UNIT – II
Op-Amp, IC-555 & IC 565 Applications: Introduction to Active
Filters, Characteristics of Band pass, Band reject and All Pass
Filters, Analysis of 1st order LPF & HPF Butterworth Filters,
waveform Generators – Triangular, Saw tooth, Square wave,
IC555 Timer – Functional Diagram, Monostable and Astable
Operations, Applications, IC565 PLL – Block Schematic,
Description of Individual Blocks, Applications.
Introduction
 Filters are circuits that are capable of passing signals within a band of
frequencies while rejecting or blocking signals of frequencies outside this band.
This property of filters is also called “frequency selectivity”.
 Filter can be passive or active filter.
Passive filters: The circuits built using RC, RL, or RLC circuits.
Active filters : The circuits that employ one or more op-amps in the design an
addition to resistors and capacitors
Passive filters
• Passive filters use resistors, capacitors, andinductors (RLC networks).
• To minimize distortion in the filter characteristic, it is desirable to use
inductors with high quality factors
• Practical inductors includes a series resistance.


They are particularly non-ideal
They are bulky and expensive
• Active filters overcome these drawbacks and are realized using
resistors, capacitors, and active devices (usually op-amps) which can
all be integrated:

Active filters replace inductors using op-amp based equivalent circuits.
Active filters can be designed to provide
required gain  no attenuation.
Advantages of Active Filters over Passive Filters
No loading problem, because of high input resistance
and low output resistance of op-amp.
Cost effective solution as a wide
variety of economical op-amps
Disadvantages
Active RC filters also have some disadvantages:
 limited bandwidth of active devices limits the highest
attainable frequency (passive RLC filters can be used up
to 500 MHz)
 require power supplies (unlike passive filters)
 increased sensitivity to variations in circuit parameters
caused by environmental changes compared to passive
filters
For many applications, particularly in voice and data
communications, the economic and performance
advantages of active RC filters far outweigh their
disadvantages.
Applications
 Active filters are mainly used in communication
and signal processing circuits.
 They are also employed in a wide range of
applications such as entertainment, medical
electronics, etc.
Active Filters
1. Low-pass filters
2. High-pass filters
3. Band-pass filters
4. Band-reject filters
 Each of these filters can be built by using op-amp as the
active element combined with RC, RL or RLC circuit as
the passive elements.
 There are 4 basic categories of active filters:
Ideal Filters
Stopband Passband
Passband Passband
Stopband
Lowpass Filter Highpass Filter
Bandstop Filter
Stopband Passband Stopband
Bandpass Filter
M()
Passband Stopband
M()
 
 
 c  c
 c1
 c1
 c2
 c2
Analog Filter Responses
H(f)
f
0
H(f)
f
0
fc
Ideal“brickwall”filter
fc
Practicalfilter
Actual response
Vo
 A low-pass filter is a filter that passes frequencies from 0Hz to critical
frequency, fc and significantly attenuates all other frequencies.
Ideal response
 Ideally, the response drops abruptly at the critical frequency, fc
roll-off rate
Low-Pass Filter Response
Stopband is the range of frequencies that have the most
attenuation.
Critical frequency, fc, (also called the cutoff frequency) defines
the end of the passband and normally specified at the point where
the response drops – 3 dB (70.7%) from the passband response.
Passband of a filter is the
range of frequencies that are
allowed to pass through the
filter with minimum
attenuation (usually defined
as less than -3 dB of
attenuation).
Transition region shows the
area where the fall-off occurs.
roll-off rate
 At low frequencies, XC is very high and the capacitor circuit can be
considered as open circuit. Under this condition, Vo = Vin or AV = 1
(unity).
 At very high frequencies, XC is very low and the Vo is small as compared
with Vin. Hence the gain falls and drops off gradually as the frequency is
increased.
f
BW
0 dB
–20 dB
10 fc
–40 dB
–60 dB
0.1 fc fc
0.01 fc 100 fc 1000 fc
Passband
–3 dB
Gain (normalized to 1)
Actual response of a
single-poleRC filter
Transition
region
Stopband
region
–20 dB/decade
Vout
R
Vs C
 The bandwidth of an ideal low-pass filter is equal to fc:
c
f
BW 
 The critical frequency of a low-pass RC filter occurs when
XC = R and can be calculated using the formula below:
RC
fc

2
1

 A high-pass filter is a filter that significantly attenuates or rejects all
frequencies below fc and passes all frequencies above fc.
 The passband of a high-pass filter is all frequencies above the critical
frequency.
Vo
Actual response Ideal response
 Ideally, the response rises abruptly at the critical frequency, fL
High-Pass Filter Response
 The critical frequency of a high-pass RC filter occurs when
XC = R and can be calculated using the formula below:
RC
fc

2
1

 A band-pass filter passes all signals lying within a band
between a lower-frequency limit and upper-frequency limit
and essentially rejects all other frequencies that are outside
this specified band.
Actual response Ideal response
 The bandwidth (BW) is defined as the difference between
the upper critical frequency (fc2) and the lower critical
frequency (fc1).
1
2 c
c f
f
BW 

2
1 c
c
o f
f
f 
 The frequency about which the pass band is centered is called
the center frequency, fo and defined as the geometric mean of
the critical frequencies.
 The quality factor (Q) of a band-pass filter is the ratio of
the center frequency to the bandwidth.
BW
f
Q o

 The quality factor (Q) can also be expressed in terms of the
damping factor (DF) of the filter as :
DF
Q
1

 The higher value of Q, the narrower the bandwidth and the
better the selectivity for a given value of fo.
 (Q>10) as a narrow-band or (Q<10) as a wide-band
Narrow Band Pass Filter
• A narrow band pass filter employing multiple feedback is depicted. This filter
employs only one op-amp, as shown in the figure. In comparison to all the filters
discussed so far, this filter has some unique features that are given below.
• It has two feedback paths, and this is the reason that it is called a multiple-
feedback filter.
• The op-amp is used in the inverting mode.
Wide Band pass Filter
• A wide bandpass filter can be formed by simply cascading high-pass
and low-pass sections
To form a ± 20 db/ decade bandpass filter, a first-order high-pass and a first-order low-pass sections are
cascaded; It means that, the order of the bandpass filter is governed by the order of the high-pass and
low-pass filters it consists of.
 Band-stop filter is a filter
which its operation is opposite to
that of the band-pass filter
because the frequencies within
the bandwidth are rejected, and
the frequencies above fc1 and fc2
are passed.
Actual response  For the band-stop filter,
the bandwidth is a band of
frequencies between the 3
dB points, just as in the
case of the band-pass filter
response.
Ideal response
Band Reject Filter
• Types of Band Reject Filter Circuit,
1. Narrow band reject filter
2. Wide band reject filter
Narrow band reject filter:
The narrow band reject filter is also called the notch filter. Because of
its higher Q which is greater than 10, the bandwidth of the narrow
band reject filter is much smaller than that of the wide band reject
filter.
The band reject filter is also called a band stop or band elimination
filter because it eliminates a certain band of frequencies.
Wide band Reject Filter
• Wide band reject filter using a low pass filter, a high pass filter and a summing
amplifier.
• For a proper band reject response, the low cutoff frequency fL of the high pass
filter must be larger than the high cutoff frequency fH of the low pass filter.
Animation
A "Group" of waves passing through a Typical Band-Pass Filter
All Pass Filter
• All Pass Filter Design is one that passes all frequency components of
the input signal without attenuation. Any ordinary wire can be used
to perform this characteristic but the most important factor in an all
pass filter is that it provides predictable phase shifts for different
frequencies of the input signal.
 The bandwidth of a low-pass filter is the same as the upper critical frequency.
 The bandwidth of a high-pass filter extends from the lower critical frequency up
to the inherent limits of the circuit.
 The band-pass passes frequencies between the lower critical frequency and the
upper critical frequency.
 A band-stop filter rejects frequencies within the upper critical frequency and
upper critical frequency.
 All Pass Filter Design is one that passes all frequency components of the input
signal without attenuation.
Frequency Response of filters
• Ideal
• Practical
• Filters are often described in terms of poles and
zeros
– A pole is a peak produced in the output spectrum
– A zero is a valley (not really zero)
Order of the Filter
First Order Low-Pass Butterworth Filter
• Butterworth filter is a type of filter whose frequency response is flat
over the pass band region. Low-pass filter (LPF) provides a constant
output from DC up to a cutoff frequency f(H) and rejects all signals
above that frequency.
• The first order low pass butter worth filter is realized by R-C circuit
used along with an op-amp, used in the non inverting configuration.
First Order Low-Pass Butterworth Filter
Because of simplicity, Butterworth filters are considered.
• In 1st. order LPF which is also known as one pole LPF.
Butterworth filter and it’s frequency response are shown
above.
• RC values decide the cut-off frequency of the filter.
• Resistors R1 & RF will decide it’s gain in passband.
As the OP-AMP is used in the non-inverting configuration, the
closed loop gain of the filter is given by
1
R
VF
A  1
RF
1
V  in
V          (1)
C
R  jX
 jXC
1
2fC
C
X 
   (2)
1 
2fCVin
 
 j
1 
1 
 jVin
2f RC j



R  j 2fC
V 
j
Vin
1 
2fRC
Vin
1j2fRC
EXPRESSION FOR THE GAIN OFTHE
FILTER:
Reactance of the capacitor is,
Equation (1) becomes
Voltage across the capacitor
V1 =
f = frequency of the input signal


