17. Slab Design
A. Design of One-Way Slabs
La = length of short side
Lb = length of long side
La
Lb
0.5 : the slab in one-way
La
Lb
0.5 : the slab is two-way
Thickness of one-way slab
Simply supported
Ln
20
One end continuous
Ln
24
Both ends continuous
Ln
28
Cantilever
Ln
10
Analysis of one-way slab
Design scheme: continuous beam
Determination of bending moments: using ACI moment coefficients
Design of one-way slab
Design section: rectangular section of 1m x h
Type section: singly reinforced beam
Page 115
Example 17.1
Span of slab Ln 2m 20cm 1.8m
Live load LL 12
kN
m
2

Materials f'c 20MPa
fy 390MPa
Solution
Thickness of one-way slab
tmin
Ln
28
64.286 mm
Use t 100mm
Loads on slab
Cover 50mm 22
kN
m
3
1.1
kN
m
2

Slab t 25
kN
m
3
2.5
kN
m
2

Ceiling 0.40
kN
m
2

Mechanical 0.20
kN
m
2

Partition 1.00
kN
m
2

DL Cover Slab Ceiling Mechanical Partition 5.2
kN
m
2

wu 1.2 DL 1.6 LL 25.44
kN
m
2

Bending moments
Msupport
1
11
wu Ln
2
 7.493
kN m
1m

Mmidspan
1
16
wu Ln
2
 5.152
kN m
1m

Steel reinforcements
Page 116
β1 0.65 max 0.85 0.05
f'c 27.6MPa
6.9MPa







min 0.85






0.85
εu 0.003
ρmax 0.85 β1
f'c
fy

εu
εu 0.005
 0.014
ρmin max
0.249MPa
f'c
MPa

fy
1.379MPa
fy











0.00354
ρshrinkage 0.0020return( ) fy 50ksiif
0.0018return( ) fy 60ksiif
max 0.0018
60ksi
fy
 0.0014





return





otherwise

ρshrinkage 0.0018
Top rebars
b 1m d t 20mm
10mm
2






 75 mm
Mu Msupport b 7.493 kN m
Mn
Mu
0.9
8.326 kN m
R
Mn
b d
2

1.48 MPa
ρ 0.85
f'c
fy
 1 1 2
R
0.85 f'c







 0.004 ρ ρmax 1
As max ρ b d ρshrinkage b t  2.982 cm
2

As0
π 10mm( )
2

4
 n
As
As0
 smax min 3 t 450mm( )
s min Floor
b
n
10mm





smax





260 mm
Bottom rebars
Mu Mmidspan b 5.152 kN m
Mn
Mu
0.9
5.724 kN m
Page 117
R
Mn
b d
2

1.018 MPa
ρ 0.85
f'c
fy
 1 1 2
R
0.85 f'c







 0.003 ρ ρmax 1
As max ρ b d ρshrinkage b t  2.019 cm
2

As0
π 10mm( )
2

4
 n
As
As0
 smax min 3 t 450mm( )
s min Floor
b
n
10mm





smax





300 mm
Link rebars
As ρshrinkage b t 1.8 cm
2

As0
π 10mm( )
2

4
 n
As
As0
 smax min 5 t 450mm( )
s min Floor
b
n
10mm





smax





430 mm
B. Design of Two-Way Slabs
Design methods:
- Load distribution method
- Moment coefficient method
- Direct design method (DDM)
- Equivalent frame method
- Strip method
- Yield line method
Page 118
(1) Load Distribution Method
Principle: Equality of deflection in short and long directions
fa fb=
αa
wa La
4

EI
 αb
wb Lb
4

EI
=
Case αa αb=
wa
wb
Lb
4
La
4
=
1
λ
4
= λ
La
Lb
=
wa wb wu=
From which, wa wu
1
1 λ
4

=
wb wu
λ
4
1 λ
4

=
For λ 1
1
1 λ
4

0.5
λ
4
1 λ
4

0.5
For λ 0.8
1
1 λ
4

0.709
λ
4
1 λ
4

0.291
For λ 0.6
1
1 λ
4

0.885
λ
4
1 λ
4

0.115
For λ 0.5
1
1 λ
4

0.941
λ
4
1 λ
4

0.059
For λ 0.4
1
1 λ
4

0.975
λ
4
1 λ
4

0.025
Page 119
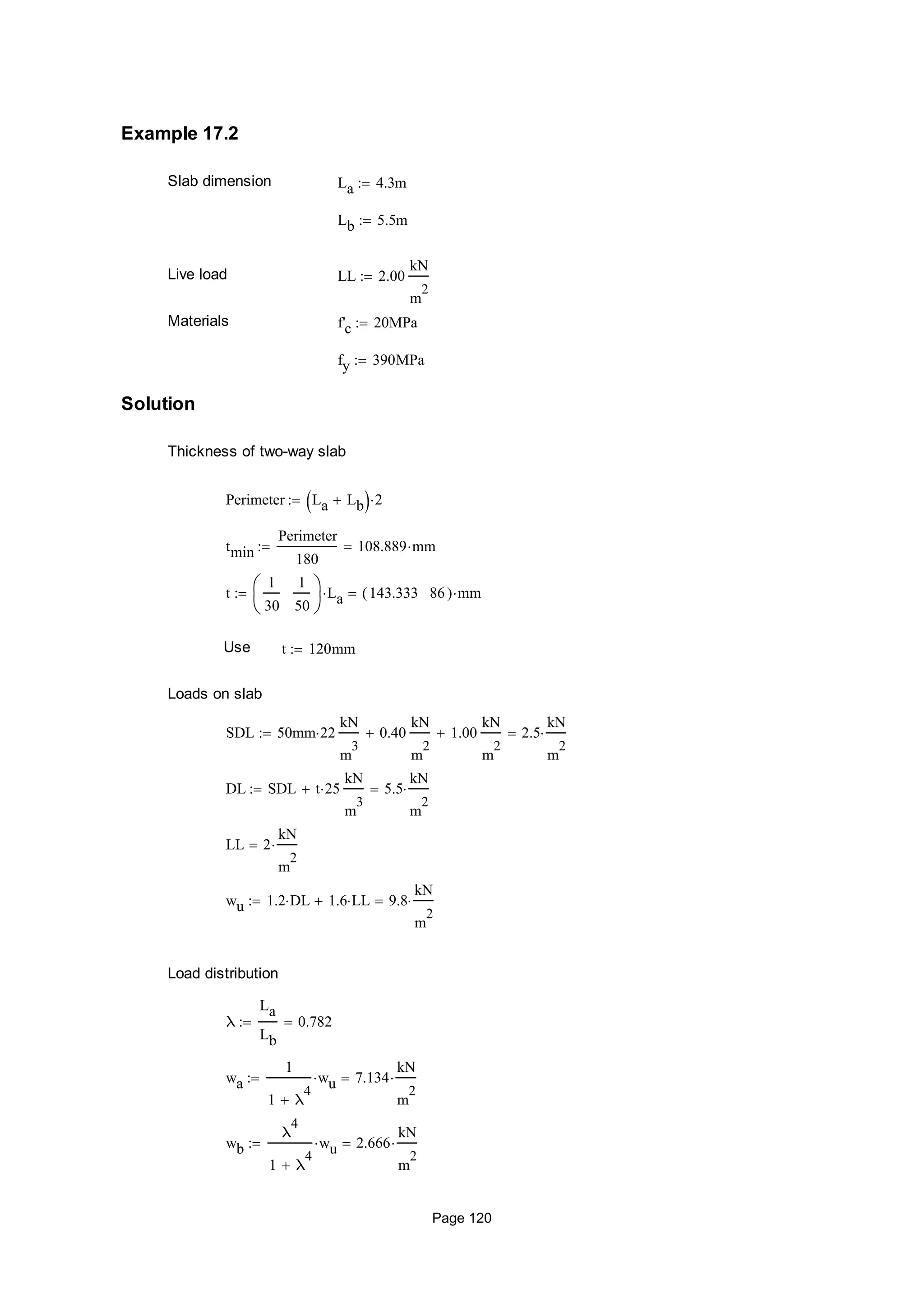
Example 17.2
Slab dimension La 4.3m
Lb 5.5m
Live load LL 2.00
kN
m
2

