MICROWAVE ENGINEERING 
LECTURE NOTE 
1 
thenhan 12/16/2011
2 
PHẠẠM VI CỦỦA LĨĨNH VỰỰC SIÊU 
CAO TẦẦN 
z TẦN SỐ THÔNG THƯỜNG TỪ 1GHz 
TRỞ LÊN 
BẢNG PHÂN ĐỊNH TẦN SỐ 
thenhan 12/16/2011
3 
thenhan 12/16/2011
4 
thenhan 12/16/2011
5 
thenhan 12/16/2011
6 
ĐĐƯƯỜỜNG DÂY TRUYỀỀN SÓNG 
. ĐIỆN ÁP VÀ DÒNG ĐIỆN PHỤ THUỘC CẢ 
KHÔNG GIAN Ở VỊ TRÍ z VÀ THỜI GIAN TẠI 
THỜI ĐIỂM t, 
thenhan 12/16/2011
Module 2: Transmission Lines 
Topic 1: Theory 
7 
OGI EE564 
Howard Heck 
thenhan 12/16/2011
8 
Where Are We? 1. Introduction 
2. Transmission Line Basics 
1. Transmission Line Theory 
2. Basic I/O Circuits 
3. Reflections 
4. Parasitic Discontinuities 
5. Modeling, Simulation, & Spice 
6. Measurement: Basic Equipment 
7. Measurement: Time Domain Reflectometry 
3. Analysis Tools 
4. Metrics & Methodology 
5. Advanced Transmission Lines 
thenhan 12/16/2011
9 
CzoPnrotpeangattsion Velocity 
z Characteristic Impedance 
z Visualizing Transmission Line Behavior 
z General Circuit Model 
z Frequency Dependence 
z Lossless Transmission Lines 
z Homogeneous and Non-homogeneous Lines 
z Impedance Formulae for Transmission Line 
Structures 
z Summary 
z References 
thenhan 12/16/2011
y 
I+ d I dz 
dz 
V+ d V dz 
z 
x 
[2.1.1] 
[2.1.2] 
I 
V 
C V 
I 
∂ 
∂ 
= − 
Ldz 
Cdz 
dz 
dz 
V, I 
the Telegraphist’s Equations [2.1.3a] 
[2.1.3b] 
10 
Wave propagates in z Propagation direction 
Velocity 
z Physical example: 
9 Circuit: L = [nH/cm] 
C = [pF/cm] 
V 
dz ( Ldz ) 
I 
z 
∂ 
t 
∂ 
∂ 
9 Total voltage change across = − 
∂ 
Ldz (use Δ V L d I ): 
= − dt 
9 Total current change across 
ΔI = −C dV 
Cdz (use d t ): 
I 
∂ 
dz ( Cdz ) 
V 
z 
t 
∂ 
∂ 
∂ 
= − 
9 Simplify [2.1.1] & [2.1.2] to get 
t 
∂ 
L I 
∂ 
t 
z 
∂ 
V 
∂ 
z 
∂ 
∂ 
= − 
thenhan 12/16/2011
2 2 
C V 
I 
∂ 
∂ 
9 Differentiate [2.1.3a] by t: 2 [2.1.4] 
t 
z t 
∂ 
= − 
∂ ∂ 
∂ 2 
L I 
2 
V 
∂ 
9 Differentiate [2.1.3b] by z: [2.1.5] 
2 
t z 
z 
∂ ∂ 
= − 
∂ 
2 
2 2 
1 
V 
LC V 
V 
∂ 
∂ 
∂ 
9 Equate [2.1.4] & [2.1.5]: [2.1.6] 2 
[2.1.7] 
[2.1.8] 
11 
Propagation Velocity (2) 
∂ 
9 Equation [2.1.6] is a form of the wave equation. The solution to 
[2.1.6] contains forward and backward traveling wave 
components, which travel with a phase velocity. 
9 Phase velocity definition: v 
2 
z 
= 
≡ 1 
LC 
9 Equation in terms of current: 
t 
∂ 
I 
2 
2 
= 
2 2 
t 
∂ 
ν 
2 1 
LC I 
= 
2 2 
2 
I 
2 
t 
t 
z 
∂ 
∂ 
∂ 
∂ 
= 
∂ 
∂ 
ν 
An alternate treatment of propagation velocity is contained in the appendix. 
thenhan 12/16/2011
dz = segment length 
C = capacitance per segment 
L = inductance per segment 
12 
Z1 Z2 Z3 
Characteristic Impedance 
b c 
Ldz 
(Lossless) 
V1 V2 V3 Cdx 
to ∞ 
Ldz 
Cdz 
Ldz 
Cdz 
d e f 
dz dz 
a 
dz 
z The input impedance (Z1) is the impedance 
of the first inductor (Ldz) in series with the 
parallel combination of the impedance of 
the capacitor (Cdz) and Z2. 
[2.1.9] 
( ) 
Z j Cdz 
Z j Ldz Z j ω 
Cdz 
ω 
= ω 
+ 
1/ 
2 
1/ 
2 
1 + 
( 1/ ) ( 1/ ) (1/ ) 0 1 2 2 2 Z Z + jωlC − jωlL Z + jωlC − Z jωlC = 
thenhan 12/16/2011
13 
Characteristic Impedance 
(Lossless) 
z Assuming a uniform line, the input 
impedance should be the same when 
looking into node pairs a-d, b-e, c-f, and so 
fo( rth1./ So, Z) 2 = Z(1= 1Z/0. ) (1/ ) 0 0 0 0 0 Z Z + jωCdz − jωlLdz Z + jωCdz − Z jωCdz = [2.1.10] 
ω 
Z j LZ dz j Ldz 
j Cdz 
Z 
2 
0 
2 0 
0 0 
+ − − − 0 
= = − 0 
− j Cdz 
ω 
j LZ dz Ldz 
Cdz 
Z Z 
j Cdz 
ω 
ω 
ω ω 
ω 
ω 
0 
Z 2 
− jωLZ L 0 0 
dz − = 
0 [2.1.11] 
C 
9 Allow dz to become very small, causing the frequency 
dependent term to drop out: 
Z L [2.1.12] 
2 0 
0 − = 
C 
9 Solve for Z0: 
Z = L 0 
C 
[2.1.13] 
thenhan 12/16/2011
14 
Visualizing Transmission Line 
h 
Behavior 
f 
z Water flow 
– Potential = Wave 
height [m] 
– Flow = Flow rate 
[liter/sec] 
I 
+++++++ 
- - - - - - - 
I 
V 
9 Transmission Line 
¾ Potential = Voltage [V] 
¾ Flow = Current [A] = 
[C/sec] 
9 Just as the wave front of the water flows in the pipe, the 
voltage propagates in the transmission line. The same 
holds true for current. 
¾ Voltage and current propagate as waves in the transmission line. 
thenhan 12/16/2011
15 
Visualizing Transmission Line 
Behavior #2 
z Extending the analogy 
– The diameter of the pipe relates the flow rate 
and height of the water. This is analogous to 
electrical impedance. 
– Ohm’s law and the characteristic impedance 
define the relationship between current and 
potential in the transmission line. 
z Effects of impedance discontinuities 
– What happens when the water encounters a 
ledge or a barrier? 
– What happens to the current and voltage 
waves when the impedance of the 
transmission line changes? 
thenhan 12/16/2011
16 
General Transmission Line 
Model (No Coupling) 
z Transmission line parameters are 
distributed (e.g. capacitance per unit 
length). 
R L 
R L 
R L 
z A G C 
transmission line can G be C 
modeled G C 
using 
a network of resistances, inductances, and 
capacitances, where the distributed 
parameters are broken into small discrete 
elements. 
thenhan 12/16/2011
ω 
ω [2.1.14] 
Propagation Constant γ = (R + jωL)(G + jωC) =α + jβ [2.1.15] 
α = attenuation constant = rate of exponential attenuation 
β = phase constant = amount of phase shift per unit length 
ν = Phase Velocity p [2.1.16] 
In general, α and β are frequency dependent. 
17 
General Transmission Line 
Model #2 
Symb Units 
ol 
Parameters Parameter 
Conductor R Ω•cm-1 
Resistance 
Self Inductance L nH•cm-1 
Total Capacitance C pF•cm-1 
Ω-1•cm - 
1 Dielectric G 
Conductance 
Characteristic Impedance Z R j L 
+ 
+ 
0 G j C = 
ω 
β 
thenhan 12/16/2011
18 
Frequency Dependence 
From [2.1.14] and [2.1.15] note that: 
z Z0 and γ depend on the frequency content 
of the signal. 
z Frequency dependence causes attenuation 
and edge rate degradation. 
