multiplying (2) and (1) we get ⇒ ⇒ ⇒ ( )( ) ( )( ) ( ) X A AX X X X A A X X X X X X X T 1 T T 1 T T T − − ⇒ = = = = = l l ll l l l 2 2 1 1 [ ] { X X as X T ≠ ≠ 0 0 This is true for all eigen values of A. Hence, eigen values of A are of absolute value 1. ■ 1.7.6 Symmetric Matrix Definition 1.39 Real Square Matrix The matrix A = [aij ]n × n is said to be symmetric if AT = A. Example: 1 1 1 0 1 1 3 1 0 4 3 4 2 − − − − ⎡ ⎣ ⎢ ⎤ ⎦ ⎥ ⎡ ⎣ ⎢ ⎢ ⎢ ⎤ ⎦ ⎥ ⎥ ⎥ , are symmetric matrices. Note that the elements equidistant from the main diagonal are the same. M01_ENGINEERING_MATHEMATICS-I _CH01_Part B.indd 87 5/30/2016 5:04:35 PM
  • 125.
    1.88 ■ EngineeringMathematics 1.7.7 Properties of Symmetric Matrices 1. Eigen values of a symmetric matrix are real. Proof Let A be a symmetric matrix of order n and l be an eigen value of A. Then there exists X ≠ 0 such that AX = lX (1) Taking complex conjugate, A X X = l ⇒ AX X = l [ ] { A is real A A = (2) Taking transpose, ( ) ( ) AX X T T = l ⇒ ( ) ( ) X A X X A X T T T T T = = l l ⇒ [ ] { A A T = Post multiplying by X, ⇒ ⇒ ⇒ ⇒ ( ( ) ) ) ( ) ( ) ( ) X A)X X) X X (AX (X X X ( X X X X X X X T T T T T T T T = = = = = l l l l l l l l l ∴ is s real [ ] { X X as X T ≠ ≠ 0 0 This is true for all eigen values. ∴ eigen values of a symmetric matrix are real. ■ 2. Eigen vectors corresponding to different eigen values of a symmetric matrix are orthogonal vectors. Proof Let A be a symmetric matrix of order n. ∴ AT = A. Let l1 , l2 be two different eigen values of A. Then l1 , l2 are real, by property (1). ∴ there exist X1 ≠ 0, X2 ≠ 0 such that AX1 = l1 X1 (1) and AX2 = l2 X2 (2) Premultiplying (1) by X2 T , we get X AX X X 2 T 2 T 1 ( ) 1 1 = l ⇒ X AX X X ) T 2 T 1 2 1 1 = l ( (3) Premultiplying (2) by X1 T , we get X (AX ) X X 1 T 2 1 T 2 = l2 ⇒ X AX X X ) 1 T 2 1 T 2 = l2 ( (4) Taking transpose of (3), we get ( ( X AX ) X X ) 2 T 1 T 2 T 1 T = l1 ⇒ X A X X X 1 T T 2 1 T 2 = l1 ⇒ X AX (X X ) 1 T 2 1 T 2 = l1 (5) From (4) and (5) we get, l l 1 2 ( ) ( ) X X X X 1 T 2 1 T 2 = M01_ENGINEERING_MATHEMATICS-I _CH01_Part B.indd 88 5/30/2016 5:04:38 PM
  • 126.
    Matrices ■ 1.89 ⇒( )( ) l l 1 2 0 − = X X 1 T 2 Since l l l l 1 2 1 2 2 0 0 ≠ − ≠ = , , ∴ X X 1 T ⇒ X1 and X2 are orthogonal. ■ Remark: If X1 = (a1 , b1 , c1 ) and X2 = (a2 , b2 , c2 ) be two 3-dimensional vectors, they are orthogonal if their dot product is 0 ⇒ a1 a2 + b1 b2 + c1 c2 = 0 If we treat them as column matrices, X X 1 1 1 1 2 2 2 2 = ⎡ ⎣ ⎢ ⎢ ⎢ ⎤ ⎦ ⎥ ⎥ ⎥ = ⎡ ⎣ ⎢ ⎢ ⎢ ⎤ ⎦ ⎥ ⎥ ⎥ a b c a b c , then the matrix product X X 1 T 2 1 1 1 2 2 2 = ⎡ ⎣ ⎢ ⎢ ⎢ ⎤ ⎦ ⎥ ⎥ ⎥ [ ] a b c a b c = + + a a b b c c 1 2 1 2 1 2 So, X1 and X2 are orthogonal if X X or X X 1 T 2 T 2 1 0 0 = = . Thus, we can treat column matrices as vectors and verify dot product = 0. 2. The unit vector in X1 is X1 2 2 2 a b c 1 1 and it is called a normalised vector. Note For any square matrix eigen vectors corresponding to different eigen values are linearly independent, but for a symmetric matrix, they are orthogonal, pairwise. 1.7.8 Diagonalisation by Orthogonal Transformation or Orthogonal Reduction Definition 1.40 A Square Matrix A is said to be orthogonally diagonalisable if there exists an orthogonal matrix N such that N−1 AN = D ⇒ NT AN = D [{ NT = N−1 ] This transformation which transforms A into D is called an orthogonal transformation. The next theorem gives a method of orthogonal reduction. Theorem 1.7 Let A be a symmetric matrix of order n. Let X1 , X2 , …, Xn be eigen vectors of A which are pairwise orthogonal. Let N be the matrix formed with the normalised eigen vectors of A as columns. Then N is an orthogonal matrix such that N−1 AN = D ⇒ NT AN = D. N is called normalised modal matrix of A or normal modal matrix of A. Working rule for orthogonal reduction of a n 3 n symmetric matrix. Step 1: Find the eigen values l1 , l2 , …, ln Step 2: Find the eigen vectors X1 , X2 , …, Xn which are pairwise orthogonal. Step 3: Form the normalised modal matrix N with the normalised eigen vectors as columns. Step 4: Find NT and AN. Step 5: Compute N AN D T n = = … … … ⎡ ⎣ ⎢ ⎢ ⎢ ⎢ ⎤ ⎦ ⎥ ⎥ ⎥ ⎥ l l l 1 2 0 0 0 0 0 : M01_ENGINEERING_MATHEMATICS-I _CH01_Part B.indd 89 5/30/2016 5:04:40 PM
  • 127.
    1.90 ■ EngineeringMathematics WORKED EXAMPLES EXAMPLE 1 Diagonalise the matrix A = 3 1 1 1 3 1 1 1 3 2 2 ⎡ ⎣ ⎢ ⎢ ⎢ ⎤ ⎦ ⎥ ⎥ ⎥ by means of an orthogonal transformation. Solution. Given A = 3 1 1 1 3 1 1 1 3 − − ⎡ ⎣ ⎢ ⎢ ⎢ ⎤ ⎦ ⎥ ⎥ ⎥ A is a symmetric matrix, since the elements equidistant from the main diagonal are the same. The characteristic equation of A is A I − = l 0 ⇒ 3 1 1 1 3 1 1 1 3 − − − − − l l l = 0 ⇒ l3 – S1 l2 + S2 l – S3 = 0 where S1 = 3 + 3 + 3 = 9 S2 3 1 1 3 3 1 1 3 3 1 1 3 9 1 9 1 9 1 24 = + + = − = − − − + − + ( ) ( ) ( ) S3 3 1 1 1 3 1 1 1 3 3 9 1 1 3 1 1 3 24 4 4 16 = − − = − − + + − − = − − = ( ) ( ) ( ) ∴ The characteristic equation is l3 − 9l2 + 24l − 16 = 0 By trial we find l = 1 is a root. Other roots are given by l2 – 8l + 16 = 0 ⇒ (l − 4)2 = 0 ⇒ l = 4, 4 ∴ the eigen values are l = 1, 4, 4. 1 1 9 24 16 0 1 8 16 1 8 16 0 − − − − To find eigen vectors: Let X = x x x 1 2 3 ⎡ ⎣ ⎢ ⎢ ⎢ ⎤ ⎦ ⎥ ⎥ ⎥ be an eigen vector corresponding to l. Then (A − lI)X = 0 ⇒ 3 1 1 1 3 1 1 1 3 0 0 0 1 2 3 − − − − − ⎡ ⎣ ⎢ ⎢ ⎢ ⎤ ⎦ ⎥ ⎥ ⎥ ⎡ ⎣ ⎢ ⎢ ⎢ ⎤ ⎦ ⎥ ⎥ ⎥ = ⎡ ⎣ ⎢ ⎢ ⎢ ⎤ ⎦ ⎥ ⎥ ⎥ l l l x x x ⇒ ( ) ( ) ( ) 3 0 3 0 3 0 1 2 3 1 2 3 1 2 3 − l l l x x x x x x x x x + + = + − − = − + − = ⎫ ⎬ ⎪ ⎭ ⎪ (I) M01_ENGINEERING_MATHEMATICS-I _CH01_Part B.indd 90 5/30/2016 5:04:42 PM
  • 128.
    Matrices ■ 1.91 Case(i) If l = 1 then equations (I) become 2 0 2 0 2 0 1 2 3 1 2 3 1 2 3 x x x x x x x x x + + = + − = − + = , and Choosing the first two equations, we have ⇒ x x x x x x x x x 1 2 3 1 2 3 1 2 3 1 2 1 2 4 1 3 3 3 1 1 1 − − = + = − − = = ⇒ − = = Choosing x1 = −1, x2 = 1, x3 = 1, we get an eigen vector X1 1 1 1 = − ⎡ ⎣ ⎢ ⎢ ⎢ ⎤ ⎦ ⎥ ⎥ ⎥ Case (ii) If l = 4, then the equations (I) become − + + = ⇒ = − − = − − = x x x x x x x x x x x x 1 2 3 1 2 3 1 2 3 1 2 3 0 0 0 0 − − and We get only one equation x1 – x2 – x3 = 0 (1) To solve for x1 , x2 , x3 , we can assign arbitrary values for two of the variables and we shall find 2 orthogonal vectors. Put x3 = 0, x2 = 1, then x1 = 1, we get an eigen vector X2 1 1 0 = ⎡ ⎣ ⎢ ⎢ ⎢ ⎤ ⎦ ⎥ ⎥ ⎥ . Let X3 = ⎡ ⎣ ⎢ ⎢ ⎢ ⎤ ⎦ ⎥ ⎥ ⎥ a b c be ⊥ to X2 . Then a + b = 0 ⇒ b = −a and X3 should satisfy (1) ∴ a – b – c = 0 Choosing a = 1, we get b = −1 and c = 2, ∴ X3 1 1 2 = − ⎡ ⎣ ⎢ ⎢ ⎢ ⎤ ⎦ ⎥ ⎥ ⎥ Thus, the eigen values are l = 1, 4, 4, and the corresponding eigen vectors are X1 1 1 1 = ⎡ ⎣ ⎢ ⎢ ⎢ ⎤ ⎦ ⎥ ⎥ ⎥ − , X2 1 1 0 = ⎡ ⎣ ⎢ ⎢ ⎢ ⎤ ⎦ ⎥ ⎥ ⎥ , X3 1 1 2 = ⎡ ⎣ ⎢ ⎢ ⎢ ⎤ ⎦ ⎥ ⎥ ⎥ − The normalised eigen vectors are − 1 3 1 3 1 3 ⎡ ⎣ ⎢ ⎢ ⎢ ⎢ ⎢ ⎢ ⎢ ⎤ ⎦ ⎥ ⎥ ⎥ ⎥ ⎥ ⎥ ⎥ , 1 2 1 2 0 ⎡ ⎣ ⎢ ⎢ ⎢ ⎢ ⎢ ⎢ ⎤ ⎦ ⎥ ⎥ ⎥ ⎥ ⎥ ⎥ , 1 6 1 6 2 6 − ⎡ ⎣ ⎢ ⎢ ⎢ ⎢ ⎢ ⎢ ⎢ ⎤ ⎦ ⎥ ⎥ ⎥ ⎥ ⎥ ⎥ ⎥ 1 2 x1 x2 x3 2 1 1 2 1 −1 M01_ENGINEERING_MATHEMATICS-I _CH01_Part B.indd 91 5/30/2016 5:06:57 PM
  • 129.
    1.92 ■ EngineeringMathematics So, the normalised modal matrix N = ⎡ ⎣ ⎢ ⎢ ⎢ ⎢ ⎢ ⎢ ⎢ ⎤ ⎦ ⎥ ⎥ ⎥ ⎥ ⎥ ⎥ ⎥ − − 1 3 1 2 1 6 1 3 1 2 1 6 1 3 0 2 6 ∴ NT = − − ⎡ ⎣ ⎢ ⎢ ⎢ ⎢ ⎢ ⎢ ⎢ ⎤ ⎦ ⎥ ⎥ ⎥ ⎥ ⎥ ⎥ ⎥ 1 3 1 3 1 3 1 2 1 2 0 1 6 1 6 2 6 AN = − − ⎡ ⎣ ⎢ ⎢ ⎢ ⎤ ⎦ ⎥ ⎥ ⎥ − − ⎡ ⎣ ⎢ ⎢ ⎢ ⎢ ⎢ ⎢ ⎢ ⎤ ⎦ ⎥ ⎥ ⎥ ⎥ 3 1 1 1 3 1 1 1 3 1 3 1 2 1 6 1 3 1 2 1 6 1 3 0 2 6 ⎥ ⎥ ⎥ ⎥ = − − ⎡ ⎣ ⎢ ⎢ ⎢ ⎢ ⎢ ⎢ ⎢ ⎤ ⎦ ⎥ ⎥ ⎥ ⎥ ⎥ ⎥ ⎥ 1 3 4 2 4 6 1 3 4 2 4 6 1 3 0 8 6 ∴ N AN T = − − ⎡ ⎣ ⎢ ⎢ ⎢ ⎢ ⎢ ⎢ ⎢ ⎤ ⎦ ⎥ ⎥ ⎥ ⎥ ⎥ ⎥ ⎥ − − 1 3 1 3 1 3 1 2 1 2 0 1 6 1 6 2 6 1 3 4 2 4 6 1 3 4 2 4 6 1 3 0 0 8 6 ⎡ ⎣ ⎢ ⎢ ⎢ ⎢ ⎢ ⎢ ⎢ ⎤ ⎦ ⎥ ⎥ ⎥ ⎥ ⎥ ⎥ ⎥ = ⎡ ⎣ ⎢ ⎢ ⎢ ⎤ ⎦ ⎥ ⎥ ⎥ 1 0 0 0 4 0 0 0 4 , which is a diagonal matrix. EXAMPLE 2 The eigen vectors of a 3 3 3 real symmetric matrix A corresponding to the eigen values 2, 3, 6 are [1, 0, 21]T , [1, 1, 1]T , [21, 2, 21]T respectively, find the matrix A. Solution. Given A is symmetric and the eigen values are different. So, the eigen vectors are orthogonal pairwise. The normalised eigen vectors are 1 2 0 1 2 − ⎡ ⎣ ⎢ ⎢ ⎢ ⎢ ⎢ ⎢ ⎤ ⎦ ⎥ ⎥ ⎥ ⎥ ⎥ ⎥ , 1 3 1 3 1 3 ⎡ ⎣ ⎢ ⎢ ⎢ ⎢ ⎢ ⎢ ⎢ ⎤ ⎦ ⎥ ⎥ ⎥ ⎥ ⎥ ⎥ ⎥ , − − ⎡ ⎣ ⎢ ⎢ ⎢ ⎢ ⎢ ⎢ ⎢ ⎤ ⎦ ⎥ ⎥ ⎥ ⎥ ⎥ ⎥ ⎥ 1 6 2 6 1 6 M01_ENGINEERING_MATHEMATICS-I _CH01_Part B.indd 92 5/30/2016 5:06:59 PM
  • 130.
    Matrices ■ 1.93 So,the normalised modal matrix is N = − − − ⎡ ⎣ ⎢ ⎢ ⎢ ⎢ ⎢ ⎢ ⎢ ⎤ ⎦ ⎥ ⎥ ⎥ ⎥ ⎥ ⎥ ⎥ 1 2 1 3 1 6 0 1 3 2 6 1 2 1 3 1 6 Then by orthogonal reduction theorem 1.7, page 1.89 N AN D T = = ⎡ ⎣ ⎢ ⎢ ⎢ ⎤ ⎦ ⎥ ⎥ ⎥ 2 0 0 0 3 0 0 0 6 , since 2, 3, 6 are the eigen values. But NT = N−1 ∴ N−1 AN = D ⇒ A = ND N−1 = NDNT ⇒ A = − − − ⎡ ⎣ ⎢ ⎢ ⎢ ⎢ ⎢ ⎢ ⎢ ⎤ ⎦ ⎥ ⎥ ⎥ ⎥ ⎥ ⎥ ⎥ 1 2 1 3 1 6 0 1 3 2 6 1 2 1 3 1 6 2 0 0 0 3 0 0 0 6 ⎡ ⎣ ⎢ ⎢ ⎢ ⎢ ⎢ ⎢ ⎤ ⎦ ⎥ ⎥ ⎥ ⎥ ⎥ ⎥ 1 2 0 1 2 1 3 1 3 1 3 1 6 2 6 1 6 − − − ⎡ ⎣ ⎢ ⎢ ⎢ ⎢ ⎢ ⎢ ⎢ ⎤ ⎦ ⎥ ⎥ ⎥ ⎥ ⎥ ⎥ ⎥ = − − − ⎡ ⎣ ⎢ ⎢ ⎢ ⎢ ⎢ ⎢ ⎢ ⎤ ⎦ ⎥ ⎥ ⎥ ⎥ ⎥ ⎥ ⎥ 2 3 6 0 3 2 6 2 3 6 1 2 0 1 2 1 3 1 3 1 3 1 6 2 6 1 6 − − − ⎡ ⎣ ⎢ ⎢ ⎢ ⎢ ⎢ ⎢ ⎢ ⎤ ⎦ ⎥ ⎥ ⎥ ⎥ ⎥ ⎥ ⎥ = − − − − ⎡ ⎣ ⎢ ⎢ ⎢ ⎤ ⎦ ⎥ ⎥ ⎥ 3 1 1 1 5 1 1 1 3 , which is the required matrix. EXAMPLE 3 Diagonalise the matrix A = 2 0 1 0 3 0 1 0 2 ⎡ ⎣ ⎢ ⎢ ⎢ ⎤ ⎦ ⎥ ⎥ ⎥ . Hence, find A3 . Solution. Given A = ⎡ ⎣ ⎢ ⎢ ⎢ ⎤ ⎦ ⎥ ⎥ ⎥ 2 0 1 0 3 0 1 0 2 which is a symmetric matrix. So, we shall diagonalise by orthogonal transformation. M01_ENGINEERING_MATHEMATICS-I _CH01_Part B.indd 93 5/30/2016 5:07:00 PM
  • 131.
    1.94 ■ EngineeringMathematics The characteristic equation of A is A I − = l 0 ⇒ 2 0 1 0 3 0 1 0 2 0 0 3 1 2 2 3 − − − = ⇒ − + − = l l l l l l S S S where S1 = 2 + 3 + 2 = 7 S S A 2 3 3 0 0 2 2 1 1 2 2 0 0 3 6 3 6 15 2 6 0 1 3 12 3 9 = + + = + + = = = − + − = − = ( ) ( ) ∴ the characteristic equation is l l l 3 2 7 15 9 0 − + − = By trial l = 1 is a root. Other roots are given by l l 2 6 9 0 − + = ⇒ ( ) , l l − = ⇒ = 3 0 3 3 2 1 1 7 15 9 0 1 6 9 1 6 9 0 − − − − ∴ the eigen values are l = 1, 3, 3 To find eigen vectors: Let X = ⎡ ⎣ ⎢ ⎢ ⎢ ⎤ ⎦ ⎥ ⎥ ⎥ x x x 1 2 3 be an eigen vector corresponding to eigen value l. Then ( ) A I X − = ⇒ − − − ⎡ ⎣ ⎢ ⎢ ⎢ ⎤ ⎦ ⎥ ⎥ ⎥ ⎡ ⎣ ⎢ ⎢ ⎢ ⎤ ⎦ ⎥ ⎥ ⎥ = ⎡ ⎣ ⎢ l l l l 0 2 0 1 0 3 0 1 0 2 0 0 0 1 2 3 x x x ⎢ ⎢ ⎢ ⎤ ⎦ ⎥ ⎥ ⎥ ⇒ ( ) ( ) ( ) 2 0 0 0 3 0 0 0 2 0 1 2 3 1 2 3 1 2 3 − + + = + − + = + + − = ⎫ ⎬ ⎪ ⎭ ⎪ l l l x x x x x x x x x (I) Case (i) If l = 1, then equations (I) become x1 + x3 = 0 ⇒ x3 = −x1 , 2x2 = 0 ⇒ x2 = 0 and x1 + x3 = 0 ⇒ x3 = −x1 Choose x1 = 1. ∴ x3 = −1 ∴ an eigen vector is X1 1 0 1 = − ⎡ ⎣ ⎢ ⎢ ⎢ ⎤ ⎦ ⎥ ⎥ ⎥ Case (ii) If l = 3, then equations (I) become − + = = − = ⇒ = x x x x x x x 1 3 2 1 3 1 3 0 0 0 0 , and (2) and x2 can take any value Choosing x1 = 1, we get x3 = 1 and choose x2 = 0 ∴ an eigen vector is X2 1 0 1 = ⎡ ⎣ ⎢ ⎢ ⎢ ⎤ ⎦ ⎥ ⎥ ⎥ M01_ENGINEERING_MATHEMATICS-I _CH01_Part B.indd 94 5/30/2016 5:07:03 PM
  • 132.
    Matrices ■ 1.95 Weshall now choose X3 = ⎡ ⎣ ⎢ ⎢ ⎢ ⎤ ⎦ ⎥ ⎥ ⎥ a b c orthogonal to X2 ∴ dot product = 0 ⇒ a + c = 0 and X3 should satisfy equations (2) ∴ a – c = 0 and 0b = 0 Solving, we get a = c = 0 and choose b = 1 ∴ X3 0 1 0 = ⎡ ⎣ ⎢ ⎢ ⎢ ⎤ ⎦ ⎥ ⎥ ⎥ Thus, the eigen values are 1, 3, 3 and the corresponding eigen vectors are 1 0 1 − ⎡ ⎣ ⎢ ⎢ ⎢ ⎤ ⎦ ⎥ ⎥ ⎥ , 1 0 1 ⎡ ⎣ ⎢ ⎢ ⎢ ⎤ ⎦ ⎥ ⎥ ⎥ , 0 1 0 ⎡ ⎣ ⎢ ⎢ ⎢ ⎤ ⎦ ⎥ ⎥ ⎥ Clearly they are pairwise orthogonal vectors. The normalised eigen vectors are 1 2 0 1 2 − ⎡ ⎣ ⎢ ⎢ ⎢ ⎢ ⎢ ⎢ ⎤ ⎦ ⎥ ⎥ ⎥ ⎥ ⎥ ⎥ , 1 2 0 1 2 ⎡ ⎣ ⎢ ⎢ ⎢ ⎢ ⎢ ⎢ ⎤ ⎦ ⎥ ⎥ ⎥ ⎥ ⎥ ⎥ , 0 1 0 ⎡ ⎣ ⎢ ⎢ ⎢ ⎤ ⎦ ⎥ ⎥ ⎥ ∴ the normalised modal matrix N = − ⎡ ⎣ ⎢ ⎢ ⎢ ⎢ ⎢ ⎢ ⎤ ⎦ ⎥ ⎥ ⎥ ⎥ ⎥ ⎥ 1 2 1 2 0 0 0 1 1 2 1 2 0 ∴ NT = − ⎡ ⎣ ⎢ ⎢ ⎢ ⎢ ⎢ ⎢ ⎤ ⎦ ⎥ ⎥ ⎥ ⎥ ⎥ ⎥ 1 2 0 1 2 1 2 0 1 2 0 1 0 AN = ⎡ ⎣ ⎢ ⎢ ⎢ ⎤ ⎦ ⎥ ⎥ ⎥ − ⎡ ⎣ ⎢ ⎢ ⎢ ⎢ ⎢ ⎢ ⎤ ⎦ ⎥ ⎥ ⎥ ⎥ ⎥ ⎥ = 2 0 1 0 3 0 1 0 2 1 2 1 2 0 0 0 1 1 2 1 2 0 1 2 3 2 0 0 0 0 3 1 2 3 2 0 − ⎡ ⎣ ⎢ ⎢ ⎢ ⎢ ⎢ ⎢ ⎤ ⎦ ⎥ ⎥ ⎥ ⎥ ⎥ ⎥ ∴ N AN T = − ⎡ ⎣ ⎢ ⎢ ⎢ ⎢ ⎢ ⎢ ⎤ ⎦ ⎥ ⎥ ⎥ ⎥ ⎥ ⎥ − ⎡ ⎣ ⎢ ⎢ ⎢ ⎢ ⎢ ⎢ ⎤ 1 2 0 1 2 1 2 0 1 2 0 1 0 1 2 3 2 0 0 0 3 1 2 3 2 0 ⎦ ⎦ ⎥ ⎥ ⎥ ⎥ ⎥ ⎥ = ⎡ ⎣ ⎢ ⎢ ⎢ ⎤ ⎦ ⎥ ⎥ ⎥ = 1 0 0 0 3 0 0 0 3 D ∴ N−1 AN = D ⇒ A = ND N−1 ∴ A3 = ND3 N−1 = ND3 NT [ ∴ NT = N−1 ] M01_ENGINEERING_MATHEMATICS-I _CH01_Part B.indd 95 5/30/2016 5:07:05 PM
  • 133.
    1.96 ■ EngineeringMathematics ⇒ A3 1 2 1 2 0 0 0 1 1 2 1 2 0 1 0 0 0 27 0 0 0 27 = − ⎡ ⎣ ⎢ ⎢ ⎢ ⎢ ⎢ ⎢ ⎤ ⎦ ⎥ ⎥ ⎥ ⎥ ⎥ ⎥ ⎡ ⎣ ⎢ ⎢ ⎢ ⎢ ⎢ ⎢ ⎤ ⎦ ⎥ ⎥ ⎥ ⎥ ⎥ ⎥ ⎥ − ⎡ ⎣ ⎢ ⎢ ⎢ ⎢ ⎢ ⎢ ⎤ ⎦ ⎥ ⎥ ⎥ ⎥ ⎥ ⎥ = − ⎡ ⎣ ⎢ ⎢ ⎢ ⎢ ⎢ ⎢ ⎤ ⎦ 1 2 0 1 2 1 2 0 1 2 0 1 0 1 2 1 2 0 0 0 1 1 2 1 2 0 ⎥ ⎥ ⎥ ⎥ ⎥ ⎥ ⎥ − ⎡ ⎣ ⎢ ⎢ ⎢ ⎢ ⎢ ⎢ ⎤ ⎦ ⎥ ⎥ ⎥ ⎥ ⎥ ⎥ = ⎡ ⎣ ⎢ 1 2 0 1 2 27 2 0 27 2 0 27 0 14 0 13 0 27 0 13 0 14 ⎢ ⎢ ⎢ ⎢ ⎢ ⎢ ⎤ ⎦ ⎥ ⎥ ⎥ ⎥ ⎥ ⎥ 1.8 REAL QUADRATIC FORM. REDUCTION TO CANONICAL FORM Definition 1.41 A homogeneous polynomial of second degree in any number of variables is called a quadratic form. For example (i) x xy y 2 2 4 4 + + (ii) ax by cz hxy gyz fzx 2 2 2 2 2 2 + + + + + (iii) x x x x 1 2 2 2 3 2 4 2 3 + + + are quadratic forms in 2, 3 and 4 variables respectively. Definition 1.42 The general quadratic form in n variables x1 , x2 , …, xn is a x x ij i j i n j n = = ∑ ∑ 1 1 , where aij are real numbers such that aij = aji for all i, j = 1, 2, 3, …, n. Usually the quadratic form is denoted by Q and Q 1 1 = = = ∑ ∑ a x x ij i j i n j n . 1. Matrix form of Q If X n = ⎡ ⎣ ⎢ ⎢ ⎢ ⎢ ⎤ ⎦ ⎥ ⎥ ⎥ ⎥ x x x 1 2 … , A n 2n n1 n2 nn = ⎡ ⎣ ⎢ ⎢ ⎢ ⎢ ⎤ ⎦ ⎥ ⎥ ⎥ ⎥ a a a a a a a a a 11 12 1 21 22 … … … … … … … , where aij = aji , then A is a symmetric matrix and the quadratic form Q = = = ∑ ∑ a x ij ij i n j n 1 1 can be written as Q = XT AX. A is called the matrix of the quadratic form. For example the quadratic form x2 + 4xy + 4y2 can be written in the matrix form [ ] . x y x y 1 2 2 4 ⎡ ⎣ ⎢ ⎤ ⎦ ⎥ ⎡ ⎣ ⎢ ⎤ ⎦ ⎥ Here X = ⎡ ⎣ ⎢ ⎤ ⎦ ⎥ x y and A = ⎡ ⎣ ⎢ ⎤ ⎦ ⎥ 1 2 2 4 . M01_ENGINEERING_MATHEMATICS-I _CH01_Part B.indd 96 5/30/2016 5:07:07 PM
  • 134.
    Matrices ■ 1.97 NoteSince the quadratic form is Q = XT AX, it is obvious that the characteristics or properties of Q depend on the characteristics of A. 2. Canonical form of Q Definition 1.43 A quadratic form Q which contains only the square terms of the variables is said to be in canonical form. For example x2 + y2 , x2 – y2 , x2 + y2 – 4z2 and x x x x 1 2 2 2 3 2 4 2 2 + + + are in canonical forms because they contain only square terms of the variables. 3. Reduction of Q to canonical form by orthogonal transformation Let Q = XT AX be a quadratic form in n variables x1 , x2 , …, xn and A = [aij ] be the symmetric matrix of order n of the quadratic form. We will reduce A to diagonal form by an orthogonal transformation X = NY, where N is the normalised modal matrix of A. Then NT AN = D, where D is the diagonal matrix containing the eigen values of A. If l1 , l2 , …, ln are the eigen values of A, then D n = … … … … … … … … ⎡ ⎣ ⎢ ⎢ ⎢ ⎢ ⎤ ⎦ ⎥ ⎥ ⎥ ⎥ l l l 1 2 0 0 0 0 0 0 0 0 0 ∴ Q X AX (NY) A(NY) Y (N AN)Y Y DY T T T T T = = = = If Y = y y y 1 2 … n ⎡ ⎣ ⎢ ⎢ ⎢ ⎢ ⎤ ⎦ ⎥ ⎥ ⎥ ⎥ , then Q n n n = ⎡ ⎣ ⎢ ⎢ ⎢ ⎢ ⎤ ⎦ ⎥ ⎥ ⎥ ⎥ ⎡ ⎣ ⎢ ⎢ ⎢ ⎢ ⎤ ⎦ ⎥ [ ] y y y y y y 1 2 1 2 1 2 0 0 0 0 0 0 … … … … … … … … … l l l ⎥ ⎥ ⎥ ⎥ = … … = … [ ] l l l l l l 1 1 2 2 1 2 1 1 2 2 2 2 2 y y y y y y y y y n n n n n ⎡ ⎣ ⎢ ⎢ ⎢ ⎢ ⎤ ⎦ ⎥ ⎥ ⎥ ⎥ + + + This is the required quadratic form. Note In the canonical form the coefficients are the eigen values of A. Since A is a symmetric matrix, the eigen values of A are all real. So, the eigen values may be positive, negative or zero. Hence, the terms of the canonical form may be positive, negative or zero. By using the canonical form or the eigen values, we can characterise the quadratic form. Definition 1.44 If A is the matrix of the quadratic form Q in the variables x1 , x2 , …, xn , then the rank of Q is equal to the rank of A. If rank of A n, where n is the number of variables or order of A, then A = 0 and Q is called a singular form. M01_ENGINEERING_MATHEMATICS-I _CH01_Part B.indd 97 5/30/2016 5:07:09 PM
  • 135.
    1.98 ■ EngineeringMathematics 4. Index, signature and rank of quadratic form Definition 1.45 Let Q = XT AX be a quadratic form in n variables x1 , x2 , …, xn . X = [x1 , x2 , …, xn ]T and A is the matrix of the quadratic form. (i) Index of the quadratic form is the number of positive eigen values of A. (ii) Signature of the quadratic form is the difference between the number of positive and negative eigen values of A. (iii) Rank of the quadratic form is the number of positive and negative eigen values of A. Usually index is denoted by p, signature by s and rank by r. 5. Definite and indefinite quadratic forms Definition 1.46 Let Q = XT AX be a quadratic form in n variables x1 , x2 , …, xw . i.e., X = [x1 … xn ]T and A is the matrix of the quadratic form. (i) Q is said to be positive definite if all the n eigen values of A are positive. i.e., if r = n and p = n e.g., y y y 1 2 2 2 2 + + + … n is positive definite. (ii) Q is said to be negative definite if all the n eigen values of A are negative. i.e., if r = n, p = 0 e.g., − − − − y y y 1 2 2 2 2 … n is negative definite. (iii) Q is said to be positive semidefinite if all the n eigen values ofA are ≥ 0 with at least one eigen value = 0. i.e., if r n and p = r e.g., y y y 1 2 2 2 2 + + + … r , where r n, is positive semi-definite. (iv) Q is said to be negative semidefinite if all the n eigen values of A are ≤ 0 with at least one value = 0. i.e., if r n and p = 0 e.g., − − − − y y y 1 2 2 2 2 … r , where r n, is negative semi definite. (v) Q is said to be indefinite if A has positive and negative eigen values. e.g., y y y y y 1 2 2 2 3 2 4 2 2 + − − + + … n is indefinite. 6. We can also find the nature of a quadratic form without finding the eigen values of A or without reducing to canonical form but by using the principal minors of A as below. Definition 1.47 Let Q = XT AX be a quadratic form in n variables x1 , x2 , …, xn and let the matrix of the quadratic form be A n 2n n1 n2 nn = ⎡ ⎣ ⎢ ⎢ ⎢ ⎢ ⎤ ⎦ ⎥ ⎥ ⎥ ⎥ a a a a a a a a a 11 12 1 21 22 … … … … … … … Let D1 = a11 = a11 , D2 = a a a a 11 12 21 22 , D3 = a a a a a a a a a 11 12 13 21 22 23 31 32 33 and so on. Finally Dn = A . M01_ENGINEERING_MATHEMATICS-I _CH01_Part B.indd 98 5/30/2016 5:07:10 PM
  • 136.
    Matrices ■ 1.99 Thedeterminants D1 , D2 , D3 , …, Dn are called the principal minors of A. The quadratic form Q is said to be (i) positive definite if Di 0 for all i = 1, 2, …, n (ii) negative definite if (−1)i Di 0 for all i = 1, 2, …, n i.e., D1 , D3 , D5 , … are negative and D2 , D4 , D6 … are positive. (iii) positive semi-definite if Di ≥ 0 for all i = 1, 2, 3, …, n and at least one Di = 0. (iv) negative semi-definite if (−1)i Di ≥ 0 for all i = 1, 2, 3, …, n and at least one Di = 0. (v) indefinite in all other cases. 7. Law of intertia of a quadratic form In the reduction of a quadratic form to canonical form the number of positive and negative terms are independent of the choice of the transformation. In other words, the signature of a real quadratic form is invariant under a real non-singular transformation. This property is called the law of inertia of the quadratic form. WORKED EXAMPLES EXAMPLE 1 Write down the matrix of the quadratic form 2 2 4 2 6 6 . 1 2 2 2 3 2 1 2 1 3 2 3 x x x x x x x x x 2 1 1 2 1 Solution. The Q.F is 2 2 4 2 6 6 1 2 2 2 3 2 1 2 1 3 2 3 x x x x x x x x x − + + − + It has 3 variables x1 , x2 , x3 . So, the matrix of the quadratic form is a 3 × 3 symmetric matrix. A = ⎡ ⎣ ⎢ ⎢ ⎢ ⎤ ⎦ ⎥ ⎥ ⎥ a a a a a a a a a 11 12 13 21 22 23 31 32 33 Here a11 = coefficient of x1 2 2 = a12 = a21 = 1 2 (coefficient of x1 x2 ) = = 1 2 2 1 ( ) a22 = coefficient of x2 2 2 = − a13 = a31 = 1 2 (coefficient of x1 x3 ) = − = − 1 2 6 3 ( ) a33 = coefficient of x3 2 4 = a23 = a32 = 1 2 (coefficient of x2 x3 ) = = 1 2 6 3 ( ) ∴ A = − − − ⎡ ⎣ ⎢ ⎢ ⎢ ⎤ ⎦ ⎥ ⎥ ⎥ 2 1 3 1 2 3 3 3 4 M01_ENGINEERING_MATHEMATICS-I _CH01_Part B.indd 99 5/30/2016 5:07:13 PM
  • 137.
    1.100 ■ EngineeringMathematics EXAMPLE 2 Write down the quadratic form corresponding to the matrix 2 4 5 4 3 1 5 1 1 . ⎡ ⎣ ⎢ ⎢ ⎢ ⎤ ⎦ ⎥ ⎥ ⎥ Solution. Let A = ⎡ ⎣ ⎢ ⎢ ⎢ ⎤ ⎦ ⎥ ⎥ ⎥ 2 4 5 4 3 1 5 1 1 , which is a 3 × 3 symmetric matrix. So, the quadratic form has 3 variables x1 , x2 , x3 . Let X = ⎡ ⎣ ⎢ ⎢ ⎢ ⎤ ⎦ ⎥ ⎥ ⎥ x x x 1 2 3 , then the quadratic form is Q X AX T = = ⎡ ⎣ ⎢ ⎢ ⎢ ⎤ ⎦ ⎥ ⎥ ⎥ ⎡ ⎣ ⎢ ⎢ ⎢ ⎤ ⎦ ⎥ ⎥ ⎥ [ ] x x x x x x 1 2 3 1 2 3 2 4 5 4 3 1 5 1 1 = + + + + + + ⎡ ⎣ ⎢ ⎢ ⎤ ⎦ ⎥ ⎥ = + + [ ] ( 2 4 5 4 3 5 2 4 5 1 2 3 1 2 3 1 2 3 1 2 3 1 2 x x x x x x x x x x x x x x x x x x x x x x x x x x x x x x x x 3 1 1 2 3 2 1 2 3 3 1 2 1 2 3 1 1 2 4 3 5 2 4 5 4 ) ( ) ( ) + + + + + + = + + + + + + + + + = + + + + + 3 5 2 3 8 10 2 2 2 3 2 1 3 2 3 3 2 1 2 2 2 3 2 1 2 1 3 2 x x x x x x x x x x x x x x x x x3 3 Aliter Given A = ⎡ ⎣ ⎢ ⎢ ⎢ ⎤ ⎦ ⎥ ⎥ ⎥ = ⎡ ⎣ ⎢ ⎢ ⎢ ⎤ ⎦ ⎥ ⎥ a a a a a a a a a 11 12 13 21 22 23 31 32 33 2 4 5 4 3 1 5 1 1⎥ ⎥ Then the quadratic form in 3 variables x1 , x2 , x3 is Q X AX T = = + + + + + a x a x a x a x x a x x a x 11 1 2 22 2 2 33 3 2 12 1 2 13 1 3 23 2 2 2 2 ( ) ( ) ( ) x x x x x x x x x x x x x x 3 1 2 2 2 3 2 1 2 1 3 2 3 1 2 2 2 3 2 2 3 2 4 2 5 2 1 2 3 = + + + + + = + + ( ) ( ) ( ) + + + + 8 10 2 1 2 1 3 2 3 x x x x x x EXAMPLE 3 Discuss the nature of the following quadratic forms. (i) 6x2 + 3y2 + 3z2 – 4xy 2 2yz + 4zx (ii) 6 3 14 4 18 4 1 2 2 2 3 2 2 3 1 3 1 2 x x x x x x x x x 1 1 1 1 1 (iii) xy + yz + zx (iv) 10x2 + 2y2 + 5z2 + 6yz 2 10zx 2 4xy. Solution. (i) The Q.F is 6x2 + 3y2 + 3z2 – 4xy − 2yz + 4zx, having 3 variables x, y, z. M01_ENGINEERING_MATHEMATICS-I _CH01_Part B.indd 100 5/30/2016 5:07:14 PM
  • 138.
    Matrices ■ 1.101 Thematrix of the quadratic form is A = − − − − ⎡ ⎣ ⎢ ⎢ ⎢ ⎤ ⎦ ⎥ ⎥ ⎥ 6 2 2 2 3 1 2 1 3 . The principal minors are D1 = |6| = 6 0; D2 6 2 2 3 18 4 14 0 = − − = − = D A 3 6 2 2 2 3 1 2 1 3 6 9 1 2 6 2 2 2 6 48 8 8 32 0 = = − − − − = − + − + + − = − − = ( ) ( ) ( ) Since D1 , D2 , D3 are positive, the quadratic form is positive definite. (ii) The quadratic form is 6 3 14 4 18 4 1 2 2 2 3 2 2 3 1 3 1 2 x x x x x x x x x + + + + + , having 3 variables x1 , x2 , x3 . The matrix of the Q.F is A = 6 2 9 2 3 2 9 2 14 ⎡ ⎣ ⎢ ⎢ ⎢ ⎤ ⎦ ⎥ ⎥ ⎥ . The principal minors are D1 = 6 0; D2 6 2 2 3 = = 18 − 4 = 14 0 and D A 3 6 2 9 2 3 2 9 2 14 = = = 6(42 − 4) – 2(28 − 18) + 9(4 − 27) = 6(38) – 20 + 9(−23) = 228 – 20 – 207 = 1 0 Since D1 , D2 , D3 are positive, the quadratic form is positive definite. (iii) The quadratic form is xy + yz + zx in 3 variables x, y, z The matrix of the quadratic form is A = ⎡ ⎣ ⎢ ⎢ ⎢ ⎢ ⎢ ⎢ ⎢ ⎤ ⎦ ⎥ ⎥ ⎥ ⎥ ⎥ ⎥ ⎥ 0 1 2 1 2 1 2 0 1 2 1 2 1 2 0 The principal minors are D1 = 0, D2 = 0 1 2 1 2 0 = − 1 4 0 and D3 0 1 2 1 2 1 2 0 1 2 1 2 1 2 0 = = = − − + − [ ]= × = 1 8 0 1 1 1 0 1 1 1 0 1 8 0 1 0 1 1 0 1 8 2 1 4 0 ( ) ( ) M01_ENGINEERING_MATHEMATICS-I _CH01_Part B.indd 101 5/30/2016 5:07:16 PM
  • 139.
    1.102 ■ EngineeringMathematics Since D1 = 0, D2 0, D3 0, the quadratic form is indefinite. (iv) The Q.F 10 2 5 6 10 4 2 2 2 x y z yz zx xy + + + − − is in three variables x, y, z. The matrix of the quadratic form A = − − − − ⎡ ⎣ ⎢ ⎢ ⎢ ⎤ ⎦ ⎥ ⎥ ⎥ 10 2 5 2 2 3 5 3 5 The principal minors are D1 = 10 0, D2 10 2 2 2 = − − = 20 − 4 = 16 0 D3 10 2 5 2 2 3 5 3 5 = − − − − = 10(10 − 9) + 2 (−10 + 15) – 5(−6 + 10) = 10 +10 – 20 = 0 Since D1 0, D2 0 and D3 = 0, the quadratic form is positive semi-definite. EXAMPLE 4 Determine l so that l(x2 1 y2 1 z2 ) 1 2xy 2 2yz 1 2zx is positive definite. Solution. The matrix of the quadratic form is A = − − ⎡ ⎣ ⎢ ⎢ ⎢ ⎤ ⎦ ⎥ ⎥ ⎥ l l l 1 1 1 1 1 1 The principal minors are D1 = l, D2 2 1 1 1 = = − l l l ; D A 3 2 1 1 1 1 1 1 1 = = − − + + − − = + + − − = l l l l l l l ( ) ( ) ( ) ( )( ( ) ) (l l l l l l + − − = + − 1 2 1 2 2 2 )( ( ) ( ) Given the quadratic form is positive definite. ∴ D1 0, D2 0 and D3 0 ⇒ l 0, l2 – 1 0 ⇒ (l + 1)(l − 1) 0 ⇒ l 1 ( ∴ l 0) and (l + 1)2 (l − 2) 0 ⇒ l − 2 0 ⇒ l 2 [∴ (l + 1)2 0] ∴ the common values of l are l 2 EXAMPLE 5 Show that the quadratic form ax bx x cx 1 2 1 2 2 2 2 1 2 is positive definite if a . 0 and ac 2 b2 . 0. Solution. The matrix of the quadratic form is A = − − ⎡ ⎣ ⎢ ⎤ ⎦ ⎥ a b b c The principal minors are D1 = a, D A 2 2 = = = a b b c ac b − − − . Given a 0 and ac – b2 0. ∴ D1 0 and D2 0. Hence, the Q.F is positive definite. M01_ENGINEERING_MATHEMATICS-I _CH01_Part B.indd 102 5/30/2016 5:07:18 PM
  • 140.
    Matrices ■ 1.103 EXAMPLE6 Reduce 6 3 3 4 2 4 2 2 2 x y z xy yz xz 1 1 2 2 1 into a canonical form by an orthogonal reduction and find the rank, signature, index and the nature of the quadratic form. Solution. Given quadratic form is 6 3 3 4 2 4 2 2 2 x y z xy yz xz + + − − + The matrix of the Q.F is A = − − − − ⎡ ⎣ ⎢ ⎢ ⎢ ⎤ ⎦ ⎥ ⎥ ⎥ 6 2 2 2 3 1 2 1 3 The characteristic equation is A I − = l 0 ⇒ 6 2 2 2 3 1 2 1 3 0 − − − − − − − = l l l ⇒ l l l 3 1 2 2 3 0 − + − = S S S where S1 = 6 + 3 + 3 = 12 S2 3 1 1 3 6 2 2 3 6 2 2 3 8 14 14 36 = − − + + − − = + + = S A 3 6 9 1 2 6 2 2 2 6 48 8 8 32 = = − + − + + − = − − = ( ) ( ) ( ) ∴ the characteristic equation is l l l 3 2 12 36 32 0 − + − = By trial, l = 2 is a root. Other roots are given by l2 − 10l + 16 = 0 ⇒ (l − 2)(l − 8) = 0 ⇒ l = 2, 8 2 1 12 36 32 0 2 20 32 1 10 16 0 − − − − ∴ the eigen values are l = 2, 2, 8 To find eigen vectors: Let X = ⎡ ⎣ ⎢ ⎢ ⎢ ⎤ ⎦ ⎥ ⎥ ⎥ x x x 1 2 3 be an eigen vector corresponding to eigen value l. Then ( ) A I X − = ⇒ − − − − − − − ⎡ ⎣ ⎢ ⎢ ⎢ ⎤ ⎦ ⎥ ⎥ ⎥ ⎡ ⎣ ⎢ ⎢ ⎢ ⎤ ⎦ ⎥ ⎥ ⎥ = l l l l 0 6 2 2 2 3 1 2 1 3 0 0 1 2 3 x x x 0 0 ⎡ ⎣ ⎢ ⎢ ⎢ ⎤ ⎦ ⎥ ⎥ ⎥ ⇒ ( ) ( ) ( ) 6 2 2 0 2 3 0 2 3 0 1 2 3 1 2 3 1 2 3 − − + = − + − − = − + − = ⎫ ⎬ ⎪ ⎭ ⎪ l l l x x x x x x x x x (I) Case (i) If l = 8, then equations (I) become − − + = ⇒ + − = 2 2 2 0 0 1 2 3 1 2 3 x x x x x x M01_ENGINEERING_MATHEMATICS-I _CH01_Part B.indd 103 5/30/2016 5:07:21 PM
  • 141.
    1.104 ■ EngineeringMathematics − − − = ⇒ + + = − − = 2 5 0 2 5 0 2 5 0 1 2 3 1 2 3 1 2 3 x x x x x x x x x From the first two equations we get ⇒ ⇒ x x x x x x x x x 1 2 3 1 2 3 1 2 3 1 5 2 1 5 2 6 3 3 2 1 1 + = − − = − = − = = − = Choosing x1 = 2, x2 = −1, x3 = 1, we get an eigen vector X1 2 1 1 = − ⎡ ⎣ ⎢ ⎢ ⎢ ⎤ ⎦ ⎥ ⎥ ⎥ Case (ii) If l = 2, then equations (I) become 4 2 2 0 2 0 2 0 2 0 2 1 2 3 1 2 3 1 2 3 1 2 3 1 2 3 x x x x x x x x x x x x x x x − + = ⇒ − + = − + − = ⇒ − + = − + = = 0 So, we get only one equation 2x1 − x2 + x3 = 0 (1) Choosing x3 = 0, we get 2x1 – 2x2 = 0 ⇒ x2 = 2x1 Choosing x1 = 1, we get x2 = 2 and x3 = 0 ∴ an eigen vector is X2 1 2 0 = ⎡ ⎣ ⎢ ⎢ ⎢ ⎤ ⎦ ⎥ ⎥ ⎥ We shall find another eigen vector X3 = ⎡ ⎣ ⎢ ⎢ ⎢ ⎤ ⎦ ⎥ ⎥ ⎥ a b c orthogonal to X2 ∴ a + 2b = 0 ⇒ a = −2b Also X3 satisfies (1) ∴ 2a – b + c = 0 ⇒ −4b – b + c = 0 ⇒ c = 5b Choosing b = 1, we get c = 5 and a = −2 and eigen vector X3 2 1 5 = − ⎡ ⎣ ⎢ ⎢ ⎢ ⎤ ⎦ ⎥ ⎥ ⎥ Thus, the eigen values are 8, 2, 2 and the corresponding eigen vectors are X X X 1 2 3 2 1 1 1 2 0 2 1 5 = − ⎡ ⎣ ⎢ ⎢ ⎢ ⎤ ⎦ ⎥ ⎥ ⎥ = ⎡ ⎣ ⎢ ⎢ ⎢ ⎤ ⎦ ⎥ ⎥ ⎥ = − ⎡ ⎣ ⎢ ⎢ ⎢ ⎤ ⎦ ⎥ ⎥ ⎥ , , Clearly X3 is orthogonal to X1 and X2 . Also X1 , X2 are orthogonal. The normalised eigen vectors are 2 6 1 6 1 6 1 5 2 5 0 2 30 1 30 5 − ⎡ ⎣ ⎢ ⎢ ⎢ ⎢ ⎢ ⎢ ⎢ ⎤ ⎦ ⎥ ⎥ ⎥ ⎥ ⎥ ⎥ ⎥ ⎡ ⎣ ⎢ ⎢ ⎢ ⎢ ⎢ ⎢ ⎢ ⎤ ⎦ ⎥ ⎥ ⎥ ⎥ ⎥ ⎥ ⎥ − , , 3 30 ⎡ ⎣ ⎢ ⎢ ⎢ ⎢ ⎢ ⎢ ⎢ ⎤ ⎦ ⎥ ⎥ ⎥ ⎥ ⎥ ⎥ ⎥ 1 5 x1 x2 x3 1 1 2 5 −1 1 M01_ENGINEERING_MATHEMATICS-I _CH01_Part B.indd 104 5/30/2016 5:07:23 PM
  • 142.
    Matrices ■ 1.105 Thenormalised modal matrix N = − − ⎡ ⎣ ⎢ ⎢ ⎢ ⎢ ⎢ ⎢ ⎢ ⎤ ⎦ ⎥ ⎥ ⎥ ⎥ ⎥ ⎥ ⎥ 2 6 1 5 2 30 1 6 2 5 1 30 1 6 0 5 30 Then N AN D T = = ⎡ ⎣ ⎢ ⎢ ⎢ ⎤ ⎦ ⎥ ⎥ ⎥ 8 0 0 0 2 0 0 0 2 The orthogonal transformation X = NY, where Y = ⎡ ⎣ ⎢ ⎢ ⎢ ⎤ ⎦ ⎥ ⎥ ⎥ y y y 1 2 3 reduces the given quadratic form to YT DY = [y1 y2 y3 ] 8 0 0 0 2 0 0 0 2 1 2 3 ⎡ ⎣ ⎢ ⎢ ⎢ ⎤ ⎦ ⎥ ⎥ ⎥ ⎡ ⎣ ⎢ ⎢ ⎢ ⎤ ⎦ ⎥ ⎥ ⎥ y y y = + + 8 2 2 1 2 2 2 3 2 y y y , which is the canonical form. ∴ rank of the Q.F = 3, index = 3, signature = 3 The Q.F is positive definite, since all the eigen values are positive. EXAMPLE 7 Find out the type of conic represented by 17x2 2 30xy 1 17y2 5 128 after reducing the quadratic form 17x2 2 30xy 1 17y2 to canonical form by an orthogonal transformation. Solution. Given quadratic form is 17x2 – 30xy + 17y2 The matrix of the Q.F is A = ⎡ ⎣ ⎢ ⎤ ⎦ ⎥ 17 15 15 17 − − The characteristic equation of A is A I − l = 0 ⇒ 17 15 15 17 0 − − − − = l l ⇒ 17 15 0 17 15 17 15 2 32 2 2 2 2 − − = ⇒ − = ⇒ − = ± ⇒ = l l l l ( ) ( ) or . . To find eigen vectors: If X = ⎡ ⎣ ⎢ ⎤ ⎦ ⎥ x x 1 2 be an eigen vector corresponding to eigen value l. M01_ENGINEERING_MATHEMATICS-I _CH01_Part B.indd 105 5/30/2016 5:07:25 PM
  • 143.
    1.106 ■ EngineeringMathematics Then ( ) A I X − ⇒ − − − − l l l = ⎡ ⎣ ⎢ ⎤ ⎦ ⎥ ⎡ ⎣ ⎢ ⎤ ⎦ ⎥ = ⎡ ⎣ ⎢ ⎤ ⎦ ⎥ 0 17 15 15 17 0 0 1 2 x x ⇒ ( ) ( ) 17 15 0 15 17 0 1 2 1 2 − − − − l l x x x x = = ⎫ ⎬ ⎭ + (I) Case (i) If l = 2, then equations (I) become 15 15 0 15 15 0 1 2 1 2 1 2 x x x x x x − = − + = ⇒ = , Choosing x1 = 1, we get x2 = 1 ∴ an eigen vector is X1 1 1 = ⎡ ⎣ ⎢ ⎤ ⎦ ⎥ Case (ii) If l = 32, then equation (I) become − − = − − = ⇒ = − 15 15 0 15 15 0 1 2 1 2 2 1 x x x x x x and Choose x1 = 1, we get x2 = −1 ∴ an eigen vector is X2 1 1 = ⎡ ⎣ ⎢ ⎤ ⎦ ⎥ − ∴ the normalised eigen vectors are 1 2 1 2 1 2 1 2 ⎡ ⎣ ⎢ ⎢ ⎢ ⎢ ⎤ ⎦ ⎥ ⎥ ⎥ ⎥ ⎡ ⎣ ⎢ ⎢ ⎢ ⎢ ⎤ ⎦ ⎥ ⎥ ⎥ ⎥ , − The normalised modal matrix N = 1 2 1 2 1 2 1 2 − ⎡ ⎣ ⎢ ⎢ ⎢ ⎢ ⎤ ⎦ ⎥ ⎥ ⎥ ⎥ ⇒ N AN T = ⎡ ⎣ ⎢ ⎢ ⎢ ⎢ ⎤ ⎦ ⎥ ⎥ ⎥ ⎥ 1 2 1 2 1 2 1 2 − 17 15 15 17 − − ⎡ ⎣ ⎢ ⎢ ⎢ ⎤ ⎦ ⎥ ⎥ ⎥ 1 2 1 2 1 2 1 2 − ⎡ ⎣ ⎢ ⎢ ⎢ ⎢ ⎤ ⎦ ⎥ ⎥ ⎥ ⎥ = ⎡ ⎣ ⎢ ⎤ ⎦ ⎥ = 2 0 0 32 D The transformation X = NY, where Y = ⎡ ⎣ ⎢ ⎤ ⎦ ⎥ y y 1 2 , reduces the given quadratic form to Y DY which is the cano T = ⎡ ⎣ ⎢ ⎤ ⎦ ⎥ ⎡ ⎣ ⎢ ⎤ ⎦ ⎥ = [ ] , y y y y y y 1 2 1 2 1 2 2 2 2 0 0 32 2 32 + n nical form. But the given quadratic from = 128 ∴ 2 32 128 64 4 1 1 2 2 2 1 2 2 2 y y y y + ⇒ + = = , which represents an ellipse. M01_ENGINEERING_MATHEMATICS-I _CH01_Part B.indd 106 5/30/2016 5:07:28 PM
  • 144.
    Matrices ■ 1.107 EXAMPLE8 Reduce the quadratic form 8x2 1 7y2 1 3z2 2 12xy 1 4xz 2 8yz to the canonical form by an orthogonal transformation. Find one set of values of x, y, z (not all zero) which will make the quadratic form zero. Solution. Given quadratic form is 8x2 + 7y2 + 3z2 – 12xy + 4xz – 8yz The matrix of the quadratic form is A = − ⎡ ⎣ ⎢ ⎢ ⎢ ⎤ ⎦ ⎥ ⎥ ⎥ 8 6 2 6 7 4 2 4 3 − − − The characteristic equation is A I − l = 0 ⇒ 8 6 2 6 7 4 2 4 3 0 0 3 1 2 2 3 − − − − = ⇒ − + − = l l l l l l − − − S S S where S1 = 8 + 7 + 3 = 18 S S 2 3 7 4 4 3 8 2 2 3 8 6 6 7 21 16 24 4 56 36 5 20 20 45 = − − + + − − = − + − + − = + + = = ( ) ( ) ( ) A A = − + − + + − = − + = 8 21 16 6 18 8 2 24 14 40 60 20 0 ( ) ( ) ( ) ∴ the characteristic equation is l l l 3 2 18 45 0 − + = ⇒ l l l ( ) 2 18 45 0 − + = ⇒ l l l l ( )( ) , , . − − = ⇒ = 3 15 0 0 3 15 To find eigen vectors: If X = ⎡ ⎣ ⎢ ⎢ ⎢ ⎤ ⎦ ⎥ ⎥ ⎥ x x x 1 2 3 be an eigen vector of the eigen value l of A, then ( ) A I X − − − − − − − − l l l l = ⇒ ⎡ ⎣ ⎢ ⎢ ⎢ ⎤ ⎦ ⎥ ⎥ ⎥ ⎡ ⎣ ⎢ ⎢ ⎢ ⎤ ⎦ ⎥ ⎥ ⎥ = 0 8 6 2 6 7 4 2 4 3 0 1 2 3 x x x ⇒ ( ) ( ) ( ) 8 6 2 0 6 7 4 0 2 4 3 0 1 2 3 1 2 3 1 2 3 − + = + − = + = ⎫ ⎬ ⎪ ⎭ ⎪ l l l x x x x x x x x x − − − − − (I) M01_ENGINEERING_MATHEMATICS-I _CH01_Part B.indd 107 5/30/2016 5:07:30 PM
  • 145.
    1.108 ■ EngineeringMathematics Case (i) If l = 0, then the equations (I) become 8 6 2 0 4 3 0 6 7 4 0 2 4 3 0 1 2 3 1 2 3 1 2 3 1 2 3 x x x x x x x x x x x x − + = ⇒ − + = − + − = − + = and From the first and third equations, we get ⇒ ⇒ x x x x x x x x x 1 2 3 1 2 3 1 2 3 9 4 2 12 16 6 5 10 10 1 2 2 − + = − = − + − = − = − = = Choosing x1 = 1, x2 = 2, x3 = 2, we get an eigen vector X1 1 2 2 = ⎡ ⎣ ⎢ ⎢ ⎢ ⎤ ⎦ ⎥ ⎥ ⎥ Similarly, we can find for l = = − ⎡ ⎣ ⎢ ⎢ ⎢ ⎤ ⎦ ⎥ ⎥ ⎥ 3 2 1 2 2 , X and for l = = ⎡ ⎣ ⎢ ⎢ ⎢ ⎤ ⎦ ⎥ ⎥ ⎥ 15 2 2 1 3 , X − ∴ the normalised modal matrix N = 1 3 2 3 2 3 2 3 1 3 2 3 2 3 2 3 1 3 − − ⎡ ⎣ ⎢ ⎢ ⎢ ⎢ ⎢ ⎢ ⎢ ⎤ ⎦ ⎥ ⎥ ⎥ ⎥ ⎥ ⎥ ⎥ = − − ⎡ ⎣ ⎢ ⎢ ⎢ ⎤ ⎦ ⎥ ⎥ ⎥ 1 3 1 2 2 2 1 2 2 2 1 ∴ N AN D T = = ⎡ ⎣ ⎢ ⎢ ⎢ ⎤ ⎦ ⎥ ⎥ ⎥ 0 0 0 0 3 0 0 0 15 The transformation X = NY, where Y = y y y 1 2 3 ⎡ ⎣ ⎢ ⎢ ⎢ ⎤ ⎦ ⎥ ⎥ ⎥ , reduces the quadratic form to the canonical form Y DY T = ⎡ ⎣ ⎢ ⎢ ⎢ ⎤ ⎦ ⎥ ⎥ ⎥ ⎡ ⎣ ⎢ ⎢ ⎢ ⎤ ⎦ ⎥ ⎥ ⎥ [ ] y y y y y y 1 2 3 1 2 3 0 0 0 0 3 0 0 0 15 = + + 0 3 15 1 2 2 2 2 2 y y y The transformation is x y z y y y ⎡ ⎣ ⎢ ⎢ ⎢ ⎤ ⎦ ⎥ ⎥ ⎥ = ⎡ ⎣ ⎢ ⎢ ⎢ ⎤ ⎦ ⎥ ⎥ ⎥ ⎡ ⎣ ⎢ ⎢ ⎢ ⎤ ⎦ ⎥ ⎥ ⎥ 1 3 1 2 2 2 1 2 2 2 1 1 2 3 − − −3 −4 x1 x2 x3 4 −3 2 −4 1 3 M01_ENGINEERING_MATHEMATICS-I _CH01_Part B.indd 108 5/30/2016 5:07:33 PM
  • 146.
    Matrices ■ 1.109 ∴x y y y y y y y z y y y = + + = + = + 1 3 2 2 1 3 2 2 1 3 2 2 1 2 3 1 2 3 1 2 3 ( ), ( ) ( ) − − and Quadratic form = 0 ⇒ 0 3 15 0 1 2 2 2 3 2 y y y + + = ⇒ 3 15 0 0 0 2 2 3 2 2 3 y y y y + = ⇒ = = and and y1 can take any value, we shall choose y1 = 3 ∴ x = 1, y = 2, z = 2 Hence, this set of values will make the quadratic form = 0 EXAMPLE 9 Reduce the quadratic form x x 1 2 2 2 3 2 1 2 2 3 2 2 2 1 1 2 1 x x x x x to the canonical form through an orthogonal transformation and hence show that it is positive semi-definite.Also give a non-zero set of values (x1 , x2 , x3 ) which makes the quadratic form zero. Solution. Given the quadratic form is x x x x x x x 1 2 2 2 3 2 1 2 2 3 2 2 2 + + − + The matrix of the quadratic form is A = ⎡ ⎣ ⎢ ⎢ ⎢ ⎤ ⎦ ⎥ ⎥ ⎥ 1 1 0 1 2 1 0 1 1 − − The characteristic equation of A is A I − l = 0 ⇒ 1 1 0 1 2 1 0 1 1 0 0 3 1 2 2 3 − − − − − = ⇒ − + = l l l l l l S S S − where S1 = 1 + 2 + 1 = 4 S S A 2 3 2 1 1 1 1 0 0 1 1 1 1 2 1 1 1 3 2 1 1 1 0 = + + − − = + + = = = − + − = ( ) ∴ the characteristic equation is l l l 3 2 4 3 0 − + = ⇒ l l l l l l l ( ) ( )( ) , , 2 4 3 0 1 3 0 0 1 3 − + = ⇒ − − = ⇒ = To find eigen vectors: If X = ⎡ ⎣ ⎢ ⎢ ⎢ ⎤ ⎦ ⎥ ⎥ ⎥ x x x 1 2 3 be an eigen vector corresponding to an eigen value l of A, then M01_ENGINEERING_MATHEMATICS-I _CH01_Part B.indd 109 5/30/2016 5:07:35 PM
  • 147.
    1.110 ■ EngineeringMathematics (A − lI)X = 0 ⇒ 1 1 0 1 2 1 0 1 1 0 0 0 1 2 3 − ⎡ ⎣ ⎢ ⎢ ⎢ ⎤ ⎦ ⎥ ⎥ ⎥ ⎡ ⎣ ⎢ ⎢ ⎢ ⎤ ⎦ ⎥ ⎥ ⎥ = ⎡ ⎣ ⎢ ⎢ ⎢ ⎤ ⎦ ⎥ ⎥ ⎥ l l l − − − − x x x ⇒ ( ) ( ) ( ) 1 0 0 2 0 0 1 0 1 2 3 1 2 3 1 2 3 − l l l x x x x x x x x x − + = − + − + = + + − = (I) Case (i) If l = 0, then the equations (I) become x x x x x x x x x x x 1 2 1 2 1 2 3 2 3 3 2 0 2 0 0 − = ⇒ = − + + = + = ⇒ = − , and Take x2 = 1, then x1 = 1, x3 = −1 ∴ an eigen vector is X1 1 1 1 = ⎡ ⎣ ⎢ ⎢ ⎢ ⎤ ⎦ ⎥ ⎥ ⎥ − Case (ii) If l = 1, the equations (I) become and 0 0 0 0 1 2 2 1 2 3 1 3 x x x x x x x x − = ⇒ = + + = ⇒ = − Take x3 = 1, then x1 = 1 ∴ an eigen vector is X2 1 0 1 = ⎡ ⎣ ⎢ ⎢ ⎢ ⎤ ⎦ ⎥ ⎥ ⎥ Case (iii) If l = 3, then equations (I) become − − = ⇒ = − − − + = − = ⇒ = 2 0 2 0 2 0 2 1 2 2 1 1 2 3 2 3 2 3 x x x x x x x x x x x , and Take x2 = 2, then x1 = −1, x3 = 1 ∴ an eigen vector is X3 1 2 1 = ⎡ ⎣ ⎢ ⎢ ⎢ ⎤ ⎦ ⎥ ⎥ ⎥ − Thus, the eigen values are l = 0, 1, 3 and the eigen vectors are X X X 1 2 3 1 1 1 1 0 1 1 2 1 = ⎡ ⎣ ⎢ ⎢ ⎢ ⎤ ⎦ ⎥ ⎥ ⎥ = ⎡ ⎣ ⎢ ⎢ ⎢ ⎤ ⎦ ⎥ ⎥ ⎥ = ⎡ ⎣ ⎢ ⎢ ⎢ ⎤ ⎦ ⎥ ⎥ ⎥ − − , , ∴ the normalized eigen vectors are 1 3 1 3 1 3 1 2 0 1 2 1 6 2 6 1 6 − ⎡ ⎣ ⎢ ⎢ ⎢ ⎢ ⎢ ⎢ ⎢ ⎤ ⎦ ⎥ ⎥ ⎥ ⎥ ⎥ ⎥ ⎥ ⎡ ⎣ ⎢ ⎢ ⎢ ⎢ ⎢ ⎢ ⎤ ⎦ ⎥ ⎥ ⎥ ⎥ ⎥ ⎥ − ⎡ ⎣ ⎢ , , ⎢ ⎢ ⎢ ⎢ ⎢ ⎢ ⎢ ⎤ ⎦ ⎥ ⎥ ⎥ ⎥ ⎥ ⎥ ⎥ M01_ENGINEERING_MATHEMATICS-I _CH01_Part B.indd 110 5/30/2016 5:07:37 PM
  • 148.
    Matrices ■ 1.111 ∴the normalised modal matrix is N = ⎡ ⎣ ⎢ ⎢ ⎢ ⎢ ⎢ ⎢ ⎢ ⎤ ⎦ ⎥ ⎥ ⎥ ⎥ ⎥ ⎥ ⎥ 1 3 1 2 1 6 1 3 0 2 6 1 3 1 2 1 6 − − ∴ the diagonal matrix is N AN D T = = ⎡ ⎣ ⎢ ⎢ ⎢ ⎤ ⎦ ⎥ ⎥ ⎥ 0 0 0 0 1 0 0 0 3 The orthogonal transformation is X = NY where Y = ⎡ ⎣ ⎢ ⎢ ⎢ ⎤ ⎦ ⎥ ⎥ ⎥ y y y 1 2 3 and the canonical form is Y DY T = + y y 2 2 3 2 3 ∴ the quadratic form is positive semi-definite. The transformation X = NY ⇒ x x x y y 1 2 3 1 2 1 3 1 2 1 6 1 3 0 2 6 1 3 1 2 1 6 ⎡ ⎣ ⎢ ⎢ ⎢ ⎤ ⎦ ⎥ ⎥ ⎥ = ⎡ ⎣ ⎢ ⎢ ⎢ ⎢ ⎢ ⎢ ⎢ ⎤ ⎦ ⎥ ⎥ ⎥ ⎥ ⎥ ⎥ ⎥ − − y y3 ⎡ ⎣ ⎢ ⎢ ⎢ ⎤ ⎦ ⎥ ⎥ ⎥ ∴ x y y y x y y x y y y 1 1 2 3 2 1 3 3 1 2 3 1 3 1 2 1 6 1 3 2 6 1 3 1 2 1 6 = + − = + = − + + , and These equation make the quadratic form = 0 ⇒ y y y y 2 2 3 2 2 3 3 0 0 0 + = ⇒ = = and [Since sum of squares of real numbers = 0 ⇒ each number = 0] and y1 can take any real value. ∴ x y x y x y 1 1 2 1 3 1 1 3 1 3 1 3 = − , , = = Choosing y1 3 = , one set of values of x1 , x2 , x3 is x1 = 1, x2 = 1, x3 = −1. EXERCISE 1.7 Diagonlaise the following matrices by orthogonal transformation. 1. A = ⎡ ⎣ ⎢ ⎢ ⎢ ⎤ ⎦ ⎥ ⎥ ⎥ 6 2 2 2 3 1 2 1 3 − − − − 2. A = − ⎡ ⎣ ⎢ ⎢ ⎢ ⎤ ⎦ ⎥ ⎥ ⎥ 10 2 5 2 2 3 5 3 5 − − − 3. A = − ⎡ ⎣ ⎢ ⎢ ⎢ ⎤ ⎦ ⎥ ⎥ ⎥ 8 6 2 6 7 4 2 4 3 − − − 4. A = ⎡ ⎣ ⎢ ⎢ ⎢ ⎤ ⎦ ⎥ ⎥ ⎥ 2 1 1 1 2 1 1 1 2 − − − − 5. A = ⎡ ⎣ ⎢ ⎢ ⎢ ⎤ ⎦ ⎥ ⎥ ⎥ 7 2 0 2 6 2 0 2 5 − − − − 6. A = − − − − ⎡ ⎣ ⎢ ⎢ ⎢ ⎤ ⎦ ⎥ ⎥ ⎥ 2 1 1 1 1 2 1 2 1 M01_ENGINEERING_MATHEMATICS-I _CH01_Part B.indd 111 5/30/2016 5:07:40 PM
  • 149.
    1.112 ■ EngineeringMathematics 7. Find the symmetric matrix A whose eigen values and eigen vectors are given (i) eigen values are 0, 2, and eigen vectors 1 1 1 1 − ⎡ ⎣ ⎢ ⎤ ⎦ ⎥ ⎡ ⎣ ⎢ ⎤ ⎦ ⎥ , . (ii) eigen values are 1, 2, 3 and eigen vectors 1 1 0 0 0 1 1 1 0 − ⎡ ⎣ ⎢ ⎢ ⎢ ⎤ ⎦ ⎥ ⎥ ⎥ ⎡ ⎣ ⎢ ⎢ ⎢ ⎤ ⎦ ⎥ ⎥ ⎥ ⎡ ⎣ ⎢ ⎢ ⎢ ⎤ ⎦ ⎥ ⎥ ⎥ , , . 8. Reduce the quadratic form 8 7 3 12 8 4 1 2 2 2 3 2 1 2 2 3 3 1 x x x x x x x x x + + − − + to the canonical form through an orthogonal transformation and hence show that it is positive semi-definite. 9. Reduce the quadratic form 2 6 2 8 1 2 2 2 3 2 1 3 x x x x x + + + to canonical form by orthogonal reduction. 10. Reduce the quadratic form 3 5 3 2 2 2 1 2 2 2 3 2 2 3 3 1 1 2 x x x x x x x x x + + − + − to the canonical form by orthogonal reduction. 11. Find the nature, index, signature and rank of the following Q.F, without reducing to canonical form. (i) 3 5 3 2 2 2 1 2 2 2 3 2 2 3 3 1 1 2 x x x x x x x x x + + − + − . (ii) 10 2 5 6 10 4 2 2 2 x y z yz zx xy + + + − − . (iii) 3 2 4 8 12 2 2 2 x y z xy xz yz − − + + − . 12. Determine the nature of the following quadratic form f(x1 , x2 , x3 ) = x x 1 2 2 2 2 + . 13. Find the nature of the quadratic form 2x2 + 2xy + 3y2 . 14. Find the index, signature and rank of the Q.F in 3 variables x x x 1 2 2 2 3 2 2 3 + − . 15. Reduce the quadratic form x x x x x x x x x 1 2 2 2 3 2 1 2 2 3 3 1 5 2 2 6 + + + + + to canonical form through an orthogonal transformation. 16. Reduce the quadratic form 2 6 2 8 1 2 2 2 3 2 1 3 x x x x x + + + to canonical form. 17. Reduce the given quadratic form Q to its canonical form using orthogonal transformation Q = x2 + 3y2 + 3z2 − 2yz. ANSWERS TO EXERCISE 1.7 1. l = 2, 2, 8; eigen vectors [0 1 1]T , [1 1 −1]T , [2 –1 1]T 2. l = 0, 3, 14; eigen vectors [1 −5 4]T , [1 1 1]T , [−3 1 2]T 3. l = 0, 3, 15; eigen vectors [1 2 2]T , [2 1 −2]T , [2 −2 1]T 4. l = 1, 1, 4; eigen vectors [1 1 0]T , [−1 1 2]T , [1 −1 1]T , A3 22 21 21 21 22 21 21 21 22 = ⎡ ⎣ ⎢ ⎢ ⎢ ⎤ ⎦ ⎥ ⎥ ⎥ − − − − 5. l = 3, 6, 9; eigen vectors [1 2 2]T , [2 1 −2]T , [2 −2 1]T 6. D = − ⎡ ⎣ ⎢ ⎢ ⎢ ⎤ ⎦ ⎥ ⎥ ⎥ 1 0 0 0 1 0 0 0 4 7. (i) A = ⎡ ⎣ ⎢ ⎤ ⎦ ⎥ 1 1 1 1 (ii) 2 1 0 1 2 0 0 0 2 ⎡ ⎣ ⎢ ⎢ ⎢ ⎤ ⎦ ⎥ ⎥ ⎥ M01_ENGINEERING_MATHEMATICS-I _CH01_Part B.indd 112 5/30/2016 5:07:43 PM
  • 150.
    Matrices ■ 1.113 8.3 15 2 2 3 2 y y + 9. −2 6 6 1 2 2 2 3 2 y y y + + 10. 2 3 6 1 2 2 2 3 2 y y y + + 11. (i) Eigen values are 2, 3, 6; positive definite, index = 3, signature = 3, rank = 3. (ii) Eigen values are 0, 3, 14; positive semi-definite, index = 2, signature = 2, rank = 2. (iii) Eigen values are 3, 6, −9; indefinite, index = 2, signature = 1, rank = 3. 12. It is a positive semi-definite form 13. The quadratic form is positive definite. 14. Eigen value = 1, 2, −3, Index = 2, Signature = 1, Rank = 3 15. −2 3 6 1 2 2 2 3 2 y y y + + 16. − + + 2 6 6 1 2 2 2 3 2 y y y 17. y y y 1 2 2 2 3 2 2 4 + + SHORT ANSWER QUESTIONS 1. If A 5 4 1 2 5 ⎡ ⎣ ⎢ ⎤ ⎦ ⎥, find the eigen values of A2 2 2A 1 I. 2. Prove that A 1 2 2 5 1 ⎡ ⎣ ⎢ ⎤ ⎦ ⎥ and 23A21 have the same eigen values. 3. Two eigen values of the matrix A 2 2 1 1 3 1 1 2 2 5 ⎡ ⎣ ⎢ ⎢ ⎢ ⎤ ⎦ ⎥ ⎥ ⎥ are equal to 1 each, find the eigen values of A21 . 4. Find the sum and product of the eigen value of the matrix A 2 0 1 0 2 0 1 0 2 5 ⎡ ⎣ ⎢ ⎢ ⎢ ⎤ ⎦ ⎥ ⎥ ⎥ . 5. Two eigen values of A 4 6 6 1 3 2 1 5 2 5 2 2 2 ⎡ ⎣ ⎢ ⎢ ⎢ ⎤ ⎦ ⎥ ⎥ ⎥ are equal and they are double the third. Find the eigen values of A2 . 6. If l1 , l2 , ..., ln are the eigen values of an n 3 n matrix A, then show that l l l 1 3 2 , , , 3 n 3 … are the eigen values of A3 . 7. The matrix A 1 1 3 1 5 1 3 1 1 5 ⎡ ⎣ ⎢ ⎢ ⎢ ⎤ ⎦ ⎥ ⎥ ⎥ has an eigen vector 21 0 1 , ⎡ ⎣ ⎢ ⎢ ⎢ ⎤ ⎦ ⎥ ⎥ ⎥ find the corresponding eigen value of A. 8. Using Cayley-Hamilton theorem find the inverse of 1 4 2 3 ⎡ ⎣ ⎢ ⎤ ⎦ ⎥ 9. If 2, 3 are eigen values of a square matrix A of order 2, express A2 in terms of A and I. 10. If A is an orthogonal matrix, show that A21 is also orthogonal. 11. For a given matrix A of order 3, A 532 and two of its eigen values are 8 and 2. Find the sum of the eigen values 12. Check whether the matrix B = ⎡ ⎣ ⎢ ⎢ ⎢ ⎤ ⎦ ⎥ ⎥ ⎥ cos sin 0 sin cos 0 0 0 1 u u 2 u u is orthogonal? Justify. 13. Use Cayley-Hamilton theorem to find A4 2 4A3 2 5A2 1A 1 2I when A 1 2 4 3 5 ⎡ ⎣ ⎢ ⎤ ⎦ ⎥ . M01_ENGINEERING_MATHEMATICS-I _CH01_Part B.indd 113 5/30/2016 5:07:46 PM
  • 151.
    1.114 ■ EngineeringMathematics 14. True or false: If A and B are two invertible matrices then AB and BA have the same eigen values. 15. Find the eigen vector corresponding to the eigen value 1 of the matrix A 2 2 1 1 3 1 1 2 2 5 ⎡ ⎣ ⎢ ⎢ ⎢ ⎤ ⎦ ⎥ ⎥ ⎥ . 16. Find the sum and product of the eigen values of the matrix A 1 2 2 1 0 3 2 1 3 . 5 2 2 2 2 ⎡ ⎣ ⎢ ⎢ ⎢ ⎤ ⎦ ⎥ ⎥ ⎥ 17. A is a singular matrix of order three, 2 and 3 are the eigen values. Find the third eigen value. 18. Find the nature of the quadratic form 2x2 + 2xy + 3y2 . 19. If the quadratic form ax2 + 2bxy + cy2 is positive definite (or negative definite) then prove that the quadratic equation ax2 + 2bx + c = 0 has imaginary roots. 20. Find the index and signature of the quadratic form x x x 1 2 2 2 3 2 2 5 . 1 2 OBJECTIVE TYPE QUESTIONS A. Fill up the blanks 1. If 1 9 2 0 2 ⎡ ⎣ ⎢ ⎤ ⎦ ⎥ = ⎡ ⎣ ⎢ ⎤ ⎦ ⎥ x y z w , y 0, then x − y + z + w = ________. 2. If A B A B − = ⎡ ⎣ ⎢ ⎤ ⎦ ⎥ − = − ⎡ ⎣ ⎢ ⎤ ⎦ ⎥ 2 1 5 3 7 2 3 2 5 0 7 , , then B = ________. 3. If M ( ) cos cos sin cos sin sin a a a a a a a = ⎡ ⎣ ⎢ ⎤ ⎦ ⎥ 2 2 , if a and b differ by p 2 , then M(a) ⋅ M(b) = ________. 4. A = ⎡ ⎣ ⎢ ⎢ ⎢ ⎤ ⎦ ⎥ ⎥ ⎥ 1 0 2 0 2 1 2 0 3 satisfies the equation x3 − 6x2 + 7x + 2 = 0, then A−1 = ________. 5. The rank of the matrix 1 3 4 3 3 9 12 9 1 3 4 3 − − − − ⎡ ⎣ ⎢ ⎢ ⎢ ⎤ ⎦ ⎥ ⎥ ⎥ is ________. 6. Eigen values of 5 4 1 2 ⎡ ⎣ ⎢ ⎤ ⎦ ⎥ are ________. 7. An Eigen vector corresponding to the Eigen value −1 of − − ⎡ ⎣ ⎢ ⎤ ⎦ ⎥ 2 1 5 4 is ________. 8. If 2 is Eigen value of 2 2 2 1 1 1 1 3 1 − − ⎡ ⎣ ⎢ ⎢ ⎢ ⎤ ⎦ ⎥ ⎥ ⎥ , then the other Eigen values are ________. 9. The sum of the square of the Eigen values of the matrix 1 7 5 0 2 9 0 0 5 ⎡ ⎣ ⎢ ⎢ ⎢ ⎤ ⎦ ⎥ ⎥ ⎥ is ________. 10. The Eigen values of the matrix a b 4 1 ⎡ ⎣ ⎢ ⎤ ⎦ ⎥ are −2 and 3, then the values of a and b are ________. M01_ENGINEERING_MATHEMATICS-I _CH01_Part B.indd 114 5/30/2016 5:07:49 PM
  • 152.
    Matrices ■ 1.115 11.The nature of the quadratic form 2 1 2 2 2 x x − is ________. 12. The nature of the quadratic form 2xy + 2yz + 2zx is ________. 13. The matrix of the quadratic form 3 3 5 2 6 6 1 2 2 2 3 2 1 2 1 3 2 3 x x x x x x x x x + − − − − is ________. 14. The matrix A = cos sin sin cos u u u u − ⎡ ⎣ ⎢ ⎤ ⎦ ⎥ is ________. 15. If A is an orthogonal matrix, then A−1 is ________. B. Choose the correct answer 1. If the matrix 2 1 2 1 2 1 1 2 2 x x x x − ⎡ ⎣ ⎢ ⎢ ⎢ ⎢ ⎢ ⎤ ⎦ ⎥ ⎥ ⎥ ⎥ ⎥ is singular, then the value of x is (a) ±2 (b) ±1 (c) ±3 (d) None of these 2. If v is a complex cube root of unity, then the matrix 1 1 1 2 2 2 v v v v v v ⎡ ⎣ ⎢ ⎢ ⎢ ⎤ ⎦ ⎥ ⎥ ⎥ is (a) Singular (b) non-singular (c) symmetric (d) skew-symmetric 3. If A2 − A + I = 0, then the inverse of A is (a) A − I (b) I − A (c) A + I (d) A 4. Let A = 5 5 0 5 0 0 5 a a a a ⎡ ⎣ ⎢ ⎢ ⎢ ⎤ ⎦ ⎥ ⎥ ⎥ . If A 2 25 = , then a is equal to (a) 25 (b) 1 (c) 1 5 (d) 5 5. If a, b, c are in A.P, then the system of equations 3x + 4y + 5z = a, 4x + 5y + 6z = b, 5x + 6y + 7z = c is (a) consistent (b) consistent with unique solution (c) consistent with infinite number solutions (d) consistent with finite number solutions 6. If A is non-singular, then the equation AB = 0 implies (a) B is non-singular (b) B is singular (c) B = 0 (d) None of these 7. The system of equations x + 2y − z = 6, 3x − y − 2z = 3, 4x + 3y + z = 9 is (a) consistent with unique solution (b) consistent with infinite number of solutions (c) inconsistent (d) None of these 8. Two Eigen values of the matrix A = 3 1 1 1 5 1 1 1 3 − − − − ⎡ ⎣ ⎢ ⎢ ⎢ ⎤ ⎦ ⎥ ⎥ ⎥ are 3 and 6. Then the Eigen values of A−1 are (a) 1 1 3 1 6 , , (b) −1 1 3 1 6 , , (c) − 1 2 1 3 1 6 , , (d) 1 2 1 3 1 6 , , M01_ENGINEERING_MATHEMATICS-I _CH01_Part B.indd 115 5/30/2016 5:07:51 PM
  • 153.
    1.116 ■ EngineeringMathematics 9. If the Eigen values of a matrix A of order 3 are 2,3, and 4, then the Eigen values of adj A are (a) 12, 8, 6 (b) 1 2 1 3 1 4 , , (c) 1 12 1 8 1 6 , , (d) None of these 10. If the sum of two Eigen values of 3 × 3 matrix A is equal to its trace, then the value of A is equal to (a) 1 (b) −1 (c) 0 (d) None of these 11. The product of two Eigen values of the matrix A = 1 0 0 0 3 1 0 1 3 − − ⎡ ⎣ ⎢ ⎢ ⎢ ⎤ ⎦ ⎥ ⎥ ⎥ is 2, then the third Eigen values is (a) 2 (b) 4 (c) 5 (d) 6 12. If A and B are invertible matrices of the same order, such that AB = BA then A and B are (a) similar (b) dissimilar (c) have different Eigen values (d) None of these 13. The index and signature of the quadrature for x x x 1 2 2 2 3 2 2 5 + − are (a) 1, 2 (b)1, −2 (c) 2, 1 (d) 2, −2 14. The matrix of the quadratic form 3x2 + 2y2 − 4xy is (a) 3 2 2 2 − − ⎡ ⎣ ⎢ ⎤ ⎦ ⎥ (b) 1 2 2 1 − ⎡ ⎣ ⎢ ⎤ ⎦ ⎥ (c) − − ⎡ ⎣ ⎢ ⎤ ⎦ ⎥ 3 2 2 2 (d) − − − ⎡ ⎣ ⎢ ⎤ ⎦ ⎥ 1 2 2 1 15. The nature of the quadratic form 2xy + 2yz + 2zx is (a) indefinite (b) definite (c) positive definite (d) negative definite ANSWERS A. Fill up the blanks 1. 6 2. − − − − ⎡ ⎣ ⎢ ⎤ ⎦ ⎥ 4 5 6 7 3. 0 4. A − = − − ⎡ ⎣ ⎢ ⎢ ⎢ ⎢ ⎤ ⎦ ⎥ ⎥ ⎥ ⎥ 1 3 0 2 1 1 2 1 2 2 0 1 5. rank = 1 6. 1, 6 7. 1 1 − ⎡ ⎣ ⎢ ⎤ ⎦ ⎥ 8. −2, 2 9. 30 10. a = 2, b = −1 or a = 1, b = 2 11. indefinite 12. indefinite 13. 3 1 3 1 3 3 3 3 5 − − − − − − ⎡ ⎣ ⎢ ⎢ ⎢ ⎤ ⎦ ⎥ ⎥ ⎥ 14. orthogonal 15. A AT − = 1 B. Choose the correct answer 1. (b) 2. (a) or (e) 3. (b) 4. (c) 5. (c) 6. (c) 7. (a) 8. (d) 9. (a) 10. (c) 11. (b) 12. (a) 13. (c) 14. (a) 15. (a) M01_ENGINEERING_MATHEMATICS-I _CH01_Part B.indd 116 5/30/2016 5:07:54 PM
  • 154.
    2.0 INTRODUCTION Many ofthe functions which are encountered in mathematical applications are represented by an infinite series. The sum of an infinite series may or may not exist. For example, the sum of the infinite geometric series 1 1 2 1 4 1 8 + … + + + ∞ is equal to 2, whereas the sum of the infinite geometric series 1 + 2 + 4 + 8 + … ∞ is ∞, which is not a real number and so the sum does not exist. The usage of an infinite series, whose sum does not exist, will lead to absurd conclusions in scientific investigations. Thus, an infinite series must be tested for the existence of its sum. This aspect is the study of convergence of the infinite series and it is of vital importance to the students of engineering and science. In common usage of the English language, the words ‘sequence’ and ‘series’ are used in the same sense to suggest a succession of things or events arranged in some order. But in Mathematics ‘sequence’ and ‘series’ are different concepts. 2.1 SEQUENCE 2.1.1 Infinite Sequence Definition 2.1 If for every positive integer n there is associated a unique real number sn , then the ordered set of numbers s1 , s2 , …, sn , … or { , , , , } s s s 1 2 … … n is called an infinite sequence. sn is called the nth term or general term of the sequence. The sequence is briefly written as { } s s n n n or { }. =1 ∞ Precisely a sequence of real numbers is a function s: N → R, where N is the set of natural numbers (or positive integers) and R is the set of real numbers. The image of n ∈ N is the real number sn . Examples of Infinite Sequences (1) { , , , , , , } 1 2 4 8 2 … … n (2) { , , , , , ( ) , } 1 1 1 1 1 − … … − − n (3) 1 1 2 3 n n { } = , , , ,… (4) 2 1 1 2 3 + { } = ( ) , , , , − … n n (5) 1 3 2 3 3 3 4 3 2 2 4 , , , , − … − { } 2 Sequences and Series M02_ENGINEERING_MATHEMATICS-I _XXXX_CH02.indd 1 5/12/2016 10:52:46 AM
  • 155.
    2.2 ■ EngineeringMathematics 2.1.2 Finite Sequence Definition 2.2 If the domain of a sequence is a finite set of integers {1, 2, 3, …,n}, then the sequence {s1 , s2 , …, sn } is called a finite sequence. That is if the sequence has finite number of terms, then it is called a finite sequence. For example: {1, 3, 5, 7, …, 199} is a finite sequence. 2.1.3 Limit of a Sequence Definition 2.3 Let {sn } be a sequence of real numbers. A real number l is said to be the limit of the sequence {sn }, if for every given e 0, there exists a positive integer n0 (depending on e) such that s l n − e for all n n ≥ 0 . Symbolically, we write lim n n →∞ = s l or s l n → as n → ∞. Note that when limit exists, it is unique. 2.1.4 Convergent Sequence Definition 2.4 If a sequence of real numbers { } sn has the limit l, then the sequence is said to be convergent and it converges to l. If the sequence does not have a limit l, then it is said to be divergent. That is if lim , n or →∞ = ∞ sn ∞ − then the sequence is divergent. For instance, the sequence {1, 2, 3, …, n, …} is divergent. Examples (1) The sequence {1, 1, 1, …} converges to 1. (2) The sequence 1 1 2 1 3 1 , , , , , … … n { } converges to 0, since lim . n→∞ 1 0 n = (3) The sequence {1, 2, 3, …} is divergent, since lim . n→ ∞ 0 n = (4) The sequence {−1, 1, −1, 1, −1, …} is divergent, since the limit does not exist. Note A sequence {sn } is called a null sequence if it converges to zero. 2.1.5 Oscillating Sequence Definition 2.5 If the sequence of real numbers { } sn diverges, but does not diverge to ` or −`, then the sequence is said to be an oscillating sequence. For example, the sequence {−1, 1, −1, 1, …} oscillates between −1 and 1. 2.1.6 Bounded Sequence Definition 2.6 A sequence of real numbers { } sn is said to be bounded above if there exists a number M such that s n n M ≤ = ∀ … 1 2 3 , , , and bounded below if there exists a number m such that m s n ≤ ∀ n = … 1 2 3 , , , M02_ENGINEERING_MATHEMATICS-I _XXXX_CH02.indd 2 5/12/2016 10:52:50 AM
  • 156.
    Sequences and Series■ 2.3 M is called an upper bound and m is called a lower bound of { }. sn In other words, the sequence { } sn is bounded if there exists numbers m and M such that m s n ≤ ≤ = n M ∀ … 1 2 3 , , , 2.1.7 Monotonic sequence Definition2.7 A sequence{ } sn is said to be a (monotonically) increasing sequence if s s n n n N ≤ ∀ +1 ∈ and (monotonically) decreasing sequence if s s n n n N ≥ + ∀ ∈ 1 A sequence which is either increasing or decreasing is called a monotonic sequence. A sequence {sn } is strictly increasing if sn sn + 1 ∀ n ∈ N and strictly decreasing if sn , sn + 1 ∀ n ∈ N. A sequence which is either strictly increasing or strictly decreasing is called strictly monotonic We now state some important results: 1. Every convergent sequence is bounded. 2. An increasing sequence bounded above is convergent. 3. A decreasing sequence bounded below is convergent. 4. An unbounded sequence is not convergent. However bounded sequence need not be convergent. For example: The sequence {1, −1, 1, −1, …} is bounded by −1 and 1, but not convergent. It is an oscillating sequence. 5. A monotonic sequence is convergent if and only if it is bounded. WORKED EXAMPLES EXAMPLE 1 Test the convergence of the following infinite sequences: (i) 3 7 2 n n n 1 ⎧ ⎨ ⎩ ⎫ ⎬ ⎭ (ii) n n 1 2 1 { } (iii) n n 21 2 ⎛ ⎝ ⎜ ⎞ ⎠ ⎟ ⎧ ⎨ ⎪ ⎩ ⎪ ⎫ ⎬ ⎪ ⎭ ⎪ (iv) 2 7 5 3 3 3 2 n n n n 1 1 ⎧ ⎨ ⎩ ⎫ ⎬ ⎭ . Solution. (i) The given sequence is 3 7 2 n n n + { } ∴ the nth term is s n n n n n = = 3 7 3 1 7 2 + + ∴ lim lim n n n →∞ →∞ = + = ∞ = s n 3 1 7 1 0. Hence, the sequence is convergent and converges to 0. (ii) The given sequence is n n + − 1 { } ∴ the nth term is s n n n n n n n n n = = + − + − ( ) + + ( ) + + ( ) 1 1 1 1 M02_ENGINEERING_MATHEMATICS-I _XXXX_CH02.indd 3 5/12/2016 10:52:55 AM
  • 157.
    2.4 ■ EngineeringMathematics = + − + + = + + n n n n n n 1 1 1 1 ∴ lim lim . n n n →∞ →∞ + + = ∞ = s n n = 1 1 1 0 Hence, the sequence is convergent and converges to 0. (iii) The given sequence is n n −1 2 ⎛ ⎝ ⎜ ⎞ ⎠ ⎟ ⎧ ⎨ ⎩ ⎫ ⎬ ⎭ ∴ the nth term is s n n n = ⎛ ⎝ ⎜ ⎞ ⎠ ⎟ −1 2 = ⎛ ⎝ ⎜ ⎜ ⎞ ⎠ ⎟ ⎟ = ⎛ ⎝ ⎜ ⎞ ⎠ ⎟ 1 1 1 1 1 1 2 2 − − n n ∴ lim lim n n n →∞ →∞ − ⎛ ⎝ ⎜ ⎞ ⎠ ⎟ = s n = 1 1 1 1 2 { 1 0 n n → → ∞ ⎡ ⎣ ⎢ ⎤ ⎦ ⎥ , as Hence, the sequence is convergent and converges to 1. (iv) The given sequence is 2 7 5 3 3 3 2 n n n n + + ⎧ ⎨ ⎩ ⎫ ⎬ ⎭ ∴ the nth term is s n n n n n = 2 7 5 3 3 3 2 + + = ⎛ ⎝ ⎜ ⎞ ⎠ ⎟ + ⎛ ⎝ ⎜ ⎞ ⎠ ⎟ = + + n n n n n n 3 2 3 2 2 7 5 3 2 7 5 3 + ∴ lim lim , n n n as →∞ →∞ = + + = → → ∞ ⎡ ⎣ ⎢ ⎤ ⎦ ⎥ s n n n n n 2 7 5 3 2 5 1 1 0 2 2 { Hence, the sequence is convergent and converges to 2 5 . EXAMPLE 2 Test the convergence of the following sequences: (i) s n n n n n 5 2 1 2 2 2 (ii) sn n 5 1 2 2 1 ( ) (iii) 1 3 2 3 3 3 4 3 2 3 4 , , , , . 2 2 … { } Solution. (i) The given sequence is s n n n n n = 2 2 2 − + = − ⎛ ⎝ ⎜ ⎞ ⎠ ⎟ + ⎛ ⎝ ⎜ ⎞ ⎠ ⎟ = − + n n n n n n 2 2 1 1 2 1 1 1 2 1 ∴ lim lim n n n →∞ →∞ = − + = s n n 1 1 2 1 1 2 . M02_ENGINEERING_MATHEMATICS-I _XXXX_CH02.indd 4 5/12/2016 10:53:01 AM
  • 158.
    Sequences and Series■ 2.5 Hence, the sequence is convergent and converges to 1 2 . (ii) The given sequence is s n n n n = + − = + = − = ⎧ ⎨ ⎩ 2 1 2 1 3 2 1 1 ( ) if is even if is odd ∴ lim lim n n n if is even →∞ →∞ = s n = 3 3 and lim lim n n n if is odd →∞ →∞ = s n = 1 1 Since the limit is not unique, the sequence is not convergent. But it oscillates between 1 and 3. Hence, the sequence is an oscillating sequence. (iii) The given sequence is 1 3 2 3 3 3 4 3 2 3 4 , , , , . − ⎧ ⎨ ⎩ ⎫ ⎬ ⎭ − … ∴ the nth term is s n n n 1 n = − ⋅ − ( ) 1 3 = n n n n 3 3 n n if is odd if is even − ⎧ ⎨ ⎪ ⎪ ⎩ ⎪ ⎪ Now, if n is odd lim lim n n n n →∞ →∞ = = s n 3 0 [by L - Hopital’s rule] and if n is even lim lim n n n n →∞ →∞ = − ⎛ ⎝ ⎜ ⎞ ⎠ ⎟ = s n 3 0 [by L - Hopital’s rule] ∴ lim n n →∞ = s 0 ∴ the sequence is convergent and converges to 0. EXAMPLE 3 Show that the sequence 2 7 3 2 n n 2 1 ⎧ ⎨ ⎩ ⎫ ⎬ ⎭ is monotonic increasing. Hence or otherwise prove that it is convergent. Solution. Let the given sequence be { } s n n n = + { } 2 7 3 2 − ∴ s n n n = − + 2 7 3 2 To prove it is monotonic increasing sequence, we have to prove s s n n n N ≤ ∀ ∈ +1 Now s n n n n n+ = + + + = − + 1 2 1 7 3 1 2 2 5 3 5 ( ) ( ) − M02_ENGINEERING_MATHEMATICS-I _XXXX_CH02.indd 5 5/12/2016 10:53:07 AM
  • 159.
    2.6 ■ EngineeringMathematics ∴ s s n n n n n n n n n n n − = + − − + = + − − + − + +1 2 7 3 2 2 5 3 5 3 5 2 7 3 2 2 5 3 2 − ( )( ) ( )( ) ( )(3 3 5 6 11 35 6 11 10 3 2 3 5 25 3 2 3 5 2 2 n n n n n n n n n + = − − − − − + + = − + + ) ( ) ( )( ) ( )( ) ⇒ s s n n − + 1 0 ∀ n ∈Ν ⇒ sn sn + 1 ∀ n ∈Ν ∴ the sequence { } sn is monotonic increasing. We know that monotonic increasing sequence, bounded above is convergent. So, we have to prove { } sn is bounded above. The given sequence is − − ⎧ ⎨ ⎩ ⎫ ⎬ ⎭ 7 5 3 7 1 11 , , , − … Consider 1 n 2s ∴ 1 1 2 7 3 2 3 2 2 7 3 2 9 3 2 0 − + s n n n n n n n n n N = − − + = + − + + = + ∀ ∈ ⇒ 1 0 − s n n N ∀ ∈ ⇒ 1 1 ∀ ∈ ⇒ ∀ ∈ s n s n n n N N ∴ the sequence is bounded above. Hence, the sequence is monotonically increasing and bounded above. ∴ the sequence is convergent. Aliter: To prove the sequence is convergent Given s n n n n n n n n n = + = − ⎛ ⎝ ⎜ ⎞ ⎠ ⎟ + ⎛ ⎝ ⎜ ⎞ ⎠ ⎟ = − ⎛ ⎝ ⎜ ⎞ ⎠ ⎟ + ⎛ 2 7 3 2 2 1 7 2 3 1 2 3 2 1 7 2 3 1 2 3 − ⎝ ⎝ ⎜ ⎞ ⎠ ⎟ ∴ lim lim n n n →∞ →∞ = ⎛ ⎝ ⎜ ⎞ ⎠ ⎟ + ⎛ ⎝ ⎜ ⎞ ⎠ ⎟ = s n n 2 3 1 7 2 1 2 3 2 3 − Hence, the sequence is convergent. EXAMPLE 4 Show that the sequence whose nth term is 1 1 n n 1 1 1 1 1 1 2 … 1 n n n 1 ; PN is convergent. Solution. Let the given sequence be { }. sn ∴ the nth term is s n n n n n = + + + + 1 1 1 2 1 + + … M02_ENGINEERING_MATHEMATICS-I _XXXX_CH02.indd 6 5/12/2016 10:53:12 AM
  • 160.
    Sequences and Series■ 2.7 and s n n n n n n n+ + + + + + + + + + + 1 1 2 1 3 1 1 2 1 1 2 2 = … To prove the sequence is monotonically increasing. That is to prove s s n n n N − ∀ ∈ +1 0 ≤ Now s s n n n n n n n n n n n n − = + + + + + + + + + + + + + ⎡ ⎣ ⎢ ⎤ ⎦ +1 1 1 1 2 1 1 2 1 3 1 1 2 1 1 2 2 + +… − + … ⎥ ⎥ = + − + − + = + − + − + = + − + = + − 1 1 1 2 1 1 2 2 1 1 1 2 1 1 2 1 1 2 1 1 2 1 2 1 2 n n n n n n n n n ( ) ( ) (n n n n n n n + + + = − + + ∀ ∈ 1 2 1 2 1 1 2 1 2 1 0 ) ( )( ) ( )( ) N ⇒ s s n n n N − ∀ ∈ +1 0 ⇒ s s n n n N ∀ ∈ +1 ∴ the sequence is monotonically increasing. A monotonically increasing sequence bounded above is convergent. ∴ we have to prove that the sequence is bounded above. That is to prove s n n M for N ≤ ∈ Now s n n n n n = + + + + + 1 1 1 2 1 +… we know n n +1 ⇒ 1 1 1 n n + Similarly, 1 2 1 1 1 n n n n n + , , … + ∴ s n n n n n n + + + = = 1 1 1 1 … ⇒ sn 1 ∴ the sequence { } sn is bounded above. Hence, the given sequence is monotonically increasing and bounded above. ∴ the sequence is convergent. EXAMPLE 5 Show that the sequence 1 3 5 n 1 ⎧ ⎨ ⎩ ⎫ ⎬ ⎭ is monotonically decreasing and convergent. Solution. Let the given sequence be { } . s n n = + { } 1 3 5 ∴ the nth term is s n n = + 1 3 5 and s n n n+ = + = + 1 1 3 1 5 1 3 8 ( ) + M02_ENGINEERING_MATHEMATICS-I _XXXX_CH02.indd 7 5/12/2016 10:53:18 AM
  • 161.
    2.8 ■ EngineeringMathematics To prove the sequence is monotonically decreasing. That is to prove s s n n n N − ≥ ∀ ∈ +1 0 Now s s n n n n n n n n n n − = + − + = + − + + + = + + +1 1 3 5 1 3 8 3 8 3 5 3 5 3 8 3 3 5 3 8 ( ) ( )( ) ( )( ) 0 0 ∀ ∈ n N ⇒ s s n n n N − ∀ ∈ +1 0 ⇒ s s n n n N ∀ ∈ +1 ∴ the given sequence is decreasing sequence. A decreasing sequence bounded below is convergent. ∴ we have to prove the sequence is bounded below. That is to prove m s n ≤ ∈ n N , . The given sequence is 1 8 1 11 1 14 , , ,… ∴ it is bounded below by 0. Hence, the sequence is convergent. EXAMPLE 6 Show that the sequence n n n 2 1 21 ⎧ ⎨ ⎩ ⎫ ⎬ ⎭ is decreasing and convergent. Solution. Let the given sequence be { } s n n n n = + − { } 2 1 ∴ the nth term is s n n n n = − 2 1 + and s n n n n n n n n n n n+ = + + + − = + + + + = + + + 1 2 2 2 1 1 1 1 1 2 1 1 3 1 + ( ) We have to prove that the sequence is decreasing. That is to prove s s n n n N ≥ ∀ ∈ +1 Now s s n n n n n n n n n n n n n n n n − = − − + + + = + + − + + − + − +1 2 2 2 2 2 1 1 3 1 3 1 1 1 1 + ( ) ( )( ) ( ) )( ) ( ) ( )( ) n n n n n n n n n n n n n n n 2 3 2 3 2 2 2 2 2 3 1 3 1 1 3 1 + + = + + − + − + + − + − + + = +1 1 1 3 1 2 2 ( )( ) n n n n + − + + ⇒ s s n n n N − + ∀ ∈ 1 0 ⇒ s s n n n N ∀ ∈ +1 ∴ the sequence is a decreasing sequence. M02_ENGINEERING_MATHEMATICS-I _XXXX_CH02.indd 8 5/12/2016 10:53:24 AM
  • 162.
    Sequences and Series■ 2.9 The given sequence is 1 2 5 3 11 , , ,… ∴ the sequence is a bounded below by 0 [and above by 1]. Hence, the sequence is convergent EXERCISE 2.1 1. Show that the sequence n n + { } 1 converges to 1. 2. Show that the sequence n n 2 2 2 1 + ⎧ ⎨ ⎩ ⎫ ⎬ ⎭ converges to 1 2 . 3. Show that the sequence 3 3 1 2 2 n n n n + + ⎧ ⎨ ⎩ ⎫ ⎬ ⎭ + converges to 3. 4. Test the convergence of the sequence n n − 2 2 + { }. 5. Test the convergence of the sequence 3 4 2 1 n n + + { }. 6. Test the convergence of the sequence 3 1 2 + ⎧ ⎨ ⎩ ⎫ ⎬ ⎭ ( ) . − n n ANSWERS TO EXERCISE 2.1 4. Converges 5. Converges 6. Converges 2.2 SERIES Definition 2.8 If { } un be a sequence of real numbers, then the expression u1 + u2 + u3 + u4 + … + un + … is called an infinite series and it is denoted by u u n n n or ∑ ∑ = ∞ 1 . un is called the nth term of the series. 2.2.1 Convergent Series Definition 2.9 Let u u u u 1 2 3 + + + + +… … n be an infinite series. If s u u u s n n n then = + + 1 2 …+ , is called the nth partial sum of the series. If the sequence of partial sums { } sn converges to l, then we say that the series un n=1 ∞ ∑ converges to l and it is written as u l n n= ∞ ∑ 1 = . Then l is called the sum of the series. M02_ENGINEERING_MATHEMATICS-I _XXXX_CH02.indd 9 5/12/2016 10:53:28 AM
  • 163.
    2.10 ■ EngineeringMathematics 2.2.2 Divergent Series Definition 2.10 If the sequence of partial sums { } sn of the infinite series diverges, then the series un n= ∞ ∑ 1 diverges. That is, if lim , n n n n then →∞ = ∞ = ∞ ∑ s u 1 diverges to ` and if lim , n n →∞ = ∞ s − then un n= ∞ ∑ 1 diverges to −`. 2.2.3 Oscillatory Series Definition 2.11 If the sequence of partial sums { } sn of the infinite series diverges, but does not diverge to + ` or −`, then the sequence { } sn is said to oscillate. Then we say that the series un n= ∞ ∑ 1 is an oscillatory series. Examples (1) 1 1 2 1 2 1 2 1 2 2 3 + + + + + + … … n (2) 1 1 3 1 3 1 3 1 1 3 2 3 − + − + + + … − … ( )n n (3) 1 1 1 1 − + − +… (4) n n ! 2 1 n n n= ∞ ∑ (5) x n n p n − ∞ − ∑ 1 1 2 1 ( ) = 2.2.4 General Properties of Series 1. The convergence or divergence of an infinite series is unaffected by addition or removal of finite number of terms. 2. The convergence or divergence of an infinite series is unaffected when each term of the series is multiplied by a non-zero number. 3. If un n= ∞ ∑ 1 and vn n= ∞ ∑ 1 are convergent series with sums a and b respectively, then for any pair of real numbers l and m, the series [ ] l m u v n n n ± = ∞ ∑ 1 converges with sum l m a b ± . 2.3 SERIES OF POSITIVE TERMS The discussion of the convergence of any type of series of real numbers depend upon the series of positive terms. So, we shall discuss in detail the series with positive terms. Definition 2.12 A series un n , = ∞ ∑ 1 where u n n N ∀ ∈ 0 , is called a series of positive terms. A series of positive terms can either converge or diverge to `. It can never oscillate. 2.3.1 Necessary Condition for Convergence of a Series Theorem 2.1 If the series of positive terms ∑un is convergent, then lim n n →∞ u = 0 M02_ENGINEERING_MATHEMATICS-I _XXXX_CH02.indd 10 5/12/2016 10:53:35 AM
  • 164.
    Sequences and Series■ 2.11 Proof Let Sn = u1 + u2 + … + un−1 + un then Sn−1 = u1 + u2 + … + un−1 ∴ Sn − Sn−1 = un Since ∑un is convergent, lim , n n →∞ s l = where l is finite. ∴ lim lim( ) lim lim n n n n n n n n n →∞ →∞ − →∞ →∞ − = = − = − = u s s s s l l − 1 1 0 This is only a necessary condition, but not sufficient. That is if lim , n n →∞ u = 0 we cannot say the series is convergent. For example: the series 1 1 2 1 3 1 + + + + +… … n is divergent, but lim lim . n n n →∞ →∞ = u n 1 0 = * If lim , n n → ≠ ∞ u 0 then the series un n51 ∞ ∑ is not convergent. ■ 2.3.2 Test for Convergence of Positive Term Series The definition of convergence of a series depends on the limit of the sequence of partial sum { }. sn But in practice it will be difficult to find sn in many cases. So, it is necessary to device methods by which we can decide the convergence or divergence of a series without finding the partial sum sn . A standard technique used in studying convergence of positive term series is comparison test. The given series ∑un is compared with a known series ∑ vn , which is known as auxiliary series. 2.3.3 Comparison Tests 1. If ∑un and ∑vn are positive term series such that u c v n n n N ≤ ∀ ∈ , for some positive constant c, then ∑un is convergent if ∑vn is convergent. If un ≥ c vn ∀ n ∈N and if ∑vn is divergent, then ∑un is divergent. 2. Limit form: Let ∑un and ∑vn be two positive term series such that lim ( ). n n n →∞ ≠ u v l l = 0 Then ∑un and ∑vn behave alike. If ∑vn converges, then ∑un converges and if ∑vn diverges, then ∑un diverges. Here we compare ∑un with ∑vn . Proof Given ∑un and ∑v n are series of positive terms and lim ( ). n n n →∞ = ≠ u v l l 0 Since u v n n 0 for all n = 1, 2, 3, …, we have l 0. M02_ENGINEERING_MATHEMATICS-I _XXXX_CH02.indd 11 5/12/2016 10:53:45 AM
  • 165.
    2.12 ■ EngineeringMathematics Choose ε 0, such that l − ε 0. Then by the definition of limit, there exists a positive integer n0 such that u v l n n n n for all − ≥ ε 0 ∴ −ε ε − u v l n n [ ] { x a a x a − ⇒ − + ε ε ε ⇒ l u v l − ε + ε n n ⇒ ( ) ( ) l v u l v n n − + ∀ ≥ ε ε n n n 0 [ ] { v n n N ≥ ∀ ∈ 0 Consider u l v n n + ( ) ε Case (i): If ∑vn is convergent, then ∑vn is a finite number. ∴ ( ) l v + ε ∑ n is finite number But ∑ + ∑ u l v n n ( ) ε ∴ ∑ un a finite number ∀ ≥ n n0 ⇒ ∑ un a finite number as n → ∞ Hence, ∑un is convergent. Case (ii): If ∑vn is divergent, then ∑ → ∞ → ∞ v n n as Consider ( ) l v u n n − ∀ ≥ ε n n 0 ∴ ( ) l v u − ε ∑ ∑ n n ⇒ ∑ − ∑ u l v n n ( ) ε ⇒ ∑ → ∞ → ∞ u n n as ∴ ∑un is divergent. ■ Note 1. If l = 0, then ∑un is convergent if ∑vn is convergent. 2. If l u = ∞ ∑ , then n is divergent if ∑vn is divergent. 3. In order to discuss the convergence of ∑un by comparison test, we consider ∑vn whose convergence is known already. Two standard series used for comparison are the following. (i) The geometric series with positive terms a ar ar + + + … 2 , where a 0 and r 0. It converges if 0 1 r and diverges if r ≥1. (ii) The p-series is 1 1 1 2 1 3 1 1 1 p p p p p + + + + = = ∞ ∑ +… … n n n , where p 0. It converges if p 1 and diverges if p ≤ 1. The p-series is also known as harmonic series of order p. In many problems, the auxiliary series is chosen as the p-series for particular values of p. M02_ENGINEERING_MATHEMATICS-I _XXXX_CH02.indd 12 5/12/2016 10:53:58 AM
  • 166.
    Sequences and Series■ 2.13 For choosing the auxiliary series we write un in the form f n 1 ⎛ ⎝ ⎜ ⎞ ⎠ ⎟ , then decide vn . For example if u n f n n p = ⎛ ⎝ ⎜ ⎞ ⎠ ⎟ 1 1 , Then we take v n n p = 1 , p 0. WORKED EXAMPLES EXAMPLE 1 Test the convergence of the series 1 1 2 3 3 2 3 4 5 3 4 6 ⋅ ⋅ ⋅ ⋅ ⋅ 1 1 1 ⋅ …. Solution. Let the given series be ∑un . ∴ ∑ = ⋅ ⋅ + ⋅ ⋅ + ⋅ ⋅ + un 1 1 2 3 3 2 3 4 5 3 4 6 … The numerators 1 3 5 1 1 2 2 1 , , , ( ]. … + − are in A.P. So, the term is ) th n n n = − In the denominator, first factors are 1, 2, 3,… and the nth term is n, the second factors are 2, 3, 4,… and the nth term is (n + 1) and the third factors are 3, 4, 5,… and the nth term is n + 2. Then the nth term is u n n n n n n n n n n n = + + = ⎛ ⎝ ⎜ ⎞ ⎠ ⎟ + ⎛ ⎝ ⎜ ⎞ ⎠ ⎟ + ⎛ ⎝ ⎜ ⎞ ⎠ ⎟ = 2 1 1 2 2 1 1 2 1 1 1 2 2 3 2 − − ( )( ) 1 1 1 2 1 1 1 2 − ⎛ ⎝ ⎜ ⎞ ⎠ ⎟ + ⎛ ⎝ ⎜ ⎞ ⎠ ⎟ + ⎛ ⎝ ⎜ ⎞ ⎠ ⎟ n n n Take 1 n 2 n 5 n ∴ n n u v n n n n n = ⎛ ⎝ ⎜ ⎞ ⎠ ⎟ + ⎛ ⎝ ⎜ ⎞ ⎠ ⎟ + ⎛ ⎝ ⎜ ⎞ ⎠ ⎟ × = − 2 1 1 2 1 1 1 2 2 1 1 2 2 − 2 2 1 1 1 2 n n n ⎛ ⎝ ⎜ ⎞ ⎠ ⎟ + ⎛ ⎝ ⎜ ⎞ ⎠ ⎟ + ⎛ ⎝ ⎜ ⎞ ⎠ ⎟ ∴ lim lim ( ) n n n n →∞ →∞ − ⎛ ⎝ ⎜ ⎞ ⎠ ⎟ ⎛ ⎝ ⎜ ⎞ ⎠ ⎟ + ⎛ ⎝ ⎜ ⎞ ⎠ ⎟ = ≠ u v n n n = + 2 1 1 2 1 1 1 2 2 0 ⎡ ⎣ ⎢ ∴ 1 0 n → ⎤ ⎦ ⎥ as n → ∞ ∴ by comparison test ∑un and ∑vn behave alike. But ∑ ∑ v n n = 1 2 is convergent, since p = 2 1 in p-series Hence, ∑un is convergent. EXAMPLE 2 Test the convergence of ( 1)( 2) . 2 n 1 n n n n 1 1 5 ⎛ ⎝ ⎜ ⎞ ⎠ ⎟ ∑ ∞ Solution. Let the given series be ∑un . ∴ ∑ = + + ⎛ ⎝ ⎜ ⎞ ⎠ ⎟ = ∞ ∑ u n n n n n n ( )( ) 1 2 2 1 M02_ENGINEERING_MATHEMATICS-I _XXXX_CH02.indd 13 5/12/2016 10:54:04 AM
  • 167.
    2.14 ■ EngineeringMathematics Then the nth term is u n n n n n n n n n n n n = + + = + ⎛ ⎝ ⎜ ⎞ ⎠ ⎟ + ⎛ ⎝ ⎜ ⎞ ⎠ ⎟ = + ⎛ ⎝ ⎜ ⎞ ⎠ ⎟ + ⎛ ( )( ) 1 2 1 1 1 2 1 1 1 2 2 2 2 ⎝ ⎝ ⎜ ⎞ ⎠ ⎟ n Take n 5 n 1 n ∴ u v n n n n n n n n = + ⎛ ⎝ ⎜ ⎞ ⎠ ⎟ + ⎛ ⎝ ⎜ ⎞ ⎠ ⎟ × = + ⎛ ⎝ ⎜ ⎞ ⎠ ⎟ + ⎛ ⎝ ⎜ ⎞ ⎠ ⎟ 1 1 1 2 1 1 1 2 ∴ lim lim ( )( ) ( ) n n n n →∞ →∞ = + ⎛ ⎝ ⎜ ⎞ ⎠ ⎟ + ⎛ ⎝ ⎜ ⎞ ⎠ ⎟ = + + = ≠ u v n n 1 1 1 2 1 0 1 0 1 0 { 1 0 n n → → ∞ ⎡ ⎣ ⎢ ⎤ ⎦ ⎥ as But ∑ = ∑ v n n 1 1 2 / is divergent, since p = 1 2 1 in p-series. Hence, ∑un is divergent. EXAMPLE 3 Discuss the convergence of 1 3 3 1 2 5 n n ( ) ∞ ∑ n 1 . Solution. Let the given series be ∑un . ∴ ∑ = + − ( ) = ∞ ∑ u n n n n 1 3 3 1 Then the nth term is u n n n n n n n n = + − = + − = + ⎛ ⎝ ⎜ ⎞ ⎠ ⎟ − ⎡ ⎣ ⎢ ⎤ ⎦ ⎥ 1 1 1 1 1 1 3 3 3 3 3 1 3 / For large values of n, 1 1 3 n , so expanding by binomial series, we get, 1 1 1 1 3 1 1 3 1 3 1 2 1 1 3 1 3 1 3 1 3 3 3 2 + ⎛ ⎝ ⎜ ⎞ ⎠ ⎟ = ⋅ + − ⎛ ⎝ ⎜ ⎞ ⎠ ⎟ ⎛ ⎝ ⎜ ⎞ ⎠ ⎟ + − ⎛ ⎝ ⎜ n n n / ! + ⎞ ⎞ ⎠ ⎟ − ⎛ ⎝ ⎜ ⎞ ⎠ ⎟ ⎛ ⎝ ⎜ ⎞ ⎠ ⎟ + 1 3 2 3 1 3 3 ! n … ⇒ = + ⋅ − + + ⎛ ⎝ ⎜ ⎞ ⎠ ⎟ − = ⋅ − ⋅ + 1 1 3 1 1 9 1 1 1 1 1 3 1 1 9 1 3 6 3 1 3 3 6 n n n n n … … / ∴ n n n n n n 1 1 1 1 3 1 1 9 1 1 3 1 1 9 1 3 1 3 3 6 2 + ⎛ ⎝ ⎜ ⎞ ⎠ ⎟ − ⎡ ⎣ ⎢ ⎤ ⎦ ⎥ = ⋅ − ⋅ + ⎛ ⎝ ⎜ ⎞ ⎠ ⎟ = ⋅ − ⋅ / … n n n n 5 2 3 1 1 3 1 9 1 + = − ⋅ + ⎛ ⎝ ⎜ ⎞ ⎠ ⎟ … … M02_ENGINEERING_MATHEMATICS-I _XXXX_CH02.indd 14 5/12/2016 10:54:09 AM
  • 168.
    Sequences and Series■ 2.15 ∴ u n n 2 3 1 1 3 1 9 1 = − ⋅ + ⎛ ⎝ ⎜ ⎞ ⎠ ⎟ … n Take n 5 n 2 1 n ∴ ∴ u v n n n n n n = − ⋅ + ⎛ ⎝ ⎜ ⎞ ⎠ ⎟ × = − + 1 1 3 1 9 1 1 3 1 9 1 2 3 2 3 … … ∴ lim lim ( ) n n n n →∞ →∞ = − ⋅ + ⎛ ⎝ ⎜ ⎞ ⎠ ⎟ = ≠ u v n 1 3 1 9 1 1 3 0 3 … { 1 0 3 n n → → ∞ ⎡ ⎣ ⎢ ⎤ ⎦ ⎥ as ∴ by comparison test, ∑un and ∑vn behave alike. But ∑ = ∑ v n n 1 2 is convergent, since p = 2 1 in p-series. Hence, ∑un is convergent. EXAMPLE 4 Test the convergence of n n 4 4 1 1 2 2 5 1 1 ( ) ∞ ∑ . n Solution. Let the given series be ∑un . ∴ ∑ = + − − ( ) = ∞ ∑ u n n n n 4 4 1 1 1 Then the nth term is u n n n = + − − 4 4 1 1 = + − + ( ) + + − ( ) + + − = + − − + + − = + n n n n n n n n n n n 4 4 4 4 4 4 4 4 4 4 4 1 1 1 1 1 1 1 1 1 1 2 ( ) 1 1 1 2 1 1 1 1 2 1 1 1 1 4 2 4 2 4 2 4 4 + − = + ⎛ ⎝ ⎜ ⎞ ⎠ ⎟ + − ⎛ ⎝ ⎜ ⎞ ⎠ ⎟ = + + − ⎛ ⎝ ⎜ ⎞ ⎠ ⎟ n n n n n n n n Take n 5 n 2 1 n ∴ u v n n n n n n n n = × + + − ⎛ ⎝ ⎜ ⎞ ⎠ ⎟ = + + − 2 1 1 1 1 2 1 1 1 1 2 2 4 4 4 4 ∴ lim lim ( ) n n n n →∞ →∞ = + + − = + = ≠ u v n n 2 1 1 1 1 2 1 1 1 0 4 4 { 1 0 4 n n → → ∞ ⎡ ⎣ ⎢ ⎤ ⎦ ⎥ as M02_ENGINEERING_MATHEMATICS-I _XXXX_CH02.indd 15 5/12/2016 10:54:15 AM
  • 169.
    2.16 ■ EngineeringMathematics ∴ by comparison test, ∑un and ∑vn behave alike. But ∑ = ∑ v n n 1 2 is convergent, since p = 2 1 in p-series. Hence, ∑un is convergent. EXAMPLE 5 Discuss the convergence of n n n 1 2 5 1 p n ⎛ ⎝ ⎜ ⎞ ⎠ ⎟ ∞ ∑1 . Solution. Let the given series be ∑un . ∴ ∑ = + − ⎛ ⎝ ⎜ ⎞ ⎠ ⎟ = ∞ ∑ u n n n n p n 1 1 Then the nth term is u n n n n p = + − 1 = + ( ) + + ( ) + + ( ) = + − + + ( ) = + + ( ) = ⋅ n n n n n n n n n n n n n n n n n 1 1 1 1 1 1 1 1 1 − p p p p /2 2 1 2 1 1 1 1 1 1 1 + + ⎛ ⎝ ⎜ ⎞ ⎠ ⎟ = + + ⎛ ⎝ ⎜ ⎞ ⎠ ⎟ + n n n p / Take n 5 1 n p 1 2 1 n ∴ u v n n n n n n p p = + + ⎛ ⎝ ⎜ ⎞ ⎠ ⎟ × = + + ⎛ ⎝ ⎜ ⎞ ⎠ ⎟ + + 1 1 1 1 1 1 1 1 1 2 1 2 ∴ lim lim ( ) n n n n →∞ →∞ = + + ⎛ ⎝ ⎜ ⎜ ⎞ ⎠ ⎟ ⎟ = + = ≠ u v n 1 1 1 1 1 1 1 1 2 0 { 1 0 n n → → ∞ ⎡ ⎣ ⎢ ⎤ ⎦ ⎥ as ∴ by comparison test ∑un and ∑vn behave alike. But ∑ = ∑ + v n n p 1 1 2 is convergent if p p + ⇒ 1 2 1 1 2 and divergent if p p + ≤ ⇒ ≤ 1 2 1 1 2 Hence, ∑un is convergent if p 1 2 and divergent if p ≤ 1 2 M02_ENGINEERING_MATHEMATICS-I _XXXX_CH02.indd 16 5/12/2016 10:54:21 AM
  • 170.
    Sequences and Series■ 2.17 EXAMPLE 6 Discuss the convergence of 3 1 2 1 n n n 2 1 51 ∞ ∑ . Solution. Let the given series be ∑un . ∴ ∑ = − + = ∞ ∑ un n n n 3 1 2 1 1 Then the nth term is un n n = − + 3 1 2 1 = − + = ⎛ ⎝ ⎜ ⎞ ⎠ ⎟ − + 3 1 1 3 2 1 1 2 3 2 1 1 3 1 1 2 2 2 2 n n n n n n n Take n 5 n n 2 3 2 ⎛ ⎝ ⎜ ⎞ ⎠ ⎟ ∴ u v n n n n n n n n = ⎛ ⎝ ⎜ ⎞ ⎠ ⎟ − + ⎛ ⎝ ⎜ ⎞ ⎠ ⎟ = − + 3 2 1 1 3 1 1 2 3 2 1 1 3 1 1 2 2 2 lim lim ( ) n n n n n n →∞ →∞ = − + = ≠ u v 1 1 3 1 1 2 1 0 { 1 3 1 2 0 n n as , → → ∞ ⎡ ⎣ ⎢ ⎤ ⎦ ⎥ n ∴ by comparison test, ∑un and ∑vn behave alike. But ∑ = ⎛ ⎝ ⎜ ⎞ ⎠ ⎟ = ⎛ ⎝ ⎜ ⎞ ⎠ ⎟ = ∞ = ∞ ∑ ∑ vn n n n n 3 2 3 2 2 1 1 is a geometric series with common ratio r = 3 2 1 ∴ ∑vn is divergent. Hence, ∑un is divergent. EXERCISE 2.2 Test the convergence of the following series: 1. 1 1 2 1 2 3 1 3 4 ⋅ + ⋅ + ⋅ +… 2. 2 3 5 7 3 3 1 n n + + = ∞ ∑ n 3. 1 1 2 0 0 1 ( ) ( ) , , + + = ∞ ∑ n n p q p q n 4. 1 1 2 2 1 2 3 1 2 1 2 3 + + + + + + − − − … M02_ENGINEERING_MATHEMATICS-I _XXXX_CH02.indd 17 5/12/2016 10:54:27 AM
  • 171.
    2.18 ■ EngineeringMathematics 5. 1 2 3 4 3 4 5 6 5 6 7 8 2 2 2 2 2 2 ⋅ ⋅ + ⋅ ⋅ + ⋅ ⋅ +… 6. 1 2 1 2 1 3 2 3 2 1 1 1 2 2 2 2 2 2 2 2 2 2 2 + − + + − + + + − − + − + = ⎡ ⎣ ⎢ … … n n n n v n ( ) ( ) Take n ⎤ ⎤ ⎦ ⎥ 7. n n n p n + − = ∞ ∑ 1 1 8. 1 2 n n log n= ∞ ∑ 9. 1 1 2 2 3 3 4 2 2 3 3 4 + + + +… 10. 3 1 2 5 2 3 7 3 4 2 2 2 2 2 2 ⋅ + ⋅ + ⋅ +… 11. Test the convergence of the series 1 1 1 n n + + ⎛ ⎝ ⎜ ⎞ ⎠ ⎟ = ∞ ∑ n . 12. Test the convergence of n n 2 + − = 1 1 ( ) ∞ ∑ . n 13. Test the convergence of the series 2 1 3 1 3 1 4 1 4 1 5 1 3 3 3 − − + − − + − − + ∞ … . 14. Test the convergence of the series 2 1 3 2 4 3 p p p + + +…. 15. Test the convergence of 1 1 1 n n sin . n= ∞ ∑ ANSWERS TO EXERCISE 2.2 1. Convergent 2. Divergent 3. Convergent if p + q 1 and divergent if p + q ≤ 1 4. Divergent 5. Convergent 6. Divergent 7. Convergent if p − 3 2 and divergent if p ≥ − 3 2 8. Divergent 9. Divergent 10. Convergent 11. Divergent 12. Divergent 13. Convergent 14. Convergent if p 2 and divergent if p ≤ 2 15. Convergent 2.3.4 De’ Alembert’s Ratio Test Let un n= ∞ ∑ 1 be a series of positive terms such that lim . n n n →∞ + = u u l 1 Then the series ∑un is convergent if l 1, divergent if l 1 and the test fails to give a definte result if l = 1. That is ∑un may converge or diverge if l = 1. M02_ENGINEERING_MATHEMATICS-I _XXXX_CH02.indd 18 5/12/2016 10:54:35 AM
  • 172.
    Sequences and Series■ 2.19 Proof Given ∑un is a series of positive terms and lim . n n n →∞ + = u u l 1 Since u n u u l n n n N ∀ ∈ ⇒ + 0 0 0 1 , . Since lim , n n n →∞ + = u u l 1 by definition of limit, given ε 0, there exists a positive integer n0 such that u u l n n n n+ − ∀ ≥ 1 0 ε ⇒ − − ∀ ≥ + ε ε u u l n n n n 1 0 ⇒ l u u l n n − ε ε + ∀ ≥ + n n 1 0 (i) Let l 1: Choose ε 0 such that l − ε 1, then l u u l n m n m − + ∀ ≥ + ε ε ε n n for this is 1 0 [ ] , Consider l u u n m − ∀ ≥ + ε n n 1 ⇒ u u l n m n n+ − ∀ ≥ 1 ε Replace n by m, m + 1, m + 2, …, n − 1; we get u u l m m+ − 1 ε, u u l u u l u u l m m m m n n , , , + + + + − − − − 1 2 2 3 1 ε ε … ε Multiplying all these inequalities, we get u u u u u u u u m m m m m m n n + + + + + − ⋅ ⋅ 1 1 2 2 3 1 … − − − ( )( ) ( ) l l l ε ε … ε [n − m factors] ⇒ u u l n m m n n m − ( ) ∀ ≥ + ⇒ − ε 1 ⇒ u u l l n m m n n m − − ∀ ≥ + ε ε 1 ( ) ( ) M02_ENGINEERING_MATHEMATICS-I _XXXX_CH02.indd 19 5/12/2016 10:54:41 AM
  • 173.
    2.20 ■ EngineeringMathematics ⇒ u l l u n m m m n n ( ) ( ) − − ∀ ≥ + ⇒ ε ε 1 ⇒ u u l l n m n m m n ( ) ( ) − ⋅ − ∀ ≥ + ε ε 1 1 ⇒ ∑ − ∑ − ∀ ≥ + u u l l n m n m m n ( ) ( ) ε ε 1 1 But ∑ − 1 ( ) l ε n is an infinite geometric series with r l = − 1 1 ε { l l − ⇒ − ⎡ ⎣ ⎢ ⎤ ⎦ ⎥ ε ε 1 1 1 ∴ ∑ − 1 ( ) l ε n converges as n → ∞ ∴ ∑un is convergent if l 1 (ii) Let l , 1: Choose ε 0 such that l + ε 1. Then there exists a positive integer k such that l u u l n k − ε ε + ∀ ≥ + n n 1 [for this ε, n0 is k] Consider u u l n k n n+ + ∀ ≥ 1 ε . Replacing n by k, k + 1, k + 2, …, n − 1, we get u u l u u u u k k k k n n , , + + + + 1 1 2 1 ε + ε …, + ε − l l Multiplying all these inequalities, we get u u u u u u l l l k k k k n n + + + − ⋅ + + + 1 1 2 1 … ε ε … ε ( )( ) ( ) [(n−k) factors] ⇒ u u l l l k n n k n k + = + + ( ) ( ) ( ) ε ε ε − ⇒ u l l u k k n n + ⋅ + ( ) ( ) ε ε 1 ⇒ u u l l n k k n + ⋅ + ( ) ( ) ε ε 1 ⇒ u u l l n k k n ∑ + ∑ + ( ) ( ) . ε ε 1 M02_ENGINEERING_MATHEMATICS-I _XXXX_CH02.indd 20 5/12/2016 10:54:46 AM
  • 174.
    Sequences and Series■ 2.21 But ∑ + 1 ( ) l ε n is a geometric series with common ratio r l = + 1 1 ε { l l + + ⎡ ⎣ ⎢ ⎤ ⎦ ⎥ ε ε 1 1 1 , ∴ the series ∑ + 1 ( ) l ε n is divergent. Hence, ∑un is divergent if l 1. (iii) Let l = 1. Then ∑un may converge or diverge. Consider ∑ = ∑ u n n 1 . We have n n n n n lim lim lim →∞ + → →∞ = + = + ⎛ ⎝ ⎜ ⎞ ⎠ ⎟ = u u n n n 1 1 1 1 1 ∞ But ∑ 1 n is divergent, since p = 1 in p-series. Now consider the series ∑ = ∑ u n n 1 2 ∴ = + →∞ + →∞ lim lim ( ) n n n n u u n n 1 2 2 1 = + ⎛ ⎝ ⎜ ⎞ ⎠ ⎟ = → lim n ∞ 1 1 1 2 n But ∑ 1 2 n is convergent, since p = 2 1 in p-series. So, when lim , n n n → + = ∞ u u 1 1 the test fails to give definite answer as ∑un may be convergent or divergent. ■ Note Sometimes this test is stated as below. If n n n lim , → + = ∞ u u l 1 then ∑un is convergent if l 1 and divergent if l 1. The test fails if l = 1. WORKED EXAMPLES EXAMPLE 1 Test the convergence of the series n n ! . 2 1 n n n5 ∞ ∑ Solution. Let the given series be ∑un . ∴ ∑ = = ∑ u n n n n n n !2 1 ∞ Then u n n n n n = !2 and u n n n n n + + + 1 1 1 1 2 1 = + + ( )! ( ) M02_ENGINEERING_MATHEMATICS-I _XXXX_CH02.indd 21 5/12/2016 10:54:54 AM
  • 175.
    2.22 ■ EngineeringMathematics ∴ u u n n n n n n n n n n + + = ⋅ + + 1 1 1 2 1 1 2 ! ( ) ( )! + = + + ( )( ) ( ) n n n n +1 1 2 1 n n = + ⎛ ⎝ ⎜ ⎞ ⎠ ⎟ = + ⎛ ⎝ ⎜ ⎞ ⎠ ⎟ n n n n 1 1 2 1 2 1 1 n n n n ∴ lim lim [ ] n n n n n →∞ + → = + ⎛ ⎝ ⎜ ⎞ ⎠ ⎟ = u u n e e 1 1 2 1 1 2 1 2 3 ∞ { ∴ by De’Alembert’s ratio test ∑un is convergent. EXAMPLE 2 Test the convergence or divergence of the series x x x x 1 2 2 3 3 4 0 ⋅ ⋅ ⋅ 1 1 1 2 3 …∞, . Solution. Let the given series be ∑un . ∴ ∑ = ⋅ + ⋅ + ⋅ u x x x n 1 2 2 3 3 4 2 3 +… Then u x n n u x n n n n n n and = + = + + + ( ) ( )( ) 1 1 2 1 1 + ∴ u u x n n n n x n n x n x n n n n + + = + ⋅ + = + ⋅ = + ⎡ ⎣ ⎢ ⎤ ⎦ ⎥⋅ 1 1 1 1 2 2 1 1 2 1 ( ) ( )( ) + ∴ lim lim , n n n n →∞ + → = + ⎛ ⎝ ⎜ ⎞ ⎠ ⎟ ⋅ = u u n x x x 1 1 2 1 1 0 ∞ ∴byDe’Alemberts’ratiotest, ∑un isconvergentif 1 1 1 x x ⇒ anddivergentif 1 1 1 x x ⇒ . If x = 1, then the test fails to give a conclusion. In this case, the series becomes 1 1 2 1 2 3 1 3 4 ⋅ + ⋅ + ⋅ ∞ +… ∴ u n n n n n = + = ⎛ ⎝ ⎜ ⎞ ⎠ ⎟ 1 1 1 1 1 2 ( ) + . Take v n n = 1 2 ∴ u v n n n n n n = ⎛ ⎝ ⎜ ⎞ ⎠ ⎟ × = + 1 1 1 1 1 1 2 2 + M02_ENGINEERING_MATHEMATICS-I _XXXX_CH02.indd 22 5/12/2016 10:55:04 AM
  • 176.
    Sequences and Series■ 2.23 ∴ lim lim ( ) n n n n →∞ →∞ = + = u v n 1 1 1 1 0 ≠ ∴ ∑un and ∑vn behave alike by comparison test. But ∑ ∑ v n n = 1 2 is convergent, since p = 2 1 in p-series. ∴ ∑un is convergent if x = 1. Hence, the given series is convergent if 0 x ≤ 1 and divergent if x . 1. EXAMPLE 3 Test for the convergence of the series 1 2 1 3 2 4 3 5 4 2 4 6 1 1 1 1 x x x …∞. Solution. Let the given series be ∑un ∴ ∑ = + + + ∞ u x x x n 1 2 1 3 2 4 3 5 4 2 4 6 +… Then u x n n n n = + 2 2 1 − ( ) and u x n n x n n n n n + + = + + + = + 1 2 1 2 2 1 1 1 2 1 ( ) ( ) ( ) − + ∴ u u x n n n n x n n n n x n n n n n + − = + ⋅ + = + + + ⋅ = + ⎛ ⎝ ⎜ ⎞ ⎠ ⎟ + 1 2 2 2 2 1 2 1 2 1 1 1 1 2 1 ( ) ( ) + 1 1 1 1 1 2 n n x + ⋅ . ∴ lim lim , n n n n →∞ + → = + ⎛ ⎝ ⎜ ⎞ ⎠ ⎟ + ⎛ ⎝ ⎜ ⎞ ⎠ ⎟ ⋅ = ≠ u u n n n x x x 1 2 2 1 2 1 1 1 1 1 1 0 ∞ + ∴ by De’Alembert’s ratio test, ∑un is convergent if 1 1 2 x ⇒ ⇒ x x 2 1 1 1 − , x ≠ 0 and divergent if 1 1 1 2 2 x x ⇒ ⇒ x x −1 1 or . If x = 0, the series is convergent, trivially. If 1 1 1 1 2 2 x x x = ⇒ = ⇒ = ± , the test fails to give a conclusion. M02_ENGINEERING_MATHEMATICS-I _XXXX_CH02.indd 23 5/12/2016 10:55:13 AM
  • 177.
    2.24 ■ EngineeringMathematics In this case, the series is 1 2 1 1 3 2 1 4 3 + + +… ∴ u n n n n n = = + ⎡ ⎣ ⎢ ⎤ ⎦ ⎥ 1 1 1 1 1 3 2 ( ) + . Take v n n = 1 3 2 ∴ u v n n n n n n = + ⎛ ⎝ ⎜ ⎞ ⎠ ⎟ = ⎛ ⎝ ⎜ ⎞ ⎠ ⎟ 3 2 3 2 1 1 1 1 + ∴ lim lim n n n n →∞ → = + ⎛ ⎝ ⎜ ⎞ ⎠ ⎟ = ≠ ( ) u v n ∞ 1 1 1 0 So, by comparison test ∑un and ∑vn behave alike. But ∑ ∑ v n n = 1 3 2 is convergent, since p = 3 2 1 in p-series ∴ ∑un is convergent if x2 1 = . When x = 0 the series is trivially convergent Hence, the given series is convergent if −1 1 ≤ ≤ x and is divergent if x x −1 1 or . EXAMPLE 4 Discuss the convergence of the series 1 1 1 1 2 1 1 3 1 1 4 2 3 4 1 1 1 1 1 1 1 1 x x x x …∞, for positive values of x. Solution. Let the given series be ∑un ∴ ∑ = + + + + + + + u x x x x n 1 1 1 1 2 1 1 3 1 1 4 2 3 4 +… Then u nx n n = 1 1+ and u n x n n + + = + 1 1 1 1 1 ( ) + ∴ u u n x nx n n n n + = + + 1 1 1 1 1 ( ) + + ⇒ u u n x nx nx nx nx n n n n n n n Dividing Nr and Dr by + + = + + + ⎡ ⎣ ⎤ ⎦ 1 1 1 1 1 ( ) = = + + ⎛ ⎝ ⎜ ⎞ ⎠ ⎟ + = + + ⎛ ⎝ ⎜ ⎞ ⎠ ⎟ 1 1 1 1 1 1 1 1 1 nx n n x nx nx n x nx n n n n + M02_ENGINEERING_MATHEMATICS-I _XXXX_CH02.indd 24 5/12/2016 10:55:26 AM
  • 178.
    Sequences and Series■ 2.25 ∴ lim lim , . n n n n n n →∞ + → = + ⎛ ⎝ ⎜ ⎞ ⎠ ⎟ + u u nx n x nx x 1 1 1 1 1 1 0 ∞ + If x 1, then 1 0 nx n n as → → ∞ and 1 0 n n → → as ∞ ∴ lim n n n →∞ u u x + = 1 1 ∴ by De’Alembert’s ratio test, the series ∑ un is convergent if x 1 If x = 1, then the series becomes 1 2 1 3 1 4 + + +…, which is divergent, since p p = 1, in -series If 0 x 1, then x n n ∀ 1 1 ≥ ∴ nx n n n ≥ ∀ 1 ∴ 1 1 1 1 2 + + x x 2 ⇒ 1 2 1 2 3 1 1 2 1 3 2 2 + = ⇒ + x x + 1 3 1 3 4 1 1 3 1 4 2 2 + + = ⇒ + x x and so on. ∴ 1 1 1 1 + nx n n + … , ∴ 1 1 1 1 2 1 1 3 1 2 1 3 1 4 2 2 + + + + + + + x x x … + +…, which is divergent. ∴ ∑un is divergent if 0 x 1. Thus, the given series is convergent if x 1 and divergent if 0 x ≤ 1. EXERCISE 2.3 Test for the convergence or divergence of the following series. 1. 1 2 2 3 3 4 4 + + + p p p ! ! ! +…∞, p 0 2. n n !3 1 n n n= ∞ ∑ 3. 1 1 2 2 1 2 3 1 3 2 2 + + + + + +… 4. 1 2 5 6 9 14 17 2 2 2 1 0 2 2 3 1 + + + + + − + ∞ ≥ x x x x x n … +… − n n n , , 5. n n x x +1 0 1 n n , = ∞ ∑ 6. n n x x 2 1 1 0 + n n = ∞ ∑ , M02_ENGINEERING_MATHEMATICS-I _XXXX_CH02.indd 25 5/12/2016 10:55:36 AM
  • 179.
    2.26 ■ EngineeringMathematics 7. x x x n n n 1 0 2 1 + , = ∞ ∑ 8. 1 1 2 1 3 5 1 2 3 1 3 5 7 9 2 2 2 2 2 + ⋅ ⋅ ⋅ + ⋅ ⋅ ⋅ ⋅ ⋅ ⋅ +… 9. 4 18 4 12 18 27 4 12 20 18 27 36 + ⋅ ⋅ + ⋅ ⋅ ⋅ ⋅ +… 10. 1 1 2 2 3 3 4 4 0 2 2 3 3 4 4 ⋅ + + + x x x x x ! ! ! ! , +… 11. x x x x x 1 1 2 3 1 3 2 4 5 1 3 5 2 4 6 7 0 3 5 7 + ⋅ + ⋅ ⋅ ⋅ ⋅ ⋅ ⋅ + +… , 12. 2 1 3 1 3 1 4 1 4 1 5 1 3 3 3 − − + − − + − − +… 13. 1 4 1 3 4 7 1 3 5 4 7 10 1 3 5 7 4 7 10 13 + ⋅ ⋅ + ⋅ ⋅ ⋅ ⋅ + ⋅ ⋅ ⋅ ⋅ ⋅ ⋅ +… 14. n n n x x ( )( ) , + + = ∞ ∑ 1 2 0 1 n n 15. Prove that the series 1 1 1 1 2 1 1 2 1 + + + + + + + + a b a a b b ( )( ) ( )( ) + ( )( )( ) ( )( ) a a a b b + + + + + 1 2 1 3 1 1 3 1 +…∞ converges if b a 0 and diverges if a ≥ b 0. 16. Discuss the convergence of the series n3 1 1 2 1 + n n + = ∞ ∑ . 17. Test the convergence of the series shown below 1 1 3 5 2 p p p + + + x x +… x p x n p n and − − + 1 2 1 0 0 ( ) , . …∞ 18. Test the convergence of the series 1 3 2 3 3 3 4 3 5 3 2 2 2 3 2 4 2 5 + + + + +… by ratio test. 19. Test for the convergence of the series x x x x x 1 2 3 4 5 6 0 1 ⋅ + ⋅ + ⋅ ≠ 2 3 and +…, . ANSWERS TO EXERCISE 2.3 1. Convergent for all p 0 2. Divergent 3. Convergent 4. Convergent if 0 x 1; divergent if x ≥ 1 5. Convergent if 0 x 1; divergent if x ≥ 1 6. Convergent if 0 x 1; divergent if x ≥ 1 7. Convergent if 0 x 1; and x 1; divergent if x = 0 8. Divergent 9. Convergent 10. Convergent if 0 1 x e ; divergent if x e ≥ 1 11. Convergent if 0 1 x ≤ ; divergent if x 1 12. Convergent 13. Convergent 14. Convergent if 0 x 1 and divergent if x ≥ 1 16. Convergent 17. Convergent if 0 x 1, p 0 and if x = 1, p 1. It is divergent if x 1, p 0 and if x = 1, p ≤ 1. 18. Convergent 19. The series ∑un is convergent if x 1 and divergent if x 1. M02_ENGINEERING_MATHEMATICS-I _XXXX_CH02.indd 26 5/12/2016 10:56:07 AM
  • 180.
    Sequences and Series■ 2.27 2.3.5 Cauchy’s Root Test If un n= ∞ 1 ∑ is a series of positive terms and lim , n n n → = ∞ u l 1 then ∑un converges if l 1 and diverges if l 1. The test fails to give a definite conclusion if l = 1. Proof Given un n=1 ∞ ∑ is a series of positive terms and lim n n n →∞ = u l 1 ∴ by the definition of limit, given ε 0, there exists an integer n0 such that u l n n 1 − ε for n $ n0 ⇒ − + ≥ l u l n n ε ε n n for 1 0 (i) Let l 1. Choose ε 0 such that l + ε 1. Then there exists a positive m such that l u l n m − ε ε + ∀ ≥ n n 1 ⇒ ( ) ( ) l u l n m − ε + ε n n n ∀ ≥ Consider u l u l n n n n ⇒ ∑ ∑ + ( ) ( ) + ε ε But ∑( ) l + ε n is a geometric series with common ratio r l = + ε 1 ∴ the series ∑( ) l + ε n is convergent. Hence, ∑un is convergent by comparison test (ii) Let l 1. Choose ε 0 such that l − ε 1. Then there exists a positive integer k such that l u l n k − + ≥ ε ε n n for all 1 ⇒ l u l n k ≥ − ε + ε n n for all 1 ( ) ( ) n Consider ( ) ( ) l u u l n k − ε ε n n n n ⇒ − ∀ ≥ ∴ ∑ ∑ u l n n ( ) − ε But ∑( ) l − ε n is a geometric series with common ratio r = l – ε 1 ∴ ∑( ) l − ε n is divergent. Hence, ∑un is divergent by comparison test. M02_ENGINEERING_MATHEMATICS-I _XXXX_CH02.indd 27 5/12/2016 10:56:14 AM
  • 181.
    2.28 ■ EngineeringMathematics (iii) If l = 1, then the test fails to give a definite conclusion. Consider ∑ 1 n and ∑ 1 2 n , we find that lim lim n n n n n →∞ → = ⎛ ⎝ ⎜ ⎞ ⎠ ⎟ = u n 1 1 1 1 ∞ and lim lim n n n n n →∞ → = ⎛ ⎝ ⎜ ⎞ ⎠ ⎟ = u n 1 2 1 1 1 ∞ But ∑ 1 n is divergent and ∑ 1 2 n is convergent. ∴ ∑un may be convergent or divergent if l = 1 ■ Note 1. Root test is more general or stronger than the ratio test, because there are cases where the ratio test fails but root test gives definite conclusion. 2. The root test is used when the general term un contains index interms of n. WORKED EXAMPLES EXAMPLE 1 Test the convergence of 1 1 2 1 1 2 5 n ⎛ ⎝ ⎜ ⎞ ⎠ ⎟ ∞ ∑ n n . Solution. Let the given series be ∑un . ∴ ∑ = ⎛ ⎝ ⎜ ⎞ ⎠ ⎟ = ∞ ∑ u n n n n 1 1 2 1 + − Then u n n n = ⎛ ⎝ ⎜ ⎞ ⎠ ⎟ − 1 1 2 + ⇒ ( ) u n n n n n n n 1 1 1 1 1 1 2 = + ⎛ ⎝ ⎜ ⎞ ⎠ ⎟ ⎡ ⎣ ⎢ ⎤ ⎦ ⎥ = + ⎡ ⎣ ⎢ ⎤ ⎦ ⎥ − − ∴ lim lim [ ] n n n n n → → = ⎛ ⎝ ⎜ ⎞ ⎠ ⎟ = = ∞ ∞ − − + u n e e e 1 1 1 1 1 1 2 3 { ∴ by Cauchy’s root test, ∑un is convergent. EXAMPLE 2 Test the convergence of 1 1 3 2 1 1 2 5 n ⎛ ⎝ ⎜ ⎞ ⎠ ⎟ ∞ ∑ n n . Solution. Let the given series be ∑un . ∴ ∑ = ⎛ ⎝ ⎜ ⎞ ⎠ ⎟ − = ∞ ∑ u n n n n 1 1 3 2 1 + M02_ENGINEERING_MATHEMATICS-I _XXXX_CH02.indd 28 5/12/2016 10:56:20 AM
  • 182.
    Sequences and Series■ 2.29 Then = ⎛ ⎝ ⎜ ⎞ ⎠ ⎟ + ⎛ ⎝ ⎜ ⎞ ⎠ ⎟ − u n n n n n 1 1 1 1 1 3 2 3 2 + = ⇒ [ ] u n n n n n 1 1 1 1 1 3 2 = ⎛ ⎝ ⎜ ⎞ ⎠ ⎟ ⎡ ⎣ ⎢ ⎢ ⎢ ⎢ ⎤ ⎦ ⎥ ⎥ ⎥ ⎥ + = + ⎛ ⎝ ⎜ ⎞ ⎠ ⎟ = ⎛ ⎝ ⎜ ⎞ ⎠ ⎟ = + ⎛ ⎝ ⎜ ⎞ ⎠ ⎟ ⋅ 1 1 1 1 1 1 1 1 1 3 2 1 2 1 n n n n n n n + ∴ lim lim n n n n n →∞ →∞ = ⎛ ⎝ ⎜ ⎞ ⎠ ⎟ u n e 1 1 1 1 1 1 + = ∴ by Cauchy’s root test, ∑un is convergent. EXAMPLE 3 Test the convergence of the series given below 2 1 2 1 3 2 3 2 2 2 1 3 3 2 2 1 2 1 2 2 ⎛ ⎝ ⎜ ⎞ ⎠ ⎟ ⎛ ⎝ ⎜ ⎞ ⎠ ⎟ 4 3 4 3 4 4 3 1 1 2 ⎛ ⎝ ⎜ ⎞ ⎠ ⎟ ∞ … . Solution. Let the given series be ∑un. ∴ ∑ = − ⎛ ⎝ ⎜ ⎞ ⎠ ⎟ + − ⎛ ⎝ ⎜ ⎞ ⎠ ⎟ + ⎛ ⎝ ⎜ ⎞ ⎠ ⎟ − − − un 2 1 2 1 3 2 3 2 4 3 4 3 2 2 1 3 3 2 4 4 3 − +… Then u n n n n n n n n n n n n n n = + + ⎡ ⎣ ⎢ ⎤ ⎦ ⎥ = + ⎛ ⎝ ⎜ ⎞ ⎠ ⎟ − + ⎡ ⎣ ⎢ ⎤ ⎦ ⎥ = + + − + − ( ) 1 1 1 1 1 1 1 1 + − 1 1 1 1 1 1 1 1 1 1 1 n n n n ⎛ ⎝ ⎜ ⎞ ⎠ ⎟ + ⎛ ⎝ ⎜ ⎞ ⎠ ⎟ ⎡ ⎣ ⎢ ⎤ ⎦ ⎥ = + ⎛ ⎝ ⎜ ⎞ ⎠ ⎟ ⋅ + ⎛ ⎝ ⎜ ⎞ ⎠ ⎟ − + + − n n n − n n ⎛ ⎝ ⎜ ⎞ ⎠ ⎟ ⎡ ⎣ ⎢ ⎤ ⎦ ⎥ −n ∴ u n n n n n n n n 1 1 1 1 1 1 1 1 = + ⎛ ⎝ ⎜ ⎞ ⎠ ⎟ + ⎛ ⎝ ⎜ ⎞ ⎠ ⎟ − + ⎛ ⎝ ⎜ ⎞ ⎠ ⎟ ⎡ ⎣ ⎢ ⎤ ⎦ ⎥ ⎧ ⎨ ⎪ ⎩ ⎪ ⎫ ⎬ ⎪ ⎭ ⎪ = − 1 1 1 1 1 1 1 1 + ⎛ ⎝ ⎜ ⎞ ⎠ ⎟ + ⎛ ⎝ ⎜ ⎞ ⎠ ⎟ − + ⎛ ⎝ ⎜ ⎞ ⎠ ⎟ ⎧ ⎨ ⎩ ⎫ ⎬ ⎭ − n n n n ∴ lim lim n n n n n →∞ →∞ = + ⎛ ⎝ ⎜ ⎞ ⎠ ⎟ + ⎛ ⎝ ⎜ ⎞ ⎠ ⎟ − ⎛ ⎝ ⎜ ⎞ ⎠ ⎟ ⎡ ⎣ ⎢ ⎤ ⎦ ⎥ u n n n 1 1 1 1 1 1 1 1 + − = ⋅ − = − − [ ] e e 1 1 1 1 1 1 [ , ] { 2 3 1 1 e e − ∴ by Cauchy’s root test, ∑un is convergent. M02_ENGINEERING_MATHEMATICS-I _XXXX_CH02.indd 29 5/12/2016 10:56:24 AM
  • 183.
    2.30 ■ EngineeringMathematics EXAMPLE 4 Discuss the nature of the series 1 2 2 3 3 4 2 2 + + x x ⎛ ⎝ ⎜ ⎞ ⎠ ⎟ + 4 5 0 3 3 ⎛ ⎝ ⎜ ⎞ ⎠ ⎟ x x + …∞ for . Solution. Let ∑un be the series, omitting the first term. ∴ ∑ = + ⎛ ⎝ ⎜ ⎞ ⎠ ⎟ + u x x x n 2 3 3 4 4 5 2 2 3 +… Then u n n x n n x n n n n = + ⎛ ⎝ ⎜ ⎞ ⎠ ⎟ = + + ⎛ ⎝ ⎜ ⎞ ⎠ ⎟ ⎡ ⎣ ⎢ ⎤ ⎦ ⎥ +1 2 1 2 ∴ u n n x n n x n n n n n 1 1 1 2 1 2 1 1 1 = + + ⎛ ⎝ ⎜ ⎞ ⎠ ⎟ ⎡ ⎣ ⎢ ⎤ ⎦ ⎥ ⎧ ⎨ ⎪ ⎩ ⎪ ⎫ ⎬ ⎪ ⎭ ⎪ = + + ⎛ ⎝ ⎜ ⎞ ⎠ ⎟ = + + 2 2 n x ∴ lim lim n n n n →∞ = + ⎛ ⎝ ⎜ ⎜ ⎜ ⎞ ⎠ ⎟ ⎟ ⎟ u n n x x 1 1 1 1 2 →∞ + = ∴ by Cauchy’s root test, ∑un converges if x , 1 and diverges if x . 1. If x = 1, the test fails to give a definite conclusion. In this case, u n n n n n n n = + ⎛ ⎝ ⎜ ⎞ ⎠ ⎟ = + + ⎛ ⎝ ⎜ ⎞ ⎠ ⎟ +1 2 1 2 1 = + + ⎛ ⎝ ⎜ ⎞ ⎠ ⎟ = + + ⎛ ⎝ ⎜ ⎞ ⎠ ⎟ = + + ⎡ ⎣ ⎢ ⎤ ⎦ ⎥ + + ⎡ ⎣ ⎢ ⎤ ⎦ ⎥ 1 1 1 1 1 1 1 1 1 1 1 1 1 1 n n n n n + n n n+ +1 ∴ lim lim n n n n →∞ →∞ = + + ⎛ ⎝ ⎜ ⎞ ⎠ ⎟ + + ⎛ ⎝ ⎜ ⎞ ⎠ ⎟ = ≠ u n n e 1 1 1 1 1 1 1 0 1 + { lim n→∞ + + + ⎡ ⎣ ⎢ ⎤ ⎦ ⎥ = ⎡ ⎣ ⎢ ⎢ ⎤ ⎦ ⎥ ⎥ 1 1 1 1 n e n ∴ when x = 1, the series is divergent by theorem 2.1, page 2.10. Hence, the series is convergent if x , 1 and divergent if x $ 1. 2.3.6 Cauchy’s Integral Test If u(x) is positive, decreasing and integrable function in [1, `) such that u n u n ( ) , = n N ∀ ∈ then the series un n= ∞ ∑ 1 and u x dx ( ) 1 ∞ ∫ converge or diverge together. If u x dx ( ) 1 ∞ ∫ converges (i.e., the value of the integral exists), then un n=1 ∞ ∑ converges. M02_ENGINEERING_MATHEMATICS-I _XXXX_CH02.indd 30 5/12/2016 10:56:30 AM
  • 184.
    Sequences and Series■ 2.31 If u x dx ( ) 1 ∞ ∫ diverges (i.e., the value does not exist), then un n=1 ∞ ∑ diverges. Proof Let {sn } be the sequence of partial seem of the series un n=1 ∞ ∑ . ∴ s u u u u n n = + + + 1 2 3 …+ (1) Let In n = = … u x dx n ( ) , , , , 2 3 4 1 ∫ Since u(x) is monotonic decreasing in [1, `), we have u n u x u n n x n n ( ) ( ) ( ) , ≥ ≥ + ≤ ≤ 1 1 for N + ∈ Also u(x) is positive and integrable on [1, `) ∴ u n dx u x dx u n dx ( ) ( ) ( ) n n n n n n + + ∫ ∫ ∫ ≥ ≥ 1 1 1 1 + + ⇒ u n u x dx u n n ( ) ( ) ( ) ≥ ∀ + ∫ n n N 1 1 ≥ + ∈ Since u(n) = un , n ∈ N; we have u u x dx u n n n n ≥ ≥ + + ∫ ( ) 1 1 Putting n = 1, 2, 3, …, n − 1 and adding, we get u u u u x dx u x dx u x dx u u u 1 2 1 1 2 2 3 1 2 3 + + + ≥ + + ≥ + + + − − ∫ ∫ ∫ … …+ … n n n n ( ) ( ) ( ) ⇒ s u x dx s u n n n n N − ≥ ≥ ∫ 1 1 1 ( ) − ∀ ∈ [From (1)] ⇒ s s u n n n n I N − ≥ ≥ ∀ 1 1 − ∈ Taking I N n n ≥ ∀ s u n − ∈ 1 ⇒ s u n n n I N − ∀ 1 ≤ ∈ s u n n I ≤ + 1 ∴ lim lim lim n n n n n I →∞ →∞ →∞ ≤ s u + 1 ⇒ lim ( ) n n →∞ ∞ ≤ + ∫ s u x dx u 1 1 If u x dx ( ) 1 ∞ ∫ is convergent, then lim n n →∞ s is finite ∴ ∑un is convergent. M02_ENGINEERING_MATHEMATICS-I _XXXX_CH02.indd 31 5/12/2016 10:56:35 AM
  • 185.