 H 


V0
Vin
Vin
 RF 
V  A V 

1
 1 
0 VF 1
R  1  j2f RC
f
AVF
1 j 
f
Output of the filter is,
The operation of the low-pass filter can be verified from
the gain magnitude equation, (7-2a):
1. At very low frequencies, that is, f < fH,
2. At f = fH,
3. f < fH,
DESIGN PROCEDURE:
Step1: Choose the cut-off frequency fH
Step2: Select a value of ‘C’ ≤ 1µF (Approximately
between .001 & 0.1µF)
Step3: Calculate the value of R using
Step4: Select resistors R1 & R2 depending on the desired
pass band gain. (Try different gains)
=2. So RF=R1
Frequency Scaling
• Once the filter is designed, sometimes, it is necessary to change the value of
cut-off frequency fH. The method used to change the original cut-off
frequency fH to a new cut-off frequency fH1 is called as frequency scaling.
• To achieve such a frequency scaling, the standard value capacitor C is selected
first. The required cut-off frequency can be achieved by calculating
corresponding value of resistance R.
• Thus, the resistance R is generally a potentiometer with which required cut-
off frequency fH can be adjusted and changed later on if required.
For a first order Butterworth LPF, calculate the cut –off frequency if R=10K &
C=0.001µF.Also calculate the pass band voltage gain if R1=10K RF =100K
15.915KHz
H
f 
1
2 10103
 0.001106
1
2RC

1+100K/10K =11
Design a 1st order LPF for the following specification
Pass band voltage gain = 2. Cut off frequency, fC = 10KHz.
AVF = 2; Let RF = 10K
RF/R1=1 Let C = 0.001µF
1
2 10103
0.001106
2f C
& R  
1 1
2RC
f 
H
H
R=15.9K
Determine the gain of the first order low pass filter if the phase angle is 59.77o and the
pass band gain is 7.
Explanation: Given the phase angle, φ =-tan-1(f/fH)
=> f/fH=- φtan(φ) = -tan(59.77o)
=> f/fH= -1.716.
Substituting the above value in gain of the filter, |(VO/Vin)| = AF/√ (1+(f/fH)2) =7/√[1+(-1.716)2)]
=7/1.986
=>|(VO/Vin)|=3.5.
1st ORDER HPF
• A high pass filter is a circuit that attenuates all the signals below a
specified cut off frequency denoted as fL. Thus, a high pass filter
performs the opposite function to that of low pass filter.
• First Order High Pass Butterworth Filter circuit can be obtained by
interchanging frequency determining resistances and capacitors in
low pass filter circuit
Circuit diagram & frequency response are shown
above.
Again RC components decide the cut off frequency
of the HPF where as RF & R1 decide the closed loop
gain.
1st ORDER HPF:
fL is shown for HPF
V
R
C
WhereX 
in
C
1
2fC
R  jX
1
Voltage V 
in
in V
j
V 
R
R 
2fC
1
1
V  
R R  j2fC
R  1  j2fRC
j2fC
in
 f 
 L  V
j
 f 

 fl 
 f 
1  j
in
fL
VF 1 V
f
1  j
f
A
L 
VF  

 jf 
0
Output voltage = V  A .V 

 L 
 f 
1  jf
 L 
VF  

f
 jf 
A
V0
Vin
EXPRESSION FOR THE GAIN:
Gain =
Magnitude=
Compute the pass band gain and high cut-off frequency for the
first order high pass filter.
Explanation: The pass band gain of the filter, AF =1+(RF/R1)
=>AF=1+(10kΩ/10kΩ)=2. The high cut-off frequency of the filter, fH=1/2πRC =1/(2π×20kΩ×0.01µF)
=1/1.256×10-3 =796.18Hz.
Wave form Generators
Three types:
1. Square Wave Generator
2. Triangular Wave Generator
3. Saw tooth Wave Generator
Square Wave Generator
Contd..
• The Square Wave Generator Using Op amp means the astable
multivibrator circuit using op-amp, which generates the square
wave of required frequency
• It looks like a comparator with hysteresis (Schmitt trigger), except
that the input voltage is replaced by a capacitor.
• The circuit has a time dependent elements such as resistance and
capacitor to set the frequency of oscillation.
Triangular Waveform Generator
• The output of integrator is a Triangular Wave Generator Using Op
amp if its input is a square wave. This means that a Triangular Wave
Generator Using Op amp can be formed by simply connecting an
integrator to the square wave generator as shown in the Fig.
In practical circuits, resistance R4 is connected across C to avoid the saturation problem at low
frequencies as in the case of practical integrator as shown in the Fig.
Triangular Waveform Generator using lesser
components
Amplitude and Frequency Calculation
The frequency and amplitude of the Triangular Wave Generator Using
Op amp wave can be determined as follows :
When comparator output is at +Vsat , the effective voltage at point P is
given by
When effective voltage at P becomes equal to zero, we can write above equation
• Similarly, when comparator output is at – Vsat, we can write,
The peak to peak amplitude of the triangular wave can be given as
The time taken by the output to swing from – Vramp to + Vramp (or from + Vramp to – Vramp ) is equal to
half the time period T/2. Refer Fig. This time can be calculated from the integrator output equation as
follows :
Substituting value of Vo(pp) we get, Triangular Wave Generator Using Op amp
Saw Tooth Waveform Generator
• A sawtooth waveform is used in pulse width modulation circuits and time-base
generators. A potentiometer is used when the wiper moves toward negative
voltage(-V); then the rise time becomes more than the fall time.
• When the wiper moves towards positive voltage(+V), then the rise time becomes
less than the fall time.
Applications:
 The sawtooth waveform is most common waveform used to create sounds with subtractive virtual and
analog music synthesizers. Therefore, it is used in music.
 The sawtooth is the form of horizontal and vertical deflection signals that are used to generate a raster
on monitor screens or CRT based television.
 The magnetic field suddenly gets collapsed on the wave’s cliff, which causes the resting position of its
electron beam as quickly as possible.
 The magnetic field produced by the deflection yoke drags the electron beam on the wave’s ramp,
creating a scan line.
555 TIMER
71
IC 555 Timer
• The 555 Timer is one of the most popular and versatile integrated circuits
ever produced!
• “Signetics” Corporation first introduced this device as the SE/NE 555 in
early 1970.
• It is a combination of digital and analog circuits.
• It is known as the “time machine” as it performs a wide variety of timing
tasks.
• Applications for the 555 Timer include:
• Ramp and Square wave generator
• Frequency dividers
• Voltage-controlled oscillators
• Pulse generators and LED flashers
Malla Reddy College of Engineering and Technology 72
555 timer- Pin Diagram
• The 555 timer is an 8-Pin D.I.L. Integrated Circuit or ‘chip’
Malla Reddy College of Engineering and Technology 73
Not
ch
Pin
1
555 timer- Pin Description
Pin Name Purpose
1 GND Ground, low level (0 V)
2 TRIG OUT rises, and interval starts, when this input falls below 1/3 VCC.
3 OUT This output is driven to approximately 1.7V below +VCC or GND.
4 RESET
A timing interval may be reset by driving this input to GND, but the
timing does not begin again until RESET rises above approximately
0.7 volts. Overrides TRIG which overrides THR.
5 CTRL "Control" access to the internal voltage divider (by default, 2/3 VCC).
6 THR The interval ends when the voltage at THR is greater than at CTRL.
7 DIS
Open collector output; may discharge a capacitor between intervals.
In phase with output.
8 V+, VCC Positive supply voltage is usually between 3 and 15 V. 74
555 Timer
Description:
•Contains 25 transistors, 2 diodes and 16 resistors
• Maximum operating voltage 16V
• Maximum output current 200mA
If you input certain signals they will be processed / controlled in a certain
manner and will produce a known output.
INPUT PROCESS OUTPUT
• Best treated as a single component with required
input and output
75
Block Diagram of 555 Timer
• S
• R
• Q
• Q
Malla Reddy College of Engineering and Technology 76
Threshol
d
Control Voltage
Trigger
Discharg
e
Vref
+
R
S Q
Q
Truth Table
Fig: Functional Diagram of 555 Timer
Inside the 555 Timer
Operation:
• The voltage divider has three equal 5K resistors. It
divides the input voltage (Vcc) into three equal
parts.
• The two comparators are op-amps that compare
the voltages at their inputs and saturate depending
upon which is greater.
• The Threshold Comparator saturates when the voltage
at the Threshold pin (pin 6) is greater than (2/3)Vcc.
• The Trigger Comparator saturates when the voltage at
the Trigger pin (pin 2) is less than (1/3)Vcc
77
Inside the 555 Timer
• The flip-flop is a bi-stable device. It generates two
values, a “high” value equal to Vcc and a “low” value
equal to 0V.
• When the Threshold comparator saturates, the flip flop is
Reset (R) and it outputs a low signal at pin 3.
• When the Trigger comparator saturates, the flip flop is Set
(S) and it outputs a high signal at pin 3.
• The transistor is being used as a switch, it connects
pin 7 (discharge) to ground when it is closed.
• When Q is low, Q bar is high. This closes the transistor
switch and attaches pin 7 to ground.
• When Q is high, Q bar is low. This open the switch and
pin 7 is no longer grounded
78
Features of IC 555 Timer
The Features of IC 555 Timer are:
1. The 555 is a monolithic timer device which can be used to produce
accurate and highly stable time delays or oscillation. It can be used to
produce time delays ranging from few microseconds to several hours.
2. It has two basic operating modes: monostable and astable.
3. It is available in three packages: 8-pin metal can, 8-pin mini DIP or a
14-pin. A 14-pin package is IC 556 which consists of two 555 times.
Malla Reddy College of Engineering and Technology 79
Contd…
4. The NE 555( signetics ) can operate with a supply voltage in the
range of 4.5v to 18v and output currents of 200mA.
5. It has a very high temperature stability, as it is designed to operate
in the temperature range of -55⁰c to 125oc.
6. Its output is compatible with TTL, CMOS and Op-Amp circuits.
Malla Reddy College of Engineering and Technology 80
Uses of 555 timer
What the 555 timer is used for:
•To switch on or off an output after a certain time delay i.e.
Games timer, Childs mobile, Exercise timer.
•To continually switch on and off an output i.e.
warning lights, Bicycle indicators.
•As a pulse generator i.e.
To provide a series of clock pulses for a counter.
81
Schematic Diagram of 555 Timer
82
555 Timer operating modes
555 has three operating modes:
1. Monostable Multivibrator
2. Astable Multivibrator
3. Bistable Multivibratior
83
555 Timer operating modes
• The 555 has three operating modes:
1. Monostable Multivibrator
2.Astable Multivibrator
3. Bistable Multivibratior
84
555 Timer as Monostable Multivibrator
Description:
 In the standby state, FF holds
transistor Q1 ON, thus
clamping the external timing
capacitor C to ground. The
output remains at ground
potential. i.e. Low.
 As the trigger passes through VCC/3, the FF is set, i.e. Q bar=0, then
the transistor Q1 OFF and the short circuit across the timing
capacitor C is released. As Q bar is low , output goes HIGH. 85
555 Timer as Monostable Multivibrator
Fig (a): Timer in Monostable Operation with Functional Diagram
Fig (b): Output wave Form of Monostable 86
Monostable Multivibrator- Description
• Voltage across it rises exponentially through R towards Vcc
with a time constant RC.
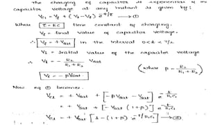
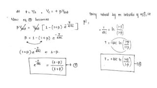
• After Time Period T, the capacitor voltage is just greater
than 2Vcc/3 and the upper comparator resets the FF, i.e.
R=1, S=0. This makes Q bar =1, C rapidly to ground
potential.
• The voltage across the capacitor as given by,
sec
1
.
1
)
3
1
ln(
)
1
(
3
2
3
2
,
)
1
(
RC
T
RC
T
e RC
T
V cc
V cc
V cc
vc
T
t
e RC
t
V cc
vc