Attenuation 
Output signal from lossy 
transmission line 
Output signal from 
lossless transmission line 
Edge rate degradation 
Signal at driven end of 
transmission line 
thenhan 12/16/2011
19 
FrzeRqaunede nGncarye sDomeeptiemnesd neegnlicgiebl e#, 2 
particularly at low frequencies 
– Simplifies to the lossless case: no attenuation 
& no dispersion 
z In modules 2 and 3, we will concentrate on 
lossless transmission lines. 
z Modules 5 and 6 will deal with lossy lines. 
thenhan 12/16/2011
H E 
20 
Lossless Transmission Lines 
Quasi-TEM Assumption 
z The electric and magnetic fields are 
perpendicular to the propagation velocity 
in the transverse planes. 
x 
y z 
thenhan 12/16/2011
21 
z Lossless transmission lines are characterized 
by the following two parameters: 
Lossless Line Parameters 
Z = L 0 
C 
v 
= 1 
LC 
Characteristic Impedance 
Propagation Velocity 
z Lossless line characteristics are frequency 
independent. 
z As noted before, Z0 defines the relationship 
between voltage and current for the traveling 
waves. The units are ohms [Ω]. 
z υ defines the propagation velocity of the 
waves. The units are cm/ns. 
thenhan 12/16/2011 
S ti th ti dl 
[2.1.17] 
[2.1.18]
22 
Lossless Line Equivalent Circuit 
L 
L 
L 
z The transmission line equivalent circuit 
shown C 
on the C 
left is C 
often represented by 
the coaxial cable symbol. 
Z0Z, 0ν, ,v l,e lnegntghth 
thenhan 12/16/2011
[2.1.19] 
23 
Homogeneous Media 
z A homogeneous dielectric medium is 
uniform in all directions. 
– All field v 
= 1 lines = are 1 = 0 = contained 30 
within the 
dielectric. 
LC 
c cm / 
ns 
εμ ε μ ε 
r r r 
0 ε ε ε r = Dielectric Permittivity 
εNote: only r 
r 
εz For a ε 0 = 8.854 x transmission 10− 14 F 
line in a Permittivity of free homogeneous 
space 
medium, μ the cm 
8 0 =1.257 x 10− H 
propagation velocity depends 
only on material cm 
properties: 
Magnetic Permeability 
0 μ ≅ μ Permeability of free space 
εr 
is the relative permittivity or dielectric constant. 
is required to 
calculate νν. 
thenhan 12/16/2011
24 
Non-Homogeneous Media 
z A non-homogenous medium contains 
multiple materials with different dielectric 
constants. 
z For a non-homogeneous medium, field 
lines cut v 
= 1 ≠ 1 
across LC 
the εμ 
boundaries between 
dielectric materials. 
z In this case the propagation velocity 
depends on the dielectric constants and the 
proportions of the materials. Equation 
[2.1.19] does not hold: 
9 In practice, an effective dielectric constant, εr,eff is 
often used, which represents an average dielectric 
constant. 
thenhan 12/16/2011
25 
Some Typical Transmission 
Line Structures 
And useful formulas for Z0 
thenhan 12/16/2011
26 
r 
R 
εr 
Trởở kháng cáp đđồồng trụục 
εr = 2 
εr = 2.5 
εr = 3 
2 3 4 5 6 7 8 9 10 
R/r 
140 
120 
100 
80 
60 
40 
20 
⎞ 
Z = 1 
ln ⎛ 
R 
0 ε 
2πε 
⎞ 
⎛ 
R 
⎞ 
μ 
L = ln ⎛ 
R 
thenhan 12/16/2011 
Z0 [ Ω] 
εr 
= 1 
εrr= 4 ε = 3.5 
, lZe0n, gυth, vle, n0gZth 
⎟⎠ 
⎜⎝ 
r 
2 
μ 
π 
[2.1.20] 
⎟⎠ 
⎜⎝ 
= 
r 
C 
ln 
[2.1.21] 
⎟⎠ 
⎜⎝ 
r 
2π 
[2.1.22]
⎞ 
h 
4 
60 ln 2 
( )⎟ ⎟ ⎟ 
⎠ 
w 
0.35 
0.25 
27 
Centered Stripline Impedance 
⎛ 
⎜ ⎜ ⎜ 
0 ε π 
r 0.67 0.8 
⎝ 
w + 
t 
= 
Z 
w 
t 
h1 
h2 
εr 
Source: Motorola 
application note 
AN1051. 
Valid for w 
h −t 
2 
< 
h < 
2 
t 
60 Z0 [Ω] 
55 
50 
45 
40 
35 
30 
25 
20 
15 
h2 
0.003 0.005 0.007 0.009 0.011 0.013 0.015 
thenhan 12/16/2011 
w [in] 
10 
0.070 
0.060 
0.050 
0.040 
0.030 
0.025 
0.020 
t = 0.0007” 
εr = 4.0
[2.1.24] 
[2.1.25] 
[2.1.26] 
[2.1.27] 
28 
Dual Stripline Impedance 
w 
h1 
t 
h2 
Z YZ 
⎞ 
⎛ 
Y h 
60 ln 8 1 
ε π 
⎞ 
⎛ 
Z h h 
60 ln 8 1 2 
ε π 
⎤ 
1 
h h t h t 
ln ⎡ 
1.9 2 
+ 
⎤ 
⎡ 
⎞ 
⎛ 
110 
100 
90 
80 
70 
60 
50 
40 
30 
20 
thenhan 12/16/2011 
εr 
w 
t 
h1 
Y + 
Z 
= 2 
0 
( )⎟ ⎟ ⎟ 
⎠ 
⎜ ⎜ ⎜ 
⎝ 
+ 
= 
w 
w t 
r 0.67 0.8 
( ) 
( )⎟ ⎟ ⎟ 
⎠ 
⎜ ⎜ ⎜ 
⎝ 
+ 
+ 
= 
w 
w t 
r 0.67 0.8 
( ) ( ) 
⎥⎦ 
⎢⎣ 
+ 
⎥⎦ 
⎢⎣ 
⎟ ⎟⎠ 
⎜ ⎜⎝ 
+ + 
− 
= 
w t 
h 
Z 
r 0.8 
4 
80 1 
1 2 1 
0 ε 
1 1. 0.5h ≤ w ≤ h 
Source: Motorola 
application note 
AN1051. 
OR 
0.003 0.005 0.007 0.009 0.011 0.013 0.015 
w [in] 
10 
Z0 [ Ω] 
0.020” 
0.018” 
0.015” 
0.012” 
0.010” 
0.008” 
0.005” 
2h1 + h2 + 2t = 0.062” 
t = 0.0007” 
εr = 4.0 
h1
29 
Surface Microstrip Impedance 
w 
t 
h 
⎞ 
Z = 1 
⎛ 
h 
0 ε 
⎞ 
Z h 
ln ⎛ 
5.98 
87 
160 
140 
120 
100 
80 
60 
40 
h 
thenhan 12/16/2011 
ε0 
εr 
[ ] Ω ⎟⎠ 
⎜⎝ 
d 
eff 
ln 4 
2 
μ 
π 
d = 0.536w+ 0.67t 
( ) 0 ε = 0.475ε + 0.67 ε eff r 
[ ] Ω ⎟⎠ 
⎜⎝ 
+ + 
= 
w t 
r 1.41 
0.8 
0 ε 
0.003 0.005 0.007 0.009 0.011 0.013 0.015 
w [in] 
20 
Z0 [Ω] 
0.025” 
0.020” 
0.015” 
0.012” 
0.009” 
0.006” 
0.004” 
t = 0.0007” 
εr 
= 4.0 
[2.1.28] 
[2.1.29] 
[2.1.30] 
[2.1.31]
[2.1.32] 
[2.1.33] 
[2.1.34] 
[2.1.35] 
30 
Embedded Microstrip 
t 
h1 
ε0 
εr 
w 
h2 
⎞ 
⎟⎠ 
Z K ln ⎛ 
5.98 
h 
⎜⎝ 
1 
w t 
0 ε 
where 60 ≤ K ≤ 65 
r 0.8 
+ + 
= 
0.805 2 
⎞ 
⎟⎠ 
Z h 
ln 5.98 
87 ⎛ 
1 
⎜⎝ 
0 ε 
[1 1.55h2 h1 ] 
r r eε ′ =ε − − 
=1.017 0.475 + 0.67 r ε 
w t 
r 0.8 
′ + + 
= 
1.41 
τ 
Or 
140 
120 
100 
80 
60 
40 
20 
0 
h1 
0.015” 
0.012” 
0.010” 
0.008” 
0.006” 
0.005” 
0.003” 
h2 - h1 = 0.002“ 
t= 0.0007” 
εr 
= 4.0 
0.003 0.005 0.007 0.009 0.011 0.013 0.015 
w [in] 
Z0 [Ω] 
thenhan 12/16/2011
31 
Summary 
z System level interconnects can often be 
treated as lossless transmission lines. 
z Transmission lines circuit elements are 
distributed. 
z Voltage and current propagate as waves in 
transmission lines. 
z Propagation velocity and characteristic 
impedance characterize the behavior of 
lossless transmission lines. 
z Coaxial cables, stripline and microstrip 
thenhan 12/16/2011
32 
References 
z S. Hall, G. Hall, and J. McCall, High Speed 
Digital System Design, John Wiley & Sons, Inc. 