    2.32 ■ EngineeringMathematics Taking sn n I −1 ≥ ⇒ lim lim n n n n I →∞ → ≥ s − ∞ 1 ⇒ lim ( ) . n n → − ∞ ≥ ∫ ∞ s u x dx 1 1 If u x dx ( ) 1 ∞ ∫ does not exist, then lim n n →∞ s −1 does not exist. ∴ un ∑ is divergent. Thus, un ∑ and u x dx ( ) 1 ∞ ∫ behave alike. ■ WORKED EXAMPLES EXAMPLE 1 Discuss the convergence of the p-series 1 0 1 n p p n= ∑ ∞ , . Solution. Let the given series be ∑un . ∴ ∑ = ∞ ∑ u n n p n 1 1 = Then u n n p = 1 . Consider u x x x ( ) , [ , = ∈ ∞) 1 1 p u(x) is positive and decreasing function of x for x 1. ∴ by Cauchy’s integral test, ∑un and u x dx ( ) 1 ∞ ∫ behave alike. Now u x dx x dx ( ) . 1 1 1 ∞ ∞ ∫ ∫ = p If p 5 1, then u x dx x dx ( ) 1 1 1 ∞ ∫ ∫ = ∞ = = [log ] x 1 ∞ ∞ So, the integral diverges. ∴ ∑un diverges if p = 1 If p 1, then u x dx x dx ( ) 1 1 1 ∞ ∫ ∫ = p ∞ = + ⎡ ⎣ ⎢ ⎤ ⎦ ⎥ = − ⎡ ⎣ ⎢ ⎤ ⎦ ⎥ = − ∞ − ⎛ ⎝ ⎜ ⎞ ⎠ ⎟ = − − = − + − ∞ x p p x p p p p 1 1 1 1 1 1 1 1 1 1 1 1 1 1 − ∞ 1 1 1 p − [{ p − 1 0] Since the integral exists, by Cauchy’s integral test, ∑un is convergent if p 1. M02_ENGINEERING_MATHEMATICS-I _XXXX_CH02.indd 32 5/12/2016 10:56:42 AM
  • 186.
    Sequences and Series■ 2.33 If p 1, then u x dx x dx ( ) 1 1 1 ∞ ∫ ∫ = p ∞ = − + ⎡ ⎣ ⎢ ⎤ ⎦ ⎥ = − ( ) = − + ∞ x p p p 1 1 1 1 1 1 − ∞ ∞ [{ 1 − p 0] ∴ the integral does not exist and hence, divergent. So, ∑un is divergent if p 1. Thus, ∑un is convergent if p 1 and divergent if p ≤ 1. EXAMPLE 2 Test the convergence of the series 1 2 1 5 1 10 1 1 2 1 1 1 1 1 1 … …∞ n . Solution. Let the given series be ∑un ∴ ∑ = + + + + u n n 1 2 1 5 1 10 1 1 2 …+ +… Then u n n = 1 1 2 + . Consider u x x x ( ) , = 1 1 1 2 + ≥ ∴ u x ( ) is positive and decreasing function of x. By cauchy’s integral test ∑un and u x dx ( ) 1 ∞ ∫ behave alike. Now u x dx x dx x ( ) tan tan tan . 1 2 1 1 1 1 1 1 1 1 2 4 4 ∞ ∞ − − ∫ ∫ = = [ ] = ∞ − = − = + − ∞ p p p ∴ u x dx ( ) 1 ∞ ∫ is convergent. Hence, ∑un is convergent. EXAMPLE 3 Test the convergence of the series 1 2 2 1 3 3 (log ) ( ) e e p p 1og 1 1 1 4 4 0 (log ) , . e p 1…∞ p Solution. Let the given series be un n=2 ∞ ∑ ∴ u p n n e e e e n n p p p p = ∞ ∑ = + + = 2 1 2 2 1 3 3 1 4 4 0 1 (log ) (log ) (log ) , (log ) + …∞ , , p = ∞ ∑ 0 2 n M02_ENGINEERING_MATHEMATICS-I _XXXX_CH02.indd 33 5/12/2016 10:56:47 AM
  • 187.
    2.34 ■ EngineeringMathematics Then u n n e n p = 1 (log ) Consider u x x x p x e ( ) (log ) , , = 1 0 2 p ≥ Clearly u(x) is positive and decreasing function of x for x ≥ 2 ∴ by Cauchy’s integral test, ∑un and u x dx ( ) 2 ∞ ∫ behave alike. Now u x dx x x dx e ( ) (log ) . 2 2 1 ∞ ∫ ∫ = p ∞ Put t x dt x dx = log ∴ = 1 When x = 2, t = log 2 and when x = `, t = log ` = ` ∴ u x dx t dt e ( ) log 2 2 1 ∞ ∫ ∫ = p ∞ If p 1, then u x dx t dt t p e e ( ) log log = = − + ⎡ ⎣ ⎢ ⎤ ⎦ ⎥ ∞ ∫ ∫ − ∞ − + ∞ p p 2 2 1 2 1 = − ⎛ ⎝ ⎜ ⎞ ⎠ ⎟ − ∞ 1 1 1 1 2 p t e p log [{ p − 1 0] = − ∞ − ⎡ ⎣ ⎢ ⎤ ⎦ ⎥ = − − ⋅ = − ⋅ − − 1 1 1 1 2 1 1 1 2 1 1 1 1 1 p p p e e (log ) ( ) (log ) ( ) (log p p e e 2 1 )p− ∴ the integral u x dx ( ) 2 ∞ ∫ exists and hence, un n= ∞ 2 ∑ is convergent for p 1 If p 1, then u x dx t dt e ( ) log 1 2 1 ∞ ∫ ∫ = p ∞ = + ⎡ ⎣ ⎢ ⎤ ⎦ ⎥ = − − = ∞ − + ∞ t p p e e p 1 2 1 1 1 2 − ∞ log ( log ) [{ 1 − p 0] ∴ ∫u x dx ( ) 2 ∞ does not exist and hence, divergent ∴ ∑un n= ∞ 2 is divergent if p 1 If p 5 1, then u x dx t dt e ( ) log = ∫ ∫ ∞ 1 2 2 ∞ = = ∞ = (log ) log log log log t 2 2 ∞ − ∞ ∴ ∫u x dx ( ) 2 ∞ does not exist and hence, divergent ∴ = ∑un n 2 ∞ is divergent if p = 1 Thus, the given series ∑un is convergent if p 1 and divergent if 0 p ≤ 1. M02_ENGINEERING_MATHEMATICS-I _XXXX_CH02.indd 34 5/12/2016 10:56:53 AM
  • 188.
    Sequences and Series■ 2.35 EXAMPLE 4 Using integral test, determine whether the series ln n n2 n 1 5 ∑ is convergent or divergent. Solution. Let the given series be ∑un ∴ ∑ = = = ∑ u n n n n n e n ln [ln log ] 2 1 ∞ Then u n n n = ln . 2 Consider u x x x x ( ) ln , = ≥ 2 2 (1)[ ( ) ] { u x x = 0 1 if = Clearly u x x ( ) . 0 2 ∀ ≥ To prove u(x) is monotonic function of x, test the sign of ′ u x ( ). Differentiating (1) w.r. to x, we get ′ = ⋅ − ⋅ = − = = − u x x x x x x x x x x x x x x x ( ) ln ln ( ln ) ln 2 4 4 4 3 1 2 2 1 2 1 2 − If x ≥ 2, then ln ln x ≥ 2 [{ logarithm is an increasing function] ∴ 2 2 2 ln ln x ≥ ⇒ −2 2 2 ln ln x ≤ − ⇒ 1 2 1 4 0 − ≤ − ln ln x [{ ln 4 = 1.39] ∴ ′ ∀ ≥ u x x ( ) 0 2 Hence, u x ( ) is decreasing in [2, `) ∴ by Cauchy’s integral test, un n= ∑ 2 ∞ and u x dx ( ) ln2 ∞ ∫ behave alike But u x dx x x dx ( ) ln ln ln = ∫ ∫ ∞ 2 2 2 ∞ . Put ln x t dt x dx = ∴ = 1 When and when x t x t = = = = ∞ = 2 2 , ln , ln ∞ ∞ ∴ u x dx t e dt te dt x t x e t e e ( ) [ ln ] ln ln ln 2 2 2 1 1 ∞ ∞ − ∞ − ∫ ∫ ∫ = = = = − − ⋅ t t t t { ⇒ = − − ∞ − − ⎡ ⎣ ⎢ ⎤ ⎦ ⎥ = − + ⎡ ⎣ ⎤ ⎦ t t by Bernoulli’s formula ( ) [ ] ( ) ln ln 1 1 2 2 e t 2 2 2 1 2 0 2 1 2 1 1 2 2 1 ∞ = + + ⎡ ⎣ ⎤ ⎦ = + = + − e e ln ln (ln ) (ln ) (ln ) ∴ the integral u x dx ( ) 2 ∞ ∫ is convergent and hence, un n= ∞ ∑ 2 is convergent. M02_ENGINEERING_MATHEMATICS-I _XXXX_CH02.indd 35 5/12/2016 10:57:00 AM
  • 189.
    2.36 ■ EngineeringMathematics EXERCISE 2.4 Test the convergence of the following: 1. 1 2 3 4 0 2 2 3 3 + + + x x x x +… , 2. ( ) , n x n x + ∞ 1 0 1 1 n n n + = ⎡ ⎣ ⎢ ⎤ ⎦ ⎥ ∑ 3. x n x e n n n , = ∑ 1 ∞ 4. n n − ∞ 1 1 ( ) = ∑ n n 5. 1 2 n n (log ) ⎡ ⎣ ⎢ ⎤ ⎦ ⎥ ∑ n= ∞ ANSWERS TO EXERCISE 2.4 1. Convergent 2. Convergent if x 1 and divergent if x ≥ 1 3. Convergent 4. Convergent 5. Divergent 2.3.7 Raabe’s Test Let ∑un be a series of positive terms such that lim . n n n → − ⎛ ⎝ ⎜ ⎞ ⎠ ⎟ ∞ + = n u u l 1 1 Then the series ∑un is convergent if l 1 and divergent if l 1. The test fails to give a definite result if l = 1. We first state the theorem of comparison of ratios of two series. If ∑un and ∑vn are two series of positive terms and if u u v v n n n n + 1 1 + for all values of n ∈ N, then ∑un is convergent if ∑vn is convergent, whereas if u u v v n n n n +1 1 + for all values of n, then ∑un is divergent if ∑vn is divergent. Proof Given ∑un is a series of positive terms, we compare with ∑vn , where v n n p = 1 . We know that ∑vn is convergent if p 1 and hence, ∑un will be convergent if ∑vn is convergent and if N and if n n n n u u v v n p + + ∀ ∈ 1 1 1 ⇒ u u v v n p n n n n N and if + 1 1 1 + ∀ ∈ But v v n n n n n p n p p n n p p p p + = + = ⎛ ⎝ ⎜ ⎞ ⎠ ⎟ = + ⎛ ⎝ ⎜ ⎞ ⎠ ⎟ = + ⋅ + − ⋅ 1 1 1 1 1 1 1 1 1 2 ( ) ! ( ) ! + 1 1 2 n +… ∴ u u p n p p n n n+ + ⋅ − ⋅ + 1 2 1 1 1 1 2 1 ! ( ) ! + … ⇒ u u p n p p n n n+ − ⎛ ⎝ ⎜ ⎞ ⎠ ⎟ ⋅ + − ⋅ 1 2 1 1 1 1 2 1 ! ( ) ! +… M02_ENGINEERING_MATHEMATICS-I _XXXX_CH02.indd 36 5/12/2016 10:57:07 AM
  • 190.
    Sequences and Series■ 2.37 ⇒ n u u p p p n n n+ − ⎛ ⎝ ⎜ ⎞ ⎠ ⎟ ⋅ 1 2 1 1 2 1 + − +… ( ) ! ∴ lim . n n n →∞ + − ⎛ ⎝ ⎜ ⎞ ⎠ ⎟ n u u p 1 1 But ∑ v p n is convergent if 1. ∴ ∑un is convergent if lim n n n →∞ ⎛ ⎝ ⎜ ⎞ ⎠ ⎟ n u u p + − 1 1 1 and divergent if lim . n n n →∞ + − ⎛ ⎝ ⎜ ⎞ ⎠ ⎟ n u u 1 1 1 The test fails if lim n n n →∞ − ⎛ ⎝ ⎜ ⎞ ⎠ ⎟ n u u + = 1 1 1 WORKED EXAMPLES EXAMPLE 1 Test the convergence of the series x x x 1 1 1 1 2 3 1 3 2 4 5 3 5 ⋅ ⋅ 1 3 5 2 4 6 7 0 7 ⋅ ⋅ ⋅ ⋅ x x 1…∞, . Solution. Let ∑un be the series, omitting the first term, ∴ ∑ = + ⋅ ⋅ + ⋅ ⋅ ⋅ ⋅ u x x x x n 1 2 3 1 3 2 4 5 1 3 5 2 4 6 7 0 3 5 7 +…∞, Then u n n x n n n = ⋅ ⋅ ⋅ ⋅ + 1 3 5 2 1 2 4 6 2 2 1 2 1 … − … + ( ) ( ) and u n n n n x n n n + = ⋅ ⋅ + ⋅ ⋅ + ⋅ + 1 2 3 1 3 5 2 1 2 1 2 4 6 2 2 2 2 3 … − … + ( )( ) ( ) ( ) u u n n x n n n n n n n + + = ⋅ ⋅ − ⋅ ⋅ + ⋅ ⋅ ⋅ + + 1 2 1 1 3 5 2 1 2 4 6 2 2 1 2 4 6 2 2 2 2 3 1 … … … ( ) ( )( ) ⋅ ⋅ ⋅ + ⋅ 3 5 2 1 2 1 1 2 3 … − + ( )( ) n n x n ⇒ u u n n n x n n+ = + + + 1 2 2 2 2 2 3 2 1 1 ( )( ) ( ) (1) ⇒ u u n n n n n x n n+ = + ⎛ ⎝ ⎜ ⎞ ⎠ ⎟ ⎛ ⎝ ⎜ ⎞ ⎠ ⎟ + ⎛ ⎝ ⎜ ⎞ ⎠ ⎟ ⋅ 1 2 2 2 2 2 2 2 3 2 1 1 + = + ⎛ ⎝ ⎜ ⎞ ⎠ ⎟ ⎛ ⎝ ⎜ ⎞ ⎠ ⎟ + ⎛ ⎝ ⎜ ⎞ ⎠ ⎟ ⋅ 2 2 2 3 2 1 1 2 2 n n n x + (2) M02_ENGINEERING_MATHEMATICS-I _XXXX_CH02.indd 37 5/12/2016 10:57:13 AM
  • 191.
    2.38 ■ EngineeringMathematics ∴ lim lim n n n n →∞ + →∞ = + ⎛ ⎝ ⎜ ⎞ ⎠ ⎟ ⎛ ⎝ ⎜ ⎞ ⎠ ⎟ + ⎛ ⎝ ⎜ ⎞ ⎠ ⎟ ⋅ = ⋅ u u n n n x 1 2 2 2 2 2 3 2 1 1 2 2 + 2 2 1 1 2 2 2 ⋅ = x x ∴ by the De’Alembert’s ratio test, ∑un is convergent if 1 1 1 2 2 x x ⇒ ⇒ x x 2 1 0 0 1 − ⇒ [ ] { x 0 and divergent if 1 1 1 1 2 2 x x x ⇒ ⇒ [ ] { x 0 Now 1 1 1 1 2 2 x x x = ⇒ = ⇒ = [ ] { x 0 If x = 1, the test fails to give a definite conclusion. In this case, we use Raabe’s test. When x = 1, the series is ∑ = ⋅ + ⋅ ⋅ ⋅ + ⋅ ⋅ ⋅ ⋅ ⋅ un 1 2 1 3 1 3 2 4 1 5 1 3 5 2 4 6 1 7 +… u u n n n n n+ = + 1 2 2 2 2 3 2 1 ( )( ) ( ) + + [ ] from (1) ∴ u u n n n n n n n n n+ = + + + = + + − + + 1 2 2 2 1 2 2 2 3 2 1 1 2 2 2 3 2 1 2 1 − − ( )( ) ( ) ( )( ) ( ) ( ) = = + + − + + ( ) + = + + 4 10 6 4 4 1 2 1 6 5 2 1 2 2 2 2 n n n n n n n ( ) ( ) ∴ n u u n n n n n+ − ⎛ ⎝ ⎜ ⎞ ⎠ ⎟ = + + 1 2 1 6 5 2 1 ( ) ( ) = ⎛ ⎝ ⎜ ⎞ ⎠ ⎟ + ⎛ ⎝ ⎜ ⎞ ⎠ ⎟ = + + ⎛ ⎝ ⎜ ⎞ ⎠ ⎟ n n n n n n 2 2 2 2 6 5 4 1 1 2 6 5 4 1 1 2 + ∴ lim lim n n n n →∞ →∞ ⎛ ⎝ ⎜ ⎞ ⎠ ⎟ = + + ⎛ ⎝ ⎜ ⎞ ⎠ ⎟ = = n u u n n + − 1 2 1 6 5 4 1 1 2 6 4 3 2 1 ∴by Raabe’s test ∑un is convergent if x = 1. Hence, the given series is convergent if 0 x ≤ 1 and divergent if x 1. M02_ENGINEERING_MATHEMATICS-I _XXXX_CH02.indd 38 5/12/2016 10:57:17 AM
  • 192.
    Sequences and Series■ 2.39 EXAMPLE 2 Test the convergence or divergence of x x x 2 2 4 2 2 6 2 3 4 2 4 3 4 5 6 1 1 1 ⋅ ⋅ ⋅ ⋅ ⋅ 2 4 6 3 4 5 6 7 8 2 2 2 8 ⋅ ⋅ ⋅ ⋅ ⋅ ⋅ ⋅ x 1…. Solution. Omitting the first term, let the given series be ∑un ∴ ∑ = ⋅ + ⋅ ⋅ ⋅ ⋅ + ⋅ ⋅ ⋅ ⋅ ⋅ ⋅ ⋅ u x x x n 2 3 4 2 4 3 4 5 6 2 4 6 3 4 5 6 7 8 2 4 2 2 6 2 2 2 8 +… Then n n u n n n x = ⋅ ⋅ ⋅ ⋅ + + 2 4 2 3 4 5 6 2 1 2 2 2 2 2 2 2 … … + ( ) ( )( ) and u n n n n n n x n+ = ⋅ ⋅ + ⋅ ⋅ ⋅ + + + + 1 2 2 2 2 2 2 4 2 2 2 3 4 5 6 2 1 2 2 2 3 2 4 … … ( ) ( ) ( )( )( )( ) n n+4 ∴ u u n n n x n n+ = + + ⋅ 1 2 2 2 3 2 4 2 2 1 ( )( ) ( ) + (1) = + ⎛ ⎝ ⎜ ⎞ ⎠ ⎟ ⎛ ⎝ ⎜ ⎞ ⎠ ⎟ + ⎛ ⎝ ⎜ ⎞ ⎠ ⎟ ⋅ = + ⎛ ⎝ ⎜ ⎞ ⎠ ⎟ + ⎛ ⎝ ⎜ n n n n n x n n 2 2 2 2 2 3 2 4 2 2 1 2 3 2 4 + ⎞ ⎞ ⎠ ⎟ + ⎛ ⎝ ⎜ ⎞ ⎠ ⎟ ⋅ ≠ 2 2 1 0 2 2 n x x , ∴ lim lim n n n n →∞ + →∞ = + ⎛ ⎝ ⎜ ⎞ ⎠ ⎟ ⎛ ⎝ ⎜ ⎞ ⎠ ⎟ + ⎛ ⎝ ⎜ ⎞ ⎠ ⎟ ⋅ = ⋅ u u n n n x 1 2 2 2 3 2 4 2 2 1 2 2 + 2 2 1 1 2 2 2 ⋅ = x x ∴ by De’Alembert’s ratio test, ∑un is convergent if 1 1 1 2 2 x x ⇒ ⇒ −1 x 1, x ≠ 0. and divergent if 1 1 1 2 2 x x ⇒ ⇒ x −1 or x 1. If x2 = 1, the test fails, so we use Raabe’s test. In this case, u u n n n n n+ = + + 1 2 2 3 2 4 2 2 ( )( ) ( ) + [From (1)] ∴ u u n n n n n n n n n+ − = + + + = + + − + + 1 2 2 2 1 2 3 2 4 2 2 1 2 3 2 4 2 2 2 2 ( )( ) ( ) ( )( ) ( ) ( ) − = = + + − + + + = + + 4 14 12 4 8 4 2 2 6 8 2 2 2 2 2 2 n n n n n n n ( ) ( ) ( ) M02_ENGINEERING_MATHEMATICS-I _XXXX_CH02.indd 39 5/12/2016 10:57:22 AM
  • 193.
    2.40 ■ EngineeringMathematics ∴ n u u n n n n n n n n n+ − ⎛ ⎝ ⎜ ⎞ ⎠ ⎟ = + = + ⎛ ⎝ ⎜ ⎞ ⎠ ⎟ + ⎛ ⎝ ⎜ ⎞ ⎠ ⎟ = 1 2 2 2 2 1 6 8 2 2 6 8 2 2 6 ( ) ( ) + + + + ⎛ ⎝ ⎜ ⎞ ⎠ ⎟ 8 2 2 2 n n ∴ lim lim n n n n →∞ + →∞ − ⎛ ⎝ ⎜ ⎞ ⎠ ⎟ = + ⎛ ⎝ ⎜ ⎞ ⎠ ⎟ = = n u u n n 1 2 1 6 8 2 2 6 4 3 2 1 + ∴ by Raabe’s test ∑un is convergent if x2 1 = ⇒ x = ±1. ∴ the given series is convergent if − ≤ 1 1 ≤ x [{ when x = 0; it is trivially convergent] and divergent if x x −1 1 or . EXAMPLE 3 Test the convergence of the series ( !) ( )! . n x n 2 2 1 2 n n = ∞ ∑ Solution. The given series be ∑un ∴ ∑ = = ∞ ∑ u n x n n n n ( !) ( )! 2 2 1 2 Then u n x n n n = ( !) ( )! 2 2 2 and u n x n n x n n n n + + + = + + = + + 1 2 2 2 2 2 2 1 2 1 1 2 2 [( )!] [ ( )]! [( )!] ( )! ∴ u u n x n n n x n n n n n n n + + = ⋅ + + [ ] = 1 2 2 2 2 2 2 2 2 2 1 2 2 ( !) ( )! ( )! ( )! ( !) ( )! ( )!( ( )( ) ( !) ( ) ( ) ( ) ( ) , 2 1 2 2 1 1 2 1 2 1 1 1 0 2 2 2 2 2 n n n n x n n n x x + + + ⋅ = + + + ⋅ ≠ ⇒ u u n n x n n+ = + + ⋅ 1 2 2 2 1 1 1 ( ) (1) = + ⎛ ⎝ ⎜ ⎞ ⎠ ⎟ + ⎛ ⎝ ⎜ ⎞ ⎠ ⎟ ⋅ = + ⎛ ⎝ ⎜ ⎞ ⎠ ⎟ + ⋅ 2 2 1 1 1 1 2 2 1 1 1 1 2 2 n n n n x n n x M02_ENGINEERING_MATHEMATICS-I _XXXX_CH02.indd 40 5/12/2016 10:57:26 AM
  • 194.
    Sequences and Series■ 2.41 ∴ lim lim n n n n →∞ + →∞ = + ⎛ ⎝ ⎜ ⎞ ⎠ ⎟ + ⋅ = ⋅ ⋅ = u u n n x x x 1 2 2 2 2 2 1 1 1 1 2 2 1 4 ∴ by ratio test, ∑un is convergent if 4 1 4 4 0 2 2 2 x x x ⇒ ⇒ − ⇒ − ≠ 2 2 0 x x , When x = 0, trivially the series is convergent and divergent if x x − 2 2 or When 4 1 4 2 2 x x = ⇒ = , the test fails. So, we use Raabe’s test. In this case, from (1), we get u u n n n n n n+ = + + ⋅ = + + 1 2 2 1 1 1 4 2 1 2 1 ( ) ( ) ( ) ∴ u u n n n n n n n n+ − = + + − = + − + + = − + 1 1 2 1 2 1 1 2 1 2 1 2 1 1 2 1 ( ) ( ) ( ) ( ) ∴ n u u n n n n n+ − ⎛ ⎝ ⎜ ⎞ ⎠ ⎟ = − + = − + ⎛ ⎝ ⎜ ⎞ ⎠ ⎟ 1 1 2 1 1 2 1 1 ( ) ∴ lim lim n n n n →∞ + →∞ − ⎛ ⎝ ⎜ ⎞ ⎠ ⎟ = − + ⎛ ⎝ ⎜ ⎞ ⎠ ⎟ = − n u u n 1 1 1 2 1 1 1 2 1 ∴ by Raabe’s test, ∑un is divergent if x x 2 4 2 = ⇒ = ± ∴ the given series is convergent if − 2 2 x and divergent if x x ≤ − ≥ 2 2 or EXERCISE 2.5 Test the convergence of the following series. 1. 1 1 2 4 1 3 5 2 4 6 8 1 3 5 7 9 2 4 6 8 10 12 0 3 4 6 + ⋅ + ⋅ ⋅ ⋅ ⋅ ⋅ ⋅ + ⋅ ⋅ ⋅ ⋅ ⋅ ⋅ ⋅ ⋅ + ∞ x x x x … , 2. 1 2 1 1 3 2 1 2 3 2 2 2 1 ⋅ + ⋅ + + = ∞ ∑ … … ( ) ( )( ) n n n n 3. 3 4 4 5 5 4 0 2 2 3 3 x x x x + ⎛ ⎝ ⎜ ⎞ ⎠ ⎟ + ⎛ ⎝ ⎜ ⎞ ⎠ ⎟ + ∞ … , M02_ENGINEERING_MATHEMATICS-I _XXXX_CH02.indd 41 5/12/2016 10:57:32 AM
  • 195.
    2.42 ■ EngineeringMathematics 4. 1 2 5 6 9 14 17 2 2 2 1 0 2 3 1 + + + + + − + + ∞ − x x x x x … … n n n , 5. x x x n n n 1 0 2 1 + ⎛ ⎝ ⎜ ⎞ ⎠ ⎟ = ∞ ∑ , 6. 1 2 5 10 1 0 2 2 2 + + + + + + + ∞ x x x x n x … … n , 7. 3 6 9 3 7 10 13 3 4 0 1 ⋅ ⋅ ⋅ ⋅ + ⋅ ⎛ ⎝ ⎜ ⎞ ⎠ ⎟ = ∞ ∑ … … n n x x ( ) , n n 8. 1 2 1 3 2 4 1 3 5 2 4 6 0 2 3 + + ⋅ ⋅ + ⋅ ⋅ ⋅ ⋅ + x x x x … , 9. Test the convergence of 4 7 3 1 1 2 3 4 0 1 ⋅ ⋅ ⋅ ⋅ ⋅ ⋅ ⎛ ⎝ ⎜ ⎞ ⎠ ⎟ = ∞ ∑ … + … ( ) , . n n x x n n 10. Test the convergence of n n n x x +1 2 3 0 1 ( )( ) , . + + = ∞ ∑ n n ANSWERS TO EXERCISE 2.5 1. Convergent if 0 x ≤ 1 and divergent if x 1 2. Divergent 3. Convergent if 0 x 1 and divergent if x ≥ 1 4. Convergent if 0 x 1 and divergent if x ≥ 1 5. Convergent if 0 x 1 or x 1 and divergent if x = 1 6. Convergent if 0 x ≤ 1 and divergent if x 1 7. Convergent if 0 x ≤ 1 and divergent if x 1 8. Convergent if 0 x 1 and divergent if x ≥ 1 9. Convergent if 0 x 1 3 and divergent if x ≥ 1 3 . 10. Convergent if x 1 and divergent if x ≥ 1. 2.3.8 Logarithmic Test Let ∑un be a series of positive terms such that lim log . n n n →∞ + ⎛ ⎝ ⎜ ⎞ ⎠ ⎟ = n u u l e 1 Then the series ∑un is convergent if l 1 and divergent if l 1. The test fails to give a definite result if l = 1. Proof Given ∑un is a series of positive terms such that lim log . n n n →∞ + ⎛ ⎝ ⎜ ⎞ ⎠ ⎟ = n u u l e 1 M02_ENGINEERING_MATHEMATICS-I _XXXX_CH02.indd 42 5/12/2016 10:57:36 AM
  • 196.
    Sequences and Series■ 2.43 We compare ∑un with ∑vn where v n n p = 1 We know that ∑vn is convergent if p 1. ∴ ∑un is convergent if u u v v p u u v v p n n n n n n+ n n and and + + + 1 1 1 1 1 1 ⇒ But v v n n n n n p p p + = + = + ⎛ ⎝ ⎜ ⎞ ⎠ ⎟ 1 1 1 1 ( ) ∴ log log log e e e v v n p n p n n n n p + ⎛ ⎝ ⎜ ⎞ ⎠ ⎟ = + ⎛ ⎝ ⎜ ⎞ ⎠ ⎟ = + ⎛ ⎝ ⎜ ⎞ ⎠ ⎟ = − + 1 2 1 1 1 1 1 1 2 1 1 3 1 4 3 4 n n − + ⎛ ⎝ ⎜ ⎞ ⎠ ⎟ … ∴ n v v n p n n n n p n n e log n n+ ⎛ ⎝ ⎜ ⎞ ⎠ ⎟ = − + − + ⎛ ⎝ ⎜ ⎞ ⎠ ⎟ = − + − 1 2 3 4 2 1 1 2 1 3 1 4 1 1 2 1 3 … 1 1 4 3 n + ⎛ ⎝ ⎜ ⎞ ⎠ ⎟ … ⇒ n v v p n n n e log n n+ ⎛ ⎝ ⎜ ⎞ ⎠ ⎟ − + − + ⎛ ⎝ ⎜ ⎞ ⎠ ⎟ 1 2 3 1 1 2 1 3 1 4 = … ∴ lim log n n n →∞ + ⎛ ⎝ ⎜ ⎞ ⎠ ⎟ = n v v p e 1 ∴ lim log lim log n n n n n n →∞ + →∞ + ⎛ ⎝ ⎜ ⎞ ⎠ ⎟ ⎛ ⎝ ⎜ ⎞ ⎠ ⎟ = n u u n v v p e e 1 1 But ∑vn is convergent if p 1. ∴ ∑un will be convergent if lim log n n n →∞ + ⎛ ⎝ ⎜ ⎞ ⎠ ⎟ n u u p e 1 1 Similarly, we can prove ∑un is divergent if lim log . n n n →∞ + ⎛ ⎝ ⎜ ⎞ ⎠ ⎟ n u u e 1 1 The test fails if lim log . n n n →∞ + ⎛ ⎝ ⎜ ⎞ ⎠ ⎟ = n u u e 1 1 ■ M02_ENGINEERING_MATHEMATICS-I _XXXX_CH02.indd 43 5/12/2016 10:57:41 AM
  • 197.
    2.44 ■ EngineeringMathematics WORKED EXAMPLES EXAMPLE 1 Test the convergence and divergence of the series 1 2 2 3 3 4 4 5 5 0 2 2 3 3 4 4 1 1 1 1 1 ! ! ! ! , . x x x x x … Solution. Let the given series be ∑un . ∴ ∑ = + + + + + u x x x x x n 1 2 2 3 3 4 4 5 5 0 2 2 3 3 4 4 ! ! ! ! , … Then u n n x u n n x n n n n n n and = = + + − − + 1 1 1 1 1 ! ( ) ( )! ∴ u u n n x n n x n n x n n n n n n n n + − − − − = ⋅ + + = + ⋅ 1 1 1 1 1 1 1 1 1 ! ( )! ( ) ( ) ⇒ u u n n n x n x n n n n n n n + − − − − = + ⎛ ⎝ ⎜ ⎞ ⎠ ⎟ ⋅ = + ⎛ ⎝ ⎜ ⎞ ⎠ ⎟ ⋅ = + ⎛ ⎝ ⎜ ⎞ 1 1 1 1 1 1 1 1 1 1 1 1 1 1 ⎠ ⎠ ⎟ + ⎛ ⎝ ⎜ ⎞ ⎠ ⎟ ⋅ 1 1 1 n x n (1) ∴ lim lim n n n n n →∞ + →∞ = + ⎛ ⎝ ⎜ ⎞ ⎠ ⎟ + ⎛ ⎝ ⎜ ⎞ ⎠ ⎟ ⋅ = u u n n x ex 1 1 1 1 1 1 1 ∴ by ratio test, ∑un is convergent if 1 1 1 ex x e ⇒ and diverges if 1 1 1 ex x e ⇒ When x e = 1 , the test fails. So, we use logarithmic test. ∴ u u n e n n n + − = + ⎛ ⎝ ⎜ ⎞ ⎠ ⎟ ⋅ 1 1 1 1 1 [ ] from (1) ∴ log log log ( )log e e e e u u e n n n n n n + − ⎛ ⎝ ⎜ ⎞ ⎠ ⎟ = − + ⎛ ⎝ ⎜ ⎞ ⎠ ⎟ = − − + ⎛ ⎝ 1 1 1 1 1 1 1 1 ⎜ ⎜ ⎞ ⎠ ⎟ = − − − + − + ⎛ ⎝ ⎜ ⎞ ⎠ ⎟ 1 1 1 1 2 1 3 1 4 2 3 4 ( ) n n n n n … = − − − + + + ⎛ ⎝ ⎜ ⎞ ⎠ ⎟ = − + 1 1 1 2 1 1 3 1 2 3 2 5 6 2 2 2 n n n n n n … … M02_ENGINEERING_MATHEMATICS-I _XXXX_CH02.indd 44 5/12/2016 10:57:46 AM
  • 198.
    Sequences and Series■ 2.45 ∴ n u u n n n n log n n+ ⎛ ⎝ ⎜ ⎞ ⎠ ⎟ = − + ⎛ ⎝ ⎜ ⎞ ⎠ ⎟ = − + 1 2 3 2 5 6 3 2 5 6 … … ∴ lim log lim n n n n →∞ + →∞ ⎛ ⎝ ⎜ ⎞ ⎠ ⎟ = − + ⎛ ⎝ ⎜ ⎞ ⎠ ⎟ = n u u n 1 3 2 5 6 3 2 1 … ∴ by logarithmic test, ∑un is convergent if x e = 1 . ∴ the given series is convergent if 0 1 ≤ x e and divergent if x e 1 . EXAMPLE 2 Test the convergence of 1 1 2 2 4 3 6 0 2 2 2 2 3 1 1 1 1 ( !) ! ( !) ! ( !) ! , . x x x x … Solution. Let ∑un be the series, omitting the first term u x x x x n n= ∞ ∑ = + + + 1 2 2 2 2 3 1 2 2 4 3 6 0 ( !) ! ( !) ! ( !) ! , … Then u n n x n n = ( !) ( )! 2 2 and u n n x n n + + = + + 1 2 1 1 2 2 [( )!] ( )! ∴ u u n n x n n x n n n n n n n + + = ( ) ⋅ + + = + + + 1 2 2 1 2 2 2 1 1 2 1 2 2 1 ( !) ! ( )! [( )!] ( )( ) ( ) ) ( )( ) ( ) ( ) 2 2 1 2 2 1 1 1 1 2 2 1 1 1 ⋅ = + + + ⋅ = + + ⋅ x n n n x n n x ⇒ u u n n n n x n n+ = + ⎛ ⎝ ⎜ ⎞ ⎠ ⎟ + ⎛ ⎝ ⎜ ⎞ ⎠ ⎟ ⋅ 1 4 1 1 2 1 1 1 = + ⎛ ⎝ ⎜ ⎞ ⎠ ⎟ + ⎛ ⎝ ⎜ ⎞ ⎠ ⎟ ⋅ 4 1 1 2 1 1 1 n n x (1) ∴ lim lim n n n n →∞ + →∞ = + ⎛ ⎝ ⎜ ⎞ ⎠ ⎟ + ⎛ ⎝ ⎜ ⎞ ⎠ ⎟ ⋅ = u u n n x x 1 4 1 1 2 1 1 1 4 ∴ by ratio test, ∑un is convergent if 4 1 4 x x ⇒ and is divergent if 4 1 4 x x ⇒ . When x = 4, the test fails. So, we use logarithmic test. ∴ If x = 4, then u u n n n n n n+ = + ⎛ ⎝ ⎜ ⎞ ⎠ ⎟ + ⋅ = + + 1 4 1 1 2 1 1 1 4 1 1 2 1 1 [ ] from (1) M02_ENGINEERING_MATHEMATICS-I _XXXX_CH02.indd 45 5/12/2016 10:57:53 AM
  • 199.
    2.46 ■ EngineeringMathematics ∴ log log log e e e u u n n n n n n+ = + ⎛ ⎝ ⎜ ⎞ ⎠ ⎟ − + ⎛ ⎝ ⎜ ⎞ ⎠ ⎟ = − ⎛ ⎝ ⎜ ⎞ ⎠ ⎟ 1 2 1 1 2 1 1 1 2 1 2 1 2 + + − − ⋅ + ⎛ ⎝ ⎜ ⎞ ⎠ ⎟ = − + ⋅ − … … … 1 1 2 1 1 2 7 8 1 2 2 n n n n ∴ n u u n n n n e log n n+ = − + ⋅ − ⎛ ⎝ ⎜ ⎞ ⎠ ⎟ = − + ⋅ − 1 2 2 1 2 7 8 1 1 2 7 8 1 … … ∴ lim log lim n n n n →∞ + →∞ = − + ⋅ − ⎛ ⎝ ⎜ ⎞ ⎠ ⎟ = − n u u n e 1 2 1 2 7 8 1 1 2 1 … ∴ by logarithmic test, ∑un is divergent if x = 4. ∴ the given series is convergent if 0 x 4 and divergent if x ≥ 4. 2.4 ALTERNATING SERIES Definition 2.13 A series of the form u u u u 1 2 3 4 − + − + ∞ … , where u n n N ∀ ∈ 0 is called an alter- nating series. Examples (1) 1 1 2 1 2 1 2 2 3 − + − +… is an alternating series. (2) ( ) − + = ∞ ∑ 1 1 2 3 1 n n n n is an alternating series. That is − + + + − + + 1 1 1 2 2 1 3 3 1 2 3 2 3 2 3 … is an alternating series, because it is − + − + + + + ⎛ ⎝ ⎜ ⎞ ⎠ ⎟ 1 1 1 2 2 1 3 3 1 2 3 2 3 2 3 … 2.4.1 Leibnitz’s Test Statement: If the alternating series u u u u 1 2 3 4 − + − +… is such that (i) u u n n n + ≤ ∀ 1 and (ii) lim , n n →∞ = u 0 then the series is convergent. Proof Given u n n ∀ 0 and (i) u u u u u u 1 2 3 4 1 ≥ ≥ ≥ ≥ ≥ ≥ + … … n n , and (ii) lim n n →∞ = u 0 Consider the even partial sum s2n . ∴ s u u u u u u s u u 2n n n 2n n n = − + − + + − = + − − − − ( ) ( ) ( ) ( ) 1 2 3 4 2 1 2 2 2 1 2 … Since u u u u n 2 1 2 2 1 2 0 n n n n − − ≥ − ≥ ∀ , , M02_ENGINEERING_MATHEMATICS-I _XXXX_CH02.indd 46 5/12/2016 10:57:59 AM
  • 200.
    Sequences and Series■ 2.47 ∴ s s n 2 2 2 n n ≥ ∀ − . Hence, 0 2 4 6 2 ≤ ≤ ≤ ≤ ≤ ≤ s s s s … … n Also we can write s u u u u u u u u 2n n n n = − − − − − − − − − 1 2 3 4 5 2 2 2 1 2 ( ) ( ) ( ) Every difference in the brackets are non-negative and u2 0 n ∴ s u n 2 1 n ≤ ∀ So, the sequence of partial seems {s2n } is increasing and bounded above. Hence, it is convergent. ∴ lim . n n →∞ = s l 2 Now compute the limit of odd partial sum. Now s2n+1 n n = + + s u 2 2 1 ∴ lim lim( ) n n n 2n 2n →∞ + →∞ + = + s s u 2 1 1 Since lim n u →∞ = n 0 and lim , n 2n →∞ = s l lim , n n →∞ = s l we have lim . n n →∞ + = + = s l l 2 1 0 Since both even and odd partial sums converge to l, we have lim , n n →∞ = s l and so the series is convergent. When lim , lim lim n n n n n n →∞ →∞ →∞ + ≠ ≠ u s s 0 2 2 1 ∴ the given series is oscillatory. Thus, in an alternating series if the terms are decreasing with lim , un = 0 then it is convergent. ■ WORKED EXAMPLES EXAMPLE 1 Test the convergence of the series 1 1 2 2 1 3 3 1 4 4 2 1 2 1…. Solution. The given series 1 1 2 2 1 3 3 1 4 4 − + − +… is an alternating series with u n n n = 1 and u n n n+ = + + 1 1 1 1 ( ) We know that ( ) n n n n + + 1 1 ⇒ 1 1 1 1 ( ) n n n n + + ⇒ u u n n n N + ∀ ≥ 1 . M02_ENGINEERING_MATHEMATICS-I _XXXX_CH02.indd 47 5/12/2016 10:58:06 AM
  • 201.
    2.48 ■ EngineeringMathematics i.e., the terms are decreasing. Now lim lim n n n →∞ →∞ = = ∞ = u n n 1 1 0 Hence, by Leibnitz’s test, the given alternating series is convergent. EXAMPLE 2 Test the convergence of the series ( ) . 2 2 2 5 1 2 1 1 1 n n n n ⎛ ⎝ ⎜ ⎞ ⎠ ⎟ ∞ ∑ Solution. The given series ( ) − − − = ∞ ∑ 1 2 1 1 1 n n n n = − + − + 1 2 3 3 5 4 7 … is an alternating series with u n n u n n n n n n and = − = + + − = + + + 2 1 1 2 1 1 1 2 1 1 ( ) ∴ u u n n n n n n n n n n n n n + − = + + − − = + − − + + − = + 1 2 1 2 1 2 1 1 2 1 2 1 2 1 2 1 2 ( )( ) ( ) ( )( ) n n n n n n n − − + − = − − ∈ 1 2 4 1 1 4 1 0 2 2 2 ( ) ∀ N ∴ u u n n n N + ∀ ∈ 1 . That is the terms are decreasing and lim lim lim . n n n n →∞ →∞ →∞ = − = − ⎛ ⎝ ⎜ ⎞ ⎠ ⎟ = ≠ u n n n 2 1 1 2 1 1 2 0 ∴ the given series is not convergent, but it is oscillatory. EXAMPLE 3 Discuss the convergence of the series x x x x x x 1 1 1 2 2 3 3 1 2 1 1 1 2 x x x 4 4 1 0 1 1 1…∞ , . Solution. The given series x x x x x x x x 1 1 1 1 2 2 3 3 4 4 + − + + + − + +… is an alternating series with u x x n n n = + 1 and u x x n n n + + + = + 1 1 1 1 ∴ u u x x x x x x x x x n n n n n n n n n n n + + + + + + − = + − + = + − + + + 1 1 1 1 1 1 1 1 1 1 1 1 ( ) ( ) ( )( x xn ) M02_ENGINEERING_MATHEMATICS-I _XXXX_CH02.indd 48 5/12/2016 10:58:12 AM
  • 202.
    Sequences and Series■ 2.49 x x x x x x x x x x x n n n n n n n n n n n ( )( ) ( ) = + ⋅ − − ⋅ + + = − + + + + + + + 1 1 1 1 1 1 1 1 1 ( ( ) ( ) ( )( ) 1 1 1 1 0 1 + = − + + + x x x x x n n n n [ ] { 0 x x ⇒ − 1 1 0 ∴ u u n n n N + ∀ ∈ 1 That is the terms are decreasing and lim lim n n n n n →∞ →∞ = + = u x x 1 0 [ , ] { 0 1 0 → → ∞ x x n n as ∴ by Leibnitz’s test, the given series is convergent. EXAMPLE 4 Test the convergence of ( ) ( ) . 2 1 1 5 1 1 1 2 3 1 n n n n ( ) ⎛ ⎝ ⎜ ⎞ ⎠ ⎟ ∞ ∑ Solution. The given series is − + + + + + − + + + = − + + − + + + + + 1 1 1 1 1 2 1 2 1 3 1 3 1 1 1 1 1 2 1 2 1 3 1 3 2 3 2 3 2 3 2 3 2 3 2 ... 3 3 − ⎛ ⎝ ⎜ ⎞ ⎠ ⎟ ... Consider, the series is 1 1 1 1 1 2 1 2 1 3 1 3 1 4 1 4 1 5 1 5 2 3 2 3 2 3 2 3 2 3 + + − + + + + + − + + + + + +… It is an alternating series with u n n n = + + 1 1 2 3 and u n n n+ = + + + + 1 2 3 1 1 1 1 ( ) ( ) = + + + + + n n n n n 2 3 2 2 2 3 3 2 ∴ u u n n n n n n n n n n n n n + − = + + + + + − + + = + + + − + 1 2 3 2 2 3 3 2 2 2 2 3 3 2 1 1 1 2 2 1 ( )( ) ( )( ( ) ( )( ) ( n n n n n n n n n n n n n n 3 2 3 3 2 3 5 4 3 3 3 3 2 1 3 3 2 2 2 2 2 + + + + + + + = + + + + + − + 3 3 3 2 3 3 2 1 3 3 2 2 4 2 5 4 3 2 3 3 2 4 3 2 n n n n n n n n n n n n n + + + + + + + + + + = − + + + ) ( )( ) ( n n n n n n ) ( )( ) 1 3 3 2 0 3 3 2 + + + + ∴ u u n n n + ∀ ≥ 1 1. So, the terms are decreasing. and lim lim lim n n n n →∞ →∞ →∞ = + + ⎛ ⎝ ⎜ ⎞ ⎠ ⎟ = + ⎛ ⎝ ⎜ ⎞ ⎠ ⎟ + ⎛ ⎝ u n n n n n n 1 1 1 1 1 1 2 3 2 2 3 3 ⎜ ⎜ ⎞ ⎠ ⎟ = + + ⎛ ⎝ ⎜ ⎞ ⎠ ⎟ = ∞ = →∞ lim n 1 1 1 1 1 0 2 3 n n n ∴ by Leibnitz’s test, the given series is convergent. [ ] { n is positive M02_ENGINEERING_MATHEMATICS-I _XXXX_CH02.indd 49 5/12/2016 10:58:17 AM
  • 203.
    2.50 ■ EngineeringMathematics 2.5 SERIES OF POSITIVE AND NEGATIVE TERMS Let u u u u 1 2 3 + + + + + … … n be a series containing both positive and negative terms. That is ui ’s may be positive or negative. Alternating series is a special case of series with positive and negative terms. Example 1 1 2 1 4 1 3 1 6 1 8 1 5 − − + − − + −… is a series with positive and negative terms. 2.5.1 Absolute Convergence and Conditional Convergence Definition 2.14 Let ∑un be a series of positive and negative terms. The series ∑un is said to be abso- lutely convergent if the series ∑ un is convergent, where un is the absolute value of un . The series ∑un is said to be conditionally convergent if it is convergent but not absolutely convergent. EXAMPLE 1 The series 1 1 2 1 3 1 4 3 3 3 − + − +… is absolutely convergent because the series of absolute terms, ∑ = + + + + un 1 1 2 1 3 1 4 3 3 3 … is convergent, by p-series ({ p = 3 1) EXAMPLE 2 The series 1 1 2 1 3 1 4 − + − + ∞ … is convergent by Leibnitz’s test. But the series of absolute values, ∑ = + + + + ∞ un 1 1 2 1 3 1 4 … is divergent by p-series ({ p = 1). So, 1 1 2 1 3 1 4 − + − + ∞ … is conditionally convergent. Results: 1. A series ∑un which is absolutely convergent is itself convergent, but the converse is not true. 2. In an absolute convergent series, the series formed by the positive terms alone is convergent and the series formed by negative terms alone is convergent. 3. If the terms of an absolutely convergent series is rearranged the series remains convergent and its sum is unaltered. 2.5.2 Tests for Absolute Convergence The test for series of positive terms is used for testing absolute convergence because ∑ un is a series of positive terms. 1. Comparison test: If lim ( ) n n n →∞ = ≠ u v l 0 then ∑ un and ∑vn behave alike. where ∑vn is an auxiliary series of positive terms. M02_ENGINEERING_MATHEMATICS-I _XXXX_CH02.indd 50 5/12/2016 10:58:23 AM
  • 204.
    Sequences and Series■ 2.51 If ∑vn is convergent, then ∑ un is convergent. If ∑vn is divergent, then ∑ un is divergent. 2. De’Alembert’s ratio test If lim , n n n →∞ + = u u l 1 then ∑ un is convergent if l 1 and divergent if l 1. The test fails if l = 1. 3. Cauchy’s root test: If lim , n n n →∞ = u l 1 then ∑ un is convergent if l 1 and divergent if l 1. The test fails if l = 1 Most cases can be tackled with comparison test and ratio test. WORKED EXAMPLES EXAMPLE 1 Prove that the series sin sin sin x x x 1 2 2 3 3 3 3 3 2 1 2… converges absolutely. Solution. Let the given series be ∑un ∴ ∑ = − + − un sin sin sin , x x x 1 2 2 3 3 3 3 3 … The series of absolute terms is ∑ = + + + u x x x n sin sin sin 1 2 2 3 3 3 3 3 … We know that sinnx n ≤ ∀ ∈ 1 N ⇒ sinnx n n n 3 3 1 ≤ ∀ ∈N ∴ ∑ ≤ = ∞ ∑ u n n n 1 3 1 . But 1 1 1 1 2 1 3 3 3 3 3 1 n = + + + = ∞ ∑ … n is convergent by p-series, since p = 3 1. ∴ ∑ un is convergent by comparison test. ∴ the given series is absolutely convergent. EXAMPLE 2 For what values of x, the series x x x x 2 1 2 1 2 3 4 2 3 4 …∞ is convergent. Solution. Let the given series be ∑un . ∴ ∑ = − + − + u x x x x n 2 3 4 2 3 4 …is a series of positive and negative terms. M02_ENGINEERING_MATHEMATICS-I _XXXX_CH02.indd 51 5/12/2016 10:58:57 AM
  • 205.
    2.52 ■ EngineeringMathematics The series of absolute terms is ∴ ∑ = + + + + = = + + + u x x x x u x n u x n n n n n n and 2 3 4 1 1 2 3 4 1 … ∴ u u x n n x n n x n x n n n n + + = ⋅ + = + ⋅ = + ⋅ 1 1 1 1 1 1 1 1 ∴ lim lim n n n n →∞ + →∞ = + ⋅ ⎛ ⎝ ⎜ ⎞ ⎠ ⎟ = u u n x x 1 1 1 1 1 ∴ by ratio test, ∑ un is convergent if 1 1 1 1 1 0 x x x x ⇒ ⇒ − , ≠ when x = 0, trivially convegent ∴ the given series is absolutely convergent and hence, convergent if − 1 1 x . When x = 1, the series is ∑ = − + − + un 1 1 2 1 3 1 4 …, which is an alternating series. Here u n u n n n and = = + + 1 1 1 1 Clearly, n + 1 n ⇒ n n + 1 ⇒ 1 1 1 n n n + ∀ ∈N ⇒ u u n n n N + ∀ ∈ 1 So, the terms of the series are decreasing and lim lim n n n →∞ →∞ = = u n 1 0 Hence, by Leibnitz’s test, the series is convergent. ∴ the given series ∑un is convergent if − ≤ 1 1 x . EXAMPLE 3 Show that the series ( ) 2 1 2 5 1 1 2 1 n n n n ⎡ ⎣ ⎤ ⎦ { } ∞ ∑ is conditionally convergent. Solution. The given series is ( ) − + − ⎡ ⎣ ⎤ ⎦ { }= − + − ( )+ + − ( )− + − ( )+ + − ( = ∞ ∑ 1 1 1 1 1 2 1 2 3 1 3 4 1 4 2 1 2 2 2 2 n n n n ) )− = + − ( )− + − ( )+ + − ( )− + − ( )+ { } … − … , 1 1 1 2 1 2 3 1 3 4 1 4 2 2 2 2 M02_ENGINEERING_MATHEMATICS-I _XXXX_CH02.indd 52 5/12/2016 10:59:04 AM
  • 206.
    Sequences and Series■ 2.53 which is an alternating series with u n n n n n n n n n = + − = + − ( ) + + ( ) + + ( ) 2 2 2 2 1 1 1 1 ⇒ u n n n n n n n = + − + + = + + 2 2 2 2 1 1 1 1 (1) ∴ u n n n+ = + + + + 1 2 1 1 1 1 ( ) ( ) It is obvious ( ) ( ) n n n n + + + + + + 1 1 1 1 2 2 [{ n ≥ 1] ⇒ 1 1 1 1 1 1 2 2 ( ) ( ) n n n n + + + + + + ⇒ u u n n n N + ∀ ∈ 1 So, the terms of the series are decreasing Now lim lim n n n →∞ →∞ = + + = ∞ = u n n 1 1 1 0 2 ∴ by Leibnitz’s test, the series is convergent. To test the conditional convergence of the given series ∑un , we test the convergence of the series ∑ un of absolute terms Now ∑ = − + − { } = + − ( ) = ∞ = ∞ ∑ ∑ u n n n n n n n n ( ) 1 1 1 2 1 2 1 { | | ( a 1 − = ⎡ ⎣ ⎤ ⎦ 1) nd n 2 1 0 n + − n ∴ u n n n n n n n n n n = + − = + + = + + = + + ⎧ ⎨ ⎩ ⎫ ⎬ ⎭ 2 2 2 2 1 1 1 1 1 1 1 1 1 1 [from (1)] Take v n n = 1 ∴ u v n n n n n n = + + ⎧ ⎨ ⎩ ⎫ ⎬ ⎭ × = + + 1 1 1 1 1 1 1 1 2 2 ∴ lim lim ( ) n n n n →∞ →∞ = + + = ≠ u v n 1 1 1 1 2 0 2 But ∑ = ∑ v n n 1 is divergent by p-series, since p = 1 ∴ by comparison test, ∑ un is divergent. Thus, ∑un is convergent and ∑ un is divergent. Hence, the given series ∑un is conditionally convergent. M02_ENGINEERING_MATHEMATICS-I _XXXX_CH02.indd 53 5/12/2016 10:59:11 AM
  • 207.
    2.54 ■ EngineeringMathematics EXAMPLE 4 Test whether the series is conditionally convergent or not. 1 2 1 2 3 1 2 3 4 1 2 3 4 5 3 3 3 3 2 1 1 1 1 2 1 1 1 1…∞. Solution. The given series is 1 2 1 2 3 1 2 3 4 3 3 3 − + + + + −…, which is an alternating series with u n n n n n n n n = + + + + + = + + = + 1 2 3 1 1 2 1 2 1 3 3 2 … ( ) ( ) ( ) ( ) (1) and u n n n n n+ = + + + = + + 1 2 2 1 2 1 1 1 2 2 ( ) ( ) (2) ∴ u u n n n n n n + − = + + − + 1 2 2 1 2 2 2 1 ( ) ( ) = + − + + + = + + + − + + + ( ) ( ) ( ) ( ) ( ) ( ) n n n n n n n n n n n n 1 2 2 1 2 3 3 1 4 4 2 1 3 2 2 2 3 2 2 2 ( ( ) ( ) ( ) ( ) ( ) ( ) n n n n n n n n n n + = − − + + + = − + − + + ∀ ∈ 2 1 2 1 2 1 2 1 2 0 2 2 2 2 2 2 2 N ∴ u u n n n N + ∀ ∈ 1 ∴ the terms of the given series ∑un are decreasing and lim lim ( ) lim n n n n →∞ →∞ →∞ = + = + ⎛ ⎝ ⎜ ⎞ ⎠ ⎟ = ∞ = u n n n n 2 1 1 2 1 1 1 0 2 2 ∴ by Leibnitz’s test, the series ∑un is convergent. To test the conditional convergence of the given series ∑un, we test the convergence of the series ∑ un of absolute terms. ∑ = + + + + + + un 1 2 1 2 3 1 2 3 4 3 3 3 … u n n n n n n n n = + = + ⎛ ⎝ ⎜ ⎞ ⎠ ⎟ = + ⎛ ⎝ ⎜ ⎞ ⎠ ⎟ 2 1 2 1 1 1 2 1 1 2 2 2 2 ( ) [from(1)] Take v n n = 1 ∴ u v n n n n n n = + ⎛ ⎝ ⎜ ⎞ ⎠ ⎟ ⋅ = + ⎛ ⎝ ⎜ ⎞ ⎠ ⎟ 1 2 1 1 1 2 1 1 2 M02_ENGINEERING_MATHEMATICS-I _XXXX_CH02.indd 54 5/12/2016 10:59:16 AM
  • 208.
    Sequences and Series■ 2.55 ∴ lim lim ( ) n n n n →∞ →∞ = + ⎛ ⎝ ⎜ ⎞ ⎠ ⎟ = ≠ u v n 1 2 1 1 1 2 0 ∴ by comparison test, ∑ ∑ u v n n and behave alike. But ∑ = ∑ v n n 1 is divergent by p-series, since p = 1 ∴ ∑ un is divergent. Thus, the series ∑un is convergent and ∑ un is divergent. Hence, the given series ∑un is conditionally convergent. EXERCISE 2.6 Test the nature of convergence of the following series 1. ( ) − = ∞ ∑ 1 1 1 n n n 2. ( ) − = ∞ ∑ 2 2 1 n n n 3. ( ) ! − = ∞ ∑ 1 1 n n n n 4. ( ) ! − = ∞ ∑ 1 1 n n n 5. ( ) − − − = ∞ ∑ 1 2 1 1 0 n n n n 6. ( ) − + = ∞ ∑ 1 1 0 n n n x n 7. ( ) ( ) − + = ∞ ∑ 1 1 1 n n n n 8. ( ) ! − = ∞ ∑ 1 1 n n n x n 9. x x x x − + − + 3 5 7 3 5 7 … 10. ( ) − + = ∞ ∑ 2 3 1 1 n n n n 11. 5 2 7 4 9 6 11 8 13 10 − + − + −… 12. Discuss the convergence of the series 1 1 2 1 3 4 1 5 6 1 7 8 ⋅ − ⋅ + ⋅ − ⋅ +…. 13. Discuss the convergence of the series 1 2 3 4 2 3 − + − + ∞ x x x … , 0 1 2 x . 14. Test the series ( ) − + = ∞ ∑ 1 4 2 1 n n n n for absolute convergence and conditional convergence. ANSWERS TO EXERCISE 2.6 1. Conditionally convergent 2. Divergent 3. Convergent 4. Convergent 5. Oscillatory 6. Absolutely convergent for − 1 1 x 7. Not convergent 8. Converges for all x 9. Converges if − ≤ ≤ 1 1 x 10. Absolutely convergence 11. Not convergent 12. Convergent 13. Convergent 14. Condionally convergent M02_ENGINEERING_MATHEMATICS-I _XXXX_CH02.indd 55 5/12/2016 10:59:24 AM
  • 209.
    2.56 ■ EngineeringMathematics We shall now test the convergence of some important series. 1. Binomial series 2. Exponential series 3. Logarithmic series 2.6 CONVERGENCE OF BINOMIAL SERIES The binomial series 1 1 1 2 1 2 3 1 2 1 2 3 + + − + − − + + − − − + n x n n x n n n x n n n n r r x ! ( ) ! ( )( ) ! ( )( ) ( ) ! … … r r + ∞ … is absolutely convergent if | | x 1. Proof Let the given series be denoted by ur r= ∞ ∑ 1 [omitting the first term]. Then u n n n n r r x r r = − − − + ( )( ) ( ) ! 1 2 1 … and u n n n n r n r r x r r + + = − − − + − + 1 1 1 2 1 1 ( )( ) ( )( ) ( )! … ∴ u u r n r x r r+ = + − ⋅ 1 1 1 (1) u u r n r x r n r x r r+ = + − ⋅ = + − ⋅ 1 1 1 1 1 1 1 ∴ lim lim r r r r →∞ + →∞ = + − = − = u u r n r x x x 1 1 1 1 1 1 1 1 ∴ by the ratio test, the series is convergent if 1 1 1 x x ⇒ and divergent if 1 1 1 x x ⇒ . When x = 1, the test fails. When x = 1, u u r n r r r+ = + − 1 1 = + − 1 1 1 r n r [using(1)] ∴ lim lim r r r r →∞ + →∞ = + − = − = − u u r n r 1 1 1 1 1 1 1 1 ∴ by ratio test, the series is divergent when x = 1. ∴ the binomial series is absolutely convergent if x 1. ■ M02_ENGINEERING_MATHEMATICS-I _XXXX_CH02.indd 56 5/12/2016 10:59:29 AM
  • 210.
    Sequences and Series■ 2.57 Note The sum of the binomial series is (1 + x)n . ∴ ( ) ! ( ) ! ( )( ) ( )( ) ( 1 1 1 1 2 1 2 3 1 2 2 3 + = + + − + − + + + − − − x nx n n x n n n x n n n n r n … … + + + 1) ! r xr … if x 1 2.7 CONVERGENCE OF THE EXPONENTIAL SERIES The exponential series 1 1 2 3 2 3 + + + + + + ∞ x x x x n ! ! ! ! … … n converges absolutely for all values of x. Proof Let the given series be denoted by un n= ∞ ∑ 1 [omitting the first term] Then u x n u x n n n n n and = = + + + ! ( )! 1 1 1 ∴ u u x n n x x n n n n n + = + ⋅ = 1 1 1 1 + + ( )! ! ∴ u u x n x n n n + = + = + 1 1 1 ∴ lim lim n n n n R →∞ + →∞ = + = ∀ ∈ u u x n x 1 1 0 Here l 1 and so the series ∑un is absolutely convergent for all x ∈R. Hence, the exponential series is convergent for all values of x ∈R. ■ Note The sum of the exponential series is ex . ∴ e x x x x n x x n R = + + + + + + ∞ ∀ ∈ 1 1 2 3 2 3 ! ! ! ! … … 2.8 CONVERGENCE OF THE LOGARITHMIC SERIES The logarithmic series x x x x x n − + − + + − + 2 3 4 2 3 4 1 … … ( )n n is convergent for all values of x in − ≤ 1 1 x . Proof Let the given series be ∑un. ∴ ∑ = − + − + u x x x x n 2 3 4 2 3 4 … Now the series of absolute terms is ∑ = + + + + u x x x x n 2 3 4 2 3 4 … M02_ENGINEERING_MATHEMATICS-I _XXXX_CH02.indd 57 5/12/2016 10:59:41 AM
  • 211.
    2.58 ■ EngineeringMathematics ∴ u x n u x n n n n n and = = + + + 1 1 1 ∴ u u u u x n n x n n x n n n n n n + + + = = ⋅ + = + ⋅ 1 1 1 1 1 1 ∴ lim lim lim n n n n n →∞ + →∞ →∞ = + ⎛ ⎝ ⎜ ⎞ ⎠ ⎟ ⋅ ⎧ ⎨ ⎩ ⎫ ⎬ ⎭ = + ⎛ ⎝ ⎜ ⎞ ⎠ ⎟ ⋅ u u n n x n x 1 1 1 1 1 1 ⎧ ⎧ ⎨ ⎩ ⎫ ⎬ ⎭ = 1 x ∴ by ratio test, the series ∑ un is convergent if 1 1 x x ⇒ 1 and divergent if 1 1 1 x x ⇒ . ∴ the series ∑un is absolutely convergent if x x ⇒ − 1 1 1. Hence, the series is convergent if − 1 1 x . When x = 1, the series is 1 1 2 1 3 1 4 − + − +… (1) It is an alternating series with u n u n n n and = = + + 1 1 1 1 Now n n + 1 ⇒ 1 1 1 n n n + ∀ N ⇒ u u n n n N + ∀ ∈ 1 . So, the terms of the series are decreasing and lim lim n n n →∞ →∞ = = u n 1 0 ∴ by Leibnitz’s test the series (1) is convergent. ∴ the logarithmic series x x x x − + − + ∞ 2 3 4 2 3 4 … is convergent if − ≤ 1 1 x . ■ Note The sum of the series is log ( ) e 1+ x ∴ log ( ) , e 1 2 3 4 1 1 2 3 4 + = − + − + ∞ − ≤ x x x x x x … and when x = 1, loge 2 1 1 2 1 3 1 4 = − + − +… 2.9 POWER SERIES Definition 2.15 Real Power Series A series of the form a a x a x 0 1 2 2 + + + + … a x n n + … is called a real power series, where a a a a 0 1 2 , , , , , … … n are real coefficients independent of x and x is a real variable. The power series is written as a x n n n= ∞ ∑ 0 Binomial series, exponential series and logarithmic series are few special power series. A more general form of the power series is M02_ENGINEERING_MATHEMATICS-I _XXXX_CH02.indd 58 5/12/2016 10:59:52 AM
  • 212.
    Sequences and Series■ 2.59 a x a a a x a n n n ( ) ( ) − = + − + = ∞ ∑ 0 0 1 a x a a x a 2 2 ( ) ( ) − + + − + … … n n It is called a power series in (x − a) [or about the point a], where a0 , a1 , a2 , , … are real numbers and x is a real variable. Definition 2.16 Radius of Convergence of a Power Series The power series a x n n n= ∞ ∑ 0 is said to have radius of convergence R if the series converges for all x satisfying x x − R i.e., R R ( ). This interval is called the interval of convergence of the power series. 2.9.1 Hadmard’s Formula Theorem 2.2 Consider the power series a x n n n = ∞ ∑ 0 . If lim , n n n R →∞ = a 1 1 then the power series will converge absolutely if x R and diverge if x R lim n n n R →∞ = a 1 1 is known as Hadmard’s formula. Proof Let the given power series be ∑ = = ∞ ∑ u a x n n n n 0 . Then u a x n n n = ⇒ u a x a x u a x a x n n n n n n n n n n n n n = = = ⋅ = ⋅ 1 1 1 1 ∴ lim lim . n n n n n n R →∞ →∞ = = u a x x 1 1 1 { lim a R n n 1 1 = ⎡ ⎣ ⎢ ⎤ ⎦ ⎥ ∴ by Cauchy’s root test, the series ∑ un is convergent if x x R R ⇒ 1 and divergent if x x R R ⇒ 1 . ∴ ∑un is absolutely convergent if x R ∴ the power series a x n n n= ∞ ∑ 0 converges absolutely if x R. That is, the power series converges in the interval − R R x . ■ Note 1. The interval (−R, R) is called the interval of convergence of the power series. At the end points x = −R and x = R, the power series may or may not converge. ∴ M02_ENGINEERING_MATHEMATICS-I _XXXX_CH02.indd 59 5/12/2016 10:59:59 AM
  • 213.
    2.60 ■ EngineeringMathematics 2. If lim , n n n →∞ = a 1 0 then 1 0 R R = ⇒ = ∞ So, the power series a x n n n = ∞ ∑ 0 converges absolutely for all real values of x. 3. If lim , n n n then R R →∞ = ∞ = ∞ ⇒ = a 1 1 0 ∴ the power series a x n n n = ∞ ∑ 0 will converge only at the point x = 0 4. We know that lim lim n n n n n n →∞ →∞ + = a a a 1 1 if the right hand side limit exists. ∴ 1 1 R n n n = →∞ + lim a a ⇒ lim n n n R →∞ + = a a 1 (1) So, the radius of convergence of a power series can also be obtained by using (1) whenever this limit could be easily evaluated. 2.9.2 Properties of Power Series The power series is very useful and convenient to deal with, because within the interval of convergence it can be treated as a polynomial. It has the following properties. 1. A power series a x n n n= ∞ ∑ 0 may be differentiated term by term. The resulting series na x n n n − = ∞ ∑ 1 1 and the given series will have the same radius of convergence. 2. A power series a x n n n= ∞ ∑ 0 can be integrated term by term. 3. Two power series a x b x n n n n n n and = ∞ = ∞ ∑ ∑ 0 0 may be added, subtracted and multiplied. The resultant series converges in the common interval of convergence. 4. We can divide one power series by another power series if the denominator series is not zero at x = 0. If f x a x x ( ) , ( , ) = ∈ − = ∞ ∑ n n n R R 0 and g y b y g y ( ) , ( ) ( , ), = ∈ − = ∞ ∑ n n n R R 0 then we can substitute g(y) for x. That is we can substitute one power series in another. 5. The power series expansion of a function is unique. WORKED EXAMPLES EXAMPLE 1 Find the radius of convergence and interval of convergence of the series n n x ! . n n n = ∞ ∑ 0 M02_ENGINEERING_MATHEMATICS-I _XXXX_CH02.indd 60 5/12/2016 11:00:04 AM
  • 214.
    Sequences and Series■ 2.61 Solution. Let the given power series be a x n n n= ∞ ∑ 0 ∴ a x n n x n n n n n n = ∞ = ∞ ∑ ∑ = 0 0 ! Here a n n a n n n n n n and = = + + + + ! ( )! ( ) 1 1 1 1 ∴ a a n n n n n n n n n n n n n n n n n + + = ⋅ + + = + + + = + ⎛ ⎝ ⎜ ⎞ ⎠ ⎟ = 1 1 1 1 1 1 1 1 ! ( ) ( )! ( )( ) ( ) 1 1 1 + ⎛ ⎝ ⎜ ⎞ ⎠ ⎟ n n ∴ the radius of convergence is R n n n = →∞ + lim a a 1 = + ⎛ ⎝ ⎜ ⎞ ⎠ ⎟ = →∞ lim n n 1 1 n e So, the interval of convergence is − e x e. EXAMPLE 2 Find the region of convergence of the series x x x x 2 1 2 1 1 2 2 3 2 4 2 5 2 3 4 52 x …∞. Solution. Let the given power series be a x n n n= ∞ ∑ 1 ∴ a x x x x x x n n n= ∞ ∑ = − + − + − ∞ 1 2 2 2 3 2 4 2 5 2 1 2 3 4 5 … Here a n a n n n n n = − = − + − + ( ) ( ) ( ) 1 1 1 1 2 1 2 and ∴ a a n n n n n n n n + − = − ⋅ + − = − + ⎡ ⎣ ⎢ ⎤ ⎦ ⎥ 1 1 2 2 2 1 1 1 ( ) ( ) ( ) a a n n n n n n n+ = − + ⎛ ⎝ ⎜ ⎞ ⎠ ⎟ = + ⎡ ⎣ ⎢ ⎤ ⎦ ⎥ = + ⎡ ⎣ ⎢ ⎤ ⎦ ⎥ 1 2 2 2 1 1 1 1 ∴ the radius of convergence is R n n = = + ⎛ ⎝ ⎜ ⎞ ⎠ ⎟ = →∞ + →∞ lim lim a a n n n 2 2 1 1 1 ∴ the series converges in − 1 1 x Now we test the convergence of the series at the end points. When x = 1, the series is 1 1 2 1 3 1 4 2 2 2 − + − +… It is an alternating series with u n n = 1 2 and the terms are decreasing Now lim lim n n n →∞ →∞ = = u n 1 0 2 M02_ENGINEERING_MATHEMATICS-I _XXXX_CH02.indd 61 5/12/2016 11:00:12 AM
  • 215.
    2.62 ■ EngineeringMathematics ∴ by Leibnitz’s test, the series is convergent. When x = −1, the series is − − − − − = − + + + + ⎛ ⎝ ⎜ ⎞ ⎠ ⎟ 1 1 2 1 3 1 4 1 1 2 1 3 1 4 2 2 2 2 2 2 … … This series is convergent by p-series, since p = 2 1 Hence, the region of convergence for the given power series is −1 ≤ x ≤ 1. EXAMPLE 3 Find the radius of convergence of the series ( ) 21 8 3 0 n n n n x ⎛ ⎝ ⎜ ⎞ ⎠ ⎟ = ∞ ∑ and the interval of convergence. Solution. The given series is ( ) − = − + − + = ∞ ∑ 1 8 1 8 8 8 3 3 0 6 2 9 3 n n n n x x x x … Put y x = 3 (to reduce to usual form) ∴ the series is 1 8 8 8 2 2 3 3 − + − + y y y … which is a power series in y with a a n n n n n n = − = − + + + ( ) ( ) 1 8 1 8 1 1 1 and ∴ a a n n n n n n + + + = − × − = − 1 1 1 1 8 8 1 8 ( ) ( ) ∴ a a n n+ = − = 1 8 8 ∴ the radius of convergence of the series in y is R = = = →∞ + →∞ lim lim n n n n a a 1 8 8 ∴ the power series in y converges in the interval − 8 8 y Now we test the convergence of the series at the end points When y = 8, the series in y becomes 1 1 1 1 1 − + − + − ∞ … , which is not convergent (it oscillates between −1 and 1) When y = −8, the series in y becomes 1 1 1 1 + + + + ∞ … , which is not convergent. Hence, the power series in y is not convergent at the end points ∴ the interval of convergence for the power series in y is −8 y 8 ⇒ − 8 8 3 x ⇒ − 2 2 x [ ] { y x = 3 ∴ the interval of convergence of the given series is − 2 2 x and the radius of convergence is 2. M02_ENGINEERING_MATHEMATICS-I _XXXX_CH02.indd 62 5/12/2016 11:00:17 AM
  • 216.
    Sequences and Series■ 2.63 EXAMPLE 4 Find the interval of convergence of the series ( ) . x 1 2 5 2 1 1 n n n ∞ ∑ Solution. The given series is ( ) ( ) ( ) ( ) x n x x x x n + = + + + + + + + + + + + − = ∞ ∑ 2 1 2 2 2 3 2 4 2 1 1 1 2 3 n n n … … Put y x = + 2, then the series becomes 1 2 3 4 1 2 3 + + + + + + + y y y y n … … n This is a power series in y. Here a n a n n n = + = + + 1 1 1 2 1 and ∴ a a n n n n n n n n+ = + × + = + + = + + 1 1 1 2 2 1 1 2 1 1 ∴ a a n n n n n n+ = + + = + + 1 1 2 1 1 1 2 1 1 ∴ the radius of convergence of the series in y is R = = + + = →∞ + →∞ lim lim n n n n a a n n 1 1 2 1 1 1 ∴ the power series in y converges in the interval − 1 1 y Now, we shall test the convergence of the series at the end points. When y = 1, the series becomes 1 1 2 1 3 1 1 + + + + + + … … n This is divergent by p-series, since p = 1 2 1 When y = −1, the series becomes 1 1 2 1 3 1 4 − + − + ∞ … . This is an alternating series with u n n = 1 and the terms are decreasing. M02_ENGINEERING_MATHEMATICS-I _XXXX_CH02.indd 63 5/12/2016 11:00:22 AM
  • 217.
    2.64 ■ EngineeringMathematics Now lim lim n n n →∞ →∞ = = ∞ = u n 1 1 0 ∴ by Leibnitz’s test the series is convergent, if y = −1. ∴ the interval of convergence of the power series in y is − ≤ 1 1 y ⇒ − ≤ + ⇒ − ≤ − 1 2 1 3 1 x x ∴ the interval of convergence of the given series is − ≤ − 3 1 x and the radius of convergence = 1, since the centre is −2 EXAMPLE 5 Convert the series ( ) ( ) 2 1 5 2 2 1 1 n n 2 n x n ⎛ ⎝ ⎜ ⎞ ⎠ ⎟ ∞ ∑ into a power series and then find (i) the radius of convergence and (ii) the interval of convergence. Solution. The given series is ( ) ( ) ( ) ( ) − + = − + + + − = ∞ ∑ 2 2 1 2 2 1 4 2 1 2 2 2 2 1 n n n x n x x 8 2 1 3 3 2 ( ) x + +… Put y x = + 2 1, then the series is ( ) − = − + − + = ∞ ∑ 2 2 4 2 8 3 2 2 2 3 2 1 n n n y n y y y … This is a power series in y. Here a n a n n n n n and = − = − + ( ) + + ( ) ( ) 2 2 1 2 1 1 2 ∴ a a n n n n n n n n n + + = − × + − = − + ⎛ ⎝ ⎜ ⎞ ⎠ ⎟ ⋅ = − + ⎡ ⎣ ⎢ ⎤ ⎦ ⎥ ⋅ 1 2 2 1 2 2 2 1 2 1 1 2 1 1 ( ) ( ) ( ) 1 1 2 ∴ a a n n n n+ = − + ⎛ ⎝ ⎜ ⎞ ⎠ ⎟ ⋅ ⎛ ⎝ ⎜ ⎞ ⎠ ⎟ = + ⎛ ⎝ ⎜ ⎞ ⎠ ⎟ ⋅ 1 2 2 1 1 1 2 1 1 1 2 ∴ the radius of convergence of the series in y is R n n n n = = + ⎛ ⎝ ⎜ ⎞ ⎠ ⎟ ⋅ = →∞ + →∞ lim lim a a n 1 2 1 1 1 2 1 2 ∴ the power series in y converges in − 1 2 1 2 y Now we test the convergence of the series at the end points. When y = 1 2 , the series becomes M02_ENGINEERING_MATHEMATICS-I _XXXX_CH02.indd 64 5/12/2016 11:00:27 AM
  • 218.
    Sequences and Series■ 2.65 ( ) ( ) − ⋅ = − = − + − + − = ∞ = ∞ ∑ ∑ 2 1 2 1 1 1 2 1 3 1 4 2 1 2 1 2 2 2 n n n n n n n … This is an alternating series with u n n = 1 2 and the terms are decreasing Now lim lim n n n →∞ →∞ = = ∞ = u n 1 1 0 2 ∴ by Leibnitz’s test the series is convergent. When y = − 1 2 , the series becomes ( ) ( ) − ⋅ − = = + + + + = ∞ = ∞ ∑ ∑ 2 1 2 1 1 1 2 1 3 1 4 2 1 2 1 2 2 2 n n n n n n … which is convergent by p-series, since p = 2 1. ∴ the interval of convergence of the power series in y is − ≤ ≤ 1 2 1 2 y ⇒ − ≤ + ≤ 1 2 2 1 1 2 x ⇒ − ≤ + ≤ 1 4 1 2 1 4 x [dividing by 2] ⇒ − − ≤ ≤ − 1 2 1 4 1 4 1 2 x ⇒ − ≤ ≤ − 3 4 1 4 x ∴ the interval of convergence of the given series is − ≤ ≤ − 3 4 1 4 x and the radius of convergence is 1 4 , since the centre is − 1 2 EXAMPLE 6 For what values of x, the series 1 1 1 2 1 1 3 1 1 4 1 2 3 4 2 1 2 1 2 1 2 1 x x x x ( ) ( ) ( ) …∞ converges. Solution. The given series is 1 1 1 2 1 1 3 1 1 4 1 2 3 4 − + − + − + − + ∞ x x x x ( ) ( ) ( ) … It is defined if x ≠ 1. Put y x = − 1 1 , then the given series is y y y y + + + + 2 3 4 2 3 4 … This is a power series in y. Here a n a n n n and = = + + 1 1 1 1 M02_ENGINEERING_MATHEMATICS-I _XXXX_CH02.indd 65 5/12/2016 11:00:36 AM
  • 219.
    2.66 ■ EngineeringMathematics ∴ a a n n n n n+ = + = + 1 1 1 1 ∴ a a n n n n+ = + = + 1 1 1 1 1 ∴ lim lim . n n n n →∞ + →∞ = + ⎛ ⎝ ⎜ ⎞ ⎠ ⎟ = a a n 1 1 1 1 ∴ the radius of convergence is R = = →∞ + lim n n n a a 1 1 ∴ the power series in y converges in − 1 1 y . Now, we test the convergence of the series at the end points. When y = 1, the series becomes 1 1 2 1 3 1 4 + + + +…, which is divergent; When y = −1, the series becomes − + − + − 1 1 2 1 3 1 4 … = − − + − + ⎡ ⎣ ⎢ ⎤ ⎦ ⎥ = − 1 1 2 1 3 1 4 2 … loge ∴ the series is convergent if y = −1 ∴ the interval of convergence of the power series in y is − ≤ 1 1 y ⇒ − ≤ − 1 1 1 1 x (1) If x 1, then 1 – x 0. ∴ (1) ⇒ ( )( ) − − ≤ − 1 1 1 1 x x ⇒ x x − ≤ − 1 1 1 ∴ x x − ≤ − 1 1 1 1 and ⇒ x x x ≤ ⇒ 2 0 0 and If x 1, then 1 − x 0. ∴ (1)⇒ ( )( ) − − ≥ − 1 1 1 1 x x ⇒ x x − ≥ − 1 1 1 ∴ x x − ≥ − 1 1 1 1 and ⇒ x x x ≥ ⇒ ≥ 2 0 2 and . ∴ the values of x for which the given series converges is x 0 or x ≥ 2. EXERCISE 2.7 Find the radius of convergence and interval convergence of the following series (1 to 7) 1. x n 2 0 n n ! = ∞ ∑ 2. 2 3 0 2 ⎛ ⎝ ⎜ ⎞ ⎠ ⎟ ⋅ = ∞ ∑ n n n x 3. ( )! 2 2 0 n x n n n = ∞ ∑ ⋅ 4. 1 1 1 1 2 2 + ⎛ ⎝ ⎜ ⎞ ⎠ ⎟ ⋅ − = ∞ ∑ n x n n n ( ) 5. ( ) x n n n + = ∞ ∑ 2 2 1 6. ( ) x n n − = ∞ ∑ 2 3 1 n 7. ( ) x n n n n n 2 2 0 3 1 2 3 + ⋅ + = ∞ ∑ M02_ENGINEERING_MATHEMATICS-I _XXXX_CH02.indd 66 5/12/2016 11:00:49 AM
  • 220.
    Sequences and Series■ 2.67 8. Find the radius of convergence and the interval of convergence and the behaviour at the end points of the interval of convergence of the power series 1 2 3 4 − + − + x x x x a a a a a 2 3 4 2 3 4 −…, 0. 9. Find the region of convergence of the series x x x x 2 3 4 + + + + ∞ 2 3 4 … . 10. Find the radius of convergence and the interval of convergence of the series ( ) . x n n n − = ∞ ∑ 3 3 2 0 11. Find the interval of convergence of the series x n n n 2 0 1 8 − ( ) ⎛ ⎝ ⎜ ⎞ ⎠ ⎟ ⎡ ⎣ ⎢ ⎤ ⎦ ⎥ = ∞ ∑ by changing it into a power series. 12. Find the region of convergence of the series ( ) . x n n n n + ⋅ = ∞ ∑ 2 3 1 ANSWERS TO EXERCISE 2.7 1. R = ∞ − ∞ ∞ ; x 2. R = − 3 2 3 2 3 2 ; x 3. R = − 1 4 1 4 1 4 ; x 4. R = − + 1 1 1 1 1 e e x e ; 5. R = − ≤ ≤ − 1 3 1 ; x 6. R = − 3 1 5 ; x 7. R = − 5 2 5 2 5 2 ; x 8. R = a, −a x a 9. R = 1, −1 ≤ x 1 10. R = 3, 3 − 3 x 3 + 3, since 3 is the centre. 11. R = 3, −3 x 3 12. −5 ≤ x 1, R = 3 SHORT ANSWER QUESTIONS 1. Examine the series 1 1 2 1 4 1 8 1 1 1 … for convergence. 2. The decimal representation of a number 0 ⋅d d d d 1 2 3 4 … is that 0 ⋅d d d d d d d d 1 2 3 4 1 2 2 3 3 4 4 10 10 10 10 … … 5 1 1 1 1 where di is one of the numbers 0, 1, 2, 3, … 9. Show that the series on the right hand side of equation is always convergent. 3. Test the convergence of an infinite series whose nth term is sin . 2 1 n M02_ENGINEERING_MATHEMATICS-I _XXXX_CH02.indd 67 5/12/2016 11:00:56 AM
  • 221.
    2.68 ■ EngineeringMathematics 4. Test the convergence of n n3 1 1 1 5 n ∞ ∑ . 5. Test the convergence of the series 1 1 3 2 3 5 5 7 ⋅ ⋅ ⋅ 1 1 1 3 …. 6. Let un n 51 ∞ ∑ be a series of positive terms with the property un+1 un ; n ≥ 1. By an application of ratio test, can we conclude that un n 51 ∞ ∑ converges? Justify your answer. 7. Prove that the series 2 3 3 4 4 5 ! ! ! 1 1 1… is convergent. 8. Test the convergence of n n n 3 n 1 1 2 1 5 ! . ∑ 9. Test the convergence of the series 1 2 2 3 3 4 4 1 1 1 1 p p p ! ! ! . … 10. Is the series 1 1 2 1 3 1 4 2 1 2 1… absolutely convergent? or conditionally convergent? 11. Discuss the convergence of the series 2 3 2 4 3 5 4 2 1 2 1…. 12. Test the convergence of the series 2 1 3 2 4 3 5 4 2 2 2 2 2 1 2 1…∞. 13. Test the convergence of the series 1 2 3 3 5 4 7 2 1 2 1…. 14. Discuss the convergence of the series ( ) . 2 1 2 5 1 1 1 2 1 n n n n ⎛ ⎝ ⎜ ⎞ ⎠ ⎟ ∞ ∑ 15. Discuss the convergence of the series 1 1 2 1 4 1 6 2 1 2 1 ! ! ! . … 16. Discuss the convergence of the series 1 1 2 1 3 1 4 2 2 2 2 1 2 1…. 17. Discuss the convergence of the series 1 6 2 11 3 16 4 21 2 1 2 1…. 18. Test the convergence of the series 5 4 2 2 1 2 2 1 2 2 1 1 5 4 1 5 4 1 …∞. 19. The series 2 5 3 2 5 3 2 5 3 2 1 1 2 1 1 2 1 1…∞ is convergent or not. 20. Test the convergence of the series 1 1 2 1 3 1 4 1 5 2 2 2 2 1 2 2 1 1 1 6 1 7 1 8 2 2 2 2 2 1…∞. 21. Test the convergence of the sequence 3 4 4 5 3 4 4 5 3 4 4 5 2 2 2 2 3 3 3 3 1 1 1 1 1 1 , , , . … M02_ENGINEERING_MATHEMATICS-I _XXXX_CH02.indd 68 5/12/2016 11:01:02 AM
  • 222.
    Sequences and Series■ 2.69 22. Test the convergence of the series 1 2 (log ) . n n n 5 ∞ ∑ 23. Test the convergence of the series 1 1 2 2 1 3 3 1 4 4 2 1 2 1…∞. OBJECTIVE TYPE QUESTIONS A. Fill up the blanks 1. The series 1 1 3 1 9 1 27 + + + +… is _____________. 2. The series 1 + 3 + 9 + 27 + … is _____________ 3. If lim n n u →∞ ≠ 0, then the series of positive terms un ∑ is _____________. 4. The series 1 1 2 2 3 4 3 5 6 . . . + + +… is _____________. 5. 1 1 1 n n n + + = ∞ ∑ is _____________. 6. If un n= ∞ 1 ∑ is a convergent series of positive terms, then lim n n u →∞ =_____________. 7. The series 1 2 1 3 1 4 1 5 − + − +… is _____________. 8. The series 1 1 2 1 4 1 6 − + − +… ! ! ! is _____________. 9. The series 1 1 2 1 3 4 1 5 6 1 7 8 . . . . − + − +… is _____________. 10. The sequence n n n n 2 2 2 − + ⎧ ⎨ ⎩ ⎫ ⎬ ⎭ converges to _____________. B. Choose the correct answer 1. The sequence {sn }, where sn n = + + + + + 1 1 2 1 2 1 2 2 1 … converges to (a) 1 (b) 1 2 (c) 2 (d) 3 2. The sequence n n n + − { } = 1 1 ∞ converges to (a) 0 (b) 1 (c) 1 2 (d) −1 3. The series 1 1 2 1 3 1 4 + + + +… is (a) convergent (b) divergent (c) oscillates (d) None of these M02_ENGINEERING_MATHEMATICS-I _XXXX_CH02.indd 69 5/12/2016 11:01:08 AM
  • 223.
    2.70 ■ EngineeringMathematics 4. The series 1 2 1 2 2 1 3 2 1 4 2 2 3 4 + + + + . . . … is (a) convergent (b) divergent (c) oscillates (d) conditionally convergent 5. The series 1 1 3 1 5 1 7 1 9 − − −… + + is (a) absolutely convergent (b) conditionally convergent (c) not convergent (d) divergent 6. The series 1 1 2 1 4 1 8 1 16 − − −… + + is (a) absolutely convergent (b) conditionally convergent (c) divergent (d) None of these 7. The series 2 1 3 2 4 3 5 4 2 2 2 2 − − … + + is (a) conditionally convergent (b) absolutely convergent (c) not convergent (d) None of these 8. The series ( ) sin − ∞ 1 1 1 n n n = ∑ is (a) absolutely convergent (b) not absolutely convergent (c) not convergent (d) None of these 9. The series ( ) . − − − ∑ 1 2 1 1 n n n is (a) convergent (b) divergent (c) absolutely convergent (d) conditionally convergent 10. The series 1 2 1 5 1 10 1 1 2 + + + + + + … … n is (a) convergent (b) divergent (c) conditionally convergent (d) None of these ANSWERS A. Fill up the blanks 1. convergent 2. divergent 3. divergent 4. divergent 5. divergent 6. 0 7. convergent 8. convergent 9. convergent 10. 1 B. Choose the correct answer 1. (a) 2. (a) 3. (b) 4. (a) 5. (b) 6. (a) 7. (b) 8. (b) 9. (b) 10. (a) M02_ENGINEERING_MATHEMATICS-I _XXXX_CH02.indd 70 5/12/2016 11:01:10 AM
  • 224.
    3.0 INTRODUCTION Calculus isone of the remarkable achievements of the human intellect. It is a collection of fascinating and exciting ideas rather than a technical tool. Calculus has two main divisions namely differential calculus and integral calculus. They serve to solve a variety of priblems that arise in science, engineering and other fields including social sciences. Differential calculus had its origin from the problem of tangent to a curve and integral calculus had its origin from the problem of finding plane area. The concept of derivative which measure the rate of change of a function is the central idea in differential calculus. We assume that the reader is familiar with the basic concepts of limit, continuity and differentiability. In this chapter we deal with successive differentiation, equation of tangent and normal, length of the tangent, length of the normal, length of the sub-tangent and length of the sub-normal, Rolle’s theorem, Mean value theorems, Taylor’s series, Maclaurin’s series, Indeterminate forms, Maxima and minima and curve tracing. Basic rules of differentiation If u and v are differentiable functions of x, then (1) d dx ku k du dx ( ) , = where k is constant (2) d dx u v du dx dv dx ( ) ± = ± (3) d dx u v u dv dx v du dx ( ) ⋅ = + [product rule] (4) d dx u v v du dx u dv dx v ⎛ ⎝ ⎜ ⎞ ⎠ ⎟ = − 2 [quotient rule] (5) d dx u v x d dv u v x dv dx [ ( ( ))] [ ( ( ))] = ⋅ [composite function rule] (6) d dx k ( ) , = 0 where k is a constant. 3 Differential Calculus M03_ENGINEERING_MATHEMATICS-I _CH03_Part A.indd 1 5/30/2016 7:06:49 PM
  • 225.
    3.2 ■ EngineeringMathematics 3.1 SUCCESSIVE DIFFERENTIATION Let y f x = ( ) be a differentiable function of x. The derivative dy dx is called the first derivative of y w.r.to x. In general, it is function of x. The derivative of dy dx is called the second derivative of y w.r.to x and it is denoted as d y dx 2 2 Thus, d y dx d dx dy dx 2 2 = ⎛ ⎝ ⎜ ⎞ ⎠ ⎟ . Similarly, the derivative of d y dx 3 3 is called the third derivative of y w.r.to x and it is denoted as d y dx 3 3 and d y dx d dx d y dx 3 3 2 2 = ⎛ ⎝ ⎜ ⎞ ⎠ ⎟ and so on. Now we state the basic formulae in differential calculus. Function y f x = ( ) Derivative dy dx f x = ′( ) Function y f x = ( ) Derivative dy dx f x = ′( ) 1. xn nxn−1 12. 1 xn − + n xn 1 2. loge x 1 x 13. sin−1 x 1 1 2 − x 3. ex ex 14. cos−1 x − − 1 1 2 x 4. sin x cos x 15. tan−1 x 1 1 2 + x 5. cos x −sin x 16. ( ) ax b n + n ax b a n ( ) + ⋅ −1 6. tan x sec2 x 17. eax b + e a ax b + ⋅ 7. sec x sec tan x x 18. log ( ) e ax b + 1 ax b a + ⋅ 8. cosec x −cos cot ecx x 19. cos( ) ax b + − + ⋅ sin( ) ax b a 9. cot x −cosec2 x 20. sin( ) ax b + cos( ) ax b a + ⋅ 10. x 1 2 x 21. tan( ) ax b + sec ( ) 2 ax b a + ⋅ 11. 1 x − 1 2 x 22. ax a a x e ⋅log M03_ENGINEERING_MATHEMATICS-I _CH03_Part A.indd 2 5/30/2016 7:06:57 PM
  • 226.
    Differential Calculus ■3.3 The nth differential coefficient of y w.r.to x is denoted by d y dx d dx d y dx n n n n = ⎛ ⎝ ⎜ ⎞ ⎠ ⎟ − − 1 1 . Thus, the successive derivative of y are dy dx , d y dx 2 2 , d y dx 3 3 , …, d y dx n n . These derivatives are also denoted by (1) y y yn 1 2 , ,… … or (2) Dy D y D y D y n , , , , , 2 3 … … where D d dx D d dx D d dx n n n = = = , , , , 2 2 2 … … (3) f x f x f x f x n ′ ″ ″′ … ( ), ( ), ( ), , ( ) ( ) or (4) y y y y n ′ ″ ″′ … , , , , . ( ) The process of finding second and higher order derivative is called successive differentiation. For example: If y x = 7 , then dy dx x d y dx d dx dy dx x x d y dx d dx d y dx = = ⎛ ⎝ ⎜ ⎞ ⎠ ⎟ = ⋅ = = ⎛ 7 7 6 42 6 2 2 5 5 3 3 2 2 , . ⎝ ⎝ ⎜ ⎞ ⎠ ⎟ = = = ⋅ = = ⋅ = 42 5 210 210 4 840 840 3 252 4 4 4 4 3 3 5 5 2 . , x x d y dx x x d y dx x 0 0 2520 2 5040 5040 0 2 6 6 7 7 8 8 x d y dx x x d y dx d y dx , , = × = = = and other higher derivatives vanish. Note Let y x = 3 ∴ dy dx x d y dx x d y dx = = = 3 6 6 2 2 2 3 3 , , Now dy dx x x dy dx x x ⎛ ⎝ ⎜ ⎞ ⎠ ⎟ = = ⎛ ⎝ ⎜ ⎞ ⎠ ⎟ = = 2 2 2 4 3 2 3 6 3 9 3 27 ( ) ( ) . and Hence, we find that, d y dx dy dx d y dx dy dx 2 2 2 3 3 3 ≠ ⎛ ⎝ ⎜ ⎞ ⎠ ⎟ ≠ ⎛ ⎝ ⎜ ⎞ ⎠ ⎟ and In general, d y dx dy dx n n n ≠ ⎛ ⎝ ⎜ ⎞ ⎠ ⎟ . WORKED EXAMPLES EXAMPLE 1 Find the first two differential coefficients w.r.to x of x x. 2 cos Solution. Let y x x = 2 cos M03_ENGINEERING_MATHEMATICS-I _CH03_Part A.indd 3 5/30/2016 7:06:59 PM
  • 227.
    3.4 ■ EngineeringMathematics Differentiating w.r.to x, dy dx x x x x x x x x = − + ⋅ = − + 2 2 2 2 [ sin ] cos sin cos . Again differentiating w.r.to x, d y dx x x x x x x x x x x x 2 2 2 2 2 2 1 2 = − + ⋅ + − + ⋅ = − − [ cos sin ] [ ( sin ) cos ] cos sin − − + = − − 2 2 2 4 2 x x x x x x x sin cos ( )cos sin . EXAMPLE 2 If y e bx ax 5 sin , then show that d y dx a dy dx a b y 2 2 2 2 2 ( ) 0. 2 1 1 5 Solution. Given y e bx ax = sin Differentiating w.r.to x, dy dx e bx b bxe a e b bx a bx ax ax ax = ⋅ + ⋅ = + cos sin [ cos sin ]. Again differentiating w.r.to x, d y dx e b bx b a bx b b bx a bx e a ax ax 2 2 = − + ⋅ + + ⋅ [ ( sin ) cos ] [ cos sin ] = − + + + = − + e b bx ab bx ab bx a bx e a b bx a ax ax [ sin cos cos sin ] [( )sin 2 2 2 2 2 b b bx cos ]. L H S . . ( ) [( )sin cos ] = − + + = − + − d y dx a dy dx a b y e a b bx ab bx a ax 2 2 2 2 2 2 2 2 2 [ [ { cos sin }] ( ) sin [ sin sin e b bx a bx a b e bx e a bx b bx ax ax ax + + + = − + 2 2 2 2 2 2 2 2 0 0 2 2 2 ab bx ab bx a bx a bx b bx eax cos cos sin sin sin ] − − + + = × = = R.H.S. . EXAMPLE 3 If y x 5 2 cos , 1 then show that (1 ) 0 2 2 1 2 2 5 x y xy . Solution. Given y x = − cos 1 Differentiating w.r.to x, dy dx x = − − 1 1 2 . Squaring, dy dx x ⎛ ⎝ ⎜ ⎞ ⎠ ⎟ = − 2 2 1 1 ⇒ y x 1 2 2 1 1 = − ⇒ ( ) . 1 1 2 1 2 − = x y Again differentiating w.r.to x, ( ) ( ) 1 2 2 0 2 1 2 1 2 − + − = x y y y x ⇒ ( ) . 1 0 2 2 1 − − = x y xy [Dividing by 2y1 ] M03_ENGINEERING_MATHEMATICS-I _CH03_Part A.indd 4 5/30/2016 7:07:02 PM
  • 228.
    Differential Calculus ■3.5 EXAMPLE 4 If y x x 5 log 2 , then show that x d y dx x d y dx x dy dx y 3 3 3 2 2 2 6 4 4 0. 1 1 2 5 Solution. Given y x x e = log 2 . Differentiating w.r.to x, dy dx x x x x x x x x x x x x x x e e e e = ⋅ − ⋅ = − ⋅ = − = − 2 4 4 4 1 2 2 1 2 1 2 log log [ log ] log 3 3 . Again differentiating w.r.to x, d y dx x x x x x x x x x x e e 2 2 3 2 6 2 2 6 2 2 1 2 3 2 3 1 2 = − ⎛ ⎝ ⎜ ⎞ ⎠ ⎟ − − = − − − = ( log ) ( log ) [ [ log ] log − + = − 5 6 6 5 6 4 e e x x x x Again differentiating w.r.to x, d y dx x x x x x x x x x x x e e 3 3 4 3 8 3 3 3 8 3 6 6 5 4 6 24 20 26 24 = ⋅ − − = − + = − ( log ) log [ l log ] log e e x x x x 8 5 26 24 = − ∴ L.H.S = + + − x d y dx x d y dx x dy dx y 3 3 3 2 2 2 6 4 4 = − + − + − − = x x x x x x x x x x x e e e e 3 5 2 4 3 2 26 24 6 6 5 4 1 2 4 [ log ] [ log ] [ log ] log 2 26 24 6 6 5 4 1 2 4 1 26 2 2 2 2 2 − + − + − − = − log ( log ) ( log ) log [ e e e e x x x x x x x x x 2 24 36 30 4 8 4 30 30 36 36 log log log log ] log log e e e e e e x x x x x x + − + − − = − + − x x2 0 = = R.H.S. EXAMPLE 5 If x a y b 5 u 5 u cos sin 3 3 , then find d y dx 2 2 . Solution. Given x a y b = = cos sin 3 3 u u and , which are parametric equations. M03_ENGINEERING_MATHEMATICS-I _CH03_Part A.indd 5 5/30/2016 7:07:04 PM
  • 229.
    3.6 ■ EngineeringMathematics Differentiating w.r.to u, we get, dx d a a dy d b u u u u u u u u = − = − = 3 3 3 2 2 2 cos ( sin ) cos sin sin cos . and ∴ dy dx dy d dx d b a b a = = − = − / / u u u u u u u 3 3 2 2 sin cos cos sin tan . ∴ d y dx d dx dy dx d d b a d dx b a a 2 2 2 1 3 = ⎛ ⎝ ⎜ ⎞ ⎠ ⎟ = − ⎛ ⎝ ⎜ ⎞ ⎠ ⎟ = − ⋅ − u u u u tan sec cos2 2 2 4 3 u u u u sin sec cos . = b a ec EXAMPLE 6 If x 5 sin t and y 5 sin pt, then prove that (1 2 x2 )y2 2 xy1 1 p2 y 5 0. Solution. Given x = sin t (1) and y = sin pt (2) Differentiating (1) and (2) w.r.to t, we get dx dt t dy dt p pt = = cos , cos and ∴ dy dx dy dt dx dt p pt t = = / / cos cos ⇒ y p pt t 1 = cos cos . Squaring, y p pt t 1 2 2 2 2 = cos cos = − − = − − p pt pt p y x 2 2 2 2 2 2 1 1 1 1 ( sin ) sin ( ) ⇒ ( ) ( ). 1 1 2 1 2 2 2 − = − x y p y Differentiating w.r.to x, ( ) ( ) 1 2 2 2 2 1 2 1 2 2 1 − + − = − x y y y x p yy Dividing by 2y1 , we get ( ) 1 2 2 1 2 − − = − x y xy p y ⇒ ( ) . 1 0 2 2 1 2 − − + = x y xy p y EXERCISE 3.1 1. If y e x x = − cos , then prove that d y dx y 4 4 4 0 + = . 2. If y x = sin(sin ), then prove that d y dx x dy dx y x 2 2 2 0 + + = tan cos . 3. If y Ax Bx n n = + + − 1 , then prove that x d y dx n n y 2 2 2 1 = + ( ) . 4. If y Ae pt e kt = + − cos( ), then show that d y dt x dy dt n y 2 2 2 2 0 + + = , where n p k 2 2 2 = + . 5. If y a x b x = + cos(log ) sin(log ), then show that x d y dx x dy dx y 2 2 2 0 + + = . 6. If y ax bx c x = + + − 2 1 , then show that ( ) 1 3 3 2 − = x y y . M03_ENGINEERING_MATHEMATICS-I _CH03_Part A.indd 6 5/30/2016 7:07:09 PM
  • 230.
    Differential Calculus ■3.7 7. If x t t = + ⎛ ⎝ ⎜ ⎞ ⎠ ⎟ 1 , y t t = − ⎛ ⎝ ⎜ ⎞ ⎠ ⎟ 1 2 1 , then prove that d y dx t t 2 2 3 2 3 2 1 = − ( ) . 8. If y x = − (sin ) 1 2 , then show that ( ) 1 2 0 2 2 2 − − − = x d y dx x dy dx . 9. If y x = − (tan ) 1 2 , then prove that ( ) ( ) x y x y 2 2 2 1 1 2 1 2 0 + + + − = . 10. If xy ae be x x = + − , then prove that x d y dx dy dx xy 2 2 2 0 + − = . 11. If y ax bx c 2 2 2 = + + , where a b c , , are constants, then show that d x dy b ac ax b 2 2 2 3 = − + ( ) . 12. If x y axy 3 3 3 + = , prove that D y a xy ax y 2 3 2 3 2 = − ( ) . 13. If y = e3x (ax + b), then prove that d y dx dy dx y 2 2 6 9 0 − + = . 14. If x = (a + bt)⋅e− nt , then show that d x dt n dx dt n x 2 2 2 2 0 + + = . 15. If y x x n = −1 log , show that x d y dx n dy dx n xn 2 2 2 2 1 0 − − − − = − ( ) ( ) . 16. If xy ae be x x = + − , then prove that x d y dx dy dx xy 2 2 2 0 + − = . 17. If x = 2 cos t − cos 2t, y = 2 sin t − sin 2t, then prove that the value of d y dx 2 2 when t = p 2 is −3. 3.1.1 The nth Derivative of Standard Functions 1. Find the nth derivative of eax . Solution. Let y = eax (1) Differentiating w.r.to x, successively we get, y ae y a ae a e y a ae a e y a ae a ax ax ax ax ax n n ax n 1 2 2 3 2 3 1 = = = = = = = − , ,... ⋅ ⋅ ⋅ e eax (2) Note (1) Putting a = 1 in (1) and (2), we get, y = ex and yn = ex (2) Since a e e a = log , a e x x a e = log ∴ d dx a a e a a n n x e n x a e n x e ( ) (log ) (log ) log = = So, if y = ax , then yn = (loge a)n ax . 2. Find the nth derivative of (ax 1 b)m . Solution. Let y = (ax + b)m (1) M03_ENGINEERING_MATHEMATICS-I _CH03_Part A.indd 7 5/30/2016 7:07:13 PM
  • 231.
    3.8 ■ EngineeringMathematics Differentiating w.r.to x, successively, y m ax b a am ax b y a m m ax b a a m m m m m 1 1 1 2 2 2 1 1 = + = + = − + = − − − − ( ) ( ) ( )( ) ( ) ⋅ ⋅ ⋅ ( ( ) ax b m + −2 y a m m m ax b m 3 3 3 1 2 = − − + − ( )( )( ) : y a m m m m n ax b n n m n = − − − + + − ( )( ) ( )( ) 1 2 1 … This result is true for all values of m. Particular cases Case 1: If m is a positive integer and equal to n, then y a n n n n n ax b a n n n n n n n n n = − − − + + = − − = − ⋅ ⋅⋅⋅ ⋅⋅⋅ ⋅ ( )( ) ( )( ) ( )( ) 1 2 1 1 2 2 1 ! !an ∴ d dx ax b n a n n n n ( ) ! . + = Since y n a n n = ! is a constant, y y n n + = = + 1 0 0 2 , and so on. That is (n + 1)th , (n + 2)th and all higher order derivatives of (ax + b)n are zero. Case 2: If m is a integer and m n, then the nth derivative of (ax + b)m = 0. Case 3: If a = 1, b = 0, then y = xm y m m m n x n m n = − − + − ( ) ( ) 1 1 ⋅⋅⋅ If m is a positive integer and m = n then y n n n n n x n n n n n n n = − − − + = − − = − ( )( ) ( ) ( )( ) ! 1 2 1 1 2 2 1 ⋅⋅⋅ ⋅⋅⋅ ⋅ 3. Find the nth derivative of 1 ax b 1 . Solution. Let y ax b ax b = + = + − 1 1 ( ) Differentiating w.r.to x, successively, y ax b a a ax b 1 2 2 1 1 = − + = − + − ( )( ) ( ) ( ) ⋅ y a ax b a a ax b 2 3 2 2 3 1 2 1 2 = − − + = − + − ( )( )( ) ( ) ! ( ) ⋅ y a ax b a a ax b 3 2 4 3 3 4 1 2 3 1 3 = − − − + = − + − ( )( )( )( ) ( ) ! ( ) ⋅ : y a n n ax b a n n n = − − − − + − − + 1 1 1 2 3 1 ( )( )( ) ( )( )( ) ( ) ⋅⋅⋅ ⋅ ⇒ y n a ax b n n n n = − + + ( ) ! ( ) 1 1 M03_ENGINEERING_MATHEMATICS-I _CH03_Part A.indd 8 5/30/2016 7:07:16 PM
  • 232.
    Differential Calculus ■3.9 Particular case If a = 1, b = 0, then y x = 1 ∴ y n x n n n = − + ( ) ! , 1 where n is a positive integer. 4. Find the nth derivative of log (ax 1 b). Solution. Let y = loge (ax + b) Differentiating w.r.to x, y ax b a a ax b 1 1 1 = + ⋅ = + − ( ) Again differentiating w.r.to x, we get y a ax b a a ax b 2 2 2 2 1 1 = ⋅ − + ⋅ = − + − ( )( ) ( ) ( ) y a ax b a a ax b 3 2 3 2 3 3 1 2 1 2 = − − + ⋅ = − + − ( )( )( ) ( ) ! ( ) : y n a ax b n n n n = − − + − ( ) ( )! ( ) 1 1 1 . 5. Find the nth derivative of sin( ). ax b 1 Solution. Let y ax b = + sin( ) Differentiating w.r.to x successively, we get y ax b a 1 = + ⋅ cos( ) = + = + + ⎛ ⎝ ⎜ ⎞ ⎠ ⎟ a ax b a ax b cos( ) sin p 2 y a ax b a 2 2 = + + ⎛ ⎝ ⎜ ⎞ ⎠ ⎟ ⋅ cos p = + + + ⎛ ⎝ ⎜ ⎞ ⎠ ⎟ = + + ⋅ ⎛ ⎝ ⎜ ⎞ ⎠ ⎟ a ax b a ax b 2 2 2 2 2 2 sin sin p p p y a ax b a 3 2 2 2 = + + ⋅ ⎛ ⎝ ⎜ ⎞ ⎠ ⎟ ⋅ cos p = + + ⋅ + ⎛ ⎝ ⎜ ⎞ ⎠ ⎟ = + + ⎛ ⎝ ⎜ ⎞ ⎠ ⎟ a ax b a ax b 3 3 2 2 2 3 2 sin sin p p p : y a ax b n n n = + + ⋅ ⎛ ⎝ ⎜ ⎞ ⎠ ⎟ sin p 2 Particular case If a b = = 1 0 , , then y x = sin ∴ y x n n = + ⎛ ⎝ ⎜ ⎞ ⎠ ⎟ sin p 2 . 6. Find the nth derivative of cos( ). ax b 1 Solution. Let y ax b = + cos( ) M03_ENGINEERING_MATHEMATICS-I _CH03_Part A.indd 9 5/30/2016 7:07:20 PM
  • 233.
    3.10 ■ EngineeringMathematics Differentiating w.r.to x successively, we get y ax b a 1 = − + ⋅ sin( ) = − + = + + ⎛ ⎝ ⎜ ⎞ ⎠ ⎟ a ax b a ax b sin ) cos ( p 2 y a ax b a 2 2 = − + + ⎛ ⎝ ⎜ ⎞ ⎠ ⎟ ⋅ sin p = + + + ⎛ ⎝ ⎜ ⎞ ⎠ ⎟ a ax b 2 2 2 cos p p = + + ⋅ ⎛ ⎝ ⎜ ⎞ ⎠ ⎟ a ax b 2 2 2 cos p : y a ax b n n n = + + ⋅ ⎛ ⎝ ⎜ ⎞ ⎠ ⎟ cos p 2 Particular case: If a b = = 1 0 , , then y x = cos . ∴ y x n n = + ⋅ ⎛ ⎝ ⎜ ⎞ ⎠ ⎟ cos p 2 . 7. Find the nth derivative of e bx c ax sin( ). 1 Solution. Let y e bx c ax = + sin( ) Differentiating w.r.to x, successively we get y e bx c b bx c e a ax ax 1 = + ⋅ + + ⋅ cos( ) sin( ). = + + + e b bx c a bx c ax [ cos( ) sin( )] If a r b r = = cos , sin u u, then ( ) cos sin (cos sin ) a b r r r r r 2 2 2 2 2 2 2 2 2 2 2 + = + = + = u u u u ⇒ r a b = + ( ) 2 2 1 2 and tanu = b a , ∴ u = ⎛ ⎝ ⎜ ⎞ ⎠ ⎟ − tan 1 b a . ∴ y e r bx c r bx c ax 1 = + + + [ sin cos( ) cos sin( )] u u = + + + re bx c bx c ax [sin cos( ) cos sin( )] u u = + + re bx c ax sin( ) u ∴ y r e bx c b bx c e a ax ax 2 = + + ⋅ + + + ⋅ [ cos( ) sin( ) ] u u = + + + + + re r bx c r bx c ax [ sin cos( ) cos sin( )] u u u u = + + + r e bx c ax 2 sin( ) u u = + + r e bx c ax 2 2 sin( ). u Similarly, y r e bx c ax 3 3 3 = + + sin( ) u : y r e bx c n n n ax = + + sin( ) u ⇒ y a b e bx c n b a n n ax = + ⋅ + + ⎛ ⎝ ⎜ ⎞ ⎠ ⎟ − ( ) sin tan 2 2 2 1 . M03_ENGINEERING_MATHEMATICS-I _CH03_Part A.indd 10 5/30/2016 7:07:26 PM
  • 234.
    Differential Calculus ■3.11 8. Find the nth derivative of e bx c ax cos( ). 1 Solution. Let y e bx c ax = + cos( ) Differentiating w.r.to x, successively we get y e bx c b bx c e a ax ax 1 = − + ⋅ + + ⋅ ⋅ ( sin( ) ) cos( ) ⇒ y e a bx c b bx c ax 1 = + − + [ cos( ) sin( )] Put a r b r = = cos , sin u u, then r a b 2 2 2 = + ⇒ = + r a b ( ) 2 2 1 2 and tanu = b a ⇒ u = ⎛ ⎝ ⎜ ⎞ ⎠ ⎟ − tan 1 b a . ∴ y e r bx c r bx c ax 1 = + − + [ cos cos( ) sin sin( )] u u = + − + re bx c bx c ax [cos cos( ) sin sin( )] u u = + + re bx c ax cos( ) u y r e bx c b bx c e a ax ax 2 = − + + ⋅ + + + ⋅ [ ( sin( ) ) cos( ) ] u u = + + − + + = + + − re a bx c b bx c re r bx c r ax ax [ cos( ) sin( )] [ cos cos( ) si u u u u n n sin( )] u u bx c + + = + + − + + r e bx c bx c ax 2 [cos cos( ) sin sin( )] u u u u ⇒ y r e bx c ax 2 2 = + + + cos( ) u u = + + r e bx c ax 2 2 cos( ) u . Similarly, y r e bx c ax 3 3 3 = + + cos( ) u : y r e bx c n n n ax = + + cos( ) u ⇒ y a b e bx c n b a n n ax = + ⋅ + + ⎛ ⎝ ⎜ ⎞ ⎠ ⎟ − ( ) cos tan 2 2 2 1 . WORKED EXAMPLES 1. The nth derivative using partial fractions EXAMPLE 1 Find the nth derivative of (i) x x ( 2)2 2 (ii) 2 (2 1)( 1) x x x 1 2 . Solution. (i) x x ( ) − 2 2 . Let y x x = − ( ) 2 2 Split the R.H.S into partial fractions. to reduce to the form 1 ( ) ax b m + ⎛ ⎝ ⎜ ⎞ ⎠ ⎟ M03_ENGINEERING_MATHEMATICS-I _CH03_Part A.indd 11 5/30/2016 7:07:31 PM
  • 235.
    3.12 ■ EngineeringMathematics Let x x ( ) − 2 2 = A x B x ( ) ( ) − + − 2 2 2 ⇒ x A x B = − + ( ) . 2 Put x = 2, then 2 0 = × + A B ⇒ B = 2. Equating the coefficients of x, A = 1. ∴ x x x x ( ) ( ) ( ) − = − + − 2 1 2 2 2 2 2 ∴ y x x = − + − 1 2 2 2 2 ( ) ( ) then y n x n x n n n n n = − − + ⋅ − + − + + ( ) ! ( ) ( ) ( )! ( ) 1 2 2 1 1 2 1 2 . [Refer formula 2] (ii) 2 2 1 1 x x x ( )( ) + − . Let y x x x = + − 2 2 1 1 ( )( ) Split the R.H.S into partial fractions. Let 2 2 1 1 x x x ( )( ) + − = A x B x 2 1 1 + + − ⇒ 2 1 2 1 x A x B x = − + + ( ) ( ) Put x = − 1 2 , then 2 1 2 1 2 1 − ⎛ ⎝ ⎜ ⎞ ⎠ ⎟ = − − ⎛ ⎝ ⎜ ⎞ ⎠ ⎟ A ⇒ − = − 3 2 1 A ⇒ A = 2 3 Put x = 1, then 2 1 2 1 1 3 2 2 3 ⋅ = ⋅ + ⇒ = ⇒ = B B B ( ) ∴ 2 2 1 1 2 3 1 2 1 2 3 1 1 x x x x x ( )( ) + − = ⋅ + + ⋅ − ∴ y x x = ⋅ + + ⋅ − 2 3 1 2 1 2 3 1 1 Hence, y n x n x n n n n n n = ⋅ − + + − − + + 2 3 1 2 2 1 2 3 1 1 1 1 ( ) ! ( ) ( ) ! ( ) . [Refer formula 3] = − + + − − + + + ( ) ! ( ) ( ) ! ( ) 1 2 3 2 1 2 1 3 1 1 1 1 n n n n n n x n x . EXAMPLE 2 Find the nth derivative of x x x 4 ( 1)( 2) 2 2 . Solution. Let y = x x 4 ( 1)( 2) − − M03_ENGINEERING_MATHEMATICS-I _CH03_Part A.indd 12 5/30/2016 7:07:37 PM
  • 236.
    Differential Calculus ■3.13 Split the R.H.S into partial fractions. Since the degree of the Nr. is greater than the degree of Dr., it is an improper fraction. We divide x4 by ( )( ) x x x x − − = − + 1 2 3 2 2 and then split the proper fraction into partial fractions. Dividing ∴ x x x x x x x x 4 2 1 2 3 7 15 14 1 2 − ( ) − ( ) = + + + − − − ( )( ) Let 15 14 1 2 1 2 x x x A x B x − − − = − + − ( )( ) ⇒ 15 14 2 1 x A x B x − = − + − ( ) ( ) Put x = 1, then 15 1 14 1 2 0 ⋅ − = − + ⋅ A B ( ) ⇒ A = −1 Put x = 2, then 15 2 14 2 1 ⋅ − = − B( ) ⇒ B = 16 ∴ 15 14 1 2 1 1 16 2 x x x x x − − − = − − + − ( )( ) ( ) ∴ x x x x x x x 4 2 1 2 3 7 1 1 16 2 ( )( ) − − = + + − − + − ∴ y x x x x = + + − − + − 2 3 7 1 1 16 2 Hence, y n x n x n n n n n = − ⋅ − − + − − + + 1 1 1 16 1 2 1 1 ( ) ! ( ) ( ) ! ( ) = − − + − − + + + ( ) ! ( ) ( ) ! ( ) , 1 1 16 1 2 2 1 1 1 n n n n n x n x n 2. The nth derivatives of trigonometric functions If y is a simple power of sine or cosine or product of sine and cosine, then they can be expressed as a sum of sines and cosines of multiple angles and nth derivative can be found. EXAMPLE 3 Find the nth derivative of (i) sin2 x (ii) sin3 x. Solution. (i) sin2 x Let y x = sin2 = − = − 1 2 2 1 2 2 2 cos cos x x ∴ y x n n n = − + ⎛ ⎝ ⎜ ⎞ ⎠ ⎟ 1 2 2 2 2 cos p = − + ⎛ ⎝ ⎜ ⎞ ⎠ ⎟ − 2 2 2 1 n x n cos p . [Refer the formula 5] x x x x x x x x x x x x x 2 2 4 4 3 2 3 2 3 2 3 7 3 2 3 2 3 2 3 9 6 + + − + − + − − + ⎯⎯⎯⎯⎯⎯⎯ ⎯⎯⎯⎯⎯⎯⎯⎯⎯ ⎯⎯ ⎯⎯⎯⎯⎯⎯⎯⎯⎯⎯ 7 6 7 21 14 15 14 2 2 x x x x x − − + − M03_ENGINEERING_MATHEMATICS-I _CH03_Part A.indd 13 5/30/2016 7:07:40 PM
  • 237.
    3.14 ■ EngineeringMathematics (ii) sin3 x Let y x = sin3 ⇒ = − 1 4 3 3 [ sin sin ] x x = − 3 4 1 4 3 sin sin x x [ sin sin sin ] { 3 3 4 3 x x x = − Hence, y x n x n n n = + ⎛ ⎝ ⎜ ⎞ ⎠ ⎟ − + ⎛ ⎝ ⎜ ⎞ ⎠ ⎟ 3 4 2 1 4 3 3 2 sin sin p p [Refer the formula 5] EXAMPLE 4 Find the nth derivative of (i) cos4 x (ii) sinx sin2x sin3x. Solution. (i) cos4 x Let y x = cos4 = (cos ) 2 2 x = + ⎡ ⎣ ⎢ ⎤ ⎦ ⎥ cos 2 1 2 2 x = + + [ cos cos ] 2 1 4 1 2 2 2 x x = + + + ⎡ ⎣ ⎢ ⎤ ⎦ ⎥ = + + + 1 4 1 2 2 1 4 1 4 2 1 4 1 8 1 2 2 1 8 4 cos cos cos cos x x x x ⇒ y x x = + + 3 8 1 2 2 1 8 4 cos cos Hence, y x n x n n n n = ⋅ + ⎛ ⎝ ⎜ ⎞ ⎠ ⎟ + + ⎛ ⎝ ⎜ ⎞ ⎠ ⎟ 1 2 2 2 2 1 8 4 4 2 cos cos . p p (ii) sin sin2 sin3 x x x Let y x x x = sin sin sin 2 3 We know that sin sin cos cos A B A B A B = − ( )− + ( ) ⎡ ⎣ ⎤ ⎦ 1 2 and sin cos sin sin A B A B A B = + ( )+ − ( ) ⎡ ⎣ ⎤ ⎦ 1 2 ∴ y x x x = − [ ] 1 2 5 sin cos cos = − { } 1 2 5 sin cos sin cos x x x x = − − [ ] ⎧ ⎨ ⎩ ⎫ ⎬ ⎭ 1 2 1 2 2 1 2 6 4 sin sin sin x x x = − − 1 4 2 1 4 6 4 sin (sin sin ) x x x Hence, y x n x n x n n n n n = + ⎛ ⎝ ⎜ ⎞ ⎠ ⎟ − + ⎛ ⎝ ⎜ ⎞ ⎠ ⎟ + + ⎛ ⎝ 1 4 2 2 2 1 4 6 6 2 1 4 4 4 2 sin sin sin p p p ⎜ ⎜ ⎞ ⎠ ⎟ [Refer formula 5] ⇒ y x n x n x n n n n n n = + ⎛ ⎝ ⎜ ⎞ ⎠ ⎟ − ⋅ + ⎛ ⎝ ⎜ ⎞ ⎠ ⎟ + + − − − 2 2 2 3 2 6 2 4 4 2 2 1 sin sin sin p p p 2 2 ⎛ ⎝ ⎜ ⎞ ⎠ ⎟ M03_ENGINEERING_MATHEMATICS-I _CH03_Part A.indd 14 5/30/2016 7:07:44 PM
  • 238.
    Differential Calculus ■3.15 EXAMPLE 5 Find the nth differential coefficient of sin cos 3 5 u u. Solution. Let y = sin cos 3 5 u u and let x i ei = + = cos sin u u u ∴ 1 1 x i = + cos sin u u = = − 1 e e i i i u u u u = cos sin ∴ x x + = 1 2cosu and x x i − = 1 2 sinu. By De−Moivre’s theorem, x n i n n = + cos sin u u and 1 x n i n n = − cos sin u u x x n n n + = 1 2cos u and x x i n n n − = 1 2 sin u ∴ 2 1 5 5 5 cos u = + ⎛ ⎝ ⎜ ⎞ ⎠ ⎟ x x and 2 1 3 3 3 3 i x x sin u = − ⎛ ⎝ ⎜ ⎞ ⎠ ⎟ ∴ 2 2 1 1 3 3 3 5 5 3 5 i x x x x sin cos u u ⋅ = − ⎛ ⎝ ⎜ ⎞ ⎠ ⎟ + ⎛ ⎝ ⎜ ⎞ ⎠ ⎟ ⇒ − = − ⎛ ⎝ ⎜ ⎞ ⎠ ⎟ + ⎛ ⎝ ⎜ ⎞ ⎠ ⎟ ⎡ ⎣ ⎢ ⎤ ⎦ ⎥ + ⎛ ⎝ ⎜ ⎞ ⎠ ⎟ i x x x x x x 2 1 1 1 8 3 5 3 2 sin cos u u = − ⎛ ⎝ ⎜ ⎞ ⎠ ⎟ + ⎛ ⎝ ⎜ ⎞ ⎠ ⎟ x x x x 2 2 3 2 1 1 = − + − ⎛ ⎝ ⎜ ⎞ ⎠ ⎟ + + ⎛ ⎝ ⎜ ⎞ ⎠ ⎟ x x x x x x 6 2 2 6 2 2 3 3 1 2 1 = + + − − − x x x x x 8 6 4 4 2 2 3 6 3 + + + − − − 3 6 3 1 2 1 2 4 4 6 8 x x x x x = − ⎛ ⎝ ⎜ ⎞ ⎠ ⎟ + − ⎛ ⎝ ⎜ ⎞ ⎠ ⎟ + − ⎛ ⎝ ⎜ ⎞ ⎠ ⎟ − − ⎛ ⎝ ⎜ ⎞ ⎠ ⎟ x x x x x x x x 8 8 6 6 4 4 2 2 1 2 1 2 1 6 1 − = + ⋅ − ⋅ − ⋅ ⋅ i i i i i 2 2 8 2 2 6 2 2 4 6 2 2 8 3 5 sin cos sin sin sin sin u u u u u u ⇒ − = + − − ⋅ 2 8 2 6 2 4 6 2 7 3 5 sin cos sin sin sin sin u u u u u u [dividing by 2i] ∴ sin cos [sin sin sin sin ] 3 5 7 1 2 8 2 6 2 4 6 2 u u u u u u = − + − − = + − − 1 2 6 2 2 4 2 6 8 7 [ sin sin sin sin ] u u u u M03_ENGINEERING_MATHEMATICS-I _CH03_Part A.indd 15 5/30/2016 7:07:49 PM
  • 239.
    3.16 ■ EngineeringMathematics ∴ y = + − − 1 2 6 2 2 4 2 6 8 7 [ sin sin sin sin ] u u u u ∴ y n n n n n n n = ⋅ + ⎛ ⎝ ⎜ ⎞ ⎠ ⎟ + ⋅ + ⎛ ⎝ ⎜ ⎞ ⎠ ⎟ − ⋅ + ⎛ ⎝ 1 2 6 2 2 2 2 4 4 2 2 6 6 2 7 sin sin u p u p u p ⎜ ⎜ ⎞ ⎠ ⎟ − + ⎛ ⎝ ⎜ ⎞ ⎠ ⎟ ⎡ ⎣ ⎢ ⎤ ⎦ ⎥ 8 8 2 n n sin u p . EXAMPLE 6 If y x x 5 log , then prove that y n x x n n n n 5 2 2 2 2 2 1 ( 1) ! log 1 1 2 1 3 1 . 1 e ⋅⋅⋅ ⎡ ⎣ ⎢ ⎤ ⎦ ⎥ Solution. Given y x x e = log (1) Differentiating w.r.to x, we get y x x x x e 1 2 1 1 1 = ⋅ + ⋅ − ⎛ ⎝ ⎜ ⎞ ⎠ ⎟ log = − = − − 1 1 1 1 1 2 2 2 x x x x x e e log ( ) ! [log ]. Again differentiating w.r.to x, we get y x x x x e 2 2 3 1 1 1 1 2 = − ⋅ + − ⋅ − ⎛ ⎝ ⎜ ⎞ ⎠ ⎟ ⎧ ⎨ ⎩ ⎫ ⎬ ⎭ ( ) (log ) = − − − ⎧ ⎨ ⎩ ⎫ ⎬ ⎭ ( ) (log ) 1 1 2 1 3 3 x x x e = − − − ⎧ ⎨ ⎩ ⎫ ⎬ ⎭ = − − − ⎧ ⎨ ⎩ ⎫ ⎬ ⎭ ( ) log ( ) ! log 1 2 1 1 2 1 2 1 1 2 2 3 2 3 x x x x e e Again differentiating w.r.to x, we get y x x x x e 3 2 3 4 1 2 1 1 1 1 2 3 = − ⋅ + − − ⎛ ⎝ ⎜ ⎞ ⎠ ⎟ − ⎛ ⎝ ⎜ ⎞ ⎠ ⎟ ⎡ ⎣ ⎢ ⎤ ⎦ ⎥ ( ) ! log = − − − − ⎛ ⎝ ⎜ ⎞ ⎠ ⎟ ⎧ ⎨ ⎩ ⎫ ⎬ ⎭ ( ) ! log 1 2 1 3 1 1 2 2 4 4 x x x e = − × − − − ⎧ ⎨ ⎩ ⎫ ⎬ ⎭ ( ) ! log 1 2 3 1 1 2 1 3 3 4 x x e = − − − − ⎧ ⎨ ⎩ ⎫ ⎬ ⎭ ( ) ! log . 1 3 1 1 2 1 3 3 4 x x e Proceeding in this way or by induction, we get y n x x n n n n e = − − − − ⋅⋅⋅− ⎡ ⎣ ⎢ ⎤ ⎦ ⎥ + ( ) ! log 1 1 1 2 1 3 1 1 . EXERCISE 3.2 1. Find the nth derivative of (i) x x 2 3 sin (ii) x x 2 4 cos (iii) sin sin 3 2 x x. 2. Find the nth derivative of x x x e 4 2 3 5 2 + + − log ( ) . M03_ENGINEERING_MATHEMATICS-I _CH03_Part A.indd 16 5/30/2016 7:07:52 PM
  • 240.
    Differential Calculus ■3.17 3. Find the nth derivative of x x x 2 2 2 7 6 + + . 4. Find the nth derivative of 1 6 8 2 x x − + . 5. Find the nth derivative of sin cos 3 2 x x. 6. Find the nth derivative of e x x x 3 6 4 cos log . + ANSWERS TO EXERCISE 3.2 1. (i) x2 ⋅ 3n sin n x p 2 3 + ⎛ ⎝ ⎜ ⎞ ⎠ ⎟ + 2nx ⋅ 3n−1 sin ( ) n x − + ⎡ ⎣ ⎢ ⎤ ⎦ ⎥ 1 2 3 p + n(n − 1) 3n−2 sin ( ) n x − + ⎡ ⎣ ⎢ ⎤ ⎦ ⎥ 2 2 3 p (ii) x2 ⋅ 4n cos n x p 2 4 + ⎛ ⎝ ⎜ ⎞ ⎠ ⎟ + 2nx4n−1 cos ( ) n x − + ⎡ ⎣ ⎢ ⎤ ⎦ ⎥ 1 2 4 p + n (n − 1)⋅ 4n−2 cos ( ) n x − + ⎡ ⎣ ⎢ ⎤ ⎦ ⎥ 2 2 4 p (iii) 1 2 2 1 2 5 2 5 cos cos n x n x n p p + ⎛ ⎝ ⎜ ⎞ ⎠ ⎟ − + ⎛ ⎝ ⎜ ⎞ ⎠ ⎟ 2. (−1)n−1 (n −1)! 3 3 1 1 2 n n n x x ( ) ( ) − + + ⎡ ⎣ ⎢ ⎤ ⎦ ⎥ 3. (−1)n n! 9 2 2 3 4 2 1 1 1 . ( ) ( ) n n n x x − + + + − + ⎡ ⎣ ⎢ ⎤ ⎦ ⎥ 4. 1 2 (−1)n . n! − − + − ⎡ ⎣ ⎢ ⎤ ⎦ ⎥ + + 1 2 1 4 1 1 ( ) ( ) x x n n 5. − + ⎛ ⎝ ⎜ ⎞ ⎠ ⎟ − + ⎛ ⎝ ⎜ ⎞ ⎠ ⎟ − + ⎛ ⎝ ⎜ ⎞ ⎠ ⎟ ⎡ ⎣ ⎢ 1 24 5 2 5 3 2 3 2 2 n n n n n sin sin sin p u p u p u ⎤ ⎤ ⎦ ⎥ 6. 45 2 6 1 1 1 2 3 1 ( ) + ⎛ ⎝ ⎜ ⎞ ⎠ ⎟ + − − − n x n n e n x n x . cos ( ) ( )! p Theorem 3.1 Leibnitz’s theorem Statement: If y = uv is the product of two differentiable functions u and v of x, then the nth derivative of y is y uv C u v C u v C u v u v n n n n n n n r r n r n = + + + + + + − − − 1 1 1 2 2 2 … … , where ur and vr are the rth derivatives of u and v respectively. Proof Given y = uv Let P(n): y uv C u v C u v C u v u v n n n n n n n r r n r n = + + + + + + − − − 1 1 1 2 2 2 … … (1) We prove the theorem by induction on n. Basic step: p y uv u v ( ): 1 1 1 1 = + Which is true from product rule. ∴ p(1) is true M03_ENGINEERING_MATHEMATICS-I _CH03_Part A.indd 17 5/30/2016 7:07:57 PM
  • 241.
    3.18 ■ EngineeringMathematics Inductive step: We assume that the theorem is true for n = k (1). i.e., p(k) is true ⇒ y uv kC u v kC u v k k k k k = + + + − 1 1 1 … is true (2) To prove p(k + 1) is true. That is to prove y uv C u v C u v C u v k k k k k k k k k + + + + − + + + = + + + + 1 1 1 1 1 1 2 2 1 1 1 1 … . Differentiating (2) w.r.to x, we get y uv u v kC u v u v kC u v u v kC k k k k k k k k + + − − − − = + + + + + + + 1 1 1 1 1 2 1 2 2 1 3 2 [ ] [ ] … 1 1 1 2 1 1 1 [ ] [ ] u v u v kC u v u v k k k k k − + + + + ⇒ y uv kC u v kC kC u v kC kC u v u k k k k k k k + + − − = + + + + + + + + 1 1 1 1 2 1 2 1 1 1 1 ( ) ( ) ( ) … k k v +1 ⇒ y uv C u v C u v C u v u v k k k k k k k k k k + + + + − + + = + + + + + 1 1 1 1 1 1 2 2 1 1 1 1 … [ ] { n r n r n r C C C + − = + 1 1 ∴ P(k + 1) is true. Thus, P(k) is true ⇒ p(k + 1) is true. ∴ By induction p(n) is true for all values of n ∈ N. Hence, the theorem is true for all values of n ∈ N. ∴ y uv C u v C u v C u v u v n n n n n n n r r n r n = + + + + + + − − − 1 1 1 2 2 2 … … . WORKED EXAMPLES EXAMPLE 1 If y m x 5 2 cos( sin ) 1 , then prove that (1 ) 0. 2 2 1 2 2 2 1 5 x y xy m y Hence prove that (1 ) (2 1) ( ) 0 2 2 1 2 2 2 2 1 1 2 5 1 1 x y n xy m n y n n n . Solution. Given y m x = − cos( sin ) 1 ⇒ cos sin − − = 1 1 y m x (1) Differentiating (1) w.r.to x, we get − − ⋅ = ⋅ − 1 1 1 1 2 2 y dy dx m x ⇒ − − ⋅ = − 1 1 1 2 1 2 y y m x Squaring, y y m x 1 2 2 2 2 1 1 − = − ⇒ ( ) ( ) 1 1 2 1 2 2 2 − = − x y m y . Differentiating w.r.to x, we get ( ) 1 2 2 2 2 1 2 1 2 2 1 − − = − x y y xy m yy M03_ENGINEERING_MATHEMATICS-I _CH03_Part A.indd 18 5/30/2016 7:08:00 PM
  • 242.
    Differential Calculus ■3.19 Dividing by 2 1 y on both sides, ( ) 1 2 2 1 2 − − = − x y xy m y ⇒ ( ) 1 0 2 2 1 2 − − + = x y xy m y (2) Differentiating (2) w.r.to x, n times by Leibnitz’s theorem, we get, ( ) ( ) ( ) [ ] 1 2 2 1 0 2 2 1 1 2 1 1 2 − + − + − − + ⋅ ⋅ + = + + + x y C x y C y xy C y m y n n n n n n n n n ⇒ ( ) ( ) 1 2 2 1 1 2 0 2 2 1 1 2 − − − ⋅ − ⋅ − − + = + + + x y nx y n n y xy ny m y n n n n n n ⇒ ( ) ( ) [ ( ) ] 1 2 1 1 0 2 2 1 2 − − + + − − − = + + x y n xy m n n n y n n n ⇒ ( ) ( ) ( ) 1 2 1 0 2 2 1 2 2 − − + + − + − = + + x y n xy m n n n y n n n ⇒ ( ) ( ) ( ) . 1 2 1 0 2 2 1 2 2 − − + + − = + + x y n xy m n y n n n EXAMPLE 2 If y a x b x 5 1 cos(log ) sin(log ) , then show that x y n xy n y n n n 2 2 1 2 (2 1) ( 1) 0 1 1 1 1 1 1 5 . Solution. Given y a x b x = + cos(log ) sin(log ) (1) Differentiating (1) w.r.to x, we get y a x x b x x 1 1 1 = − ⋅ + ⋅ ( sin(log )) cos(log ) = − + 1 x a x b x [ sin(log ) cos(log )] ⇒ xy a x b x 1 = − + sin(log ) cos(log ). Again differentiating w.r.to x, we get xy y a x x b x x 2 1 1 1 + = − ⋅ + − cos(log ) ( sin(log )) = − + 1 x a x b x [ cos(log ) cos(log ) = − y x ⇒ x y xy y 2 2 1 + = − ⇒ x y xy y 2 2 1 0 + + = (2) Differentiating (2) w.r.to x, n times by Leibnitz’s theorem, we get, x y C xy C y xy C y y n n n n n n n n n 2 2 1 1 2 1 1 2 2 1 0 + + + + + + + ⋅ ⋅ + = ⇒ x y nxy n n y xy ny y n n n n n n 2 2 1 1 2 2 1 1 2 0 + + + + + ⋅ − ⋅ + + + = ( ) ⇒ x y n xy n n n y n n n 2 2 1 2 1 1 1 0 + + + + + − + + = ( ) [ ( ) ] ⇒ x y n xy n n n y n n n 2 2 1 2 2 1 1 0 + + + + + − + + = ( ) ( ) ⇒ x y n xy n y n n n 2 2 1 2 2 1 1 0 + + + + + + = ( ) ( ) . M03_ENGINEERING_MATHEMATICS-I _CH03_Part A.indd 19 5/30/2016 7:08:04 PM
  • 243.
    3.20 ■ EngineeringMathematics EXAMPLE 3 If y x x m 5 1 1 1 2 ( ) , then prove that (1 ) (2 1) ( ) 0 2 2 1 2 2 1 1 1 1 2 5 1 1 x y n xy n m y n n n . Solution. Given y x x m = + + ( ) 1 2 (1) Differentiating (1) w.r.to x, we get y m x x x x m 1 2 1 2 1 1 1 2 1 2 = + + ( ) + + ⋅ ⎛ ⎝ ⎜ ⎞ ⎠ ⎟ − = + + ( ) + + ⎛ ⎝ ⎜ ⎞ ⎠ ⎟ − m x x x x m 1 1 1 2 1 2 = + + ( ) + + + ⎛ ⎝ ⎜ ⎞ ⎠ ⎟ − m x x x x x m 1 1 1 2 1 2 2 = + + ( ) + = + m x x x my x m 1 1 1 2 2 2 Squaring, y1 2 = + m y x 2 2 2 1 ⇒ ( ) 1 2 1 2 2 2 + = x y m y Again differentiating w.r.to x, ( ) 1 2 2 2 2 1 2 1 2 2 1 + + = x y y xy m yy ⇒ ( ) 1 2 2 1 2 + + = x y xy m y [dividing by 2 1 y ] ⇒ ( ) 1 0 2 2 1 2 + + − = x y xy m y . (2) Differentiating (2) w.r.to x, n times by Leibnitz’s theorem, we get, ( ) 1 2 2 1 0 2 2 1 1 2 1 1 2 + + + + + ⋅ ⋅ − = + + + x y nC xy nC y xy nC y m y n n n n n n ⇒ ( ) ( ) 1 2 2 1 1 2 0 2 2 1 1 2 + + + − ⋅ + + − = + + + x y nx y n n y xy ny m y n n n n n n ⋅ ⇒ ( ) ( ) [ ( ) ] 1 2 1 1 0 2 2 1 2 + + + + − + − = + + x y n xy n n n m y n n n ⇒ ( ) ( ) ( ) 1 2 1 0 2 2 1 2 2 + + + + − + − = + + x y n xy n n n m y n n n ⇒ ( ) ( ) ( ) 1 2 1 0 2 2 1 2 2 + + + + − = + + x y n xy n m y n n n . Problems to find y n (0) EXAMPLE 4 If y x 5 2 (sin ) 1 2 , then prove that (1 ) 2 0 2 2 1 2 2 2 5 x y xy . Hence show that (1 ) (2 1) 0 2 2 1 2 2 2 1 2 5 1 1 x y n xy n y n n n and find y n (0). Solution. Given y x = − (sin ) 1 2 (1) M03_ENGINEERING_MATHEMATICS-I _CH03_Part A.indd 20 5/30/2016 7:08:08 PM
  • 244.
    Differential Calculus ■3.21 Differentiating (1) w.r.to x, we get y x x 1 1 2 2 1 = − − sin (2) Squaring, y x x 1 2 1 2 2 2 4 1 = − − (sin ) ( ) ⇒ ( ) 1 4 2 1 2 − = x y y (3) Differentiating (3) w.r.to x, we get ( ) 1 2 2 4 2 1 2 1 2 1 − − = x y y xy y ⇒ ( ) . 1 2 2 2 1 − − = x y xy [dividing by 2y1 ] (4) Differentiating (4) w.r.to x, n times using Leibnitz’s theorem, we get ( ) ( ) ( ) [ ] 1 2 2 1 0 2 2 1 1 2 1 1 − + − + − − + ⋅ ⋅ = + + + x y nC x y nC y xy nC y n n n n n ⇒ ( ) ( ) 1 2 2 1 1 2 0 2 2 1 1 − − − ⋅ − ⋅ − − = + + + x y nxy n n y xy ny n n n n n ⇒ ( ) ( ) [ ( ) ] 1 2 1 1 0 2 2 1 − − + − − + = + + x y n xy n n n y n n n ⇒ ( ) ( ) [ ] 1 2 1 0 2 2 1 2 − − + − − + = + + x y n xy n n n y n n n ⇒ ( ) ( ) 1 2 1 0 2 2 1 2 − − + − = + + x y n xy n y n n n (5) To find y n (0) Put x = 0 in (5), we get y n y n n + − = 2 2 0 0 0 ( ) ( ) . Put x = 0 in (2), we get y1 1 0 2 0 1 0 0 ( ) sin = − = − . Put x = 0 in (4), we get y2 0 2 0 ( ) − = ⇒ y2 0 2 ( ) = . We have y n y n n + − = 2 2 0 0 0 ( ) ( ) ⇒ y n y n n + = 2 2 0 0 ( ) ( ). If n is odd, n = 1, 3, 5, 7, …, then we have y y 3 1 0 0 0 ( ) ( ) = = , y y y y 5 2 3 7 2 5 0 3 0 0 0 5 0 0 ( ) ( ) , ( ) ( ) = = = = and so on. ∴ If n is odd, yn ( ) . 0 0 = If n is even, n = 2, 4, 6, 8, …, then we have y2 0 2 ( ) = y y 4 2 2 2 0 2 0 2 2 ( ) ( ) , = = ⋅ y y 6 2 4 2 2 0 4 0 2 2 4 ( ) ( ) = = ⋅ ⋅ , y y 8 2 6 2 2 2 0 6 0 2 2 4 6 ( ) ( ) = = ⋅ ⋅ ⋅ and so on. ∴ If n is even, y n n ( ) ( ) 0 2 2 4 6 2 2 2 2 2 = ⋅ ⋅ ⋅ ⋅⋅⋅ − ∴ y n n n n ( ) ( ) , if , . 0 2 2 4 6 2 0 2 2 2 2 = ⋅ ⋅ ⋅ ⋅⋅⋅ − ⎧ ⎨ ⎩ iseven if isodd M03_ENGINEERING_MATHEMATICS-I _CH03_Part A.indd 21 5/19/2016 2:15:20 PM
  • 245.
    3.22 ■ EngineeringMathematics EXAMPLE 5 Find the value of the nth derivate of ea x sin 1 2 for x 5 0. Solution. Let y = ea x sin−1 (1) Differentiating w.r. to x, we get y1 = ea x sin−1 a x ay x 1 1 2 2 − = − (2) ⇒ (1 − x2 )y1 2 = a2 y2 Again differentiating w.r. to x, we get (1 − x2 )2y1 y2 − 2xy1 2 = a2 . 2yy1 ⇒ (1 − x2 )y2 − xy1 = a2 y ⇒ (1 − x2 ) y2 − xy1 − a2 y = 0 (3) Differentiating (3) w.r. to x, n times using Leibnitz’s theorem, we get (1− x2 ) yn + 2 + n C1(−2x)yn + 1 + n C2(−2) yn − [xyn+1 + n C1. 1. yn ] − a2 yn = 0 ⇒ (1 − x2 ) yn + 2 − 2nx yn + 1 − 2 1 1 2 n n yn ( ) . − − xyn+1 − nyn − a2 yn = 0 ⇒ (1 − x2 ) yn + 2 − (2n + 1) x yn+1 − [n (n − 1) + n + a2 ] yn = 0 ⇒ (1 − x2 ) yn + 2 − (2n + 1) xyn+1 − (n2 + a2 ) yn = 0 (4) Put x = 0 in (4), then y n a y n n + − + = 2 2 2 0 0 0 ( ) ( ) ( ) ⇒ y n a y n n + = + 2 2 2 0 0 ( ) ( ) ( ) (5) Put x = 0 in (1), then y( ) 0 1 = Put x = 0 in (2), then y1 0 ( ) = a Put x = 0 in (3), then y a y 2 2 0 0 ( ) ( ) = ⇒ y a a 2 2 2 0 1 ( ) = ⋅ = Putting n = 1, 3, 5, 7, … in (5) we get y a y a a a a 3 2 2 1 2 2 2 2 0 1 0 1 1 ( ) ( ) ( ) ( ) ( ) = + ⋅ = + ⋅ = + y a y a a a 5 2 2 3 2 2 2 2 0 3 0 1 3 ( ) ( ) ( ) ( )( ) = + ⋅ = + + y a y a a a a 7 2 2 5 2 2 2 2 2 2 0 5 0 1 3 5 ( ) ( ) ( ) ( )( )( ) = + ⋅ = + + + and so on. If n is odd, y a a a n a n ( ) ( )( ) [( ) ] 0 1 3 2 2 2 2 2 2 2 = + + ⋅⋅⋅ − + Putting n = 2, 4, 6, 8, … in (5), we get y a y a a 4 2 2 2 2 2 2 0 2 0 2 ( ) ( ) ( ) ( ) = + = + y a y a a a 6 2 2 4 2 2 2 2 2 0 4 0 2 4 ( ) ( ) ( ) ( )( ) = + = + + y a y a a a a 8 2 2 6 2 2 2 2 2 2 2 0 6 0 2 4 6 ( ) ( ) ( ) ( )( )( ) = + = + + + and so on. M03_ENGINEERING_MATHEMATICS-I _CH03_Part A.indd 22 5/19/2016 2:15:25 PM
  • 246.
    Differential Calculus ■3.23 If n is even, y a a a a n a n ( ) ( )( )( ) [( ) ]. 0 2 4 6 2 2 2 2 2 2 2 2 2 2 = + + + ⋅⋅⋅ − + y a a a n a n n ( ) ( )( ) [( ) ], ( )( 0 2 4 2 2 2 2 2 2 2 2 = + + ⋅⋅⋅ − + + + if iseven 1 3 2 2 2 a a a a2 2 2 [(n 2) ], if isodd )⋅⋅⋅ − + ⎧ ⎨ ⎪ ⎩ ⎪ a n EXAMPLE 6 Considering x x x n n n 2 5 ⋅ and using Leibnitz’s theorem prove that 1 1 ( 1) 1 2 ( 1) ( 2) 1 2 3 (2 )! ( !) 2 2 2 2 2 2 2 2 2 2 2 2 2 1 1 2 1 2 2 1 5 n n n n n n n n ⋅ ⋅ ⋅ ⋅⋅⋅ . Solution. Let y x n = 2 Differentiating w.r.to x, n times we get y n n n n n x n n n = − − ⋅⋅⋅ − + − 2 2 1 2 2 2 1 2 ( )( ) ( ) = − − ⋅⋅⋅ + 2 2 1 2 2 1 n n n n xn ( )( ) ( ) = − − ⋅⋅⋅ + ⋅⋅⋅ ⋅ ⋅ ⋅ ⋅⋅⋅ 2 2 1 2 2 1 2 1 1 2 3 n n n n n n xn ( )( ) ( ) ⇒ y n n x n n = ( )! ( !) 2 (1) Also y x n = 2 = ⋅ x x n n . Let u x v x n n = = and ∴ y uv = By Leibnitz’s theorem, y uv nc u v nc u v nc u v u v n n n n n n n = + + +⋅⋅⋅+ + − − − − 1 1 1 2 2 2 1 1 1 u nxn 1 1 = − , u n n xn 2 2 1 = − − ( ) u n n n xn 3 3 1 2 = − − ⋅⋅⋅ − ( )( ) , u n n n n n x n n n − − − = − − ⋅⋅⋅ − − 2 2 1 2 3 ( )( ) [ ( )] ( ) = − − ⋅⋅⋅ ⋅ n n n x ( )( ) 1 2 3 2 = − − ⋅⋅⋅ ⋅ ⋅ ⋅ ⋅ = ⋅ n n n x n x ( )( ) ! 1 2 4 3 2 1 1 2 1 2 2 2 u n n n n n x n n n − − − = − − ⋅⋅⋅ − − ⋅ 1 1 1 2 2 ( )( ) [ ( )] ( ) = − − ⋅⋅⋅ = n n n x n x ( )( ) ! 1 2 2 ∴ u n n = ! Similarly, if v xn = , then v n n = ! ∴ y x n nC nx n x nC n n x n x n n n n = + ⋅ + ⋅ − ⋅ ⋅ − − ! ! ( ) ! 1 1 2 2 2 1 1 2 + − − ⋅ ⋅ +⋅⋅⋅+ − nC n n n x n x n x n n 3 3 3 1 2 1 2 3 ( )( ) ! ! M03_ENGINEERING_MATHEMATICS-I _CH03_Part A.indd 23 5/19/2016 2:15:29 PM
  • 247.
    3.24 ■ EngineeringMathematics = + ⋅ ⋅ + − ⋅ − ⋅ x n n n n x n n n n n x n n n ! ! ( ) ( ) ! 1 1 2 1 1 2 + − − ⋅ ⋅ − − ⋅ ⋅ +⋅⋅⋅+ n n n n n n n x n x n n ( )( ) ( )( ) ! ! 1 2 1 2 3 1 2 1 2 3 = + + − ⋅ + − − ⋅ ⋅ +⋅⋅⋅+ ⎡ ⎣ ⎢ ⎤ n x n n n n n n n ! ( ) ( ) ( ) 1 1 1 1 2 1 2 1 2 3 1 2 2 2 2 2 2 2 2 2 2 2 2 ⎦ ⎦ ⎥ (2) From (1) and (2), we get n x n n n n n n n ! ( ) ( ) ( ) 1 1 1 1 2 1 2 1 2 3 1 2 2 2 2 2 2 2 2 2 2 2 2 + + − ⋅ + − − ⋅ ⋅ +⋅⋅⋅+ ⎡ ⎣ ⎢ ⎤ ⎦ ⎥ ⎥ = ( )! ! 2n n xn ⇒ 1 1 1 1 2 1 2 1 2 3 1 2 2 2 2 2 2 2 2 2 2 2 2 + + − ⋅ + − − ⋅ ⋅ +⋅⋅⋅+ n n n n n n ( ) ( ) ( ) = ( )! ( !) 2 2 n n . EXERCISE 3.3 1. If y x x m = + + ( ) 1 2 , then prove that ( ) ( ) ( ) 1 2 1 0 2 2 1 2 2 + + + + − = + + x y n xy n m y n n n . 2. If y x e a ax = − − − ( ) 1 , then prove that ( ) 1− = x dy dx axy and ( ) ( ) 1 0 1 1 − − + − = + − x y n ax y nay n n n . 3. If y x = − tan 1 , then prove that ( ) ( ) ( ) 1 2 1 1 0 2 2 1 + + + + + = + + x y n xy n n y n n n . 4. If y x = − (sin ) 1 2 , then prove that ( ) ( ) 1 2 1 0 2 2 1 2 − − + − = + + x y n xy n y n n n . 5. If y x = − (cos ) 1 2 , then prove that ( ) ( ) 1 2 1 0 2 2 1 2 − − + − = + + x y n xy n y n n n . 6. If y x = − sin 1 then prove that (i) ( ) 1 0 2 2 1 − − = x y xy (ii) ( ) ( ) 1 2 1 0 2 2 1 2 − − + − = + + x y n xy n y n n n 7. If cos log − ⎛ ⎝ ⎜ ⎞ ⎠ ⎟ = ⎛ ⎝ ⎜ ⎞ ⎠ ⎟ 1 y b x n n , then prove that x y n xy n y n n n 2 2 1 2 2 1 2 0 + + + + + = ( ) . 8. If y x x = + + ( ) ⎡ ⎣ ⎢ ⎤ ⎦ ⎥ log 1 2 2 , then prove that ( ) 1 2 2 2 1 + + = x y xy and hence show that ( ) ( ) 1 2 1 0 2 2 1 2 + + + + = + + x y n xy n y n n n . 9. If y y x m m 1 1 2 + = − , then prove that ( ) x y xy m y 2 2 1 2 1 0 − + − = and hence show that ( ) ( ) ( ) x y n xy n m y n n n 2 2 1 2 2 1 2 1 0 − + + + − = + + . 10. If x t y pt = = sin , sin , then prove that (i) ( ) 1 0 2 2 1 2 − − + = x y xy p y (ii) ( ) ( ) ( ) 1 2 1 0 2 2 1 2 2 − − + − − = + + x y n xy n p y n n n M03_ENGINEERING_MATHEMATICS-I _CH03_Part A.indd 24 5/19/2016 2:15:35 PM
  • 248.
    Differential Calculus ■3.25 3.2 APPLICATIONS OF DERIVATIVE 3.2.1 Geometrical Interpretation of Derivative Let f be a differentiable function on [a, b]. The graph of f is the set {( , ) ( ), [ , ]} x y y f x x a b = ∈ . That is y f x = ( ) is the equation of the graph of f, Let c, c h a b + ∈[ , ]. So, that P c f c ( , ( )) and Q c h f c h ( , ( )) + + be the corresponding points of the curvey f x = ( ). Then the slope of the chord PQ f c h f c c h c = + − + − ( ) ( ) = + − f c h f c h ( ) ( ) Suppose the point Q moves along the curve towards P, then the chord PQ approaches to a definite line PT in the limit as Q P → . This line PT is called the tangent line to the curve at P. ∴ lim( ) lim ( ) ( ) Q p h PQ f c h f c h → → = + − slope of chord 0 = f c ′( ), if the limit exists. So, when f c ′( ) exists, it is the slope of the tangent PT at P. ∴ the equation of the tangent at P is. y f c f c x c − = − ( ) ( )( ) ′ . 3.2.2 Equation of the Tangent and the Normal to the Curve y = f(x) 1. The equation of the tangent at ( , ) 1 1 x y The given curve is y f x = ( ). Let P x y ( , ) 1 1 be any point on the curve. Let m be the slope of the tangent at ( , ) x y 1 1 . ∴ m dy dx x y = ( , ) 1 1 ∴ the equation of the tangent at P x y ( , ) 1 1 is y y m x x − = − 1 1 ( ). 2. The equation of the normal at ( , ) 1 1 x y The normal at P x y ( , ) 1 1 is a straight line through P and perpendicular to the tangent at P. ∴ If m1 is the slope of the normal at P, then m m ⋅ = − 1 1 ⇒ m m 1 1 = − . That is the slope of the normal = − 1 the slope of the tangent . Fig. 3.1 y P T o θ Q x C C + n M03_ENGINEERING_MATHEMATICS-I _CH03_Part A.indd 25 5/19/2016 2:15:40 PM
  • 249.
    3.26 ■ EngineeringMathematics ∴ the equation of the normal at P x y ( , ) 1 1 is y y m x x − = − − 1 1 1 ( ). Note The derivative ′ f c ( ) of f at c is defined as a real number. However, for geometrical convenience, we extend the definition to include ±∞. We define ′ = ∞ f c ( ) , if ′ − = ∞ f c ( ) and ′ + = ∞ = ∞ f c f c ( ) , and ( ) ′ − if ′ − = −∞ f c ( ) and ′ + = −∞ f c ( ) . Thus, if dy dx = 0, the tangent is parallel to the x−axis. If dy dx dx dy = ∞ = ⎛ ⎝ ⎜ ⎞ ⎠ ⎟ or 0 , the tangent is parallel to the y−axis. WORKED EXAMPLES EXAMPLE 1 Find the equation of the tangent and the normal to the curve x y 2 2 144 2 5 at the point P(13,5). If the normal at the point P meets the x−axis at G, then find the coordinates of the mid point of PG. Solution. The given curve is x y 2 2 144 − = (1) Differentiating w.r.to x, we get 2 2 0 x y dy dx − = ⇒ y dy dx x dy dx x y = ⇒ = . At the point (13,5): dy dx = 13 5 . ∴ the slope of the tangent at the point P( , ) 13 5 is m = 13 5 . ∴ the equation of the tangent at the point P( , ) 13 5 is y x − = − 5 13 5 13 ( ) ⇒ 5 5 13 13 ( ) ( ) y x − = − ⇒ 5 25 13 169 y x − = − ⇒ 13 5 144 0 x y − − = (2) The slope of the normal at the point P( , ) 13 5 is m m 1 1 5 13 = − = − . ∴ the equation of the normal at the point P( , ) 13 5 is M03_ENGINEERING_MATHEMATICS-I _CH03_Part A.indd 26 5/19/2016 2:15:45 PM
  • 250.
    Differential Calculus ■3.27 y x − = − − 5 5 13 13 ( ) ⇒ 13 5 5 13 ( ) ( ) y x − = − − ⇒ 13 65 5 65 y x − = − + ⇒ 5 13 130 0 x y + − = . (3) The normal at P( , ) 13 5 meets the x−axis at G as in Fig 3.2. Let M be the midpoint of PG. To find the coordinates of M: Since the normal at P meets the x-axis at G, y = 0. ∴ putting y = 0 in (3), we get 5 130 0 x − = ⇒ x = = 130 5 26. ∴ G is ( , ) 26 0 and P is ( , ) 13 5 . ∴ the coordinates of the midpoint M is 13 26 2 5 0 2 + + ⎡ ⎣ ⎢ ⎤ ⎦ ⎥ , = 39 2 5 2 , ⎡ ⎣ ⎢ ⎤ ⎦ ⎥ . EXAMPLE 2 Find the points on the curve y x x x x 5 2 1 2 1 4 3 2 6 13 10 5 where the tangents are parallel to the line y x 5 2 and prove that two of the points have the same tangent. Solution. The given curve is y x x x x = − + − + 4 3 2 6 13 10 5 (1) Let the tangent at the point ( , ) x y 1 1 on the curve be parallel to the line y x = 2 . ∴ the slope of the tangent at the point ( , ) x y 1 1 = The slope of the line y x = 2 . Since the slope of the line = 2, the slope of the tangent is 2. Differentiating (1) w.r.to x, we have dy dx x x x = − + − 4 18 26 10 3 2 ∴ the slope of the tangent at the point ( , ) x y 1 1 is m x x x = − + − 4 18 26 10 1 3 1 2 1 ∴ 4 18 26 10 2 1 3 1 2 1 x x x − + − = ⇒ 4 18 26 12 0 1 3 1 2 1 x x x − + − = ⇒ 2 9 13 6 0 1 3 1 2 1 x x x − + − = . By inspection x1 1 = is a root. The other roots are given by 2 7 6 0 1 2 1 x x − + = ⇒ ( )( ) 2 3 2 0 1 1 x x − − = ⇒ 2 3 0 2 0 1 1 x x − = − = , ∴ x x 1 1 3 2 2 = = , . Fig. 3.2 y M G(28, 0) (13, 5)P x 1 2 9 13 6 0 2 7 6 2 7 6 0 − − − − M03_ENGINEERING_MATHEMATICS-I _CH03_Part A.indd 27 5/19/2016 2:15:54 PM
  • 251.