at
 If –ve going reset pulse terminal (pin
4) is applied, then transistor Q2-> OFF,
Q1-> ON & the external timing
capacitor C is immediately discharged.
87
Behavior of the Monostable Multivibrator
w The monostable multivibrator is constructed by
adding an external capacitor and resistor to a 555
timer.
w The circuit generates a single pulse of desired
duration when it receives a trigger signal, hence it
is also called a one-shot.
w The time constant of the resistor-capacitor
combination determines the length of the pulse.
88
Uses of the Monostable Multivibrator
• Used to generate a clean pulse of the correct
height and duration for a digital system
• Used to turn circuits or external components on or
off for a specific length of time.
• Used to generate delays.
• Can be cascaded to create a variety of sequential
timing pulses. These pulses can allow you to time
and sequence a number of related operations.
89
Monostable Multivibrator
90
F
x
x
x
R
T
C 
9
.
0
100
1
.
1
100
1
.
1 10
10
3
3



 

Problem:
In the monostable multivibrator of fig, R=100kΩ
and the time delay T=100ms. Calculate the value of C ?
Solution:
T=1.1RC
Applications in Monostable Mode
1. Missing Pulse Detector.
2. Linear Ramp Generator.
3. Frequency Divider.
4. Pulse Width Modulation.
91
1.Missing Pulse Detector
Fig (a) : A missing Pulse Detector Monostable Circuit
Fig (b) : Output of Missing Pulse Detector
92
Missing Pulse Detector- Description
• When input trigger is Low, emitter-base diode of Q is
forwarded biased capacitor is clamped to 0.7v(of
diode), output of timer is HIGH width of T o/p of
timer > trigger pulse width.
• T=1.1RC select R & C such that T > trigger pulse.
• Output will be high during successive coming of input
trigger pulse. If one of the input trigger pulse missing
trigger i/p is HIGH, Q is cut off, timer acts as normal
monostable state.
• It can be used for speed control and measurement.
93
2.Linear Ramp Generator
at pin 2 > Vcc/3
Capacitor voltage
at pin 6
94
3.Frequency Divider
Fig: Diagram of Frequency Divider
Description:
A continuously triggered
monostable circuit when triggered by a
square wave generator can be used as a
frequency divider, if the timing interval is
adjusted to be longer than the period of the
triggering square wave input signal.
The monostable multivibrator will
be triggered by the first negative going edge
of the square wave input but the output will
remain HIGH(because of greater timing
interval) for next negative going edge of the
input square wave as shown fig.
95
4.Pulse Width Modulation
Fig a: Pulse Width Modulation Fig b: PWM Wave Forms
96
Pulse Width Modulation- Description
The charging time of capacitor is entirely depend upon 2Vcc/3.
When capacitor voltage just reaches about 2Vcc/3 output of the timer
is coming from HIGH to Low level.
We can control this charging time of the capacitor by adding
continuously varying signal at the pin-5 of the 555 timer which is
denoted as control voltage point. Now each time the capacitor voltage
is compared control voltage according to the o/p pulse width change.
So o/p pulse width is changing according to the signal applied to
control voltage point. So the output is pulse width modulated form.
97
Pulse Width Modulation
Practical Representation
Fig: PWM & Wave forms
98
Astable Multivibrator
• Astable multivibrator is simply an oscillator. The astable multivibrator
generates a continuous stream of rectangular off-on pulses that
switch between two voltage levels.
• The frequency of the pulses and their duty cycle are dependent upon
the RC network values.
• The capacitor C charges through the series resistors RA and RB with a
time constant (RA + RB) C. The capacitor discharges through RB with
a time constant of RBC
Astable Multivibrator
100
1 – Ground 5 – FM Input (Tie to gnd via bypass cap)
2 – Trigger 6 – Threshold
3 – Output 7 – Discharge
4 – Reset (Set HIGH for normal operation) 8 – Voltage Supply (+5 to +15 V)
Fig (a): Diagram of Astable Multvibrator
Astable Multivibrator
101
Fig (b): Functional Diagram of Astable Multivibrator using 555 Timer
A1
A2
V1
V2
VT
VC
Vo
VA
R2
R1
R3
A1
A2
Q1
Astable Multivibrator- Description
102
 Connect external timing capacitor between trigger point
(pin 2) and Ground.
 Split external timing resistor R into RA & RB, and connect
their junction to discharge terminal (pin 7).
 Remove trigger input, monostable is converted to Astable
multivibrator.
 This circuit has no stable state. The circuits changes its
state alternately. Hence the operation is also called free
running oscillator.
103
• Resistive voltage divider (equal resistors) sets threshold
voltages for comparators
V1 = VTH = 2/3 VCC V2 = VTL = 1/3 VCC
• Two Voltage Comparators
- For A1, if V+ > VTH then R =HIGH
- For A2, if V- < VTL then S = HIGH
• RS FF
- If S = HIGH, then FF is SET, = LOW, Q1 OFF, VOUT = HIGH
- If R = HIGH, then FF is RESET, = HIGH, Q1 ON, VOUT = LOW
• Transistor Q1 is used as a Switch
Astable 555 Timer Block Diagram Contents
Q
Q
104
Operation of a 555 Astable
VCC
VC(t)
RA RB
1) Assume initially that the capacitor is discharged.
a) For A1, V+ = VC = 0V and for A2, V- = VC = 0V, so R=LOW,
S=HIGH, = LOW , Q1 OFF, VOUT = VCC
b) Now as the capacitor charges through RA & RB,
eventually VC > VTL so R=LOW & S=LOW.
FF does not change state.
Q
105
Operation of a 555 Astable
Continued……
VC(t)
RB
Q1
2) Once VC  VTH
a) R=HIGH, S=LOW, = HIGH ,Q1 ON, VOUT = 0
b) Capacitor is now discharging through RB and Q1 to
ground.
c) Meanwhile at FF, R=LOW & S=LOW since
VC < VTH.
Q
106
Operation of a 555 Astable
Continued…..
3) Once VC < VTL
a) R=LOW, S=HIGH, = LOW , Q1 OFF, VOUT = VCC
b) Capacitor is now charging through RA & RB again.
VCC
VC(t)
RA RB
Q
Timing Diagram of a 555 Astable
107
VC(t)
VTH
VTL
VOUT(t) TL TH
t = 0 t = 0'
t
t
1 2 3
Astable Multivibrator- Analysis
108
Contd….
The capacitor voltage for a low pass RC circuit subjected to a step input of Vcc volts is
given by,
The time t1 taken by the circuit to change from 0 to 2Vcc/3 is,
)
1
( e
V
v RC
t
CC
c



