NMR Spectroscopy
SUBMITTED BY
NIRUPAM PATTANAYAK
TRIPURA UNIVERSITY(A CENTRAL UNIVERSITY)
M.PHARM (PHARMACEUTICAL CHEMISTRY) 1ST YEAR
DEPARTMENT OF PHARMACY
ROLL.NO- 230624007
1
HISTORY
NMR was first described and measured in molecular beams by Isidor Rabi in
1938, in their experiment, and in 1944, Rabi was awarded the Nobel Prize in
Physics for this work.
In 1946, Felix Bloch and Edward Mills Purcell expanded the technique for use
on liquids and solids, for which they shared the Nobel Prize in Physics in 1952.
In Chemistry 1991
"for his contributions to the development of the
methodology of high resolution nuclear magnetic
resonance (NMR) spectroscopy"
2
R.R. Ernst
Felix
Bloch
E.M. Purcell
Introduction to Electro Magnetic
Radiation (EMR)
These radiations are said to have dual nature exhibiting both:
i. Wave character
ii. Particle character or corpuscular theory
According to wave theory, light travels in the form of waves. This wave
motion consists of oscillating electric (E) & magnetic (H) fields (vectors)
directed perpendicular to each & perpendicular to the direction of the
propagation of wave.
3
4
Quantum theory of Electro Magnetic Radiation( EMR)
Particle properties of radiation
 Energy of EIedromagnetic Radiation An understanding of certain interactions between radiation and
matter requires that the radiation be treated as packets of energy called photons or quanta.
E=hv [h-planck’s constant(6.63x10-27 erg sec)
We know v=c/l, E=hc/l
E= E2-E1
note:
• energy is proportional to frequency and wave number
• energy is inversely proportional to wavelength
5
hv
E1
E2
Electromagnetic Spectrum:
6
PRINCIPLE
1924, Pauli suggested that certain atomic nuclei might have the
properties of spin and magnetic moment.
exposure to a magnetic field would lead to splitting of their energy levels.
1946, however, that Bloch and Purcell working and able to demonstrate
that nuclei absorbed , in a strong magnetic field as a consequence of the
energy level splitting induced by the magnetic force.
7
8
All nuclei carry a charge .
Some nuclei this charge spins on the nuclear axis and this circulation generates a magnetic
dipole along the axis .
The angular momentum of the spinning charge can be described in terms of quantum spin
number(I); quantum mechanical terms the spin number I, determines the number of
orientations.
9
(a) Spin angular momentum and magnetic moment vectors for a nucleus
and an electron; (b) magnetic field induced by circulating electrons.
10
(a) Normally the nuclear magnetic fields are randomly oriented in absence of magnetic
field .
(b) When placed in an external magnetic field (Bo), the nuclear magnetic field can either
be aligned with the external magnetic (low energy) or oppose the external magnetic field
(High energy).
11
(a)
Magnetic nuclei are in resonance with external magnetic field if they
absorb energy and “spin flip” from low energy state (parallel orientation
or +1/2 or a) to high energy state (antiparallel orientation or -1/2 or b) .
The energy difference between the two states is:
12
Magnetic Properties of Nuclei
Magnetic (NMR active):
• All nuclei with even mass no , odd atomic number , spin quantum no. integral
• I = 1: H2, N14
• All nuclei with odd mass no , even atomic number, half integral.
• I= 1/2: H1, C13, F19, P31
• I= 3/2: N15
Nonmagnetic (NMR inactive):
• Nuclei with even of both mass no and atomic no.
• I= 0: C12, O16
13
The precessional or Larmor frequency (nL) of the spinning nucleus is exactly
equal to the frequency of electromagnetic radiation i.e. radio frequency (n1)
required to induce transition from one nuclear spin state to another.
The state of nuclear magnetic resonance is attained and the basic NMR
relationship can be written as
nL = n1 = ghB0
Where = g the magnetogyric ratio of a particular nucleus (The ratio between the
nuclear
magnetic moment and angular moment). 1H= 26,752; 13C= 6.7
h = Planck’s constant.
B0 = Applied magnetic field
14
15
A central concept in NMR is the precession of the spin magnetization around the
magnetic field at the nucleus, with the angular frequency.