(Wiley Interscience), 2000, 1st edition. 
z H. Johnson and M. Graham, High-Speed Signal 
Propagation: Advanced Black Magic, Prentice 
Hall, 2003, 1st edition, ISBN 0-13-084408-X. 
z W. Dally and J. Poulton, Digital Systems 
Engineering, Cambridge University Press, 1998. 
z R.E. Matick, Transmission Lines for Digital and 
Communication Networks, IEEE Press, 1995. 
z R. Poon, Computer Circuits Electrical Design, 
Prentice Hall 1st edition 1995 
thenhan 12/16/2011
33 
BẢẢN CHẤẤT CỦỦA QUÁ TRÌNH 
TRUYỀỀN SÓNG 
z THỰC CHẤT LÀ ĐƯỜNG DÂY 
TRUYỀN SÓNG TRUYỀN NĂNG 
LƯỢNG DƯỚI DẠNG SÓNG CAO TẦN 
z QUÁ TRÌNH TRUYỀN NÀY CÓ VẬN 
TỐC NHẤT ĐỊNH 
z ĐIỆN ÁP VÀ DÒNG ĐIỆN THAY ĐỔI 
TƯƠNG ỨNG THEO 
thenhan 12/16/2011
34 
thenhan 12/16/2011
35 
thenhan 12/16/2011
36 
v(x,t) 
thenhan 12/16/2011
37 
PHƯƯƠƠNG TRÌNH TRUYỀỀN SÓNG 
TRÊN ĐĐƯƯỜỜNG DÂY 
HỆ PHƯƠNG TRÌNH 
MAXWELL 
r 
E B 
t 
∂ 
∂ 
= − 
r 
rot 
r 
H J D 
t 
∂ 
∂ 
r r 
= + 
rot 
ρ = D r 
div 
0 div = B r 
thenhan 12/16/2011
38 
MÔ HÌNH VẬẬT LÝ 
S Z 
i(x,t) i(x + Δz,t) 
S V L Z 
+ 
- 
v(x,t) v(x + Δz,t) 
x x + Δx l 
thenhan 12/16/2011
39 
MÔ HÌNH VẬẬT LÝ 
S Z 
i(x,t) i(x + Δz,t) 
S V L Z 
+ 
- 
v(x,t) v(x + Δz,t) 
x x + Δx l 
i(x + Δz,t) 
v(x + Δz,t) 
x x + Δx 
i(x,t) 
v(x,t) 
i(x,t) i(x + Δz,t) 
v(x,t) v(x + Δz,t) 
thenhan 12/16/2011
40 
L Z 
l 
thenhan 12/16/2011
41 
i(x,t) i(x + Δz,t) 
ΔR 
RΔx ΔL 
LΔx 
GΔx 
ΔG 
v(x,t) CΔx 
v(x + Δz,t) 
ΔC 
Δx 
x x + Δx 
Rất nhỏ 
ΔR = RΔx 
ΔL = LΔx 
ΔG = GΔx 
ΔC = CΔx 
thenhan 12/16/2011
42 
i(x,t) i(x + Δz,t) 
LΔx 
GΔx CΔx 
RΔx 
v(x,t) v(x + Δz,t) 
x x + Δx 
( ) ( ) ( ) v(x x t) 
v x,t RΔx i x,t LΔx i x,t + + Δ , 
x 
∂ 
∂ 
= • + • 
( ) ( ) ( ) i(x x t) 
∂ + 
Δ 
i x,t = G Δ x • v x + Δ x,t + C Δ x • 
v x x,t + + 
Δ , 
x 
∂ 
thenhan 12/16/2011
43 
ĐĐểể tính 
v(x,t) i(x,t) 
cầần xét mộột đđoạạn nhỏỏ 
Δx 
thenhan 12/16/2011
44 
thenhan 12/16/2011
45 
ĐĐiỆỆN ÁP VÀ DÒNG ĐĐiỆỆN 
thenhan 12/16/2011
46 
TÍNH VI SAI 
Δz →0 
thenhan 12/16/2011
47 
thenhan 12/16/2011
48 
thenhan 12/16/2011
49 
thenhan 12/16/2011
50 
MIỀỀN TẦẦN SỐỐ 
thenhan 12/16/2011
LC 2 [rad /m] 
51 
HẰẰNG SỐỐ SÓNG 
π 
λ 
β =ω = 
thenhan 12/16/2011
52 
thenhan 12/16/2011
53 
i(z,t) 
I (z) 
S V L Z 
z l 
v(z,t) 
V (z) 
MÔ HÌNH MẠẠCH ĐĐƯƯỜỜNG DÂY DÀI 
S Z 
+ 
- 
0 
thenhan 12/16/2011
54 
PHƯƯƠƠNG TRÌNH TRUYỀỀN SÓNG 
TRÊN ĐĐƯƯỜỜNG DÂY 
thenhan 12/16/2011
55 
TRỞỞ KHÁNG ĐĐẶẶC TÍNH CỦỦA 
ĐĐƯƯỜỜNG DÂY 0 Z 
thenhan 12/16/2011
56 
TẢẢI TRÊN ĐĐƯƯỜỜNG DÂY 
TRUYỀỀN SÓNG 
thenhan 12/16/2011
57 
+ 
V0 
S V L Z 
+ 
- 
HỆỆ SỐỐ PHẢẢN XẠẠ 
S Z 
z 
l 
− 
V0 
Z0 ,β 
d 
thenhan 12/16/2011 
PS 
( ) + − j β d 
− j β d 
Ii z = I 0 e Ir ( z ) = I 0 
e ( ) j d 
Vi z V e = + − β 0 
( ) j d 
Vr z V e = − β 0 
− 
VL 
+|L 
V
58 
HỆỆ SỐỐ PHẢẢN XẠẠ TẠẠI TẢẢI 
0 
0 
Z Z 
L 
− 
− 
Γ ≡ = + 
L + 
Z Z 
V 
V 
L 
L 
L 
thenhan 12/16/2011
Γ d = V d = Γ • −2 β 
j d 
59 
HỆỆ SỐỐ PHẢẢN XẠẠ TẠẠI MỘỘT ĐĐiỂỂM 
TRÊN ĐĐƯƯỜỜNG DÂY 
( ) ( ) 
r e 
V ( d 
) 
L 
i 
d = l − z 
thenhan 12/16/2011
60 
HỆỆ SỐỐ PHẢẢN XẠẠ CÔNG SUẤẤT 
+ 
- 
Z0 ,β 
thenhan 12/16/2011 
S Z 
S V L Z 
z 
l 
+ 
V0 
− 
V0 
d 
Pi (z) 
Pr (z) 
Pi (l) 
Pr (l) 
PL 
PS 
Pi (0) 
Pr (0)
61 
HỆỆ SỐỐ PHẢẢN XẠẠ CÔNG SUẤẤT 
P 
i 
2 ( )2 d 
Γ = r = Γ 
P 
thenhan 12/16/2011
62 
CÁC TRƯƯỜỜNG HỢỢP ĐĐẶẶC BIỆỆT 
TẢẢI NGẮẮN MẠẠCH 
Z R 
L 
0 
L 
− 
Γ = 
L + 
Z R 
0 
1 
0 
0 
R 
0 = − 
R 
0 
Vi (l) = −Vr (l) 
V(l) = Vi (l)+Vr (l) = 0 
− 
+ 
= 
ΓL 
thenhan 12/16/2011
63 
Z0 ,β 
thenhan 12/16/2011 
+ 
- 
TRỞỞ KHÁNG ĐĐƯƯỜỜNG DÂY 
S Z 
S V L Z 
d l 
Z(d ) 
ZIN
Z d Z Z jZ β 
d 
( )Ω 
64 
TRỞỞ KHÁNG TẠẠI ĐĐiỂỂM CÁCH TẢẢI 
MỘỘT KHOẢẢNG d 
( ) L 
+ 
0 
tan 
( ) 
Z + 
jZ d 
= 
L 
β 
tan 
0 
0 
thenhan 12/16/2011
65 
TRỞỞ KHÁNG ĐĐẦẦU ĐĐƯƯỜỜNG DÂY 
thenhan 12/16/2011
66 
thenhan 12/16/2011
67 
STANDING WAVE 
thenhan 12/16/2011
68 
thenhan 12/16/2011
69 
thenhan 12/16/2011
70 
thenhan 12/16/2011
71 
TỈỈ SỐỐ SÓNG ĐĐỨỨNG LỚỚN 
thenhan 12/16/2011
72 
thenhan 12/16/2011
73 
TỈỈ SỐỐ SÓNG ĐĐỨỨNG NHỎỎ 
thenhan 12/16/2011
74 
SÓNG ĐĐỨỨNG TRÊN ĐĐƯƯỜỜNG 
DÂY 
TỈỈ SỐỐ SÓNG ĐĐỨỨNG 
VSWR = V 
max 
V 
min 
thenhan 12/16/2011
75 
thenhan 12/16/2011
76 
thenhan 12/16/2011
77 
thenhan 12/16/2011
78 
thenhan 12/16/2011
79 
thenhan 12/16/2011
80 
thenhan 12/16/2011
81 
thenhan 12/16/2011
82 
thenhan 12/16/2011
83 
thenhan 12/16/2011
84 
thenhan 12/16/2011
85 
CÁC TRƯƯỜỜNG HỢỢP ĐĐẶẶT BIỆỆT 
z ĐƯỜNG DÂY NGẮN 
MẠCH TẢI 
( ) ( ) 
+ 
β 
Z d Z Z L 
jZ 0 
tan 
d 
Z jZ ( d ) 
= 
in β 
L 
tan 
0 + 
0 
Zin (d ) jZ ( d ) 0 tan β = 
= 0 ZL 
thenhan 12/16/2011
86 
CÁC TRƯƯỜỜNG HỢỢP ĐĐẶẶT BIỆỆT 
z ĐƯỜNG DÂY HỞ 
MẠCH TẢI 
( ) ( ) 
+ 
β 
Z d Z Z L 
jZ 0 
tan 
d 
Z jZ ( d ) 
= 
in β 
L 
tan 
0 + 
0 
Zin (d ) jZ ( d ) 0 cotan β = − 
= ∞ ZL 
thenhan 12/16/2011
87 
ĐĐƯƯỜỜNG TRUYỀỀN MỘỘT PHẦẦN 
TƯƯ BƯƯỚỚC SÓNG 
( ) ( ) 
+ 
β 
Z d Z Z L 
jZ 0 
tan 
d 
Z jZ ( d ) 
= 
in β 
L 
tan 
0 + 
0 
Z ( ) 
Z 
2 
λ 4 = 0 
L 
in Z 
β = 2 
π 
λ 
λ 
4 
d = 
thenhan 12/16/2011
88 
z DÂY NGẮN MẠCH: 
(λ 4) = ∞ ZIN 
= 0 ZL 
z DÂY HỞ MẠCH: 
(λ 4) = 0 ZIN 
= ∞ ZL 
thenhan 12/16/2011
89 
z DÂY NGẮN MẠCH: 
(λ 4) = ∞ ZIN 
= 0 ZL 
z DÂY HỞ MẠCH: 
(λ 4) = 0 ZIN 
= ∞ ZL 
thenhan 12/16/2011
90 
Frequency Dielectric Comments and history 
"Bayonet type-N connector", or "Bayonet Neill- 
Concelman" according to Johnson 
Components. Developed in the early 1950s 
at Bell Labs. Could also stand for "baby N 
connector". 