    3.28 ■ EngineeringMathematics ∴ the roots are x1 1 2 3 2 = , , When x y 1 1 1 1 6 13 10 5 3 = = − + − + = , When x y 1 1 4 3 2 2 2 6 2 13 2 10 2 5 = = − × + × − × + , = − + − + = 16 48 52 20 5 5. When x y 1 1 4 3 2 3 2 3 2 6 3 2 13 3 2 10 3 2 5 = = ⎛ ⎝ ⎜ ⎞ ⎠ ⎟ − × ⎛ ⎝ ⎜ ⎞ ⎠ ⎟ + × ⎛ ⎝ ⎜ ⎞ ⎠ ⎟ − × + , = − + − + = 1 16 81 324 468 240 80 15 16 [ ] . ∴ the points are ( , ),( , ), , . 1 3 2 5 3 2 15 16 ⎛ ⎝ ⎜ ⎞ ⎠ ⎟ At these points the tangents to the curve are parallel to the line y x = 2 . Now we have to prove that at two of these points, the tangents are equal. At the point (1, 3) The equation of the tangent is y x − = − 3 2 1 ( ) ⇒ y x − = − 3 2 2 ⇒ 2 1 0 x y − + = (2) At the point ( , ) 2 5 The equation of the tangent is y x − = − 5 2 2 ( ) ⇒ y x − = − 5 2 4 ⇒ 2 1 0 x y − + = (3) The equations (2) and (3) are the same. ∴ the tangents at the points ( , ) 1 3 , ( , ) 2 5 are the same. EXAMPLE 3 Find the equations of the tangents from the origin to the curve y x x 5 2 4 2 3 5 . Solution. The given curve is y x x = − 4 2 3 5 . (1) Let a tangent from the origin to the curve touch it at the point P x y ( , ) 1 1 . ∴ OP is a tangent to the curve and y x x 1 3 1 5 1 4 2 = − (2) The slope of OP = y x 1 1 , sin ( , ) ( , ) ce x y 1 1 0 0 ≠ [ ] But the slope of OP dy dx x y = ( , ) 1 1 . Differentiating (1) w.r.to x, we get dy dx x x = − 12 10 2 4 . At the point P x y ( , ) 1 1 : dy dx x x = − 12 10 1 2 1 4. ∴ 12 10 1 2 1 4 1 1 x x y x − = ⇒ 12 10 1 3 1 5 1 x x y − = (3) M03_ENGINEERING_MATHEMATICS-I _CH03_Part A.indd 28 5/19/2016 2:16:00 PM
  • 252.
    Differential Calculus ■3.29 Solving (2) and (3), we find ( , ) x y 1 1 . From (2) and (3), we get 12 10 4 2 1 3 1 5 1 3 1 5 x x x x − = − ⇒ 8 8 1 1 5 1 3 1 2 x x x = ⇒ = ⇒ x1 1 = ± . ({ x x 1 1 3 0 8 ≠ , dividing by ) When x1 1 = , y1 4 2 2 = − = . When x1 1 = − , y1 4 1 2 1 4 2 2 = − − − = − + = − ( ) ( ) . ∴ the points of contact of the tangents from the origin to the curve are ( , ) 1 2 and ( , ) − − 1 2 . At the point ( ) 1, 2 : The slope of the tangent is m y x = = = 1 1 2 1 2. ∴ the equation of the tangent is y x y x − = − ⇒ = 2 2 1 2 ( ) . At the point ( ) − − 1, 2 : The slope of the tangent is m y x = = − − = 1 1 2 1 2. ∴ the equation of the tangent is y x − − = − − ( ) ( ( )) 2 2 1 ⇒ y x y x + = + ⇒ = 2 2 1 2 ( ) . So, from the origin, same tangent is drawn to the curve. See Fig. 3.3. EXAMPLE 4 Find the equations of the tangent at any point P on y x 2 3 5 . If the tangent at P meets the curve again at Q and the line OP and OQ (O is the origin) make angles a b , with the x 2 axis, then prove that tan 2 tan a 52 b. Solution. The given curve is y x 2 3 = (1) Let P t t ( , ) 2 3 be any point on the curve. Differentiating (1) w.r.to x, we get 2 3 2 y dy dx x = ⇒ = dy dx x y 3 2 2 . At the point P t t ( ) 2 , 3 : dy dx t t t = = 3 2 3 2 2 2 3 ( ) . ∴ the slope of the tangent at P is m t = 3 2 . Fig. 3.3 y x o P Q (1, 2) (−1, −2) 2 − 2 M03_ENGINEERING_MATHEMATICS-I _CH03_Part A.indd 29 5/19/2016 2:16:07 PM
  • 253.
    3.30 ■ EngineeringMathematics ∴ the equation of the tangent at P is y t t x t − = − 3 2 3 2 ( ) ⇒ 2 3 3 2 ( ) ( ) y t t x t − = − ⇒ 2 2 3 3 3 3 y t tx t − = − ⇒ 2 3 3 y tx t = − (2) It meets the curve (1) in Q. To find Q: Solve (1) and (2). Squaring (2), we get 4 3 2 3 2 y tx t = − ( ) ∴ 4 9 6 3 2 2 4 6 ⋅ = − + x t x t x t ⇒ 4 9 6 0 3 2 2 4 6 x t x t x t − + − = (3) We see x t = 2 is a root of (3). Since the line (2) is a tangent at P to the curve, two points of intersection coincide at P. So, x t = 2 is a repeated root of (3), We remove these factors by synthetic division. ∴ the third root is given by 4 0 2 x t − = ⇒ = x t2 4 Substituting in (2), we get 2 3 4 4 2 3 3 y t t t t = ⋅ ⋅ − = − ⇒ y t = − 3 8 . ∴ Q is t t 2 3 4 8 , − ⎛ ⎝ ⎜ ⎞ ⎠ ⎟ . Given that OP and OQ make angles a and b with the x−axis. ∴ the slope of OP = tana ⇒ t t t 3 2 0 0 − − = ⇒ = tan tan a a and the slope of OQ = tanb ⇒ − − − = t t 3 2 8 0 4 0 tanb ⇒ − = t 2 tanb ⇒ t = −2tanb ∴ tan tan a b = −2 . EXAMPLE 5 If the tangent at ( , ) 1 1 x y to the curve x y a 3 3 3 1 5 meets the curve in ( , ) h k , then show that h x k y 1 1 1 0 1 1 5 . t t t t t t t t t t t t t 2 2 4 6 2 4 6 2 2 4 2 4 2 4 9 6 0 4 5 4 5 0 0 4 4 0 − − − − − − y x Q o P(t2 , t3 ) Fig. 3.4 M03_ENGINEERING_MATHEMATICS-I _CH03_Part A.indd 30 5/19/2016 2:16:15 PM
  • 254.
    Differential Calculus ■3.31 Solution. Given curve is x y a 3 3 3 + = (1) Also given ( , ) x y 1 1 is a point on (1). ∴ x y a 1 3 1 3 3 + = (2) Differentiating (1) w.r.to x, we get 3 3 0 2 2 x y dy dx + = ⇒ y dy dx x 2 2 = − ⇒ dy dx x y = − 2 2 . At the point P x y ( , ) 1 1 : dy dx x y = − 1 2 1 2 . ∴ the slope of the tangent at the point ( , ) x y 1 1 is m x y = − 1 2 1 2 . ∴ the equation of the tangent at the point ( , ) x y 1 1 is y y x y x x − = − − 1 1 2 1 2 1 ( ) ⇒ y y y x x x 1 2 1 3 1 2 1 3 − = − + ⇒ x x y y x y 1 2 1 2 1 3 1 3 + = + ⇒ x x y y a 1 2 1 2 3 + = [using (2)] This tangent meets the curve in ( , ) h k . ∴ x h y k a 1 2 1 2 3 + = (3) ( , ) h k is a point on the curve ∴ h k a 3 3 3 + = (4) ( ) ( ) 3 4 − ⇒ x h y k h k 1 2 1 2 3 3 0 + − − = ⇒ h x h k y k ( ) ( ) 1 2 2 1 2 2 0 − + − = ⇒ h x h k y k ( ) ( ) 1 2 2 1 2 2 − = − − (5) ( ) ( ) 2 3 − ⇒ x y x h y k 1 3 1 3 1 2 2 1 2 0 + − − = ⇒ x x h y y k 1 2 1 1 2 1 0 ( ) ( ) − + − = ⇒ x x h y y k 1 2 1 1 2 1 ( ) ( ) − = − − (6) ∴ ( ) ( ) 5 6 ⇒ h x h x x h k y k y y k ( ) ( ) ( ) ( ) 1 2 2 1 2 1 1 2 2 1 2 1 − − = − − − − ⇒ h x h x k y k y ( ) ( ) 1 1 2 1 1 2 + = + ⇒ h x h x k y k y 1 2 1 2 1 2 1 2 + = + ⇒ h x k y h x k y 1 1 2 1 2 2 1 2 0 − + − = ⇒ h x k y h x k y h x k y 1 1 1 1 1 1 0 − + − ⎛ ⎝ ⎜ ⎞ ⎠ ⎟ + ⎛ ⎝ ⎜ ⎞ ⎠ ⎟ = ⇒ h x k y h x k y 1 1 1 1 1 0 − ⎛ ⎝ ⎜ ⎞ ⎠ ⎟ + + ⎡ ⎣ ⎢ ⎤ ⎦ ⎥ = ⋅ M03_ENGINEERING_MATHEMATICS-I _CH03_Part A.indd 31 5/19/2016 5:01:16 PM
  • 255.
    3.32 ■ EngineeringMathematics ⇒ 1 1 1 + + h x k y = 0 { h x k y h k x y 1 1 1 1 0 − ≠ ⎡ ⎣ ⎢ ⎤ ⎦ ⎥ as and are different points ( , ) ( , ) ∴ h x k y 1 1 1 0 + + = EXAMPLE 6 If the tangent at three points t1 , t2 , t3 on the curve x t t y t t 5 1 5 1 2 3 3 3 1 , 1 are concurrent, Prove that t t t 1 2 3 0 1 1 5 . Solution. The equation of the curve is given in parametric form x t t = + 2 3 1 (1) and y t t = + 3 3 1 (2) First we find the equation of the tangent at any point ‘t’ on the curve. Differentiating (1) and (2) w.r.to t, we get dx dt t t t t t t t t t t t t = + − ⋅ + = + − + = − + ( ) ( ) ( ) ( ) 1 2 3 1 2 2 3 1 2 1 3 2 2 3 2 4 4 3 2 4 3 2 . . ( ) ( ) ( ) ( dy dt t t t t t t t t t t t = + − ⋅ + = + − + = + 1 3 3 1 3 3 3 1 3 1 3 2 3 2 3 2 2 5 5 3 2 2 3 ) )2 ∴ dy dx dy dt dx dt t t t t t t t t t t = = + − + = − = − / / ( ) ( ) . 3 1 2 1 3 2 3 2 2 3 2 4 3 2 2 4 3 ∴ slope of the tangent at ‘t’ is m t t = − 3 2 3 . ∴ the equation of the tangent at ‘t’ is y t t t t x t t − + = − − + ⎛ ⎝ ⎜ ⎞ ⎠ ⎟ 3 3 3 2 3 1 3 2 1 ⇒ ( ) ( ) 1 1 3 2 1 1 3 3 3 3 3 2 3 + − + = − + − + ⎡ ⎣ ⎢ ⎤ ⎦ ⎥ t y t t t t t x t t ⇒ ( ) [( ) ] 1 3 2 1 3 3 3 3 2 + − = − + − t y t t t t x t ⇒ ( )( ) ( ) ( ) 1 2 2 3 1 3 3 3 3 3 3 3 + − − − = + − t t y t t t t x t ⇒ ( )( ) ( ) 1 2 3 1 2 3 3 3 3 3 6 3 + − = + + − − t t y t t x t t t ⇒ ( )( ) ( ) ( ) 1 2 3 1 1 3 3 3 3 3 + − = + − + t t y t t x t t M03_ENGINEERING_MATHEMATICS-I _CH03_Part A.indd 32 5/19/2016 5:01:22 PM
  • 256.
    Differential Calculus ■3.33 ⇒ ( ) 2 3 3 3 − = − t y tx t [Dividing by (1 + t3 )] ⇒ 3 2 0 3 3 tx t y t + − − = ( ) ⇒ ( ) . y t tx y − + − = 1 3 2 0 3 ∴ the equation of the tangent at t1 , t2 , t3 are ( ) , ( ) , ( ) . y t xt y y t xt y y t xt y − + − = − + − = − + − = 1 3 2 0 1 3 2 0 1 3 2 0 1 3 1 2 3 2 3 3 3 Given that the three tangents at t1 , t2 , t3 are concurrent. Let (x1 , y1 ) be the point of concurrency. ∴ the point (x1 , y1 ) will satisfy the equations of the tangents at t1 , t2 , t3 . ∴ ( ) , y t x t y 1 1 3 1 1 1 1 3 2 0 − + − = ( ) y t x t y 1 2 3 1 2 1 1 3 2 0 − + − = and ( ) . y t x t y 1 3 3 1 3 1 1 3 2 0 − + − = These three equations imply that t1 , t2 , t3 are the roots of the equation ( ) y t x t y 1 3 1 1 1 3 2 0 − + − = ∴ sum of the roots = − coeff coeff t t 2 3 ⇒ t t t y 1 2 3 1 0 1 0. + + = − = EXERCISE 3.4 1. Find the equation of tangents to the curve y x x = − − ( )( ) 3 1 2 at the point where it meets the x-axis. 2. Find the equation of the tangents from the origin to the curvey x = + 2 1 2 . 3. Find the equation of normal to the curve 3 8 2 2 x y − = which is parallel to the line x + 3y = 4. 4. Find the equation of the tangent to the curve y x x = − 7 2 at the point (3, 12) on it. Also find the equation of the normal at the point. 5. Find the points on the curve y x x 2 2 2 3 = − ( ) at which the tangents are parallel to the x-axis. 6. Find the points on the curve y x a x 3 2 2 = − ( ), where the tangents are parallel to y-axis. 7. If the tangent at (x1 , y1 ) on the curve y3 + x3 – 9xy + 1 = 0 is parallel to the x-axis, prove that at the point d y dx x 2 2 1 3 18 27 = − . 8. Find the equation of the tangent to the curve x t t y t t = − + = + − 1 1 1 1 , at the point t = 2. 9. Find the abscissa of the point on the curve ay2 = x3 at which the normal cuts off equal intercepts on the coordinate axes. [Hint: A line makes equal intercepts if its slope = 1 or −1]. 10. If the tangent at (1, 3) on the parabola y = 4x − x2 cuts the parabola y = x2 − 6x + k at two different points, find the values of k. 11. Find the equation of the tangent to the curve x2 + 4y2 =16 at the point which is such that it is the mid point of the portion of the tangent intercepted between the coordinate axes. 12. Find the points on x2 = y3 at which the normal pass through (0, 4). 13. The curve y = ax2 + bx + c passes through the points (−1, 0) and (0, −2). The tangent to the curve at the latter point makes 135° with the x-axis. 14. If p, q are the lengths of the perpendiculars from the origin to the tangent and normal at a point on x y a 2 3 2 3 2 3 / / / + = , then prove that 4 2 2 2 p q a + = . M03_ENGINEERING_MATHEMATICS-I _CH03_Part A.indd 33 5/19/2016 5:01:29 PM
  • 257.
    3.34 ■ EngineeringMathematics 15. Show that the portion of the tangent at any point on x y a m n m n = + intercepted between the coordinate axes is divided by the point in the ratio m : n. 16. Find the equation of the straight line which is tangent at one point and normal at another point of the curve x = 3t, y = 2t3 . 17. Find all the tangents to the curve y = cos (x + y), − ≤ ≤ 2 2 p p x , that are parallel to the line x + 2y = 0. 18. Prove that the condition for the line x y p cos sin a a + = to touch the curve x y a m n m n = + is p m n m n a m n m n m n m n m n + + + = + ⋅ ( ) cos sin a a. 19. Find the equation of the tangent and the normal to the curve y x x 2 3 4 = − at the point (2, −2). 20. Find the equation of the tangent and the normal to the curve y x x x ( )( ) − − − + = 2 3 7 0 at the point where it cuts the x-axis. 21. Prove that the line x a y b + = 1 touches the curve y b e x a = − at the point where the curve crosses the y-axis. 22. If x y p cos sin a a + = touches the curve x a y b n n n n ⎛ ⎝ ⎜ ⎞ ⎠ ⎟ + ⎛ ⎝ ⎜ ⎞ ⎠ ⎟ = − − ( ) ( ) 1 1 1, then prove that ( cos ) ( sin ) a b p n n n a a + = . ANSWERS TO EXERCISE 3.4 1. y + 3x =3; y − 7x + 14 = 0 2. y x = ±2 2 3. x + 3y + 8 = 0 4. y = x + 9; y = x + 15 5. (1, 2); (1, −2) 6. (0, 0); (2a, 0) 8. 9x + y − 6 = 0 9. 4 9 a 10. k 17 11. x y x y x y x y + = − = + = − − = − 2 4 2 2 4 2 2 4 2 2 4 2 , , , . 12. ± ⎛ ⎝ ⎜ ⎞ ⎠ ⎟ 8 3 2 4 3 , 13. a b c = = = − 1 1 2 , , . At (2, 0) the equation of the tangent is y x = − 3 6 16. y x = ± 2( 2) − 17. y x y x = − − ⎛ ⎝ ⎜ ⎞ ⎠ ⎟ = − + ⎛ ⎝ ⎜ ⎞ ⎠ ⎟ 1 2 2 1 2 3 2 p p ; . 19. 2 2 0 2 6 0 x y x y + − = − − = ; . 20. x y x y − − = + − = 20 7 0 20 140 0 ; 3.2.3 Length of the Tangent, the Sub-Tangent, the Normal and the Sub-normal Proof: Let y f x = ( ) be the equation of the given curve. Let P(x, y) be any point on the curve. Let the tangent at the point P(x, y) meet the x-axis at T. Let the normal at the point P meet the x−axis at N. Draw PM perpendicular to the x-axis. ∴ TM is the projection of PT on the x-axis and MN is the projection of PN on the x-axis. (i) PT is the length of the tangent at the point P(x, y) (ii) PN is the length of the normal at the point P(x, y) M03_ENGINEERING_MATHEMATICS-I _CH03_Part A.indd 34 5/19/2016 5:01:35 PM
  • 258.
    Differential Calculus ■3.35 (iii) TM is the length of the sub−tangent at P (iv) MN is the length of the sub−normal at P. Let the tangent at P make an angle c with the x-axis. That is PTN = c. Since angle between two lines is equal to the angle their perpendiculars, MPN = c. ∴ from Δ TPM, sinc = PM PT ⇒ PT PM = sinc = = + y y cosecc c 1 2 cot We know that tanc = ⎛ ⎝ ⎜ ⎞ ⎠ ⎟ = dy dx y P 1 ∴ cot c = 1 1 y ∴ PT y y y y y = + = + 1 1 1 1 2 1 1 2 ∴ Length of the tangent = + y y y 1 1 2 1 . From Δ PMN, cosc = PM PN ⇒ PN PM y = = cos sec c c = + = + y y y 1 1 2 1 2 tan c ∴ Length of the normal = + y y 1 1 2 . Length of the sub−tangent = TM Length of the sub−normal = MN From Δ PTM, tanc = PM TM ⇒ TM PM y y = = tanc 1 ∴ Length of the sub-tangent = y y1 From ΔPMN , tanC = MN PM ⇒ MN PM = tanC = yy1 ∴ Length of the sub-normal = yy1 Length of the tangent is y y y 1 1 2 11 and Length of the normal is y y 1 1 2 1 Length of the sub-tangent is y y1 and Length of the sub-normal is yy1 where y f x y dy dx atP x y 5 5 ( ), 1 ( , ) ⎛ ⎝ ⎜ ⎞ ⎠ ⎟ . y Normal Tangent y o T M N P ψ ψ (x, y) Fig. 3.5 M03_ENGINEERING_MATHEMATICS-I _CH03_Part A.indd 35 5/19/2016 5:01:47 PM
  • 259.
    3.36 ■ EngineeringMathematics WORKED EXAMPLES EXAMPLE 1 Prove that the sub-normal at any point of the ellipse x a y b 2 2 2 2 1 1 5 varies as the abscissa of the point.Also find the length of the sub-tangent, tangent and normal at that point. Solution. The given curve is the ellipse x a y b 2 2 2 2 1 + = (1) Let P x y ( , ) be any point on the curve. Differentiating (1) w.r.to x, we get 2 2 0 2 2 x a y b dy dx + = ⇒ dy dx b a x y = − 2 2 . At the point P ( , ) x y : y1 = − b a x y 2 2 ⋅ . Length of the sub-normal = yy1 = ⋅ − ⎛ ⎝ ⎜ ⎞ ⎠ ⎟ = − = y b a x y b a x k x 2 2 2 2 , where k b a = + 2 2 ∴ the sub-normal varies as the abscissa of the point. Length of the sub-tangent = y y1 = − = y b a x y a b y x 2 2 2 2 2 . Length of the tangent = + y y y 1 1 2 1 Now 1 1 1 2 4 4 2 2 2 2 4 2 4 + = + = + y b a x y b y x a y b ∴ Length of the tangent = − + y b a x y b y x a y b 2 2 2 2 4 2 4 . = a x a y b y 2 2 4 2 4 + . and Length of the normal = y y 1 1 2 + = y b y x a y b . 2 2 4 2 4 + = b x a y b 2 2 4 2 4 + EXAMPLE 2 Find the length of the tangent, normal, sub-tangent and sub-normal for the cycloid x a t t y a t 5 1 5 2 ( sin ), (1 cos ). M03_ENGINEERING_MATHEMATICS-I _CH03_Part A.indd 36 5/19/2016 5:01:54 PM
  • 260.
    Differential Calculus ■3.37 Solution. The given curve is the cycloid x a t t = + ( sin ) (1) and y a t = − ( cos ) 1 (2) Differentiating (1) and (2) w.r.to t, we get dx dt a t a t dy dt a t a t t = + = = = ( cos ) cos sin sin cos 1 2 2 2 2 2 2 and ∴ dy dx dy dt dx dt a t t a t t = = = / / 2 2 2 2 2 2 2 sin cos cos tan ∴ y t 1 2 = tan . Length of the tangent = y y y a t t t 1 1 2 2 1 1 2 1 2 + = − + ( cos ) tan tan = ⋅ = ⋅ ⋅ = 2 2 2 2 2 2 2 2 2 2 2 2 2 a t t t a t t t t a t sin tan sec sin sin cos sec sin , ( ) { 0 2 ≤ ≤ t p Length of the sub-tangent = y y a t t a t t 1 2 1 2 2 2 2 = − = ( cos ) tan sin tan = ⋅ = = 2 2 2 2 2 2 2 2 a t t t a t t a t sin sin cos sin cos sin . Length of the normal = y y a t t 1 1 1 2 1 2 2 + = − + ( cos ) tan = ⋅ = = ⋅ 2 2 2 2 2 2 2 2 2 2 2 a t t a t t a t t sin sec sin cos tan sin Length of sub-normal = yy1 = − ⋅ = a t t a t t ( cos ) tan sin tan . 1 2 2 2 2 2 M03_ENGINEERING_MATHEMATICS-I _CH03_Part A.indd 37 5/19/2016 5:01:58 PM
  • 261.
    3.38 ■ EngineeringMathematics EXERCISE 3.5 1. Show that the length of the sub-normal at any point on the exponential curve y bex a = / varies as the square of the ordinate. 2. For the curve y a x a = = + ⎡ ⎣ ⎢ ⎤ ⎦ ⎥ sin , log cot cos . u u u 2 Find the length of the tangent, normal, sub-tangent and sub-normal at u p = 4 . 3. Show that in the curve by2 = (x + a)3 , the square of the sub-tangent varies as the sub-normal. 4. Show that in the parabola y2 = 4ax, the sub-tangent at any point is double the abscissa and the sub normal is constant. 5. Find the value of n for which the length of the subnormal of the curve xyn = an+1 is constant. 6. Prove that the sub-tangent for any point on the curve y be x a = is of constant length. 7. Find the length of the sub-tangent and sub-normal at the point ‘t’on the curve x = a (cost + t sint) and y = a (sint − t cost). ANSWERS TO EXERCISE 3.5 2. a 13, a 13 5 , 5 2 a , a 5 2 5. n = −2 7. a (sint − t cost)cost, a (sint − t cost) tant. 3.2.4 Angle between the Two Curves The angle between two curves at a point of intersection is defined as the angle between the tangents to the curves at the point. Let the two curves C1 , C2 intersect at the point P. Let m1 , m2 be the slopes of the tangents at the point P of the two curves If u is the angle between the two tangents, then tan u = m m m m 1 2 1 2 1 − + . Note (1) This formula always gives the acute angle between the two curves. (2) When this formula is used for further algebraic computations, we use it as tan u = ± − + ⎛ ⎝ ⎜ ⎞ ⎠ ⎟ m m m m 1 2 1 2 1 . If u = 90°, then curves intersect orthogonally at the point P. In this case, tan u = tan 90° = ∞ ⇒ 1 + m1 m2 = 0 ⇒ m1 m2 = −1 Conversely, if m1 m2 = −1, then tan u = ∞ ⇒ u = 90°. ∴ the condition for two curves to intersect orthogonally at the point P is m m 1 2 1 52 . (3) If u = 0, then tanu = 0 ⇒ m1 = m2 . Conversely, if m1 = m2 , then u = 0. ∴ the condition for two curves to touch at the point P is m1 = m2 . (4) If f (x, y) = 0 is a rational algebraic equation passing through the origin (0, 0), then the equation of the tangent at the origin is obtained by equating the lowest degree terms to zero. For example, the tangent at the origin to the parabola y2 = 4x is x = 0. M03_ENGINEERING_MATHEMATICS-I _CH03_Part A.indd 38 5/19/2016 5:02:06 PM
  • 262.
    Differential Calculus ■3.39 (5) If the equation of the curve is in implicit form f(x, y) = 0, then dy dx f f x y = − , where fx , fy are partial differential coefficients of f w.r.to x and y respectively. WORKED EXAMPLES EXAMPLE 1 Find the angle of intersection of the curves x2 5 2y and x2 1 y2 5 8. Solution: The given curves are x2 = 2y (1) and x2 + y2 = 8 (2) To find the point of intersection solve (1) and (2). ∴ 2y + y2 = 8 ⇒ y2 + 2y − 8 = 0 ⇒ (y + 4) (y − 2) = 0 ⇒ y = −4, 2. When y = 2, x2 = 4 ⇒ x = ± 2. When y = 4, x2 = −8 0. ∴ x is imaginary. ∴ the points of intersection are P(2, 2) and Q(−2, 2). Differentiating (1) w.r.to x, we get 2 2 1 dy dx x dy dx x m = ⇒ = = Differentiating (2) w.r.to x, we get 2 2 0 x y dy dx + = ⇒ dy dx y x m = − = 2 At the point (2, 2): m1 2 = and m2 2 2 1 = − = − Let u1 be the angle between the curves at the point (2, 2). ∴ tanu1 1 2 1 2 1 = − + m m m m = + + − = − = 2 1 1 2 1 3 1 3 ( ) ⇒ u1 1 3 = − tan . At the point Q(22, 2) m m 1 2 2 2 2 1 = − = − − = and ( ) Let u2 be the angle between the curves (−2, 2) ∴ tanu2 1 2 1 2 1 = − + m m m m = − − + − = − − = 2 1 1 2 1 3 1 3 ( ) . ⋅ ⇒ u2 1 3 = − tan . ∴ the angle of intersection of the curves at the points P(2, 2) and Q(−2, 2) are the same. M03_ENGINEERING_MATHEMATICS-I _CH03_Part A.indd 39 5/19/2016 5:02:11 PM
  • 263.
    3.40 ■ EngineeringMathematics EXAMPLE 2 Show that the ellipse 4 9 72 2 2 x y 1 5 cuts the hyperbola x y 2 2 5 2 5 orthogonally. Solution. The given curves are 4 9 72 2 2 x y + = (1) and x y 2 2 5 − = (2) The two curves are symmetric with respect to both the axes. Let ( , ) x y 1 1 be any point of intersection. Let m m 1 2 , be the slopes of the tangents at the point ( , ) x y 1 1 . Differentiating (1) w.r.to x, we get 8 18 0 x y dy dx + = ⇒ dy dx x y x y = − = − 8 18 4 9 Differentiating (2) w.r.to x,we get 2 2 0 x y dy dx − = ⇒ dy dx x y = . At the point ( , ) 1 1 x y : m x y 1 1 1 4 9 = − and m x y 2 1 1 = . Now m m 1 2 × = − ⋅ = − 4 9 4 9 1 1 1 1 1 2 1 2 x y x y x y . (3) Since, ( , ) x y 1 1 is a point on both the curves. 4 9 72 1 2 1 2 x y + = (4) and x y 1 2 1 2 5 − = (5) (5) × 4 ⇒ 4 4 20 1 2 1 2 x y − = (6) Subtracting, (4) − (6) ⇒ 13 52 1 2 y = ⇒ y1 2 52 13 = = 4. ∴ x1 2 4 5 − = ⇒ x1 2 9 = ∴ m m 1 2 4 9 9 4 1 = − ⋅ = − . Hence, the curves cut orthogonally at the point ( , ) x y 1 1 . Since ( , ) x y 1 1 is an arbitrary point of intersection, it follows that the two curves cut orthogonally at all the points of intersection. EXAMPLE 3 Show that the condition for ax by 2 2 1 1 5 and ′ ′ a x b y 2 2 1 1 5 to cut orthogonally is 1 1 1 1 a b a b 2 5 2 ′ ′ . Solution. The given curves are ax by 2 2 1 + = (1) and ′ + ′ = a x b y 2 2 1 (2) Let ( , ) x y 1 1 be any point of intersection of (1) and (2). M03_ENGINEERING_MATHEMATICS-I _CH03_Part A.indd 40 5/19/2016 5:02:24 PM
  • 264.
    Differential Calculus ■3.41 Let m m 1 2 , be the slope of the tangents to the curves at the point ( , ) x y 1 1 . Differentiating (1) w.r.to x, we get 2 2 0 ax by dy dx + = ⇒ dy dx ax by = − . Differentiating (2) w.r.to x, we get 2 2 0 ′ + ′ = a x b y dy dx ⇒ dy dx a x b y = − ′ ′ . At the point ( , ) 1 1 x y : m ax by 1 1 1 = − and m a x b y 2 1 1 = − ′ ′ . The condition for orthogonality is m m 1 2 1 = − = − ⋅ − ′ ′ ⎛ ⎝ ⎜ ⎞ ⎠ ⎟ = − ax by a x b y 1 1 1 1 1 ⇒ aa x bb y ′ ′ = − 1 2 1 2 1 (3) Since ( , ) x y 1 1 is a point on the two curves, we get ax by a x b y 1 2 1 2 1 2 1 2 1 1 + = ′ + ′ = and ∴ ax by a x b y 1 2 1 2 1 2 1 2 + = ′ + ′ ⇒ ( ) ( ) a a x b b y − ′ = − − ′ 1 2 1 2 ⇒ x y b b a a 1 2 1 2 = − − ′ − ′ ( ) ( ) Substituting in (3), we get aa bb b b a a ′ ′ − − ′ − ′ ⎡ ⎣ ⎢ ⎤ ⎦ ⎥ = − ( ) 1 ⇒ aa bb b b a a ′ ′ ⋅ − ′ − ′ ⎡ ⎣ ⎢ ⎤ ⎦ ⎥ = 1 ⇒ b b bb a a aa − ′ ′ = − ′ ′ ⇒ 1 1 1 1 ′ − = ′ − b b a a ⇒ 1 1 1 1 a b a b − = ′ − ′ . EXAMPLE 4 Show that the curves y x x 5 1 2 6 2 and y x x 5 1 2 2 1 touch at the point (2, 4). Also find the equation of the common tangent at the point (2, 4). Solution. The given curves are y x x = + − 6 2 (1) and y x x = + − 2 1 (2) When x = 2, from (1), y = + − = 6 2 4 4. ∴ (2, 4) is a point on (1). When x = 2, from (2), y = + − = 2 2 2 1 4. ∴ (2, 4) is a point on (2). ∴ the point (2, 4) satisfies the equations of the two curves and it is a common point. Now to prove that the two curves touch each other at the point (2, 4). That is to prove the slope of the tangents to the curves are equal at the point (2, 4). Let m1 and m2 be the slopes of the tangents to the curves at the point (2, 4) M03_ENGINEERING_MATHEMATICS-I _CH03_Part A.indd 41 5/19/2016 5:02:34 PM
  • 265.
    3.42 ■ EngineeringMathematics To prove m m 1 2 5 Differentiating (1) w.r.to x, we get dy dx x = − 1 2 . Differentiating (2) w.r.to x, we get dy dx x x x x = − ⋅ − + ⋅ − = − − ( ) ( ) ( ) ( ) 1 1 2 1 1 3 1 2 2 . At the point (2, 4): m1 1 2 2 1 4 3 = − × = − = − and m2 2 3 2 1 3 = − − = − ( ) . ∴ at the point (2, 4), m1 = m2 . Hence, the two curves touch each other at the point (2, 4). The equation of the common tangent at the point (2, 4) is y x − = − − 4 3 2 ( ) = − + 3 6 x ⇒ 3x + y − 10 = 0. EXERCISE 3.6 I. Find the angle of intersection of the following pairs of curves. 1. x y a 2 2 2 − = and x y a 2 2 2 2 + = 2. xy = 10 and x2 + y2 = 21 3. y = 2x and y2 (5 − x) = x3 4. y2 = 4x and x2 = 4y 5. xy = a2 and x2 + y2 =2x 6. x2 = ay and x3 + y3 = 3axy, at the point other than the origin. 7. y = 2x and x3 + y3 = 6xy 8. 2y2 = ax and x2 = 4ay 9. y2 = 4x and 8x2 + y2 − 6y = 0 at the point (0, 0) 10. y = 4 − x and y = 4 − x2 2 11. Find the angle of intersection of the curves y x = 1 4 3 and y x = − 6 2 at the point (2, 2). 12. Show that the curves y x x = + + 3 1 2 and y x x x = − + − 2 7 11 1 cut each other at the point (2, 1) at an angle of 45°. 13. Find the angle of intersection of the parabolas y ax 2 4 = and x ay 2 4 = . II. Show that the curves touch at the indicated points and find the equation of the common tangent. 1. y x x x = − − − 3 2 3 8 4 and y x x = + + 3 7 4 2 at the point (−1, 0). 2. x2 = ay and x3 + y3 = 3axy at the point (0, 0) 3. y x = − 2 3 sin and y x = − 3 2 6 2 p p at the point p 3 0 , ⎛ ⎝ ⎜ ⎞ ⎠ ⎟ 4. y = x3 + x +1 and 2y = x3 + 5x at the point (1, 3) III. Show that the following pairs of curves cut orthogonally. 1. x2 – y2 = 8 and xy = 3 2. x3 – 3xy2 = –2 and y3 – 3x2 y = –2 at the point (1, 1) 3. x3 + y3 + 2y + x = 0 and xy + 2x = y at the origin (0, 0). 4. y x = 2 and 6 7 2 y x = − at the point (1, 1). 5. y x 2 4 1 = + ( ) and y x 2 36 9 = − ( ). M03_ENGINEERING_MATHEMATICS-I _CH03_Part A.indd 42 5/19/2016 5:02:42 PM
  • 266.
    Differential Calculus ■3.43 ANSWERS TO EXERCISE 3.6 I. 1. p 4 2. tan− ⎛ ⎝ ⎜ ⎞ ⎠ ⎟ 1 21 20 3. tan− ⎛ ⎝ ⎜ ⎞ ⎠ ⎟ 1 1 3 and tan− ⎛ ⎝ ⎜ ⎞ ⎠ ⎟ 1 1 2 4. tan− ⎛ ⎝ ⎜ ⎞ ⎠ ⎟ 1 3 4 and p 2 5. 0, the curves touch each other. 6. tan ( ) / −1 13 2 7. tan ,tan ( ) − − ⎛ ⎝ ⎜ ⎞ ⎠ ⎟ 1 1 6 13 2 8. p 2 3 5 1 , tan− ⎛ ⎝ ⎜ ⎞ ⎠ ⎟ 9. p 2 10. p 4 1 3 1 , tan− ⎛ ⎝ ⎜ ⎞ ⎠ ⎟ 11. tan− ⎛ ⎝ ⎜ ⎞ ⎠ ⎟ 1 7 11 13. tan− ⎛ ⎝ ⎜ ⎞ ⎠ ⎟ 1 3 4 II. 1. y = x + 1 2. y = 0 3. y x − + = p 3 0 4. 4x − y = 1. 3.3 MEAN-VALUE THEOREMS OF DERIVATIVES The mean−value theorems for derivatives play an important role in calculus because many basic properties of functions can be deduced from it. However, mean−value theorems are obtained from a special case due to the French Mathematician Michael Rolle. 3.3.1 Rolle’s Theorem Let f be a real function defined on the closed interval [a, b] such that (i) f is continuous on [a, b] (ii) f is derivable in the open interval (a, b) and (iii) f(a) = f(b), then there exists at least one point c a b ∈( , ) such that ′ f c ( ) 0 5 . Geometrical Meaning of Rolle’s Theorem If y f x = ( ) be a continuous curve with end points A B and , having tangent at every point between A B and and the ordinates of A B and are equal, then there exists at least one point Pon the curve between A B and such that the tangent at Pis parallel to the x-axis. The geometrical meaning is clear from the diagrams. y o a b x A B P y o a b x A B P1 P2 Fig. 3.6 Fig. 3.7 M03_ENGINEERING_MATHEMATICS-I _CH03_Part A.indd 43 5/19/2016 5:02:53 PM
  • 267.
    3.44 ■ EngineeringMathematics Algebraic Meaning If a and b are two consecutive roots of the polynomial equation f x ( ) , = 0 then there is at least one root of ′ = f x ( ) , 0 between a and b. Physical Meaning The instantaneous rate of change of f at some point c between a and b is zero. WORKED EXAMPLES EXAMPLE 1 Test the application of Rolle’s theorem for the following functions. (i) x on[ 1, 1] 2 (ii) cos 1 on[ 1, 1] x 2 (iii) x2 on[2, 3] (iv) tan on[0, ]. x p Solution. (i) Let f x x x ( ) , 1 1. = − ≤ ≤ Then f is continuous on [ , ] −1 1 and f f ( ) , ( ) − = − = = = 1 1 1 1 1 1 ∴ f f ( ) ( ). − = 1 1 We have f x x x x x ( ) = − − ≤ ≤ ≤ ⎧ ⎨ ⎩ if if 1 0 0 1 ∴ ′ = − − ⎧ ⎨ ⎩ f x x x ( ) 1 1 0 1 0 1 if if ∴ ′ ≠ ′ − + f f ( ) ( ) 0 0 ∴ ′ f ( ) . 0 does not exist Hence, the second condition is not satisfied. So, Rolle’s theorem can not be applied. (ii) Let f x x x ( ) cos , [ , ] = ∈ − 1 1 1 f f ( ) cos( ) cos , ( ) cos − = − = = 1 1 1 1 1 ∴ f f ( ) ( ) − = 1 1 But f is not continuous at x = 0. So, ′ f ( ) . 0 does not exist ∴ Rolle’s theorem can not be applied (iii) Let f x x x ( ) , [ , ] = ∈ 2 2 3 and f is continuous and differentiable on [2, 3] But f ( ) 2 2 4 2 = = and f f f (3) 3 (2) (3). = ∴ 2 9 = ≠ Hence, Rolle’s theorem can not be applied. (iv) Let f x x x ( ) tan , = ≤ ≤ 0 p When x x = = = ∞ p p 2 2 , tan tan and so, the function f x ( ) is discontinuous at p 2 . Hence, first condition is not satisfied. But f f ( ) ( ) 0 0 0 = = and p ∴ f f ( ) ( ). 0 = p Hence, Rolle’s theorem can not be applied. M03_ENGINEERING_MATHEMATICS-I _CH03_Part A.indd 44 5/19/2016 5:03:09 PM
  • 268.
    Differential Calculus ■3.45 EXAMPLE 2 If a0 , a1 , a2 , … an are real numbers such that a n a n a n a a n n 0 1 2 1 1 1 2 0 1 1 1 2 1 1 1 5 2 … , then there exists at least one x in (0, 1) such that a x a x a x a x a n n n n n 0 1 1 2 2 1 0. 1 1 1 1 1 5 2 2 2 … Solution. Consider the function f x a x n a x n a x n a x a x x n n n n n ( ) , , = + + + − + + + ∈[ ] + − − 0 1 1 2 1 1 2 1 1 2 0 1 … Then f(0) = 0 and f a n a n a n a a n n ( ) 1 1 1 2 0 0 1 2 1 = + + + − + + + = − … [Given] ∴ f f ( ) ( ). 0 1 = Since f(x) is a polynomial, it is continuous in [0,1] and differentiable in (0, 1). So, all the conditions of Rolle’s theorem are satisfied. Hence, by Rolle’s theorem, there exists at least one x ∈( , ) 0 1 such that f′(x) = 0. But ′ = + + + + − − + + + − − − f x a n x n a nx n a n x n a x a n n n n n ( ) ( ) ( ) 0 1 1 2 2 1 1 1 1 1 2 2 … = + + + + + − − − a x a x a x a x a n n n n n 0 1 1 2 2 1 … ∴ a x a x a x a x n n n n 0 1 1 1 0 0 1 + + + + = ∈ − − … for at least one ( , ). EXAMPLE 3 Using Rolle’s theorem, prove that there is no real a for which the equation x x a 2 3 0 2 1 5 has two different roots in [ 1, 1]. 2 Solution. Suppose there is a real a for which x x a 2 3 0 − + = has two different roots a b , in [−1, 1]. Then the interval [ , ] a b is contained in the interval [−1, 1] i.e., [a, b] ⊆ [−1, 1]. Consider f x x x a x ( ) . [ , ]. = − + ∈ 2 3 a b Since f x ( ) is a polynomial in x, it is continuous and differentiable in (a b , ). Given a and b are the roots of f(x) = 0. ∴ f f ( ) ( ) a b = = 0 0 and ⇒ f f ( ) ( ). a b = So, the condition of Rolle’s theorem are satisfied by f(x) in [ a b , ]. ∴ by Rolle’s theorem, there exists at least one c ∈[ , ] a b such that ′ = f c ( ) 0 . Now ′ = − f x x ( ) 2 3 ∴ f c c ′( ) = − 2 3 M03_ENGINEERING_MATHEMATICS-I _CH03_Part B.indd 45 5/19/2016 1:07:04 PM
  • 269.
    3.46 ■ EngineeringMathematics and ′ = ⇒ − = ⇒ = f c c c ( ) . 0 2 3 0 3 2 But c c = ∉ − [ ] ∉ 3 2 1 1 , [ , ] andso, a b . This is a contradiction. So, our assumption is wrong i.e., there is no a for which x x a 2 3 0 − + = has two different roots in [−1, 1]. EXAMPLE 4 Prove that between any two roots of e x x sin 1 5 , there is at least one root of e x x cos 1 0 1 5 . Solution. Let a and b be any two roots of e x x sin = 1. ∴ e e a a a a sin sin = ⇒ = − 1 and e e b b b b sin sin = ⇒ = − 1 ⇒ e− − = a a sin 0 and e− − = b b sin . 0 (1) Consider the function f x e x x x ( ) sin , [ , ] = − ∈ − a b Then f e ( ) sin a a a = − = − 0 and f e ( ) sin b b b = − = − 0 ∴ f f ( ) ( ). a b = Since e x − and sinx are continuous in [ , ] a b and differentiable in ( a b , ), f x ( )is continuous in [ , ] a b and differentiable in ( a b , ). Hence, all the conditions of Rolle’s theorem are satisfied. ∴ by Rolle’s theorem, there is a c ∈( , ) a b such that ′ = f c ( ) 0 But ′ = − − − f x e x x ( ) cos ∴ f c e c c ′( ) cos = − − − ∴ f c e c e c e c c c c ′( ) cos cos cos . = ⇒ − − = ⇒ − − = ⇒ + = − 0 0 1 0 1 0 ∴ c is a root of e x c x cos ( , ) + = ∈ 1 0 and a b Thus, between any two roots of e x x sin = 1, there is a root of e x x cos + = 1 0. EXAMPLE 5 If f x x x x ( ) sin sin sin cos cos cos tan tan tan , 0 2 5 a b a b a b a b p . Show that ′ f x ( ) 0 5 has a root between a and b. Solution. Consider f(x) in [a, b]. ∴ f ( ) sin sin sin cos cos cos tan tan tan a a a b a a b a a b = = 0 [{ C1 = C2 ] M03_ENGINEERING_MATHEMATICS-I _CH03_Part B.indd 46 5/19/2016 1:07:09 PM
  • 270.
    Differential Calculus ■3.47 and f ( ) sin sin sin cos cos cos tan tan tan b b a b b a b b a b = = 0 [{ C1 = C3 ] ∴ f f ( ) ( ) a b = Since sinx, cosx, tanx are continuous and differentiable in 0 2 , p ⎛ ⎝ ⎜ ⎞ ⎠ ⎟ and [ , ] , a b p ⊂ ⎛ ⎝ ⎜ ⎞ ⎠ ⎟ 0 2 , it follows that f(x) is continuous and differentiable in ( , ) a b . So, all the three conditions of Rolle’s theorem are satisfied by f(x) in [ , ] a b . ∴ by Rolle’s theorem, there is a c ∈( , ) a b such that ′ = f c ( ) 0 . ⇒ f x ′( ) = 0 has a root c between α and β. 3.3.2 Lagrange’s Mean Value Theorem Let f be a real function defined on the closed interval [ , ] a b such that (i) f is continuous on [ , ] a b and (ii) f is derivable in the open interval (a, b). Then there exists at least one point c a b ∈( , ) such that ′ f c f b f a b a ( ) ( ) ( ) 5 2 2 Proof Consider F x f x Ax x a b ( ) ( ) , [ , ] = + ∈ , where A is chosen such that F a F b ( ) ( ) = Since f and x are continuous on [a, b] and derivable in (a, b), F is continuous on [a, b] and derivable in (a, b). Further F a F b ( ) ( ) = ⇒ F a Aa F b Ab ( ) ( ) + = + ⇒ A a b f b f a ( ) ( ) ( ) − = − ⇒ A f b f a b a = − − [ ] − ( ) ( ) . (1) So, F satisfies all the conditions of Rolle’s theorem on [a, b]. ∴ by Rolle’s theorem, there exists at least one c a b ∈( , ) such that ′ = F c ( ) 0 . But ′ = ′ + F x f x A ( ) ( ) ∴ ′ = ′ + F c f c A ( ) ( ) ∴ ′ = F c ( ) 0 ⇒ ′ + = f c A ( ) 0 ⇒ ′ = − f c A ( ) ⇒ ′ = − − f c f b f a b a ( ) ( ) ( ) [using (1)] Geometrical meaning of Lagrange’s Mean Value Theorem If y f x = ( ) is a continuous curve with A and B as end points and at each point between A and B, the curve has a tangent, then there is atleast one point P on the curve between A and Bat which the tangent is parallel to the chord AB. M03_ENGINEERING_MATHEMATICS-I _CH03_Part B.indd 47 5/19/2016 1:07:15 PM
  • 271.
    3.48 ■ EngineeringMathematics A is (a, f(a)) and B is (b, f(b). So, slope of chord AB f b f a b a = − − ( ) ( ) . Slope of the tangent at the point P c f c ( , ( )) is f c ′( ) y o a c b x A B P y o a b x A B Fig. 3.8 Fig. 3.9 ∴ f c f b f a b a ′( ) ( ) ( ) . = − − Physical meaning of Lagrange’s Mean Value Theorem The instantaneous rate of change of f at some point between a and b is equal to the average rate of change of f on [a, b]. Another form of Lagrange’s Mean Value Theorem If b a h − = , then b a h h = + , 0, then c a b c a h ∈ ⇒ = + ( , ) , . u u 0 1 Lagrange’s mean value theorem is ′ + = + − f a h f a h f a h ( ) ( ) ( ) u ⇒ f a h f a hf a h ( ) ( ) ( ), . + = + ′ + u u 0 1 Deductions of Lagrange’s Mean Value Theorem (1) Iff isacontinuousonaclosedinterval[a,b]andderivablein(a,b)suchthat ′ = ∀ ∈ f x x a b ( ) ( , ) 0 , then f is constant on [a, b]. i.e., f x k x a b ( ) [ , ] = ∀ ∈ In particular, f x f a x a b ( ) ( ) [ , ] = ∀ ∈ (2) If f and g are real functions which are continuous on [a, b] and derivable in (a, b) such that ′ = ′ ∀ ∈ f x g x x a b ( ) ( ) ( , ), then f x g x k x a b ( ) ( ) [ , ], − = ∀ ∈ where k is a constant. (3) If f is continuous at c and if lim ( ) x c f x l → − ′ = and lim ( ) , x c f x l → + = ′ then ′ f c ( ) exists and ′ = f c l ( ) . Proof Given lim ( ) x c f x l → = ′ ∴ lim ( ) x c f x l → − = ′ and lim ( ) . x c f x l → + = ′ a c a + h M03_ENGINEERING_MATHEMATICS-I _CH03_Part B.indd 48 5/19/2016 1:07:20 PM
  • 272.
    Differential Calculus ■3.49 Consider lim ( ) . x c f x l → + = ′ So, there exists an interval ( , ), c c h h + 0 where ′ f x ( ) exists for every x c c h ∈ + ( , ). ∴ f is continuous in [ , ] c c h + . If x is a point in this interval., by Lagrange’s mean value theorem f x f c x c f t c t x ( ) ( ) ( ), . − − = ′ lim ( ) ( ) lim ( ) lim ( ) x c x c x c f x f c x c f t f x l → + → + → − − = ′ = ′ = + ⇒ ′ = + f c l ( ) Similarly, we can prove that f c l f c l ′ ′ ( ) ( ) . − = ∴ = WORKED EXAMPLES EXAMPLE 1 Find c of Lagrange’s mean value theorem for the following functions (i) x x x ( 1)( 2) in 0, 1 2 2 2 ⎡ ⎣ ⎢ ⎤ ⎦ ⎥ (ii) x x 3 in [1,2]. 1 Solution. (i) Let f(x) = x(x − 1) (x − 2), x ∈ 0 1 2 , ⎡ ⎣ ⎢ ⎤ ⎦ ⎥. (1) Since f(x) is a polynomial function, it is continuous on 0 1 2 , ⎡ ⎣ ⎢ ⎤ ⎦ ⎥ and differentiable in 0 1 2 , ⎛ ⎝ ⎜ ⎞ ⎠ ⎟ . So, the conditions of Lagrange’s mean value theorem are satisfied. ∴ by Lagrange’s mean value theorem, there exists c ∈ 0 1 2 , ⎛ ⎝ ⎜ ⎞ ⎠ ⎟ such that f c f b f a b a ′( ) ( ) ( ) = − − (2) Here a b = = 0 1 2 , . Now f(a) = f(0) = 0 and f(b) = f 1 2 ⎛ ⎝ ⎜ ⎞ ⎠ ⎟ = 1 2 1 2 1 1 2 2 − ⎛ ⎝ ⎜ ⎞ ⎠ ⎟ − ⎛ ⎝ ⎜ ⎞ ⎠ ⎟ = − ⎛ ⎝ ⎜ ⎞ ⎠ ⎟ − ⎛ ⎝ ⎜ ⎞ ⎠ ⎟ = 1 2 1 2 3 2 3 8 . Differentiating (1) w.r.to x, we get f x x x x x x x x x x x x ′ ⋅ ⋅ ⋅ ( ) {( ) ( ) } ( )( ) = − + − + − − = − + − + − + = 1 1 2 1 1 2 1 2 3 2 3 2 2 2 x x x 2 6 2 − + ∴ f c c c ′( ) = − + 3 6 2 2 c x c + h M03_ENGINEERING_MATHEMATICS-I _CH03_Part B.indd 49 5/19/2016 1:07:25 PM
  • 273.
    3.50 ■ EngineeringMathematics ∴ (1) ⇒ 3 6 2 3 8 0 1 2 0 3 4 2 c c − + = − − = ⇒ 3 6 5 4 0 2 c c − + = ∴ c = ± − = ± − = ± = ± = ± 6 36 4 3 5 4 6 6 36 15 6 6 21 6 1 21 6 1 0 76 ⋅ ⋅ . . Clearly, 1 0 76 1 76 0 1 2 0 1 2 + = ∉ ⎛ ⎝ ⎜ ⎞ ⎠ ⎟ − ⎛ ⎝ ⎜ ⎞ ⎠ ⎟ . . , , and 1 0.76 = 0.24 ∈ ∴ c = 0 24 . (ii) Let f x x x x ( ) , [ , ] = + 3 1 2 ∈ . Since f(x) is a polynomial, it is continuous on [1, 2] and differentiable in (1, 2). So, the conditions of Lagrange’s mean value theorem are satisfied. ∴ by Lagrange’s mean value theorem, there exists a c ∈( , ) 1 2 such that ′ = − − f c f b f a b a ( ) ( ) ( ) (1) Here a =1, b = 2. Now f(1) = 1 + 1 = 2 and f (2) = 23 + 2 = 10 f x x ′( ) = + 3 1 2 ∴ f c c ′( ) = + 3 1 2 ∴ (1) ⇒ 3 1 10 2 2 1 8 2 c + = − − = ⇒ 3 7 0 2 c − = ⇒ c c 2 7 3 7 3 1 53 = ⇒ = ± = ± . . But c = − ∉ 1 53 1 2 . ( , ) and c = ∈ 1 53 1 2 . ( , ) ∴ c = 7 3 EXAMPLE 2 Using Lagrange’s mean value theorem prove that tan tan 1 1 2 2 b2 a b2 a , where b a . Solution. Consider f x x x ( ) tan , [ , ] = ∈ −1 a b . Clearly [ , ] , a b p p ⊆ − ⎛ ⎝ ⎜ ⎞ ⎠ ⎟ 2 2 Since tan−1 x is continuous on [ , ] a b and ′ = + f x x ( ) , 1 1 2 f x ( ) is continuous on [ , ] a b and differentiable in ( , ). a b So, the condition of Lagrange’s mean value theorem are satisfied. ∴ by Lagrange’s mean value theorem, there exists c ∈( , ) a b such that ′ = − − f c f b f a b a ( ) ( ) ( ) . (1) M03_ENGINEERING_MATHEMATICS-I _CH03_Part B.indd 50 5/19/2016 1:07:30 PM
  • 274.
    Differential Calculus ■3.51 Here a b = = a b , . ∴ f f ( ) tan ( ) tan a a b b = = − − 1 1 , and ′ = + f c c ( ) 1 1 2 ∴ (1) ⇒ 1 1 2 1 1 + = − − − − c tan tan b a b a ⇒ tan tan − − − = − + 1 1 2 1 b a b a c Since 0 1 1 1 0 2 + − c and b a , we have 0 1 2 − + − b a b a c . ∴ tan tan . − − − − 1 1 b a b a b a if Note In particular, if a b = = − − − − 0 0 0 1 1 , , , x x x then tan tan ⇒ tan , . − 1 0 x x x if EXAMPLE 3 If 0 , a b then prove that b a b b a b a a 2 1 2 2 1 2 2 1 tan tan 1 . 2 1 1 2 Deduce that (i) 4 3 25 tan 4 3 4 1 6 (ii) 4 1 5 tan 2 4 1 2 . 1 1 p 1 p 1 p 1 p 1 2 2 Solution. Consider the function f x x x a b ( ) tan , [ , ] = ∈ −1 . Then ′ = + ∈ f x x x a b ( ) , ( , ). 1 1 2 Clearly f x ( ) is continuous on [ , ] a b and differential in ( , ). a b So, the conditions of Lagrange’s mean value theorem are satisfied. ∴ by Lagrange’s mean value theorem, there exists c a b ∈( , ), such that f c f b f a b a ′( ) ( ) ( ) = − − (1) where f a a f b b ( ) tan , ( ) tan = = − − 1 1 and ′ = + f c c ( ) 1 1 2 ∴ (1) ⇒ 1 1 2 + c = tan tan − − − − 1 1 b a b a ⇒ b a c b a − + = − − − 1 2 1 1 tan tan (2) Since a c b a b c and , , are positive numbers, a c b 2 2 2 . ∴ 1 1 1 2 2 2 + + + a c b ⇒ 1 1 1 1 1 1 2 2 2 + + + a c b . We have b a b a ∴ − . . 0 M03_ENGINEERING_MATHEMATICS-I _CH03_Part B.indd 51 5/19/2016 1:07:37 PM
  • 275.
    3.52 ■ EngineeringMathematics ∴ b a a b a c b a b − + − + − + 1 1 1 2 2 2 ⇒ b a b b a c b a a − + − + − + 1 1 1 2 2 2 ∴ b a b b a b a a − + − − + − − 1 1 2 1 1 2 tan tan [using (2)](3) To deduce (i): Put a = 1 and b = 4 3 in (3) ∴ 4 3 1 1 16 9 4 3 1 4 3 1 1 1 1 1 − + − − + − − tan tan ⇒ 3 25 4 3 4 1 6 1 − − tan p ⇒ p p 4 3 25 4 3 4 1 6 1 + + − tan . To deduce (ii): Put a = 1 and b = 2 in (3) ∴ 2 1 1 4 2 1 2 1 1 1 1 1 − + − − + − − tan tan ⇒ 1 5 2 4 1 2 1 − − tan p ⇒ p p 4 1 5 2 4 1 2 1 + + − tan . EXAMPLE 4 If f R :[0, 4] → is differentiable, then prove that [ (4)] [ (0)] 8 ( ) ( ) 2 2 f f f a f b 2 5 ′ for a b , (0, 4) ∈ . Solution. Given f is a real function defined on [ , ] 0 4 and differentiable and so it is continuous on [ , ] 0 4 . So, the conditions of Lagrange’s mean value theorem are satisfied. ∴ by Lagrange’s mean value theorem, there exists a ∈( , ) 0 4 , such that ′ = − − f a f f ( ) ( ) ( ) 4 0 4 0 . ⇒ f f f a ( ) ( ) ( ) 4 0 4 − = ′ . (1) Since f is continuous on [ , ] 0 4 , it takes all values between its maximum and minimum values. In particular, there is b ∈( , ) 0 4 such that f f f b ( ) ( ) ( ) 4 0 2 + = . ⇒ f f f b ( ) ( ) ( ) 4 0 2 + = (2) ( ) ( ) 1 2 × ⇒ [ ( ) ( )][ ( ) ( )] ( ) ( ) f f f f f a f b 4 0 4 0 4 2 − + = ′ ⇒ [ ( )] [ ( )] ( ) ( ), , ( , ) f f f a f b a b 4 0 8 0 4 2 2 − = ′ ∈ . M03_ENGINEERING_MATHEMATICS-I _CH03_Part B.indd 52 5/19/2016 1:07:42 PM
  • 276.
    Differential Calculus ■3.53 3.3.3 Cauchy’s Mean Value Theorem Let f and g be two functions defined on [a, b] such that (i) f and g are continuous on [a, b] (ii) f and g are differentiable in (a, b) and (iii) g x x a b ′ ≠ ∈ ( ) ( , ) 0 ∀ . Then, there exists at least one c a b ∈( , ) such that f c g c f b f a g b g a ′ ′ ( ) ( ) ( ) ( ) ( ) ( ) 5 2 2 . Proof Consider the function F x f x Ag x x a b ( ) ( ) ( ), [ , ] = + ∈ where A is chosen such that F a F b ( ) ( ) = ⇒ f a Ag a f b Ag b ( ) ( ) ( ) ( ) + = + ⇒ A g a g b f b f a [ ( ) ( )] ( ) ( ) − = − ⇒ A f b f a g a g b = − − ( ) ( ) ( ) ( ) ⇒ A f b f a g b g a = − − − [ ( ) ( )] ( ) ( ) (1) Since f and g are continuous on [a, b] and differentiable in (a, b), F is continuous on [a, b] and differentiable in (a, b) and F(a) = F(b). So, F satisfies the conditions of Rolle’s theorem. ∴ by Rolle’s theorem, there exists c a b ∈( , ) such that F c ′( ) = 0. But F x f x Ag x ′ ′ ′ ( ) ( ) ( ) = + ⇒ F c f c Ag c ′ ′ ′ ( ) ( ) ( ) = + ∴ F c ′( ) = 0 ⇒ ′ + = f c Ag c ( ) ( ) ′ 0 ⇒ f c Ag c ′ ′ ( ) ( ) = − ⇒ f c g c A ′ ′ ( ) ( ) = − ∴ f c g c ′ ′ ( ) ( ) = − − f b f a g b g a ( ) ( ) ( ) ( ) [using (1)]. Corollary: If f(a) = 0, g(a) = 0, then f c g c f b g b a c b ′ ′ ( ) ( ) ( ) ( ) , . = Note The corollary can be algebraically interprepted as below: If the polynomial equations f(x) = 0, g(x) = 0 have a common root a, then f x g x f c g c ( ) ( ) ( ) ( ) = ′ ′ for some c a x ∈( , ) . Formula: 1. If F x f x f x f x g x g x g x h x h x h x ( ) ( ) ( ) ( ) ( ) ( ) ( ) ( ) ( ) ( ) = 1 2 3 1 2 3 1 2 3 M03_ENGINEERING_MATHEMATICS-I _CH03_Part B.indd 53 5/19/2016 1:07:47 PM
  • 277.
    3.54 ■ EngineeringMathematics where fi , gi , hi , i = 1, 2, 3 are differentiable functions of x, then F x f x f x f x g x g x g x h x h x h x f ′( ) ( ) ( ) ( ) ( ) ( ) ( ) ( ) ( ) ( ) ( = ′ ′ ′ + 1 2 3 1 2 3 1 2 3 1 x x f x f x g x g x g x h x h x h x f x f x f ) ( ) ( ) ( ) ( ) ( ) ( ) ( ) ( ) ( ) ( ) 2 3 1 2 3 1 2 3 1 2 ′ ′ ′ + 3 3 1 2 3 1 2 3 ( ) ( ) ( ) ( ) ( ) ( ) ( ) x g x g x g x h x h x h x ′ ′ ′ 2. If F x f x f x g x g x ( ) ( ) ( ) ( ) ( ) = 1 2 1 2 , then F x f x f x g x g x f x f x g x g x ′( ) ( ) ( ) ( ) ( ) ( ) ( ) ( ) ( ) . = ′ ′ + ′ ′ 1 2 1 2 1 2 1 2 The formula can be used column wise also. WORKED EXAMPLES EXAMPLE 1 Verify Cauchy’s mean value theorem for f(x) 5 x3 , g(x) 5 x2 in [1, 2]. Solution. Given f(x) = x3 and g(x) = x2 in [1, 2]. f (x), g(x) being polynomials, they are continuous on [1, 2] and differentiable in (1, 2) and g x x ′( ) = ≠ 2 0 for ∀x ∈( , ) 1 2 So, all the conditions of Cauchy’s mean value theorem are satisfied. ∴by Cauchy’s mean value theorem, there exists c ∈( , ) 1 2 such that f c g c f b f a g b g a ′ ′ ( ) ( ) ( ) ( ) ( ) ( ) . = − − (1) Here a = 1, b = 2. ∴ f(a) = 1 and f(b) = 23 = 8, g(a) = 1 and g(b) = 22 = 4 f x x ′( ) = 3 2 and g x x ′( ) = 2 ∴ f c c ′( ) = 3 2 and g c c ′( ) = 2 ∴(1) ⇒ 3 2 8 1 4 1 7 3 2 c c = − − = ⇒ 3 2 7 3 c = ⇒ c = 14 9 1 2 ∈( , ) Hence, the theorem is verified. EXAMPLE 2 Verify Cauchy’s mean value theorem and find c, if f x e g x e x a b x x ( ) , ( ) , [ , ]. 5 5 2 ∈ Solution. Given f x e g x e x a b x x ( ) ( ) , [ , ] = = − and ∈ . Both f and g are continuous on [a, b] and differentiable in (a, b) and g x e x a b x ′ ∈ ( ) ( , ) = − ≠ ∀ − 0 . So, all the conditions of Cauchy’s mean value theorem are satisfied. ∴ by Cauchy’s mean value theorem, there exists c in (a, b) such that M03_ENGINEERING_MATHEMATICS-I _CH03_Part B.indd 54 5/19/2016 1:07:51 PM
  • 278.
    Differential Calculus ■3.55 f c g c f b f a g b g a ′ ′ ( ) ( ) ( ) ( ) ( ) ( ) = − − . (1) But f(a) = ea and f(b) = eb , g a e a ( ) = − and g b e b ( ) = − f x ex ′( ) = and g x e x ′( ) = − − ∴ f c ec ′( ) = and ′ = − − g c e c ( ) ∴ (1) ⇒ e e e e e e c c b a b a − = − − − − − ⇒ − = − − = − − e e e e e e e e e e e c b a b a b a a b a b 2 1 1 ⋅ ⋅ = − + ea b ⇒ e e c a b 2 = + ∴ 2 2 c a b c a b a b = + ⇒ = + ∈( , ) Hence, the theorem is verified. EXAMPLE 3 If 0 2 a b p , using Cauchy’s mean value theorem, prove that sin sin cos cos cot a 2 b b2 a 5 u for some u a b ∈( ) , . Solution. Consider the functions f(x) = sin x and g(x) = cos x, x ∈[ ], a b , where [ , ] a b ⊆ 0 2 , p ⎛ ⎝ ⎜ ⎞ ⎠ ⎟ Boththefunctions f and g arecontinuouson [ , ] a b anddifferentiablein( , ) a b and ′ = − ≠ g x x ( ) sin 0 in ( , ) a b . So, all the conditions of Cauchy’s mean value theorem are satisfied. ∴ by Cauchy’s mean value theorem there exists u ∈( , ) a b such that ′ ′ = − − f g f f g g ( ) ( ) ( ) ( ) ( ) ( ) u u b a b a (1) But f ( ) sin a a = and f ( ) sin b b = ; g g ( ) cos ( ) cos a a b b = = and ′ = f x x ( ) cos and ′ = − g x x ( ) sin . ∴ ′ = f ( ) cos u u and ′ = − g ( ) sin u u ∴ (1) ⇒ cos sin sin sin cos cos u u b a b a − = − − ⇒ − = − − cot sin sin cos cos u b a b a ⇒ sin sin cos cos cot a b b a u − − = , u a b ∈[ , ]. EXAMPLE 4 Using mean value theorem, show that x x x x e + − log (1 ) 2 2 if x 0. Solution. Consider the function f(x) = loge (1 + x), x ≥ 0 M03_ENGINEERING_MATHEMATICS-I _CH03_Part B.indd 55 5/19/2016 1:08:00 PM
  • 279.
    3.56 ■ EngineeringMathematics ∴ f x x f x x x ′ + ′′ = − ( ) , ( ) ( ) , = + 1 1 1 1 0 2 We know that f(x) = f(0) + xf ′(ux), 0 u 1 ∴ f(0) = log(1 + 0) = 0, f x x ′ = ( ) u u 1 1+ ∴ loge (1 + x) = 0 1 1 1 + + = + x x x x u u Since u 0, x 0, 1 + ux 1 ⇒ 1 1 1 1 + + u u x x x x ⇒ (1) ∴ loge (1 + x) x ⇒ x loge (1 + x) (2) Again f x f xf x f x ( ) ( ) ( ) ( ) = + ′ + ′′ 0 0 2 2 u , up to second derivative 0 u 1 But f ′(0) = 1, f ″(ux) = − + 1 1 2 ( ) ux ∴ log ( ) , e x x x x x x x 1 0 1 2 1 1 2 1 0 1 2 2 2 2 + ( ) = + + − + ( ) ⎛ ⎝ ⎜ ⎜ ⎞ ⎠ ⎟ ⎟ = − + ⋅ u u u ⇒ loge (1 + x) − x = − + x x 2 2 2 1 ( ) u (1) ⇒ x x x x x x x x x 1 1 2 1 2 2 2 2 2 2 2 + u u u ⇒ + ⇒ − + − ( ) ( ) ∴ loge (1 + x) – x − ⇒ − x x x x e 2 2 2 1 2 log ( ) + (3) From (2) and (3), we get x x x x e + − log ( ) 1 2 2 if x 0. EXERCISE 3.7 I. Verify Rolle’s theorem for the following functions. 1. f x x x x x ( ) , , = + − − ∈ − − ⎡ ⎣ ⎢ ⎤ ⎦ ⎥ 2 4 2 2 1 2 3 2 . 2. f x e x x x ( ) cos , , = ∈ − ⎡ ⎣ ⎢ ⎤ ⎦ ⎥ p p 2 2 3. f x x x ( ) , [ , ] = − ∈ − 4 2 2 2 4. f x x x ( ) sin , [ , ] = ∈ 2 0 p 5. f x x x ( ) , [ , ] = − ∈ − 1 1 1 4 5 6. f x x x x x ( ) , , = + ≤ ≤ − ≤ ⎧ ⎨ ⎩ 2 1 0 1 3 1 2 7. f x a x b m n ( ) ( ) ( ) x = − − where m and n are positive integers. 8. f x x a x n ( ) ( ) = − − 2 1 2 n in [0, a]. 9. f x x ab x a b e ( ) log ( ) = + + 2 in [a, b], a, b 0. M03_ENGINEERING_MATHEMATICS-I _CH03_Part B.indd 56 5/19/2016 1:09:06 PM
  • 280.
    Differential Calculus ■3.57 II. 1. Find c of Rolle’s theorem for the function f x e x x x x ( ) (sin cos ), , = − ∈ ⎡ ⎣ ⎢ ⎤ ⎦ ⎥ p p 4 5 4 2. Considering the function f x x x e ( ) ( )log , = − 2 show that the equation x x e log x = − 2 has a root between 1 and 2. 3. Apply Rolle’s theorem for sin cos x x 2 and find x such that 0 4 x p . III. Verify Lagrange’s mean value theorem for the following functions. 1. f x x x x x ( ) ( )( )( ), [ , ] = − − − ∈ 1 2 4 0 4 2. f x x x ( ) , [ , ] = ∈ − 2 3 1 1 3. f x x x x x ( ) cos , , [ , ] = ≠ = ⎧ ⎨ ⎪ ⎩ ⎪ − 1 0 0 0 1 1 in 4. f(x) = loge x in [1, e]. IV. 1. Verify Lagrange’s mean value theorem and find the point on the curve y x x = − 1 between the points A(2, −2) and B 5 5 4 , − ⎛ ⎝ ⎜ ⎞ ⎠ ⎟ at which the tangent is parallel to the chord AB. 2. Prove that p p 3 1 5 3 3 5 3 1 8 1 − − − cos by Lagrange’s mean value theorem. 3. For any two real numbers a and b (a b), prove that a2 + ab + b2 = 3c2 , for some c ∈ (a, b) using Lagrange’s mean value theorem. 4. For the quardratic function f ( ) , ( , ) x lx mx n x a b = + + ∈ 2 , find u of Lagrange’s mean value theorem. 5. If f(x) and g(x) are continuous on a ≤ x ≤ b and derivable in a x b, then prove that f a f b g a g b b a f a f c g a g c ( ) ( ) ( ) ( ) ( ) ( ) ( ) ( ) ( ) = − ′ ′ . [Hint: Consider f(x) = f a f x g a g x ( ) ( ) ( ) ( ) , x ∈ [a, b]. 6. For what values of a, m, b does the function f x x x a ( , ) , , = = + + + ≤ ≤ ⎧ ⎨ ⎪ ⎩ ⎪ 3 0 3 0 1 1 2 2 x x mx b x − satisfy the hypothesis of Lagrange’s mean value theorem on the interval [0, 2]. 7. Find u of Lagrange’s mean value theorem for f x x x x ( ) , [ , ] = − + ∈ 3 2 4 2 3 2 V. Using Lagrange’s mean value theorem, prove the following 1. x x x x x e 1 1 0 + + log ( ) , 2. 0 1 1 1 1 0 + − log ( ) , e x x x M03_ENGINEERING_MATHEMATICS-I _CH03_Part B.indd 57 5/19/2016 1:09:09 PM
  • 281.
    3.58 ■ EngineeringMathematics 3. 0 1 1 1 0 − x e x x e x log , [Hint: Take f x ex ( ) = in [0, x]] 4. If f x x ( ) cos = , applying Lagrange’s mean value theorem in [ , ] 0 h prove that lim x → + = 0 1 2 u . [Hint: f h f hf h ( ) ( ) ( ), = + ′ 0 0 1 u u ] ANSWERS TO EXERCISE 3.7 II. 1. c = p, 3. x = p 6 IV . 1. 3 3 2 , − ⎛ ⎝ ⎜ ⎞ ⎠ ⎟ 4. u = 1 2 6. a = 3, b = 4, m = 1 7. u = 1 2 3.4 MONOTONIC FUNCTIONS Monotonic functions form an important class of functions in Mathematics. Because most of the functions that occur in various fields, in practice, are monotonic functions or sum of monotonic functions. It will be seen that all bounded monotonic functions are integrable. In this section, we use mean value theorems to deduce the properties of monotonic functions, using sign of derivative. 3.4.1 Increasing and Decreasing Functions Definition 3.1 Let f be a function defined on [ , ] a b . If for every pair of points x x a b 1 2 , [ , ] ∈ (i) x x f x f x 1 2 1 2 ⇒ ≤ ( ) ( ), then f is increasing (or non−decreasing) on [a, b]. (ii) x x f x f x 1 2 1 2 ⇒ ( ) ( ), then f is strictly increasing on [a, b]. (iii) x x f x f x 1 2 1 2 ⇒ ( ( ) ) ≥ , then f is decreasing (or non−increasing) on [a, b]. (iv) x x f x f x 1 2 1 2 ⇒ ( ) ( ) , then f is strictly decreasing on [a, b]. A function f which is either increasing or decreasing on [a, b] is called a monotonic function on [a, b]. If f is strictly increasing or strictly decreasing on [a, b], then f is called strictly monotonic. 3.4.2 Piece−wise Monotonic Function Definition 3.2 A function f is said to be piece−wise monotonic on [a, b] if the interval [a, b] can be partitioned into finite number of sub−intervals such that in each of the open sub−intervals f is monotonic That is f is piece−wise monotonic on [a, b] if its graph consists of a finite number of monotonic pieces. Note (1) A characteristic property of monotonic function is that it has it finite left and right limits at each interior point. M03_ENGINEERING_MATHEMATICS-I _CH03_Part B.indd 58 5/19/2016 1:09:12 PM
  • 282.
    Differential Calculus ■3.59 If f is increasing on [a, b] and c a b ∈( , ), then f c ( ) − and f c ( ) + exist and f c f c f c ( ) ( ) ( ) − ≤ ≤ + Further f a f a ( ) ( ) ≤ + and f b f b ( ) ( ) − ≤ . (2) If f is strictly increasing and continuous on [a, b], then f a b f a f b :[ , ] [ ( ), ( )] → is bijective and f f a f b a b − → 1 :[ ( ), ( )] [ , ] exists and f −1 is continuous and strictly increasing on [ ( ), ( )] f a f b . Similarly, we can state (1) and (2) for decreasing functions. 3.4.3 Test for Increasing or Decreasing Functions Theorem 3.2 Let f be continuous on the closed interval [ , ] a b and let f9(x) exist for each point x a b ∈( , ) . y x b a o Increasing Fig. 3.10 y x o Strictly increasing Fig. 3.11 y x D a o Strictly increasing Fig. 3.12 y x a b o Decreasing Fig. 3.13 y x b a o Strictly decreasing Fig. 3.14 y e x a c o b d Piece-wise monotonic Fig. 3.15 M03_ENGINEERING_MATHEMATICS-I _CH03_Part B.indd 59 5/19/2016 1:09:17 PM
  • 283.
    3.60 ■ EngineeringMathematics (i) If ′ f x x a b ( ) 0 ( , ) . ; e , then f is strictly increasing on [a, b]. (ii) If ′ ≥ f x x a b ( ) 0 ( , ) ; e , then f is increasing on [a, b]. (iii) If ′ f x x a b ( ) 0 ( , ) ; e , then f is strictly decreasing on [a, b]. (iv) If ′ ≤ f x x a b ( ) 0 ( , ) ; e , then f is decreasing on [a, b]. (v) If ′ f x x a b ( ) 0 ( , ) 5 ; e , then f is constant on [a, b]. Proof Given f is continuous on [a, b] and f x ′( ) exists for each x a b ∈( , ). Let x x a b 1 2 , [ , ] ∈ be any two points with x x 1 2 . Applying Lagrange’s mean value theorem for f on [ , ] x x 1 2 , there is c x x ∈( , ) 1 2 such that f c f x f x x x ′( ) ( ) ( ) = − − 2 1 2 1 ⇒ f x f x x x f c ( ) ( ) ( ) ) 2 1 2 1 − = − ′( (1) (i) Let ′ f c ( ) 0 Since ′ f c ( ) 0 and x x 2 1 0 − , we have from (1) f x f x ( ) ( ) 2 1 0 − ⇒ f x f x ( ) ( ) 2 1 ⇒ f x f x ( ) ( ) 1 2 Thus, x x 1 2 ⇒ f x f x ( ) ( ) 1 2 So, by definition, f is strictly increasing on [a, b] (ii) Let ′ ≥ f c ( ) 0 Since ′ ≥ f c ( ) 0 and x x 1 2 0 − , we have from (1) f x f x f x f x ( ) ( ) ( ) ( ) 2 1 2 1 0 − ≥ ⇒ ≥ ⇒ f x f x ( ) ( ) 1 2 ≤ Thus, x x f x f x 1 2 1 2 ⇒ ≤ ( ) ( ) By definition, f is increasing on [a, b]. Similarly, we can prove (iii), (iv) and (v). Corollary: If f and gare continuous functions on [a, b] such that f x g x x a b ′ ′ ( ) ( ) ( , ), = ∀ ∈ then f x g x k x a b ( ) ( ) [ , ] − = ∀ ∈ , where k is a constant. WORKED EXAMPLES EXAMPLE 1 Determine the interval of monotonicity of the following functions (i) 2 9 24 7 3 2 x x x 2 2 1 (ii) 2 ln 2 x x. 2 Solution. (i) Let f x x x x ( ) = − − + 2 9 24 7 3 2 ∴ ′ = − − = − − f x x x x x ( ) ( ) 6 18 24 6 3 4 2 2 M03_ENGINEERING_MATHEMATICS-I _CH03_Part B.indd 60 5/19/2016 1:09:24 PM
  • 284.
    Differential Calculus ■3.61 ∴ ′ f x ( ) 0 if ( )( ) x x − + 4 1 0 ⇒ x −1 or x 4. ∴ the function is strictly increasing in the interval ( , ] −∞ −1 and [ , ) 4 ∞ . ⇒ ′ f x ( ) 0 if ( )( ) x x − + 4 1 0 ⇒ − 1 4 x ∴ the function is strictly decresing in the interval − ≤ ≤ 1 4 x . (ii) Let g x x x x ( ) , = − 2 1 0 2 n ∴ ′ = − g x x x ( ) 4 1 [ log ] { 1nx x e = and ′ g x ( ) 0 if 4 1 0 x x − ⇒ 4 1 0 2 x − ⇒ ( )( ) , 2 1 2 1 0 0 x x x + − . Since x x + 0 2 1 0 , and so, 2 1 0 x − ⇒ x 1 2 . ∴ the function is strictly increasing in the interval 1 2 , ∞ ⎡ ⎣ ⎢ ⎞ ⎠ ⎟ . Now ′ g x ( ) 0 if 4 1 0 x x − ⇒ 4 1 0 2 x − ⇒ ( )( ) 2 1 2 1 0 x x + − Since x x + 0 2 1 0 , and so, 2 1 0 x − ⇒ x 1 2 . ∴ the function is strictly decreasing in the interval 0 1 2 ≤ x . EXAMPLE 2 Prove that x x x x sin cos 1 2 cos2 1 1 is strictly increasing in 0, 2 p ⎛ ⎝ ⎜ ⎞ ⎠ ⎟ . Solution. Let f x x x x x x ( ) sin cos cos , = + + ≤ ≤ 1 2 0 2 2 p . ∴ ′ = + ⋅ − + ⋅ − f x x x x x x x ( ) cos sin sin cos ( sin ) 1 1 2 2 = − x x x x cos cos sin ⇒ f x x x x ′( ) cos ( sin ) = − , 0 2 x p . For 0 2 x p , cosx 0 and to decide the sign of x x − sin , we consider the function g x x x ( ) sin = − in 0 2 ≤ ≤ x p ∴ ′ = − g x x ( ) cos 1 = 2 2 0 2 sin x in 0 2 x p . ∴ g x ( ) is strictly increasing in 0 2 ≤ ≤ x p . − 1 4 ∞ −∞ x M03_ENGINEERING_MATHEMATICS-I _CH03_Part B.indd 61 5/19/2016 1:09:34 PM
  • 285.
    3.62 ■ EngineeringMathematics ∴ g x g ( ) ( ) 0 for x 0, x ∈ ⎛ ⎝ ⎜ ⎞ ⎠ ⎟ 0 2 , p . But g( ) sin 0 0 0 0 = − = ∴ g x ( ) 0 for x 0, in 0 2 x p Hence, ′ f x ( ) 0 in 0 2 x p . ∴ f x ( ) is strictly increasing in 0 2 , p ⎛ ⎝ ⎜ ⎞ ⎠ ⎟ . EXAMPLE 3 If f x x x x x ( ) sin , 0 2 1, 0 5 p 5 ≤ ⎧ ⎨ ⎪ ⎩ ⎪ then prove that (i) f is strictly increasing in 0, 2 p ⎡ ⎣ ⎢ ⎤ ⎦ ⎥ and (ii) 1 sin 2 x x p . Solution. Given f x x x x x ( ) sin , , = ≤ = ⎧ ⎨ ⎪ ⎩ ⎪ 0 2 1 0 p lim ( ) lim sin x x f x x x → + → + = = 0 0 1 and f f x f x ( ) lim ( ) ( ) 0 1 0 0 = ⇒ = → + ∴ the function is continuous at x = 0 from the right and hence continuous in the interval 0 2 , p ⎡ ⎣ ⎢ ⎤ ⎦ ⎥. Now ′ = ⋅ − ⋅ f x x x x x ( ) sin cos sin 1 2 = − cos sin [tan ] x x x x 2 , 0 2 x p . For 0 2 x p , cos sin x x 2 0 and to decide the sign of tan x x − , we consider the function g x x x ( ) tan = − in 0 2 ≤ x p ∴ ′ = − g x x ( ) sec2 1 = tan2 0 x in 0 2 x p . ∴ g x ( ) is strictly increasing in 0 2 ≤ x p . So, g x g ( ) ( ) 0 for x 0. But g(0) = tan0 − 0, ∴ g x ( ) 0 ⇒ tan x x − 0 for 0 2 x p . Hence, ′ f x ( ) 0 for 0 2 x p . ∴ f x ( ) is strictly increasing in 0 2 ≤ x p . M03_ENGINEERING_MATHEMATICS-I _CH03_Part B.indd 62 5/19/2016 1:09:43 PM
  • 286.
    Differential Calculus ■3.63 Hence, 0 2 x p ⇒ f f x f ( ) ( ) 0 2 ⎛ ⎝ ⎜ ⎞ ⎠ ⎟ p ⇒ 1 2 2 x x sin sin p p ⇒ 1 2 x x sin p . EXAMPLE 4 Use the function f x x x x ( ) , 0 1/ 5 , to determine the bigger of the two numbers (i) e e p p and (ii) (202) and (303 303 202 ) . Solution. Given f x x x x ( ) , = 1 0. Taking logarithm to the base e on both sides, we get log ( ) log e e x f x x = 1 = 1 x x e log . ∴ Differentiating w.r.to x, 1 1 1 1 2 f x f x x x x x e ( ) ( ) log ′ = ⋅ + − ⎛ ⎝ ⎜ ⎞ ⎠ ⎟ ⇒ f x f x x x e ′( ) ( ) [ log ] = − 1 1 2 ⇒ f x f x x x x x x e x e ′( ) ( ) [ log ] [ log ]. / = − = − ⋅ 1 1 1 2 1 2 ∴ f x ′( ) 0 if x x x x e 1 2 1 0 / [ log ] − ⇒ 1 0 − loge x ⇒ log . e x x e ⇒ 1 ( ∴ e 1) ∴ f(x) is strictly decreasing for all x e ≥ . (i) Since p e, we have f f e e e ( ) ( ) / / p p p ⇒ 1 1 Raising to the power pe on both sides we have ( ) ( ) / / p p p p p p 1 1 e e e e e e ⇒ ∴ ep is the bigger number. (ii) Since 303 202, we have f (303) f(202) ⇒ ( ) ( ) / / 303 202 1303 1202 ⇒ [( ) ] [( ) ] / ( )( ) / ( )( ) 303 202 1303 303 202 1202 303 202 ⇒ ( ) ( ) 303 202 202 303 ∴ ( ) 202 303 is the bigger number. EXAMPLE 5 Prove that tan tan 2 1 2 1 x x x x for 0 2 1 2 x x p . Solution. We know that for x x 1 2 0 2 , , ∈ p ⎛ ⎝ ⎜ ⎞ ⎠ ⎟, tanx1 , tanx2 are positive. M03_ENGINEERING_MATHEMATICS-I _CH03_Part B.indd 63 5/19/2016 1:09:49 PM
  • 287.
    3.64 ■ EngineeringMathematics ∴ tan tan tan tan x x x x x x x x 2 1 2 1 2 2 1 1 ⇒ To prove this inequality, consider the function f x x x x ( ) tan , . = 0 2 p ∴ f ′( ) sec tan x x x x x = − ⋅ 2 2 1 = − ⎡ ⎣ ⎢ ⎤ ⎦ ⎥ sec sin cos cos 2 2 2 x x x x x x = − ⎡ ⎣ ⎢ ⎤ ⎦ ⎥ sec sin , . 2 2 1 2 2 0 2 x x x x x p For 0 2 0 2 2 x x x p , sec and to decide the sign of x − 1 2 sin 2x, we consider the function g x x x x ( ) sin , = − ≤ ≤ 1 2 2 0 2 p . ∴ g x x ′( ) cos = − ⋅ 1 1 2 2 2 = − = ∀ ∈ ⎛ ⎝ ⎜ ⎞ ⎠ ⎟ 1 2 2 0 0 2 2 cos sin , x x x p . ∴ g(x) is strictly increasing in 0 2 ≤ ≤ x p . ∴ g(x) g(0) for x 0 But g( ) sin 0 0 1 2 0 0 = − = . ∴ g x x ( ) 0 for 0 ⇒ − ⎡ ⎣ ⎢ ⎤ ⎦ ⎥ x x x 1 2 2 0 0 2 sin , for 0 in p Hence, f x x ′( ) . 0 0 2 for p ∴ f(x) is strictly increasing in 0 2 x p . ∴ x x f x f x 1 2 1 2 0 2 ⇒ ⎛ ⎝ ⎜ ⎞ ⎠ ⎟ ( ) ( ) , in p ⇒ tan tan x x x x 1 1 2 2 ⇒ x x x x 2 1 2 1 tan tan ⇒ tan tan . x x x x x x 2 1 2 1 2 2 for 0 1 p EXAMPLE 6 Show that x loge (1 1 x) x x 11 for x 0. Solution. First we shall prove x loge (1 + x), x 0. Consider f x x x x e ( ) log ( ), = − + ≥ 1 0 ∴ f x x ′( ) = − + 1 1 1 = + − + = + 1 1 1 1 0 x x x x x for 0. ∴ f(x) is strictly increasing for x ≥ 0. Hence, f(x) f(0) for x 0. But f e ( ) log ( ) 0 0 1 0 0 = − + = . ∴ f x x ( ) 0 for 0 M03_ENGINEERING_MATHEMATICS-I _CH03_Part B.indd 64 5/19/2016 1:09:54 PM
  • 288.
    Differential Calculus ■3.65 ∴ x x x e − + log ( ) 1 0 for 0 ⇒ x x x e + log ( ) 1 for 0 (1) Now we shall prove log ( ) e x x x 1 1 + + for x 0. Consider g x x x x x e ( ) log ( ) , . = + − + ≥ 1 1 0 ∴ g x x x x x ′( ) ( ) . ( ) = + − + ⋅ − + 1 1 1 1 1 1 2 = + − + = + − + = + 1 1 1 1 1 1 1 1 0 2 2 2 x x x x x x x ( ) ( ) ( ) for 0 ∴ g(x) is strictly increasing for x ≥ 0. ∴ g x g x ( ) ( ) 0 for 0. But g(0) = loge (1 + 0) − 0 = 0. ∴ g(x) 0 for x 0 ⇒ log ( ) e x x x x 1 1 0 + − + for 0 ⇒ log ( ) e x x x x 1 1 + + for 0 (2) From (1) and (2), we get x x x x x e + + log ( ) . 1 1 0 for EXERCISE 3.8 1. Using sign of derivative, prove the following (a) x x x x x − − log 1 1 1 0 1 if (b) 2 1 0 2 p p ⎛ ⎝ ⎜ ⎞ ⎠ ⎟ sin , x x in (c) x x x x x − 3 6 0 sin for (d) 1 1 0 + + x x xe x x for (e) x x x x x x x x x e − + + − + + 2 3 2 3 2 3 1 2 3 1 0 log ( ) ( ) for 2. Determine the intervals of increase and decrease for the following functions (a) f x x x ( ) = + − 3 2 5 (b) f x x ( ) log( ) = − 1 2 (c) f x x x ( ) cos = − 3. Prove that ( ) , . a b a b n a b n n n + = + ≤ ≤ if and 0 1 0 0 Hint: Take f x x x x x a b n n ( ) ( ) , , = + − + ≥ = ⎡ ⎣ ⎢ ⎤ ⎦ ⎥ 1 1 0 then put . 4. Show that 1+ x In x x x x + + ( )≥ + ∀ ≥ 2 2 1 1 0. 5. Prove the inequality tan x x x + 3 3 if 0 2 x p . 6. Find the behaviour of the function f x x x x ( ) sin tan = + − 2 3 in − ⎛ ⎝ ⎜ ⎞ ⎠ ⎟ p p 2 2 , . M03_ENGINEERING_MATHEMATICS-I _CH03_Part B.indd 65 5/19/2016 1:10:00 PM
  • 289.
    3.66 ■ EngineeringMathematics ANSWERS TO EXERCISE 3.8 2. (a) Increases ∀ ∈ x R 6. Decreases (b) Increases in (−1, 0) and decreases in (0, 1) (c) Increases ∀ ∈ x R 3.5 GENERALISED MEAN VALUE THEOREM In many applications it is useful to approximate a continuous function by a polynomial function which is the simplest continuous function. Taylor’s and Maclaurin’s theorems are important tools which provide such an approximation for real functions. Mean value theorems relate the value of the functions and its first order derivative, where as, Taylor’s and Maclaurin’s theorems generalise this relation to higher order derivatives. Hence these theorems can be considered as “Generalised mean value theorems”. 3.5.1 Taylor’s Theorem with Lagrange’s form of Remainder If f is a real function defined on [ , ] a a h + such that (i) The ( ) n th −1 derivative f n ( ) −1 is continuous on [ , ] a a h + and (ii) The nth derivative f n ( ) exists in [ , ], a a h + then there exists a number u between 0 and 1 such that f a h f a h f a h f a h f a h n f n ( ) ( ) ! ( ) ! ( ) ! ( ) ( )! ( + = + + + + + − − 1 2 3 1 2 3 1 ′ ′′ ′′′ … n n n n a h n f a h − + + 1 0 1 ) ( ) ( ) ! ( ), u u Proof Given f is a real function defined on [ , ] a a h + such that the (n – 1)th derivative f n ( ) −1 is continuous and so, f f f f n , , , ( ) ′ ′′ … −1 are continuous. Consider the function f( ) ( ) ( ) ( ) ( ) ! ( ) ( ) ! ( ) x f x a h x f x a h x f x a h x f x = + + − + + − + + − ′ ′′ ′′′ 2 3 2 3 + + + − − + + − − − … ( ) ( )! ( ) ( ) ! ( ) a h x n f x a h x n A n n n 1 1 1 (1) where A is a constant to be determined such that f f ( ) ( ) a a h = + . ⇒ f a h f a h f a h n f a h n A f a h n n n ( ) ! ( ) ! ( ) ( )! ( ) ! ( ( ) + + + + − + = + − − 1 2 1 2 1 1 ′ ′′ … ) ) (2) Since f f f f n , , , ( ) ′ ′′ … −1 are continuous on [ , ] a a h + and a h x a h x a h x n + − + − + − , ( ) , ( ) 2 …, are continuous, we get f is continuous on [ , ] a a h + . M03_ENGINEERING_MATHEMATICS-I _CH03_Part B.indd 66 5/19/2016 5:07:15 PM
  • 290.
    Differential Calculus ■3.67 Further f f f f n , , , ( ) ′ ′′ … −1 and a h x a h x a h x n + − + − + − , ( ) , ( ) 2 … are derivable in ( , ) a a h + and also we get f is derivable in ( , ). a a h + Further f f ( ) ( ). a a h = + So, f satisfies the conditions of Rolle’s theorem. ∴ by Rolle’s theorem, there exists a c a a h ∈ + ( , ) such that ′ = f ( ) . c 0 Since a c a h + , we can write c a h = + u u , . 0 1 ∴ ′ + = f u u ( ) , . a h 0 0 1 Now f′ ′ ′ ′′ ′′ … ( ) ( ) ( ) ( ) ( ) ( ) ( ) ( ) x f x f x a h x f x a h x f x a h x n = − + + − − + − + + + − −2 ( ( )! ( ) ( ) ( )! ( ) ( ) ( ) ( ) ( ) n f x a h x n f x a h x n n n n n − − + − − + + − − − − − − 2 2 1 1 2 1 1 ! ! ( ) ( ) ! ( ) ( )! ( ) ( ) ( ) ( ) f x n a h x n A a h x n f x a h x n n n n n − + − = + − − − + − − − − 1 1 1 1 1 1 ( )! n A − ∴ ′ + = f u ( ) a h 0 ⇒ ( ) ( )! ( ) ( ) ( )! ( ) a h a h n f a h a h a h A n n n n + − − − + − + − − − = − − u u u 1 1 1 1 0 ⇒ ( ) ( )! ( ) ( ) ( )! ( ) h h n f a h h h A n n n n − − + = − − − − u u u 1 1 1 1 ⇒ A f a h n = + ( ) ( ). u Substituting in (2), we get f a h f a h f a h f a h f a h n f n ( ) ( ) ! ( ) ! ( ) ! ( ) ( )! ( + = + + + + + − − 1 2 3 1 2 3 1 ′ ′′ ′′′ … n n n n a h n f a h − + + 1 0 1 ) ( ) ( ) ! ( ), u u This is called Taylor’s theorem. Note (1) The ( ) n th +1 term h n f a h n n ! ( ), ( ) + u u 0 1, is called the Lagrange’s Remainder after n terms in the Taylor’s series expansion of f a h ( ) + and it is denoted by Rn . (2) If n = 1, then we get f a h f a hf a h ( ) ( ) ( ), + = + ′ + u u 0 1 which is Lagrange’s mean value theorem. (3) If we put a h x + = or h x a = − , that is if the interval is taken as [ , ], a x then Taylor’s theorem takes another form M03_ENGINEERING_MATHEMATICS-I _CH03_Part B.indd 67 5/19/2016 5:07:33 PM
  • 291.
    3.68 ■ EngineeringMathematics f x f a x a f a x a f a x a f a x ( ) ( ) ( ) ! ( ) ( ) ! ( ) ( ) ! ( ) ( = + − + − + − + + 1 2 3 2 3 ′ ′′ ′′′ … − − − + − + − − − a n f a x a n f a x a n n n n ) ( )! ( ) ( ) ! ( ( )) ( ) ( ) 1 1 1 0 1 u u This is called Taylor’s formula about the point a. If the reminder Rn → 0 as n → ∞, we get Taylor’s series. 3.5.2 Taylor’s Series If f is a real function defined on [ , ] a a h + such that (i) f has derivatives of all orders in the interval [ , ] a a h + and (ii) the remainder after n terms R h n f a h n n n n = + → → ∞ ! ( ) , ( ) u 0 as then f a h f a h f a h f a h n f a n n ( ) ( ) ! ( ) ! ( ) ! ( ) ( ) + = + + + + + ∞ 1 2 2 ′ ′′ … … This infinite series is called Taylor’s series. Taylor’s series about the point a is f x f a x a f a x a f a x a n f a n n ( ) ( ) ( ) ! ( ) ( ) ! ( ) ( ) ! ( ) ( ) = + − + − + + − + ∞ 1 2 2 ′ ′′ … … Instead of the interval [ , ] a a h + , if the interval is [0, x], then we get Maclaurin’s theorem and Maclaurin’s series. 3.5.3 Maclaurin’s Theorem with Lagrange’s Form of Remainder If f is a real function defined on [0, x] such that (i) The ( ) n −1 th derivative f n ( ) −1 is continuous on [ , ] 0 x and (ii) The nth derivative f n ( ) exists in [ , ] 0 x , then there exists a number u between 0 and 1 such that f x f x f x f x n f x n f n n n ( ) ( ) ! ( ) ! ( ) ( )! ( ) ! ( ) ( = + ′ + ′′ + + − + − − 0 1 0 2 0 1 0 2 1 1 … n n x ) ( ), u u 0 1 . If the reminder term Rn → 0 as n → ∞, we get Maclaurin’s series. 3.5.4 Maclaurin’s Series If f is a real function defined on [ , ] 0 x such that (i) f has derivatives of all orders and (ii) the reminder term R x n f h n n n = → ! ( ) ( ) u 0 as n → ∞, M03_ENGINEERING_MATHEMATICS-I _CH03_Part B.indd 68 5/19/2016 5:07:46 PM
  • 292.
    Differential Calculus ■3.69 then f x f x f x f x n f n n ( ) ( ) ! ( ) ! ( ) ! ( ) ( ) = + + +⋅⋅⋅+ +⋅⋅⋅ 0 1 0 2 0 0 2 ′ ′′ This infinite series is called Maclaurin’s series. It is also known as the Maclaurin’s series expansion for f x ( ) in powers of x. Remark: (1) It should be noted that technically there is no distinction betweenTaylor’s and Maclaurin’s series. Each of which seeks to express the value of the function at any point (in an interval) interms of the value of the various derivatives of the function at another point and the distance between the two points. (2) In order to expand a given function as an infinite series using Taylor’s series or Maclaurin’s series, it is necessary to verify Rn → 0 as n → ∞. However in practical situations we will be dealing with functions involving trigonometric, exponential, logarithmic or algebraic functions which satisfy this condition. Hence, we obtain the expansion formally assuming this condition. WORKED EXAMPLES EXAMPLE 1 Expand sin x as a finite series in powers of x, with remainder in Lagrange’s form. Hence find the series for sin x. Solution. Let f x x ( ) sin = . ∴ ′ = = + ⎛ ⎝ ⎜ ⎞ ⎠ ⎟ f x x x ( ) cos sin p 2 , ′′ = − = + ⎛ ⎝ ⎜ ⎞ ⎠ ⎟ f x x x ( ) sin sin 2 2 p ′′′ = − = + ⎛ ⎝ ⎜ ⎞ ⎠ ⎟ f x x x ( ) cos sin , 3 2 p …, f x n x n ( ) ( ) sin = + ⎛ ⎝ ⎜ ⎞ ⎠ ⎟ p 2 . By Maclaurin’s theorem with Lagrange’s reminder, we have f x f x f x f x n f x n n n n ( ) ( ) ! ( ) ! ( ) ( )! ( ) ! ( ) = + + +⋅⋅⋅+ − + − − 0 1 0 2 0 1 0 2 1 1 ′ ′′ f f x n ( ) ( ), u u 0 1 ⇒ sin sin( ) ! sin ! sin ! sin x x x x = + + ⎛ ⎝ ⎜ ⎞ ⎠ ⎟ + + ⎛ ⎝ ⎜ ⎞ ⎠ ⎟ + 0 1 2 0 2 2 2 0 3 3 2 2 3 p p p + + ⎛ ⎝ ⎜ ⎞ ⎠ ⎟ + 0 … + − − + ⎛ ⎝ ⎜ ⎞ ⎠ ⎟ + + ⎛ ⎝ ⎜ ⎞ ⎠ ⎟ − x n n x n n x n n 1 1 1 2 0 2 0 1 ( )! sin ( ) ! sin , p p u u = − + − + − − ⎛ ⎝ ⎜ ⎞ ⎠ ⎟ + + ⎛ ⎝ ⎜ − x x x x n n x n n x n n 3 5 1 3 5 1 1 2 2 ! ! ( )! sin ( ) ! sin … p p u ⎞ ⎞ ⎠ ⎟ , . 0 1 u Here R x n n x n n = + ⎛ ⎝ ⎜ ⎞ ⎠ ⎟ ! sin p u 2 and f is in [ , ] 0 x . ∴ R x n n x x n n n n = + ⎛ ⎝ ⎜ ⎞ ⎠ ⎟ ≤ ! sin ! p u 2 , since sin n x p u 2 1 + ⎛ ⎝ ⎜ ⎞ ⎠ ⎟ ≤ . M03_ENGINEERING_MATHEMATICS-I _CH03_Part B.indd 69 5/19/2016 5:07:59 PM
  • 293.
    3.70 ■ EngineeringMathematics Let u x n n n = ! , then u x n n n + + = + 1 1 1 ( )! . ∴ u u x n n x x n n n n n + + = + ⋅ = + 1 1 1 1 ( )! ! ( ) ∴ lim lim n n n n u u x n →∞ + →∞ = + = 1 1 0 ∴ lim n n u →∞ = 0. [by the result quoted below] Hence, Rn → 0 as n → ∞ ∴ sin ! ! ! x x x x x = − + − + 3 5 7 3 5 7 … Result: If { } un is a sequence such that lim , n n n u u l l →∞ + = 1 0 1, then lim n n u →∞ = 0. EXAMPLE 2 Find the Taylor’s series expansion of cos x about x 5 p 4 . Solution. Let f(x) = cosx The Taylor’s series expansion of f(x) about x = p 4 is f(x) = f p 4 ⎛ ⎝ ⎜ ⎞ ⎠ ⎟ + 1 1! x − ⎛ ⎝ ⎜ ⎞ ⎠ ⎟ p 4 f ′ p 4 ⎛ ⎝ ⎜ ⎞ ⎠ ⎟ + 1 2! x − ⎛ ⎝ ⎜ ⎞ ⎠ ⎟ p 4 2 f ″ p 4 ⎛ ⎝ ⎜ ⎞ ⎠ ⎟ + 1 3 4 3 ! x − ⎛ ⎝ ⎜ ⎞ ⎠ ⎟ p f ′″ p 4 ⎛ ⎝ ⎜ ⎞ ⎠ ⎟ x f p p 1 4 4 4 4 4 + − ⎛ ⎝ ⎜ ⎞ ⎠ ⎟ ⎛ ⎝ ⎜ ⎞ ⎠ ⎟ ! ( ) + … we have f(x) = cosx , f ′ p 4 ⎛ ⎝ ⎜ ⎞ ⎠ ⎟ = cos p 4 ⎛ ⎝ ⎜ ⎞ ⎠ ⎟ = 1 2 f(x) = −sin x, f ′ p 4 ⎛ ⎝ ⎜ ⎞ ⎠ ⎟ = −sin p 4 ⎛ ⎝ ⎜ ⎞ ⎠ ⎟ = − 1 2 f x ″( ) = −cosx, f ″ p 4 ⎛ ⎝ ⎜ ⎞ ⎠ ⎟ = − cos p 4 ⎛ ⎝ ⎜ ⎞ ⎠ ⎟ = − 1 2 f x ″′( ) = sinx, f ″′ p 4 ⎛ ⎝ ⎜ ⎞ ⎠ ⎟ = sin p 4 ⎛ ⎝ ⎜ ⎞ ⎠ ⎟ = 1 2 f(4) (x) = cosx, f(4) p 4 ⎛ ⎝ ⎜ ⎞ ⎠ ⎟ = cos p 4 ⎛ ⎝ ⎜ ⎞ ⎠ ⎟ = 1 2 and so on ∴ Taylor’s series is f x ( ) = 1 2 + x x x − ⎛ ⎝ ⎜ ⎞ ⎠ ⎟ − ⎛ ⎝ ⎜ ⎞ ⎠ ⎟ + − ⎛ ⎝ ⎜ ⎞ ⎠ ⎟ − ⎛ ⎝ ⎜ ⎞ ⎠ ⎟ + − ⎛ ⎝ ⎜ ⎞ ⎠ ⎟ p p p 4 1 2 4 2 1 2 1 3 4 1 2 3 ! ! 2 2 1 4 4 1 2 4 ⎛ ⎝ ⎜ ⎞ ⎠ ⎟ + − ⎛ ⎝ ⎜ ⎞ ⎠ ⎟ ⎛ ⎝ ⎜ ⎞ ⎠ ⎟ ! ... x p ⇒ sinx = 1 2 1 4 1 2 4 1 3 4 1 4 4 2 3 − − ⎛ ⎝ ⎜ ⎞ ⎠ ⎟ − − ⎛ ⎝ ⎜ ⎞ ⎠ ⎟ + − ⎛ ⎝ ⎜ ⎞ ⎠ ⎟ + − ⎛ ⎝ ⎜ ⎞ ⎠ ⎟ x x x x p p p p ! ! ! 4 4 − ⎡ ⎣ ⎢ ⎢ ⎤ ⎦ ⎥ ⎥ ... M03_ENGINEERING_MATHEMATICS-I _CH03_Part B.indd 70 5/19/2016 5:08:28 PM
  • 294.
    Differential Calculus ■3.71 EXAMPLE 3 Using Taylor’s theorem, prove that x x x x x x 2 2 1 3 3 5 6 sin 6 120 for x 0. Solution. Let f x x ( ) sin . = To prove x x x x x x − − + 3 3 5 6 6 120 sin for x 0 For proving this inequality in terms of x, we consider Maclaurin’s formula upto third and fifth degree terms with Lagrange’s reminder. Maclaurin’s series upto the third term with Lagrange’s reminder is f x f x f x f x f x ( ) ( ) ! ( ) ! ( ) ! ( ) = + + + 0 1 0 2 0 3 2 3 1 ′ ′′ ′′′ u , 0 1 1 u We have f x x ( ) sin = , f ( ) sin 0 0 0 = = ∴ ′ = f x x ( ) cos , ′ = = f ( ) cos 0 0 1 ′′ = − f x x ( ) sin , ′′ = − = f ( ) sin 0 0 0 ′′′ = − f x x ( ) cos , ′′′ = − = − f ( ) cos 0 0 1 f x x ( ) ( ) sin 4 = , f ( ) ( ) sin 4 0 0 0 = = f x x ( ) ( ) cos 5 = , f ( ) ( ) cos 5 0 0 1 = = and f x x ( ) ( ) sin 6 = − , f ( ) ( ) sin 6 0 0 0 = − = ∴ sin ! ! ! ( cos ) x x x x x = + ⋅ + ⋅ + − 0 1 1 2 0 3 2 3 1 u = − x x x 3 1 6 cos ( ) u . We have for x x x x − − 0 3 6 3 1 3 , ! cosu [whether cosu1x is +ve or –ve] ⇒ x x x x x − − 3 1 3 6 6 cosu ⇒ sin x x x ≥ − 3 6 (1) Also Maclaurin’s series up to fifth degree term with Lagrange’s reminder is f x f x f x f x f ( ) ( ) ! ( ) ! ( ) ! ( ) = + + + 0 1 0 2 0 3 0 2 3 ′ ′′ ′′′ + + x f x f x 4 4 5 5 2 2 4 0 5 0 1 ! ( ) ! ( ), ( ) ( ) u u ⇒ sin ( ) ! ( ) ! ( ) ! ( ) ! (cos ), x x x x x x x = + + + + − + + 0 1 2 0 3 1 4 0 5 0 1 2 3 4 5 2 2 u u = − + x x x x 3 5 2 2 6 120 0 1 cos , u u We have − ≤ ≤ 1 1 2 cosu x and x 0. ∴ x x x 5 2 5 120 120 cosu ≤ M03_ENGINEERING_MATHEMATICS-I _CH03_Part B.indd 71 5/19/2016 5:08:56 PM
  • 295.
    3.72 ■ EngineeringMathematics ∴ x x x x x x x − + ≤ − + 3 5 2 3 5 6 120 6 120 cosu ∴ sin x x x x ≤ − + 3 5 6 120 (2) From (1) and (2), we get x x x x x x − ≤ ≤ − + 3 3 5 6 6 120 sin . But equality holds only when x = 0 . ∴ x x x x x x − − + 3 3 5 6 6 120 sin for x 0. EXAMPLE 4 Showthat log (1 ) log 2 2 8 192 2 4 e x e e x x x 1 5 1 1 2 1…andhencededucethat e e x x x x 1 1 2 4 48 3 1 5 1 2 1… Solution. Let f x e e x ( ) log ( ) = + 1 Maclaurin’s series for f x ( ) is f x f x f x f x f x f ( ) ( ) ! ( ) ! ( ) ! ( ) ! ( ) ( ) = + + + + + 0 1 0 2 0 3 0 4 0 2 3 4 4 ′ ′ ′′′ … (1) we have f x e e x ( ) log ( ) = + 1 ∴ f x e e x x ′( ) = + ⋅ 1 1 f x e e e e e x x x x x ′′ ⋅ ( ) ( ) ( ) = + − + 1 1 2 = + − + = + e e e e e e x x x x x x 2 2 2 2 1 1 ( ) ( ) . ′′′ = + ⋅ − + ⋅ + f x e e e e e e x x x x x x ( ) ( ) ( ) ( ) 1 2 1 1 2 4 = + + − + ( ) [ ] ( ) 1 1 2 1 4 e e e e e x x x x x ⇒ f x e e e e e e x x x x x x ′′′( ) ( ) ( ) ( ) = − + = − + 1 1 1 3 2 3 and f x e e e e e e e e x x x x x x x x ( ) ( ) ( ) [ ] ( ) ( ) ( ) 4 3 2 2 2 6 1 2 3 1 1 = + − − − + ⋅ + ⋅ = + + − − − + ( ) [( )( ) ( )] ( ) 1 1 2 3 1 2 2 2 6 e e e e e e e e x x x x x x x x ⇒ f x e e e e e e e x x x x x x x ( ) ( ) ( )( ) ( ) ( ) 4 2 2 4 1 2 3 1 = + − − − + . ∴ f e e ( ) log ( ) log 0 1 1 2 = + = , f ′( ) 0 1 1 1 1 2 = + = , f ′′( ) ( ) 0 1 1 1 1 4 2 = + = f ′′′( ) ( ) , 0 1 1 1 1 0 3 = − + = f ( ) ( ) ( )[ ] ( ) ( ) 4 4 0 1 1 1 2 3 1 1 1 1 1 2 16 1 8 = + − − − + = − = − ⋅ . M03_ENGINEERING_MATHEMATICS-I _CH03_Part B.indd 72 5/19/2016 5:09:15 PM
  • 296.
    Differential Calculus ■3.73 ∴ (1) becomes, f x x x x x e ( ) log ! ! ! ! = + ⋅ + ⋅ + × + − ⎛ ⎝ ⎜ ⎞ ⎠ ⎟ + 2 1 1 2 2 1 4 3 0 4 1 8 2 3 4 … ⇒ log ( ) log e x e e x x x 1 2 2 8 192 2 4 + = + + − +… (2) To deduce the expansion of e e x x 1+ , differentiate (2) w.r.to x, ∴ e e x x x x 1 1 2 2 8 4 192 3 + = + − +… ⇒ e e x x x x 1 1 2 4 48 3 + = + − +…. EXAMPLE 5 Using the fact d dx x x (sin ) (1 ) 1 2 1/ 2 2 2 5 2 and the binomial series, obtain the first four non−zero terms of the Taylor’s series for sin 1 2 x and hence obtain the first five non−zero terms of the Taylor’s series for cos 1 2 x. Solution. Given d dx x x (sin ) ( ) − − = − 1 2 1 2 1 = + + + ⎛ ⎝ ⎜ ⎞ ⎠ ⎟ + + ⎛ ⎝ ⎜ ⎞ ⎠ ⎟ + ⎛ ⎝ ⎜ ⎞ ⎠ ⎟ + 1 1 2 1 2 1 2 1 2 1 2 1 2 1 1 2 2 3 2 2 2 2 3 x x x ! ( ) ! ( ) … …, x 1 ⇒ d dx x x x x (sin ) − = + + ⋅ ⋅ + ⋅ ⋅ ⋅ ⋅ + 1 2 4 6 1 2 1 3 2 4 1 3 5 2 4 6 … (1) Integrating (1) w.r.to x, we get sin− = + + ⋅ + ⋅ ⋅ + ⋅ ⋅ ⋅ ⋅ + 1 3 5 7 2 3 1 3 2 4 5 1 3 5 2 4 6 7 x c x x x x … When x x c = = ∴ = − 0 0 0 1 , sin ∴ sin− = + + ⋅ ⋅ + ⋅ ⋅ ⋅ ⋅ + 1 3 5 7 1 2 3 1 3 2 4 5 1 3 5 2 4 6 7 x x x x x … We know that sin cos − − + = 1 1 2 x x p . ⇒ cos sin − − = − 1 1 2 x x p = − + + ⋅ ⋅ + ⋅ ⋅ ⋅ ⋅ + ⎡ ⎣ ⎢ ⎤ ⎦ ⎥ p 2 1 2 3 1 3 2 4 5 1 3 5 2 4 6 7 3 5 7 x x x x … = − − − ⋅ ⋅ − ⋅ ⋅ ⋅ ⋅ − p 2 1 2 3 1 3 2 4 5 1 3 5 2 4 6 7 3 5 7 x x x x … M03_ENGINEERING_MATHEMATICS-I _CH03_Part B.indd 73 5/19/2016 5:09:25 PM
  • 297.
    3.74 ■ EngineeringMathematics EXERCISE 3.9 1. Find the Taylor’s series expansion of loge sin x about x = 3 [or in powers of (x − 3]. 2. Find the Taylor’s series expansion of sin x about x = p 4 . 3. Write down the Taylor’s series up to x4 for tan x + ⎛ ⎝ ⎜ ⎞ ⎠ ⎟ p 4 . 4. Expand f x x x e x ( ) sin = − − 2 2 by Taylor’s formula up to x4 . 5. Prove that 1 2 1 2 0 2 2 + + ≤ ≤ + + ≥ x x e x x e x x x for . 6. If f x x x e ( ) log ( ), = + 1 0 using Maclaurin’s theorem, then show that for 0 1 u . log ( ) ( ) e x x x x x 1 2 3 1 2 3 3 + = − + + u . Deduce that log ( ) ( ) e x x x x x 1 2 3 1 2 3 3 + − + + u for x ≥ 0. 7. Write down Maclaurin’s formula for the function f x x ( ) = + 1 with Lagrange’s reminder R3. Estimate the error in the approximation 1 1 2 8 2 + + − x x x ~ when x = 0 2 . . 8. Using Maclaurin’s series expand tanx up to the term containing x5 . 9. Write Taylor’s series for f x x ( ) ( ) = − 1 5 2 with Lagrange’s form of remainder up to 3 terms in the interval [ , ] 0 1 10. Apply Taylor’s theorem to express x about the point x = 1, up to third degree. 11. Expand loge x as a Taylor’s series in powers of ( ) x −1 and hence evaluate log . e 1 1 to 4 places of decimals. 12. Calculate the approximate value of 10 to four decimal places using Taylor’s series. ANSWERS TO EXERCISE 3.9 1. loge sinx = loge sin3 + cot3(x – 3) − cos ( ) cos cot ( ) ec ec 2 2 2 3 3 3 3 3 3 3 3 x x − + − cos ( cot ) ( ec2 2 3 1 3 3 12 3 x − + − ) )4 +… 2. sinx = 1 2 1 4 1 2 4 1 3 4 1 4 4 2 3 + − ⎛ ⎝ ⎜ ⎞ ⎠ ⎟ − − ⎛ ⎝ ⎜ ⎞ ⎠ ⎟ − − ⎛ ⎝ ⎜ ⎞ ⎠ ⎟ + − ⎛ ⎝ ⎜ ⎞ ⎠ ⎟ x x x x p p p p ! ! ! 4 4 + ⎡ ⎣ ⎢ ⎢ ⎤ ⎦ ⎥ ⎥ … 3. tanx x + ⎡ ⎣ ⎢ ⎤ ⎦ ⎥ p 4 = 1 + 2x + 2x2 + 8 3 x3 + 10 3 x4 +… 4. f x x x ( ) = − + 3 4 5 6 … 6. log ( ) e x x x x 1 2 3 2 3 + = − + for x ≥ 0. M03_ENGINEERING_MATHEMATICS-I _CH03_Part B.indd 74 5/19/2016 5:09:43 PM
  • 298.
    Differential Calculus ■3.75 7. the error is less than 1 2 103 . 8. tan x x x x = + + 3 2 3 2 15 9. ( ) ! ( ) ! , 1 1 5 2 15 4 2 15 8 1 1 3 0 1 5 2 2 1 2 3 − = − + ⋅ − − x x x x x u u 10. x x x x x x = + − ( )− − ( ) + − ( ) − + − [ ] ⋅ − − 1 1 2 1 1 4 1 2 3 8 1 3 15 16 1 1 1 2 3 7 2 4 ! ! ( ) ( ) u 4 4 0 1 ! , . u 11. 0 0953 . 12. 3 1623 . 3.5.5 Expansion by Using Maclaurin’s Series of Some Standard Functions Sometimes for a given function f obtaining the derivatives f f f ′, ′′ ′′′ … , , would be difficult for writing the Maclaurin’s series. In such cases, we use Maclaurin’s series expansion of some standard functions, when we require few terms of the resulting series. We list the Maclaurin’s series expension of some of the standard functions. 1. ( ) ( ) ! ( )( ) ! , 1 1 1 2 1 2 3 1 2 3 + = + + − + − − + x nx n n x n n n x x n … 2. e x x x x R x = + + + + ∈ 1 1 2 3 2 3 ! ! ! , … 3. log ( ) , e x x x x x x 1 2 3 4 1 2 3 4 + = − + − + … 4. sin ! ! ! x x x x x = − + − + 3 5 7 3 5 7 … 5. cos ! ! x x x x = − + − + 1 2 4 6 2 4 6 … 6. sinh ! ! x x x x = + + + 3 5 3 5 … 7. cosh ! ! x x x = + + + 1 2 4 2 4 … 8. tan ! ! − = − + + 1 3 5 3 5 x x x x … 9. sin , − = + + ⋅ ⋅ + ⋅ ⋅ ⋅ ⋅ + 1 3 5 7 1 2 3 1 3 2 4 5 1 3 5 2 4 6 7 x x x x x … −1 ≤ x ≤ 1 10. cos , − = − − − ⋅ ⋅ − ⋅ ⋅ ⋅ ⋅ − 1 3 5 7 2 1 2 3 1 3 2 4 5 1 3 5 2 4 6 7 x x x x x p … −1 ≤ x ≤ 1 WORKED EXAMPLES EXAMPLE 1 Expand log (1 sin ) 2 6 12 2 3 4 e x x x x x 1 5 2 1 2 1…. M03_ENGINEERING_MATHEMATICS-I _CH03_Part B.indd 75 5/19/2016 5:09:54 PM
  • 299.
    3.76 ■ EngineeringMathematics Solution. We know that log ( ) e x x x x x x x 1 2 3 4 5 1 2 3 4 5 + = − + − + + … ∴ log ( sin ) sin (sin ) (sin ) (sin ) (sin) e x x x x x 1 2 3 4 5 2 3 4 5 + = − + − + +… {sin x ≤ ⎡ ⎣ ⎤ ⎦ 1 = − + − − − + − ⎛ ⎝ ⎜ ⎞ ⎠ ⎟ + − + − ⎛ ⎝ ⎜ ⎞ ⎠ x x x x x x x x x 3 5 2 5 2 2 5 3 5 1 2 3 5 1 3 3 5 ! ! ! ! ! ! … … … ⎟ ⎟ − − + − ⎛ ⎝ ⎜ ⎞ ⎠ ⎟ + 3 2 5 4 1 4 3 5 x x x ! ! … … = − + − − − ⋅ + ⎛ ⎝ ⎜ ⎞ ⎠ ⎟ + − − − = − + x x x x x x x x x 3 5 2 4 3 4 2 6 120 1 2 2 6 1 3 1 4 2 … … … … ( ) ( ) x x x x x x x x x 3 3 4 4 2 3 4 3 6 6 4 2 6 12 − + − + = − + − + … … EXAMPLE 2 Show that tan 1 1 1 2 3 5 7 1 2 3 5 7 2 1 2 5 2 1 2 1 x x x x x x ⎛ ⎝ ⎜ ⎞ ⎠ ⎟ ⎡ ⎣ ⎢ ⎤ ⎦ ⎥ … . Solution. Let f x x x ( ) tan = + − ⎛ ⎝ ⎜ ⎞ ⎠ ⎟ −1 2 1 1 Put x = tanu. ∴ 1 1 2 2 2 + = + = = x tan sec sec u u u ∴ f x ( ) tan sec tan = − ⎛ ⎝ ⎜ ⎞ ⎠ ⎟ −1 1 u u Now sec tan cos sin cos u u u u u − = − 1 1 1 = − = = = 1 2 2 2 2 2 2 2 2 2 cos sin sin sin cos sin cos tan u u u u u u u u ∴ f x x ( ) tan tan tan = ⎛ ⎝ ⎜ ⎞ ⎠ ⎟ = = − − 1 1 2 2 1 2 u u ⇒ f x x x x x ( ) . = − + − + ⎡ ⎣ ⎢ ⎤ ⎦ ⎥ 1 2 3 5 7 3 5 7 … ⇒ tan . − + − ⎛ ⎝ ⎜ ⎞ ⎠ ⎟ = − + − + ⎡ ⎣ ⎢ ⎤ ⎦ ⎥ 1 2 3 5 7 1 1 1 2 3 5 7 x x x x x x … M03_ENGINEERING_MATHEMATICS-I _CH03_Part B.indd 76 5/19/2016 5:10:10 PM
  • 300.
    Differential Calculus ■3.77 EXAMPLE 3 Show that e x x x x x n x n n cos 1 2 cos 4 2! 2 cos 2 4 3! 2 cos 3 4 ! 2 1/ 2 2 3 3/ 2 / 5 1 p 1 p 1 p 1 1 ⋅ ⋅ … 2 2 cos 4 np 1 ⎛ ⎝ ⎜ ⎞ ⎠ ⎟ …. Solution. Let f x e x x ( ) cos = = + ⎡ ⎣ ⎢ ⎤ ⎦ ⎥ − e e e x ix ix 2 = + + − 1 2 1 1 [ ] ( ) ( ) e e x i x i f x i e i e x i x i 9( ) [( ) ( ) ] ( ) ( ) = + + − + − 1 2 1 1 1 1 f x i e i e x i x i ′′( ) [( ) ( ) ] ( ) ( ) = + + − + − 1 2 1 1 2 1 2 1 f x i e i e x i x i ′′′( ) [( ) ( ) ] ( ) ( ) = + + − + − 1 2 1 1 3 1 3 1 : : f x i e i e n n x i n x i ( ) ( ) ( ) ( ) [( ) ( ) ] = + + − + − 1 2 1 1 1 1 ∴ f i i n n n ( ) ( ) [( ) ( ) ] 0 1 2 1 1 = + + − But 1 2 4 4 + = + ⎡ ⎣ ⎢ ⎤ ⎦ ⎥ i i cos sin p p and ( ) cos sin 1 2 4 4 2 + = + ⎡ ⎣ ⎢ ⎤ ⎦ ⎥ i n i n n n p p For, let 1+ = + i r i (cos sin ) u u . ∴r r cos sin u u = = 1 1 and ⇒ r r r 2 2 2 2 2 2 2 2 2 cos sin (cos sin u u u u + = ⇒ + = ) ⇒ r r 2 2 2 = ⇒ = and tanu u p = ⇒ = 1 4 ∴ 1 2 4 4 + = + ⎡ ⎣ ⎢ ⎤ ⎦ ⎥ i i cos sin p p and ( ) cos sin 1 2 4 4 2 + = + ⎡ ⎣ ⎢ ⎤ ⎦ ⎥ i n i n n n p p [by De−movire’s theorem] Similarly, ( ) cos sin 1 2 4 4 2 − = − ⎡ ⎣ ⎢ ⎤ ⎦ ⎥ i n i n n n p p ∴ f n i n n i n n n n ( ) / / ( ) cos sin cos sin 0 1 2 2 4 4 2 4 4 2 2 = + ⎫ ⎬ ⎭ + − ⎫ ⎬ ⎭ ⎧ ⎨ ⎩ ⎧ ⎨ p p p p ⎩ ⎩ ⎡ ⎣ ⎢ ⎢ ⎤ ⎦ ⎥ ⎥ = + + − ⎫ ⎬ ⎭ ⎧ ⎨ ⎩ = 1 2 2 4 4 4 4 1 2 2 2 2 2 ⋅ ⋅ ⋅ n n n i n n i n n / / cos sin cos sin cos p p p p p 4 4 ⇒ f n n n ( ) / ( ) cos 0 2 4 2 = p M03_ENGINEERING_MATHEMATICS-I _CH03_Part B.indd 77 5/19/2016 5:10:30 PM
  • 301.
    3.78 ■ EngineeringMathematics Maclaurin’s series is f x f x f x f x f x n f n n ( ) ( ) ! ( ) ! ( ) ! ( ) ! ( ) = + + + + + + 0 1 0 2 0 3 0 0 2 3 ′ ′′ ′′′ ⋅⋅⋅ ⋅⋅⋅ ⋅ But f(0) = 1. ∴ f f f f n ′ ′′ ′′′ ⋅⋅⋅ ( ) cos , ( ) cos , ( ) cos , , ( / / ( ) 0 2 4 0 2 4 0 2 3 4 12 3 2 = = = p p p 0 0 2 4 2 ) cos / = n np ∴ e x x x x x n x n n cos ! cos ! cos ! cos ! / / / = + + + + + 1 1 2 4 2 2 2 4 3 2 3 4 2 1 2 2 3 3 2 p p p … 2 2 4 cos np +… 3.5.6 Expansion of Certain Functions Using differential Equations WORKED EXAMPLES EXAMPLE 1 Expand cos( sin ) 1 m x 2 as a power series. Solution. Let y = cos( sin ) m x −1 (1) Differentiating w.r.to x, we get y m x m x 1 1 2 1 = − − − sin( sin ). ⇒ 1 2 1 1 − = − − x y m m x sin( sin ). Squaring, ( ) ( ) sin ( sin ) 1 2 1 2 2 2 1 − = − − x y m m x = − − m m x 2 2 1 1 [ cos ( sin )] ⇒ ( ) ( ) 1 1 2 1 2 2 2 − = − x y m y (2) Differentiating w.r.to x, we get ( ) ( ) ( ) 1 2 2 2 2 1 2 1 2 2 1 − + − = − x y y y x m yy ⇒ 2 1 2 2 2 1 2 1 2 2 1 ( ) − − = − x y y xy m yy Dividing by 2y1 , we get ( ) 1 2 2 1 2 − − = − x y xy m y ⇒ ( ) 1 0 2 2 1 2 − − + = x y xy m y (3) Differentiating n times using Leibnitz’s theorem, we get ( ) ( ) ( ) { } 1 2 2 1 0 2 2 1 1 2 1 1 2 − + − + − − + + = + + + x y nC x y nC y xy nC y m y n n n n n n ⋅ ⋅ ⇒ ( ) ( ) 1 2 2 1 2 0 2 2 1 1 2 − + − − − − + = + + + x y nxy n n y xy ny m y n n n n n n 1⋅ M03_ENGINEERING_MATHEMATICS-I _CH03_Part B.indd 78 5/19/2016 5:10:39 PM
  • 302.
    Differential Calculus ■3.79 ⇒ ( ) ( ) ( ) 1 2 1 0 2 2 1 2 2 − − + + − − + + = + + x y n xy n n n m y n n n ⇒ ( ) ( ) ( ) 1 2 1 0 2 2 1 2 2 − − + − − = + + x y n xy n m y n n n (4) Putting x = 0, we get y(0) = cos (0) = 1 ∴ y m 1 0 0 1 0 0 ( ) sin = − − = From (3), we get ( ) ( ) ( ) 1 0 0 0 0 0 2 2 − − + = y m y ⇒ y m y m 2 2 2 0 0 ( ) ( ) = − = − From (4), we get ( ) ( ) ( ) ( ) 1 0 0 0 0 0 2 2 2 − − − − = + y n m y n n ⇒ y n m y n n + = − 2 2 2 0 0 ( ) ( ) ( ) (5) Putting n = 1, 2, 3, 4, … in (5), we get y m y 3 2 1 0 1 0 0 ( ) ( ) ( ) = − = y m y m m m m 4 2 2 2 2 2 2 2 2 2 0 2 0 2 2 ( ) ( ) ( ) ( )( ) ( ) = − = − − = − y m y 5 2 2 3 0 3 0 0 ( ) ( ) ( ) = − = y m y 6 2 2 4 0 4 0 ( ) ( ) ( ) = − = − − = − − − ( ) ( ) ( )( ) 4 2 2 4 2 2 2 2 2 2 2 2 2 2 m m m m m m and so on. ∴ Maclaurin’s series for y = f(x) is f x f x f x f x f x f x ( ) ( ) ! ( ) ! ( ) ! ( ) ! ( ) ! ( ) = + + + + + 0 1 0 2 0 3 0 4 0 5 2 3 4 4 5 ′ ′′ ′′′ f f x f ( ) ( ) ( ) ! ( ) 5 6 6 0 6 0 + +⋅⋅⋅ ⇒ cos( sin ) ( ) ! ( ) ! ( ) ! ( ) ! ( ) m x y x y x y x y x y x − = + + + + + 1 1 2 2 3 3 4 4 0 1 0 2 0 3 0 4 0 5 5 5 6 6 5 0 6 0 ! ( ) ! ( ) y x y + +⋅⋅⋅ = + + − + + − + + − 1 1 0 2 3 0 4 2 5 0 6 2 2 3 4 2 2 2 5 6 2 2 x x m x x m m x x m m ! ! ( ) ! ! ( ) ! ! [ ( × × × − − − + 2 4 2 2 2 )( )] m ⋅⋅⋅ ⇒ cos( sin ) ! ( ) ! ( )( ) ! m x m x m m x m m m x − = − + − − − − + 1 2 2 2 2 2 4 2 2 2 2 2 6 1 2 2 4 2 4 6 ⋅⋅ ⋅⋅ Note Deduce the series for cos mu Put u u = ⇒ = − sin sin 1 x x ∴ cos( ) ! sin ( ) ! sin ( )( ) ! sin m m m m m m m u u u = − + − − − − 1 2 2 4 2 4 6 2 2 2 2 2 4 2 2 2 2 2 6 6 u +⋅⋅⋅ EXAMPLE 2 Expand sin[ln ( 2 1)] 2 x x 1 1 as a power series using Maclaurin’s series up to x5 . M03_ENGINEERING_MATHEMATICS-I _CH03_Part B.indd 79 5/19/2016 5:10:51 PM
  • 303.
    3.80 ■ EngineeringMathematics Solution. Let y x x = + + sin[ln( )] 2 2 1 (1) ⇒ y x = + sin[ln( ) ] 1 2 = + sin[ ln( )] 2 1 x Differentiating w.r.to x, ⇒ y x x 1 2 1 2 1 = + + cos[ ln( )]⋅ (2) ⇒ ( ) cos[ ln( )] x y x + = + 1 2 2 1 1 Squaring, ( ) cos [ ln( )] x y x + = + 1 4 2 1 2 1 2 2 = − + 4 1 2 1 2 [ sin ( ln( ))] x ( ) [ ]. x y y + = − 1 4 1 2 1 2 2 Differentiating w.r.to x, we get ( ) ( ) ( ) x y y y x yy + + + = − 1 2 2 1 4 2 2 1 2 1 2 1 ⋅ ⇒ 2 1 2 1 8 2 1 2 1 2 1 ( ) ( ) x y y x y yy + + + = − ⇒ ( ) ( ) x y x y y + + + = − 1 1 4 2 2 1 [dividing by 2y1 ] ⇒ ( ) ( ) x y x y y + + + + = 1 1 4 0 2 2 1 (3) Differentiating n times, using Leibnitz’s formula, we get ( ) ( ) ( ) x y nC x y nC y x y nC y y n n n n n n + + + + + + + + = + + + 1 2 1 2 1 1 4 0 2 2 1 1 2 1 1 ⋅ ⋅ ⇒ ( ) ( ) ( ) ( ) x y n x y n n y x y ny y n n n n n n + + + + − + + + + = + + + 1 2 1 2 1 1 2 1 4 0 2 2 1 1 ⋅ ⋅ ⇒ ( ) ( )( ) ( ( ) ) x y n x y n n n y n n n + + + + + − + + = + + 1 2 1 1 1 4 0 2 2 1 ⇒ ( ) ( )( ) ( ) x y n x y n y n n n + + + + + + = + + 1 2 1 1 4 0 2 2 1 2 ⇒ ( ) ( )( ) ( ) x y n x y n y n n n + = − + + − + + + 1 2 1 1 4 2 2 1 2 (4) Put x = 0, then (1) ⇒ y( ) sin[ln( )] sin . 0 1 0 0 = = = (2) ⇒ y1 0 2 1 2 0 1 2 0 2 ( ) cos[ ln( )] cos = + = = ⋅ (3) ⇒ y y y 2 1 0 0 4 0 0 ( ) ( ) ( ) + + = ⇒ y 2 0 2 0 0 ( ) + + = ⇒ = − y2 0 2 ( ) (4) ⇒ y n y n y n n n + + = − + − + 2 1 2 0 2 1 0 4 0 ( ) ( ) ( ) ( ) ( ) (5) M03_ENGINEERING_MATHEMATICS-I _CH03_Part B.indd 80 5/19/2016 5:11:10 PM
  • 304.
    Differential Calculus ■3.81 Putting n = 1, 2, 3, … in (5), we get y y y y 3 2 2 1 2 4 0 2 1 0 1 4 0 3 2 1 4 2 6 10 4 0 ( ) ( ) ( ) ( ) ( ) ( ) ( ) ( ) = − + − + = − − − + = − = − = − − + − + = − − − − = + = = − + ( ) ( ) ( ) ( ) ( ) ( ) ( ) ( ) 4 1 0 2 4 0 5 4 8 2 20 16 36 0 6 1 3 2 2 5 y y y y y y 4 2 3 0 3 4 0 7 36 13 4 252 52 200 ( ) ( ) ( ) ( ) ( ) − + = − − − = − + = − and so on. ∴ Maclaurin’s series for y = f(x) is f x f x f x f x f x f x ( ) ( ) ! ( ) ! ( ) ! ( ) ! ( ) ! ( ) = + + + + + 0 1 0 2 0 3 0 4 0 5 2 3 4 4 5 ′ ′′ ′′′ f f ( ) ( ) 5 0 +… = + + + + + + y x y x y x y x y x y ( ) ! ( ) ! ( ) ! ( ) ! ( ) ! ( ) 0 1 0 2 0 3 0 4 0 5 0 1 2 2 3 3 4 4 5 5 … = + + − + − + + − + 0 1 2 2 2 3 4 4 36 5 200 2 3 4 5 x x x x x ! ! ( ) ! ( ) ! ! ( ) × × … ∴ sin[ln( )] ! ! ! x x x x x x x 2 2 3 4 5 1 2 4 3 36 4 200 5 + + = − − + − +… = − − + − + 2 2 3 3 2 5 3 2 4 5 3 x x x x x … EXERCISE 3.10 I. Using Maclaurin’s series expand the following functions in powers of x. (a) log ( ) e x e 1+ (b) e x sin (c) e x x sec (d) e x x sin (e) x x sin (f) e x x cos (g) log sec e x (h) cos sinh x x II. Forming differential equations prove the following. (a) tan− = − + − 1 3 5 3 5 x x x x … (b) (sin ) ! ! . ! ! − = + + + + 1 2 2 2 4 2 2 6 2 2 2 8 2 2 2 2 4 2 2 4 6 2 2 4 6 8 x x x x x ⋅ ⋅ ⋅ ⋅ ⋅ ⋅ ⋅⋅⋅ (c) e x x x x x x x e log ( ) ! ! ! ! 1 2 2 3 9 5 35 6 2 3 5 6 + = + + + − +⋅⋅⋅ (d) e x x x x x cos cos( sin ) cos ! cos ! cos a a a a a = + + + + 1 2 2 3 3 2 3 ⋅⋅⋅ (e) sin− = + + + + 1 3 5 7 1 2 3 1 3 2 2 5 1 3 5 2 4 6 7 x x x x x ⋅ ⋅ ⋅ ⋅ ⋅ ⋅ ⋅ ⋅⋅⋅ M03_ENGINEERING_MATHEMATICS-I _CH03_Part B.indd 81 5/19/2016 5:11:24 PM
  • 305.
    3.82 ■ EngineeringMathematics ANSWERS TO EXERCISE 3.10 I. (a) log ! ! e x x x 2 1 2 1 4 2 1 8 4 2 4 + + − +⋅⋅⋅ (b) 1 2 3 4 2 4 + + − + x x x ! ! … (c) 1 2 2 4 3 12 4 36 5 2 3 4 5 + + + + + + x x x x x ! ! ! ! ⋅ ⋅ ⋅ … (d) x x x x + + − + 2 2 2 3 4 5 2 3 5 ! ! ! ⋅ ⋅ … (e) 1 6 7 360 2 4 + + + x x … (f) 1 ⋅⋅⋅ + − − + x x x 2 3 2 4 3 2 4 ! ! (g) x x x 2 4 6 2 12 45 + + +… (h) x x x − + − 3 5 3 30 … (f) e ax a x a a x a a x a x sin ! ( ) ! ( ) ! ... − = + + + + + + + 1 1 2 1 3 2 4 2 2 2 3 2 2 2 4 (g) If e a a x a x a x x n n tan− = + + + + + 1 0 1 2 2 … …, then prove that ( ) n a na a n n n + + = + + 2 2 1 . (h) If an is the coefficient of xn in the expansion of ex sin x, then show that a a a a n n n n n n − + − + − − − 1 2 3 1 2 3 2 ! ! ! sin ! . ⋅⋅⋅ = p 3.6 INDETERMINATE FORMS Let f and g be functions defined in a neighbour hood of a, except possibly at a. If lim ( ) x a f x → and lim ( ) x a g x → exist and lim ( ) x a g x → ≠ 0, then lim ( ) ( ) x a f x g x → exists and lim ( ) ( ) lim ( ) lim ( ) x a x a x a f x g x f x g x → → → 5 . If lim ( ) x a g x → = 0 and lim ( ) x a f x → ≠ 0, then the limit does not exist. However, if both the limits are zero. i.e., lim ( ) x a f x → = 0 and lim ( ) x a g x → = 0, then lim ( ) ( ) x a f x g x → is of the form 0 0 , which is a meaningless expression, known as “indeterminate form”. This does not mean that lim ( ) ( ) x a f x g x → does not exist. For example, lim sin x x x →0 is of the form 0 0 , but we know that it has finite limit 1. Other indeterminate forms are ∞ ∞ × ∞ ∞ − ∞ ° ∞ , , , , 0 0 1 and ∞0 . M03_ENGINEERING_MATHEMATICS-I _CH03_Part B.indd 82 5/19/2016 5:11:37 PM
  • 306.
    Differential Calculus ■3.83 These indeterminate forms cannot be evaluated by ordinary methods of limits. A special method was devised by the French mathematician “L’Hopital”, a student of the famous mathematician Johann Bernoulli. Theorem 3.3 L’Hopital’s rule for 0 0 form Let f and g be the two functions defined in a neighbourhood ( , ) a a − + d d of a, except possibly at a, d 0, such that (i) lim ( ) , lim ( ) x a x a f x g x → → = = 0 0 (ii) f and g are differentiable in ( , ) a a − + d d except possibly at a. i.e., f x ′( ) and g x ′( ) exist and g x ′( ) , ≠ 0 for every x a a ∈ − + ( , ) d d , except at x a = and (iii) lim ( ) ( ) x a f x g x → ′ ′ exists, then lim ( ) ( ) lim ( ) ( ) x a x a f x g x f x g x → → = ′ ′ . Proof Given f and g are defined and differentiable in a neighbourhood ( , ) a a − + d d of a, except possibly at x a = . We shall define F and G in ( , ) a a − + d d such that F x f x x a a x a x a ( ) ( ) ( , ) , = ∀ ∈ − + ≠ = ⎧ ⎨ ⎩ d d and when 0 G x g x x a a x a x a ( ) ( ) ( , ) , = ∀ ∈ − + ≠ = ⎧ ⎨ ⎩ d d and when 0 Clearly F and G are continuous and derivable on ( , ) a a − + d d except possibly at a. Now lim ( ) lim ( ) ( ) x a x a F x f x F a → → = = and lim ( ) lim ( ) ( ) x a x a G x g x G a → → = = ∴ F and G are continuous at a also. If x a, then in the interval [ , ] a x , F and G satisfy the conditions of Cauchy’s mean value theorem. ∴ F x F a G x G a F c G c ( ) ( ) ( ) ( ) ( ) ( ) − − = ′ ′ for some c a x ∈( , ) Given F a ( ) = 0 and G a ( ) = 0. ∴ F x G x F c G c ( ) ( ) ( ) ( ) = ′ ′ , a c x We have F x f x ( ) ( ) = and G x g x x a a ( ) ( ) ( , ) = ∀ ∈ + d ∴ F c f c ′ ′ ( ) ( ) = and G c g c ′ ′ ( ) ( ) = { c a x ∈ [ ] ( , ) a − δ a x a + δ M03_ENGINEERING_MATHEMATICS-I _CH03_Part B.indd 83 5/19/2016 5:11:50 PM
  • 307.
    3.84 ■ EngineeringMathematics ∴ we get f x g x f c g c ( ) ( ) ( ) ( ) = ′ ′ . As x a c a → → , ∴ lim ( ) ( ) lim ( ) ( ) x a x a f x g x f x g x → + → + = ′ ′ Given lim ( ) ( ) x a f x g x → + ′ ′ exists. ∴ lim ( ) ( ) x a f x g x → + exists. If x a , similarly, we can prove lim ( ) ( ) lim ( ) ( ) x a x a f x g x f x g x → − → − = ′ ′ . Thus, L ’Hopital’s rule is lim ( ) ( ) lim ( ) ( ) x a x a f x g x f x g x → → = ′ ′ . Note Suppose lim ( ) , lim ( ) x a x a f x g x → → = = ′ ′ 0 0 and f x g x ″ ″ ( ), ( ) exists, g x ″( ) ≠ 0 we have 0 0 form, then lim ( ) ( ) lim ( ) ( ) x a x a f x g x f x g x → → = ′ ′ ″ ″ . ∴ lim ( ) ( ) lim ( ) ( ) x a x a f x g x f x g x → → = ″ ″ . We continue this till the value is obtained. 3.6.1 General L’Hopital’s Rule for 0 0 form Theorem 3.4 If f and g are functions defined in a neighbourhood ( , ) a a − + d d of a except possibly at a, d 0, such that (i) lim ( ) , lim ( ) , lim ( ) , lim ( x a x a x a x a n f x f x f x f → → → → − ( ) = = = 0 0 0 1 ′ ″ ..., x x) = 0 and lim ( ) , lim ( ) , lim ( ) , lim ( x a x a x a x a n g x g x g x g → → → → − ( ) = = = 0 0 0 1 ′ ″ ..., x x) = 0 (ii) f x g x n n ( ) ( ) ( ), ( ) exist and g x x a a x a n ( ) ( ) ( , ) ≠ ∀ ∈ − + ≠ 0 d d and (iii) lim ( ) ( ) ( ) ( ) x a n n f x g x → exists, then lim ( ) ( ) lim ( ) ( ) x a x a n n f x g x f x g x → → ( ) ( ) = . Note If lim ( ) ( ) x f x g x →∞ is 0 0 form, then also L’Hopital’s rule is valid. That is lim ( ) ( ) lim ( ) ( ) x x n n f x g x f x g x →∞ →∞ ( ) ( ) = . Theorem 3.5 Indeterminate form ∞ ∞ (i) lim ( ) x a f x → = ∞, lim ( ) x a g x → = ∞ (ii) f x g x ′ ′ ( ), ( ) exist and g x ′( ) ≠ 0 for every x a a ∈ − + ( , ) d d , except possibly at x a = and (iii) lim ( ) ( ) x a f x g x → ′ ′ exists, then lim ( ) ( ) lim ( ) ( ) x a x a f x g x f x g x → → = ′ ′ . M03_ENGINEERING_MATHEMATICS-I _CH03_Part C.indd 84 5/19/2016 1:06:44 PM
  • 308.
    Differential Calculus ■3.85 Note (1) Clearly f x g x ( ), ( ) are positive functions. ∴ lim ( ) ( ) lim ( ) ( ) x a x a f x g x g x f x → → = 1 1 0 0 form ⎡ ⎣ ⎢ ⎤ ⎦ ⎥ So, we can use L’Hopital’s rule for 0 0 form. All other indeterminate forms can be rewritten as 0 0 form or ∞ ∞ form and can be evaluated using L’Hopital’s rule. (2) While evaluating some of the limits the usage of standard limits such as lim sin 1 0 x x x → 5 , limtan 1 0 x x → 5 , lim 1 1 , lim(1 ) 0 1 x x x x x e x e → → ⎛ ⎝ ⎜ ⎞ ⎠ ⎟ = + ∞ 1 5 and the series expansions of e x x x x x n ,(1 ) , log(1 ), sin , cos , 1 1 etc. may be used. WORKED EXAMPLES Type I: Problems of the type 0 0 , ∞ ∞ , ∞ − ∞ × ∞ , 0 EXAMPLE 1 Evaluate lim x ax bx e e x →0 2 . Solution. The given limit is lim x ax bx e e x → − 0 . Here f x e e ax bx ( ) = − and g x x ( ) = . ∴ lim ( ) lim( ) x x ax bx f x e e → → = − = − = 0 0 1 1 0 and lim ( ) lim x a x g x x → → = = 0 0 ∴ lim ( ) ( ) x f x g x →0 is 0 0 form. By L’Hopital’s rule, we have lim ( ) ( ) lim ( ) ( ) x x f x g x f x g x → → = 0 0 ′ ′ = lim x ax bx ae be ae be a b → − = − = − 0 0 0 1 EXAMPLE 2 Evaluate lim log ( ) x x e xe x x → ⎡ ⎣ ⎢ ⎤ ⎦ ⎥ 0 2 1 2 1 . Solution. The given limit is lim log ( ) x x e xe x x → − + ⎡ ⎣ ⎢ ⎤ ⎦ ⎥ 0 2 1 . Here f x xe x x e ( ) log ( ) = − + 1 and g x x ( ) = 2 . lim ( ) lim[ log ( )] . log x x x e e f x xe x → → = − + = − = 0 0 1 0 1 1 0 and lim ( ) lim x x g x x → → = = 0 0 2 0 M03_ENGINEERING_MATHEMATICS-I _CH03_Part C.indd 85 5/19/2016 1:06:51 PM
  • 309.
    3.86 ■ EngineeringMathematics ∴ lim ( ) ( ) x f x g x →0 is 0 0 form. By L’Hopital’s rule, lim ( ) ( ) lim ( ) ( ) x x f x g x f x g x → → = 0 0 ′ ′ = ⋅ + ⋅ − + → lim x x x x e e x x 0 1 1 1 2 = + − + → lim ( ) x x x e x x 0 1 1 1 2 0 0 form ⎡ ⎣ ⎢ ⎤ ⎦ ⎥ = + + ⋅ − − + → lim ( ) ( ) ( ) x x x x e e x 0 2 1 1 1 1 2 , by L’Hopital’s rule = + + + → lim ( ) ( ) x x x e x 0 2 2 1 1 2 = + = 2 1 2 3 2 . EXAMPLE 3 Evaluate lim tan tan x x x x x →0 2 2 . Solution. The given limit is lim tan tan x x x x x → − 0 2 . Here f x x x ( ) tan = − and g x x x ( ) tan = 2 . lim ( ) lim (tan ) x x f x x x → → = − = 0 0 0 and lim ( ) lim tan x x g x x x → → = = 0 0 2 0 ∴ lim ( ) ( ) x f x g x →0 is 0 0 form. By L’Hopital’s rule, lim ( ) ( ) lim ( ) ( ) x x f x g x f x g x → → = 0 0 ′ ′ = − + → lim sec sec tan x x x x x x 0 2 2 2 1 2 = − + ⎡ ⎣ ⎢ ⎢ ⎢ ⎢ ⎤ ⎦ ⎥ ⎥ ⎥ ⎥ → lim sec tan sec x x x x x x 0 2 2 2 1 1 2 [Dividing Nr. and Dr. by sec2 x ] = − + ⎡ ⎣ ⎢ ⎤ ⎦ ⎥ → lim ( cos ) sin cos x x x x x x 0 2 2 1 2 = + ⎡ ⎣ ⎢ ⎤ ⎦ ⎥ → lim sin sin x x x x x 0 2 2 2 0 0 form ⎛ ⎝ ⎜ ⎞ ⎠ ⎟ M03_ENGINEERING_MATHEMATICS-I _CH03_Part C.indd 86 5/19/2016 1:06:57 PM
  • 310.
    Differential Calculus ■3.87 = + + ⋅ → lim sin cos cos sin x x x x x x x 0 2 2 2 2 2 1 , [by L’Hopital’s rule] = + + → lim sin cos sin x x x x x x 0 2 2 2 2 2 = + + ⎛ ⎝ ⎜ ⎞ ⎠ ⎟ → lim sin cos sin x x x x x x 0 2 2 1 2 2 2 [Dividing Nr. and Dr. by 2x ] = + + = 1 1 1 1 1 3 . { lim sin x x x → = ⎡ ⎣ ⎢ ⎤ ⎦ ⎥ 0 2 2 1 EXAMPLE 4 Evaluate lim x n x x e →∞ . Solution. The given limit is lim x n x x e →∞ . Here f x xn ( ) = and g x ex ( ) = . ∴ lim ( ) x f x x →∞ ∞ = = ∞ and lim ( ) x g x e →∞ ∞ = = ∞ ∴ lim ( ) ( ) x f x g x →∞ is ∞ ∞ form. By L’Hopital’s rule, lim ( ) ( ) lim ( ) ( ) x x f x g x f x g x →∞ →∞ = ′ ′ = →∞ − lim x n x nx e 1 ∞ ∞ ⎡ ⎣ ⎢ ⎤ ⎦ ⎥ form Now applying L’Hopital’s rule ( ) n −1 times, we get f x n n ( ) ( ) ! = and g x e n x ( ) ( ) = . ∴ lim ( ) ( ) lim ( ) ( ) ( ) ( ) x x n n f x g x f x g x →∞ →∞ = = = = ∞ = →∞ ∞ lim ! ! ! x x n e n e n 0 . EXAMPLE 5 Evaluate limlog tan tan x x x →0 2 3 . Solution. The given limit is limlog tan tan x x x →0 2 3 . We know that log log log b e e a a b = , using change of base rule in quotient form. ∴ log tan log tan log tan tan 2 3 3 2 x e e x x x = M03_ENGINEERING_MATHEMATICS-I _CH03_Part C.indd 87 5/19/2016 1:07:04 PM
  • 311.
    3.88 ■ EngineeringMathematics ∴ limlog tan lim log tan log tan tan x x x e e x x x → → = 0 2 0 3 3 2 ∞ ∞ ⎡ ⎣ ⎢ ⎤ ⎦ ⎥ form = ⋅ ⋅ ⋅ ⋅ → lim tan sec tan sec x x x x x 0 2 2 1 3 3 3 1 2 2 2 [by L’Hopital’s rule] = → 3 2 2 3 3 2 0 2 2 lim tan sec tan sec x x x x x = → 3 2 2 2 2 3 3 3 0 2 2 lim sin cos cos sin cos cos x x x x x x x ⇒ limlog tan lim sin cos sin cos tan x x x x x x x x → → = 0 2 0 3 3 2 2 2 2 2 3 3 = → 3 2 4 6 0 lim sin sin x x x 0 0 form ⎡ ⎣ ⎢ ⎤ ⎦ ⎥ = = × = → 3 2 4 4 6 6 3 2 4 6 1 0 lim cos cos x x x . [by L’Hopital’s rule] EXAMPLE 6 Evaluate limlog ( ) cot x e x x →1 1 2 2 p . Solution. The given limit is limlog ( )cot x e x x → − 1 1 2 p . Now limlog ( )cot x e x x → − 1 1 2 p = × = −∞ × log cot e 0 2 0 p form. So, we have to rewrite as 0 0 or ∞ ∞ form. ∴ limlog ( )cot lim log ( ) tan x e x e x x x x → → − = − ⎡ ⎣ ⎢ ⎢ ⎢ ⎤ ⎦ ⎥ ⎥ ⎥ 1 1 1 2 1 2 p p ∞ ∞ ⎡ ⎣ ⎢ ⎤ ⎦ ⎥ form = − − ⋅ ⎡ ⎣ ⎢ ⎢ ⎢ ⎢ ⎤ ⎦ ⎥ ⎥ ⎥ ⎥ → lim ( ) sec x x x 1 2 1 1 2 2 p p , [by L’Hopital’s rule] = − − ⎡ ⎣ ⎢ ⎢ ⎢ ⎤ ⎦ ⎥ ⎥ ⎥ → 2 2 1 1 2 p p lim cos x x x 0 0 form ⎛ ⎝ ⎜ ⎞ ⎠ ⎟ M03_ENGINEERING_MATHEMATICS-I _CH03_Part C.indd 88 5/19/2016 1:07:09 PM
  • 312.
    Differential Calculus ■3.89 = − − ⎛ ⎝ ⎜ ⎞ ⎠ ⎟ ⋅ − ⎡ ⎣ ⎢ ⎢ ⎢ ⎢ ⎤ ⎦ ⎥ ⎥ ⎥ ⎥ → 2 2 2 2 2 1 1 p p p p lim cos sin x x x [by L’Hopital’s rule] = × − ⎛ ⎝ ⎜ ⎞ ⎠ ⎟ ⋅ = 2 2 2 2 2 0 p p p p cos sin EXAMPLE 7 Evaluate lim sin x x x → ⎛ ⎝ ⎜ ⎞ ⎠ ⎟ 0 2 2 1 1 2 . Solution. The given limit is lim sin x x x → − ⎛ ⎝ ⎜ ⎞ ⎠ ⎟ 0 2 2 1 1 Now lim sin x x x → − ⎛ ⎝ ⎜ ⎞ ⎠ ⎟ 0 2 2 1 1 = ∞ − ∞ form. So, we have to rewrite as 0 0 or ∞ ∞ form. ∴ lim sin lim sin sin x x x x x x x x → → − ⎡ ⎣ ⎢ ⎤ ⎦ ⎥ = − 0 2 2 0 2 2 2 2 1 1 0 0 form ⎛ ⎝ ⎜ ⎞ ⎠ ⎟ = − → lim sin sin x x x x 0 2 2 2 1 0 0 form ⎛ ⎝ ⎜ ⎞ ⎠ ⎟ [dividing Nr. and Dr. by x2 ] = − ⋅ → lim sin cos sin sin cos x x x x x x x x x 0 2 2 4 2 2 2 [by L’Hopital’s rule] = − × → lim sin [ cos sin ] sin cos x x x x x x x x x 0 4 2 2 = − → lim cos sin cos x x x x x x 0 3 = − → lim tan x x x x 0 3 0 0 form ⎡ ⎣ ⎢ ⎤ ⎦ ⎥ = − → lim sec x x x 0 2 2 1 3 [by L’Hopital’s rule] = − → lim cos x x x 0 2 2 1 1 3 = − → lim cos cos x x x x 0 2 2 2 1 3 = − ⎛ ⎝ ⎜ ⎞ ⎠ ⎟ → lim sin cos x x x x 0 2 2 2 3 = − ⎛ ⎝ ⎜ ⎞ ⎠ ⎟ = − ⋅ = − → 1 3 1 3 1 1 3 0 2 lim tan x x x M03_ENGINEERING_MATHEMATICS-I _CH03_Part C.indd 89 5/19/2016 1:07:15 PM
  • 313.
    3.90 ■ EngineeringMathematics Type II: Problems of the type 0 , ,1 8 8 ∞ ∞ If A f x x a g x = [ ] → lim ( ) ( ) is one of these forms, we take logarithm and rewrite log lim ( ) log ( ) e x a e A g x f x = ⋅ → in the form 0 0 or ∞ ∞ and evaluate. EXAMPLE 8 Evaluate lim sin 0 1/ x x x x → ⎛ ⎝ ⎜ ⎞ ⎠ ⎟ 1 . Solution. The given limit is lim sin x x x x → + ⎛ ⎝ ⎜ ⎞ ⎠ ⎟ 0 1 . Let A x x x x = ⎛ ⎝ ⎜ ⎞ ⎠ ⎟ → + lim sin 0 1 ( ) 1∞ form ∴ log lim log sin e x e A x x x = ⎛ ⎝ ⎜ ⎞ ⎠ ⎟ → + 0 1 ∞⋅ ( ) 0form Since limlog sin log x e e x x → ⎛ ⎝ ⎜ ⎞ ⎠ ⎟ = = 0 1 0 and lim x x → = ∞ 0 1 , were write in the form 0 0 or ∞ ∞ . ∴ log lim log sin e x e A x x x = ⎛ ⎝ ⎜ ⎞ ⎠ ⎟ → + 0 0 0 form ⎡ ⎣ ⎢ ⎤ ⎦ ⎥ = − ⋅ ⎡ ⎣ ⎢ ⎤ ⎦ ⎥ → + lim sin cos sin x x x x x x x 0 2 1 1 1 , [by L’Hopital’s rule] = − → + lim cos sin sin x x x x x x 0 0 0 form ⎡ ⎣ ⎢ ⎤ ⎦ ⎥ = − + ⋅ − + ⋅ → + lim ( sin ) cos cos cos sin x x x x x x x x 0 1 1 , [by L’Hopital’s rule] = − + → + lim sin cos sin x x x x x x 0 0 0 form ⎡ ⎣ ⎢ ⎤ ⎦ ⎥ = − + ⋅ − + ⋅ + → + lim [ cos sin ] ( sin ) cos cos x x x x x x x x 0 1 1 , [by L’Hopital’s rule] = − + − + = → + lim [ cos sin ] sin cos x x x x x x x 0 2 0 2 = 0. ∴ loge A A e = ⇒ = = 0 1 0 . M03_ENGINEERING_MATHEMATICS-I _CH03_Part C.indd 90 5/19/2016 1:07:22 PM
  • 314.