Materials f'c 20MPa
fy 390MPa
Solution
Thickness of two-way slab
Perimeter La Lb  2
tmin
Perimeter
180
108.889 mm
t
1
30
1
50






La 143.333 86( ) mm
Use t 120mm
Loads on slab
SDL 50mm 22
kN
m
3
0.40
kN
m
2
 1.00
kN
m
2
 2.5
kN
m
2

DL SDL t 25
kN
m
3
 5.5
kN
m
2

LL 2
kN
m
2

wu 1.2 DL 1.6 LL 9.8
kN
m
2

Load distribution
λ
La
Lb
0.782
wa
1
1 λ
4

wu 7.134
kN
m
2

wb
λ
4
1 λ
4

wu 2.666
kN
m
2

Page 120
Bending moments
Ma.neg
1
11
wa La
2
 11.992
kN m
1m

Ma.pos
1
16
wa La
2
 8.245
kN m
1m

Mb.neg
1
11
wb Lb
2
 7.33
kN m
1m

Mb.pos
1
16
wb Lb
2
 5.04
kN m
1m

Steel reinforcements
β1 0.65 max 0.85 0.05
f'c 27.6MPa
6.9MPa







min 0.85






0.85
εu 0.003
ρmax 0.85 β1
f'c
fy

εu
εu 0.005
 0.014
ρmin max
0.249MPa
f'c
MPa

fy
1.379MPa
fy











0.00354
ρshrinkage 0.0020return( ) fy 50ksiif
0.0018return( ) fy 60ksiif
max 0.0018
60ksi
fy
 0.0014





return





otherwise

ρshrinkage 0.0018
Top rebar in short direction
b 1m d t 20mm 10mm
10mm
2






 85 mm
Mu Ma.neg b 11.992 kN m
Mn
Mu
0.9
13.325 kN m
R
Mn
b d
2

1.844 MPa
Page 121
ρ 0.85
f'c
fy
 1 1 2
R
0.85 f'c







 0.005 ρ ρmax 1
As max ρ b d ρshrinkage b t  4.265 cm
2

As0
π 10mm( )
2

4
 n
As
As0
 smax min 2 t 450mm( )
s min Floor
b
n
10mm





smax





180 mm
Bottom rebar in short direction
Mu Ma.pos b 8.245 kN m
Mn
Mu
0.9
9.161 kN m
R
Mn
b d
2

1.268 MPa
ρ 0.85
f'c
fy
 1 1 2
R
0.85 f'c







 0.003 ρ ρmax 1
As max ρ b d ρshrinkage b t  2.875 cm
2

As0
π 10mm( )
2

4
 n
As
As0
 smax min 2 t 450mm( )
s min Floor
b
n
10mm





smax





240 mm
Top rebar in long direction
Mu Mb.neg b 7.33 kN m
Mn
Mu
0.9
8.145 kN m
R
Mn
b d
2

1.127 MPa
ρ 0.85
f'c
fy
 1 1 2
R
0.85 f'c







 0.003 ρ ρmax 1
As max ρ b d ρshrinkage b t  2.544 cm
2

Page 122
As0
π 10mm( )
2

4
 n
As
As0
 smax min 2 t 450mm( )
s min Floor
b
n
10mm





smax





240 mm
Bottom rebar in long direction
Mu Mb.pos b 5.04 kN m
Mn
Mu
0.9
5.599 kN m
R
Mn
b d
2

0.775 MPa
ρ 0.85
f'c
fy
 1 1 2
R
0.85 f'c







 0.002 ρ ρmax 1
As max ρ b d ρshrinkage b t  2.16 cm
2

As0
π 10mm( )
2

4
 n
As
As0
 smax min 2 t 450mm( )
s min Floor
b
n
10mm





smax





240 mm
Shrinkage rebars
b 1m
As ρshrinkage b t 2.16 cm
2

As0
π 10mm( )
2

4
 n
As
As0
 smax min 5 t 450mm( )
s min Floor
b
n
10mm





smax





360 mm
Page 123
(2) Moment Coefficient Method
Negative moments
Ma.neg Ca.neg wu La
2
=
Mb.neg Cb.neg wu Lb
2
=
Positive moments
Ma.pos Ca.pos.DL wD La
2
 Ca.pos.LL wL La
2
=
Mb.pos Cb.pos.DL wD Lb
2
 Cb.pos.LL wL Lb
2
=
where Ca.neg Cb.neg Ca.pos.DL Ca.pos.LL Cb.pos.DL Cb.pos.LL
are tabulated moment coefficients
wD 1.2 DL= wL 1.6 LL=
wu 1.2 1.6 LL=
Example 17.3
Slab dimension La 5.0m 25cm 4.75 m
Lb 5.5m 20cm 5.3m
Live load for office LL 2.40
kN
m
2

Materials f'c 20MPa fy 390MPa
Boundary conditions in short and long directions
Simple
Continuous






0
1






 Short
Continuous
Continuous







Long
Continuous
Continuous







Solution
Thickness of two-way slab
Perimeter La Lb  2
Page 124
tmin
Perimeter
180
111.667 mm
t
1
30
1
50






La 158.333 95( ) mm
Use t 120mm
Loads on slab
Cover 50mm 22
kN
m
3
1.1
kN
m
2

Slab t 25
kN
m
3
3
kN
m
2

Ceiling 0.40
kN
m
2

Partition 1.00
kN
m
2

SDL Cover Ceiling Partition 2.5
kN
m
2

DL SDL Slab 5.5
kN
m
2
 wD 1.2 DL
LL 2.4
kN
m
2
 wL 1.6 LL
wu 1.2 DL 1.6LL 10.44
kN
m
2

Moment coefficients
Page 125
Table 12.3a
Coefficients for negative moments in short direction of slab
m Case 1 Case 2 Case 3 Case 4 Case 5 Case 6 Case 7 Case 8 Case 9
1.00 0.000 0.045 0.000 0.050 0.075 0.071 0.000 0.033 0.061
0.95 0.000 0.050 0.000 0.055 0.079 0.075 0.000 0.038 0.065
0.90 0.000 0.055 0.000 0.060 0.080 0.079 0.000 0.043 0.068
0.85 0.000 0.060 0.000 0.066 0.082 0.083 0.000 0.049 0.072
0.80 0.000 0.065 0.000 0.071 0.083 0.086 0.000 0.055 0.075
0.75 0.000 0.069 0.000 0.076 0.085 0.088 0.000 0.061 0.078
0.70 0.000 0.074 0.000 0.081 0.086 0.091 0.000 0.068 0.081
0.65 0.000 0.077 0.000 0.085 0.087 0.093 0.000 0.074 0.083
0.60 0.000 0.081 0.000 0.089 0.088 0.095 0.000 0.080 0.085
0.55 0.000 0.084 0.000 0.092 0.089 0.096 0.000 0.085 0.086
0.50 0.000 0.086 0.000 0.094 0.090 0.097 0.000 0.089 0.088
Table 12.3b
Coefficients for negative moments in long direction of slab
m Case 1 Case 2 Case 3 Case 4 Case 5 Case 6 Case 7 Case 8 Case 9
1.00 0.000 0.045 0.076 0.050 0.000 0.000 0.071 0.061 0.033
0.95 0.000 0.041 0.072 0.045 0.000 0.000 0.067 0.056 0.029
0.90 0.000 0.037 0.070 0.040 0.000 0.000 0.062 0.052 0.025
0.85 0.000 0.031 0.065 0.034 0.000 0.000 0.057 0.046 0.021
0.80 0.000 0.027 0.061 0.029 0.000 0.000 0.051 0.041 0.017
0.75 0.000 0.022 0.056 0.024 0.000 0.000 0.044 0.036 0.014
0.70 0.000 0.017 0.050 0.019 0.000 0.000 0.038 0.029 0.011
0.65 0.000 0.014 0.043 0.015 0.000 0.000 0.031 0.024 0.008
0.60 0.000 0.010 0.035 0.011 0.000 0.000 0.024 0.018 0.006
0.55 0.000 0.007 0.028 0.008 0.000 0.000 0.019 0.014 0.005
0.50 0.000 0.006 0.022 0.006 0.000 0.000 0.014 0.010 0.003
ORIGIN 1
Index
1
2
2
3