"Sub-miniature type B", a snap-on subminiature 
connector, available in 50 and 75 ohms. 
Limit 
Connector type 
BNC 4 GHz PTFE 
SMB 4 GHz PTFE 
OSMT 6 GHz PTFE A surface mount connector 
MCX was the original name of the Snap- 
On"micro-coax" connector species. Available 
in 50 and 75 ohms. 
Micro-miniature coax connector, popular in the 
wire industry because its small size and 
cheap price. 
Sub-miniature type C, a threaded subminiature 
connector, not widely used. 
Sub-miniature type A developed in the 1960s, 
perhaps the most widely-used microwave 
connector system in the universe. 
"Threaded Neill-Concelman" connector, 
according to Johnson Components, it is 
actually a threaded BNC connector, to 
reduce vibration problems. Carl Concelman 
was an engineer at Amphenol. 
OSX, MCX, PCX 6 GHz PTFE 
MMCX PTFE 
SMC 10 GHz PTFE 
SMA 25 GHz PTFE 
TNC 15 GHz PTFE 
thenhan 12/16/2011
91 
Named for Paul Neill of Bell Labs in the 1940s, 
available in 50 and 75 ohms. Cheap and 
rugged, it is still widely in use. Originally was 
usable up to one GHz, but over the years this 
species has been extended to 18 GHz, including 
work by Julius Botka at Hewlett Packard. 
APC-7 stands for "Amphenol precision connector", 
7mm. Developed in the swinging 60s, ironically 
a truly sexless connector, which provides the 
lowest VSWR of any connector up to 18 GHz. 
OSP stands for "Omni-Spectra push-on", a blind-mate 
connector with zero detent. Often used in 
equipment racks. 
A precision (expensive) connector, it mates to 
cheaper SMA connectors. 
OSP stands for "Omni-Spectra subminiature push-on", 
a smaller version of OSP connector. 
11 GHz PTFE 
normal 
18 GHz 
precision 
APC-7, 7 mm 18 GHz PTFE 
OSP 22 GHz PTFE 
3.5 mm 26.5 GHz Air 
OSSP 28 GHz PTFE 
SSMA 38 GHz PTFE Smaller than an SMA. 
Precision connector, developed by Mario Maury in 
1974. 2.92 mm will thread to cheaper SMA and 
3.5 mm connectors. Often called "2.9 mm". 
The original mass-marketed 2.92 mm connector, 
made by Wiltron (now Anritsu). Named the "K" 
connector, meaning it covers all of the K 
frequency bands. 
2.92 mm 40 GHz Air 
K 40 GHz Air 
thenhan 12/16/2011 
N 
"Threaded Neill-Concelman" connector, according to 
Johnson Components, it is actually a threaded 
BNC connector, to reduce vibration problems. 
Carl Concelman was an engineer at Amphenol. 
TNC 15 GHz PTFE
92 
"Gilbert push-on", "Omni-spectra microminiature 
push-on" 
GPO, OSMP, SMP 40 GHz PTFE 
OS-50P 40 GHz Smaller version of OSP blind-mate connector. 
2.4 mm, and 1.85 mm will mate with each other 
without damage. Developed by Julius Botka and 
Paul Watson in 1986, along with the 1.85 mm 
connector. 
2.4 mm 50 GHz Air 
1.85 mm 60 GHz Air Mechanically compatible with 2.4 mm connectors. 
Anritsu's term for 1.85 mm connectors because 
they span the V frequency band. 
The Rolls Royce of connectors. This connector 
species works up to 110 GHz. It costs a fortune! 
Developed at Hewlett Packard (now Agilent) by 
Paul Watson in 1989. 
V 60 GHz Air 
1 mm 110 GHz Air 
thenhan 12/16/2011
93 
thenhan 12/16/2011
94 
thenhan 12/16/2011
95 
thenhan 12/16/2011
96 
thenhan 12/16/2011
97 
thenhan 12/16/2011
98 
RETURN LOSS 
RL = −20logΓ dB 
thenhan 12/16/2011
99 
TRANSMISSION COEFICIENT 
T =1+ Γ 
T Z Z 
0 1 2 
Z 
L 
Z Z 
L 
+ 
= 
0 0 
L 
− 
Z Z 
L 
+ 
= + 
thenhan 12/16/2011
100 
INSERTION LOSS 
IL = −20logT dB 
thenhan 12/16/2011
101 
SMITH CHART 
thenhan 12/16/2011
102 
MỐỐI QUAN HỆỆ GIỮỮA TRỞỞ 
KHÁNG VÀ HỆỆ SỐỐ PHẢẢN XẠẠ 
( ) ( ) 
Z x Z x 
(x) 
+ Γ 
− Γ 
= 
1 
0 
1 
thenhan 12/16/2011
103 
CÁC GIÁ TRỊỊ CHUẨẨN HÓA 
( ) ( ) 
z x = Z x 
0 R 
TRỞỞ KHÁNG CHUẦẦN HÓA 
z = r + jx 
thenhan 12/16/2011
104 
z ZL 
L = 
0 R 
1 
r R 
0 
0 = = 
R 
0 
( ) ( ) 
y x = Y x 
Y 
0 Y ( x ) = 1 
Z ( x 
) thenhan 12/16/2011
105 
HỆỆ SỐỐ PHẢẢN XẠẠ 
( ) ( ) 
x Z x R 
0 
− 
Γ = 
( ) ( ) 
( ) 0 
Z x + 
R 
1 
− 
x Z x R 
0 
+ 
( ) 1 
Z x R 
0 
Γ = 
thenhan 12/16/2011
106 
MỐỐI QUAN HỆỆ GIỮỮA HỆỆ SỐỐ 
PHẢẢN XẠẠ VÀ TRỞỞ KHÁNG 
CHUẨẨN HÓA 
1 
+ 
1 
− 
x z x 
Γ = 
z x 
thenhan 12/16/2011
107 
Γ(x) z(x) 
z(x) Γ(x) 
z CÓ 1 GIÁ TRỊ THÌ CHỈ CÓ DUY NHẤT 1 GIÁ TRỊ 
z CÓ 1 GIÁ TRỊ THÌ CHỈ CÓ DUY NHẤT 1 GIÁ TRỊ 
thenhan 12/16/2011
Γ(x) = 0.8∠600 
108 
BẢẢN CHẤẤT VÀ CÁCH BIỂỂU DIỂỂN 
HỆỆ SỐỐ PHẢẢN XẠẠ 
+1 
Mặt phẳng phức 
0.8 
−1 +1 
600 
Γ(x) 
Re(Γ(x)) 
Im(Γ) 
Im(Γ(x)) 
Re(Γ) 
0 
−1 
thenhan 12/16/2011
109 
HỆỆ SỐỐ PHẢẢN XẠẠ 
(x) (x) j (x) r i Γ = Γ + Γ 
r i Dạng đơn giản Γ = Γ + jΓ 
⎧ 
Γ r 
= Re 
( Γ 
) 
⎨ ⎩ Γ i 
= Im 
( Γ 
) thenhan 12/16/2011
110 
TRỞỞ KHÁNG ĐĐƯƯỜỜNG DÂY 
Z(x) = R(x)+ jX (x) 
Z = R + jX 
thenhan 12/16/2011
111 
TRỞỞ KHÁNG CHUẨẨN HÓA 
z(x) = r(x)+ jx 
z = r + jx 
r = R 
0 R 
x = X 
0 R 
Trở kháng đường 
dây chuẩn hóa 
Điện trở đường dây 
chuẩn hóa 
Điện kháng đường 
dây chuẩn hóa 
thenhan 12/16/2011
112 
r jx j 
+ Γ + Γ 
r i 
j 
− Γ − Γ 
r i 
+ = 
1 
1 
thenhan 12/16/2011
113 
− Γ − Γ 
2 2 
1 
r r i 
( )2 2 
1 
− Γ + Γ 
r i 
= 
2 
Γ 
x i 
( 2 1 
− Γ )+ Γ 
2 r i 
= 
thenhan 12/16/2011
114 
PHƯƯƠƠNG TRÌNH ĐĐƯƯỜỜNG TRÒN 
2 
⎞ 
+ Γ 2 
⎟⎠ 
= 2 
⎛ 
+ 
r i 
r r 
1 
1 
1 
⎞ 
⎟⎠ 
⎜⎝ 
⎛ 
⎜⎝ 
r 
+ 
Γ − 
⎞ 
⎟⎠ 
r 
⎛ 
+ 
⎜⎝ 
0 , 
1 r 
tâm 
bán kính 
1 
1+ r 
thenhan 12/16/2011
115 
Re(Γ) 
Im(Γ) 
i Γ 
+1 
Mặt phẳng phức 
r = 0 
r = 0.2 
r = 0.5 
−1 r =1 r = 2 
+1 
−1 
0 
r Γ 
thenhan 12/16/2011
116 
PHƯƯƠƠNG TRÌNH ĐĐƯƯỜỜNG TRÒN 
2 2 
( ) 
2 1 1 ⎛ 1 ⎞ 
⎟⎠ 
= ⎟⎠ 
⎜⎝ 
⎞ 
Γ − + ⎛Γ − 
⎜⎝ 
x x r i 
⎞ 
⎟⎠ 
1, 1 tâm 
⎛ 
x 
⎜⎝ 
bán kính 
1 
x 
thenhan 12/16/2011
117 
Re(Γ) 
Im(Γ) 
i Γ 
+1 
Mặt phẳng phức 
x = 0.5 x =1 
−1 +1 
x = −0.5 x = −1 
−1 
0 
r Γ 
thenhan 12/16/2011
118 
Re(Γ) 
Im(Γ) 
i Γ 
+1 
Mặt phẳng phức 
x = 0.5 x =1 
−1 +1 
x = −1 
−1 
0 
r Γ 
x = −0.5 
thenhan 12/16/2011
119 
Re(Γ) 
Im(Γ) 
i Γ 
+1 
Mặt phẳng phức 
r = 0 
r = 0.2 
r = 0.5 
−1 r =1 r = 2 
+1 
−1 
0 
r Γ 
thenhan 12/16/2011
120 
Re(Γ) 
Im(Γ) 
i Γ 
+1 
Mặt phẳng phức 
x = 0.5 
x =1 
r = 0.2 
r = 0.5 
−1 +1 
r =1 r = 2 
x = −1 
−1 
0 
r Γ 
x = −0.5 
thenhan 12/16/2011
121 
thenhan 12/16/2011
122 
thenhan 12/16/2011
123 
thenhan 12/16/2011
124 
thenhan 12/16/2011
125 
thenhan 12/16/2011
126 
thenhan 12/16/2011
127 
ỨỨng dụụng củủa đđồồ thịị SMITH 
thenhan 12/16/2011

Microwave engineering full

  • 1.
