Mesoionic compounds
Prepared by
Dr. Krishna swamy
Faculty
DOS & R in Organic Chemistry
Tumkur University
NH2 NH
OH
O
N
OH
O
N
O
NaNO2
HCl
N N
N
O
N
O
OO
Ac2O Ac2O
Cl
OH
O
Earl and Mackney in 1935 prepared a product by cyclodehydration of N-nitroso-N-
phenylglycine with acetic anhydride.
The structure proposed for the obtained product was not in agreement with the
properties studied.
Introduction
Baker et al (1949) observed that actual structure of molecule to be resonance hybrid of
a number of dipolar and tetrapolar structures.
Further indicated that it is not possible to write a covalent structure without separating
the positive and negative charges. Also it cannot be represented by any one contributing
structure among a number of canonical forms.
Therefore a general term “Mesoionic” (mesomeric + ionic) was introduced to describe
molecules having such electronic distribution.
N
N
O O
N
N
O O
N
N
O O
N
N
O O
N
N
O O
N
N
O O
N
N
O O
N
N
O O
IUPAC definition for mesoionic compounds is “Dipolar five-membered heterocyclic
compounds in which both the negative and positive charges are delocalized, for
which a totally covalent structure cannot be written and which cannot be represented
satisfactorily by any one polar structure. The formal positive charge is associated
with ring atoms and the formal negative charge is associated with an exocyclic
nitrogen or chalcogen (O, S) atom.”
b
c
d
e
a
f
Two representative members of the class of mesoionic compounds are sydnone and
munchnone.
Sydnone (SYDNey + lactONE) name derived from lactone and University of Sydney.
Munchnone (MUNCHeN + lactONE) prepared by Lawson and Miles in 1958.
The aromaticity of the mesoionic compound is explained by the classical sextet theory
(Clar’s aromatic sextet theory).
There are total of seven 2pz electrons contributed by the five atoms forming the ring
and one 2pz electron on the exocyclic atom.
A sextet of electrons will be obtained if one of the seven 2pz electrons is paired with
single electron on the exocyclic atom.
Thus ring become positively charged and it is balanced by the negative charge on the
exocyclic atom.
Mesoionic compunds are generally classified into two types based on position of two
heteroatoms contributing two electrons each to the aromatic sextet.
(1) Type-A: In this mesoionic heterocycles two heteroatoms contributing two
electrons are non adjacent.
(2) Type-B: In this mesoionic heterocycles two heteroatoms contributing two
electrons are adjacent to each other.
N
N
O O
N
N
O O
N
N
O O
N
N
O O
N
N
O O
N
N
O O
N
N
O O
N
N
O O
144 mesoinonic heterocycles of type A are known and less than 84 type-B are known.
These mesoionic heterocycles are synthetic origin though they contain naturally
occuring heterocyclic rings like pyrazole, imidazole, thiazole, oxadiazole and triazole.
O
N
R R'
O
R"
N
N
O
R R'
NR"
Mesoionic Oxazoles Mesoionic Oxadiazoles
HN
N
N
O
OR
Mesoionic Oxatriazoles
N
N
N
O
Mesoionic diazoles
R R"
R'
N
N
N
O
Mesoionic Triazoles
R"
R'
R S
N
R R'
O
R"
Mesoionic thiazoles
Type A
O
N
R'
O
R"
N
N
R R'
O
1,2-oxazolium-4-olates 1,2-diazolium-4-olates
N
N
S
SR
1,2,3,4-thiadiazolium-5-olates
R
R"
R'
Of all the mesoionic compounds known, sydnone ring is the most extensively studied
because of ease of its synthesis from primary amine and it is only mesoionic
compound undergoes wide variety of chemical reactions.
Type B
Sydnone
Sydnone belong to non benzenoid heterocycle and is the most extensively studied
type-A mesoionic heterocycle and general synthetic route for the synthesis is from
primary amines.
R NH2 R NH
OH
O
R N
OH
O
N
O
NaNO2
HCl
R N
N O
O
Ac2O
Cl
OH
O
1,2,3-oxadiazole-5-one
Substitution Reaction
Reactions of Sydnone
Sydnone unsubstituted at 4th position undergoes substitution with wide variety of
electrophiles with retention of the ring..
R
N
N
O O
E
R
N
N
O O
E
H R
N
N
O O
E
-H
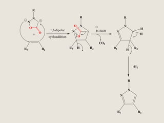
1, 3-dipolar cycloaddition Reaction
Sydnone acts as 1, 3-dipole.
R
N
N
O
O
1,3-dipole
Hence it undergoes 1,3-dipolar cycloaddition reaction with unsaturated systems i.e.
dipolarophiles.
These reactions are highly useful in heterocyclic synthesis as they involve one pot
conversion to the 5-membered-1,2-diazaheterocycles.
R
N
N
O
O
R1 R2
N
N
O
O
R
R1 R2H
N
N
R
R1 R2
H-Shift
H
H
H
N
N
R
R1 R2
1,3-dipolar
cycloaddition
CO2
-H2
R
N
N
O
O
R1 R2
N
N
O
O
R
R1 R2
N
N
R
R1 R2
1,3-dipolar
cycloaddition
CO2
R
N
N
O
O
N
N
O
O
R
N
N
R
1,3-dipolar
cycloaddition
CO2
Sydnone ring is facile and undergoes ring cleavage to monosubstituted hydrazines in
almost quantitative yields in presence of hydrochloric acid.