 I Index
Short1 1 Short2 1  3
J Index
Long1 1 Long2 1  3
Table
1
6
5
7
4
9
3
8
2








 Case Table
I J
2
Vλ reverse Vλ( )
Vaneg reverse Taneg
Case 
  Vbneg reverse Tbneg
Case 
 
VaposDL reverse TaposDL
Case 
  VbposDL reverse TbposDL
Case 
 
VaposLL reverse TaposLL
Case 
  VbposLL reverse TbposLL
Case 
 
λ
La
Lb
0.896
vs1 pspline Vλ Vaneg( ) Ca.neg interp vs1 Vλ Vaneg λ( ) 0.055
Page 126
vs2 pspline Vλ Vbneg( ) Cb.neg interp vs2 Vλ Vbneg λ( ) 0.037
vs3 pspline Vλ VaposDL( ) Ca.pos.DL interp vs3 Vλ VaposDL λ( ) 0.022
vs4 pspline Vλ VbposDL( ) Cb.pos.DL interp vs4 Vλ VbposDL λ( ) 0.014
vs5 pspline Vλ VaposLL( ) Ca.pos.LL interp vs5 Vλ VaposLL λ( ) 0.034
vs6 pspline Vλ VbposLL( ) Cb.pos.LL interp vs6 Vλ VbposLL λ( ) 0.022
Bending moments
Ma.neg Ca.neg wu La
2
 13.043
kN m
1m

Mb.neg Cb.neg wu Lb
2
 10.729
kN m
1m

Ma.pos Ca.pos.DL wD La
2
 Ca.pos.LL wL La
2
 6.266
kN m
1m

Mb.pos Cb.pos.DL wD Lb
2
 Cb.pos.LL wL Lb
2
 4.911
kN m
1m

Steel reinforcements
β1 0.65 max 0.85 0.05
f'c 27.6MPa
6.9MPa







min 0.85






0.85
εu 0.003
ρmax 0.85 β1
f'c
fy

εu
εu 0.005
 0.014
ρmin max
0.249MPa
f'c
MPa

fy
1.379MPa
fy











0.00354
ρshrinkage 0.0020return( ) fy 50ksiif
0.0018return( ) fy 60ksiif
max 0.0018
60ksi
fy
 0.0014





return





otherwise

ρshrinkage 0.0018
Top rebars in short direction
b 1m d t 20mm 10mm
10mm
2






 85 mm
Page 127
Mu Ma.neg b 13.043 kN m
Mn
Mu
0.9
14.492 kN m
R
Mn
b d
2

2.006 MPa
ρ 0.85
f'c
fy
 1 1 2
R
0.85 f'c







 0.005 ρ ρmax 1
As max ρ b d ρshrinkage b t  4.666 cm
2

As0
π 10mm( )
2

4
 n
As
As0
 smax min 2 t 450mm( )
s min Floor
b
n
10mm





smax





160 mm
Bottom rebars in short direction
Mu Ma.pos b 6.266 kN m
Mn
Mu
0.9
6.963 kN m
R
Mn
b d
2

0.964 MPa
ρ 0.85
f'c
fy
 1 1 2
R
0.85 f'c







 0.003 ρ ρmax 1
As max ρ b d ρshrinkage b t  2.163 cm
2

As0
π 10mm( )
2

4
 n
As
As0
 smax min 2 t 450mm( )
s min Floor
b
n
10mm





smax





240 mm
Top rebars in long direction
Mu Mb.neg b 10.729 kN m
Mn
Mu
0.9
11.921 kN m
Page 128
R
Mn
b d
2

1.65 MPa
ρ 0.85
f'c
fy
 1 1 2
R
0.85 f'c







 0.004 ρ ρmax 1
As max ρ b d ρshrinkage b t  3.79 cm
2

As0
π 10mm( )
2

4
 n
As
As0
 smax min 2 t 450mm( )
s min Floor
b
n
10mm





smax





200 mm
Bottom rebars in long direction
Mu Mb.pos b 4.911 kN m
Mn
Mu
0.9
5.457 kN m
R
Mn
b d
2

0.755 MPa
ρ 0.85
f'c
fy
 1 1 2
R
0.85 f'c







 0.002 ρ ρmax 1
As max ρ b d ρshrinkage b t  2.16 cm
2

As0
π 10mm( )
2

4
 n
As
As0
 smax min 2 t 450mm( )
s min Floor
b
n
10mm





smax





240 mm
Shrinkage rebars
b 1m
As ρshrinkage b t 2.16 cm
2

As0
π 10mm( )
2

4
 n
As
As0
 smax min 5 t 450mm( )
s min Floor
b
n
10mm





smax





360 mm
Page 129
(3) Direct Design Method (DDM)
Total static moment
M0
wu L2 Ln
2

8
=
Longitudinal distribution of moments
Mneg Cneg M0=
Mpos Cpos M0=
Lateral distribution of moments
Mneg.col Cneg.col Mneg=
Mneg.mid Cneg.mid Mneg=
Mpos.col Cpos.col Mpos=
Mpos.mid Cpos.mid Mpos=
Page 130
Example 17.4
Slab dimension La 4m Lb 6m
Live load for hospital LL 3.00
kN
m
2

Materials f'c 25MPa fy 390MPa
Page 131
Solution
Section of beam in long direction
L Lb 6 m
h
1
10
1
15






L 600 400( ) mm h 500mm
b 0.3 0.6( ) h 150 300( ) mm b 250mm
bb
hb






b
h







Section of beam in short direction
L La 4 m
h
1
10
1
15






L 400 266.667( ) mm h 300mm
b 0.3 0.6( ) h 90 180( ) mm b 200mm
ba
ha






b
h







Determination of slab thickness
Perimeter La Lb  2
tmin
Perimeter
180
111.111 mm
Assume t 120mm
In long direction
bw bb h hb hf t
hw h hf
b min bw 2 hw bw 8 hf  1.01 m
A1 bw h x1
h
2