 Where w=2pn relates to the oscillation frequency n and B is the magnitude of the field.
w=-gB
w=2pn=-gB
Schematic of an NMR spectrometer
16
NMR Instrumentation
NMR spectrometers are basically composed of the following units:
1. Sample holder Glass tube with 8.5 cm long, 0.3 cm in diameter.
2. A magnet which is either a permanent or an electromagnet It produces a strong
homogeneous field at 60-600 MHz.
3. Magnetic coils These coils induce magnetic field when current flows through them.
4. Sweep generator to produce the equal amount of magnetic field pass through the sample.
5. Radiofrequency Transmitter a radio transmitter coil that produces a short powerful pulse of
radio waves required to induce transitions in the nuclei of the sample from the ground to the
excited state.
6. Radiofrequency Receiver a radio receiver coil that detects radio frequencies emitted as
nuclei relax to a lower energy level
7. Readout system a computer that analyses and record the data.
17
Schematic of an NMR spectrometer
18
Relaxation Processes
Relaxation processes are classified as either spin lattice relaxation or
spin-spin relaxation.
Spin lattice or longitudinal relaxation : involves the transfer of energy
from a nucleus in an excited state to the molecular lattice Here lattice is
used to describe the molecular structural environment in which a
nucleus is situated irrespective of whether it is in a solid, a liquid or gas.
• The efficiency of spin lattice relaxation (T1 ) is expressed as the half life
required for the system to establish an equilibrium state.
Spin-spin or transverse relaxation: involves a mutual exchange of spins
between an excited nucleus and a neighbor, without altering the overall
spin state of the system.
• The time T2 is a measure of the efficiency of spin-spin relaxation. 19
S
N
N S
N S
N
N
S
S
N
Spin lattice or longitudinal relaxation
N N
N S
S N
S N
S
N
Spin-spin or transverse relaxation
20
Number of Signals
The number of signals in the NMR spectrum tell the number of different
sets of equivalent protons in a molecule.
The number of components in a multiplet signal is given by (2nI+1), where
n is the number of identical neighbouring nuclei in an adjacent coupled
group, and I is the spin quantum number of the nuclei involved. For proton
and carbon-13 nuclei, whose spin quantum number is 1⁄2, the number of
components is n+1, and this is known as the (n+1) rule.
21
Shielding and Deshielding
Shielding
The higher the electron density around the nucleus, the higher the
opposing magnetic field to B0 from the electrons, the greater the shielding
Because the proton experiences lower external magnetic field, it needs a
lower frequency to achieve resonance, and therefore, the chemical shift
shifts upfield (lower ppms).
Deshielding
If the electron density around a nucleus decreases, the opposing magnetic
field becomes small and therefore, the nucleus feels more the external
magnetic field B0 and therefore it is said to be deshielded Because the
proton experiences higher external magnetic field, it needs a higher
frequency to achieve resonance, and therefore, the chemical shift shifts
22
23
1H NMR chemical shift scale indicating the downfield and upfield
regions
24
Positions of Signals( chemical shift)
The positions of the signals in the spectrum help us to know the nature of
protons viz Aromatic, aliphatic, acetylenic, vinylic, adjacent to some
electron attracting or electron releasing group etc.
Each of these types of protons will have different electronic environments
and thus, they absorb at different applied field strength.
The shifts in the positions of NMR signals (compared with a standard
reference) resulting from the shielding and deshielding by electrons are
referred to as chemical shift (d).
Chemical shift (d) is defined as the difference, in ppm, between the
frequency of the proton being observed compared to the frequency of
tetramethyl silane (TMS). 25
• d is a dimensionless quantity, independent of the measurement frequency or the
magnetic field strength, characteristic of the observed nucleus in its
environment.
• Chemical shifts are calculated by measuring the frequency n cycles per second,
or hertz Hz) of interest relative to the frequency of the internal standard, nTMS
divided by the frequency of the instrument (n0 in MHz=106 Hz).
• d=[(n-nTMS) x 106]/v0]
• Another alternative system used for used for defining the position of the
resonance relative to reference is assigned tau (t) scale On this scale, the
reference is assigned the arbitrary position 10 and the values of other
resonances are given by. 26
Internal Standard: Tetramethylsilane
TMS is used as internal standard and added to the sample
• Since silicon is less electronegative than carbon, TMS protons are highly shielded Signal defined as
zero(d= 0)
• Organic protons absorb downfield (to the left) of the TMS signal.