    MICROWAVE ENGINEERING LECTURENOTE 1 thenhan 12/16/2011
  • 2.
    2 PHẠẠM VICỦỦA LĨĨNH VỰỰC SIÊU CAO TẦẦN z TẦN SỐ THÔNG THƯỜNG TỪ 1GHz TRỞ LÊN BẢNG PHÂN ĐỊNH TẦN SỐ thenhan 12/16/2011
  • 3.
  • 4.
  • 5.
  • 6.
    6 ĐĐƯƯỜỜNG DÂYTRUYỀỀN SÓNG . ĐIỆN ÁP VÀ DÒNG ĐIỆN PHỤ THUỘC CẢ KHÔNG GIAN Ở VỊ TRÍ z VÀ THỜI GIAN TẠI THỜI ĐIỂM t, thenhan 12/16/2011
  • 7.
    Module 2: TransmissionLines Topic 1: Theory 7 OGI EE564 Howard Heck thenhan 12/16/2011
  • 8.
    8 Where AreWe? 1. Introduction 2. Transmission Line Basics 1. Transmission Line Theory 2. Basic I/O Circuits 3. Reflections 4. Parasitic Discontinuities 5. Modeling, Simulation, & Spice 6. Measurement: Basic Equipment 7. Measurement: Time Domain Reflectometry 3. Analysis Tools 4. Metrics & Methodology 5. Advanced Transmission Lines thenhan 12/16/2011
  • 9.
    9 CzoPnrotpeangattsion Velocity z Characteristic Impedance z Visualizing Transmission Line Behavior z General Circuit Model z Frequency Dependence z Lossless Transmission Lines z Homogeneous and Non-homogeneous Lines z Impedance Formulae for Transmission Line Structures z Summary z References thenhan 12/16/2011
  • 10.
    y I+ dI dz dz V+ d V dz z x [2.1.1] [2.1.2] I V C V I ∂ ∂ = − Ldz Cdz dz dz V, I the Telegraphist’s Equations [2.1.3a] [2.1.3b] 10 Wave propagates in z Propagation direction Velocity z Physical example: 9 Circuit: L = [nH/cm] C = [pF/cm] V dz ( Ldz ) I z ∂ t ∂ ∂ 9 Total voltage change across = − ∂ Ldz (use Δ V L d I ): = − dt 9 Total current change across ΔI = −C dV Cdz (use d t ): I ∂ dz ( Cdz ) V z t ∂ ∂ ∂ = − 9 Simplify [2.1.1] & [2.1.2] to get t ∂ L I ∂ t z ∂ V ∂ z ∂ ∂ = − thenhan 12/16/2011
  • 11.
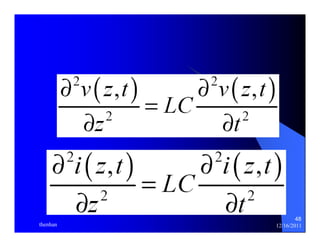
    2 2 CV I ∂ ∂ 9 Differentiate [2.1.3a] by t: 2 [2.1.4] t z t ∂ = − ∂ ∂ ∂ 2 L I 2 V ∂ 9 Differentiate [2.1.3b] by z: [2.1.5] 2 t z z ∂ ∂ = − ∂ 2 2 2 1 V LC V V ∂ ∂ ∂ 9 Equate [2.1.4] & [2.1.5]: [2.1.6] 2 [2.1.7] [2.1.8] 11 Propagation Velocity (2) ∂ 9 Equation [2.1.6] is a form of the wave equation. The solution to [2.1.6] contains forward and backward traveling wave components, which travel with a phase velocity. 9 Phase velocity definition: v 2 z = ≡ 1 LC 9 Equation in terms of current: t ∂ I 2 2 = 2 2 t ∂ ν 2 1 LC I = 2 2 2 I 2 t t z ∂ ∂ ∂ ∂ = ∂ ∂ ν An alternate treatment of propagation velocity is contained in the appendix. thenhan 12/16/2011
  • 12.
    dz = segmentlength C = capacitance per segment L = inductance per segment 12 Z1 Z2 Z3 Characteristic Impedance b c Ldz (Lossless) V1 V2 V3 Cdx to ∞ Ldz Cdz Ldz Cdz d e f dz dz a dz z The input impedance (Z1) is the impedance of the first inductor (Ldz) in series with the parallel combination of the impedance of the capacitor (Cdz) and Z2. [2.1.9] ( ) Z j Cdz Z j Ldz Z j ω Cdz ω = ω + 1/ 2 1/ 2 1 + ( 1/ ) ( 1/ ) (1/ ) 0 1 2 2 2 Z Z + jωlC − jωlL Z + jωlC − Z jωlC = thenhan 12/16/2011
  • 13.
    13 Characteristic Impedance (Lossless) z Assuming a uniform line, the input impedance should be the same when looking into node pairs a-d, b-e, c-f, and so fo( rth1./ So, Z) 2 = Z(1= 1Z/0. ) (1/ ) 0 0 0 0 0 Z Z + jωCdz − jωlLdz Z + jωCdz − Z jωCdz = [2.1.10] ω Z j LZ dz j Ldz j Cdz Z 2 0 2 0 0 0 + − − − 0 = = − 0 − j Cdz ω j LZ dz Ldz Cdz Z Z j Cdz ω ω ω ω ω ω 0 Z 2 − jωLZ L 0 0 dz − = 0 [2.1.11] C 9 Allow dz to become very small, causing the frequency dependent term to drop out: Z L [2.1.12] 2 0 0 − = C 9 Solve for Z0: Z = L 0 C [2.1.13] thenhan 12/16/2011
  • 14.
    14 Visualizing TransmissionLine h Behavior f z Water flow – Potential = Wave height [m] – Flow = Flow rate [liter/sec] I +++++++ - - - - - - - I V 9 Transmission Line ¾ Potential = Voltage [V] ¾ Flow = Current [A] = [C/sec] 9 Just as the wave front of the water flows in the pipe, the voltage propagates in the transmission line. The same holds true for current. ¾ Voltage and current propagate as waves in the transmission line. thenhan 12/16/2011
  • 15.
    15 Visualizing TransmissionLine Behavior #2 z Extending the analogy – The diameter of the pipe relates the flow rate and height of the water. This is analogous to electrical impedance. – Ohm’s law and the characteristic impedance define the relationship between current and potential in the transmission line. z Effects of impedance discontinuities – What happens when the water encounters a ledge or a barrier? – What happens to the current and voltage waves when the impedance of the transmission line changes? thenhan 12/16/2011
  • 16.