A2 b bw  hf x2
hf
2

xc
x1 A1 x2 A2
A1 A2
169.852 mm
I1
bw h
3

12
A1 x1 xc 
2

I2
b bw  hf
3

12
A2 x2 xc 
2

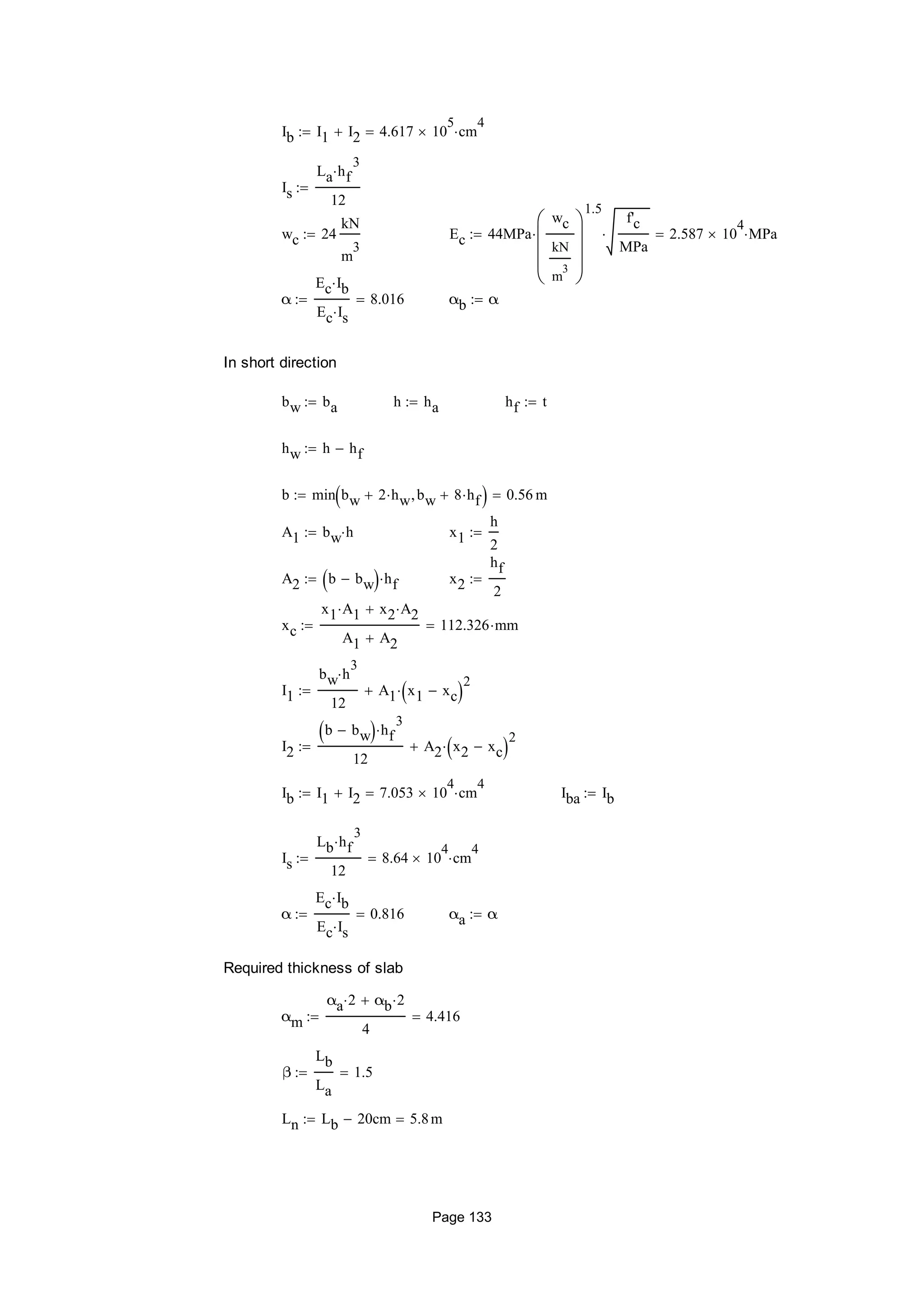
Page 132
Ib I1 I2 4.617 10
5
 cm
4

Is
La hf
3

12

wc 24
kN
m
3
 Ec 44MPa
wc
kN
m
3










1.5

f'c
MPa
 2.587 10
4
 MPa
α
Ec Ib
Ec Is
8.016 αb α
In short direction
bw ba h ha hf t
hw h hf
b min bw 2 hw bw 8 hf  0.56 m
A1 bw h x1
h
2

A2 b bw  hf x2
hf
2

xc
x1 A1 x2 A2
A1 A2
112.326 mm
I1
bw h
3

12
A1 x1 xc 2

I2
b bw  hf
3

12
A2 x2 xc 2

Ib I1 I2 7.053 10
4
 cm
4
 Iba Ib
Is
Lb hf
3

12
8.64 10
4
 cm
4

α
Ec Ib
Ec Is
0.816 αa α
Required thickness of slab
αm
αa 2 αb 2
4
4.416
β
Lb
La
1.5
Ln Lb 20cm 5.8m
Page 133
hf max
Ln 0.8
fy
200ksi








36 5 β αm 0.2 
5in










0.2 αm 2.0if
max
Ln 0.8
fy
200ksi








36 9 β
3.5in








2.0 αm 5.0if
"DDM is not applied" otherwise

hf 126.876 mm
Loads on slab
DL 50mm 22
kN
m
3
t 25
kN
m
3
 0.40
kN
m
2
 1.00
kN
m
2
 5.5
kN
m
2

LL 3
kN
m
2

wu 1.2 DL 1.6 LL 11.4
kN
m
2

In long direction
L1 Lb 6 m Ln L1 ba 5.8m
L2 La 4 m α1 αb 8.016
Total static moment
M0
wu L2 Ln
2

8
191.748 kN m
Longitudinal distribution of moments
Mneg 0.65 M0 124.636 kN m
Mpos 0.35 M0 67.112 kN m
Lateral distribution of moments
k1
L2
L1
0.667 k2 α1
L2
L1
 5.344
linterp2 VX VY M x y( )
V
j
linterp VX M
j 
 x 
j 1 rows VY( )for
linterp VY V y( )

Page 134
Cneg.col linterp2
0
1
10








0.5
1.0
2.0









0.75
0.90
0.90
0.75
0.75
0.75
0.75
0.45
0.45








 k2 k1








0.85
Cneg.mid 1 Cneg.col 0.15
Cpos.col linterp2
0
1
10








0.5
1.0
2.0









0.60
0.90
0.90
0.60
0.75
0.75
0.60
0.45
0.45








 k2 k1








0.85
Cpos.mid 1 Cpos.col 0.15
Mneg.col Cneg.col Mneg 105.941 kN m
Mneg.mid Cneg.mid Mneg 18.695 kN m
Mpos.col Cpos.col Mpos 57.045 kN m
Mpos.mid Cpos.mid Mpos 10.067 kN m
Ccol.beam linterp
0
1
10








0
0.85
0.85








 k2








0.85
Ccol.slab 1 Ccol.beam 0.15
Mneg.col.beam Ccol.beam Mneg.col 90.05 kN m
Mneg.col.slab Ccol.slab Mneg.col 15.891 kN m
Mpos.col.beam Ccol.beam Mpos.col 48.488 kN m
Mpos.col.slab Ccol.slab Mpos.col 8.557 kN m
bcol
min L1 L2 
4
2 2 m
bmid L2 bcol 2 m
Top rebars in column strip
b bcol d t 20mm 10mm
10mm
2






 85 mm
Mu Mneg.col.slab 15.891 kN m
Mn
Mu
0.9
17.657 kN m
Page 135
R
Mn
b d
2

1.222 MPa
ρ 0.85
f'c
fy
 1 1 2
R
0.85 f'c







 0.003 ρ ρmax 1
As max ρ b d ρshrinkage b t  5.489 cm
2

As0
π 10mm( )
2

4
 n
As
As0
 smax min 2 t 450mm( )
s min Floor
b
n
10mm





smax





240 mm
Bottom rebars in column strip
Mu Mpos.col.slab 8.557 kN m
Mn
Mu
0.9
9.508 kN m
R
Mn
b d
2

0.658 MPa
ρ 0.85
f'c
fy
 1 1 2
R
0.85 f'c







 0.002 ρ ρmax 1
As max ρ b d ρshrinkage b t  4.32 cm
2

As0
π 10mm( )
2

4
 n
As
As0
 smax min 2 t 450mm( )
s min Floor
b
n
10mm





smax





240 mm
Top rebars in middle strip
b bmid
Mu Mneg.mid 18.695 kN m
Mn
Mu
0.9
20.773 kN m
R
Mn
b d
2