27
Reasons for Taking TMS as the Reference Substance
1. TMS has 12 equivalent protons and gives an intense single.
2. The electronegativity of silicon is very low and the shielding of equivalent
protons in TMS is more than that of almost all the organic compounds
Consequently with reference to TMS signal, almost all other signals appear
in the upfield direction.
3. TMS is chemically very inert and miscible with a large range of solvents.
4. It has a very low boiling point so that it can be easily removed by
evaporation after the spectrum has been recorded.
For water soluble substances i.e. in deuterium oxide (D2O), sodium-2,2-
dimethyl-2 silapentane-5-sulfonate or deuterated sodium-3-trimethyl-
28
Factors Influencing Chemical Shifts
Inductive effects
i. An electronegative atom or group is able to reduce the electron density around the proton and
deshields the proton.
ii. An electron releasing group (such as alkyl group) increases the electron density around the proton
and gives rise to its shielding.
Magnetic Anisotropic effects (Space effect) An anisotropic property varies with direction in three
dimensional space, the effect in NMR spectrometry being associated with the circulation of Pi electrons
in unsaturated structures This circulation, induced by the applied magnetic field, Bo creates conical
shaped shielding and deshielding zones in the space surrounding the group or structure.
Hydrogen bonding, which leads to the deshielding of protons.
Van der Waal’s deshielding due to the presence of a bulky group (hindering group).
An electron withdrawing group is able to reduce the electron density around the proton and deshields the
proton.
29
Anisotropy effect
30
Shielding and deshielding effects in unsaturated groups and structures due to diamagnetic
anisotropy.
Splitting pattern: how many neighboring
hydrogens
31
Spin-Spin Coupling: Splitting of Signals
H
Cl
Cl
H
H
Cl
32
N S
HO
TMS
High magnetic field
Low magnetic field
N
S
TMS
S N
S N
N S
High magnetic field
Low magnetic field
HO
Fell high Magnetic field
N S
N S
TMS
HO
Fell low magnetic field
High magnetic field
Low magnetic field
33
Chemical Shifts of Various Functional Groups
34
Chemical Shifts of Various Functional Groups
35
value
36
Coupling Constants (J)
The distance between the centres of the two adjacent peaks in a multiplate is
usually constant which is a measure of the magnitude of splitting effect It is
known as coupling constant.
• It is measured in Hertz or cps (cycles per second) , it is denoted by the symbol
J.
• The values of J are independent of the applied field strength and depend only
upon the molecular structure. It is determined by the following formula.
J( Hz)=∆ ppm x instrument frequency.
Where ∆ppm is the difference in ppm of two peaks for a given proton.
• The instrument frequency is determined by the strength of the magnet.
• Proton coupling constants range from 0 to over 20 Hz.
• The coupling constant provides valuable information about the structure of a
37
38
39
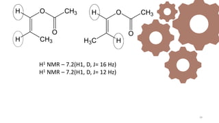
O CH3
O
H
H
H3C
O CH3
O
H
CH3
H
H1 NMR – 7.2(H1, D, J= 16 Hz)
H1 NMR – 7.2(H1, D, J= 12 Hz)
40
example
41
42
CARBON (13 C) NMR
The natural abundance of 13C is only 1.1 % of that of 12 C, the 13C resonance is
relatively weak.
13C resonance occurs at a frequency ca 25.1 MHz when proton resonance is occurring
at ca 100 MHz (i.e at 2 33 Tesla).
It is at lower energy than proton resonance and the spread of resonances for 13 C is
over ca 200 ppm
Distortionless Enhancement by Polarization Transfer is a NMR method used for
determining the presence of primary, secondary and tertiary carbon atoms.
The DEPT experiment differentiates between CH, CH2 ,and CH3 groups by variation
of the selection angle parameter (the tip angle of the final 1H pulse) 135°angle gives all
CH and CH3 in a phase ( opposite) to CH2 (negative) 90°angle gives only CH groups,
the others being suppressed 45°angle gives all carbons with attached protons
(regardless of number) in phase.