    Differential Calculus ■3.91 EXAMPLE 9 Evaluate lim (sec ) /2 cot x x x →p . Solution. The given limit is lim sec cot x x x → ( ) p 2 . Let A x x x = ( ) → lim sec cot p 2 ∞ ( ) 0 form ∴ log lim log sec cot e x e x A x = ( ) →p 2 = → lim cot log sec x e x x p 2 [ ] 0⋅∞form = → lim logsec tan x x x p 2 ∞ ∞ ⎡ ⎣ ⎢ ⎤ ⎦ ⎥ form = ⋅ → lim sec sec tan sec x x x x x p 2 2 1 [by L’Hopital’s rule] = → lim tan sec x x x p 2 2 = ⋅ → lim sin cos cos x x x x p 2 2 = lim sin cos x x x → = ⋅ = p 2 1 0 0 ∴ loge A A e = ⇒ = = 0 1 0 EXAMPLE 10 Evaluate lim / x x x x x x a b c d → ⎡ ⎣ ⎢ ⎤ ⎦ ⎥ 0 1 4 1 1 1 , where a, b, c, d are positive numbers. Solution. The given limit is lim / x x x x x x a b c d → + + + ⎡ ⎣ ⎢ ⎤ ⎦ ⎥ 0 1 4 Let A a b c d x x x x x x = + + + ⎡ ⎣ ⎢ ⎤ ⎦ ⎥ → lim / 0 1 4 [1∞ form] ∴ log limlog / e x e x x x x x A a b c d = + + + ⎡ ⎣ ⎢ ⎤ ⎦ ⎥ →0 1 4 = + + + ⎡ ⎣ ⎢ ⎤ ⎦ ⎥ → lim log x e x x x x x a b c d 0 1 4 [∞⋅0form] ⇒ log lim log e x e x x x x A a b c d x = + + + ⎡ ⎣ ⎢ ⎤ ⎦ ⎥ →0 4 0 0 form ⎡ ⎣ ⎢ ⎤ ⎦ ⎥ = + + + + + + → lim [ log log log log ] x x x x x x e x e x e x e a b c d a a b b c c d d 0 1 4 1 4 1 × [by L’Hospital’s rule] M03_ENGINEERING_MATHEMATICS-I _CH03_Part C.indd 91 5/19/2016 1:07:29 PM
  • 315.
    3.92 ■ EngineeringMathematics = + + + + + + = + 1 1 4 0 0 0 0 0 0 0 0 a b c d a a b b c c d d a e e e e e [ log log log log ] [log log g log log ] log ( ) log ( ) / e e e e e b c d abcd abcd + + = = 1 4 14 ⇒ log log ( ) / e e A abcd = 1 4 ⇒ A abcd = ( ) / 1 4 . EXAMPLE 11 Evaluate lim( ) . /log ( ) x x x e →1 2 1 1 12 2 Solution. The given limit is lim( ) . /log ( ) x x x e → − − − 1 2 1 1 1 Let A x x x e = − → − − lim( ) . /log ( ) 1 2 1 1 1 [00 form] ∴ log lim[log ( ) ] /log ( ) e x e x A x e = − → − − 1 2 1 1 1 = − − ⎡ ⎣ ⎢ ⎤ ⎦ ⎥ → − lim log ( ) log ( ) x e e x x 1 2 1 1 1 ∞ ∞ form ⎡ ⎣ ⎢ ⎤ ⎦ ⎥ = − − ⎡ ⎣ ⎢ ⎤ ⎦ ⎥ → − lim log ( ) log ( ) x e e x x 1 2 1 1 ∞ ∞ form ⎡ ⎣ ⎢ ⎤ ⎦ ⎥ = − − ⎡ ⎣ ⎢ ⎤ ⎦ ⎥ − − ⎡ ⎣ ⎢ ⎢ ⎢ ⎢ ⎤ ⎦ ⎥ ⎥ ⎥ ⎥ → − lim ( ) ( ) ( ) , x x x x 1 2 1 1 2 1 1 1 [by L’ Hopital’s rule] = − + − ⎡ ⎣ ⎢ ⎤ ⎦ ⎥ = + ⎡ ⎣ ⎢ ⎤ ⎦ ⎥ = ⋅ + = → − → − lim ( ) ( )( ) lim x x x x x x x x 1 1 2 1 1 1 2 1 2 1 1 1 1 1 ∴ loge A = 1 ⇒ A = e1 = e Type III: Problems to find the limit using the expansions of sin x, cos x, tan x, ex , loge (1 1 x) We know (1) sin ! ! x x x x = − + − 3 5 3 5 … (2) cos ! ! x x x = − + − 1 2 4 2 4 … (3) tan x x x x = + + + 3 5 3 2 15 … (4) e x x x x x = + + + + + 1 1 2 3 4 2 3 4 ! ! ! ! … (5) log ( ) e x x x x x 1 2 3 4 2 3 4 + = − + − +… M03_ENGINEERING_MATHEMATICS-I _CH03_Part C.indd 92 5/19/2016 1:07:34 PM
  • 316.
    Differential Calculus ■3.93 EXAMPLE 12 Determine a and b so that lim sin sin . x a x b x x →0 3 2 1 2 5 Solution. Given lim sin sin . x a x b x x → − = 0 3 2 1 ⇒ lim ( ) ! ( ) ! ! ! x a x x x b x x x x → − + − ⎡ ⎣ ⎢ ⎤ ⎦ ⎥ − − + − ⎡ ⎣ ⎢ ⎤ ⎦ ⎥ = 0 3 5 3 5 3 2 2 3 2 5 3 5 1 … … ⇒ lim ( ) ! ! ! ! x x a b x a b x a b x → − + − + ⎛ ⎝ ⎜ ⎞ ⎠ ⎟ + − ⎛ ⎝ ⎜ ⎞ ⎠ ⎟ + ⎡ ⎣ ⎢ ⎤ 0 3 3 5 1 2 8 3 3 32 5 5 … ⎦ ⎦ ⎥ = 1 ⇒ lim x a b x b a a b x → − + − ⎛ ⎝ ⎜ ⎞ ⎠ ⎟ + − ⎛ ⎝ ⎜ ⎞ ⎠ ⎟ − ⎡ ⎣ ⎢ ⎤ ⎦ ⎥ = 0 2 2 2 8 6 32 120 1 … Suppose 2 0 a b − ≠ , then as x a b x → − → ∞ 0 2 2 , and hence the limit is infinite, which contradicts the hypothesis that the limit is finite and equal to1. ∴ 2 0 2 a b b a − = ⇒ = (1) and − + = ⇒ − + = 8 6 1 8 2 6 a b a a ⇒ − = ⇒ = − 6 6 1 a a (2) ∴ b a = = − = − 2 2 1 2 ( ) . So, a = −1, b = −2 EXAMPLE 13 If lim sin sin x x a x x →0 3 2 1 is finite, then find the value of a and the limit. Solution. The given limit is lim sin sin x x a x x → + 0 3 2 and it is finite, say k. ∴ lim sin sin x x a x x k → + = 0 3 2 ⇒ lim ( ) ! ( ) ! ! ! x x x x x a x x x → − + + + − + + ⎛ ⎝ ⎜ ⎞ ⎠ ⎟ ⎡ ⎣ ⎢ ⎤ 0 3 3 5 3 5 1 2 2 3 2 5 3 5 ... ... ⎦ ⎦ ⎥ = k ⇒ lim ( ) ! ! ! ! x x a x a x a x → + − + ⎛ ⎝ ⎜ ⎞ ⎠ ⎟ + + ⎛ ⎝ ⎜ ⎞ ⎠ ⎟ + ⎡ ⎣ ⎢ ⎤ ⎦ ⎥ 0 3 3 5 1 2 8 3 3 32 5 5 ... = = k ⇒ lim ( ) x a x a a x k → + − + ⎛ ⎝ ⎜ ⎞ ⎠ ⎟ + + ⎛ ⎝ ⎜ ⎞ ⎠ ⎟ + ⎡ ⎣ ⎢ ⎤ ⎦ ⎥ = 0 2 2 2 8 6 32 120 ... M03_ENGINEERING_MATHEMATICS-I _CH03_Part C.indd 93 5/19/2016 1:07:41 PM
  • 317.
    3.94 ■ EngineeringMathematics Suppose 2 0 + ≠ a , then as x a x → + → ∞ 0 2 2 , and hence the limit is infinite, which contradicts the fact that the limit is finite. ∴ 2 0 2 + = ⇒ = − a a and − + ⎛ ⎝ ⎜ ⎞ ⎠ ⎟ = 8 6 a k ⇒ − − ⎛ ⎝ ⎜ ⎞ ⎠ ⎟ = ⇒ = − 8 2 6 1 k k ∴ a = −2 and the limit is −1. EXERCISE 3.11 I. Evaluate the following limits. 1. lim log ( ) x e x x → + − 0 1 3 1 2. lim tan x x x x → − 0 3 3. lim log ( ) log cos x e e x x → − 0 2 1 4. lim log logcot x e x x →0 2 2 5. lim sin sin x x x e e x x → − − 0 6. lim sin x x x → − ⎛ ⎝ ⎜ ⎞ ⎠ ⎟ 0 1 1 7. lim (sec tan ) x x x → − p 2 8. lim sin sin x x x x x → − − 0 1 2 4 9. lim tan x x x →1 2 p 10. lim(cos ) x x x →0 1 2 2 / 11. lim tan x x x x → − 0 3 12. lim sin x x x e e x x x → − − − − 0 2 13. lim tan x x x x → ⎛ ⎝ ⎜ ⎞ ⎠ ⎟ 0 1 2 14. lim(cos )cot x x x →0 2 15. lim(tan )tan x x x → p 4 2 16. lim sin sin /( sin ) x x x x x x → − ⎛ ⎝ ⎜ ⎞ ⎠ ⎟ 0 17. lim ( ) . / x x x e ex x → + − + 0 1 2 1 1 2 18. lim ( ) / x x x e x → + − 0 1 1 19. lim cos sin sin . x x x x x x → − 0 2 20. Find the value of a and b if lim ( cos ) sin x x a x b x x → + − ⎧ ⎨ ⎩ ⎫ ⎬ ⎭ = 0 3 1 1. ANSWERS TO EXERCISE 3.11 1. log3 e 2. 1 3 3. 2 4. −1 5. 1 6. 0 7. 0 8. −3 40 9. e−2 p 10. e−2 11. − 1 3 12. 2 13. e13 / 14. e−12 / 15. 1 e 16. 1 e 17. 11 24 e 18. − e 2 19. − 1 3 20. a b = − = − 5 2 3 2 and 3.7 MAXIMA AND MINIMA OF A FUNCTION OF ONE VARIABLE We have already seen the applications of derivative in problems of tangent and normal, in deciding increasing and decreasing nature of a function in an interval. We shall now use it to locate maxima and minima of a function. Incalculustheterm“maximum”isusedintwosenses“absolute”maximumand“relative”maximum. Similarly, absolute minimum and relative minimum. M03_ENGINEERING_MATHEMATICS-I _CH03_Part C.indd 94 5/19/2016 1:08:41 PM
  • 318.
    Differential Calculus ■3.95 Definition 3.3 Let f be the function defined on [ , ] a b and let c a b ∈( , ). Then (i) f is said to have a relative maximum (or local maximum) at c, if there is a neighbourhood ( , ) c c − + d d of c such that f x f c x c c ( ) ( ) ( , ) ∀ ∈ − + d d , x c ≠ . That is f c ( ) is the greatest value in a neighbourhood of c. (ii) f is said to have a relative minimum (or local minimum) at c, if there is a neighbourhood ( , ) c c − + d d of c such that f x f c x c c ( ) ( ) ( , ) ∀ ∈ − + d d , x c ≠ . That is f c ( ) is the least value in a neighbourhood of c. Note (1) If f c ( ) is a relative maximum or relative minimum, then f c ( ) is called an extreme value of f at c or extremum of f at c. Definition3.4 Let f be defined on[ , ] a b . f is said to have an absolute maximum (or global maximum) on [ , ] a b if there is at least one point c a b ∈[ , ] such that f x f c x a b ( ) ( ) [ , ] ≤ ∀ ∈ . Inotherwords, the largest value of f on [ , ] a b is called the absolute maximum Definition 3.5 Let f be defined on [ , ] a b . f is said to have an absolute minimum (or global minimum) on [ , ] a b if there is at least one point c a b ∈[ , ] such that f x f c x a b ( ) ( ) [ , ] ≥ ∀ ∈ . That is the least value of f on [ , ] a b is called the absolute minimum (or global minimum). Note 1. Given a function f defined on [ , ] a b , the absolute maximum and the absolute minimum need not exist. For example: If f x x x x ( ) = ≤ = ⎧ ⎨ ⎪ ⎩ ⎪ 1 0 1 0 0 if if Then f has no absolute maximum on [ , ] a b . However, if f is continuous on a closed and bounded interval [ , ] a b , then absolute maximum and absolute minimum exist. 2. From the definition of maximum and minimum it is obvious that f c ( ) is an extreme value of f at c, iff f x f c ( ) ( ) − keeps the same sign for all x, other than c, in some neighbourhood of c. Theorem 3.6 A necessary condition for the existence of an extremum at an interior point Let f be a function defined on the interval [ , ] a b and c a b ∈( , ). If f(c) is an extremum at c and if f c ′( ) exists, then f c ′( ) = 0 . y x o a C1 C2 Ca b ( ) ( ) ( ) Fig. 3.16 M03_ENGINEERING_MATHEMATICS-I _CH03_Part C.indd 95 5/19/2016 1:08:49 PM
  • 319.
    3.96 ■ EngineeringMathematics 3.7.1 Geometrical Meaning Let y f x = ( ) be the graph of f on [ , ] a b , then P c f c ( , ( )) is a point on the curve y f x = ( ). If f c ( ) is a maximum value, then in ( , ] c c − d the curve is increasing and so f x ′( ) 0 in ( , ) c c − d and decreasing in ( , ) c c + d . That is f x ′( ) 0 in ( , ) c c + d . If f c ′( ) exists, then f c ′( ) must be zero. That is the tangent is parallel to the x-axis, because it is increasing up to the point P and momentarily at rest at P and then decreasing. Similarly, if f c ( ) is a minimum value, then f c ′( ) = 0 . Note 1. The points where f x ′( ) = 0 are called stationary points of f. 2. The converse of the above theorem is not true. Similarly, if f c ′( ) = 0, then f c ( ) is not an extremum. For example: Consider f x x ( ) = 3 . f x x f ′ ′ ( ) ( ) . = ∴ = 3 0 0 2 But f ( ) 0 is neither a maximum nor a minimum because there is no neighbourhood of 0 in which f x f ( ) ( ) − 0 keeps the same sign for x ≠ 0. For, f x x ( ) = 3 0 if x 0 and f x x ( ) = 3 0 if x 0. 3. It is possible that f c ( ) is an extreme value of f even if f c ′( ) does not exist. For example: Consider f x x ( ) = . We know that f ′( ) 0 does not exist. But f ( ) 0 is a minimum value of f x ( ) . In fact, f ( ) 0 is the absolute minimum. Definition 3.6 Critical Points Let f be a function defined on [ , ] a b . The points x a b ∈[ , ] at which f x ′( ) = 0 or f x ′( ) does not exist are called critical points of f. For f x x ( ) = , x = 0 is a critical point but not a stationary point. 3.7.2 Tests for Maxima and Minima (1) Second Derivative Test Let f be a function defined on [ , ] a b and let f be twice differentiable in a neighbourhood ( , ) c c − + d d of c a b ∈( , ) and f c ′( ) = 0. Suppose f c ″( ) ≠ 0 , then Fig. 3.17 y x P c − δ c + δ c x y o −δ δ Fig. 3.18 x y = −x y = x y o Fig. 3.19 M03_ENGINEERING_MATHEMATICS-I _CH03_Part C.indd 96 5/19/2016 1:09:01 PM
  • 320.
    Differential Calculus ■3.97 1. f c ( ) is a maximum if f c ″( ) 0 and 2. f c ( ) is a minimum if f c ″( ) 0 . Note If f c ″( ) = 0 , then the second derivative test cannot be applied. In this case, we use the following general test involving higher derivatives or the first derivative test. (2) General Test Let f be differentiable n times and f c f c f c f c n n ′ ″ ..., ( ) , ( ) , ( ) ( ) = = ≠ − ( ) ( ) 0 0 0 1 and . If n is even, then 1. f c ( ) is a maximum if f c n ( ) ( ) 0 2. f c ( ) is a minimum if f c n ( ) ( ) 0. If n is odd, then f c ( ) is neither a maximum nor a minimum. (3) First Derivative Test Let f be defined on [a,b] and c ∈ (a,b). Let f be differentiable in a neighbourhood ( , ) c c − + d d of c, except possibly at c. (i) If f x x c ′( ) 0 for and f x x c ′( ) 0 for in the neighbourhood of c, then f c ( ) is a maximum value. That is, f x ′( ) changes from positive to negative in the neighbourhood of c as x increases. (ii) If f x x c ′( ) 0 for and f x x c ′( ) 0 for in the neighbourhood of c, then f c ( ) is a minimum value. That is, f x ′( ) changes from negative to positive in the neighbourhood of c as x increases. SUMMARY To find the maximum and minimum values of a function f on [ , ] a b . (i) Find the critical points. That is, find the points where f x ′( ) = 0 or f x ′( ) does not exist. (ii) Use the second derivative test or the first derivative test and decide the maximum and minimum. (iii) Absolute maximum will occur at a relative maximum or at the end points. Absolute minimum will occur at a relative minimum or at the end points. WORKED EXAMPLES EXAMPLE 1 Find the maxima and minima of the function 10 24 15 40 108 6 5 4 3 x x x x 2 1 2 1 . Solution. Let f x x x x x ( ) . = − + − + 10 24 15 40 108 6 5 4 3 ∴ f x x x x x ′( ) = − + − 60 120 60 120 5 4 3 2 = − + − 60 2 2 5 4 3 2 ( ) x x x x f x x x x x ″( ) [ ] = − + − 60 5 8 3 4 4 3 2 . For maxima or minima f x ′( ) = 0 M03_ENGINEERING_MATHEMATICS-I _CH03_Part C.indd 97 6/3/2016 7:51:08 PM
  • 321.
    3.98 ■ EngineeringMathematics ∴ 60 2 2 0 5 4 3 2 ( ) x x x x − + − = ⇒ x x x x 5 4 3 2 2 2 0 − + − = ⇒ x x x x 2 3 2 2 2 0 [ ] − + − = ⇒ x x x x 2 2 2 2 0 [ ( ) ( )] − + − = ⇒ x x x 2 2 2 1 0 ( )( ) − + = ⇒ x = 0 2 or [{ x2 1 0 + ≠ ] When x = 2, f ″( ) ( ) 2 60 5 2 8 2 3 2 4 2 60 20 0 4 3 2 = ⋅ − ⋅ + ⋅ − ⋅ = × . When x = 2, the function is minimum. The minimum value is f ( ) 2 10 2 24 2 15 2 40 2 108 6 5 4 3 = ⋅ − ⋅ + ⋅ − ⋅ + = − + − + = 640 324 240 320 108 344. When x = 0, ′′ = f x ( ) 0, the test fails. Note ′′′ = − + − f x x x x ( ) [ ] 60 20 24 6 4 3 2 ∴ ′′′ = − ≠ f ( ) 0 240 0 . So, f ( ) 0 is neither a maximum nor a minimum. EXAMPLE 2 Find the maximum and minimum values of f x x x ( ) , [ , ] 5 2 2 4 4 4 2 ∈ . Also find the absolute maximum and absolute minimum, if they exist. Solution. Let f x x x ( ) , [ , ] = − ∈ − 4 4 4 2 . We know 4 4 2 2 − = − x x if 4 0 2 − ≥ x ⇒ x x 2 4 0 2 2 − ≤ ⇒ − ≤ ≤ and 4 4 2 2 − = − − x x ( ), if 4 0 2 − x . ⇒ x2 4 0 − ⇒ − x x 2 2 or ∴ f x x x x x x ( ) = − − ≤ ≤ − − ⎧ ⎨ ⎪ ⎩ ⎪ 4 2 2 4 2 2 2 2 if if or ∴ f x x x x x x ′( ) = − − − ⎧ ⎨ ⎩ 2 2 2 2 2 2 if if or f x x x x ″( ) = − − − ⎧ ⎨ ⎩ 2 2 2 2 2 2 if if or ∴ f x x ′( ) ( , ) = ⇒ = ∈ − 0 0 2 2 . At x = −2 2 , , f x ′( ) does not exist. [Since, f is continuous at x = 2 and f ′( ) 2 4 − = − , f ′( ) 2 4 + = ∴ f ′( ) 2 does not exist. Similarly, f ′( ) −2 does not exist] The critical points are x = − 0 2 2 , , . x o (0, −4) (0, 4) (−2, 0) x = −4 x = 4 (2, 0) y Fig. 3.20 M03_ENGINEERING_MATHEMATICS-I _CH03_Part C.indd 98 5/19/2016 1:09:20 PM
  • 322.
    Differential Calculus ■3.99 When x f x = = − 0 2 0 , ( ) ″ . ∴ f x ( ) has a maximum at x = 0 and the maximum value = 4. Since f x ′( ) does not exist at x x = − = 2 2 , , we use the first derivative test. In a neighbourhood of −2, f x x ′( ) − 0 2 if and f x x ′( ) . − 0 2 if So, f ( ) −2 is a minimum. Similarly, in a neighbourhood of 2, f x x ′( ) 0 2 if and f x x ′( ) . 0 2 if So, f ( ) 2 is a minimum and the minimum value is zero. The least value of f x ( ) in [ , ] −4 4 is 0. ∴ the absolute minimum = 0. Though f ( ) 0 4 = is a relative maximum, it is not the absolute maximum. Absolute maximum occur at the end points x = 4 or x = −4 and the value is f ( ) . 4 4 4 4 16 12 12 2 = − = − = − = EXAMPLE 3 In a submarine cable the speed of signalling varies as x x e 2 1 log , ⎛ ⎝ ⎜ ⎞ ⎠ ⎟ where x is the ratio of the radius of the core to that of the covering. Find the values of x for which the speed of signaling is maximum. Solution. Let S be the speed of signalling in a submarine cable. Then S kx x kx x e e = ⎛ ⎝ ⎜ ⎞ ⎠ ⎟ = − 2 2 1 log log , where x 0, k 0 ∴ dS dx k x x x x kx x e e = − ⋅ + ⋅ ⎡ ⎣ ⎢ ⎤ ⎦ ⎥ = − + 2 1 2 1 2 log [ log ]. For maximum or minimum, dS dx = 0 ⇒ − + = kx x e [ log ] 1 2 0 ⇒ 1 2 0 + = loge x ⇒ loge x x e e = − ⇒ = = − 1 2 1 1 2 [ ] { kx ≠ 0 Now d S dx k x x x e 2 2 2 1 1 2 1 = − ⋅ ⋅ + + ⋅ ⎡ ⎣ ⎢ ⎤ ⎦ ⎥ ( log ) = − + + = − + k x k x e e [ log ] [ log ] 2 1 2 3 2 When x e = 1 , d S dx k e e = − + ⎡ ⎣ ⎢ ⎤ ⎦ ⎥ 3 2 1 0 2 2 log . ∴when x e = 1 , S is maximum. M03_ENGINEERING_MATHEMATICS-I _CH03_Part C.indd 99 5/19/2016 1:09:29 PM
  • 323.
    3.100 ■ EngineeringMathematics EXAMPLE 4 A factory D is to be connected by a road with a straight railway line on which a town A is situated. The distance DB of the factory to the railway line is 5 3 km. Length AB of the railway line is 20km. Freight charges on the road are twice the charges on the railway. At what point P PA PB ( ) on the railway line should the road DP be connected so as to ensure minimum freight charges from the factory to the town. Solution. D is the factory, A is the town and AB is the straight railway line. Given DB = 5 3 km. Let BP x = , then PA x = − 20 and DP x = + 2 75 is the road. Let k be the freight charge on railway. Then 2k is the freight charge on road. If F is the total freight charges, then F k x k x x = + + − ≤ ≤ 2 75 20 0 20 2 ( ), . ∴ dF dx k x x k = ⋅ + ⋅ + − 2 1 2 75 2 1 2 ( ) = + − ⎡ ⎣ ⎢ ⎤ ⎦ ⎥ k x x 2 75 1 2 . For maximum or minimum, dF dx = 0 ⇒ k x x 2 75 1 0 2 + − ⎡ ⎣ ⎢ ⎤ ⎦ ⎥ = ⇒ 2 75 1 0 2 x x + − = ⇒ 2 75 2 x x = + ⇒ 4 75 2 2 x x = + ⇒ 3 75 25 5 2 2 x x x = ⇒ = ⇒ = [ ] { x 0 Now d F dx k x x x x x 2 2 2 2 2 2 75 2 2 2 2 75 75 = + ⋅ − ⋅ + ⎡ ⎣ ⎢ ⎤ ⎦ ⎥ + ( ) = + − ⎡ ⎣ ⎤ ⎦ + + = + k x x x x k x 2 75 2 75 75 150 75 2 2 2 2 2 3 2 ( ) ( ) ( ) . / When x d F dx k k = = + = 5 150 25 75 150 10 0 2 2 3 2 3 , ( ) / ∴ when x = 5, F is minimum. So, the freight charge will be minimum if the road is connected to the railway line at a distance 5 km from Bor 15 km from the town A. EXAMPLE 5 A rectangular sheet of metal has four equal square portions removed at the corners and the sides are then turned up so as to form an open rectangular box. Show that when the volume contained in the box is a maximum, the depth will be 1 2 2 b a b a ab b 1 2 2 2 ⎡ ⎣ ⎤ ⎦ , where a and b the sides of the original rectangle. B D x A P 20 − x 90° x2 + 75 3 5 Fig. 3.21 M03_ENGINEERING_MATHEMATICS-I _CH03_Part C.indd 100 5/19/2016 1:09:38 PM
  • 324.
    Differential Calculus ■3.101 Solution. Given a and b be the sides of the rectangular sheet of metal. Let x be the side of square cut off from the corners. ∴ the dimensions of the box formed by folding up the sides are a x b x − − 2 2 , and x. The volume of the box V x a x b x = − − ( )( ) 2 2 ⇒ V x ab a b x x = − + + [ ( ) ] 2 4 2 ⇒ V abx a b x x = − + + 2 4 2 3 ( ) ∴ dV dx ab a b x x = − + + 4 12 2 ( ) . For maximum or minimum, dV dx = 0 12 4 0 2 x a b x ab − + + = ( ) ⇒ x a b a b ab = + ± + − 4 16 48 24 2 ( ) ( ) = + ± + − = + ± + + − 4 4 3 24 2 3 6 2 2 2 ( ) ( ) ( ) a b a b ab a b a b ab ab = + ± + − = + + + − ⎡ ⎣ ⎤ ⎦ + − + − ⎡ ⎣ ⎤ ⎦ a b a b ab a b a b ab a b a b ab 2 2 2 2 2 2 6 1 6 1 6 or . Now d V dx x a b 2 2 24 4 = − + ( ) = − + 4 6 [ ( )]. x a b When x a b a b ab = + − + − ( ) 1 6 2 2 , d V dx a b a b ab a b a b a b ab 2 2 2 2 2 2 4 6 6 4 = + − + − ⎛ ⎝ ⎜ ⎞ ⎠ ⎟ − + ⎡ ⎣ ⎢ ⎢ ⎤ ⎦ ⎥ ⎥ = + − + − − ( ) (a a b a b ab + ⎡ ⎣ ⎤ ⎦ = − + − ) . 4 0 2 2 ∴ when the depth is 1 6 2 2 a b a b ab + − + − ⎡ ⎣ ⎤ ⎦ , V is maximum. EXAMPLE 6 A cone circumscribed a sphere of radius r. Prove that when the volume of the cone is minimum, its height is 4r and the semi−vertical angle is sin . 21 1 3 ⎛ ⎝ ⎜ ⎞ ⎠ ⎟ x x x x x a − 2x b − 2x Fig. 3.22 M03_ENGINEERING_MATHEMATICS-I _CH03_Part C.indd 101 5/19/2016 1:09:45 PM
  • 325.
    3.102 ■ EngineeringMathematics Solution. Let the sphere be of radius r. Let the cone be of radius R and height h. Let the semi−vertical angle of the cone be u. Let V be the volume of the cone. Then Volume V R h = 1 3 2 p . Let O be centre of the sphere. D be the centre of the base circle of the cone. ∴ OD r AD h = = and ∴ OA h r = − From Δ = ⇒ = ABD BD AD BD h , tan tan u u From Δ = AEO EO EA , tanu. But EA OA r h r r h r rh r h hr = − = − − = + − − = − 2 2 2 2 2 2 2 2 2 2 ( ) ∴ tanu = r h hr 2 2 − ∴ BD h r h hr = ⋅ − 2 2 = − hr h hr 2 2 . ∴ V h r h hr h = − 1 3 2 2 2 2 p . = − = − 1 3 2 1 3 2 2 3 2 2 p p r h h h r r h h r ( ) ( ) ∴ dV dh r h r h h h r = − − ⋅ − p 2 2 2 3 2 2 1 2 [( ) ] ( ) = − − − = − − p p r h h r h h r r h h r h r 2 2 2 2 2 4 3 2 4 3 2 [ ] ( ) ( ) ( ) . For maximum or minimum dV dh = 0 ⇒ pr h h r h r 2 2 4 3 2 0 ( ) ( ) − − = ⇒ h h r ( ) − = 4 0 ⇒ h − 4r = 0 ⇒ h r = 4 [{h ≠ 0] Now d V dh r h r h r h rh h r h r 2 2 2 2 2 4 3 2 2 4 4 2 2 2 = − ⋅ − − − − − p [( ) ( ) ( ) ( )] ( ) = − − − − − − pr h r h r h r h rh h r 2 2 4 3 2 2 2 2 2 4 2 ( )[( ) ( ) ( )] ( ) ⇒ d V dh r h r h h r h r 2 2 2 2 3 3 2 2 2 4 2 = − − − − p [ ( ) ( )] ( ) . When h r = 4 , d V dh r r r h r r r r r 2 2 2 2 3 2 3 2 4 2 2 0 4 2 3 2 2 3 0 = − − × − = ⋅ = p p p ( ) ( ) A B C E O θ D R r h r 90° Fig. 3.23 M03_ENGINEERING_MATHEMATICS-I _CH03_Part C.indd 102 5/19/2016 1:09:54 PM
  • 326.
    Differential Calculus ■3.103 ∴ when h r = 4 , V is minimum. Now sinu = OE OA r h r r r r = − = − = 4 1 3 ⇒ u = ⎛ ⎝ ⎜ ⎞ ⎠ ⎟ − sin . 1 1 3 EXERCISE 3.12 1. Find the maximum and minimum values of x x x 5 4 3 5 5 1 − + − . 2. Find the maximum and minimum values of x x x x 2 2 1 1 + + − + . 3. Find the maximum and minimum values of a x b x 2 2 2 2 sin cos . + 4. If xy = 4, find the maximum and minimum values of 4 9 x y + . 5. Find the maximum and minimum values of x x − 2 on [ , ]. −2 2 6. An isosceles triangle with vertex ( , ) 0 2 is inscribed in the ellipse x y 2 2 9 4 1 + = . Find the equation of the base if the area of the triangle is a maximum. 7. A manufacturer plans to construct a cylindrical can to hold one cubic meter of liquid. If the cost of constructing the top and bottom of the can is twice the cost of constructing the side, what are the dimensions of the most economical can? 8. Find the rectangle of maximum area with sides parallel to the coordinate axes which can be inscribed in the figure bounded by two parabolas 3 12 2 y x = − and 6 12 2 y x = − . 9. The cost of fuel in running an engine is proportional to the square of the speed and is Rs. 48 per hour for speed of 16 km/hr and other costs per hour amount Rs. 300. What is the most economical speed and the cost of a journey of 400 km. 10. Show that the function sin ( cos ) x x 1+ is a maximum when x = p 3 . Does this function have minimum at x = 0 orp? 11. Let f x x a a x x x ( ) , . = − + − − − ≥ ⎧ ⎨ ⎪ ⎩ ⎪ 2 9 9 2 2 3 2 2 if if Find the values of a if f x ( ) has a local minimum at x = 2. [ ( ) lim ( ) Hint: if if and f x x a a r x x f x f x = − + − − = − ≥ ≥ → − 2 9 9 2 2 3 2 2 2 ( ( )] 2 12. Find the maximum possible slope for a tangent line to the curve y e x = + − 8 1 3 . 13. Find the area of the largest rectangle with lower base on the x-axis and the upper vertices on y x = − 12 2 . M03_ENGINEERING_MATHEMATICS-I _CH03_Part C.indd 103 5/19/2016 1:10:01 PM
  • 327.
    3.104 ■ EngineeringMathematics ANSWERS TO EXERCISE 3.12 1. Maximum at x = 2, Maximum value = −9 Minimum at x = 3, Minimum value = −28 No extremum at x = 0 3. Maximum at x = p 2 , Maximum value = a Minimum at x = p, Minimum value = b 5. Maximum at x = −2, x = 1 2 and x = 2, Maximum values are 6, 4 and 2 Minimum at x = 0 and x = 1, Minimum values are 0, 0 6. y + = 1 0, 7. h r = 4 8. 16 9. 40 km per hour and Rs. 6000. 10. x f = = − + = p p p p , ( ) sin ( cos ) ″ 4 1 0 Hence, f x ( ) is neither a maximum nor a minimum at x = p. 12. So, the greatest possible slope is when x e = log 3 and greatest slope = 2. 13. Maximum area = 32 sq.unit. 3.8 ASYMPTOTES The study of asymptotes is yet another aspect of characterizing the shape of a curve. In this section we study rectilinear asymptote. Roughly, an asymptote to an infinite curve is a straight line touching the curve at an infinite distance from the origin. In order that a curve to have asymptote it should extend up to infinity. Closed curves like circle and ellipse will not have asymptotes. But every curve extending up to infinity need not have asymptotes for example parabola y ax 2 4 = extends up to infinity, yet it has no asymptote. We shall now formally define an asymptote. Definition 3.7 A point P x y ( , ) on an infinite curve is said to tend to infinity (i.e., P→ ∞) along the curve as either x or y or both tend to ∞ or −∞ as P moves along the curve. Definition 3.8 Asymptote A straight line at a finite distance from the origin is called an asymptote of an infinite curve, if when a point P on the curve tends to ∞ along the curve, the perpendicular distance from P to the line tends to 0. An asymptote parallel to the x-axis is called a horizontal asymptote and an asymptote parallel to the y-axis is called a vertical asymptote. An asymptote which is not parallel to either axis will be called an oblique asymptote. Theorem 3.7 If y mx c = + (where m and c are finite) is an asymptote of an infinite curve, then m y x x = ⎛ ⎝ ⎜ ⎞ ⎠ ⎟ →∞ lim and c y mx x = − →∞ lim( ), where P x y ( , ) is any point on the infinite curve. Proof Given P x y ( , ) be any point on the infinite curve. 2. Maximum at x = 1, Maximum value = 3 Minimum at x = −1, Minimum value = 1 3 4. Maximum at x = 3, Maximum value = −24 Minimum at x = 3, Minimum value = 24 11. a ∈ −∞ − ∞ ( , ] [ , ). 1 10 ∪ M03_ENGINEERING_MATHEMATICS-I _CH03_Part C.indd 104 5/19/2016 1:10:07 PM
  • 328.
    Differential Calculus ■3.105 The perpendicular distance from P x y ( , ) to the line y mx c − − = 0 (1) is d y mx c m = − − + 1 2 (2) If the line (1) is an asymptote to the curve, then d → 0 as P → ∞. i.e., as x → ∞(or −∞). ∴ lim( ) x y mx c →∞ − − = 0 ⇒ lim( ) . x y mx c →∞ − = Also y x m y mx x − = − ( ) 1 ∴ lim lim( ) lim x x x y x m y mx x c →∞ →∞ →∞ − ⎛ ⎝ ⎜ ⎞ ⎠ ⎟ = − = × = 1 0 0 ⇒ lim x y x m →∞ = Hence, lim x y x m →∞ ⎛ ⎝ ⎜ ⎞ ⎠ ⎟ = and c y mx x = − →∞ lim( ). Conversely, if these two limits exists as P → ∞, then y mx c − − → 0 as x → ∞ and hence, d → 0 as P → ∞ ∴ y mx c = + is an asymptote. Note (1) In the theorem m and c are finite. If m = 0, then the asymptote is parallel to x-axis. (2) The above theorem gives a method of finding asymptotes not parallel to y-axis. Working rule: Given a curve f x y ( , ) = 0. (i) Find lim , x y x →∞ ⎛ ⎝ ⎜ ⎞ ⎠ ⎟ where y x = f( ). For different branches of the curve, we may get different values for this limit. (ii) If m is one such value, then find lim( ). x y mx →∞ − Let this limit be c, then y mx c = + is an asymptote to the curve. Note The above method will give all asymptotes not parallel to y-axis. To find asymptotes not parallel to x-axis, we start with x my d = + and x y = f( ), where m x y y = ⎛ ⎝ ⎜ ⎞ ⎠ ⎟ →∞ lim and d x my y = − →∞ lim( ). WORKED EXAMPLES EXAMPLE 1 Find the asymptotes of the curve y x x 5 2 3 2 . Solution. The given curve is y x x = − 3 2 . M03_ENGINEERING_MATHEMATICS-I _CH03_Part D.indd 105 5/19/2016 7:42:05 PM
  • 329.
    3.106 ■ EngineeringMathematics When x y = → ∞ 2, . ∴ x = 2 is a vertical asymptote. Also rewriting the equation as x interms of y, x y y = − 2 3 . When y x = → ∞ 3, . So, y = 3 is a horizontal asymptote. Note: Determination of asymptotes parallel to the axes Let x k = be an asymptote parallel to the y-axis. Then lim ) y x k →∞ − = ( 0 ⇒ lim . y x k →∞ = Find the values of x, for which y → ∞. For each value of x we get a vertical asymptote x k = . Similarly, to find the asymptote parallel to the x-axis, find the values of y for which x → ∞. For each value of y, we get a horizontal asymptote y k = . EXAMPLE 2 Find the vertical and horizontal asymptotes of the curve y x x x 5 1 2 3 2 15 . 2 2 Solution. The curve is y x x x = + − 3 2 15 2 2 ⇒ 3 3 5 2 x x x ( )( ) − + When x = −5 and x = 3, y → ∞ ∴ x = −5 and x = 3 are vertical asymptotes. Now lim lim x x x x x →∞ →∞ = + − ⎡ ⎣ ⎢ ⎤ ⎦ ⎥ y 3 2 15 2 2 = + − ⎛ ⎝ ⎜ ⎞ ⎠ ⎟ ⎡ ⎣ ⎢ ⎢ ⎢ ⎢ ⎤ ⎦ ⎥ ⎥ ⎥ ⎥ = + − ⎡ ⎣ →∞ →∞ lim lim x x x x x x x x 3 1 2 15 3 1 2 15 2 2 2 2 ⎢ ⎢ ⎢ ⎢ ⎤ ⎦ ⎥ ⎥ ⎥ = 3 ∴ y = 3 is the horizontal asymptote. EXAMPLE 3 Find the vertical and horizontal asymptotes of the graph of the function f x x x x ( ) 9 3 . 2 2 5 2 1 Solution. Let the equation of the given curve be y x x x = − + 2 2 9 3 = + − + = − ( )( ) ( ) . x x x x x x 3 3 3 3 When x y = → ∞ 0, . ∴ x = 0 is a vertical asymptote. Now lim lim lim . x x x y x x x →∞ →∞ →∞ = − ⎛ ⎝ ⎜ ⎞ ⎠ ⎟ = − ⎛ ⎝ ⎜ ⎞ ⎠ ⎟ = 3 1 3 1 ∴ y = 1 is the horizontal asymptote. Note The graph has a break at x = 0 i.e., discontinuous at x = 0 and continuous for all other values of x. The y-axis x = 0 and y = 1 are the asymptotes. y y = 1 x = 3 0 x Fig. 3.24 M03_ENGINEERING_MATHEMATICS-I _CH03_Part D.indd 106 5/19/2016 7:42:13 PM
  • 330.
    Differential Calculus ■3.107 EXAMPLE 4 Find the asymptote of the curve y x x x 5 2 1 2 3 5 . Solution. The given curve is y x x x = − + 2 3 5 . When x y = → ∞ 3, . ∴ x = 3 is a vertical asymptote. Now lim lim lim . x x x y x x x x x →∞ →∞ →∞ = − + ⎛ ⎝ ⎜ ⎞ ⎠ ⎟ = − + ⎛ ⎝ ⎜ ⎜ ⎜ ⎞ ⎠ ⎟ ⎟ ⎟ → ∞ 2 3 5 2 1 3 5 ∴ there is no horizontal asymptote. To find the oblique asymptote We know m y x x x x = ⎛ ⎝ ⎜ ⎞ ⎠ ⎟ = − + ⎛ ⎝ ⎜ ⎞ ⎠ ⎟ = ∞ + = →∞ →∞ lim lim 2 3 5 2 5 5 And c y mx x x x x x x x x x = − = − + − ⎛ ⎝ ⎜ ⎞ ⎠ ⎟ = − ⎛ ⎝ ⎜ ⎞ ⎠ ⎟ = →∞ →∞ →∞ lim( ) lim lim l 2 3 5 5 2 3 i im . x x →∞ − ⎛ ⎝ ⎜ ⎜ ⎜ ⎞ ⎠ ⎟ ⎟ ⎟ = − = 2 1 3 2 1 0 2 ∴ y x = + 5 2 is an oblique asymyptote. EXAMPLE 5 Find the asymptotes if any, of the curve y xe x 5 1/ . Solution. The given curve is y xe x = 1/ . When x x → → ∞ 0 1 + , . ∴ → ∞ e x 1/ and lim lim ( / x x x y xe → + → + = ⋅∞ 0 0 1 0 form) = ∞ ∞ ⎛ ⎝ ⎜ ⎞ ⎠ ⎟ → + lim / / x x e x 0 1 1 form = − = = ∞ → + → + lim ( / ) , [ lim . / / x x x x e x x e 0 1 2 2 0 1 1 1 by L hopital s rule] ’ ’ ∴ as x y → + → ∞ 0 , . Hence, x = 0 is a vertical asymptote. It can be seen that as x y → ∞ → ∞ , and so, there is no horizontal asymptote. M03_ENGINEERING_MATHEMATICS-I _CH03_Part D.indd 107 5/19/2016 7:42:17 PM
  • 331.
    3.108 ■ EngineeringMathematics To find the oblique asymptote We know and m y x xe x e e c y mx x x x x x x = = = = = = − = →∞ →∞ →∞ →∞ lim lim lim . lim( ) lim / / 1 1 0 1 x x x xe x →∞ − ( ) / 1 (∞⋅0 form) ⇒ c e x e x x e e x x x x x x = − = − − = = = →∞ →∞ →∞ lim ( ) / lim ( / ) / lim / / / 1 1 2 2 1 0 1 1 1 1 1 0 0 form ⎛ ⎝ ⎜ ⎞ ⎠ ⎟ ∴ y x = +1 is the oblique asymptote. 3.8.1 A General Method Find the asymptotes of the rational algebraic curve f x y ( , ) 5 0 Consider the general algebraic curve of nth degree in x and y a x a x y a x y a xy a y b x b x y b n n n n n n n n n n 0 1 1 2 2 2 1 1 1 1 2 2 + + + + + + + + + − − − − − − … … y y c x c x y c y r x r y s n n n n n n n n − − − − − + + + + + + + + = 1 2 2 3 3 2 1 0 … … ( ) (1) It can be rewritten as x a a y x a y x a y x a y x x b b n n n n n n n 0 1 2 2 2 1 1 1 1 + + + + ⎛ ⎝ ⎜ ⎞ ⎠ ⎟ + ⎡ ⎣ ⎢ ⎢ ⎤ ⎦ ⎥ ⎥ + + − − − … 2 2 3 2 2 1 1 2 2 3 2 2 y x b y x b y x x c c y x c y x n n n n n n n + + + ⎡ ⎣ ⎢ ⎤ ⎦ ⎥ + + + + ⎡ ⎣ ⎢ − − − − − … … ⎤ ⎤ ⎦ ⎥ + + + ⎛ ⎝ ⎜ ⎞ ⎠ ⎟ + = − … x r r y x s n n n 1 0 It is of the form x y x x y x x y x x y x n n n n n n f f f f ⎛ ⎝ ⎜ ⎞ ⎠ ⎟ + ⎛ ⎝ ⎜ ⎞ ⎠ ⎟ + ⎛ ⎝ ⎜ ⎞ ⎠ ⎟ + + ⎛ ⎝ ⎜ ⎞ − − − − 1 1 2 2 1 … ⎠ ⎠ ⎟ + ⎛ ⎝ ⎜ ⎞ ⎠ ⎟ = f0 0 y x . (2) Where fr y x ⎛ ⎝ ⎜ ⎞ ⎠ ⎟ is a polynomial of degree r in y x . To find the point of intersection of the line y mx c = + with (2), put y x m c x = + in (2). ∴ x m c x x m c x x m c x n n n n n n f f f + ⎛ ⎝ ⎜ ⎞ ⎠ ⎟ + + ⎛ ⎝ ⎜ ⎞ ⎠ ⎟ + + ⎛ ⎝ ⎜ ⎞ ⎠ ⎟ + = − − − − 1 1 2 2 0 … . Expanding by Taylor’s theorem, we get x m c x m c x m n n n n f f f ( ) ( ) ! ( ) + ′ + ′′ + ⎡ ⎣ ⎢ ⎤ ⎦ ⎥ 1 2 2 2 … + + ′ + ′′ + ⎡ ⎣ ⎢ ⎤ ⎦ ⎥ − − − − x m c x m c x m n n n n 1 1 1 2 2 1 1 2 f f f ( ) ( ) ! ( ) … = − →∞ lim ( ) / x x x e1 1 M03_ENGINEERING_MATHEMATICS-I _CH03_Part D.indd 108 5/19/2016 7:42:22 PM
  • 332.
    Differential Calculus ■3.109 + + ′ + ′′ + ⎡ ⎣ ⎢ ⎤ ⎦ ⎥ + = − − − − x m c x m c x m n n n n 2 2 2 2 2 2 1 2 0 f f f ( ) ( ) ! ( ) . … … ⇒ x m x c m m n n n n n f f f ( ) [ ( ) ( )] + ′ + − − 1 1 + ′′ + ′ + ⎡ ⎣ ⎢ ⎤ ⎦ ⎥ + = − − − x c m c m m n n n n 2 2 1 2 2 0 ! ( ) ( ) ( ) . f f f … Dividing by xn , we get f f f n n n m x c m m ( ) [ ( ) ( )] + ′ + − 1 1 + ′′ + ′ + ⎡ ⎣ ⎢ ⎤ ⎦ ⎥ + = − − 1 2 0 2 2 1 2 x c m c m m n n n ! ( ) ( ) ( ) f f f … (3) Also from (2), we get f f f n n n y x x y x x y x ⎛ ⎝ ⎜ ⎞ ⎠ ⎟ + ⎛ ⎝ ⎜ ⎞ ⎠ ⎟ + ⎛ ⎝ ⎜ ⎞ ⎠ ⎟ + = − − 1 1 0 1 2 2 … . (4) y = mx + c is an asymptote if lim . x y x m → ⎛ ⎝ ⎜ ⎞ ⎠ ⎟ = ∞ Hence, from (4), we get fn m ( ) . = 0 (5) The real values of m are the slopes of the asymptotes. Substituting (5) in (3), we get 1 1 2 1 2 2 1 2 x c m m x c m c m m n n n n n [ ( ) ( )] ! ( ) ( ) ( ) ′ + + ′′ + ′ + ⎡ ⎣ ⎢ ⎤ ⎦ ⎥ − − − f f f f f + + = … 0. Multiplying by x and taking limit as x → ∞, we get c m m n n ′ + = − f f ( ) ( ) 1 0 ⇒ c m m n n = − ′ − f f 1( ) ( ) if ′ ≠ fn m ( ) . 0 (6) If m1 , m2 , …, mr are the real roots of fn m ( ) , = 0 then the corresponding values of c from (6) are c1 , c2 , …, cr ∴ the asymptotes are y m x c y m x c y m x c r r = + = + = + 1 1 2 2 , , , . … Note (1) Suppose ′ = fn m ( ) 0 and fn m − ≠ 1 0 ( ) then c is infinite and hence, there is no asymptote to the curve, in this case. (2) Suppose ′ = fn m ( ) 0 and fn m ( ) = 0 then c m m n n f f ( ) ( ) + = −1 0 is an identity. If ′ = fn m ( ) 0, then fn m ( ) = 0 has repeated roots. M03_ENGINEERING_MATHEMATICS-I _CH03_Part D.indd 109 5/19/2016 7:42:26 PM
  • 333.
    3.110 ■ EngineeringMathematics Let the repeated roots be m1 , m1 , then c is given by c m c m m n n n 2 1 2 2 0 ′′ + ′ + = − − f f f ( ) ( ) ( ) if ′′ ≠ fn m ( ) . 0 If c1 , c2 are the roots, then y m x c = + 1 1 and y m x c = + 1 2 are parallel asymptotes. Working Rule to find oblique asymptotes of algebraic rational function f(x, y) = 0 (1) Put x = 1, y = m in the highest degree terms. That is in the nth degree terms and find fn m ( ).Solve fn m ( ) = 0 to find the real roots m m mr 1 2 , ,..., . (2) Put x = 1, y = m in the next highest degree terms. That is in the (n − 1)th degree terms and get fn m −1( ). Then find c m m n n = − ′ − f f 1( ) ( ) if ′ ≠ fn m ( ) . 0 Find c1 , c2 , …, cr corresponding to m1 , m2 , … mr . Then the asymptotes are y m x c y m x c y m x c r r = + = + = + 1 1 2 2 , , ..., . (3) If ′ = fn m ( ) 0 and ′ = − fn m 1 0 ( ) and two roots of fn m ( ) = 0 are equal say m1 , m1 , then the values of c are given by c m c m m m n n n n 2 1 2 2 0 0 ′′ + ′ + ′ = ′′ ≠ − − f f f f ( ) ( ) ( ) ( ) . if If c1 , c2 are the roots, then we get parallel asymptotes y m x c = + 1 1 and y m x c = + 1 2. 3.8.2 Asymptotes parallel to the coordinates axes Let f(x, y) = 0 be the rational algebraic equation of the given curve. (1) To find the asymptotes parallel to the x-axis, equate to zero the coefficients of highest power of x. The linear factors of this equation are the asymptotes parallel to the x-axis. If the highest coefficient is constant or if the linear factors are imaginary, then there is no horizontal asymptotes. (2) To find the asymptotes parallel to the y-axis, equate to zero the coefficients of the highest power of y. The real linear factors of this equation are the asymptotes parallel to the y-axis. If the highest coefficient is constant or if the linear factors are imaginary, then there is no vertical asymptotes. WORKED EXAMPLES EXAMPLE 1 Find the asymptotes of the curve x x y xy y y xy y 3 2 2 3 2 2 2 4 2 1 0. 1 2 2 1 1 1 2 5 M03_ENGINEERING_MATHEMATICS-I _CH03_Part D.indd 110 5/19/2016 7:42:30 PM
  • 334.
    Differential Calculus ■3.111 Solution. The given curve is x x y xy y y xy y 3 2 2 3 2 2 2 4 2 1 0 + − − + + + − = . It is a third degree equation. The third degree terms are x x y xy y 3 2 2 3 2 2 + − − . Put x = 1, y = m, we get f3 2 3 1 2 2 ( ) m m m m = + − − (1) Solve f3 0 ( ) m = ⇒ 1 2 2 0 2 3 + − − = m m m ⇒ 1 2 1 2 0 2 + − − = m m m ( ) ⇒ ( )( ) 1 2 1 0 2 + − = m m ⇒ ( )( )( ) 1 2 1 1 0 + − + = m m m ⇒ m = − − 1 2 1 1 , , Now put x =1, y = m in the second degree terms 4y2 + 2xy. We get f2 2 4 2 2 2 1 ( ) ( ) m m m m m = + = + Now c m m m m n n = − ′ = − ′ − f f f f 1 2 3 ( ) ( ) ( ) ( ) But f3 2 3 1 2 2 ( ) m m m m = + − − ∴ ′ = − − = − + − f3 2 2 2 2 6 2 3 1 ( ) ( ) m m m m m ∴ c m m m m m m m m = − + − + − = + + − 2 2 1 2 3 1 2 1 3 1 2 2 ( ) ( ) ( ) . When m = − 1 2 , c = 0 When m = −1 c = − − + − + − − = − − = ( )( ) ( ) ( ) . 1 2 1 3 1 1 1 1 3 1 1 1 2 When m = 1 c = + + − = = 1 2 1 1 3 1 1 1 3 3 1 2 ( ) ⋅ ⋅ ∴ the asymptotes are y x y x y x = − = − + = + 1 2 1 1 , , . Note Since the coefficient of x3 and y3 are constants, there is no asymptotes parallel to x-axis and y-axis. EXAMPLE 2 Find the asymptotes of the curve y x y xy y 3 2 2 2 1 0. 1 1 2 1 5 Solution. The given curve is y x y xy y 3 2 2 2 1 0 + + − + = . It is cubic equation. M03_ENGINEERING_MATHEMATICS-I _CH03_Part D.indd 111 5/19/2016 7:42:35 PM
  • 335.
    3.112 ■ EngineeringMathematics Since coefficient of y 3 is 1, a constant, there is no asymptotes parallel to the y-axis. The highest degree term in x is x2 and the coefficient of x2 is y, equating the coefficient of x2 to zero we get y = 0 is the asymptote, which is the x−axis. To find the other asymptotes Put x y m = = 1, in the cubic terms y x y xy 3 2 2 2 + + . ∴ f3 3 2 2 ( ) m m m m = + + ∴ ′ = + + f3 2 3 4 1 ( ) . m m m There is no second degree terms. ∴ f2 0 ( ) m = and c m m m = − ′ ′ ≠ f f f 2 3 3 0 ( ) ( ) ( ) if (1) Solving f3 0 ( ) m = ⇒ m m m 3 3 2 0 + + = ⇒ m m m ( ) 2 2 1 0 + + = ⇒ m m ( ) + = 1 0 2 ⇒ m m = = − − 0 1 1 or , . When m c = = 0 0 , . ∴ the asymptote isy = 0. But when m = −1, we can’t find c using (1), because ′ − = f3 1 0 ( ) . ∴ we can find c using c m c m m 2 3 2 1 2 0 ′′ + ′ + = f f f ( ) ( ) ( ) Now f f f 3 2 1 6 4 0 1 ″ ′ ( ) , ( ) , ( ) m m m m = + = = − ∴ c m m 2 2 6 4 0 0 ( ) + + − = ⇒ c m m 2 3 4 0 ( ) + − = When m c = − − + − = 1 3 1 4 1 0 2 , ( ( ) ) ⇒ c c 2 1 0 1 − = ⇒ = ± ∴ there are two parallel asymptotes y x y x = − + = − − 1 1 and . ∴ the three asymptotes are y y x y x = = − + = − − 0 1 1 , , . EXAMPLE 3 Find the asymptotes of the curve x t t y t t 5 1 5 1 1 2 3 2 1 , 2 1 . Solution. The equation of the curve is given in parametric form x t t y t t = + = + + 2 3 2 1 2 1 and . M03_ENGINEERING_MATHEMATICS-I _CH03_Part D.indd 112 5/19/2016 7:42:43 PM
  • 336.
    Differential Calculus ■3.113 When t x y = − → ∞ → ∞ 1, and , we get an asymptote. We know that y mx c = + is an asymptote if m y x x = →∞ lim and c y mx x = − →∞ lim( ) where (x, y) is a point on the curve. We have m y x x = ⎛ ⎝ ⎜ ⎞ ⎠ ⎟ →∞ lim = + + + ⎡ ⎣ ⎢ ⎢ ⎢ ⎢ ⎤ ⎦ ⎥ ⎥ ⎥ ⎥ →− lim t t t t t 1 2 2 3 2 1 1 ( , ). { asx t → ∞ → −1 = + − + ⎡ ⎣ ⎢ ⎤ ⎦ ⎥ = − + − − − + − →− lim ( )( ) (( ) )[( ) ( ) ] ( ) t t t t t 1 2 2 2 2 2 2 1 1 2 1 1 1 1 2 2 1 2 1 1 1 9 = + + + = ( )( ) . and c y mx x = − →∞ lim( ) = − = + + − + ⎡ ⎣ ⎢ ⎤ ⎦ ⎥ →∞ →− lim( ) lim x t y x t t t t 9 2 1 9 1 1 2 2 3 = + →− lim ( )( t t 2 1 1 2 + + − + + + = + − + − + →− t t t t t t t t t t t 3 2 3 1 2 2 2 9 1 1 1 2 1 9 1 ) ( ) ( )( ) lim [( )( ) ]( ) ( ( )( ) 1 1 3 + + t t = + − + − + = − + + − + − →− →− lim ( )( ) ( ) lim t t t t t t t t t t t t 1 2 2 2 3 1 4 3 2 2 2 1 9 1 2 2 2 9 9 1 6 2 2 1 2 3 1 4 3 2 3 t t t t t t t t ( ) lim + = − + − + + →− 0 0 form ⎡ ⎣ ⎢ ⎤ ⎦ ⎥ = − − − →− lim t t t t t 1 3 2 2 4 3 12 2 3 [by L’Hopital’s rule] = − − − − − − − = − − + − = − = 4 1 3 1 12 1 2 3 1 4 3 12 2 3 12 9 3 1 3 2 2 ( ) ( ) ( ) ( ) . ∴ the asymptote is y x = + 9 1. 3.8.3 Another Method for Finding the Asymptotes Let the equation of the curve be nth degree in x and y. Suppose the nth degree curve can be put in the form ( ) ax by c P F n n + + + = − − 1 1 0, where Pn−1 and Fn−1 denote polynomials of degree ( ) n −1 in x and y. Any line parallel to ax by c + + = 0 that cut the curve in two points at infinity is an asymptote and it is given by ax by c F P y a b x n n + + + ⎛ ⎝ ⎜ ⎞ ⎠ ⎟ = =− →∞ − − lim , 1 1 0 if the limit is finite. M03_ENGINEERING_MATHEMATICS-I _CH03_Part D.indd 113 5/19/2016 7:42:49 PM
  • 337.
    3.114 ■ EngineeringMathematics Suppose ax by c + + is a factor of Pn−1 , then the equation of the curve takes the form ( ) ax by c P F n n + + + = − − 2 2 2 0 and the parallel asymptotes are given by ax by c F P n n + + = ± − ⎛ ⎝ ⎜ ⎞ ⎠ ⎟ ⎡ ⎣ ⎢ ⎢ ⎤ ⎦ ⎥ ⎥ − − lim , / 2 2 1 2 when x y y a b x , . → ∞ = − along If the equation is (ax + by + c)Pn−1 + Fn−2 = 0, then ax + by + c = 0 is an asymptote. WORKED EXAMPLES EXAMPLE 1 Find the asymptotes of x y axy 3 3 3 1 5 . Solution. The equation of the given curve is x y axy 3 3 3 + = . ⇒ ( )( ) . x y x xy y axy + − + − = 2 2 3 0 This is of the form ( ) . x y P F n n + + = − − 1 1 0 ∴ the asymptotes parallel to x y + = 0is ⇒ x y axy x xy y y x + + − − + ⎡ ⎣ ⎢ ⎤ ⎦ ⎥ = =− →∞ lim 3 0 2 2 ⇒ x y ax x x x x x x + + − − − − + − = →∞ lim ( ) ( ) ( ) 3 0 2 2 ⇒ x y ax x x + + = →∞ lim 3 3 0 2 2 ⇒ x y a x + + = →∞ lim 0 ⇒ x y a + + = 0. There is no asymptote parallel to the axes. It has only one asymptote. EXAMPLE 2 Find the asymptotes of ( ) ( x y 1 1 1 5 1 2 2 x y x y 2 2) 9 2. Solution. The equation of the given curve is ( ) ( ) . x y x y x y + + + = + − 2 2 2 9 2 This is of the form ( ) . x y P F n n + + = − − 2 2 2 0 The asymptotes parallel to x y + = 0 are ( ) lim x y x y x y y x + = + − + + =− →∞ 2 9 2 2 2 = − − − + →∞ lim x x x x x 9 2 2 2 = + − = + ⎛ ⎝ ⎜ ⎞ ⎠ ⎟ − ⎛ ⎝ ⎜ ⎞ ⎠ ⎟ = + →∞ →∞ →∞ lim lim lim x x x x x x x x x x 8 2 2 8 1 2 8 1 2 8 1 2 8 ⎛ ⎛ ⎝ ⎜ ⎞ ⎠ ⎟ − = 1 2 8 x { 2 0 x → ⎡ ⎣ ⎢ ⎤ ⎦ ⎥ M03_ENGINEERING_MATHEMATICS-I _CH03_Part D.indd 114 5/19/2016 7:42:56 PM
  • 338.
    Differential Calculus ■3.115 ∴ x y + = ±2 2 are two asymptotes. Now the equation is of the form ( ) x y P F n n + + + = − − 2 2 0 1 2 ∴ x y + + = 2 2 0 ia an asymptote. Hence, x y x y + = ± + + = 2 2 2 2 0 , are the three asymptotes. [Work out this by the general method] EXAMPLE 3 Find the asymptotes of x x y xy x xy 3 2 2 2 2 2 0. 2 1 1 2 1 5 Solution. It is a third degree equation in x and y. Since the coefficient of x3 is constant there is no asymptote parallel to the x-axis. Since the coefficient of y 3 is x, asymptote parallel to the y-axis is x = 0. That is the y-axis itself. Factorising the third degree terms x x xy y x x y ( ) ( ) 2 2 2 2 0 − + + − + = ⇒ x x y x x y ( ) ( ) − + − + = 2 2 0 ⇒ x y x x y x ( ) ( ) − − − + = 2 2 0 ⇒ ( ) ( ) . y x y x x − − − + = 2 2 0 Asymptote parallel to y x − = 0 is given by ( ) ( ) lim y x y x x y x − − − + = = →∞ 2 2 0 ⇒ ( ) ( ) y x y x − − − = 2 0 ⇒ ( )[( ) ] y x y x − − − = 1 0 ⇒ y x y x − = − − = 0 1 0 , ∴ the asymptotes are x y x y x = − = − − = 0 0 1 0 , , . 3.8.4 Asymptotes by Inspection In certain cases, we can find the asymptotes of an rational algebraic equation without any calculations. If the equation can be rewritten in the form F F n n + = −2 0, where Fn is a polynomial of degree n in x and y and Fn−2 is a polynomial of degree almost n − 2. If Fn can be factored into linear factors so that no two of them represent parallel straight lines, then Fn = 0 gives all the asymptotes. For example: The equation of the hyperbola x a y b 2 2 2 2 1 − = is of the F F n n + = −2 0, where F x a y b x a y b x a y b n = − = − ⎛ ⎝ ⎜ ⎞ ⎠ ⎟ + ⎛ ⎝ ⎜ ⎞ ⎠ ⎟ 2 2 2 2 . So, the asymptotes are x a y b x a y b − = + = 0 0 and . M03_ENGINEERING_MATHEMATICS-I _CH03_Part D.indd 115 5/19/2016 7:43:03 PM
  • 339.
    3.116 ■ EngineeringMathematics WORKED EXAMPLES EXAMPLE 4 Find the asymptotes of ( )( )( 2 4) 3 7 6. x y x y x y x y 1 2 2 2 5 1 2 Solution. The given curve is ( )( )( ) ( ) . x y x y x y x y + − − − − + − = 2 4 3 7 6 0 This is of the form F F n n + = −2 0, where F F x y x y x y n = = + − − − 3 2 4 ( )( )( ) and Fn is the product of linear factors, which do not represent parallel lines. ∴ the asymptotes are given by Fn = 0 ⇒ ( )( )( ) x y x y x y + − − − = 2 4 0 ∴ The asymptotes of the given curve are x y x y x y + = − = − − = 0 0 2 4 0 , , . 3.8.5 Intersection of a Curve and Its Asymptotes Any asymptote of an algebraic curve of nth degree cuts the curve in two points at infinity and in ( ) n − 2 other points. So, the n asymptotes of the curve cut it in atmost n n ( ) − 2 points. If the equation of the curve is written in the form F F n n + = −2 0, where Fn is of nth degree and is a product of n linear factors and Fn−2 is of degree atmost n − 2, then, the equation of the asymptote is given by Fn = 0. So, the point of intersection of the curve and the asymptote are obtained by solving Fn = 0, F F n n + = −2 0 and hence such points lie on the curve Fn− = 2 0. Note If C is the equation of the curve and A is the combined equation of the asymptotes, then the curve on which the points intersection of the asymptotes lie is C A − = 0. WORKED EXAMPLES EXAMPLE 5 Show that the asymptotes of the cubic x y xy xy y x y 2 2 2 0 2 1 1 1 2 5 cut the curve again in three points which lie on the line x y 1 5 0 . Solution. The given curve is x y xy xy y x y 2 2 2 0 − + + + − = Since the coefficient of x2 is y, the asymptote parallel to the x-axis is y = 0. Since the coefficient of y 2 is 1− x , the equation of the asymptote parallel to the y-axis is 1 0 1 − = ⇒ = x x . M03_ENGINEERING_MATHEMATICS-I _CH03_Part D.indd 116 5/19/2016 7:43:08 PM
  • 340.
    Differential Calculus ■3.117 Now the equation can be rewritten as xy x y xy y x y ( ) ( ) − + + + − = 2 0 This is of the form ( ) . x y P F n n − + = − − 1 1 0 ∴ the asymptote parallel to x y − = 0 is x y F P x y n n − + = = →∞ − − lim 1 1 0 ⇒ x y xy y x y xy x y − + + + − ⎡ ⎣ ⎢ ⎤ ⎦ ⎥ = = →∞ lim 2 0 ⇒ x y x x x x x x − + + + − ⎡ ⎣ ⎢ ⎤ ⎦ ⎥ = →∞ lim 2 2 2 0 ⇒x y x x x − + ⎛ ⎝ ⎜ ⎞ ⎠ ⎟ = →∞ lim 2 0 2 2 ⇒ x y − + = 2 0. ∴ the asymptotes are y x x y = − = − + = 0 1 0 2 0 , , . The curve cannot have more than 3 asymptotes. ∴ their combined equation is y x x y ( )( ) − − + = 1 2 0 ⇒ ( )( ) xy y x y − − + = 2 0 ⇒ x y xy xy xy y y 2 2 2 2 2 0 − + − + − = ⇒ x y xy xy y y 2 2 2 2 0 − + + − = . ∴ A x y xy xy y y ≡ − + + − = 2 2 2 2 0. The curve is C x y xy xy y x y ≡ − + + + − = 2 2 2 0. The point of intersection of the asymptotes lie on the curve. C A − = 0. ⇒ x y + = 0, which is a straight line and the number of points of intersection is 3(3 – 2) = 3. EXAMPLE 6 Show that the four asymptotes of the curve ( )( 4 ) 6 5 3 2 3 1 0 2 2 2 2 3 2 2 2 2 x y y x x x y xy y x xy 2 2 1 2 2 1 2 1 2 5 cut the curve again in eight points which lie on a conic. Solution. The given curve is ( )( ) . x y y x x x y xy y x xy 2 2 2 2 3 2 2 2 2 4 6 5 3 2 3 1 0 − − + − − + − + − = Put x y m = = 1, in the fourth degree terms, we get f4 2 2 1 4 ( ) ( )( ) m m m = − − . Put x y m = = 1, in the third degree terms, we get f3 2 6 5 3 ( ) m m m = − − . ∴ ′ = − + − − = − − + = − f4 2 2 2 2 2 1 2 4 2 2 1 4 2 5 2 ( ) ( )( ) ( )( ) [ ] [ ] m m m m m m m m m m ∴ c m m m m m m = − ′ = − − − − ⎡ ⎣ ⎢ ⎤ ⎦ ⎥ f f 3 4 2 2 6 5 3 2 5 2 ( ) ( ) ( ) . M03_ENGINEERING_MATHEMATICS-I _CH03_Part D.indd 117 5/19/2016 7:43:16 PM
  • 341.
    3.118 ■ EngineeringMathematics Solving f4 0 ( ) , m = we get ( )( ) 1 4 0 2 2 − − = m m ⇒ 1 0 4 0 2 2 − = − = m m or ⇒ m m = ± = ± 1 2 or . When m c = − = − − − − − − − − ⎡ ⎣ ⎢ ⎤ ⎦ ⎥ = − + − − ⋅ = 1 6 5 1 3 1 2 1 5 2 1 6 5 3 2 3 8 2 2 , ( ) ( ) ( )( ( ) ) ( ) 2 2 3 4 3 × = . ∴ asymptote is y x = − + 4 3 ⇒ y x + − = 4 3 0. When m c = = − − ⋅ − ⋅ ⋅ ⋅ − ⋅ = − − ⋅ = 1 6 5 1 3 1 2 1 5 1 2 1 2 2 3 1 3 2 2 , ( ) ( ) ( ) . ∴ the asymptote is y x = + 1 3 ⇒ y x − − = 1 3 0. When m c = − = − − − − − − − − = − + − − − = 2 6 5 2 3 2 2 2 5 2 2 6 10 12 4 5 8 2 2 , [ ( ) ( ) ] ( )[ ( ) ] [ ] [ ] − − × = − 4 4 3 1 3 . ∴ the asymptote is y x = − − 2 1 3 ⇒ y x + + = 2 1 3 0. When m c = = − − × − ⋅ ⋅ − ⋅ 2 6 5 2 3 2 2 2 5 2 2 2 2 , [ ] ( ) = − − − − [ ] ( ) 6 10 12 4 5 8 = − × = − 16 4 3 4 3 . ∴ the asymptote is y x = − 2 4 3 ⇒ y x − + = 2 4 3 0. The fourth degree equation has 4 asymptotes. ∴ the combined equation of the asymptotes is y x y x y x y x + − ⎛ ⎝ ⎜ ⎞ ⎠ ⎟ − − ⎛ ⎝ ⎜ ⎞ ⎠ ⎟ + + ⎛ ⎝ ⎜ ⎞ ⎠ ⎟ − + ⎛ ⎝ ⎜ ⎞ ⎠ ⎟ = 4 3 1 3 2 1 3 2 4 3 0 ⇒ y x y x y x y x y x y x 2 2 2 2 1 3 4 3 4 9 4 4 3 2 1 3 2 4 9 − − + − − + ⎡ ⎣ ⎢ ⎤ ⎦ ⎥ − + + + − + ⎡ ( ) ( ) ( ) ( ) ⎣ ⎣ ⎢ ⎤ ⎦ ⎥ = 0 ⇒ ( )( ) ( )( ) ( )( ) ( ) y x y x y x y x y x y x y x 2 2 2 2 2 2 2 2 2 2 4 4 3 2 1 3 2 4 9 − − + − + + − − + − − + − − + + − + − − + 1 3 4 4 9 2 1 9 2 4 27 2 2 ( )( ) ( )( ) ( )( ) ( ) y x y x y x y x y x y x y x − − − − − + − − − − − 4 3 4 16 9 2 4 9 2 16 27 2 2 ( )( ) ( )( ) ( )( ) ( ) y x y x y x y x y x y x y x + − + + + − + = 4 9 4 16 27 2 4 27 2 16 81 0 2 2 ( ) ( ) ( ) y x y x y x M03_ENGINEERING_MATHEMATICS-I _CH03_Part D.indd 118 5/19/2016 7:43:23 PM
  • 342.
    Differential Calculus ■3.119 ⇒ ( )( ) x y y x xy x x y y x xy x 2 2 2 2 2 3 2 2 2 4 3 6 5 17 9 2 9 5 3 4 3 16 81 0 − − − + − + + + − − = ∴ A x y y x xy x x y y x xy x ≡ − − − + − + + + − − = ( )( ) 2 2 2 2 2 3 2 2 2 4 3 6 5 17 9 2 9 5 3 4 3 16 81 0 C x y y x x x y xy y x xy ≡ − − + − − + − + − = ( )( ) 2 2 2 2 3 2 2 2 2 4 6 5 3 2 3 1 0. The points of intersection lie on the curve C A − = 0. ⇒ 2 17 9 2 9 3 5 3 4 3 1 16 81 0 2 2 2 2 y y x x xy xy x − − − + − + − + = ⇒ 1 9 11 9 4 3 4 3 65 81 0 2 2 y x xy x − + + − = ⇒ y x xy x 2 2 11 12 12 65 9 0 − + + − = . which is a hyperbola. [ ∴ h2 − ab 0] EXAMPLE 7 Determine the asymptotes of the curve 4 17 4 4 2 2 0 4 4 2 2 2 2 2 ( ) ( ) ( ) x y x y x y x x 1 2 2 2 1 2 5 and show that they pass through the points of intersection of the curve with the ellipse x y 2 2 4 4 1 5 . Solution. The given curve is 4 17 4 4 2 2 0 4 4 2 2 2 2 2 ( ) ( ) ( ) x y x y x y x x + − − − + − = Put x y m = = 1, in the fourth degree terms, we get f4 4 2 4 1 17 ( ) ( ) m m m = + − ∴ ′ = − f4 3 16 34 ( ) m m m Put x y m = = 1, in the third degree terms, we get f3 2 4 4 1 ( ) ( ) m m = − − . ∴ c m m = − ′ f f 3 4 ( ) ( ) = − − = − − 4 4 1 16 34 2 4 1 8 17 2 3 2 3 ( ) ( ) m m m m m m Solving, f4 0 ( ) m = , we get 4 1 17 0 4 2 ( ) + − = m m ⇒ 4 17 4 0 4 2 m m − + = ⇒ 4 16 4 0 4 2 2 m m m − − + = ⇒ 4 4 1 4 0 2 2 2 m m m ( ) ( ) − − − = M03_ENGINEERING_MATHEMATICS-I _CH03_Part D.indd 119 5/19/2016 7:43:29 PM
  • 343.
    3.120 ■ EngineeringMathematics ⇒ ( )( ) 4 1 4 0 2 2 m m − − = ⇒ 4 1 0 2 m − = or m2 4 0 − = ⇒ m = ± 1 2 or m = ± 2. When m = − 1 2 , c = ⋅ − ⎛ ⎝ ⎜ ⎞ ⎠ ⎟ − ⎡ ⎣ ⎢ ⎢ ⎤ ⎦ ⎥ ⎥ − ⎛ ⎝ ⎜ ⎞ ⎠ ⎟ − − ⎛ ⎝ ⎜ ⎞ ⎠ ⎟ = ⋅ − ⎡ ⎣ 2 4 1 2 1 8 1 2 17 1 2 2 4 1 4 1 2 3 ⎢ ⎢ ⎤ ⎦ ⎥ − + = 1 17 2 0. ∴ the asymptote is y x y x = − ⇒ + = 2 2 0 . When m = 1 2 , c = ⋅ ⎛ ⎝ ⎜ ⎞ ⎠ ⎟ − ⎡ ⎣ ⎢ ⎤ ⎦ ⎥ ⎛ ⎝ ⎜ ⎞ ⎠ ⎟ − ⎛ ⎝ ⎜ ⎞ ⎠ ⎟ = 2 4 1 4 1 8 1 2 17 1 2 0 3 . ∴ the asymptote is y x y x = ⇒ − = 2 2 0 . When m = −2, c = ⋅ − − − − 2 4 4 1 8 2 17 2 3 ( ) ( ) ( ) = × − + = − = − 2 15 64 34 30 30 1. ∴ the asymptote is y x y x = − − ⇒ + + = 2 1 2 1 0. When m = 2, c = ⋅ − × − × 2 4 4 1 8 2 17 2 3 ( ) = × − = = 2 15 64 34 30 30 1. ∴ the asymptote is y x y x = + ⇒ − + = 2 1 2 1 0 ( ) . The 4th degree equation has 4 asymptotes. Now the combined equation of the asymptotes is ( )( )[ ( )][ ( )] 2 2 2 1 2 1 0 y x y x y x y x + − + + − + = ⇒ ( )[ ( ) ] 4 2 1 0 2 2 2 2 y x y x − − + = ⇒ ( )[ ( )] 4 4 4 1 0 2 2 2 2 y x y x x − − + + = ⇒ ( )( ) 4 4 4 1 0 2 2 2 2 y x y x x − − − − = ⇒ ( )( ) ( ) ( ) 4 4 4 4 4 0 2 2 2 2 2 2 2 2 y x y x x y x y x − − − − − − = ⇒ 4 17 4 16 4 4 0 4 2 2 4 2 3 2 2 y x y x xy x y x − + − + − + = ⇒ 4 17 16 4 4 0 4 4 2 2 2 3 2 2 ( ) x y x y xy x y x + − − + − + = ∴ A x y x y xy x y x ≡ + − − + − + = 4 17 16 4 4 0 4 4 2 2 2 3 2 2 ( ) M03_ENGINEERING_MATHEMATICS-I _CH03_Part D.indd 120 5/19/2016 7:43:38 PM
  • 344.
    Differential Calculus ■3.121 The curve is C x y x y xy x x ≡ + − − + + − = 4 17 16 4 2 4 0 4 4 2 2 2 3 2 ( ) . The four asymptotes intersect the curve in 4 4 2 8 ( ) − = points and they lie on the curve C A − = 0. ⇒ 4 4 0 2 2 y x + − = ⇒ x y 2 2 4 4 + = . which is an ellipse. EXERCISE 3.13 I. Obtain the horizontal and the vertical asymptotes, if any, of the following curves. 1. y x x = − 2 2. y x x = + 2 1 3. y x x = − 2 1 4. x y 2 2 5 1 + = 5. y x x e = log , 0 6. y e x = − 2 7. y x x = + 2 1 8. y x x = − + 3 1 2 9. y x x = + − 2 2 2 1 10. y x = sec 11. y x = tan 12. xy x x e = log , 0 13. y ex = 14. y x x = + − 2 3 15. y x x = + 2 3 2 II. Find the asymptotes of the following curves. 1. x y xy xy y x 2 2 2 3 0 + + + + = 2. ( )( )( ) ( ) x y x y x y x x y x + − − − − + = 2 4 2 4 0 3. 2 2 4 8 4 1 0 3 2 2 3 2 x x y xy y x xy x − − + − + − + = 4. x y x y xy x y 2 2 2 2 1 0 − − + + + = 5. ( ) ( ) ( ) x y x y x y + + + − + − = 2 2 2 9 2 0 6. y xy x y x y xy x y x 3 2 2 3 2 2 2 2 3 7 2 2 2 1 0 − − + + − + + + + = 7. y x y xy y 3 2 2 2 1 0 + + − + = 8. x x y xy y x y 3 2 2 3 2 4 8 4 8 1 + − − − + = 9. y x x y 2 2 = − ( ) 10. 8 10 3 2 4 2 0 2 2 x xy y x y + − − + − = 11. ( )( ) x y x y x y 2 2 2 1 1 0 − + + + + + = 12. x x y xy x xy 3 2 2 2 2 2 0 − + + − + = 13. ( )( )( )( ) y x y x y x y x x y + + + − + − + = − + − 1 1 2 2 3 5 0 2 2 III. Show that the asymptotes of the cubic x y xy x y y x y 3 3 2 2 1 0 − + − + − + = ( ) ( ) cuts the curve in three points which lie on the straight line x y − + = 1 0. IV . Show that the four asymptotes of the curve ( )( ) x y y x x x y xy y x xy 2 2 2 2 3 2 2 3 2 4 6 5 3 2 3 1 0 − − + − − + − + − = cuts in 8 points which lie on a circle. M03_ENGINEERING_MATHEMATICS-I _CH03_Part D.indd 121 5/19/2016 8:44:52 PM
  • 345.
    3.122 ■ EngineeringMathematics ANSWERS TO EXERCISE 3.13 I. 1. x y = = 2 1 , 2. x = −1 3. x y = ± = 1 0 , 4. No, it is an ellipse which is a finite curve. 5. x = 0 6. y = 0 7. y = 0 8. x y = − = 2 3 , 9. x y = ± = 1 1 , 10. x n n = + = ( ) , , , , , 2 1 2 0 1 2 3 p … 11. x n n = + = ( ) , , , , , 2 1 2 0 1 2 3 p … 12. y = 0 13. y = 0 14. x = 3 and y = 1 15. x = 3, y = 2x − 6 II. 1. x y y x = − = = − 1 0 , , 2. y x y x y x = + = − = − + 9 2 4 2 , , 3. y x y x y x = − + = + = − 2 2 2 4 , , 4. x y x y = = = = 0 0 1 1 , , , 5. x y x y + + = + = ± 2 2 0 2 2 , 6. y x y x y x = − = − − = 1 2 2 , , 7. y x y x y = + = + = − 0 1 1 , , 8. y x y x y x = = − + = − − 2 2 1 2 1 , , 9. y = x − 1 10. 3y = −2x + 1 11. x + 2y + 1 = 0; y = x; y = −x 12. x = 0, y = x, y = x + 1 13. y + x − 1 = 0, y + 2x + 1 = 0, y + 3x − 2 = 0 and y − x = 0 3.9 CONCAVITY In Section 3.4, we have seen that the sign of first derivative of a function tells us where the function is increasing or decreasing. Critical points are the points where the first derivative is zero or the points where the first derivative does not exist. At these points, local maximum or local minimum occurs. We shall now discuss another aspect of the shape of a curve called concavity. All these concepts are needed to draw the graph of a function. Definition 3.9 Let f be a differentiable function in the interval (a, b). The graph of f, viz, the curve given by the equation y f x = ( ) is said to be concave up in (a, b) if the curve lies above every tangent to the curve in (a, b) The curve is said to be concave down in (a, b) if the curve lies below every tangent to the curve in (a, b) Note Concave up is sometimes referred as convex down and concave down is referred as convex up. M03_ENGINEERING_MATHEMATICS-I _CH03_Part D.indd 122 5/19/2016 8:44:55 PM
  • 346.
    Differential Calculus ■3.123 Theorem 3.8 Criterion for Concavity Let f be defined on [a, b] and let f″ exist in (a, b). 1. If f″ (x) 0 ∀ x a b ∈( , ), then the graph of f, viz, the curve y f x = ( ) is concave down in ( , ). a b 2. If f″ (x) 0 ∀ x a b ∈( , ), then the graph of f, viz, the curve y f x = ( ) is concave up in ( , ). a b Definition 3.10 Point of Inflexion A point P on the curve y f x = ( ) is said to be a point of inflexion, if the curve has a tangent at the point P and the curve changes from concave up to concave down or vice versa at the point P. Criteria for point of inflexion (or inflection) 1. If f be a function such that f″(c) = 0 and f″′(c) ≠ 0 then the point ( , ( )) c f c is a point of inflexion on the curve y f x = ( ). 2. Let f be a function such that f″(x) changes sign in a neighbourhood ( , ) c c − + d d of c as x increases, then the point ( , ( )) c f c is a point of inflexion on the curve y f x = ( ).(even if f″(c) = 0 or f″(c) does not exist). Note 1. The position of the point of inflexion on a curve is independent of the position of x and y axes. Therefore, the point of inflexion is unaffected by the interchange of these x and y axes. When dy dx = ∞, we may use dx dy d x dy , 2 2 to determine the point of inflexion. 2. At a point of inflexion, the curve crosses the tangent at the point. For example, for the curve y x x = = 3 0 , is a point of inflexion, the tangent at the point is x-axis x O y y = x3 Fig. 3.27 x = a x = b Concave up x = a x = b Concave down Fig. 3.25 Fig. 3.26 M03_ENGINEERING_MATHEMATICS-I _CH03_Part D.indd 123 5/19/2016 8:44:58 PM
  • 347.
    3.124 ■ EngineeringMathematics WORKED EXAMPLES EXAMPLE 1 Test the concavity of the curve y x e 5 log . Solution. The given curve is y x e = log (1) Since the domain of loge x is x 0, we test the concavity in the interval ( , ). 0 ∞ Differentiating (1) w.r.t. x, we get dy dx x d y dx x x = = − ∀ 1 1 0 0 2 2 2 and Therefore, the entire curve is concave down in the interval ( , ) 0 ∞ EXAMPLE 2 Find the ranges of values of x for which the curve y x x x x 5 2 1 1 1 4 3 2 6 12 4 10 is concave up or down. Further, find the points of inflexion. Solution. The given curve is y x x x x x = − + + + ∈ −∞ ∞ 4 3 2 6 12 4 10, ( , ) ∴ dy dx x x x = − + + 4 18 24 4 3 and d y dx x x 2 2 2 12 36 24 = − + = − + = − − 12 3 2 12 1 2 2 ( ) ( )( ) x x x x When 1 x 2, ( )( ) x x − − 1 2 0 ∴ if 1 x 2, then d y dx 2 2 0 The curve is concave down in (1, 2). Similarly, if x 1 or x 2, then ( )( ) x x − − 1 2 0 ∴ if x 1 or x 2, then d y dx 2 2 0 The curve is concave up in ( , ) −∞ ∞ 1 and (2, ). To find the point of inflexion, we have d y dx d y dx 2 2 3 3 0 0 = ≠ and x y O (1, 0) y = loge x Fig. 3.28 ∞ −∞ 1 2 M03_ENGINEERING_MATHEMATICS-I _CH03_Part D.indd 124 6/3/2016 7:57:01 PM
  • 348.
    Differential Calculus ■3.125 Now, d y dx 2 2 0 = ⇒ 12 1 2 0 1 2 ( )( ) x x x − − = ⇒ = or and d y dx 3 3 = 24 36 x − When x d y dx = = ⋅ − = − ≠ 1 24 1 36 12 0 3 3 , When x d y dx = = ⋅ − = ≠ 2 24 2 36 12 0 3 3 , When x = 1 and x = 2, the curve has the points of inflexion. When x y = = − × + × + × + = 1 1 6 1 12 1 4 1 10 21 , . When x y = = − × + × + × + = 2 2 6 2 12 2 4 2 10 34 4 3 2 , The points of inflexion on the curve are (1, 21) and (2, 34). EXAMPLE 3 Test the concavity of the curve x y a x y a 2 2 3 1 1 5 ( ) and show that the points of inflexion lie on the line x y a 1 5 4 3 . Solution. The given curve is x y a x y a 2 2 3 + + = ( ) ⇒ y x a a a x ( ) 2 2 3 2 + = − ⇒ y a a x x a = − + 2 2 2 ( ) (1) Differentiating (1) w.r. to x dy dx a x a a x x x a a x a ax x x = + − − − + = − − − + 2 2 2 2 2 2 2 2 2 2 2 1 2 2 2 [( )( ) ( ) ] ( ) [ ] ( + + = − − + a a x ax a x a 2 2 2 2 2 2 2 2 2 ) [ ] ( ) and d y dx a x a x a x ax a x a x x a 2 2 2 2 2 2 2 2 2 2 2 2 4 2 2 2 2 2 = + − − − − + ⋅ + [( ) ( ) ( ) .( ) ] ( ) = = + + − − − − + a x a x a x a x x ax a x a 2 2 2 2 2 2 2 2 2 4 2 4 2 ( )[ ( )( ) ( )] ( ) = − + − − + + + = − − + + 2 2 4 2 2 3 3 2 3 2 2 3 3 2 2 2 3 2 3 3 2 a x ax a x a x ax a x x a a x a ax [ ] ( ) [ a a x x a 2 2 2 3 ] ( ) + M03_ENGINEERING_MATHEMATICS-I _CH03_Part D.indd 125 5/19/2016 8:45:04 PM
  • 349.
    3.126 ■ EngineeringMathematics = − + + + + = − + + − + − 2 3 2 2 3 3 2 2 3 2 2 2 3 2 2 a x a ax x a x a a x a x a x ax a [ ( ) ( )] ( ) ( ) ( ) 3 3 2 4 2 2 2 3 2 2 ax a x a x a x ax a ⎡ ⎣ ⎤ ⎦ = − + + − + ⎡ ⎣ ⎤ ⎦ ( ) ( ) ∴ d y dx x a x ax a 2 2 2 2 0 4 0 = ⇒ + − + = ( )[ ] ⇒ x a x a a + = − = 0 4 2 or 0 2 x + Now, x a x a + = ⇒ = − 0 and x a a 2 4 − x + = 2 0 ⇒ x a a a = + − 4 16 4 2 2 2 = + = ± 4 2 3 2 2 3 a a a ( ) ∴ x a x a x a = − = − = + , ( ) , ( ) 2 3 2 3 and d y dx a x a x a x a x a 2 2 2 2 2 3 2 2 3 2 3 = − + + − − − + ( ) ( )[ ( ) ][ ( ) ] If x −a, all the three factors are negative. ⇒ ( )[ ( ) ] [ ( ) ] x a x a x a + − − − + 2 3 2 3 0 and a x a 2 2 2 3 2 0 − + ( ) always ∴ d y dx 2 2 0 If − − a x a d y dx ( ) , 2 3 0 2 2 then If ( ) ( ) , 2 3 2 3 0 2 2 − + a x a d y dx then If x a d y dx + ( ) , 2 3 0 2 2 then ∴ the curve is concave up in the intervals ( , ), [( ) , ( ) ] −∞ − − + a a a 2 3 2 3 and concave down in the intervals [ , ( ) ] [( ) , ) − − + ∞ a a a 2 3 2 3 and The points of inflexion are at x a a a = − − + , ( ) , ( ) . 2 3 2 3 When x a y a a a a a a = − = + + = , ( ) 2 2 2 When x a y a a a a a a a a = − = − − − + = − − + + = ( ) , [ ( ) ] ( ) [ ] [ ] ( 2 3 2 3 2 3 3 1 4 4 3 3 1 3 2 2 2 2 3 2 − − − 1 8 4 3 ) ⇒ y a a = − − = − − ∴ − = − = − ( ) [ ] ( ) ( ) [ ( ) ( )] 3 1 4 2 3 3 1 2 3 1 3 1 4 2 3 2 2 3 2 2 −∞ ∞ −a (2 − 3)a (2 + 3)a M03_ENGINEERING_MATHEMATICS-I _CH03_Part D.indd 126 5/19/2016 8:45:07 PM
  • 350.
    Differential Calculus ■3.127 = − = + − + = + a a a 2 3 1 3 1 2 3 1 3 1 3 1 4 ( ) ( ) ( )( ) ( ) When x a = + ( ) , 2 3 y a a a a a a a y a = − + + + = − − + + + = − + 2 2 2 2 3 2 2 3 2 3 3 1 4 3 4 3 1 3 1 4 2 [ ( ) ] ( ) [ ] ( ) ( ) ( + + = − + + 3 3 1 2 3 1 2 ) ( ) ( ) a = − + = − − + − = − − a a a 2 3 1 3 1 2 3 1 3 1 3 1 4 ( ) ( ) ( )( ) ( ) Thus, the points of inflexion are the points A(−a, a), B 2 3 4 3 1 − ( ) + ( ) ⎛ ⎝ ⎜ ⎞ ⎠ ⎟ a a , and C = 2 3 4 3 1 + ( ) − − ( ) ⎛ ⎝ ⎜ ⎞ ⎠ ⎟ a a , To prove the points A, B, and C are collinear, we have to prove the slope of AB = the slope BC. Now, the slope of AB = + − − + a a a a 4 3 1 2 3 ( ) = + − − + = − − ⎡ ⎣ ⎢ ⎤ ⎦ ⎥ = − a a 4 3 1 4 2 3 1 1 4 3 3 3 3 1 4 ( ) ( ) and slope of BC = − − − + + − − = − − + + ⎡ ⎣ ⎤ ⎦ + − − ⎡ ⎣ ⎤ ⎦ = a a a a a a 4 3 1 4 3 1 2 3 2 3 4 3 1 3 1 2 3 2 3 ( ) ( ) ( ) ( ) − − = − 1 4 2 3 2 3 1 4 ∴ slope of AB = slope of BC Therefore, the points A, B, C are collinear. The equation of the line in which the points of inflexion is y a x a − = − + 1 4 ( ) ⇒ 4 4 y a x a − = − − ⇒ x y a + = 4 3 EXERCISE 3.14 1. Show that y x = 4 is concave upwards at the origin. 2. Find the intervals in which the curve y x x x = − + − 3 40 3 20 5 3 is concave upwards or downwards. 3. Find the intervals in which the curve y x x = − 3 2 2 3 is concave upwards or concave downwards. 4. Show that the curve y x x = + 6 3 2 has three points of inflexion and they are collinear. 5. Find the points of inflexion of the curve y x x 2 2 1 = + ( ) . [ ( ) ( ) ∴ + = + + = + 3 1 3 1 2 3 2 2 3 2 ⇒ M03_ENGINEERING_MATHEMATICS-I _CH03_Part D.indd 127 5/19/2016 8:45:10 PM
  • 351.
    3.128 ■ EngineeringMathematics ANSWERS TO EXERCISE 3.14 2. Concave up in (−2, 0), ( , ) 2 ∞ and concave down in ( , ) −∞ − 2 and(0, 2). 3. Concave up in −∞ − ⎛ ⎝ ⎜ ⎞ ⎠ ⎟ , 1 2 and concave down in 1 2 , . ∞ ⎛ ⎝ ⎜ ⎞ ⎠ ⎟ 5. 1 3 4 3 3 1 3 4 3 3 , , , ⎛ ⎝ ⎜ ⎞ ⎠ ⎟ − ⎛ ⎝ ⎜ ⎞ ⎠ ⎟ 3.10 CURVE TRACING In dealing with the problems of finding the area of curves, length of arc, volume of solids of revolution, surface area of revolution etc, it is necessary to know the shape of the curve represented by the equation. It is not always possible to draw the curve by plotting few of the points. We can only draw the curve with the knowledge of the important characteristics of the curve like increasing, decreasing nature, maxima and minima, special points on the curve, concavity and convexity, asymptotes of the curve etc. We shall now give the general procedure for tracing the graph of y f x = ( ). The equation may be given in cartesian form, parametric form or polar form. 3.10.1 procedure for Tracing the Curve Given by the Cartesian Equation f(x, y) 5 0. 1. Symmetry The curve is symmetrical (i) about the x-axis if the equation is even degree in y . (ii) about the y-axis if the equation is even degree in x. (iii) about the origin O, when ( , ) x y is replaced by ( , ) − − x y , the equation is unaltered (iv) about the line y x = if the equation is unaltered when x and y are interchanged. i.e., ( , ) x y is replaced by ( , ) y x (v) about the line y x = − if the equation is unaltered when( , ) x y is replaced by ( , ) − − y x . 2. Special points on the curve Intersection with the axes and the origin, points of inflection etc. 3. Tangents at the origin It is obtained by equating the lowest degree terms to zero, if it is a polynomial equation in x and y passing through the origin. 4.Asymptotes Find the vertical, horizontal and oblique asymptotes. 5. Region Identify the domain or region of the plane in which the graph exists. M03_ENGINEERING_MATHEMATICS-I _CH03_Part D.indd 128 5/19/2016 8:45:13 PM
  • 352.
    Differential Calculus ■3.129 6. Sign of dy dx Determine the intervals of increasing, decreasing, Critical points etc. 7. Sign of d y dx 2 2 Intervals of concavity upwards and downwards and point of inflexion. 8. Loop If the curve intersects the line of symmetry at two points A and B , then there is a loop between A and B . Note However, the order of the steps can be interchanged depending on the nature of the equation of the curve. WORKED EXAMPLES EXAMPLE 1 Trace the curve y x 2 3 5 . [It is called the semi-cubical parabola] Solution. The given curve is y x 2 3 = . 1. Symmetry The given equation is even degree in y, so the curve is symmetrical about the x-axis. 2. Origin: it is a point on the curve. 3. Tangent at the origin: The tangent at the origin is got by equating the lowest degree terms to zero. That is y y 2 0 0 = ⇒ = ∴ the x-axis is the tangent at the origin. 4. Region y x x 2 3 0 0 0 ≥ ⇒ ≥ ⇒ ≥ . ∴ the curve lies on the right side of y-axis. 5. Sign of dy dx y x y dy dx x 2 3 2 2 3 = ⇒ = ⇒ dy dx x y = 3 2 2 ∴ if y 0, dy dx 0 That is, the curve is increasing for all x ≥ 0 and y 0. So, the curve is increasing in the first quadrant. Also if y 0, dy dx 0 i.e., the curve is decreasing for all x ≥ 0 and y 0. So, the curve is decreasing in the 4th quadrant. M03_ENGINEERING_MATHEMATICS-I _CH03_Part D.indd 129 5/19/2016 8:45:18 PM
  • 353.
    3.130 ■ EngineeringMathematics 6. Sign of d y dx 2 2 d y dx y x x dy dx y 2 2 2 2 3 2 2 = ⋅ − ⋅ ⎡ ⎣ ⎢ ⎢ ⎢ ⎤ ⎦ ⎥ ⎥ ⎥ = − ⋅ ⎡ ⎣ ⎢ ⎢ ⎢ ⎤ ⎦ ⎥ ⎥ ⎥ 3 2 2 2 2 xy x dy dx y = − ⎡ ⎣ ⎤ ⎦ 3 2 4 3 3 2 3 x y y x = ⋅ − ⎡ ⎣ ⎤ ⎦ 3 4 4 3 3 3 3 x y x x = = = ⋅ = 3 4 3 4 3 4 1 3 4 4 3 4 2 4 3 x y x yy x y x x y . ∴ d y dx 2 2 0 if y 0 (as already x 0) and d y dx 2 2 0 if y 0. ∴ the curve is concave up if y 0 and concave down if y 0. So, the curve is concave up in the first quadrant and the curve is concave down in the fourth quadrant. 7.Asymptotes It has no asymptotes. With these information we shall draw the curve. The curve is as shown in Fig. 3.29. EXAMPLE 2 Trace the curve y a x x 2 3 2 ( ) . 2 5 [This curve is called the Cissoid of Diocles] Solution. The given equation of the curve is y x a x 2 3 2 = − . (1) 1.Symmetry The equation is even degree in y, so the curve is symmetrical about the x-axis. 2. Origin: It is a point on the curve. The tangent at the origin is given by y y 2 0 0 = ⇒ = That is the x-axis is the tangent at the origin. 3. Region: y x a x x x a 2 3 3 0 2 0 2 0 ≥ ⇒ − ≥ ⇒ − ≤ ⇒ x x a x a 3 2 0 0 2 − ≤ ⇒ ≤ . ∴ the curve lies between the lines x = 0 and x a = 2 . 4.Asymptote When x a → 2 , y → ∞ ∴ x a = 2 is a vertical asymptote. 5. Sign of dy dx Differentiating (1) with respect to x, we get x y o Fig. 3.29 M03_ENGINEERING_MATHEMATICS-I _CH03_Part E.indd 130 5/19/2016 8:48:06 PM
  • 354.
    Differential Calculus ■3.131 2 2 3 1 2 6 2 2 2 3 2 2 3 2 y dy dx a x x x a x ax x a x = − ⋅ − − − = − − ( ) ( ) ( ) ( ) ⇒ dy dx x a x y a x x a x y a x = − − = − − 2 3 2 2 3 2 2 2 2 2 ( ) ( ) ( ) ( ) Since 0 2 3 0 ≤ − x a a x , and ( ) . 2 0 2 a x − ∴ dy dx 0 if y 0 and dy dx 0 if y 0 ∴ the curve is increasing in the first quadrant and the curve is decreasing in the 4th quadrant Also it touches x a = 2 at infinity With these informations, we can draw the curve. The curve is as shown in Fig. 3.30. EXAMPLE 3 Trace the curve y x a x a x 2 2 2 2 2 2 5 2 1 ( ) . [This curve is called Lemniscate of Bernoulli] Solution. The given equation of the curve is y x a x a x 2 2 2 2 2 2 = − + ( ) (1) 1. Symmetry The equation is even degree in x and y . So, the curve is symmetrical about the x-axis as well as the y-axis. When ( , ) x y is replaced by ( , ) − − x y equation is unaltered. ∴ the curve is symmetrical about the origin. 2. Origin Origin is a point on the curve. 3. Tangent at the origin We have y x a x a x 2 2 2 2 2 2 = − + ( ) ⇒ y a x x a x 2 2 2 2 2 4 ( ) + = − ⇒ a x y x y x 2 2 2 2 2 4 ( ) − = + Tangent at the origin is got by equating the lowest degree terms to zero. i.e., x y 2 2 0 − = ⇒ = ± y x ∴ y x = and y x = − are the tangents at the origin. Fig. 3.30 x y o x = 2a M03_ENGINEERING_MATHEMATICS-I _CH03_Part E.indd 131 5/19/2016 8:48:10 PM
  • 355.
    3.132 ■ EngineeringMathematics 4. Special points To find the point of intersection with the x-axis, put y = 0 in (1) ∴ x a x 2 2 2 0 ( ) − = ⇒ x2 0 = or a x 2 2 0 − = ⇒ x = 0 0 , or x a = ± So, the curve passes through the origin twice and the points ( , ), ( , ) −a a 0 0 . To find the intersection with the y-axis, put x = 0 in (1). ∴ y = 0 So, it meets the y-axis only at the origin. 5. Region y x a x a x 2 2 2 2 2 2 = − + ( ) y x a x a x 2 2 2 2 2 2 0 0 0 ≥ ⇒ − ≥ ⇒ − ≥ ( ) ⇒ x a a x a 2 2 0 − ≤ ⇒ − ≤ ≤ . ∴ the curve lies between x = −a and x = a. 6. Loop Since the curve meets the line of symmetry, the x-axis, at O( , ), ( , ), ( , ) 0 0 0 0 A a B a − there is a loop between O and A and a loop between O and B. With these informations, we shall draw the curve. The curve is as shown in Fig. 3.31. EXAMPLE 4 Trace the curve x y axy a 3 3 3 0 1 5 , . [This curve is called the Folium of Descartes] Solution. The given equation of the curve is x y axy a 3 3 3 0 + = , (1) 1. Symmetry The equation is unaltered if x and y are interchanged. So, the curve is symmetric about the line y x = . 2. Origin Origin lies on the curve. 3. Tangent at the origin Tangents at the origin are got by equating the lowest degree terms to zero ∴ xy = 0 ⇒ x = 0, y = 0 So, the y-axis and the x-axis are the tangents at the origin. y x A B O y = −x y = x (a, 0) (−a, 0) Fig. 3.31 M03_ENGINEERING_MATHEMATICS-I _CH03_Part E.indd 132 5/19/2016 8:48:14 PM
  • 356.
    Differential Calculus ■3.133 4. Special points To find the point of intersection with y = x, put y = x in (1) ∴ x x ax 3 3 2 3 + = ⇒ 2 3 0 3 2 x ax − = ⇒ x x a 2 2 3 0 ( ) − = ⇒ x x a 2 0 2 3 0 = − = or ⇒ x x a = 0 0 3 2 , or = When x = 0, y = 0 When x a y a = 3 2 3 2 , = ∴ the point of intersections are O(0, 0) and A a a 3 2 3 2 , ⎛ ⎝ ⎜ ⎞ ⎠ ⎟ The curve meets the axes only at the origin, twice. 5. Loop Since the curve intersects the line of symmetry y = x at O and A, there is a loop between O and A. 6.Asymptotes The coefficients of x3 and y3 are constants and so there is no vertical or horizontal asymptotes. To find the oblique asymptotes of x y axy 3 3 3 0 − − = Put x = 1, y = m in the highest degree terms x y 3 3 + ∴ f f 3 3 3 2 1 3 ( ) , ( ) m m m m = + = ′ Now put x = 1, y = m in −3axy ∴ f2 3 ( ) . m am = − Solve, f3 0 ( ) m = ⇒ 1 + m3 = 0 ⇒ m = −1 Now c m m am m a m = − ′ = − − = f f 2 3 2 3 3 ( ) ( ) ( ) When m = −1, c a a = − = − 1 ∴ asymptote is y = −x − a ⇒ x + y + a = 0 With these informations, we can draw the curve. The curve is as shown in Fig. 3.32. EXAMPLE 5 Trace the curve y x x x 2 1 2 3 5 2 2 2 ( )( )( ). Solution. The equation of the given curve is y x x x 2 1 2 3 = − − − ( )( )( ) (1) 1. Symmetry The equation is even degree in y and so the curve is symmetrical about the x-axis. y x A x = 0 y = 0 x + y + a = 0 y = x O 3a 2 3a 2 , Fig. 3.32 M03_ENGINEERING_MATHEMATICS-I _CH03_Part E.indd 133 5/19/2016 8:48:17 PM
  • 357.
    3.134 ■ EngineeringMathematics 2. Special points To find the point of intersection with the x-axis, put y = 0 ∴ ( )( )( ) x x x − − − = 1 2 3 0 ⇒ x = 1 2 3 , , It does not intersect the y-axis, because when x y = = − 0 6 0 2 , . So, y is imaginary 3. Region If x 1, then x x x − − − 1 0 2 0 3 0 , , ∴ ( )( )( ) x x x y − − − ⇒ 1 2 3 0 0 2 ∴ y is imaginary So, the curve does not exist if x 1 But if 1 2 ≤ ≤ x and x ≥ 3, y 2 0 ≥ So, the curve lies in between x = 1 and x = 2 and x ≥ 3. 4. Loop The curve lies between the points A( , ) 1 0 and B( , ) 2 0 and symmetric about the x-axis and so there is a loop between A and B 5. Sign of dy dx y x x x x x x y dy dx x x 2 3 2 2 1 2 3 6 11 6 2 3 12 11 = − − − = − + − = − + ( )( )( ) ⇒ dy dx x x y = − + 3 12 11 2 2 If x dy dx 3 0 , , when y 0 and dy dx 0, when y 0 So, for all x ≥ 3, the curve is strictly increasing above the x-axis and strictly decreasing below the x-axis. With these information, we shall draw the graph of the curve. The curve is as shown in Fig. 3.33. x y O (2, 0) (3, 0) (1, 0) x = 1 x = 2 x = 3 Fig. 3.33 EXAMPLE 6 Trace the curve whose equation is y x x 5 1 2 2 2 1 1 . ∞ −∞ 1 2 3 M03_ENGINEERING_MATHEMATICS-I _CH03_Part E.indd 134 5/19/2016 8:48:21 PM
  • 358.
    Differential Calculus ■3.135 Solution. The equation of the given curve is y x x = + − 2 2 1 1 (1) 1. Symmetry Since the equation is even degree in x, the curve is symmetrical about the y-axis. 2.Asymptotes When x = −1 and x y = → ∞ 1, ∴ x = −1 and x = 1 are vertical asymptotes. lim lim lim x x x y x x x x →∞ →∞ →∞ = + − = + − = 2 2 2 2 1 1 1 1 1 1 1 ∴ y = 1 is the horizontal asymptote. 3. Region y x x = + − 2 2 1 1 ⇒ y x x ( ) 2 2 1 1 − = + ⇒ x y y 2 1 1 ( ) − = + ⇒ x y y 2 1 1 = + − Series x y y y y 2 0 1 1 0 1 1 ≥ ⇒ + − ≥ ⇒ ≤ − ≥ or The curve lies in the part of y ≤ −1 and y 1 i.e., the curve lies above the line y = 1 and below the line y = −1 for all x ≠ ±1 4. Sign of dy dx y x x dy dx x x x x x x x x x = + − = − ⋅ − + − = − − − 2 2 2 2 2 2 2 2 1 1 1 2 1 2 1 2 1 1 ( ) ( )( ) ( ) [ ] ( 2 2 2 2 2 1 4 1 − = − − ) ( ) x x ∴ dy dx x 0 if 0 and dy dx x 0 if 0 So, the curve is increasing if x 0 and is decreasing if x 0 When x y = = − 0 1 , . In the interval (−1, 1) the curve increases upto the point (0, −1) and then decreases. If − 1 1 x , then x y 2 1 0 0 − ∴ . So, in this part, the curve lies below the x-axis. If x 1, then dy dx 0 and so, the curve is decreasing. If x −1,then dy dx 0 and so, the curve is increasing. ∴ M03_ENGINEERING_MATHEMATICS-I _CH03_Part E.indd 135 5/19/2016 8:48:26 PM
  • 359.
    3.136 ■ EngineeringMathematics 5. Sign of d y dx 2 2 We have dy dx x x = − − 4 1 2 2 ( ) ∴ d y dx x x x x x x x 2 2 2 2 2 2 4 2 2 4 1 1 2 1 2 1 4 1 1 = − − ⋅ − ⋅ − ⎡ ⎣ ⎤ ⎦ − = − − − − ( ) ( )( ) ( ) ( )[ 4 4 1 4 1 3 1 2 2 4 2 2 3 x x x x ] ( ) ( ) ( ) − = + − If x 1, d y dx 2 2 0 ∴ the curve is concave up [∴ x2 − 1 0] If x −1, d y dx 2 2 0 ∴ the curve is concave up 6.Assymptotes x = −1, x = 1 are the vertical asymptotes. y = 1 is the horizontal asymptote. The curve lies in the region y −1 and y 1 and decreasing if x 1 and concave up. Increasing if x −1 and concave up We draw the curve. The curve is as shown in Fig. 3.34. y x y = 1 x = 1 y = −1 x = −1 O (0, 1) (0, −1) Fig. 3.34 M03_ENGINEERING_MATHEMATICS-I _CH03_Part E.indd 136 5/19/2016 8:48:28 PM
  • 360.
    Differential Calculus ■3.137 3.10.2 Procedure for Tracing of Curve Given by Parametric Equations x 5 f(t), y 5 g(t) If the current coordinates (x, y) of the curve are expressed interms of another variable t, then t is called the parameter and the equations x = f(t), y = g(t) are called the parametric equations of the curve. 1. Symmetry (i) If f(−t) = f(t) and g(−t) = −g(t), then the curve is symmetrical about the x-axis. (ii) If f(−t) = −f(t) and g(−t) = g(t), then the curve is symmetrical about the y-axis. (iii) If f(−t) = f(t) and g(−t) = g(t), then the curve is symmetrical in the opposite quadrants. 2. Special points To find the points of intersection with x-axis, put y = 0 ⇒ g(t) = 0 To find the points of intersection with the y-axis, put x = 0 ⇒ f(t) = 0. 3. Region Determine the limits of x and y and hence the limt of t 4. Sign of derivative dy dx Find dx dt and dy dx and the values of t for which x and y are increasing or decreasing. Find the tangent parallel to the axes. i.e., dy dx = 0 or ∞. Also check for concavity. i.e., d y dx 2 2 0 or 0 5. Period If x and y are periodic functions of t with a common period, study the curve in this period. Note If it is possible to eliminate the parameter t and get the Cartesian form, then we can trace the curve by the first method. WORKED EXAMPLES EXAMPLE 7 Trace the curve x a t a t y a t e 5 1 5 cos log tan ; sin . 2 2 2 [This curve is called the tractrix] Solution Given x a t a t y a t e = + = cos log tan sin . 2 2 2 and Let x = f(t) and y = g(t). 1. Symmetry f t a t a t a t a t f t e e ( ) cos( ) log tan cos log tan ( ) − = − + − ⎛ ⎝ ⎜ ⎞ ⎠ ⎟ = + = 2 2 2 2 2 2 and g t a t a t g t ( ) sin( ) sin ( ). − = − = − = − ∴ the curve is symmetrical about the x-axis. 2. Intersection with the axes To find the intersection with the x-axis, put y = 0 ∴ a t t sin , , , ... = ⇒ = 0 0 2 p p M03_ENGINEERING_MATHEMATICS-I _CH03_Part E.indd 137 5/19/2016 8:48:29 PM
  • 361.
    3.138 ■ EngineeringMathematics When t = 0, x → ∞ and y = 0 ∴ x-axis is an asymptote to the curve When t = p 2 , x y a = = 0 and ∴ the curve intersects the y-axis at (0, a). 3. Sign of derivative dx dt a t a t t t a t a t = − + = − + sin tan tan sec sin tan 2 1 2 2 2 2 1 2 2 1 2 1 2 2 ⋅ ⋅ ⋅ ⋅ ⋅ ⋅ c cos sin sin ( sin ) sin cos sin 2 2 2 2 1 t a t a t a t t a t t = − + = − = and dy dt a t = cos . ∴ dy dx dy dt dx dt a t a t t t t t = = = = cos cos sin sin cos tan 2 When t dy dx = = p 2 , ∞ and the point is (0, a) ∴y-axis is tangent at (0, a) If 0 2 0 0 t dx dt dy dt p , , then ∴ x increases from −∞ to 0 and y increase from 0 to a i.e., (x, y) varies from (−∞, 0) to (0, a) If p p 2 0 0 t dx dt dy dt , , then ∴ x increases from 0 to ∞ and y decreases from a to 0 i.e., (x, y) varies from (0, a) to (∞, 0). ∴ the graph above the x-axis is as in Fig. 3.35 Since the curve is symmetric about the x-axis, taking reflection about the x-axis, we get the graph of the given equation as in Fig. 3.36. Note The cartesian equation of the tractix is x a y a a a y a a y = − + − − + − ⎛ ⎝ ⎜ ⎞ ⎠ ⎟ 2 2 2 2 2 2 2 log x y (0, a) t = 0 t = π O t = 2 π Fig. 3.35 x x ′ y y ′ (0, a) (0, −a) O Fig. 3.36 M03_ENGINEERING_MATHEMATICS-I _CH03_Part E.indd 138 5/19/2016 8:48:31 PM
  • 362.
    Differential Calculus ■3.139 EXAMPLE 8 Trace the curve x a y a 5 u 2 u 5 2 u ( sin ), ( cos ). 1 [This curve is called a cycloid] Cycloid is a curve traced out by a fixed point on the circumference of a circle when it rolls on a fixed straight line without slipping. This fixed line is called the base of the curve. Solution. Given parametric equations are x a y a = − = − ( sin ) ( cos ) u u u and 1 Let x f = ( ) u and y g = ( ) u 1. Symmetry f a ( ) ( sin( )) − = − − − u u u = − + = − − = − a a f ( sin ) ( sin ) ( ) u u u u u g a ( ) ( cos( )) − = − − u u 1 = − = a g ( cos ) ( ) 1 u u ∴ the curve is symmetric about the y-axis. We shall consider the graph for u ≥ 0. 2. To find the point of intersection with the x-axis Put y a = ⇒ − = ⇒ = 0 1 0 1 ( cos ) cos u u ⇒ u p p = 0 2 4 , , ,… When u = 0, x y = = 0 0 and ∴ the origin corresponds to u = 0 and the origin lies on the curve. Since − ≤ ≤ 1 1 cosu , 0 2 ≤ ≤ y a. When u p = 2 , x a a = − = ( sin ) 2 2 2 p p p and y a = − = ( ) 1 1 0. ∴ the points of intersections with x-axis are ( , ) , ) 0 0 2 0 and ( pa . When u p p p p = = = , x a a ( sin ) − and y a a = − = ( cos ) 1 2 p , which is the maximum value of y. 3. Sign of the derivative dx d a a u u u = − = ( cos ) sin 1 2 2 2 and dy d a u u = sin If 0 u p, then dx du 0 and dy du 0 ∴ x increases from 0 to 2ap and y increases from 0 to 2a. We shall draw one arch of the curve between u = 0 and u p = 2 . i.e., between the points ( , ) 0 0 and ( , ) 2 0 ap on the curve. We see that the curve increases from ( , ) 0 0 to ( , ) a a p 2 and decreases from ( , ) a a p 2 to ( , ) 2 0 ap as in Fig. 3.37. x y = 2a (2aπ, 0) (aπ, 2a) O Fig. 3.37 M03_ENGINEERING_MATHEMATICS-I _CH03_Part E.indd 139 5/19/2016 8:48:39 PM
  • 363.
    3.140 ■ EngineeringMathematics Similarly another arch is from u p = 2 and u p = 4 . Because of the symmetry about the y-axis, we can reflect about the y-axis and get the full graph as in Fig. 3.38. The x-axis is the base line on which the circle rolls. Then the points 0 2 4 6 , , , , a a a p p p are the points where the fixed point of the circle touches the base line. Note There are different forms of cycloids with base line the x-axis, y = 0 or the line y a = 2 . 1. The parametric equations are x a y a = + = + ( sin ), ( cos ) u u u 1 When u = = 0 0 , x and y a = 2 So, the point corresponding to u = 0 is ( , ) 0 2a The curve meets the x-axis, y = 0 ⇒ 1 0 + = cosu ⇒ = − cosu 1 ⇒ u p p p = − , , , , 3 … … So, one arch of the curve is between u p p = − and When u p = − , x a = − p and y = 0. When u p = , x a = p and y = 0 So, the graph is as shown in the Fig. 3.39. 2. The parametric equations are x a y a 5 u1 u 5 2 u ( sin ), (1 cos ) When u = = = 0 0 0 , , x y . The curve meets the x-axis, y = 0 ⇒ a( cos ) 1 0 − = u ⇒ cosu = 1 ⇒ u p p p p = − − 0 2 4 2 4 , , , , , , … … When u p = 2 , x a = 2 p, y = 0 and when u p = 4 , x a = 4 p, y = 0 When u p = −2 , x a = −2 p, y = 0 and when u p = −4 , x a = −4 p, y = 0 x y y = 2a 2aπ −2aπ −4aπ −6aπ 4aπ 6aπ O Fig. 3.38 x y (0, 2a) aπ −aπ −3aπ 3aπ O Fig. 3.39 M03_ENGINEERING_MATHEMATICS-I _CH03_Part E.indd 140 5/19/2016 8:48:50 PM
  • 364.
    Differential Calculus ■3.141 d d a dy d a dy d a a a x x u u u u u u u u = (1+ ), = (1+ ) cos sin cos = = sin sin .cos 2 2 2 2 2 2 2 0 0 2 3 2 a dy dx dy dx cos tan , , u u u p p u p = = = = = at , 4 , ...... and at ∞ p p p , 5 , ...... When u varies from 0 to p, x increases from 0 to ap and y increases from 0 to 2a When u varies from p to 2p, x increases from ap to 2ap and y decreases from 2a to 0. So, the graph is as shown in Fig. 3.40. Fig. 3.40 x y 2a (0, 2a) (aπ, 2a) y = 2a (−aπ , 0) (aπ , 0) (−3aπ, 0) (3aπ, 0) O (0, 0) 3.10.3 Procedure for Tracing of Curve given by Equation in Polar Coordinates f(r, u) 5 0 Let the polar equation of the curve be r f = ( ). u Relation between Cartesian and polar is x r y r = = cos sin u u and 1. Symmetry (i) When u is replaced by −u and if the equation is unaltered, then the curve is symmetrical about the initial line u = 0 (i.e., the x-axis). (ii) When u is replaced by p u − and if the equation is unaltered, then the curve is symmetrical about the line u p = 2 (i.e., the y-axis). (iii) When u is replaced by p u + and if the equation is unaltered, then the curve is symmetrical about the pole 0. (iv) When u is replaced by p u 2 − and if the equation is unaltered, then the curve is symmetrical about the line u p = 4 (i.e., the line y = x). x y = 2 0 P (r, θ) r θ π θ M03_ENGINEERING_MATHEMATICS-I _CH03_Part E.indd 141 5/19/2016 8:48:38 PM
  • 365.
    3.142 ■ EngineeringMathematics (v) When u is replaced by p and r is replaced by –r and if the equation is unaltered, then the curve is symmetrical about the pole. 2. Pole If r = 0 for u a = , then the curve passes through the pole and the line u a = is tangent at the pole. 3. Region If r is imaginary for values of u lying between u u u u = = 1 2 , , and then the curve does not lie between the lines u u u u = = 1 2 , . and 4. Points of intersection Determine the points where the curve meets the lines u u p u p u p u p = = = = = 0 4 2 3 2 , , , , 5. Tangent line Find the values of f with the formula tanf u = r d dr where f is the angle between the tangent at the point p r ( , ) u and the radius vector OP. 6. Loop If a curve meets a line u a = at A and B and the curve is symmetrical about the line, then a loop of the curve exists between A and B. WORKED EXAMPLES EXAMPLE 1 Trace the curve r a 5 1 u (1 cos ). [This curve is called a cardioid] Solution. The given curve is r a = + ( cos ) 1 u 1. Symmetry If u is replaced by −u, then r a = + − ( cos( )) 1 u = a( cos ) 1+ u Therefore, the equation is unaltered. Hence, the curve is symmetrical about the initial line u = 0. 2. r = ⇒ + ⇒ = − 0 1 0 1 cos cos u u = ⇒ u p = ∴ the tangent at the pole is the line u p = 3. When u = 0, r a = 2 , which is the maximum value of r. When u varies from 0 to p, r decreases from 2a to 0. 4. We know that tan f u = r d dr . Therefore, dr d a u u = − ( sin ) ⇒ d dr a u u = − 1 sin ∴ tan ( cos ) sin f u u = + − ⎛ ⎝ ⎜ ⎞ ⎠ ⎟ a a 1 1 = − = − = + ⎛ ⎝ ⎜ ⎞ ⎠ ⎟ 2 2 2 2 2 2 2 2 2 cos sin cos cot tan u u u u p u f p u = 2 2 + M03_ENGINEERING_MATHEMATICS-I _CH03_Part E.indd 142 5/19/2016 8:48:47 PM
  • 366.
    Differential Calculus ■3.143 When u f p = = 0 2 , ∴ the tangent at the point (2a, 0) is perpendicular to the initial line u = 0 u p p p p : 0 points: 3 2 2 3 2 3 2 2 0 r a a a a O : A B C D The curve is as in figure A to O By symmetry about u = 0, by reflecting the point ABCDO about u = 0, we get the full curve as in Fig. 3.41. O θ = π θ = 0 A a 2a B C D x y 2π 3 π 3 2 3a 2 a (2a, 0) θ = θ = Fig. 3.41 EXAMPLE 2 Trace the curve r a 5 u sin . 3 [This curve is called 3 leaved rose] Solution. The given curve is r a = sin3u. 1. Symmetry When u is replaced by p u − , r a a a = − = − = sin ( ) sin( ) sin 3 3 3 3 p u p u u So, the equation is unaltered. Hence, the curve is symmetrical about the line u p = 2 (i.e., y-axis) 2. The maximum value of r is a, when sin 3u is maximum, That is, when sin 3u = 1. ⇒ 3 2 5 2 9 2 u p p p = , , ,..... ⇒ u p p p = …… 6 6 9 6 , , , 5 ⇒ u = ° ° 30 150 270 ° ... , , , M03_ENGINEERING_MATHEMATICS-I _CH03_Part E.indd 143 5/19/2016 8:48:51 PM
  • 367.
    3.144 ■ EngineeringMathematics So, the curve lies within circle r = a, and r varies from –a to 0. We get the third loop OBO. 3. r = ⇒ = 0 3 0 sin u ⇒ 3 0 2 3 4 5 u p p p p p = , , , , , ⇒ u p p p p p = 0 3 2 3 4 3 5 3 , , , , , Therefore, u u p u p u p u p u p = = = = = = 0 3 2 3 4 3 5 3 , , , , , are tangents at the ori- gin and the curve passes through the pole. 4. Loop As u varies from 0 to p 6 , r varies from 0 to a. In other words, the curve is from O to A. As u varies from p p 6 3 to , r varies from a to 0. In other words, the curve is from A to O. Therefore, a loop OAO is formed. By the symmetry about u p = 2 , reflecting about u p = 2 , we get the second loop in the second quadrant. As u varies from 4 3 3 2 p p to , r varies from 0 to –a and as u varies from 3 2 5 3 p p to , r varies from −a to O. we get the third loop OBO. Note 1. More generally, the curve is of the form r a n r a n = = sin cos u u or . When n is odd, it is called n-leaved rose 2. When n is even, it is a 2n-leaved rose. For example, r a = sin 2u will have 4 leaves and the curve lies within the circle r = a. Limacon of Pascal The polar curve r a b = + cosu, where a, b 0 is called Limacon of Pascal. When a = b, it becomes the cardioid r a = + ( cos 1 u), which is discussed in worked example 1. When a b 1, that is, a b, it is called a Limacon of Pascal with an inner loop. When 1 2 a b , it is called a dimpled Limacon and when a b ≥ 2 , it is called a Convex Limacon. O x y A B C θ = π θ = 0 π 3 θ = π 6 θ = 2π 3 θ = 5π 6 θ = 4π 3 θ = 3π 2 θ = 5π 3 θ = Fig. 3.42 M03_ENGINEERING_MATHEMATICS-I _CH03_Part E.indd 144 5/19/2016 8:48:55 PM
  • 368.
    Differential Calculus ■3.145 EXAMPLE 3 Trace the curve r 5 1 u 1 2 cos . Solution. The given curve is r = + 1 2cosu. Here a = 1, b = 2. ∴ a b Therefore, it is a Limacon with an inner loop. 1. Symmetry When u is replaced by −u, we get r = + − = + 1 2 1 2 cos( ) cos u u Therefore, the equation is unaltered. The curve is symmetrical about the initial line u = 0 2. Pole r = ⇒ = − ⇒ = 0 1 2 2 3 4 3 cos , u u p p Inotherwords, the curve passes through the pole and u p u p = = 2 3 4 3 , are the tangents at the pole. 3. When u = 0, r 5 3 is the farthest point (3, 0). When u p = 2 , r = 1. There is no asymptote, since r is finite for every value of u. Since the curve is symmetric about u = 0, we shall find the variation of r as u varies from 0 to p. u p p p p p p = + − 0 6 3 2 2 3 5 6 3 1 3 2 1 0 1 3 1 and r = − The points are A B C D O E F The curve is ABCDO and OEF. By symmetry about u = 0, we get the full curve as in Fig. 3.43. Fig. 3.43 θ = 0 θ = π x y O E F A B C D (3, 0) π 3 θ = π 6 θ = 2π 3 θ = 5π 6 θ = M03_ENGINEERING_MATHEMATICS-I _CH03_Part E.indd 145 5/19/2016 8:48:59 PM
  • 369.
    3.146 ■ EngineeringMathematics EXERCISE 3.15 Trace the following curves 1. y x a x 2 3 2 = − 2. a y x a x 2 2 2 2 2 = − ( ) 3. y x a x a x 2 2 = − + ( ) 4. y x x 2 2 2 1 1 = − − 5. x y a 2 3 2 3 2 3 + = 6. y x x a 2 2 2 2 = − 7. y x x 2 3 1 = − 8. x x y a x y 2 2 2 2 2 2 ( ) ( ) + = − 9. r a = sin 2u 10. r a = − ( cos 1 u) 11. r = − 1 2sinu 12. x at t y at t a = + = + 3 1 3 1 0 3 2 3 , , [Hint: Folium of Descartes] 13. y a x x a x a 2 2 0 ( ) ( ), . − = + 14. xy a a x a 2 2 0 = − ( ), 15. x a = = cos . 3 3 u u , sin y a ANSWERS TO EXERCISE 3.15 1. x y O x = 2a 2. x y y = x y = −x O 20 (a, 0) (−a, 0) 3. x y y = x y = −x x = −a 4. (−1, 0) (1, 0) (0, 1) (0, −1) 1 x = −1 x = 1 x y 1 2 2 ( , 0) x = M03_ENGINEERING_MATHEMATICS-I _CH03_Part E.indd 146 5/19/2016 8:49:02 PM
  • 370.
    Differential Calculus ■3.147 5. x (−a, 0) (0, −a) (0, a) (a, 0) y 6. x y y = 1 y = −1 x = a 7. x y = x − 1 x = 1 2 y 1 2 y = x +1 2 (− , 0) 8. x y y = x y = −x O (a, 0) (−a, 0) 9. θ = π θ = 0 3π 4 θ = π 2 y x θ = π 4 θ = 10. θ = π θ = 0 x y a 2a O π 2 θ = M03_ENGINEERING_MATHEMATICS-I _CH03_Part E.indd 147 5/19/2016 8:49:04 PM
  • 371.
    3.148 ■ EngineeringMathematics 11. π 2 θ = 0 y x θ = 3π 2 θ = 13. y x y = −x y = x x = a O B A (a, 0) (−a, 0) 14. x y O (a, 0) x = a x = 0 15. x O y (0, a) (a, 0) (−a, 0) (0, −a) SHORT ANSWER QUESTIONS 1. Find the first two differential coefficients of y e x x 5 ? 2 3 cos . 2. Find d y dx y x x 3 3 3 if log 5 . 3. If y 5 a cos mx 1 b sin mx, then prove that d y dx m y 2 2 2 0 1 5 . 4. If y 5 e ax b x 3 ( ) 1 , then prove that d y dx dy dx y 2 2 6 9 0 2 1 5 . 5. Show that the length of the sub-tangent at any point of the curve xm yn 5 am 1 n varies as the abscissa. 6. For the catenary y 5 c cos h x c , prove that the length of the normal is y c 2 . 7. Find the equation of the tangent at the point (2, 22) on the curve y x x 2 3 4 5 2 . 8. Show that the curves y 5 x2 and 6y 5 7 2 x3 cut orthogonally at the point (1, 1). 9. If y 5 sin21 x, then prove that (1 2 x2 ) d y dx x dy dx 2 2 0 2 5 . 10. Find ‘c’ of Lagrange’s mean value theorem for f(x) 5 ln x in [1, e]. M03_ENGINEERING_MATHEMATICS-I _CH03_Part E.indd 148 5/19/2016 8:49:06 PM
  • 372.
    Differential Calculus ■3.149 11. Find the value of ‘a’ if x3 2 ax2 1 3x 1 1 is strictly increasing ; x [ R. 12. Using Taylor’s theorem, express the polynomial 2x3 1 7x2 1 x 1 6 in powers of (x 2 1). 13. Prove that f x x f x x x f x x x f x 2 3 2 1 1 1 2 1 1 5 2 1 9 1 1 0 1 ⎛ ⎝ ⎜ ⎞ ⎠ ⎟ ( ) ( ) ( ) ( ) … 14. Expand esinx by Maclaurin series up to terms containing x4 . 15. Evaluate lim tan sin . x x x x →0 3 2 16. Evaluate lim . x ax bx e e x →0 2 17. Prove that the curve y 5 x4 is concave upwards at the origin. 18. Find the asymptotes of the curve y x x 5 2 3 2 which are the parallel to the x-axis. 19. Find the vertical asymptotes of the curve y x x x 5 1 1 3 2 5 2 2 . 20. If the function f(x) 5 sinx 2 asin2x 2 1 3 3 sin x 1 2ax is increasing for all x [ R, then find the value of a. OBJECTIVE TYPE QUESTIONS A. Fill up the blanks 1. The equation of tangent at the point where the curve y = be x a − cuts the y-axis is __________ 2. The value of ‘t’ for which the tangent is perpendicular to x-axis is __________ 3. The length of the sub-tangent at any point on the curve y = be x a − is __________ 4. The length of the sub-normal at any point on the hyperbola x a y b 2 2 2 2 1 − = is __________ 5. The length of the sub-tangent at any point on the parabola y2 = 4ax is __________ 6. The maximum value of 1 2 (sin cos ) x x − is __________ 7. The vertical asymptote of the curve y x x x = 2 2 1 2 + − + is __________ 8. The curve y = x3 − 3x2 − 9x + 9 has a point of inflexion at x = __________ 9. The equations of the tangents at the origin are __________ 10. The interval in which f x x x ( ) = 1 2 + is strictly increasing is __________ 11. Using the function f(x) = x x 1 ; x 0, the bigger of the two numbers pe and ep is __________ M03_ENGINEERING_MATHEMATICS-I _CH03_Part E.indd 149 5/19/2016 8:49:08 PM
  • 373.
    3.150 ■ EngineeringMathematics 12. lim cos sin sin x x → − 0 x x x x 2 = __________ 13. lim x x →∞ 4 2 ex is __________ 14. lim cos x→ − 0 3 1 2 x x is __________ 15. The curve y = x4 at the origin is concave __________ B. Choose the correct answer 1. x x 1 , x 0, is a decreasing function if (a) x e (b) x e (c) x e 1 (d) x e 1 2. The value of lim x→ p 4 (tan x)tan2x is (a) 1 e (b) e (c) e (d) 1 e 3. The vertical and horizontal asymptotes of y = x x − 2 are (a) x = 2, y = 1 (b) x = 2, y = −1 (c) x = 2, y = −1 (d) x = 2, y = 2 4. The equation of the normal to the curve x2 = 4y passing through the point (1, 2) is (a) x + y + 3 = 0 (b) x − y − 3 = 0 (c) x + y − 3 = 0 (d) None of these 5. The two curves x3 − 3xy2 + 2 = 0 and 3x2 y − y3 − 2 = 0 (a) cut at right angles (b) touch each other (c) cut at an angle p 4 (d) None of these 6. If f(x) = x3 + 3x, then the value of c ∈ (0, 4) such that f f f c ( ) ( ) ( ) 4 0 4 0 − − = ′ is (a) 19 3 (b) 4 3 (c) 4 3 (d) None of these 7. If f(x) = x3 − 6x2 − 36x + 7, then f(x) is strictly increasing for the value of x. (a) x −1 and x 5 (b) x −2 and x 6 (c) x −3 and x 3 (d) x −4 and x 1 8. Maximum value of f(x) = x x x 2 4 + + on [−1, 1] is (a) − 1 4 (b) − 1 3 (c) 1 6 (d) 1 5 9. The curve y = 3x5 − 40x3 + 3x − 20 is concave up in the intervals (a) (−2, 0) and (2, ∞) (b) (−3, 0) and (1, ∞) (c) (0, 2) and (2, ∞) (d) None of these M03_ENGINEERING_MATHEMATICS-I _CH03_Part E.indd 150 5/19/2016 8:49:11 PM
  • 374.
    Differential Calculus ■3.151 10. The point of inflexion of the curve y2 = x(x + 1)2 is (a) 1 3 4 3 3 , ⎛ ⎝ ⎜ ⎞ ⎠ ⎟ (b) 2 3 4 3 3 , − ⎛ ⎝ ⎜ ⎞ ⎠ ⎟ (c) 2 3 5 2 3 3 , ⎛ ⎝ ⎜ ⎞ ⎠ ⎟ (d) None of these 11. The maximum value of the function y = x(x − 1)2 , 0 ≤ x ≤ 2, is (a) 0 (b) 4 27 (c) −4 (d) None of these 12. If a 0, then the function f(x) = eax + e−ax is decreasing for all values of x, where (a) x 0 (b) x 0 (c) x 1 (d) x 1 13. Which of the following functions satisfies the conditions of Rolle’s theorem? (a) f x x x ( ) = −1 , 0 ≤ x ≤ 1 (b) f x x x ( ) ( ) = −1 , 0 ≤ x ≤ 1 (c) f x x x ( ) tan = , 0 ≤ x ≤ p (d) f x x ( ) sin = 1 , −1 p ≤ x ≤ 1 p 14. If 2a + 3b + c = 0, then at least one root of the equation ax2 + bx + c = 0 lies in the interval (a) (0, 1) (b) (1, 2) (c) (2, 3) (d) (1, 3) 15. If the line y = 2x + k is a tangent to the curve x2 = 4y, then k is equal to (a) 4 (b) 1 2 (c) −4 (d) − 1 2 16. The radius of curvature at any point on the curve 2x2 + 2y2 + 5x − 2y + 1 = 0 is (a) 4 21 (b) 21 4 (c) 5 2 (d) None of these 17. The family of straight lines 2y − 4x + l = 0 has envelope (a) x2 + y2 = 2 (b) x2 − y2 = 2 (c) x y = 1 2 (d) No envelope 18. Envelope of the family of straight lines x cosu + ysinu = a, where a is constant, is (a) x2 − 2xy = 0 (b) x2 − y2 = a2 (c) x2 + y2 = a2 (d) None of these 19. The centre of curvature at any point on the curve x2 + y2 − 2x + 4y + 2 = 0 is (a) (−2, 4) (b) (1, −2) (c) (−1, 2) (d) None of these 20. The centre of curvature of y = x2 at origin is (a) 1 2 1 2 , ⎛ ⎝ ⎜ ⎞ ⎠ ⎟ (b) 0 1 2 , ⎛ ⎝ ⎜ ⎞ ⎠ ⎟ (c) 1 2 0 , ⎛ ⎝ ⎜ ⎞ ⎠ ⎟ (d) 1 4 1 4 , ⎛ ⎝ ⎜ ⎞ ⎠ ⎟ 21. Asymptote parallel to x-axis and y-axis are (a) y = 1 and x = 1 (b) y = 1 and x = 2 (c) y = 2 and x = 0 (d) y = 2 and x = 1 22. Number of oblique asymptotes of the curve x2 y + xy2 + xy + y2 + 3x = 0 is (a) 0 (b) 1 (c) 2 (d) 3 23. The number of asymptotes of the curve y2 (x2 − y2 ) − 2ay3 + 2a3 x = 0 is (a) 1 (b) 2 (c) 3 (d) 4 M03_ENGINEERING_MATHEMATICS-I _CH03_Part E.indd 151 5/19/2016 8:49:14 PM
  • 375.
    3.152 ■ EngineeringMathematics 24. The equation of the asymptotes of x3 + y3 = 3axy, a 0, is (a) x − y − a = 0 (b) x + y + a = 0 (c) x + y − a = 0 (d) x − y + a = 0 25. The asymptotes of the curve (y − x)2 (y − 2x) − (y − x)(y − 6x) + x − 5y + 3 = 0 parallel to the line y − x = 0 are (a) y − x − 1 = 0 and y − x + 1 = 0 (b) y − x − 2 = 0 and y − x + 2 = 0 (c) y − x − 1 = 0 and y − x − 4 = 0 (d) None of these ANSWERS A. Fill up the blanks 1. x a x b + = 1 2. t = 1 2 3. a 4. b a x 2 2 5. 2 x 6. 1 7. x = −2 8. x = 1 9. y = ±x 10. [−1, 1] 11. ep 12. − 1 3 13. 0 14. − 9 2 15. up B. Choose the correct answer 1. (b) 2. (a) 3. (a) 4. (c) 5. (a) 6. (b) 7. (b) 8. (a) 9. (c) 10. (a) 11. (b) 12. (a) 13. (b) 14. (a) 15. (b) 16. (b) 17. (d) 18. (c) 19. (b) 20. (b) 21. (c) 22. (b) 23. (c) 24. (b) 25. (c) M03_ENGINEERING_MATHEMATICS-I _CH03_Part E.indd 152 5/19/2016 8:49:15 PM
  • 376.
    4.1 CURVATURE INCARTESIAN COORDINATES 4.1.0 Introduction To characterize a curve completely we have seen various aspects of the curve such as increasing and decreasing nature, maximum and minimum points, concavity and convexity, symmetry and special points such as points of inflexion etc. Another aspect to characterize the shape of a curve is the degree of its bending or curvature. In many practical problems we are concerned with the bending of a curve at different points or the bending of two curves such as rail tracks. The concept of curvature is considered while laying rail tracks and designing highways. The curvature at a point is a numerical measure of the rate of bending of a curve. 4.1.1 Measure of Curvature Definition 4.1 Let Γ be a curve that does not intersect itself and having tangents at each point. Let A be a fixed point on the curve from which arc length is mea- sured. Let P and Q be neighbouring points on the curve so that AP = s and AQ = s + Δs. ∴ length of arc PQ = Δs Let the tangents at P and Q make angles c and c + Δc respectively with the positive direction of x-axis. ∴ Δc is the angle between the tangents at P and Q. Precisely, Δc is the angle through which the tangent turns from P to Q as P moves along the arc through the distance Δs. 1. The angle Δc is called the angle of contigence of the arc PQ or the total curvature of the arc PQ. 2. The ratio Δc Δs is called the average curvature of the arc PQ. 3. The curvature of the curve at P is defined as lim Δ Δ Δ s s d ds →0 c c = and it is denoted by the greek letter k (kappa). Thus, k c = d ds . Note 1. s and c are called the intrinsic coordinates of P and f(s, c) = 0 is called the intrinsic equation of the curve. 2. Since the difference in angles and difference in arc lengths are Δ Δ c and s , we have k c = d ds . So, curvature is a positive quantity. Q P s Δs Δψ ψ + Δψ ψ A X Y O Fig. 4.1 4 Applications of Differential Calculus M04_ENGINEERING_MATHEMATICS-I _CH04_Part-A.indd 1 5/12/2016 10:08:23 AM
  • 377.
    4.2 ■ EngineeringMathematics Theorem 4.1 The curvature of a circle at any point is a constant and is equal to the reciprocal of the radius of the circle. Proof Consider a circle with centre C and radius r. Let P and Q be two neighbouring points on the circle. Let the angles which the tangents at P, Q make with x-axis be c, c + Δc ∴ ˆ PCQ = Δc Arc AP = s and arc AQ = s + Δs so that arc PQ = Δs But we know arc Δs = rΔc [From trigonometry] ∴ Δ Δ c s r = 1 ∴ lim [ ] Δ Δ Δ s s r r → = 0 1 c { the radius is constant ⇒ d ds r c = 1 ∴ curvature at the point P is a constant = 1 r Hence, curvature at any point of the circle is a constant = 1 r = reciprocal of its radius Note If r → ∞, the curvature tends to zero. i.e., when radius r → ∞, the circle approaches a straight line. Hence, the curvature of a straight line is zero at any of its points. In otherwords, the straight line does not bend at any point. Definition 4.2 Radius of Curvature If the curvature at a point P on a curve is k, then 1 k is called the radius of curvature at P (if k ≠ 0). Radius of curvature is denoted by Greek letter r. Thus, r c = = 1 k ds d . Note From the definition of curvature it is obvious that we should know the intrinsic equation of the curve. This is not easy in many cases. Generally, equation of a curve is given in Cartesian or polar coordinates. So, we shall derive formula for radius of curvature for Cartesian equation of a given curve. 4.1.2 Radius of Curvature for Cartesian Equation of a Given Curve Let y = f(x) be the equation of a curve, then we know that at the point (x, y), dy dx = tanc, where c is the angle made by the tangent at (x, y) with the positive direction of the x-axis. ∴ d y dx d dx d ds ds dx 2 2 2 2 1 = = + sec ( tan ) c c c c C r A P Q Δψ ψ + Δψ ψ X Y O Fig. 4.2 M04_ENGINEERING_MATHEMATICS-I _CH04_Part-A.indd 2 5/12/2016 10:08:27 AM
  • 378.
    Applications of DifferentialCalculus ■ 4.3 ∴ = + ⎛ ⎝ ⎜ ⎞ ⎠ ⎟ ⎡ ⎣ ⎢ ⎤ ⎦ ⎥ ⋅ = + ⎛ ⎝ ⎜ ⎞ ⎠ ⎟ ⎡ ⎣ ⎢ ⎤ ⎦ ⎥ ⋅ 1 1 1 2 2 2 2 dy dx ds dx dy dx d y dx ds d r r x x But we know that ∴ ( ) ( ) ( ) ds dx dy ds dx dy dx 2 2 2 2 2 1 = + ⎛ ⎝ ⎜ ⎞ ⎠ ⎟ = + ⎛ ⎝ ⎜ ⎞ ⎠ ⎟ ⇒ ds dx dy dx = + ⎛ ⎝ ⎜ ⎞ ⎠ ⎟ ⎡ ⎣ ⎢ ⎤ ⎦ ⎥ 1 2 1 2 / ∴ r = + ⎛ ⎝ ⎜ ⎞ ⎠ ⎟ ⎡ ⎣ ⎢ ⎤ ⎦ ⎥ 1 2 3 2 2 2 dy dx d y dx / ⇒ r = + ( ) / 1 1 2 3 2 2 y y (1) where and y dy dx y d y dx 1 2 2 2 = = Note 1. When calculating r only positive value should be taken i.e., numerical value of r is taken as radius of curvature, since it cannot be negative. If y2 0 , the curve is concave up and if y2 0 then it is concave down or convex up at the point. 2. At a point of inflexion i.e., when y2 0 = , the curvature is defined as zero. 3. If the equation of curve is x = f(y), then r = + ⎛ ⎝ ⎜ ⎞ ⎠ ⎟ ⎡ ⎣ ⎢ ⎤ ⎦ ⎥ 1 2 3 2 2 2 dx dy d x dy / = + ≠ ( ) / 1 0 1 2 3 2 2 2 x x x if (2) where x dx dy x d x dy 1 2 2 2 = = and 4. If at a point dy dx = ∞ formula (1) cannot be used. i.e., if the tangent is parallel to y-axis, then dx dy = 0. So, we use formula (2) in such cases. P ψ X Y y = f(x) O Fig. 4.3 M04_ENGINEERING_MATHEMATICS-I _CH04_Part-A.indd 3 5/12/2016 10:08:34 AM
  • 379.
    4.4 ■ EngineeringMathematics 4.1.3 Radius of Curvature for Parametric Equations If the equation of curve is given by parametric equations x f t y g t = = ( ), ( ), then we find dx dt dy dt , ∴ Let dx dt x dy dt y dy dx dy dt dx dt y x = ′ = ′ = = ′ ′ , ∴ d y dx d dx dy dx d dt y x dt dx x y y x x 2 2 2 1 = ⎛ ⎝ ⎜ ⎞ ⎠ ⎟ = ′ ′ ⎛ ⎝ ⎜ ⎞ ⎠ ⎟ ⋅ = ′ ′′ − ′ ′′ ′ ⋅ ( ) ′ ′ = ′ ′′ − ′ ′′ ′ x x y y x x ( )3 ∴ the radius of curvature r = + ′ ′ ⎛ ⎝ ⎜ ⎞ ⎠ ⎟ ⎡ ⎣ ⎢ ⎤ ⎦ ⎥ ′ ′′ − ′ ′′ 1 2 3 2 y x x y y x / ( ( ) ′ x 3 = ′ + ′ ′ ′′ − ′ ′′ ( ) [ ] / x y x y y x 2 2 3 2 in magnitude Note Radius of curvature for parametric equations can be obtained by using formula (1). WORKED EXAMPLES EXAMPLE 1 Find the radius of curvature at the point 1 4 1 4 1 , . ⎛ ⎝ ⎜ ⎞ ⎠ ⎟ on x y 1 5 Solution. The given curve is x y + = 1 (1) Differentiating w.r.to x, we get ⇒ 1 2 1 2 0 x y dy dx dy dx y x + ⋅ = = − = − = − = − = − − x x y x x x 1 1 1 1 1 1 1 2 [ ( ) ] / From = − − ⋅ ⎛ ⎝ ⎜ ⎞ ⎠ ⎟ = − d y dx x 1 2 1 2 2 2 3 2 / x x3 2 / At the point 1 4 1 4 , , ⎛ ⎝ ⎜ ⎞ ⎠ ⎟ dy dx = − = − = − 1 1 14 1 2 1 / and d y dx 2 2 3 2 3 2 1 2 1 4 4 2 4 2 2 4 = ⋅ ⎛ ⎝ ⎜ ⎞ ⎠ ⎟ = = ⋅ = / / M04_ENGINEERING_MATHEMATICS-I _CH04_Part-A.indd 4 5/12/2016 10:08:39 AM
  • 380.
    Applications of DifferentialCalculus ■ 4.5 ∴ y y 1 2 1 4 = − = and ∴ the radius of curvature r = + = + = = ( ) ( ) / / 1 1 1 2 2 4 1 2 3 2 2 3 2 2 y y y 1 2 EXAMPLE 2 Find the radius of curvature at the point 3 2 3 2 a a , ⎛ ⎝ ⎜ ⎞ ⎠ ⎟ on the curve x y axy 3 3 3 1 5 . Solution. The given curve is x y axy 3 3 3 + = . (1) Differentiating w.r.to x, we get 3 3 3 1 2 2 x y dy dx a x dy dx y + = + ⋅ ⎡ ⎣ ⎢ ⎤ ⎦ ⎥ ⇒ dy dx y ax ay x [ ] 2 2 − = − ⇒ dy dx ay x y ax = − − 2 2 (2) Differentiating (2) w.r.to x, we get d y dx y ax a dy dx x ay x y dy dx a y ax 2 2 2 2 2 2 2 2 = − − ⎛ ⎝ ⎜ ⎞ ⎠ ⎟ − − − ⎛ ⎝ ⎜ ⎞ ⎠ ⎟ − ( ) ( ) ( ) At the point 3 2 3 2 a a , , ⎛ ⎝ ⎜ ⎞ ⎠ ⎟ dy dx a a a a a a = ⋅ − − ⋅ = − 3 2 9 4 9 4 3 2 1 2 2 and d y dx a a a a a a a a a a 2 2 2 2 2 2 9 4 3 2 3 3 2 9 4 3 9 4 = − ⋅ ⎛ ⎝ ⎜ ⎞ ⎠ ⎟ − − − − ⎛ ⎝ ⎜ ⎞ ⎠ ⎟ − − − ( ) ( ) 3 3 2 2 2 a ⎛ ⎝ ⎜ ⎞ ⎠ ⎟ = − − − ⎛ ⎝ ⎜ ⎞ ⎠ ⎟ ⎡ ⎣ ⎢ ⎤ ⎦ ⎥ ⎛ ⎝ ⎜ ⎞ ⎠ ⎟ = − ⋅ ⋅ ⎛ ⎝ ⎜ ⎞ ⎠ ⎟ ( ) 4 3 4 3 4 3 4 4 2 3 4 3 2 2 2 2 2 a a a a a a a2 2 2 2 4 8 3 4 32 3 ⎛ ⎝ ⎜ ⎞ ⎠ ⎟ = − = − a a a ∴ y y a 1 2 1 32 3 = − = − and ∴ = + the radius of curvature r ( ) / 1 1 2 3 2 2 y y = + − = − × = − ( ) / 1 1 32 3 2 2 3 32 3 8 2 3 2 a a a Since r is positive, r = 3 8 2 a M04_ENGINEERING_MATHEMATICS-I _CH04_Part-A.indd 5 5/12/2016 10:08:44 AM
  • 381.
    4.6 ■ EngineeringMathematics EXAMPLE 3 Find the radius of curvature of the curve xy a x a 2 3 3 0 5 2 at ( , . ) Solution. The given curve is xy a x 2 3 3 = − Differentiating w.r.to x, we get x y dy dx y x dy dx x y xy ⋅ + ⋅ = − ⇒ = − + 2 1 3 3 2 2 2 2 2 ( ) At the point (a, 0), dy dx = ∞ ∴ = ⇒ = dx dy x 0 0 1 So, we use the formula, r = + ( ) / 1 1 2 3 2 2 x x Now, dx dy xy x y = − + 2 3 2 2 Differentiating w.r.to y d x dy x y x y dx dy xy x dx dy y 2 2 2 2 2 3 1 3 2 2 = − + ⋅ + ⎛ ⎝ ⎜ ⎞ ⎠ ⎟ − ⋅ + ⎛ ⎝ ⎜ ⎞ ⎠ ⎟ ⎧ ⎨ ⎩ ⎫ ⎬ ⎭ ( ) ( ( ) 3 2 2 2 x y + At the point(a, 0), d x dy a a a a 2 2 2 2 2 2 3 3 2 3 = − ⋅ = − ( ) ∴ x x a 1 2 0 2 3 = = − and ∴ the radius of curvature r = + = + − = − ( ) ( ) / / / 1 1 0 2 3 3 2 1 2 3 2 2 3 2 x x a a Since r is positive, r = 3 2 a EXAMPLE 4 In an ellipse x a y b 2 2 2 2 1 1 5 , show that the radius of curvature at an end of the major axis is equal to the semi-latus rectum of the ellipse. Solution. The given curve is x a y b 2 2 + = 2 2 1 (1) An end of the major axis is (a, 0) Differentiating (1) w.r.to x, we get 1 2 1 2 0 2 2 2 2 a x b y dy dx dy dx b a x y ⋅ + = = − ⇒ M04_ENGINEERING_MATHEMATICS-I _CH04_Part-A.indd 6 5/12/2016 10:08:50 AM
  • 382.
    Applications of DifferentialCalculus ■ 4.7 At the point (a, 0), dy dx = ∞ ∴ = ⇒ = dx dy x 0 0 1 So, we use the formula r = + ( ) / 1 1 2 3 2 2 x x Now dx dy a b y x = − ⋅ 2 2 Differentiating w.r.to y, we get d x dy a b x y dx dy x 2 2 2 2 2 1 = − ⋅ ⋅ − ⋅ ⎡ ⎣ ⎢ ⎤ ⎦ ⎥ At the point (a, 0), d x dy a b a a a b 2 2 2 2 2 2 = − = − ∴ x x a b 1 2 2 0 = = − and ∴ the radius of curvature r = + − = − ( ) / 1 0 3 2 2 2 a b b a Since r is positive, r = b a 2 , which is the length of the semi-latus rectum of the ellipse. EXAMPLE 5 For the curve y x x 5 1 a a , if r is the radius of curvature at any point (x, y), show that 2 2 3 2 2 r 5 1 a y x x y ⎛ ⎝ ⎜ ⎞ ⎠ ⎟ ⎛ ⎝ ⎜ ⎞ ⎠ ⎟ ⎛ ⎝ ⎜ ⎞ ⎠ ⎟ / . Solution. The given curve is y ax a x = + (1) Differentiating w.r.to x, we get dy dx a a x x a x a a x = + − + = + [( ) ] ( ) ( ) ⋅ ⋅ 1 1 2 2 2 and d y dx a a x 2 2 2 3 2 = − + ( ) At the point (x, y), y a a x y a a x 1 2 2 2 2 3 2 = + = − + ( ) ( ) and ∴ the radius of curvature r = + = + + ⎡ ⎣ ⎢ ⎤ ⎦ ⎥ − + ( ) ( ) ( ) / / 1 1 2 1 2 3 2 2 4 4 3 2 2 3 y y a a x a a x M04_ENGINEERING_MATHEMATICS-I _CH04_Part-A.indd 7 5/12/2016 10:09:07 AM
  • 383.
    4.8 ■ EngineeringMathematics Since r is positive, r = + + ⎡ ⎣ ⎤ ⎦ + ⎡ ⎣ ⎤ ⎦ + = + + ⎡ ⎣ ⎤ ⎦ ( ) ( ) ( ) ( ) / / / a x a a x a a x a x a 4 4 3 2 4 3 2 2 3 4 4 3 2 2 2a a a x 2 3 ⋅ + ( ) ⇒ 2 4 4 3 2 3 3 r a a x a a a x = + + ⎡ ⎣ ⎤ ⎦ + ( ) ( ) / ⇒ 2 2 3 4 4 3 3 2 3 r a a x a a a x ⎛ ⎝ ⎜ ⎞ ⎠ ⎟ = + + ⎡ ⎣ ⎤ ⎦ + ⎡ ⎣ ⎤ ⎦ / / ( ) ( ) raising to the pow wer dividing t 2 3 4 4 2 2 2 2 2 2 ⎡ ⎣ ⎢ ⎤ ⎦ ⎥ = + + + = + + + ( ) ( ) ( ) ( ) a x a a a x a x a a a x e erm by term [ ] We have y ax a x = + ⇒ = + y x a a x and x y a x a = + ∴ 2 2 3 2 2 r a x y y x ⎛ ⎝ ⎜ ⎞ ⎠ ⎟ = ⎛ ⎝ ⎜ ⎞ ⎠ ⎟ + ⎛ ⎝ ⎜ ⎞ ⎠ ⎟ / EXAMPLE 6 If r r 1 2 , be the radii of curvatures at the ends of a focal chord of a parabola whose latus rectum is 2l, prove that ( ) ( ) / / / r 1 r 5 2 2 2 1 2 3 2 2 3 2 3 l . Solution. Let the parabola be y ax 2 4 = (1) We know that 4a is the length of the latus rectum. Given 2l is the latus rectum. ∴ 4 2 2 a l a l = ⇒ = Let S be the focus (a, 0). Let PQ be the focal chord. Let P be ( , ) at at 2 2 and Q be ( , ) at at 1 2 1 2 . The Slope of PQ = − − = − − = − + − = + y y x x at at at at a t t a t t t t t t 1 2 1 2 1 1 2 2 1 1 1 1 2 2 2 2 ( ) ( )( ) [ [ ] { t t 1 ≠ Slope of SP = − − = − = − 2 0 2 1 2 1 2 2 2 at at a at a t t t ( ) Since slope of PQ = Slope of SP O P(at2 , 2at) Q(at1 2 , 2at1 ) (a, 0) S M04_ENGINEERING_MATHEMATICS-I _CH04_Part-A.indd 8 5/12/2016 10:09:13 AM
  • 384.
    Applications of DifferentialCalculus ■ 4.9 ⇒ 2 2 1 1 2 t t t t + = − ∴ t t t t 2 1 1 − = + ( ) ⇒ t tt t 2 1 2 1 − = + ⇒ t t 1 1 = − ⇒ t t 1 1 = − (2) The radius of curvature at ( , ) at at 2 2 is r = + 2 1 2 3 2 a t ( ) / ∴ At the point P( , ), at at 2 2 r1 2 3 2 2 1 = + a t ( ) / ⇒ r1 2 3 2 3 2 1 2 1 − − − = + ( ) ( ) / a t ⇒ r1 2 3 2 3 2 2 1 − − = + ( ) / a t At the point Q (at at 1 2 1 2 , ), r 2 1 2 3 2 2 1 = + a t ( ) / ⇒ r2 2 3 2 3 1 2 1 2 1 − − ( ) = + − ( ) / a t = + ⎛ ⎝ ⎜ ⎞ ⎠ ⎟ = + = ⋅ + − − − − − − ( ) ( ) ( ) ( ) / / / 2 1 1 2 1 2 1 2 3 2 1 2 3 2 1 2 2 3 2 2 a t a t t a t t [Using (2)] ∴ r r 1 2 3 2 2 3 2 3 2 2 3 2 2 2 1 1 2 1 − − − − + = + + ⋅ + ( ) ( ) / / a t a t t ∴ = + + + ⎛ ⎝ ⎜ ⎞ ⎠ ⎟ = + + = = − − − − ( ) ( ) ( ) / / / / 2 1 1 1 2 1 1 2 2 3 2 2 2 2 3 2 2 2 3 2 a t t t a t t a l 3 3 1 2 3 2 2 3 2 3 r r − − − + = l / [{ 2a = l] EXAMPLE 7 Prove that the radius of curvature at any point of the cycloid x 5 u1 u a( ) sin , y 5 2 u a( ) 1 cos is 4 2 acos u . Solution. The given curve is x a y a = + = − ( sin ) ( cos ) u u u and 1 ∴ dx d a a dy d a u u u u u = + = = ( cos ) cos sin 1 2 2 2 and ∴ dy dx dy d dx d = u u = = = a a a a sin cos sin cos cos tan u u u u u u 2 2 2 2 2 2 2 2 2 2 ∴ d y dx d d dy dx d dx 2 2 = ⎛ ⎝ ⎜ ⎞ ⎠ ⎟ ⋅ u u = ⋅ ⋅ = sec sec 2 2 4 2 1 2 1 2 2 2 4 u u u a a cos M04_ENGINEERING_MATHEMATICS-I _CH04_Part-A.indd 9 5/12/2016 10:09:20 AM
  • 385.
    4.10 ■ EngineeringMathematics ∴ y y a 1 2 4 2 2 4 = = tan u u and sec ∴ the radius of curvature sec r u = + = + ⎛ ⎝ ⎜ ⎞ ⎠ ⎟ ( ) tan / 1 1 2 1 2 3 2 2 2 3 2 4 y y u u u u u 2 4 4 2 2 3 4 a a = = sec sec 4 cos 2 a EXAMPLE 8 If r r 1 2 , be the radii of curvature at the points P and Q on the cycloid x 5 u1 u a( ) sin , y a 5 2 u ( 1 cos ), where the tangents are at right angles, then r 1 r 5 1 2 2 2 2 16a . Solution. Given x a y a = + = − (cos sin ), ( cos ) u u u 1 From Example 7, the radius of curvature at any point u is r u = 4 2 acos Let the parameters of the points P be u1 and Q be u2 , then r u r u 1 1 2 2 4 2 4 2 = = a a cos , cos But the slope of tangent at P is tan u1 2 and the slope of the tangent at Q is tan u2 2 Since tangents are perpendicular to each other, we get tan tan u u 1 2 2 2 1 = − ⇒ tan tan cot u u u 2 1 1 2 1 2 2 = − = − tan tan u p u 2 1 2 2 2 = + ⎛ ⎝ ⎜ ⎞ ⎠ ⎟ ⇒ u p u 2 1 2 2 2 = + ∴ r p u u 2 1 1 4 2 2 4 2 = + ⎛ ⎝ ⎜ ⎞ ⎠ ⎟ = − a a cos sin ∴ r r u u 1 2 2 2 2 2 1 2 2 1 16 2 16 2 + = + a a cos sin ⇒ r r u u 1 2 2 2 2 2 1 2 1 16 2 2 + = + ⎛ ⎝ ⎜ ⎞ ⎠ ⎟ a cos sin ⇒ r r 1 2 2 2 + = 16 2 a EXAMPLE 9 Find the points on the parabola y x 2 5 4 at which the radius of curvature is 4 2. Solution. Given y x 2 4 = (1) M04_ENGINEERING_MATHEMATICS-I _CH04_Part-A.indd 10 5/12/2016 10:09:26 AM
  • 386.