RC
t
e
V
V RC
CC
CC
t
09
.
1
)
1
(
3
2
1
1





V
V CC
C
3
2

The time t2 to charge from 0 to vcc/3 is V
V CC
C
3
1

RC
t
e
V
V RC
CC
CC
t
405
.
0
)
1
(
3
2
2





So the time to change from Vcc/3 to 2Vcc/3 is, RC
RC
RC
t
t
tHIGH
69
.
0
405
.
0
09
.
1
2
1





So, for the given circuit, C
R
R
t B
A
HIGH
)
(
69
.
0 

The output is low while the capacitor discharges from 2Vcc/3 to Vcc/3 and the
voltage across the capacitor is given by,
e
V
V RC
t
CC
CC 

3
2
3
…… Charging time
Astable Multivibrator- Analysis
109
C
R
t B
LOW
69
.
0

After solving, we get, t=0.69RC
For the given circuit,
Both RA and RB are in the charge path, but only RB is in the discharge path.
The total time period,

C
C
T R
R
R
t
t B
B
LOW
HIGH A 69
.
0
)
69
.
0 ( 


 
C
C
C
C
T R
R
R
R
R
R
R
R A
A
A B
B
B
B
B
)
69
.
0
)
69
.
0
]
)
69
.
0 2
(
(
[( 

 





C
C
T
f
R
R
R
R A
A B
B
)
45
.
1
)
69
.
0
1
1
2
(
2
( 




Frequency,
Duty Cycle,
100
)
)
100
)
69
.
0
)
69
.
0
100
%
2
(
(
2
(
(
X
X
C
C
X
T
D
R
R
R
R
R
R
R
R
t
A
A
A
A
B
B
B
B
HIGH







100
)
100
)
69
.
0
69
.
0
100
%
2
(
2
(
X
X
C
C
X
T
D
R
R
R
R
R
R
t
A
A B
B
B
B
LOW





…… Discharging time
…….1.45 is Error Constant
Behavior of the Astable Multivibrator
w The astable multivibrator is simply an oscillator. The
astable multivibrator generates a continuous stream of
rectangular off-on pulses that switch between two
voltage levels.
w The frequency of the pulses and their duty cycle are
dependent upon the RC network values.
w The capacitor C charges through the series resistors RA
and RB with a time constant (RA + RB)C.
w The capacitor discharges through RB with a time
constant of RBC
110
Uses of the Astable Multivibrator
• Flashing LED’s
• Pulse Width Modulation
• Pulse Position Modulation
• Periodic Timers
• Uses include LEDs, pulse generation, logic
clocks, security alarms and so on.
111
Applications in Astable Mode
112
1.Square Generator
2.FSK Generator
3.Pulse Position Modulator
1.Square Generator
113
0
%
50
100
)
)
1
2
2
2
(
(
1
1





R
R
R
R
R
Here
X
DutyCycle
 To avoid excessive discharge current through Q1 when R1=0
connect a diode across R2, place a variable R in place of R1.
 Charging path R1 & D; Discharging path R2 & pin 7.
10µF
C1
3
Fig: Square Wave Generator
2. FSK Generator
114
Description:
 In digital data communication,
binary code is transmitted by
shifting a carrier frequency
between two preset
frequencies. This type of
transmission is called Frequency
Shift Keying (FSK) technique.
Fig: FSK Generator
Contd…..
FSK Generator
115
The frequency of the output wave form given by,
C
R
R
f O
)
45
.
1
2
( 1 2


When input digital is LOW, Q1 is ON then R3 parallel R1
C
R
R
R
f O
)
45
.
1
2
||
( 3 1 2

 
 A 555 timer is astable mode can be used to generate FSK signal.
 When input digital data is HIGH, T1 is OFF & 555 timer works as
normal astable multivibrator.
2. Pulse Position Modulator
116
Fig (a): Pulse position Modulator
Fig (b): Output Wave Form of PPM
Description:
 The pulse position modulator can be
constructed by applying a modulating
signal to pin 5 of a 555 timer connected
for astable operation.
 The output pulse position varies with
the modulating signal, since the
threshold voltage and hence the time
delay is varied.
 The output waveform that the
frequency is varying leading to pulse
position modulation.
Astable Multivibrator
117
Problem:
In the astable multivibrator of fig, RA=2.2KΩ, RB=3.9K Ω and C=0.1µF. Determine
the positive pulse width tH, negative pulse width tLow, and free-running frequency fo.
Solution:
ms
X
K
C
R
t B
LOW
269
.
0
)
1
.
0
)(
9
.
3
(
69
.
0
69
.
0 10
6



 
?
)
45
.
1
1
2
(



 C
T R
R
f
A B
o
ms
X
K
K
C
R
R
t B
A
HIGH
421
.
0
)
1
.
0
)(
9
.
3
2
.
2
(
69
.
0
)
(
69
.
0 10
6






 
?
100
9
.
3
2
2
.
2
9
.
3
2
.
2
100
)
)
100
%
2
(
(












X
K
X
K
K
X
X
T
D
R
R
R
R
t
A
A
B
B
HIGH
Duty Cycle,
?
100
9
.
3
2
2
.
2
9
.
3
100
)
100
%
2
(









X
K
X
K
X
X
T
D
R
R
R
t
A B
B
LOW
Comparison of Multivibrator Circuits
118
Monostable Multivibrator Astable Multivibrator
1. It has only one stable state 1. There is no stable state.
2. Trigger is required for the operation
to change the state.
2. Trigger is not required to change the
state hence called free running.
3. Two comparators R and C are
necessary with IC 555 to obtain the
circuit.
3. Three components RA, RB and C are
necessary with IC 555 to obtain the
circuit.
4. The pulse width is given by T=1.1RC
Seconds
4. The frequency is given by,
5. The frequency of operation is
controlled by frequency of trigger
pulses applied.
5. The frequency of operation is
controlled by RA, RB & C.
6. The applications are timer, frequency
divider, pulse width modulation etc…
6. The applications are square wave
generator, flasher, voltage controlled
oscillator, FSK Generator etc..
C
T R
R
f
A B
o
)
45
.
1
1
2
( 