1.438 MPa
ρ 0.85
f'c
fy
 1 1 2
R
0.85 f'c







 0.004 ρ ρmax 1
Page 136
As max ρ b d ρshrinkage b t  6.494 cm
2

As0
π 10mm( )
2

4
 n
As
As0
 smax min 2 t 450mm( )
s min Floor
b
n
10mm





smax





240 mm
Bottom rebars in middle strip
Mu Mpos.mid 10.067 kN m
Mn
Mu
0.9
11.185 kN m
R
Mn
b d
2

0.774 MPa
ρ 0.85
f'c
fy
 1 1 2
R
0.85 f'c







 0.002 ρ ρmax 1
As max ρ b d ρshrinkage b t  4.32 cm
2

As0
π 10mm( )
2

4
 n
As
As0
 smax min 2 t 450mm( )
s min Floor
b
n
10mm





smax





240 mm
In short direction
L1 La 4 m Ln L1 bb 3.75 m
L2 Lb 6 m α1 αa 0.816
Total static moment
M0
wu L2 Ln
2

8
120.234 kN m
Longitudinal distribution of moments
Mneg 0.65 M0 78.152 kN m
Mpos 0.35 M0 42.082 kN m
Lateral distribution of moments
Page 137
k1
L2
L1
1.5 k2 α1
L2
L1
 1.224
Cneg.col linterp2
0
1
10








0.5
1.0
2.0









0.75
0.90
0.90
0.75
0.75
0.75
0.75
0.45
0.45








 k2 k1








0.6
Cneg.mid 1 Cneg.col 0.4
Cpos.col linterp2
0
1
10








0.5
1.0
2.0









0.60
0.90
0.90
0.60
0.75
0.75
0.60
0.45
0.45








 k2 k1








0.6
Cpos.mid 1 Cpos.col 0.4
Mneg.col Cneg.col Mneg 46.891 kN m
Mneg.mid Cneg.mid Mneg 31.261 kN m
Mpos.col Cpos.col Mpos 25.249 kN m
Mpos.mid Cpos.mid Mpos 16.833 kN m
Ccol.beam linterp
0
1
10








0
0.85
0.85








 k2








0.85
Ccol.slab 1 Ccol.beam 0.15
Mneg.col.beam Ccol.beam Mneg.col 39.858 kN m
Mneg.col.slab Ccol.slab Mneg.col 7.034 kN m
Mpos.col.beam Ccol.beam Mpos.col 21.462 kN m
Mpos.col.slab Ccol.slab Mpos.col 3.787 kN m
bcol
min L1 L2 
4
2 2 m
bmid L2 bcol 4 m
Top rebars in column strip
b bcol
Mu Mneg.col.slab 7.034 kN m
Mn
Mu
0.9
7.815 kN m
Page 138
R
Mn
b d
2

0.541 MPa
ρ 0.85
f'c
fy
 1 1 2
R
0.85 f'c







 0.001 ρ ρmax 1
As max ρ b d ρshrinkage b t  4.32 cm
2

As0
π 10mm( )
2

4
 n
As
As0
 smax min 2 t 450mm( )
s min Floor
b
n
10mm





smax





240 mm
Bottom rebars in column strip
Mu Mpos.col.slab 3.787 kN m
Mn
Mu
0.9
4.208 kN m
R
Mn
b d
2

0.291 MPa
ρ 0.85
f'c
fy
 1 1 2
R
0.85 f'c







 0.001 ρ ρmax 1
As max ρ b d ρshrinkage b t  4.32 cm
2

As0
π 10mm( )
2

4
 n
As
As0
 smax min 2 t 450mm( )
s min Floor
b
n
10mm





smax





240 mm
Top rebars in middle strip
b bmid
Mu Mneg.mid 31.261 kN m
Mn
Mu
0.9
34.734 kN m
R
Mn
b d
2

1.202 MPa
ρ 0.85
f'c
fy
 1 1 2
R
0.85 f'c







 0.003 ρ ρmax 1
Page 139
As max ρ b d ρshrinkage b t  10.792 cm
2

As0
π 10mm( )
2

4
 n
As
As0
 smax min 2 t 450mm( )
s min Floor
b
n
10mm





smax





240 mm
Bottom rebars in middle strip
Mu Mpos.mid 16.833 kN m
Mn
Mu
0.9
18.703 kN m
R
Mn
b d
2