    Applications of DifferentialCalculus ■ 4.11 Differentiating w.r.to x, 2 4 y dy dx = ⇒ dy dx y = 2 and d y dx y dy dx y 2 2 2 3 2 4 = − ⋅ = − Let (a, b) be the point on the curve at which the radius of curvature is 4 2. Since (a, b) is on y2 = 4x, b a 2 4 = (2) At the point (a, b), dy dx b d y dx b = = − 2 4 2 2 3 , ∴ y b y b 1 2 3 2 4 = = − and r = + ( ) = + ⎛ ⎝ ⎜ ⎞ ⎠ ⎟ − = − + = − + 1 1 4 4 4 4 4 1 2 3 2 2 2 3 2 3 2 3 2 3 2 3 2 y y b b b b b / / / / ( ) ( ) 4 4 Since r is positive, r = + ( ) / b2 3 2 4 4 Given r = 4 2 ∴ ( ) / b2 3 2 4 4 4 2 + = ⇒ ( ) / 4 4 16 2 3 2 a + = ⇒ 4 1 16 2 3 2 3 2 / / ( ) a + = ⇒ 4 1 16 2 3 3 2 ( ) a + = × [squaring both sides] ⇒ ( ) a a a + = × = = + = ⇒ = 1 16 2 4 8 2 1 2 1 3 2 3 3 ⇒ (2) is b a b b 2 2 4 4 2 = ⇒ = ⇒ = ± ∴ the points are (1, 2) and (1, −2). 4.1.4 Centre of Curvature and Circle of Curvature Let Γ be a simple curve having tangent at each point. At any point P on this curve we can draw a circle having the same curvature at P as the curve Γ. This circle is called the circle of curvature and its centre is called the centre of curvature and its radius is the radius of curvature of Γ at P. How to draw the circle of curvature is given in the next definition. Definition 4.3 Let Γ be a simple curve and let P be a point of Γ. Draw the normal at P to the curve Γ in the direction of the concavity of the curve (which is the positive direction of the normal) and cut off a segment PC = r, the radius of curvature of Γ at P. M04_ENGINEERING_MATHEMATICS-I _CH04_Part-A.indd 11 5/12/2016 10:09:30 AM
  • 387.
    4.12 ■ EngineeringMathematics The point C is called the centre of curvature of the given curve at P. The circle with centre C and radius r (passing through P) is called the circle of curvature of the given curve at P. Note 1. From the definition of circle of curvature it follows that at the given point, the curvature of the curve and curvature of the circle are the same. 2. It is quite possible that the circle of curvature at a point crosses the curve as in Fig. 4.4, just as a tangent line crosses the curve at the point of inflexion. 4.1.5 Coordinates of the Centre of Curvature Let P (x, y) be the point on y f x = ( ). Let C ( , ) x y be the centre of curvature at P. Then PC = r. Let the tangent at P make an angle c with the x-axis. Then = c [{ angle between two lines = angle between their perpendiculars] From the right angle CNP NP NP Δ , sin sin c r r c = ⇒ = Now x x = = − = − = − OM OL ML OL NP r c sin and y y = = + = + MC MN MC r c cos Since tan , sin , cos c c c = = = + = + dy dx y y y y 1 1 1 2 1 2 1 1 1 and r = + ( ) / 1 1 2 3 2 2 y y ∴ x x y y y y = − + ⋅ + ( ) / 1 1 1 2 3 2 2 1 1 2 ⇒ x x y y y = − + 1 1 2 2 (1 ) (1) and y y y y y = + + ⋅ + ( ) / 1 1 1 1 2 3 2 2 1 2 ⇒ y y y y = + (1+ ) 1 2 2 (2) Thus, the centre of curvature ( , ) x y is given by (1) and (2). ∴ the equation of the circle of curvature at P is ( ) ( ) x x y y − + − = 2 2 2 r Note The centre of the curvature formula holds if y2 0 0 or . P ρ C tangent at P circle of curvature Fig. 4.4 N M L P(x, y) ψ X Y O ψ ρ C(x, y) Fig. 4.5 1 1 2 + y ψ y1 1 Fig. 4.6 M04_ENGINEERING_MATHEMATICS-I _CH04_Part-A.indd 12 5/12/2016 10:09:38 AM
  • 388.
    Applications of DifferentialCalculus ■ 4.13 WORKED EXAMPLES EXAMPLE 1 Find the circle of curvature at (3, 4) on xy 5 12. Solution. The given curve is xy = 12 ⇒ y x = 12 ∴ dy dx x d y dx x = − = + 12 24 2 2 2 3 and At the point (3, 4) dy dx = − = − 12 9 4 3 and d y dx 2 2 24 27 8 9 = = ∴ y y 1 2 4 3 8 9 = − = and The centre of curvature ( , ) x y is given by x y = − + = − − ⎛ ⎝ ⎜ ⎞ ⎠ ⎟ + ⎛ ⎝ ⎜ ⎞ ⎠ ⎟ = + ⋅ = = + x y y y y 1 1 2 2 1 3 4 3 1 16 9 8 9 3 4 3 25 8 43 6 ( ) (1 1 4 1 16 9 8 9 4 25 8 57 8 1 2 2 + = + + = + = y y ) ∴ the centre of Curvature is ( , ) 43 6 , 57 8 x y = ⎛ ⎝ ⎜ ⎞ ⎠ ⎟ and the radius of curvature r = + = + ⎛ ⎝ ⎜ ⎞ ⎠ ⎟ = × × = ( ) ( ) / / / 1 1 4 9 8 9 25 9 3 8 9 125 24 1 2 3 2 2 3 2 3 2 y y ∴ the equation of circle of curvature at (3, 4) is ( ) ( ) x x y y − + − = 2 2 2 r ⇒ x y − ⎛ ⎝ ⎜ ⎞ ⎠ ⎟ + − ⎛ ⎝ ⎜ ⎞ ⎠ ⎟ = ⎛ ⎝ ⎜ ⎞ ⎠ ⎟ 43 6 57 8 125 24 2 2 2 . EXAMPLE 2 Show that the circle of curvature of x y 1 5 a at a a 4 4 , ⎛ ⎝ ⎜ ⎞ ⎠ ⎟ is x y 2 1 2 5 3 4 3 4 2 2 2 2 a a a ⎛ ⎝ ⎜ ⎞ ⎠ ⎟ ⎛ ⎝ ⎜ ⎞ ⎠ ⎟ . Solution. The given curve is x y a + = ⇒ y a x = − (1) Differentiating w.r.to x, we get 1 2 1 2 y dy dx x ⋅ = − ⇒ dy dx y x = − (2) M04_ENGINEERING_MATHEMATICS-I _CH04_Part-A.indd 13 5/12/2016 10:09:43 AM
  • 389.
    4.14 ■ EngineeringMathematics Now dy dx a x x a x a x = − − ( ) = − = − ⋅ − 1 1 1 2 / [from (1)] ∴ d y dx a x a x 2 2 3 2 3 2 12 2 = − − = − − ( / ) / / At the point a a 4 4 , ⎛ ⎝ ⎜ ⎞ ⎠ ⎟ dy dx a a = − = − / / 4 4 1 and d y dx a a a a a a 2 2 3 2 2 4 2 4 2 4 = ⋅ ⎛ ⎝ ⎜ ⎞ ⎠ ⎟ = ⋅ ⋅ = − / ∴ y y a 1 2 1 4 = − = and ∴ the radius of curvature r = + = + = = ( ) ( ) / / / 1 1 1 4 2 2 1 2 3 2 2 3 2 y y a a a 2 At the point a a 4 4 , , ⎛ ⎝ ⎜ ⎞ ⎠ ⎟ the coordinates of the centre of curvature ( , ) x y is given by x y = − + = − − + = + = = + + = + x y y y a a a a a y y y a 1 1 2 2 1 2 2 1 4 1 1 1 4 4 2 3 4 1 4 ( ) ( )( ) / ( ) 1 1 1 4 4 2 3 4 + = + = a a a a ∴ the centre of curvature is ( , ) , x y a a = ⎛ ⎝ ⎜ ⎞ ⎠ ⎟ 3 4 3 4 ∴ the circle of curvature at a a 4 4 , ⎛ ⎝ ⎜ ⎞ ⎠ ⎟ is ( ) ( ) x x y y − + − = 2 2 2 r ⇒ x a y a a − ⎛ ⎝ ⎜ ⎞ ⎠ ⎟ + − ⎛ ⎝ ⎜ ⎞ ⎠ ⎟ = 3 4 3 4 2 2 2 2 . EXAMPLE 3 Find the centre of curvature and equation of the circle of curvature at the point P on the curve y ex 5 where the curve crosses the y-axis. Solution. The given curve is y ex = (1) ∴ dy dx ex = and d y dx ex 2 2 = Also given P is the point on the y-axis where the curve crosses it. M04_ENGINEERING_MATHEMATICS-I _CH04_Part-A.indd 14 5/12/2016 10:09:49 AM
  • 390.
    Applications of DifferentialCalculus ■ 4.15 Equation of y-axis is x = 0. ∴ y e = = 0 1 ∴ P is ( , ) 0 1 ∴ At the point P, dy dx d y dx = = 1 1 2 2 , and ∴ y1 1 = and y2 1 = r = + ( ) = + = 1 1 1 1 2 2 1 2 3 2 2 3 2 y y / / ( ) At the point P, the coordinates of the centre of curvature ( , ) x y is given by and x x y y y y y y y = − + ( ) = − + = − = + + = + + = 1 1 2 2 1 2 2 1 0 1 1 1 1 2 1 1 1 1 1 3 ( ) ( ) ∴ the centre of curvature is ( , ) ( , ) x y = −2 3 ∴ the equation of the circle of curvature is ( ) ( ) x x y y − + − = 2 2 2 r ⇒ ( ) ( ) x y + + − = 2 3 8 2 2 EXERCISE 4.1 1. Find the radius of curvature at (−2, 0) on the curve y x = + 3 8. 2. Find r for the curve y c x c = cosh at the point (0, c). 3. Find the radius of curvature at any point ( cos , sin ) a b u u on the ellipse x a y b 2 2 2 2 1 + = . 4. Find the radius of curvature at any point (x, y) on the curve y a e e = + ( ) − 2 x a x a . 5. Find the radius of curvature of x c y c 2 2 = − ( ) where it crosses the y-axis. 6. Show that the radius of curvature of the curve x a a = − 3 3 cos cos , u u y a a = − 3 3 sin sin u u is 3asin . u 7. Find the radius of curvature of the curve x a = cos , u y = sinu at u p = 4 . 8. Find the radius of curvature at x c = on the curve xy c = 2 . 9. Find the radius of curvature at x = 1 on y x e = log . 10. Find the radius of curvature at ( , ) −2 2 a a on y a x y x = + ( ) 2 2 2 . 11. Find the radius of curvature of the curve x e t = t cos , y e t = t sin at (1, 0). 12. Find the radius of curvature of the parabola x at y at = = 2 2 , at t. 13. Find the radius of curvature at any point ‘u’ on x a = + log( tan ), sec u u y a = sec u. M04_ENGINEERING_MATHEMATICS-I _CH04_Part-A.indd 15 5/12/2016 10:10:00 AM
  • 391.
    4.16 ■ EngineeringMathematics 14. Find the radius of curvature at y a = 2 on the curve y ax 2 4 = . 15. Prove that at the point x = p 2 of the curve y x x = − 4 2 sin sin , r = 5 5 4 . 16. Prove that the radius of curvature at any point (x, y) on x a y b ⎛ ⎝ ⎜ ⎞ ⎠ ⎟ + ⎛ ⎝ ⎜ ⎞ ⎠ ⎟ = 1 2 1 2 1 / / is r = + 2 3 2 ( ) . / ax by ab 17. Show that the radius of curvature at the point ( cos , sin ) a a 3 3 u u on the curve x y a 2 3 2 3 2 3 / / / + = is 3a sin u cos u. 18. Prove that the radius of curvature at any point of the astroid x y a 2 3 2 3 2 / / + = is three times the length of the perpendicular from the origin to the tangent at that point. 19. Find the radius of curvature and the curvature at the point (0, c) on the curve y c x c = cosh . 20. If r is the radius of curvature at any point P on the parabola y ax 2 4 = and S is its focus, show that r2 varies as (SP)3 . 21. Find r for the curve x a t t t y a t t t = + = − (cos sin ), (sin cos ). 22. Show that the radius of curvature at any point of the curve x ae = − u u u (sin cos ), y ae = + u u u (sin cos ) is twice the perpendicular distance from the origin to the tangent at the point. 23. Show that the measure of curvature of the curve x a y b + = 1 at any point (x, y) on it is ab ax by 2 3 2 ( ) . / + 24. Find the centre of curvature of the hyperbola x a y b 2 2 2 2 1 − = at the point ( , tan ) a b sec u u . 25. Find the centre of curvature of y ax 2 4 = at an end of the latus rectum. 26. Find the centre of curvature at (c, c) on xy c = 2 . 27. Find the circle of curvature at 1 4 1 4 1 , . ⎛ ⎝ ⎜ ⎞ ⎠ ⎟ + = on x y 28. Find the circle of curvature for the curve x y xy 3 3 3 + = at the point 3 2 3 2 , ⎛ ⎝ ⎜ ⎞ ⎠ ⎟ on it. 29. Find the coordinates of the centre of curvature of the curve x y a xy 4 4 2 2 + = at (a, a). 30. If the centre of curvature of the ellipse x a y b 2 2 2 2 1 + = at one end of the minor axis lies at the other end. Find the eccentricity of the ellipse. [Hint At (0, b), the centre of curvature is (0, −b)∴ = r 2b compute r and find e] 31. Find the equation of the circle of curvature at (3, 6) on y x 2 12 = . 32. Find the equation of the circle of curvature at (c, c) on xy = c2 . 33. Find the radius of curvature and centre of curvature at any point (x, y) on the curve y c x c = log . sec 34. Find the radius of curvature and centre of curvature of the curve x y 4 4 2 + = at the point (1, 1). ANSWERS TO EXERCISE 4.1 1. 6 2. c 3. 1 2 2 2 3 2 ab a b ( sin cos ) / u u + 4. a x a cosh2 5. c 7. a 8. c 2 9. 2 2 3 M04_ENGINEERING_MATHEMATICS-I _CH04_Part-A.indd 16 5/12/2016 10:10:10 AM
  • 392.
    Applications of DifferentialCalculus ■ 4.17 10. 2a 11. 2 12. 2 1 2 a t ( ) + 13. asec2 u 14. r = 4 2 a . 15. r = 5 5 4 16. r= + 2 3 2 ab ax by ( ) . / 17. 3asinθcosθ 18. r = 3p 19. Curvature = 1 c 20. r2 3 (SP) = 4 a 21. at 22. r = 2p 24. x a b a y a b b = + = − + 2 2 3 2 2 3 sec u u ; ( ) tan 25. ( , ) 5 2 a a − 26. ( , ) 2 2 c c 27. x y − ⎛ ⎝ ⎜ ⎞ ⎠ ⎟ + − ⎛ ⎝ ⎜ ⎞ ⎠ ⎟ = 3 4 3 4 1 2 2 2 28. x y x y 2 2 21 8 432 128 0 + − + + = ( ) 29. 6 7 6 7 a a , ⎛ ⎝ ⎜ ⎞ ⎠ ⎟ 30. 1 2 31. ( ) ( ) x y − + + = 15 6 288 2 2 32. ( ) ( ) x c y c c − + − = 2 2 2 2 2 2 33. c x c x c x c y c sec , tan , − + ⎛ ⎝ ⎜ ⎞ ⎠ ⎟ 34. 2 3 2 3 2 3 , , ⎛ ⎝ ⎜ ⎞ ⎠ ⎟ 4.1.6 Radius of Curvature in Polar Coordinates Let the equation of the curve in polar coordinates be r = f(u) Let P(r, u) be any point on the curve Let r be the radius of curvature at the point P. Let O be the pole and OA be the initial line. Draw the tangent at P and it meets OA at the point B. Let PB make an angle c with OA. Let C be a fixed point on the curve from which the arc length is measured. Let CP = s and CQ = s + Δs. so that the arc PQ = Δs. Let AOP=u and f the angle between the tangent at P and the radius vector OP ∴ the radius of curvature is r c = ds d and from Fig. 4.7 c = u + f [ From Δ OPB] ∴ d d d d c u f u = + 1 We know tanf = r d dr r dr d u u = Differentiating with respect to u, we get sec2 2 2 2 f f u u u u u d d dr d dr d r d r d dr d = ⋅ − ⎛ ⎝ ⎜ ⎞ ⎠ ⎟ = ⎛ ⎝ ⎜ ⎞ ⎠ ⎟ − ⎛ ⎝ ⎜ ⎞ ⎠ ⎟ dr d r d r d dr d u u u 2 2 2 2 Q P O B A C r r + Δr θ φ ψ Δs s Fig. 4.7 M04_ENGINEERING_MATHEMATICS-I _CH04_Part-A.indd 17 5/12/2016 10:10:19 AM
  • 393.
    4.18 ■ EngineeringMathematics ⇒ d d dr d r d r d dr d f u f u u u = ⎛ ⎝ ⎜ ⎞ ⎠ ⎟ − ⎛ ⎝ ⎜ ⎞ ⎠ ⎟ ⎡ ⎣ ⎢ ⎢ ⎢ ⎢ ⎤ ⎦ ⎥ ⎥ ⎥ ⎥ 1 2 2 2 2 2 sec = + ⎛ ⎝ ⎜ ⎞ ⎠ ⎟ − ⎛ ⎝ ⎜ ⎞ ⎠ ⎟ ⎡ ⎣ ⎢ ⎢ ⎢ ⎢ ⎤ ⎦ ⎥ ⎥ ⎥ ⎥ = + 1 1 1 1 2 2 2 2 2 2 tan f u u u dr d r d r d dr d r dr r d dr d r d r d dr d dr d u u u u u ⎛ ⎝ ⎜ ⎞ ⎠ ⎟ ⎛ ⎝ ⎜ ⎞ ⎠ ⎟ − ⎛ ⎝ ⎜ ⎞ ⎠ ⎟ ⎡ ⎣ ⎢ ⎢ ⎢ ⎢ ⎤ ⎦ ⎥ ⎥ ⎥ ⎥ = 2 2 2 2 2 ⎛ ⎛ ⎝ ⎜ ⎞ ⎠ ⎟ + ⎛ ⎝ ⎜ ⎞ ⎠ ⎟ ⎛ ⎝ ⎜ ⎞ ⎠ ⎟ − ⎛ ⎝ ⎜ ⎞ ⎠ ⎟ ⎡ ⎣ ⎢ ⎢ ⎢ ⎢ 2 2 2 2 2 2 2 r dr d dr d r d r d dr d u u u u ⎤ ⎤ ⎦ ⎥ ⎥ ⎥ ⎥ = ⎛ ⎝ ⎜ ⎞ ⎠ ⎟ − + ⎛ ⎝ ⎜ ⎞ ⎠ ⎟ dr d r d r d r dr d u u u 2 2 2 2 2 ∴ d d d d dr d r d r d r dr d r dr d c u f u u u u u = + = + ⎛ ⎝ ⎜ ⎞ ⎠ ⎟ − + ⎛ ⎝ ⎜ ⎞ ⎠ ⎟ = + ⎛ ⎝ ⎜ 1 1 2 2 2 2 2 2 ⎞ ⎞ ⎠ ⎟ + ⎛ ⎝ ⎜ ⎞ ⎠ ⎟ − + ⎛ ⎝ ⎜ ⎞ ⎠ ⎟ = + ⎛ ⎝ ⎜ ⎞ ⎠ ⎟ − 2 2 2 2 2 2 2 2 2 dr d r d r d r dr d r dr d r d u u u u 2 2 2 2 2 r d r dr d u u + ⎛ ⎝ ⎜ ⎞ ⎠ ⎟ We know ds d r dr d u u = + ⎛ ⎝ ⎜ ⎞ ⎠ ⎟ 2 2 ∴ the radius curvature r = ds d d d r dr d r dr d r dr d u u c u u u ⋅ = + ⎛ ⎝ ⎜ ⎞ ⎠ ⎟ + ⎛ ⎝ ⎜ ⎞ ⎠ ⎟ ⎡ ⎣ ⎢ ⎢ ⎤ ⎦ ⎥ ⎥ + ⎛ ⎝ ⎜ ⎞ 2 2 2 2 2 2 ⎠ ⎠ ⎟ − 2 2 2 r d r du ⇒ = + ⎛ ⎝ ⎜ ⎞ ⎠ ⎟ ⎡ ⎣ ⎢ ⎢ ⎤ ⎦ ⎥ ⎥ + ⎛ ⎝ ⎜ ⎞ ⎠ ⎟ − r u u u r dr d r dr d r d r d 2 2 3 2 2 2 2 2 2 / M04_ENGINEERING_MATHEMATICS-I _CH04_Part-A.indd 18 5/12/2016 10:10:22 AM
  • 394.
    Applications of DifferentialCalculus ■ 4.19 ⇒ = + r r r 2 1 1 2 3 2 2 1 2 2 1 2 2 2 2 ⎡ ⎣ ⎤ ⎦ + − = = / . r r rr r dr d r d r d where and u u WORKED EXAMPLES EXAMPLE 1 Find the radius of curvature of the cardioid r = a (1 + cos u) and show that r2 r is a constant. Solution. The given equation is r = a (1 + cos u) (1) The radius curvature is r = r r r r rr 2 1 2 3 2 2 1 2 2 2 + ( ) + − Differentiating (1) with respect to u, we get r dr d a a 1 = = − = − u u u ( sin ) sin and r d r d a 2 2 2 = = − u u cos Now r r r a a a a 2 1 2 2 2 2 2 2 2 2 2 2 2 1 1 2 + = + = + + = + + + sin ( cos ) sin cos cos sin u u u u u u u u u u u ⎡ ⎣ ⎤ ⎦ = + + + ⎡ ⎣ ⎤ ⎦ = + [ ]= a a ar 2 2 2 2 1 2 2 1 2 cos sin cos cos ∴ r r ar 2 1 2 3 2 3 2 2 + ⎡ ⎣ ⎤ ⎦ = [ ] and r r rr r a r a a 2 1 2 2 2 2 2 2 2 2 1 + − = + − − = sin ( cos ) ( u u + + + + ⋅ + = + + cos ) sin ( cos )cos cos sin u u u u u u u 2 2 2 2 2 2 2 1 1 2 a a a a + 2cos +co os +cos +3cos u u u u u u 2 2 2 2 2 1 2 3 1 3 ⎡ ⎣ ⎤ ⎦ = + + ⎡ ⎣ ⎤ ⎦ = + = a a a (cos sin ) ( cos ) r r [ cos sin ] { 2 2 1 u u + = ∴ the radius of curvature is r = [ ] 2 3 3 2 ar ar ⇒ r r = ( ) = = 2 3 8 9 8 9 2 3 2 2 ar ar ar r a ( ) , ⇒ constant M04_ENGINEERING_MATHEMATICS-I _CH04_Part-A.indd 19 5/12/2016 10:10:26 AM
  • 395.
    4.20 ■ EngineeringMathematics EXAMPLE 2 Find the radius of curvature at any point on the curve rn = an sinnu, where a is a constant. Solution. The given curve is rn = an sin nu Taking log on both sides, we get ⇒ log log log sin log log log sin e n e n e e e e r a n n r n a n = + = + u u (1) The radius of curvature at any point is r = + + − ( ) r r r r rr 2 1 2 3 2 2 1 2 2 2 (2) Differentiating (1) with respect to u, we get ⇒ n r dr d n n n dr d r n r r n r d r d r ⋅ = ⋅ = = = = − 1 1 1 2 2 2 u u u u u u u sin cos cot cot cos ⇒ e ec ec 2 2 2 n n n dr d nr n r n u u u u u ⋅ ⎡ ⎣ ⎤ ⎦ + = − + cot cos cot Now r r r r n r n r n 2 1 2 2 2 2 2 2 2 2 1 + = + = + = cot ( cot ) u u u cosec ∴ r r r 2 1 2 3 2 2 + ⎡ ⎣ ⎤ ⎦ = / c cosec cosec 2 3 2 3 3 n r n u u ⎡ ⎣ ⎤ ⎦ = and r r r r r r n r nr n r n r r n 2 1 2 2 2 2 2 2 2 2 2 2 2 2 + − = + − − + = + cot ( cot ) cot u u u cosec u u u u u u + = + + = + nr n r n nr n r n nr 2 2 2 2 2 2 2 2 2 1 cosec cosec cosec cose ( cot ) c c cosec 2 2 2 1 n n r n u u = + ( ) Substituting in (2), we get r u u u = + = + r n n r n r n n 3 3 2 2 1 1 cosec cosec cosec ( ) = + ⋅ = + ⋅ = + − + r n n r n a r a r n n n n n 1 1 1 1 1 sin u [Using (1)] Note 1. When n = 1, the given curve is r = a sinu which is a circle and the radius of curvature is r = + = + a r a −1 1 1 1 2 M04_ENGINEERING_MATHEMATICS-I _CH04_Part-A.indd 20 5/12/2016 10:10:29 AM
  • 396.
    Applications of DifferentialCalculus ■ 4.21 2. When n = 1 2 , the given curve is r a r a a 1 2 1 2 2 2 2 2 1 = ⇒ = = − sin sin ( cos ) u u u which is a cardioid and the radius of curvature is r = + = = − + a r a r ar 1 2 1 2 1 1 2 1 2 1 2 1 2 3 2 3 / / 3. When n = − 1 2 , the given curve is r a a r a r a − − − = − ⎛ ⎝ ⎜ ⎞ ⎠ ⎟ = − ⇒ = − ⇒ = 1 2 1 2 1 2 1 2 1 2 2 2 1 1 2 1 1 sin sin sin s / / / u u u i in cos cos 2 2 1 2 2 1 u u u ⇒ = − ⇒ = − a r a r which is a parabola and the radius of curvature is r = − + = − = − − − − ⎛ ⎝ ⎜ ⎞ ⎠ ⎟ + − a r a r r a 1 2 1 2 1 1 2 3 2 3 2 1 2 1 2 1 2 2 / / Since r is positive, r = 2 3 2 1 2 r a / 4. When n = 2, the given curve is r2 = a2 sin2u which is lemniscate of Bernoulli and radius of curvature is r = + = − + a r a r 2 2 1 2 2 1 3 5. When n = −2, the given curve is r a a r a − − − = − = − ⇒ = − 2 2 2 2 2 2 2 1 2 sin( ) sin sin u u u which is a rectangular hyperbola and the radius of curvature is r = − + = − = − − − − + − a r a r r a 2 2 1 2 3 3 2 2 1 ( ) Since r is positive, r = r a 3 2 M04_ENGINEERING_MATHEMATICS-I _CH04_Part-A.indd 21 5/12/2016 10:10:34 AM
  • 397.
    4.22 ■ EngineeringMathematics 4.1.7 Radius of Curvature at the Origin Newton’s Method 1. If the curve y = f(x) passes through the origin and the x-axis is tangent at the origin O(0,0), then at the point O(0,0), the radius of curvature r = → lim x x y 0 2 2 Proof Let y = f(x) be the equation of the curve. Since the x-axis is a tangent at the origin O(0, 0) to the curve, we have dy dx y = ⇒ = 0 0 1 The radius of curvature r = + = ( ) 1 1 1 2 2 2 3 2 y y y ∴ at the origin O(0, 0), r = 1 2 y (1) Now consider lim lim x x x y x y → → = 0 2 0 1 2 2 2 [By L’ Hopital’s rule] ⇒ lim x x y y → = 0 2 2 2 1 (2) ∴ from (1) and (2), we get at the origin O(0, 0), r = ⎛ ⎝ ⎜ ⎞ ⎠ ⎟ → lim x x y 0 2 2 2. If the curve y = f(x) passes through the origin and the y-axis is tangent at the origin O(0, 0), then at O(0, 0), r = → lim y y x 0 2 2 . Proof The curve is y = f(x) Since the y-axis is tangent at the origin O(0, 0) to the curve dy dx dx dy x = ∞ ⇒ = ⇒ = 0 0 1 But, the radius of curvature r = + = ( ) 1 1 1 2 3 2 2 2 x x x ∴ at the origin O(0, 0), r = 1 2 x (1) Now, consider lim lim lim y y y y x y dx dy → → → ⎛ ⎝ ⎜ ⎞ ⎠ ⎟ = ⋅ [ ] = 0 2 0 0 2 2 2 By L’Hopital’s rule y y x x x y 1 0 2 2 1 1 = ⎡ ⎣ ⎢ ⎤ ⎦ ⎥ = [ ] → lim By L’Hopital’s rule M04_ENGINEERING_MATHEMATICS-I _CH04_Part-A.indd 22 5/12/2016 10:10:38 AM
  • 398.
    Applications of DifferentialCalculus ■ 4.23 From (1) and (2), we get, at the origin O(0, 0), r = → lim y y x 0 2 2 . 3. If the curve y = f(x) passes through the origin O(0, 0), but neither the x-axis nor the y-axis is a tangent at the origin, then at the origin O(0, 0), r = + ⎡ ⎣ ⎤ ⎦ 1 2 3 2 p q , where p f q f = ′ = ′′ ( ), ( ) 0 0 . Proof In this case we use Maclaurin’s series expansion for f(x) ∴ y f x f x f x f = = + ′ + ′′ +⋅⋅⋅ ( ) ( ) ! ( ) ! ( ) 0 1 0 2 0 2 Putting p f q f = ′ = ′′ ( ), ( ) 0 0 , we get y px q x = + +⋅⋅⋅ 2 2 [{ f(0) = 0] Thus, at the origin O(0, 0), r = + ⎡ ⎣ ⎤ ⎦ 1 2 3 2 p q . Note 1. In this case we may not be able to find y1 , y at the origin O(0, 0) in the usual way. So, we substitute y px q x = + +⋅⋅⋅ 2 2 in the given equation and equate the like coefficients of p and q. 2. If the curve passes through the origin, then the equation of the tangent at the origin is obtained by equating the lowest degree terms to zero. WORKED EXAMPLES EXAMPLE 1 Find the radius of curvature at the origin for x y x y 3 3 2 2 6 0 1 2 1 5 . Solution. The given curve is x y x y 3 3 2 2 6 0 + − + = (1) Since there is no constant term in the equation, it passes through the origin (0, 0). The tangent at the origin O(0, 0) is obtained by equating the lower degree term to zero. In (1) the lowest degree term is 6y ∴ y = 0 is the tangent at the origin. i.e., the x-axis the tangent at the origin. ∴ the radius of curvature r = ⎛ ⎝ ⎜ ⎞ ⎠ ⎟ → lim x x y 0 2 2 ⇒ 2 0 2 r = ⎛ ⎝ ⎜ ⎞ ⎠ ⎟ → lim x x y M04_ENGINEERING_MATHEMATICS-I _CH04_Part-A.indd 23 5/12/2016 10:10:43 AM
  • 399.
    4.24 ■ EngineeringMathematics Divide the equation (1) by y. ∴ x y y x y 3 2 2 2 6 0 + − + = ⇒ x x y y x y 2 2 2 2 6 0 ⎛ ⎝ ⎜ ⎞ ⎠ ⎟ + − ⎛ ⎝ ⎜ ⎞ ⎠ ⎟ + = (2) As x → 0, we have y → 0. ∴ from the equation (2), we get 0 2 0 2 2 6 0 . . r r + − + = ⇒ 4 6 3 2 r r = ⇒ = EXAMPLE 2 Find the radius of curvature at the origin for 2 3 4 2 0 4 4 2 2 x y x y xy y x 1 1 1 2 1 5 . Solution. The given curve is 2 3 4 2 0 4 4 2 2 x y x y xy y x + + + − + = (1) There is no constant term in the equation (1). Therefore it passes through the origin. The tangent at the origin is obtained by equating the lowest degree term in the equation (1) to zero. The lowest degree term in equation (1) is 2x. ∴ x = 0, is the tangent at the origin. That is, the y-axis is the tangent at the origin. ∴ the radius of curvature r = ⎛ ⎝ ⎜ ⎞ ⎠ ⎟ → lim y y x 0 2 2 ⇒ 2 0 2 r = ⎛ ⎝ ⎜ ⎞ ⎠ ⎟ → lim y y x Dividing (1) by x, we get 2 3 4 2 0 3 4 2 x y x xy y y x + ⋅ + + − + = ⇒ 2 3 4 2 0 3 2 2 2 x y y x xy y y x + ⋅ ⎛ ⎝ ⎜ ⎞ ⎠ ⎟ + + − ⎛ ⎝ ⎜ ⎞ ⎠ ⎟ + = (2) As x → 0, y → 0. ∴from the equation( 2), we get 0 0 2 0 2 2 0 + + + − + = . r r ⇒ 2 2 1 r r = ⇒ = EXAMPLE 3 Find the radius of curvature at the origin for the curve y a x x a x 2 2 ( ) ( ) 2 5 + . Solution. The given curve is y a x x a x 2 2 ( ) ( ) − = + (1) It passes through the origin. The equation of the tangent at the origin is obtained by equating the lowest degree terms to zero. M04_ENGINEERING_MATHEMATICS-I _CH04_Part-A.indd 24 5/12/2016 10:10:49 AM
  • 400.
    Applications of DifferentialCalculus ■ 4.25 The lowest degree term in equation (1) is ay ax 2 2 − ∴the tangent at the origin is ay ax y x y x 2 2 2 2 0 − = = = ⇒ ⇒ ± . Which are neither parallel to the x-axis nor to the y-axis. ∴ substituting y px q x = + + 2 1 2 … inequation ( ), we get px q x a x x a x + + ⎛ ⎝ ⎜ ⎞ ⎠ ⎟ − ( ) = + ( ) 2 2 2 2 … ⇒ p x pqx a x ax x 2 2 3 2 3 + + ( ) − ( ) = + … ⇒ ap x apqx p x ax x 2 2 3 2 3 2 3 + − + + … = Equating the coefficients of x2 and x3 on both sides, we get ap a p p 2 2 1 1 = ⇒ = ⇒ = ± and apq p − = 2 1 When p aq aq q a = − = ⇒ = ⇒ = 1 1 1 2 2 , When p aq aq q a = − − − = ⇒ = − ⇒ = − 1 1 1 2 2 , At the origin (0, 0): r = + ( ) 1 2 3 2 p q When p q a = = 1 2 , , r = ( ) 1 1 2 2 2 2 2 2 + = = a a a When p q a = − = − 1 2 , , r = + − = − ( ) 1 1 2 2 3 2 a a Since r is positive, in both cases r = a 2 4.1.8 Pedal Equation or p – r Equation of a Curve Let O be the pole and OA be the initial line. Let P be the point (r, u) on the curve r = f(u). Let PT be the tangent at the point P. Let OP = r and the angle between OP and PT be f. Let OM be the perpendicular drawn from the pole to the tangent at the point P. Let OM = p. From ΔOPM, OM OP = − sin( ) 180 f ⇒ ΟΜ = OP sin f ⇒ p = r sin f M04_ENGINEERING_MATHEMATICS-I _CH04_Part-A.indd 25 5/12/2016 10:10:56 AM
  • 401.
    4.26 ■ EngineeringMathematics ⇒ 1 1 2 2 2 p r = sin f = = + ( ) = + ⎛ ⎝ ⎜ ⎞ ⎠ ⎟ ⎡ ⎣ ⎢ ⎢ ⎤ ⎦ ⎥ ⎥ 1 1 1 1 1 1 2 2 2 2 2 2 r r r r dr d cosec f f u cot ∴ 1 1 1 2 2 4 2 p r r dr d 5 1 u ⎛ ⎝ ⎜ ⎞ ⎠ ⎟ which is called the p – r equation or pedal equation of a curve, r = f(u). WORKED EXAMPLES EXAMPLE 1 Find the p – r equation of the cardioid r a 5 2 u ( ). 1 cos Solution. The given equation is r a = − ( cos ) 1 u (1) The pedal equation of the curve (1) is 1 1 1 2 2 4 2 p r r dr d = + ⎛ ⎝ ⎜ ⎞ ⎠ ⎟ u Differentiating (1) with respect to u, we get dr d a a u u u = − − [ ]= ( sin ) sin ∴ the pedal equation is 1 1 1 2 2 4 2 2 p r r a = + sin u = + = − ( ) + = + − + ⎡ r a r a a r a 2 2 2 4 2 2 2 2 4 2 2 2 1 1 2 sin cos sin cos cos sin u u u u u u ⎣ ⎣ ⎤ ⎦ = + + − ⎡ ⎣ ⎤ ⎦ = − r a r a r 4 2 2 2 4 2 4 1 2 2 1 cos sin cos ( cos ) u u u u 1 2 2 2 2 4 3 2 3 p a r r a r p r a = ⋅ = = ⇒ . p P M O T A r φ 180 − φ ψ Fig. 4.8 M04_ENGINEERING_MATHEMATICS-I _CH04_Part-A.indd 26 5/12/2016 10:11:01 AM
  • 402.
    Applications of DifferentialCalculus ■ 4.27 EXAMPLE 2 Find the p – r equation of the curve r a m m m 5 u cos . Solution. The given equation is r a m m m = cos u (1) The p – r equation is 1 1 1 2 2 4 2 p r r dr d = + ⎛ ⎝ ⎜ ⎞ ⎠ ⎟ u (2) Differentiating (1) with respect to u, we get mr dr d ma m dr d a r m m m m m − − = − ⇒ = − 1 1 u u u u sin sin ⇒ dr d a r m m m u u ⎛ ⎝ ⎜ ⎞ ⎠ ⎟ = − 2 2 2 2 2 sin = − − a r m m m 2 2 2 2 1 ( cos ) u = − ⎛ ⎝ ⎜ ⎞ ⎠ ⎟ − a r r a m m m m 2 2 2 2 2 1 Substituting in Equation(2), we get 1 1 1 1 2 2 4 2 2 2 2 2 p r r a r r a m m m m = + − ⎛ ⎝ ⎜ ⎞ ⎠ ⎟ ⎡ ⎣ ⎢ ⎤ ⎦ ⎥ − = + − + 1 1 2 2 2 2 2 r a r r m m ⇒ 1 2 2 2 2 2 2 2 2 2 1 1 p a r p a r r pa r m m m m m m m = ⇒ = = ⇒ = + + + + ( ) Note 1. When m = 1, the curve is r a = cosu, which is a circle. The pedal equation is pa r = 2 2. When m = 2, the curve is r a 2 2 2 = cos u, which is lemniscate of Bernoulli. The (p – r) equation is pa r 2 3 = 3. When m = 1 2 , the curve is r a r a a 1 2 1 2 2 2 2 2 1 = ⇒ = = + cos cos ( cos ) u u u Which is a cardioid and the p – r equation is pa r r p r a 1 2 1 2 1 3 2 2 3 = = ⇒ = + 4. When m = − 1 2 , the curve is r a a − − = − ⎛ ⎝ ⎜ ⎞ ⎠ ⎟ = 1 2 1 2 1 2 2 2 cos cos u u ⇒ r a r a = = = + 1 2 1 2 2 1 1 2 1 1 2 1 cos cos u u c cos cos u u 2 2 1 a a r ⇒ = + Squaring, M04_ENGINEERING_MATHEMATICS-I _CH04_Part-A.indd 27 5/12/2016 10:11:10 AM
  • 403.
    4.28 ■ EngineeringMathematics Which is a parabola and the p – r equation is pa r r p a r p ar − − + − = = ⇒ = ⇒ = 1 2 1 2 1 1 2 2 1 2 5. When m = −1, the curve is r a r a a r − − = − ⇒ = ⇒ = 1 1 1 1 cos( ) cos cos u u u, a straight line. and the p – r equation is pa r p a − − + = = ⇒ = 1 1 1 1 When m = −2, the curve is ⇒ r a r a a r a − − = − = = ⇒ = 2 2 2 2 2 2 2 2 1 1 2 1 2 2 cos( cos sec sec u u u u ) which is a rectangular hyperbola and the p – r equation is pa r r p a r pr a − − + − = = ⇒ = ⇒ = 2 2 1 1 2 2 1 4.1.9 Radius of Curvature Using the p 2 r Equation of a Curve Let r f = ( ) u be the equation of the curve. We know that the radius of curvature at any point ( , ) r u is r u u u = + ⎛ ⎝ ⎜ ⎞ ⎠ ⎟ ⎡ ⎣ ⎢ ⎢ ⎤ ⎦ ⎥ ⎥ + ⎛ ⎝ ⎜ ⎞ ⎠ ⎟ − = + r dr d r dr d r d r d r r 2 2 2 2 2 2 2 1 2 3 2 2 / [ ] ] / 3 2 2 1 2 2 2 r r rr + − For some curves, it is not easy to find r using the above formula. In such cases, we find r using the (p – r) equation of the curve. Prove that the radius curvature r5r dr dp Proof Let O be the pole and OA be the intial line. Let P r ( , ) u be any point on the curve r f = ( ) u Let r be the radius of curvature at P. Let PT be the tangent at the point P and it meets OA at T. Draw OM perpendicular to PT Let OP = r and OM = p ∠AOP = u. Let ∠ OPT = f and ∠PTA = c ∴ c u f = + M04_ENGINEERING_MATHEMATICS-I _CH04_Part-A.indd 28 5/12/2016 10:11:19 AM
  • 404.
    Applications of DifferentialCalculus ■ 4.29 From ΔOPM, OM OP = = sin sin f f ⇒ p r We know sinf u = r d ds and cosf = dr ds ∴ tanu u u = = ⋅ r d dr r dr d 1 We have p = rsinf Differentiating with respect to r, we get dp dr r d dr r dr ds d dr r d ds r d ds r d ds r d ds d ds = + = + = + = + cos sin f f f f u f u f u ⎡ ⎡ ⎣ ⎢ ⎤ ⎦ ⎥ = + = r d ds r d ds ( ) u f c ds d r dr dP r dr dP ds d c r r c = = = ⎡ ⎣ ⎢ ⎤ ⎦ ⎥ ⇒ { ∴ the radius of curvature at the point P r ( , ) u on the curve is r = r dr dP WORKED EXAMPLES EXAMPLE 3 Find the radius curvature at any point on the cardioid r a 5 2 u ( ) 1 cos using the p – r equation of the curve. Solution. The given curve is r a = − ( cos ) 1 u The p – r equation is p r a 2 3 2 = (1) [Refer worked example 1, page 4.26] Let r be the radius curvature at any point P r ( , ) u on the curve, ∴ r = r dr dp Now p r a 2 3 2 = ⇒ r ap 3 2 2 = P O T M p A r θ φ ψ Fig. 4.9 M04_ENGINEERING_MATHEMATICS-I _CH04_Part-A.indd 29 5/12/2016 10:11:30 AM
  • 405.
    4.30 ■ EngineeringMathematics Differentiating w.r.to p, we get ∴ 3 2 2 4 4 2 2 3 2 2 3 2 1 2 r dr dp a p r dr dp ap r a r r a ar = ⋅ ⇒ = = ⋅ = ( ) [using (1)] ∴ the radius of curvature r = 2 3 2ar EXAMPLE 4 Find the (p – r) equation of the curve x y ax 2 2 1 5 and hence, deduce its radius of curvature. Solution. The given curvature is x y ax 2 2 + = . Put x r y r = = cos , sin . u u ∴ Its polar equation is r r ar r ar r ar r 2 2 2 2 2 2 2 2 cos sin cos (cos sin ) cos cos u u u u u u u + = ⇒ + = ⇒ = ⇒ = a acosu The (p – r) equation is 1 1 1 2 2 4 2 p r r dr d = + ⎛ ⎝ ⎜ ⎞ ⎠ ⎟ u We have r a = cosu ∴ dr d a u u = − sin ⇒ 1 1 1 1 1 2 2 4 2 2 4 2 2 2 4 2 2 2 2 2 p r r a r r a r a a a = + = + = + = sin [ sin ] [ sin ] u u u u cos [ [ sin ] ( ) cos2 2 4 2 4 4 2 2 2 1 u u + = = ⇒ = r a r r a p r ap The radius of curvature is r = r dr dp Differentiating (1) w.r to p, we get ∴ the radius of curvature 2 2 2 2 r dr dp a dr dp a r r a r a = ⇒ = = ⋅ = r Note that r = a cos u is a circle of diameter a. So, the radius = a 2 . Hence, r = a 2 . EXERCISE 4.2 1. Find the radius of curvature of the rectangular hyperbola r a 2 2 2 = sec u. 2. Find the radius of curvature at the point ( , ) r u on the curve r a n n n = cos u. ∴ M04_ENGINEERING_MATHEMATICS-I _CH04_Part-A.indd 30 5/12/2016 10:11:36 AM
  • 406.
    Applications of DifferentialCalculus ■ 4.31 3. Find the radius of curvature at a point on the cardioid r a = − ( cos ) 1 u . 4. Show that the radius of curvature of r a 2 2 2 = cos u is a r 2 3 . 5. Find the radius of curvature at the origin for the following curves. ( ) ( ) ( ) ( ) ( ) 1 0 2 3 4 5 2 4 3 2 2 2 2 2 3 3 2 3 2 y x a x y a y a y x x x x y y x xy + + + − = − = − − + − + + − = − = + + 3 8 0 4 2 2 2 2 y y y x x xy y ( ) 6. Find the radius of curvature using p−r equation for the following curves. ( ) sin ( ) sin ( ) ( ) cos cot 1 2 3 4 2 1 r a r a r a e a r = = = m m u u u u a m = − ANSWERS TO EXERCISE 4.2 1. r a 3 2 2. a r n n n − + + 1 1 3. 2 3 2ar 5.( ) ( ) ( ) ( ) 1 2 2 2 3 3 45 4 1 2 2 a a 6. ( ) , ( ) , ( ) sin , sin ( ) 1 2 2 1 3 4 2 1 1 r ap a pa r a r m p r r m m m m = = = = + = = + − + r r a r a p p ar r a 2 3 2 2 = = , r 4.2 EVOLUTE Definition 4.4 The locus of centre of curvature of a given curve Γ is called the evolute of the curve. The given curve Γ is called an involute of the evolute. In fact, for the evolute there are many involutes. 4.2.1 Properties of Evolute The evolute has some interesting properties. Property I The normal at any point P to a given Curve is a tangent to the evolute at the centre of curvature of P. Proof Let P(x, y) be any point on the curve y = f(x). Let (x, y) be the centre of curvature at P to the given curve. Centre of curvature is given by x x = = − = − ON OM NM BP Let r be the radius of curvature at the point P (x, y) ∴ BP r c = sin ⇒ BP = r c sin ∴ x x = − r c sin M04_ENGINEERING_MATHEMATICS-I _CH04_Part-A.indd 31 5/12/2016 10:11:41 AM
  • 407.
    4.32 ■ EngineeringMathematics and y y = = + = + CN BN BC BC But BC BC r c r c = ⇒ = cos cos y y = + r c cos PC is normal to the curve at ∴ slope of PC = −1 tan c We now show that the slope of the evolute at the point (x, y) = slope of PC. Since the evolute is the locus of centre of curvature, the point (x, y) is any point on the evolute. ∴ the slope of evolute = dy dx = dy ds dx ds , where s is arc length. But dx ds = dx ds d ds d ds − + ⎧ ⎨ ⎩ ⎫ ⎬ ⎭ r c c c r cos sin and dx ds = cos c ∴ dx ds d ds d ds = − − = − − cos cos . sin cos cos sin c r c r c r c c c r 1 ⇒ dx ds d ds = −sin c r (1) Now dy ds dy ds dy ds d ds = + − ⎡ ⎣ ⎢ ⎤ ⎦ ⎥ + r c c r cos cos and dy ds = sin c ∴ dy ds d ds d ds = − + = − + sin sin cos sin sin cos c r c r c r c c c r 1 ⇒ dy ds d ds = cos c r (2) dy dx d ds d ds = − = − = − = cos sin cot tan c r c r c c 1 slope of pC ∴ the normal at P is tangent to the evolute at its centre of curvature. ∴ N M B O C ρ ψ ψ P(x, y) (x, y) x y Fig. 4.10 M04_ENGINEERING_MATHEMATICS-I _CH04_Part-A.indd 32 5/12/2016 10:11:48 AM
  • 408.
    Applications of DifferentialCalculus ■ 4.33 Property 2 The length of an arc of the evolute is equal to the difference between the radii of curvature of the given curve which are tangent to the arc at its extremities, provided that along the arc of the given curve, r increases or decreases. Proof We know the differential arc length of any curve is ds dx dy ( ) = ( ) + ( ) 2 2 2 Let C1 C2 be an arc of the evolute, C1 C2 are the centres of curvature of P1 P2 respectively. For the evolute if s′ is the arc length of evolute measured from the fixed point A and (x, y) is any- point on the evolute. ∴ ds dx dy dx ds d ds dy ds d ds ′ ( ) = ( ) + ( ) = − = 2 2 2 sin c r c r and cos (3) But [from property (1)] Squaring and adding, we get dx ds dy ds d ds ⎛ ⎝ ⎜ ⎞ ⎠ ⎟ + ⎛ ⎝ ⎜ ⎞ ⎠ ⎟ = ⎛ ⎝ ⎜ ⎞ ⎠ ⎟ 2 2 2 r (4) But ds ds dx ds dy ds ′ ⎛ ⎝ ⎜ ⎞ ⎠ ⎟ = ⎛ ⎝ ⎜ ⎞ ⎠ ⎟ + ⎛ ⎝ ⎜ ⎞ ⎠ ⎟ 2 2 2 [Dividing (3) by ds] ⇒ = ⎛ ⎝ ⎜ ⎞ ⎠ ⎟ d ds r 2 Using (4) ⇒ ds ds d ds ′ = ± r ⇒ ds d ′ = ± r ∴ integrating, ′ = ± s c r + If arc AC1 = s1 ′ and arc AC2 = s2 ′ , then arc C1 C2 = s2 ′ − s1 ′ If r1 and r2 are radii of curvatures at the points to P1 , P2 on the given curve, then ′ = s c 1 1 ± + r and ′ = ± + s c 2 2 r ∴ ′ − ′ = ± − ( ) s s 2 1 2 1 r r ∴ arc C C 1 2 2 1 = − r r Hence, the result. Note For a given curve Γ there is only one evolute C. But there are many curves for which C is the evolute. So, there are many involutes. C1 C2 y x ρ1 P1 P2 ρ2 s1 ′ A O Fig. 4.11 M04_ENGINEERING_MATHEMATICS-I _CH04_Part-A.indd 33 5/12/2016 10:11:53 AM
  • 409.
    4.34 ■ EngineeringMathematics Let P1 P2 P3 P4 …, be the given curve C1 C2 C3 C4 … be its evolute, where Ci is the centre of curvature at Pi If the evolute is taken as the given curve P1 P2 P3 P4 … is an evlute. P1 C1 P2 C2 … are normal at P1 , P2 , …, respectively touching the evolute at C1 ,C2 … respectively. Now construct the curve P′ 1 P′ 2 P′ 3 … such that P1 P′ 1 = P2 P′ 2 = P3 P′ 3 = … Then the curve P′ 1 P′ 2 P′ 3 … is an involute. Similarly, we can construct many involutes for the given curve C1 C2 C3 … 4.2.2 Procedure to Find the Evolute Let y = f(x) (1) be the equation of the given curve. If ( , ) x y is the centre of curvature at any point P (x, y) on (1), then x x y y y = − + ( ) 1 1 2 2 1 2 ( ) and y y y y = + + ( ) 1 3 1 2 2 ( ) Eliminating x, y using (1), (2) and (3), we get a relation in x y , . Replacing x by x and y by y, we get the equation of locus of ( , ), x y which is the evolute of the given curve. The process of elimination of x and y would become simpler if the point (x, y) is taken in terms of a parameter t. WORKED EXAMPLES EXAMPLE 1 Find the equation of the evolute of the parabola y2 4 5 ax. Solution. The given curve is y ax 2 4 = . (1) Let P ( , ) at at 2 2 be any point on the parabola. Differentiating w.r.to x, 2 4 y dy dx a = ⇒ dy dx a y = 2 and d y dx a y dy dx a y 2 2 2 2 3 2 4 = − ⋅ = − At the point (at2 , 2at), dy dx a at t d y dx a at at = = = − = − 2 2 1 4 2 1 2 2 2 2 3 3 and ( ) ∴ y t y at 1 2 3 1 1 2 = = − and C1 C2 C3 C4 P2 P1 P′ 1 P′ 2 P′ 3 P′ 4 P3 P4 Fig. 4.12 M04_ENGINEERING_MATHEMATICS-I _CH04_Part-A.indd 34 5/12/2016 10:11:59 AM
  • 410.
    Applications of DifferentialCalculus ■ 4.35 The centre of curvature ( , ) x y at P is given by x x y y y at t t at at a t = − + = − + ⎛ ⎝ ⎜ ⎞ ⎠ ⎟ − = + + 1 1 2 2 2 2 3 2 2 1 1 1 1 1 2 2 1 ( ) ( ) = + 3 2 2 at a ∴ 3 2 2 at x a = − ⇒ t x a a 2 2 3 = − ⇒ t x a a = − ⎛ ⎝ ⎜ ⎞ ⎠ ⎟ 2 3 1 2 / (2) and y y y y = + + 1 1 2 2 = + + − = − + = − 2 1 1 1 2 2 2 1 2 2 3 2 3 at t at at at t at ( ) ⇒ y at = −2 3 (3) Eliminating t from (2) and (3) we get, y a x a a = − ⋅ − ⎛ ⎝ ⎜ ⎞ ⎠ ⎟ 2 2 3 3 2 / Squaring both sides, ( ) ( ) y a a x a 2 2 3 3 4 27 2 = − ⇒ 27 4 2 2 3 a y x a ( ) ( ) = − ∴ the locus of ( , ) x y is 27 4 2 2 3 ay x a = − ( ) , which is the equation of the evolute of the parabola. EXAMPLE 2 Find the equation of the evolute of the ellipse x y 2 2 2 2 1 a b 1 5 . Solution. The given curve is x a y b 2 2 2 2 1 + = (1) Let P ( cos , sin ) a b u u be any point on the ellipse Differentiating w.r.to x, we get 2 2 0 2 2 x a y b dy dx + = ⇒ dy dx b a x y = − 2 2 ∴ d y dx b a y x dy dx y 2 2 2 2 2 1 = − ⋅ − ⋅ ⎡ ⎣ ⎢ ⎢ ⎤ ⎦ ⎥ ⎥ At the point (a b cos , sin ) u u dy dx b a a b = − ⋅ 2 2 cos sin u u = − b a cos sin u u M04_ENGINEERING_MATHEMATICS-I _CH04_Part-B.indd 35 5/12/2016 10:26:41 AM
  • 411.
    4.36 ■ EngineeringMathematics and d y dx b a b a b a b b 2 2 2 2 2 2 = − − − ⎛ ⎝ ⎜ ⎞ ⎠ ⎟ ⎡ ⎣ ⎢ ⎢ ⎤ ⎦ ⎥ ⎥ = − sin cos cos sin sin u u u u u 2 2 2 2 2 2 3 2 3 1 a b b b b a [ sin cos ] sin sin u u u u + = − ∴ y b a y b a 1 2 2 3 = − = − cos sin sin u u u and The centre of curvature ( , ) x y at the point P is given by x x y y y a b a b a = − + = − − ⎛ ⎝ ⎜ ⎞ ⎠ ⎟ + ⎛ ⎝ ⎜ 1 1 2 2 2 2 2 2 1 1 ( ) cos cos sin cos sin u u u u u ⎞ ⎞ ⎠ ⎟ − = − + ⎛ ⎝ ⎜ ⎞ ⎠ ⎟ = b a a a b a a 2 3 2 2 2 2 2 1 1 sin cos cos sin cos sin cos u u u u u u u u u u u u u u u − − = − − = − a b a a b a a b a cos sin cos cos ( sin ) cos cos c 2 2 3 2 2 3 3 2 1 o os cos 3 2 2 3 u u = − a b a ⇒ x a b a = − 2 2 3 cos u (1) and y y y y b b a b a b a b = + + = + + − = − 1 1 1 2 2 2 2 2 2 2 3 2 3 sin cos sin sin sin sin u u u u u u 1 1 2 2 2 2 2 3 2 + ⎛ ⎝ ⎜ ⎞ ⎠ ⎟ = − − b a b a b b cos sin sin sin sin cos u u u u u u = − − = − = − b a b b a b b a b sin ( cos ) sin sin sin sin u u u u u u 1 2 2 3 3 2 3 2 2 3 ⇒ y a b b = − − 2 2 3 sin u (2) M04_ENGINEERING_MATHEMATICS-I _CH04_Part-B.indd 36 5/12/2016 10:26:45 AM
  • 412.
    Applications of DifferentialCalculus ■ 4.37 Eliminate u from (1) and (2). From (1), we get ax a b 2 2 3 − = cos u ⇒ cos / u = − ⎛ ⎝ ⎜ ⎞ ⎠ ⎟ ax a b 2 2 1 3 Similarly, from (2) sin / u = − − ⎛ ⎝ ⎜ ⎞ ⎠ ⎟ by a b 2 2 1 3 We know that cos sin 2 2 1 u u + = ⇒ ( ) / / ax a b by a b 2 2 2 3 2 2 2 3 1 − ⎡ ⎣ ⎢ ⎤ ⎦ ⎥ + − − ⎡ ⎣ ⎢ ⎤ ⎦ ⎥ = ⇒ ( ) ( ) ( ) ( ) / / / / ax a b by a b 2 3 2 2 2 3 2 3 2 2 2 3 1 − + − = ⇒ ( ) ( ) ( ) / / / ax by a b 2 3 2 3 2 2 2 3 + = − ∴ the locus of ( , ) x y is ( ) ( ) ( ) , / / / ax by a b 2 3 2 3 2 2 2 3 + = − which is the equation of the evolute of the ellipse. EXAMPLE 3 Find the evolute of the rectangular hyperbola xy c 5 2 . Solution. The given curve is xy c = 2 . (1) Let P ct c t , ⎛ ⎝ ⎜ ⎞ ⎠ ⎟ be any point on (1) (1) ⇒ y c x = 2 ∴ dy dx c x = − 2 2 and d y dx c x 2 2 2 3 2 = At the point ct c t , ⎛ ⎝ ⎜ ⎞ ⎠ ⎟, dy dx c c t t = − = − 2 2 2 2 1 and d y dx c c t ct 2 2 2 3 3 3 2 2 = = ∴ y t y ct 1 2 2 3 1 2 = − = and The centre of curvature ( , ) x y at the point P is given by x x y y y ct t t ct ct ct t = − + = − − + ⎛ ⎝ ⎜ ⎞ ⎠ ⎟ = + + ⎛ ⎝ ⎜ ⎞ ⎠ ⎟ = 1 1 2 2 2 4 3 4 1 1 1 1 2 2 1 1 3 ( ) c ct c t 2 2 3 + ⇒ x c t t = + 2 3 1 3 4 ( ) (2) M04_ENGINEERING_MATHEMATICS-I _CH04_Part-B.indd 37 5/12/2016 10:26:56 AM
  • 413.
    4.38 ■ EngineeringMathematics and y y y y c t t ct = + + = + + 1 1 1 2 1 2 2 4 3 = + + = + = + c t c t t c t ct t c t t 2 1 3 2 2 2 3 4 4 4 ( ) ( ) ⇒ y c t t t = + 2 3 3 2 6 ( ) (3) ∴ x y c t t t t c t t t t c t t + = + + + = + + + = + 2 3 1 3 2 1 3 3 2 1 3 4 2 6 3 2 4 6 3 2 3 [ ] [ ] ( ) ⇒ x y c t t + = + ⎛ ⎝ ⎜ ⎞ ⎠ ⎟ 2 1 2 3 ⇒ ( ) / / x y c t t + = ⎛ ⎝ ⎜ ⎞ ⎠ ⎟ + ⎛ ⎝ ⎜ ⎞ ⎠ ⎟ 1 3 1 3 2 2 1 (4) Also x y c t t t t c t t t t c t t c − = + − − = − + − = − = − 2 3 1 3 2 1 3 3 2 1 2 1 3 4 2 6 3 2 4 6 3 2 3 [ ] [ ] ( ) t t t 2 3 ⎡ ⎣ ⎢ ⎤ ⎦ ⎥ ⇒ ( ) / / x y c t t − = ⎛ ⎝ ⎜ ⎞ ⎠ ⎟ − ⎡ ⎣ ⎢ ⎤ ⎦ ⎥ 1 3 1 3 2 2 1 (5) Eliminating t from (4) and (5), we get the equation of the evolute. Now, ( ) ( ) / / / x y x y c t t t t + − − = ⎛ ⎝ ⎜ ⎞ ⎠ ⎟ + ⎛ ⎝ ⎜ ⎞ ⎠ ⎟ − − ⎛ ⎝ ⎜ ⎞ ⎠ ⎟ ⎡ ⎣ ⎢ ⎤ 2 3 2 3 2 3 2 2 2 2 2 1 1 ⎦ ⎦ ⎥ = ⎛ ⎝ ⎜ ⎞ ⎠ ⎟ + − − ⎡ ⎣ ⎢ ⎤ ⎦ ⎥ c t t t 2 1 1 2 3 2 2 2 2 2 / ( ) ( ) = ⎛ ⎝ ⎜ ⎞ ⎠ ⎟ ⋅ = c t t c 2 4 2 3 2 2 / 2 2 3 2 3 2 3 1 1 3 2 3 2 4 4 4 / / / ( ) ⋅ = = − c c ⇒ ( ) ( ) ( ) / / / x y x y c + − − = 2 3 2 3 2 3 4 ∴ the locus of ( , ) x y is ( ) ( ) ( ) , / / / x y x y c + − − = 2 3 2 3 2 3 4 which is the equation of the evolute. M04_ENGINEERING_MATHEMATICS-I _CH04_Part-B.indd 38 5/12/2016 10:27:02 AM
  • 414.
    Applications of DifferentialCalculus ■ 4.39 EXAMPLE 4 Show that the evolute of the cycloid x 5 u 2 u a( sin ), y 5 2 u a( ) 1 cos is another cycloid. Solution. Let P ‘u’ be any point on the cycloid. Given the parametric equation of the cycloid. x a y a = − = − ( sin ) ( cos ) u u u and 1 ∴ dx d a a dy d a a u u u u u u u = − = = = ( cos ) sin sin sin cos 1 2 2 2 2 2 2 and ∴ dy dx dy d dx d a a = = = = u u u u u u u u 2 2 2 2 2 2 2 2 2 sin cos sin cos sin cot and d y dx d d d dx a 2 2 2 2 4 2 2 1 2 1 2 2 2 = ⎛ ⎝ ⎜ ⎞ ⎠ ⎟ = − ⋅ ⋅ = − u u u u u u cot sin cosec cosec 4 4a ∴ y y a 1 2 4 2 2 4 = = − cot u u and cosec The centre of curvature ( , ) x y at u is given by x x y y y a a = − + = − − + ⎛ ⎝ ⎜ ⎞ ⎠ ⎟ − 1 1 2 2 2 4 1 2 1 2 2 4 ( ) ( sin ) cot cot u u u u u cosec = − + ⋅ = − + a a a a ( sin ) cos sin ( sin ) cos u u u u u u u u u 4 2 2 2 2 4 2 2 4 cosec cosec ⋅ ⋅sin u 2 ⇒ = − + ⋅ = + = + ( sin ) sin sin ( sin ) u u u u u u u 2 a a a x a a (1) and y y y y a a = + + = − + + − 1 1 1 2 2 4 1 2 2 2 4 ( cos ) cot u u u cosec M04_ENGINEERING_MATHEMATICS-I _CH04_Part-B.indd 39 5/12/2016 10:27:07 AM
  • 415.
    4.40 ■ EngineeringMathematics a a = − − 1 4 ( cos ) u cosec c cosec 2 4 2 2 u u = − − = − = − a a a a a ( cos ) sin sin sin sin 1 4 2 2 2 4 2 2 2 2 2 2 2 u u u u u ⇒ y a = − − ( cos ) 1 u (2) Elimination of u from (1) and (2) is very difficult. ∴ the locus of ( , ) x y is given by the parametric equations x a y a = + = − − ( sin ) ( cos ), u u u and 1 which is another cycloid. EXAMPLE 5 Show that the evolute of the tractrix x t t 5 1 a cos log tan , 2 ⎛ ⎝ ⎜ ⎞ ⎠ ⎟ y t 5 asin is the catenary y x 5 a a cosh . Solution. Let t be any point on the given curve x a t t y a t = + ⎛ ⎝ ⎜ ⎞ ⎠ ⎟ = cos logtan sin 2 and ∴ dx dt a t t t a t t t = − + ⋅ ⋅ ⎡ ⎣ ⎢ ⎢ ⎤ ⎦ ⎥ ⎥ = − + sin tan sec sin cos sin cos 1 2 2 1 2 2 2 2 2 2 2 2 t ⎡ ⎣ ⎢ ⎢ ⎢ ⎤ ⎦ ⎥ ⎥ ⎥ and dy dt a t = cos = + ⎡ ⎣ ⎢ ⎢ ⎤ ⎦ ⎥ ⎥ = − + ⎡ ⎣ ⎢ ⎤ ⎦ ⎥ = a t t t a t t a t − − sin sin cos sin sin sin si 1 2 2 2 1 1 2 n n cos sin t a t t ⎡ ⎣ ⎢ ⎤ ⎦ ⎥ = 2 ∴ dy dx dy dt dx dt a t a t t t t t = = = = cos cos sin sin cos tan 2 d y dx d dt dy dx dt dx t t a t t a t 2 2 2 2 4 = ⎛ ⎝ ⎜ ⎞ ⎠ ⎟ = ⋅ = sec sin cos sin cos ∴ y t y t a t 1 2 4 = = tan sin cos and M04_ENGINEERING_MATHEMATICS-I _CH04_Part-B.indd 40 5/12/2016 10:27:13 AM
  • 416.
    Applications of DifferentialCalculus ■ 4.41 The centre of curvature ( , ) x y is given by x x y y y a t t t t t a e = − + = + ⎛ ⎝ ⎜ ⎞ ⎠ ⎟ − + 1 1 2 2 2 1 2 1 ( ) cos log tan tan ( tan ) sin cos s cos log tan sin cos sec cos sin cos 4 2 4 2 t a t t a t t t t t a t e = + ⎡ ⎣ ⎢ ⎤ ⎦ ⎥ − ⋅ = + l log tan cos e t a t 2 ⎡ ⎣ ⎢ ⎤ ⎦ ⎥ − ⇒ x a t x a t e = ⇒ = log tan log tan 2 2 e (1) and y y y y a t t t a t = + + = + + 1 1 1 2 2 2 4 sin tan sin cos = + = + = = ⋅ + a t a t t t a t t t a t a t sin sec cos sin (sin cos ) sin sin tan 2 4 2 2 2 1 2 2 2 2 tan t ⇒ y a t t = + ⎛ ⎝ ⎜ ⎜ ⎞ ⎠ ⎟ ⎟ 2 1 2 2 tan tan (2) (1) e t x a = tan 2 ⇒ e t x a − = 1 2 tan (2) ⇒ y a e e a e e x a x a x a x a = + = + − 2 2 ( ) ( ) = a x a cosh ∴the locus of ( , ) x y is y a x a = cosh , which is a catenary. EXERCISE 4.3 1. Find the evolute of the curve x a y a = + = − (cos sin ), (sin cos ). u u u u u u 2. Find the evolute of the hyperbola x a y b 2 2 2 2 1 − = . 3. Find the evolute of the parabola x y 2 4 = . 4. Show that the evolute of the cycloid x a t t y a t = + = − ( sin ), ( cos ) 1 is given by x a t t = − ( sin ), y a a t − = + ( cos ). 2 1 ANSWERS TO EXERCISE 4.3 1. x y a 2 2 2 + = 2. ( ) ( ) ( ) / / / ax by a b 2 3 2 3 2 2 2 3 − = + 3. 27 4 2 2 3 x y = − ( ) M04_ENGINEERING_MATHEMATICS-I _CH04_Part-B.indd 41 5/12/2016 10:27:21 AM
  • 417.
    4.42 ■ EngineeringMathematics 4.3 ENVELOPE Consider the system of straight lines y mx m = + 1 (1) where m is a parameter. For different values of m, we have different straight lines and so (1) represents a family of straight lines. Each member of this family touches the curve y x 2 4 = . So, these lines cover the curve y x 2 4 = . This curve is called the envelope of the family of lines. We shall now define envelope. Definition 4.5 Let f x y ( , , ) a = 0 be a single parameter family of curves, where a is the parameter. The envelope of this family of curves is a curve which touches every member of the family. 4.3.1 Method of Finding Envelope of Single Parameter Family of Curves 1. Given the curves f x y ( , , ) a = 0 (1) Find ∂ ∂ = a a f x y ( , , ) 0 (2) Eliminate a from (1) and (2). The eliminant, if exists, is an equation in x and y. It is the envelope of the family (1). 2. It is impossible to eliminate a from (1) and (2), then solve for x and y in terms of a. It will give the parametric representation of the envelope. 3. If the equation of the family of curves (1) can be written in the form of a quadratic in the parameter a as A B C a a 2 0 + + = (3) where A, B, C are functions of x and y, Then the envelope is B2 − 4AC = 0 For, differentiating (3) w.r.to a,we get 2 0 A B a + = ⇒ a = −B A 2 Substituting in (3), we get A B 4A B 2A C B 4A C B 4AC 2 2 2 2 2 ⋅ − + = − + = − = 0 0 0 ⇒ ⇒ ⇒ B 4AC 2 − = 0 which is the equation of the envelope. Note (1) A point P (a, b) is a singular point of a curve f x y ( , , ) ( a a = 0 fixed) (1) if it satisfies (1) ∂ ∂ = f x 0 2 ( ) and ∂ ∂ = f y 0 (3) P is said to be an ordinary point if atleast one of (2) and (3) is not satisfied. (2) The characteristic points of the family of curves f x y ( , , ) a = 0 are those ordinary points of the family where the equations f x y ( , , ) , a = 0 ∂ ∂ = f x y ( , , ) a a 0 simultaneously hold. Characteristic points are isolated on each curve. M04_ENGINEERING_MATHEMATICS-I _CH04_Part-B.indd 42 5/12/2016 10:27:31 AM
  • 418.
    Applications of DifferentialCalculus ■ 4.43 Infact, the envelope of a family of curves f x y ( , , ) a = 0, a is a parameter, is the locus of their isolated characteristic points. (3) Not every single parameter family has envelope. For example, the family of concentric circles x y 2 2 2 + = a has no envelope, as there is no characteristic point. WORKED EXAMPLES EXAMPLE 1 Find the envelope of the family lines y mx a m b = ± − 2 2 2 , where m is the parameter. Solution. Given family is y mx a m b = ± − 2 2 2 , m is the parameter ⇒ y mx a m b − ± − = 2 2 2 ⇒ ( ) y mx a m b − = − 2 2 2 2 ⇒ y mxy m x a m b 2 2 2 2 2 2 2 − + = − ⇒ m x a mxy y b 2 2 2 2 2 2 0 ( ) ( ) − − + + = This is quadratic in m Here A B C = − = − = + x a xy y b 2 2 2 2 2 , , ∴ the envelope is B AC 2 4 0 − = ⇒ 4 4 0 2 2 2 2 2 2 x y x a y b − − + = ( )( ) ⇒ x y x y b x a y a b 2 2 2 2 2 2 2 2 2 2 0 4 − + − − = ( ) [ ] ÷ by ⇒ b x a y a b 2 2 2 2 2 2 0 − − = ⇒ b x a y a b 2 2 2 2 2 2 − = ⇒ x a y b 2 2 2 2 1 − = which is a hyperbola. EXAMPLE 2 Find the envelope of the straight lines represented by x y cos sin sec , a 1 a 5 a a where a is the parameter. Solution. Given family is x y a cos sin sec a a a + = , where a is the parameter Dividing by cos a, x y a + = tan sec a a 2 = + a( tan ) 1 2 a ⇒ a y a x tan tan ( ) 2 0 a a − + − = , which is a quadratic in tan a Here A B C = = − = − a y a x , , ∴ the envelope is B AC 2 4 0 − = ⇒ y a a x y a a x 2 2 4 0 4 − − = = ( ) ( ) ⇒ − which is a parabola. M04_ENGINEERING_MATHEMATICS-I _CH04_Part-B.indd 43 5/12/2016 10:27:42 AM
  • 419.
    4.44 ■ EngineeringMathematics EXAMPLE 3 Find the envelope of the lines x y a cos sin , 3 3 a1 a 5 where a is a parameter. Solution. Given x y a cos sin , 3 3 a a + = where a is the parameter. (1) Differentiating w.r.to a, we get ⇒ x y x y ⋅ − + ⋅ ⋅ = = 3 3 0 2 2 2 2 cos ( sin ) sin cos cos sin sin cos a a a a a a a a ⇒ tana = x y ∴ sina = + x x y 2 2 , cosa = + y x y 2 2 Substituting in (1), x y x y y x x y a ⋅ + + ⋅ + = 3 2 2 3 2 3 2 2 3 2 ( ) ( ) / / ⇒ xy x y x y a ( ) ( ) / 2 2 2 2 3 2 + + = ⇒ xy x y a ( ) / 2 2 1 2 + = ⇒ xy a x y = + 2 2 ⇒ x y a x y 2 2 2 2 2 = + ( ), which is the envelope. EXAMPLE 4 Find the envelope of the family of straight lines y x cos sin a 2 a 5 acos , 2a a being the parameter. Solution Given y x a cos sin cos a a a − = 2 (1) where a is a parameter Differentiating partially w.r.to a, we get − − = − y x a sin cos sin a a a 2 2 ⇒ y x a sin cos sin a a a + = 2 2 (2) ( )sin ( )cos 1 2 a a − , ⇒ − − = − ⋅ x x a a sin cos cos sin sin cos 2 2 2 2 2 a a a a a a ⇒ − + = − x a (sin cos ) (sin cos sin cos ) 2 2 2 2 2 a a a a a a ⇒ x a a = − = − − ⎡ ⎣ ⎤ ⎦ [ sin cos sin cos sin cos sin (cos sin ) 2 2 2 4 2 2 2 a a a a a a a a a ⇒ x a = + ⎡ ⎣ ⎤ ⎦ 3 2 3 sin sin a a a cos (3) Fig. 4.13 α x y 2 2 + x y M04_ENGINEERING_MATHEMATICS-I _CH04_Part-B.indd 44 5/12/2016 10:27:54 AM
  • 420.
    Applications of DifferentialCalculus ■ 4.45 ( )cos ( )sin 1 2 a a + ⇒ y a (cos sin ) [cos cos sin sin ] 2 2 2 2 2 a a a a a a + = + ⇒ y a = − + ⎡ ⎣ ⎤ ⎦ (cos sin )cos sin cos 2 2 2 4 a a a a a = + a[cos sin cos ] 3 2 3 a a a (4) ∴ x y a a − = + − − = − [sin sin cos cos sin cos ] [sin cos ] 3 2 3 2 3 3 3 a a a a a a a a ⇒ x y a − ⎛ ⎝ ⎜ ⎞ ⎠ ⎟ = − 1 3 / sin cos a a (5) and x y a a + = + + + ⎡ ⎣ ⎤ ⎦ = + sin sin sin cos sin (sin cos ) 3 2 2 3 3 3 3 a a a a a a a a cos ∴ x y a + ⎛ ⎝ ⎜ ⎞ ⎠ ⎟ = + 1 3 / sin cos a a (6) Squaring and adding (5) and (6), we get ⇒ ( ) ( ) (sin cos ) (sin cos ) sin / / / / x y a x y a − + + = − + + = + 2 3 2 3 2 3 2 3 2 2 2 a a a a a c cos sin cos sin cos sin cos (cos sin ) ( 2 2 2 2 2 2 2 2 2 a a a a a a a a a − + + = + = − x y) ) ( ) / / / 2 3 2 3 2 3 2 + + = x y a which is the envelope. 4.3.2 Envelope of Two Parameter Family of Curves 1. Let f x y ( , , , ) a b = 0 (1) be a 2-parameter family of curves, where a, b are the parameters such that f (a, b) = 0 (2) Find b in terms of a from (2) and substitute in (1) and thus the problem is reduced to one parameter family and proceed as above. 2. The following method is more convenient in many cases. For a fixed point (x, y) of the envelope treating b as a function of a differentiate (1) and (2) w.r.to a and eliminate d d b a from these equations. Using this relation with (1) and (2), eliminate a and b. The eliminant, if exists, gives the envelope. WORKED EXAMPLES EXAMPLE 1 Find the envelope of the famly of straight lines x y a b 1 51, where ab c a b 5 2 and , are parameters, c is a constant. M04_ENGINEERING_MATHEMATICS-I _CH04_Part-B.indd 45 5/12/2016 10:27:58 AM
  • 421.
    4.46 ■ EngineeringMathematics Solution. Given x a y b + = 1 (1) and ab = c2 ⇒ b c a = 2 (2) Substituting in (1), we get x a y c a x a c ay + = + = 2 2 1 1 1 ⇒ ⇒ c x a y ac 2 2 2 + = ⇒ ya c a c x 2 2 2 0 − + = This is a quadratic in the parameter a. Here A B C = = − = y c c x , , 2 2 ∴ the envelope is B2 − 4AC = 0 ⇒ c y c x 4 2 4 0 − ⋅ = ⇒ 4 2 xy c = which is a rectangular hyperbola. EXAMPLE 2 Find the envelope of the family of straight lines x y a b 1 51 where the parameters a and b are related by the equation a b c n n n 1 5 , c being a constant. Solution. Given x a y b + = 1 (1) and a b c n n n + = (2) Differentiating (1) and (2) with respect to a, treating b as a function of a, we get − − = ⇒ = − x a y b db da db da b x a y 2 2 2 2 0 (3) and na nb db da n n − − + ⋅ = 1 1 0 ⇒ db da a b = − − − n n 1 1 (4) From (3) and (4) we get, b x a y a b 2 2 1 = − − n n 1 ⇒ x a y b x a a y b b n+1 n+1 n n = ⇒ = ∴ x a a y b b x a y b a b c n n n n n using (1) and and since each ratio = = + + = 1 2 ( ) = = ⎡ ⎣ ⎢ ⎢ ⎢ ⎤ ⎦ ⎥ ⎥ ⎥ sum of Nrs sum of Drs ∴ x a y b c n n n + + = = 1 1 1 Now x an+ = 1 cn 1 ⇒ a c x y b c = = ⇒ + + ( ) n n n and 1 1 1 1 n b c y = + ( ) n n 1 1 M04_ENGINEERING_MATHEMATICS-I _CH04_Part-B.indd 46 5/12/2016 10:28:04 AM
  • 422.
    Applications of DifferentialCalculus ■ 4.47 Substitute in (1), then we get x c x y c y x y c n n n n n n n n n n n n / / / / + + + + + + + ⋅ + ⋅ = ⇒ + = 1 1 1 1 1 1 1 1 1 1 which is the required envelope. Note Some of the important particular cases are 1. For n = 1, we get x a y b a b c + = + = 1, . Then the envelope is x y c + = 2. For n = 2, we get x a y b a b c + = + = 1 2 2 2 , . Then the envelope is x y c 2 3 2 3 2 3 / / / , + = which is the astroid. 3. For n = 3, we get x a y b a b c + = + = 1 3 3 3 , . Then the envelope is x y c 3 4 3 4 3 4 / / / + = 4. For n = 1 and c = 1, we get x a y b a b + = + = 1 1 , . Then the envelope is x y + = 1 EXAMPLE 3 Prove that the envelope of the system of lines x l y m 1 5 1,where the parameters l and m are connected by l a m b 1 5 1 is the curve x y a b 1 51. Solution. Given x l y m + = 1 (1) and l a m b + = 1 (2) Treating m as a function of l, differentiate (1) and (2) w.r.to l. ∴ − − ⋅ = x l y m dm dl 2 2 0 ⇒ dm dl m x l y = − 2 2 (3) and 1 1 0 a b dm dl + ⋅ = ⇒ dm dl b a = − (4) From (3) and (4) we get, − = − = = m x l y b a x bl y am x l bl y m bm 2 2 2 2 ⇒ ⇒ ∴ x l bl y m am x l y m bl am = = + + bl am = + 1 [using (1)] Now l a m b + = 1 ⇒ bl am ab + = . M04_ENGINEERING_MATHEMATICS-I _CH04_Part-B.indd 47 5/12/2016 10:28:10 AM
  • 423.
    4.48 ■ EngineeringMathematics ∴ x bl y am ab 2 2 1 = = ⇒ x bl ab l ax 2 2 1 = ⇒ = ⇒ l ax = Similarly, m by = Substituting in (2), ax a by b + = 1 ⇒ x a y b + = 1 which is the required envelope. EXAMPLE 4 Find the envelope of a system of concentric and coaxial ellipses of constant area. Solution. Let the common axes of the system of ellipses by the coordinate axes and the common centre be the origin ∴ the equation of the family of ellipses is x a y b 2 2 2 2 1 + = (1) where a and b are the parameters. Given the area of the ellipse is constant. Let it be A. But we know that the area of the ellipse is p ab. ∴ A ab b A a = ⇒ = p p ∴ (1) becomes x a y A a 2 2 2 2 2 2 1 + = p ⇒ x a a A y 2 2 2 2 2 2 1 + = p (2) which is the given family of ellipses with parameter a. ∴ differentiating (2) w.r.to a, we get − + = − 2 2 0 3 2 2 2 2 a x A ay p ⇒ p2 2 2 3 2 2 3 A ay a x x a = = − ⇒ a y A x a A x y a A x y 4 2 2 2 2 4 2 2 2 2 2 = ⇒ = ⇒ = p p p ∴ (2) becomes x A x y A A x y y 2 2 2 2 1 p p p + ⋅ ⋅ = ⇒ p p p A xy A xy A xy + = ⇒ = 1 2 1 ⇒ xy A = 2p ⇒ xy c = 2 c A = 2 2 where p ∴ envelope is a rectangular hyperbola. 4.3.3 Evolute as the Envelope of Normals A property of evolute is that the normal at a point P on the given curve G is a tangent to the evolute with the centre of curvature as point of contact. Hence, the envelope of normals to G is the same as the locus of the centre of curvature and hence, it is the evolute. M04_ENGINEERING_MATHEMATICS-I _CH04_Part-B.indd 48 5/12/2016 10:28:16 AM
  • 424.
    Applications of DifferentialCalculus ■ 4.49 Procedure to find the evolute as the envelope of normals 1. Take any point on the given curve in terms of a parameter, if possible. 2. Find the equation of the normal at that point. 3. Find the envelope of the normal. 4. This envelope is the evolute of the given curve. WORKED EXAMPLES EXAMPLE 1 Find the evolute of x y 2 2 2 2 1 a b 1 5 as envelope of normals. Solution. Let P ( cos , sin ) a b u u be any point on x a y b 2 2 2 2 1 + = First we shall find the equation of the normal at P( cos , sin ) a b u u . Differentiating w.r.to x, 2 2 0 2 2 x a y b dy dx + = ⇒ dy dx b x a y = − 2 2 At the point ‘P’, dy dx b a a b = − ⋅ 2 2 cos sin u u = − = b a cotu slope of the tangent at P. ∴ slope of the normal at P = − − = = 1 b a a b a b cot tan sin cos u u u u ∴ the equation of the normal is y b a b x a − = − sin sin cos ( cos ) u u u u ⇒ b y b a x a cos sin cos sin sin cos u u u u u u ⋅ − = ⋅ − 2 2 ⇒ a x b y a b sin cos ( )sin cos u u u u ⋅ − = − 2 2 ⇒ ax by a b cos sin ( ) u u − = − 2 2 (1) where u is the parameter. Differentiating (1) w.r.to u partially, we get ⇒ − − + = ax by cos ( sin ) sin cos 2 2 0 u u u u ⇒ ax by sin cos sin cos u u u u 2 2 = − ⇒ ax by ax by cos sin cos cos sin sin 3 3 2 2 u u u u u u = ⇒ = − − M04_ENGINEERING_MATHEMATICS-I _CH04_Part-B.indd 49 5/12/2016 10:28:21 AM
  • 425.
    4.50 ■ EngineeringMathematics ∴ each ratio = + ⎛ ⎝ ⎜ ⎞ ⎠ ⎟ = − = − ax by ax by a b cos sin cos sin cos sin u u u u u u − + 2 2 2 2 1 [Using (1) ∴ ax a b ax a b ax a b cos cos cos 3 2 2 3 2 2 2 2 1 3 u u u = − ⇒ = − ⇒ = − ⎛ ⎝ ⎜ ⎞ ⎠ ⎟ and − = − ⇒ = − − ⇒ − − ⎛ ⎝ ⎜ ⎞ ⎠ ⎟ by a b by a b by a b sin sin sin 3 2 2 3 2 2 2 2 1 3 u u u we know that cos2 u + sin2 u = 1 ∴ ax a b by a b ax a b by a 2 2 2 3 2 2 2 3 2 3 2 2 2 3 2 3 1 − ⎛ ⎝ ⎜ ⎞ ⎠ ⎟ + − − ⎛ ⎝ ⎜ ⎞ ⎠ ⎟ = − + ( ) ( ) ( ) ( 2 2 2 2 3 2 3 2 3 2 2 2 3 1 − = ⇒ + = − b ax by a b ) ( ) ( ) ( ) which is the evolute of the given curve. EXAMPLE 2 Find the evolute of the parabola y x 2 4 5 as the envelope of normals. Solution. Let P ( , ) t t 2 2 be any point on the parabola y x 2 4 = . First we shall find the equation of the normal at P. Differentiating w.r.to x, we get 2 4 2 y dy dx dy dx y = ⇒ = At the point P, dy dx t t = = = 2 2 1 slope of the tangent at P ∴ slope of the normal at P = −t ∴ the equation of the normal at P is y t t x t − = − − 2 2 ( ) ⇒ y tx t t + = + 2 3 (1) where t is the parameter. Differentiating (1) w.r.to t, we get x t t x = + ⇒ = − 2 3 2 3 2 2 ⇒ = − ⎛ ⎝ ⎜ ⎞ ⎠ ⎟ t x 2 3 1 2 / (2) We have y tx t t + = + 2 3 ⇒ M04_ENGINEERING_MATHEMATICS-I _CH04_Part-B.indd 50 5/12/2016 10:28:25 AM
  • 426.
    Applications of DifferentialCalculus ■ 4.51 ⇒ y t x t t t x x x x y x = − + + = − − − ⎛ ⎝ ⎜ ⎞ ⎠ ⎟ − − − ⎡ ⎣ ⎢ ⎤ ⎦ ⎥ = − [ ] [ ( )] ( ) / 2 2 2 3 2 3 2 2 2 1 2 = 2 2 3 2 3 2 1 2 ⎛ ⎝ ⎜ ⎞ ⎠ ⎟ − − ⎡ ⎣ ⎢ ⎤ ⎦ ⎥ / ( ) x [Using (2)] Squaring, y x x 2 2 2 3 4 9 2 = − ⎛ ⎝ ⎜ ⎞ ⎠ ⎟ − ⎡ ⎣ ⎢ ⎤ ⎦ ⎥ ( ) ⇒ y x 2 3 4 27 2 = − ( ) ⇒ = − 27 4 2 2 3 y x ( ) , which is the evolute of the parabola. EXAMPLE 3 Find the evolute of the hyperbola x a y b 2 2 2 2 1 − 5 as the envelope of its normals. Solution. The equation of the hyperbola is x a y b 2 2 2 2 1 − = We have x a = sec , u y b = tanu, as parametric equation of the hyperbola. We shall find the equation of the normal at the point “u” dx d a dy d b u u u u u = = sec tan sec . and 2 ∴ dy dx dy d dx d b a = = u u u u u sec sec tan 2 = = = = b a b a b a sec tan cos cos sin sin u u u u u u 1 slope of the tangent. ∴ the slope of the normal = − a b sinu ∴ the equation of the normal at the point ‘u’ is y b a b x a − = − − tan sin ( sec ) u u u ⇒ by b a x a − = − + 2 2 tan sin tan u u u ⇒ a x by a b sin ( )tan u u ⋅ + = + 2 2 ⇒ ax by a b cos cot ( ) u u + = + 2 2 (1) where u is the parameter. ⇒ M04_ENGINEERING_MATHEMATICS-I _CH04_Part-B.indd 51 5/12/2016 10:28:31 AM
  • 427.
    4.52 ■ EngineeringMathematics Differentiating (1) partially w.r.to u, we get − − = ax by sinu u cosec2 0 ⇒ − = ax by sin sin u u 1 2 ⇒ sin3 u = − by ax ⇒ sinu = − ⎛ ⎝ ⎜ ⎞ ⎠ ⎟ by ax 1 3 = − ( ) ( ) / / by ax 1 3 1 3 ∴ cos ( ) ( ) ( ) / / / u = − ax by ax 2 3 2 3 1 3 Substituting in (1) we get ax ax by ax by ax by by a b ⋅ − + ⋅ − − = + ( ) ( ) ( ) ( ) ( ) ( ) / / / / / / 2 3 2 3 1 3 2 3 2 3 1 3 2 2 ⇒ ( ) ( ) ( ) ( ) ( ) ( ) / / / / / / ax ax by by ax by a b 2 3 2 3 2 3 2 3 2 3 2 3 2 2 − − − = + ⇒ ( ) ( ) ( ) ( ) / / / / ax by ax by a b 2 3 2 3 2 3 2 3 2 2 − ⎡ ⎣ ⎤ ⎦ − = + ⇒ ( ) ( ) / / / ax by a b 2 3 2 3 3 2 2 2 − ⎡ ⎣ ⎤ ⎦ = + ⇒ ( ) ( ) ( ) , / / / ax by a b 2 3 2 3 2 2 2 3 − = + which is the evolute of the hyperbola. EXERCISE 4.4 1. Find the envelope of the family of lines x t yt c + = 2 , t being a parameter. 2. Find the envelope of the family of lines x a y b cos sin , u u + = 1 u being the parameter. 3. Find the envelope of the family of lines y mx am am = − − 2 3 , where m is the parameter. 4. Find the envelope of x y r cos sin , u u + = where u is the parameter. 5. Find the envelope of ( ) , x y − + = a a 2 2 4 a is the parameter. 6. Find the envelope of y mx am = + 2 , m being the parameter. 7. Find the envelope of the family of ellipses x a y b 2 2 2 2 1 + = for which a b c + = , c is a constant. θ Fig. 4.14 M04_ENGINEERING_MATHEMATICS-I _CH04_Part-B.indd 52 5/12/2016 10:28:38 AM
  • 428.
    Applications of DifferentialCalculus ■ 4.53 8. Find the envelope of the family of parabolas y x gx u = − tan cos , a a 2 2 2 2 a being the parameter. 9. Find the envelope of ( ) ( ) . x y − + − = a a a 2 2 2 10. Find the envelope of the family of curves a x b y c 2 2 cos sin u u − = for different values of u. 11. Find the envelope of the family of straight lines y mx a m = ± + 1 2 where m is the parameter. 12. Find the envelope of the family of straight lines y mx m = + 1 . 13. Find the envelope of x a y b cos sin , a a + = 1 a is the parameter. 14. Find the envelope of the family of curves x x a 2 ( ) − + ( )( ) , x a y m + − = 2 0 where m is a parameter and a is a constant. 15. Find the envelope of x a y b 2 2 2 2 1 + = , where a b c n n n + = , a and b are the parameters and c is a constant. 16. Find the envelope of x a y b + = 1, where a, b are the parameters and are related by a b c m n m n = + . 17. Find the envelope of the family of lines x a y b + = 1 subject to the condition a b + = 1. 18. Find the evolute of the parabola x2 = 4ay, treating it as the envelope of normals. ANSWERS TO EXERCISE 4.4 1. xy c = 2 2. x a y b 2 2 2 2 1 + = 3. 27 4 2 2 3 ay x a = − ( ) 4. x y r 2 2 2 + = 5. y x 2 4 1 = + ( ) 6. x ay 2 4 0 + = 7. x y c 2 3 2 3 2 3 / / / + = 8. y u g gx u = − 2 2 2 2 2 9. ( ) ( ) x y x y + + = + 1 2 2 2 2 10. a y b x c 4 2 4 2 2 + = 11. x y a 2 2 2 + = 12. y x 2 4 = 13. x a y b 2 2 2 2 1 + = 14. x = 0, x = a 15. x y c 2 2 2 2 2 2 n n n n n n + + + + = 16. x y c m n m n m n m n m n m n = ⋅ ⋅ + + + ( ) 17. x y + = 1 18. 27ax2 = 4 (y − 2a)3 M04_ENGINEERING_MATHEMATICS-I _CH04_Part-B.indd 53 5/12/2016 10:28:53 AM
  • 429.
    4.54 ■ EngineeringMathematics SHORT ANSWER QUESTIONS 1. Find the curvature of x y x y 2 2 4 6 10 0 1 2 2 1 5 at any point on it. 2. Define curvature of a plane curve and what is the curvature of a straight line? 3. What is the radius of curvature at (4, 3) on the curve x y 2 2 25 1 5 ? 4. Find the curvature of y x 2 4 5 at its vertex. 5. Find the curvature of the curve y c x c 5 logsec at any point. 6. Find the radius of curvature at x 5 p 2 on y 54 sin x. 7. True or false.When the tangent at a point on a curve is parallel to the x-axis, then the curvature at that point is same as the second derivative at that point. 8. Find the radius of curvature of the curve given by x 5 1 u 3 2 cos , y 5 1 u 4 2 sin . 9. Find the radius of curvature of the curve x a y b 5 u 5 u cos sin , at any point ‘u’. 10. Find the centre of curvature of y x 5 2 at the origin. 11. Define the circle of curvature at a point P(x1 , y1 ) on the curve y 5 f(x). 12. Write down the equation of the circle of curvature of a curve at a given point. 13. If the centre of curvature of curve is c a t c a t cos , sin 3 3 ⎛ ⎝ ⎜ ⎞ ⎠ ⎟ , find the evolute of the curve. 14. Show that the family of straight lines 2 4 0 y x 2 1 l 5 , has no envelope, where l is a parameter. 15. Find the envelope of the family of straight lines y mx m 5 6 2 2 1 where m is a parameter. 16. Find the envelope of x y ax by 2 2 0 1 2 u2 u5 cos sin , where u is the parameter. 17. Find the envelope of the family of circles ( ) x y 2a 1 5 a 2 2 4 , where a is the parameter. 18. Find the envelope of the curve y mx a m 5 1 where m is a parameter. 19. Find the envelope y x gx u 5 a2 a tan cos 2 2 2 2 , a being the parameter. 20. Find the envelope of the family of lines x t yt c 1 5 2 , where t is the parameter. OBJECTIVE TYPE QUESTIONS A. Fill up the blanks 1. The curvature of the curve 2x2 + 2y2 + 5x − 2y + 1 = 0 at any point is ____________. 2. The radius of curvature at (4, 3) on x2 + y2 = 25 is __________. 3. For the curve x2 = 2c (y − c), the radius of curvature at (0, c) is ___________. 4. The radius of curvature of the curve y = ex at the point (0, 1) is __________. 5. The radius of curvature at (0, p 2 ) on r = a cosu is ____________. 6. The curvature at any point on 3x + 4y = 8 is ___________. 7. The center of curvature at any point of 2x2 + 2y2 + 5x − 2y + 1 = 0 is ___________. M04_ENGINEERING_MATHEMATICS-I _CH04_Part-B.indd 54 5/12/2016 10:29:01 AM
  • 430.
    Applications of DifferentialCalculus ■ 4.55 8. For the p-r equation of a curve, the radius of curvature is given by ___________. 9. The evolute of the curve x2 + y2 + 8x − 6y + 7 = 0 is ___________. 10. The envelope of the family of lines y = mx + am2 , where m is the parameter is __________. B. Choose the correct answer 1. For a curve y = f(x) if dy dx = ∞ at a point, then the radius of curvature at the point is given by the formula (a) ( ) 1 1 2 3 2 2 + y y (b) ( ) 1 1 2 3 2 2 + x x (c) y y 2 1 2 1 ( ) + (d) x x 2 1 2 1 ( ) + 2. The curvature at the point (c, c) on xy = c2 is (a) 1 c (b) 2c (c) 1 2c (d) none of these 3. The radius of curvature at the point (1, 1) on x4 + y4 = 2 is (a) 1 2 (b) 3 2 (c) 2 3 (d) 1 3 4. Find the value of p at (0, c) on y = c cosh x c (a) c (b) 2c (c) 1 c (d) 1 2c 5. The curvature at any point on x2 + y2 = 9 is (a) 3 (b) 1 3 (c) 2 (d) none of these 6. The radius of curvature at the origin on the curve y2 (a − x) = x2 (a + x) is (a) a (b) 2a (c) a 2 (d) none of these 7. Center of curvature of y = x2 at (0, 0) is (a) 1 2 1 2 , ⎛ ⎝ ⎜ ⎞ ⎠ ⎟ (b) 0 1 2 , ⎛ ⎝ ⎜ ⎞ ⎠ ⎟ (c) 1 2 0 , ⎛ ⎝ ⎜ ⎞ ⎠ ⎟ (d) none of these 8. If a plane curve has a constant radius of curvature at any point, then the curve is (a) a straight line (b) a parabola (c) a circle (d) an ellipse 9. The radius of curvature of x3 − y3 − 2x2 + 6y = 0 at (0, 0) is (a) 1 (b) 3 2 (c) 1 2 (d) 2 10. The locus of centre of curvature is called (a) Envelope (b) Evolute (c) circle of curvature (d) none of these 11. The centre of curvature at the point (2, 2) on the curve xy = a2 is (a) (4, 1) (b) (4, 4) (c) (2, 2) (d) (3, 3) 12. The value of ‘a’ for which the radius of curvature of the curve x2 = 2ay at (0, 0) is (a) 1 (b) 2 (c) 3 (d) 1 2 13. The radius of curvature at any point on the curve whose p-r equation is p2 = ar varies as (a) r (b) r 3 2 (c) r 1 2 (d) r − 1 2 14. The envelope of the lines x cosu + y sinu = a where u is the parameter is (a) x2 + y2 = a2 (b) x2 − y2 = a2 (c) x + y = a (d) x − y = a M04_ENGINEERING_MATHEMATICS-I _CH04_Part-B.indd 55 5/12/2016 10:29:09 AM
  • 431.
    4.56 ■ EngineeringMathematics 15. The envelope of the family of lines y mx x = + + 1 2 , where m is a parameter, is (a) x2 + y2 = 1 (b) x2 − y2 = 1 (c) x + y = 1 (d) x − y = 1 ANSWERS A. Fill up the blanks 1. 4 21 2. 5 3. c 4. 2 5 5. a 2 6. 0 7. − ⎛ ⎝ ⎜ ⎞ ⎠ ⎟ 5 4 1 2 , 8. r dr dp 9. (−4, 3) 10. x2 + 4ay = 0 B. Choose the correct answer 1. b 2. c 3. c 4. a 5. b 6. c 7. b 8. c 9. b 10. b 11. b 12. c 13. b 14. a 15. a M04_ENGINEERING_MATHEMATICS-I _CH04_Part-B.indd 56 5/12/2016 10:29:11 AM
  • 432.
    5.0 INTRODUCTION There aremany practical situations in which a quantity of interest depends on the values of two or more variables. For example (i) The volume of a circular cylinder is V = pr2 h, where r is the radius of the base circle and h is the height of the cylinder. So, V is a function of two variables r and h. (ii) The volume of a rectangular parallelopiped is V = lbh, where l, b, h are the length, breadth and height. Here V is a function of three variables l, b, h. Similarly we can have functions of more than two or three variables. But, for simplicity, we shall deal with functions of two variables and the arguments and results can be extended to more than two variables. 5.1 LIMIT AND CONTINUITY Definition 5.1 Function of two variables Let S be a subset of R2 . A function f: S → R is a rule which assigns to every (x, y) ∈ S a unique real number in R, denoted by f(x, y). We say f(x, y) is a function of two independent variables x and y. S is called the domain of the function f and the range is a subset of R. EXAMPLE 1 If f x y x x x y ( , ) 5 1 2 2 3 , find the domain and f(1, 3). Solution. Domain of f is the set of all points in the plane at which f(x, y) exists. f(x, y) is defined for all x ≠ y So, domain D x y R x y = ∈ ≠ { } ( , ) 2 Geometrically, D is the xy-plane, except the line y = x. f ( , ) 1 3 1 3 3 1 3 10 2 5 = + ⋅ − = − = − Neighbourhood of a point in the plane Definition 5.2 The d-neighbourhood of the point (a,b)is the disc ( , ) ( , ) ( ) ( ) x y a b x a y b − ⇒ − + − d d 2 2 A neighbourhood may also be taken as a square 0 ⏐x − a⏐ d and 0 ⏐y − b⏐ d δ (a, b) 5 Differential Calculus of Several Variables Fig. 5.1 M05_ENGINEERING_MATHEMATICS-I _CH05_Part A.indd 1 5/12/2016 10:23:56 AM
  • 433.
    5.2 ■ EngineeringMathematics Limit of a function Definition 5.3 Let f be a function defined on S ⊂ R2 . The function f is said to tend to the limit l as (x,y)→(a,b)iftoeverye0,∃d0,suchthat f x y l ( , ) , − e forall(x,y)satisfying ( , ) ( , ) x y a b − d Then we write symbolically, lim ( , ) ( , ) ( , ) x y a b f x y l → = or lim ( , ) ( , ) ( , ) ( , ) x a y b f x y l f x y l x y a b → → = → → or as This limit is called the double limit or simultaneous limit of f(x, y) Note (1) If for every (x, y) ∈ S ⊂ R2 , there is a unique z assigned by f, then z = f(x, y). Geometrically this represents a surface. (2) If lim ( , ) ( , ) ( , ) x y a b f x y l → = and if y = f(x) is a function such that f(x) → b as x → a, then f(x, f(x)) → l as x → a. That is lim ( , ( )) x a f x x l → = f . (3) To test limit f(x, y) does not exist. Find any two paths y = f1 (x), y = f2 (x) in the domain of f such that lim ( , ( )) x a f x x l → = f1 1 and lim ( , ( )) x a f x x l → = f2 2 If l1 ≠ l2 , then the limit of the function does not exist. EXAMPLE 2 Show that the lim ( , ) ( , ) x y x x y → ⎡ ⎣ ⎢ ⎤ ⎦ ⎥ 0 0 2 4 2 1 does not exist. Solution. Given f x y x y x y ( , ) = + 2 4 2 Choose two paths y = mx and y = mx2 and test. Along y 5 mx lim ( , ) lim lim ( , ) ( , ) x y x a x f x y x mx x m x mx x m → → → = ⋅ + ⎡ ⎣ ⎢ ⎤ ⎦ ⎥ = + 0 0 2 4 2 2 0 2 2 2 2 0 0 0 = + = m Along y 5 mx2 lim ( , ) lim lim ( , ) ( , ) x y x y mx x f x y x y x y x mx → → = → = + = ⋅ 0 0 0 2 4 2 0 2 2 ⎡ ⎣ ⎢ ⎤ ⎦ ⎥ 2 2 4 2 4 0 2 2 1 1 x m x m m m m x + = + = + → lim This depends on m and so for different values of m, we will get different limit values. Hence, the limits along different paths are different. ∴ the limit does not exist. M05_ENGINEERING_MATHEMATICS-I _CH05_Part A.indd 2 5/12/2016 10:23:59 AM
  • 434.
    Differential Calculus ofSeveral Variables ■ 5.3 Note The existence of lim ( , ( )) x a f x x → f does not imply the existence of lim ( , ). x a y b f x y → → Repeated limits or iterated limits Definition 5.4 If f(x, y) is defined in a neighbourhood of (a, b) and if lim ( , ) x a f x y → exists, then the limit is a function of y and the limit as y → b is written as lim lim ( , ) y b x a f x y → → . This limit is called repeated limit of f(x, y) as x → a first and then as y → b. Similarly, we can define the repeated limit lim lim ( , ) x a y b f x y → → . The two repeated limits may or may not exist and when they exist, they may or may not be equal. Even if the repeated limits have the same value, the double limit may not exsist. Remark If the double limit lim ( , ) x a y b f x y → → exists, then we cannot say repeated limits exist. But if the repeated limits exist and are not equal, then the double limit cannot exist. (2) If the double limit exist and repeated limits exist, then they are equal. That is lim ( , ) lim lim ( , ) ( , ) ( , ) x y a b x a y b f x y f x y → → → = EXAMPLE 3 If f x y x y x y ( , ) , 5 2 1 2 2 2 2 where ( , ) ( , ) x y ≠ 0 0 , find the repeated limits and double limit, if they exist. Solution. Given f x y x y x y ( , ) = − + 2 2 2 2 ∴ lim lim ( , ) lim lim lim lim x y x y x x f x y x y x y x x → → → → → → = − + = = 0 0 0 0 2 2 2 2 0 2 2 0 0 1 1 = and lim lim ( , ) lim lim lim lim y x y x y y f x y x y x y y y → → → → → = − + = − = 0 0 0 0 2 2 2 2 0 2 2 → → − = − 0 1 1 ( ) Since the repeated limits are unequal, double limit does not exist. Continuity of a function Definition 5.5 A function f(x, y) defined in SCR2 is said to be continuous at the point (a, b) if lim ( , ) ( , ) ( , ) ( , ) x y a b f x y f a b → 5 M05_ENGINEERING_MATHEMATICS-I _CH05_Part A.indd 3 5/12/2016 10:24:03 AM
  • 435.
    5.4 ■ EngineeringMathematics WORKED EXAMPLES EXAMPLE 1 Text the continuity of the function f x y xy x y x y x y ( , ) ( , ) ( , ) ( , ) ( , ) 5 1 5 2 2 0 0 0 0 0 if if ≠ ⎧ ⎨ ⎪ ⎩ ⎪ at the origin. Solution. Given f x y xy x y x y x y ( , ) ( , ) ( , ) ( , ) ( , ) = + ≠ = ⎧ ⎨ ⎪ ⎩ ⎪ 2 2 0 0 0 0 0 if if ∴ lim ( , ) lim ( , ) ( , ) ( , ) ( , ) f x y xy x y x y x y → → = + 0 0 0 0 2 2 We shall verify lim ( , ) ( , ) ( , ) ( , ) x y f x y f → = 0 0 0 0 by ∈ − d definition Let ∈ 0 be given. Then f x y f xy x y x y x y ( , ) ( , ) − = + − = + 0 0 0 2 2 2 2 [ ∴ f(0,0) = 0] But x x y y x y + + 2 2 2 2 and ∴ x y x y x y x y x y + + + 2 2 2 2 2 2 ⇒ ∴ f x y f x y ( , ) ( , ) − ∈ ⇒ + ∈ 0 0 2 2 Take d d = ∈ − + − , ( ) ( ) then x y 0 0 2 2 Thus, f x y f x y ( , ) ( , ) ( ) ( ) − ∈ − + − 0 0 0 0 2 2 if d ∴ by definition lim ( , ) ( , ) . ( , ) ( , ) x y f x y f → = = 0 0 0 0 0 Hence, is continuous at f x y ( , ) ( , ). 0 0 M05_ENGINEERING_MATHEMATICS-I _CH05_Part A.indd 4 5/12/2016 10:24:10 AM
  • 436.
    Differential Calculus ofSeveral Variables ■ 5.5 EXAMPLE 2 If f x y xy x y ( , ) , 5 1 2 2 2 then test lim ( , ) x y f x y → → 0 0 exists or not. Solution. Given f x y xy x y ( , ) = + 2 2 2 ∴ lim ( , ) lim x y x y f x y xy x y → → → → = + 0 0 0 0 2 2 2 Take a path y = mx ∴ lim ( , ) lim lim x y x x f x y x mx x m x m m m m → → → → = ⋅ + = + = + 0 0 0 2 2 2 0 2 2 2 2 1 2 1 The limit depends on m and so for different values of m, we get different limits. So, the limit is not unique. Hence, the limit does not exist. EXAMPLE 3 Find the limit and test for continuity of the function. f x y x y x y x y x y ( , )5 2 1 1 1 5 3 3 0 0 0 if if ≠ ⎧ ⎨ ⎪ ⎩ ⎪ at the point (0, 0). Solution. Given f x y x y x y x y x y ( , ) = = ⎧ ⎨ ⎪ ⎩ ⎪ 3 3 0 0 0 − + ≠ + if if + By the definition of the function f(0, 0) = 0 Now lim ( , ) lim ( , ) ( , ) ( , ) ( , ) x y x y f x y x y x y → → = − + 0 0 0 0 3 3 Take a path y = mx3 − x, m ≠ 0 ∴ lim ( , ) lim ( ) ( , ) ( , ) x y x f x y x mx x x mx x → → = − − + − 0 0 0 3 3 3 3 = − − = − − = − − = ≠ → → lim ( ) lim ( ) ( ) , x x x x mx mx mx m m m m 0 3 3 2 3 3 0 2 3 3 1 1 1 1 1 2 0 Since the limit depends on m, for different values of m, we will have different limit values. So, the limit is not unique. Hence, limit does not exist. ∴ the function is not continuous at (0, 0). M05_ENGINEERING_MATHEMATICS-I _CH05_Part A.indd 5 5/12/2016 10:24:16 AM
  • 437.
    5.6 ■ EngineeringMathematics EXERCISE 5.1 1. Evaluate the following limits, if they exist. (i) lim x y xy x y → → + 0 0 2 2 (ii) lim x y xy x y → → + 0 0 3 2 6 (iii) lim ( ) ( ) x y x y y x → → − − 2 2 2 2 2. Test continuity of the following (i) f x y x y x y x y ( , ) ( , ) ( , ) ( , ) ( , ) = + ≠ = ⎧ ⎨ ⎩ 2 4 1 2 0 1 2 if if (ii) f x y xy x y x y x y ( , ) , , = + ≠ ≠ = = ⎧ ⎨ ⎪ ⎩ ⎪ 2 2 2 0 0 0 0 0 if if (iii) f x y x y x y x y x y ( , ) ( , ) ( , ) ( , ) ( , ) = − + ≠ = ⎧ ⎨ ⎪ ⎩ ⎪ 2 2 2 2 0 0 0 0 0 if if ANSWERS TO EXERCISE 5.1 1. (i) does not exist. (ii) does not exist (iii) does not exist. 2. (i) not continuous (ii) not continuous [Hint limit does not exist. Choose paths y = x, x = y3 ] (iii) not continuous 5.2 PARTIAL DERIVATIVES Functions of two or more independent variables appear in many practical problems more often than functions of one independent variable. The concept of derivative of a single variable function f(x) is extended to functions of two or more variables. Suppose f(x, y) is a function of two independent variables x and y, we treat y as constant and find the derivative of f(x, y) w.r.to x, then the derivative is called a partial derivative. Partial derivatives find applications in a wide variety of fields like fluid dynamics, electricity, physical sciences, econometrics, probability theory etc. Definition 5.6 Let z = f(x, y) be a real function of two independent variables x and y. Let (x0 , y0 ) be a point in the domain of f. The partial derivative of f(x, y) w.r.to x at (x0 , y0 ) is the limit lim ( , ) ( , ) , 0 0 0 0 0 h f x h y f x y h → 1 2 if the limit exists. Then it is denoted by ∂ ∂ f x ⎛ ⎝ ⎜ ⎞ ⎠ ⎟ ( , ) x y 0 0 or ∂ ∂ z x ⎛ ⎝ ⎜ ⎞ ⎠ ⎟ ( , ) x y 0 0 or fx (x0 , y0 ). Similarly, partial derivative of f(x, y) w.r.to y at (x0 , y0 ) is the limit lim ( , ) ( , ) , k→ + − 0 0 0 0 0 f x y k f x y k if the limit exists. It is denoted by ∂ ∂ ∂ ∂ f y z y f x y ⎛ ⎝ ⎜ ⎞ ⎠ ⎟ ⎛ ⎝ ⎜ ⎞ ⎠ ⎟ ( , ) ( , ) ( , ) x y x y y or or 0 0 0 0 0 0 M05_ENGINEERING_MATHEMATICS-I _CH05_Part A.indd 6 5/12/2016 10:24:19 AM
  • 438.
    Differential Calculus ofSeveral Variables ■ 5.7 If the partial derivatives of z = f(x, y) exist at any point in its domain, then the partial derivatives w.r.to x is simply written as ∂ ∂ z x or ∂ ∂ f x or fx , assuming the point as (x, y). Similarly, the partial derivative w.r.to y is written as ∂ ∂ z y or ∂ ∂ f y or fy 5.2.1 Geometrical Meaning of ∂ ∂ z x , ∂ ∂ z y Let z = f(x, y) be a real function of two independent variables x, y. For every point (x, y) in its domain R in the xy plane there is a real number z, where f(x, y) = z. The set of all points (x, y, z), where z = f(x, y), in space determine a surface S. This surface is called the graph of the function f. Thus, z = f(x, y) represents a surface in space. The equation y = y0 represents a vertical plane (parallel to xoz plane) intersecting the surface in a curve C : z = f(x, y0 ). The partial derivative ∂ ∂ z x at (x0 , y0 ) represents the slope of the tangent to this curve at the point (x0 , y0 , z0 ), where z0 = f(x0 , y0 ). Similarly, the partial derivative ∂ ∂ z y at (x0 , y0 ) is the slope of the tangent to the curve z = f(x0 , y) at the point (x0 , y0 , z0 ), where z0 = f(x0 , y0 ). Note (1) If z = f(x, y) then f(x, y) = k for all points in the domain of f, where k is a constant, is called a level curve of function f. (2) If u = f(x, y, z) be a function of three independent variables x, y, z then the graph of f is a 4-dimensional surface. f(x, y, z) = c, where c is a constant, is called a level surface. For different c, we have different level surfaces. No two level surfaces intersect. (3) A function f(x, y) may not be continuous at a point, but still it can have partial derivatives with respect to x and y at that point. For example, consider f(x, y) = 0 1 0 0 ⎧ ⎨ ⎩ ≠ = if if xy xy . We shall find the limit (x, y) → (0, 0) along y = x, where f(x, y) = 0, except at (0, 0). lim ( , ) lim ( , ) ( , ) ( , ) ( , ) x y x y f x y → → = = 0 0 0 0 0 0 But f(0, 0) = 1. Hence, f is not continuous at (0, 0). Now, fx (0, 0) = lim lim ( , ) ( , ) h h f h f h h → → + − = − = 0 0 0 0 0 0 0 0 0 and f f k f k k y k k ( , ) lim ( , ) ( , ) lim 0 0 0 0 0 0 0 0 0 0 0 = + − = − = → → Thus, the partial derivatives exist at the origin (0, 0), but f is not continuous at the origin (0, 0). This is different from functions of single variable where the existence of derivatives implies continuity. z = f(x, y0 ) (x0 , y0 , z0 ) P Z O Y X Fig. 5.2 M05_ENGINEERING_MATHEMATICS-I _CH05_Part A.indd 7 5/12/2016 10:24:25 AM
  • 439.
    5.8 ■ EngineeringMathematics 5.2.2 Partial Derivatives of Higher Order Let z = f(x, y) be a function of two independent variables. The derivatives ∂ ∂ ∂ ∂ f x f y , are called partial derivatives of first order, which are again functions of x, y and can be differentiated partially w.r.to x, y. These are called partial derivatives of second order and denoted by ∂ ∂ ∂ ∂ ∂ ∂ ∂ ∂ ∂ ∂ ∂ ∂ ∂ x f x f x f x f y f x y f y f y ⎛ ⎝ ⎜ ⎞ ⎠ ⎟ = ⎛ ⎝ ⎜ ⎞ ⎠ ⎟ = ∂ ∂ ∂ ∂ 2 2 2 or or xx yx ⎛ ⎛ ⎝ ⎜ ⎞ ⎠ ⎟ = ∂ ∂ ⎛ ⎝ ⎜ ⎞ ⎠ ⎟ = 2 2 2 f y f y f x f y x f or or yy xy ∂ ∂ ∂ ∂ ∂ ∂ ∂ It can be shown that if fx , fy and fxy are continuous, then fxy = fyx . In fact the elementary functions that we come across satisfy these conditions. In many practical applications also these conditions are satisfied. So, we shall assume this in our discussions. Differentiating the second order derivatives partially w.r.to x, y, we get third order derivatives. 5.2.3 Homogeneous Functions and Euler’s Theorem Definition 5.7 A function f(x, y) is said to be homogeneous of degree (or order) n if f(tx, ty) = tn f(x, y) for any positive t. For example (1): f x y x y x y ( , ) = + − 6 6 4 4 is homogeneous of degree 2, since f tx ty t x t y t x t y t x y t x y t x y x ( , ) ( ) ( ) ( ) = + − = + − = + 6 6 6 6 4 4 4 4 6 6 6 4 4 4 2 6 6 4 − − = y t f x y 4 2 ( , ) Note that f x y x y x y x x y x ( , ) . = + ⎛ ⎝ ⎜ ⎞ ⎠ ⎟ − ⎛ ⎝ ⎜ ⎞ ⎠ ⎟ ⎛ ⎝ ⎜ ⎜ ⎜ ⎜ ⎞ ⎠ ⎟ ⎟ ⎟ ⎟ = ⎛ ⎝ ⎜ ⎞ ⎠ ⎟ 2 6 4 2 1 1 F (2) f x y y x ( , ) tan = −1 is homogeneous functions of degree 0, since f tx ty ty tx y x t f x y ( , ) tan tan ( , ) = = = − − 1 1 0 Theorem 5.1 Euler’s theorem If f(x, y) is a homogeneous function of degree n in x and y having continuous partial derivatives, then x f x y f y nf x y ∂ ∂ ∂ ∂ 1 5 ( , ). Proof Given f(x, y) is a homogeneous function in x and y of degree n, we can write M05_ENGINEERING_MATHEMATICS-I _CH05_Part A.indd 8 5/12/2016 10:24:27 AM
  • 440.
    Differential Calculus ofSeveral Variables ■ 5.9 ∴ f x y x y x f x x y x y x nx y x ( , ) = ⎛ ⎝ ⎜ ⎞ ⎠ ⎟ = ⋅ ′ ⎛ ⎝ ⎜ ⎞ ⎠ ⎟ − ⎛ ⎝ ⎜ ⎞ ⎠ ⎟ + ⎛ ⎝ ⎜ − n n n F F F ∂ ∂ 2 1 ⎞ ⎞ ⎠ ⎟ ∴ x f x x y y x nx y x ∂ ∂ = − ′ ⎛ ⎝ ⎜ ⎞ ⎠ ⎟ + ⎛ ⎝ ⎜ ⎞ ⎠ ⎟ − n n F F 1 (1) ∂ ∂ f y x y x x x y x = ⋅ ′ ⎛ ⎝ ⎜ ⎞ ⎠ ⎟ ⋅ = ′ ⎛ ⎝ ⎜ ⎞ ⎠ ⎟ − n n F F 1 1 ∴ y f y x y y x ∂ ∂ = ′ ⎛ ⎝ ⎜ ⎞ ⎠ ⎟ − n F 1 (2) (1) + (2) ⇒ x f x y f y nx y x ∂ ∂ ∂ ∂ + = ⎛ ⎝ ⎜ ⎞ ⎠ ⎟ n F = n f x y ( , ) This theorem can be extended to homogeneous function of any number of variables. If f(x, y, z) is a homogeneous function of degree n in three independent variables x, y, z and differenti- able then x f x y f y z f z nf ∂ ∂ ∂ ∂ ∂ ∂ + + = . ■ WORKED EXAMPLES EXAMPLE 1 If u 5 log (x3 1 y3 1 z3 2 3xyz), then prove that (i) ∂ ∂ ∂ ∂ ∂ ∂ u x u y u z x y z 1 1 5 1 1 3 (ii) ∂ ∂ ∂ ∂ ∂ ∂ x y z u x y z 2 1 1 52 1 1 ⎛ ⎝ ⎜ ⎞ ⎠ ⎟ 2 9 ( ) Solution. Given u = log (x3 + y3 + z3 − 3xyz) ∴ ∂ ∂ u x x y z xyz x yz x yz x y z xyz = + + − − = − + + − 1 3 3 3 3 3 3 3 3 2 2 3 3 3 [ ] [ ] Similarly, ∂ ∂ ∂ ∂ u y y zx x y z xyz u z z xy x y z xyz = − + + − = − + + − 3 3 3 3 2 3 3 3 2 3 3 3 [ ] [ ] and ∴ ∂ ∂ ∂ ∂ ∂ ∂ u x u y u z x y z yz zx xy x y z xyz 1 1 5 1 1 2 2 2 1 1 2 3[ 3 2 2 2 3 3 3 ] We know that x y z xyz x y z xy yz zx x y z 3 3 3 2 2 2 3 + + − = + + − − − + + ( )( ) ∴ ∂ ∂ ∂ ∂ ∂ ∂ u x u y u z x y z xy yz zx x y z x y z xy yz + + = + + − − − + + + + − − − 3 2 2 2 2 2 2 ( ) ( )( z zx x y z ) = + + 3 Let M05_ENGINEERING_MATHEMATICS-I _CH05_Part A.indd 9 5/12/2016 10:24:31 AM
  • 441.
    5.10 ■ EngineeringMathematics (ii) ⇒ ∂ ∂ + ∂ ∂ + ∂ ∂ ⎛ ⎝ ⎜ ⎞ ⎠ ⎟ = + + x y z u x y z 3 (1) Operating ∂ ∂ + ∂ ∂ + ∂ ∂ ⎛ ⎝ ⎜ ⎞ ⎠ ⎟ x y z on both sides, we get ∂ ∂ + ∂ ∂ + ∂ ∂ ⎛ ⎝ ⎜ ⎞ ⎠ ⎟ = ∂ ∂ + ∂ ∂ + ∂ ∂ ⎛ ⎝ ⎜ ⎞ ⎠ ⎟ + + ⎛ ⎝ ⎜ ⎞ ⎠ ⎟ = ∂ ∂ + + x y z u x y z x y z x x y 2 3 3 z z y x y z z x y z x x y z ⎛ ⎝ ⎜ ⎞ ⎠ ⎟ + ∂ ∂ + + ⎛ ⎝ ⎜ ⎞ ⎠ ⎟ + ∂ ∂ + + ⎛ ⎝ ⎜ ⎞ ⎠ ⎟ = ∂ ∂ + + + ∂ ∂ − 3 3 3 3 1 ( ) y y x y z z x y z x y z x y z x y ( ) ( ) ( ) ( ) ( + + + ∂ ∂ + + = − + + ⋅ − + + ⋅ − + − − − − 1 1 2 2 3 3 1 3 1 3 + + ⋅ = − + + − + + − + + = − + + − z x y z x y z x y z x y z ) ( ) ( ) ( ) ( ) 2 2 2 2 2 1 3 3 3 9 EXAMPLE 2 If u 5 (x 2 y) (y 2 z) (z 2 x), then prove that (i) ∂ ∂ ∂ ∂ ∂ ∂ u x u y u z 1 1 50 (ii) x u x y u y z u z u ∂ ∂ ∂ ∂ ∂ ∂ 1 1 5 3 Solution. Given u = (x − y) (y − z) (z − x) ∴ ∂ ∂ u x y z x y z x = − − − + − ⋅ ( )[( )( ) ( ) ] 1 1 = − − + + − = − + − − = − − + ( )( ) ( )( ) ( ) y z x y z x y z y z y z x y z yx zx 2 2 2 2 2 Similarly, ∂ ∂ ∂ ∂ u y z x zy xy u z x y xz yz = − − + = − − + 2 2 2 2 2 2 2 2 and (i) ∂ ∂ ∂ ∂ ∂ ∂ u x u y u z y z yx zx z x zy x y xz yz + + = − − + + − − + − − + = 2 2 2 2 2 2 2 2 2 2 2 0 (ii) u is a homogeneous function of degree 3, since u xt yt zt tx ty ty tz tz tx t x y y z z x t ( , , ) ( ) ( ) ( ) ( ) ( ) ( ) ( = − − − = − − − = 3 3 x x y y z z x t u x y z − − − = ) ( ) ( ) ( , , ) 3 So, by Euler’s theorem, we get x u x y u y z u z u ∂ ∂ ∂ ∂ ∂ ∂ + + = 3 M05_ENGINEERING_MATHEMATICS-I _CH05_Part A.indd 10 5/12/2016 10:24:35 AM
  • 442.
    Differential Calculus ofSeveral Variables ■ 5.11 EXAMPLE 3 If u f x y y z z x 5 , , ⎛ ⎝ ⎜ ⎞ ⎠ ⎟ then prove that x u u y z u z ∂ ∂ ∂ ∂ ∂ ∂ x 1 1 5 y 0. Solution. Given u is a function of x, y, z and u x y z f x y y z z x ( , , ) , , = ⎛ ⎝ ⎜ ⎞ ⎠ ⎟ ∴ u tx ty tz f tx ty ty tz tz tx f x y y z z x u x y z ( , , ) , , , , ( , , ) = ⎛ ⎝ ⎜ ⎞ ⎠ ⎟ = ⎛ ⎝ ⎜ ⎞ ⎠ ⎟ = ∴ u(x, y, z) is a homogeneous function of degree 0 in x, y, z By Euler’s theorem, we get x u x y u y z u z ∂ ∂ ∂ ∂ ∂ ∂ + + = 0. EXAMPLE 4 If u 5 f(x 2 y, y 2 z, z 2 x) show that ∂ ∂ ∂ ∂ ∂ ∂ u u x y u z 1 1 50. Solution. Given u = f(x − y, y − z, z − x) Put x1 = x − y, y1 = y − z, z1 = z − x, then u = f(x1 , y1 , z1 ), where x1 , y1 , z1 are functions of x, y, z. We know du u x dx u y dy u z dz = ⋅ + ⋅ + ⋅ ∂ ∂ ∂ ∂ ∂ ∂ 1 1 1 1 1 1 ∴ ∂ ∂ ∂ ∂ ∂ ∂ ∂ ∂ ∂ ∂ ∂ ∂ ∂ ∂ u x u x x x u y y x u z z x = ⋅ + ⋅ + ⋅ 1 1 1 1 1 1 Now x x y 1 = − ∴ ∂ ∂ ∂ ∂ ∂ ∂ x x x y x z 1 1 1 1 1 0 = = − = , , y1 = y − z ∴ ∂ ∂ ∂ ∂ ∂ ∂ y x y y y z 1 1 1 0 1 1 = = = − , , and z1 = z − x ∴ ∂ ∂ ∂ ∂ ∂ ∂ z x z y z z 1 1 1 1 0 1 = − = = , , ∴ ∂ ∂ ∂ ∂ ∂ ∂ ∂ ∂ ∂ ∂ ∂ ∂ ∂ ∂ u x u x x x u y y x u z z x = + + 1 1 1 1 1 1 ⇒ ∂ ∂ ∂ ∂ ∂ ∂ u x u x u z = − 1 1 (1) Similarly, ∂ ∂ ∂ ∂ ∂ ∂ ∂ ∂ ∂ ∂ ∂ ∂ ∂ ∂ u y u x x y u y y y u z z y = ⋅ + ⋅ + ⋅ 1 1 1 1 1 1 ⇒ ∂ ∂ ∂ ∂ ∂ ∂ u y u x u y = − + 1 1 (2) M05_ENGINEERING_MATHEMATICS-I _CH05_Part A.indd 11 5/12/2016 10:24:40 AM
  • 443.
    5.12 ■ EngineeringMathematics and ∂ ∂ ∂ ∂ ∂ ∂ ∂ ∂ ∂ ∂ ∂ ∂ ∂ ∂ u z u x x z u y y z u z z z = ⋅ + ⋅ + ⋅ 1 1 1 1 1 1 ⇒ ∂ ∂ ∂ ∂ ∂ ∂ u z u y u z = − + 1 1 (3) (1) + (2) + (3) ⇒ ∂ ∂ ∂ ∂ ∂ ∂ ∂ ∂ ∂ ∂ ∂ ∂ ∂ ∂ ∂ ∂ ∂ ∂ u x u y u z u x u z u x u y u y u z + + = − − + − + = 1 1 1 1 1 1 0 EXAMPLE 5 If u x y x y 5 1 1 2 sin , 1 ⎛ ⎝ ⎜ ⎞ ⎠ ⎟ then prove that x u x y u y u ∂ ∂ ∂ ∂ 1 5 1 2 tan . Solution. Given u x y x y = + + ⎛ ⎝ ⎜ ⎞ ⎠ ⎟ − sin 1 ⇒ sinu x y x y = + + Let f x y x y x y f x y u ( , ) ( , ) sin = + + ∴ = ∴ f tx ty tx ty tx ty t x y x y t f x y ( , ) ( , ) / / = + + = + + ⎛ ⎝ ⎜ ⎞ ⎠ ⎟ = 1 2 1 2 ∴ f is a homogeneous function of degree 1 2 By Euler’s theorem, we get x f x y f y f ∂ ∂ ∂ ∂ + = 1 2 ⇒ x x u y y u u f u ∂ ∂ ∂ ∂ (sin ) (sin ) sin [ sin ] + = = 1 2 since ⇒ x u u x y u u y u cos cos sin ∂ ∂ ∂ ∂ + = 1 2 ⇒ x u x y u y u u ∂ ∂ ∂ ∂ + = 1 2 sin cos ⇒ x u x y u y u ∂ ∂ ∂ ∂ + = 1 2 tan Another result on homogeneous functions which follow from Euler’s theorem is given below. Theorem 5.2 If u(x, y) is homogeneous function of degree n in x and y with all first and second derivatives continuous, then x u x xy u x y y u y n n u 2 2 2 2 2 2 2 2 1 ∂ ∂ ∂ ∂ ∂ ∂ ∂ 1 1 5 2 ( ) Proof Given u(x, y) is a homogeneous function of x and y of degree n. So, by Euler’s theorem x u x y u y nu ∂ ∂ ∂ ∂ + = (1) M05_ENGINEERING_MATHEMATICS-I _CH05_Part A.indd 12 5/12/2016 10:24:45 AM
  • 444.
    Differential Calculus ofSeveral Variables ■ 5.13 Differentiating (1) partially w.r.to x, we get ⇒ x u x u x y u x y n u x x u x y u x y n u x ∂ ∂ ∂ ∂ ∂ ∂ ∂ ∂ ∂ ∂ ∂ ∂ ∂ ∂ ∂ ∂ 2 2 2 2 2 2 1 + + = + = − ( ) Multiplying by x, x u x xy u x y n x u x 2 2 2 2 1 ∂ ∂ ∂ ∂ ∂ ∂ ∂ + = − ( ) (2) Now differentiating (1) w.r.to y, we get ⇒ x u y x y u y u y n u y x u x y y u y n u y ⋅ + ⋅ + = + = − ∂ ∂ ∂ ∂ ∂ ∂ ∂ ∂ ∂ ∂ ∂ ∂ ∂ ∂ ∂ ∂ 2 2 2 2 2 2 1 ( ) assu uming ∂ ∂ ∂ ∂ ∂ ∂ 2 2 u x y u y x = ⎡ ⎣ ⎢ ⎤ ⎦ ⎥ Multiplying by y, xy u x y y u y n y u y ∂ ∂ ∂ ∂ ∂ ∂ ∂ 2 2 2 2 1 + = − ( ) (3) (2) + (3) ⇒ x u x xy u x y y u y n x u x y u y n n 2 2 2 2 2 2 2 2 1 1 ∂ ∂ ∂ ∂ ∂ ∂ ∂ ∂ ∂ ∂ ∂ + + = − + ⎡ ⎣ ⎢ ⎤ ⎦ ⎥ = − ( ) ( ) u u [ ( )] Using 1 ⇒ x u xyu y u n n u 2 2 2 1 xx xy yy + + = − ( ) WORKED EXAMPLES EXAMPLE 6 If z xf y x y x 5 1 ⎛ ⎝ ⎜ ⎞ ⎠ ⎟ ⎛ ⎝ ⎜ ⎞ ⎠ ⎟ g , then show that x z x xy z x y y z y 2 2 2 2 2 2 2 2 0 ∂ ∂ ∂ ∂ ∂ ∂ ∂ 1 1 5 . Solution. Given z xf y x g y x = ⎛ ⎝ ⎜ ⎞ ⎠ ⎟ + ⎛ ⎝ ⎜ ⎞ ⎠ ⎟ Let u xf y x v g y x z u v = ⎛ ⎝ ⎜ ⎞ ⎠ ⎟ = ⎛ ⎝ ⎜ ⎞ ⎠ ⎟ ∴ = + , (1) u tx ty tx f ty tx t x f y x tu ( , ) = ⎛ ⎝ ⎜ ⎞ ⎠ ⎟ = ⎛ ⎝ ⎜ ⎞ ⎠ ⎟ ⎡ ⎣ ⎢ ⎤ ⎦ ⎥ = ∴ u is homogeneous of degree 1. By theorem 5.2 x u x xy u x y y u y n n u 2 2 2 2 2 2 2 2 ( 1) 0 ∂ ∂ ∂ ∂ ∂ ∂ ∂ 1 1 5 2 5 [{ n = 1] (2) ∴ v x y g y x v tx ty g ty tx g y x v x y ( , ) ( , ) ( , ) = ⎛ ⎝ ⎜ ⎞ ⎠ ⎟ = ⎛ ⎝ ⎜ ⎞ ⎠ ⎟ = ⎛ ⎝ ⎜ ⎞ ⎠ ⎟ = Now M05_ENGINEERING_MATHEMATICS-I _CH05_Part A.indd 13 5/12/2016 10:24:49 AM
  • 445.
    5.14 ■ EngineeringMathematics ∴ v is homogeneous of degree 0. ∴ x v x xy v x y y v y n n v 2 2 2 2 2 2 2 2 1 0 ∂ ∂ ∂ ∂ ∂ ∂ ∂ + + = − = ( ) [{ n = 0] (3) (2) + (3) ⇒ x x u v xy x y u v y y u v 2 2 2 2 2 2 2 2 0 ∂ ∂ ∂ ∂ ∂ ∂ ∂ ( ) ( ) ( ) + + + + + = ⇒ x z x xy z x y y z y 2 2 2 2 2 2 2 2 0 ∂ ∂ ∂ ∂ ∂ ∂ ∂ + + = EXAMPLE 7 If u5 2 2 2 x y x y x y 2 1 2 1 tan tan , then find the value of x u x 2 2 2 ∂ ∂ 1 2 2 2 2 2 xy u x y y u y ∂ ∂ ∂ + ∂ ∂ . Solution. Given u x y x y x y x y ( , ) tan tan = − − − 2 1 2 1 ∴ u tx ty t x ty tx t y tx ty t x ( , ) tan tan tan = ⎛ ⎝ ⎜ ⎞ ⎠ ⎟ − ⎛ ⎝ ⎜ ⎞ ⎠ ⎟ = − − − 2 2 1 2 2 1 2 2 1 y y x y x y t u x y − ⎡ ⎣ ⎢ ⎤ ⎦ ⎥ = − 2 1 2 tan ( , ) ∴ u(x, y) is homogeneous of degree 2 and it is differentiable twice, partially. ∴ by theorem 5.2, x u x xy u x y y u y u u 2 2 2 2 2 2 2 2 2 2 1 2 ∂ ∂ ∂ ∂ ∂ ∂ ∂ + + = − = ( ) EXAMPLE 8 If u 5 xy , then show that (i) uxy 5 uyx (ii) uxxy 5 uxyx Solution. Given u = xy ∴ ux = yxy − 1 [treating y as constant] (1) and uy = xy loge x [treating x as constant] (2) Differentiating (1) again w.r.to x, uxx = y(y − 1)xy − 2 Differentiating again w.r.to y, we get u y y x x x y y xxy y 2 e y 2 1) log 1 ( 1 1 = − + ⋅ + − ⋅ − − ( [ ) ] [ ( ] = − + − − x y y x y y 2 e 1) log 2 1 (3) Differentiating (1) w.r.to y, we get u y x x x u x y x xy y e y xy y e = ⋅ + ⋅ = + − − − 1 1 1 1 1 log [ log ] ⇒ (4) Differentiating (2) w.r.to x, we get u x x x y x u x y x yx y e y yx y e = ⋅ + ⋅ = + − − 1 1 1 1 log [ log ] ⇒ (5) M05_ENGINEERING_MATHEMATICS-I _CH05_Part A.indd 14 5/12/2016 10:24:52 AM
  • 446.
    Differential Calculus ofSeveral Variables ■ 5.15 From (4) and (5), we get uxy = uyx , which is (i) Again differentiating (4) w.r.to x, we get ⇒ u x y x y x y x x y y y xyx y e y y = ⋅ ⎡ ⎣ ⎢ ⎤ ⎦ ⎥ + + ⋅ − = ⋅ + − + − − − 1 2 2 1 1 1 1 1 ( log ) ( ) ( )( lo og ) [ ( )( log )] [ ( )log e y xyx y e y e x x u x y y y x x y y x y − − − = + − + = − + 2 2 2 1 1 1 2 − −1] (6) From (3) and (6), we get uxxy = uxyx , which is (ii) EXAMPLE 9 If r x y z 2 2 2 2 5 1 1 , then prove that ∂ ∂ ∂ ∂ ∂ ∂ 2 2 2 2 2 2 2 r x r y r z r 1 1 5 . Solution. Given r x y z 2 2 2 2 = + + ∴ 2 2 r r x x r x x r ∂ ∂ ⇒ ∂ ∂ = = ∴ ∂ ∂ ∂ ∂ 2 2 2 2 2 2 3 1 r x r x r x r r x x r r r x r = ⋅ − = − ⋅ = − Similarly, ∂ ∂ ∂ ∂ 2 2 2 2 3 2 2 2 2 3 r y r y r r z r z r = − = − and ∴ ∂ ∂ ∂ ∂ ∂ ∂ 2 2 2 2 2 2 2 2 2 2 2 2 3 2 2 2 2 3 3 r x r y r z r x r y r z r r x y z r + + = − + − + − = − + + = ( ) 3 3 2 2 2 2 3 2 3 r r r r r r − = = 5.2.4 Total Derivatives Let u = f(x, y) be a function of 2 variables x, y. If x and y are continuous functions of t then z will be ultimately a function of t only or z is a composite function of t. Then we can find the ordinary derivative du dt which is called the total derivative of u to distinguish it from the partial derivatives ∂ ∂ ∂ ∂ u x u y , . We have du dt u x dx dt u y dy dt = + ∂ ∂ ∂ ∂ This is also know as chain rule for one independent variable. Proof u = f(x, y), x = F(t), y = G(t). Giving increment Δt to t will result in increments Δx, Δy and Δu in x, y and u. ∴ Δ Δ Δ Δ Δ Δ Δ u f x x y y f x y f x x y y f x y y f x y y f = + + − = + + − + + + − ( , ) ( , ) ( , ) ( , ) ( , ) (x x y , ) ∴ Δ Δ Δ Δ Δ Δ Δ Δ u t f x x y y f x y y t f x y y f x y t = + + − + + + − ( , ) ( , ) ( , ) ( , ) = + + − + + + − f x x y y f x y y x x t f x y y f x y y y t ( , ) ( , ) ( , ) ( , ) Δ Δ Δ Δ Δ Δ Δ Δ Δ Δ M05_ENGINEERING_MATHEMATICS-I _CH05_Part A.indd 15 5/12/2016 10:25:04 AM
  • 447.
    5.16 ■ EngineeringMathematics ∴ du dt u t t x y t = → → → → lim , , , Δ Δ Δ Δ Δ Δ 0 0 0 0 as ∴ du dt f x dx dt f y dy dt du dt u x dx dt u y dy dt u f = + = ∂ ∂ + ∂ ∂ = ∂ ∂ ∂ ∂ or [ ] { (1) Cor (1) In differential form the result (1) can be written as df f x dx f y dy du u x dx u y dy = + = + ∂ ∂ ∂ ∂ ∂ ∂ ∂ ∂ or du is called the total differential of u. Similarly, if u = f(x, y, z) of 3 independent variable x, y, z, then the total differential is du u x dx u y dy u z dz = + + ∂ ∂ ∂ ∂ ∂ ∂ Note: The function z = f(x, y) is differentiable at the point (x0 , y0 ) if the first partial derivatives fx , fy exist at (x0 , y0 ) and are continuous at (x0 , y0 ) and dz f x y dx f x y dy x y = + ( , ) ( , ) . 0 0 0 0 From this result, it follows that if f(x, y) is differentiable at (x0 , y0 ), then f is continuous at (x0 , y0 ). Cor (2) If u = f(x, y) where x and y are function of t1 , t2 , then u is ultimately a function of t1 , t2 and so z is a composite function of t1 , t2 . Then we have partial derivatives of u w.r.to t1 , t2 ∴ ∂ ∂ ∂ ∂ ∂ ∂ ∂ ∂ ∂ ∂ ∂ ∂ ∂ ∂ ∂ ∂ ∂ ∂ ∂ ∂ u t u x x t u y y t u t u x x t u y y t 1 1 1 2 2 2 = + ⋅ = + ⋅ and These are chain rules for two independent variables. Cor (3) Differentiation of implicit functions The equation f(x, y) = 0 defines y implicitly as a function of x. Suppose the function f(x, y) is differen- tiable, then the total differential ⇒ df df dx dx df dy dy = + = 0 0 ⇒ ∂ ∂ ∂ ∂ f x f y dy dx + = 0 ⇒ dy dx f x f y dy dx f f f = − = − ≠ ∂ ∂ ∂ ∂ ⇒ x y y if 0 M05_ENGINEERING_MATHEMATICS-I _CH05_Part A.indd 16 5/12/2016 10:25:07 AM
  • 448.
    Differential Calculus ofSeveral Variables ■ 5.17 WORKED EXAMPLES EXAMPLE 1 If u 5 x2 y3 , x 5 log t, y 5 et , then find d d u t . Solution. Given u = x2 y3 , x = log t, y = et . So, u is ultimately a function of t We know du u x dx u y dy = + ∂ ∂ ∂ ∂ ∴ du dt u x dx dt u y dy dt = + ∂ ∂ ∂ ∂ . But ∂ ∂ ∂ ∂ u x xy u y x y dx dt t dy dt e = = ⋅ = = 2 3 1 3 2 2 , , , t ∴ du dt xy t x y e t e t t e e t t = ⋅ + = ⋅ ⋅ + ⋅ ⋅ = 2 1 3 2 1 3 2 3 2 2 2 t 3t 2t t log (log ) (log )e e t e e t t t t t t t 3 3 + = + 3 2 3 2 3 (log ) log [ log ] EXAMPLE 2 If u x y 5 2 2 sin ( ), 1 where x = 3t, y = 4t3 , then show that du dt 5 2 3 1 1 1 2 t t , . − Solution. Given u = sin−1 (x − y), where x = 3t, y = 4t3 We know du u x dx u y dy = + ∂ ∂ ∂ ∂ ∴ du dt u x dx dt u y dy dt = + ∂ ∂ ∂ ∂ But ∂ ∂ ∂ ∂ u x x y u y x y = − − = − − − 1 1 1 1 1 2 2 ( ) , ( ) ( ) and dx dt dy dt t = = 3 12 2 , ∴ du dt x y t t x y = − − − = − − 1 1 3 12 3 1 1 2 2 2 2 ( ) ( ) ( ) ( ) − 4 Now 1 − (x − y)2 = 1 − (3t − 4t3 )2 = 1 − (9t2 + 16t6 − 24t4 ) = 1 − 9t2 + 24t4 − 16t6 Since sum of the coefficients of R. H. S = 0, t2 = 1 will satisfy the polynomial 1 − 9t2 + 24t4 − 16t6 ∴ 1 1 16 8 1 1 16 8 1 2 2 4 2 2 4 2 − − = − − + − = − − − + = − ( ) ( )( ) ( )( ) ( )( x y t t t t t t t2 1 4 − t t2 − = − − 1 1 1 4 2 2 2 2 ) ( )( ) t t 1 16 24 9 1 0 16 8 1 16 8 1 0 − − − − − − ∴ du dt t t t t t = − − − = − − 3 1 4 1 1 4 3 1 1 4 0 2 2 2 2 2 2 ( ) ( )( ) [ ] since EXAMPLE 3 Find du dx if u 5 cos (x2 1 y2 ) and a2 x2 1 b2 y2 5 c2 . Solution. Given u = cos (x2 + y2 ) and a2 x2 + b2 y2 = c2 M05_ENGINEERING_MATHEMATICS-I _CH05_Part A.indd 17 5/12/2016 10:25:12 AM
  • 449.
    5.18 ■ EngineeringMathematics We know du u x dx u y dy = + ∂ ∂ ∂ ∂ ∴ du dx u x u y dy dx = + ∂ ∂ ∂ ∂ But a2 x2 + b2 y2 = c2 , then dy dx f f x y = − Here f = a2 x2 + b2 y2 − c2 ∴ fx = 2a2 x and fy = 2b2 y ∴ dy dx a x b y a x b y = − = 2 2 2 2 2 2 − Now ∂ ∂ u x x y x = − + ⋅ sin( ) 2 2 2 and ∂ ∂ u y x y y = − + ⋅ sin( ) 2 2 2 ∴ du dx x x y y x y a x b y x x y = − + − + ⋅ ⎛ ⎝ ⎜ ⎞ ⎠ ⎟ = − + 2 2 2 2 2 2 2 2 2 2 2 sin sin sin ( ) ( ) ( − ) ) ( ) ( )sin( 1 2 1 2 2 2 2 2 2 2 2 2 2 2 − ⎧ ⎨ ⎩ ⎫ ⎬ ⎭ = + ⋅ − ⎛ ⎝ ⎜ ⎞ ⎠ ⎟ = − a b x x y a b x b a b x sin + + y2 ) EXAMPLE 4 If u 5 f(x, y), x 5 r cos u, y 5 r sin u, then show that ∂ ∂ ∂ ∂ ∂ ∂ ∂ ∂ u x u y u r r u ⎛ ⎝ ⎜ ⎞ ⎠ ⎟ ⎛ ⎝ ⎜ ⎞ ⎠ ⎟ ⎛ ⎝ ⎜ ⎞ ⎠ ⎟ ⎛ ⎝ ⎜ ⎞ ⎠ ⎟ 2 2 2 2 2 1 1 5 1 u . Solution. Since x and y are functions of r and u, u is a composite function of r and u. So, we have partial derivatives of u w.r.to r, u We know that du u x dx u y dy = + ∂ ∂ ∂ ∂ ∴ ∂ ∂ ∂ ∂ ∂ ∂ ∂ ∂ ∂ ∂ ∂ ∂ ∂ ∂ ∂ ∂ ∂ ∂ ∂ ∂ u r u x x r u y y r u u x x u y y = + = + , u u u Since x = r cos u and y = r sin u ∴ ∂ ∂ ∂ ∂ ∂ ∂ ∂ ∂ ∂ ∂ ∂ ∂ ∂ ∂ x r y r x r y r u r u x x = = = − = = ⋅ cos sin sin cos u u u u u u and and r r u y y r u x u y + ⋅ = + ∂ ∂ ∂ ∂ ∂ ∂ ∂ ∂ cos sin u u and ∂ ∂ ∂ ∂ ∂ ∂ ∂ ∂ ∂ ∂ ∂ ∂ ∂ ∂ u u x x u y y u x r u y r u u u u u = ⋅ + ⋅ = − + ( sin ) ( cos ) ⇒ 1 r u u x u y ∂ ∂ ∂ ∂ ∂ ∂ u u u = − + sin cos ∴ ∂ ∂ ∂ ∂ ∂ ∂ ∂ ∂ ∂ ∂ u r r u u x u y u x ⎛ ⎝ ⎜ ⎞ ⎠ ⎟ + ⎛ ⎝ ⎜ ⎞ ⎠ ⎟ = + ⎛ ⎝ ⎜ ⎞ ⎠ ⎟ + − 2 2 2 1 u u u cos sin sin n cos u u + ⎛ ⎝ ⎜ ⎞ ⎠ ⎟ ∂ ∂ u y 2 = ⎛ ⎝ ⎜ ⎞ ⎠ ⎟ + ⎛ ⎝ ⎜ ⎞ ⎠ ⎟ + + ⎛ ∂ ∂ ∂ ∂ ∂ ∂ ∂ ∂ ∂ ∂ u x u y u x u y u x 2 2 2 2 2 cos sin cos sin u u u u ⎝ ⎝ ⎜ ⎞ ⎠ ⎟ + ⎛ ⎝ ⎜ ⎞ ⎠ ⎟ − ⋅ 2 2 2 2 2 sin cos sin cos u u u u ∂ ∂ ∂ ∂ ∂ ∂ u y u x u y M05_ENGINEERING_MATHEMATICS-I _CH05_Part A.indd 18 5/12/2016 10:25:17 AM
  • 450.
    Differential Calculus ofSeveral Variables ■ 5.19 = ⎛ ⎝ ⎜ ⎞ ⎠ ∂ ∂ u x ⎟ ⎟ + + ⎛ ⎝ ⎜ ⎞ ⎠ ⎟ + 2 2 2 2 2 2 [cos sin ] [sin cos ] u u u u ∂ ∂ u y ⇒ ∂ ∂ ∂ ∂ ∂ ∂ ∂ ∂ u r r u u x u y ⎛ ⎝ ⎜ ⎞ ⎠ ⎟ + ⎛ ⎝ ⎜ ⎞ ⎠ ⎟ = ⎛ ⎝ ⎜ ⎞ ⎠ ⎟ + ⎛ ⎝ ⎜ ⎞ ⎠ ⎟ 2 2 2 2 2 1 u EXAMPLE 5 If u f y x xy z x zx 5 2 2 , ⎛ ⎝ ⎜ ⎞ ⎠ ⎟, then prove that x u x y u y z u z 2 2 2 0 ∂ ∂ ∂ ∂ ∂ ∂ 1 1 5 . Solution. Given u f y x xy z x zx = − − ⎛ ⎝ ⎜ ⎞ ⎠ ⎟ , Put r x y xy y x s z x zx x z = − = − = − = − 1 1 1 1 and ∴ u is a function of r, s and r and s are functions of x, y, z We know du u r dr u s ds = + ∂ ∂ ∂ ∂ ∴ ∂ ∂ ∂ ∂ ∂ ∂ ∂ ∂ ∂ ∂ ∂ ∂ ∂ ∂ ∂ ∂ ∂ ∂ ∂ ∂ ∂ ∂ ∂ ∂ u x u r r x u s s x u y u r r y u s s y u z u = ⋅ + ⋅ = ⋅ + ⋅ = , , r r r z u s s z ⋅ + ⋅ ∂ ∂ ∂ ∂ ∂ ∂ But and r y x r x x r y y r z s x z s x x = − = + = − = = − = − 1 1 1 1 0 1 1 1 2 2 2 ∴ ∂ ∂ ∂ ∂ ∂ ∂ ∴ ∂ ∂ , , , ∂ ∂ ∂ ∂ ∂ s y s z z = = 0 1 2 , ∴ ∂ ∂ ∂ ∂ ∂ ∂ u x u r x u s x = ⋅ + − ⎛ ⎝ ⎜ ⎞ ⎠ ⎟ 1 1 2 2 ⇒ x u x u r u s 2 ∂ ∂ ∂ ∂ ∂ ∂ = − (1) ∂ ∂ ∂ ∂ ∂ ∂ u y u r y u s = ⋅ − ⎛ ⎝ ⎜ ⎞ ⎠ ⎟ + ⋅ 1 0 2 ⇒ y u y u r 2 ∂ ∂ ∂ ∂ = − (2) and ∂ ∂ ∂ ∂ ∂ ∂ u z u r u s z = ⋅ + ⋅ ⎛ ⎝ ⎜ ⎞ ⎠ ⎟ 0 1 2 ⇒ z u z u s 2 ∂ ∂ ∂ ∂ = (3) (1) + (2) + (3) ⇒ + + = − − + = x u x y u y z u y u r u s u r u s 2 2 2 0 ∂ ∂ ∂ ∂ ∂ ∂ ∂ ∂ ∂ ∂ ∂ ∂ ∂ ∂ M05_ENGINEERING_MATHEMATICS-I _CH05_Part A.indd 19 5/12/2016 10:25:22 AM
  • 451.
    5.20 ■ EngineeringMathematics EXAMPLE 6 If z is a function of x and y and x 5 u cos a 2 v sin a, y 5 u sin a 1 v cos a, then show that ∂ ∂ ∂ ∂ ∂ ∂ ∂ ∂ 2 2 2 2 2 2 2 2 z x z y z u z v 1 5 1 . Solution. Given z is a composite function of u and v and x = u cos a − v sin a, y = u sin a + v cos a We have dz z x dx z y dy = + ∂ ∂ ∂ ∂ ∴ ∂ ∂ ∂ ∂ ∂ ∂ ∂ ∂ ∂ ∂ z u z x x u z y y u = + (1) and ∂ ∂ ∂ ∂ ∂ ∂ ∂ ∂ ∂ ∂ z v z x x v z y y v = + (2) But, ∂ ∂ ∂ ∂ x u x v = = − cos , sin a a , ∂ ∂ ∂ ∂ y u y v = = sin , cos a a ∴ ∂ ∂ ∂ ∂ ∂ ∂ ∂ ∂ ∂ ∂ ∂ ∂ ∂ ∂ ∂ z u z x z y z u z x z y x = + = + = + cos sin cos sin cos sin a a a a a a ∂ ∂y z ⎛ ⎝ ⎜ ⎞ ⎠ ⎟ ∴ operator ∂ ∂ ∂ ∂ ∂ ∂ u x y = + cos sin a a (3) and ∂ ∂ ∂ ∂ ∂ ∂ ∂ ∂ ∂ ∂ z v z x z y x y z = − + = − + ⎛ ⎝ ⎜ ⎞ ⎠ ⎟ ( sin ) cos sin cos a a a a ∴ operator ∂ ∂ ∂ ∂ ∂ ∂ v x y = − + ⎛ ⎝ ⎜ ⎞ ⎠ ⎟ sin cos a a (4) Now ∂ ∂ ∂ ∂ ∂ ∂ ∂ ∂ ∂ ∂ ∂ ∂ ∂ ∂ 2 2 z u u z u x y z x z = ⎛ ⎝ ⎜ ⎞ ⎠ ⎟ = + ⎛ ⎝ ⎜ ⎞ ⎠ ⎟ + cos sin cos sin a a a a y y z x z x y z y x ⎛ ⎝ ⎜ ⎞ ⎠ ⎟ = + + + cos cos sin sin cos sin 2 2 2 2 2 2 a a a a a a ∂ ∂ ∂ ∂ ∂ ∂ ∂ ∂ ∂ ∂ ∂ 2 2 z y ∂ ∂ ∂ ∂ ∂ ∂ ∂ ∂ ∂ ∂ 2 2 2 2 2 2 2 2 2 2 2 z u z x z x y z y z = + + cos sin cos sin a a a a assuming ∂ ∂ ∂ ∂ ∂ ∂ x y z y x = 2 ⎡ ⎣ ⎢ ⎤ ⎦ ⎥ (5) and ∂ ∂ ∂ ∂ ∂ ∂ ∂ ∂ ∂ ∂ ∂ ∂ ∂ 2 2 z v v z v x y z x = ⎛ ⎝ ⎜ ⎞ ⎠ ⎟ = − + ⎛ ⎝ ⎜ ⎞ ⎠ ⎟ − + sin cos sin cos a a a a z z y z x z x y z y x ∂ ∂ ∂ ∂ ∂ ∂ ∂ ∂ ∂ ⎛ ⎝ ⎜ ⎞ ⎠ ⎟ = − − + sin sin cos sin cos cos 2 2 2 2 2 a a a a a 2 2 2 2 a ∂ ∂ z y ⇒ M05_ENGINEERING_MATHEMATICS-I _CH05_Part A.indd 20 5/12/2016 10:25:27 AM
  • 452.
    Differential Calculus ofSeveral Variables ■ 5.21 ∂ ∂ ∂ ∂ ∂ ∂ ∂ ∂ ∂ 2 2 2 2 2 2 2 2 2 2 z v z x z x y z y = − + sin sin cos cos a a a a (6) (5) + (6) ⇒ ∂ ∂ ∂ ∂ ∂ ∂ ∂ ∂ ∂ ∂ 2 2 2 2 2 2 2 2 2 2 2 2 2 z u z v z x z y z + = + + + = (cos sin ) (sin cos ) a a a a x x z y 2 2 2 + ∂ ∂ . EXAMPLE 7 If z f x y 5 ( , ) where x u v 5 2 2 2 , y uv 5 2 , prove that ∂ ∂ ∂ ∂ ∂ ∂ ∂ ∂ ⎛ ⎝ ⎜ ⎞ ⎠ ⎟ 2 2 2 2 2 2 2 2 2 2 4 z u z v u v z x z y 1 5 1 1 ( ) . Solution. Given z f x y = ( , ) where x u v = − 2 2 , y uv = 2 Since z is a function of x, y,we have dz z x dx z y dy = ∂ ∂ + ∂ ∂ (1) But x and y are function of u and v. So, z is ultimately a function of u and v. ∴ ∂ ∂ = ∂ ∂ ∂ ∂ + ∂ ∂ ∂ ∂ z u z x x u z y y u But x u v y uv = − = 2 2 2 and ∴ ∂ ∂ = ∂ ∂ = x u u y u v 2 2 and ∴ ∂ ∂ = ∂ ∂ ⋅ + ∂ ∂ ⋅ = ∂ ∂ + ∂ ∂ = ∂ ∂ + ∂ ∂ ⎛ ⎝ ⎜ ⎞ ⎠ ⎟ z u z x u z y v u z x v z y u x v y z 2 2 2 2 2 2 ⇒ ∂ ∂ = ∂ ∂ + ∂ ∂ u u x v y 2 2 Now ∂ ∂ = ∂ ∂ ∂ ∂ = ∂ ∂ ∂ ∂ + ∂ ∂ 2 2 2 2 2 z u u z u u u z x v z y u u z x ⎛ ⎝ ⎜ ⎞ ⎠ ⎟ ⎛ ⎝ ⎜ ⎞ ⎠ ⎟ = ∂ ∂ ∂ ∂ ⎛ ⎝ ⎜ ⎞ ⎠ ⎟ ⎟ + ∂ ∂ ∂ ∂ ⎛ ⎝ ⎜ ⎞ ⎠ ⎟ 2 u v z y ⇒ ∂ ∂ 2 2 2 1 2 0 z u z x u u z x z y v u z y = ∂ ∂ ⋅ + ⋅ ∂ ∂ ∂ ∂ ⎛ ⎝ ⎜ ⎞ ⎠ ⎟ ⎧ ⎨ ⎩ ⎫ ⎬ ⎭ + ∂ ∂ ⋅ + ∂ ∂ ∂ ∂ ⎛ ⎝ ⎜ ⎞ ⎠ ⎟ ⎟ ⎧ ⎨ ⎩ ⎫ ⎬ ⎭ = ∂ ∂ + ∂ ∂ ∂ ∂ ⎛ ⎝ ⎜ ⎞ ⎠ ⎟ + ∂ ∂ ∂ ∂ ⎛ ⎝ ⎜ ⎞ ⎠ ⎟ 2 2 2 z x u u z x v u z y = ∂ ∂ + ∂ ∂ + ∂ ∂ ⎡ ⎣ ⎢ ⎤ ⎦ ⎥ ∂ ∂ ⎛ ⎝ ⎜ ⎞ ⎠ ⎟ + ∂ ∂ + ∂ ∂ ⎡ ⎣ ⎢ ⎤ ⎦ ⎥ ∂ 2 2 2 2 2 2 2 z x u u x v y z x v u x v y z ∂ ∂ ⎛ ⎝ ⎜ ⎞ ⎠ ⎟ = ∂ ∂ + ∂ ∂ ∂ ∂ ⎛ ⎝ ⎜ ⎞ ⎠ ⎟ + ∂ ∂ ∂ ∂ ⎛ ⎝ ⎜ ⎞ ⎠ ⎟ ⎧ ⎨ ⎩ ⎫ ⎬ ⎭ + y z x u u x z x v y z x v 2 2 2 2 2 2 2 2 u x z y v y z y ∂ ∂ ∂ ∂ ⎛ ⎝ ⎜ ⎞ ⎠ ⎟ + ∂ ∂ ∂ ∂ ⎛ ⎝ ⎜ ⎞ ⎠ ⎟ ⎧ ⎨ ⎩ ⎫ ⎬ ⎭ M05_ENGINEERING_MATHEMATICS-I _CH05_Part A.indd 21 5/12/2016 10:25:32 AM
  • 453.