This method is a convenient method for converting primary amine to the
corresponding hydrazines.
R
N
N
O
O
R NHNH2 HCOOH
HCl
H2O
CO2
Ring cleavage
Mesoionic compounds

Mesoionic compounds

  • 1.
    Mesoionic compounds Prepared by Dr.Krishna swamy Faculty DOS & R in Organic Chemistry Tumkur University
  • 2.
    NH2 NH OH O N OH O N O NaNO2 HCl N N N O N O OO Ac2OAc2O Cl OH O Earl and Mackney in 1935 prepared a product by cyclodehydration of N-nitroso-N- phenylglycine with acetic anhydride. The structure proposed for the obtained product was not in agreement with the properties studied. Introduction
  • 3.
    Baker et al(1949) observed that actual structure of molecule to be resonance hybrid of a number of dipolar and tetrapolar structures. Further indicated that it is not possible to write a covalent structure without separating the positive and negative charges. Also it cannot be represented by any one contributing structure among a number of canonical forms. Therefore a general term “Mesoionic” (mesomeric + ionic) was introduced to describe molecules having such electronic distribution. N N O O N N O O N N O O N N O O N N O O N N O O N N O O N N O O
  • 4.
    IUPAC definition formesoionic compounds is “Dipolar five-membered heterocyclic compounds in which both the negative and positive charges are delocalized, for which a totally covalent structure cannot be written and which cannot be represented satisfactorily by any one polar structure. The formal positive charge is associated with ring atoms and the formal negative charge is associated with an exocyclic nitrogen or chalcogen (O, S) atom.” b c d e a f Two representative members of the class of mesoionic compounds are sydnone and munchnone. Sydnone (SYDNey + lactONE) name derived from lactone and University of Sydney. Munchnone (MUNCHeN + lactONE) prepared by Lawson and Miles in 1958.
  • 5.
    The aromaticity ofthe mesoionic compound is explained by the classical sextet theory (Clar’s aromatic sextet theory). There are total of seven 2pz electrons contributed by the five atoms forming the ring and one 2pz electron on the exocyclic atom. A sextet of electrons will be obtained if one of the seven 2pz electrons is paired with single electron on the exocyclic atom. Thus ring become positively charged and it is balanced by the negative charge on the exocyclic atom.
  • 6.
    Mesoionic compunds aregenerally classified into two types based on position of two heteroatoms contributing two electrons each to the aromatic sextet. (1) Type-A: In this mesoionic heterocycles two heteroatoms contributing two electrons are non adjacent. (2) Type-B: In this mesoionic heterocycles two heteroatoms contributing two electrons are adjacent to each other. N N O O N N O O N N O O N N O O N N O O N N O O N N O O N N O O
  • 7.
    144 mesoinonic heterocyclesof type A are known and less than 84 type-B are known. These mesoionic heterocycles are synthetic origin though they contain naturally occuring heterocyclic rings like pyrazole, imidazole, thiazole, oxadiazole and triazole. O N R R' O R" N N O R R' NR" Mesoionic Oxazoles Mesoionic Oxadiazoles HN N N O OR Mesoionic Oxatriazoles N N N O Mesoionic diazoles R R" R' N N N O Mesoionic Triazoles R" R' R S N R R' O R" Mesoionic thiazoles Type A
  • 8.
    O N R' O R" N N R R' O 1,2-oxazolium-4-olates 1,2-diazolium-4-olates N N S SR 1,2,3,4-thiadiazolium-5-olates R R" R' Ofall the mesoionic compounds known, sydnone ring is the most extensively studied because of ease of its synthesis from primary amine and it is only mesoionic compound undergoes wide variety of chemical reactions. Type B
  • 9.
    Sydnone Sydnone belong tonon benzenoid heterocycle and is the most extensively studied type-A mesoionic heterocycle and general synthetic route for the synthesis is from primary amines. R NH2 R NH OH O R N OH O N O NaNO2 HCl R N N O O Ac2O Cl OH O 1,2,3-oxadiazole-5-one
  • 10.
    Substitution Reaction Reactions ofSydnone Sydnone unsubstituted at 4th position undergoes substitution with wide variety of electrophiles with retention of the ring.. R N N O O E R N N O O E H R N N O O E -H
  • 11.
    1, 3-dipolar cycloadditionReaction Sydnone acts as 1, 3-dipole. R N N O O 1,3-dipole Hence it undergoes 1,3-dipolar cycloaddition reaction with unsaturated systems i.e. dipolarophiles. These reactions are highly useful in heterocyclic synthesis as they involve one pot conversion to the 5-membered-1,2-diazaheterocycles.
  • 12.
    R N N O O R1 R2 N N O O R R1 R2H N N R R1R2 H-Shift H H H N N R R1 R2 1,3-dipolar cycloaddition CO2 -H2
  • 13.
    R N N O O R1 R2 N N O O R R1 R2 N N R R1R2 1,3-dipolar cycloaddition CO2 R N N O O N N O O R N N R 1,3-dipolar cycloaddition CO2
  • 14.
    Sydnone ring isfacile and undergoes ring cleavage to monosubstituted hydrazines in almost quantitative yields in presence of hydrochloric acid. This method is a convenient method for converting primary amine to the corresponding hydrazines. R N N O O R NHNH2 HCOOH HCl H2O CO2 Ring cleavage