0.647 MPa
ρ 0.85
f'c
fy
 1 1 2
R
0.85 f'c







 0.002 ρ ρmax 1
As max ρ b d ρshrinkage b t  8.64 cm
2

As0
π 10mm( )
2

4
 n
As
As0
 smax min 2 t 450mm( )
s min Floor
b
n
10mm





smax





240 mm
Page 140
Page 141

Mathcad 17-slab design

  • 1.
    17. Slab Design A.Design of One-Way Slabs La = length of short side Lb = length of long side La Lb 0.5 : the slab in one-way La Lb 0.5 : the slab is two-way Thickness of one-way slab Simply supported Ln 20 One end continuous Ln 24 Both ends continuous Ln 28 Cantilever Ln 10 Analysis of one-way slab Design scheme: continuous beam Determination of bending moments: using ACI moment coefficients Design of one-way slab Design section: rectangular section of 1m x h Type section: singly reinforced beam Page 115
  • 2.
    Example 17.1 Span ofslab Ln 2m 20cm 1.8m Live load LL 12 kN m 2  Materials f'c 20MPa fy 390MPa Solution Thickness of one-way slab tmin Ln 28 64.286 mm Use t 100mm Loads on slab Cover 50mm 22 kN m 3 1.1 kN m 2  Slab t 25 kN m 3 2.5 kN m 2  Ceiling 0.40 kN m 2  Mechanical 0.20 kN m 2  Partition 1.00 kN m 2  DL Cover Slab Ceiling Mechanical Partition 5.2 kN m 2  wu 1.2 DL 1.6 LL 25.44 kN m 2  Bending moments Msupport 1 11 wu Ln 2  7.493 kN m 1m  Mmidspan 1 16 wu Ln 2  5.152 kN m 1m  Steel reinforcements Page 116
  • 3.
    β1 0.65 max0.85 0.05 f'c 27.6MPa 6.9MPa        min 0.85       0.85 εu 0.003 ρmax 0.85 β1 f'c fy  εu εu 0.005  0.014 ρmin max 0.249MPa f'c MPa  fy 1.379MPa fy            0.00354 ρshrinkage 0.0020return( ) fy 50ksiif 0.0018return( ) fy 60ksiif max 0.0018 60ksi fy  0.0014      return      otherwise  ρshrinkage 0.0018 Top rebars b 1m d t 20mm 10mm 2        75 mm Mu Msupport b 7.493 kN m Mn Mu 0.9 8.326 kN m R Mn b d 2  1.48 MPa ρ 0.85 f'c fy  1 1 2 R 0.85 f'c         0.004 ρ ρmax 1 As max ρ b d ρshrinkage b t  2.982 cm 2  As0 π 10mm( ) 2  4  n As As0  smax min 3 t 450mm( ) s min Floor b n 10mm      smax      260 mm Bottom rebars Mu Mmidspan b 5.152 kN m Mn Mu 0.9 5.724 kN m Page 117
  • 4.
    R Mn b d 2  1.018 MPa ρ0.85 f'c fy  1 1 2 R 0.85 f'c         0.003 ρ ρmax 1 As max ρ b d ρshrinkage b t  2.019 cm 2  As0 π 10mm( ) 2  4  n As As0  smax min 3 t 450mm( ) s min Floor b n 10mm      smax      300 mm Link rebars As ρshrinkage b t 1.8 cm 2  As0 π 10mm( ) 2  4  n As As0  smax min 5 t 450mm( ) s min Floor b n 10mm      smax      430 mm B. Design of Two-Way Slabs Design methods: - Load distribution method - Moment coefficient method - Direct design method (DDM) - Equivalent frame method - Strip method - Yield line method Page 118
  • 5.
    (1) Load DistributionMethod Principle: Equality of deflection in short and long directions fa fb= αa wa La 4  EI  αb wb Lb 4  EI = Case αa αb= wa wb Lb 4 La 4 = 1 λ 4 = λ La Lb = wa wb wu= From which, wa wu 1 1 λ 4  = wb wu λ 4 1 λ 4  = For λ 1 1 1 λ 4  0.5 λ 4 1 λ 4  0.5 For λ 0.8 1 1 λ 4  0.709 λ 4 1 λ 4  0.291 For λ 0.6 1 1 λ 4  0.885 λ 4 1 λ 4  0.115 For λ 0.5 1 1 λ 4  0.941 λ 4 1 λ 4  0.059 For λ 0.4 1 1 λ 4  0.975 λ 4 1 λ 4  0.025 Page 119
  • 6.
    Example 17.2 Slab dimensionLa 4.3m Lb 5.5m Live load LL 2.00 kN m 2  Materials f'c 20MPa fy 390MPa Solution Thickness of two-way slab Perimeter La Lb  2 tmin Perimeter 180 108.889 mm t 1 30 1 50       La 143.333 86( ) mm Use t 120mm Loads on slab SDL 50mm 22 kN m 3 0.40 kN m 2  1.00 kN m 2  2.5 kN m 2  DL SDL t 25 kN m 3  5.5 kN m 2  LL 2 kN m 2  wu 1.2 DL 1.6 LL 9.8 kN m 2  Load distribution λ La Lb 0.782 wa 1 1 λ 4  wu 7.134 kN m 2  wb λ 4 1 λ 4  wu 2.666 kN m 2  Page 120
  • 7.
    Bending moments Ma.neg 1 11 wa La 2 11.992 kN m 1m  Ma.pos 1 16 wa La 2  8.245 kN m 1m  Mb.neg 1 11 wb Lb 2  7.33 kN m 1m  Mb.pos 1 16 wb Lb 2  5.04 kN m 1m  Steel reinforcements β1 0.65 max 0.85 0.05 f'c 27.6MPa 6.9MPa        min 0.85       0.85 εu 0.003 ρmax 0.85 β1 f'c fy  εu εu 0.005  0.014 ρmin max 0.249MPa f'c MPa  fy 1.379MPa fy            0.00354 ρshrinkage 0.0020return( ) fy 50ksiif 0.0018return( ) fy 60ksiif max 0.0018 60ksi fy  0.0014      return      otherwise  ρshrinkage 0.0018 Top rebar in short direction b 1m d t 20mm 10mm 10mm 2        85 mm Mu Ma.neg b 11.992 kN m Mn Mu 0.9 13.325 kN m R Mn b d 2  1.844 MPa Page 121
  • 8.
    ρ 0.85 f'c fy  11 2 R 0.85 f'c         0.005 ρ ρmax 1 As max ρ b d ρshrinkage b t  4.265 cm 2  As0 π 10mm( ) 2  4  n As As0  smax min 2 t 450mm( ) s min Floor b n 10mm      smax      180 mm Bottom rebar in short direction Mu Ma.pos b 8.245 kN m Mn Mu 0.9 9.161 kN m R Mn b d 2  1.268 MPa ρ 0.85 f'c fy  1 1 2 R 0.85 f'c         0.003 ρ ρmax 1 As max ρ b d ρshrinkage b t  2.875 cm 2  As0 π 10mm( ) 2  4  n As As0  smax min 2 t 450mm( ) s min Floor b n 10mm      smax      240 mm Top rebar in long direction Mu Mb.neg b 7.33 kN m Mn Mu 0.9 8.145 kN m R Mn b d 2  1.127 MPa ρ 0.85 f'c fy  1 1 2 R 0.85 f'c         0.003 ρ ρmax 1 As max ρ b d ρshrinkage b t  2.544 cm 2  Page 122
  • 9.
    As0 π 10mm( ) 2  4 n As As0  smax min 2 t 450mm( ) s min Floor b n 10mm      smax      240 mm Bottom rebar in long direction Mu Mb.pos b 5.04 kN m Mn Mu 0.9 5.599 kN m R Mn b d 2  0.775 MPa ρ 0.85 f'c fy  1 1 2 R 0.85 f'c         0.002 ρ ρmax 1 As max ρ b d ρshrinkage b t  2.16 cm 2  As0 π 10mm( ) 2  4  n As As0  smax min 2 t 450mm( ) s min Floor b n 10mm      smax      240 mm Shrinkage rebars b 1m As ρshrinkage b t 2.16 cm 2  As0 π 10mm( ) 2  4  n As As0  smax min 5 t 450mm( ) s min Floor b n 10mm      smax      360 mm Page 123
  • 10.
    (2) Moment CoefficientMethod Negative moments Ma.neg Ca.neg wu La 2 = Mb.neg Cb.neg wu Lb 2 = Positive moments Ma.pos Ca.pos.DL wD La 2  Ca.pos.LL wL La 2 = Mb.pos Cb.pos.DL wD Lb 2  Cb.pos.LL wL Lb 2 = where Ca.neg Cb.neg Ca.pos.DL Ca.pos.LL Cb.pos.DL Cb.pos.LL are tabulated moment coefficients wD 1.2 DL= wL 1.6 LL= wu 1.2 1.6 LL= Example 17.3 Slab dimension La 5.0m 25cm 4.75 m Lb 5.5m 20cm 5.3m Live load for office LL 2.40 kN m 2  Materials f'c 20MPa fy 390MPa Boundary conditions in short and long directions Simple Continuous       0 1        Short Continuous Continuous        Long Continuous Continuous        Solution Thickness of two-way slab Perimeter La Lb  2 Page 124