    5.22 ■ EngineeringMathematics ∴ ∂ ∂ = ∂ ∂ + ∂ ∂ + ∂ ∂ ∂ + ∂ ∂ ∂ + ∂ ∂ 2 2 2 2 2 2 2 2 2 2 2 4 4 4 4 z u z x u z x uv z y x uv z x y v z y (1) Also ∂ ∂ = ∂ ∂ ⋅ ∂ ∂ + ∂ ∂ ⋅ ∂ ∂ z v z x x v z y y v and ∂ ∂ = − ∂ ∂ = x v v y v u 2 2 , ∴ ∂ ∂ = ∂ ∂ − + ∂ ∂ = − ∂ ∂ + ∂ ∂ = − ∂ ∂ + ∂ ∂ ⎛ ⎝ ⎜ ⎞ ⎠ ⎟ z v z x v z y u v z x u z y v x u y z ( ) 2 2 2 2 2 2 ∴ ∂ ∂ = − ∂ ∂ + ∂ ∂ v v x u y 2 2 Now ∂ ∂ = ∂ ∂ ∂ ∂ ⎛ ⎝ ⎜ ⎞ ⎠ ⎟ = ∂ ∂ − ∂ ∂ + ∂ ∂ ⎛ ⎝ ⎜ ⎞ ⎠ ⎟ = − ∂ ∂ ∂ ∂ ⎛ ⎝ ⎜ 2 2 2 2 2 z v v z v v v z x u z y v v z x ⎞ ⎞ ⎠ ⎟ + ∂ ∂ ∂ ∂ ⎛ ⎝ ⎜ ⎞ ⎠ ⎟ 2 v u z y ⇒ ∂ ∂ = − ∂ ∂ ⋅ + ⋅ ∂ ∂ ∂ ∂ ⎛ ⎝ ⎜ ⎞ ⎠ ⎟ ⎧ ⎨ ⎩ ⎫ ⎬ ⎭ + ∂ ∂ ⋅ + ∂ ∂ ∂ ∂ ⎛ ⎝ ⎜ ⎞ 2 2 2 1 2 0 z v z x v v z x z y u v z y⎠ ⎠ ⎟ ⎧ ⎨ ⎩ ⎫ ⎬ ⎭ = − ∂ ∂ − ∂ ∂ ∂ ∂ ⎛ ⎝ ⎜ ⎞ ⎠ ⎟ + ∂ ∂ ∂ ∂ ⎛ ⎝ ⎜ ⎞ ⎠ ⎟ = − ∂ ∂ − 2 2 2 2 2 z x v v z x u v z y z x v − − ∂ ∂ + ∂ ∂ ⎧ ⎨ ⎩ ⎫ ⎬ ⎭ ∂ ∂ ⎛ ⎝ ⎜ ⎞ ⎠ ⎟ + − ∂ ∂ + ∂ ∂ ⎧ ⎨ ⎩ ⎫ ⎬ ⎭ ∂ ∂ ⎛ ⎝ ⎜ ⎞ 2 2 2 2 2 v x u y z x u v x u y z y⎠ ⎠ ⎟ = − ∂ ∂ + ∂ ∂ ∂ ∂ ⎛ ⎝ ⎜ ⎞ ⎠ ⎟ − ∂ ∂ ∂ ∂ ⎛ ⎝ ⎜ ⎞ ⎠ ⎟ − ∂ ∂ ∂ ∂ ⎛ ⎝ ⎜ 2 4 4 4 2 z x v x z x uv y z x uv x z y ⎞ ⎞ ⎠ ⎟ + ∂ ∂ ∂ ∂ ⎛ ⎝ ⎜ ⎞ ⎠ ⎟ 4 2 u y z y ⇒ ∂ ∂ = − ∂ ∂ + ∂ ∂ − ∂ ∂ ∂ − ∂ ∂ ∂ + ∂ ∂ 2 2 2 2 2 2 2 2 2 2 2 4 4 4 4 z v z x v z x uv z y x uv z x y u z y (2) Adding (1) and (2), we get ∂ ∂ + ∂ ∂ = + ∂ ∂ + + ∂ ∂ = + ∂ ∂ 2 2 2 2 2 2 2 2 2 2 2 2 2 2 2 4 4 4 4 4 z u z v u v z x u v z y u v z ( ) ( ) ( ) x x z y 2 2 2 + ∂ ∂ ⎛ ⎝ ⎜ ⎞ ⎠ ⎟ Note The same problem is asked as below also. If g x y u v ( , ) ( , ) = c where u x y = − 2 2 and v = 2xy, then prove that ∂ ∂ + ∂ ∂ = + ∂ ∂ + ∂ ∂ ⎛ ⎝ ⎜ ⎞ ⎠ ⎟ 2 2 2 2 2 2 2 2 2 2 4 g x g y x y u v ( ) . c c EXAMPLE 8 Transform the equation z z z xx xy yy 1 1 5 2 0 by changing the independent variables using u x y 5 2 and v x y 5 1 . Solution. Given z z z xx + + = 2 0 xy yy (1) M05_ENGINEERING_MATHEMATICS-I _CH05_Part A.indd 22 5/12/2016 10:25:37 AM
  • 454.
    Differential Calculus ofSeveral Variables ■ 5.23 and u x y v x y = − = + , In the given equation independent variables are x and y. We have to change them to u and v. So, we treat z as a function of u and v ∴ dz z u u z v dv z x z u u x z v v x = ∂ ∂ ∂ + ∂ ∂ ∂ ∂ = ∂ ∂ ⋅ ∂ ∂ + ∂ ∂ ⋅ ∂ ∂ ⇒ and ∂ ∂ = ∂ ∂ = u x v x 1 1 , ∴ ∂ ∂ = ∂ ∂ + ∂ ∂ = ∂ ∂ + ∂ ∂ ⎛ ⎝ ⎜ ⎞ ⎠ ⎟ ∂ ∂ = ∂ ∂ + ∂ ∂ z x z u z v u v z x u v ⇒ Now ∂ ∂ = ∂ ∂ ∂ ∂ ⎛ ⎝ ⎜ ⎞ ⎠ ⎟ = ∂ ∂ + ∂ ∂ ⎛ ⎝ ⎜ ⎞ ⎠ ⎟ ∂ ∂ + ∂ ∂ ⎛ ⎝ ⎜ ⎞ ⎠ ⎟ 2 2 z x x z x u v z u z v = ∂ ∂ ∂ ∂ ⎛ ⎝ ⎜ ⎞ ⎠ ⎟ + ∂ ∂ ∂ ∂ ⎛ ⎝ ⎜ ⎞ ⎠ ⎟ + ∂ ∂ ∂ ∂ ⎛ ⎝ ⎜ ⎞ ⎠ ⎟ + ∂ ∂ ∂ ∂ ⎛ ⎝ ⎜ ⎞ ⎠ ⎟ u z u u z v v z u v z v ⇒ ∂ ∂ = ∂ ∂ + ∂ ∂ ∂ + ∂ ∂ ∂ + ∂ ∂ 2 2 2 2 2 2 2 2 z x z u z u v z v u z v (2) Now ∂ ∂ = ∂ ∂ ∂ ∂ + ∂ ∂ ∂ ∂ z y z u u y z v v y and ∂ ∂ = − ∂ ∂ = u y u y 1 1 , ∴ ∂ ∂ = − ∂ ∂ + ∂ ∂ = − ∂ ∂ + ∂ ∂ ⎛ ⎝ ⎜ ⎞ ⎠ ⎟ ∂ ∂ = − ∂ ∂ + ∂ ∂ z y z u z v u v z y u v ⇒ ∴ ∂ ∂ = ∂ ∂ ∂ ∂ ⎛ ⎝ ⎜ ⎞ ⎠ ⎟ = − ∂ ∂ + ∂ ∂ ⎛ ⎝ ⎜ ⎞ ⎠ ⎟ − ∂ ∂ + ∂ ∂ ⎛ ⎝ ⎜ ⎞ ⎠ ⎟ 2 2 z y y z y u v z u z v = − ∂ ∂ − ∂ ∂ ⎛ ⎝ ⎜ ⎞ ⎠ ⎟ − ∂ ∂ ∂ ∂ ⎛ ⎝ ⎜ ⎞ ⎠ ⎟ + ∂ ∂ − ∂ ∂ ⎛ ⎝ ⎜ ⎞ ⎠ ⎟ + ∂ ∂ ∂ ∂ ⎛ ⎝ ⎜ ⎞ ⎠ u z u u z v v z u v z v ⎟ ⎟ ⇒ ∂ ∂ = ∂ ∂ − ∂ ∂ ∂ − ∂ ∂ ∂ + ∂ ∂ 2 2 2 2 2 2 2 2 z y z u z u v z v u z v (3) and ∂ ∂ ∂ = ∂ ∂ ∂ ∂ ⎛ ⎝ ⎜ ⎞ ⎠ ⎟ = ∂ ∂ + ∂ ∂ ⎛ ⎝ ⎜ ⎞ ⎠ ⎟ − ∂ ∂ + ∂ ∂ ⎛ ⎝ ⎜ ⎞ ⎠ ⎟ = ∂ ∂ − ∂ 2 z x y x z y u v z u z v u z ∂ ∂ ⎛ ⎝ ⎜ ⎞ ⎠ ⎟ + ∂ ∂ ∂ ∂ ⎛ ⎝ ⎜ ⎞ ⎠ ⎟ + ∂ ∂ − ∂ ∂ ⎛ ⎝ ⎜ ⎞ ⎠ ⎟ + ∂ ∂ ∂ ∂ ⎛ ⎝ ⎜ ⎞ ⎠ ⎟ u u z v v z u v z v ⇒ ∂ ∂ ∂ = − ∂ ∂ + ∂ ∂ ∂ − ∂ ∂ ∂ + ∂ ∂ 2 2 2 2 2 2 2 z x y z u z u v z v u z v (4) Substituting (2), (3) and (4) in (1), we get ∂ ∂ + ∂ ∂ ∂ + ∂ ∂ ∂ + ∂ ∂ + − ∂ ∂ + ∂ ∂ ∂ − ∂ ∂ ∂ + ∂ 2 2 2 2 2 2 2 2 2 2 2 2 z u z u v z v u z v z u z u v z v u z ∂ ∂ ⎛ ⎝ ⎜ ⎞ ⎠ ⎟ + ∂ ∂ − ∂ ∂ ∂ − ∂ ∂ ∂ + ∂ ∂ = v z u z u v z v u z v 2 2 2 2 2 2 2 0 M05_ENGINEERING_MATHEMATICS-I _CH05_Part A.indd 23 5/12/2016 10:25:43 AM
  • 455.
    5.24 ■ EngineeringMathematics ⇒ 4 2 2 0 2 2 2 2 ∂ ∂ + ∂ ∂ ∂ − ∂ ∂ ∂ = z v z u v z v u ⇒ 2 0 2 0 2 2 2 2 ∂ ∂ + ∂ ∂ ∂ − ∂ ∂ ∂ = + − = z v z u v z v u z z z ⇒ vv vu uv which is the transformed equation. Note In general z z uv vu ≠ . If z z z uv vu vv then = = , 0 EXERCISE 5.2 1. If z = x3 + y3 − 3axy, then show that ∂ ∂ ∂ = ∂ ∂ ∂ 2 2 z x y z y x . 2. If u x y x y x y = − − − 2 1 2 1 tan tan , then show that ∂ ∂ 2 2 2 2 2 u x y x y x y ∂ = − + . 3. If z x y x y = + + 2 2 , then show that ∂ ∂ ∂ ∂ ∂ ∂ ∂ ∂ z x z y z x z y − ⎛ ⎝ ⎜ ⎞ ⎠ ⎟ = − − ⎛ ⎝ ⎜ ⎞ ⎠ ⎟ 2 4 1 . 4. If u = f(r), where r x y = + 2 2 , prove that ∂ ∂ ∂ ∂ 2 2 2 2 1 u x u y f r r f r + = ′′ + ′ ( ) ( ). 5. If z = f(x + ct) + g (x − ct), where c is a constant, prove that ∂ ∂ ∂ ∂ 2 2 2 2 2 z t c z x = . 6. If z x y y x = + − − sin tan 1 1 , then prove that x z x y z y ∂ ∂ ∂ ∂ + = 0. 7. If z x y xy = + + 1 2 2 , then prove that x z x y z y z ∂ ∂ ∂ ∂ + = −2 . 8. If u x y xy x y = − + 3 3 , then prove that x u x xy u x y y u y xy x y 2 2 2 2 2 2 2 2 6 ∂ ∂ ∂ ∂ ∂ ∂ ∂ + + = − ( ). 9. If u x y x y = + − ⎛ ⎝ ⎜ ⎞ ⎠ ⎟ loge 3 3 , then prove that x u x y u y ∂ ∂ ∂ ∂ + = 2. 10. If u x y x y = + + ⎛ ⎝ ⎜ ⎞ ⎠ ⎟ − sin 1 2 2 , then prove that x u x y u y u ∂ ∂ ∂ ∂ + = tan . 11. If u = (x − y)4 + (y − z)4 + (z − x)4 , then find the value of ∂ ∂ ∂ ∂ ∂ ∂ u x u y u z + + . 12. If sinu x y x y = + 2 2 , then show that x u x y u y u. ∂ ∂ ∂ ∂ + = 3tan 13. If u x y y z z x = + + , then show that x u x y u y z u z ∂ ∂ ∂ ∂ ∂ ∂ + + = 0. M05_ENGINEERING_MATHEMATICS-I _CH05_Part A.indd 24 5/12/2016 10:25:52 AM
  • 456.
    Differential Calculus ofSeveral Variables ■ 5.25 14. If u x y x y = + − ⎛ ⎝ ⎜ ⎞ ⎠ ⎟ − tan , 1 3 3 then prove that x u x y u y u ∂ ∂ ∂ ∂ + = sin . 2 15. If u x y y x = + + − log( ) tan 2 2 1 , then prove that uxx + uyy = 0. 16. If u x y x y x y = − − − 2 1 2 1 tan tan , then prove that ∂ ∂ ∂ 2 2 2 2 2 u x y x y x y = − + . 17. If u = x2 + y2 + z2 and x = e2t , y = e2t cos 3t, z = e2t sin 3t, then find du dt as a total derivative. 18. If u = x3 + y3 , x = a cos t, y = b sin t, then find du dt . 19. If u = f(r, s) where r = x + at, s = y + bt and x, y, t are independent variables, then show that ∂ ∂ ∂ ∂ ∂ ∂ u t a u x b u y = + . 20. If u = x2 + y2 + z2 and x = et , y = et sin t, z = et cos t, then find du dt . 21. If z = f(x, y), where x = u + v, y = uv, then prove that u z u v z v x z x y z y ∂ ∂ ∂ ∂ ∂ ∂ ∂ ∂ + = + 2 . 22. If u = f(x2 + 2yz, y2 + 2zx), then prove that ( ) ( ) y zx u x x yz u y 2 2 − + − + ∂ ∂ ∂ ∂ ( ) . z xy u z 2 0 − = ∂ ∂ 23. If u = f(2x − 3y, 3y − 4z, 4z − 2x), then prove that 1 2 1 3 1 4 0 ∂ ∂ ∂ ∂ ∂ ∂ u x u y u z + + = . 24. If z = log (u2 + v) where u e v x y = = + + x y 2 2 2 , , then find ∂ ∂ z x and ∂ ∂ z y . 25. If yx = xy , then show that dy dx y y x y x x y x = − − ( log ) ( log ) , using partial derivative method. 26. If u = f(x2 − y2 , y2 − z2 , z2 − x2 ), then prove that 1 1 1 0 x u x y u y z u z ∂ ∂ ∂ ∂ ∂ ∂ + + = . 27. Find du dt , when u = x2 y, x = t2 , y = et 28. If u = xy + yz + zx where x t y e = = 1 , t , and z e = −t , then find du dt . 29. Find du dt , when u x y x e y t = = = sin , , t 2 . 30. If z is a function of x and y and x = eu 1 e2v , y 5 e2u 2 ev , then show that ∂ ∂ ∂ ∂ ∂ ∂ ∂ ∂ z u z v x z x y z y − = − . 31. If z = f(x, y), where x = eu cos v, y = eu sin v, show that y z u x z v e z y ∂ ∂ + ∂ ∂ = ∂ ∂ 2u . 32. If u2 + 2v2 = 1 − x2 + y2 and u2 + v2 = x2 + y2 − 2, then find ∂ ∂ u x and ∂ ∂ v x . 33. If z x y = + 2 2 and x y xy 3 3 2 3 5 + + = a a , then find the value of dz dx when x = y = a. M05_ENGINEERING_MATHEMATICS-I _CH05_Part A.indd 25 5/12/2016 10:26:02 AM
  • 457.
    5.26 ■ EngineeringMathematics ANSWERS TO EXERCISE 5.2 11. 0 17. 8e4t 18. 3 sin t cos t (b3 sin t − a3 cos t) 20. 4e2t 24. 2 2 1 4 1 2 2 2 2 x u u v yu u v ( ) , + + + + 27. t3 (4 + t) et 28. 2 2 t t t t [ sinh cosh ] − 29. e t e t t t t 3 2 2 cos [ ] ⎛ ⎝ ⎜ ⎞ ⎠ ⎟ − 32. ∂ ∂ ∂ ∂ u x x u v x x v = = − 3 2 , 33. 0 5.3 JACOBIANS Jacobians have many important applications such as functional dependence, transformation of vari- able in multiple integrals, problems in partial differentiation and in the study of existence of implicit functions determined by a system of functional equations. Definition 5.8 (1) If u and v are continuous functions of two independent variables x and y, having first order partial derivatives, then the determinant ∂ ∂ ∂ ∂ ∂ ∂ ∂ ∂ u x u y v x v y is called the Jacobian determinant or Jacobian of u and v with respect to x and y and is denoted by ∂ ∂ ( , ) ( , ) u v x y or J u v x y , , ⎛ ⎝ ⎜ ⎞ ⎠ ⎟ or J. Thus, ∂ ∂ ∂ ∂ ∂ ∂ ∂ ∂ ∂ ∂ ( , ) ( , ) u v x y u x u y v x v y = (2) If u, v, w are continuous functions of three independent variables x, y, z having first order partial derivatives then the Jacobian of u, v, w with respect to x, y, z is defined as ∂ ∂ ∂ ∂ ∂ ∂ ∂ ∂ ∂ ∂ ∂ ∂ ∂ ∂ ∂ ∂ ∂ ∂ ∂ ∂ ( , , ) ( , , ) u v w x y z u x u y u z v x v y v z w x w y w z = Similarly, we can define Jacobians for functions of 4 or more variables. M05_ENGINEERING_MATHEMATICS-I _CH05_Part A.indd 26 5/12/2016 9:35:41 AM
  • 458.
    Differential Calculus ofSeveral Variables ■ 5.27 5.3.1 Properties of Jacobians For simplicity we shall prove the properties of Jacobians for two variables. However, they can be extended to any number of variables. Property 1 If u and v are functions of x and y, then ∂ ∂ ∂ ∂ ( , ) ( , ) ( , ) ( , ) u v x y x y u v ⋅ = 1 Proof Let u = f1 (x, y) and v = f2 (x, y) be continuous functions of two independent variables x and y having first order partial derivatives then J = ∂ ∂ ( , ) ( , ) u v x y The condition for these equations to be solvable for x and y is J ≠ 0. If x = g1 (u, v) and y = g2 (u, v) and ′ = J ∂ ∂ ( , ) ( , ) , x y u v then to prove JJ′ = 1 We have u f x y = 1( , ) ∴ du u x dx u y dy = + ∂ ∂ ∂ ∂ (1) and dv v x dx v y dy = + ∂ ∂ ∂ ∂ (2) Since u and v are independent variables from differentials (1) and (2) we get ∂ ∂ ∂ ∂ ∂ ∂ ∂ ∂ u u u v v v v u = = = = 1 0 1 0 , , , ∴ ∂ ∂ ∂ ∂ ∂ ∂ ∂ ∂ ∂ ∂ ∂ ∂ ∂ ∂ ∂ ∂ u x x u u y y u u x x v u y y v + = + = 1 0 and ∂ ∂ ∂ ∂ ∂ ∂ ∂ ∂ ∂ ∂ ∂ ∂ ∂ ∂ ∂ v x x v v y y v v x x u v y y u + = ∂ + = 1 0 and Now JJ′ = = ⋅ + ∂ ∂ ∂ ∂ ∂ ∂ ∂ ∂ ∂ ∂ ∂ ∂ ∂ ∂ ∂ ∂ ∂ ∂ ∂ ∂ ∂ ∂ ∂ ∂ ∂ ∂ u x u y v x v y x u x v y u y v u x x u u y y u u x x x v u y y v v x x u v y y u v x x v v y y v ⋅ + ⋅ + ⋅ ⋅ + = ∂ ∂ ∂ ∂ ∂ ∂ ∂ ∂ ∂ ∂ ∂ ∂ ∂ ∂ ∂ ∂ ∂ ∂ ∂ ∂ ∂ ∂ 1 0 0 1 = = 1 ■ Property 2 Jacobians of composite functions or chain rule If u and v are functions of p and q, where p and q are functions of x and y, then ∂ ∂ ∂ ∂ ∂ ∂ ( , ) ( , ) ( , ) ( , ) ( , ) ( , ) u v x y u v p q p q x y = ⋅ Proof If u and v are continuous functions of p and q and p and q are functions of x and y, then du u p dp u q dq dv v p dp v q dq = + ⋅ = + ⋅ ∂ ∂ ∂ ∂ ∂ ∂ ∂ ∂ and M05_ENGINEERING_MATHEMATICS-I _CH05_Part A.indd 27 5/12/2016 9:35:46 AM
  • 459.
    5.28 ■ EngineeringMathematics ∴ ∂ ∂ ∂ ∂ ∂ ∂ ∂ ∂ ∂ ∂ ∂ ∂ ∂ ∂ ∂ ∂ ∂ ∂ ∂ ∂ u x u p p x u q q x v x v p p x v q q x = ⋅ + ⋅ = ⋅ + ⋅ and ∂ ∂ ∂ ∂ ∂ ∂ ∂ ∂ ∂ ∂ ∂ ∂ ∂ ∂ ∂ ∂ ∂ ∂ ∂ ∂ u y u p p y u q q y v y v p p y v q q y = ⋅ + ⋅ = ⋅ + ⋅ and ∴ ∂ ∂ ∂ ∂ ∂ ∂ ∂ ∂ ∂ ∂ ∂ ∂ ∂ ∂ ∂ ∂ ∂ ∂ ∂ ∂ ( , ) ( , ) ( , ) ( , ) u v p q p q x y u p u q v p v q p x p y q x q y ⋅ = = = ⋅ + ⋅ + ⋅ + ⋅ ∂ ∂ ∂ ∂ ∂ ∂ ∂ ∂ ∂ ∂ ∂ ∂ ∂ ∂ ∂ ∂ ∂ ∂ ∂ ∂ ∂ ∂ ∂ ∂ ∂ u p p x u q q x u p p y u q q y v p p x v q q x v v p p y v q q y u x u y v x v y u v x y ∂ ∂ ∂ ∂ ∂ ∂ ∂ ∂ ∂ ∂ ∂ ∂ ∂ ∂ ∂ ∂ ∂ + = = ( , ) ( , ) ∴ ∂ ∂ ∂ ∂ ∂ ∂ ( , ) ( , ) ( , ) ( , ) ( , ) ( , ) u v x y u v p q p q x y = ⋅ ■ Note Extension to three variables (1) ∂ ∂ ∂ ∂ ( , , ) ( , , ) ( , , ) ( , , ) u v w x y z x y z u v w ⋅ = 1 and (2) ∂ ∂ ∂ ∂ ∂ ∂ ( , , ) ( , , ) ( , , ) ( , , ) ( , , ) ( , , ) u v w x y z u v w p q r p q r x y z = ⋅ Property 3 If u and v are functions of two independent variables x and y and u and v are functionally dependent [i.e., f(u, v) = 0], then ∂ ∂ ( , ) ( , ) . u v x y = 0 Proof If u and v are not independent, then there is a relation between u and v. Let f(u, v) = 0 be the relation between u and v. Differentiating with respect to x and y we have, ∂ ∂ ∂ ∂ f u u f v v ∂ + ∂ = 0 ∴ ∂ ∂ ∂ ∂ ∂ ∂ ∂ ∂ f u u x f v v x + ⋅ = 0 (1) and ∂ ∂ ∂ ∂ ∂ ∂ ∂ ∂ f u u y f v v y ⋅ + ⋅ = 0 (2) Eliminating ∂ ∂ ∂ ∂ f u f v , from (1) and (2), we get ∂ ∂ ∂ ∂ ∂ ∂ ∂ ∂ u x u y v x v y = 0 ⇒ ∂ ∂ ( , ) ( , ) u v x y = 0 ■ Note (1) The converse of property 3 is also true. (2) The property can be extended to functions of more than two variables. M05_ENGINEERING_MATHEMATICS-I _CH05_Part A.indd 28 5/12/2016 9:35:51 AM
  • 460.
    Differential Calculus ofSeveral Variables ■ 5.29 Property 4 If x = f(u, v), y = g(u, v) and h(x, y) = F(u, v), then h x y dx dy u v du dv ( , ) ( , ) = ∫∫ ∫∫′ R R F J , where dx dy = J du dv and J = ∂ ∂ ( , ) ( , ) x y u v is the Jacobian of transformation. Similarly, if x, y, z are functions of u, v, w, then the Jacobian of transformation J = ∂ ∂ ( , , ) ( , , ) x y z u v w and f x y z dx dy dz ( , , ) R ∫∫∫ = ∫∫∫F J R ( , , ) u v w du dv dw WORKED EXAMPLES EXAMPLE 1 If u 5 x2 1 1, v 5 y2 2 2, then find ∂ ∂ ( ) ( ) . u, v x, y Solution. We have ∂ ∂ ∂ ∂ ∂ ∂ ∂ ∂ ∂ ∂ ( , ) ( , ) u v x y u x u y v x v y = Given u = x2 + 1 ∴ ∂ ∂ ∂ ∂ u x x u y = = 2 0 and and v = y2 − 2 ∴ ∂ ∂ ∂ ∂ v x v y y = = 0 2 and ∴ ∂ ∂ ( , ) ( , ) . u v x y x y xy = = 2 0 0 2 4 EXAMPLE 2 If x 5 r cos u, y 5 r sin u, then find the Jacobian of x and y with respect to r and u. Solution. The Jacobian of x and y with respect to r and u is ∂ ∂ ∂ ∂ ∂ ∂ ∂ ∂ ∂ ∂ ( , ) ( , ) x y r x r x y r y u u u = Given x = r cos u ∴ ∂ ∂ ∂ ∂ x r x r = = − cos sin u u u and and y r = sinu ∴ ∂ ∂ ∂ ∂ y r y r = = sin cos u u u and ∴ ∂ ∂ ( , ) ( , ) cos sin sin cos cos sin (cos sin x y r r r r r r u u u u u u u u = − = + = + 2 2 2 2 2 u) = r M05_ENGINEERING_MATHEMATICS-I _CH05_Part A.indd 29 5/12/2016 9:35:58 AM
  • 461.
    5.30 ■ EngineeringMathematics Note x = r cos u, y = r sin u transforms cartesian coordinates into polar coordinates. dx dy dr d r dr d dx dy r dr d = = = ∫∫ ∫∫ J by property 4 R R u u u . EXAMPLE 3 If x 5 u (1 2 v), y 5 uv, then compute J and ′ J and prove that JJ′ 51. Solution. We know J , J = ′ = ∂ ∂ ∂ ∂ ( , ) ( , ) ( , ) ( , ) x y u v u v x y To prove JJ′ = 1 Given x = u(1 − v) ∴ ∂ ∂ ∂ ∂ x u v x v u = − = − 1 and and y uv = ∴ ∂ ∂ y u v = and ∂ ∂ y v u = ∴ J = = = − − = − + = − + = ∂ ∂ ∂ ∂ ∂ ∂ ∂ ∂ ∂ ∂ ( , ) ( , ) ( ) x y u v x u x v y u y v v u v u u v uv u uv uv 1 1 u u Now to find ′ = = J ∂ ∂ ∂ ∂ ∂ ∂ ∂ ∂ ∂ ∂ ( , ) ( , ) u v x y u x u y v x v y We have to find u and v in terms of x and y. We have x = u(1 – v) = u – uv and y = uv ∴ x = u – y ⇒ u = x + y ∴ ∂ ∂ ∂ ∂ u x u y = = 1 1 and and y = uv ⇒ v y u y x y = = + ∴ ∂ ∂ v x y x y d dx x a x a = − + = + ⎛ ⎝ ⎜ ⎞ ⎠ ⎟ = − + ⎡ ⎣ ⎢ ⎤ ⎦ ⎥ ( ) ( ) 2 2 1 1 1 { and ∂ ∂ ⋅ ⋅ v y x y y x y x x y = + − + = + ( ) ( ) ( ) 1 1 2 2 ∴ J′ = ∂ ∂ ∂ ∂ ∂ ∂ ∂ ∂ ∂ ∂ ( , ) ( , ) ( ) ( ) ( ) u v x y u x u y v x v y y x y x x y x x y = = − + + = + 1 1 2 2 2 + + + = + + = + = = = y x y x y x y x y u u u ( ) ( ) . 2 2 1 1 1 1 JJ′ ⋅ ∴ M05_ENGINEERING_MATHEMATICS-I _CH05_Part A.indd 30 5/12/2016 9:36:05 AM
  • 462.
    Differential Calculus ofSeveral Variables ■ 5.31 EXAMPLE 4 If u 5 2xy, v 5 x2 2 y2 , x 5 r cos u, y 5 r sin u, evaluate ∂ ∂ ( ) ( , ) u v r , u without actual substitution. Solution. Given u, v are functions of x and y and x and y are functions of r and u. So, by property 2 of composite function ∂ ∂ ∂ ∂ ∂ ∂ ( , ) ( , ) ( , ) ( , ) ( , ) ( , ) u v r u v x y x y r u u = ⋅ Given u xy = 2 ∴ ∂ ∂ ∂ ∂ u x y u y x = = 2 2 and and v x y = − 2 2 ∴ ∂ ∂ = ∂ ∂ = − v x x v y y 2 2 and ∴ ∂ ∂ ∂ ∂ ∂ ∂ ∂ ∂ ∂ ∂ ( , ) ( , ) ( ) u v x y u x u y v x v y y x x y y x x y = = − = − − = − + 2 2 2 2 4 4 4 2 2 2 2 Since x = r cos u, y = r sin u ⇒ x2 + y2 = r2 cos2 u + r2 sin2 u = r2 ∴ ∂ ∂ ( , ) ( , ) u v x y r = −4 2 From example 2, we have ∂ ∂ ( , ) ( , ) x y r r u = ∴ ∂ ∂ ( , ) ( , ) u v r r r r u = − ⋅ = − 4 4 2 3 EXAMPLE 5 For the transformation x 5 r sin u cos f, y 5 r sin u sin f, z 5 r cos u, compute the Jacobian of x, y, z with respect to r, u, f. Solution. The Jacobian of transformation is J = ∂ ∂ ( , , ) ( , , ) x y z r u f = ∂ ∂ ∂ ∂ ∂ ∂ ∂ ∂ ∂ ∂ ∂ ∂ ∂ ∂ ∂ ∂ ∂ ∂ x r x x y r y y z r z z u f u f u f Given x = r sin u cos f ∴ ∂ ∂ ∂ ∂ ∂ ∂ x r x r x r = = = − sin cos , cos cos , sin sin u f u u f f u f (x, y, z) (r, θ, φ) r sinθ P r Z Y M X θ φ Fig. 5.3 M05_ENGINEERING_MATHEMATICS-I _CH05_Part A.indd 31 5/12/2016 9:36:15 AM
  • 463.
    5.32 ■ EngineeringMathematics and y r = sin sin u f ∴ ∂ ∂ ∂ ∂ ∂ ∂ ∂ ∂ y r y r y r z r z r = = = = = sin sin , cos sin , sin cos cos cos u f u u f f u f u u u u u f , sin , ∂ ∂ ∂ ∂ z r z = − = 0 ∴ J = − sin cos cos cos sin sin sin sin cos sin sin cos cos u f u f u f u f u f u f r r r r u u u −r sin 0 Expanding using third row, we get J = + + + cos [ cos sin cos cos sin sin ] sin [ sin cos u u u f u u f u u f r r r r 2 2 2 2 2 2 r r r r sin sin ] sin [cos (cos sin ] sin [sin (cos 2 2 2 2 2 2 2 2 2 u f u u f f u u f = + + + + = + = sin )] sin [cos sin ] sin 2 2 2 2 2 f u u u u r r Note This is the transformation of cartesian coordinates to spherical polar coordinates (r, u, f) dx dy dz dr d d r dr d d = = ⋅ J u f u u f 2 sin EXAMPLE 6 In cylindrical polar coordinates x 5 r cos f, y 5 r sin f, z 5 z, show that ∂ ∂ ( ) ( , , ) . x y z z , , r f 5 r Solution. We have ∂ ∂ ∂ ∂ ∂ ∂ ∂ ∂ ∂ ∂ ∂ ∂ ∂ ∂ ∂ ∂ ∂ ∂ ∂ ∂ ( , , ) ( , , ) x y z z x x x z y y y z z z z z r f r f r f r f = Given x x x x z = = = − = r f r f f r f cos cos , sin , ∂ ∂ ∂ ∂ ∂ ∂ 0 and y = r f sin ∴ ∂ ∂ ∂ ∂ ∂ ∂ ∂ ∂ ∂ ∂ ∂ ∂ y y y z z z z z z z r f f r f r f = = = = = = = sin , cos , , , 0 0 0 1 (ρ, φ, z) P z Z Y M X ρ φ (x, y, z) ∴ Fig. 5.4 M05_ENGINEERING_MATHEMATICS-I _CH05_Part A.indd 32 5/12/2016 9:36:35 AM
  • 464.
    Differential Calculus ofSeveral Variables ■ 5.33 ∴ ∂ ∂ ( , , ) ( , , ) cos sin sin cos cos sin ( x y z z r f f r f f r f r f r f r = − = + = 0 0 0 0 1 2 2 c cos sin ) 2 2 f f r + = Note This is the transformation of cartesian coordinate to cylindrical coordinates (r, f, z). dx dy dz d d dz d d dz = = J r f r r f EXAMPLE 7 If u yz x v zx y w xy z 5 5 5 , , , then show that ∂ ∂ ( ) ( ) . u v w x y z , , , , 5 4 Solution. We have, ∂ ∂ ∂ ∂ ∂ ∂ ∂ ∂ ∂ ∂ ∂ ∂ ∂ ∂ ∂ ∂ ∂ ∂ ∂ ∂ ( , , ) ( , , ) u v w x y z u x u y u z v x v y v z w x w y w z = Given u yz x u x yz x u y z x = = − = ∴ ∂ ∂ ∂ ∂ 2 , and ∂ ∂ u z y x = v zx y v x z y v y zx y = = = − ∴ ∂ ∂ ∂ ∂ , 2 and ∂ ∂ v z x y = w xy z w x y z w y x z w z xy z = = = = − ∴ ∂ ∂ ∂ ∂ ∂ ∂ , and 2 ∴ ∂ ∂ ( , , ) ( , , ) u v w x y z yz x z x y x z y zx y x y y z x z xy z x y z yz xz x = − − − = − 2 2 2 2 2 2 1 y y zy zx xy zy xz xy − − [Take from I row from II row and 1 1 1 2 2 2 x y z from III row] M05_ENGINEERING_MATHEMATICS-I _CH05_Part A.indd 33 5/12/2016 9:36:41 AM
  • 465.
    5.34 ■ EngineeringMathematics = − − − x y z x y z 2 2 2 2 2 2 1 1 1 1 1 1 1 1 1 [Take from I column from II yz zx c column and from III column] xy = − + − − − − + + = + + 1 1 1 1 1 1 1 1 1 0 2 ( ) ( ) ( ) 2 2 4 = EXAMPLE 8 If u 5 x 1 y 1 z, uv 5 y 1 z, uvw 5 z, then find ∂ ∂ ( ) ( ) . x y z u v w , , , , Solution. Given u = x + y + z, uv = y + z, uvw = z ∴ u = x + uv ⇒ x = u − uv y = uv − z = uv − uvw and z = uvw Now x = u − uv ∴ ∂ ∂ ∂ ∂ ∂ ∂ x u v x v u x w = − = − = 1 0 , and y = uv − uvw ∴ ∂ ∂ ∂ ∂ ∂ ∂ y u v vw y v u uw y w uv = − = − = − , and and z uvw = ∴ ∂ ∂ ∂ ∂ ∂ ∂ z u vw z v uw z w uv = = = , , and ∴ ∂ ∂ ∂ ∂ ∂ ∂ ∂ ∂ ∂ ∂ ∂ ∂ ∂ ∂ ∂ ∂ ∂ ∂ ∂ ∂ ( , , ) ( , , ) x y z u v w x u x v x w y u y v y w z u z v z w v = = − − 1 u u v vw u uw uv vw uw uv 0 − − − = − − − − − = − − uv v u v vw u uw vw uw uv uv v u v u vw u 1 0 1 1 1 0 0 3 [ ] Taking out from C w w uv v u uv uv u uv uv u v 1 1 2 2 3 2 3 R R R Expanding by C → + = − + = − + = [( ) ] ( ) [ ] EXAMPLE 9 If u x y xy v x y 5 1 2 5 1 2 2 1 1 1 , tan tan find ∂ ∂ ( ) ( ) u, v x, y . Solution. Given u x y xy = + − 1 and v x y = + − − tan tan 1 1 M05_ENGINEERING_MATHEMATICS-I _CH05_Part A.indd 34 5/12/2016 9:36:47 AM
  • 466.
    Differential Calculus ofSeveral Variables ■ 5.35 Now tan tan(tan tan ) tan(tan ) tan(tan ) tan(tan v x y x y = + = + − − − − − − 1 1 1 1 1 1 x x y x y xy u ) tan(tan ) ⋅ = + − = −1 1 ∴ u and v are not independent, That is u and v are functionally dependent. ∴ by property 3, ∂ ∂ ( , ) ( , ) u v x y = 0. 5.3.2 Jacobian of Implicit Functions If y1 , y2 , y3 , … yn are implicitly given as functions of x1 , x2 , …, xn by the functional equations fi (x1 , x2 , … xn , y1 , y2 , y3 , … yn ) = 0 for i = 1, 2, … n, then ∂ … ∂ … ∂ … ∂ … ( , , , ) ( , , , ) ( ) ( , , , ) ( , , , ) f f f x x x f f f y y y 1 2 1 2 1 2 1 2 1 n n n n n = − ⋅ ⋅ ∂ … ∂ … ( , , , ) ( , , , ) y y y x x x 1 2 1 2 n n WORKED EXAMPLES EXAMPLE 10 If F 5 xu 1 v 2 y, G 5 u2 1 vy 1 w, H 5 zu 2 v 1 uw compute ( ) ( ) ( ) ( ) ( ) ( ) 1 2 ∂ ∂ ∂ ∂ F, G, H u, v, w x, y, z u, v, w ( ) ( ) ( ) . 3 ∂ ∂ F, G, H x, y, z Solution. F = xu + v − y, G = u2 + vy + w and H = zu − v + vw These equations implicitly define x, y, z interms of u, v, w. ∴ by the Jacobian of implicit functions, we have ∂ ∂ ∂ ∂ ∂ ∂ ( ) ( , , ) ( ) ( ( , , ) ( , , ) ( , , ) F, G, H F, G, H) u v w x y z x y z u v w = − ⋅ 1 3 ⇒ ∂ ∂ ∂ ∂ ∂ ∂ ( , , ) ( , , ) ( ) ( ) ( , , ) ( ) ( , , ) x y z u v w u v w x y z = − × 1 1 3 F, G, H F, G, H Given F = xu + v − y ∴ ∂ ∂ ∂ ∂ ∂ ∂ ∂ ∂ ∂ ∂ ∂ ∂ F F F and F F F x u y z u x v w = = − = = = = , , , , 1 0 1 0 G = u2 + vy + w ∂ ∂ ∂ ∂ ∂ ∂ ∂ ∂ ∂ ∂ ∂ ∂ G G G and G G G x y v z u u v y w = = = = = = 0 0 2 1 , , , , and H = zu − v + vw ∂ ∂ ∂ ∂ ∂ ∂ ∂ ∂ ∂ ∂ ∂ ∂ H H H and H H H x y z u u z v w w v = = = = = − + = 0 0 1 , , , , M05_ENGINEERING_MATHEMATICS-I _CH05_Part A.indd 35 5/12/2016 9:36:52 AM
  • 467.
    5.36 ■ EngineeringMathematics ∴ ∂ ∂ ( ) ( , , ) F, G, H u v w x u y z w v = − + 1 0 2 1 1 = − − + − − = − + + − x vy w uv z x w vy z uv { ( )} ( ) ( ) 1 1 2 1 2 ∴ ∂ ∂ ∂ ∂ ∂ ∂ ∂ ∂ ∂ ∂ ∂ ∂ ∂ ∂ ∂ ∂ ∂ ∂ ∂ ∂ ( ) ( , , ) F, G, H F F F G G G H H H x y z x y z x y z x y z u = = −1 0 0 0 0 0 0 2 v u u vu u v = = ( ) ∴ ∂ ∂ ( , , ) ( , , ) ( ) [ ( ) ] [ ] x y z u v w x vy w uv z u v x w vy uv z = − + − − + = − − + − 1 1 2 1 2 3 2 u u v 2 EXAMPLE 11 If x 1 y 1 z 2 u 5 0, y 1 z 1 uv 5 0, z 2 uvw 5 0 then find ∂ ∂ ( ) ) . x, y, z (u, v, w Solution. Given x + y +z − u = 0, y + z − uv = 0, z − uvw = 0 These equations implicitly define x, y, z interms of u, v, w Let f1 = x + y + z − u, f2 = y + z − uv and f3 = z − uvw To find ∂ ∂ ( , , ) ( , , ) . x y z u v w By the Jacobian of implicit functions, we have ∂ ∂ ∂ ∂ ∂ ∂ ( , , ) ( , , ) ( ) ( , , ) ( , , ) ( , , ) ( , f f f u v w f f f x y z x y z u v 1 2 3 3 1 2 3 1 = − ⋅ , , ) w ∴ ∂ ∂ ∂ ∂ ∂ ∂ ( , , ) ( , , ) ( ) ( , , ) ( , , ) ( , , ) ( , , x y z u v w f f f u v w f f f x y = −1 3 1 2 3 1 2 3 z z) We have f1 = x + y + z − u ∴ ∂ ∂ ∂ ∂ ∂ ∂ ∂ ∂ ∂ ∂ ∂ ∂ f x f y f z f u f v f w 1 1 1 1 1 1 1 1 1 1 0 0 = = = = − = = , , , , and f2 = y + z − uv ∂ ∂ ∂ ∂ ∂ ∂ ∂ ∂ ∂ ∂ ∂ ∂ f x f y f z f u v f v u f w 2 2 2 2 2 2 0 1 1 0 = = = = − = − = , , , , and and f3 = z − uvw ∴ ∂ ∂ ∂ ∂ ∂ ∂ ∂ ∂ ∂ ∂ ∂ ∂ f x f y f z f u vw f v uw f w uv 3 3 3 3 3 3 0 0 1 = = = = − = − = − , , , , and M05_ENGINEERING_MATHEMATICS-I _CH05_Part A.indd 36 5/12/2016 9:36:58 AM
  • 468.
    Differential Calculus ofSeveral Variables ■ 5.37 ∴ ∂ ∂ ∂ ∂ ∂ ∂ ∂ ∂ ∂ ∂ ∂ ∂ ∂ ∂ ∂ ∂ ∂ ( , , ) ( , , ) f f f x y z f x f y f z f x f y f z f x f 1 2 3 1 1 1 2 2 2 3 3 = ∂ ∂ ∂ ∂ y f z 3 1 1 1 0 1 1 0 0 1 1 = = ∂ ∂ ( , , ) ( , , ) ( )[( )( )] f f f u v w v u vw uw uv u uv u 1 2 3 2 1 0 0 0 1 = − − − − − − = − − − = − v v ∴ ∂ ∂ ( , , ) ( , , ) ( ) ( ) x y z u v w u v u v = − ⋅ − = 1 1 3 2 2 EXERCISE 5.3 1. If x = sin u cos v, y = sin u sin v, then find ∂ ∂ ( , ) ( , ) . x y u v 2. If x = er sec u, y = er tan u, then show that ∂ ∂ ( , ) ( , ) sec x y r e r u u = 2 . Verify ∂ ∂ ∂ ∂ ( , ) ( , ) ( , ) ( , ) x y r r x y u u ⋅ = 1. 3. If x = u(1 + v), y = v (1 + u), then find ∂ ∂ ( , ) ( , ) x y u v and show that ∂ ∂ ∂ ∂ ( , ) ( , ) ( , ) ( , ) . x y u v u v x y ⋅ = 1 4. If x = u + v, y = u − v, then find ∂ ∂ ( , ) ( , ) x y u v and prove that ∂ ∂ ∂ ∂ ( , ) ( , ) ( , ) ( , ) . x y u v u v x y ⋅ = 1 5. If x = e2u cos v, y = e2u sin v, then find ∂ ∂ ( , ) ( , ) x y u v and ∂ ∂ ( , ) ( , ) u v x y . 6. If x = u − v2 , y = u + v2 , then find ∂ ∂ ( , ) ( , ) x y u v . 7. If u = x2 + y2 + z2 , v = x + y + z, w = xy + yz + zx, then show that ∂ ∂ ( , , ) ( , , ) . u v w x y z = 0 Is u, v, w functionally related? If so find the relation between them. 8. If u = y + z, v = x +2z2 , w = x − 4yz − zy2 , then find ∂ ∂ ( , , ) ( , , ) u v w x y z . 9. If u y x v x y x = = + 2 2 2 2 2 , , then find ∂ ∂ ( , ) ( , ) u v x y . 10. If u3 + v3 = x + y, u2 + v2 = x3 + y3 , then prove that ∂ ∂ ( , ) ( , ) ( ) ( ) . u v x y y x uv u v = − − 1 2 2 2 11. If x = v2 + w2 , y = w2 + u2 , z = u2 + v2 , then prove that ∂ ∂ ( , , ) ( , , ) x y z u v w = 0. M05_ENGINEERING_MATHEMATICS-I _CH05_Part A.indd 37 5/12/2016 9:37:08 AM
  • 469.
    5.38 ■ EngineeringMathematics 12. If u = x + y + z, v = xy + yz + zx, w = x3 + y3 +z3 − 3xyz, then prove that ∂ ∂ ( , , ) ( , , ) u v w x y z = 0. 13. If u x v x y w x y zy = = = + + 1 2 2 , , , then find ∂ ∂ ( , , ) ( , , ) u v w x y z . Hence, find ∂ ∂ ( , , ) ( , , ) x y z u v w . 14. If u = x(1 − y), v = xy(1 − z), w = xyz, then prove that ∂ ∂ ( , , ) ( , , ) u v w x y z x y = 2 . 15. If x = a(u + v), y = b(u − v) and u = r2 cos 2u, v = r2 sin 2u, then find ∂ ∂ ( , ) ( , ) x y r u . 16. If u = x + y, v y x y = + , then find ∂ ∂ ( ) ( ) u,v x, y . 17. If x = uv, y u v u v = + − , then find ∂ ∂ ( ) ( ) u,v x, y . 18. If u = xyz, v = x2 + y2 + z2 , w = x + y + z, then find ∂ ∂ ( ) ( ) . x, y, z u,v,w 19. If u = x2 − 2y, v = x + y + z, w = x − 2y + 3z, then find ∂ ∂ ( ) ( ) u,v,w x, y, z ANSWERS TO EXERCISE 5.3 1. sin u cos u 2. e2r sec u 3. 1 + u + v 4. −2 5. 2e4u , 4v 6. 4v 7. v2 = u + 2w 8. y y x ( ) 2 2 2 2 − 9. y x 2 10. y x uv u v 2 2 2 − − ( ) 13. 1 15. 8ab r3 16. 1 u 17. ( ) u v uv − 2 4 18. 1 2( )( )( ) x y y z z x − − − 19. 10 4 x + 5.4 TAYLOR’S SERIES EXPANSION FOR FUNCTION OF TWO VARIABLES The Taylor’s series expansion of a single variable function f(x) in a neighbourhood of a point a is f a h f a h f a h f a ( ) ( ) ! ( ) ! ( ) + = + ′ + ′′ + 1 2 2 … which is an infinite power series in h. Maclaurin’s series is f x f xf x f ( ) ( ) ( ) ! ( ) = + ′ + ′′ + 0 0 2 0 2 … These ideas are extended to a function f(x, y) of two independent variables x, y. We state the theorem. Theorem 5.3 Taylor’s theorem Let f(x, y) be a function of two independent variables x, y defined in a region R of the xy-plane and let (a, b) be a point in R. Suppose f(x, y) has all its partial derivatives in a neighbourhood of (a, b), then M05_ENGINEERING_MATHEMATICS-I _CH05_Part A.indd 38 5/12/2016 9:37:17 AM
  • 470.
    Differential Calculus ofSeveral Variables ■ 5.39 f a h b k f a b h x k y f a b h x k y ( , ) ( , ) ( , ) ! + + = + + ⎛ ⎝ ⎜ ⎞ ⎠ ⎟ + + ⎛ ⎝ ⎜ ⎞ ⎠ ⎟ ∂ ∂ ∂ ∂ ∂ ∂ ∂ ∂ 1 2 2 2 3 1 3 f a b h x k y f a b ( , ) ! ( , ) + + ⎛ ⎝ ⎜ ⎞ ⎠ ⎟ + ∂ ∂ ∂ ∂ … i.e., x y xx f a h b k f a b h f a b k f a b h f ( , ) ( , ) ( , ) ( , ) ! [ ( + + = + + ⎡ ⎣ ⎤ ⎦ + 1 2 2 a a b hk f a b k f a b h f a b h k f a b , ) ( , ) ( , )] ! [ ( , ) ( , + + + + 2 1 3 3 2 3 2 xy yy xxx xxy ) ) ( , ) ( , )] + + + 3 2 3 hk f a b k f a b xyy yyy … Modified forms 1. Put x = a + h, y = b + k, then h = x − a, k = y − b ∴ the Taylor’s series can be written as f x y f a b x a f a b y b f a b x a f a ( , ) ( , ) {( ) ( , ) ( ) ( , )} ! {( ) ( , = + − + − + − x y xx 1 2 2 b b x a y b f a b y b f a b ) ( )( ) ( , ) ( ) ( , )} + − − + − + 2 2 xy yy … (1) This series is known as the Taylor’s series expansion of f(x, y) in the neighbourhood of (a, b) or about the point (a, b). 2. Putting a = 0, b = 0, we get the expansion of f(x, y) in the neighbourhood of (0, 0) f x y f xf yf x f xy f ( , ) ( , ) [ ( , ) ( , )] ! [ ( , ) ( , = + + + + 0 0 0 0 0 0 1 2 0 0 2 0 2 x y xx xy 0 0 0 0 2 ) ( , )] + + y f yy … This is called Maclaurin’s series for f(x, y) in powers of x and y. Note Taylor’s formula gives polynomial approximation to a function of two variables about a given point. WORKED EXAMPLES EXAMPLE 1 Expand tan21 y x about (1, 1) upto the second degree terms. Solution. We know the expansion of f(x, y) about the point (a, b) as Taylor’s series is f x y f a b x a f a b y b f a b x a f a ( , ) ( , ) [( ) ( , ) ( ) ( , )] ! [( ) ( , = + − + − + − x y xx 1 2 2 b b x a y b f a b y b f a b ) ( )( ) ( , ) ( ) ( , )] + − − + − + 2 2 xy yy … Here (a, b) 5 (1, 1) ∴ f x y f x f y f x f ( , ) ( , ) [( ) ( , ) ( ) ( , )] ! [( ) ( , = + − + − + − 1 1 1 1 1 1 1 1 1 2 1 1 2 x y xx 1 1 2 1 1 1 1 1 1 1 2 ) ( )( ) ( , ) ( ) ( , )] + − − + − + x y f y f xy yy … M05_ENGINEERING_MATHEMATICS-I _CH05_Part A.indd 39 5/12/2016 9:37:27 AM
  • 471.
    5.40 ■ EngineeringMathematics Given f x y y x f ( , ) tan , ( , ) tan = = = − − 1 1 1 1 1 4 p ∴ f y x y x y x y f f y x x x x y = + − ⎛ ⎝ ⎜ ⎞ ⎠ ⎟ = − + = − + = − = + ⋅ 1 1 1 1 1 1 1 1 2 1 1 1 2 2 2 2 2 2 2 ( , ) = = + = + = x x y f 2 2 1 1 1 1 1 1 2 y ( , ) f x y y x x y xy x y f xx xx = − + ⋅ − ⋅ + ⎧ ⎨ ⎩ ⎫ ⎬ ⎭ = + = ⋅ ⋅ ( ) ( ) ( ) ( , ) 2 2 2 2 2 2 2 2 0 2 2 1 1 2 1 1 1 1 1 1 2 2 ( ) + = f y y x y f x y y xy xy = − + ⎛ ⎝ ⎜ ⎞ ⎠ ⎟ = − + = = ( + − − − ∂ ∂ 2 2 2 2 2 1 1 1 1 1 1 0 1 , ( , ) ( ) )( ) ( )2 2 2 2 2 2 2 2 2 2 y x y y x x y ( ) ( ) + = − + f y x x y f x y x y x y yy yy = + ⎛ ⎝ ⎜ ⎞ ⎠ ⎟ = − = − = ( + ⋅ − ⋅ + ∂ ∂ 2 2 2 2 2 2 2 1 1 2 2 1 2 0 2 , ( , ) ) ( ) ) ( ) 2 2 2 2 2 = − + xy x y ∴ f x y x y x x ( , ) ( ) ( ) ( ) ( )( = + − − ⎛ ⎝ ⎜ ⎞ ⎠ ⎟ + − ⋅ ⎡ ⎣ ⎢ ⎤ ⎦ ⎥ + − ⋅ + − p 4 1 1 2 1 1 2 1 2 1 1 2 1 2 y y y − ⋅ + − − ⎛ ⎝ ⎜ ⎞ ⎠ ⎟ ⎡ ⎣ ⎢ ⎤ ⎦ ⎥ + 1 0 1 1 2 2 ) ( ) … ⇒ tan ( ) ( ) ( ) ( ) − = − − + − + − − − 1 2 2 4 1 2 1 1 2 1 1 4 1 1 4 1 y x x y x y p EXAMPLE 2 Expand ex cos y near the point 1 4 , p ⎛ ⎝ ⎜ ⎞ ⎠ ⎟ by Taylor’s series as far as quadratic terms. Solution. We know Taylor’s series about the point (a, b) is f x y f a b x a f a b y b f a b x a f a ( , ) ( , ) [( ) ( , ) ( ) ( , )] ! [( ) ( , = + − + − + − x y xx 1 2 2 b b x a y b f a b y b f a b ) ( )( ) ( , ) ( ) ( , )] + − − + − + 2 2 xy yy … Here (a, b) 5 1 4 , p ⎛ ⎝ ⎜ ⎞ ⎠ ⎟ M05_ENGINEERING_MATHEMATICS-I _CH05_Part A.indd 40 5/12/2016 9:37:37 AM
  • 472.
    Differential Calculus ofSeveral Variables ■ 5.41 ∴ f x y f x f y f ( , ) , ( ) , , = ⎛ ⎝ ⎜ ⎞ ⎠ ⎟ + − ⎛ ⎝ ⎜ ⎞ ⎠ ⎟ + − ⎛ ⎝ ⎜ ⎞ ⎠ ⎟ ⎛ ⎝ ⎜ ⎞ ⎠ 1 4 1 1 4 4 1 4 p p p p x y ⎟ ⎟ ⎡ ⎣ ⎢ ⎤ ⎦ ⎥ + − ⎛ ⎝ ⎜ ⎞ ⎠ ⎟ + − − ⎛ ⎝ ⎜ ⎞ ⎠ ⎟ ⎛ ⎝ ⎜ ⎞ 1 2 1 1 4 2 1 4 1 4 2 ( ) , ( ) , x f x y f xx xy p p p ⎠ ⎠ ⎟ ⎡ ⎣ ⎢ + − ⎛ ⎝ ⎜ ⎞ ⎠ ⎟ ⎛ ⎝ ⎜ ⎞ ⎠ ⎟ ⎤ ⎦ ⎥ + y f p p 4 1 4 2 yy , … Given f x y e y f e e f e y f ( , ) cos , , cos cos , , = ⎛ ⎝ ⎜ ⎞ ⎠ ⎟ = ⋅ = = ⋅ ⎛ ⎝ ⎜ ⎞ ⎠ x x x x 1 4 4 2 1 4 p p p ⎟ ⎟ = ⋅ = = − ⎛ ⎝ ⎜ ⎞ ⎠ ⎟ = − ⋅ = − = e e f e y f e e f e cos , sin , , sin co p p p 4 2 1 4 4 2 y x y xx x s s , , cos , cos , y f e e f e y f e xx yy x xy 1 4 4 2 1 4 p p p ⎛ ⎝ ⎜ ⎞ ⎠ ⎟ = ⋅ = = − ⋅ ⎛ ⎝ ⎜ ⎞ ⎠ ⎟ = − ⋅s sin sin , , cos p p p 4 2 1 4 4 2 = − = − ⎛ ⎝ ⎜ ⎞ ⎠ ⎟ = − ⋅ = − e f e y f e e xy x yy ∴ e y e x e y e x e x y x cos ( ) ( ) ( ) = + − + − ⎛ ⎝ ⎜ ⎞ ⎠ ⎟ − ⎛ ⎝ ⎜ ⎞ ⎠ ⎟ + − ⋅ + − − 2 1 2 4 2 1 2 1 2 2 1 2 p p p p 4 2 4 2 2 1 1 2 ⎛ ⎝ ⎜ ⎞ ⎠ ⎟ − ⎛ ⎝ ⎜ ⎞ ⎠ ⎟ + − ⎛ ⎝ ⎜ ⎞ ⎠ ⎟ − ⎛ ⎝ ⎜ ⎞ ⎠ ⎟ ⎡ ⎣ ⎢ ⎤ ⎦ ⎥ + = + − − e y e e x … ( ) y y x x y y − ⎛ ⎝ ⎜ ⎞ ⎠ ⎟ + − − − − ⎛ ⎝ ⎜ ⎞ ⎠ ⎟ − − ⎛ ⎝ ⎜ ⎞ ⎠ ⎟ ⎡ ⎣ ⎢ ⎤ ⎦ ⎥ p p p 4 1 2 1 1 4 1 2 4 2 2 ( ) ( ) EXAMPLE 3 Expand ex loge (1 1 y) in powers of x and y upto terms of third degree. Solution. Required the expansion in powers of x and y and so Maclaurin’s series is to be used. We know f x y f x f y f x f xy f ( , ) ( , ) [ ( , ) ( , )] [ ( , ) ( , = + + + + 0 0 0 0 0 0 1 2 0 0 2 0 0 2 x y xx xy ) ) ( , )] + y f 2 0 0 yy + + + + + 1 3 0 0 3 0 0 3 0 0 0 0 3 2 2 3 ! [ ( , ) ( , ) ( , ) ( , )] x f x y f xy f y f xxx xxy xyy xyy … … Here (a,b) 5 (0, 0) Given f(x, y) = ex log (1 + y), f(0, 0) = e0 log (1 + 0) = 0, M05_ENGINEERING_MATHEMATICS-I _CH05_Part A.indd 41 5/12/2016 9:37:41 AM
  • 473.
    5.42 ■ EngineeringMathematics ∴ f e y f e y f e y f e y f e x x x x x y xx xy yy = + = ⋅ + = + = ⋅ + = − log( ), , log( ), , 1 1 1 1 1 1 x x x x x y f e y f e y f e y f ( ) , log ( ), , ( ) , 1 1 1 1 1 2 2 + = + = ⋅ + = − + = xxx xxy xyy yyy 2 2 1 3 e y x ( ) , + fx (0, 0) = 0 fy (0, 0) = 1 fxx (0, 0) = 0 fxy (0, 0) = 1, fyy (0, 0) = −1 fxxx (0, 0) = 0 fxxy (0, 0) = 1, fxyy (0, 0) = −1, fyyy (0, 0) = 2 ∴ f x y x y x xy y x x y xy ( , ) [ ( )] [ = + ⋅ + ⋅ + ⋅ + ⋅ + ⋅ − + ⋅ + ⋅ + 0 0 1 1 2 0 2 1 1 1 6 0 3 1 3 2 2 3 2 2 2 3 1 2 ( ) ] − + ⋅ y ⇒ e y y xy y x y xy y x log( ) 1 1 2 1 2 1 2 1 3 2 2 2 3 + = + − + − + EXAMPLE 4 Expand x2 y 1 3y 2 2 in powers of x 2 1 and y 1 2 using Taylor’s theorem. Solution. We know f x y f a b x a f a b y b f a b x a f a ( , ) ( , ) [( ) ( , ) ( ) ( , )] ! [( ) ( , = + − + − + − x y xx 1 2 2 b b x a y b f a b y b f a b x a f a b ) ( )( ) ( , ) ( ) ( , )] ! [( ) ( , + − − + − + − 2 1 3 2 3 xy yy xxx ) ) ( ) ( ) ( , ) ( )( ) ( , ) ( ) ( + − − + − − + − 3 3 2 2 3 x a y b f a b x a y b f a b y b f xxy xyy yyy a a b , )]+… Here (a, b) 5 (1, 22) Given f(x, y) = x2 y + 3y − 2, f(1, −2) = −2 − 6 − 2 = −10 ∴ f xy f f x f f y f x x y y xx x = − = ⋅ ⋅ − = − = + − = + = = 2 1 2 2 1 2 4 3 1 2 1 3 4 2 2 , ( , ) ( ) , ( , ) , x x ( , ) ( ) 1 2 2 2 4 − = − = − M05_ENGINEERING_MATHEMATICS-I _CH05_Part A.indd 42 5/12/2016 9:37:45 AM
  • 474.
    Differential Calculus ofSeveral Variables ■ 5.43 yy yy xy xy x , ( , ) , ( , ) 0 1 2 0 2 1 2 2 1 2 = − = = − = ⋅ = f f f x f f x xx xxx = − = 0 1 2 0 , ( , ) f f f f f f f xxy xxy xyy xyy yyy yyy = − = = − = = − = 2 1 2 2 0 1 2 0 0 1 2 0 ( , ) ( , ) ( , ) ∴ x y y x y x x y 2 2 3 2 10 1 4 2 4 1 2 1 4 2 1 2 + − = − + − − + + ⋅ + − − + − + [( )( ) ( ) ] [( ) ( ) ( )( )⋅ ⋅ + + ⋅ + − ⋅ + − + ⋅ + − + ⋅ + 2 2 0 1 6 1 0 3 1 2 2 3 1 2 0 0 2 3 2 2 ( ) ] [( ) ( ) ( ) ( )( ) ] y x x y x y + + = − − − + + − − + − + + − + … 10 4 1 4 2 2 1 2 1 2 1 2 2 2 ( ) ( ) ( ) ( )( ) ( ) ( ) x y x x y x y Note Since the given function is 3rd degree in x, y, the expansion terminates with 3rd degree terms. EXAMPLE 5 If f(x, y) 5 tan21 (xy) compute an approximate value of f(0.9, 21.2). Solution. We shall use Taylor’s series to find the approximate value. The point (0.9, −1.2) is close to the point (1, −1). So, we shall find the Taylor’s series about (1, −1). f x y f x f y f x f ( , ) ( , ) [( ) ( , ) ( ) ( , )] ! [( ) = − + − − + + − + − 1 1 1 1 1 1 1 1 1 2 1 2 x y xx ( ( , ) ( )( ) ( , ) ( ) ( , )] 1 1 2 1 1 1 1 1 1 1 2 − + − + − + + − + x y f y f xy yy … Here (a, b) 5 (1, 21) Given f x y xy f f x y y f ( , ) tan , ( , ) tan ( ) , ( , ) = − = − = − = + ⋅ − = − − 1 1 2 2 1 1 1 4 1 1 1 1 p x x − − = + ⋅ − = = + ⋅ − ⋅ + 1 2 1 1 1 1 1 2 1 0 2 1 2 2 2 2 2 2 2 2 f x y x f f x y xy y x y y y xx , ( , ) ( ) ( ) = = − + − = − = − 2 1 1 1 2 4 1 2 3 2 2 2 xy x y f ( ) ( , ) xx f y y x y f x y y x y x y xy xy = + ⎛ ⎝ ⎜ ⎞ ⎠ ⎟ − = = + ⋅ − ⋅ + ∂ ∂ 1 1 1 0 1 1 2 1 2 2 2 2 2 2 2 2 ( , ) ( ) ( ) = = − + 1 1 2 2 2 2 2 x y x y ( ) M05_ENGINEERING_MATHEMATICS-I _CH05_Part A.indd 43 5/12/2016 9:37:48 AM
  • 475.
    5.44 ■ EngineeringMathematics f x y x x y x y x y x y f yy yy = + ⋅ − ⋅ + = − + − = = ( ) ( ) ( ) ( , ) 1 0 2 1 2 1 1 1 2 4 2 2 2 2 2 2 3 2 2 2 1 1 2 ∴ tan ( ) ( ) ( ) ( ) − = − + − − ⎛ ⎝ ⎜ ⎞ ⎠ ⎟ + + + − ⋅ + + + ⋅ 1 2 2 4 1 1 2 1 1 2 1 2 1 1 2 0 1 1 2 xy x y x y p ⎡ ⎡ ⎣ ⎢ ⎤ ⎦ ⎥ f x y xy x y x y ( , ) tan [ ( ) ( )] [( ) ( ) ] = = − + − − + + + − + + −1 2 2 4 1 2 1 1 1 4 1 1 p Put x 5 0.9, y 5 21.2 ∴ f ( . , . ) ( . . ) ( . . ) 0 9 1 2 4 1 2 0 1 0 2 1 4 0 01 0 04 − = − + − + + p = − − + = − − + = − p 4 0 1 2 0 05 4 0 7854 0 05 0 0125 0 8229 . . . . . . Note We have approximated tan−1 xy by a second degree polynomial in x and y. Using this polynomial we have found the approximate value of f(0.9, −1.2) = −0.8229 But by direct computation f(0.9, −1.2) = tan−1 (−1.08) = tan−1 1.08 = −0.8238 correct upto 4 decimal places. The error is only 0.0009, which is negligible. EXERCISE 5.4 1. Using Taylor’s series, verify that log ( ) ( ) ( ) 1 2 3 2 3 + + = + − + + + − x y x y x y x y … 2. Using Taylor’s series, verify that tan ( ) ( ) ( ) − + = + − + + + − 1 3 5 3 5 x y x y x y x y … 3. Expand 1 1+ − x y by Taylor’s series upto second degree terms. 4. Find the Taylor’s series expansion of sin x sin y as a polynomial in x and y upto second degree. 5. Expand ex sin y about the point − ⎛ ⎝ ⎜ ⎞ ⎠ ⎟ 1 4 , p upto third degree terms using Taylor’s series. 6. Expand sin (xy) in powers of (x − 1) and y − ⎛ ⎝ ⎜ ⎞ ⎠ ⎟ p 2 upto the second degree terms. 7. Expand ex cos y in powers of x and y at (0, 0) upto third degree term, by Taylor’s theorem. 8. Expand exy in powers of (x − 1) and (y − 1) upto third degree terms, by Taylor’s series. ANSWERS TO EXERCISE 5.4 3. 1 − x + y + x2 − 2xy + y2 4. xy 5. 1 2 1 1 4 1 2 1 1 4 1 2 4 2 e x y x x y y + + + − ⎛ ⎝ ⎜ ⎞ ⎠ ⎟ ⎡ ⎣ ⎢ + + + + − ⎛ ⎝ ⎜ ⎞ ⎠ ⎟ − − ⎛ ⎝ ( ) ( ) ( ) p p p ⎜ ⎜ ⎞ ⎠ ⎟ 2 + + + − − ⎛ ⎝ ⎜ ⎞ ⎠ ⎟ − + − ⎛ ⎝ ⎜ ⎞ ⎠ ⎟ − − ⎛ ⎝ ⎜ ⎞ 1 6 1 1 2 1 4 1 2 1 4 1 6 4 3 2 2 ( ) ( ) ( ) x x y x y y p p p ⎠ ⎠ ⎟ 3 M05_ENGINEERING_MATHEMATICS-I _CH05_Part A.indd 44 5/12/2016 9:37:54 AM
  • 476.
    Differential Calculus ofSeveral Variables ■ 5.45 6. 1 8 1 2 1 2 1 2 2 2 2 2 − − − − − ⎛ ⎝ ⎜ ⎞ ⎠ ⎟ − − ⎛ ⎝ ⎜ ⎞ ⎠ ⎟ p p p p ( ) ( ) x x y y 7. 1 1 2 1 6 3 2 2 3 2 + + − + − + x x y x xy ( ) ( ) … 8. e x y x x y y x { ( ) ( ) [( ) ( )( ) ( ) ] [( ) ( 1 1 1 1 2 1 4 1 1 1 1 6 1 9 2 2 3 + − + − + − + − − + − + − + x x y x y y − − + − − + − + 1 1 9 1 1 1 2 2 3 ) ( ) ( )( ) ( ) ] } … 5.5 MAXIMA AND MINIMA FOR FUNCTIONS OF TWO VARIABLES You have learned maxima and minima of a function f(x) of a single variable in x. We shall extend these ideas to a function f(x, y) of two variables in x and y. We shall derive the conditions of maxima and minima as an application of quadratic form. Definition 5.9 Let f(x, y) be a continuous function defined in a closed and bounded domain D of the xy-plane and let (a, b) be an interior point of D. (i) f(a, b) is said to be a local maximum or relative maximum value of f(x, y) at the point (a, b), if there exists a neighbourhood N of (a, b) such that f(x, y) f(a, b) for all points (x, y) in N, other than the point (a, b). And, (ii) f(a, b) is said to be a local minimum or relative minimum if f(x, y) f(a, b) for all points (x, y) in N, other than the point (a, b) Note (1) A common name for relative maximum or relative minimum is extreme value. A relative maximum or relative minimum is simply referred to as maximum or minimum. (2) In contrast, the greatest value of f(x, y) over the entire domain including the boundary is called the global maximum or the absolute maximum value of f(x, y) on D and smallest value of f(x, y) over the entire domain D is called the global minimum or absolute minimum. Fig. 5.5 Fig. 5.6 (a, b) (x, y) Z X Y Maximum z = f(x, y) (a, b) (x, y) Z X Y Minimum z = f(x, y) M05_ENGINEERING_MATHEMATICS-I _CH05_Part A.indd 45 5/12/2016 9:37:58 AM
  • 477.
    5.46 ■ EngineeringMathematics Definition 5.10 Stationary point of f(x, y) A point (a, b) satisfying fx = 0 and fy = 0 is called a stationary point of f(x, y). 5.5.1 Necessary Conditions for Maximum or Minimum If f(a, b) is an extreme value of f(x, y) at (a, b), then (a, b) is a stationary point of f(x, y) if fx and fy exist at (a, b) and fx (a, b) = 0, fy (a, b) = 0 Note (1) But the converse is not true i.e., if (a, b) is a stationary point of f(x, y), then (a, b) need not be an extreme point. For example, consider the function f(x, y) defined by f x y ( , ) = ⎧ ⎨ ⎩ 0 if 0 or 0 1, otherwise x y = = then fx (0, 0) = 0, fy (0, 0) = 0. But f(0, 0) is not an extreme value. i.e., (0, 0) is not an extreme point. Some more conditions are needed to ensure the extreme value. They are the sufficient conditions. (2) The graph of the function f(x, y) is the surface z = f(x, y). Corresponding to the point (a, b) in D, P (a, b, z1 ), where z1 = f(a, b), is a point on the surface. If (a, b) is stationary point of the function f(x, y), then P (a, b, z1 ) is a stationary point on the surface. If the tangent plane exists at the stationary point on the surface, then it will be parallel to the xy-plane z = 0, f(a, b) is called a stationary value of f(x, y). (3) Stationary points on a surface are usually classified into three categories: maxima, minima and saddle points. If the surface is regarded as a mountain landscape we can visualise these categories as mountain tops, bottoms of valleys and mountain passe (saddle is the seat for a rider on horse back). 5.5.2 Sufficient Conditions for Extreme Values of f(x, y). Let (a, b) be a stationary point of the differentiable function f(x, y). i.e., fx (a, b) = 0, fy (a, b) = 0. Let fxx (a, b) = r, fxy (a, b) = s, fyy (a, b) = t. (i) If rt − s2 0 and r 0, then f(a, b) is a maximum value. (ii) If rt − s2 0 and r 0, then f(a, b) is a minimum value. (iii) If rt − s2 0, then f(a, b) is not an extreme value, but (a, b) is a saddle point of f(x, y). (iv) If rt − s2 = 0 then no conclusion is possible and further investigation is required. 5.5.3 Working Rule to find Maxima and Minima of f(x, y) Step 1: Find f f x f f y x y = = ∂ ∂ ∂ ∂ , and solve fx = 0, fy = 0 as simultaneous equations in x and y. Let (a, b), (a1 , b1 ),… be the solutions, which are stationary points of f(x, y). D (a, b) Z X Y P (a, b, z1 ) Fig. 5.7 M05_ENGINEERING_MATHEMATICS-I _CH05_Part B.indd 46 5/12/2016 9:40:42 AM
  • 478.
    Differential Calculus ofSeveral Variables ■ 5.47 Step 2: Find r f f x s f f x y t f f y = = = = = = xx xy yy ∂ ∂ ∂ ∂ ∂ ∂ ∂ 2 2 2 2 2 , , . Step 3: Evaluate r, s, t at each stationary point. At the stationary point (a, b) (i) If rt − s2 0 and r 0, then f(a, b) is a maximum value of f(x, y). (ii) If rt − s2 0 and r 0, then f(a, b) is a minimum value of f(x, y). (iii) If rt − s2 0, then (a, b) is a saddle point. (iv) If rt − s2 = 0, no conclusion can be made; further investigation is required. Note (i) Instead of r, s, t, we can also use the symbols A, B, C respectively. (ii) The expression rt − s2 enables us to discriminate the stationary points and so it is called the discriminant of the function f(x, y). Definition 5.11 Critical Point A point (a, b) is a critical point of f(x, y) if fx = 0 and fy = 0 at (a, b) or fx and fy do not exist at (a, b). Maxima or minima occur at a critical point. Note Generally, in this book we deal with differentiable functions f(x, y). So, critical points are all stationary points. WORKED EXAMPLES EXAMPLE 1 Examine f(x, y) 5 x3 1 y3 2 12x 2 3y 1 20 for its extreme values. Solution. Given f(x, y) = x3 + y3 − 12x − 3y + 20 ∴ f x f y r f x s f t f y x y xx xy yy and = − = − = = = = = = 3 12 3 3 6 0 6 2 2 , , To find the stationary points, solve fx = 0 and fy = 0 ∴ 3 12 0 4 2 2 2 x x x − = ⇒ = ⇒ = ± and 3y2 − 3 = 0 ⇒ y2 = 1 ⇒ y = ±1 The points are (2, 1) (2, −1), (−2, 1), (−2, −1) At the point (2, 1) r = 6 ⋅ 2 = 12 0, s = 0 and t = 6 ⋅ 1 = 6 ∴ rt − s2 = 12 × 6 = 72 0 and r 0 ∴ (2, 1) is a minimum point. Minimum value = f(2, 1) = 23 + 1 − 12 × 2 − 3 ⋅ 1 + 20 = 8 + 1 − 24 − 3 + 20 = 2 M05_ENGINEERING_MATHEMATICS-I _CH05_Part B.indd 47 5/12/2016 9:40:43 AM
  • 479.
    5.48 ■ EngineeringMathematics At the point (22, 1) r = 6 × (−2) = −12 0, s = 0 and t = 6 ⋅ 1 = 6 ∴ rt − s2 = −12 × 6 − 0 = −72 0 ∴ (−2, 1) is a saddle point. At the point (2, 21) r = 6 ⋅ 2 = 12 0, s = 0 and t = 6(−1) = −6 ∴ rt − s2 = 12(−6) − 0 = −72 0 ∴ (2, −1) is a saddle point. At the point (22, 21) r = 6(−2) = −12 0, s = 0, and t = 6(−1) = −6 ∴ rt − s2 = (−12)(−6) − 0 = 72 0 and r 0 ∴ (−2, −1) is a maximum point. Maximum value = f(−2, −1) = (−2)3 + (−1)3 − 12(−2) − 3(−1) + 20 = −8 − 1 + 24 + 3 + 20 = 38 EXAMPLE 2 Discuss the maxima and minima of f(x, y) 5 x3 y2 (1 2 x 2 y). Solution. Given f(x, y) = x3 y2 (1 − x − y) = − − x y x y x y 3 2 4 2 3 3 ∴ f x y x y x y f x y x y x y x y = − − = − − 3 4 3 2 2 3 2 2 3 2 2 3 3 4 3 2 , r f xy x y xy s f x y x y x y t f x x = = − − = = − − = = − − xx xy yy 6 12 6 6 8 9 2 2 2 2 2 3 2 3 2 2 3 4 , 6 6 3 x y To find the stationary points, solve fx = 0 and fy = 0 ∴ 3x2 y2 − 4x3 y2 − 3x2 y3 = 0 ⇒ x y x y 2 2 (3 4 3 − − = ) 0 (1) ⇒ x y x y = = − − = 0 0 3 4 3 0 , or and 2 2 3 0 3 4 3 2 x y x y x y − − = ⇒ x y x y 3 2 2 3 0 [ ] − − = (2) ∴ x y x y = = − − = 0 0 2 2 3 0 , or We find that (0, 0) satisfies the equations (1) and (2) Solving 3 4 3 0 4 3 3 − − = ⇒ + = x y x y (3) and 2 2 3 0 2 3 2 − − = ⇒ + = x y x y (4) (3) − (4) ⇒ 2x = 1 ⇒ x = 1 2 When x y y = ⇒ + = ⇒ = 1 2 4 2 1 2 3 2 1 3 , ( ) . When x = 0, (3) ⇒ y = 1 and (4) ⇒ 2.0 + 3y = 2 ⇒ y = 2 3 M05_ENGINEERING_MATHEMATICS-I _CH05_Part B.indd 48 5/12/2016 9:40:46 AM
  • 480.
    Differential Calculus ofSeveral Variables ■ 5.49 When y = 0, (3) ⇒ x = 3 4 and (4) ⇒ x = 1 ∴ the stationary points are ( , ), , , , , ( , ), , , ( , ) 0 0 1 2 1 3 0 2 3 0 1 3 4 0 1 0 ⎛ ⎝ ⎜ ⎞ ⎠ ⎟ ⎛ ⎝ ⎜ ⎞ ⎠ ⎟ ⎛ ⎝ ⎜ ⎞ ⎠ ⎟ At the points (0, 0), 0 2 3 0 1 3 4 0 1 0 , , ( , ), , ( , ) ⎛ ⎝ ⎜ ⎞ ⎠ ⎟ ⎛ ⎝ ⎜ ⎞ ⎠ ⎟ and r = 0, s = 0, t = 0 ∴ rt − s2 = 0 ∴ we cannot say maximum or minimum. Further investigation is required. At the point 1 2 1 3 , ⎛ ⎝ ⎜ ⎞ ⎠ ⎟ r s = ⋅ ⎛ ⎝ ⎜ ⎞ ⎠ ⎟ − ⋅ ⋅ − ⋅ ⋅ = − − = − = ⋅ ⋅ − 6 1 2 1 3 12 1 4 1 9 6 1 2 1 27 1 3 1 3 1 9 1 9 0 6 1 4 1 3 2 8 8 1 8 1 3 9 1 4 1 9 1 2 1 3 1 4 1 12 ⋅ ⋅ − ⋅ ⋅ = − − = − t = ⋅ − ⋅ − ⋅ ⋅ = − − = − 2 1 8 2 1 16 6 1 8 1 3 2 8 1 8 2 8 1 8 ∴ rt s − = − ⎛ ⎝ ⎜ ⎞ ⎠ ⎟ − ⎛ ⎝ ⎜ ⎞ ⎠ ⎟ − − ⎛ ⎝ ⎜ ⎞ ⎠ ⎟ = − = 2 2 1 9 1 8 1 12 1 72 1 144 1 144 0 ∴ rt − s2 0 and r 0 ∴ the point 1 2 1 3 , ⎛ ⎝ ⎜ ⎞ ⎠ ⎟ is a maximum point. The maximum value = ⋅ − − ⎛ ⎝ ⎜ ⎞ ⎠ ⎟ = ⋅ = 1 8 1 9 1 1 2 1 3 1 72 1 6 1 432 EXAMPLE 3 Find the maximum and minimum values of sin x sin y sin (x 1 y), 0 x, y p. Solution. Given f(x, y) = sin x sin y sin (x 1 y) ∴ f y x x y x y x y x x y y x = + + + = + + = sin [sin cos( ) sin( )cos ] sin sin( ) sin sin(2 2x y + ) f x y x y x y y x x y r f y y xx = + + + = + = = sin [sin cos( ) sin( )cos ] sin sin( ) sin 2 c cos( ) sin cos( ) 2 2 2 2 x y y x y + ⋅ = + ⇒ s f y x y x y y x y y = = + + + = + + xy sin cos( ) sin( )(cos ) sin( ) 2 2 2 ⇒ s x y t f x x y = + = = + sin( ) sin cos( ) 2 2 2 2 yy M05_ENGINEERING_MATHEMATICS-I _CH05_Part B.indd 49 5/12/2016 9:40:49 AM
  • 481.
    5.50 ■ EngineeringMathematics To find the stationary points, solve fx = 0 and fy = 0 ∴ sin sin( ) y x y 2 0 + = (1) and sin sin( ) x x y + = 0 (2) Since x, y ≠ 0 and sin x ≠ 0, sin y ≠ 0 ∴ (1) ⇒ sin (2x + y) = 0 and (2) ⇒ sin (x + 2y) = 0 Since 0 x, y p, 0 2x 2p and 0 y p Adding 0 2x + y 3p Similarly, 0 x + 2y 3p ∴ sin (2x + y) = 0 ⇒ 2x + y = p or 2p and sin (x + 2y) = 0 ⇒ x + 2y = p or 2p If 2x + y = p and x + 2y = p, then x − y = 0 ⇒ x = y ∴ 3 3 3 x x y = ⇒ = ∴ = p p p ∴ one point is p p 3 3 , ⎛ ⎝ ⎜ ⎞ ⎠ ⎟ If 2x + y = p and x + 2y = 2p, then x − y = −p ⇒ x = y −p, ∴ ) 2 3 3 (y y y y − + = ⇒ = ⇒ = p p p p which is not admissible since y p Similarly, 2x + y = 2p and x + 2y = p are also not admissible. Now, take 2 2 x y + = p and x y + = 2 2p , then x − y = 0 ⇒ x = y ∴ 3 2 2 3 x x = ⇒ = p p ∴ y = 2 3 p ∴ another point is 2 3 2 3 p p , ⎛ ⎝ ⎜ ⎞ ⎠ ⎟ So, the stationary points are p p 3 3 , ⎛ ⎝ ⎜ ⎞ ⎠ ⎟ and 2 3 2 3 p p , ⎛ ⎝ ⎜ ⎞ ⎠ ⎟ At the point p p 3 3 , ⎛ ⎝ ⎜ ⎞ ⎠ ⎟ r s t = = − = = + ⎛ ⎝ ⎜ ⎞ ⎠ ⎟ = − = 2 3 2 3 2 0 4 3 3 3 2 2 sin cos , sin sin sin p p p p p p and 3 3 3 ⋅ = − cosp ∴ rt s − = − = 2 3 3 4 9 4 0 and 0 r M05_ENGINEERING_MATHEMATICS-I _CH05_Part B.indd 50 5/12/2016 9:40:53 AM
  • 482.
    Differential Calculus ofSeveral Variables ■ 5.51 ∴ the point p p 3 3 , ⎛ ⎝ ⎜ ⎞ ⎠ ⎟ is a maximum point The maximum value = f p p 3 3 , ⎛ ⎝ ⎜ ⎞ ⎠ ⎟ = = ⋅ = sin sin sin p p p 3 3 2 3 3 2 3 2 3 2 3 3 8 At the point 2 3 2 3 p p , ⎛ ⎝ ⎜ ⎞ ⎠ ⎟ r s t = = = = = = = 2 2 3 2 2 3 2 3 0 8 3 3 3 2 2 2 3 2 sin cos , sin sin sin cos p p p p p and p p = 3 ∴ rt s r − = ⋅ − = 2 3 3 3 4 9 4 0 0 and ∴ the point 2 3 2 3 p p , ⎛ ⎝ ⎜ ⎞ ⎠ ⎟ is a minimum point. The minimum value = f 2 3 2 3 p p , ⎛ ⎝ ⎜ ⎞ ⎠ ⎟ = = − ⎛ ⎝ ⎜ ⎞ ⎠ ⎟ = − sin sin sin 2 3 2 3 4 3 3 2 3 2 3 2 3 3 8 p p p 5.5.4 Constrained Maxima and Minima In many practical problems on maxima and minima we have to find the extreme values of a function of two or more variables which are not independent but are connected by some relation. For example, suppose we want to find the maximum value of x2 + y2 + z2 (1) subject to the condition 2x + 3y + 5z = 4 (2) One method is to find z from (2) and substitute in (1), then it reduces to a function u (x, y) of two independent variables x and y. As above, we can find the maximum or minimum value of u (x, y). Suppose the relation between the variables is complicated, then finding z interms of x and y will be difficult or impossible. In such cases we use the versatile Lagrange’s multiplier method, in which the introduction of a multiplier enables us to solve the constrained extreme problems without solving the constrained equation for one variable in terms of others. 5.5.5 Lagrange’s Method of (undetermined) Multiplier Let f(x, y, z) be the function whose extreme values are to be found subject to the restriction f (x, y, z) = 0 (1) . Between the variables x, y, z construct the auxiliary function F(x, y, z) = f(x, y, z) + lf(x, y, z) where l is an undetermined parameter independent of x, y, z. l is called Lagrange’s multiplier. Any relative extremum of f(x, y, z) subject to (1) must occur at a stationary point of F(x, y, z). The stationary points of F are given by ∂ ∂ ∂ ∂ ∂ ∂ ∂ ∂ F F F F x y z = = = = 0 0 0 0 , , , l M05_ENGINEERING_MATHEMATICS-I _CH05_Part B.indd 51 5/12/2016 9:40:56 AM
  • 483.
    5.52 ■ EngineeringMathematics ⇒ f f f x y z x x y y z z and + = + = + = = lf lf lf f 0 0 0 0 , , ( , , ) ⇒ f f f x y z x x y y z z and f f f l f = = = − = ( , , ) 0 Solving these equations, we find the values of x, y, z, which are the stationary points of F, giving the maximum and minimum values of f(x, y, z). Note This method does not specify the extreme value obtained is a maximum or minimum. It is usually decided from the physical and geometrical considerations of the problem. A method on the basis of quadratic form is given below to decide maxima or minima at the stationary point for constrained maxima and minima. 5.5.6 Method to Decide Maxima or Minima We shall see sufficient conditions given by quadratic form of the differentials. 1. For unconstrained functions. Let u = f(x, y) be a function of two variables. ∴ the total differential du = fx dx + fy dy Necessary conditions for maxima or minima of u = f(x, y) is du = 0 ⇒ f dx f dy x y + = 0 ⇒ fx = 0, fy = 0, since dx, dy may take any value. The sufficient condition for minimum is d2 u 0 and maximum is d2 u 0. Thus, du = 0 and d2 u 0 are the necessary and sufficient conditions for minimum. Similarly, du = 0 and d2 u 0 are the necessary and sufficient conditions for maximum. Now, d2 u = d(fx ) dx + d(fy ) dy = + ⎛ ⎝ ⎜ ⎞ ⎠ ⎟ + + ⎛ ⎝ ⎜ ⎞ ⎠ ⎟ = + ∂ ∂ ∂ ∂ ∂ ∂ ∂ ∂ f x dx f y dy dx f x dx f y dy dy f dx f x x y y xx x ( y y xy yy xy yx xx xy Assuming dy dx f dx f dy dy f f f dx f dx dy ) ( ) [ ] ( ) + + = = + + 2 f f dxdy f dy f dx f dx dy f dy xy yy xx xy yy + = + + ( ) ( ) ( ) 2 2 2 2 Thus, d2 u is a quadratic form in dx, dy. The matrix of the quadratic form is called the Hessian matrix. H xx xy xy yy = f f f f ⎡ ⎣ ⎢ ⎢ ⎤ ⎦ ⎥ ⎥ Its principal minors are D1 = fxx = r D xx xy xy yy xx yy xy 2 2 2 = = − = − f f f f f f f rt s ( ) M05_ENGINEERING_MATHEMATICS-I _CH05_Part B.indd 52 5/12/2016 9:40:58 AM
  • 484.
    Differential Calculus ofSeveral Variables ■ 5.53 For minimum d2 u 0 i.e., the quadratic form is positive definite. ∴ D1 0, D2 0 ⇒ r 0 and rt − s2 0 For maximum, d2 u 0 ⇒ D1 0, D2 0 ⇒ r 0 and rt − s2 0 This can be extended to three or more variables. The necessary and sufficient conditions are (i) for maximum du = 0 and d2 u 0 and (ii) for minimum du = 0 and d2 u 0. 2. If u = f(x, y, z), then du = fx dx + fy dy + fz dz and d u f dx f dy f dz f dydz f dxdz f dxdy d 2 xx yy zz yz zx xy = + + + + + ( ) ( ) ( ) 2 2 2 2 2 2 u u f f f = ⇒ = = = 0 0 0 0 x y z , , which gives the stationary points. The matrix of the quadratic form in dx, dy, dz is the Hessian H xx xy xz yx yy yz zx zy zz = ⎡ ⎣ ⎢ ⎢ ⎢ ⎤ ⎦ ⎥ ⎥ ⎥ f f f f f f f f f The principal minors are D1 = fxx , D xx xy yx yy 2 = f f f f and D H 3 = At a stationary point (a, b, c), if D1 0, D2 0, and D3 0, then u is minimum. If D1 0, D2 0, and D3 0 then u is maximum. In the same way we can extend to function of n variables f(x1 , x2 , …, xn ) 3. We shall now see how the Hessian changes in the discussion of constrained maxima and minima. For example, consider the quadratic form in two variables. Q = ax2 +2hxy + by2 with linear constraint ax + by = 0 ⇒ y x = − a b ∴ Q = + − ⎛ ⎝ ⎜ ⎞ ⎠ ⎟ + − ⎛ ⎝ ⎜ ⎞ ⎠ ⎟ = − + ax hx x b x x h b 2 2 2 2 2 2 2 2 a b a b b b ab a [ ] a Since x2 2 b 0, Q 0 or 0 if ab2 − 2hab + ba2 0 or 0 We can easily see that − [ab2 − 2hab + ba2 ] = 0 a b a b a h h b ∴ Q if 0 0 0 a b a b a h h b and Q if 0 0 0 a b a b a h h b M05_ENGINEERING_MATHEMATICS-I _CH05_Part B.indd 53 5/12/2016 9:41:01 AM
  • 485.
    5.54 ■ EngineeringMathematics The determinant 0 a b a b a h h b is made up of the matrix of coefficients of the quadratic form Q which is bordered by coefficients of the linear constraint. So, this is called a bordered determinant. Thus, the corresponding matrix is called the bordered Hessian matrix. H = ⎡ ⎣ ⎢ ⎢ ⎢ ⎤ ⎦ ⎥ ⎥ ⎥ 0 a b a b a h h b , bordered by the linear constraint. The bordered principle minors are D1 = = − 0 2 a a a a and D2 = 0 a b a b a h h b Since D1 = −a2 is always negative, Q 0, if D2 0 and Q 0, if D2 0 4. We shall now consider quadratic form in three variables. Q = + + + + + a x a x a x a x x a x x a x x 11 1 2 22 2 2 33 3 2 12 1 2 23 2 3 31 3 1 2 2 2 subject to the linear constraint b1 x1 + b2 x2 + b3 x3 = 0. Then the corresponding bordered Hessian is H = 0 1 2 3 1 11 12 13 2 21 22 23 3 31 32 33 b b b b a a a b a a a b a a a ⎡ ⎣ ⎢ ⎢ ⎢ ⎢ ⎤ ⎦ ⎥ ⎥ ⎥ ⎥ The bordered principle minors are D D 1 1 1 11 2 1 2 1 11 12 2 21 22 0 0 = = b b a b b b a a b a a , and D H 3 = Since D1 1 2 = −b is always negative, Q 0 if D2 0 and D3 0 and Q 0 if D2 0 and D3 0. Similarly, we can discuss conditions for more than three variables. 5. Extremum with general constraints Extreme values of u = f(x, y) subject to f (x, y) = 0 Stationary points are given by du = 0, f = 0 At a stationary point, u is maximum if d2 u 0 and df = 0 and u is minimum if d2 u 0 and df = 0 where d2 u = fxx (dx)2 + fyy (dy)2 + 2fxy dx dy is a quadratic form in dx, dy and df = 0 ⇒ fx dx + fy dy = 0, which is linear in dx, dy. So, the corresponding bordered Hessian matrix is H x y x xx xy y yx yy = ⎡ ⎣ ⎢ ⎢ ⎢ ⎤ ⎦ ⎥ ⎥ ⎥ 0 f f f f f f f f M05_ENGINEERING_MATHEMATICS-I _CH05_Part B.indd 54 5/12/2016 9:41:04 AM
  • 486.
    Differential Calculus ofSeveral Variables ■ 5.55 The bordered principal minors are D x x x 1 0 = f f f and D x y x xx xy y yx yy 2 0 = f f f f f f f f . D x 1 2 0 = − f always ∴ u is maximum (i.e., d2 u 0), if D2 0 and u is minimum (i.e., d2 u 0), if D2 0 6. Extreme values of u 5 f(x, y, z) subject to f (x, y, z) 5 0. The bordered Hessian matrix is H x y z x xx xy xz y yx yy yz z zx zy zz = ⎡ ⎣ ⎢ ⎢ ⎢ ⎢ ⎢ ⎤ ⎦ ⎥ ⎥ ⎥ ⎥ ⎥ 0 f f f f f f f f f f f f f f f The bordered principal minors are D D D H x x xx x y x xx xy y yx yy 1 2 3 0 0 = = = f f f f f f f f f f f , , Since D x 1 2 0 = − f always, u is maximum (i.e., d2 u 0), if D2 0 and D3 0 and u is minimum (i.e., d2 u 0), if D2 0 and D3 0 7. Sufficient conditions for Lagrange’s method Extreme values of f(x, y, z) subject to f(x, y, z) = 0 Form the auxiliary function F(x, y, z) = f(x, y, z) + lf(x, y, z), where l is the Lagrange’s multiplier. Stationary points are given by Fx = 0, Fy = 0, Fz = 0, f = 0 At the stationary point we have maximum if d2 F 0, df = 0 ⇒ fx dx + fy dy + fz dz = 0 and minimum if d2 F 0, df = 0 The corresponding bordered Hessian is H x y z x xx xy xz y yx yy yz z zx zy zz = ⎡ ⎣ ⎢ ⎢ ⎢ ⎢ ⎢ ⎤ ⎦ ⎥ ⎥ ⎥ ⎥ ⎥ 0 f f f f f f F F F F F F F F F The bordered principal minor D x x xx x 1 2 0 = = − f f f F which is always negative. ∴ At a stationary point f(x, y, z) is minimum if D2 0 and D3 0 and maximum if D2 0 and D3 0 M05_ENGINEERING_MATHEMATICS-I _CH05_Part B.indd 55 5/12/2016 9:41:06 AM
  • 487.
    5.56 ■ EngineeringMathematics WORKED EXAMPLES EXAMPLE 1 A rectangular box, open at the top, is to have a volume of 32 cc. Find dimensions of the box which requires least amount of material for its construction. Solution. Let x, y, z be the length, breadth and height of the box. Given volume of the box is 32 cc. ⇒ xyz = 32, x, y, z 0 (1) We want to minimize the amount of material for its construction. i.e., surface area of the box is to be minimized. Surface area S = xy + 2xz + 2yz [{ top is open] (2) We shall solve by two methods. Method 1 xyz = 32 ⇒ z xy = 32 ∴ S = + + xy x y xy 2 32 ( ) ⇒ S = + + ⎛ ⎝ ⎜ ⎞ ⎠ ⎟ xy x y 64 1 1 ∴ ∂ ∂ S x y x = − 64 2 and ∂ ∂ S y x y = − 64 2 To find stationary points, solve ∂ ∂ S x = 0 and ∂ ∂ S y = 0 ⇒ y x x y − = − = 64 0 64 0 2 2 and ⇒ x y 2 64 = and xy2 64 = (3) ∴ x y xy 2 2 = ⇒ x = y [ , ] { x y 0 0 ∴ (3) ⇒ x x y 3 64 4 4 = ⇒ = ∴ = ∴ stationary point is (4, 4) Now r S x x = = ∂ ∂ 2 2 3 128 , s S x y t S y y = = = = ∂ ∂ ∂ ∂ ∂ 2 2 2 3 1 128 and ∴ at the point (4, 4), r = = 128 4 2 0 3 , s t = = = 1 128 4 2 3 and ∴ rt − s2 = 2 ⋅ 2 − 1 = 3 0 Since r 0 and rt − s2 0, it is a minimum point When x = 4, y = 4, z = = 32 16 2 ∴ dimensions of the box are x = 4 cms, y = 4 cms and z = 2 cms. M05_ENGINEERING_MATHEMATICS-I _CH05_Part B.indd 56 5/12/2016 9:41:11 AM
  • 488.
    Differential Calculus ofSeveral Variables ■ 5.57 Method 2 Lagrange’s method We have to minimise S = xy + 2xz + 2yz (1) Subject to xyz = 32 ⇒ xyz − 32 = 0 (2) Form the auxiliary function F(x, y, z) = xy + 2xz + 2yz + l(xyz − 32) where l is the Lagrange’s multiplier. ∴ F F x y z yz F F y x z xz F F z x y xy F x y z = = + + = = + + = = + + = ∂ ∂ ∂ ∂ ∂ ∂ 2 2 2 2 l l l f l , , and To find stationary points, solve Fx = 0, Fy = 0, Fz = 0, f = 0 Fx = 0 ⇒ y + 2z + lyz = 0 ⇒ y + 2z = −lyz ⇒ xy + 2zx = −lxyz [multiplying by x] (3) Fy = 0 ⇒ x + 2z + lxz = 0 ⇒ x + 2z = − lxz ⇒ xy + 2zy = −lxyz [multiplying by y] (4) and Fz = 0 ⇒ 2x + 2y + lxy = 0 ⇒ 2x + 2y = −lxy ⇒ 2xz + 2yz = −lxyz [multiplying by z] (5) From (3), (4) and (5) ⇒ xy zx xy zy xz yz xy zx xy zy zx zy x y + = + = + + = + ⇒ = ⇒ = 2 2 2 2 2 2 2 2 and xy zx xz yz + = + 2 2 2 ⇒ xy yz x z = ⇒ = 2 2 ∴ x y z = = 2 (6) Substituting in (2), we get 2 2 32 z z z ⋅ ⋅ = ⇒ 4 32 3 z = ⇒ z z 3 8 2 = ⇒ = ∴ (6) ⇒ x = 4, y = 4 ∴ the stationary point is (4, 4, 2) So, the dimensions are 4 cms, 4 cms, 2 cms. Remark We have not justified S is minimum at (4, 4, 2). We shall use the bordered Hessian to decide. H x y z x xx xy xz y yx yy yz z zx zy zz = 0 f f f f f f F F F F F F F F F ⎡ ⎣ ⎢ ⎢ ⎢ ⎢ ⎢ ⎤ ⎦ ⎥ ⎥ ⎥ ⎥ ⎥ When x = 4, y = 4, z = 2, Fx = 0 ⇒ 4 +4 + 8l = 0 ⇒ l = −1 M05_ENGINEERING_MATHEMATICS-I _CH05_Part B.indd 57 5/12/2016 9:41:13 AM
  • 489.
    5.58 ■ EngineeringMathematics ∴ Fx = y +2z − yz, Fy = x +2z − xz and Fz = 2x +2z − xy ∴ Fxx = 0, Fyy = 0, Fzz = 0 and Fyx = Fxy = 1 − z; Fxz = Fzx = 2 − y At (4, 4, 2) Fxx = 0, Fyy = 0, Fzz = 0 Fxy = 1 − 2 = −1, Fxz = 2 − 4 = −2, Fyz = 2 − 4 = −2 fx = 8, fy = 8, fz = 16 ∴ H = 0 8 8 16 8 0 1 2 8 1 0 2 16 2 2 0 − − − − − − ⎡ ⎣ ⎢ ⎢ ⎢ ⎢ ⎤ ⎦ ⎥ ⎥ ⎥ ⎥ The bordered principal minors are D1 0 8 8 0 64 0 = = − ; D D 2 3 0 8 8 8 0 1 8 1 0 64 0 1 1 1 0 1 1 1 0 64 2 128 0 0 8 8 16 8 0 1 2 8 = − − = − − = − = − = − − − ( ) 1 1 0 2 16 2 2 0 8 8 0 1 1 2 1 0 1 2 1 1 0 2 2 2 2 0 − − − = − − − − − − . = × + + − − − − − − 64 2 2 0 1 1 1 1 0 1 1 1 1 0 1 1 1 1 0 ( )( ) = − − − + − + → − → − 256 0 1 0 0 1 0 1 1 1 1 1 0 1 1 0 1 3 3 2 4 4 2 C C C C C C = − − − 256 1 1 1 1 1 1 0 1 0 1 1 ( ) , expanding by R = − → + → + = − − = − × = − 256 1 0 0 1 2 1 1 1 2 256 4 1 256 3 768 0 2 2 2 3 3 1 C C C C C C ( ) M05_ENGINEERING_MATHEMATICS-I _CH05_Part B.indd 58 5/12/2016 9:41:16 AM
  • 490.
    Differential Calculus ofSeveral Variables ■ 5.59 Since D1 0, D2 0, D3 0 d2 F is positive definite and hence minimum. ∴ the function S is minimum when x = 4, y = 4 and z = 2. EXAMPLE 2 Find the shortest and longest distance from the point (1, 2, −1) to the sphere x2 1 y2 1 z2 5 24, using Lagrange’s method of constrained maxima and minima. Solution. Let P(x, y, z) be a point on the sphere x2 + y2 + z2 = 24 and A be (1, 2, −1). The distance AP = − + − + + ( ) ( ) ( ) x y z 1 2 1 2 2 2 Let f(x, y, z) = (x − 1)2 + (y − 2)2 + (z + 1)2 (1) AP is minimum or maximum if f(x, y, z) is minimum or maximum. So, we minimize or maximize f(x, y, z) subject to x2 + y2 + z2 = 24 Let f(x, y, z) = x2 + y2 + z2 − 24 = 0 (2) Form the auxillary function F(x, y, z) = f(x, y, z) + lf(x, y, z) where l is the Lagrange’s multiplier. F(x, y, z) = (x − 1)2 + (y − 2)2 + (z + 1)2 + l (x2 + y2 + z2 − 24) ∴ F x x F y y F z z F x y z and = − + = − + = + + = 2 1 2 2 2 2 2 1 2 ( ) , ( ) , ( ) l l l f l To find the stationary points solve Fx = 0, Fy = 0, Fz = 0, f = 0 ∴ F x x x = ⇒ − + = 0 2 1 2 0 ( ) l ⇒ x x − = − 1 l ⇒ − = − = − l x x x 1 1 1 ⇒ F y y y y y = ⇒ − + = ⇒ − = − 0 2 2 2 0 2 ( ) l l ⇒ − = − = − l y y y 2 1 2 and F z z z z z = ⇒ + + = ⇒ + = − 0 2 1 2 0 1 ( ) l l ⇒ − = + = + l z z z 1 1 1 ∴ 1 1 1 2 1 1 − = − = + x y z Now 1 1 1 2 − = − x y ⇒ − = − ⇒ = 1 2 2 x y y x and 1 1 1 1 1 1 − = + ⇒ − = = − x z x z z x ⇒ ∴ 2 2 x y z = = − ⇒ x y z = = − 2 We have x2 + y2 + z2 = 24 ⇒ x x x 2 2 2 4 24 + + = ⇒ 6 24 4 2 2 2 x x x = ⇒ = ⇒ = ± M05_ENGINEERING_MATHEMATICS-I _CH05_Part B.indd 59 5/12/2016 9:41:20 AM
  • 491.
    5.60 ■ EngineeringMathematics When x = 2, y = 4, z = −2 and when x = −2, y = −4, z = +2 The stationary points are P1 (2, 4, −2) and P2 (−2, −4, 2) AP and AP 1 2 1 4 1 6 9 36 9 3 6 = + + = = + + = ∴ the shortest distance = 6 and the longest distance = 3 6 EXAMPLE 3 The temperature T at any point (x, y, z) in space is T 5 400 xyz2 . Find the highest temperature on the surface of the unit sphere x2 1 y2 1 z2 5 1. Solution. We want to maximize T = 400 xyz2 Subject to f(x, y, z) = x2 + y2 + z2 − 1 = 0 (1) Auxiliary function is F(x, y, z) = T + lf(x, y, z) ⇒ F(x, y, z) = 400 xyz2 + l( x2 + y2 + z2 − 1) where l is the Lagrange’s multiplier. ∴ F yz x F xz y F xyz z x y z , and F = + = + = + = 400 2 400 2 800 2 2 2 l l l f l , To find stationary points, solve Fx = 0, Fy = 0, Fz = 0, f = 0 ∴ F yz x x = ⇒ + = 0 400 2 0 2 l ⇒ 400 2 2 yz x = − l ⇒ 200 2 yz x = −l (2) F xz y y = ⇒ + = 0 400 2 0 2 l ⇒ 200 2 xz y = −l (3) F xyz z z = ⇒ + = 0 800 2 0 l ⇒ = − 400xy l (4) From (2), (3) and (4), we get 200 200 400 2 2 yz x xz y xy = = Now 200 200 2 2 yz x xz y = ⇒ y x y x 2 2 = ⇒ = ± (5) and 200 400 2 xz y xy = ⇒ z y 2 2 2 = ⇒ z y = ± ⋅ 2 (6) Substituting in (1) we get y y y 2 2 2 2 1 + + = ⇒ 4 1 1 4 1 2 2 2 y y y = ⇒ = ⇒ = ± ∴ x = ± 1 2 and z = ± ⋅ ± ⎛ ⎝ ⎜ ⎞ ⎠ ⎟ = ± 2 1 2 1 2 M05_ENGINEERING_MATHEMATICS-I _CH05_Part B.indd 60 5/12/2016 9:41:27 AM
  • 492.
    Differential Calculus ofSeveral Variables ■ 5.61 The stationary points are given by x y z = ± = ± = ± 1 2 1 2 1 2 , , These give 8 stationary points. We want the maximum value of T = 400 xyz2 , and so we must have xy positive. This will occur at 4 of the points. i.e., at the points 1 2 1 2 1 2 1 2 1 2 1 2 1 2 1 2 1 2 1 2 1 2 1 , , , , , , , , , , , ⎛ ⎝ ⎜ ⎞ ⎠ ⎟ − ⎛ ⎝ ⎜ ⎞ ⎠ ⎟ − − ⎛ ⎝ ⎜ ⎞ ⎠ ⎟ − − − 2 2 ⎛ ⎝ ⎜ ⎞ ⎠ ⎟ ∴ maximum T C = × ⋅ ⋅ = ° 400 1 2 1 2 1 2 50 EXAMPLE 4 Find the volume of the largest rectangular parallelopiped that can be inscribed in the ellipsoid x a y b z c 2 2 2 2 2 2 1 1 1 5 . Solution. Given the ellipsoid x a y b z c 2 2 2 2 2 2 1 + + = By the symmetry of the ellipsoid, for the largest parallelopiped, the edges must be parallel to the coordinate axes and the centre coincides with the centre (0, 0, 0) of the ellipsoid. Let P (x, y, z) be the coordinates of a vertex on the ellipsiod, then the dimensions of the rectangular parallelopiped (or cuboid) are 2x, 2y, 2z respectively. ∴ volume V = 2x ⋅ 2y ⋅ 2z = 8xyz Let f( , , ) x y z x a y b z c = + + − = 2 2 2 2 2 2 1 0 (1) We want to maximize V subject to f(x, y, z) = 0 Form the auxiliary equation F(x, y, z) =V + lf (x, y, z), where l is the Lagrange’s multiplier. ⇒ F( , , ) x y z xyz x a y b z c = + + + − ⎛ ⎝ ⎜ ⎞ ⎠ ⎟ 8 1 2 2 2 2 2 2 l ∴ F yz x a x = + 8 2 2 l , F zx y b F xy z c F y z , and = + = + = 8 2 8 2 2 2 l l f l To find stationary points solve Fx = 0, Fy = 0, Fz = 0, f = 0 ∴ F yz x a x = ⇒ + = 0 8 2 0 2 l ⇒ 4 2 yz x a = − l ⇒ 4 2 2 xyz x a = −l [multiplying by x] ⇒ − = 4 2 2 xyz x a l (2) Z P O X Y Fig. 5.8 M05_ENGINEERING_MATHEMATICS-I _CH05_Part B.indd 61 5/11/2016 4:42:57 PM
  • 493.
    5.62 ■ EngineeringMathematics F xz y b y = ⇒ + = 0 8 2 0 2 l ⇒ − 4 2 2 xyz y b l = [multiplying by y] (3) F xy z a z = ⇒ + = 0 8 2 0 2 l ⇒ − 4 2 2 xyz z b l = [multiplying by z] (4) ∴ From (2), (3) and (4), we get x a y b z c 2 2 2 2 2 2 = = We have x a y b z c 2 2 2 2 2 2 1 + + = ∴ x a x a x a 2 2 2 2 2 2 1 + + = ⇒ 3 1 3 3 2 2 2 2 x a x a x a = ⇒ = ⇒ = ± Similarly, y b = ± 3 and z c = ± 3 ∴ So, the stationary points are given by x a y b z c = ± = ± = ± 3 3 3 , , ∴ there are 8 stationary points. Since we want maximum value of V, choose the points with the product of xyz positive. This will occur at 4 of the points. They are a b c a b c 3 3 3 3 3 3 , , , , , , ⎛ ⎝ ⎜ ⎞ ⎠ ⎟ − − ⎛ ⎝ ⎜ ⎞ ⎠ ⎟ − − ⎛ ⎝ ⎜ ⎞ ⎠ ⎟ − − ⎛ ⎝ ⎜ ⎞ ⎠ ⎟ a b c a b c 3 3 3 3 3 3 , , , , , ∴ maximum V = 8 3 3 abc EXAMPLE 5 Divide the number 24 into three parts such that the continued product of the first, square of the second and the cube of the third may be maximum. Solution. Let 24 be divided into 3 parts x, y, z, so that x + y + z = 24 where x, y, z 0 ∴ x + y + z − 24 = 0 (1) and the product is xy2 z3 We have to maximize this product subject to (1) Let f(x, y, z) = xy2 z3 and f (x, y, z) = x2 + y2 + z2 − 24 Form the auxiliary function F(x, y, z) = f(x, y, z) + lf(x, y, z) M05_ENGINEERING_MATHEMATICS-I _CH05_Part B.indd 62 5/11/2016 4:43:03 PM
  • 494.
    Differential Calculus ofSeveral Variables ■ 5.63 where l is the Lagrange’s multiplier. ⇒ F( , , ) ( ) x y z xy z x y z = + + + − 2 3 24 l ∴ F y z x = + 2 3 l, F xyz F xy z F y z , and = + = + = 2 3 3 2 2 l l f l To find stationary points, solve Fx = 0, Fy = 0, Fz = 0, f = 0 ∴ F y z x = ⇒ + = 0 0 2 3 l ⇒ y z 2 3 = −l (2) F xyz y = ⇒ + = 0 2 0 3 l ⇒ 2 3 xyz = −l (3) F xy z z = ⇒ + = 0 3 0 2 2 l ⇒ 3 2 2 xy z = −l (4) From (2), (3), (4) y z xyz xy z 2 3 3 2 2 2 3 = = ∴ y z xyz 2 3 3 2 = ⇒ and xy z xy z z x 2 3 2 2 3 3 = ⇒ = Subsituting in (1), we get x x x + + = 2 3 24 ⇒ 6 24 4 x x = ⇒ = ∴ y z = = 8 12 and ∴ the product is maximum if the parts are 4, 8, 12. Note We shall test it is indeed maximum. The bordered Hessian matrix is H x y z x xx xy xz y yx yy yz z zx zy zz = 0 f f f f f f F F F F F F F F F ⎡ ⎣ ⎢ ⎢ ⎢ ⎢ ⎢ ⎤ ⎦ ⎥ ⎥ ⎥ ⎥ ⎥ Now Fx = y2 z3 + l ⇒ F F yz F y z xx xy xz = = = 0 2 3 3 2 2 , , ⇒ F xy z F xz F yz F xyz y yy yx yz = + ⇒ = = = 2 2 2 6 2 3 3 3 2 l , , ⇒ F xy z F xy z F y z F xyz z zz zx zy = + ⇒ = = = 3 6 3 6 2 2 2 2 2 2 l , , When x = 4, y = 8, z = 12 F F F F xx xy yx yy = = = ⋅ = ⋅ = ⋅ ⋅ = ⋅ 0 2 812 2 12 2 4 12 2 12 3 4 3 3 3 3 , , F F F F F yz zy zx xz zz = = ⋅ ⋅ = ⋅ = = ⋅ = ⋅ = ⋅ ⋅ 6 4 812 2 12 3 8 12 2 12 6 4 8 2 4 3 2 2 4 3 2 , . ⋅ ⋅ = ⋅ 12 2 12 7 2 Now f(x, y, z) = x + y + z − 24 ⇒ fx = 1, fy = 1, fz = 1 y x 2 = M05_ENGINEERING_MATHEMATICS-I _CH05_Part B.indd 63 5/11/2016 4:43:12 PM
  • 495.
    5.64 ■ EngineeringMathematics ∴ the bordered Hessian matrix is H = 0 1 1 1 1 0 2 12 2 12 1 2 12 2 12 2 12 1 2 12 2 12 2 12 4 3 4 3 4 3 3 3 4 3 4 3 4 3 7 2 ⋅ ⋅ ⋅ ⋅ ⋅ ⋅ ⋅ ⋅ ⎡ ⎡ ⎣ ⎢ ⎢ ⎢ ⎢ ⎤ ⎦ ⎥ ⎥ ⎥ ⎥ The principal bordered minors are D1 0 1 1 0 1 0 = = ⎡ ⎣ ⎢ ⎤ ⎦ ⎥ − D2 4 3 4 3 3 3 3 3 4 3 4 3 0 1 1 1 0 2 12 1 2 12 2 12 1 2 12 2 12 1 2 12 = ⋅ ⋅ ⋅ = − ⋅ − ⋅ + ⋅ ⋅ = − [ ] [ ] 8 8 12 16 12 16 12 24 12 0 3 3 3 3 ⋅ + ⋅ + ⋅ = ⋅ D3 = ⋅ ⋅ ⋅ ⋅ ⋅ ⋅ ⋅ ⋅ 0 1 1 1 1 0 2 12 2 12 1 2 12 2 12 2 12 1 2 12 2 12 2 12 4 3 4 3 4 3 3 3 4 3 4 3 4 3 7 2 2 4 3 4 3 4 3 3 4 3 6 2 3 3 2 0 1 0 0 1 0 2 12 2 12 1 2 12 8 12 0 1 2 12 0 2 12 = ⋅ ⋅ ⋅ − ⋅ ⋅ − ⋅ → − C C C C C C C 4 4 2 → − = − ⋅ ⋅ − ⋅ − ⋅ 1 1 2 12 2 12 1 8 12 0 1 0 2 12 4 3 4 3 3 6 2 1 expanding by R = − ⋅ ⋅ ⋅ − ( ) 1 2 12 2 12 1 2 12 1 1 0 1 0 4 3 3 4 2 [Taking out 23 ⋅123 from c2 and 24 ⋅122 from c3 ] = − ⋅ − − − = − ⋅ + = ( ) [ ( )] [ ] ( ) [ ] 1 2 12 1 12 4 1 2 1 2 12 12 12 7 5 3 7 5 expanding by R ( ( ) − ⋅ ⋅ 1 2 12 24 0 7 5 Since D1 0, D2 0 and D3 0, f(x, y, z) is maximum at (4, 8, 12). EXAMPLE 6 Find the maximum value of xm yn zp subject to x 1 y 1 z 5 a. Solution. Let f(x, y, z) = xm yn zp (1) M05_ENGINEERING_MATHEMATICS-I _CH05_Part B.indd 64 5/11/2016 4:43:14 PM
  • 496.
    Differential Calculus ofSeveral Variables ■ 5.65 Maximize (1) subject to f(x, y, z) = x + y + z − a = 0 (2) Form the auxiliary function F(x, y, z) = f(x, y, z) + lf(x, y, z) where l is the Lagrange’s multiplier. ⇒ F m n p ( , , ) ( ) x y z x y z x y z a = + + + − l ∴ F mx y zp x n n = + −1 l, F nx y z F px y z F p y m n p z m n , and = + = + = − − 1 1 l l f l To find stationary points, solve Fx = 0, Fy = 0, Fz = 0, f = 0 F mx y z mx y z x n n p n n p = ⇒ + = ⇒ = − − − 0 0 1 1 l l (2) Similarly, Fy = 0 ⇒ nx y z m n p − = − 1 l (3) Fz = 0 ⇒ px y z m n p− = − 1 l (4) ∴ From (2), (3) and (4), we get mx y z nx y z px y z m n p m n p m n p − − − = = 1 1 1 ⇒ m x n y p z x y z = = [ ] dividing by m n p ⇒ x m y n z p x y z m n p a m n p = = = + + + + = + + ∴ x am m n p y an m n p z ap m n p = + + = + + = + + , , Stationary point is am m n p an m n p ap m n p + + + + + + ⎛ ⎝ ⎜ ⎞ ⎠ ⎟ , , Maximum value of f am m n p an m n p ap m n p = + + ⎛ ⎝ ⎜ ⎞ ⎠ ⎟ + + ⎛ ⎝ ⎜ ⎞ ⎠ ⎟ + + ⎛ ⎝ ⎜ ⎞ ⎠ ⎟ m n p = ⋅ + + + + + + a m n p m n p m n p m n p m n p ( ) EXERCISE 5.5 1. Find the extreme values of the function f(x, y) = x3 + y3 − 3x − 12y + 20. 2. Find the maximum and minimum values of x2 − xy + y2 − 2x + y. 3. Find the maximum and minimum values of x3 + 3xy2 − 15y2 + 72x. 4. Find the maxima and minima of the function x3 y2 (12 − x − y). 5. Find the extreme values of the function x xy y x y 2 2 1 1 + + + + . M05_ENGINEERING_MATHEMATICS-I _CH05_Part B.indd 65 5/11/2016 4:43:19 PM
  • 497.
    5.66 ■ EngineeringMathematics 6. Find the extreme values of the function y4 − x4 + 2(x2 −y2 ). 7. If the perimeter of a triangle is a given constant, show that the area is maximum when the triangle is equilateral. 8. Locate the stationary points of x4 + y4 − 2x2 + 4xy − 2y2 and determine their nature. 9. Examine maximum and minimum values of sinx + siny + sin (x + y), 0 x p, 0 y p. 10. Find the dimensions of the rectangular box open at the top, of maximum capacity whose surface is 432 sq.cm. 11. Examine f(x, y) = x3 + y3 − 3axy for maximum and minimum values. 12. Find the extreme values, if any, of the function f(x, y) = x4 + y2 + x2 y. 13. A flat circular plate is heated so that the temperature at any point (x, y) is u(x, y) = x2 + 2y2 − x. Find the coldest point on the plate. 14. In a plane triangle, find the maximum value of cos A cos B cos C. 15. Find the minimum value of x2 + y2 + z2 , given that xyz = a3 . 16. Find the maximum and minimum distances of the point (3, 4, 12) from the sphere x2 + y2 + z2 = 1. 17. Find the maximum and minimum distances from the origin to the curve 5x2 + 6xy+ 5y2 − 8 = 0. 18. Find the minimum values of the function x2 + y2 + z2 subject to the condition ax + by + cz = a + b + c. 19. Find the minimum values of the function x2 + y2 + z2 subject to the condition xy + yz + zx = 3a2 . 20. A thin closed rectangular box is to have one edge equal to twice the other and a constant volume 72 m3 . Find the least surface area of the box. 21. Show that the area of the greatest rectangle that can be inscribed in an ellipse 4x2 + 9y2 = 36, hav- ing its sides parallel to the axes is 12 sq. units. 22. Find the shortest distance from the origin to the curve x2 + 8xy + 7y2 = 225. 23. Using Lagrange’s method of multipliers, show that the stationary value of a3 x2 + b3 y2 + c3 z2 , where 1 1 1 1 x y z + + = , occurs at x a b c a = + + , y a b c b z a b c c = + + = + + , . and 24. If u = x2 + y2 − z2 where ax + by + cz − p = 0, then find the stationary value of u. 25. Find the minimum value of x2 yz3 subject to 2x + y + 3z = a. 26. If xyz = 8, find the values of x, y, z for which u xyz x y z = + + 5 2 4 is a maximum. 27. Test for the extreme of the function f(x, y) = x4 + y4 − x2 − y2 − 1. ANSWERS TO EXERCISE 5.5 1. (i) Minimum at (1, 2); Minimum value = 2 2. Minimum at (1, 0); Minimum value = −1 (ii) Maximum at (−1, −2); Maximum value = 38 3. (i) Maximum at (4, 0); Maximum value = 112 4. Maximum at (6, 4); Maximum value = 6912 (ii) Minimum at (6, 0); Minimum value = 108 5. Minimum at 1 3 1 3 3 3 , ⎛ ⎝ ⎜ ⎞ ⎠ ⎟ ; Minimum value = 34 3 / 6. (i) Minimum at (0, ±1); Minimum value = −1 and (ii) Maximum at (±1, 0); Maximum value = 1 M05_ENGINEERING_MATHEMATICS-I _CH05_Part B.indd 66 5/11/2016 4:43:20 PM
  • 498.
    Differential Calculus ofSeveral Variables ■ 5.67 8. (i) Stationary points are (0, 0) ( , ) 2 2 − and ( , ) − 2 2 and Minimum at ( , ) 2 2 − and ( , ) − 2 2 9. Maximum at p p 3 3 , ⎛ ⎝ ⎜ ⎞ ⎠ ⎟ ; and maximum value 3 3 2 10. Dimensions 12, 12, 6 cms. 11. Maximum value = −a3 if a 0 and minimum value = −a3 if a 0 12. Minimum value 0 13. 1 2 0 , ⎛ ⎝ ⎜ ⎞ ⎠ ⎟ 14. 1 8 15. Minimum value = 3a2 16. Maximum distance = 14, minimum distance = 12 17. Maximum distance = 4, and minimum distance = 1 18. Minimum value = ( ) a b c a b c + + + + 2 2 2 2 19. Minimum value = 3a2 20. 108 m2 22. shortest distance = 5 23. x a b c a y a b c b z a b c c = + + = + + = + + , , 24. u P a b c = + + 2 2 2 2 ( ) 25. a 6 6 ⎛ ⎝ ⎜ ⎞ ⎠ ⎟ 26. x = 4, y = 2, z = 1 27. Maximum at (0, 0) and value = −1 and minimum at ± ± = − 1 2 1 2 3 2 , ⎛ ⎝ ⎜ ⎞ ⎠ ⎟ and value 5.6 ERRORS AND APPROXIMATIONS All physical quantities, when measured however precisely, are subjected to small errors in their observed values, resulting in a cumulative error in the dependent variable. Our aim is to estimate such error. If u = f(x, y), then the total differential relation is, du f x dx f y dy = ∂ ∂ + ∂ ∂ , which is an exact relation. An approximate error relation is obtained by replacing differentials by increments Δx, Δy and Δu. ∴Δ Δ Δ u f x x f y y = ∂ ∂ + ∂ ∂ , giving the total error Δu in u approximately in terms of the errors Δx and Δy in x and y, respectively. Δx, Δy and Δu are called the absolute errors in x, y and u, respectively. Δ Δ Δ x x y y u u , and are called the relative errors in x, y and u, respectively. Δ Δ Δ x x y y u u × × × 100 100 100 , and are called the percentage errors in x, y and u, respectively. If relative error or percentage errors are given in problems, it is advantages to take logarithm and differentiate. If y = f(x), then dy = f ′(x) dx ∴ Δy = f ′(x) Δx approximately M05_ENGINEERING_MATHEMATICS-I _CH05_Part B.indd 67 5/11/2016 4:43:24 PM
  • 499.
    5.68 ■ EngineeringMathematics WORKED EXAMPLES EXAMPLE 1 The dimensions of a cone are given by radius 5 4 cm, and altitude 5 6 cm. What is the error in calculation of its volume, if there is a shortage of 0.01 cm in the measures used. Solution. Let r be the radius and h be the height of the cone in centimetre. ∴ The volume of the cone V r h = 1 3 2 p (1) The differential relation is dV v r dr V h dh = + ∂ ∂ ∂ ∂ The error relation is Δ Δ Δ V V r r V h h = + ∂ ∂ ∂ ∂ (2) From equation (1), we get ∂ ∂ ∂ ∂ V r h r V h r = = 1 3 2 1 3 2 p p and ∴ Δ Δ Δ V hr r r h = + 1 3 2 1 3 2 p p Given r = 4 cm and h = 6 cm, Δr = Δh = −0.01 = − 1 100 ∴ ΔV = × × − ⎛ ⎝ ⎜ ⎞ ⎠ ⎟ + − ⎛ ⎝ ⎜ ⎞ ⎠ ⎟ = − + = − 2 3 6 4 1 100 3 4 1 100 300 48 16 64 300 2 p p p p [ ] = = − 16 75 p cm3 ∴ the volume is decreased by 16 75 p cm3 . EXAMPLE 2 The torsional rigidity of length of a wire is obtained from the formula N Il t r 5 p 8 2 4 . If l is decreased by 2%,r is increased by 2% and t is increased by 1.5%,then show that the value of N is diminished by 13% approximately. Solution. Given N Il t r = 8 2 4 p (1) Taking logarithm on both sides of equation (1), we get log log log log log e e e e e N I l t r = + − − 8 2 4 p M05_ENGINEERING_MATHEMATICS-I _CH05_Part B.indd 68 5/11/2016 4:43:27 PM
  • 500.
    Differential Calculus ofSeveral Variables ■ 5.69 Taking differentials, we get ∴ dN N dl l dt t dr r = + − − 0 2 4 ∴ Error relation is ∴ Δ Δ Δ Δ Δ Δ Δ Δ N N l l t t r r N N l l t t r r = − − × = × − × − × 2 4 100 100 2 100 4 100 Given: l is decreased by 2%. ∴ Δl l × = − 100 2 r is increased by 2% ∴ Δr r × = 100 2 t is increased by 1.5%. ∴ Δt t × = 100 1 5 . ∴ ΔN N × = − − − × = − − − = − 100 2 2 1 5 4 2 2 3 8 13 ( . ) ∴ the value of N is diminished by 13%. EXAMPLE 3 In estimating the cost of a pile of bricks measured as 6 m 3 50 m 3 4 m, the tape is stretched 1% beyond the standard length. If the count is 12 bricks in 1 m3 and bricks cost `100 per 1000, then find the approximate error in cost. Solution. Let l, b and h be the length, breadth and height of the rectangular pile, respectively, in meters. Hence, its volume V = l b h (1) Taking loge on both sides, we get log log log log e e e e V l b h = + + Taking differentials, we get 1 1 1 1 V dV l dl b db h dh = + + ∴ Error relation is Δ Δ Δ Δ V V l l b b h h = + + M05_ENGINEERING_MATHEMATICS-I _CH05_Part B.indd 69 5/11/2016 4:43:30 PM
  • 501.
    5.70 ■ EngineeringMathematics Given V = 6 × 50 × 4 = 1200 m3 and Δ Δ Δ l l b b h h × = × = × = 100 100 100 1 ⇒ Δ Δ Δ l l b b h h = = = 1 100 ∴ Δ Δ V V V V = ⇒ = × = × = 3 100 3 100 3 100 1200 36 3 m Given the number of bricks in 1 cubic meter is 12. ∴ number of bricks in ΔV = 36 × 12 = 432 Cost of 1000 bricks is `100 ∴ Cost of 432 bricks is = × 432 100 1000 = 43.2 ⇒ Error in cost is = `43.20 EXAMPLE 4 The focal length of a mirror is given by the formula 1 1 2 v u f 2 5 . If equal errors d are made in the determinations of u and v, then show that the relative error Δf f in focal length is given by d 1 1 1 u v ⎛ ⎝ ⎜ ⎞ ⎠ ⎟ . Solution. Given 1 1 2 2 1 1 1 v u f f v u − = ⇒ = − − − − Taking differential, − = − + 2 1 1 2 2 2 f df v dv u du ∴ Error relation is − = − + 2 2 2 2 Δ Δ Δ f f v v u u Given Δ Δ u v = = d ∴ − ⋅ = − + 2 2 2 f f f v u Δ d d ⇒ − ⋅ = − ⎛ ⎝ ⎜ ⎞ ⎠ ⎟ = + ⎛ ⎝ ⎜ ⎞ ⎠ ⎟ − ⎛ ⎝ ⎜ ⎞ ⎠ ⎟ = + ⎛ ⎝ ⎜ ⎞ ⎠ 2 1 1 1 1 1 1 1 1 2 2 f f f u v u v u v u v Δ d d d ⎟ ⎟ ⋅ − ⎛ ⎝ ⎜ ⎞ ⎠ ⎟ 2 f M05_ENGINEERING_MATHEMATICS-I _CH05_Part B.indd 70 5/11/2016 4:43:33 PM
  • 502.
    Differential Calculus ofSeveral Variables ■ 5.71 ⇒ Δf f u v = + ⎛ ⎝ ⎜ ⎞ ⎠ ⎟ d 1 1 ∴ the relative error in f is d 1 1 u v + ⎛ ⎝ ⎜ ⎞ ⎠ ⎟. EXAMPLE 5 If a triangle be slightly disturbed so as to remain inscribed in the same circle, then prove that Δ Δ Δ a A b B c C cos cos cos 1 1 5 0. Solution. We know from trigonometry that a A b B c C R sin sin sin = = = 2 ⇒ a R A b R B = = 2 2 sin , sin (1) and c = 2R sin C When the triangle inscribed in the circle of radius R is slightly disturbed, the sides and angles will be slightly changed. Here R is constant, since the circle is not changed. Taking differentials to the relation (1), we get da R A dA db R B dB dc R C dC = ⋅ = ⋅ = ⋅ 2 2 2 cos , cos cos and ∴ the error relations are ∴ Δ Δ Δ Δ Δ Δ Δ Δ Δ a R A A b R B B c R C C a A R A b B = ⋅ = ⋅ = ⋅ = 2 2 2 2 cos , cos cos cos , cos and = = = 2 2 R B c C R C Δ Δ Δ and cos ∴ Δ Δ Δ Δ Δ Δ a A b B c C R A B C cos cos cos [ ] + + = + + 2 But ∴ A B C dA dB dC A B C + + = + + + = + + = p, 0 0 and Δ Δ Δ Hence, Δ Δ Δ a A b B c C R cos cos cos + + = ⋅ = 2 0 0 EXAMPLE 6 The angles of a triangle ABC are calculated from the sides a, b, and c. If small errors d d d a b c , , and are made in the measurements of the sides, then show that the error in the angle A is approximately d 5 d 2 d 2 d A a a b c c c 2Δ ( cos cos ). A A R B B C C c a b Fig. 5.9 M05_ENGINEERING_MATHEMATICS-I _CH05_Part B.indd 71 5/11/2016 4:43:39 PM
  • 503.
    5.72 ■ EngineeringMathematics Solution. From trigonometry, we know that the relation between sides and angle A of a triangle is a b c bc A 2 2 2 2 = + − cos . Taking differentials, we get ⇒ 2 2 2 2 ada bdb cdc A bdc cdb bc AdA ada bdb cdc b = + − + − = + − [cos ( ) ( sin )] cos A Adc c Adb bc AdA bc AdA ada bdb cdc b Adc c Adb − + = − − + + cos sin sin cos cos Since area of ΔABC is Δ Δ = ⇒ = 1 2 2 bc A bc A sin sin ∴ 2Δ⋅ = − − − − dA ada b c A db c b A dc ( cos ) ( cos ) Given that the errors in a, b and c are d d d a b c , and respectively. So, the error in A is dA ∴ 2Δd d d d A a a b c A b c b A c = − − − − ( cos ) ( cos ) We know by projection formula that b c A a C b c A a C = + ⇒ − = cos cos cos cos and c = a cos B + b cos A ⇒ c b A a B − = cos cos ∴ 2Δd d d d d d d A a a a C b a B c a a C b B c = − − = − − cos cos ( cos cos ) ⇒ d d d d A a a C b B c = − ⋅ − ⋅ 2Δ [ cos cos ] EXERCISE 5.6 1. The pressure p and the volume v of a gas are connected by pv1.4 = c, a constant. Find the percent- age increase in pressure corresponding to 1 2 % diminish in the volume. 2. If q is calculated from q r h = K 2 , where K is a constant, then show that a small % error in r is four times as serious as the same % error in h. 3. Find the percentage error in the area of an ellipse if one per cent error is made in measuring the major and minor axes. 4. The resistance of a circuit was found by using the formula C E R = . If there be possible errors of 1 10 amperes in C and 1 20 volt in E, what is the possible error in R, given C = 18 amp, E = 100 volts. M05_ENGINEERING_MATHEMATICS-I _CH05_Part B.indd 72 5/11/2016 4:43:47 PM
  • 504.
    Differential Calculus ofSeveral Variables ■ 5.73 5. The range R of a projectile which starts with a velocity v at an angle of elevation a is given by R v g = 2 2 sin a. Find the percentage error in R due to an error of 1% in v and an error of 1 2 % in a. 6. The time T of a complete oscillation of a simple pendulum of length l is given by T l g = 2p , where g is a constant. Find the approximate error in the calculated value of T corresponding to an error of 2% in the value of l. 7. The work that must be done to propel a ship of displacement D for distance s in time t is proportional to s D t 2 3 2 2 . Estimate roughly the percentage increase of work necessary where the distance is increased by 1%, the time is diminished by 1% and the displacement of the ship is diminished by 3%. 8. If the area of a triangle is calculated from the formula Δ = 1 2 bc A sin , and if b and c are measured correctly, but A is taken as 60° with possible error of 5′, then calculate the possible percentage of error is Δ. ANSWERS TO EXERCISE 5.6 1. 0.7% 3. 2% 4. 0.028 ohm 5. ( cot )% 2 2 + a a 6. 1% 7. − 1 2 % 8. 0.084% SHORT ANSWER QUESTIONS 1. If u x y x y 5 1 1 log 4 4 ⎛ ⎝ ⎜ ⎞ ⎠ ⎟, then show that x z x y z y ∂ ∂ ∂ ∂ 1 5 3. 2. If u x y y x 5 1 2 2 sin tan 1 1 , then prove that x u x y u y ∂ ∂ ∂ ∂ 1 5 0. 3. If u x y x y 5 1 1 2 2cos 1 ⎛ ⎝ ⎜ ⎞ ⎠ ⎟ , then show that x u x u y ∂ ∂ ∂ ∂ 1 1 5 y u cot 2 0. 4. If z 5 f(x, y), x 5 u 2 v, y 5 uv, then prove that ( ) u v z x u v 1 5 2 ∂ ∂ ∂ ∂ ∂ ∂ z u z v . 5. If u = x2 1 y2 , x 5 e2t , y 5 e2t cos 3t, then find du dt as a total derivative. 6. If u 5 f(x, y) and x 5 r 1 s, y 5 r 2 s, then prove that ∂ ∂ ∂ ∂ ∂ ∂ u r u s u x 1 5 2 . 7. Find du dt if u x y x e y t t e = , = ; = log . 8. If u y x z x 5 1 , then find x u x y u y z u z ∂ ∂ ∂ ∂ ∂ ∂ 1 1 . 9. Find dy dx if xy 1 yx 5 a, a is a constant and x, y 0. 10. Find dy dx if xy 5 yx . M05_ENGINEERING_MATHEMATICS-I _CH05_Part B.indd 73 5/11/2016 4:44:01 PM
  • 505.
    5.74 ■ EngineeringMathematics 11. If z y x 5 sin ⎛ ⎝ ⎜ ⎞ ⎠ ⎟ , then show that ∂ ∂ ∂ ∂ ∂ ∂ 2 2 . z y x z x y 5 12. If z 5 f(x 1 ay) 1 g(x 2 ay), where a is constant, then prove that ∂ ∂ ∂ ∂ 2 2 2 2 2 . z y a z x 5 13. If x = r cos u, y = r sin u, then find ∂ ∂ ( , ) ( , ) . r x y u 14. If x 5 u(1 1 v), y 5 v(1 1 u), then find ∂ ∂ ( , ) ( , ) x y u v . 15. If u y x v x y 5 5 2 2 , , then find ∂ ∂ ( , ) ( , ) x y u v . 16. If u 5 x2 + y2 , v 5 2xy and x 5 r cos u, y 5 r sin u, then find ∂ ∂ ( , ) ( , u v r . u ) 17. If x2 y 1 3y 2 2 is expanded as Maclaurin’s series, then find the value at the point (1, 0). 18. Find the Taylor’s series expansion of xy near the point (1, 1) upto first degree terms. 19. Find the stationary points of f(x, y) 5 x3 1 3xy2 2 15x2 2 15y2 1 72x. 20. Find the stationary points of f(x, y) 5 x3 1 y3 2 3x 2 12y 1 20 OBJECTIVE TYPE QUESTIONS A. Fill up the blanks 1. If u x y x y = − + ⎛ ⎝ ⎜ ⎞ ⎠ ⎟ − sin 1 then x u x y u y ∂ ∂ + ∂ ∂ = ____________. 2. If u y x z x = + then x u x y u y ∂ ∂ + ∂ ∂ = _________. 3. The slope of the curve 2xy − ln xy = 2 at the point (1, 1) is ___________. 4. If x = r cosu, y = r sinu then ∂ ∂ ∂ ∂ = r x x r . ___________. 5. If x3 + y3 = 3axy, then dy dx = _____________. 6. If u = x + y, y = uv, then ∂ ∂ ( , ) ( , ) x y u v = ___________. 7. If u = 2 2 x y − , v = y 2 , then ∂ ∂ ( , ) ( , ) x y u v = ___________. 8. The necessary and sufficient conditions for f(x, y) to have a relative maximum at the point (a, b) is ___________. 9. The maximum value of f(x, y) = x2 + y2 subject to the constraint x = 1 is _________. 10. If the point (1, 1) is a stationary point of f(x, y) and if fxx = 6xy3 , fxy = 9x2 y, and fyy = 6x2 y, then the point (1, 1) is ___________. B. Choose the correct answer 1. If u x y y z z x = + + , then x u x y u y u z ∂ ∂ + ∂ ∂ + ∂ ∂ is equal to (a) u (b) 0 (c) 2u (d) none of these M05_ENGINEERING_MATHEMATICS-I _CH05_Part B.indd 74 5/11/2016 4:44:09 PM
  • 506.
    Differential Calculus ofSeveral Variables ■ 5.75 2. If u2 + 2v2 = 1 − x2 + y2 and u2 + v2 = x2 + y2 − 2, then ∂ ∂ v x is equal to (a) x (b) 3x (c) 3x u (d) − 2x v 3. If u = f(y − z, z − x, x − y), then ∂ ∂ + ∂ ∂ + ∂ ∂ u x u y u z is equal to (a) x + y + z (b) 1 + x + y + z (c) 1 (d) 0 4. If u x y x y = + + ⎛ ⎝ ⎜ ⎞ ⎠ ⎟ − tan 1 , then x u x y u y ∂ ∂ + ∂ ∂ is equal to (a) 2 cos2u (b) sin2 u (c) sin u (d) none of these 5. If x = r cosu, y = r sinu, then the value of ∂ ∂ + ∂ ∂ 2 2 2 2 u u x y is (a) 0 (b) 1 (c) ∂ ∂ r x (d) ∂ ∂ r y 6. If u x y z = + + 2 2 2 , then ∂ ∂ + ∂ ∂ + ∂ ∂ 2 2 2 2 2 2 u x u y u z is equal to (a) 4u (b) 2 u (c) 2u (d) − u 2 7. If u y x = ⎛ ⎝ ⎜ ⎞ ⎠ ⎟ − sin 1 , then x u x y u y ∂ ∂ + ∂ ∂ is equal to (a) 0 (b) u (c) u 2 (d) 2u 8. If f x y x y = + + ⎛ ⎝ ⎜ ⎞ ⎠ ⎟ − sin 1 2 2 , then x f x y f y ∂ ∂ + ∂ ∂ is equal to (a) f (b) 2f (c) tan f (d) sin f 9. If z e y x = sin , where x = ln t and y = t2 , then dz dt is (a) e t y t y x (sin cos ) −2 2 (b) e t y t y x (sin cos ) +2 2 (c) e t y t y x (cos sin ) +2 2 (d) e t y t y x (cos sin ) −2 2 10. If x = u + v and y = u − v, then ∂ ∂ ( , ) ( , ) x y u v is equal to (a) 0 (b) 1 (c) 2 (d) − 2 11. If u y x = 2 2 and v x y x = + 2 2 2 , then ∂ ∂ ( , ) ( , ) u v x y is equal to (a) y (b) x (c) y x 2 (d) x y 2 M05_ENGINEERING_MATHEMATICS-I _CH05_Part B.indd 75 5/11/2016 4:44:21 PM
  • 507.
    5.76 ■ EngineeringMathematics 12. Expansion of ex cos y in powers of x and y upto first degree by Taylor series is (a) 1 + x (b) 1 + y (c) 1 + x + y (d) none of these 13. The Taylor series expansion of xy about the point (1, 1) upto first degree is (a) 1 + x (b) 1 + (x − 1) (c) 2 + (x − 1) (d) 1 + (y − 1) 14. The expansion of exy is power of (x − 1) and (y − 1) upto first degree terms by Taylor series is (a) 1 1 1 + − + − ( ) ( ) x y (b) e e x e y + − + − ( ) ( ) 1 1 (c) 2 1 1 e e x e y + − + − ( ) ( ) (d) none of these 15. The linear approximation of f x y x xy y ( , ) = − + + 2 2 1 2 3 at (3, 2) is (a) 8 + 4(x − 3) − (y − 2) (b) 2x − y − 2 (c) 3 − 2(x − 3) − (y − 2) (d) none of these 16. A minimum point of f(x, y) = x2 + y2 + 6x + 12 is (a) (3, 0) (b) (−3, 0) (c) (0, 3) (d) (0, −3) 17. A stationary point of f(x, y) = x2 − xy+ y2 − 2x + y is (a) (1, 1) (b) (1, 0) (c) (0, 1) (d) (−1, 0) 18. The nature of the stationary point (0, −1) for the function f(x, y), if fxx = 4 − 12x2 , fxy = 0, and fyy = −4 + 12y2 is (a) minimum point (b) maximum point (c) saddle point (d) cannot decide 19. If w = xy + z, x = cos t, y = sin t, and z = t, then dw dt at t = 0 is (a) 0 (b) 1 (c) 2 (d) −2 20. The side a and angle A of a triangle ABC remain constant, where as the other element of the triangle slightly vary, then (a) d d b C c B cos cos + = 0 (b) d d b B c C cos cos = (c) d d b B c C cos cos + = 0 (d) none of these ANSWERS A. Fill up the blanks 1. 0 2. 0 3. − 1 4. cos2 u 5. ay x y ax − − 2 2 6. u 7. 2 8. f f rt s r x y = = − 0 0 0 0 2 , , , 9. 1 10. saddle point B. Choose the correct answer 1. (b) 2. (d) 3. (d) 4. (d) 5. (a) 6. (b) 7. (a) 8. (c) 9. (b) 10. (d) 11. (c) 12. (a) 13. (b) 14. (b) 15. (a) 16. (b) 17. (b) 18. (a) 19. (c) 20. (c) M05_ENGINEERING_MATHEMATICS-I _CH05_Part B.indd 76 5/11/2016 4:44:25 PM
  • 508.
    6.0 INTRODUCTION Calculus isone of the remarkable achievements of human intellect. It is a collection of fascinating and exciting ideas rather than a technical tool. Calculus has two main divisions ‘differential calculus’ and ‘integral calculus’. Both had their origin from geometrical problems. Integral calculus had its origin from the problem of area and differential calculus had its origin from the problem of tangent to a curve. The term integration means summation. Infact definite integral is the process of finding a limit of a sum. The integration symbol ‘∫’ was divised by stretching the summation symbol ‘S’ conveying the meaning of the process. 6.1 INDEFINITE INTEGRAL We consider indefinite integral as reverse process of differentiation. Definition 6.1 If f(x) is continuous function of x such that F′(x) 5 f(x) in [a, b], then F(x) 1 c is defined as the indefinite integral of f(x) and is denoted by f x dx ( ) ∫ . Thus, f x dx F x c ( ) ( ) = + ∫ Here f(x) is called the integrand and the arbitrary constant c is called the constant of integration, dx indicates that the variable of integration is x. f(x)dx is called an element of integration. F(x) is called an antiderivative or primitive of f(x). F(x) + c is referred to as the most general primitive. Note In computing indefinite integral, no interest is shown on the interval [a, b]. It is to be understood that f x dx F x c ( ) ( ) = + ∫ is valid in some suitable sub-interval. Leibnitz used the symbol f x dx ( ) ∫ to denote general primitive of f. 6.1.1 Properties of Indefinite Integral From the definition of indefinite integral, we have the following properties 1. d dx f x dx f x ( ) ( ) ∫ ⎡ ⎣ ⎤ ⎦ = 2. d f x f x c ( ( )) ( ) = + ∫ 3. d f x dx f x dx ( ) ( ) ∫ ( )= 4. [ ( ) ( )] ( ) ( ) f x g x dx f x dx g x dx ± = ± ∫ ∫ ∫ 5. kf x dx k f x dx ( ) ( ) , = ∫ ∫ where k is a constant. 6 Integral Calculus M06_ENGINEERING_MATHEMATICS-I _CH06_PART A.indd 1 5/19/2016 4:42:30 PM
  • 509.
    6.2 ■ EngineeringMathematics Table of Integrals Now we list the standard indefinite integrals derived from the derivatives of standard functions 1. x dx x n n n n = + ≠ − + ∫ 1 1 1 if 2. dx x x c e = + ∫ log 3. e dx e c x x = + ∫ 4. sin cos x dx x c = − + ∫ 5. cos sin xdx x c = + ∫ 6. tan log sec xdx x c e = + ∫ 7. sec log sec tan log tan x dx x x c x c e e = + + + ⎛ ⎝ ⎜ ⎞ ⎠ ⎟ + ∫ or p 4 2 8. cos log cos cot log tan ec ec or x dx x x c x c e e = − + + + ∫ 2 9. cot log sin xdx x c = + ∫ 10. sec tan 2 xdx x c = + ∫ 11. cos cot ec2 xdx x c = − + ∫ 12. sec tan sec x x dx x c = + ∫ 13. cos cot cos ec ec x x dx x c = − + ∫ 14. dx a x a x a c a 2 2 1 1 0 + = + ≠ − ∫ tan , 15. dx a x a a x a x c e 2 2 1 2 − = + − + ∫ log 16. dx x a a x a x a c e 2 2 1 2 − = − + + ∫ log 17. dx a x x a c a x a a 2 2 1 0 − = + − − ∫ sin , , . 18. dx x a x x a c x a e 2 2 2 2 0 − = + − + ∫ log , 19. dx a x x a x c e 2 2 2 2 + = + + + ∫ log 20. dx x x a a x a c 2 2 1 1 − = + − ∫ sec 21. [ ( )] ) [ ( )] f x f x dx f x n c n n n ′( = + + ≠ − + ∫ 1 1 1 if 22. f x f x dx f x c e ′( ) ( ) log ( ) ∫ = + 23. a x dx x a x a x a c 2 2 2 2 2 1 2 2 − = − + + − ∫ sin 24. a x dx x x a a x x a c e 2 2 2 2 2 2 2 2 2 + = + + + + ( ) + ∫ log 25. x a dx x x a a x x a c e 2 2 2 2 2 2 2 2 2 − = − − + − ( ) + ∫ log 26. If f x dx F x c f ax b dx a F ax b c ( ) ( ) , ( ) ( ) = + + = + + ∫ ∫ then 1 27. a dx a a c a a x x e = + ≠ ∫ log , , 0 1 M06_ENGINEERING_MATHEMATICS-I _CH06_PART A.indd 2 5/19/2016 4:42:35 PM
  • 510.
    Integral Calculus ■6.3 In the above formula the derivative of the R.H.S is the integrand. In the evaluation of the integrals, three main techniques are used. They are 1. Integration by substitution 2. Integration by partial fractions 3. Integration by parts 6.1.2 Integration by Parts If u and v are differentiable function of x, then uv dx uv u v dx = − ∫ ∫ 1 1 ′ where u du dx v v dx ′ = = ∫ , 1 Integration by parts is used when the integrand is a product of two functions. The success of this method depends upon the proper choice of u as that function which comes first in the word ‘ILATE’, where I – inverse circular function, L – logarithmic function A – algebraic function, T – Trigonometric function E – exponential function 6.1.3 Bernoulli’s Formula If u and v are differentiable functions of x, then uv dx uv u v u v u v = − + − + ∫ 1 2 3 4 ′ ″ ″′ … where primes denote differentiation and suffixes denote integration. That is u du dx u d u dx u d u dx ′ ″ ″′ … = = = , , , 2 2 3 3 and v vdx v v dx v v dx v v dx 1 2 1 3 2 4 3 = = = = ∫ ∫ ∫ ∫ , , , , … If u is a polynomial in x, then Bernoulli’s formula terminates. 6.1.4 Special Integrals 1. e f x f x dx e f x c x x [ ( ) ( )] ( ) + = + ∫ ′ 2. e bx dx e a b a bx b bx ax ax cos [ cos sin ] = + + ∫ 2 2 3. e bx dx e a b a bx b bx ax ax sin [ sin cos ] = + − ∫ 2 2 Solution. To prove e bx dx e a b a bx b bx ax ax sin [ sin cos ] = + − ∫ 2 2 Let I e bx dx ax = ∫ sin . It is a product of two functions. So, we use integration by parts to evaluate the integral. Taking u e u ae ax ax = = , . ′ M06_ENGINEERING_MATHEMATICS-I _CH06_PART A.indd 3 5/19/2016 4:42:36 PM
  • 511.
    6.4 ■ EngineeringMathematics and v bx v vdx bx dx bx b = = = = − ∫ ∫ sin , sin cos 1 [ I uv u v dx e bx b ae bx b dx e ax ax ax = − = − ⎡ ⎣ ⎢ ⎤ ⎦ ⎥ − − ⎡ ⎣ ⎢ ⎤ ⎦ ⎥ = − ∫ ∫ 1 1 ′ cos cos cos s cos cos sin sin bx b a b e bx dx e bx b a b e bx b ae bx b ax ax ax ax + = − + − ⎧ ⎨ ⎩ ⎫ ∫ ∫ ⎬ ⎬ ⎭ dx [Again integrating by parts] I e bx b a b e bx a b e bx dx ax ax ax = − + − ∫ cos sin sin 2 2 2 ⇒ I e b a bx b bx a b I ax = − − 2 2 2 [ sin cos ] ⇒ 1 2 2 2 + ⎛ ⎝ ⎜ ⎞ ⎠ ⎟ = − a b I e b a bx b bx ax [ sin cos ] ⇒ a b b I e b a bx b bx ax 2 2 2 2 + ⎛ ⎝ ⎜ ⎞ ⎠ ⎟ = − [ sin cos ] ⇒ I e a b a bx b bx ax = + − 2 2 [ sin cos ] [ e bx dx e a b a bx b bx ax ax sin [ sin cos ] = + − ∫ 2 2 Similarly, (2) is e bx dx e a b a bx b bx ax ax cos [ cos sin ] = + + ∫ 2 2 Remember as below: e bx dx e a b a bx d dx bx e bx dx e a ax ax ax ax sin sin (sin ) cos = + − ⎡ ⎣ ⎢ ⎤ ⎦ ⎥ = ∫ 2 2 2 2 2 + − ⎡ ⎣ ⎢ ⎤ ⎦ ⎥ ∫ b a bx d dx bx cos (cos ) WORKED EXAMPLES EXAMPLE 1 Evaluate e x x dx x 2 2 3 cos sin . ∫ Solution. Let I e x x dx x = ∫ 2 2 3 cos sin We know sin cos [sin( ) sin( )] A B A B A B = + + − 1 2 M06_ENGINEERING_MATHEMATICS-I _CH06_PART A.indd 4 5/19/2016 4:42:39 PM
  • 512.
    Integral Calculus ■6.5 [ sin cos [sin( ) sin( )] 3 2 1 2 3 2 3 2 x x x x x x = + + − = + 1 2 5 [sin sin ] x x [ I e x x dx x = + ∫ 2 1 2 5 (sin sin ) = + = ⋅ + − + ⋅ ∫ ∫ 1 2 5 1 2 1 2 4 25 2 5 5 5 1 2 2 2 2 e x dx e x dx e x x e x x x sin sin [ sin cos ] 2 2 2 2 4 1 2 58 2 5 5 5 10 2 x x x x x c e x x e x x + − + = − + − [ sin cos ] [ sin cos ] [ sin cos ] ]+ c EXAMPLE 2 Evaluate x x dx 2 1 tan . 2 ∫ Solution. Let I x x dx = − ∫ 2 1 tan Take u x v x = = − tan 1 2 and [ u x v x dx x ′ = + = = ∫ 1 1 3 2 1 2 3 and Integrating by parts, we get I uv u v dx = − ∫ 1 1 ′ = ⋅ − + − ∫ tan ( ) 1 3 2 3 3 1 1 3 x x x x dx = − + = − + − + = − − ∫ ∫ x x x x dx x x x x x x dx x 3 1 3 2 3 1 2 2 3 3 1 3 1 3 1 3 1 1 3 tan tan ( ) tan− − − − + ⎛ ⎝ ⎜ ⎞ ⎠ ⎟ ⎧ ⎨ ⎩ ⎫ ⎬ ⎭ ∫ 1 2 1 3 1 x x x x dx ⇒ I x x x x c e = − − + ⎡ ⎣ ⎢ ⎤ ⎦ ⎥ + − 3 1 2 2 3 1 3 2 1 2 1 tan log ( ) ⇒ x x dx x x x x c e 2 1 3 1 2 2 3 6 1 6 1 tan tan log ( ) − − = − + + + ∫ EXAMPLE 3 Evaluate x x dx n log . e ∫ Solution. Let I x x dx n e = ∫ log Take u x v x e n = = log and [ u x v x dx x n n n ′ = = = + + ∫ 1 1 1 1 and Integrating by parts, we get I uv u v dx = − ∫ 1 1 ′ = ⋅ + − ⋅ + + + ∫ loge n n x x n x x n dx 1 1 1 1 1 M06_ENGINEERING_MATHEMATICS-I _CH06_PART A.indd 5 5/19/2016 4:42:42 PM
  • 513.
    6.6 ■ EngineeringMathematics = + − + = + − + + + = + + + + ∫ x x n n x dx x x n n x n c x n e n n e n n 1 1 1 1 1 1 1 1 1 1 log log ( ) ( ) 1 1 1 2 1 2 1 1 1 1 1 log ( ) ( ) [( )log ] e n n e x n x n c x n n x c + − + + = + + − + + + [ x x dx x n n x c n n log ( ) [( )log ] = + + − + + ∫ 1 2 1 1 1 EXAMPLE 4 Evaluate 3 2 x x dx sin . ∫ Solution. Let I x dx x = ∫3 2 sin Take u v x x = = 3 2 , sin [ u v x x e ′ − = = 3 3 2 2 1 log cos and Integrating by parts, we get I x x dx x x x e x e = − ⎛ ⎝ ⎜ ⎞ ⎠ ⎟ − − ⎛ ⎝ ⎜ ⎞ ⎠ ⎟ = − + ∫ 3 2 2 3 3 2 2 3 2 2 1 2 cos log cos cos log 3 3 3 2 3 2 2 1 2 3 3 2 2 3 3 2 2 x x e x x e x dx x x x dx cos cos log sin log sin ∫ ∫ = − + − ⎡ ⎣ ⎢ ⎤ ⎤ ⎦ ⎥ = − + − ( ) ∫ 3 2 2 1 4 3 3 2 1 4 3 3 2 2 x e x e x x x x dx cos (log ) sin log sin ⇒ I x x I x e x e = − + − ( ) 3 2 2 1 4 3 3 2 1 4 3 2 cos (log ) sin log ? ⇒ 1 1 4 3 3 2 2 1 4 3 3 2 2 + ⎛ ⎝ ⎜ ⎞ ⎠ ⎟ = − + (log ) cos (log ) sin e x e x I x x ? ⇒ 4 3 4 3 2 2 1 4 3 3 2 2 + ⎛ ⎝ ⎜ ⎞ ⎠ ⎟ = − + (log ) cos (log ) sin e x e x I x x ? [ I x x c x e e = + − + + 3 4 3 2 2 3 2 2 (log ) [ cos log sin ] EXAMPLE 5 Evaluate x e dx x 3 2 2 ∫ . Solution. Let I x e dx x = − ∫ 3 2 M06_ENGINEERING_MATHEMATICS-I _CH06_PART A.indd 6 5/19/2016 4:42:45 PM
  • 514.
    Integral Calculus ■6.7 By Bernoulli’s formula, I uv u v u v u v = − + − + 1 2 3 4 ′ ″ ″′ … where u x v e x = = − 3 2 and [ u x u x u ′ ″ = ″′ = = 3 6 6 2 , , and v e dx e x x 1 2 2 2 = = − − − ∫ v e dx e e x x x 2 2 2 2 2 2 1 2 2 2 = − = − − = − − − − ∫ ( ) ( ) ( ) , v e dx e e x x x 3 2 2 2 2 2 3 2 2 2 2 = − = − − = − − − − ∫ ( ) ( ) ( ) ( ) v e dx e e x x x 4 2 3 2 3 2 4 2 2 2 2 = − = − − = − − − − ∫ ( ) ( ) ( ) ( ) [ I x e x e x e e c x x x x = − − − + − − − + − − − − 3 2 2 2 2 2 3 2 4 2 3 2 6 2 6 2 ( ) ( ) ( ) = − − − − ⎡ ⎣ ⎢ ⎤ ⎦ ⎥ + − e x x x c x 2 3 2 2 3 4 6 8 6 16 [ x e dx e x x x c x x 3 2 2 3 2 8 4 6 6 3 − − ∫ = − + + + + [ ] EXAMPLE 6 Evaluate x x dx 2 2 sin . ∫ Solution. Let I = x x dx 2 2 sin ∫ By Bernoulli’s formula, I = uv1 − u′v2 + u″v3 − u′″v4 +… Where u = x2 and v = sin 2x ∴ u′ = 2x, u″ = 2, u′″ = 0 and v1 = sin cos 2 2 2 x dx x = − ∫ V2 = − cos sin 2 2 2 4 x dx x = − ∫ V3 = − = − ⎛ ⎝ ⎜ ⎞ ⎠ ⎟ = ∫ sin cos cos 2 4 1 4 2 2 1 8 2 x x x ∴ I x x x x x c x x x = ⎛ ⎝ ⎜ ⎞ ⎠ ⎟ − ⎛ ⎝ ⎜ ⎞ ⎠ ⎟ + + = − + 2 2 2 2 2 2 2 4 2 2 8 1 2 2 2 − − cos sin cos cos s sin cos 2 1 4 2 x x c + + = 1 4 2 2 1 2 2 2 x x x x c sin ( )cos + − ⎡ ⎣ ⎤ ⎦ + EXAMPLE 7 Evaluate e x x dx x 1 1 2 2 2 1 ⎛ ⎝ ⎜ ⎞ ⎠ ⎟ ∫ . Solution. Let I e x x dx e x x dx x x = − + ⎛ ⎝ ⎜ ⎞ ⎠ ⎟ = − + ∫ ∫ 1 1 1 1 2 2 2 2 2 ( ) ( ) M06_ENGINEERING_MATHEMATICS-I _CH06_PART A.indd 7 5/19/2016 4:42:48 PM
  • 515.