    16 General TransmissionLine Model (No Coupling) z Transmission line parameters are distributed (e.g. capacitance per unit length). R L R L R L z A G C transmission line can G be C modeled G C using a network of resistances, inductances, and capacitances, where the distributed parameters are broken into small discrete elements. thenhan 12/16/2011
  • 17.
    ω ω [2.1.14] Propagation Constant γ = (R + jωL)(G + jωC) =α + jβ [2.1.15] α = attenuation constant = rate of exponential attenuation β = phase constant = amount of phase shift per unit length ν = Phase Velocity p [2.1.16] In general, α and β are frequency dependent. 17 General Transmission Line Model #2 Symb Units ol Parameters Parameter Conductor R Ω•cm-1 Resistance Self Inductance L nH•cm-1 Total Capacitance C pF•cm-1 Ω-1•cm - 1 Dielectric G Conductance Characteristic Impedance Z R j L + + 0 G j C = ω β thenhan 12/16/2011
  • 18.
    18 Frequency Dependence From [2.1.14] and [2.1.15] note that: z Z0 and γ depend on the frequency content of the signal. z Frequency dependence causes attenuation and edge rate degradation. Attenuation Output signal from lossy transmission line Output signal from lossless transmission line Edge rate degradation Signal at driven end of transmission line thenhan 12/16/2011
  • 19.
    19 FrzeRqaunede nGncaryesDomeeptiemnesd neegnlicgiebl e#, 2 particularly at low frequencies – Simplifies to the lossless case: no attenuation & no dispersion z In modules 2 and 3, we will concentrate on lossless transmission lines. z Modules 5 and 6 will deal with lossy lines. thenhan 12/16/2011
  • 20.
    H E 20 Lossless Transmission Lines Quasi-TEM Assumption z The electric and magnetic fields are perpendicular to the propagation velocity in the transverse planes. x y z thenhan 12/16/2011
  • 21.
    21 z Losslesstransmission lines are characterized by the following two parameters: Lossless Line Parameters Z = L 0 C v = 1 LC Characteristic Impedance Propagation Velocity z Lossless line characteristics are frequency independent. z As noted before, Z0 defines the relationship between voltage and current for the traveling waves. The units are ohms [Ω]. z υ defines the propagation velocity of the waves. The units are cm/ns. thenhan 12/16/2011 S ti th ti dl [2.1.17] [2.1.18]
  • 22.
    22 Lossless LineEquivalent Circuit L L L z The transmission line equivalent circuit shown C on the C left is C often represented by the coaxial cable symbol. Z0Z, 0ν, ,v l,e lnegntghth thenhan 12/16/2011
  • 23.
    [2.1.19] 23 HomogeneousMedia z A homogeneous dielectric medium is uniform in all directions. – All field v = 1 lines = are 1 = 0 = contained 30 within the dielectric. LC c cm / ns εμ ε μ ε r r r 0 ε ε ε r = Dielectric Permittivity εNote: only r r εz For a ε 0 = 8.854 x transmission 10− 14 F line in a Permittivity of free homogeneous space medium, μ the cm 8 0 =1.257 x 10− H propagation velocity depends only on material cm properties: Magnetic Permeability 0 μ ≅ μ Permeability of free space εr is the relative permittivity or dielectric constant. is required to calculate νν. thenhan 12/16/2011
  • 24.
    24 Non-Homogeneous Media z A non-homogenous medium contains multiple materials with different dielectric constants. z For a non-homogeneous medium, field lines cut v = 1 ≠ 1 across LC the εμ boundaries between dielectric materials. z In this case the propagation velocity depends on the dielectric constants and the proportions of the materials. Equation [2.1.19] does not hold: 9 In practice, an effective dielectric constant, εr,eff is often used, which represents an average dielectric constant. thenhan 12/16/2011
  • 25.
    25 Some TypicalTransmission Line Structures And useful formulas for Z0 thenhan 12/16/2011
  • 26.
    26 r R εr Trởở kháng cáp đđồồng trụục εr = 2 εr = 2.5 εr = 3 2 3 4 5 6 7 8 9 10 R/r 140 120 100 80 60 40 20 ⎞ Z = 1 ln ⎛ R 0 ε 2πε ⎞ ⎛ R ⎞ μ L = ln ⎛ R thenhan 12/16/2011 Z0 [ Ω] εr = 1 εrr= 4 ε = 3.5 , lZe0n, gυth, vle, n0gZth ⎟⎠ ⎜⎝ r 2 μ π [2.1.20] ⎟⎠ ⎜⎝ = r C ln [2.1.21] ⎟⎠ ⎜⎝ r 2π [2.1.22]
  • 27.
    ⎞ h 4 60 ln 2 ( )⎟ ⎟ ⎟ ⎠ w 0.35 0.25 27 Centered Stripline Impedance ⎛ ⎜ ⎜ ⎜ 0 ε π r 0.67 0.8 ⎝ w + t = Z w t h1 h2 εr Source: Motorola application note AN1051. Valid for w h −t 2 < h < 2 t 60 Z0 [Ω] 55 50 45 40 35 30 25 20 15 h2 0.003 0.005 0.007 0.009 0.011 0.013 0.015 thenhan 12/16/2011 w [in] 10 0.070 0.060 0.050 0.040 0.030 0.025 0.020 t = 0.0007” εr = 4.0
  • 28.
    [2.1.24] [2.1.25] [2.1.26] [2.1.27] 28 Dual Stripline Impedance w h1 t h2 Z YZ ⎞ ⎛ Y h 60 ln 8 1 ε π ⎞ ⎛ Z h h 60 ln 8 1 2 ε π ⎤ 1 h h t h t ln ⎡ 1.9 2 + ⎤ ⎡ ⎞ ⎛ 110 100 90 80 70 60 50 40 30 20 thenhan 12/16/2011 εr w t h1 Y + Z = 2 0 ( )⎟ ⎟ ⎟ ⎠ ⎜ ⎜ ⎜ ⎝ + = w w t r 0.67 0.8 ( ) ( )⎟ ⎟ ⎟ ⎠ ⎜ ⎜ ⎜ ⎝ + + = w w t r 0.67 0.8 ( ) ( ) ⎥⎦ ⎢⎣ + ⎥⎦ ⎢⎣ ⎟ ⎟⎠ ⎜ ⎜⎝ + + − = w t h Z r 0.8 4 80 1 1 2 1 0 ε 1 1. 0.5h ≤ w ≤ h Source: Motorola application note AN1051. OR 0.003 0.005 0.007 0.009 0.011 0.013 0.015 w [in] 10 Z0 [ Ω] 0.020” 0.018” 0.015” 0.012” 0.010” 0.008” 0.005” 2h1 + h2 + 2t = 0.062” t = 0.0007” εr = 4.0 h1
  • 29.
    29 Surface MicrostripImpedance w t h ⎞ Z = 1 ⎛ h 0 ε ⎞ Z h ln ⎛ 5.98 87 160 140 120 100 80 60 40 h thenhan 12/16/2011 ε0 εr [ ] Ω ⎟⎠ ⎜⎝ d eff ln 4 2 μ π d = 0.536w+ 0.67t ( ) 0 ε = 0.475ε + 0.67 ε eff r [ ] Ω ⎟⎠ ⎜⎝ + + = w t r 1.41 0.8 0 ε 0.003 0.005 0.007 0.009 0.011 0.013 0.015 w [in] 20 Z0 [Ω] 0.025” 0.020” 0.015” 0.012” 0.009” 0.006” 0.004” t = 0.0007” εr = 4.0 [2.1.28] [2.1.29] [2.1.30] [2.1.31]
  • 30.
    [2.1.32] [2.1.33] [2.1.34] [2.1.35] 30 Embedded Microstrip t h1 ε0 εr w h2 ⎞ ⎟⎠ Z K ln ⎛ 5.98 h ⎜⎝ 1 w t 0 ε where 60 ≤ K ≤ 65 r 0.8 + + = 0.805 2 ⎞ ⎟⎠ Z h ln 5.98 87 ⎛ 1 ⎜⎝ 0 ε [1 1.55h2 h1 ] r r eε ′ =ε − − =1.017 0.475 + 0.67 r ε w t r 0.8 ′ + + = 1.41 τ Or 140 120 100 80 60 40 20 0 h1 0.015” 0.012” 0.010” 0.008” 0.006” 0.005” 0.003” h2 - h1 = 0.002“ t= 0.0007” εr = 4.0 0.003 0.005 0.007 0.009 0.011 0.013 0.015 w [in] Z0 [Ω] thenhan 12/16/2011
  • 31.
    31 Summary zSystem level interconnects can often be treated as lossless transmission lines. z Transmission lines circuit elements are distributed. z Voltage and current propagate as waves in transmission lines. z Propagation velocity and characteristic impedance characterize the behavior of lossless transmission lines. z Coaxial cables, stripline and microstrip thenhan 12/16/2011
  • 32.
    32 References zS. Hall, G. Hall, and J. McCall, High Speed Digital System Design, John Wiley & Sons, Inc. (Wiley Interscience), 2000, 1st edition. z H. Johnson and M. Graham, High-Speed Signal Propagation: Advanced Black Magic, Prentice Hall, 2003, 1st edition, ISBN 0-13-084408-X. z W. Dally and J. Poulton, Digital Systems Engineering, Cambridge University Press, 1998. z R.E. Matick, Transmission Lines for Digital and Communication Networks, IEEE Press, 1995. z R. Poon, Computer Circuits Electrical Design, Prentice Hall 1st edition 1995 thenhan 12/16/2011
  • 33.