Find the charging and discharging time of 0.5µF capacitor.
Explanation: The time required to charge the capacitor
is tHigh=0.69(RA+RB)C =0.69(10kΩ+5kΩ)x0.5µF =5ms.
The time required to discharge the capacitor is
tLow=0.69xRC =0.69x5kΩx0.5µF=2ms.
Astable multivibrator operating at 150Hz has a discharge time of 2.5m. Find the duty
cycle of the circuit.
Explanation: Given f=150Hz.Therefore,T=1/f =1/150 =6.67ms.
∴ Duty cycle, D%=(tLow/T) x 100% = (2.5ms/6.67ms)x100% = 37.5%.
Determine the frequency and duty cycle of a rectangular wave generator.
Explanation: Frequency=1.45/(RA+RB)C .
Where RA=100Ω+50Ω=150Ω,
RB=100Ω+20Ω=120Ω.
=>∴f=1.45/((150+120)x0.1µF) = 53703Hz = 53.7kHz.
Duty cycle, D% = [RB/(RA+RB)] x 100% = 120Ω/(150Ω +120Ω) x 100% =
0.55×100% = 55%.
PHASE-LOCKED LOOPS
122
PLL
PHASE-LOCKED LOOPS- Introduction
123
The phase-locked loop is a negative feedback system in
which the frequency of an internal oscillator (vco) is
matched to the frequency of an external waveform with
some Pre-defined phase difference.
Vd(t)
PHASE
COMPARATOR
(PC)
LOW PASS
FILTER
(LPF)
VCO
AMPLIFIER
(A)
Vi(t)
Vo(t)
Vp(t)
(EXTERNAL R & C DETERMINES
VCO FREQUENCY)
v
f
Ko



Contd…..
PHASE-LOCKED LOOPS
124
Contd…..
• The phase comparator (phase detector) can be as simple as
an exclusive-or gate (digital signals) or is a mixer (non-linear
device - frequency multiplier) for analog signals.
• The phase comparator generates an output voltage Vp(t) (relates
to the phase difference between external signal Vi(t) and vco
output Vo(t) ).
• If the two frequencies are the same (with a pre-defined phase
difference) then Vp(t) = 0.
• If the two frequencies are not equal (with various phase
differences), then Vp(t) = 0 and with frequency components
about twice the input frequency.
Phase Comparator:
PHASE-LOCKED LOOPS
125
Contd…..
• The low pass filter removes these high frequency components and
Vd(t) is a variable dc voltage which is a function of the phase
difference.
Voltage Controlled Oscillator:
• The vco has a free-running frequency, fo, approximately equal to
the input frequency. the vco frequency varies as a function of Vd(t)
• The feedback loop tries to adjust the vco frequency so that:
Vi(t) FREQUENCY = Vo(t) FREQUENCY
THE VCO IS SYNCHRONIZED, OR LOCKED TO Vi(t)
Low pass filter:
PLL LOCK RANGE
126
• Lock range is defined as the range of frequencies in the vicinity of
the vco’s Natural frequency (free-running frequency) for which the
pll can maintain lock with the input signal. The lock range is also
called the tracking Range.
• The lock range is a function of the transfer functions of the pc,
amplifier, and vco.
Hold-in range:
•The hold-in range is equal to half the lock range
•The lowest frequency that the pll will track is called the lower lock
limit. The highest frequency that the pll will track is called the upper
lock limit Contd…..
Lock range:
PLL LOCK RANGE
127
PLL CAPTURE RANGE
128
Contd….
• Capture range is defined as the band of frequencies in the vicinity
of fo where the pll can establish or acquire lock with an input range
(also called the acquisition range).
• Capture range is a function of the BW of the lpf ( lpf BW capture
range).
• Capture range is between 1.1 and 1.7 times the natural frequency
of the vco.
The pull-in range:
•The pull-in range is equal to half the capture range
• The lowest frequency that the pll can lock onto is called the lower
capture limit
CAPTURE RANGE:
PLL CAPTURE RANGE
• The highest frequency that the pll can lock onto is called
the upper capture limit
129
130
PLL LOCK/CAPTURE RANGE
LOCK RANGE > CAPTURE RANGE
PLL-Basic Components
131
Phase detector:
 Transfer function: KΦ [V/radians].
 Implemented as: four quad
multiplier, XOR gate, state
machine.
Voltage controlled oscillator (VCO):
 Frequency is the first derivative of
phase.
 Transfer function: KVCO/s
[radians/(V•s)]
Low pass filter:
 Removes high frequency components coming from the phase detector.
 Determines loop order and loop dynamics.
PLL OPERATION-Putting All Together
132
e
d
d
V
K


e
d
d K
V 
 d
a
f
out V
K
K
V 
a
f
out
d
K
K
V
V 
d
d
e
K
V


v
f
Ko



o
out
K
f
V


out
o
V
f
K


o
outK
V
f 

n
in f
f
f 


o
a
f
d
L K
K
K
K
K 
OPEN-LOOP GAIN:
PLL OPERATION
133
Kd
Kf
Ka
Ko
d
d
e
d K
K
V
2
max
max

 


L
o
a
f
d K
K
K
K
K
f
2
2
max








HOLD-IN RANGE
L
K
f
Range
Lock 


 max
2
PLL 565 Pin Configuration
134
PLL- Example
135
Problem:
fn = 200 kHz, fi = 210 kHz, Kd = 0.2 V/rad, Kf = 1, Ka = 5, Ko = 20 kHz/V
rad
kHz
KL /
20
)
20
)(
5
)(
1
)(
2
(. 

PLL OPEN-LOOP GAIN:
VCO FREQUENCY CHANGE for LOCK:
kHz
f
f
f n
in 10
200
210 





PLL OUTPUT VOLTAGE:
V
V
kHz
kHz
K
f
V
o
out 5
.
/
20
10




Solution:
Contd…..
PLL-Example
136
STATIC PHASE ERROR:




 65
.
28
5
.
/
2
.
1
.
rad
rad
V
V
K
V
e
d
d

HOLD-IN RANGE:
LOCK RANGE:
kHz
K
f L 4
.
31
2
max 






kHz
f
Range
Lock 8
.
62
2 max 



PHASE DETECTOR OUTPUT VOLTAGE:
V
K
K
V
V
a
f
out
d 1
.
)
5
(
1
5
.



Salient Features of 565 PLL
1. Operating frequency range =0.01Hz to 500KHz
2. Operating voltage range = ±6v to ± 12v
3. Input level required for tracking:
10mv rms min to 3v peak to peak max
4. Input impedance = 10kΩ typically.
5. Output sink current : 1mA typically.
6. Output source current: 10mA typically
7. Drift in VCO Centre frequency: 300 PPM/ ⁰c
8. Drift in VCO Centre frequency with supply voltage: 1.5
percent/Vmax
9. Triangle wave amplitude: 2.4 Vpp at ± 6v supply voltage.
10. Square wave amplitude: 5.4 Vpp at ± 6v supply voltage.
11. Bandwidth adjustment range: < ± 1 to ± 60%
137
PLL APPLICATIONS
138
• Analog and digital modulation
• Frequency shift keying (fsk) decoders
• Am modulation / demodulation
• Fm modulation / demodulation
• Frequency synthesis
• Frequency generation
PLL APPLICATIONS
139
1.FM Demodulator:
2.FM Modulator:
Voltage Controlled Oscillator (VCO)
140
A voltage controlled oscillator is an oscillator circuit
in which the frequency of oscillations can be
controlled by an externally applied voltage
VCO Operation
141
VCO Analysis
142
Contd…..
VCO Analysis
143
Features of VCO
144
Applications of VCO
145
The various applications of VCO are:
1. Frequency Modulation.
2. Signal Generation (Triangular or Square Wave)
3. Function Generation.
4. Frequency Shift Keying i.e. FSK demodulator.
5. In frequency multipliers.
6. Tone Generation.
VCO
146
Contd….
VCO
147
Thank You
148