  • 11.
    tmin Perimeter 180 111.667 mm t 1 30 1 50       La 158.33395( ) mm Use t 120mm Loads on slab Cover 50mm 22 kN m 3 1.1 kN m 2  Slab t 25 kN m 3 3 kN m 2  Ceiling 0.40 kN m 2  Partition 1.00 kN m 2  SDL Cover Ceiling Partition 2.5 kN m 2  DL SDL Slab 5.5 kN m 2  wD 1.2 DL LL 2.4 kN m 2  wL 1.6 LL wu 1.2 DL 1.6LL 10.44 kN m 2  Moment coefficients Page 125
  • 12.
    Table 12.3a Coefficients fornegative moments in short direction of slab m Case 1 Case 2 Case 3 Case 4 Case 5 Case 6 Case 7 Case 8 Case 9 1.00 0.000 0.045 0.000 0.050 0.075 0.071 0.000 0.033 0.061 0.95 0.000 0.050 0.000 0.055 0.079 0.075 0.000 0.038 0.065 0.90 0.000 0.055 0.000 0.060 0.080 0.079 0.000 0.043 0.068 0.85 0.000 0.060 0.000 0.066 0.082 0.083 0.000 0.049 0.072 0.80 0.000 0.065 0.000 0.071 0.083 0.086 0.000 0.055 0.075 0.75 0.000 0.069 0.000 0.076 0.085 0.088 0.000 0.061 0.078 0.70 0.000 0.074 0.000 0.081 0.086 0.091 0.000 0.068 0.081 0.65 0.000 0.077 0.000 0.085 0.087 0.093 0.000 0.074 0.083 0.60 0.000 0.081 0.000 0.089 0.088 0.095 0.000 0.080 0.085 0.55 0.000 0.084 0.000 0.092 0.089 0.096 0.000 0.085 0.086 0.50 0.000 0.086 0.000 0.094 0.090 0.097 0.000 0.089 0.088 Table 12.3b Coefficients for negative moments in long direction of slab m Case 1 Case 2 Case 3 Case 4 Case 5 Case 6 Case 7 Case 8 Case 9 1.00 0.000 0.045 0.076 0.050 0.000 0.000 0.071 0.061 0.033 0.95 0.000 0.041 0.072 0.045 0.000 0.000 0.067 0.056 0.029 0.90 0.000 0.037 0.070 0.040 0.000 0.000 0.062 0.052 0.025 0.85 0.000 0.031 0.065 0.034 0.000 0.000 0.057 0.046 0.021 0.80 0.000 0.027 0.061 0.029 0.000 0.000 0.051 0.041 0.017 0.75 0.000 0.022 0.056 0.024 0.000 0.000 0.044 0.036 0.014 0.70 0.000 0.017 0.050 0.019 0.000 0.000 0.038 0.029 0.011 0.65 0.000 0.014 0.043 0.015 0.000 0.000 0.031 0.024 0.008 0.60 0.000 0.010 0.035 0.011 0.000 0.000 0.024 0.018 0.006 0.55 0.000 0.007 0.028 0.008 0.000 0.000 0.019 0.014 0.005 0.50 0.000 0.006 0.022 0.006 0.000 0.000 0.014 0.010 0.003 ORIGIN 1 Index 1 2 2 3        I Index Short1 1 Short2 1  3 J Index Long1 1 Long2 1  3 Table 1 6 5 7 4 9 3 8 2          Case Table I J 2 Vλ reverse Vλ( ) Vaneg reverse Taneg Case    Vbneg reverse Tbneg Case    VaposDL reverse TaposDL Case    VbposDL reverse TbposDL Case    VaposLL reverse TaposLL Case    VbposLL reverse TbposLL Case    λ La Lb 0.896 vs1 pspline Vλ Vaneg( ) Ca.neg interp vs1 Vλ Vaneg λ( ) 0.055 Page 126
  • 13.
    vs2 pspline VλVbneg( ) Cb.neg interp vs2 Vλ Vbneg λ( ) 0.037 vs3 pspline Vλ VaposDL( ) Ca.pos.DL interp vs3 Vλ VaposDL λ( ) 0.022 vs4 pspline Vλ VbposDL( ) Cb.pos.DL interp vs4 Vλ VbposDL λ( ) 0.014 vs5 pspline Vλ VaposLL( ) Ca.pos.LL interp vs5 Vλ VaposLL λ( ) 0.034 vs6 pspline Vλ VbposLL( ) Cb.pos.LL interp vs6 Vλ VbposLL λ( ) 0.022 Bending moments Ma.neg Ca.neg wu La 2  13.043 kN m 1m  Mb.neg Cb.neg wu Lb 2  10.729 kN m 1m  Ma.pos Ca.pos.DL wD La 2  Ca.pos.LL wL La 2  6.266 kN m 1m  Mb.pos Cb.pos.DL wD Lb 2  Cb.pos.LL wL Lb 2  4.911 kN m 1m  Steel reinforcements β1 0.65 max 0.85 0.05 f'c 27.6MPa 6.9MPa        min 0.85       0.85 εu 0.003 ρmax 0.85 β1 f'c fy  εu εu 0.005  0.014 ρmin max 0.249MPa f'c MPa  fy 1.379MPa fy            0.00354 ρshrinkage 0.0020return( ) fy 50ksiif 0.0018return( ) fy 60ksiif max 0.0018 60ksi fy  0.0014      return      otherwise  ρshrinkage 0.0018 Top rebars in short direction b 1m d t 20mm 10mm 10mm 2        85 mm Page 127
  • 14.
    Mu Ma.neg b13.043 kN m Mn Mu 0.9 14.492 kN m R Mn b d 2  2.006 MPa ρ 0.85 f'c fy  1 1 2 R 0.85 f'c         0.005 ρ ρmax 1 As max ρ b d ρshrinkage b t  4.666 cm 2  As0 π 10mm( ) 2  4  n As As0  smax min 2 t 450mm( ) s min Floor b n 10mm      smax      160 mm Bottom rebars in short direction Mu Ma.pos b 6.266 kN m Mn Mu 0.9 6.963 kN m R Mn b d 2  0.964 MPa ρ 0.85 f'c fy  1 1 2 R 0.85 f'c         0.003 ρ ρmax 1 As max ρ b d ρshrinkage b t  2.163 cm 2  As0 π 10mm( ) 2  4  n As As0  smax min 2 t 450mm( ) s min Floor b n 10mm      smax      240 mm Top rebars in long direction Mu Mb.neg b 10.729 kN m Mn Mu 0.9 11.921 kN m Page 128
  • 15.
    R Mn b d 2  1.65 MPa ρ0.85 f'c fy  1 1 2 R 0.85 f'c         0.004 ρ ρmax 1 As max ρ b d ρshrinkage b t  3.79 cm 2  As0 π 10mm( ) 2  4  n As As0  smax min 2 t 450mm( ) s min Floor b n 10mm      smax      200 mm Bottom rebars in long direction Mu Mb.pos b 4.911 kN m Mn Mu 0.9 5.457 kN m R Mn b d 2  0.755 MPa ρ 0.85 f'c fy  1 1 2 R 0.85 f'c         0.002 ρ ρmax 1 As max ρ b d ρshrinkage b t  2.16 cm 2  As0 π 10mm( ) 2  4  n As As0  smax min 2 t 450mm( ) s min Floor b n 10mm      smax      240 mm Shrinkage rebars b 1m As ρshrinkage b t 2.16 cm 2  As0 π 10mm( ) 2  4  n As As0  smax min 5 t 450mm( ) s min Floor b n 10mm      smax      360 mm Page 129
  • 16.
    (3) Direct DesignMethod (DDM) Total static moment M0 wu L2 Ln 2  8 = Longitudinal distribution of moments Mneg Cneg M0= Mpos Cpos M0= Lateral distribution of moments Mneg.col Cneg.col Mneg= Mneg.mid Cneg.mid Mneg= Mpos.col Cpos.col Mpos= Mpos.mid Cpos.mid Mpos= Page 130
  • 17.
    Example 17.4 Slab dimensionLa 4m Lb 6m Live load for hospital LL 3.00 kN m 2  Materials f'c 25MPa fy 390MPa Page 131
  • 18.
    Solution Section of beamin long direction L Lb 6 m h 1 10 1 15       L 600 400( ) mm h 500mm b 0.3 0.6( ) h 150 300( ) mm b 250mm bb hb       b h        Section of beam in short direction L La 4 m h 1 10 1 15       L 400 266.667( ) mm h 300mm b 0.3 0.6( ) h 90 180( ) mm b 200mm ba ha       b h        Determination of slab thickness Perimeter La Lb  2 tmin Perimeter 180 111.111 mm Assume t 120mm In long direction bw bb h hb hf t hw h hf b min bw 2 hw bw 8 hf  1.01 m A1 bw h x1 h 2  A2 b bw  hf x2 hf 2  xc x1 A1 x2 A2 A1 A2 169.852 mm I1 bw h 3  12 A1 x1 xc  2  I2 b bw  hf 3  12 A2 x2 xc  2  Page 132