43
44
Magnetically distinct 13C NMR of methyl
acetate
45
Example of 13 C NMR spectrum
46
Applications of NMR
Methods in NMR spectroscopy have particular relevance to the
following disciplines:
1. Chemical research and development organic, inorganic and physical
chemistry
2. Chemical manufacturing industry
3. Biological and biochemical research
4. Food industry
5. Pharmaceutical development and production
6. Agrochemical development and production
7. Polymer industry 47
Common applications of NMR Spectroscopy
include
1. Structure elucidation
2. Chemical composition determination
3. Mixture analysis
4. Sample purity determination
5. Quality assurance and control
6. Quantitative analysis
7. Compound identification and confirmation
8. Molecular characterization
9. Reaction kinetics examination
10.Hydrogen bonding
11.Reaction mechanism investigation
48
References
1. Silverstein R.M., Webster F.X., Kiemle D.J. Spectrometric Identification of
Organic Compounds, 7 th Edn, John Wiley & Sons, Inc., New York, USA, 2005,
p 550,
2. Chatwal G.R., Anand S.K. Instrumental Methods of Chemical Analysis
(Analytical Chemistry), Ed. By Arora, Anand A., Himalaya Publishing House ,
Mumbai, India, 2017, p 802.
3. Sharma, Y.R., Elementary Organic Spectroscopy- Principles and Chemical
Applications, 5 th Revised Edn., S. Chand & Company Pvt. Ltd., New Delhi,
India, 2016, p.369.
4. Kealey D Haines P J Instant Notes Analytical Chemistry, BIOS Scientific
Publishers Limited, Oxford, UK 2002 p 353.
5. Watson D G Pharmaceutical Analysis A Textbook for Pharmacy students and
Pharmaceutical Chemists, 3 rd Edn Churchill Livingstone, Elsevier, Edinburgh,
UK, 2012 p 441.
49

NMR, principle, chemical shift , valu,13 C, application

  • 1.
    NMR Spectroscopy SUBMITTED BY NIRUPAMPATTANAYAK TRIPURA UNIVERSITY(A CENTRAL UNIVERSITY) M.PHARM (PHARMACEUTICAL CHEMISTRY) 1ST YEAR DEPARTMENT OF PHARMACY ROLL.NO- 230624007 1
  • 2.
    HISTORY NMR was firstdescribed and measured in molecular beams by Isidor Rabi in 1938, in their experiment, and in 1944, Rabi was awarded the Nobel Prize in Physics for this work. In 1946, Felix Bloch and Edward Mills Purcell expanded the technique for use on liquids and solids, for which they shared the Nobel Prize in Physics in 1952. In Chemistry 1991 "for his contributions to the development of the methodology of high resolution nuclear magnetic resonance (NMR) spectroscopy" 2 R.R. Ernst Felix Bloch E.M. Purcell
  • 3.
    Introduction to ElectroMagnetic Radiation (EMR) These radiations are said to have dual nature exhibiting both: i. Wave character ii. Particle character or corpuscular theory According to wave theory, light travels in the form of waves. This wave motion consists of oscillating electric (E) & magnetic (H) fields (vectors) directed perpendicular to each & perpendicular to the direction of the propagation of wave. 3
  • 4.
  • 5.
    Quantum theory ofElectro Magnetic Radiation( EMR) Particle properties of radiation  Energy of EIedromagnetic Radiation An understanding of certain interactions between radiation and matter requires that the radiation be treated as packets of energy called photons or quanta. E=hv [h-planck’s constant(6.63x10-27 erg sec) We know v=c/l, E=hc/l E= E2-E1 note: • energy is proportional to frequency and wave number • energy is inversely proportional to wavelength 5 hv E1 E2
  • 6.
  • 7.
    PRINCIPLE 1924, Pauli suggestedthat certain atomic nuclei might have the properties of spin and magnetic moment. exposure to a magnetic field would lead to splitting of their energy levels. 1946, however, that Bloch and Purcell working and able to demonstrate that nuclei absorbed , in a strong magnetic field as a consequence of the energy level splitting induced by the magnetic force. 7
  • 8.
  • 9.