    33 BẢẢN CHẤẤTCỦỦA QUÁ TRÌNH TRUYỀỀN SÓNG z THỰC CHẤT LÀ ĐƯỜNG DÂY TRUYỀN SÓNG TRUYỀN NĂNG LƯỢNG DƯỚI DẠNG SÓNG CAO TẦN z QUÁ TRÌNH TRUYỀN NÀY CÓ VẬN TỐC NHẤT ĐỊNH z ĐIỆN ÁP VÀ DÒNG ĐIỆN THAY ĐỔI TƯƠNG ỨNG THEO thenhan 12/16/2011
  • 34.
  • 35.
  • 36.
  • 37.
    37 PHƯƯƠƠNG TRÌNHTRUYỀỀN SÓNG TRÊN ĐĐƯƯỜỜNG DÂY HỆ PHƯƠNG TRÌNH MAXWELL r E B t ∂ ∂ = − r rot r H J D t ∂ ∂ r r = + rot ρ = D r div 0 div = B r thenhan 12/16/2011
  • 38.
    38 MÔ HÌNHVẬẬT LÝ S Z i(x,t) i(x + Δz,t) S V L Z + - v(x,t) v(x + Δz,t) x x + Δx l thenhan 12/16/2011
  • 39.
    39 MÔ HÌNHVẬẬT LÝ S Z i(x,t) i(x + Δz,t) S V L Z + - v(x,t) v(x + Δz,t) x x + Δx l i(x + Δz,t) v(x + Δz,t) x x + Δx i(x,t) v(x,t) i(x,t) i(x + Δz,t) v(x,t) v(x + Δz,t) thenhan 12/16/2011
  • 40.
    40 L Z l thenhan 12/16/2011
  • 41.
    41 i(x,t) i(x+ Δz,t) ΔR RΔx ΔL LΔx GΔx ΔG v(x,t) CΔx v(x + Δz,t) ΔC Δx x x + Δx Rất nhỏ ΔR = RΔx ΔL = LΔx ΔG = GΔx ΔC = CΔx thenhan 12/16/2011
  • 42.
    42 i(x,t) i(x+ Δz,t) LΔx GΔx CΔx RΔx v(x,t) v(x + Δz,t) x x + Δx ( ) ( ) ( ) v(x x t) v x,t RΔx i x,t LΔx i x,t + + Δ , x ∂ ∂ = • + • ( ) ( ) ( ) i(x x t) ∂ + Δ i x,t = G Δ x • v x + Δ x,t + C Δ x • v x x,t + + Δ , x ∂ thenhan 12/16/2011
  • 43.
    43 ĐĐểể tính v(x,t) i(x,t) cầần xét mộột đđoạạn nhỏỏ Δx thenhan 12/16/2011
  • 44.
  • 45.
    45 ĐĐiỆỆN ÁPVÀ DÒNG ĐĐiỆỆN thenhan 12/16/2011
  • 46.
    46 TÍNH VISAI Δz →0 thenhan 12/16/2011
  • 47.
  • 48.
  • 49.
  • 50.
    50 MIỀỀN TẦẦNSỐỐ thenhan 12/16/2011
  • 51.
    LC 2 [rad/m] 51 HẰẰNG SỐỐ SÓNG π λ β =ω = thenhan 12/16/2011
  • 52.
  • 53.
    53 i(z,t) I(z) S V L Z z l v(z,t) V (z) MÔ HÌNH MẠẠCH ĐĐƯƯỜỜNG DÂY DÀI S Z + - 0 thenhan 12/16/2011
  • 54.
    54 PHƯƯƠƠNG TRÌNHTRUYỀỀN SÓNG TRÊN ĐĐƯƯỜỜNG DÂY thenhan 12/16/2011
  • 55.
    55 TRỞỞ KHÁNGĐĐẶẶC TÍNH CỦỦA ĐĐƯƯỜỜNG DÂY 0 Z thenhan 12/16/2011
  • 56.
    56 TẢẢI TRÊNĐĐƯƯỜỜNG DÂY TRUYỀỀN SÓNG thenhan 12/16/2011
  • 57.
    57 + V0 S V L Z + - HỆỆ SỐỐ PHẢẢN XẠẠ S Z z l − V0 Z0 ,β d thenhan 12/16/2011 PS ( ) + − j β d − j β d Ii z = I 0 e Ir ( z ) = I 0 e ( ) j d Vi z V e = + − β 0 ( ) j d Vr z V e = − β 0 − VL +|L V
  • 58.
    58 HỆỆ SỐỐPHẢẢN XẠẠ TẠẠI TẢẢI 0 0 Z Z L − − Γ ≡ = + L + Z Z V V L L L thenhan 12/16/2011
  • 59.
    Γ d =V d = Γ • −2 β j d 59 HỆỆ SỐỐ PHẢẢN XẠẠ TẠẠI MỘỘT ĐĐiỂỂM TRÊN ĐĐƯƯỜỜNG DÂY ( ) ( ) r e V ( d ) L i d = l − z thenhan 12/16/2011
  • 60.
    60 HỆỆ SỐỐPHẢẢN XẠẠ CÔNG SUẤẤT + - Z0 ,β thenhan 12/16/2011 S Z S V L Z z l + V0 − V0 d Pi (z) Pr (z) Pi (l) Pr (l) PL PS Pi (0) Pr (0)
  • 61.
    61 HỆỆ SỐỐPHẢẢN XẠẠ CÔNG SUẤẤT P i 2 ( )2 d Γ = r = Γ P thenhan 12/16/2011
  • 62.
    62 CÁC TRƯƯỜỜNGHỢỢP ĐĐẶẶC BIỆỆT TẢẢI NGẮẮN MẠẠCH Z R L 0 L − Γ = L + Z R 0 1 0 0 R 0 = − R 0 Vi (l) = −Vr (l) V(l) = Vi (l)+Vr (l) = 0 − + = ΓL thenhan 12/16/2011
  • 63.
    63 Z0 ,β thenhan 12/16/2011 + - TRỞỞ KHÁNG ĐĐƯƯỜỜNG DÂY S Z S V L Z d l Z(d ) ZIN
  • 64.
    Z d ZZ jZ β d ( )Ω 64 TRỞỞ KHÁNG TẠẠI ĐĐiỂỂM CÁCH TẢẢI MỘỘT KHOẢẢNG d ( ) L + 0 tan ( ) Z + jZ d = L β tan 0 0 thenhan 12/16/2011
  • 65.
    65 TRỞỞ KHÁNGĐĐẦẦU ĐĐƯƯỜỜNG DÂY thenhan 12/16/2011
  • 66.
  • 67.
    67 STANDING WAVE thenhan 12/16/2011
  • 68.
  • 69.
  • 70.
  • 71.
    71 TỈỈ SỐỐSÓNG ĐĐỨỨNG LỚỚN thenhan 12/16/2011
  • 72.
  • 73.
    73 TỈỈ SỐỐSÓNG ĐĐỨỨNG NHỎỎ thenhan 12/16/2011
  • 74.
    74 SÓNG ĐĐỨỨNGTRÊN ĐĐƯƯỜỜNG DÂY TỈỈ SỐỐ SÓNG ĐĐỨỨNG VSWR = V max V min thenhan 12/16/2011
  • 75.
  • 76.
  • 77.
  • 78.
  • 79.
  • 80.
  • 81.
  • 82.
  • 83.
  • 84.
  • 85.
    85 CÁC TRƯƯỜỜNGHỢỢP ĐĐẶẶT BIỆỆT z ĐƯỜNG DÂY NGẮN MẠCH TẢI ( ) ( ) + β Z d Z Z L jZ 0 tan d Z jZ ( d ) = in β L tan 0 + 0 Zin (d ) jZ ( d ) 0 tan β = = 0 ZL thenhan 12/16/2011
  • 86.
    86 CÁC TRƯƯỜỜNGHỢỢP ĐĐẶẶT BIỆỆT z ĐƯỜNG DÂY HỞ MẠCH TẢI ( ) ( ) + β Z d Z Z L jZ 0 tan d Z jZ ( d ) = in β L tan 0 + 0 Zin (d ) jZ ( d ) 0 cotan β = − = ∞ ZL thenhan 12/16/2011
  • 87.
    87 ĐĐƯƯỜỜNG TRUYỀỀNMỘỘT PHẦẦN TƯƯ BƯƯỚỚC SÓNG ( ) ( ) + β Z d Z Z L jZ 0 tan d Z jZ ( d ) = in β L tan 0 + 0 Z ( ) Z 2 λ 4 = 0 L in Z β = 2 π λ λ 4 d = thenhan 12/16/2011
  • 88.
    88 z DÂYNGẮN MẠCH: (λ 4) = ∞ ZIN = 0 ZL z DÂY HỞ MẠCH: (λ 4) = 0 ZIN = ∞ ZL thenhan 12/16/2011
  • 89.
    89 z DÂYNGẮN MẠCH: (λ 4) = ∞ ZIN = 0 ZL z DÂY HỞ MẠCH: (λ 4) = 0 ZIN = ∞ ZL thenhan 12/16/2011
  • 90.