  • 19.
    Ib I1 I24.617 10 5  cm 4  Is La hf 3  12  wc 24 kN m 3  Ec 44MPa wc kN m 3           1.5  f'c MPa  2.587 10 4  MPa α Ec Ib Ec Is 8.016 αb α In short direction bw ba h ha hf t hw h hf b min bw 2 hw bw 8 hf  0.56 m A1 bw h x1 h 2  A2 b bw  hf x2 hf 2  xc x1 A1 x2 A2 A1 A2 112.326 mm I1 bw h 3  12 A1 x1 xc 2  I2 b bw  hf 3  12 A2 x2 xc 2  Ib I1 I2 7.053 10 4  cm 4  Iba Ib Is Lb hf 3  12 8.64 10 4  cm 4  α Ec Ib Ec Is 0.816 αa α Required thickness of slab αm αa 2 αb 2 4 4.416 β Lb La 1.5 Ln Lb 20cm 5.8m Page 133
  • 20.
    hf max Ln 0.8 fy 200ksi         365 β αm 0.2  5in           0.2 αm 2.0if max Ln 0.8 fy 200ksi         36 9 β 3.5in         2.0 αm 5.0if "DDM is not applied" otherwise  hf 126.876 mm Loads on slab DL 50mm 22 kN m 3 t 25 kN m 3  0.40 kN m 2  1.00 kN m 2  5.5 kN m 2  LL 3 kN m 2  wu 1.2 DL 1.6 LL 11.4 kN m 2  In long direction L1 Lb 6 m Ln L1 ba 5.8m L2 La 4 m α1 αb 8.016 Total static moment M0 wu L2 Ln 2  8 191.748 kN m Longitudinal distribution of moments Mneg 0.65 M0 124.636 kN m Mpos 0.35 M0 67.112 kN m Lateral distribution of moments k1 L2 L1 0.667 k2 α1 L2 L1  5.344 linterp2 VX VY M x y( ) V j linterp VX M j   x  j 1 rows VY( )for linterp VY V y( )  Page 134
  • 21.
    Cneg.col linterp2 0 1 10         0.5 1.0 2.0          0.75 0.90 0.90 0.75 0.75 0.75 0.75 0.45 0.45          k2k1         0.85 Cneg.mid 1 Cneg.col 0.15 Cpos.col linterp2 0 1 10         0.5 1.0 2.0          0.60 0.90 0.90 0.60 0.75 0.75 0.60 0.45 0.45          k2 k1         0.85 Cpos.mid 1 Cpos.col 0.15 Mneg.col Cneg.col Mneg 105.941 kN m Mneg.mid Cneg.mid Mneg 18.695 kN m Mpos.col Cpos.col Mpos 57.045 kN m Mpos.mid Cpos.mid Mpos 10.067 kN m Ccol.beam linterp 0 1 10         0 0.85 0.85          k2         0.85 Ccol.slab 1 Ccol.beam 0.15 Mneg.col.beam Ccol.beam Mneg.col 90.05 kN m Mneg.col.slab Ccol.slab Mneg.col 15.891 kN m Mpos.col.beam Ccol.beam Mpos.col 48.488 kN m Mpos.col.slab Ccol.slab Mpos.col 8.557 kN m bcol min L1 L2  4 2 2 m bmid L2 bcol 2 m Top rebars in column strip b bcol d t 20mm 10mm 10mm 2        85 mm Mu Mneg.col.slab 15.891 kN m Mn Mu 0.9 17.657 kN m Page 135
  • 22.
    R Mn b d 2  1.222 MPa ρ0.85 f'c fy  1 1 2 R 0.85 f'c         0.003 ρ ρmax 1 As max ρ b d ρshrinkage b t  5.489 cm 2  As0 π 10mm( ) 2  4  n As As0  smax min 2 t 450mm( ) s min Floor b n 10mm      smax      240 mm Bottom rebars in column strip Mu Mpos.col.slab 8.557 kN m Mn Mu 0.9 9.508 kN m R Mn b d 2  0.658 MPa ρ 0.85 f'c fy  1 1 2 R 0.85 f'c         0.002 ρ ρmax 1 As max ρ b d ρshrinkage b t  4.32 cm 2  As0 π 10mm( ) 2  4  n As As0  smax min 2 t 450mm( ) s min Floor b n 10mm      smax      240 mm Top rebars in middle strip b bmid Mu Mneg.mid 18.695 kN m Mn Mu 0.9 20.773 kN m R Mn b d 2  1.438 MPa ρ 0.85 f'c fy  1 1 2 R 0.85 f'c         0.004 ρ ρmax 1 Page 136
  • 23.
    As max ρb d ρshrinkage b t  6.494 cm 2  As0 π 10mm( ) 2  4  n As As0  smax min 2 t 450mm( ) s min Floor b n 10mm      smax      240 mm Bottom rebars in middle strip Mu Mpos.mid 10.067 kN m Mn Mu 0.9 11.185 kN m R Mn b d 2  0.774 MPa ρ 0.85 f'c fy  1 1 2 R 0.85 f'c         0.002 ρ ρmax 1 As max ρ b d ρshrinkage b t  4.32 cm 2  As0 π 10mm( ) 2  4  n As As0  smax min 2 t 450mm( ) s min Floor b n 10mm      smax      240 mm In short direction L1 La 4 m Ln L1 bb 3.75 m L2 Lb 6 m α1 αa 0.816 Total static moment M0 wu L2 Ln 2  8 120.234 kN m Longitudinal distribution of moments Mneg 0.65 M0 78.152 kN m Mpos 0.35 M0 42.082 kN m Lateral distribution of moments Page 137
  • 24.
    k1 L2 L1 1.5 k2 α1 L2 L1 1.224 Cneg.col linterp2 0 1 10         0.5 1.0 2.0          0.75 0.90 0.90 0.75 0.75 0.75 0.75 0.45 0.45          k2 k1         0.6 Cneg.mid 1 Cneg.col 0.4 Cpos.col linterp2 0 1 10         0.5 1.0 2.0          0.60 0.90 0.90 0.60 0.75 0.75 0.60 0.45 0.45          k2 k1         0.6 Cpos.mid 1 Cpos.col 0.4 Mneg.col Cneg.col Mneg 46.891 kN m Mneg.mid Cneg.mid Mneg 31.261 kN m Mpos.col Cpos.col Mpos 25.249 kN m Mpos.mid Cpos.mid Mpos 16.833 kN m Ccol.beam linterp 0 1 10         0 0.85 0.85          k2         0.85 Ccol.slab 1 Ccol.beam 0.15 Mneg.col.beam Ccol.beam Mneg.col 39.858 kN m Mneg.col.slab Ccol.slab Mneg.col 7.034 kN m Mpos.col.beam Ccol.beam Mpos.col 21.462 kN m Mpos.col.slab Ccol.slab Mpos.col 3.787 kN m bcol min L1 L2  4 2 2 m bmid L2 bcol 4 m Top rebars in column strip b bcol Mu Mneg.col.slab 7.034 kN m Mn Mu 0.9 7.815 kN m Page 138
  • 25.
    R Mn b d 2  0.541 MPa ρ0.85 f'c fy  1 1 2 R 0.85 f'c         0.001 ρ ρmax 1 As max ρ b d ρshrinkage b t  4.32 cm 2  As0 π 10mm( ) 2  4  n As As0  smax min 2 t 450mm( ) s min Floor b n 10mm      smax      240 mm Bottom rebars in column strip Mu Mpos.col.slab 3.787 kN m Mn Mu 0.9 4.208 kN m R Mn b d 2  0.291 MPa ρ 0.85 f'c fy  1 1 2 R 0.85 f'c         0.001 ρ ρmax 1 As max ρ b d ρshrinkage b t  4.32 cm 2  As0 π 10mm( ) 2  4  n As As0  smax min 2 t 450mm( ) s min Floor b n 10mm      smax      240 mm Top rebars in middle strip b bmid Mu Mneg.mid 31.261 kN m Mn Mu 0.9 34.734 kN m R Mn b d 2  1.202 MPa ρ 0.85 f'c fy  1 1 2 R 0.85 f'c         0.003 ρ ρmax 1 Page 139
  • 26.
    As max ρb d ρshrinkage b t  10.792 cm 2  As0 π 10mm( ) 2  4  n As As0  smax min 2 t 450mm( ) s min Floor b n 10mm      smax      240 mm Bottom rebars in middle strip Mu Mpos.mid 16.833 kN m Mn Mu 0.9 18.703 kN m R Mn b d 2  0.647 MPa ρ 0.85 f'c fy  1 1 2 R 0.85 f'c         0.002 ρ ρmax 1 As max ρ b d ρshrinkage b t  8.64 cm 2  As0 π 10mm( ) 2  4  n As As0  smax min 2 t 450mm( ) s min Floor b n 10mm      smax      240 mm Page 140
  • 27.