LINEAR INTEGRATED CIRCUITS UNIT 2 FILTERS AND DESIGN

  • 1.
    UNIT – II Op-Amp,IC-555 & IC 565 Applications: Introduction to Active Filters, Characteristics of Band pass, Band reject and All Pass Filters, Analysis of 1st order LPF & HPF Butterworth Filters, waveform Generators – Triangular, Saw tooth, Square wave, IC555 Timer – Functional Diagram, Monostable and Astable Operations, Applications, IC565 PLL – Block Schematic, Description of Individual Blocks, Applications.
  • 2.
    Introduction  Filters arecircuits that are capable of passing signals within a band of frequencies while rejecting or blocking signals of frequencies outside this band. This property of filters is also called “frequency selectivity”.  Filter can be passive or active filter. Passive filters: The circuits built using RC, RL, or RLC circuits. Active filters : The circuits that employ one or more op-amps in the design an addition to resistors and capacitors
  • 3.
    Passive filters • Passivefilters use resistors, capacitors, andinductors (RLC networks). • To minimize distortion in the filter characteristic, it is desirable to use inductors with high quality factors • Practical inductors includes a series resistance.   They are particularly non-ideal They are bulky and expensive
  • 4.
    • Active filtersovercome these drawbacks and are realized using resistors, capacitors, and active devices (usually op-amps) which can all be integrated:  Active filters replace inductors using op-amp based equivalent circuits.
  • 5.
    Active filters canbe designed to provide required gain  no attenuation. Advantages of Active Filters over Passive Filters No loading problem, because of high input resistance and low output resistance of op-amp. Cost effective solution as a wide variety of economical op-amps
  • 6.
    Disadvantages Active RC filtersalso have some disadvantages:  limited bandwidth of active devices limits the highest attainable frequency (passive RLC filters can be used up to 500 MHz)  require power supplies (unlike passive filters)  increased sensitivity to variations in circuit parameters caused by environmental changes compared to passive filters For many applications, particularly in voice and data communications, the economic and performance advantages of active RC filters far outweigh their disadvantages.
  • 7.
    Applications  Active filtersare mainly used in communication and signal processing circuits.  They are also employed in a wide range of applications such as entertainment, medical electronics, etc.
  • 8.
    Active Filters 1. Low-passfilters 2. High-pass filters 3. Band-pass filters 4. Band-reject filters  Each of these filters can be built by using op-amp as the active element combined with RC, RL or RLC circuit as the passive elements.  There are 4 basic categories of active filters:
  • 9.
    Ideal Filters Stopband Passband PassbandPassband Stopband Lowpass Filter Highpass Filter Bandstop Filter Stopband Passband Stopband Bandpass Filter M() Passband Stopband M()      c  c  c1  c1  c2  c2
  • 10.
  • 11.
    Actual response Vo  Alow-pass filter is a filter that passes frequencies from 0Hz to critical frequency, fc and significantly attenuates all other frequencies. Ideal response  Ideally, the response drops abruptly at the critical frequency, fc roll-off rate Low-Pass Filter Response
  • 12.
    Stopband is therange of frequencies that have the most attenuation. Critical frequency, fc, (also called the cutoff frequency) defines the end of the passband and normally specified at the point where the response drops – 3 dB (70.7%) from the passband response. Passband of a filter is the range of frequencies that are allowed to pass through the filter with minimum attenuation (usually defined as less than -3 dB of attenuation). Transition region shows the area where the fall-off occurs. roll-off rate
  • 13.
     At lowfrequencies, XC is very high and the capacitor circuit can be considered as open circuit. Under this condition, Vo = Vin or AV = 1 (unity).  At very high frequencies, XC is very low and the Vo is small as compared with Vin. Hence the gain falls and drops off gradually as the frequency is increased. f BW 0 dB –20 dB 10 fc –40 dB –60 dB 0.1 fc fc 0.01 fc 100 fc 1000 fc Passband –3 dB Gain (normalized to 1) Actual response of a single-poleRC filter Transition region Stopband region –20 dB/decade Vout R Vs C
  • 14.
     The bandwidthof an ideal low-pass filter is equal to fc: c f BW   The critical frequency of a low-pass RC filter occurs when XC = R and can be calculated using the formula below: RC fc  2 1 
  • 15.
     A high-passfilter is a filter that significantly attenuates or rejects all frequencies below fc and passes all frequencies above fc.  The passband of a high-pass filter is all frequencies above the critical frequency. Vo Actual response Ideal response  Ideally, the response rises abruptly at the critical frequency, fL High-Pass Filter Response
  • 16.
     The criticalfrequency of a high-pass RC filter occurs when XC = R and can be calculated using the formula below: RC fc  2 1 
  • 17.
     A band-passfilter passes all signals lying within a band between a lower-frequency limit and upper-frequency limit and essentially rejects all other frequencies that are outside this specified band. Actual response Ideal response
  • 18.
     The bandwidth(BW) is defined as the difference between the upper critical frequency (fc2) and the lower critical frequency (fc1). 1 2 c c f f BW  
  • 19.
    2 1 c c o f f f  The frequency about which the pass band is centered is called the center frequency, fo and defined as the geometric mean of the critical frequencies.
  • 20.
     The qualityfactor (Q) of a band-pass filter is the ratio of the center frequency to the bandwidth. BW f Q o   The quality factor (Q) can also be expressed in terms of the damping factor (DF) of the filter as : DF Q 1   The higher value of Q, the narrower the bandwidth and the better the selectivity for a given value of fo.  (Q>10) as a narrow-band or (Q<10) as a wide-band
  • 21.
    Narrow Band PassFilter • A narrow band pass filter employing multiple feedback is depicted. This filter employs only one op-amp, as shown in the figure. In comparison to all the filters discussed so far, this filter has some unique features that are given below. • It has two feedback paths, and this is the reason that it is called a multiple- feedback filter. • The op-amp is used in the inverting mode.
  • 24.
    Wide Band passFilter • A wide bandpass filter can be formed by simply cascading high-pass and low-pass sections To form a ± 20 db/ decade bandpass filter, a first-order high-pass and a first-order low-pass sections are cascaded; It means that, the order of the bandpass filter is governed by the order of the high-pass and low-pass filters it consists of.
  • 25.
     Band-stop filteris a filter which its operation is opposite to that of the band-pass filter because the frequencies within the bandwidth are rejected, and the frequencies above fc1 and fc2 are passed. Actual response  For the band-stop filter, the bandwidth is a band of frequencies between the 3 dB points, just as in the case of the band-pass filter response. Ideal response
  • 26.
    Band Reject Filter •Types of Band Reject Filter Circuit, 1. Narrow band reject filter 2. Wide band reject filter Narrow band reject filter: The narrow band reject filter is also called the notch filter. Because of its higher Q which is greater than 10, the bandwidth of the narrow band reject filter is much smaller than that of the wide band reject filter. The band reject filter is also called a band stop or band elimination filter because it eliminates a certain band of frequencies.
  • 28.
    Wide band RejectFilter • Wide band reject filter using a low pass filter, a high pass filter and a summing amplifier. • For a proper band reject response, the low cutoff frequency fL of the high pass filter must be larger than the high cutoff frequency fH of the low pass filter.
  • 29.
    Animation A "Group" ofwaves passing through a Typical Band-Pass Filter
  • 30.
    All Pass Filter •All Pass Filter Design is one that passes all frequency components of the input signal without attenuation. Any ordinary wire can be used to perform this characteristic but the most important factor in an all pass filter is that it provides predictable phase shifts for different frequencies of the input signal.
  • 32.
     The bandwidthof a low-pass filter is the same as the upper critical frequency.  The bandwidth of a high-pass filter extends from the lower critical frequency up to the inherent limits of the circuit.  The band-pass passes frequencies between the lower critical frequency and the upper critical frequency.  A band-stop filter rejects frequencies within the upper critical frequency and upper critical frequency.  All Pass Filter Design is one that passes all frequency components of the input signal without attenuation.
  • 33.
    Frequency Response offilters • Ideal • Practical • Filters are often described in terms of poles and zeros – A pole is a peak produced in the output spectrum – A zero is a valley (not really zero)
