Embed presentation
Downloaded 15 times









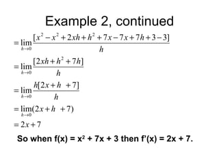
The document provides an introduction to formal derivatives, highlighting its definition and the process of computation. It includes examples of deriving functions such as f(x) = 7x + 3 and f(x) = x² + 7x + 3, demonstrating the steps involved in formal derivation. Additionally, it poses questions regarding changes in computation for different types of functions, including higher-degree polynomials and trigonometric functions.