    All nuclei carrya charge . Some nuclei this charge spins on the nuclear axis and this circulation generates a magnetic dipole along the axis . The angular momentum of the spinning charge can be described in terms of quantum spin number(I); quantum mechanical terms the spin number I, determines the number of orientations. 9
  • 10.
    (a) Spin angularmomentum and magnetic moment vectors for a nucleus and an electron; (b) magnetic field induced by circulating electrons. 10
  • 11.
    (a) Normally thenuclear magnetic fields are randomly oriented in absence of magnetic field . (b) When placed in an external magnetic field (Bo), the nuclear magnetic field can either be aligned with the external magnetic (low energy) or oppose the external magnetic field (High energy). 11 (a)
  • 12.
    Magnetic nuclei arein resonance with external magnetic field if they absorb energy and “spin flip” from low energy state (parallel orientation or +1/2 or a) to high energy state (antiparallel orientation or -1/2 or b) . The energy difference between the two states is: 12
  • 13.
    Magnetic Properties ofNuclei Magnetic (NMR active): • All nuclei with even mass no , odd atomic number , spin quantum no. integral • I = 1: H2, N14 • All nuclei with odd mass no , even atomic number, half integral. • I= 1/2: H1, C13, F19, P31 • I= 3/2: N15 Nonmagnetic (NMR inactive): • Nuclei with even of both mass no and atomic no. • I= 0: C12, O16 13
  • 14.
    The precessional orLarmor frequency (nL) of the spinning nucleus is exactly equal to the frequency of electromagnetic radiation i.e. radio frequency (n1) required to induce transition from one nuclear spin state to another. The state of nuclear magnetic resonance is attained and the basic NMR relationship can be written as nL = n1 = ghB0 Where = g the magnetogyric ratio of a particular nucleus (The ratio between the nuclear magnetic moment and angular moment). 1H= 26,752; 13C= 6.7 h = Planck’s constant. B0 = Applied magnetic field 14
  • 15.
    15 A central conceptin NMR is the precession of the spin magnetization around the magnetic field at the nucleus, with the angular frequency.  Where w=2pn relates to the oscillation frequency n and B is the magnitude of the field. w=-gB w=2pn=-gB
  • 16.
    Schematic of anNMR spectrometer 16
  • 17.
    NMR Instrumentation NMR spectrometersare basically composed of the following units: 1. Sample holder Glass tube with 8.5 cm long, 0.3 cm in diameter. 2. A magnet which is either a permanent or an electromagnet It produces a strong homogeneous field at 60-600 MHz. 3. Magnetic coils These coils induce magnetic field when current flows through them. 4. Sweep generator to produce the equal amount of magnetic field pass through the sample. 5. Radiofrequency Transmitter a radio transmitter coil that produces a short powerful pulse of radio waves required to induce transitions in the nuclei of the sample from the ground to the excited state. 6. Radiofrequency Receiver a radio receiver coil that detects radio frequencies emitted as nuclei relax to a lower energy level 7. Readout system a computer that analyses and record the data. 17
  • 18.
    Schematic of anNMR spectrometer 18
  • 19.
    Relaxation Processes Relaxation processesare classified as either spin lattice relaxation or spin-spin relaxation. Spin lattice or longitudinal relaxation : involves the transfer of energy from a nucleus in an excited state to the molecular lattice Here lattice is used to describe the molecular structural environment in which a nucleus is situated irrespective of whether it is in a solid, a liquid or gas. • The efficiency of spin lattice relaxation (T1 ) is expressed as the half life required for the system to establish an equilibrium state. Spin-spin or transverse relaxation: involves a mutual exchange of spins between an excited nucleus and a neighbor, without altering the overall spin state of the system. • The time T2 is a measure of the efficiency of spin-spin relaxation. 19
  • 20.
    S N N S N S N N S S N Spinlattice or longitudinal relaxation N N N S S N S N S N Spin-spin or transverse relaxation 20
  • 21.
    Number of Signals Thenumber of signals in the NMR spectrum tell the number of different sets of equivalent protons in a molecule. The number of components in a multiplet signal is given by (2nI+1), where n is the number of identical neighbouring nuclei in an adjacent coupled group, and I is the spin quantum number of the nuclei involved. For proton and carbon-13 nuclei, whose spin quantum number is 1⁄2, the number of components is n+1, and this is known as the (n+1) rule. 21
  • 22.