  • 34.
  • 35.
    First Order Low-PassButterworth Filter • Butterworth filter is a type of filter whose frequency response is flat over the pass band region. Low-pass filter (LPF) provides a constant output from DC up to a cutoff frequency f(H) and rejects all signals above that frequency. • The first order low pass butter worth filter is realized by R-C circuit used along with an op-amp, used in the non inverting configuration.
  • 36.
    First Order Low-PassButterworth Filter
  • 37.
    Because of simplicity,Butterworth filters are considered. • In 1st. order LPF which is also known as one pole LPF. Butterworth filter and it’s frequency response are shown above. • RC values decide the cut-off frequency of the filter. • Resistors R1 & RF will decide it’s gain in passband. As the OP-AMP is used in the non-inverting configuration, the closed loop gain of the filter is given by 1 R VF A  1 RF
  • 38.
    1 V  in V         (1) C R  jX  jXC 1 2fC C X     (2) 1  2fCVin    j 1  1   jVin 2f RC j    R  j 2fC V  j Vin 1  2fRC Vin 1j2fRC EXPRESSION FOR THE GAIN OFTHE FILTER: Reactance of the capacitor is, Equation (1) becomes Voltage across the capacitor V1 =
  • 39.
    f = frequencyof the input signal    H    V0 Vin Vin  RF  V  A V   1  1  0 VF 1 R  1  j2f RC f AVF 1 j  f Output of the filter is,
  • 40.
    The operation ofthe low-pass filter can be verified from the gain magnitude equation, (7-2a): 1. At very low frequencies, that is, f < fH, 2. At f = fH, 3. f < fH,
  • 41.
    DESIGN PROCEDURE: Step1: Choosethe cut-off frequency fH Step2: Select a value of ‘C’ ≤ 1µF (Approximately between .001 & 0.1µF) Step3: Calculate the value of R using Step4: Select resistors R1 & R2 depending on the desired pass band gain. (Try different gains) =2. So RF=R1
  • 42.
    Frequency Scaling • Oncethe filter is designed, sometimes, it is necessary to change the value of cut-off frequency fH. The method used to change the original cut-off frequency fH to a new cut-off frequency fH1 is called as frequency scaling. • To achieve such a frequency scaling, the standard value capacitor C is selected first. The required cut-off frequency can be achieved by calculating corresponding value of resistance R. • Thus, the resistance R is generally a potentiometer with which required cut- off frequency fH can be adjusted and changed later on if required.
  • 43.
    For a firstorder Butterworth LPF, calculate the cut –off frequency if R=10K & C=0.001µF.Also calculate the pass band voltage gain if R1=10K RF =100K 15.915KHz H f  1 2 10103  0.001106 1 2RC  1+100K/10K =11 Design a 1st order LPF for the following specification Pass band voltage gain = 2. Cut off frequency, fC = 10KHz. AVF = 2; Let RF = 10K RF/R1=1 Let C = 0.001µF 1 2 10103 0.001106 2f C & R   1 1 2RC f  H H R=15.9K
  • 44.
    Determine the gainof the first order low pass filter if the phase angle is 59.77o and the pass band gain is 7. Explanation: Given the phase angle, φ =-tan-1(f/fH) => f/fH=- φtan(φ) = -tan(59.77o) => f/fH= -1.716. Substituting the above value in gain of the filter, |(VO/Vin)| = AF/√ (1+(f/fH)2) =7/√[1+(-1.716)2)] =7/1.986 =>|(VO/Vin)|=3.5.
  • 47.
    1st ORDER HPF •A high pass filter is a circuit that attenuates all the signals below a specified cut off frequency denoted as fL. Thus, a high pass filter performs the opposite function to that of low pass filter. • First Order High Pass Butterworth Filter circuit can be obtained by interchanging frequency determining resistances and capacitors in low pass filter circuit
  • 48.
    Circuit diagram &frequency response are shown above. Again RC components decide the cut off frequency of the HPF where as RF & R1 decide the closed loop gain. 1st ORDER HPF: fL is shown for HPF
  • 49.
    V R C WhereX  in C 1 2fC R jX 1 Voltage V  in in V j V  R R  2fC 1 1 V   R R  j2fC R  1  j2fRC j2fC in  f   L  V j  f    fl   f  1  j in fL VF 1 V f 1  j f A L  VF     jf  0 Output voltage = V  A .V    L   f  1  jf  L  VF    f  jf  A V0 Vin EXPRESSION FOR THE GAIN: Gain = Magnitude=
  • 51.
    Compute the passband gain and high cut-off frequency for the first order high pass filter. Explanation: The pass band gain of the filter, AF =1+(RF/R1) =>AF=1+(10kΩ/10kΩ)=2. The high cut-off frequency of the filter, fH=1/2πRC =1/(2π×20kΩ×0.01µF) =1/1.256×10-3 =796.18Hz.
  • 55.
    Wave form Generators Threetypes: 1. Square Wave Generator 2. Triangular Wave Generator 3. Saw tooth Wave Generator
  • 56.
  • 57.
    Contd.. • The SquareWave Generator Using Op amp means the astable multivibrator circuit using op-amp, which generates the square wave of required frequency • It looks like a comparator with hysteresis (Schmitt trigger), except that the input voltage is replaced by a capacitor. • The circuit has a time dependent elements such as resistance and capacitor to set the frequency of oscillation.
  • 62.
    Triangular Waveform Generator •The output of integrator is a Triangular Wave Generator Using Op amp if its input is a square wave. This means that a Triangular Wave Generator Using Op amp can be formed by simply connecting an integrator to the square wave generator as shown in the Fig.
  • 63.
    In practical circuits,resistance R4 is connected across C to avoid the saturation problem at low frequencies as in the case of practical integrator as shown in the Fig.
  • 64.
    Triangular Waveform Generatorusing lesser components
  • 65.
    Amplitude and FrequencyCalculation The frequency and amplitude of the Triangular Wave Generator Using Op amp wave can be determined as follows : When comparator output is at +Vsat , the effective voltage at point P is given by When effective voltage at P becomes equal to zero, we can write above equation
  • 66.
    • Similarly, whencomparator output is at – Vsat, we can write, The peak to peak amplitude of the triangular wave can be given as The time taken by the output to swing from – Vramp to + Vramp (or from + Vramp to – Vramp ) is equal to half the time period T/2. Refer Fig. This time can be calculated from the integrator output equation as follows :
  • 67.
    Substituting value ofVo(pp) we get, Triangular Wave Generator Using Op amp
  • 69.
    Saw Tooth WaveformGenerator • A sawtooth waveform is used in pulse width modulation circuits and time-base generators. A potentiometer is used when the wiper moves toward negative voltage(-V); then the rise time becomes more than the fall time. • When the wiper moves towards positive voltage(+V), then the rise time becomes less than the fall time.
  • 70.
    Applications:  The sawtoothwaveform is most common waveform used to create sounds with subtractive virtual and analog music synthesizers. Therefore, it is used in music.  The sawtooth is the form of horizontal and vertical deflection signals that are used to generate a raster on monitor screens or CRT based television.  The magnetic field suddenly gets collapsed on the wave’s cliff, which causes the resting position of its electron beam as quickly as possible.  The magnetic field produced by the deflection yoke drags the electron beam on the wave’s ramp, creating a scan line.
  • 71.
  • 72.
    IC 555 Timer •The 555 Timer is one of the most popular and versatile integrated circuits ever produced! • “Signetics” Corporation first introduced this device as the SE/NE 555 in early 1970. • It is a combination of digital and analog circuits. • It is known as the “time machine” as it performs a wide variety of timing tasks. • Applications for the 555 Timer include: • Ramp and Square wave generator • Frequency dividers • Voltage-controlled oscillators • Pulse generators and LED flashers Malla Reddy College of Engineering and Technology 72
  • 73.
    555 timer- PinDiagram • The 555 timer is an 8-Pin D.I.L. Integrated Circuit or ‘chip’ Malla Reddy College of Engineering and Technology 73 Not ch Pin 1
  • 74.
    555 timer- PinDescription Pin Name Purpose 1 GND Ground, low level (0 V) 2 TRIG OUT rises, and interval starts, when this input falls below 1/3 VCC. 3 OUT This output is driven to approximately 1.7V below +VCC or GND. 4 RESET A timing interval may be reset by driving this input to GND, but the timing does not begin again until RESET rises above approximately 0.7 volts. Overrides TRIG which overrides THR. 5 CTRL "Control" access to the internal voltage divider (by default, 2/3 VCC). 6 THR The interval ends when the voltage at THR is greater than at CTRL. 7 DIS Open collector output; may discharge a capacitor between intervals. In phase with output. 8 V+, VCC Positive supply voltage is usually between 3 and 15 V. 74
  • 75.
    555 Timer Description: •Contains 25transistors, 2 diodes and 16 resistors • Maximum operating voltage 16V • Maximum output current 200mA If you input certain signals they will be processed / controlled in a certain manner and will produce a known output. INPUT PROCESS OUTPUT • Best treated as a single component with required input and output 75
  • 76.
    Block Diagram of555 Timer • S • R • Q • Q Malla Reddy College of Engineering and Technology 76 Threshol d Control Voltage Trigger Discharg e Vref + R S Q Q Truth Table Fig: Functional Diagram of 555 Timer