    6.8 ■ EngineeringMathematics = + − + = + − + ⎡ ⎣ ⎢ ⎤ ⎦ ⎥ ∫ ∫ e x x x dx e x x x dx x x ( ) ( ) ( ) 1 2 1 1 1 2 1 2 2 2 2 2 2 If f x x f x x x ( ) , ( ) ( ) = + = − + 1 1 2 1 2 2 2 then ′ [ I e f x f x dx x = + ∫ [ ( ) )] ′( = + = + + e f x c e x c x x ( ) 1 2 EXAMPLE 8 Evaluate e x x x dx x ( ) ( ) / 3 2 3 2 1 1 1 1 1 ∫ . Solution. Let I e x x x dx e x x x dx e x x x x x = + + + = + + + = + ∫ ∫ ( ) ( ) [ ( ) ] ( ) ( / / 3 2 3 2 2 2 3 2 2 1 1 1 1 1 1 1 1 1 1 2 2 3 2 ) ( ) / / + + ⎡ ⎣ ⎢ ⎤ ⎦ ⎥ ∫ x If f x x x ( ) ( ) , / = + 2 1 2 1 then f x x x x x x ′( ) ( ) ( ) ( ) / / / = + ⋅ − ⋅ + ⋅ + ⎡ ⎣ ⎤ ⎦ − 2 1 2 2 1 2 1 2 1 2 2 1 1 1 2 1 2 1 = + − + + = + − + + = − ( ) ( ) ( ) ( ) ( ) / / / / x x x x x x x x x 2 1 2 2 1 2 2 2 2 1 2 2 2 1 2 2 2 1 1 1 1 1 1 + + − + = + 1 1 1 1 2 2 3 2 2 3 2 x x x ( ) ( ) / / [ I e f x f x dx x = + ∫ [ ( ) ( )] ′ = + = + + e f x c e x x c x x ( ) ( ) / 1 2 1 2 EXAMPLE 9 Evaluate e x x x dx x tan ( ) . 2 ? 1 1 1 1 1 1 2 2 ∫ Solution. Let I e x x x dx x = + + + − ∫ tan ( ) 1 1 1 2 2 ⋅ Put t x dt dx x = ∴ = + − tan 1 2 1 and x t = tan [ I e t t dt t = + + ∫ [ tan tan ] 1 2 = + = + ∫ ∫ e t t dt e t t dt t t [sec tan ] [tan sec ] 2 2 If f t t ( ) tan , = then f t t ′( ) sec = 2 [ I e f t f t dt t = + ∫ [ ( ) ( )] ′ = + = + = + − e f t c e t c xe c t t x ( ) tan tan 1 M06_ENGINEERING_MATHEMATICS-I _CH06_PART A.indd 8 5/19/2016 4:42:51 PM
  • 516.
    Integral Calculus ■6.9 EXERCISE 6.1 Evaluate the following integrals: 1. x x dx 2 3 sin ∫ 2. x x dx 2 1 tan− ∫ 3. x x dx 2 1 sec− ∫ 4. e x dx x 2 4 cos ∫ 5. x x dx e log ∫ 6. x x dx 2 sin ∫ 7. log x dx ( ) ∫ 2 8. x e dx x 5 2 ∫ 9. e x dx x 3 5 sin ∫ 10. x x dx 3 cos ∫ 11. e x x dx x 2 3 5 sin cos ∫ 12. x e dx x 2 5 − ∫ 13. e x x dx x + + ⎛ ⎝ ⎜ ⎞ ⎠ ⎟ ∫ 1 2 2 ( ) 14. e x x x dx x 2 2 3 3 2 + + + ⎛ ⎝ ⎜ ⎞ ⎠ ⎟ ∫ ( ) 15. e x x dx x 1 1 + + ⎛ ⎝ ⎜ ⎞ ⎠ ⎟ ∫ sin cos 16. e x x dx x 4 6 2 cos cos ∫ 17. sin− ∫ 1 x dx 18. a x dx 2 2 + ∫ 19. x x dx 4 sin ∫ 20. x x dx 2 2 cos ∫ ANSWERS TO EXERCISE 6.1 1. − + + + 1 3 3 2 9 3 2 9 3 2 x x x x x c cos sin cos 2. x x x x c 3 1 2 2 3 1 3 2 1 2 1 tan log( ) − − − + ⎡ ⎣ ⎢ ⎤ ⎦ ⎥ + 3. x x x x c 3 1 2 2 3 1 3 1 3 1 2 sec ( ) − − − − + ⎡ ⎣ ⎢ ⎤ ⎦ ⎥ + 4. e x x c x 2 20 2 4 4 4 [ cos sin ] + + 5. x x x c 2 2 2 4 log − + 6. 2 2 2 x x x x c sin cos ( ) + − + 7. x x x x x c (log ) log 2 2 2 − + + 8. e x x x x x x 2 5 4 3 2 5 2 5 2 15 4 15 4 15 8 − + − + − ⎡ ⎣ ⎢ ⎤ ⎦ ⎥ 9. e x x c x 3 34 3 5 5 5 [ sin cos ] − + 10. x x x x x x x c 3 2 3 6 sin cos sin cos + − − + 11. e x x e x x c x x 2 2 6 8 4 8 8 2 2 [sin cos ] [sin cos ] − − − + 12. e x x c x − − + − ⎡ ⎣ ⎢ ⎤ ⎦ ⎥ + 5 2 5 2 25 2 125 13. e x x c x − + ⎛ ⎝ ⎜ ⎞ ⎠ ⎟ + 1 1 14. e x x c x + + ⎛ ⎝ ⎜ ⎞ ⎠ ⎟ + 1 2 15. e x c x ⋅ + tan 2 16. e x x e x x c x x 4 4 40 8 2 8 16 4 4 [cos sin ] [cos sin ] + + + + 17. x x x c sin− + − + 1 2 1 18. x a x a x a x c e 2 2 2 2 2 2 2 + + + + + log 19. x x x x x x c 2 4 2 4 6 12 24 ( )sin ( )cos − − − + + 20. 1 4 1 2 2 2 2 2 ( )sin cos + + ⎡ ⎣ ⎤ ⎦ + x x x x c M06_ENGINEERING_MATHEMATICS-I _CH06_PART A.indd 9 5/19/2016 4:42:58 PM
  • 517.
    6.10 ■ EngineeringMathematics 6.2 DEFINITE INTEGRAL (NEWTON–LEIBNITZ FORMULA) Definition 6.2 If f(x) is a continuous function on [a, b] and F x f x ′( ) ( ) = on [a, b], then the definite integral f x dx a b ( ) ∫ is defined as F(b) 2 F(a). [ f x dx F b F a a b ( ) ( ( ) = − ∫ ) Note 1. The difference F(b) − F(a) is written symbolically F x a b ( ) [ ] . Hence, the definite integral f x dx F x F b F a a b a b ( ) ( ) ( ) ( ) = [ ] = − ∫ 2. Newton–Leibnitz formula gives a practical method of computing definite integrals when an anti derivative of the integrand is known. 3. In a definite integral f x dx a b ( ) , ∫ when substitution or transformation of variable is made, it should be either an increasing function or a decreasing function in the given interval. 6.2.1 Properties of Definite Integral If f(x) is a continuous and integrable function of x in [a, b], then the following properties are satisfied. 1. f x dx f x dx a b b a ( ) ( ) = −∫ ∫ 2. f x dx f x dx f x dx a c b c b a c a b ( ) ( ) ( ) , = + ∫ ∫ ∫ 3. f x dx f a b x dx a b a b ( ) ( ) = + − ∫ ∫ 4. f x dx f a x dx a a ( ) ( ) = − ∫ ∫ 0 0 5. f x dx f x dx a a a ( ) ( ) = ∫ ∫ − 2 0 if f(x) is an even function of x (i.e., f(−x) = f(x) ∀ x ∈[−a, a]) and f x dx a a ( ) = − ∫ 0 if f(x) is an odd function of x (i.e., f(−x) = −f(x) ∀ x ∈[−a, a]) 6. f x dx f x dx a a ( ) ( ) = ∫ ∫ 2 0 0 2 if f(2a − x) = f(x) and f x dx a ( ) = ∫ 0 0 2 if f(2a − x) = −f(x) 7. If f x g x ( ) ( ), ≤ then f x dx g x dx a b a b ( ) ( ) ≤ ∫ ∫ M06_ENGINEERING_MATHEMATICS-I _CH06_PART A.indd 10 5/19/2016 4:43:01 PM
  • 518.
    Integral Calculus ■6.11 Note f x dx f u du f t dt a b a b a b ( ) ( ) ( ) = = ∫ ∫ ∫ That is the value of a definite integral is unaffected by the change of dummi variable, if the limits and function are the same. Periodic Function Definition 6.3 A real function f is said to be periodic if there exists a positive number T such that f x T f x x R ( ) ( ) . + = ∀ ∈ The smallest such T is called the period of the function. EXAMPLE We know cos( ) cos ,cos( ) cos , x x x x + = + = 2 4 p p cos( ) cos . x x + = 6p and so on The smallest one is 2p. So, 2p is the period of cos x. 8. If f(x) is periodic with period T, then (i) f x dx n f x dx n Z a T a a nT ( ) ( ) , = ∈ ∫ ∫ + (ii) f x dx n f x dx n Z T nT ( ) ( ) , = ∈ ∫ ∫ 0 0 (iii) f x dx f x dx n Z a b a nT b nT ( ) ( ) , = ∈ ∫ ∫ + + Now we shall prove these formulae. 1. f x dx f x dx a b b a ( ) ( ) 52∫ ∫ Proof Let F x f x a b ′( ) ( ) [ , ] = on By Newton–Leibnitz formula, f x dx F x F b F a a b a b ( ) ( ) ( ) ( ) = [ ] = − ∫ and f x dx F x F a F b F b F a b a b a ( ) ( ) ( ) ( ) ( ) ( ) =[ ] = − = − − [ ] ∫ [ f x dx f x dx a b b a ( ) ( ) = − ∫ ∫ ■ M06_ENGINEERING_MATHEMATICS-I _CH06_PART A.indd 11 5/19/2016 4:43:03 PM
  • 519.
    6.12 ■ EngineeringMathematics 2. f x dx f x dx f x dx c c b a a a ( ) ( ) ( ) 5 1 ∫ ∫ ∫ Proof We have f x dx F b F a f x dx F c F a a b a c ( ) ( ) ( ) ( ) ( ) ( ) = − = − ∫ ∫ and f x dx F b F c c b ( ) ( ) ( ) = − ∫ ∴ f x dx f x dx F c F a F b F c c b a c ( ) ( ) ( ) ( ) ( ) ( ) + = − + − ∫ ∫ = − = ∫ F b F a f x dx a b ( ) ( ) ( ) ∴ f x dx f x dx f x dx c a a c a b ( ) ( ) ( ) = + ∫ ∫ ∫ ■ 3. f x dx f a b x dx a b a b ( ) ( ) 5 1 2 ∫ ∫ Proof R.H.S = f a b x dx a b ( ) + − ∫ Put t a b x dt dx dx dt = + − ∴ = − ⇒ = − When x = a, t = b and when x = b, t = a ∴ R.H.S = − = −∫ ∫ f t dt f t dt b a b a ( )( ) ( ) = = = ∫ ∫ f t dt f x dx a b a b ( ) ( ) L.H.S [by property 1] ∴ f x dx f a b x dx a b a b ( ) ( ) = + − ∫ ∫ ■ 4. f x dx f a x dx a a ( ) ( ) 5 2 0 0 ∫ ∫ Proof In 3, put a = 0, b = a, then a b x a x + − = − ∴ f x dx f a x dx a a ( ) ( ) . = − ∫ ∫ 0 0 ■ M06_ENGINEERING_MATHEMATICS-I _CH06_PART A.indd 12 5/19/2016 4:43:07 PM
  • 520.
    Integral Calculus ■6.13 5. f x dx f x dx a a a ( ) ( ) 5 2 2 0 ∫ ∫ if f(x) is an even function of x and f x dx a a ( ) 5 2 0 ∫ if f(x) is an odd function of x Proof f x dx f x dx f x dx a a a a ( ) ( ) ( ) = + ∫ ∫ ∫ − − 0 0 (1) [by property 2] Let I f x dx a = − ∫ ( ) 0 Put x t dx dt = − ∴ = − When x = −a, t = a and when x = 0, t = 0 ∴ I f t dt a = − − ∫ ( )( ) − 0 = − − = − = − ∫ ∫ ∫ f t dt f t dt f x dx a a a ( ) ( ) ( ) 0 0 0 [by note] If f(x) is an even function of x, then f(−x) = f(x). ∴ f x dx f x dx a a ( ) ( ) = ∫ ∫ 0 0 If f(x) is an odd function of x, then f(−x) = −f(x). ∴ f x dx f x dx a a ( ) ( ) = −∫ ∫ − 0 0 Substituting in (1), we get f x dx f x dx f x dx a a a a ( ) ( ) ( ) = + ∫ ∫ ∫ − 0 0 = ∫ 2 0 f x dx a ( ) if f (x) is an even function of x and f x dx f x dx f x dx a a a a ( ) ( ) ( ) = − + ∫ ∫ ∫ − 0 0 = 0 if f (x) is an odd function of x. ■ 6. f x dx f x dx f a x f x a a ( ) ( ) ( ) ( ) 5 2 5 2 if 2 0 0 2 ∫ ∫ and f x dx f a x f x a ( ) ( ) ( ) 5 2 52 0 2 0 2 if ∫ Proof f x dx f x dx f x dx a a a a ( ) ( ) ( ) = + ∫ ∫ ∫ 2 0 0 2 (1) Let I f x dx a a = ∫ ( ) 2 M06_ENGINEERING_MATHEMATICS-I _CH06_PART A.indd 13 5/19/2016 4:43:10 PM
  • 521.
    6.14 ■ EngineeringMathematics Put 2a x t dx dt dx dt − = ∴ − = ⇒ = − When x = a, t = a and when x = 2a, t = 0 ∴ I f a t dt a = − − ∫ ( )( ) 2 0 = − − = − = − ∫ ∫ ∫ f a t dt f a t dt f a x dx a a a ( ) ( ) ( ) 2 2 2 0 0 0 ∴ I f x dx f a x dx a a a = = − ∫ ∫ ( ) ( ) 2 0 2 If f (2a−x) = f (x), then f x dx f x dx a a a ( ) ( ) = ∫ ∫ 0 2 . If f (2a−x) = − f (x) , then f x dx f x dx a a a ( ) ( ) = −∫ ∫ 0 2 . Substituting in (1), we get f x dx f x dx f x dx f x dx f a x f x f x a a a a ( ) ( ) ( ) ( ) ( ) ( ) ( = + = − = ∫ ∫ ∫ ∫ 0 0 0 2 0 2 2 if ) ) ( ) ( ) ( ) ( ) dx f x dx f x dx f a x f x a a a = − = − = − ∫ ∫ ∫ 0 0 0 2 0 2 if ■ 8. ( ) ( ) ( ) i f x dx n f x dx a T a a nT 5 1 ∫ ∫ Proof Given f(x) is periodic with period T. [ f x T f x x R ( ) ( ) + = ∀ ∈ and f x rT f x Z ( ) ( ) + = ∀ ∈ r 1 ( ) Now f x dx f x dx f x dx f x dx a a nT a a T a rT a r T a ( ) ( ) ( ) ( ) ( ) + + + + + + ∫ ∫ ∫ = + + + + + … … 1 T T a T a n T a nT f x dx + + − + ∫ ∫ 2 1 ( ) ( ) Consider, I f x dx a rT a r T = + + + ∫ ( ) ( ) 1 Put x y rT dx dy = + ∴ = When x a rT y rT a rT y a = + + = + ⇒ = , When x a r T = + + ( ) , 1 y rT a r T y a rT T rT a T + = + + = + + = + ( ) 1 ⇒ − [ f x dx f y rT dy a a T a rT a r T ( ) ( ) ( ) = + + + + + ∫ ∫ 1 = = + + ∫ ∫ f y dy f x dx a a T a a T ( ) ( ) [using (1)] Putting r = 1, 2, 3, …, (n − 1) in I, we get f x dx f x dx f x dx f x dx a a T a T a T a a T a T a T ( ) ( ) , ( ) ( ) , , = = + + + + + + ∫ ∫ ∫ ∫ 2 2 3 … M06_ENGINEERING_MATHEMATICS-I _CH06_PART A.indd 14 5/19/2016 4:43:14 PM
  • 522.
    Integral Calculus ■6.15 [ f x dx f x dx f x dx f x dx f a a T a n T a nT a a T a a nT ( ) ( ) ( ) ( ) ( ( ) = = + + + − + + + ∫ ∫ ∫ ∫ 1 x x dx f x dx f x dx a a T a a T a a T ) ( ) ( ) + + + ∫ ∫ ∫ + + + … ⇒ f x dx n f x dx a a nT a a T ( ) ( ) 1 1 5 ∫ ∫ ■ 8. ( ) ( ) ( ) ii 0 0 f x dx n f x dx T nT 5 ∫ ∫ Putting a = 0 in 8(i), we get f x dx n f x dx T nT ( ) ( ) . 5 0 0 ∫ ∫ ■ 8. ( ) ( ) ( ) , . iii f x dx f x dx n z a nT b nT a b 1 1 5 e ∫ ∫ Put x = nT + y ∴ dx = dy When x = a + nT, then a + nT = nT + y ⇒ y = a When x = b + nT, then b + nT = nT + y ⇒ y = b ∴ f x dx f y nT dy f y dy a nT b nT a b a b ( ) ( ) ( ) = + = + + ∫ ∫ ∫ since f is of period T. ∴ ∈ f x dx f x dx n z a b a nT b nT ( ) ( ) , . = ∫ ∫ + + WORKED EXAMPLES EXAMPLE 1 Show that sin sin cos n n n x x x dx 1 5 p p 0 2 4 ∫ . Solution. Let I x x x dx n n n = + ∫ sin sin cos 0 2 p (1) Also I x x x dx x n n n n = − ⎛ ⎝ ⎜ ⎞ ⎠ ⎟ − ⎛ ⎝ ⎜ ⎞ ⎠ ⎟ + − ⎛ ⎝ ⎜ ⎞ ⎠ ⎟ = ∫ sin sin cos cos c p p p p 2 2 2 0 2 o os sin n n x x dx + ∫ 0 2 p (2) M06_ENGINEERING_MATHEMATICS-I _CH06_PART A.indd 15 5/19/2016 4:43:15 PM
  • 523.
    6.16 ■ EngineeringMathematics (1) + (2) ⇒ 2 0 2 I x x x x dx n n n n = + + ∫ sin cos sin cos p = = [ ] = ∫dx x 0 2 0 2 2 p p p ∴ I = p 4 ⇒ sin sin cos n n n x x x dx + = ∫ 0 2 4 p p Note Since the right hand side is independent of n, this is true for all n. Similarly, cos cos sin n n n x x x dx + = ∫ 0 2 4 p p for any n. EXAMPLE 2 Prove that log tan log . e e x dx 1 8 2 0 4 1 p p ( ) = ∫ Solution. Let I x dx e = + ( ) ∫log tan 1 0 4 p (1) Also I x dx e = + − ⎛ ⎝ ⎜ ⎞ ⎠ ⎟ ⎡ ⎣ ⎢ ⎤ ⎦ ⎥ ∫log tan 1 4 0 4 p p [by property 4] Now tan p 4 − ⎛ ⎝ ⎜ ⎞ ⎠ ⎟ x = − + = − + tan tan tan tan tan tan p p 4 1 4 1 1 x x x x ∴ 1 4 1 1 1 + − ⎛ ⎝ ⎜ ⎞ ⎠ ⎟ = + − + tan tan tan p x x x = + + − + = + 1 1 1 2 1 tan tan tan tan x x x x . ∴ I x dx e = + ⎛ ⎝ ⎜ ⎞ ⎠ ⎟ ∫log tan 2 1 0 4 p (2) (1) + (2) ⇒ 2 1 2 1 0 4 0 4 I x dx x dx e e = + ( ) + + ⎛ ⎝ ⎜ ⎞ ⎠ ⎟ ∫ ∫log tan log tan p p = + ( )+ + ⎛ ⎝ ⎜ ⎞ ⎠ ⎟ ⎡ ⎣ ⎢ ⎤ ⎦ ⎥ ∫ log tan log tan e e x x dx 1 2 1 0 4 p = + ( ) + ⎛ ⎝ ⎜ ⎞ ⎠ ⎟ ⎡ ⎣ ⎢ ⎤ ⎦ ⎥ ∫ log tan tan e x x dx 1 2 1 0 4 p M06_ENGINEERING_MATHEMATICS-I _CH06_PART A.indd 16 5/19/2016 4:43:19 PM
  • 524.
    Integral Calculus ■6.17 = = [ ] = ⎛ ⎝ ⎜ ⎞ ⎠ ⎟ ∫log log log e e e dx x 2 2 2 4 0 4 0 4 p p p ∴ I e = p 8 2 log EXAMPLE 3 Prove that x x dx 1 2 1 4 3 4 1 5 p 2 p p sin . ⎡ ⎣ ⎤ ⎦ ∫ Solution. Let I x x dx = + ∫ 1 4 3 4 sin p p (1) First remove x by using property 4. Here f x x x a b ( ) sin , , = = = 1 4 3 4 + p p ∴ f a b x f x f x ( ) ( ) + − = + − ⎛ ⎝ ⎜ ⎞ ⎠ ⎟ = − p p p 4 3 4 ∴ f x x x x x ( ) sin( ) sin p p p p − = − + − = − + 1 1 Since f x dx f a b x dx a b a b ( ) ( ) = + − ∫ ∫ , we have I x x dx = − + ∫ p p p 1 4 3 4 sin 2 ( ) (1) + (2) ⇒ 2 1 1 4 3 4 4 3 4 I x x dx x x dx = + + − + ∫ ∫ sin sin p p p p p = + − + = + ∫ ∫ x x x dx x dx p p p p p p 1 1 4 3 4 4 3 4 sin sin = + − ⎛ ⎝ ⎜ ⎞ ⎠ ⎟ ∫ p p p p dx x 1 2 4 3 4 cos = − ⎛ ⎝ ⎜ ⎞ ⎠ ⎟ ∫ p p p p dx x 2 1 2 2 2 4 3 4 cos M06_ENGINEERING_MATHEMATICS-I _CH06_PART A.indd 17 5/19/2016 4:43:22 PM
  • 525.
    6.18 ■ EngineeringMathematics = − ⎛ ⎝ ⎜ ⎞ ⎠ ⎟ ∫ p p 2 4 2 2 4 3 4 sec x dx p p = − ⎛ ⎝ ⎜ ⎞ ⎠ ⎟ − ⎡ ⎣ ⎢ ⎢ ⎢ ⎢ ⎤ ⎦ ⎥ ⎥ ⎥ ⎥ p p p p 2 4 2 1 2 4 3 4 tan x = − − ⎛ ⎝ ⎜ ⎞ ⎠ ⎟ − − ⎛ ⎝ ⎜ ⎞ ⎠ ⎟ ⎡ ⎣ ⎢ ⎤ ⎦ ⎥ p p p p p tan tan 4 3 8 4 8 = − − ⎛ ⎝ ⎜ ⎞ ⎠ ⎟ − ⎛ ⎝ ⎜ ⎞ ⎠ ⎟ ⎡ ⎣ ⎢ ⎤ ⎦ ⎥ p p p tan tan 8 8 = − − − ⎡ ⎣ ⎢ ⎤ ⎦ ⎥ p p p tan tan 8 8 ⇒ 2 2 8 2 2 1 I = = − ( ) p p p tan { tan tan p 8 22 1 2 2 1 = ° = − ⎡ ⎣ ⎢ ⎤ ⎦ ⎥ ∴ I = − ( ) p 2 1 EXAMPLE 4 Evaluate log sin e xdx 0 2 p ∫ . Solution. Let I xdx e = ∫log sin 0 2 p (1) Also I x dx e = − ⎛ ⎝ ⎜ ⎞ ⎠ ⎟ ∫log sin p p 2 0 2 = ∫log cos e xdx 0 2 p (2) [by property 4] (1) + (2) ⇒ 2 0 2 0 2 I xdx xdx e e = + ∫ ∫ log sin log cos p p = + ∫(log sin logcos ) e x x dx 0 2 p = ∫log sin cos e x x dx 0 2 p M06_ENGINEERING_MATHEMATICS-I _CH06_PART A.indd 18 5/19/2016 4:43:25 PM
  • 526.
    Integral Calculus ■6.19 = ⎛ ⎝ ⎜ ⎞ ⎠ ⎟ ∫log sin e x dx 2 2 0 2 p [ sin sin cos ] { 2 2 x x x = = ∫(log sin log ) e e x dx 2 2 0 2 − p = − ∫ ∫(log sin ) log e e x dx dx 2 2 0 2 0 2 p p ⇒ 2 2 1 0 2 I I x e = − [ ] log p = − − ⎡ ⎣ ⎢ ⎤ ⎦ ⎥ = − I I e e 1 1 2 2 0 2 2 log log p p . where I x dx e 1 0 2 2 = ∫log sin p Put t x = 2 ∴ = ⇒ = dt dx dx dt 2 2 When x = 0, t = 0 and when x = p 2 , t = p. ∴ I t dt e 1 0 2 = ∫log sin p = ∫ 1 2 0 log sin e t dt p = ⋅ ∫ 1 2 2 0 2 log sin e t dt p By property 6 { f t t t f t p p − ( ) = − ( ) = = ( ) ⎡ ⎣ ⎢ ⎢ ⎢ ⎤ ⎦ ⎥ ⎥ ⎥ logsin logsin = log sin e t dt 0 2 p ∫ = = ∫log sin e x dx I 0 2 p ∴ 2 2 2 I I e = − p log ⇒ I e = − p 2 2 log . EXAMPLE 5 Show that log ( ) log e e x x x dx 1 1 5 p 1 1 2 2 0 ⎛ ⎝ ⎜ ⎞ ⎠ ⎟ ∫ ∞ . Solution. Let I x x x dx e = + ⎛ ⎝ ⎜ ⎞ ⎠ ⎟ + ∞ ∫ log ( ) 1 1 2 0 Put x = tanu ∴ dx d = sec2 u u When x = = ⇒ = 0 0 0 , tanu u and when x = ∞ = ∞⇒ = , tanu u p 2 . M06_ENGINEERING_MATHEMATICS-I _CH06_PART A.indd 19 5/19/2016 4:43:30 PM
  • 527.
    6.20 ■ EngineeringMathematics ∴ I d e = + ⎛ ⎝ ⎜ ⎞ ⎠ ⎟ + ( ) ∫ log tan tan sec tan u u u u u p 1 1 2 2 0 2 = + ⎛ ⎝ ⎜ ⎞ ⎠ ⎟ ∫log tan tan e d 1 2 0 2 u u u p = ⎛ ⎝ ⎜ ⎞ ⎠ ⎟ ∫log sec tan e d 2 0 2 u u u p = ⋅ ⎛ ⎝ ⎜ ⎞ ⎠ ⎟ ∫log cos cos sin e d 1 2 0 2 u u u u p = ⎛ ⎝ ⎜ ⎞ ⎠ ⎟ ∫log sin cos e d 1 0 2 u u u p = ⎛ ⎝ ⎜ ⎞ ⎠ ⎟ ∫log sin cos e d 2 2 0 2 u u u p = ⎛ ⎝ ⎜ ⎞ ⎠ ⎟ ∫log sin e d 2 2 0 2 u u p = − ∫ ∫log log sin e e d d 2 2 0 2 0 2 u u u p p = [ ] − ∫ log log sin e e d 2 2 0 2 0 2 u u u p p = − ∫ p u u p 2 2 2 0 2 log log sin e e d = − p 2 2 1 loge I where I d e 1 0 2 2 = ∫log sin p u u = = ∫ ∫ 1 2 0 0 2 log sin log sin e e d d p p u u u u = − p 2 2 loge [Refer example 4] [ I e e = − − ⎛ ⎝ ⎜ ⎞ ⎠ ⎟ p p 2 2 2 2 log log = + p p 2 2 2 2 log log e e = ploge 2 . M06_ENGINEERING_MATHEMATICS-I _CH06_PART A.indd 20 5/19/2016 4:43:34 PM
  • 528.
    Integral Calculus ■6.21 EXAMPLE 6 Prove that x x x x dx sin sin cos 2 2 2 8 0 2 p 2 p 5 p p ⎛ ⎝ ⎜ ⎞ ⎠ ⎟ ∫ . Solution. Let I x x x x dx = ⎛ ⎝ ⎜ ⎞ ⎠ ⎟ − ∫ sin sin cos 2 2 2 0 p p p Put 2 2 2 2 x t dx dt dx dt − = ∴ = ⇒ = p When x t t = = − ⇒ = − 0 2 2 , p p and When x t t = = − ⇒ = p p p p , 2 2 2 [ I t t t t dt = + ⎛ ⎝ ⎜ ⎞ ⎠ ⎟ + + ⎛ ⎝ ⎜ ⎞ ⎠ ⎟ ⎛ ⎝ ⎜ ⎞ ⎠ ⎟ − ∫ p p p p p p 2 2 2 2 2 2 2 sin( )sin cos = + ⎛ ⎝ ⎜ ⎞ ⎠ ⎟ − ⋅ − ⎛ ⎝ ⎜ ⎞ ⎠ ⎟ − ∫ p p p p 2 2 2 2 2 2 t t t t dt ( sin ) sin sin = ⋅ ⎛ ⎝ ⎜ ⎞ ⎠ ⎟ + ⎛ ⎝ − − ∫ ∫ p p p p p p p 4 2 2 1 2 2 2 2 2 2 2 sin sin sin sin sin sin t t t dt t t ⎜ ⎜ ⎞ ⎠ ⎟ dt ⇒ I I I = + p 4 1 2 1 2 where I t t t dt 1 2 2 2 2 = ⋅ ⎛ ⎝ ⎜ ⎞ ⎠ ⎟ − ∫ sin sin sin p p p and I t t dt 2 2 2 2 2 = ⎛ ⎝ ⎜ ⎞ ⎠ ⎟ − ∫ sin sin sin p p ? p Let f t t t t ( ) sin sin sin = ⎛ ⎝ ⎜ ⎞ ⎠ ⎟ 2 2 p [ f t t t t ( ) sin( )sin sin( ) − = − − ⎛ ⎝ ⎜ ⎞ ⎠ ⎟ − 2 2 p = − ⎛ ⎝ ⎜ ⎞ ⎠ ⎟ sin sin sin 2 2 t t t p = − f t ( ) [ sin( ) sin ] { − = − t t M06_ENGINEERING_MATHEMATICS-I _CH06_PART A.indd 21 5/19/2016 4:43:37 PM
  • 529.
    6.22 ■ EngineeringMathematics ∴ f t ( ) is an odd function of t. [ I f t dt 1 2 2 0 = = − ∫ ( ) p p [by property 5] Now, let g t t t ( ) sin sin sin = ⎛ ⎝ ⎜ ⎞ ⎠ ⎟ 2 2 p [ g t t t ( ) sin( )sin sin( ) − = − − ⎛ ⎝ ⎜ ⎞ ⎠ ⎟ 2 2 p = ⎛ ⎝ ⎜ ⎞ ⎠ ⎟ = sin sin sin ( ) 2 2 t t g t p ∴ g t ( ) is an even function of t. [ I g t dt g t dt 2 0 2 2 2 2 = = ∫ ∫ − ( ) ( ) p p p = ⎛ ⎝ ⎜ ⎞ ⎠ ⎟ ∫ 2 2 2 0 2 sin sin sin t t dt p p [by property 5] = ⎛ ⎝ ⎜ ⎞ ⎠ ⎟ ∫ 4 2 0 2 sin cos sin sin t t t dt p p Put u t t u = ⇒ = p p 2 2 sin sin ∴ = costdt du 2 p . When t u = = = 0 2 0 0 , sin p and when t u = = = p p p p 2 2 2 2 , sin [ I u u du 2 0 2 4 2 2 = ⋅ ⋅ ∫ p p p sin = ∫ 16 2 0 2 p p u u du sin . Integrating by parts, we get I u u u du 2 2 0 2 0 2 16 1 = − [ ] − ⋅ − ⎧ ⎨ ⎪ ⎩ ⎪ ⎫ ⎬ ⎪ ⎭ ⎪ ∫ p p p ( cos ) ( cos ) = ⎧ ⎨ ⎪ ⎩ ⎪ ⎫ ⎬ ⎪ ⎭ ⎪ ∫ 16 0 2 0 2 p p [ ] cos + udu = [ ] = − ⎡ ⎣ ⎢ ⎤ ⎦ ⎥ 16 16 2 0 2 0 2 2 p p p p sin sin sin u = − = 16 1 0 16 2 2 p p ( ) [ I I I = + p 4 1 2 1 2 = × + × p p 4 0 1 2 16 2 = 8 2 p M06_ENGINEERING_MATHEMATICS-I _CH06_PART A.indd 22 5/19/2016 4:43:42 PM
  • 530.
    Integral Calculus ■6.23 EXAMPLE 7 Prove that cot ( ) log . 2 2 1 5 p 2 1 2 0 1 1 2 2 x x dx e ∫ Solution. Let I x x dx = − + − ∫cot ( ) 1 2 0 1 1 = − + ⎛ ⎝ ⎜ ⎞ ⎠ ⎟ − ∫tan 1 2 0 1 1 1 x x dx = + − − − ⎛ ⎝ ⎜ ⎞ ⎠ ⎟ − ∫tan ( ) ( ) 1 0 1 1 1 1 x x x x dx = + − − − ∫[tan tan ( )] 1 1 0 1 1 x x dx = + − − − ∫ ∫tan tan ( ) 1 1 0 1 0 1 1 x dx x dx = + − − ∫ ∫tan tan 1 1 0 1 0 1 x dx x dx [by property 4] = − ∫ 2 1 0 1 tan x dx = ⋅ ⎡ ⎣ ⎤ ⎦ − + ⋅ ⎧ ⎨ ⎪ ⎩ ⎪ ⎫ ⎬ ⎪ ⎭ ⎪ − ∫ 2 1 1 1 0 1 2 0 1 tan x x x x dx = − − + ⎡ ⎣ ⎤ ⎦ ⎧ ⎨ ⎩ ⎫ ⎬ ⎭ − 2 1 0 1 2 1 1 2 0 1 [tan ] log ( ) e x = − − ⎧ ⎨ ⎩ ⎫ ⎬ ⎭ = − 2 4 1 2 2 1 2 2 p p [log log ] log e e e EXAMPLE 8 Prove that tan ( ) log . − − 1 2 0 1 1 2 x x dx e + ∫ 5 Solution. We know that tan cot tan cot − − − ⇒ − 1 1 1 1 2 2 u u p u p u + = = − ∴ − − − ∴ − − − − tan ( ) cot ( tan ( ) 1 2 1 2 1 2 0 1 1 2 1 1 x x x x x x dx + = + + = ∫ p ) p p p p 2 1 2 1 2 1 2 0 1 0 1 1 2 0 1 − − − + − cot ( ) cot ( ) − + ⎡ ⎣ ⎢ ⎤ ⎦ ⎥ = − = ∫ ∫ ∫ x x dx dx x x dx [ [ ] log log log x e e e 0 1 2 2 2 2 2 2 − − − p p p ⎛ ⎝ ⎜ ⎞ ⎠ ⎟ = + = [using worked example 7] M06_ENGINEERING_MATHEMATICS-I _CH06_PART A.indd 23 5/19/2016 4:43:45 PM
  • 531.
    6.24 ■ EngineeringMathematics EXAMPLE 9 Prove that x dx a x b x ab 2 2 2 2 2 0 2 cos sin . 1 5 p p ∫ Solution. Let I x dx a x b x = + ∫ 2 2 2 2 0 cos sin p ( ) 1 Also I x dx a x b x = − − + − ∫ ( ) cos ( ) sin ( ) p p p 2 2 2 2 0 p [by property 4] ⇒ I x a x b x dx = − ( ) + ∫ p 2 2 2 2 0 cos sin p ( ) 2 (1) + (2) ⇒ 2 2 2 2 2 0 I x x a x b x dx = + − + ∫ p cos sin p = + ∫ p 1 2 2 2 2 0 a x b x dx cos sin p Let f x a x b x ( ) = + 1 2 2 2 2 cos sin [ f a x f x ( ) ( ) 2 − = − p = − + − 1 2 2 2 2 a x b x cos ( ) sin ( ) p p = + = 1 2 2 2 2 a x b x f x cos sin ( ) [ 2 2 2 2 2 2 0 2 I dx a x b x = + ∫ p p cos sin [by property 6] ⇒ I dx x a b x = + ∫ p p cos [ tan ] 2 2 2 2 0 2 = + ∫ p p sec [ tan ] 2 2 2 2 0 2 dx a b x Put t x dt x dx = ∴ = tan sec2 . When x t = = = 0 0 0 , tan and when x t = = = ∞ p p 2 2 , tan [ I dt a b t = + ∞ ∫ p 2 2 2 0 = + ∞ ∫ p b dt a b t 2 2 2 2 0 = ⎡ ⎣ ⎢ ⎢ ⎢ ⎤ ⎦ ⎥ ⎥ ⎥ − ∞ p b a b t a b 2 1 0 1 tan = ∞ − = − ⎡ ⎣ ⎢ ⎤ ⎦ ⎥ = − − p p p p ab ab ab [tan tan ] 1 1 2 0 2 0 2 . Note In the interval ( , ) 0 p we cannot put t x = tan as it is not increasing there and discontinuous at x = p 2 . So, we reduced the interval ( , ) 0 p to 0 2 , p ⎛ ⎝ ⎜ ⎞ ⎠ ⎟ by property 6, so that in 0 2 , p ⎛ ⎝ ⎜ ⎞ ⎠ ⎟, tan x is strictly increasing. M06_ENGINEERING_MATHEMATICS-I _CH06_PART A.indd 24 5/19/2016 4:43:50 PM
  • 532.
    Integral Calculus ■6.25 Integrals of Periodic Functions EXAMPLE 10 Evaluate 1 2 0 4 2 p cos x dx ∫ . Solution. Let I x dx = − ∫ 1 2 0 4 cos p = ∫ 2 2 0 4 sin x dx p = ∫ 2 0 4 sin x dx p [ ] { x x x x x x x 2 0 0 = = ≥ = − if and if But sin x is periodic with period p. That is, T = p in property 8(1). ∴ we have sin x dx 0 4 4 p ∫ = sin x dx 0 p ∫ But sin ( , ) sin sin x x x x ≥ ∈ = 0 0 if p ∴ [ 4 4 0 0 sin sin x dx x dx p p ∫ ∫ = = − [ ] = − − = − − − = 4 4 0 4 1 1 8 0 cos [cos cos ] [ ] x p p ∴ I = × = 2 8 8 2 EXAMPLE 11 Evaluate sin cos x x dx 1 p 0 ∫ . Solution. Let I x x dx = + ∫ sin cos 0 p Now sin cos x x + = + ⎡ ⎣ ⎢ ⎤ ⎦ ⎥ 2 1 2 1 2 sin cos x x = ⋅ + ⋅ ⎡ ⎣ ⎢ ⎤ ⎦ ⎥ = − ⎛ ⎝ ⎜ ⎞ ⎠ ⎟ 2 4 4 2 4 sin sin cos cos cos p p p x x x But sin cos x x + = − ⎛ ⎝ ⎜ ⎞ ⎠ ⎟ 2 4 cos x p is of period p. [ I x dx = − ⎛ ⎝ ⎜ ⎞ ⎠ ⎟ ∫ 2 4 0 cos p p Put t x = − p 4 . [ dt = dx M06_ENGINEERING_MATHEMATICS-I _CH06_PART A.indd 25 5/19/2016 4:43:55 PM
  • 533.
    6.26 ■ EngineeringMathematics When x t x t = = − = = − = 0 4 4 3 4 , , p p p p p and when . [ I t dt = − ∫ 2 4 3 4 cos p p But cost ≥ 0 in − ⎛ ⎝ ⎜ ⎞ ⎠ ⎟ p p 4 2 , and cost 0 in p p 2 3 4 , ⎛ ⎝ ⎜ ⎞ ⎠ ⎟ ∴ cos cos , t t = − ⎛ ⎝ ⎜ ⎞ ⎠ ⎟ in p p 4 2 , and cos cos , t t = − ⎛ ⎝ ⎜ ⎞ ⎠ ⎟ in p p 2 3 4 [ I t dt t dt = + − ⎧ ⎨ ⎪ ⎩ ⎪ ⎫ ⎬ ⎪ ⎭ ⎪ ∫ ∫ − 2 2 3 4 4 2 cos cos p p p p = [ ] −[ ] ⎧ ⎨ ⎩ ⎫ ⎬ ⎭ − 2 4 2 2 3 4 sin sin t t p p p p = − − ⎛ ⎝ ⎜ ⎞ ⎠ ⎟ ⎡ ⎣ ⎢ ⎤ ⎦ ⎥ − − ⎡ ⎣ ⎢ ⎤ ⎦ ⎥ ⎧ ⎨ ⎩ ⎫ ⎬ ⎭ 2 2 4 3 4 2 sin sin sin sin p p p p = + − + ⎡ ⎣ ⎢ ⎤ ⎦ ⎥ = 2 1 1 2 1 2 1 2 2. EXAMPLE 12 Prove that sin cos x dx n v v n Z n v 5 1 2 p p 1 2 1 0 0 if and ≤ ∈ ∫ . Solution. Let I x dx n v = + ∫ sin 0 p = + = + ∫ ∫ + sin sin x dx x dx I I n n n v 0 1 2 p p p where I x dx n 1 0 = ∫ sin p . But sin x is periodic with period p. [ I n x dx 1 0 = ∫ sin p [by property 8(i)] = ∫ n x dx sin 0 p [since in sin , ] x ( ) 0 0 p = − [ ] = − − = − − − = n x n n n cos [cos cos ] [ ] 0 0 1 1 2 p p and I x dx n n v 2 = + ∫ sin p p Put x n y = + p [ dx = dy. When x = np, y x n v y v = = + = 0 and when p , . M06_ENGINEERING_MATHEMATICS-I _CH06_PART A.indd 26 6/3/2016 8:16:38 PM
  • 534.
    Integral Calculus ■6.27 [ I n y dy v 2 0 = + ∫ sin( ) p = = ∫ ∫ sin sin y dy y dy v v 0 0 [ , sin ] { 0 0 ≤ ≤ y v y p = − [ ] = − − = − cos [cos cos ] cos y v v v 0 0 1 . [ I I I n v = + = + − 1 2 2 1 cos . EXERCISE 6.2 Evaluate the following integrals: 1. dx x 1 4 3 4 + ∫ cos p p 2. x x x x dx n n n n sin sin cos , 2 2 2 0 2 0 + ∫ p 3. log x x dx 1 2 0 1 − ∫ 4. cos− ∫ 1 0 1 x x dx 5. tan− ∞ + ( ) ∫ 1 2 0 1 x x x dx 6. x dx x 1 2 0 + ∫ sin p 7. x x x x dx tan sec tan + ∞ ∫ 0 8. dx x dx 1 0 2 + ∫ tan p 9. dx x a x a + + ∫ 2 2 0 10. u u u p sin3 0 ∫ d 11. cos sin x x dx − ∫ 0 2 p 12. 1 2 0 100 − ∫ cos x dx p 13. x x x dx sin cos 1 2 0 + ∫ p 14. x dx x x sin cos + ∫ 0 2 p 15. Prove that f x dx f x f x dx a a a ( ) [ ( ) ( )] . − ∫ ∫ = + − 0 Hence, evaluate u u u u sin cos . d − ∫p p 2 2 ANSWERS TO EXERCISE 6.2 1. 2 2. p2 3. − p 2 2 log 4. p 2 2 log 5. p 2 2 log 6. p2 2 2 7. p p 2 1 − ⎛ ⎝ ⎜ ⎞ ⎠ ⎟ 8. p 4 9. p 4 10. 2 3 p 11. 2 2 1 − 12. 200 2 13. p2 4 14. p 2 2 2 1 ⋅ + ( ) loge 15. p 4 M06_ENGINEERING_MATHEMATICS-I _CH06_PART A.indd 27 5/20/2016 10:09:10 AM
  • 535.
    6.28 ■ EngineeringMathematics 6.3 DEFINITE INTEGRAL f x a b ( )dx ∫ AS LIMIT OF A SUM Let f be a bounded function defined on the finite interval [ , ] a b . Divide [ , ] a b into n sub-intervals by the points x x xn 1 2 1 , , , , … − not necessarily equidistant. Take x a x b n 0 = = and . Now [ , , , , ] x x x xn 0 1 2 … form a partition P a b of [ , ] and we have n sub-intervals. I x x r n r r r = = − [ , ], , , , , 1 1 2 3 … , Let dr r r x x = − −1 be the length of Ir. Let cr be any point in Ir. Then form the sum f cr r r n ( ) = ∑ d 1 . This sum is called the Riemann sum of f x a b ( ) , on[ ] for the partition P. The length of the largest sub-interval is denoted by d and is called the norm of the partition. The function f x ( ) is Reimann integrable if lim ( ) n r r r n f c →∞ → = ∑ d d 0 1 exists and is independent of the choice of the interval and the point cr. This limit is called the definite integral of f x a b ( ) [ , ] over . We write f x dx f c a b n r r r n ( ) lim ( ) = ∫ ∑ →∞ → = d d 0 1 In practical applications, for convenience, we take the length of the sub-interval equal to h b a n = − , where n is the number of sub-intervals. Then x a h x a h x a rh b x a nh r n 1 2 2 = + = + = + = = + , , , , , … … and cr is taken as an end point of Ir. Then f x dx h f a rh a b h n r n ( ) lim ( ) = + ∫ ∑ → →∞ = − 0 0 1 ( ) 1 Or f x dx h f a rh a b n h r n ( ) lim ( ) = + ∫ ∑ →∞ → = 0 1 ( ) 2 If a b h n = = = 0 1 1 , , then [ lim ( ) n r n n f r n f x dx →∞ = − ⎛ ⎝ ⎜ ⎞ ⎠ ⎟ = ∫ ∑ 1 0 1 0 1 This formula enables us to evaluate the limit of a certain sums interms of the integrals. 6.3.1 Working Rule 1. First rewrite the given limit of a sum in the form lim n r n n f r n →∞ = ⎛ ⎝ ⎜ ⎞ ⎠ ⎟ ∑ 1 1 M06_ENGINEERING_MATHEMATICS-I _CH06_PART A.indd 28 5/20/2016 10:09:16 AM
  • 536.
    Integral Calculus ■6.29 2. Treat r n as x and 1 n as dx, then f r n f x ⎛ ⎝ ⎜ ⎞ ⎠ ⎟ as ( ) 3. Then the summation become integral as n → ∞ 4. Limits are obtained from x r n = . When r x n n = = → → ∞ 1 1 0 , as and when r n x n n = = = , 1 5. Then the given limit is f x dx ( ) 0 1 ∫ and 6. Evaluate f x dx ( ) 0 1 ∫ by using methods of integration. Note Suppose the limit is lim n r n n f r n →∞ = ⎛ ⎝ ⎜ ⎞ ⎠ ⎟ ∑ 1 1 4 , then the limits of integration are 1, 4 because if r x n n r n x n n = = → → ∞ = = = 1 1 0 4 4 4 , , as and and the integral is f x dx ( ) 0 4 ∫ . WORKED EXAMPLES EXAMPLE 1 Show that lim n r n n r →∞ ∑ 1 4 2 2 1 2 5 5 p 6 . Solution. The given limit is lim n r n n r →∞ = − ∑ 1 4 2 2 1 Rewrite in the form f r n ⎛ ⎝ ⎜ ⎞ ⎠ ⎟ . So, take out n2 as common. [ lim n r n n r →∞ = − ∑ 1 4 2 2 1 = − →∞ = ∑ lim n r n n r n 1 4 2 2 1 = − ⎛ ⎝ ⎜ ⎞ ⎠ ⎟ →∞ = ∑ lim n r n n n r n 1 1 4 2 1 Treat r n as x and 1 n as dx. When r x n n = = → → ∞ 1 1 0 , as and when r n x n n = = = , 1 [ lim n r n n r →∞ = − ∑ 1 4 2 2 1 = − ∫ dx x 4 2 0 1 = ⎡ ⎣ ⎢ ⎤ ⎦ ⎥ = − = − − − sin sin sin 1 0 1 1 1 2 1 2 0 6 x p . EXAMPLE 2 Find the value of lim n→ + + + ⎡ ⎣ ⎢ ⎤ ⎦ ⎥ ∞ … 1 1 4 8 9 27 2 3 3 3 2 3 n n n n n 1 1 1 1 . M06_ENGINEERING_MATHEMATICS-I _CH06_PART A.indd 29 5/20/2016 10:09:20 AM
  • 537.
    6.30 ■ EngineeringMathematics Solution. The given limit is lim n r n r n r →∞ = + ∑ 2 3 3 1 Rewrite in the form f r n ⎛ ⎝ ⎜ ⎞ ⎠ ⎟ . So, take out n3 as common. [ lim lim lim n r n n r n n r n r r n r n n r n →∞ = →∞ = →∞ + = + ⎛ ⎝ ⎜ ⎞ ⎠ ⎟ = ⎛ ∑ ∑ 2 3 3 1 2 3 3 3 1 1 1 ⎝ ⎝ ⎜ ⎞ ⎠ ⎟ + ⎛ ⎝ ⎜ ⎞ ⎠ ⎟ ⎛ ⎝ ⎜ ⎞ ⎠ ⎟ = ∑ 2 3 1 1 r n r n Treat r n x = and 1 n as dx. When r = 1, x n = → 1 0 as n → ∞ and when r n = , x n n = = 1 [ lim log ( ) n r n e r n r x x dx x x dx x →∞ = + = + = + = + ∑ ∫ ∫ 2 3 3 1 2 3 0 1 2 3 0 1 3 1 1 3 3 1 1 3 1 ⎡ ⎡ ⎣ ⎤ ⎦ ′ = ⎡ ⎣ ⎢ ⎤ ⎦ ⎥ = + − + [ ]= 0 1 1 3 1 1 1 0 { f x f x dx f x e e ( ) ( ) log ( ) log ( ) log( ) 1 1 3 2 loge [ lim log x e n n n n n →∞ + + + + + + + ⎡ ⎣ ⎢ ⎤ ⎦ ⎥ = 1 1 4 8 9 27 2 1 3 2 3 3 3 2 3 … EXAMPLE 3 Show that lim . / n n n n n n e →∞ + ⎛ ⎝ ⎜ ⎞ ⎠ ⎟ + ⎛ ⎝ ⎜ ⎞ ⎠ ⎟ + ⎛ ⎝ ⎜ ⎞ ⎠ ⎟ ⎡ ⎣ ⎢ ⎤ ⎦ ⎥ 1 1 1 2 1 4 1 … 5 Solution. Let A n n n n n n = + ⎛ ⎝ ⎜ ⎞ ⎠ ⎟ + ⎛ ⎝ ⎜ ⎞ ⎠ ⎟ + ⎛ ⎝ ⎜ ⎞ ⎠ ⎟ ⎡ ⎣ ⎢ ⎤ ⎦ ⎥ →∞ lim / 1 1 1 2 1 1 … To convert the product into sum, take logarithm on both sides log lim log l / e n e n A n n n n = + ⎛ ⎝ ⎜ ⎞ ⎠ ⎟ + ⎛ ⎝ ⎜ ⎞ ⎠ ⎟ + ⎛ ⎝ ⎜ ⎞ ⎠ ⎟ ⎡ ⎣ ⎢ ⎤ ⎦ ⎥ = →∞ 1 1 1 2 1 1 … i im log n e n n n n n →∞ + ⎛ ⎝ ⎜ ⎞ ⎠ ⎟ + ⎛ ⎝ ⎜ ⎞ ⎠ ⎟ + ⎛ ⎝ ⎜ ⎞ ⎠ ⎟ ⎡ ⎣ ⎢ ⎤ ⎦ ⎥ 1 1 1 1 2 1 … [{ loge is a continuous function] M06_ENGINEERING_MATHEMATICS-I _CH06_PART A.indd 30 5/20/2016 10:09:23 AM
  • 538.
    Integral Calculus ■6.31 lim n n →∞ = 1 l log log log lim e e e n n n n n 1 1 1 2 1 + ⎛ ⎝ ⎜ ⎞ ⎠ ⎟ + + ⎛ ⎝ ⎜ ⎞ ⎠ ⎟ + + + ⎛ ⎝ ⎜ ⎞ ⎠ ⎟ ⎡ ⎣ ⎢ ⎤ ⎦ ⎥ = … → →∞ = + ⎛ ⎝ ⎜ ⎞ ⎠ ⎟ ∑ 1 1 1 n r n e r n log Treat r n x = and 1 n as dx. When r = 1, x n = → 1 0 as n → ∞ and when r n = , x n n = = 1 [ log log ( ) e e A x dx = + ∫ 1 0 1 Integrating by parts, we get log log ( ) log ( ) log e e e e A x x x xdx x x = + [ ] − + = + − [ ]− + ∫ 1 1 1 1 1 1 1 0 1 0 1 0 1 ? ? ∫ ∫ ∫ ∫ = − + − + = − − + ⎛ ⎝ ⎜ ⎞ ⎠ ⎟ = − + dx x x dx x dx dx e e e log log log 2 1 1 1 2 1 1 1 2 0 1 0 1 0 0 1 0 1 0 1 0 1 1 1 2 1 2 1 0 2 ∫ ∫ + = −[ ] + + [ ] = − − ( )+ − x dx x x e e e e log log ( ) log log l log log e e 1 2 2 1 = − ⇒ log log log log log log e e e e e e A e e e A e = − = − = = 2 4 4 4 2 ⇒ [ lim / n n n n n n e →∞ + ⎛ ⎝ ⎜ ⎞ ⎠ ⎟ + ⎛ ⎝ ⎜ ⎞ ⎠ ⎟ + ⎛ ⎝ ⎜ ⎞ ⎠ ⎟ ⎡ ⎣ ⎢ ⎤ ⎦ ⎥ = 1 1 1 2 1 4 1 … EXAMPLE 4 Show that lim n n n n n n n →∞ + ⎛ ⎝ ⎜ ⎞ ⎠ ⎟ + ⎛ ⎝ ⎜ ⎞ ⎠ ⎟ + ⎛ ⎝ ⎜ ⎞ ⎠ ⎟ + ⎛ ⎝ ⎜ ⎞ ⎠ ⎟ ⎡ 1 1 1 2 1 3 1 2 2 2 2 2 2 2 2 2 … ⎣ ⎣ ⎢ ⎢ ⎤ ⎦ ⎥ ⎥ 2 2 4 / . n e 5 Solution. Let A n n n n n n = + ⎛ ⎝ ⎜ ⎞ ⎠ ⎟ + ⎛ ⎝ ⎜ ⎞ ⎠ ⎟ + ⎛ ⎝ ⎜ ⎞ ⎠ ⎟ + ⎛ ⎝ ⎜ ⎞ ⎠ ⎟ →∞ lim 1 1 1 2 1 3 1 2 2 2 2 2 2 2 2 2 … n n n ⎡ ⎣ ⎢ ⎢ ⎤ ⎦ ⎥ ⎥ 2 2 / M06_ENGINEERING_MATHEMATICS-I _CH06_PART A.indd 31 5/20/2016 10:09:26 AM
  • 539.
    6.32 ■ EngineeringMathematics To convert the product into sum, take logarithm on both sides [ log limlog e n e n A n n n n = + ⎛ ⎝ ⎜ ⎞ ⎠ ⎟ + ⎛ ⎝ ⎜ ⎞ ⎠ ⎟ + ⎛ ⎝ ⎜ ⎞ ⎠ ⎟ ⎡ ⎣ ⎢ ⎢ →∞ 1 1 1 2 1 2 2 2 2 2 2 … ⎤ ⎤ ⎦ ⎥ ⎥ 2 2 n = + ⎛ ⎝ ⎜ ⎞ ⎠ ⎟ + ⎛ ⎝ ⎜ ⎞ ⎠ ⎟ + ⎛ ⎝ ⎜ ⎞ ⎠ ⎟ ⎡ ⎣ ⎢ ⎢ ⎤ ⎦ →∞ lim log n e n n n n n n 2 1 1 1 2 1 2 2 2 2 2 2 2 … ⎥ ⎥ ⎥ = + ⎛ ⎝ ⎜ ⎞ ⎠ ⎟ + + ⎛ ⎝ ⎜ ⎞ ⎠ ⎟ + + + ⎛ →∞ lim log log log n e e e n n n n n n 2 1 1 2 1 2 1 2 2 2 2 2 2 … ⎝ ⎝ ⎜ ⎞ ⎠ ⎟ ⎡ ⎣ ⎢ ⎤ ⎦ ⎥ = + ⎛ ⎝ ⎜ ⎞ ⎠ ⎟ = ⎛ ⎝ ⎜ ⎞ ⎠ ⎟ + →∞ = →∞ ∑ lim log lim log n e r n n e n r r n n r n r 2 1 1 2 1 2 2 2 1 2 n n r n 2 1 ⎛ ⎝ ⎜ ⎞ ⎠ ⎟ = ∑ Treat r n x = and 1 n as dx. When r = 1, x n = → 1 0as n → ∞ and when r n = , x n n = = 1 [ log log ( ) e e A x x dx = + ∫2 1 2 0 1 Put 1 2 2 + = ∴ = x t xdx dt. When x t = = 0 1 , and when x t = = 1 2 , [ log log e A t dt = ∫ 1 2 Integrating by parts, we get log log e e A t t t t dt = ⋅ [ ] − ⋅ ∫ 1 2 1 2 1 = − ∫ 2 2 1 2 loge dt = −[ ] = − − = − log log ( ) log e e e t 2 4 2 1 4 1 2 1 2 ⇒ log log log log e e e e A e e = − = 4 4 ⇒ A e = 4 [ lim n n n n n n n →∞ + ⎛ ⎝ ⎜ ⎞ ⎠ ⎟ + ⎛ ⎝ ⎜ ⎞ ⎠ ⎟ + ⎛ ⎝ ⎜ ⎞ ⎠ ⎟ + ⎛ ⎝ ⎜ ⎞ ⎠ ⎟ ⎡ 1 1 1 2 1 3 1 2 2 2 2 2 2 2 2 2 … ⎣ ⎣ ⎢ ⎢ ⎤ ⎦ ⎥ ⎥ = 2 2 4 n e . EXERCISE 6.3 Evaluate the following limits as integrals 1. lim n n n n →∞ + + + + + ⎡ ⎣ ⎢ ⎤ ⎦ ⎥ 1 1 1 2 1 2 … . 2. lim ( ) n r n n r →∞ = − + ⎡ ⎣ ⎢ ⎤ ⎦ ⎥ ∑ 1 2 2 1 2 0 1 . M06_ENGINEERING_MATHEMATICS-I _CH06_PART A.indd 32 5/20/2016 10:09:30 AM
  • 540.
    Integral Calculus ■6.33 3. lim [ ( )] n r n n n r →∞ = + − ⎡ ⎣ ⎢ ⎢ ⎤ ⎦ ⎥ ⎥ ∑ 3 1 3 1 . 4. lim n n n n n n n →∞ + + + + + ⎡ ⎣ ⎢ ⎤ ⎦ ⎥ 1 2 2 3 2 3 2 3 2 … . 5. lim n r r r n →∞ = ∞ + ⎡ ⎣ ⎢ ⎤ ⎦ ⎥ ∑ 3 4 4 1 . 6. lim ( ) n r n r n r →∞ = + ∑ 2 3 1 . 7. lim n r n r n r →∞ = + ∑ 2 2 1 . 8. lim n r n n r n →∞ = − ⎡ ⎣ ⎢ ⎢ ⎤ ⎦ ⎥ ⎥ ∑ 2 2 2 1 . 9. lim ( )( ) ( ) n n n n n n n →∞ + + + ⎡ ⎣ ⎢ ⎤ ⎦ ⎥ 3 3 3 3 3 3 1 1 2 … . 10. lim n r n r n r →∞ = + ∑ 4 5 5 1 . 11. lim n r n n r →∞ = − − ∑ 1 2 2 0 1 . 12. lim n n n n n n →∞ + ⎛ ⎝ ⎜ ⎞ ⎠ ⎟ + ⎛ ⎝ ⎜ ⎞ ⎠ ⎟ + ⎛ ⎝ ⎜ ⎞ ⎠ ⎟ ⎡ ⎣ ⎢ ⎤ ⎦ ⎥ 1 1 1 2 1 2 2 2 2 2 1 … . 13. lim n n n n n n n n n n →∞ + + + + + + + − ( ) ⎡ ⎣ ⎢ ⎢ ⎤ ⎦ ⎥ ⎥ 2 2 2 2 2 2 2 1 2 1 … . ANSWERS TO EXERCISE 6.3 1. loge 2 2. p 2 3. 1 3 4. 2 3 2 2 1 − ( ) 5. 1 4 2 loge 6. 3 8 7. 1 2 2 loge 8. p 4 9. 4 3 3 e p − 10. 1 5 2 loge 11. p 2 12. 2 2 2 e p − 13. p 4 6.4 REDUCTION FORMULAE Integrals of type sin , tan , n n n ax x dx x dx x e dx ∫ ∫ ∫ cannot be evaluated directively. Applying integration by parts, we can reduce an integral with index n 0, called the order of the integral, to an integral of the reduced order with a smaller index. The relation between the given integral and the reduced integral of lower order is called the reduction formula. We derive the reduction formula for some standard integrals 6.4.1 The Reduction Formula for (a) sinn xdx ∫ and (b) cosn xdx ∫ (a) sinn x dx ∫ Solution. Let I x dx n n = ∫sin = − ∫sin sin n x x dx 1 M06_ENGINEERING_MATHEMATICS-I _CH06_PART A.indd 33 5/20/2016 10:09:35 AM
  • 541.
    6.34 ■ EngineeringMathematics Taking u x v x n = = − sin , sin 1 and integrating by parts, we get I x x n x x x dx n n n = − − − − − − ∫ sin ( cos ) ( )sin cos ( cos ) 1 2 1 = − + − − − ∫ sin cos ( ) sin cos n n x x n x x dx 1 2 2 1 = − + − − − − ∫ sin cos ( ) sin ( sin ) n n x x n x x dx 1 2 2 1 1 = − + − − − − − ∫ ∫ sin cos ( ) sin ( ) sin n n n x x n x dx n x dx 1 2 1 1 = − + − − − − − sin cos ( ) ( ) n n n x x n I n I 1 2 1 1 [ ( ) sin cos ( ) 1 1 1 1 2 + − = − + − − − n I x x n I n n n ⇒ nI x x n I n n n = − + − − − sin cos ( ) 1 2 1 [ I x x n n n I n n n = − + − − − sin cos 1 2 1 [ the reduction formula is sinn x dx ∫ = − + − − − sin cos n n x x n n n I 1 2 1 . (b) cosn x dx ∫ Solution. Let I x dx n n = ∫cos = − ∫cos cos n x x dx 1 Taking u x v x n = = − cos , cos 1 and integrating by parts, we get I x x n x x x dx n n n = − − − − − ∫ cos sin ( )cos ( sin )sin 1 2 1 = + − − − ∫ cos sin ( ) cos sin n n x x n x x dx 1 2 2 1 = + − − − − ∫ cos sin ( ) cos ( cos ) n n x x n x x dx 1 2 2 1 1 = + − − − − − ∫ ∫ cos sin ( ) cos ( ) cos n n n x x n x dx n x dx 1 2 1 1 ⇒ I x x n I n I n n n n = + − − − − − cos sin ( ) ( ) 1 2 1 1 ( ) cos sin ( ) 1 1 1 1 2 + − = + − − − n I x x n I n n n ⇒ nI x x n I n n n = + − − − cos sin ( ) 1 2 1 ∴ I x x n n n I n n n = + − − − cos sin 1 2 1 ∴ the required reduction formula for cosn x dx ∫ = + − − − cos sin n n x x n n n I 1 2 1 . M06_ENGINEERING_MATHEMATICS-I _CH06_PART A.indd 34 5/20/2016 10:09:40 AM
  • 542.
    Integral Calculus ■6.35 Deduction: If n is a non-negative integer, then prove that sin cos n n x dx x dx = ∫ ∫ 0 2 0 2 p p = − ⋅ − − ⋅ − − ⋅ ⋅ − ⋅ − − ⋅ − − n n n n n n n n n n n n n 1 3 2 5 4 3 4 1 2 2 1 3 2 5 4 4 5 … … p if iseven ⋅ ⋅ ⋅ ⎧ ⎨ ⎪ ⎪ ⎩ ⎪ ⎪ 2 3 1 if is odd n Solution. Let I x dx n n = ∫sin 0 2 p By reduction formula, we have I x x n n n I n n n = − ⎡ ⎣ ⎢ ⎤ ⎦ ⎥ + − − − sin cos 1 0 2 2 1 p ⇒ I n n I n n I n n n = + − = − − − 0 1 1 2 2 ⇒ I n n I n n − − = − − 2 4 3 2 , I n n I n n − − = − − 4 6 5 4 and so on. [ I n n n n n n I I n = − ⋅ − − ⋅ − − 1 3 2 5 4 1 0 …, the last integral is or Case 1: If n is even, then I n n n n n n I n = − ⋅ − − ⋅ − − ⋅ ⋅ 1 3 2 5 4 3 4 1 2 0 … But I x dx 0 0 0 2 = ∫sin p = [ ] = x 0 2 2 p p [ I n n n n n n n = − ⋅ − − ⋅ − − ⋅ ⋅ 1 3 2 5 4 3 4 1 2 2 … p , if n is even Case 2: if n is odd, then In = n n n n n n I − ⋅ − − ⋅ − − ⋅ ⋅ 1 3 2 5 4 4 5 2 3 1 … But I x dx 1 0 2 = ∫sin p = − [ ] = − − ⎡ ⎣ ⎢ ⎤ ⎦ ⎥ = − − = cos cos cos ( ) x 0 2 2 0 1 0 1 1 p p M06_ENGINEERING_MATHEMATICS-I _CH06_PART A.indd 35 5/20/2016 10:09:43 AM
  • 543.
    6.36 ■ EngineeringMathematics ∴ I n n n n n n n = − ⋅ − − ⋅ − − ⋅ ⋅ 1 3 2 5 4 4 5 2 3 1 … ∴ sinn x dx n n n n n n n n n n n 0 2 1 3 2 5 4 3 4 1 2 2 1 3 p p ∫ = − ⋅ − − ⋅ − − ⋅ ⋅ − ⋅ − − … if is even 2 2 5 4 4 5 2 3 1 ⋅ − − ⋅ ⋅ ⎧ ⎨ ⎪ ⎪ ⎩ ⎪ ⎪ n n n … if is odd Similarly, we get cosn x dx n n n n n n n n n n n 0 2 1 3 2 5 4 3 4 1 2 2 1 3 p p ∫ = − ⋅ − − ⋅ − − ⋅ ⋅ − ⋅ − − … if is even 2 2 5 4 4 5 2 3 1 ⋅ − − ⋅ ⋅ ⎧ ⎨ ⎪ ⎪ ⎩ ⎪ ⎪ n n n … if is odd [ sin cos n n x dx x dx = ∫ ∫ 0 2 0 2 p p = − ⋅ − − ⋅ − − ⋅ ⋅ − ⋅ − − ⋅ − − n n n n n n n n n n n n n 1 3 2 5 4 3 4 1 2 2 1 3 2 5 4 4 5 … … p if is even ⋅ ⋅ ⋅ ⎧ ⎨ ⎪ ⎪ ⎩ ⎪ ⎪ 2 3 1 if is odd n 6.4.2 The Reduction Formula for (a) tann xdx ∫ and (b) cotn xdx ∫ (a) tann x dx ∫ Solution. Let I x dx n n = ∫tan = − ∫tan tan n x x dx 2 2 = − − ∫tan (sec ) n x x dx 2 2 1 = − − − ∫ ∫tan sec tan n n x x dx x dx 2 2 2 = − + − − + − (tan ) x n I n n 2 1 2 2 1 = − − − − (tan ) x n I n n 1 2 1 ⇒ tan (tan ) n n n x dx x n I ∫ = − − − − 1 2 1 (b) cotn x dx ∫ Solution. Let I x dx n n = ∫cot = − ∫cot cot n x x dx 2 2 = − − ∫cot ( ) n x x dx 2 2 1 cosec M06_ENGINEERING_MATHEMATICS-I _CH06_PART A.indd 36 5/20/2016 10:09:47 AM
  • 544.
    Integral Calculus ■6.37 = − − − − − ∫ ∫cot ( ) cot n n x x dx x dx 2 2 2 cosec ⇒ I x n I n n n = − − + − − + − (cot ) 2 1 2 2 1 = − − − − − (cot ) x n I n n 1 2 1 ∴ cot (cot ) n n n x dx x n I ∫ = − − − − − 1 2 1 . 6.4.3 The Reduction Formula for (a) secn xdx ∫ and (b) cosecn xdx ∫ (a) secn x dx ∫ Solution Let I x dx n n = ∫sec = − ∫secn x x dx 2 2 sec Take u x v x n = = − sec 2 2 , sec and integrating by parts, we get I x x n x x x x dx n n n = − − − − ∫ sec 2 3 2 tan ( )sec sec tan tan = − − − − ∫ secn n x x n x x dx 2 2 2 2 tan ( ) sec tan = − − − − − ∫ secn n x x n x x dx 2 2 2 2 1 tan ( ) sec (sec ) = − − + − − − ∫ ∫ secn n n x x n x dx n x dx 2 2 2 2 tan ( ) sec ( ) sec ⇒ I x x n I n I n n n n = − − + − − − sec 2 2 2 2 tan ( ) ( ) ⇒ ( ) tan ( ) 1 2 2 2 2 + − = + − − − n I x x n I n n n sec ⇒ ( ) tan ( ) n I x x n I n n n − = + − − − 1 2 2 2 sec [ I x x n n n I n n n = − + − − − − sec 2 2 1 2 1 tan ( ) ( ) ( ) [ sec tan ( ) ( ) ( ) n n n x dx x x n n n I ∫ = − + − − − − sec 2 2 1 2 1 . (b) cosecn x dx ∫ Solution. Let I x dx n n = ∫cosec = − ∫cosec cosec n x x dx 2 2 Take u x v x n = = − cosec cosec 2 2 , M06_ENGINEERING_MATHEMATICS-I _CH06_PART A.indd 37 5/20/2016 10:09:51 AM
  • 545.
    6.38 ■ EngineeringMathematics Integrating by parts, we get I x x n x x x x dx n n n = − − − − − − − ∫ cosec cosec cosec 2 3 2 ( cot ) ( ) ( cot )( cot ) = − − − − − ∫ cosec cosec n n x x n x x dx 2 2 2 2 cot ( ) cot = − − − − − − ∫ cosec cosec cosec n n x x n x x dx 2 2 2 2 1 cot ( ) ( ) = − − − + − − − ∫ ∫ cosec cosec cosec n n n x x n x dx n x dx 2 2 2 2 cot ( ) ( ) = − − − + − − − cosecn n n x x n I n I 2 2 2 2 cot ( ) ( ) ⇒ ( ) cot ( ) 1 2 2 2 2 + − = − + − − − n I x x n I n n n cosec ⇒ ( ) cot ( ) n I x x n I n n n − = − + − − − 1 2 2 2 cosec [ I x x n n n I n n n = − − + − − − − cosec 2 2 1 2 1 cot [ cot cot n n n x dx x x n n n I ∫ = − − + − − − − cosec 2 2 1 2 1 WORKED EXAMPLES EXAMPLE 1 Evaluate x ax x dx a 3 2 0 2 2 − ∫ . Solution. Let I x ax x dx a = − ∫ 3 2 0 2 2 Put x a = 2 2 sin u [ dx a d = 4 sin cos u u u When x = = ⇒ = 0 0 0 , sinu u and when x a = = ⇒ = 2 1 2 , sinu u p [ I a a a a a d = − ∫ ( sin ) sin cos sin ( sin ) 2 4 2 2 2 2 3 2 2 2 0 2 u u u u u u p ? / = − ∫ 32 2 1 4 7 2 0 2 a a d sin cos sin sin u u u u u p/ = ∫ 16 3 6 0 2 a d sin cos cos u u u u p/ = ∫ 16 3 6 0 2 a d sin / u u p = = 16 5 6 3 4 1 2 2 5 2 3 3 a a ? ? ? p p [{ n = 6 is even] M06_ENGINEERING_MATHEMATICS-I _CH06_PART A.indd 38 5/20/2016 10:09:54 AM
  • 546.
    Integral Calculus ■6.39 EXAMPLE 2 Evaluate dx x ( ) . 1 2 8 0 + ∞ ∫ Solution. Let I dx x = + ∫ ( ) 1 2 8 0 ∞ Put x = tanu [ dx d = sec2 u u When x = = ⇒ = 0 0 0 , tanu u and when x = = ⇒ = ∞ ∞ ,tanu u p 2 [ I d = + ∫ sec ( tan ) / 2 2 8 0 2 1 u u u p = ∫ sec sec / 2 16 0 2 u u u p d = ∫ cos / 14 0 2 u u p d = = 13 14 11 12 9 10 7 8 5 6 3 4 1 2 2 429 4090 ? ? ? ? ? ? ? p p [{ n = 14 is even] EXAMPLE 3 If I t t dt n n = + ∫ ( ) 1 2 , then show that I I t n dt n n n + + + = + 2 1 1 . Hence, evaluate I6. Solution. Given I t t dt n n = + ∫ ( ) 1 2 Put t x dt x dx = ∴ = tan sec2 [ I x x x dx x dx n n n = + = ∫ ∫ tan ( tan ) sec tan 1 2 2 ⇒ I x n I n n n = − − − − tan 1 2 1 [using reduction formula 6.4.2(a)] ⇒ I I x n n n n + = − − − 2 1 1 tan ⇒ I I t n n n n + = − − − 2 1 1 ( ) 1 Replacing n by n + 2 in ( ), 1 we get I I t n n n n + + − + − + = + − 2 2 2 2 1 2 1 ⇒ I I t n n n n + + + = + 2 1 1 ( ) 2 To evaluate I6 . I t t dt 6 6 2 1 = + ∫ Put n = 6 in ( ), 1 we get I I t 6 4 5 5 + = ⇒ I t I 6 5 4 5 = − M06_ENGINEERING_MATHEMATICS-I _CH06_PART A.indd 39 5/20/2016 10:10:00 AM
  • 547.
    6.40 ■ EngineeringMathematics = − − ⎡ ⎣ ⎢ ⎤ ⎦ ⎥ t t I 5 3 2 5 3 = − + = − + − t t I t t t I 5 3 2 5 3 0 5 3 5 3 . But I x dx dx x t 0 0 1 = = = = − ∫ ∫tan tan [ I t t t t c 6 5 3 1 5 3 = − + − + − tan EXAMPLE 4 If I xdx n n = ∫ tan / 0 4 p , then prove that (1) ( )[ ] n I I n n − + = − 1 1 1 and (2) n I I n n [ ] + − + = 1 2 1. Hence, evaluate I5. Solution. Given I x dx n n = ∫ tan / 0 4 p 1. To prove ( )[ ] n I I n n 2 1 5 2 1 1 1 By reduction formula 6.4.2 (a), we have I x n I n n = − ⎡ ⎣ ⎢ ⎤ ⎦ ⎥ − − − tan 1 0 4 2 1 p = − − ⎡ ⎣ ⎢ ⎤ ⎦ ⎥ − − − − 1 1 4 0 1 1 2 n In tan tan p = − − − − 1 1 1 0 2 n In ( ) = − − − 1 1 2 n In ⇒ I n I n n = − 1 1 2 − − ( ) 1 ⇒ I I n n n + = − −2 1 1 ⇒ ( )[ ] n I I n n − + = − 1 1 2 ( ) 2 2. To prove n I I n n [ ] 1 2 1 5 1 1 1 The result ( ) 1 is true for all n ≥ 2. Replacing n by ( ) n +1 in ( ) 2 , we get ( )[ ] n I I n n + − + = + + − 1 1 1 1 1 2 ⇒ n I I n n [ ] + − + = 1 1 1 To find I5 I x dx 5 5 0 4 = ∫tan p Put n = 5 in ( ) 1 , we get I I 5 3 1 4 = − = − − ⎡ ⎣ ⎢ ⎤ ⎦ ⎥ 1 4 1 2 1 I = − + 1 4 1 I M06_ENGINEERING_MATHEMATICS-I _CH06_PART A.indd 40 5/20/2016 10:10:05 AM
  • 548.
    Integral Calculus ■6.41 But I x dx x 1 0 4 0 4 = = [ ] ∫tan logsec p p = − ⎡ ⎣ ⎢ ⎤ ⎦ ⎥ logsec logsec p 4 0 = − = log log log e e e 2 1 1 2 2 [ I e e 5 1 2 2 1 4 1 4 2 2 1 = − = − [ ] log log EXAMPLE 5 If u x e dx n n x a = − ∫ 0 , then prove that u n a u a n u n n n − + + − = − − ( ) ( ) . 1 2 1 0 Solution. Given u x e dx n n x a = − ∫ 0 Take u x v e n x = = − , . Integrating by parts, we get u x e nx e dx n n x a n x a = − ⎡ ⎣ ⎢ ⎤ ⎦ ⎥ − − − − − ∫ 1 1 0 1 0 = − − + − − − ∫ [ ] a e n x e dx n a n x a 0 1 0 ⇒ u a e nu n n a n = − + − −1 [ u a e n u n n a n − − − − = − + − 1 1 2 1 ( ) [ u n a u a e nu nu au n n n a n n n − + = − + − − − − − − − ( ) 1 1 1 1 = − − − − a e au n a n 1 = − − − + − − − − − a e a a e n u n a n a n [ ( ) ] 1 2 1 = − + − − − − − a e a e a n u n a n a n ( ) 1 2 = − − − a n un ( ) 1 2 [ u n a u a n u n n n − + + − = − − ( ) ( ) 1 2 1 0 EXAMPLE 6 If I x e dx n n x = ∫ , then show that I nI x e n n n x + = −1 . Hence, find I4 . Solution. Given I x e dx n n x = ∫ Take u x v e n x = = , . Integrating by parts, we get I x e n x e dx n n x n x = − ⋅ − ∫ 1 = − − ∫ x e n x e dx n x n x 1 ⇒ I x e nI n n x n = − −1 ( ) 1 ⇒ I nI x e n n n x + = −1 M06_ENGINEERING_MATHEMATICS-I _CH06_PART A.indd 41 5/20/2016 10:10:10 AM
  • 549.
    6.42 ■ EngineeringMathematics To find I x e dx x 4 4 = ∫ Put n = 4 in ( ) 1 . [ I x e I x 4 4 3 4 = − = − − x e x e I x x 4 3 2 4 3 [ ] = − + x e x e I x x 4 3 2 4 12 = − + − x e x e x e I x x x 4 3 2 1 4 12 2 [ ] = − + − x e x e x e I x x x 4 3 2 1 4 12 24 = − + − − x e x e x e xe I x x x x 4 3 2 0 4 12 24[ ] = − + − + ∫ x e x e x e xe e dx x x x x x 4 3 2 4 12 24 24 [{ I e dx x 0 = ∫ ] = − + − + x e x e x e xe e x x x x x 4 3 2 4 12 24 24 = − + − + e x x x x x [ ] 4 3 2 4 12 24 24 EXAMPLE 7 If u x x dx n n n = ≥ ∫ sin ( ) 0 2 0 p , then prove that u n n u n n n n n + − = ⎛ ⎝ ⎜ ⎞ ⎠ ⎟ ≥ − − ( ) , . 1 2 0 2 1 p Hence, evaluate u2. Solution. Given u x x dx n n = ∫ sin 0 2 p Take u x v x n = = , sin . Integrating by parts, we get u x x nx x dx n n n = − ( ) ⎡ ⎣ ⎤ ⎦ − − − ∫ cos ( cos ) 0 2 1 0 2 p p = + − ∫ 0 1 0 2 n x x dx n cos p = ⎡ ⎣ ⎤ ⎦ − − ⎧ ⎨ ⎪ ⎩ ⎪ ⎫ ⎬ ⎪ ⎭ ⎪ − − ∫ n x x n x x dx n n 1 0 2 2 0 2 1 sin ( ) sin p p = ⎛ ⎝ ⎜ ⎞ ⎠ ⎟ − ⎡ ⎣ ⎢ ⎢ ⎤ ⎦ ⎥ ⎥ − − ⎡ ⎣ ⎢ ⎢ ⎢ ⎤ ⎦ ⎥ ⎥ − − ∫ n n n x x dx n n p p p 2 2 0 1 1 2 0 2 sin ( ) sin ⎥ ⎥ ⇒ u n n n u n n n = ⎛ ⎝ ⎜ ⎞ ⎠ ⎟ − − − − p 2 1 1 2 ( ) ⇒ u n n u n n n n + − = ⎛ ⎝ ⎜ ⎞ ⎠ ⎟ − − ( ) 1 2 2 1 p ( ) 1 M06_ENGINEERING_MATHEMATICS-I _CH06_PART A.indd 42 5/20/2016 10:10:15 AM
  • 550.
    Integral Calculus ■6.43 To find u2. Put n = 2 in ( ) 1 , then we get u u 2 0 2 1 2 2 1 2 2 + − = ⋅ ⎛ ⎝ ⎜ ⎞ ⎠ ⎟ − ( ) p ⇒ + = u u 2 0 2 p But u x dx x 0 0 2 0 2 0 1 1 = = −[ ] = − − = ∫sin cos ( ) p p [ u u 2 2 2 1 2 + ⋅ = ⇒ = − p p EXAMPLE 8 If I d n n = ∫u u u p sin 0 2 , then prove that I n n I n n n n = − + ≥ − 1 1 2 2 2 , . Hence, find I4. Solution. Given I d n n = ∫u u u p sin , 0 2 = − ∫u u u u p sin sin n d 2 2 0 2 = − − ∫u u u u p (sin ) ( cos ) n d 2 2 0 2 1 = − − − ∫ ∫u u u u u u u p p (sin ) (sin ) cos n n d d 2 2 0 2 2 0 2 = − − − ∫ I d n n 2 2 0 2 u u u u u p cos [(sin ) cos ] ⇒ I I n n n n n = − − ⎡ ⎣ ⎢ ⎤ ⎦ ⎥ − − + − − − 2 1 0 2 1 u u u u u u u p cos (sin ) [ ( sin ) cos ] (sin ) 1 1 0 2 1 n d − ⎧ ⎨ ⎪ ⎩ ⎪ ⎫ ⎬ ⎪ ⎭ ⎪ ∫ u p = − + − − − ⎫ ⎬ ⎪ ⎭ ⎪ ⎧ ⎨ ⎪ − − ∫ ∫ I n d n d n n n 2 1 0 2 0 2 0 1 1 1 1 u u u u u u p p sin (sin ) cos / / ⎩ ⎩ ⎪ = − − + − ⎡ ⎣ ⎢ ⎤ ⎦ ⎥ − I n I n n n n n 2 0 2 1 1 1 1 sin u p M06_ENGINEERING_MATHEMATICS-I _CH06_PART A.indd 43 5/20/2016 10:10:18 AM
  • 551.
    6.44 ■ EngineeringMathematics = − − + − − ⎡ ⎣ ⎢ ⎤ ⎦ ⎥ − I n I n n n n n n 2 1 1 1 1 2 0 ( ) sin sin p ⇒ I I n I n n n n n = − − + − −2 1 1 1 1 ( ) ⇒ 1 1 1 1 1 2 + − ⎛ ⎝ ⎜ ⎞ ⎠ ⎟ = + − − n I I n n n n ( ) ⇒ n n I I n n n n − + − ⎛ ⎝ ⎜ ⎞ ⎠ ⎟ = + − − 1 1 1 1 1 2 ( ) ⇒ n n I I n n n n − ⎛ ⎝ ⎜ ⎞ ⎠ ⎟ = + − − 1 1 1 2 ( ) ⇒ I n n I n n n n n n = − + − ⋅ − − 1 1 1 1 2 ( ) ⇒ I n n I n n n = − + − 1 1 2 2 To find I4 If n = 4, then I I 4 2 2 3 4 1 4 = + , I I 2 0 2 1 2 1 2 = + But I d 0 0 2 = ∫u u p = ⎡ ⎣ ⎢ ⎤ ⎦ ⎥ u2 0 2 2 p = ⋅ = 1 2 4 8 2 2 p p . [ I2 2 2 1 2 8 1 4 4 16 = ⋅ + = + p p [ I4 2 2 2 3 4 4 16 1 16 3 4 4 64 3 16 64 = ⋅ + + = + + = + p p p ( ) . EXAMPLE 9 If I x dx n n 5 p p cot 4 2 ∫ , show that I n I n n n 5 2 1 1 2 2 − ≥ − , . Hence, evaluate cot4 0 2 x dx p ∫ . Solution. Given I x dx n n = ∫cot p p 4 2 M06_ENGINEERING_MATHEMATICS-I _CH06_PART A.indd 44 5/20/2016 10:10:21 AM
  • 552.
    Integral Calculus ■6.45 By reduction formula for cotn x dx ∫ , we have I x n I n n n = − ⎡ ⎣ ⎢ ⎤ ⎦ ⎥ − − − (cot ) / / 1 4 2 2 1 p p = − − − − − 1 1 0 1 2 n In [ ] [Refer page 6.36] ⇒ I n I n n n = − − ≥ − 1 1 2 2 , ( ) 1 To find I4 . I x dx 4 4 4 2 = ∫cot p p Put n = 4 in ( ) 1 , then I I 4 2 1 3 = − = − − = − + + = − + 1 3 1 1 1 3 2 3 0 0 0 ( ) I I I . But I dx x 0 4 2 4 2 2 4 4 = = [ ] = − = ∫ p p p p p p p . [ I4 2 3 4 3 8 12 = − + = − p p . 6.4.4 The Reduction Formula for sin cos m n x xdx ∫ , Where m n , are Non-negative Integers Solution. Let I x x dx m n m n , sin cos = ∫ = − ∫sin cos cos m n x x x dx 1 = − ∫cos (sin cos ) n m x x x dx 1 Take u x v x x n m n = = − cos , sin cos 1 . Integrating by parts, we get I x x m n x x x m dx m n n m n m , cos sin ( )cos ( sin ) sin = + − − − + − + − + ∫ 1 1 2 1 1 1 1 = + + − + − + − ∫ cos sin sin sin cos n m m n x x m n m x x x dx 1 1 2 2 1 1 1 = + + − + − − + − ∫ cos sin sin ( cos )cos n m m n x x m n m x x x dx 1 1 2 2 1 1 1 1 = + + − + − − + − + − ∫ ∫ cos sin sin cos sin cos n m m n m n x x m n m x x dx n m x x 1 1 2 1 1 1 1 1 d dx M06_ENGINEERING_MATHEMATICS-I _CH06_PART A.indd 45 5/20/2016 10:10:26 AM
  • 553.
    6.46 ■ EngineeringMathematics = + + − + − − + − + − cos sin , , n m m n m n x x m n m I n m I 1 1 2 1 1 1 1 1 ⇒ 1 1 1 1 1 1 1 1 2 + − + ⎛ ⎝ ⎜ ⎞ ⎠ ⎟ = + + − + + − − n m I x x m n m I m n m n m n , , sin cos ⇒ m n m I x x m n m I m n m n m n + + − + ⎛ ⎝ ⎜ ⎞ ⎠ ⎟ = + + − + + − − 1 1 1 1 1 1 1 1 2 , , sin cos ⇒ m n m I x x m n m I m n m n m n + + ⎛ ⎝ ⎜ ⎞ ⎠ ⎟ = + + − + + − − 1 1 1 1 1 1 2 , , sin cos [ I x x m n n m n I m n m n m n , , sin cos = + + − + + − − 1 1 2 1 Deduction: The Reduction formula for sin cos , m n x x dx 0 2 p ∫ where m n , are non-negative integers. Solution. Let I x x dx m n m n , sin cos = ∫ 0 2 p By reduction formula, we have I x x m n n m n I m n m n m n , , sin cos = + ⎡ ⎣ ⎢ ⎤ ⎦ ⎥ + − + + − − 1 1 0 2 2 1 p = + − + − 0 1 2 n m n Im n , ⇒ I n m n I m n m n , , = − + − 1 2 [ I n m n I m n m n , , − − = − + − 2 4 3 2 , I n m n I m n m n , , − − = − + − 4 4 5 4 [ I n m n n m n n m n m n , , = − + ⋅ − + − ⋅ − + − 1 3 2 5 4 … the last integral is I I m m , , 1 0 or . Case 1: If n is odd, reduce by n, then we get I n m n n m n n m n m I m n m , , = − + ⋅ − + − ⋅ − + − + 1 3 2 5 4 2 3 1 … But I x x dx m m , sin cos 1 0 2 = ∫ p = + ⎡ ⎣ ⎢ ⎤ ⎦ ⎥ = + + sinm x m m 1 0 2 1 1 1 p M06_ENGINEERING_MATHEMATICS-I _CH06_PART A.indd 46 5/20/2016 10:10:30 AM
  • 554.
    Integral Calculus ■6.47 [ I n m n n m n n m n m m m n , = − + ⋅ − + − ⋅ − + − + ⋅ + 1 3 2 5 4 2 3 1 1 … Similarly, if m is odd, reduce by m. [ I m m n m m n n n = + − + − + + − … ⋅ 1 3 2 2 3 1 1 , Case 2: If n is even, reduce by n, we get I n m n n m n n m n m m I m n m , , = − + ⋅ − + − ⋅ − + − + ⋅ + 1 3 2 5 4 3 4 1 2 0 … But I x dx m m , sin 0 0 2 = ∫ p = − ⋅ − − ⋅ ⋅ m m m m 1 3 2 3 4 1 2 2 … p if m is even = − ⋅ − − ⋅ m m m m 1 3 2 2 3 1 … if m is odd [ I n m n n m n m m m m m m m n , = − + ⋅ − + − + ⋅ + ⋅ − ⋅ − − ⋅ ⋅ 1 3 2 3 4 1 2 1 3 2 3 4 1 2 2 … … p . if m is even = − + ⋅ − + − + ⋅ + ⋅ − ⋅ − − ⋅ n m n n m n m m m m m m 1 3 2 3 3 1 2 1 3 2 2 3 1 … … if m is odd. Note If both m and n are odd or even reduce by smaller index and use case (1) and m, n are small numbers, we can directly integrate by substitution. WORKED EXAMPLES EXAMPLE 1 Evaluate sin cos 8 7 0 2 x x dx p ∫ . Solution. Let I x x dx 8 7 8 7 0 2 , sin cos = ∫ p . Here m n = = 8 7 , is odd. I n m n n m n m m m n , = − + ⋅ − + − + ⋅ + 1 3 2 2 3 1 1 … = ⋅ ⋅ ⋅ = 6 15 4 13 2 11 1 9 16 6435 . EXAMPLE 2 Evaluate x a x dx. a 2 2 0 2 3/2 ( ) 2 ∫ Solution. Let I x a x dx a = − ∫ 2 2 0 2 3 2 ( ) / M06_ENGINEERING_MATHEMATICS-I _CH06_PART A.indd 47 5/20/2016 10:10:34 AM
  • 555.
    6.48 ■ EngineeringMathematics Let x a dx a d = ∴ = sin cos u u u When x = = ⇒ = 0 0 0 , sinu u and when x a = = ⇒ = , sinu u p 1 2 [ I a a a a d a = − = − ∫ ∫ 2 2 0 2 2 2 2 3 2 6 2 0 2 2 1 sin ( sin ) cos sin ( sin ) / / / u u u u u u p p 3 3 2 6 2 0 2 3 6 2 0 2 4 / / / cos sin cos cos sin cos u u u u u u u u u p p d a d a d = = ∫ ∫ Here both the indices are even. [ we take the smaller one as n. [ m n = = 4 2 , . [ I a d a a = ⋅ = ⋅ ⋅ ⋅ = ∫ 6 4 0 2 6 6 1 6 6 3 4 1 2 2 32 cos / u u p p p EXAMPLE 3 Evaluate x x x dx. 3 2 0 4 4 2 ∫ Solution. Let I x x x dx = − ∫ 3 2 0 4 4 Put x dx d = ∴ = 4 8 2 sin sin cos u u u u When x = = ⇒ = 0 0 0 , sinu u and when x = = ⇒ = 4 1 2 , sinu u p [ I d = ⋅ − ⋅ = ⋅ ∫ ( sin ) sin sin sin cos sin sin / 4 4 4 16 8 4 4 2 0 2 3 2 4 3 6 u u u u u u u p u u u u u u u u u u p p 0 2 2 8 0 2 1 8 2048 20 / / sin sin cos sin cos cos ∫ ∫ − ⋅ = ⋅ ⋅ = d d 4 48 8 0 2 2 sin cos / u u u p ∫ ⋅ d Both indices are even and n = 2 is smaller. [ I d = ⋅ = ⋅ ⋅ ⋅ ⋅ ⋅ ⋅ = ∫ 2048 1 10 2048 1 10 7 8 5 6 3 4 1 2 2 28 8 0 2 sin / u u p p p M06_ENGINEERING_MATHEMATICS-I _CH06_PART A.indd 48 5/20/2016 10:10:38 AM
  • 556.
    Integral Calculus ■6.49 EXAMPLE 4 Evaluate cos 3 sin 6 4 3 0 6 u u u p ∫ d Solution. Let I d = ∫cos sin 4 3 0 6 3 6 u u u p Put x dx d dx d = ∴ = = 3 3 1 3 u u u ⇒ When u = = 0 0 , x and when u p p p = = = 6 3 6 2 , x Now sin sin ( sin cos ) sin cos 3 3 3 3 3 6 2 2 8 u = = = x x x x x [ I x x x dx x xdx = = = ⋅ ⋅ = ∫ ∫ cos sin cos cos sin 4 3 3 0 2 7 3 0 2 8 1 3 8 3 8 3 2 10 1 8 1 1 p p 5 5 Aliter: I x xdx x x x dx x = = − = ∫ ∫ 8 3 8 3 1 8 3 7 3 0 2 7 2 0 2 7 cos sin cos sin ( cos ) cos sin p p x xdx x xdx x x 0 2 9 0 2 8 0 2 10 8 3 8 10 p p p ∫ ∫ − = − ⎡ ⎣ ⎢ ⎤ ⎦ ⎥ − − ⎡ ⎣ ⎢ ⎤ ⎦ cos sin cos cos ⎥ ⎥ = − − + − ⎡ ⎣ ⎢ ⎤ ⎦ ⎥ = − ⎡ ⎣ ⎢ ⎤ ⎦ ⎥ = − × ⎡ 0 2 8 3 1 8 0 1 1 10 0 1 8 3 1 8 1 10 8 3 10 8 8 10 p ( ) ( ) ⎣ ⎣ ⎢ ⎤ ⎦ ⎥ = × ⎡ ⎣ ⎢ ⎤ ⎦ ⎥ = 8 3 2 8 10 1 15 6.4.5 The Reduction Formula For (a)∫xm (log x)n dx, (b) ∫xn sin mx dx, (c) ∫ xn cos mx dx (a) x x dx m e n ( ) log ∫ Solution. Let I x x dx x x dx m n m e n e n m , (log ) (log ) = = ∫ ∫ Take u x v x e n m = = (log ) , . Integrating by parts, we get [ I x x m n x x x m dx x x m n e n m e n m m e , (log ) (log ) (log = ⋅ + − ⋅ ⋅ + = + − + + ∫ 1 1 1 1 1 1 1 ) ) (log ) n e n m m n m x x dx + − + ⋅ ∫ − 1 1 1 M06_ENGINEERING_MATHEMATICS-I _CH06_PART A.indd 49 5/20/2016 10:10:42 AM
  • 557.
    6.50 ■ EngineeringMathematics ⇒ I x x m n m I m n m n m n , , (log ) = + − + + − 1 1 1 1 (b) x mx dx n sin ∫ Solution. Let I x mx dx n n = ∫ sin Take u x v mx n = = , sin . Integrating by parts, we get ⇒ I x mx m nx mx m dx x mx m n m x n n n n n = ⋅ − ⎛ ⎝ ⎜ ⎞ ⎠ ⎟ − − ⎛ ⎝ ⎜ ⎞ ⎠ ⎟ = − + − − ∫ cos cos cos 1 1 ∫ ∫ ∫ = − + − − ⎡ ⎣ ⎢ ⎤ ⎦ ⎥ − − cos cos sin ( ) sin mxdx x mx m n m x mx m n x mx m dx n n n 1 2 1 Ag gain integrating by parts [ ] = − + − − − x mx m n m x mx n n n n cos sin ( ) 2 1 1 m m x mxdx I x mx m n m x mx n n m I n n n n n 2 2 2 1 2 2 1 − − − ∫ = − + − − sin cos sin ( ) (c) x mx dx n cos ∫ Solution. Let I x mx dx n n = ∫ cos Take u x v mx n = = , cos . Integrating by parts, we get ⇒ I x mx m nx mx m dx x mx m n m x mxdx x n n n n n n = ⋅ − = − = − − − ∫ ∫ sin sin sin sin sin 1 1 m mx m n m x mx m n x mx m dx x mx m n n n − − − − − ⎡ ⎣ ⎢ ⎤ ⎦ ⎥ = − − − ∫ 1 2 1 ( cos ) ( ) ( cos ) sin + + − − = − + − − − ∫ n m x mx n n m x mxdx I x mx m n m x n n n n n 2 1 2 2 2 1 1 cos ( ) cos sin cosm mx n n m In − − − ( ) 1 2 2 M06_ENGINEERING_MATHEMATICS-I _CH06_PART A.indd 50 5/20/2016 10:10:44 AM
  • 558.
    Integral Calculus ■6.51 6.4.6 The Reduction Formula for (a) e x dx ax m sin ∫ and (b) e x dx ax n cos ∫ (a) e x dx ax n sin ∫ Solution. Let I e xdx xe dx n ax n n ax = = ∫ ∫ sin sin Take u x v e n ax = = sin , . Integrating by parts, we get I x e a n x x e a dx e x a n a x xe n n ax n ax ax n n = − = − − − ∫ ∫ sin sin cos sin sin cos 1 1 a ax ax n n ax n dx e x a n a x x e a x x x n = − − − + − − − sin sin cos sin ( sin ) cos ( ) 1 1 1 s sin cos sin sin cos n ax ax n ax n x x e a dx e x a n a e x x − − ⎡ ⎣ ⎤ ⎦ ⎧ ⎨ ⎩ ⎫ ⎬ ⎭ = − + ∫ 2 2 1 n n a x n x x e dx e x a a x n n n ax ax n 2 2 2 1 2 1 − + − ⎡ ⎣ ⎤ ⎦ = − − − ∫ sin ( )sin cos sin sin c cos sin ( )sin ( sin ) sin x n a x n x x e dx e n n ax ax n [ ]+ − + − − ⎡ ⎣ ⎤ ⎦ = − − ∫ 2 2 2 1 1 1 1 2 2 2 2 1 1 1 x a a x n x n a n xe dx n n a e n ax ax n sin cos ( )sin ( ) sin − [ ]+ − − + + − − x x dx ∫ ∫ e x a a x n x n a e x dx n n a I ax n ax n ∫ = − [ ]− + − − sin sin cos sin ( ) 1 2 2 2 2 1 n n ax n n n e a x a x n x n a I n n a I − − − = − [ ]− + − 2 2 1 2 2 2 1 sin sin cos ( ) ⇒ 1 1 2 2 1 2 2 2 + ⎛ ⎝ ⎜ ⎞ ⎠ ⎟ = − [ ]+ − − − n a I e x a a x n x n n a I n ax n n sin sin cos ( ) ⇒ n a a I e x a a x n x n n a I n ax n n 2 2 2 1 2 2 2 1 + ⎛ ⎝ ⎜ ⎞ ⎠ ⎟ = − [ ]+ − − − sin sin cos ( ) ⇒ I e x n a a x n x n n n a I I e n ax n n n ax = + − [ ]+ − + = − − sin sin cos ( ) ( ) sin 1 2 2 2 2 2 1 n n n x n a a x n x n n n a I − − + − [ ]+ − + 1 2 2 2 2 2 1 sin cos ( ) ( ) (b) e xdx ax n cos ∫ Solution. Let I e xdx n ax n = ∫ cos = ∫cosn ax xe dx M06_ENGINEERING_MATHEMATICS-I _CH06_PART A.indd 51 5/19/2016 4:54:07 PM
  • 559.
    6.52 ■ EngineeringMathematics Take u x v e n ax = = cos , . Integrating by parts, we get I x e a n x x x e a dx e x a n a x n n ax n ax ax n n = − − = + − − ∫ cos cos ( sin ) cos cos si 1 1 n n cos cos sin cos cos ( )co xe dx e x a n a x x e a x x n ax ax n n ax n ∫ = + ⋅ − + − − − 1 1 1 s s ( sin )sin cos cos n ax ax n ax n x x x e a dx e x a n a e − − − ⎡ ⎣ ⎤ ⎦ ⎧ ⎨ ⎩ ⎫ ⎬ ⎭ = + ∫ ∫ 2 2 1 x x x n a x n x x e dx e x a a n n ax ax n sin cos ( )cos sin cos c − − − ⎡ ⎣ ⎤ ⎦ = − − ∫ 2 2 2 1 2 1 o os sin cos ( )cos ( cos ) c x n x n a x n x x e dx e n n ax ax + [ ]− − − − ⎡ ⎣ ⎤ ⎦ = − ∫ 2 2 2 1 1 o os cos sin ( )cos ( )cos n n n ax x a a x n x n a n x n x e − − + [ ]− + − − − ⎡ ⎣ ⎤ ⎦ 1 2 2 2 1 1 1 d dx e x a a x n x n a e xdx n n a e ax n ax n ax ∫ ∫ = + [ ]− + − − cos cos sin cos ( ) 1 2 2 2 2 1 c cosn xdx − ∫ 2 ⇒ I e x a a x n x n a I n n a I n ax n n n = + [ ]− + − − − cos cos sin ( ) 1 2 2 2 2 2 1 ⇒ 1 1 2 2 1 2 2 2 + ⎛ ⎝ ⎜ ⎞ ⎠ ⎟ = + [ ]+ − − − n a I e x a a x n x n n a I n ax n n cos cos sin ( ) ⇒ n a a I e x a a x n x n n a I n ax n n 2 2 2 1 2 2 2 1 + ⎛ ⎝ ⎜ ⎞ ⎠ ⎟ = + [ ]+ − − − cos cos sin ( ) [ I e x n a a x n x n n n a I n ax n n = + + [ ]+ − + − − cos cos sin ( ) ( ) 1 2 2 2 2 2 1 [ e xdx e x n a a x n x n n n a I ax n ax n n cos cos cos sin ( ) ( ) ∫ = + + [ ]+ − + − − 1 2 2 2 2 2 1 6.4.7 The Reduction Formula for (a) cos sin m x n x dx ∫ and (b) cos cos m x nxdx ∫ Deduce if f m n x nx dx m ( , ) cos cos , / = ∫ 0 2 p then prove that f m n m m f m n ( , ) ( , ) = + − − 1 1 1 and hence prove that f n n n ( , ) = + p 2 1 where m n , are non-negative integers. (a) cos sin m x nx dx ∫ Solution. I x nxdx m n m , cos sin = ∫ M06_ENGINEERING_MATHEMATICS-I _CH06_PART A.indd 52 5/19/2016 4:54:10 PM
  • 560.
    Integral Calculus ■6.53 Take u x v nx m = = cos , sin Integrating by parts, we get I x nx n m x x nx n dx m n m m , cos cos cos ( sin ) cos c = − ⎛ ⎝ ⎜ ⎞ ⎠ ⎟ − − − ⎛ ⎝ ⎜ ⎞ ⎠ ⎟ = − − ∫ 1 o os cos cos cos sin m m x nx n m n x nx xdx − − ∫ 1 Now sin( ) sin( ) n x nx x − = − 1 = − sin cos cos sin nx x nx x ⇒ cos sin sin cos sin( ) nx x nx x n x = − −1 [ I x nx n m n x nx x n x dx x m n m m m , cos cos cos sin cos sin( ) cos = − − − − [ ] = − − ∫ 1 1 c cos cos sin cos sin( ) nx n m n x nxdx m n x n xdx m m − + − ∫ ∫ −1 1 ⇒ I x nx n m n I m n I m n m m n m n , , , cos cos = − − + − − 1 1 ⇒ 1 1 1 + ⎛ ⎝ ⎜ ⎞ ⎠ ⎟ = − + − − m n I x nx n m n I m n m m n , , cos cos ⇒ m n n I x nx n m n I m n m m n + = − + − − , , cos cos 1 1 [ I x nx m n m m n I m n m m n , , cos cos = − + + + − − 1 1 [ cos sin cos cos , m m m n x nxdx x nx m n m m n I ∫ = − + + + − − 1 1 (b) cos cos m x nxdx ∫ Solution. Let I x nxdx m n m , cos cos = ∫ Take u x v nx m = = cos , cos . Integrating by parts, we get I x nx n m x x nx n dx x nx m n m m m , cos sin cos ( sin ) sin cos sin = − − ⎛ ⎝ ⎜ ⎞ ⎠ ⎟ = − ∫ 1 n n m n x nx xdx m + − ∫cos sin sin . 1 cos( ) cos( ) n x nx x − = − 1 = + cos cos sin sin nx x nx x M06_ENGINEERING_MATHEMATICS-I _CH06_PART A.indd 53 5/19/2016 4:54:13 PM
  • 561.
    6.54 ■ EngineeringMathematics [ sin sin cos( ) cos cos nx x n x nx x = − − 1 [ I x nx n m n x n x nx dx x nx n m n m m m , cos sin cos cos( ) cos cos sin = + − − [ ] = − ∫ 1 1 + + − − − ∫ ∫ m n x n xdx m n x nxdx m m cos cos( ) cos cos 1 1 ⇒ I x nx n m n I m n I m n m m n m n , , , cos sin = + − − − 1 1 ⇒ 1 1 1 + ⎛ ⎝ ⎜ ⎞ ⎠ ⎟ = + − − m n I x nx n m n I m n m m n , , cos sin ⇒ m n n I x nx n m n I m n m m n + ⎛ ⎝ ⎜ ⎞ ⎠ ⎟ = + − − , , cos sin 1 1 [ I x nx m n m m n I m n m m n , , cos sin = + + + − − 1 1 Deduction: Given f m n x nxdx m ( , ) cos cos / = ∫ 0 2 p = + ⎡ ⎣ ⎢ ⎤ ⎦ ⎥ + + − − = + + − − cos sin ( , ) ( , ) / m x nx m n m m n f m n m m n f m n 0 2 1 1 0 1 1 p [ f m n m m n f m n ( , ) ( , ) = + − − 1 1 If m n = , then f n n n n n f n n ( , ) ( , ) = + − − 1 1 ⇒ f n n f n n f n n f n n f ( , ) ( , ) ( , ) ( , ) ( = − − = ⋅ − − = − − = ⋅ 1 2 1 1 1 2 1 2 2 2 1 2 2 2 1 2 1 2 2 2 n n n f n n f n n f n − − = − − = − − = 3 3 1 2 3 3 1 2 4 4 1 2 0 0 3 4 , ) ( , ) ( , ) ( , ) : M06_ENGINEERING_MATHEMATICS-I _CH06_PART A.indd 54 5/19/2016 4:54:16 PM
  • 562.
    Integral Calculus ■6.55 But f x xdx ( , ) cos cos / 0 0 0 0 0 2 = ∫ p = = [ ] = ∫ dx x 0 2 0 2 2 p p p / / [ f n n n n ( , ) = ⋅ = + 1 2 2 2 1 p p EXERCISE 6.4 1. Evaluate the following integrals (a) sin / 8 0 2 x dx p ∫ (b) sin / 7 0 2 x dx p ∫ (c) sin cos / 7 5 0 2 x x dx p ∫ (d) sin cos / 6 4 0 2 x x dx p ∫ (e) sin cos / 15 3 0 2 x x dx p ∫ (f) x a x dx 3 2 2 5 0 ( ) + ∞ ∫ 2. If I a x dx n n a = − ∫( ) 2 2 0 where n is a positive integer, then prove that I na n I n n = + − 2 2 1 2 1. 3. If I x x dx n n = − ∫ 2 3 0 1 1 ( ) , prove that I n n I n n = + − 1 1. Hence, find x x dx 2 3 7 0 1 1 ( ) . − ∫ 4. If I x x dx n n = ∫ cos , / 0 2 p show that I n n I n n n + − = ⎛ ⎝ ⎜ ⎞ ⎠ ⎟ − ( ) . 1 2 2 p 5. Obtain the reduction formula for I e x dx n x n = − ∞ ∫ sin 0 and show that ( ) ( ) . 1 1 2 2 + = − − n I n n I n n Hence, evaluate I4 . ANSWERS TO EXERCISE 6.4 1. (a) 35 256 p (b) 16 35 (c) 1 120 (d) 3 512 p (e) 1 144 (f) 1 24 6 a 3. 1 24 5. 24 85 6.5 APPLICATION OF INTEGRAL CALCULUS In this section, we deal with some of the important applications of Integral Calculus. They are 1. Area of plane curves 2. Length of arc of plane curves 3. Volume of solids of revolution 4. Area of surface of revolution M06_ENGINEERING_MATHEMATICS-I _CH06_PART A.indd 55 5/19/2016 4:54:20 PM
  • 563.
    6.56 ■ EngineeringMathematics 6.5.1 Area of Plane Curves 6.5.1 (a) Area of Plane Curves in Cartesian Coordinates 1. If f x ( ) is continuous, positive and bounded in [ , ], a b then f x dx a b ( ) ∫ geometrically represents the area bounded by the curve y f x = ( ), the x-axis and the abscissae x a = and x b = ∴ area A ydx f x dx a b a b = = ∫ ∫ ( ) 2. If y f x = ( ) crosses the x-axis (as in Fig 6.2) at x c = in [ , ], a b then the area is given by = + ∫ ∫ A f x dx f x dx a c c b ( ) ( ) , Since f x dx c b ( ) , ∫ 0 for area, we take the absolute value. 3. If the area is bounded by the curve x g y = ( ), the y-axis and the ordinates y c y d = = , , then the area A xdy g y dy c d c d = = ∫ ∫ ( ) 4. Area bounded between two curves If f x g x x a b ( ) ( ) [ , ], ≤ ∀ ∈ then the area bounded between the curves y f x = ( ) and y g x = ( ) in [ , ] a b is A g x f x dx a b = − [ ] ∫ ( ) ( ) x = a x = b y = f(x) y O x Fig. 6.1 O y x x = b y = a y = f(x) y = g(x) Fig. 6.4 x = a x = b x = c y = f(x) O y x Fig. 6.2 y x O y = c y = d x = g(y) Fig. 6.3 M06_ENGINEERING_MATHEMATICS-I _CH06_PART A.indd 56 5/19/2016 4:54:24 PM
  • 564.
    Integral Calculus ■6.57 WORKED EXAMPLES EXAMPLE 1 Find the area of the ellipse x a y b 2 2 2 2 1 1 5 . Solution. The given curve is the ellipse x a y b 2 2 2 2 1 + = (1) ∴ area A ydx a b = ∫ The area in the four quadrants are equal, because the ellipse is symmetric w.r.to both the axis. Equation (1) ⇒ y b x a a x a 2 2 2 2 2 2 2 1 = − = − ⇒ y b a a x = ± − 2 2 When y = 0, x a x a x a 2 2 2 2 1 = ⇒ = ⇒ = ± ∴ area of the ellipse A = × 4 Area in the first quadrant = = − = − + ⎡ ⎣ ⎢ ⎢ ⎤ ⎦ ⎥ ⎥ = ∫ ∫ − 4 4 4 2 2 4 0 2 2 0 2 2 2 1 0 ydx b a a x dx b a x a x a x a b a a a a sin 0 0 2 1 0 2 2 2 1 1 0 + − ( ) ⎡ ⎣ ⎢ ⎤ ⎦ ⎥ = ⋅ = − − a ab ab a sin sin p p EXAMPLE 2 Find the area of the curve x y a 2/3 2/3 2/3 + = . Solution. The given curve is x y a 2 3 2 3 2 3 / / / . + = (1) ∴ Area A ydx a b = ∫ The curve is symmetric w.r.to both the axes. ∴ the area in the four quadrants are equal. Equation (1) ⇒ y a x y a x 2 3 2 3 2 3 2 3 2 3 3 2 / / / / / / = − ⇒ = − ⎡ ⎣ ⎤ ⎦ When y = 0, x a x a x a 2 3 2 3 2 2 / / = ⇒ = ⇒ = ± O y y′ x x′ B′ A′ A B (−a, 0) (a, 0) Fig. 6.5 M06_ENGINEERING_MATHEMATICS-I _CH06_PART A.indd 57 5/19/2016 4:54:27 PM
  • 565.
    6.58 ■ EngineeringMathematics ∴ area A = × 4 Area in the first quadrant = = − ∫ ∫ 4 4 0 2 3 2 3 3 2 0 ydx a x dx a a ( ) / / / Put x a = sin3 u ∴ = dx a d 3 2 sin cos u u u When x = 0, sinu u = ⇒ = 0 0 and When x a = , sinu u p = ⇒ = 1 2 ∴ area A a a a d = − ⎡ ⎣ ⎤ ⎦ ∫ 4 3 2 3 2 3 2 0 2 3 2 2 / / / / sin sin cos u u u u p = − = ∫ ∫ 12 1 12 2 2 3 2 0 2 2 2 3 0 2 2 a d a d ( sin ) sin cos cos sin cos / / / u u u u u u u p p u u u u u p = ∫ 12 2 4 0 2 2 a d cos sin / u u p = − + ∫ 12 2 1 4 2 2 4 0 2 a d cos / p p Using reduction formula 4 is [ ] = ⋅ ⋅ ⋅ = = 12 6 3 4 1 2 2 3 8 2 2 a a n { e even [ ] EXAMPLE 3 Show that the area of the loop of the curve ay a x 2 2 ( ) 5 2 x is 8 15 2 a . Solution. The given curve is ay x a x 2 2 = − ( ) ( ) 1 To find the loop of the curve, first trace the curve. Since the equation is of even degree in y, it is symmetric about the x-axis. To find the intersection with the x-axis, put y = 0 in ( ) 1 [ x a x x a 2 0 0 0 ( ) , , . − = ⇒ = If x a y , 2 is negative ⇒ y is imaginary. So, the curve does not exit beyond x a = . Tangents at the origin is obtained by equating the lowest degree terms to zero. [ ay ax y x y x 2 2 2 2 0 − = ⇒ = ⇒ = ± ∴ the loop of the curve is a shown in Fig 6.7. O y y′ x x′ (a, 0) (0, a) (0, −a) (−a, 0) Fig. 6.6 M06_ENGINEERING_MATHEMATICS-I _CH06_PART A.indd 58 5/19/2016 4:54:31 PM
  • 566.
    Integral Calculus ■6.59 Let A be the area of the loop of the curve. [ A = × 2 area of the loop above the x-axis = = − = − ∫ ∫ ∫ 2 2 2 0 0 0 ydx x a x a dx a x a xdx a a a Put t a x dx dt dx dt = − ∴− = ⇒ = − When x t a = = 0, and when x a t = = , 0 [ A a a t t dt a = − − ∫ 2 0 ( ) ( ) = − − ∫ 2 0 a a t tdt a ( ) = − ∫ 2 1 2 3 2 0 a at t dt a ( ) / / = − ⎡ ⎣ ⎢ ⎤ ⎦ ⎥ 2 3 2 5 2 3 2 5 2 0 a at t a / / / / = ⋅ − ⎡ ⎣ ⎢ ⎤ ⎦ ⎥ = − ⎡ ⎣ ⎢ ⎤ ⎦ ⎥ = ⋅ ⋅ = 4 3 5 4 3 5 4 2 15 8 3 2 5 2 5 2 5 2 5 2 2 a a a a a a a a a a / / / / / 1 15 EXAMPLE 4 Find the area bounded by the curve y a x x 2 3 2 ( ) 2 5 and its asymptote. Solution. The given curve is y a x x 2 3 2 ( ) − = ⇒ = − y x a x 2 3 2 ( ) ( ) 1 The equation is even degree in y. So, the curve is symmetric about the x-axis. To find the point of intersection with the x-axis, put y = 0 in ( ) 1 ∴ x x 3 0 0 = ⇒ = . When x = 2a, y2 is infinite ∴ x a = 2 is an asymptote. Tangent at the origin is y = 0, the x-axis. The curve will be as shown in the figure. Let A = area bounded by the asymptote ∴ A = × 2 area above the x-axis = ∫ 2 0 2 y dx a = − ∫ 2 2 0 2 x x a x dx a O y x y = x y = −x (a, 0) Fig. 6.7 O y y′ x x′ (2a, 0) x = 2a Fig. 6.8 M06_ENGINEERING_MATHEMATICS-I _CH06_PART A.indd 59 5/19/2016 4:54:36 PM
  • 567.
    6.60 ■ EngineeringMathematics Put x a = 2 2 sin u [ dx a d = 4 sin cos u u u When x = = ⇒ = 0 0 0 , sinu u and when x a = = ⇒ = 2 1 2 2 , sin u u p [ A a a a a a d = − ∫ 2 2 2 2 2 4 2 2 2 0 2 sin sin sin sin cos u u u u u u p = − ∫ 16 1 2 3 2 0 2 a d sin sin cos sin u u u u u p ? = ⋅ ∫ 16 2 4 0 2 a d sin cos cos u u u u p = = ⋅ ⋅ ⋅ = ∫ 16 16 3 4 1 2 2 3 2 4 0 2 2 2 a d a a sin u u p p p . EXAMPLE 5 Compute the area bounded by the curve y x x x 5 2 1 1 4 3 2 2 3 , the x 5 axis and the ordinates corresponding to the points of minimum of the function. Solution. Given y x x x = − + + 4 3 2 2 3 [ dy dx x x x = − + 4 6 2 3 2 For maximum or minimum dy dx = 0 ⇒ x x x − + = 4 6 2 0 3 2 ⇒ 2 2 3 1 0 2 x x x [ ] − + = ⇒ 2 2 1 1 0 x x x ( )( ) − − = ⇒ = x 0 1 2 1 , , Now d y dx x x 2 2 2 12 12 2 = − + When x d y dx = = 0 2 0 2 2 , . [ y is minimum. When x d y dx = = ⎛ ⎝ ⎜ ⎞ ⎠ ⎟ − + = − + = − 1 2 12 1 2 12 1 2 2 3 6 2 1 0 2 2 2 , ? ? [ y is maximun. When x d y dx = = − + = 1 12 1 12 1 2 2 0 2 2 , ? ? [ y is minimum ∴ the minimum points correspond to x = 0 and x = 1 and the curve is above the x-axis in this interval. ∴ required area is A ydx = ∫ 0 1 = − + + = − + + ⎡ ⎣ ⎢ ⎤ ⎦ ⎥ = − + + − = ∫( ) x x x dx x x x x 4 3 2 0 1 5 4 3 0 1 2 3 5 2 4 3 3 1 5 1 2 1 3 3 0 6 − − + + = 15 10 90 30 91 30 M06_ENGINEERING_MATHEMATICS-I _CH06_PART A.indd 60 5/19/2016 4:54:40 PM
  • 568.
    Integral Calculus ■6.61 EXAMPLE 6 The gradient of a curve at any point is x x 2 4 3 2 1 and the curve passes through ( , ) 3 1 . Find the area enclosed by this curve, the x-axis and the maximum and minimum ordinates. Solution. Let y f x = ( ) be the equation the curve. Given the slope of the curve at any point is x x 2 4 3 − + . We know that the slope of the curve at any point is the same as the slope of the tangent at that point. At any point( , ) x y , the slope of the tangent is dy dx . [ dy dx x x = − + 2 4 3 Integrating w.r.to x, y x x dx = − + ∫( ) 2 4 3 ⇒ y x x x c = − + + 3 2 3 4 2 3 ⇒ y x x x c = − + + 3 2 3 2 3 It passes through the point ( , ) 3 1 [ 1 3 3 2 3 3 3 3 2 = − + + ? ? c = − + + ⇒ = 9 18 9 1 c c ∴ the equation of the curve is y x x x = − + + 3 2 3 2 3 1 ( ) 1 For maximum or minimum, dy dx = 0 ⇒ x x 2 4 3 0 − + = ⇒ ( )( ) x x − − = 3 1 0 ⇒ = x 1 3 , and d y dx x 2 2 2 4 = − When x =1, d y dx = − = − 2 1 4 2 0 2 2 ? ∴ y is maximum at x = 1. When x =3, d y dx = − = 6 4 2 0 2 2 ∴ y is minimum at x = 3 ∴ area bounded by the curve ( ) 1 , the x-axis and the maximum and the minimum ordinates is A y dx = ∫ 1 3 = − + + ⎛ ⎝ ⎜ ⎞ ⎠ ⎟ = − + + ⎡ ⎣ ⎢ ⎤ ⎦ ⎥ ∫ x x x dx x x x x 3 2 1 3 4 3 2 1 3 3 2 3 1 1 3 4 2 3 3 2 ? ? ? M06_ENGINEERING_MATHEMATICS-I _CH06_PART A.indd 61 5/19/2016 4:54:45 PM
  • 569.
    6.62 ■ EngineeringMathematics = − − − + − + − = × − × + × + = 1 12 3 1 2 3 3 1 3 2 3 1 3 1 1 12 80 2 3 26 3 2 8 2 4 4 3 3 2 2 ( ) ( ) ( ) ( ) 2 20 3 52 3 14 20 52 42 3 10 3 − + = − + = EXAMPLE 7 Find the area of the propeller shaded region enclosed by the curves x y 2 5 1 3 0 and x y 2 5 1 5 0. Solution. The given curves are x y x y − = ⇒ = 1 3 3 0 ( ) 1 and x y x y − = ⇒ = 1 5 5 0 ( ) 2 To find the points of intersection solve ( ) 1 and ( ) 2 ∴ x x x x 3 5 3 2 1 0 = ⇒ − = ( ) ⇒ x 0 1 1 = − + , , When x y x y = − = − = = 1 1 1 1 , , and when The curves are symmetric about the origin. Area bounded by the curves is A = 2[area in theIquadrant] = − ( ) = − ⎡ ⎣ ⎢ ⎤ ⎦ ⎥ = − ⎡ ⎣ ⎢ ⎤ ⎦ ⎥ = − ⎡ ⎣ ⎢ ⎤ ⎦ ⎥ = ∫ 2 2 4 6 2 1 4 1 6 2 3 2 12 2 1 3 5 0 1 4 6 x x dx x x 1 12 1 6 ⎛ ⎝ ⎜ ⎞ ⎠ ⎟ = EXAMPLE 8 Find the area between the curves y x x x 5 1 1 1 4 3 16 4 and y x x x 5 1 1 1 4 2 6 8 4 . Solution. Let f x x x x ( ) = + + + 4 3 16 4 g x x x x ( ) = + + + 4 2 6 8 4 Now f x g x x x x ( ) ( ) − = − + 3 2 6 8 The points of intersection of the two curves is given by f x g x ( ) ( ) − = 0 ⇒ x x x 3 2 6 8 0 − + = O (1, 1) (1, 0) (−1, −1) (−1, 0) y x Fig. 6.9 y x O (0, 4) x = 2 x = 4 Fig. 6.10 M06_ENGINEERING_MATHEMATICS-I _CH06_PART A.indd 62 5/19/2016 4:54:48 PM
  • 570.
    Integral Calculus ■6.63 ⇒ x x x ( ) 2 6 8 0 − + = ⇒ x x x ( )( ) + − = 2 4 0 ⇒ x = 0 2 4 , , When x = 0, y = 4. In the interval [ , ] 0 4 , the curves intersect at x = 2. Required area is A f x g x dx f x g x dx = − + − ∫ ∫ ( ( ) ( )) ( ( ) ( )) 0 2 2 4 Now f x g x dx x x x dx ( ) ( ) ( ) − = − + ∫ ∫ 0 2 3 2 0 2 6 8 = − + ⎡ ⎣ ⎢ ⎤ ⎦ ⎥ = − + = − + = x x x 4 3 2 0 2 4 3 2 4 6 3 8 4 2 4 2 2 2 2 4 16 16 4 ? ? and ( ( ) ( )) ( ) f x g x dx x x x dx − = − + ∫ ∫ 2 4 3 2 2 4 6 8 = − + ⎡ ⎣ ⎢ ⎤ ⎦ ⎥ = − − − + − = x x x 4 3 2 2 4 4 4 3 3 2 2 4 6 3 8 4 1 4 4 2 2 4 2 2 4 2 1 4 240 ( ) ( ) ( ) ( ) − − + = − + = − 2 56 4 12 60 112 48 4 ( ) ( ) ∴ Area A = + − = + = 4 4 4 4 8. EXAMPLE 9 Find the area bounded by y x x y x x y x x x 5 5 52 1 1 , [ , ], , [ , ] , [ , ] ∈ ∈ ∈ 0 1 1 2 2 4 0 2 2 2 and . Solution. The given curves are y x x = ∈ , [ , ] 0 1 ⇒ y x x 2 0 1 = ∈ , [ , ] ( ) 1 y x x = ∈ 2 1 2 , [ , ] ( ) 2 and y x x = − + + 2 2 4 ( ) 3 = − − + = − − − + = − − + ( ) [( ) ] ( ) x x x x 2 2 2 2 4 1 1 4 1 5 ⇒ y x − = − − 5 1 2 ( ) , M06_ENGINEERING_MATHEMATICS-I _CH06_PART A.indd 63 5/19/2016 4:54:52 PM
  • 571.
    6.64 ■ EngineeringMathematics Which is a downward parabola with vertex ( , ) 1 5 and axis x = 1 as in Fig 6.11. [ area A y dx y dx y dx = − − ∫ ∫ ∫ ( ) ( ) ( ) 3 0 2 1 0 1 2 1 2 = − + + − − ∫ ∫ ∫ ( ) x x dx xdx x dx 2 0 2 0 1 2 1 2 2 4 = − + + ⎡ ⎣ ⎢ ⎤ ⎦ ⎥ − ⎡ ⎣ ⎢ ⎤ ⎦ ⎥ − ⎡ ⎣ ⎢ ⎤ ⎦ ⎥ x x x x x 3 2 0 2 3 2 0 1 3 1 2 3 2 2 4 3 2 3 = − + + ⋅ − − − − − 2 3 2 4 2 0 2 3 1 0 1 3 2 1 3 2 3 3 [ ] [ ] = − + + − − = − + = − + = 8 3 4 8 2 3 7 3 17 3 12 17 36 3 19 3 EXAMPLE 10 For any real t x e e y e e t t t t , , 5 1 5 2 2 2 2 2 is a point on the hyperbola x y 2 2 1 2 5 . Show that the area bounded by this hyperbola and the lines joining its centre to the points corresponding to t t 1 1 and2 is t1 . Solution. The given equation of the hyperbola is x y 2 2 1 − = ( ) 1 Also given x e e y e e t R t t t t = + = − ∈ − − 2 2 , ; ( ) 2 [ e e e e t t t t + − ⎛ ⎝ ⎜ ⎞ ⎠ ⎟ − − 2 2 , are the coordinates of any point on the rectangular hyperbola x y 2 2 1 − = . Centre of the hyperbola is the origin O. Let P be the point on the hyperbola corresponding to the parameter t t = 1. [ P e e e e t t t t = + − ⎛ ⎝ ⎜ ⎞ ⎠ ⎟ − − 1 1 1 1 2 2 , O P t1 X Y Q R A Fig. 6.12 y2 = x y2 = x y = −x2 + 2x + 4 x2 = y x = 1 x = 2 (1, 5) x y O Fig. 6.11 M06_ENGINEERING_MATHEMATICS-I _CH06_PART A.indd 64 5/19/2016 4:54:55 PM
  • 572.
    Integral Calculus ■6.65 Let Q be the point on the curve corresponding to t t = − 1. [ Q e e e e t t t t = + − ⎛ ⎝ ⎜ ⎞ ⎠ ⎟ − − 1 1 1 1 2 2 , = + − − ⎛ ⎝ ⎜ ⎞ ⎠ ⎟ − − e e e e t t t t 1 1 1 1 2 2 , [ P Q and have same x-coordinates but y-coordinates have opposite signs. Hence, Q is the image of Pin the x-axis and so PQ is perpendicular to the x-axis Since the points P Q and and the curve are symmetric about the x-axis, OP and OQ are symmetric about the x-axis. So, the area bounded by OP, OQ and the curve is = 2 (area above x-axis) Let PQ cuts the x-axis at R. [ the required area = 2[Areaof the right angled OPR area APR Δ − ] where area APR is the area bounded by the curve, the x-axis and the line PR. Now area of ΔOPR OR PR = ⋅ 1 2 = + ⋅ − = − − − − 1 2 2 2 1 8 1 1 1 1 1 1 2 2 e e e e e e t t t t t t ( ) and the area APR y dx dt dt t = ∫ 0 1 [ ] { t A = 0correspondsto Since y e e x e e dx dt e e t t t t t t = − = + ∴ = − − − − 2 2 2 and [ ] { t t P = 1 correspondsto [ area APR e e e e dt t t t t t = − ⋅ − − ∫ 2 2 0 1 − = − = + − = + − − ⎡ ⎣ − − − ∫ ∫ 1 4 1 4 2 1 4 2 2 2 2 0 2 2 0 2 2 1 1 ( ) ( ) e e dt e e dt e e t t t t t t t t t ⎢ ⎢ ⎤ ⎦ ⎥ 0 1 t = − − − − ⎛ ⎝ ⎜ ⎞ ⎠ ⎟ ⎡ ⎣ ⎢ ⎤ ⎦ ⎥ = − − − − 1 4 2 2 2 1 2 1 2 0 1 8 2 2 2 1 2 2 1 1 1 1 1 e e t e e t t t t t − ( ) ∴ required area A = − − − − ⎧ ⎨ ⎩ ⎫ ⎬ ⎭ ⎡ ⎣ ⎢ ⎤ ⎦ ⎥ = ⎛ ⎝ ⎜ ⎞ ⎠ ⎟ − − 2 1 8 1 8 2 2 2 2 2 2 2 1 1 1 1 1 1 ( ) ( ) e e e e t t t t t t = = t1. M06_ENGINEERING_MATHEMATICS-I _CH06_PART A.indd 65 5/19/2016 4:54:59 PM
  • 573.
    6.66 ■ EngineeringMathematics EXERCISE 6.5 1. Find the area bounded by the curve x y + = 1and the coordinate axes. 2. Find the area bounded by the parabola and its latus rectum. 3. Find the area bounded by the curve y x x = − 3 4 and the x-axes. 4. Find the area of the curve y x x 2 4 2 9 = − ( ). 5. Find the area bounded by the curve and its asymptote (i) y x x 2 3 2 = − (ii) y a x a x 2 2 = − (iii) xy a a x 2 2 = − ( ) 6. Find the area of the loop of the curve (i) a y x a x 2 2 3 = − ( ) (ii) 3 2 2 ay x x a = − ( ) (iii) y a a x a x 2 2 2 2 2 2 = − + ( ) 7. Find the area in the I quadrant bounded by y x 2 = , the x-axis and the line x y − = 2. 8. Find the area bounded by y ax 2 4 = and x by 2 4 = . 9. Find the area bounded by the parabola y x = 2 and the line 2 3 0 x y − + = . 10. Show that the larger of the two areas into which the circle x y a 2 2 2 64 + = is divided by the parabola y ax 2 12 = is 16 3 8 3 2 a ( ) p − . 11. Find the area bounded by the parabola x y = −2 2 , x y = − 1 3 2 . 12. Find the area bounded by x y 2 4 = and y x = + 8 4 2 . 13. Find the area of the region bounded by the parabola y x x = − − + 2 2 3, the tangent at the point P( , ) 2 5 − on the curve and the y-axis. 14. Find the area of the loop of the curve y x a x a x 2 2 = − ⎛ ⎝ ⎜ ⎞ ⎠ ⎟ + . 15. Find the area of the curve y x = sin bounded by the x-axis (i) in [0, 2p] and (ii) in [−p, p]. 16. Compute the area bounded by the curve by y x = and y x = 2 . 17. Find the area bounded by the curve x y 2 4 = and the straight line x y = − 4 2. 18. Show that the parabola y x 2 = divides the circle x y 2 2 2 + = into two portions whose area are in the ratio ( ) : ( ). 9 2 3 2 p p − + 19. Find the area bounded by one arch of the cycloid x a y a = − = − ( sin ), ( cos ) u u u 1 and its base. M06_ENGINEERING_MATHEMATICS-I _CH06_PART A.indd 66 5/19/2016 4:55:05 PM
  • 574.
    Integral Calculus ■6.67 ANSWERS TO EXERCISE 6.5 1. 1 6 2. 8 3 2 a 3. 8 4. 31 4 p 5. (i) 3p (ii) pa2 (iii) pa2 6. (i) p 8 2 a (ii) 8 3 45 2 a (iii) 1 2 2 2 ( ) p − a 7. 10 3 8. 16 3 ab 9. 32 3 11. 4 3 12. 2 4 3 p − 13. 8 3 14. a2 2 4 ( ). p + 15. (i) 4, (ii) 4 16. 1 3 17. 9 8 6.5.1 (b) Area in Polar Coordinates Formula: The area bounded by the curve r f = ( ) u and the radius vectors u a u b = = and is A r d = ∫ 1 2 2 u a b . Proof Given r f = ( ) u is the equation of the curve. Let A B and be two points on the curve with radii vectors u a u b = = and f ( ) u is continuous in [ , ] a b Let P r ( , ) u and Q r r ( , ) + + Δ Δ u u be neighbouring points on the curve. Let ΔA be the element area of the strip OPQ. Then Δ Δ A r = 1 2 2 u approximately. ∴ Δ Δ A r ∑ ∑ = 1 2 2 u The limit of ΔA ∑ as Δu → 0 is the area of OAB. ∴ area of the region OAB = 1 2 2 r du a b ∫ = ∫ 1 2 2 r du a b . ■ x B A P (r, θ) Q (r + Δr, θ + Δθ) Δθ β α O Fig. 6.13 M06_ENGINEERING_MATHEMATICS-I _CH06_PART A.indd 67 5/19/2016 4:55:12 PM
  • 575.
    6.68 ■ EngineeringMathematics WORKED EXAMPLES EXAMPLE 1 Find the area of the cardioid r a 5 1 u ( cos ). 1 Solution. The given curve is r a = + ( cos ) 1 u . ∴ area A r d = ∫ 1 2 2 u a b The equation is unaffected if u is changed to −u, because cos( ) cos − = u u. ∴ the curve is symmetric about the initial line OX and u varies from 0 to p. ∴ area of the curve = 2 (area above OX) Area A r d a d = × = + ∫ ∫ 2 1 2 1 2 0 2 0 u u u p p ( cos ) = + + = + + + ⎡ ⎣ ⎢ ⎤ ⎦ ⎥ = ∫ ∫ a d a d a 2 2 0 2 0 2 1 2 1 2 1 2 2 3 2 ( cos cos ) cos cos u u u u u u p p + + + ⎡ ⎣ ⎢ ⎤ ⎦ ⎥ = + + ⎡ ⎣ ⎢ ⎤ ⎦ ⎥ = ∫ 2 2 2 3 2 2 2 4 3 2 0 2 0 2 cos cos sin sin u u u u u u p p p d a a + + + − ⎡ ⎣ ⎢ ⎤ ⎦ ⎥ = 2 2 4 0 3 2 2 sin sin p p pa EXAMPLE 2 Find the area outside the circle r a 5 u 2 cos and inside the cardioid r a 5 1 u ( cos ) 1 . Solution. Given the circle r a = 2 cosu ( ) 1 and the cardioid r a = + ( cos ) 1 u ( ) 2 The required area is as shown in the Fig 6.15, since the circle lies inside the cardioid. From ( ) 1 , when u = = 0 2 , r a and when u = = p 2 0 , r x (a, 0) O (2a, 0) Fig. 6.15 θ = π θ = 0 2θ x θ r O Fig. 6.14 M06_ENGINEERING_MATHEMATICS-I _CH06_PART A.indd 68 5/19/2016 4:55:18 PM
  • 576.
    Integral Calculus ■6.69 To find the point of intersection, solve ( ) 1 and ( ) 2 ∴ a a ( cos ) cos 1 2 + = u u ⇒ cosu u p = = 1 0 2 ⇒ or When u p = = ⋅ = 3 2 1 2 , r a a [From (1)] That is the circle lies inside the cardioid. Required area A = Area of the cardioid − Area of the circle Area of the cardioid = 3 2 2 pa [by example 1] Area of the circle = pa2 , since radius is a. ∴ required area = − = 3 2 2 2 2 2 p p p a a a . EXAMPLE 3 Find the area of a loop of the curve r a 5 u sin3 . Solution. Given the curve is r a = sin3u When u = = 0 0 , r When u p p = = = 6 2 , sin r a a, which is the maximum value of r. When u p p = = = 3 0 , sin r a So, as u varies from 0 to p 6 , x goes from 0 toA and as u varies from p 6 to p 3 , x comes from A to 0. So, as u varies from 0 3 to p , we get a loop as in Fig. 6.16. Area of the loop = ∫ 1 2 2 0 3 r du p = = − ⎡ ⎣ ⎢ ⎤ ⎦ ⎥ = ⎡ ⎣ ⎢ ⎤ ⎦ ∫ ∫ 1 2 3 2 1 6 2 4 6 6 2 2 0 3 2 0 3 2 a d a d a sin cos sin u u u u u u p p − ⎥ ⎥ = − − ⎡ ⎣ ⎢ ⎤ ⎦ ⎥ = 0 3 2 2 4 3 2 6 0 12 p p p p a a sin x y A θ = 0 O θ = 2 π θ = 3 π θ = 6 π 60° 30° Fig. 6.16 M06_ENGINEERING_MATHEMATICS-I _CH06_PART A.indd 69 5/19/2016 4:55:25 PM
  • 577.
    6.70 ■ EngineeringMathematics EXAMPLE 4 Show that the area between the cardioids r a 5 1 u ( cos ) 1 and r a 5 2 u ( cos ) 1 is ( ) . 3 8 2 2 p 2 a Solution. The given equations of the two cardioids are r a = + ( cos ) 1 u ( ) 1 r a = − ( cos ) 1 u ( ) 2 The area common to the cardioids is the two shaded regions as in Fig 6.17, which are equal in area, because both the curves are symmetric about the initial line. Common Area A = 2[area of the part above the line of OX ]. The two cardioids interact at u p p = 2 3 2 , . since a(1 − cosu) = a(1 + cosu) ⇒ cosu = 0 ⇒ u p p = 2 3 2 , . But area of the loop above the line OX = ⋅ = ∫ ∫ 2 1 2 2 0 2 2 0 2 r d r d u u p p where r is from the cardioid ( ) 2 . Now r d a d 2 0 2 2 2 0 2 1 u u u p p ∫ ∫ = − ( cos ) = − + = − + + ⎛ ⎝ ⎜ ⎞ ⎠ ⎟ = ∫ ∫ a d a d a 2 2 0 2 2 0 2 2 1 2 1 2 1 2 2 ( cos cos ) cos cos u u u u u u p p 3 3 2 2 2 2 3 2 2 2 4 0 2 2 0 2 − + ⎛ ⎝ ⎜ ⎞ ⎠ ⎟ = − + ⎛ ⎝ ⎜ ⎞ ⎠ ⎟ = ∫ cos cos sin sin u u u u u u p p d a a2 2 2 2 3 2 2 2 2 4 0 3 4 2 3 8 4 ⋅ − + − ⎛ ⎝ ⎜ ⎞ ⎠ ⎟ = − ⎛ ⎝ ⎜ ⎞ ⎠ ⎟ = − p p p p p sin sin ( ) a a x A A′ (2a, 0) (−2a, 0) r = 2a r = a(1 − cos θ) r = a(1 + cos θ) r = 2a θ = 2 π O P Fig. 6.17 M06_ENGINEERING_MATHEMATICS-I _CH06_PART A.indd 70 5/19/2016 4:55:30 PM
  • 578.
    Integral Calculus ■6.71 ∴ area of the loop above the x-axis = a2 3 8 4 ( ) p − ∴ common Area A a a = × − = − 2 4 3 8 2 3 8 2 2 ( ) ( ) p p . EXAMPLE 5 Prove that the area of the loop of the curve x y axy 3 3 3 1 5 is 3 2 2 a . Solution. The given curve is x y axy 3 3 3 + = ( ) 1 Transform ( ) 1 to polar coordinates by putting x r 5 u cos and y r 5 u sin ∴ the equation ( ) 1 becomes r r ar 3 3 3 3 3 cos sin cos sin u u u u + = ⇒ r ar 3 3 3 2 3 (cos sin ) cos sin u u u u + = ⇒ r a (cos sin ) cos sin 3 3 3 u u u u + = ⇒ r a = + 3 3 3 sin cos cos sin u u u u If r = 0, then cos sin u u = 0 ⇒ = ⇒ = ⇒ = sin sin 2 2 0 2 0 2 0 u u u u p or 2 = ⇒ u u p = 0 2 or = , which are the limits for u. As u varies from 0 to p 2 , we get a loop of the curve, because r varies from 0 to 0. For the figure, refer the Fig 3.32, page 3.133 ∴ area of the loop is A r d = ∫ 1 2 2 0 2 u p/ = + = ∫ 1 2 9 9 2 2 2 2 3 3 2 0 2 2 2 2 6 a d a sin cos (cos sin ) sin cos cos ( / u u u u u u u u p 1 1 9 2 1 3 2 0 2 2 2 2 3 0 2 + = + ∫ ∫ tan ) tan sec ( tan ) / / u u u u u u p p d a d Put t = + 1 3 tan u ∴ dt d = 3 2 2 tan sec u u u ⇒ tan sec . 2 2 1 3 u u5 d dt When u = = + ⇒ = 0 1 0 1 3 , tan t t and when u p p = = + ⇒ = 2 1 2 3 , tan t t ∞ ∴ A a t dt = ∫ 9 2 1 3 2 2 1 ∞ = = − + ⎡ ⎣ ⎢ ⎤ ⎦ ⎥ = − ⎡ ⎣ ⎤ ⎦ = − − − + − ∫ 3 2 3 2 2 1 3 2 3 2 1 2 2 1 2 2 1 1 2 1 1 2 a t dt a t a t a t ∞ ∞ ∞ ⎡ ⎡ ⎣ ⎢ ⎤ ⎦ ⎥ = − − ⎡ ⎣ ⎢ ⎤ ⎦ ⎥ = − − = 1 2 2 2 3 2 1 1 3 2 0 1 3 2 ∞ ∞ a a a [ ] M06_ENGINEERING_MATHEMATICS-I _CH06_PART A.indd 71 6/3/2016 8:26:42 PM
  • 579.
    6.72 ■ EngineeringMathematics EXERCISE 6.6 1. Find the area of the cardioid r a = − ( cos ). 1 u 2. Find the area of circle r = + 3 2sinu.. 3. Find the area of the lemniscate r a 2 2 2 = cos . u 4. Find the area common to the circles r a = 2 and r a = 2 cosu. 5. Find the area of the loop of the curve r a = sin 2u. 6. Find the area of circle r a = 2 cos . u 7. Show that the curve r = + 3 2cosu consists of a single oval and find its area. ANSWERS TO EXERCISE 6.6 1. 3 2 2 pa 2. pa2 3. a2 4. a2 1 ( ) p − 5. pa2 8 . 6. pa2 7. 11p 6.5.2 Length of the Arc of a Curve The process of finding the length of a continuous curve is known as rectification. A curve having arc length is said to be a rectifiable curve. As in the case of area, we can find the arc length in Cartesian and polar coordinates. 6.5.2 (a) Length of the Arc in Cartesian Coordinates Let y f x = ( ) be the Cartesian equation of the curve whose length is required between x a = and x b = . F x = a x = b P(x, y) Q(x + Δx, y + Δy) A B y x Δx Δy Δs Fig. 6.18 Let the arc length be measured from a fixed point F on the curve. Let the lines x a = and x b = meet the curve at Aand Brespectively. Let FA s = 1 and FB s = 2 . Let P x y ( , ) and Q x x y y ( , ) + + Δ Δ are neighbouring points on the curve such that FP s = and FQ s s = + Δ . Let PQ s = Δ be the element arc. M06_ENGINEERING_MATHEMATICS-I _CH06_PART A.indd 72 5/19/2016 4:55:42 PM
  • 580.
    Integral Calculus ■6.73 The sum of such element arcs Δs ∑ gives approximately arc AB. The limit when the largest element Δs → 0, we have the length of arc AB ds s s = ∫ 1 2 1. Since A and B on the curve correspond to x a = and x b = , we have arc length = ∫ ds dx dx a b We know ( ) ( ) ( ) ds dx dy ds dx dy dx 2 2 2 2 1 = + = + ⎛ ⎝ ⎜ ⎞ ⎠ ⎟ ⇒ ∴ s dy dx a b = + ⎛ ⎝ ⎜ ⎞ ⎠ ⎟ ∫ 1 2 dx 2. If the points A and B on the curve corresponding to y c = and y d = , then the arc length = = + ⎛ ⎝ ⎜ ⎞ ⎠ ⎟ ∫ ∫ ds dy dy dx dy c d c d 1 2 dy 3. Parametric form If x f t = ( ) and y g t = ( ) be the parametric equations of the given curve y f x = ( ) and the limits of t are t1 and t2 , then arc length = = ⎛ ⎝ ⎜ ⎞ ⎠ ⎟ + ⎛ ⎝ ⎜ ⎞ ⎠ ⎟ ∫ ∫ ds dt dt dx dt dy dt t t t t 1 2 1 2 2 2 dt WORKED EXAMPLES EXAMPLE 1 Find the length of arc of the curve x y 3 2 = from x x = = 0 1 to Solution: Given x y 3 2 = and a b = = 0 1 , ( ) 1 Length of arc s ds dx dx dy dx dx a b = = + ⎛ ⎝ ⎜ ⎞ ⎠ ⎟ ∫ ∫ 1 2 0 1 Differentiating ( ) 1 w.r.to x, we get 3 2 3 2 2 2 x y dy dx dy dx x y = ⇒ = ∴ 1 1 9 4 1 9 4 1 9 4 2 4 2 4 3 + ⎛ ⎝ ⎜ ⎞ ⎠ ⎟ = + = + = + dy dx x y x x x ∴ 1 1 9 4 2 + ⎛ ⎝ ⎜ ⎞ ⎠ ⎟ = + dy dx x M06_ENGINEERING_MATHEMATICS-I _CH06_PART A.indd 73 5/19/2016 4:55:47 PM
  • 581.
    6.74 ■ EngineeringMathematics ∴ s x dx = + ∫ 1 9 4 0 1 = + ⎛ ⎝ ⎜ ⎞ ⎠ ⎟ = + ⎛ ⎝ ⎜ ⎞ ⎠ ⎟ × ⎡ ⎣ ⎢ ⎢ ⎢ ⎢ ⎤ ⎦ ⎥ ⎥ ⎥ ⎥ = ∫ 1 9 4 1 9 4 9 4 3 2 8 27 1 2 0 1 3 2 0 1 x dx x / / 1 1 9 4 1 8 27 13 13 8 1 1 27 13 13 8 3 2 + ⎛ ⎝ ⎜ ⎞ ⎠ ⎟ − ⎡ ⎣ ⎢ ⎤ ⎦ ⎥ = − ⎡ ⎣ ⎢ ⎤ ⎦ ⎥ = − / [ ] EXAMPLE 2 Find the length of one loop of the curve 3 2 2 ay x x a 5 2 ( ) . Solution. Given 3 2 2 ay x x a = − ( ) (1) It is even degree in y and so symmetric about the x-axis. When y x x a x a a = − = ⇒ = 0 0 0 2 , ( ) , , That is the curve meets the x-axis at x = 0 and x = a two times So, we get a loop between x = 0 and x = a as in Fig 6.19. Let A be the point (a, 0) on the x-axis Length of the arc OA ds dx dx a = ∫ 0 ∴ length of the loop = 2 × the length of arc OA = = + ⎛ ⎝ ⎜ ⎞ ⎠ ⎟ ∫ ∫ 2 2 1 2 0 0 ds dx dx dy dx a a dx Differentiating (1) w.r.to x, we get 6 2 1 2 3 2 ay dy dx x x a x a x a x x a x a x a = ⋅ − + − ⋅ = − + + − = − − ( ) ( ) ( ) ( ) ( )( ) ⇒ dy dx x a x a ay = − − ( )( ) 3 6 ∴ dy dx x a x a a y ⎛ ⎝ ⎜ ⎞ ⎠ ⎟ = − − 2 2 2 2 2 3 36 ( ) ( ) = − − − = − ( ) ( ) ( ) ( ) x a x a ax x a x a ax 2 2 2 2 3 12 3 12 ∴ 1 1 3 12 12 3 12 2 2 2 + ⎛ ⎝ ⎜ ⎞ ⎠ ⎟ = + − = + − dy dx x a ax ax x a ax ( ) ( ) { ( ) ( ) ( ) ax b ax b a n n n n + = + + ⎡ ⎣ ⎢ ⎤ ⎦ ⎥ + ∫ 1 1 1 if ≠ − y x A x = a (a, 0) O Fig. 6.19 M06_ENGINEERING_MATHEMATICS-I _CH06_PART B.indd 74 5/19/2016 3:09:31 PM
  • 582.
    Integral Calculus ■6.75 = + − + = + + = + 12 9 6 12 9 6 12 3 12 2 2 2 2 2 ax x ax a ax x ax a ax x a ax ( ) ∴ 1 3 12 3 2 3 2 2 + ⎛ ⎝ ⎜ ⎞ ⎠ ⎟ = + = + dy dx x a ax x a a x ( ) ∴ length of the loop = + ∫ 2 3 2 3 0 x a a x dx a = + ⎡ ⎣ ⎢ ⎤ ⎦ ⎥ = + ⎡ ⎣ ⎤ ⎦ = ⋅ ∫ ∫ − 1 3 3 1 3 3 1 3 3 3 2 0 2 1 2 0 3 2 a x a x dx a x ax dx a x a a 1/ / / / + + ⋅ ⎡ ⎣ ⎢ ⎤ ⎦ ⎥ = + ⋅ − ⎡ ⎣ ⎤ ⎦ = + ⎡ a x a a a a a a a a 1 2 0 3 2 1 2 3 2 3 2 1 2 1 3 2 2 0 1 3 2 2 / / / / / / ⎣ ⎣ ⎤ ⎦ = ⋅ = 4 3 4 3 1 2 a a a a / EXAMPLE 3 Find the length of the curve x y a 2 3 2 3 2 3 / 1 5 / / . Solution. The given curve is x y a 2 3 2 3 2 3 / / / + = (1) It is symmetric w.r.to both the axes ∴ the length of the arc is the same in all four quardrants as in Fig 6.20. When y x a x a x a = = ⇒ = ⇒ ± 0 2 3 2 3 2 2 , / / When x y a y a y a = = ⇒ = ⇒ = ± 0 2 3 2 3 2 2 , / / ∴ length of the arc AB = length of the arc BC = length of the arc CD = length of the arc DA ∴ length of the curve = 4 × length of the arc AB = ∫ 4 0 × ds dx dx a Differentiating (1) w.r.to x, we get 2 3 2 3 0 1 3 1 3 x y dy dx − − + = O C A y y′ x B D x′ (a, 0) (0, a) (0, −a) (−a, 0) Fig. 6.20 M06_ENGINEERING_MATHEMATICS-I _CH06_PART B.indd 75 5/19/2016 3:09:35 PM
  • 583.
    6.76 ■ EngineeringMathematics ⇒ y dy dx x − − = − 1 3 1 3 / / ⇒ dy dx x y y x = − = − − − + 1 3 1 3 1 3 1 3 / / / / ∴ dy dx y x ⎛ ⎝ ⎜ ⎞ ⎠ ⎟ = 2 2 3 2 3 / / ∴ 1 1 2 2 3 2 3 2 3 2 3 2 3 + ⎛ ⎝ ⎜ ⎞ ⎠ ⎟ = + = + dy dx y x x y x / / / / / 2 3 2 3 = a x / / [from (1)] ∴ 1 2 2 3 2 3 1 3 1 3 1 3 1 3 + ⎛ ⎝ ⎜ ⎞ ⎠ ⎟ = = = − dy dx a x a x a x / / / / / / ∴ length of the curve is s a x dx a = ∫ − 4 1 3 0 1 3 / / = − + ⎡ ⎣ ⎢ ⎢ ⎢ ⎤ ⎦ ⎥ ⎥ ⎥ = ⎡ ⎣ ⎢ ⎤ ⎦ ⎥ = − + 4 1 3 1 4 2 3 6 1 3 1 3 1 0 1 3 2 3 0 1 3 a x a x a a a / / / / / / (a a a 2 3 0 6 / ) − = EXAMPLE 4 Find the length of the curve x a x a y 2 2 2 2 2 8 ( ) 2 5 . Solution. Given curve is x a x a y 2 2 2 2 2 8 ( ) − = (1) The equation of the curve is of even degree in x and y and so the curve is symmetric w.r.to both the axes. If y a x x x a a = − = ⇒ = = − 0 0 0 0 2 2 2 , ( ) , , then x or That is it meets the x-axis at the arigin x = 0 twice, x = −a and x = a. If x y = = ± 0 0 , and if , 0 x a y = = ∴ the curve passes through the origin and meets the x-axis at the points A a ( , ) 0 andB a ( , ) − 0 . ∴we get two loops of the curve as in Fig 6.21. ∴ total length of the curve is s = 4 × length of the arc OA 4 4 1 0 2 0 ds dx dx dy dx dx a a ∫ ∫ = + ⎛ ⎝ ⎜ ⎞ ⎠ ⎟ × Differentiating (1) w.r.to x, we get 8 2 2 2 2 2 2 2 a y dy dx x x a x x = − + − ( ) ( ) = − + − = − + = − 2 2 2 4 2 2 2 3 2 3 3 2 2 2 x a x x x a x x a x [ ] y x O A B (a, 0) (−a, 0) Fig. 6.21 M06_ENGINEERING_MATHEMATICS-I _CH06_PART B.indd 76 5/19/2016 3:09:40 PM
  • 584.
    Integral Calculus ■6.77 ∴ dy dx x a x a y = − [ ] 2 2 2 2 8 ∴ dy dx x a x a y ⎛ ⎝ ⎜ ⎞ ⎠ ⎟ = − 2 2 2 2 2 2 2 8 [ ( )] ( ) = − x a x a a y 2 2 2 2 2 2 2 2 8 8 ( ) . = − ⋅ − = − − x a x a x a x a x a a x 2 2 2 2 2 2 2 2 2 2 2 2 2 2 2 8 2 8 ( ) ( ) ( ) ( ) [from (1)] ∴ 1 1 2 8 2 2 2 2 2 2 2 + ⎛ ⎝ ⎜ ⎞ ⎠ ⎟ = + − − dy dx a x a a x ( ) ( ) = − + − − 8 2 8 2 2 2 2 2 2 2 2 2 a a x a x a a x ( ) ( ) ( ) = − + − + − = − + − 8 8 4 4 8 9 12 4 8 4 2 2 4 2 2 4 2 2 2 4 2 2 4 2 2 2 a a x a a x x a a x a a x x a a x ( ) ( ) = = − − ( ) ( ) 3 2 8 2 2 2 2 2 2 a x a a x ∴ 1 3 2 8 3 2 2 2 2 2 2 2 2 2 2 2 2 2 2 + ⎛ ⎝ ⎜ ⎞ ⎠ ⎟ = − − = − − dy dx a x a a x a x a a x ( ) ( ) ∴ Length of the curve s a x a a x dx a = − − ∫ 4 3 2 2 2 2 2 2 2 0 = − + − = − + − ⎡ ⎣ ⎢ ⎤ ⎦ ∫ ∫ ∫ 4 2 2 2 2 2 2 2 2 2 2 0 2 2 0 2 2 2 0 ( ) a x a a a x dx a a x dx a a x dx a a a ⎥ ⎥ = 2 2 2 2 2 2 2 1 0 2 1 a x a x a x a a x a a − + ⎧ ⎨ ⎪ ⎩ ⎪ ⎫ ⎬ ⎪ ⎭ ⎪ ⎡ ⎣ ⎢ ⎢ ⎤ ⎦ ⎥ ⎥ + ⎡ ⎣ ⎢ ⎤ ⎦ ⎥ − − sin sin 0 0 a ⎧ ⎨ ⎪ ⎩ ⎪ ⎫ ⎬ ⎪ ⎭ ⎪ = + − + − ⎡ ⎣ ⎤ ⎦ = + − − − − 2 0 1 0 1 0 2 2 2 2 1 1 2 1 1 2 2 a a a a a a (sin sin ) (sin sin ) . . p p ⎡ ⎡ ⎣ ⎢ ⎤ ⎦ ⎥ = = 2 2 2 a a a . p p EXAMPLE 5 Find the perimeter of the loop of the curve x t 5 2 and y t t 5 − 3 3 . Solution. Given x t = 2 and y t t = − 3 3 M06_ENGINEERING_MATHEMATICS-I _CH06_PART B.indd 77 5/19/2016 3:09:44 PM
  • 585.
    6.78 ■ EngineeringMathematics ⇒ y t t t t 2 3 2 2 2 3 1 3 2 = − ⎡ ⎣ ⎢ ⎤ ⎦ ⎥ = − ⎛ ⎝ ⎜ ⎞ ⎠ ⎟ = − ⎛ ⎝ ⎜ ⎞ ⎠ ⎟ x x 1 3 2 When y x x = − ⎛ ⎝ ⎜ ⎞ ⎠ ⎟ = 0 1 3 0 2 , ⇒ x x = − ⎛ ⎝ ⎜ ⎞ ⎠ ⎟ = 0 1 3 0 2 or ⇒ x = = 0 3 3 , , x ∴ the curve meets the x-axis at the origin and at the point (3, 0), twice. ∴ the loop of the curve is as shown in the Fig 6.22. Let A be the point (3, 0) When x t = = 0 0 , and when x t = = 3 3 , Length of the loop = 2 × arc length of OA. Since the equation of the curve is in parametric form, the length of the loop is s ds dt dt t t = ∫ 2 1 2 where t1 0 = and t2 3 = . ∴ s dx dt dy dt dt = ⎛ ⎝ ⎜ ⎞ ⎠ ⎟ + ⎛ ⎝ ⎜ ⎞ ⎠ ⎟ ∫ 2 2 2 0 3 We have x t = 2 ⇒ dx dt t = 2 and y t t = − 3 3 ⇒ dy dt t t = − = − 1 3 3 1 2 2 ∴ dx dt dy dt t t t t t t t ⎛ ⎝ ⎜ ⎞ ⎠ ⎟ + ⎛ ⎝ ⎜ ⎞ ⎠ ⎟ = + − = + − + = + + = 2 2 2 2 2 2 2 4 4 2 4 1 4 1 2 2 1 ( ) ( ( ) 1 2 2 + t ∴ dx dt dy dt t t ⎛ ⎝ ⎜ ⎞ ⎠ ⎟ + ⎛ ⎝ ⎜ ⎞ ⎠ ⎟ = + = + 2 2 2 2 2 1 1 ( ) ∴ s t dt = + ∫ 2 1 2 0 3 ( ) = + ⎡ ⎣ ⎢ ⎤ ⎦ ⎥ = + ⎡ ⎣ ⎢ ⎤ ⎦ ⎥ = + ⎡ ⎣ ⎤ ⎦ = 2 3 2 3 3 3 3 2 3 3 4 3 3 0 3 t t EXERCISE 6.7 1. Find the length of the following curves (i) 9 4 1 2 2 3 x y = + ( ) from the point 2 3 0 , ⎛ ⎝ ⎜ ⎞ ⎠ ⎟ to the point 10 5 3 2 , ⎛ ⎝ ⎜ ⎞ ⎠ ⎟ . (ii) 2 1 3 y x x = − − ( )( ) between x = 1 and x = 3. (iii) y ax 2 4 = cut off by the line 3 8 y x = . y A x (3, 0) O Fig. 6.22 M06_ENGINEERING_MATHEMATICS-I _CH06_PART B.indd 78 5/19/2016 3:09:50 PM
  • 586.