    Shielding and Deshielding Shielding Thehigher the electron density around the nucleus, the higher the opposing magnetic field to B0 from the electrons, the greater the shielding Because the proton experiences lower external magnetic field, it needs a lower frequency to achieve resonance, and therefore, the chemical shift shifts upfield (lower ppms). Deshielding If the electron density around a nucleus decreases, the opposing magnetic field becomes small and therefore, the nucleus feels more the external magnetic field B0 and therefore it is said to be deshielded Because the proton experiences higher external magnetic field, it needs a higher frequency to achieve resonance, and therefore, the chemical shift shifts 22
  • 23.
  • 24.
    1H NMR chemicalshift scale indicating the downfield and upfield regions 24
  • 25.
    Positions of Signals(chemical shift) The positions of the signals in the spectrum help us to know the nature of protons viz Aromatic, aliphatic, acetylenic, vinylic, adjacent to some electron attracting or electron releasing group etc. Each of these types of protons will have different electronic environments and thus, they absorb at different applied field strength. The shifts in the positions of NMR signals (compared with a standard reference) resulting from the shielding and deshielding by electrons are referred to as chemical shift (d). Chemical shift (d) is defined as the difference, in ppm, between the frequency of the proton being observed compared to the frequency of tetramethyl silane (TMS). 25
  • 26.
    • d isa dimensionless quantity, independent of the measurement frequency or the magnetic field strength, characteristic of the observed nucleus in its environment. • Chemical shifts are calculated by measuring the frequency n cycles per second, or hertz Hz) of interest relative to the frequency of the internal standard, nTMS divided by the frequency of the instrument (n0 in MHz=106 Hz). • d=[(n-nTMS) x 106]/v0] • Another alternative system used for used for defining the position of the resonance relative to reference is assigned tau (t) scale On this scale, the reference is assigned the arbitrary position 10 and the values of other resonances are given by. 26
  • 27.
    Internal Standard: Tetramethylsilane TMSis used as internal standard and added to the sample • Since silicon is less electronegative than carbon, TMS protons are highly shielded Signal defined as zero(d= 0) • Organic protons absorb downfield (to the left) of the TMS signal. 27
  • 28.
    Reasons for TakingTMS as the Reference Substance 1. TMS has 12 equivalent protons and gives an intense single. 2. The electronegativity of silicon is very low and the shielding of equivalent protons in TMS is more than that of almost all the organic compounds Consequently with reference to TMS signal, almost all other signals appear in the upfield direction. 3. TMS is chemically very inert and miscible with a large range of solvents. 4. It has a very low boiling point so that it can be easily removed by evaporation after the spectrum has been recorded. For water soluble substances i.e. in deuterium oxide (D2O), sodium-2,2- dimethyl-2 silapentane-5-sulfonate or deuterated sodium-3-trimethyl- 28
  • 29.
    Factors Influencing ChemicalShifts Inductive effects i. An electronegative atom or group is able to reduce the electron density around the proton and deshields the proton. ii. An electron releasing group (such as alkyl group) increases the electron density around the proton and gives rise to its shielding. Magnetic Anisotropic effects (Space effect) An anisotropic property varies with direction in three dimensional space, the effect in NMR spectrometry being associated with the circulation of Pi electrons in unsaturated structures This circulation, induced by the applied magnetic field, Bo creates conical shaped shielding and deshielding zones in the space surrounding the group or structure. Hydrogen bonding, which leads to the deshielding of protons. Van der Waal’s deshielding due to the presence of a bulky group (hindering group). An electron withdrawing group is able to reduce the electron density around the proton and deshields the proton. 29
  • 30.
    Anisotropy effect 30 Shielding anddeshielding effects in unsaturated groups and structures due to diamagnetic anisotropy.
  • 31.
    Splitting pattern: howmany neighboring hydrogens 31
  • 32.
    Spin-Spin Coupling: Splittingof Signals H Cl Cl H H Cl 32 N S HO TMS High magnetic field Low magnetic field N S TMS S N S N N S High magnetic field Low magnetic field HO Fell high Magnetic field
  • 33.
    N S N S TMS HO Felllow magnetic field High magnetic field Low magnetic field 33
  • 34.