    90 Frequency DielectricComments and history "Bayonet type-N connector", or "Bayonet Neill- Concelman" according to Johnson Components. Developed in the early 1950s at Bell Labs. Could also stand for "baby N connector". "Sub-miniature type B", a snap-on subminiature connector, available in 50 and 75 ohms. Limit Connector type BNC 4 GHz PTFE SMB 4 GHz PTFE OSMT 6 GHz PTFE A surface mount connector MCX was the original name of the Snap- On"micro-coax" connector species. Available in 50 and 75 ohms. Micro-miniature coax connector, popular in the wire industry because its small size and cheap price. Sub-miniature type C, a threaded subminiature connector, not widely used. Sub-miniature type A developed in the 1960s, perhaps the most widely-used microwave connector system in the universe. "Threaded Neill-Concelman" connector, according to Johnson Components, it is actually a threaded BNC connector, to reduce vibration problems. Carl Concelman was an engineer at Amphenol. OSX, MCX, PCX 6 GHz PTFE MMCX PTFE SMC 10 GHz PTFE SMA 25 GHz PTFE TNC 15 GHz PTFE thenhan 12/16/2011
  • 91.
    91 Named forPaul Neill of Bell Labs in the 1940s, available in 50 and 75 ohms. Cheap and rugged, it is still widely in use. Originally was usable up to one GHz, but over the years this species has been extended to 18 GHz, including work by Julius Botka at Hewlett Packard. APC-7 stands for "Amphenol precision connector", 7mm. Developed in the swinging 60s, ironically a truly sexless connector, which provides the lowest VSWR of any connector up to 18 GHz. OSP stands for "Omni-Spectra push-on", a blind-mate connector with zero detent. Often used in equipment racks. A precision (expensive) connector, it mates to cheaper SMA connectors. OSP stands for "Omni-Spectra subminiature push-on", a smaller version of OSP connector. 11 GHz PTFE normal 18 GHz precision APC-7, 7 mm 18 GHz PTFE OSP 22 GHz PTFE 3.5 mm 26.5 GHz Air OSSP 28 GHz PTFE SSMA 38 GHz PTFE Smaller than an SMA. Precision connector, developed by Mario Maury in 1974. 2.92 mm will thread to cheaper SMA and 3.5 mm connectors. Often called "2.9 mm". The original mass-marketed 2.92 mm connector, made by Wiltron (now Anritsu). Named the "K" connector, meaning it covers all of the K frequency bands. 2.92 mm 40 GHz Air K 40 GHz Air thenhan 12/16/2011 N "Threaded Neill-Concelman" connector, according to Johnson Components, it is actually a threaded BNC connector, to reduce vibration problems. Carl Concelman was an engineer at Amphenol. TNC 15 GHz PTFE
  • 92.
    92 "Gilbert push-on","Omni-spectra microminiature push-on" GPO, OSMP, SMP 40 GHz PTFE OS-50P 40 GHz Smaller version of OSP blind-mate connector. 2.4 mm, and 1.85 mm will mate with each other without damage. Developed by Julius Botka and Paul Watson in 1986, along with the 1.85 mm connector. 2.4 mm 50 GHz Air 1.85 mm 60 GHz Air Mechanically compatible with 2.4 mm connectors. Anritsu's term for 1.85 mm connectors because they span the V frequency band. The Rolls Royce of connectors. This connector species works up to 110 GHz. It costs a fortune! Developed at Hewlett Packard (now Agilent) by Paul Watson in 1989. V 60 GHz Air 1 mm 110 GHz Air thenhan 12/16/2011
  • 93.
  • 94.
  • 95.
  • 96.
  • 97.
  • 98.
    98 RETURN LOSS RL = −20logΓ dB thenhan 12/16/2011
  • 99.
    99 TRANSMISSION COEFICIENT T =1+ Γ T Z Z 0 1 2 Z L Z Z L + = 0 0 L − Z Z L + = + thenhan 12/16/2011
  • 100.
    100 INSERTION LOSS IL = −20logT dB thenhan 12/16/2011
  • 101.
    101 SMITH CHART thenhan 12/16/2011
  • 102.
    102 MỐỐI QUANHỆỆ GIỮỮA TRỞỞ KHÁNG VÀ HỆỆ SỐỐ PHẢẢN XẠẠ ( ) ( ) Z x Z x (x) + Γ − Γ = 1 0 1 thenhan 12/16/2011
  • 103.
    103 CÁC GIÁTRỊỊ CHUẨẨN HÓA ( ) ( ) z x = Z x 0 R TRỞỞ KHÁNG CHUẦẦN HÓA z = r + jx thenhan 12/16/2011
  • 104.
    104 z ZL L = 0 R 1 r R 0 0 = = R 0 ( ) ( ) y x = Y x Y 0 Y ( x ) = 1 Z ( x ) thenhan 12/16/2011
  • 105.
    105 HỆỆ SỐỐPHẢẢN XẠẠ ( ) ( ) x Z x R 0 − Γ = ( ) ( ) ( ) 0 Z x + R 1 − x Z x R 0 + ( ) 1 Z x R 0 Γ = thenhan 12/16/2011
  • 106.
    106 MỐỐI QUANHỆỆ GIỮỮA HỆỆ SỐỐ PHẢẢN XẠẠ VÀ TRỞỞ KHÁNG CHUẨẨN HÓA 1 + 1 − x z x Γ = z x thenhan 12/16/2011
  • 107.
    107 Γ(x) z(x) z(x) Γ(x) z CÓ 1 GIÁ TRỊ THÌ CHỈ CÓ DUY NHẤT 1 GIÁ TRỊ z CÓ 1 GIÁ TRỊ THÌ CHỈ CÓ DUY NHẤT 1 GIÁ TRỊ thenhan 12/16/2011
  • 108.
    Γ(x) = 0.8∠600 108 BẢẢN CHẤẤT VÀ CÁCH BIỂỂU DIỂỂN HỆỆ SỐỐ PHẢẢN XẠẠ +1 Mặt phẳng phức 0.8 −1 +1 600 Γ(x) Re(Γ(x)) Im(Γ) Im(Γ(x)) Re(Γ) 0 −1 thenhan 12/16/2011
  • 109.
    109 HỆỆ SỐỐPHẢẢN XẠẠ (x) (x) j (x) r i Γ = Γ + Γ r i Dạng đơn giản Γ = Γ + jΓ ⎧ Γ r = Re ( Γ ) ⎨ ⎩ Γ i = Im ( Γ ) thenhan 12/16/2011
  • 110.
    110 TRỞỞ KHÁNGĐĐƯƯỜỜNG DÂY Z(x) = R(x)+ jX (x) Z = R + jX thenhan 12/16/2011
  • 111.
    111 TRỞỞ KHÁNGCHUẨẨN HÓA z(x) = r(x)+ jx z = r + jx r = R 0 R x = X 0 R Trở kháng đường dây chuẩn hóa Điện trở đường dây chuẩn hóa Điện kháng đường dây chuẩn hóa thenhan 12/16/2011
  • 112.
    112 r jxj + Γ + Γ r i j − Γ − Γ r i + = 1 1 thenhan 12/16/2011
  • 113.
    113 − Γ− Γ 2 2 1 r r i ( )2 2 1 − Γ + Γ r i = 2 Γ x i ( 2 1 − Γ )+ Γ 2 r i = thenhan 12/16/2011
  • 114.
    114 PHƯƯƠƠNG TRÌNHĐĐƯƯỜỜNG TRÒN 2 ⎞ + Γ 2 ⎟⎠ = 2 ⎛ + r i r r 1 1 1 ⎞ ⎟⎠ ⎜⎝ ⎛ ⎜⎝ r + Γ − ⎞ ⎟⎠ r ⎛ + ⎜⎝ 0 , 1 r tâm bán kính 1 1+ r thenhan 12/16/2011
  • 115.
    115 Re(Γ) Im(Γ) i Γ +1 Mặt phẳng phức r = 0 r = 0.2 r = 0.5 −1 r =1 r = 2 +1 −1 0 r Γ thenhan 12/16/2011
  • 116.
    116 PHƯƯƠƠNG TRÌNHĐĐƯƯỜỜNG TRÒN 2 2 ( ) 2 1 1 ⎛ 1 ⎞ ⎟⎠ = ⎟⎠ ⎜⎝ ⎞ Γ − + ⎛Γ − ⎜⎝ x x r i ⎞ ⎟⎠ 1, 1 tâm ⎛ x ⎜⎝ bán kính 1 x thenhan 12/16/2011
  • 117.
    117 Re(Γ) Im(Γ) i Γ +1 Mặt phẳng phức x = 0.5 x =1 −1 +1 x = −0.5 x = −1 −1 0 r Γ thenhan 12/16/2011
  • 118.
    118 Re(Γ) Im(Γ) i Γ +1 Mặt phẳng phức x = 0.5 x =1 −1 +1 x = −1 −1 0 r Γ x = −0.5 thenhan 12/16/2011
  • 119.
    119 Re(Γ) Im(Γ) i Γ +1 Mặt phẳng phức r = 0 r = 0.2 r = 0.5 −1 r =1 r = 2 +1 −1 0 r Γ thenhan 12/16/2011
  • 120.
    120 Re(Γ) Im(Γ) i Γ +1 Mặt phẳng phức x = 0.5 x =1 r = 0.2 r = 0.5 −1 +1 r =1 r = 2 x = −1 −1 0 r Γ x = −0.5 thenhan 12/16/2011
  • 121.
  • 122.
  • 123.
  • 124.
  • 125.
  • 126.
  • 127.
    127 ỨỨng dụụngcủủa đđồồ thịị SMITH thenhan 12/16/2011