    Integral Calculus ■6.79 2. Find the perimeter of the loop of the curves. (i) 6 2 2 3 ay x x a = − ( ) (ii) 9 2 5 2 3 xy x a x a = − − ( )( ) 3. Find the length of the curve x y = − = 2 2 2 2 u u u sin , sin as u varies from 0 2 to p. 4. Find the length of the curve x at t y at t = = 2 2 cos , sin from the origin to the point t = 5. 5. Find the length of the curve x a y a = + = − (cos sin ), (sin cos ) u u u u u u from u = 0 to u p = 2 . 6. Prove that the length of parabola y2 = 4ax cut off by the latus rectum is 2 2 1 2 a[ log( )] + + 7. Find the length of one complete arch of the cycloid x a = − ( sin ) u u and y a = − ( cos ) 1 u . ANSWERS TO EXERCISE 6.7 1. (i) 22 3 (ii) 2 1 2 + + log( ) (iii) 15 16 2 + ⎛ ⎝ ⎜ ⎞ ⎠ ⎟ log a 2. (i) 8 3 a (ii) 4 3 a 3. 8 4. 19 3 a 5. p2 8 a 7. 8a 6.5.2 (b) Length of the Arc in Polar Coordinates Let r f = ( ) u be the equation of the curve. Let A and B be two points on the curve with vectorial angles a and b. Then the length of the arc AB is s ds d d = ∫ u u a b . We know the differential arc in polars is ( ) ( ) ( ) ds r d dr 2 2 2 2 = + u ∴ ds d r dr d u u ⎛ ⎝ ⎜ ⎞ ⎠ ⎟ = + ⎛ ⎝ ⎜ ⎞ ⎠ ⎟ 2 2 2 ⇒ ds d r dr d u u = + ⎛ ⎝ ⎜ ⎞ ⎠ ⎟ 2 2 ∴ s r dr d d = + ⎛ ⎝ ⎜ ⎞ ⎠ ⎟ ∫ 2 2 u u a b When the limits for r are given, the arc length is s ds dr dr r r = ∫ 1 2 = + ⎛ ⎝ ⎜ ⎞ ⎠ ⎟ ∫ 1 2 2 1 2 r d dr dr r r u . M06_ENGINEERING_MATHEMATICS-I _CH06_PART B.indd 79 5/19/2016 3:09:57 PM
  • 587.
    6.80 ■ EngineeringMathematics WORKED EXAMPLES EXAMPLE 1 Find the length of the cardioid r a 5 1 u ( cos ) 1 . Also show that the upper half is bisected by u 5 p 3 . Solution. The equation of the given curve is r a = + ( cos ) 1 u (1) The cardioid is symmetric about the initial line Ox as shown in Fig 6.23 So, the length of the curve is 2 × length of the arc OBA = = + ⎛ ⎝ ⎜ ⎞ ⎠ ⎟ ∫ ∫ 2 2 0 2 2 0 ds d d r dr d d u u u u p p Differentiating (1) w.r.to u, we get dr d a a u u u = − = − ( sin ) sin ⇒ dr d a u u ⎛ ⎝ ⎜ ⎞ ⎠ ⎟ = 2 2 2 sin ∴ r dr d a a 2 2 2 2 2 2 1 + ⎛ ⎝ ⎜ ⎞ ⎠ ⎟ = + + u u u ( cos ) sin = + a2 2 2 1 2 ( cos cos sin u u u + + ) = + + = + = + = a a a a 2 2 2 2 2 1 2 1 2 2 2 1 4 2 ( cos ) ( cos ) ( cos ) cos u u u u ∴ r dr d a a 2 2 2 2 4 2 2 2 + ⎛ ⎝ ⎜ ⎞ ⎠ ⎟ = = u u u cos cos ∴ s a d = ∫ 2 2 2 0 cos u u p = ⎡ ⎣ ⎢ ⎤ ⎦ ⎥ = − ⎡ ⎣ ⎢ ⎤ ⎦ ⎥ = − = 4 2 12 8 2 0 8 1 0 8 0 a a a a sin / / sin sin ( ) u p p ∴ upper half curve is of length 4a. Now, length of arc AB = ∫ ds d d u u p 0 3 = + ⎛ ⎝ ⎜ ⎞ ⎠ ⎟ ∫ r dr d d 2 2 0 3 u u p = ∫2 2 0 3 a d cos u u p = ⎡ ⎣ ⎢ ⎤ ⎦ ⎥ = − ⎡ ⎣ ⎢ ⎤ ⎦ ⎥ = − ⎡ ⎣ ⎢ ⎤ ⎦ ⎥ = 2 2 2 4 6 0 4 1 2 0 2 0 3 a a a a sin / / sin sin u u p p ∴ arc AB = half of the upper half of the cardioid. ⇒ the line u p = 3 bisects the upper half of the cardioid. θ = π θ = 0 O x B A π 3 Fig. 6.23 M06_ENGINEERING_MATHEMATICS-I _CH06_PART B.indd 80 5/19/2016 3:10:02 PM
  • 588.
    Integral Calculus ■6.81 EXAMPLE 2 Prove that the length of the equiangular spiral r ae 5 u a cot between the points with radii vectors r1 and r2 is r r 1 2 2 a sec . Solution. The equation of the given curve is r = aeu cota (1) Since the limits for r are given, the length of the arc is s ds dr dr r r = ∫ 1 2 ∴ s r d dr dr r r = + ⎛ ⎝ ⎜ ⎞ ⎠ ⎟ ∫ 1 2 2 1 2 u Differentiating (1) w.r.to u, we get dr d ae u a u a = cot cot ⇒ d ae u a u a dr = 1 cot .cot = 1 r cot a ∴ r d dr u a a = = 1 cot tan ⇒ r d dr 2 2 2 u a ⎛ ⎝ ⎜ ⎞ ⎠ ⎟ = tan ∴ 1 1 2 2 2 2 + ⎛ ⎝ ⎜ ⎞ ⎠ ⎟ = + = r d d u a a r tan sec ⇒ 1 2 2 2 + ⎛ ⎝ ⎜ ⎞ ⎠ ⎟ = = r d dr u a a sec sec ∴ s dr r r = ∫seca 1 2 = sec [ ] a r r r 1 2 ⇒ s r r = − sec [ ] a 2 1 if r r 2 1 Note: If r r 2 1 , s r r = 2 1 − seca, since s is positive. EXERCISE 6.8 1. Find the perimeter of the cardioid r = + 5 1 ( cos ) u . 2. Find the length of the parabola r a ( cos ) 1 2 + = u cut off by its latus rectum. 3. Find the perimeter of the curve r a = sin3 3 u . 4. Find the perimeter of the curve r a = + (cos sin ) u u 0 ≤ ≤ u p. ANSWERS TO EXERCISE 6.8 1. 40 2. 2 2 1 2 a + + ⎡ ⎣ ⎤ ⎦ log( ) 3. 3 2 pa 4. 2pa M06_ENGINEERING_MATHEMATICS-I _CH06_PART B.indd 81 5/19/2016 3:10:08 PM
  • 589.
    6.82 ■ EngineeringMathematics 6.5.3 Volume of Solid of Revolution The volume of solid of revolution is obtained by revolving a plane area about line in the plane. This line is called the axis of revolution. 6.5.3(a) Volume in Cartesian Coordinates Formula1: The volume of the solid of revolution obtained by revolving the area bounded by y f x = ( ), the x-axis, x a = and x b = about the x-axis is V y dx a b = ∫p 2 Proof Let y f x = ( ) be the equation of the curve. Let A and B be the points on the curve with x = a, x = b. The area ABCD is revolved about the x-axis, a solid of revolution is generated. Let P(x, y) and Q x y ( ) + + Δ Δ x y , be two neighbouring points on the curve. The element area is y x Δ . An element volume is generated by the element area y x Δ , which is practically a rectangle as Δx is small. When y x Δ is revolved about the x-axis we get a circular disc of radius y and thickness Δx. ∴ Δ Δ V y = p 2 x ⇒ Δ Δ v = ∑ ∑ py x 2 . The sum of such element volume is approximately the required volume. ∴ in the limit, as Δx → 0 we get the volume V y dx a b = ∫p 2 Formula 2: The volume generated by revolving the area bounded by x = g(y), y = c and y = d about the y-axis is V x dy c d = ∫p 2 Formula 3: If the parametric equations of the curve are given by x = f(t) and y = g(t), then volume of the solid obtained by revolving area about the x-axis is V dx dt dt t t = ∫py 2 1 2 and when revolved about the y-axis V dy dt dt t t = ∫px2 3 4 y y P D A C Q B x Δx x = a x = b O Fig. 6.24 M06_ENGINEERING_MATHEMATICS-I _CH06_PART B.indd 82 5/19/2016 3:10:13 PM
  • 590.
    Integral Calculus ■6.83 Formula 4: If f x f x x a b 2 1 ( ) ( ) [ , ] ∀ ∈ and the area bounded by the curves y f x y f x = = 1 2 ( ), ( ) and x = a, x = b (that is area ABCD) is revolved about the x-axis, the volume of the solid generated is V y dx a b = − ∫p(y 2 2 1 2 ) where y f x y f x 1 1 2 2 = = ( ), ( ). Similarly, the area bounded by the x g y x h y = = ( ), ( ) and y c y d = = , is revolved about the y-axis, the volume of the solid generated is V x dy c d = − ∫p(x2 2 1 2 ) where x1 = g(y) and x2 = h(y) Formula 5: Solid of revolution about any line L in the xy plane. Let y f x = ( ) be the equation of curve. The given line L is in the xy plane is taken as the x-axis. Let A and B be two points on the curve. Draw AC and BD perpendicular to the line L. When the area ACDB as in Fig 6.27 is revolved about the line L, we get the required volume of solid of revolution. Let PQNM be the element area perpendicular to CD. When the element area is revolved about the line L, we get a circular disc of height PM and width MN. The element volume ΔV is the volume of the circular disc ∴ ΔV = p( ) .( ) PM MN 2 The limit of the sum of such element volume is the volume of the solid of revolution. ∴ Volume V PM d OM = ∫ p( ) ( ) 2 OC OD . WORKED EXAMPLES EXAMPLE 1 Find the volume of the solid generated by revolving the ellipse x a y b a b 2 2 2 2 1 1 5 , be the major axis. Solution. The equation of the ellipse is x a y b 2 2 2 2 1 + = (1) C D x M N y A P Q B L y = f(x) O Fig. 6.27 y A B D C x x = b y = f1(x) y = f2(x) x = b x = a x = a O Fig. 6.25 Fig. 6.26 y x y = c y y = d x = h(y) x = g(y) O M06_ENGINEERING_MATHEMATICS-I _CH06_PART B.indd 83 5/19/2016 3:10:20 PM
  • 591.
    6.84 ■ EngineeringMathematics The x-axis is the major axis. The ellipse meets the x-axis at x = −a, a. ∴ Volume V y dx a a = ∫ p − 2 Now y b x a y b a a x 2 2 2 2 2 2 2 2 2 1 = ⇒ = − − ( ) ∴ V b a a x dx a a = − ∫ p 2 2 2 2 − ( ) = − ∫ 2 2 2 0 2 2 p b a a x dx a ( ) [{ a x 2 2 = is even function] = ⎡ ⎣ ⎢ ⎤ ⎦ ⎥ 2 3 2 2 2 3 0 p b a a x x a − = − ⎡ ⎣ ⎢ ⎤ ⎦ ⎥ = = 2 3 2 2 3 4 3 2 2 2 2 2 2 3 2 p p p b a a a a b a a ab . . Note If revolved about the minor axis (y-axis), Volume = 4 3 2 pa b EXAMPLE 2 A sphere of radius a is divided into two parts by a plane at a distance a 2 from the centre. Show that the ratio of the volume of two parts is 5:27. Solution. A sphere of radius a is obtained by revolving the semi-circular area of radius a as in figure about the x-axis. The sphere is cut off by a plane at a distance a 2 from the centre (0,0) means the area of the semi-circle is cut off by the line x a = 2 Let V1 andV2 be the two volumes generated by the two areas A1 and A2 . Equation of the circle is x y a 2 2 2 + = ( ) 1 [ Volume V1 is generated by the area bounded the portion of the circle ( ) 1 and the lines x a = 2 , x = a. [ Volume V y dx a a 1 2 2 = ∫ p = − ∫ p ( ) a x dx a a 2 2 2 = − ⎡ ⎣ ⎢ ⎤ ⎦ ⎥ p a x x a a 2 3 2 3 y x = a x (0, 0) O A2 A1 x = 2 a Fig. 6.29 O y x A′ A (−a, 0) (a, 0) Fig. 6.28 M06_ENGINEERING_MATHEMATICS-I _CH06_PART B.indd 84 5/19/2016 3:10:27 PM
  • 592.
    Integral Calculus ■6.85 = − ⎛ ⎝ ⎜ ⎞ ⎠ ⎟ − − ⎛ ⎝ ⎜ ⎞ ⎠ ⎟ ⎡ ⎣ ⎢ ⎤ ⎦ ⎥ p a a a a a 2 3 3 2 1 3 8 = − ⎡ ⎣ ⎢ ⎤ ⎦ ⎥ p a a a 2 3 2 1 3 7 8 . . = − ⎡ ⎣ ⎢ ⎤ ⎦ ⎥ = − ⎡ ⎣ ⎢ ⎤ ⎦ ⎥ = p p p a a a 3 3 3 1 2 7 24 12 7 24 5 24 . We know that the volume of the sphere of radius a is 4 3 3 pa . ∴ Volume V a a 2 3 3 4 3 5 24 = − p p = − = p p a a 3 3 32 5 24 27 24 ( ) ∴ V V a a 1 2 3 3 24 24 5 27 : : : = = 5 27 p p EXAMPLE 3 Find the volume of a spherical cap of height h cut off from a solid sphere of radius a. Solution. The equation of the circle of radius a is x y a 2 2 2 + = . Required the volume of the sphere cap of height h cut off from a sphere of radius a. ∴ OA = a − h, AB = h If the area ABC is revolved about the x-axis, then we get the spherical cap of height h. ∴ required volume V y dx a h a = − ∫ p 2 = − ∫ p y dx a h a 2 = − − ∫ ( ) a x dx a h a 2 2 = − ⎡ ⎣ ⎢ ⎤ ⎦ ⎥ − p a x x a h a 2 3 3 = − − − − − ⎡ ⎣ ⎢ ⎤ ⎦ ⎥ p a a a h a a h 2 3 3 1 3 ( ( )) ( ( ) ) = − − + − + ⎡ ⎣ ⎢ ⎤ ⎦ ⎥ p a h a a a h ah h 2 3 3 2 2 3 1 3 3 3 ( ) = − + − ⎡ ⎣ ⎢ ⎤ ⎦ ⎥ p 3 3 3 3 2 2 2 3 a h a h ah h = − = − p p 3 3 3 3 2 3 2 ( ) ( ) ah h h a h y A (a − h, 0) B (a, 0) C O h Fig. 6.30 M06_ENGINEERING_MATHEMATICS-I _CH06_PART B.indd 85 5/19/2016 3:10:32 PM
  • 593.
    6.86 ■ EngineeringMathematics Note Sometimes the spherical cap formula is given in terms of base radius of the cap and its height h. If we assume the base radius of the spherical cap is c. i.e., AC = c Then OC2 = OA2 + AC2 = − + ( ) a h c 2 2 ⇒ a a ah h c 2 2 2 2 2 = − + + ⇒ 2 2 2 2 2 2 ah h c a h c h = + ⇒ = + ∴ Volume of the cap = + − ⎡ ⎣ ⎢ ⎤ ⎦ ⎥ ph h c h h 2 2 2 3 3 2 ( ) = + − = + p p h h h c h h h c 2 2 2 2 2 2 6 3 3 2 6 3 [ ] [ ] EXAMPLE 4 The area bounded by one arch of the cycloid x a y a 5 u 2 u 5 2 u ( ), ( cos ) sin 1 and its base is revolved about its base. Find the volume generated. Solution. The parametric equations of the cycloid are x a y a = = − ( ), ( cos ) u u u − sin 1 The base is the x-axis. The curve meets the x-axis y = 0 ∴ cosu = 1 ⇒ u = 0, 2p The volume of the solid generated by revolving the area bounded by one arch of the given curve and its base (x-axis) about the x-axis is V y dx d d y dx d d = ∫ ∫ p u u p u u p p 2 2 0 0 2 = We have x a = − ( sin ) u u ∴ dx d a u u = − ( cos ) 1 ∴ V a a d = − ∫ p u u u p 2 2 0 2 1 1 ( ) ( cos ) − cos = − ∫ p u u p a3 3 0 2 1 ( ) cos d = ⎛ ⎝ ⎜ ⎞ ⎠ ⎟ ∫ p u u p a3 2 3 0 2 2 2 sin d = ⎛ ⎝ ⎜ ⎞ ⎠ ⎟ ∫ 8 2 3 6 0 2 p u u p a sin d Put t = u 2 ∴ du 1 2 = dt ⇒ d dt u = 2 When u = = 0 0 , t and when u p p = = 2 , t y x A (a − h, 0) B (a, 0) O h a−h c a C Fig. 6.31 M06_ENGINEERING_MATHEMATICS-I _CH06_PART B.indd 86 5/19/2016 3:10:39 PM
  • 594.
    Integral Calculus ■6.87 ∴ V a t dt = ∫ 8 2 3 6 0 p p sin = ∫ 16 3 6 0 p p a tdt sin = = = ∫ 16 2 32 5 6 3 4 1 2 2 5 3 6 0 2 3 3 p p p p p a t dt a a × sin . . . . [ sin ( ) sin ( ) sin ( ) ( ) ( ) u g property f t t f t f t dt f t dt p p p − = − = = = 0 2 6 6 0 ∴ 2 2 0 ∫ ∫ ⎤ ⎦ ⎥ ⎥ ⎥ p EXAMPLE 5 The area bounded by y x 2 4 5 and the line x 5 4 is revolved about the line x 5 4. Find the volume of the solid of revolution. Solution. Given y x 2 4 = (1) Let the line x = 4 meets the parabola in A and B When x = 4, y2 = 16 ⇒ y ± 4 ∴ A is (4, 4) and B is (4, −4) The area OAB is revolved about the line x = 4 to get the solid of revolution. Let P(x, y) be any point on the curve. Draw PM perpendicular to the line AB. ∴ PM = 4 − ON = 4 − x The line x = 4 is parallel to the y-axis. ∴ required volume V PM dy = − ∫ p 4 4 2 ( ) = − − ∫ p ( ) 4 2 4 4 x dy = − ⎛ ⎝ ⎜ ⎞ ⎠ ⎟ − ∫ p 4 4 2 2 4 4 y dy = − ⎛ ⎝ ⎜ ⎞ ⎠ ⎟ ∫ 2p 4 4 2 2 0 4 y dy { the is even function 4 4 2 2 − ⎛ ⎝ ⎜ ⎞ ⎠ ⎟ ⎡ ⎣ ⎢ ⎢ ⎤ ⎦ ⎥ ⎥ y = + − ⎛ ⎝ ⎜ ⎞ ⎠ ⎟ ∫ 2p 16 16 2 4 2 0 4 y y dy = + − ⎡ ⎣ ⎢ ⎤ ⎦ ⎥ 2p 16 1 16 5 2 3 5 3 0 4 y y y . . y O N x C (4, 0) M A(4, 4) B(4, −4) x = 4 P(x, y) y2 = 4x Fig. 6.32 M06_ENGINEERING_MATHEMATICS-I _CH06_PART B.indd 87 5/19/2016 3:10:44 PM
  • 595.
    6.88 ■ EngineeringMathematics = + − ⎡ ⎣ ⎢ ⎤ ⎦ ⎥ 2p 16 4 1 16 4 5 2 4 3 5 3 × . . = + − ⎡ ⎣ ⎢ ⎤ ⎦ ⎥ = + − ⎛ ⎝ ⎜ ⎞ ⎠ ⎟ = ⎛ ⎝ ⎜ ⎞ ⎠ ⎟ = 2p p p × 4 1 1 5 2 3 128 15 3 10 15 128 8 15 1024 3 p p 15 EXAMPLE 6 Find the volume generated when the area bounded by the parabolas y x 2 4 5 2 and y x 2 4 4 5 2 revolves 1. about the common axis of the two curves 2. about the y-axis. Solution. The given parabolae are y x x 2 4 4 = − = − − ( ) (1) and y x x 2 4 4 4 1 = − = − − ( ) (2) For the first parabola, the x-axis is the axis and the vertex is (4, 0). For the second parabola, the axis is the x-axis and the vertex is (1, 0). ∴ the common axis is the x-axis. To find the point of intersection, solve (1) and (2). ∴ 4 4 4 3 0 0 − = − ⇒ = ⇒ = x x x x When x = 0, y y 2 4 2 = ⇒ ± . ∴ the points of intersection are (0, 2), (0, −2). The common area is as shown in the Fig 6.33. The volume of the solid generated by revolving the common area about the x-axis is the same as the volume of the solid generated by revolving the area above the x-axis, about the x-axis. ∴ required volume V y dx y dx = − ∫ ∫p p 1 2 2 2 0 1 0 4 , where y x y 1 2 2 2 4 4 = = − 4 − , x = − − − ∫ ∫ p p ( ) ( ) 4 4 4 0 1 0 4 x dx x dx = − − ⎡ ⎣ ⎢ ⎤ ⎦ ⎥ − − − ⎡ ⎣ ⎢ ⎤ ⎦ ⎥ p p ( ) ( ) 4 2 4 1 2 2 0 4 2 0 1 x x = − − − − + − − − p p 2 4 4 4 0 2 1 1 1 0 2 2 2 2 [( ) ( ) ] [( ) ( ) ] = × − − + − = − = − = p p p p p p p 2 0 16 2 0 1 2 16 2 8 2 6 [ ] [ ] y x B O C A (0, 2) (0, −2) (4, 0) (1, 0) Fig. 6.33 M06_ENGINEERING_MATHEMATICS-I _CH06_PART B.indd 88 5/19/2016 3:10:48 PM
  • 596.
    Integral Calculus ■6.89 2. If the area is revolved about the y-axis, then the volume generated is V x x dy = − − ∫ p( ) 1 2 2 2 2 2 , where x y x y 1 2 2 2 4 1 4 4 = − = − , ( ) = − − − ⎡ ⎣ ⎢ ⎤ ⎦ ⎥ = − = − − ∫ ∫ p p p ( ) ( ) ( ) 4 1 16 4 15 16 4 15 16 2 2 2 2 2 2 2 2 2 2 2 y y dy y dy ( ( ) 4 2 2 2 2 − − ∫ y dy = − ∫ 15 8 4 2 2 0 2 p ( ) y dy { ( ) , ( ) ( ) 4 4 4 2 2 2 2 2 0 2 2 2 − − − ⎡ ⎣ ⎢ ⎢ ⎢ ∫ ∫ − y y y dy y dy is an even function = 2 ⎤ ⎤ ⎦ ⎥ ⎥ ⎥ = − + ∫ 15 8 16 8 2 4 0 2 p ( ) y y dy = − + ⎡ ⎣ ⎢ ⎤ ⎦ ⎥ 15 8 16 8 3 5 3 5 0 2 p y y y = − + ⎡ ⎣ ⎢ ⎤ ⎦ ⎥ 15 8 16 2 8 3 1 5 25 p × × 2 × 3 = − + ⎡ ⎣ ⎢ ⎤ ⎦ ⎥ 15 32 8 1 2 3 1 5 p × = − + ⎡ ⎣ ⎢ ⎤ ⎦ ⎥ = = 15 15 10 3 15 15 4 8 15 32 p p p × 4 × × Remark: From the above problem, we observe that the solids generated revolving the same area about two different axes of revolution are different. Hence, volume generated are different. EXERCISE 6.9 1. Find the volume of the solid generated by revolving about the x-axis, the area bounded by x y a 1 2 1 2 1 2 / / / + = and the coordinates axes. 2. The area bounded by y x 2 2 4 2 = + and the line 5 8 14 0 x y − + = is revolved about the x-axis. Find the volume of the solid generated. Hint: = V p p 1 16 5 2 7 4 2 891 1280 2 2 2 1 x x dx + ⎛ ⎝ ⎜ ⎞ ⎠ ⎟ − + ⎛ ⎝ ⎜ ⎞ ⎠ ⎟ ⎡ ⎣ ⎢ ⎢ ⎤ ⎦ ⎥ ⎥ = /2 2 2 ∫ ⎡ ⎣ ⎢ ⎢ ⎤ ⎦ ⎥ ⎥ 3. Find the volume if the area of the loop of y x x 2 2 4 = + ( ) is revolved about x-axis. 4. The area of the loop of y x x x 2 2 1 1 ( ) ( ) + = − is revolved about the x-axis. Find the volume of the solid of revolution. M06_ENGINEERING_MATHEMATICS-I _CH06_PART B.indd 89 5/19/2016 3:10:52 PM
  • 597.
    6.90 ■ EngineeringMathematics 5. The area bounded by the portion of the curve y e x x = sin between x = 0 and x = p, revolves about the x-axis. Find the volume generated. 6. Find the volume of the solid generated by revolving the area of the curve y x = 3 , y = 0 and x = 2. 7. Find the volume of the solid obtained by revolving the area of the curve y ax x a 2 3 4 2 = − about the x-axis. 8. The volume of the solid generated by revolving the area bounded by y x a a ( ) 2 2 3 + = and its asymptote about the asymptote. 9. The area bounded by y ax 2 4 = and x ay 2 4 = , a 0, revolves about the x-axis. Show that the volume of the solid formed is V = 96 5 2 pa . 10. Compute the volume of the solid generated by revolving about the y-axis, the area bounded by y x = 2 and 8 2 x y = . 11. Find the volume of the solid generated when the area of the loop of the curve y x x 2 2 2 1 = − ( ) resolves about the x-axis. 12. Find the volume of a right circular cone of base radius r and height h by integration. 13. When the area of the curve x y a 2 3 2 3 2 3 / + = / / in the first quadrant is revolved about the x-axis, find the volume of the solid generated. 14. Find the volume of the solid generated by revolving the loop of the curve 3 2 2 ay x x a = − ( ) , about the x-axis. 15. Find the volume of the solid generated by revolving the catenary y a x a = cosh about the x-axis between x = 0 and x = b. 16. A bowl has a shape that can be generated by revolving the graph y x = 2 2 between y = 0 and y = 5 about the y-axis. Find the volume of bowl. 17. Find the volume of the frustrum of a right circular cone whose lower base has radius R, upper base is of radius r and height h. 18. If the curve ( ) a x y a x − 2 2 = revolved about its asymptote, find the volume formed. 19. The area bounded by y x 2 4 = and the line x = 4 above the x-axis is revolved about the x-axis. Find the volume of the solid generated. 20. Find the volume of the solid if the area included between the curve xy a a x 2 2 = − ( ) and its asymptote is revolved about the asymptote. ANSWERS TO EXERCISE 6.9 1. pa3 15 2. 891 1280 p 3. 64 3 p 4. p 2 2 4 3 log − ⎡ ⎣ ⎢ ⎤ ⎦ ⎥ 5. p p 8 1 2 e − ⎡ ⎣ ⎤ ⎦ 6. 64 5 p 7. pa3 20 8. p2 2 2 a 9. 96 5 2 pa 10. 24 5 p 11. p 48 12. pr h 2 . 13. 16 105 3 pa 14. pa3 36 15. = − + − p p a3 2 2 2 8 2 [ ] / / e e a b b a b a 16. 25p 17. ph R rh r 3 2 2 [ ] + + 18. p2 3 2 a 19. 32p 20. p2 3 2 a M06_ENGINEERING_MATHEMATICS-I _CH06_PART B.indd 90 5/19/2016 3:11:03 PM
  • 598.
    Integral Calculus ■6.91 6.5.3 (b) Volume in Polar Coordinates 1. Revolution about the initial line Let r f = ( ) u be the equation of the given curve When arc OAB bounded by the given curve and radii vector u a = and u b = is revolved about the initial line, the volume of the solid generated is V r d = ∫ 2 3 3 p u u a b sin 2. Revolution about the line u p = 2 When the area OAB is revolved about the line u p = 2 , the volume is V r d = ∫ 2 3 3 p u u a b cos . WORKED EXAMPLES EXAMPLE 1 Find the volume of the solid generated by revolving the area of the cardioid r 5 2 u a( cos ) 1 about the initial line. Solution. Given r a = − ( cos ) 1 u (1) Since the volume of the solid generated by revolving the area of the cardioid about the initial line is same as the volume generated by revolving the area OPA above the initial line, about the initial line. Required volume V = ∫ 2 3 3 p u u a b r d sin , where a = 0 and b p = For, when r = 0, 1 0 1 0 − = ⇒ = ⇒ = cos cos u u u and when r = 2a, 1 2 1 − = ⇒ = − ⇒ = cos cos u u u p ∴ V r d = ∫ 2 3 3 0 p u u p sin = − ∫ 2 3 1 3 0 p u u u p a d ( cos sin )3 = ⎛ ⎝ ⎜ ⎞ ⎠ ⎟ ∫ 2 3 2 2 2 2 2 3 2 3 0 p u u u u p a d sin sin cos = ∫ 32 3 2 2 3 7 0 p u u u p a d sin cos A B O x y θ = 0 r = f(θ) α β θ = 2 π Fig. 6.34 O P A x Fig. 6.35 M06_ENGINEERING_MATHEMATICS-I _CH06_PART B.indd 91 5/19/2016 3:16:14 PM
  • 599.
    6.92 ■ EngineeringMathematics = ⎡ ⎣ ⎢ ⎤ ⎦ ⎥ 32 3 2 1 2 8 3 0 p u p a sin / ( / ) s × { sin sin ( ) n n a a a a n u u u u cos d = + ⎡ ⎣ ⎢ ⎤ ⎦ ⎥ + ∫ 1 1 = − ⎡ ⎣ ⎢ ⎤ ⎦ ⎥ = − = 8 3 2 0 8 3 1 0 8 3 3 3 3 p p p p a a a sin sin [ ] 8 8 EXAMPLE 2 Show that the volume of the solid generated by revolving the lemniscate r a 2 2 2 5 u cos about the line u 5 p 2 is 2 8 3 pa . Solution. Given r a 2 2 2 = cos u (1) Required volume is V r d = ∫ 2 3 3 p u u a b cos since the area is revolved about the line u p = ⎡ ⎣ ⎢ ⎤ ⎦ ⎥ 2 If we replace r by −r, then ( ) cos cos − = ⇒ = r a r a 2 2 2 2 2 2 u u ∴ the equation is unaffected. When u is changed to −u, the equation is unaffected, since cos(−2u) = cos 2u. ∴ the curve is symmetric about the initial line and pole respectively. When r = = ⇒ = ⇒ = 0 2 0 2 2 4 , cos u u p u p When r a = = ⇒ = ⇒ = , cos2 1 2 0 0 u u u When r a = − = ⇒ = ⇒ = , cos2 1 2 0 0 u u u We get two loops of the curve as in Fig 6.36. The volume of the solid generated by revolving the area of the lemniscate about the line u p = 2 is equal to 2 times the volume generated by the area above Ox of one loop of the curve revolving about the line u p = 2 . ∴ required volume is V r d = ∫ 2 2 3 3 0 4 × p u u p cos Now r a r a r a 2 2 1 2 3 3 3 2 2 2 2 = ⇒ = ⇒ = cos (cos ) (cos ) / / u u u ∴ V a d = ∫ 2 2 3 2 3 3 2 0 × p u u u p (cos ) cos / = − ∫ 4 3 1 2 3 2 3 2 0 2 p u u u p a d ( sin ) cos / y x θ = 4 π − θ = 2 π θ = 4 π Fig. 6.36 M06_ENGINEERING_MATHEMATICS-I _CH06_PART B.indd 92 5/19/2016 3:16:21 PM
  • 600.
    Integral Calculus ■6.93 Put 2 sin sin u f = ∴ 2 1 2 cos cos cos u u f f u u f f d d = ⇒ cos d d = When u f f = = ⇒ = 0 0 0 , sin and when u p = 4 , sin sin f p f p = = = ⇒ = 2 4 2 1 2 1 2 ⋅ ∴ V a d = − ⋅ ∫ 4 3 1 2 3 2 0 2 p f f f p ( sin cos )3/2 = ∫ 4 3 2 3 3 0 2 p f f f p a d cos cos = ∫ 4 3 2 3 4 0 2 p f f p a d cos = = = 4 3 2 3 4 1 2 2 4 2 2 8 3 2 3 2 3 p p p p a a a . . . EXERCISE 6.10 1. Find the volume of the solid generated by revolving the curve r a b a b = + cos , u about the initial line. 2. The area of the loop of r a = cos3u lying between u p = − 6 and u p = 6 is revolved about the initial line. Find the volume generated. Hint : sin V r d = ⎡ ⎣ ⎢ ⎢ ⎢ ⎤ ⎦ ⎥ ⎥ ⎥ ∫ 2 3 3 0 6 p u u p 3. Find the volume of solid generated by revolving the area of the cardioid r a = + ( cos ) 1 u about the initial line. 4. Find the volume of the solid formed by rotating the area of r a 3 2 = cosu about its line of symmetry. ANSWERS TO EXERCISE 6.10 1. 4 3 2 2 pa a b ( ) + 2. 19 960 3 pa 3. 8 3 3 pa 4. 8 15 3 pa 6.5.4 Surface Area of Revolution An arc of a curve is revolved about an axis, a surface is generated. This surface is called the surface of revolution and its area is the surface area. We find the surface area in Cartesian and polar coordinates. 6.5.4(a) Surface Area of Revolution in Cartesian Coordinates Let y f x = ( ) be the equation of the curve. Let AB be an arc on the curve. Let PQ = Δ s be an element arc in between the points A and B. M06_ENGINEERING_MATHEMATICS-I _CH06_PART B.indd 93 5/19/2016 3:16:26 PM
  • 601.
    6.94 ■ EngineeringMathematics Let the coordinates of P be (x, y) and the coordinates of Q be ( ). x x y + Δ , Δ y+ The element arc Δ s is revolved about the x-axis, we get the element surface as a circular ring of radius y and width Δ s. Let Δ S be the element surface area generated by the element arc Δ s . ∴ Δ Δ S y s = 2p The sum of such element surface areas = = ∑ ∑ Δ 2 Δ S s py ∴ the surface area is S x = → → ∑ lim Δ Δ Δ 0 0 s S = → ∑ lim Δ Δ x y 0 2p s = ∫ 2 1 2 py ds s s with proper limits s1 and s2 . (a) If the limits for x are known, say x = a and x = b, then S y ds dx dx y dy dx dx a b a b = = + ⎛ ⎝ ⎜ ⎞ ⎠ ⎟ ∫ ∫ 2 2 1 2 p p (b) If the limits for y are known say y = c and y = d, then S x ds dy dy x dx dy dy c d a b = = + ⎛ ⎝ ⎜ ⎞ ⎠ ⎟ ∫ ∫ 2 2 1 2 p p (c) If the equation of the curve is given in parametric form, x f t y g t = = ( ), ( ) and the limits for t are t = t1 and t = t2 , then S ds dt dt t t = ∫2 1 2 py = ⎛ ⎝ ⎜ ⎞ ⎠ ⎟ + ⎛ ⎝ ⎜ ⎞ ⎠ ⎟ ∫2 1 2 2 2 py t t dx dt dy dt dt WORKED EXAMPLES EXAMPLE 1 The portion of the curve y x 5 2 2 cut off by the straight line y 5 3 2 is revolved about the y-axis. Find the surface area of revolution. Solution. The given curve is y x = 2 2 , which is a parabola with vertex (0, 0). A B O y x P(x, y) Q(x + Δx, y + Δy) ΔB y = f(x) M Fig. 6.37 M06_ENGINEERING_MATHEMATICS-I _CH06_PART B.indd 94 5/19/2016 3:16:31 PM
  • 602.
    Integral Calculus ■6.95 It is symmetric about the y-axis. Let the line y = 3 2 intersect the parabola at the points A and B ∴the portion of the curve Cut off by the line y = 3 2 is the arc AOB as in figure. The surface obtained by revolving arc AOB about the y-axis, is the same as the surface obtained by revolving arc OA about the y-axis. ∴ the surface area generated is S x ds dy dy x dx dy dy = = + ⎛ ⎝ ⎜ ⎞ ⎠ ⎟ ∫ ∫ 2 2 1 0 3 2 0 3 2 2 p p / / we have y x = 2 2 ∴ dy dx x x = = 2 2 ∴ dx dy x dx dy x = ⇒ ⎛ ⎝ ⎜ ⎞ ⎠ ⎟ = 1 1 2 2 ∴ 1 1 1 1 2 2 2 2 + ⎛ ⎝ ⎜ ⎞ ⎠ ⎟ = + = + dx dy x x x ∴ 1 1 1 2 2 2 2 + ⎛ ⎝ ⎜ ⎞ ⎠ ⎟ = + = + dx dy x x x x ∴ S x x x dy = + ∫ 2 1 0 3 2 2 p / = + = + ⋅ ⎡ ⎣ ⎢ ⎤ ⎦ ⎥ ∫ 2 2 1 2 2 1 2 3 2 0 3 2 3 2 0 3 2 p p y dy y / / / ( ) ( / ) [{ x2 = 2y] = ⋅ + ⎛ ⎝ ⎜ ⎞ ⎠ 2 3 2 3 2 1 p ⎟ ⎟ − ⋅ + ⎡ ⎣ ⎢ ⎢ ⎤ ⎦ ⎥ ⎥ = − = − = − 3 2 3 2 2 3 2 3 2 0 1 2 3 2 1 2 3 2 1 2 3 8 1 / / / ( ) [( ) ] [ ] ( ) p p p = = 14 3 p EXAMPLE 2 Find the surface area formed by revolving four-cusped hypocycloid (astroid) x y a 2 3 2 3 2 3 / / / 1 5 about the x-axis. Solution. The given curve is x y a 2 3 2 3 2 3 / / / + = (1) The curve is symmetric w.r.to both the axes. Let x-axis meets the curve at the points A and C and the y-axis meets the curve at B and D y x A B x y = 3/2 O Fig. 6.38 M06_ENGINEERING_MATHEMATICS-I _CH06_PART B.indd 95 5/19/2016 3:16:37 PM
  • 603.
    6.96 ■ EngineeringMathematics When y x a x a x a = = ⇒ = ⇒ = ± 0 2 3 2 3 2 2 , / / ∴ A is ( , ), a C 0 is ( , ). −a 0 Similarly, B is ( , ) 0 a and D is ( , ) 0 − a By symmetry the four arcs AB, BC, CD and DA are equal. [ the surface area generated by revolving the curve about the x-axis is equal to twice the surface area generated by the arc AB about the x-axis. x varies from 0 to a. [ Surface area S y ds dx dx a = × ∫ 2 2 0 p = + ⎛ ⎝ ⎜ ⎞ ⎠ ⎟ ∫ 4 1 0 2 p y dy dx dx a Differentiating (1) w.r.to x, we get 2 3 2 3 0 1 3 1 3 x y dy dx − − + = / / ⇒ x y dy dx − − + = 1 3 1 3 0 / / ⇒ dy dx x y y x = − = − − − 1 3 1 3 1 3 1 3 / / / / ∴ dy dx y x ⎛ ⎝ ⎜ ⎞ ⎠ ⎟ = 2 2 3 2 3 / / ∴ 1 1 2 2 3 2 3 + ⎛ ⎝ ⎜ ⎞ ⎠ ⎟ = + dy dx y x / / = + = x y x a x 2 3 2 3 2 3 2 3 2 3 / / / / / [ ( )] Using 1 ∴ 1 2 2 3 2 3 1 2 1 3 1 3 + ⎛ ⎝ ⎜ ⎞ ⎠ ⎟ = ⎡ ⎣ ⎢ ⎤ ⎦ ⎥ = dy dx a x a x / / / / / We have x y a 2 3 2 3 2 3 / / / + = ⇒ y a x 2 3 2 3 2 3 / / / = − ⇒ y a x = − ( ) / / / 2 3 2 3 3 2 [ S a x a x dx a = − ⋅ ∫ 4 2 3 2 3 3 2 1 3 1 3 0 p ( ) / / / / / = − ⋅ ∫ 4 1 1 3 2 3 2 3 3 2 0 1 3 pa a x x dx a / / / / / ( ) Let t a x 2 2 3 2 3 = − / / [ 2 2 3 2 3 1 2 3 1 1 3 tdt x dx x dx = − = − − − ⇒ tdt x dx = − − 1 3 1 1 3 ⇒ − = 3 1 1 3 tdt dx x − When x = 0, t a t a 2 2 3 1 3 = ⇒ = / / and when x = a, t a a = − = 2 3 2 3 0 / / [ S a t tdt a = − ∫ 4 3 1 3 2 3 2 0 1 3 p / / ( ) ( ) / = − = = ⎡ ⎣ ⎢ ⎤ ⎦ ⎥ ∫ ∫ 12 12 12 5 1 3 4 0 1 3 4 0 1 3 5 0 1 3 1 3 1 p p p a t dt a t dt a t a a a / / / / / /3 3 12 5 0 12 5 12 5 1 3 1 3 5 1 3 5 3 2 = − ⎡ ⎣ ⎢ ⎤ ⎦ ⎥ = ⋅ = p p p a a a a a / / / / ( ) O y y′ x x′ (a, 0) B(0, a) D(0, −a) A C (−a, 0) Fig. 6.39 M06_ENGINEERING_MATHEMATICS-I _CH06_PART B.indd 96 5/19/2016 3:16:50 PM
  • 604.
    Integral Calculus ■6.97 EXAMPLE 3 Find the surface generated by revolving the portion of the curve y x 2 4 5 1 cut off by the straight line x 5 2, about the x-axis. Solution. The given curve is y x 2 4 = + (1) is a parabola with vertex ( , ). −4 0 It is symmetric about the x-axis. Let A be the vertex. ∴ A is ( , ). −4 0 Let the straight line x = 2 intersect the parabola at the points B B , . ′ The straight line x = 2 meets the x-axis at ( , ). 2 0 The required surface area generated by revolving the arc AB about the x-axis. x varies from −4 to 2. ∴ Surface area is S y ds dx dx y dy dx dx = = + ⎛ ⎝ ⎜ ⎞ ⎠ ⎟ − − ∫ ∫ 2 2 1 4 2 2 4 2 p p Differentiating (1) w.r.to x, we get 2 1 1 2 1 4 2 2 y dy dx dy dx y dy dx y = ⇒ = ⇒ ⎛ ⎝ ⎜ ⎞ ⎠ ⎟ = ∴ 1 1 1 4 4 1 4 2 2 2 2 + ⎛ ⎝ ⎜ ⎞ ⎠ ⎟ = + = + dy dx y y y ∴ 1 4 1 2 2 2 + ⎛ ⎝ ⎜ ⎞ ⎠ ⎟ = + dy dx y y ∴ S y y y dx = + − ∫ 2 4 1 2 2 4 2 p = + = + + = + = + − − − + ∫ ∫ ∫ p p p p 4 1 4 4 1 4 17 4 17 2 4 2 4 2 4 2 1 2 1 y dx x dx x dx x ( ) ( )( / ) 4 4 12 1 4 17 4 3 2 6 4 2 1 4 2 3 2 4 2 (( / ) ) ( ) ( / ) [( / + ⎡ ⎣ ⎢ ⎤ ⎦ ⎥ = + × ⎡ ⎣ ⎢ ⎤ ⎦ ⎥ = ⋅ + − − p p x 7 7 4 4 17 6 25 1 6 5 1 6 5 1 3 2 3 2 3 2 2 3 2 3 ) ( ( ) ) ] [( ) ] [( ) ] [ ] / / / / − − + = − = − = − p p p = = − = × = p p p 6 125 1 6 124 62 3 [ ] y A (−4, 0) (2, 0) x O y′ B′ B x′ Fig. 6.40 M06_ENGINEERING_MATHEMATICS-I _CH06_PART B.indd 97 5/19/2016 3:16:57 PM
  • 605.
    6.98 ■ EngineeringMathematics EXAMPLE 4 Compute the surface area generated when an arc of the curve x t y t t 5 5 2 2 2 3 3 , ( ) between the points of intersection of the curve and the x-axis is revolved about the x-axis. Solution. The given curve is x t y t t = = − 2 2 3 3 , ( ) (1) Which is parametric form [ S y ds dt dt t t = ∫2 1 2 p = ⎛ ⎝ ⎜ ⎞ ⎠ ⎟ + ⎛ ⎝ ⎜ ⎞ ⎠ ⎟ ∫ 2 2 2 1 2 p y dx dt dy dt dt t t To find the limits When y t t t t = − = ⇒ = = ± 0 3 3 0 0 3 2 , ( ) , When t x = = 0 0 , and when t x = ± = 3 3 , [ We get the loop of the curve as in figure. [ t varies from t = 0 to t = 3 [ the required surface area is S y dx dt dy dt dt = ⎛ ⎝ ⎜ ⎞ ⎠ ⎟ + ⎛ ⎝ ⎜ ⎞ ⎠ ⎟ ∫ 2 2 2 0 3 p We have x t = 2 and y t t t t = − = − 3 3 1 3 3 2 3 ( ) ( ) ∴ dx dt t dy dt t t = = − = − 2 1 3 3 3 1 2 2 and ( ) ( ) ∴ dx dt dy dt t t ⎛ ⎝ ⎜ ⎞ ⎠ ⎟ + ⎛ ⎝ ⎜ ⎞ ⎠ ⎟ = + − 2 2 2 2 2 4 1 ( ) = + − + = + + = + 4 2 1 2 1 1 2 4 2 4 2 2 2 t t t t t t ( ) ∴ dx dt dy dt t t ⎛ ⎝ ⎜ ⎞ ⎠ ⎟ + ⎛ ⎝ ⎜ ⎞ ⎠ ⎟ = + = + 2 2 2 2 2 1 1 ( ) ∴ S t t t dt = − − + ∫ 2 3 3 1 2 2 0 3 p ( )( ) Since and t t t t t y t t ⇒ ⇒ − ⇒ − − ∴ = − − ⎡ ⎣ ⎢ ⎢ ⎢ ⎢ ⎢ 3 3 3 0 3 0 0 3 3 0 2 2 2 2 ( ) ( ) ⎤ ⎤ ⎦ ⎥ ⎥ ⎥ ⎥ ⎥ ∴ S t t t dt t t t dt t t = − − + = − − + = − − ∫ ∫ 2 3 3 1 2 3 3 1 2 3 2 3 2 0 3 3 2 0 3 5 p p p ( )( ) ( )( ) ( 3 3 0 3 3 − ∫ t dt ) y O x (3, 0) Fig. 6.41 M06_ENGINEERING_MATHEMATICS-I _CH06_PART B.indd 98 5/19/2016 3:17:06 PM
  • 606.
    Integral Calculus ■6.99 = − − − ⎡ ⎣ ⎢ ⎤ ⎦ ⎥ = − ( ) − ( ) − ( ) − ⎡ ⎣ ⎢ ⎢ ⎢ ⎤ ⎦ 2 3 6 2 4 3 2 2 3 3 6 3 2 3 3 2 0 6 4 2 0 3 6 4 2 p p t t t ⎥ ⎥ ⎥ ⎥ = − − − ⎡ ⎣ ⎢ ⎤ ⎦ ⎥ = − − − ⎡ ⎣ ⎢ ⎤ ⎦ ⎥ = − − ⎡ ⎣ ⎢ ⎤ ⎦ 2 3 3 6 3 2 3 2 2 3 9 2 9 2 9 2 2 3 9 2 3 2 2 p p p ⎥ ⎥ = 3p EXERCISE 6.11 1. Find the surface area generated by revolving the arc of the curve 8 1 2 2 2 y x x = − ( ) about the x-axis. 2. Find the surface area generated by revolving the curve 3 3 y x = between x = −2 and x = 2 about the x-axis. 3. Find the surface area generated by revolving the loop of the curve 9 3 2 2 y x x = − ( ) about the x-axis. 4. An arc of the curve ay x 2 5 = from x = 0 to x a = 4 is revolved about the y-axis, find the surface area generated. 5. Find the surface area of the right circular cone of height h and base radius r. 6. A quadrant of a circle of radius 2 revolves about the tangent at one end. Show that the surface area generated is 4p p ( ). − x 7. The part of the parabola y x 2 4 = cut off by the latus rectum revolves about the tangent at the vertex. Find the curved surface of the real thus generated. 8. Find the area of the surface generated by revolving the cardioid x a = − ( cos cos ), 2 2 u u y a = + ( sin sin ) 2 2 u u about the x-axis. 9. Find the area of the surface generated by revolving one arch of the cardioid x a t t = − ( sin ) y a t = − ( cos ) 1 about the x-axis. 10. The asteroid x a t y a t = = sin , cos 3 3 is revolved about the x-axis. Find the surface area generated. 11. Find the surface area obtained by revolving a loop of the curve 9 3 2 2 ax y a y = − ( ) about the y-axis. 12. Find the surface area of the ellipsoid formed by revolving the ellipse x a y b 2 2 2 2 1 + = about the x-axis. Deduce the surface area of the sphere of radius a. ANSWERS TO EXERCISE 6.11 1. p 2 2. ( ) 34 17 2 9 − p 3. 3p 4. 128 1215 1 125 10 2 pa ( ) + 5. 1 3 2 pr h 7. pa2 3 2 1 2 − + ⎡ ⎣ ⎤ ⎦ log( ) 8. 128 5 2 pa 9. 64 3 2 pa 10. 12 5 2 pa . 11. 3 2 pa 12. 2 1 1 pab e e e − + − 2 1 sin , ⎡ ⎣ ⎢ ⎤ ⎦ ⎥ 4pa2 M06_ENGINEERING_MATHEMATICS-I _CH06_PART B.indd 99 5/19/2016 3:17:12 PM
  • 607.
    6.100 ■ EngineeringMathematics 6.5.4 (b) Surface Area in Polar Coordinates Let r f = ( ) u be the equation of the curve. Let A and B be two points on the curve with vectorial angles a and b. 1. If the arc AB is revolved about the initial line u = 0 (i.e., the x-axis) then the surface is generated. The area of the surface is S y ds = ∫2p with limits for s. ∴ S y ds d d = ∫2p u u a b = ∫2p u u u a b r ds d d sin = + ⎛ ⎝ ⎜ ⎞ ⎠ ⎟ ∫2 2 2 p u u u a b r r dr d d sin [ sin ] { y r = u 2. If the arc AB is revolved about the line u p = 2 (i.e., about the y-axis, then a surface is generated) The area of the surface is S xds = ∫2p within suitable limits = ∫2p u u a b x ds d d = + ⎛ ⎝ ⎜ ⎞ ⎠ ⎟ ∫2 2 2 p u u u a b r r dr d d cos [ cos ] { x r = u WORKED EXAMPLES EXAMPLE 1 Find the area of the surface formed by revolving the lemniscate r a 2 2 2 5 u cos about the polar axis (polar axis is the initial line). Solution. Given the curve r a r a 2 2 2 2 = ⇒ = cos cos u u ⇒ cos2 0 2 2 2 4 4 u p u p p u p ≥ ⇒ − ≤ ≤ − ≤ ≤ and 3 2 2 5 2 3 4 5 4 p u p p u p ≤ ≤ ⇒ ≤ ≤ The curve is symmetric about the initial line A B O x y θ = 0 r = f(θ) α β θ = 2 π Fig. 6.42 M06_ENGINEERING_MATHEMATICS-I _CH06_PART B.indd 100 5/19/2016 3:17:17 PM
  • 608.
    Integral Calculus ■6.101 When u = 0, r a = ± and when u p = = 2 0 0 , , r We get the two loops of the curve as in Fig 6.43. The required surface area is S = area of the surface generated by revolving the two loops about the initial line. = 2[area of the surface generated by revolving the arc OA] [{ the curve is symmetric] = = + ⎛ ⎝ ⎜ ⎞ ⎠ ⎟ ∫ ∫ 2 2 4 0 4 2 2 0 4 p u u p u u u p p y ds d d r r dr d d / / sin We have r a = cos2u ∴ dr d a u u u = − 1 2 2 2 2 cos ( sin )⋅ = − asin cos 2 2 u u ∴ dr d a u u u ⎛ ⎝ ⎜ ⎞ ⎠ ⎟ = 2 2 2 2 2 sin cos ∴ r dr d a a 2 2 2 2 2 2 2 2 + ⎛ ⎝ ⎜ ⎞ ⎠ ⎟ = + u u u u cos sin cos = + = + ⎡ ⎣ ⎤ ⎦ = a a a a 2 2 2 2 2 2 2 2 2 2 2 2 2 2 2 cos sin cos cos sin cos cos u u u u u u u ∴ r dr d a 2 2 2 + ⎛ ⎝ ⎜ ⎞ ⎠ ⎟ = u u cos ∴ S a a d = ∫ 4 2 2 0 4 p u u u u p cos sin cos / = = − ∫ 4 4 2 0 4 2 0 4 p u u p u p p a d a sin [ cos ] / / = − − ⎡ ⎣ ⎢ ⎤ ⎦ ⎥ = − − ⎡ ⎣ ⎢ ⎤ ⎦ ⎥ = − − ⎡ ⎣ ⎢ ⎤ ⎦ ⎥ = − 4 4 0 4 1 2 1 4 2 2 1 4 2 2 2 p p p p p a a a cos cos a a a 2 2 2 2 2 2 2 2 − ⎡ ⎣ ⎢ ⎤ ⎦ ⎥ = − ⎡ ⎣ ⎤ ⎦ p EXAMPLE 2 Find the area of the surface generated by revolving one branch of the lemniscates r a 5 u cos 2 about the tangent at the origin. y O x θ = 2 π θ = 4 π A(a, 0) B(−a, 0) Fig. 6.43 M06_ENGINEERING_MATHEMATICS-I _CH06_PART B.indd 101 5/19/2016 3:17:24 PM
  • 609.
    6.102 ■ EngineeringMathematics Solution. Given r a = cos2u (1) The curve has two loops as in Fig 6.44. u p = 4 is a tangent at the origin to the right side loop. This loop is revolved about u p = 4 . Let P r ( , ) u be any point on the curve. Draw PM perpendicular to the tangent u p = 4 . From the right angled triangle OPM, we get PM OP PM OP r a = − ⎛ ⎝ ⎜ ⎞ ⎠ ⎟ = − ⎛ ⎝ ⎜ ⎞ ⎠ ⎟ = − ⎛ ⎝ ⎜ ⎞ ⎠ ⎟ = sin sin sin cos p u p u p u u 4 4 4 2 s sin p u 4 − ⎛ ⎝ ⎜ ⎞ ⎠ ⎟ ∴ S PM ds d d = − ∫ 2 4 4 p u u p p / / = − ⎛ ⎝ ⎜ ⎞ ⎠ ⎟ + ⎛ ⎝ ⎜ ⎞ ⎠ ⎟ = − ∫ 2 2 4 2 2 2 2 4 4 p u p u u u p u p p a r dr d d a cos sin cos sin / / p p u u u p p 4 2 4 4 − ⎛ ⎝ ⎜ ⎞ ⎠ ⎟ − ∫ a d cos / / From example 1, page 6.100 ⎡ ⎣ ⎢ + ⎛ ⎝ ⎜ ⎞ ⎠ ⎟ = ⎤ ⎦ ⎥ ⎥ r dr d a 2 2 2 u u cos = − ⎛ ⎝ ⎜ ⎞ ⎠ ⎟ − ∫ 2 4 2 4 4 p p u u p p a d sin / / = − − ⎛ ⎝ ⎜ ⎞ ⎠ ⎟ − ⎡ ⎣ ⎢ ⎢ ⎢ ⎢ ⎤ ⎦ ⎥ ⎥ ⎥ ⎥ = − ⎛ ⎝ ⎜ ⎞ ⎠ ⎟ − 2 4 1 2 4 2 4 4 2 p p u p p u p p a a cos cos / / ⎡ ⎡ ⎣ ⎢ ⎤ ⎦ ⎥ = − ⎛ ⎝ ⎜ ⎞ ⎠ ⎟ ⎡ ⎣ ⎢ ⎤ ⎦ ⎥ = −p p p p p / / cos cos 4 4 2 2 2 0 2 2 a a EXERCISE 6.12 1. Find the surface area generated by rotating the cardioid r a = + ( cos ) 1 u about the initial line. 2. Find the surface area generated when the curve r = + 4 2cosu revolves about its axis. y x P(r, θ) O M θ = 4 π − θ θ = 2 π θ = 4 π Fig. 6.44 M06_ENGINEERING_MATHEMATICS-I _CH06_PART B.indd 102 5/19/2016 3:17:29 PM
  • 610.
    Integral Calculus ■6.103 3. The portion of the parabola r a = + 2 1 cosu cut off by the latus rectum revolves about the axis. Find the surface area generated. 4. Find the surface area generated by revolving the curve r a = 2 cosu about the initial line. 5. Find the area of the surface generated by revolution of the curve r = 2a sin u about the polar axis. ANSWERS TO EXERCISE 6.12 1. 32 5 2 pa 2. 37 5 p 3. 8 3 2 pa 4. 4 2 pa 5. 4 2 2 p a SHORT ANSWER QUESTIONS Evaluate the following integrals 1. e xdx x − ∫ 3 4 sin 2. e xdx x 3 2 cos ∫ 3. x x dx 2 3 sin ∫ 4. log x x dx 2 ∫ 5. sin cos 6 2 x xdx ∫ 6. cos sin 3 2 x xdx ∫ 7. e e dx x x sin ∫ 8. x x dx 25 4 2 + ∫ 9. ( ) 1 2 3 2 6 − ∫ x x dx 10. x x dx − − ∫ 1 2 11. xe x dx x ( ) + ∫ 1 2 12. sec6 xdx ∫ 13. cosec3 xdx ∫ 14. x xdx n log 0 1 ∫ 15. sin6 0 2 xdx p ∫ 16. cos9 0 2 xdx p ∫ 17. sin cos 7 6 0 2 x xdx p ∫ 18. sin cos 2 0 2 4 x xdx p ∫ 19. sin cos 8 0 2 6 x xdx p ∫ 20. x x x dx + − ∫ 5 2 3 21. sin sin cos 3 3 3 0 2 x x x dx + ∫ p 22. lim n n n n n r →∞ = + ∑ 2 2 1 23. dx x x ( )( ) + + ∫ 1 1 2 0 1 24. x x dx − + ∫ 1 1 3 0 2 ( ) OBJECTIVE TYPE QUESTIONS A. Fill up the blanks 1. e e dx x x 1 2 3 + ∫ ln ln =___________ 2. sin sin cos x x x dx + ∫ 0 2 p =___________ 3. sin sin cos x x x dx + ∫ 0 2 p =___________ 4. sin cos 3 4 x x dx − ∫p p =___________ M06_ENGINEERING_MATHEMATICS-I _CH06_PART B.indd 103 5/19/2016 3:17:39 PM
  • 611.
    6.104 ■ EngineeringMathematics 5. x x x dx + − ∫ 9 2 7 =___________ 6. e x x dx x 2 2 2 2 2 0 2 sec tan + ⎛ ⎝ ⎜ ⎞ ⎠ ⎟ ∫ p =___________ 7. sin sin 4 0 x x dx p ∫ =___________ 8. lim n r n n r →∞ = + ∑ 1 1 =___________ 9. The area of the region in the first quadrant bounded by y-axis and curves y = sin x and y = cos x is______________ 10. The length of the arc of the curve 6xy = x4 + 3 from x = 1 to x = 2 is___________ 11. The area of the surface of the solid generated by the revolution of the line segment y = 2x from x = 0 to x = 2 about x-axis is__________ 12. The area bounded by y2 = x and x2 = y is________ 13. The length of the arc of the curve y = logc sec x between x = 0 and x = p 6 is ________ 14. If the area of the curve y2 = 4x bounded by y = 0 and x = 1 is rotated about the line x = 1, then the volume of the solid generated is____________ 15. The surface area of the surface generated by the revolution of the line segment y = x + 1 from x = 0 to x = 2 about the x-axis is equal to ___________ B. Choose the correct answer 1. (sin cos ) sin x x x dx + + ∫ 1 2 is equal to (a) sin x (b) cos x (c) x (d) tan x 2. loge a b x x dx ∫ is equal to (a) 1 2 log .log ( ) e e b a ab ⎛ ⎝ ⎜ ⎞ ⎠ ⎟ (b) log .log ( ) e e a b ab ⎛ ⎝ ⎜ ⎞ ⎠ ⎟ (c) log .log ( ) e e b a ab ⎛ ⎝ ⎜ ⎞ ⎠ ⎟ (d) None of these 3. 5 3 0 1 x dx − ∫ is (a) − 1 2 (b) 13 10 (c) 1 2 (d) 23 10 4. 8 8 3 5 − + − ∫ x x x dx is (a) 1 (b) 1 2 (c) 3 2 (d) 3 5. x dx x 2 0 2 ∞ ∫ is equal to (a) (loge 2)−2 (b) 2loge 2 (c) 2(loge 2)−3 (d) None of these 6. lim ( ) n n n n n n n n n n →∞ + + + + + + − ⎡ ⎣ ⎢ ⎤ ⎦ ⎥ 2 2 2 2 2 2 2 1 2 1 … is equal to (a) 3 4 p (b) p 4 (c) p 3 (d) None of these M06_ENGINEERING_MATHEMATICS-I _CH06_PART B.indd 104 5/19/2016 3:17:44 PM
  • 612.
    Integral Calculus ■6.105 7. sin cos 5 7 2 2 x x dx − ∫p p is equal to (a) 0 (b) p (c) 5 4 p (d) None of these 8. The value of x x dx n m n − + ∞ + ∫ 1 0 1 ( ) is equal to (a) m n m n 2 + (b) m n m n + (c) m n m n + +1 (d) None of these 9. tanx x dx 1 0 2 + ∫ tan p is equal to (a) p 2 (b) p 4 (c) 3 4 p (d) 0 10. If the function f is continuous for all x ≥ 0 and satisfies f t dt x x x x x ( ) sin cos = − + + + ∫ 1 2 2 1 2 2 0 2 then the value of ′ ⎛ ⎝ ⎜ ⎞ ⎠ ⎟ f p 4 is (a) p − 2 (b) p + 2 (c) 2 − p (d) − p 11. The length of the curve y = log sec x between the points with abscissae 0, p 3 is equal to (a) log ( ) e 2 3 + (b) log ( ) e 3 1 + (c) log ( ) e 2 1 + (d) log ( e 2 3 + 12. The area bounded by the parabola y2 = 4ax and its latus rectum is given by (a) y dx a 0 ∫ (b) 2 4 0 axdx a ∫ (c) y a dy a 2 0 4 ∫ (d) 2 4axdx a a − ∫ 13. The area of the cardiod r = a(1−cosu) is given by (a) 3pa2 (b) 6pa2 (c) pa2 (d) 3 2 2 pa 14. The volume of the solid obtained by revolving the area of the parabola y2 = 4ax cut off by the latus rectum about the tangent at the vertex is given by (a) pa3 5 (b) 2 5 3 pa (c) 4 3 3 pa (d) 2 3 3 pa 15. The volume of the solid generated by the revolution of r = 2a cosu about the initial line is given by (a) 2 3 3 pa (b) 4 3 3 pa (c) 8 3 3 pa (d) None of these M06_ENGINEERING_MATHEMATICS-I _CH06_PART B.indd 105 5/19/2016 3:17:50 PM
  • 613.
    6.106 ■ EngineeringMathematics ANSWERS A. Fill up the blanks 1. loge 4 3 2. p 4 3. p 4 4. 0 5. 5 2 6. e p 2 7. 0 8. ln2 9. 2 1 − 10. 17 12 11. 8 5p 12. 1 3 13. 1 2 3 loge 14. 16 15 p 15. 8 2p B. Choose the correct answer 1. (c) 2. (a) 3. (b) 4. (a) 5. (c) 6. (b) 7. (a) 8. (b) 9. (b) 10. (c) 11. (d) 12. (b) 13. (d) 14. (c) 15. (b) M06_ENGINEERING_MATHEMATICS-I _CH06_PART B.indd 106 5/19/2016 3:17:53 PM
  • 614.
    7.1 IMPROPER INTEGRALS Thedefinite integral f x dx a b ( ) ∫ is defined as the limit of a sum under two conditions (i) the interval [a, b] is of finite length and (ii) f is defined and bounded on [a, b]. Then f x dx a b ( ) ∫ is called a proper integral. But there are many practical problems where f is unbounded on [a, b] or the interval is not finite. Such integrals are known as improper integrals. For example: dx x dx x e x dx x , , 0 1 2 0 2 1 ∫ ∫ ∫ + ∞ − −∞ ∞ are improper integrals. 7.1.1 Kinds of Improper Integrals and Their Convergence (a) Improper integrals of the first kind If f is continuous and the interval is infinite, then the infinite integrals f x dx a ( ) , ∞ ∫ f x dx b ( ) , −∞ ∫ f x ( ) −∞ ∞ ∫ dx are called improper integrals of the first kind. 1. We define f x dx f x dx a b a b ( ) lim ( ) ∞ →∞ ∫ ∫ = if (i) the proper integral f x dx a b ( ) ∫ exists for every b a (ii) the limit lim ( ) b a b f x →∞ ∫ exists with value equal to A, where A is finite. Then f x dx a ( ) ∞ ∫ is said to converge to A. A is called the value of the integral and we write f x dx A a ( ) . ∞ ∫ = Otherwise, f x dx a ( ) ∞ ∫ is said to diverge. 2. We define f x dx f x dx b a a b ( ) lim ( ) −∞ →−∞ ∫ ∫ = if (i) the proper integral f x dx a b ( ) ∫ exists for every a b 7 Improper Integrals M07_ENGINEERING_MATHEMATICS-I _CH07_Part A.indd 1 5/12/2016 9:52:30 AM
  • 615.
    7.2 ■ EngineeringMathematics (ii) the limit lim ( ) a a b f x dx →−∞ ∫ exists with value equal to B, where B is finite Then f x dx b ( ) −∞ ∫ is said to converge to B. B is called the value of the integral and we write f x dx B b ( ) . −∞ ∫ = Otherwise, f x dx b ( ) −∞ ∫ is said to diverge. 3. We define f x dx f x dx f x dx c c ( ) ( ) ( ) −∞ ∞ −∞ ∞ ∫ ∫ ∫ = + for some c, if both the integrals on the R.H.S converge. Then f x dx ( ) 2∞ ∞ ∫ is said to converge to the sum of the values. The integral f x dx ( ) −∞ ∞ ∫ is said to diverge if at least one of the integrals on the R.H.S diverges. Note The integral f x dx a b ( ) ∫ for every b ≥ a is analogus to “partial sum” in infinite series and so it may be considered as “partial integral”. (b) Improper integrals of the second kind If the interval [a, b] is finite and f is unbounded at one or more points on [a, b], then f x dx a b ( ) ∫ is called an improper integral of the second kind. 1. If f is unbounded at a only (i.e., f has an infinite discontinuity at a), then we define f x dx f x dx b a a b a b ( ) lim ( ) , ∫ ∫ = ∈ − ∈→ + +∈ 0 0 , if (i) the proper integral f x dx a b ( ) +∈ ∫ exists (ii) the limit exists and is equal to A. Then the integral f x dx a b ( ) ∫ is said to converge to A. A is called the value of the integral and we write f x dx A a b ( ) . ∫ = Otherwise, f x dx a b ( ) ∫ is said to diverge. M07_ENGINEERING_MATHEMATICS-I _CH07_Part A.indd 2 5/12/2016 9:52:36 AM
  • 616.
    Improper Integrals ■7.3 2. If f is unbounded at b only, then we define f x dx f x dx b a a b a b ( ) lim ( ) , . ∫ ∫ = ∈ − ∈→ + −∈ 0 0 if (i) the proper integral f x dx a b ( ) −∈ ∫ exists, (ii) the limit lim ( ) ∈→ + −∈ ∫ 0 f x dx a b exists and is equal to B. Then f x dx a b ( ) ∫ is said to converge to B. B is called the value of the integral and we write f x dx B a b ( ) ∫ = Otherwise, f x dx a b ( ) ∫ is said to diverge. 3. If f is unbounded at c only, a c b, then we define f x dx f x dx f x dx a b a c c b ( ) lim ( ) lim ( ) ∫ ∫ ∫ = + ∈→ + −∈ → + 0 0 d d + , if both the limits exist. Then f x dx a b ( ) ∫ is said to converge to the sum of the limits. If at least one of the limits fail to exist, then f x dx a b ( ) ∫ is said to diverge. Remark: Cauchy’s Principal Value 1. If f x dx ( ) −∞ ∞ ∫ is defined as lim ( ) a a a f x dx →∞ − ∫ and if the limit exists with value A, then A is called Cauchy’s principal value (CPV) of f x dx ( ) . −∞ ∞ ∫ Note that Cauchy’s principal value of f x dx ( ) −∞ ∞ ∫ may exist even if the improper integral diverges. 2. Similarly, Cauchy’s principal value of f x dx f x dx a b a c ( ) lim ( ) ∫ ∫ = + ⎡ ⎣ ⎢ ∈→ + −∈ 0 f x dx c b ( ) +∈ ∫ ⎤ ⎦ ⎥ if the R.H.S limits exist. 3. If the improper integral converges to A, then CPV = A. M07_ENGINEERING_MATHEMATICS-I _CH07_Part A.indd 3 5/12/2016 9:52:42 AM
  • 617.
    7.4 ■ EngineeringMathematics WORKED EXAMPLES Problems based on improper integral of the first kind EXAMPLE 1 Evaluate the improper integral dx x 1 2 0 1 , ∞ ∫ if it exists. Solution. Let I dx x = + ∞ ∫1 2 0 = + →∞ ∫ lim b b dx x 1 2 0 = = − = − = − − − − − − lim[tan ] lim[tan tan ] tan tan b b b x b →∞ →∞ ∞ 1 0 1 1 1 1 0 0 2 0 p = = p 2 EXAMPLE 2 Evaluate 1 2 1 x dx ∞ ∫ if it exists. Solution. Let I x dx = ∞ ∫ 1 2 1 = →∞ ∫ lim b b x dx 1 2 1 = ⎡ ⎣ ⎢ ⎤ ⎦ ⎥ = ⎡ ⎣ ⎢ ⎤ ⎦ ⎥ = ⎡ ⎣ ⎢ ⎤ →∞ →∞ →∞ lim lim lim b b b b b x x b − − − − + 2 1 1 1 2 1 1 1 1 + + ⎦ ⎦ ⎥ = ∞ ⎡ ⎣ ⎢ ⎤ ⎦ ⎥ = − + 1 1 1 EXAMPLE 3 Evaluate xe dx x 2 2 2 ∞ ∞ ∫ if it exists. Solution. Let I xe dx xe dx xe dx I I x x x = = + = + − −∞ ∞ − −∞ − ∞ ∫ ∫ ∫ 2 2 2 0 0 1 2 where I xe dx xe dx x a x a 1 0 0 2 2 = = − −∞ →−∞ − ∫ ∫ lim Put t = x2 ∴ dt = 2xdx ⇒ xdx dt = 1 2 When x = a, t = a2 and when x t = = 0 0 , ∴ I e dt a t a 1 0 2 2 = ⋅ →−∞ − ∫ lim = ⎡ ⎣ ⎢ ⎤ ⎦ ⎥ = = = 1 2 1 1 2 1 2 1 1 2 2 0 0 lim lim [ ] [ ] a t a a a e e e e →−∞ − →−∞ − −∞ − − − − − − 2 2 1 0 1 2 [ ] − − = M07_ENGINEERING_MATHEMATICS-I _CH07_Part A.indd 4 5/12/2016 9:52:47 AM
  • 618.
    Improper Integrals ■7.5 and I xe dx x 2 0 2 = − ∞ ∫ = →∞ − ∫ lim a x a xe dx 2 0 = →∞ − ∫ lim a t a e dt 1 2 0 2 = ⎡ ⎣ ⎢ ⎤ ⎦ ⎥ = = = − 1 2 1 1 2 1 2 1 1 2 0 0 2 2 lim lim [ ] [ ] [ a t a a a e e e e →∞ − →∞ − −∞ − − − − − 0 0 1 1 2 − = ] ∴ I xe dx x = = − + = − −∞ ∞ ∫ 2 1 2 1 2 0 EXAMPLE 4 Evaluate dx a x 2 2 0 0 1 ∞ ∫ , a , if it exists. Solution. Let I dx a x dx a x a x a c c c c = + = + = ⎡ ⎣ ⎢ ⎤ ⎦ ⎥ ∞ →∞ →∞ ∫ ∫ 2 2 0 2 2 0 1 0 1 lim lim tan− = ⎡ ⎣ ⎢ ⎤ ⎦ ⎥ = [ ] = = lim tan tan tan c a c a a a a →∞ − − − − ∞ − . 1 0 1 0 1 2 2 1 1 1 p p EXAMPLE 5 Evaluate x xdx sin , 2∞ ∫ 0 if it exists. Solution. Let I x xdx = −∞ ∫ sin 0 = →−∞ ∫ lim sin a a x xdx 0 = = lim [ ( cos ) ( sin )] [ lim a a a x x x → −∞ → − − − 0 by Bernoulli’s formula, − −∞ → −∞ − − − [ cos sin ] , sin ] lim ( cos sin ) x x x u x v x a a a a a + = = = + 0 0 Here [ [ ]= − → −∞ lim [ cos sin ] a a a a But sin a and cos a oscillate finitely between −1 and +1. Since a cos a → ∞ as a → ∞, limit is −∞ ∴ the integral I x xdx = −∞ ∫ sin 0 diverges to −∞. M07_ENGINEERING_MATHEMATICS-I _CH07_Part A.indd 5 5/12/2016 9:52:52 AM
  • 619.
    7.6 ■ EngineeringMathematics EXAMPLE 6 Evaluate dx x x e e (log ) , 3 ∞ ∫ if convergent. Solution. Let I dx x x e e = ∞ ∫ (log )3 = →∞ ∫ lim (log ) a e e a dx x x 3 Put t = loge x ∴ dt x dx = 1 When x = e, t = loge e = 1 and when x = a, t = loge a ∴ I dt t a a e = →∞ ∫ lim log 3 1 = →∞ − ∫ lim ( ) log a a t dt e 3 1 = = lim lim lim log log a a a a a t t e e →∞ →∞ → − − − − ⎡ ⎣ ⎢ ⎤ ⎦ ⎥ ⎡ ⎣ ⎢ ⎤ ⎦ ⎥ = 2 1 2 1 2 1 2 1 1 2 ∞ ∞ − − ∞ − − − 1 1 1 2 1 1 1 2 0 1 1 2 2 (log ) [ ] e a ⎡ ⎣ ⎢ ⎤ ⎦ ⎥ = ⎡ ⎣ ⎢ ⎤ ⎦ ⎥ = = EXAMPLE 7 Evaluate e xdx x 2 sin , 0 ∞ ∫ if it exists. Solution. Let I e xdx x = − ∞ ∫ sin 0 = →∞ − ∫ lim sin b x b e xdx 0 = ⎡ ⎣ ⎢ ⎤ ⎦ ⎥ = + lim ( sin cos ) lim [ (sin cos )] b x b b x e x x e x x →∞ − →∞ − − − − 2 1 2 0 0 b b b b e b b e e = + + = = = − − − − − − →∞ − −∞ 1 2 0 1 1 2 1 1 2 0 1 1 0 lim [ (sin cos ) ( )] [ ] [ ] 2 2 M07_ENGINEERING_MATHEMATICS-I _CH07_Part A.indd 6 5/12/2016 9:52:57 AM
  • 620.
    Improper Integrals ■7.7 EXAMPLE 8 Prove that dx x a p p a , , 0 0 ∞ ∫ is convergent if p 1 and divergent if p ≤ 1. Solution. Let I dx x x dx a p p b p a b a = = →∞ − ∞ ∫ ∫ lim , , 0 0 = − = − − →∞ − →∞ − lim lim b p a b b p p x p b a p + − + + + ⎡ ⎣ ⎢ ⎤ ⎦ ⎥ + ⎡ ⎣ ⎢ ⎤ ⎦ ⎥ 1 1 1 1 1 If p 1,then −p + 1 0. ∴ as b → ∞, b−p + 1 → 0 ∴ I a p a p p p = − − + = − − − + − 0 1 1 1 1 if p 0 If p 1, then −p + 1 0. ∴ as b → ∞, b−p + 1 → ∞ ∴ I = ∞ if p 1 When p = 1, I x dx b a b = →∞ ∫ lim 1 = = − = − = ∞ lim log lim[log log ] log b e a b b x b a a → →∞ [ ] ∞ ∞ ∴ I is convergent if p 1 and divergent if 0 1 ≤ p That is dx x p a ∞ ∫ is convergent if p 1 and divergent if 0 1 ≤ p . Note 1 2 1 x dx ∞ ∫ is convergent, since p = 2 1. EXAMPLE 9 Evaluate x x x dx 1 2 1 3 1 1 2 2 ( )( ) . ∞ ∫ Solution. Let I x x x dx = + − + ∞ ∫ 3 1 1 2 2 ( )( ) = + − + →∞ ∫ lim ( )( ) b b x x x dx 3 1 1 2 2 Let x x x A x Bx C x + − + = − + + + 3 1 1 1 1 2 2 ( )( ) ⇒ x + 3 = A(x2 + 1) + (Bx + C)(x − 1) Put x = 1, then 4 = A(1 + 1) ⇒ 2A = 4 ⇒ A = 2 Put x = 0, then 3 = A − C ⇒ C = A − 3 = 2 − 3 = −1 Equating coefficients of x2 , 0 = A + B ⇒ B = −A = −2 M07_ENGINEERING_MATHEMATICS-I _CH07_Part A.indd 7 5/12/2016 9:53:04 AM
  • 621.
    7.8 ■ EngineeringMathematics ∴ x x x x x x x x x x + − + = − + − − + = − − + − + 3 1 1 2 1 2 1 1 2 1 2 1 1 1 2 2 2 2 ( )( ) ∴ I x x x x dx b b = − − + − + ⎡ ⎣ ⎢ ⎤ ⎦ ⎥ →∞ ∫ lim 2 1 2 1 1 1 2 2 2 = − − + − = − − → lim log ( ) log ( ) tan lim log ( ) b e e b b e x x x x →∞ ∞ ⎡ ⎣ ⎤ ⎦ 2 1 1 1 2 1 2 2 − − + − = − + − − − log ( ) tan lim log ( ) tan e b b e x x x x 2 1 2 2 2 1 1 1 1 ⎡ ⎣ ⎤ ⎦ ⎡ ⎣ ⎢ ⎤ ⎦ ⎥ →∞ x x b b b b b e e ⎡ ⎣ ⎢ ⎤ ⎦ ⎥ ⎛ ⎝ ⎜ ⎞ ⎠ ⎟ →∞ 2 2 2 1 2 2 1 1 2 1 2 = − + − − − + − lim log ( ) tan log ( ) 1 1 2 1 1 1 1 1 2 2 2 2 ⎛ ⎝ ⎜ ⎞ ⎠ ⎟ − − ⎡ ⎣ ⎢ ⎤ ⎦ ⎥ ⎛ ⎝ ⎜ ⎞ ⎠ ⎟ ⎛ ⎝ ⎜ − →∞ ( tan ) lim log = − + b e b b b b ⎞ ⎞ ⎠ ⎟ ⎛ ⎝ ⎜ ⎜ ⎜ ⎜ ⎞ ⎠ ⎟ ⎟ ⎟ ⎟ ⎡ ⎣ ⎢ ⎢ ⎢ ⎢ ⎤ ⎦ ⎥ ⎥ ⎥ ⎥ →∞ − − + = − − tan log tan lim lo 1 1 1 5 2 b e b g g tan log tan e e b b b 1 1 1 1 1 5 2 2 2 1 1 − + − + − − ⎛ ⎝ ⎜ ⎞ ⎠ ⎟ ⎛ ⎝ ⎜ ⎞ ⎠ ⎟ ⎛ ⎝ ⎜ ⎜ ⎜ ⎜ ⎞ ⎠ ⎟ ⎟ ⎟ ⎟ − ⎡ ⎡ ⎣ ⎢ ⎢ ⎢ ⎢ ⎤ ⎦ ⎥ ⎥ ⎥ ⎥ ∞ = − − + = − + + = − − − log tan log tan tan log e e e 1 1 5 2 2 2 5 1 1 1 p l log tan log cot e e 5 2 2 5 2 1 1 − − = − − − p ⎛ ⎝ ⎜ ⎞ ⎠ ⎟ EXAMPLE 10 Evaluate the improper integral dv v v ( )( tan ) 1 1 2 1 0 1 1 2 ∞ ∫ . Solution. Let I dv v v = + + − ∞ ∫ ( )( tan ) 1 1 2 1 0 Here f v v v ( ) ( )( tan ) = + + − 1 1 1 2 1 When v = 0, f ( ) ( )( ) 0 1 1 0 1 0 1 = + + = ∴ v = 0 is a point of continuity of f(v). ∴ I dv v v b b = + + →∞ − ∫ lim ( )( tan ) 1 1 2 1 0 M07_ENGINEERING_MATHEMATICS-I _CH07_Part A.indd 8 5/12/2016 9:53:07 AM
  • 622.
    Improper Integrals ■7.9 Let I dv v v b 1 2 1 0 1 1 = + + − ∫ ( )( tan ) Put t = tan−1 v ∴ dt v dv = + 1 1 2 When and when v t v b t b = = = = = − − 0 0 0 1 1 , tan , tan ∴ I dt t t b e b 1 0 0 1 1 1 1 = + = + [ ] − − ∫ tan tan log ( ) = + − = + − − log ( tan ) log log ( tan ) e e e b b 1 1 1 1 1 ∴ I b b e = lim log ( tan ) →∞ − 1 1 + ⎡ ⎣ ⎤ ⎦ = + = + ⎛ ⎝ ⎜ ⎞ ⎠ ⎟ log ( tan ) log e e 1 1 2 1 − ∞ p Problems based on improper integral of the second kind EXAMPLE 11 Evaluate the improper integral dx x 9 2 0 3 2 , ∫ if it exists. Solution. Let I dx x = − ∫ 9 2 0 3 Here the integrand is f x x ( ) = − 1 9 2 When x f = = = ∞ 3 3 1 0 , ( ) . ∴ f(x) is unbounded when x = 3. ∴ the integrand is unbounded when x = 3 and the interval [0, 3] is finite. So, it is an improper integral of the second kind. ∴ I dx x = − ∫ 9 2 0 3 = − ∈→ + −∈ ∫ lim 0 2 0 3 9 dx x = ⎡ ⎣ ⎢ ⎤ ⎦ ⎥ = ⎡ ⎣ ⎢ ⎤ ⎦ ⎥ = + + lim sin lim sin sin si ∈→ − −∈ ∈→ − − − ∈ − 0 1 0 3 0 1 1 3 3 3 0 x n n [ , ] − − = ∈ − ∈ 1 1 0 2 0 3 3 p as → → EXAMPLE 12 Evaluate the improper integral dx x ( ) , / 21 2 3 0 2 ∫ if it exists. Solution. Let I dx x = − ∫ ( ) / 1 2 3 0 2 M07_ENGINEERING_MATHEMATICS-I _CH07_Part A.indd 9 5/12/2016 9:53:13 AM
  • 623.
    7.10 ■ EngineeringMathematics Here the integrand is f x x ( ) ( ) / = − 1 1 2 3 When x f = = = ∞ 1 1 1 0 , ( ) ∴ f(x) is unbounded at x = 1. ∴ the integrand is unbounded when x = 1 and the interval [0, 2] is finite. Hence, it is an improper integral of the second kind. ∴ I dx x = − ∫ ( ) / 1 2 3 0 2 = − + − ∫ ∫ dx x dx x ( ) ( ) / / 1 1 2 3 0 1 2 3 1 2 = − + − = − ∈→ + −∈ → + + ∈→ + ∫ ∫ lim ( ) lim ( ) lim ( / / 0 2 3 0 1 0 2 3 1 2 0 1 1 1 dx x dx x x d d ) ) lim ( ) / / − −∈ → + − + ∫ ∫ + − 2 3 0 1 0 2 3 1 2 1 dx x dx d d = ⎡ ⎣ ⎢ ⎤ ⎦ ⎥ + ⎡ ⎣ ⎢ ⎤ ⎦ ⎥ = + lim ( ) / lim ( ) / / / ∈→ −∈ → − − 0 1 3 0 1 0 1 3 1 2 1 1 3 1 1 3 3 x x d d l lim[( ) ( ) ] lim[ ( ) ] lim / / / / ∈→ → ∈ − ∈− − − − − 0 1 3 1 3 0 1 3 1 3 1 1 1 3 1 1 1 3 + + = d d → → → − ∈ − − − − − − 0 1 3 0 1 3 1 3 1 3 1 1 1 3 0 1 3 1 [( ) ( )] lim ( ) [ ( ) ] [ ] [ / / / + = = + + d d { 0 0 6 ] = EXAMPLE 13 Evaluate the improper integral dx x x 2 2 0 2 2 , ∫ if it exists. Solution. Let I dx x x dx x x = − = − ∫ ∫ 2 2 2 0 2 0 2 ( ) Here the integrand is f x x x ( ) ( ) = − 1 2 When x f x f = = = ∞ = = = ∞ 0 0 1 0 2 2 1 0 , ( ) , ( ) and when ∴ f(x) is unbounded at x = 0 and x = 2 ∴ the integrand is unbounded and the interval [0, 2] is finite. Hence, it is an improper integral of the second kind. ∴ I dx x x dx x x dx x x dx x x = − = − + − = − + ∫ ∫ ∫ ∫ ∈→ +∈ ( ) ( ) ( ) lim ( ) 2 2 2 2 0 2 0 1 1 2 0 0 1 l lim ( ) d d → − − = + ∫ 0 1 2 1 2 2 dx x x I I M07_ENGINEERING_MATHEMATICS-I _CH07_Part A.indd 10 5/12/2016 9:53:18 AM
  • 624.
    Improper Integrals ■7.11 Let 1 2 2 x x A x B x ( ) − = + − ⇒ 1 2 = − + A x Bx ( ) Putting x A A = = = 0 1 2 1 2 , ⇒ and Putting x B B = = = 2 1 2 1 2 , ⇒ ∴ 1 2 1 2 1 1 2 1 2 x x x x ( ) ( ) − = ⋅ + ⋅ − ∴ dx x x x x dx ( ) ( ) 2 1 2 1 1 2 2 − = ⋅ + − ⎛ ⎝ ⎜ ⎞ ⎠ ⎟ ∫ ∫ = − − = − ⎛ ⎝ ⎜ ⎞ ⎠ ⎟ 1 2 1 2 2 1 2 2 log log ( ) log e e e x x x x (1) Now, I dx x x 1 0 0 1 2 = − ∈→ +∈ ∫ lim ( ) = − ⎡ ⎣ ⎢ ⎤ ⎦ ⎥ ∈→ +∈ lim log 0 0 1 1 2 2 e x x [using (1)] = − + ∈ + ∈ ⎡ ⎣ ⎢ ⎤ ⎦ ⎥ ⎧ ⎨ ⎩ ⎫ ⎬ ⎭ = lim log log ( ) lim log ∈→ ∈→ − − 0 0 1 2 1 2 1 0 2 0 1 2 1 e e e − − loge ∈ − ∈ ⎡ ⎣ ⎢ ⎤ ⎦ ⎥ ⎧ ⎨ ⎩ ⎫ ⎬ ⎭ 2 = − ∈ − ∈ ⎛ ⎝ ⎜ ⎞ ⎠ ⎟ ⎧ ⎨ ⎩ ⎫ ⎬ ⎭ = − = ∞ ∈→ 1 2 2 1 2 0 0 lim log log e e and I dx x x 2 0 1 2 2 = − → − ∫ lim ( ) d d = ⎛ ⎝ ⎜ ⎞ ⎠ ⎟ ⎡ ⎣ ⎢ ⎤ ⎦ ⎥ lim log d d → − − 0 1 2 1 2 2 e x x [using (1)] = 1 2 2 2 2 1 2 1 0 lim log ( ) log d d d → − − − − − e e ⎛ ⎝ ⎜ ⎞ ⎠ ⎟ ⎡ ⎣ ⎢ ⎤ ⎦ ⎥ = − ⎛ ⎝ ⎜ ⎞ ⎠ ⎟ ⎡ ⎣ ⎢ ⎤ ⎦ ⎥ 1 2 2 1 0 lim log log d d d → − e e = − = = 1 2 2 0 0 1 2 0 lim log log d→ ∞ ∞ e e ∴ I I I = + = 1 2 ∞ i.e., the limit does not exist. ∴ the integral dx x x ( ) 2 0 2 − ∫ is divergent. M07_ENGINEERING_MATHEMATICS-I _CH07_Part A.indd 11 5/12/2016 9:53:24 AM
  • 625.
    7.12 ■ EngineeringMathematics EXAMPLE 14 Evaluate the improper integral log | | e x dx 21 1 ∫ . Solution. Let I x dx e = − ∫ log 1 1 = ⎡ ⎣ ⎤ ⎦ = ∫ 2 2 0 1 log log log e e e x dx x is even x x dx x x x 0 1 0 ∫ = ≥ ⎡ ⎣ ⎤ ⎦ if Here f x x e ( ) log = As x x e → → 0+ ∞ , log . So, f(x) is unbounded at x = 0. ∴ the integrand is unbounded and the interval [−1, 1] is fininte. Hence, it is an improper integral of the second kind. But I xdx x x x x dx e e = = ⋅ [ ] − ⋅ ⎧ ⎨ ⎪ ⎩ ⎪ ⎫ ⎬ ⎪ ⎭ ⎪ ∈→ + ∈ ∈→ + ∈ ∈ ∫ ∫ lim log lim log 0 1 0 1 1 1 = = − ∈ ∈− { } ∈→ + ∈ lim log [ ] 0 1 0 e x = = = + + + lim [ log ( )] lim [ log ] lim [ lo ∈→ ∈→ ∈→ − ∈ ∈− − ∈ − ∈ ∈− + ∈ − ∈ 0 0 0 1 1 2 e e g g ] lim [ log ] e e ∈ − − ∈ ∈ ∈→ 1 0 2 2 0 + ⎡ ⎣ ⎢ ⎤ ⎦ ⎥ = − + ∞ ∞ form ⎡ ⎣ ⎢ ⎤ ⎦ ⎥ Now lim ( log ) lim log / lim / / lim ( ∈→ ∈→ ∈→ ∈→ ∈ ∈ ∈ ∈ ∈ − ∈ − ∈ 0 0 0 2 0 1 1 1 + + + = = = e e + ) ) [ ] = 0 by L-Hopital s rule ’ ∴ I = = 2 0 2 2 [ ]− − EXAMPLE 15 Evaluate x x dx 1 2 0 1 2 ∫ . Solution. Let I x x dx = ∫ 1 2 0 1 − Hence, it is an improper integral of the second kind Here f x x x ( ) = − 1 2 When x = 1, f ( ) . 1 1 0 = = ∞ ∴ f(x) is unbounded at x = 1. M07_ENGINEERING_MATHEMATICS-I _CH07_Part A.indd 12 5/12/2016 9:53:29 AM
  • 626.
    Improper Integrals ■7.13 ∴ the integrand is unbounded and the interval is finite ∴ I x x dx x x dx = − = − − − ∈→ + −∈ ∈→ + −∈ − ∫ ∫ lim lim ( ) ( ) 0 2 0 1 0 2 0 1 1 2 1 1 2 1 2 = − − = − − − lim ( ) lim ( ) ∈→ + ∈ ∈→ + ⎡ ⎣ ⎢ ⎢ ⎢ ⎤ ⎦ ⎥ ⎥ ⎥ ⎡ ⎣ ⎢ ⎤ ⎦ ⎥ 0 2 1 2 0 1 0 2 1 2 1 2 1 1 2 1 x x 0 0 1 0 2 1 2 1 2 1 1 1 1 1 1 0 1 1 − = − − − − = − − − = − − = ∈ ∈→ + ∈ ⎡ ⎣ ⎢ ⎤ ⎦ ⎥ { } lim [ ( ) ] ( ) ( ) ∴ x x dx 1 1 2 0 1 − ∫ = EXERCISE 7.1 Test the convergence of the following improper integrals using definition. Find the value if convergent. 1. dx x2 1 ∞ ∫ 2. 1 0 1 x dx p p , ∞ ∫ 3. x dx − ∞ ∫ ( / ) 3 2 1 4. x x dx 1 4 + −∞ ∞ ∫ 5. dx x x 2 2 5 + + −∞ ∞ ∫ 6. 2 4 1 e dx x + ∞ ∫ 7. dx x 4 2 0 2 − ∫ 8. dx x ( ) 1 2 1 2 − ∫ 9. e dx p px − ∞ ∫ 0 0 , 10. tan xdx − ∫p p 2 2 11. 1 1 1 1 + − − x x dx ∫ 12. dx x p p , ∫ 0 0 1 13. x x dx sin 0 ∞ ∫ 14. x dx x ( ) 2 3 2 3 − ∞ ∫ ANSWERS TO EXERCISE 7.1 1. 1 2. 1 1 p − if p 1, divergent if p ≤ 1 3. 1 2 4. 0 5. p 2 6. Divergent 7. p 2 8. Divergent 9. 1 0 p p if 10. Divergent 11. p 12. 1 1 p − if p 1, Divergent if p ≥ 1 13. Divergent 14. 1 M07_ENGINEERING_MATHEMATICS-I _CH07_Part A.indd 13 5/12/2016 9:53:37 AM
  • 627.
    7.14 ■ EngineeringMathematics 7.1.2 Tests of Convergence of Improper Integrals As in the case of series of positive terms, we have tests for convergence of improper integrals with positive integrand. (a) Tests of convergence of improper integrals of the first kind We state the following theorems without proof. Theorem 7.1 Let f x x a ( ) . ∀ ≥ 0 Then f x dx a ( ) ∞ ∫ is convergent if and only if there exists a constant M 0 such that f x dx M b a a b ( ) . ∫ ≤ ∀ ≥ Comparison Test Theorem 7.2 Iff(x)andg(x)arebothpositiveandcontinuouson[a,∞)and 0 ≤ ≤ ∀ ≥ f x g x x a ( ) ( ) , then f x dx a ( ) ∞ ∫ converges if g x dx a ( ) ∞ ∫ converges and f x dx g x dx a a ( ) ( ) . ∞ ∞ ∫ ∫ ≤ Note The above result is equivalently, if f x dx a ( ) ∞ ∫ diverges, then g x dx a ( ) ∞ ∫ diverges. Limit form of Comparison Test Theorem7.3 If f(x)andg(x)arebothpositiveandcontinuouson[a,∞)suchthat lim ( ) ( ) , , x f x g x l l →∞ = ∞ 0 then f x dx a ( ) ∞ ∫ and g x dx a ( ) ∞ ∫ converge or diverge together. That is both the integrals behave alike. If g x dx a ( ) ∞ ∫ is convergent, then f x dx a ( ) ∞ ∫ is convergent, and if g x dx a ( ) ∞ ∫ is divergent, then f x dx a ( ) ∞ ∫ is divergent. Note If lim ( ) ( ) , x f x g x →∞ = 0 then f x dx a ( ) ∞ ∫ is convergent if g x dx a ( ) ∞ ∫ is convergent. As in the case of series, here also we consider the following improper integrals for comparison, 1. The p-integral, dx x a p p a , ∞ ∫ 0 0 and is convergent if p 1 and divergent if 0 1 ≤ p . 2. e dx x − ∞ ∫ a 0 is convergent if a 0 and divergent if a ≤ 0. Absolute Convergence The improper integral f x dx a ( ) ∞ ∫ is said to be absolutely convergent if f x dx a ( ) ∞ ∫ is convergent. M07_ENGINEERING_MATHEMATICS-I _CH07_Part A.indd 14 5/12/2016 9:54:06 AM
  • 628.
    Improper Integrals ■7.15 WORKED EXAMPLES EXAMPLE 1 Test the convergence of x x dx 1 4 1 1 ∞ ∫ . Solution. Given x x dx 1 4 1 + ∞ ∫ Here f x x x x x x x x ( ) . = + = + ⎛ ⎝ ⎜ ⎞ ⎠ ⎟ = ⋅ + ⎛ ⎝ ⎜ ⎞ ⎠ ⎟ 1 1 1 1 1 1 1 4 4 4 3 4 Take g x x ( ) . = 1 3 ∴ f x g x x x x x ( ) ( ) = + ⎛ ⎝ ⎜ ⎞ ⎠ ⎟ ⋅ = + 1 1 1 1 1 1 3 4 3 4 lim ( ) ( ) lim ( ) x x f x g x x → → ∞ ∞ = + = ≠ 1 1 1 1 0 4 ∴ by the comparison test, f x dx g x dx ( ) ( ) 1 1 ∞ ∞ ∫ ∫ and behave alike. But g x dx dx x ( ) 1 3 1 ∞ ∞ ∫ ∫ = is convergent by p-integral, since p = 3 1. ∴ f x dx xdx x ( ) 1 4 1 1 ∞ ∞ ∫ ∫ = + is convergent. EXAMPLE 2 Test the convergence of dx x x ( ) . 1 1 1 ∞ ∫ Solution. Given dx x x ( ) . 1 1 + ∞ ∫ Here f x x x x x ( ) ( ) . / = + = + 1 1 1 1 1 3 2 ⎡ ⎣ ⎢ ⎤ ⎦ ⎥ Take g x x ( ) . / = 1 3 2 ∴ f x g x x x x x ( ) ( ) / / = + = + 1 1 1 1 1 1 3 2 3 2 ⎡ ⎣ ⎢ ⎤ ⎦ ⎥ ⋅ M07_ENGINEERING_MATHEMATICS-I _CH07_Part A.indd 15 5/12/2016 9:54:13 AM
  • 629.
    7.16 ■ EngineeringMathematics ∴ lim ( ) ( ) lim ( ) x x f x g x x → → ∞ ∞ = + = ≠ 1 1 1 1 0 ∴ by the comparison test, f x dx g x dx ( ) ( ) 1 1 ∞ ∞ ∫ ∫ and behave alike. But g x dx dx x ( ) / 1 3 2 1 ∞ ∞ ∫ ∫ = is convergent by p-integral, since p = 3 2 1. ∴ f x dx dx x x ( ) ( ) 1 1 1 ∞ ∞ ∫ ∫ = + is convergent. EXAMPLE 3 Test the convergence of e dx x 2 2 0 ∞ ∫ . Solution. Let I e dx x = − ∞ ∫ 2 0 = + = + − − ∞ ∫ ∫ e dx e dx I I x x 2 2 0 1 1 1 2 where I e dx x 1 0 1 2 = − ∫ is proper integral and I e dx x 2 1 2 = − ∞ ∫ is an improper integral of the first kind we shall test the convergent of I2 Here f x e x ( ) = − 2 . Consider g x x ( ) = 1 2 ∴ f x g x x e x e x x ( ) ( ) = = − 2 2 2 2 ∴ lim ( ) ( ) lim x x x f x g x x e →∞ →∞ = ∞ ∞ ⎡ ⎣ ⎢ ⎤ ⎦ ⎥ 2 2 form = ⋅ = = ∞ = →∞ →∞ lim lim x x x x x e x e 2 2 1 1 0 2 2 [L-Hopital’s rule] But dx x2 1 ∞ ∫ is convergent by p-integral, since p = 2 1. ∴ I e dx x 2 1 2 = − ∞ ∫ is convergent. ∴ I I I = + 1 2 is convergent. Hence, e dx x − ∞ ∫ 2 0 is convergent. M07_ENGINEERING_MATHEMATICS-I _CH07_Part A.indd 16 5/12/2016 9:54:20 AM
  • 630.
    Improper Integrals ■7.17 EXAMPLE 4 Test the convergence of sin . 2 2 0 x x dx ∞ ∫ Solution. Let I x x dx x x dx x x dx = = + ∞ ∞ ∫ ∫ ∫ sin sin sin . 2 2 0 2 2 0 1 2 2 1 But lim x x x → = 0 2 2 1 sin . ∴ 0 is not a point of infinite discontinuity. Hence, sin2 2 0 1 x x dx ∫ is a proper-integral and it has finite value. So, we shall test the convergence of sin , 2 2 1 x x dx ∞ ∫ which is an improper integral. We know sin2 2 2 1 1 x x x x ≤ ∀ ≥ ∴ sin . 2 2 1 2 1 1 x x dx x dx ∞ ∞ ∫ ∫ ≤ But dx x2 1 ∞ ∫ is convergent by p-integral, since p = 2 1 ∴ sin2 2 1 x x dx ∞ ∫ is convergent, by the comparison test Hence, sin2 2 0 x x dx ∞ ∫ is convergent. EXAMPLE 5 Test the convergence of log . x x dx 2 1 ∞ ∫ Solution. Given log . x x dx 2 1 ∞ ∫ Here f x x x x ( ) log , = 2 1 ≥ . Consider g x x ( ) . / = 1 3 2 ∴ f x g x x x x x x ( ) ( ) log log . / = ⋅ = 2 3 2 ∴ lim ( ) ( ) lim log x x f x g x x x →∞ →∞ = ∞ ∞ ⎡ ⎣ ⎢ form ⎤ ⎤ ⎦ ⎥ M07_ENGINEERING_MATHEMATICS-I _CH07_Part A.indd 17 5/12/2016 9:54:29 AM
  • 631.
    7.18 ■ EngineeringMathematics = = = ∞ lim lim x x x x x →∞ → 1 1 2 2 0 [by L’Hopital’s Rule] But g x dx dx x ( ) / 1 3 2 1 ∞ ∞ ∫ ∫ = is convergent by p-integral, since p = 3 2 1. ∴ f x dx x x dx ( ) log 1 2 1 ∞ ∞ ∫ ∫ = is convergent. EXAMPLE 6 Test the convergence of dx x x 1 2 1 1 ∞ ∫ . Solution. Given dx x x 1 2 1 + ∞ ∫ . Here f x x x x x ( ) . = + = + 1 1 1 1 1 2 2 2 Take g x x ( ) = 1 2 ∴ f x g x x x x x ( ) ( ) = + ⋅ = + 1 1 1 1 1 1 2 2 2 2 lim ( ) ( ) lim ( ) x x f x g x x → → ∞ ∞ = + = ≠ 1 1 1 1 0 2 ∴ by the comparison test, f x dx g x dx ( ) ( ) and 1 1 ∞ ∞ ∫ ∫ behave alike. But g x dx x dx ( ) 1 2 1 1 ∞ ∞ ∫ ∫ = is convergent by p-integral, since p = 2 1. ∴ f x dx dx x x ( ) 1 2 1 1 ∞ ∞ ∫ ∫ = + is convergent. EXAMPLE 7 Test the convergence of dx ex 11 0 ∞ ∫ . M07_ENGINEERING_MATHEMATICS-I _CH07_Part A.indd 18 5/12/2016 9:54:34 AM
  • 632.
    Improper Integrals ■7.19 Solution. Given dx ex + ∞ ∫ 1 0 . Here f x ex ( ) . = + 1 1 We know e e x x x +1 0 ≥ ∀ ≥ ⇒ 1 1 1 e e x x + ≤ ∴ 1 1 0 0 e dx dx e x x + ≤ ∞ ∞ ∫ ∫ But dx e e dx x x 0 0 ∞ − ∞ ∫ ∫ = is convergent, since a = 1 0. ∴ dx ex + ∞ ∫ 1 0 is convergent, by comparison test. EXAMPLE 8 Test the convergence of cos . x x dx 1 2 0 1 ∞ ∫ Solution. Given cos . x x dx 1 2 0 + ∞ ∫ Here f x x x ( ) cos = + 1 2 But cos x x x x 1 1 1 0 2 2 + ≤ + ∀ ≥ ∴ cos x x dx x dx 1 1 1 2 0 2 0 + ≤ + ∞ ∞ ∫ ∫ Now dx x x 1 2 0 1 0 + = [ ] ∞ − ∞ ∫ tan = ∞ − = − = − − tan tan . 1 1 0 2 0 2 p p ∴ dx x 1 2 0 + ∞ ∫ is convergent. ⇒ cos x x dx 1 2 0 + ∞ ∫ is convergent. Hence, cos x x dx 1 2 0 + ∞ ∫ is absolutely convergent. (b) Test of convergence of Improper Integrals of the second kind We state the following theorems without proof. Theorem 7.4 Let f(x) be positive and integrable in a x ≤ b and f(x) is unbounded at a. Then f x dx a b ( ) ∫ will converge, if there exists a positive number M such that f x dx M a b ( ) , +∈ ∫ ∀ ∈ where 0 ∈ − b a. M07_ENGINEERING_MATHEMATICS-I _CH07_Part A.indd 19 5/12/2016 9:54:43 AM
  • 633.
    7.20 ■ EngineeringMathematics Comparison Test Theorem 7.5 If f(x) and g(x) be positive and integrable in a x ≤ b and f(x) ≤ g(x) then f x dx a b ( ) ∫ converges if g x dx a b ( ) ∫ converges. Limit form of Comparison Test Theorem 7.6 Let f(x) and g(x) be positive and integrable in a x ≤ b. If lim ( ) ( ) ( ), x a f x g x c → + = ≠ 0 then f x dx a b ( ) ∫ and g x dx a b ( ) ∫ behave alike. That is both converge or diverge. If g x dx a b ( ) ∫ is convergent, then f x dx a b ( ) ∫ is convergent. If g x dx a b ( ) ∫ is divergent, then f x dx a b ( ) ∫ is divergent. Note 1. If lim ( ) ( ) x a f x g x → + = 0 and g x dx a b ( ) ∫ converges, then f x dx a b ( ) ∫ converges. 2. If lim ( ) ( ) ( ) x a f x g x → + = ∞ − ∞ or and g x dx a b ( ) ∫ diverges, then f x dx a b ( ) ∫ diverges. Improper Integrals for Comparison 1. dx x a a b ( ) − ≥ ∫ l l l converges if and diverges if 1 1 2. dx b x a b ( ) . − ∫ m m m converges if and diverges if 1 1 ≥ WORKED EXAMPLES EXAMPLE 1 Test the convergence of the improper integral dx x x 1 3 0 1 1 / ( ) . 1 ∫ Solution. Given dx x x 1 3 0 1 1 / ( ) + ∫ . Here f x x x ( ) ( ) / = + 1 1 1 3 . M07_ENGINEERING_MATHEMATICS-I _CH07_Part A.indd 20 5/12/2016 9:54:51 AM
  • 634.
    Improper Integrals ■7.21 When x = 0, f ( ) 0 1 0 = = ∞ ∴ f(x) is unbounded at x = 0 Take g x x ( ) / = 1 1 3 ∴ lim ( ) ( ) lim ( ) / / x x f x g x x x x → → 0 0 1 3 1 3 1 = + = + = ≠ lim ( ) x x →0 1 1 1 0 ∴ by the comparison test, f x dx ( ) 0 1 ∫ and g x dx ( ) 0 1 ∫ behave alike. But g x dx dx x ( ) / = ∫ ∫ 1 3 0 1 0 1 is convergent, since l = 1 3 1 ∴ f x dx dx x x ( ) ( ) / 0 1 1 3 0 1 1 ∫ ∫ = + is convergent EXAMPLE 2 Test the convergence of the improper integral dx x x 2 3 0 1 1 ( ) . 1 ∫ Solution. Given dx x x 2 3 0 1 1 ( ) + ∫ . Here f x x x ( ) ( ) . = + 1 1 2 3 When x f = = = ∞ 0 0 1 0 , ( ) ∴ f(x) is unbounded when x = 0 Take g x x ( ) = 1 2 ∴ f x g x x x x x ( ) ( ) ( ) ( ) = + ⋅ = + 1 1 1 1 2 3 2 3 ∴ lim ( ) ( ) lim ( ) ( ) x x f x g x x →0 0 3 1 1 1 0 = + = ≠ → ∴ by the limits form of comparison test, f x dx ( ) 0 1 ∫ and g x dx ( ) 0 1 ∫ behave alike. But g x dx x dx ( ) 0 1 2 0 1 1 ∫ ∫ = is divergent, since l = 2 1 ∴ f x dx dx x x ( ) ( ) 0 1 2 3 0 1 1 ∫ ∫ = + is divergent. M07_ENGINEERING_MATHEMATICS-I _CH07_Part A.indd 21 5/12/2016 9:55:18 AM
  • 635.
    7.22 ■ EngineeringMathematics EXAMPLE 3 Test the convergence and evaluate the improper integral x x dx e log . 1 2 ∫ Solution. Given x x dx e log 1 2 ∫ . Here f x x x x e ( ) log , = ≥ 1 When x f x e = = = ∞ 1 1 1 , ( ) log ∴ f(x) is unbounded when x = 1 Take g x x x e ( ) log = 1 ∴ f x g x x x x x x e e ( ) ( ) log log / = ⋅ = 3 2 ∴ lim ( ) ( ) lim ( ) / x x f x g x x → → 1 1 3 2 1 0 = = ≠ ∴ by the limits comparison test, f x dx ( ) 1 2 ∫ and g x dx ( ) 1 2 ∫ behave alike. But g x dx x x dx e ( ) log 1 2 1 2 1 ∫ ∫ = = = ∈ +∈ ∈ +∈ ∫ ∫ lim log lim log → → 0 1 2 0 1 2 1 1 x x dx x x dx e e / = [ ] = − + [ ] = lim log (log ) lim log (log ) log (log ) ∈→ +∈ ∈→ ∈ 0 1 2 0 2 1 e e e e e x l log log log (log ) log log log e e e e e 2 1 2 0 − = − = ∞ ∴ g x dx ( ) 1 2 ∫ is divergent. ∴ f x dx x x dx e ( ) log 1 2 1 2 ∫ ∫ = is divergent. EXAMPLE 4 Test the convergence of the improper integral dx x2 1 1 2 ∫ . Solution. Given dx x2 1 1 − ∫ . Here f x x ( ) . = 1 2 M07_ENGINEERING_MATHEMATICS-I _CH07_Part A.indd 22 5/12/2016 9:55:25 AM
  • 636.
    Improper Integrals ■7.23 When x f x = = = ∞ 0 1 0 , ( ) ∴ f(x) has infinite discontinuity at x = 0. (f(x) is unbounded at x = 0). It is improper integral of second kind. Hence, dx x dx x dx x 2 1 1 2 1 0 2 0 1 − − ∫ ∫ ∫ = + = + ∈→ − − ∈ → + ∫ ∫ lim lim 0 2 1 0 2 1 dx x dx x d d = − ⎡ ⎣ ⎢ ⎤ ⎦ ⎥ + ⎡ ⎣ ⎢ ⎤ ⎦ ⎥ = − ⎡ ⎣ ⎢ ⎤ ∈ − − ∈ + − ∈ − lim lim lim → − → → − 0 1 1 0 1 1 0 1 1 1 x x x d d ⎦ ⎦ ⎥ − ⎡ ⎣ ⎢ ⎤ ⎦ ⎥ − ∈ + 1 0 1 1 lim d d → x = − ∈ − − ⎡ ⎣ ⎢ ⎤ ⎦ ⎥ − + ⎡ ⎣ ⎢ ⎤ ⎦ ⎥ = ∞ + ∞ = ∞ ∈ − + lim ( ) lim → → 0 0 1 1 1 1 d d ∴ the given integral is divergent. ∴ dx x2 1 1 − ∫ is divergent. EXAMPLE 5 Prove that sin ( ) x dx 2 0 ∞ ∫ converge. Solution. Let I x dx = ∞ ∫sin ( ) 2 0 The function is bounded, but the interval is infinite. So, it is improper integral of the first kind. Put t x t = 2 0 ∴ and dt xdx dx dt x dt t = = = 2 2 2 ⇒ When x t x t = = = ∞ = ∞ 0 0 , , and when ∴ I t dt t t t dt = = ∞ ∞ ∫ ∫ sin sin . 2 1 2 0 0 But lim sin lim sin t t t t t t t → + → + = ⎛ ⎝ ⎜ ⎞ ⎠ ⎟ = ⋅ = 0 0 0 1 0 ∴ 0 is not a discontinuity. ∴ I t t dt t t dt I I = + = + ∫ ∫ ∞ 1 2 1 2 0 2 2 1 2 sin sin / / p p M07_ENGINEERING_MATHEMATICS-I _CH07_Part A.indd 23 5/12/2016 9:55:30 AM
  • 637.
    7.24 ■ EngineeringMathematics where I t t dt 1 0 2 1 2 = ∫ sin / p is a proper integral. and I t t dt 2 2 1 2 = ∞ ∫ sin / p is improper integral. = ⋅ − ⎡ ⎣ ⎤ ⎦ − − ⋅ − ⎧ ⎨ ⎪ ⎩ ⎪ ⎫ ⎬ ⎪ ⎭ ⎪ − ∞ − ∞ ∫ 1 2 1 2 1 2 2 3 2 2 t t t t dt / / / / ( cos ) ( cos ) p p = = − ⎧ ⎨ ⎪ ⎩ ⎪ ⎫ ⎬ ⎪ ⎭ ⎪ = − ∞ ∞ ∫ ∫ 1 2 0 1 2 1 4 3 2 2 3 2 2 cos cos / / / / t t dt t t dt p p But cos / / t t t 3 2 3 2 1 ≤ and 1 3 2 2 t dt / / p ∞ ∫ is convergent by p-integral, since p = 3 2 1 ∴ cos / / t t dt 3 2 2 p ∞ ∫ is absolutely convergent and hence, convergent. I2 is convergent and I1 is proper integral. ∴ I is convergent. That is sin ( ) x dx 2 0 ∞ ∫ is convergent. Note Similarly, we can prove cos ( ) x dx 2 0 ∞ ∫ is convergent. These two integrals are called Fresnel’s integrals. They are useful in explaining the concept of light diffraction. EXAMPLE 6 Show that sin x x dx 0 ∞ ∫ converges. Solution. Let I x x dx = ∞ ∫ sin 0 We know lim sin x x x →0 1 = ∴ 0 is a point of continuity. So, it is an improper integral of the first kind. We write I x x dx x x dx I I = + = + ∫ ∫ ∞ sin sin / / 0 2 2 1 2 p p where I x x dx 1 0 2 = ∫ sin / p is a proper integral having a finite value M07_ENGINEERING_MATHEMATICS-I _CH07_Part A.indd 24 5/12/2016 9:55:35 AM
  • 638.
    Improper Integrals ■7.25 and I x x dx 2 2 = ∞ ∫ sin / p is an improper integral. = = − ⎡ ⎣ ⎢ ⎤ ⎦ ⎥ − − − ∞ ∞ ∫ lim sin lim ( cos ) ( cos ) / / b b b b x x dx x x x x → → p p p 2 2 2 1 1 / /2 b dx ∫ ⎧ ⎨ ⎪ ⎩ ⎪ ⎫ ⎬ ⎪ ⎭ ⎪ / lim cos cos 2 2 1 0 b b b b x x dx ∫ = − − ⎛ ⎝ ⎜ ⎞ ⎠ ⎟ − ⎧ ⎨ ⎪ ⎩ ⎪ ∞ → p ⎫ ⎫ ⎬ ⎪ ⎭ ⎪ = − ⎛ ⎝ ⎜ ⎞ ⎠ ⎟ − ⎧ ⎨ ⎪ ⎩ ⎪ ⎫ ⎬ ⎪ ⎭ ⎪ ∞ ∫ lim cos cos / b b b b x x dx → 1 2 2 p Now cos x x x x 2 2 1 2 ≤ ∀ ≥ p ∴ cos x x dx x dx b b 2 2 2 2 1 p p ∫ ∫ ≤ ∴ by the comparison test, cos x x dx b 2 2 p ∫ and 1 2 2 x dx b p ∫ behave alike. But 1 2 2 x dx p/ ∞ ∫ is convergent by p-integral, since p = 2 1 ∴ cos / x x dx 2 2 p ∞ ∫ is convergent. ∴ cos / x x dx 2 2 p ∞ ∫ is absolutely convergent and hence, convergent. ∴ I1 is proper integral and I2 is convergent. ∴ I is convergent. That is sin x x dx 0 ∞ ∫ is convergent. EXAMPLE 7 Show that sin log sin / x x dx e 0 2 p ∫ is convergent and its value is log 2 e . Solution. Let I x x dx e = ∫ sin log sin . / 0 2 p Here f x x x e ( ) sin log sin = As x x → + → 0 , log sin −∞ and so f(x) is unbounded at x = 0. ∴ I x x dx e = ∈→ + ∈ ∫ lim sin log sin . / 0 2 p M07_ENGINEERING_MATHEMATICS-I _CH07_Part A.indd 25 5/12/2016 9:55:42 AM
  • 639.
    7.26 ■ EngineeringMathematics Integrating by parts, I x x x x x dx e = ⋅ − [ ] − ⋅ − ⎧ ⎨ ∈ + ∈ ∈ ∫ lim log sin ( cos ) sin cos ( cos ) / / →0 2 2 1 p p ⎪ ⎪ ⎩ ⎪ ⎫ ⎬ ⎪ ⎭ ⎪ = − [ ] + − ⎧ ⎨ ⎪ ∈ + ∈ ∈ ∫ lim cos log sin sin sin / / →0 2 2 2 1 x x x x dx e p p ⎩ ⎩ ⎪ ⎫ ⎬ ⎪ ⎭ ⎪ = − + ∈ ∈ ⎡ ⎣ ⎢ ⎤ ⎦ ⎥ + − ∈ + lim cos log sin cos log sin sin s →0 2 2 1 p p e e x i in lim cos log sin s / x dx x e ⎛ ⎝ ⎜ ⎞ ⎠ ⎟ ⎧ ⎨ ⎪ ⎩ ⎪ ⎫ ⎬ ⎪ ⎭ ⎪ = + ∈ ∈+ − ∈ ∈ + ∫ p 2 0 0 → cosec i in / x dx ( ) ⎧ ⎨ ⎪ ⎩ ⎪ ⎫ ⎬ ⎪ ⎭ ⎪ ∈ ∫ p 2 = ⎛ ⎝ ⎜ ⎞ ⎠ ⎟ + + ⎡ ⎣ ⎢ ⎤ ⎦ ⎥ + lim cos log sin cos log tan cos / ∈→ ∈ ∈ ∈ ∈ 0 2 2 2 2 2 e e x x p ⎧ ⎧ ⎨ ⎩ ⎫ ⎬ ⎭ = + + ⎛ ⎝ ⎜ ⎞ ⎠ ⎟ + ⎧ ⎨ ⎩ + lim cos log log sin log cos log ∈→ ∈ ∈ ∈ 0 2 2 2 e e e et tan cos log tan cos lim log cos cos p p 4 2 2 2 0 + ⎡ ⎣ ⎢ − − ⎤ ⎦ ⎥ ⎫ ⎬ ⎭ = ⋅ + e e ∈ ∈ ∈+ ∈→ ∈ ∈ ∈ ∈ ∈ + ∈ ∈ ∈ log sin cos log cos log sin cos cos e e e 2 2 0 2 2 + − − ⎡ ⎣ ⎢ ⎢ ⎢ ⎤ ⎦ ⎥ ⎥ ⎥ = − ∈+ ∈ ∈ + ∈ ∈ { − ∈ + lim (log )cos cos log sin cos log cos log sin →0 2 1 2 2 e e e e ∈ ∈ − ∈ ⎛ ⎝ ⎜ ⎞ ⎠ ⎟ ⎫ ⎬ ⎭ = − ∈− − ∈ ∈ + 2 2 2 1 1 0 log cos lim (log )cos ( cos )log si e e e → n n cos log cos log cos ∈ { + ∈ ∈ + ∈ } 2 2 2 e e But ( cos )log sin sin log sin 1 2 2 2 2 2 − ∈ ∈ = ∈ ∈ e e ∴ lim ( cos )log sin lim log , sin ∈ + − ∈ ∈ = = ∈ → → → 0 0 2 1 2 2 2 0 e t e t t t where as 0 ∈→ = ∞ ∞ ⎛ ⎝ ⎜ ⎞ ⎠ ⎟ lim log t et t →0 2 2 1 form = − = − = lim lim ( ) t t t t t → → 0 3 0 2 2 2 0 [L-Hopital’s rule] and log log as 0 e e e cos cos log ∈ = = 2 0 1 0 → ∈→ ∴ I e e e e e e = − = − = (log )cos log log log . 2 1 0 2 2 M07_ENGINEERING_MATHEMATICS-I _CH07_Part A.indd 26 5/20/2016 11:19:14 AM
  • 640.
    Improper Integrals ■7.27 EXERCISE 7.2 Test the convergence of the following improper integrals. 1. log x x dx 3 1 ∞ ∫ 2. dx x x + ∞ ∫ sin2 1 3. dx x ex 2 1 1 ( ) + ∞ ∫ 4. x x dx + ∞ ∫ 1 3 1 5. sin x x dx 3 1 ∞ ∫ 6. cos x x dx 1 3 0 + ∞ ∫ 7. cos mx x dx 1 2 0 + ∞ ∫ 8. 2 2 1 1 + + ⎡ ⎣ ⎢ ⎤ ⎦ ⎥ ∞ ∫ cos cos x x dx x x x Hint: 9. tan ( ) / 1 1 1 1 5 2 x x x dx g x x + = ⎡ ⎣ ⎢ ⎤ ⎦ ⎥ ∞ ∫ Hint: compare with 10. sin x x dx 2 1 ∞ ∫ 11. dx x x x g x x ( )( ) ( ) / − − = ⎡ ⎣ ⎢ ⎤ ⎦ ⎥ ∞ ∫ 1 2 1 3 3 2 Hint: compare with 12. dx x x ( ) 1 0 1 − ∫ 13. sin x x dx 3 0 p ∫ 14. dx x x 1 3 2 0 1 1 / ( ) + ∫ 15. dx x cos / 0 2 p ∫ 16. dx x x I dx x x dx x x 3 1 1 3 1 0 3 0 1 − − ∫ ∫ ∫ = + ⎡ ⎣ ⎢ ⎤ Hint: both are divergent. ⎦ ⎦ ⎥ 17. sin / x x dx n 0 2 p ∫ 18. log x x dx 2 0 2 − ∫ ANSWERS TO EXERCISE 7.2 1. convergent 2. divergent 3. convergent 4. divergent 5. convergent 6. convergent 7. convergent 8. divergent 9. convergent 10. convergent 11. convergent 12. convergent 13. convergent 14. convergent 15. divergent 16. divergent 17. convergent if n 2 18. convergent 7.2 Evaluation of Integral by Leibnitz’s Rule In engineering applications we come across integrals involving a parameter such as x x dx e a − ∫ 1 0 1 log , where a ≥ 0. The evaluation of such integrals is difficult by the usual methods of integration. Leibnitz’s rule changes this integral, by differentiation, into a simpler integral which can be easily evaluated. M07_ENGINEERING_MATHEMATICS-I _CH07_Part A.indd 27 5/20/2016 11:19:38 AM
  • 641.
    7.28 ■ EngineeringMathematics 7.2.1 Leibnitz’s Rule—Differentiation Under Integral Sign for Variable limits Theorem 7.7 If f(x, a), a(a) and b(a) are differentiable functions of a, where a is a parameter and ∂ ∂ f a is continuous, then d d f x dx f x dx f b a b a b a a a a a a a a a ( , ) ( , ) [ ( ) ( ) ( ) ( ) ( ) ∫ ∫ ⎧ ⎨ ⎪ ⎩ ⎪ ⎫ ⎬ ⎪ ⎭ ⎪ = ∂ + ∂ , , ] [ ( ), ] . a a a a a db d f a da d − The proof of the theorem is beyond the scope of the book. Corollary 1: If the limits a and b are constants (independent of the parameter a), then the Leibnitz’s rule becomes d d f x dx f x dx a b a b a a a a ( , ) ( , ) ∫ ∫ ⎧ ⎨ ⎪ ⎩ ⎪ ⎫ ⎬ ⎪ ⎭ ⎪ = ∂ ∂ Corollary 2: If the limits are functions of a, a(a) and b(a), but f is independent of a, then the Leibnitz’s rule becomes d d f x dx f b db d f a da d a b a a a a a a a ( ) [ ( )] [ ( )] ( ) ( ) ∫ ⎧ ⎨ ⎪ ⎩ ⎪ ⎫ ⎬ ⎪ ⎭ ⎪ = − Note 1. When f x dx a b ( , ) ( ) ( ) a a a ∫ is integrated and evaluated, it will be ultimately a function of a, say g(a). So, differentiation of the integral w.r.to a is ordinary derivative dg da . But f(x, a) is a function two variables x and a. So, derivative of f w.r.to a is partial derivative ∂ ∂ f a . 2. When f is independent of a, it is a function of x alone and so ∂ ∂ = f a 0. So, corollary 2 does not contain integral on the R.H.S. 3. Leibnitz’s rule can be used even if one of the limits of integration is infinite. That is, the integral is of the form f x dx a ( , ) a ∞ ∫ or f x dx a ( , ) . ( ) a a ∞ ∫ WORKED EXAMPLES EXAMPLE 1 Evaluate x x dx e a 2 a 1 0 0 1 log , , ≥ ∫ using Leibnitz’s rule. Solution. Let F x x dx e ( ) log a a = − ∫ 1 0 1 (1) M07_ENGINEERING_MATHEMATICS-I _CH07_Part A.indd 28 5/20/2016 11:19:45 AM
  • 642.
    Improper Integrals ■7.29 [When the integral is evaluated, it will be a function of a]. Differentiating w.r.to a, using corollary (1) of Leibnitz’s rule, we get dF d x x dx x x dx x e e e a a a a a = ∂ ∂ − ⎛ ⎝ ⎜ ⎞ ⎠ ⎟ = ⋅ ∂ ∂ − = ∫ ∫ 0 1 0 1 0 1 1 1 1 log log ( ) log 1 1 0 1 1 0 1 1 1 1 ∫ ∫ ⋅ = = ⎡ ⎣ ⎢ ⎤ ⎦ ⎥ = x x dx x dx x e a a a a a log + + + { d dx a a a x x e [ ] log = ⎡ ⎣ ⎢ ⎤ ⎦ ⎥ ⇒ dF da a = 1 1 + Integrating w.r.to a, we get F d C e ( ) log ( ) a a a a = + = + + ∫ 1 1 1 (2) ∴ F C F C e ( ) log ( ) 0 1 0 = + = ⇒ Put a = 0 in (1), we get F x x dx x dx C e e ( ) log log 0 1 1 1 0 0 0 0 1 0 1 = − = − = = ∫ ∫ ⇒ ∴ F e ( ) log ( ) a a = +1 ⇒ x x dx e a a − = + ∫ 1 1 0 1 log log ( ) EXAMPLE 2 Evaluate e x x dx x 2a a sin , 0 0 ∞ ∫ ≥ and hence, show that sin . x x dx 0 2 ∞ ∫ 5 p Solution. Let F e x x dx x ( ) sin a a = − ∞ ∫ 0 (1) Differentiating w.r.to a, using cor (1) of Leibnitz’s rule, we get dF d e x x dx x x e dx x x a a a a a = ∂ ⎛ ⎝ ⎜ ⎞ ⎠ ⎟ = ∂ ∂ ( ) ∞ − ∞ − ∫ ∫ ∂ 0 0 sin sin [{ the limits are constants] = − = − − ∞ − ∞ ∫ ∫ sin ( ) sin x x e x dx e xdx x x a a 0 0 M07_ENGINEERING_MATHEMATICS-I _CH07_Part A.indd 29 5/20/2016 11:19:52 AM
  • 643.
    7.30 ■ EngineeringMathematics = − + − − ( ) ⎡ ⎣ ⎢ ⎤ ⎦ ⎥ − ∞ e x x x a a a 2 0 1 sin cos { e bxdx e a b a bx b bx ax ax sin [ sin cos ] ∫ = + − ⎡ ⎣ ⎢ ⎤ ⎦ ⎥ 2 2 ∴ = + + ⎡ ⎣ ⎤ ⎦ = + − = − + − ∞ 1 1 1 1 0 1 1 1 2 0 2 2 a a a a a e x x x ( sin cos ) [ ] Integrating w.r.to a, we get F d ( ) a a a = − + ∫ 2 1 ⇒ F C ( ) tan a a = − + −1 Put a p = ∞ ∴ ∞ = − ∞ + = − + − , ( ) tan F C C 1 2 From (1), we get, F e x x dx dx ( ) sin ∞ = = = −∞ ∞ ∞ ∫ ∫ 0 0 0 0 ∴ 0 2 2 = − + = p p C C ⇒ ∴ F( ) tan a p a = − − 2 1 ⇒ e x x dx x − ∞ − ∫ = − a p a 0 1 2 sin tan = cot−1 a { tan cot − − ⎡ ⎣ ⎢ ⎤ ⎦ ⎥ 1 1 2 a a p + = (2) To deduce the value of sin , x x dx 0 0 ∞ ∫ = put in (2) a . ∴ sin tan x x dx 0 1 2 0 2 ∞ − ∫ = − = p p EXAMPLE 3 Prove that d da x a dx a a a a tan tan log ( ), 2 2 5 2 1 1 0 1 2 2 2 1 2 1 ∫ ⎛ ⎝ ⎜ ⎞ ⎠ ⎟ using Leibnitz’s rule. Hence, evaluate tan21 0 2 x a dx a ∫ . Solution. Let F a x a dx a ( ) tan = − ∫ 1 0 2 (1) M07_ENGINEERING_MATHEMATICS-I _CH07_Part A.indd 30 5/20/2016 11:20:00 AM
  • 644.
    Improper Integrals ■7.31 Differentiating w.r.to parameter a using Leibnitz’s rule, we get dF da a x a dx a a a x a x a a = ∂ ∂ ⎛ ⎝ ⎜ ⎞ ⎠ ⎟ + ⎛ ⎝ ⎜ ⎞ ⎠ ⎟ ⋅ − = + − − − ∫ tan tan 1 0 1 2 2 2 2 2 0 1 1 2 2 0 1 2 2 0 1 2 2 2 2 2 1 2 ⎛ ⎝ ⎜ ⎞ ⎠ ⎟ + = − + + = − + ∫ ∫ − − dx a a x a x dx a a a a a e tan tan log ( x x a a f x f x dx f x a e 2 0 1 2 2 ) tan ( ) ( ) log ( ) ⎡ ⎣ ⎤ ⎦ + ′ = ⎡ ⎣ ⎢ ⎤ ⎦ ⎥ − ∫ { = − + − + = − + + − − 1 2 2 1 2 1 2 2 4 2 1 2 2 2 [log ( ) log ] tan log ( ) tan e e e a a a a a a a a a 1 1 1 2 2 1 2 1 a a a a e = − + − tan log ( ) Integrating w.r.to a, we get F a a a da a da a a a a da e ( ) tan log ( ) tan = − + = ⋅ − + ⋅ ⎡ − − ∫ ∫ ∫ 2 1 2 1 2 2 1 1 2 1 2 1 2 2 2 ⎣ ⎣ ⎢ ⎤ ⎦ ⎥ − + ⋅ − + ⋅ ⋅ ⎡ ⎣ ⎢ ⎤ ⎦ ⎥ = − + ∫ − 1 2 1 1 1 2 1 2 2 2 1 2 2 log ( ) tan e a a a a a da a a a a da a a a a a da a a a a C e e ∫ ∫ − + + + = − + + − 2 1 1 2 1 2 2 2 2 1 2 log ( ) tan log ( ) Putting a = 0, we get F C C ( ) 0 0 = + = Putting a = 0 in (1), we get F(0) = 0 ∴ C = 0 ∴ F a a a a a e ( ) tan log ( ) = − + − 2 1 2 2 1 ⇒ tan tan log ( ) − − ∫ = − + 1 0 2 1 2 2 2 1 x a dx a a a a a e EXAMPLE 4 Let I e dx x a x 5 2 2 2 2 0 ⎛ ⎝ ⎜ ⎞ ⎠ ⎟ ∞ ∫ , Prove that dI dx I 522 . Hence, find the value of I. Solution. Given I e dx e e dx x a x x a x = = − − ⎛ ⎝ ⎜ ⎞ ⎠ ⎟ ∞ − − ∞ ∫ ∫ 2 2 2 2 2 0 0 (1) M07_ENGINEERING_MATHEMATICS-I _CH07_Part A.indd 31 5/20/2016 11:20:11 AM
  • 645.
    7.32 ■ EngineeringMathematics Differentiating (1) w.r.to a using Leibnitz’s rule, we get dI da a e e dx e a e dx e e x a x x a x x = ∂ ∂ ⋅ ( ) = ∂ ∂ ⎛ ⎝ ⎜ ⎞ ⎠ ⎟ = ∞ − − − ∞ − − − ∫ ∫ 0 0 2 2 2 2 2 2 2 a a x x a x a x dx a e e x dx 2 2 2 2 2 2 2 2 0 2 0 − ⎛ ⎝ ⎜ ⎞ ⎠ ⎟ = − ⎛ ⎝ ⎜ ⎜ ⎞ ⎠ ⎟ ⎟ ∞ − ∞ ∫ ∫ − Put y a x x a y dx a y dy = = = − ⇒ ∴ 2 When x y x y = = ∞ = ∞ = 0 0 , , and when ∴ dI da a e e y a a y dy a y y = − ⎛ ⎝ ⎜ ⎞ ⎠ ⎟ − ⎛ ⎝ ⎜ ⎞ ⎠ ⎟ − − ∞ ∫ 2 2 2 2 2 2 2 0 ⇒ dI da e e dy y a y = − ∞ ∫ 2 2 2 2 0 − = − = − − − ∞ ∫ 2 2 2 2 0 e e dx I x a x ( ) / ∴ dI I da = −2 Integrating, we get ⇒ dI I da ∫ ∫ = −2 ⇒ log I a C = − + 2 ⇒ I e a C = − + 2 e e C a = ⋅ −2 = Ke K e a C = −2 , where Putting then a I Ke K = = = 0 0 , Putting a = 0 in (1), then I e dx x ( ) 0 2 2 0 = = − ∞ ∫ p ⇒ K = p 2 [Result] ∴ I e a = − p 2 2 EXAMPLE 5 Prove that tan ( ) log ( ), . 2 1 5 p 1 1 2 0 1 2 1 0 ax x x dx a a ∞ ∫ ≥ Solution. Let F a ax x x dx ( ) tan ( ) = + − ∞ ∫ 1 2 0 1 (1) Differentiating (1) w.r.to a, using Leibnitz’s rule, we get dF da a ax x x dx x x a ax d = ∂ ∂ + ⎛ ⎝ ⎜ ⎞ ⎠ ⎟ = + ∂ ∂ ∞ − ∞ − ∫ ∫ 0 1 2 2 0 1 1 1 1 tan ( ) ( ) (tan ) x x x x a x xdx x a x dx = + + ⋅ = + + ∞ ∞ ∫ ∫ 1 1 1 1 1 1 1 2 0 2 2 2 2 2 0 ( ) ( )( ) M07_ENGINEERING_MATHEMATICS-I _CH07_Part A.indd 32 5/20/2016 11:20:25 AM
  • 646.
    Improper Integrals ■7.33 We shall put 1 1 1 2 2 2 ( )( ) + + x a x into partial fractions. Since it is a function of x2 , treating x2 as u, we write the special partial fraction 1 1 1 1 1 2 2 ( )( ) ( ) ( ) + + = + + + u a u A u B a u ⇒ 1 1 1 2 = + + + A a u B u ( ) ( ) Put u A a A a = − = − = − 1 1 1 1 1 2 2 , ( ) then ⇒ Put u a B a B a a B a a = − = − ⎛ ⎝ ⎜ ⎞ ⎠ ⎟ − ⎛ ⎝ ⎜ ⎞ ⎠ ⎟ = = − − 1 1 1 1 1 1 1 2 2 2 2 2 2 , then ⇒ ⇒ ∴ 1 1 1 1 1 1 1 1 1 1 2 2 2 2 2 ( )( ) + + = − ⋅ + − − ⋅ + u a u a u a a a u ⇒ 1 1 1 1 1 1 1 1 1 1 2 2 2 2 2 2 2 2 2 ( )( ) ( ) + + = − ⋅ + − − ⋅ + x a x a x a a a x ∴ dF da a x a a a x dx = − ⋅ + − − ⋅ + ⎡ ⎣ ⎢ ⎤ ⎦ ⎥ ∞ ∫ 1 1 1 1 1 1 1 2 2 2 2 2 2 0 ( ) = − + − − + = − [ ] − − ∞ ∞ − ∞ ∫ ∫ 1 1 1 1 1 1 1 1 1 2 2 2 2 2 2 0 0 2 1 0 2 a dx x a a a x dx a x a ( ) tan ( a a dx a a x 2 2 2 2 0 1 ) + ⎛ ⎝ ⎜ ⎞ ⎠ ⎟ ∞ ∫ = − ∞ − [ ]− − ⎡ ⎣ ⎢ ⎤ ⎦ ⎥ = − − − − 1 1 0 1 1 1 1 1 1 1 2 2 1 1 2 1 0 2 a a a x a a tan tan ( ) tan / / ∞ p − − ⎡ ⎣ ⎢ ⎤ ⎦ ⎥ − − ∞ − [ ] = − − − − ⎡ ⎣ ⎢ ⎤ − − 0 1 0 1 1 2 1 2 0 2 1 1 2 2 a a a a a ( ) tan tan ( ) ( ) p p ⎦ ⎦ ⎥ = − − = + p p 2 1 1 2 1 2 ( ) ( ) ( ) a a a M07_ENGINEERING_MATHEMATICS-I _CH07_Part A.indd 33 5/20/2016 11:20:33 AM
  • 647.
    7.34 ■ EngineeringMathematics ∴ dF da a = + p 2 1 ( ) Integrating w.r.to a, we get F a da a a C e ( ) log ( ) = + = + + ∫ p p 2 1 2 1 Put a = 0, then F C C C ( ) log 0 2 1 0 = + = + = p But from (1) F x x dx C ( ) tan ( ) 0 0 1 0 0 1 2 0 = + = = − ∞ ∫ [ ∴ F a a a e ( ) log ( ), = + p 2 1 0 ≥ ⇒ tan ( ) log ( ), − ∞ + = + ∫ 1 2 0 1 2 1 0 ax x x dx a a e p ≥ EXAMPLE 6 Evaluate log ( ) , e a ax x dx a 1 1 0 2 0 1 1 ∫ ≥ and hence, show that log ( ) log . e e x x dx 1 1 8 2 2 0 1 1 1 5 p ∫ Solution. Let F a ax x dx e a ( ) log ( ) = + + ∫ 1 1 2 0 (1) Differentiating (1) w.r.to a, we get by Leibnitz’s rule dF da a ax x dx a a e a e = ∂ ∂ + + ⎛ ⎝ ⎜ ⎞ ⎠ ⎟ + + + ⋅ − ∫ log ( ) log ( ) log 1 1 1 1 1 1 2 0 2 2 ⇒ = + ∂ ∂ + ⎛ ⎝ ⎜ ⎞ ⎠ ⎟ + + + − = + ⋅ + ∫ 1 1 1 1 1 0 1 1 1 1 2 0 2 2 2 x a ax dx a a x a e a e log ( ) log ( ) x x xdx a a dF da x x ax dx a a e a e ⋅ + + + = + + ⋅ + + ∫ ∫ 0 2 2 2 0 2 1 1 1 1 1 log ( ) ( )( ) log ( ) ) 1 2 + a To evaluate this integral, we put x x ax ( )( ) 1 1 2 + + into partial fractions. Let x x ax Ax B x C ax ( )( ) 1 1 1 1 2 2 + + = + + + + ∴ x Ax B ax C x = + + + + ( )( ) ( ) 1 1 2 M07_ENGINEERING_MATHEMATICS-I _CH07_Part A.indd 34 5/20/2016 11:20:39 AM
  • 648.
    Improper Integrals ■7.35 Put then x a a C a C a a a = − − = + ⎛ ⎝ ⎜ ⎞ ⎠ ⎟ + = − 1 1 1 1 1 1 2 2 2 , ( ) ⇒ ⇒ C a a = − + 1 2 Equating coefficients of x2 , we get 0 1 1 1 1 2 2 = ⇒ Aa C A C a a a a a + = − = − − + ⎛ ⎝ ⎜ ⎞ ⎠ ⎟ = + Equating constants, we get 0 1 2 = + = − = + B C B C a a ⇒ ∴ x x ax a x a a x a a ax ( )( ) ( ) ( ) ( ) 1 1 1 1 1 1 1 1 1 2 2 2 2 2 + + = + + + + − + ⋅ + = + ⋅ + + − + ⋅ + = + ⋅ + + + 1 1 1 1 1 1 1 1 1 1 2 2 2 2 2 2 ( ) ( ) ( ) ( ) ( ) ( ) ( ) a x a x a a ax a x x a a ⋅ ⋅ + − + ⋅ + 1 1 1 1 1 2 2 ( ) ( ) ( ) x a a ax ∴ xdx x ax a xdx x a a dx x a a a ( )( ) ( ) ( ) ( ) ( ) 1 1 1 1 1 1 1 2 0 2 2 0 2 2 0 + + = + + + + + − ∫ ∫ ∫ a a a dx ax a ( ) ( ) 1 1 2 0 + + ∫ = + + ⎡ ⎣ ⎤ ⎦ + + [ ] − + − 1 1 1 2 1 1 1 1 2 2 0 2 1 0 2 ( ) log ( ) ( ) tan ( ) log a x a a x a a a e a a e ( ( ) ( ) log ( ) log ( ) tan tan 1 1 2 1 1 1 1 0 2 2 2 1 + [ ] = + + − ⎡ ⎣ ⎤ ⎦ + + − − ax a a a a a a e e − − [ ] − + + − ⎡ ⎣ ⎤ ⎦ 1 2 2 0 1 1 1 1 ( ) log ( ) log a a e e ∴ = − + + + + = − + + − 1 2 1 1 1 1 2 1 1 2 2 1 2 2 2 ( ) log ( ) tan ( ) ( ) log ( ) a a a a a dF da a a e e + + + + + + = + + + − − a a a a a a a a e e tan ( ) ( ) log ( ) log ( ) ( ) tan 1 2 2 2 2 2 1 1 1 1 1 1 2 1 a a a ( ) 1 2 + Integrating w.r.to a, we get F a a a da a a a da a e e ( ) log ( ) ( ) tan ( ) log ( ) = + + + + = + ⋅ ∫ ∫ − 1 2 1 1 1 1 2 1 1 2 2 1 2 2 ( ( ) tan ( ) 1 1 2 1 2 + ⎡ ⎣ ⎢ ⎤ ⎦ ⎥ + + ∫ ∫ − a da a a a da M07_ENGINEERING_MATHEMATICS-I _CH07_Part A.indd 35 5/20/2016 11:20:45 AM
  • 649.
    7.36 ■ EngineeringMathematics = + ⋅ − + ⋅ ⎡ ⎣ ⎢ ⎤ ⎦ ⎥ + + − − − ∫ 1 2 1 1 1 2 1 2 1 2 1 1 2 log ( ) tan tan tan ( ) e a a a a a da a a a d da a a a a a da a a a da e ∫ ∫ ∫ = + ⋅ − + + + − − − 1 2 1 1 1 2 1 1 2 1 2 log ( ) tan tan tan ⇒ F a a a C e ( ) log ( ) tan = + ⋅ + − 1 2 1 2 1 Put a = 0, then F C C e ( ) log ( ) tan 0 1 2 1 0 0 1 = + ⋅ + = − But from (1), we get F C ( ) 0 0 0 = = [ Hence, F a a a e ( ) log ( ) tan = + ⋅ − 1 2 1 2 1 ⇒ log ( ) log ( ) tan e a e ax x dx a a 1 1 1 2 1 2 0 2 1 + + = + ⋅ ∫ − (2) To deduce, put a 5 1 in (2). ∴ log ( ) log tan log log e e e e x x dx 1 1 1 2 2 1 1 2 2 4 8 2 2 0 1 1 + + = ⋅ = ⋅ = ∫ − p p EXAMPLE 7 Prove that e x e dx a a x ax e 2 2 2 5 1 ( ) log ( ), . 1 1 0 0 ∞ ∫ ≥ Solution. Let F a e x e dx x ax ( ) ( ) = − − − ∞ ∫ 1 0 (1) Differentiating (1) w.r.to a, we get dF da a e x e dx e x a e dx e x x ax x ax x = ∂ ∂ − ⎛ ⎝ ⎜ ⎞ ⎠ ⎟ = ∂ ∂ − = − − ∞ − − ∞ − ∫ ∫ ( ) ( ) ( 1 1 0 0 − − − − ∞ ∫ e x dx ax )( ) 0 = ⋅ = − − ∞ − + ∞ ∫ ∫ e e dx e dx x ax a x ( ) 0 1 0 = − + ⎡ ⎣ ⎢ ⎤ ⎦ ⎥ = − + − = + − + ∞ −∞ e a a e e a a x ( ) ( ) [ ] 1 0 0 1 1 1 1 1 M07_ENGINEERING_MATHEMATICS-I _CH07_Part A.indd 36 5/20/2016 11:20:51 AM
  • 650.
    Improper Integrals ■7.37 Integrating w.r.to a, ⇒ F a da a a C e ( ) log ( ) = + = + + ∫1 1 Put a = 0, then F C C e ( ) log 0 1 = + = But from (1), we get F e x dx C x ( ) ( ) 0 1 1 0 0 0 = − = = − ∞ ∫ [ Hence, F a a e ( ) log ( ) = + 1 ⇒ e x e dx a x ax e − − ∞ − = + ∫ ( ) log ( ) 1 1 0 EXAMPLE 8 Evaluate log( cos ) , . 1 0 1 0 1 a a p x dx ∫ Solution. Let F x dx ( ) log( cos ) a a p = + ∫ 1 0 (1) Differentiating w.r.to a, by Leibnitz’s rule, we get dF d x dx x x dx x a a a a a a a p p = ∂ ∂ + = + ⋅ = + ∫ ∫ 0 0 1 1 1 1 1 [log ( cos )] cos cos cos co os cos cos cos x dx x x dx x dx 0 0 0 1 1 1 1 1 1 1 1 p p p a a a a a ∫ ∫ ∫ = + − + = − + ⎡ ⎣ ⎢ ⎤ ⎦ ⎥ ∴ = − + = − + ∫ ∫ ∫ 1 1 1 1 1 1 1 1 0 0 0 0 a a a a a a p p p p dx x dx x x dx cos [ ] cos x dx p a a a p = − + ∫ 1 1 1 0 cos (2) Let I x dx = + ∫ 1 1 0 a p cos Put t x = tan . 2 dt x dx ⋅ sec 2 1 2 2 ∴ = ⇒ dx dt x dt x dt t = = + = + 2 2 2 1 2 2 1 2 2 2 sec tan M07_ENGINEERING_MATHEMATICS-I _CH07_Part A.indd 37 5/20/2016 11:21:03 AM
  • 651.
    7.38 ■ EngineeringMathematics When x = 0, t = tan 0 = 0 and when x = p, t = = ∞ tan p 2 ∴ I t t dt t = + − + ⋅ + ∞ ∫ 1 1 1 1 2 1 2 2 2 0 a = = = 2 1 1 2 1 1 2 1 1 1 2 2 0 2 0 2 dt t t dt t dt t + + − + + − − + − + ⎡ ⎣ ⎢ ∞ ∞ ∫ ∫ a a a a a a ( ) ( ) ( ) ⎤ ⎤ ⎦ ⎥ ∞ ∫ 0 { cos tan tan x x x = − + 1 2 1 2 2 2 ⎡ ⎣ ⎢ ⎢ ⎢ ⎤ ⎦ ⎥ ⎥ ⎥ ∴ = − ⋅ + − + − ⎡ ⎣ ⎢ ⎢ ⎢ ⎤ ⎦ ⎥ ⎥ ⎥ − + − ∞ 2 1 1 1 1 1 1 0 1 2 1 1 1 0 a a a a a a a a tan , ( )( ) tan t = − − − ∞ − [ ] − ⋅ − = − ⋅ − 1 1 2 2 2 0 2 1 2 1 1 1 tan = = a p p a a p a a p a dF d Integrating w.r.to a, we get F d d d d ( ) log a p a p a a a p a a p a a a p a p a a a = − − ⎡ ⎣ ⎢ ⎤ ⎦ ⎥ = − − = − − ∫ ∫ ∫ ∫ 1 1 1 2 2 2 Let I d 1 2 1 = − ∫ a a a Put a u a u u = = sin cos ∴d d I d d d 1 2 1 = − = = ∫ ∫ ∫ cos sin sin cos sin cos sin u u u u u u u u u u = = − + ∫cosec cosec u u u u d e log ( cot ) = − + ⎡ ⎣ ⎢ ⎤ ⎦ ⎥ = − + ⎡ ⎣ ⎢ ⎤ ⎦ ⎥ = − + − log sin cos sin log cos sin log e e e 1 1 1 1 u u u u u a a a 2 ⎡ ⎣ ⎢ ⎤ ⎦ ⎥ M07_ENGINEERING_MATHEMATICS-I _CH07_Part A.indd 38 5/20/2016 11:21:14 AM
  • 652.
    Improper Integrals ■7.39 ∴ F C e e e e ( ) log log log log a p a p a a p a a a = + − ⎡ ⎣ ⎢ ⎤ ⎦ ⎥ + + − ⎡ ⎣ ⎢ ⎤ ⎦ ⎥ ⎡ + = + 1 1 1 1 2 2 ⎣ ⎣ ⎢ ⎤ ⎦ ⎥ + ⋅ + − ⎡ ⎣ ⎢ ⎤ ⎦ ⎥ + + + C C C e e = = − p a a a p a log ( ) log ( ) 1 1 1 1 2 2 Put a = 0, then F C e ( ) log 0 2 = + p From (1), we get F dx ( ) log 0 1 0 0 = = ∫ p ∴ p p log log e e C C 2 0 2 + = = − ⇒ ∴ F e e e ( ) log ( ) log log a p a p p a = + − − = + − ⎡ ⎣ ⎢ ⎤ ⎦ ⎥ 1 1 2 1 1 2 2 2 ∴ log ( cos ) log 1 1 1 2 0 2 + = + − ⎡ ⎣ ⎢ ⎤ ⎦ ⎥ ∫ a p a p x dx e EXAMPLE 9 Show that log ( sin ) sin , . / e y x x dx y y 1 1 1 0 2 2 0 2 1 5p 1 2 p ⎡ ⎣ ⎤ ⎦ ∫ ≥ Solution. Let F y y x x dx e ( ) log ( sin ) sin / = + ∫ 1 2 2 0 2 p (1) Differentiating (1) w.r.to y, using Leibnitz’s rule, we get dF dy y y x x dx x y y = ∂ ∂ + ⎡ ⎣ ⎢ ⎤ ⎦ ⎥ = ∂ ∂ + ∫ log ( sin ) sin sin log ( si / 1 1 1 2 2 0 2 2 p n n ) / 2 0 2 x dx ( ) ⎡ ⎣ ⎢ ⎤ ⎦ ⎥ ∫ p = ⋅ + ⋅ ⎡ ⎣ ⎢ ⎤ ⎦ ⎥ = + ⎡ ⎣ ⎢ ⎤ ⎦ ⎥ ∫ 1 1 1 1 1 2 2 2 0 2 2 0 2 sin ( sin ) sin sin / / x y x x dx y x p p ∫ ∫ ∫ = + ⎡ ⎣ ⎢ ⎤ ⎦ ⎥ dx x x y x dx sec sec tan [ / 2 2 2 0 2 p Multiplying Nr and Dr by y sec ] sec tan tan sec ( )tan / 2 2 2 2 0 2 2 1 1 1 x x x y x dx x y = + + ⎡ ⎣ ⎢ ⎤ ⎦ ⎥ = + + ∫ p 2 2 0 2 x dx ⎡ ⎣ ⎢ ⎤ ⎦ ⎥ ∫ p/ M07_ENGINEERING_MATHEMATICS-I _CH07_Part A.indd 39 5/20/2016 11:21:26 AM
  • 653.
    7.40 ■ EngineeringMathematics Put t x dt xdx = = tan . sec [ 2 When and when x t x t = = = = = = ∞ 0 0 0 2 2 , tan , tan p p ∴ dF dy dt y t y dt y t = + + = + + + ∞ ∞ ∫ ∫ 1 1 1 1 1 1 2 0 2 0 ( ) ( ) ( ) = + ⋅ + + ⎛ ⎝ ⎜ ⎜ ⎞ ⎠ ⎟ ⎟ ⎡ ⎣ ⎢ ⎢ ⎢ ⎤ ⎦ ⎥ ⎥ ⎥ = + ∞ − ∞ − 1 1 1 1 1 1 1 1 1 1 0 1 ( ) ( ) tan ( ) tan y y t y y − − [ ] = + − ⎡ ⎣ ⎢ ⎤ ⎦ ⎥ = + − tan 1 0 1 1 2 0 2 1 y y p p Integrating w.r.to y, we get F y y dy y dy y C y C ( ) ( ) ( ) / / = + ⋅ = + = + + = + + ∫ ∫ − p p p p 2 1 2 1 2 1 1 2 1 1 2 1 2 / Put y = 0, then F C ( ) 0 = + p But from (1), F x dx ( ) log sin / 0 1 0 2 0 2 = = ∫ p ∴ p p + = = − C C 0 ⇒ ∴ F y y ( ) = + p p 1 − y = + ⎡ ⎣ ⎤ ⎦ p 1 1 − ∴ log ( sin ) sin / 1 1 1 2 2 0 2 + = + − { } ∫ y x x dx y p p EXAMPLE 10 Differentiating x dx m 0 1 ∫ w.r.to m successively, evaluate x x dx m e n (log ) 0 1 ∫ , where n N ∈ . Solution. Let F m x dx m ( ) = ∫ 0 1 Differentiating w.r.to m, using Leibnitz’s rule, we get dF dm m x dx x x dx m m e = ∂ ∂ = ∫ ∫ 0 1 0 1 ( ) log d dx a a a x x e = ⎡ ⎣ ⎢ ⎤ ⎦ ⎥ ( ) log { M07_ENGINEERING_MATHEMATICS-I _CH07_Part A.indd 40 5/20/2016 11:21:54 AM
  • 654.
    Improper Integrals ■7.41 Differentiating again w.r.to m, using Leibnitz’s rule, we get d F dm m x x dx x m x dx x x x dx m e e m e m e 2 2 0 1 0 1 = ∂ ∂ = ∂ ∂ = ⋅ ∫ ∫ ( log ) log ( ) log log 0 0 1 2 0 1 ∫ ∫ = x x dx m e (log ) Proceeding in the same way, differentiating n times w.r.to m, we get d F dm x x dx n n m e n = ∫ (log ) 0 1 (1) But F m x dx x m m m m m ( ) [ ] = ⎡ ⎣ ⎢ ⎤ ⎦ ⎥ = + − = + ∫ 0 1 1 0 1 1 1 1 1 0 1 1 = + + ∴ dF dm m d F dm m m = − + = − − ⋅ + = − ⋅ + 1 1 1 2 1 1 1 2 1 2 2 2 3 2 3 ( ) ( )( ) ( ) ( ) ! ( ) and d F dm m m 3 3 2 4 3 4 1 2 3 1 1 3 1 = − ⋅ − + = − + ( ) ! ( ) ( ) ( ) ! ( ) Proceeding in the same way, differentiating n times w.r.to m, we get d F dm n m n n n n = − + + ( ) ! ( ) 1 1 1 (2) From (1) and (2), we get x x dx n m m e n n n (log ) ( ) ! ( ) 0 1 1 1 1 ∫ = − + + EXAMPLE 11 Evaluate dx a x 2 2 0 1 ∞ ∫ and then using the method of differentiation under the sign of integration [i.e., Leibnitz’s rule] find the value of the integrals dx a x ( ) , 2 2 2 0 1 ∞ ∫ dx a x ( ) 2 2 3 0 1 ∞ ∫ and hence, obtain an expression for dx a x n ( ) . 2 2 1 0 1 1 ∞ ∫ Solution. Given dx a x a 2 2 0 0 + ∞ ∫ , M07_ENGINEERING_MATHEMATICS-I _CH07_Part A.indd 41 5/20/2016 11:22:04 AM
  • 655.
    7.42 ■ EngineeringMathematics We know dx a x a x a a 2 2 0 1 0 1 1 1 1 0 + = ⎡ ⎣ ⎢ ⎤ ⎦ ⎥ = ∞ − [ ] ∞ − ∞ − − ∫ tan tan tan = − ⎡ ⎣ ⎢ ⎤ ⎦ ⎥ 1 2 0 a p ⇒ dx a x a 2 2 0 2 + = ∞ ∫ p (1) Differentiating (1) w.r.to a, by Leibnitz’s rule, we get d da dx a x d da a 2 2 0 2 + ⎡ ⎣ ⎢ ⎤ ⎦ ⎥ = ⎛ ⎝ ⎜ ⎞ ⎠ ⎟ ∞ ∫ p ⇒ ∂ ∂ + ⎛ ⎝ ⎜ ⎞ ⎠ ⎟ = − ⎛ ⎝ ⎜ ⎞ ⎠ ⎟ ∞ ∫ a a x dx a 1 2 1 2 2 0 2 p { y x dy dx x = ⇒ = − 1 1 2 ⎡ ⎣ ⎢ ⎤ ⎦ ⎥ ⇒ ∂ ∂ + ⎡ ⎣ ⎤ ⎦ = − − ∞ ∫ a a x dx a ( ) 2 2 1 0 2 2 p ⇒ ( )( ) − + = − − ∞ ∫ 1 2 2 2 2 2 0 2 a x a dx a p ⇒ − + = − ∞ ∫ 2 1 2 2 2 2 0 2 a a x dx a ( ) p ⇒ 1 4 2 2 2 0 3 ( ) a x dx a + = ∞ ∫ p (2) Differentiating (2) w.r.to a, by Leibnitz’s rule, we get d da a x dx d da a 1 4 2 2 2 0 3 ( ) + = ⎛ ⎝ ⎜ ⎞ ⎠ ⎟ ∞ ∫ p ⇒ ∂ ∂ + ⎛ ⎝ ⎜ ⎞ ⎠ ⎟ = ⎛ ⎝ ⎜ ⎞ ⎠ ⎟ ∞ − ∫ a a x dx d da a 1 4 2 2 2 0 3 ( ) p ⇒ ∂ ∂ + = − − ∞ − ∫ a a x dx a ( ) ( ) 2 2 2 0 4 4 3 p ⇒ ( )( ) − + = − − ∞ − ∫ 2 2 3 4 2 2 3 0 4 a x adx a p ⇒ − + = − ∞ ∫ 4 1 3 4 2 2 3 0 4 a a x dx a ( ) p ⇒ dx a x a ( ) 2 2 3 0 5 3 16 + = ∞ ∫ p (3) M07_ENGINEERING_MATHEMATICS-I _CH07_Part A.indd 42 5/20/2016 11:22:14 AM
  • 656.
    Improper Integrals ■7.43 Differentiating (3) w.r.to a, we get ⇒ d da a x dx d da a 1 3 16 2 2 3 0 5 ( ) + = ⎛ ⎝ ⎜ ⎞ ⎠ ⎟ ∞ ∫ p ⇒ ∂ ∂ + = ⎛ ⎝ ⎜ ⎞ ⎠ ⎟ − ∞ − ∫ a a x dx d da a ( ) 2 2 3 0 5 3 16 p ⇒ ( )( ) − + = − ⋅ − ∞ − ∫ 3 2 3 5 16 2 2 4 0 6 a x adx a p ⇒ − + = − ⋅ − ∞ − ∫ 6 3 5 16 2 2 4 0 6 a a x dx a ( ) p ⇒ 6 1 3 5 16 1 2 2 4 0 6 a a x dx a ( ) + = ⋅ ∞ ∫ p ⇒ dx a x a ( ) 2 2 4 0 7 3 5 6 16 1 + = ⋅ ⋅ ∞ ∫ p (4) We observe that dx a x a a dx a x a a dx a x 2 2 0 2 2 2 0 3 3 2 2 3 2 1 2 4 1 1 2 2 + = = ⋅ + = = ⋅ ⋅ + ∞ ∞ ∫ ∫ p p p p ( ) ( ) 0 0 5 5 3 16 1 3 4 1 2 2 ∞ ∫ = = ⋅ ⋅ ⋅ p p a a dx a x a a ( ) 2 2 4 0 7 7 3 5 6 16 1 1 5 6 3 4 1 2 2 + = × × ⋅ = ⋅ ⋅ ⋅ ⋅ ∞ ∫ p p Proceeding in this way, from the pattern, we fin