    Chemical Shifts ofVarious Functional Groups 34
  • 35.
    Chemical Shifts ofVarious Functional Groups 35
  • 36.
  • 37.
    Coupling Constants (J) Thedistance between the centres of the two adjacent peaks in a multiplate is usually constant which is a measure of the magnitude of splitting effect It is known as coupling constant. • It is measured in Hertz or cps (cycles per second) , it is denoted by the symbol J. • The values of J are independent of the applied field strength and depend only upon the molecular structure. It is determined by the following formula. J( Hz)=∆ ppm x instrument frequency. Where ∆ppm is the difference in ppm of two peaks for a given proton. • The instrument frequency is determined by the strength of the magnet. • Proton coupling constants range from 0 to over 20 Hz. • The coupling constant provides valuable information about the structure of a 37
  • 38.
  • 39.
    39 O CH3 O H H H3C O CH3 O H CH3 H H1NMR – 7.2(H1, D, J= 16 Hz) H1 NMR – 7.2(H1, D, J= 12 Hz)
  • 40.
  • 41.
  • 42.
  • 43.
    CARBON (13 C)NMR The natural abundance of 13C is only 1.1 % of that of 12 C, the 13C resonance is relatively weak. 13C resonance occurs at a frequency ca 25.1 MHz when proton resonance is occurring at ca 100 MHz (i.e at 2 33 Tesla). It is at lower energy than proton resonance and the spread of resonances for 13 C is over ca 200 ppm Distortionless Enhancement by Polarization Transfer is a NMR method used for determining the presence of primary, secondary and tertiary carbon atoms. The DEPT experiment differentiates between CH, CH2 ,and CH3 groups by variation of the selection angle parameter (the tip angle of the final 1H pulse) 135°angle gives all CH and CH3 in a phase ( opposite) to CH2 (negative) 90°angle gives only CH groups, the others being suppressed 45°angle gives all carbons with attached protons (regardless of number) in phase. 43
  • 44.
  • 45.
    Magnetically distinct 13CNMR of methyl acetate 45
  • 46.
    Example of 13C NMR spectrum 46
  • 47.
    Applications of NMR Methodsin NMR spectroscopy have particular relevance to the following disciplines: 1. Chemical research and development organic, inorganic and physical chemistry 2. Chemical manufacturing industry 3. Biological and biochemical research 4. Food industry 5. Pharmaceutical development and production 6. Agrochemical development and production 7. Polymer industry 47
  • 48.
    Common applications ofNMR Spectroscopy include 1. Structure elucidation 2. Chemical composition determination 3. Mixture analysis 4. Sample purity determination 5. Quality assurance and control 6. Quantitative analysis 7. Compound identification and confirmation 8. Molecular characterization 9. Reaction kinetics examination 10.Hydrogen bonding 11.Reaction mechanism investigation 48
  • 49.
    References 1. Silverstein R.M.,Webster F.X., Kiemle D.J. Spectrometric Identification of Organic Compounds, 7 th Edn, John Wiley & Sons, Inc., New York, USA, 2005, p 550, 2. Chatwal G.R., Anand S.K. Instrumental Methods of Chemical Analysis (Analytical Chemistry), Ed. By Arora, Anand A., Himalaya Publishing House , Mumbai, India, 2017, p 802. 3. Sharma, Y.R., Elementary Organic Spectroscopy- Principles and Chemical Applications, 5 th Revised Edn., S. Chand & Company Pvt. Ltd., New Delhi, India, 2016, p.369. 4. Kealey D Haines P J Instant Notes Analytical Chemistry, BIOS Scientific Publishers Limited, Oxford, UK 2002 p 353. 5. Watson D G Pharmaceutical Analysis A Textbook for Pharmacy students and Pharmaceutical Chemists, 3 rd Edn Churchill Livingstone, Elsevier, Edinburgh, UK, 2012 p 441. 49

Editor's Notes

  • #2 Notes to presenter: What is your purpose for sharing this reflection? Is it at the end of a unit or project? Are you sharing this reflection, at the attainment of a learning goal you set for yourself? Is it at the end of a course? State your purpose for the reflection or even the purpose of the learning experience or learning goal. Be clear and be specific in stating your purpose.