  • 77.
    Inside the 555Timer Operation: • The voltage divider has three equal 5K resistors. It divides the input voltage (Vcc) into three equal parts. • The two comparators are op-amps that compare the voltages at their inputs and saturate depending upon which is greater. • The Threshold Comparator saturates when the voltage at the Threshold pin (pin 6) is greater than (2/3)Vcc. • The Trigger Comparator saturates when the voltage at the Trigger pin (pin 2) is less than (1/3)Vcc 77
  • 78.
    Inside the 555Timer • The flip-flop is a bi-stable device. It generates two values, a “high” value equal to Vcc and a “low” value equal to 0V. • When the Threshold comparator saturates, the flip flop is Reset (R) and it outputs a low signal at pin 3. • When the Trigger comparator saturates, the flip flop is Set (S) and it outputs a high signal at pin 3. • The transistor is being used as a switch, it connects pin 7 (discharge) to ground when it is closed. • When Q is low, Q bar is high. This closes the transistor switch and attaches pin 7 to ground. • When Q is high, Q bar is low. This open the switch and pin 7 is no longer grounded 78
  • 79.
    Features of IC555 Timer The Features of IC 555 Timer are: 1. The 555 is a monolithic timer device which can be used to produce accurate and highly stable time delays or oscillation. It can be used to produce time delays ranging from few microseconds to several hours. 2. It has two basic operating modes: monostable and astable. 3. It is available in three packages: 8-pin metal can, 8-pin mini DIP or a 14-pin. A 14-pin package is IC 556 which consists of two 555 times. Malla Reddy College of Engineering and Technology 79
  • 80.
    Contd… 4. The NE555( signetics ) can operate with a supply voltage in the range of 4.5v to 18v and output currents of 200mA. 5. It has a very high temperature stability, as it is designed to operate in the temperature range of -55⁰c to 125oc. 6. Its output is compatible with TTL, CMOS and Op-Amp circuits. Malla Reddy College of Engineering and Technology 80
  • 81.
    Uses of 555timer What the 555 timer is used for: •To switch on or off an output after a certain time delay i.e. Games timer, Childs mobile, Exercise timer. •To continually switch on and off an output i.e. warning lights, Bicycle indicators. •As a pulse generator i.e. To provide a series of clock pulses for a counter. 81
  • 82.
  • 83.
    555 Timer operatingmodes 555 has three operating modes: 1. Monostable Multivibrator 2. Astable Multivibrator 3. Bistable Multivibratior 83
  • 84.
    555 Timer operatingmodes • The 555 has three operating modes: 1. Monostable Multivibrator 2.Astable Multivibrator 3. Bistable Multivibratior 84
  • 85.
    555 Timer asMonostable Multivibrator Description:  In the standby state, FF holds transistor Q1 ON, thus clamping the external timing capacitor C to ground. The output remains at ground potential. i.e. Low.  As the trigger passes through VCC/3, the FF is set, i.e. Q bar=0, then the transistor Q1 OFF and the short circuit across the timing capacitor C is released. As Q bar is low , output goes HIGH. 85
  • 86.
    555 Timer asMonostable Multivibrator Fig (a): Timer in Monostable Operation with Functional Diagram Fig (b): Output wave Form of Monostable 86
  • 87.
    Monostable Multivibrator- Description •Voltage across it rises exponentially through R towards Vcc with a time constant RC. • After Time Period T, the capacitor voltage is just greater than 2Vcc/3 and the upper comparator resets the FF, i.e. R=1, S=0. This makes Q bar =1, C rapidly to ground potential. • The voltage across the capacitor as given by, sec 1 . 1 ) 3 1 ln( ) 1 ( 3 2 3 2 , ) 1 ( RC T RC T e RC T V cc V cc V cc vc T t e RC t V cc vc            at  If –ve going reset pulse terminal (pin 4) is applied, then transistor Q2-> OFF, Q1-> ON & the external timing capacitor C is immediately discharged. 87
  • 88.
    Behavior of theMonostable Multivibrator w The monostable multivibrator is constructed by adding an external capacitor and resistor to a 555 timer. w The circuit generates a single pulse of desired duration when it receives a trigger signal, hence it is also called a one-shot. w The time constant of the resistor-capacitor combination determines the length of the pulse. 88
  • 89.
    Uses of theMonostable Multivibrator • Used to generate a clean pulse of the correct height and duration for a digital system • Used to turn circuits or external components on or off for a specific length of time. • Used to generate delays. • Can be cascaded to create a variety of sequential timing pulses. These pulses can allow you to time and sequence a number of related operations. 89
  • 90.
    Monostable Multivibrator 90 F x x x R T C  9 . 0 100 1 . 1 100 1 . 110 10 3 3       Problem: In the monostable multivibrator of fig, R=100kΩ and the time delay T=100ms. Calculate the value of C ? Solution: T=1.1RC
  • 91.
    Applications in MonostableMode 1. Missing Pulse Detector. 2. Linear Ramp Generator. 3. Frequency Divider. 4. Pulse Width Modulation. 91
  • 92.
    1.Missing Pulse Detector Fig(a) : A missing Pulse Detector Monostable Circuit Fig (b) : Output of Missing Pulse Detector 92
  • 93.
    Missing Pulse Detector-Description • When input trigger is Low, emitter-base diode of Q is forwarded biased capacitor is clamped to 0.7v(of diode), output of timer is HIGH width of T o/p of timer > trigger pulse width. • T=1.1RC select R & C such that T > trigger pulse. • Output will be high during successive coming of input trigger pulse. If one of the input trigger pulse missing trigger i/p is HIGH, Q is cut off, timer acts as normal monostable state. • It can be used for speed control and measurement. 93
  • 94.
    2.Linear Ramp Generator atpin 2 > Vcc/3 Capacitor voltage at pin 6 94
  • 95.
    3.Frequency Divider Fig: Diagramof Frequency Divider Description: A continuously triggered monostable circuit when triggered by a square wave generator can be used as a frequency divider, if the timing interval is adjusted to be longer than the period of the triggering square wave input signal. The monostable multivibrator will be triggered by the first negative going edge of the square wave input but the output will remain HIGH(because of greater timing interval) for next negative going edge of the input square wave as shown fig. 95
  • 96.
    4.Pulse Width Modulation Figa: Pulse Width Modulation Fig b: PWM Wave Forms 96
  • 97.
    Pulse Width Modulation-Description The charging time of capacitor is entirely depend upon 2Vcc/3. When capacitor voltage just reaches about 2Vcc/3 output of the timer is coming from HIGH to Low level. We can control this charging time of the capacitor by adding continuously varying signal at the pin-5 of the 555 timer which is denoted as control voltage point. Now each time the capacitor voltage is compared control voltage according to the o/p pulse width change. So o/p pulse width is changing according to the signal applied to control voltage point. So the output is pulse width modulated form. 97
  • 98.
    Pulse Width Modulation PracticalRepresentation Fig: PWM & Wave forms 98
  • 99.
    Astable Multivibrator • Astablemultivibrator is simply an oscillator. The astable multivibrator generates a continuous stream of rectangular off-on pulses that switch between two voltage levels. • The frequency of the pulses and their duty cycle are dependent upon the RC network values. • The capacitor C charges through the series resistors RA and RB with a time constant (RA + RB) C. The capacitor discharges through RB with a time constant of RBC
  • 100.
    Astable Multivibrator 100 1 –Ground 5 – FM Input (Tie to gnd via bypass cap) 2 – Trigger 6 – Threshold 3 – Output 7 – Discharge 4 – Reset (Set HIGH for normal operation) 8 – Voltage Supply (+5 to +15 V) Fig (a): Diagram of Astable Multvibrator
  • 101.
    Astable Multivibrator 101 Fig (b):Functional Diagram of Astable Multivibrator using 555 Timer A1 A2 V1 V2 VT VC Vo VA R2 R1 R3 A1 A2 Q1
  • 102.
    Astable Multivibrator- Description 102 Connect external timing capacitor between trigger point (pin 2) and Ground.  Split external timing resistor R into RA & RB, and connect their junction to discharge terminal (pin 7).  Remove trigger input, monostable is converted to Astable multivibrator.  This circuit has no stable state. The circuits changes its state alternately. Hence the operation is also called free running oscillator.
  • 103.
    103 • Resistive voltagedivider (equal resistors) sets threshold voltages for comparators V1 = VTH = 2/3 VCC V2 = VTL = 1/3 VCC • Two Voltage Comparators - For A1, if V+ > VTH then R =HIGH - For A2, if V- < VTL then S = HIGH • RS FF - If S = HIGH, then FF is SET, = LOW, Q1 OFF, VOUT = HIGH - If R = HIGH, then FF is RESET, = HIGH, Q1 ON, VOUT = LOW • Transistor Q1 is used as a Switch Astable 555 Timer Block Diagram Contents Q Q
  • 104.
    104 Operation of a555 Astable VCC VC(t) RA RB 1) Assume initially that the capacitor is discharged. a) For A1, V+ = VC = 0V and for A2, V- = VC = 0V, so R=LOW, S=HIGH, = LOW , Q1 OFF, VOUT = VCC b) Now as the capacitor charges through RA & RB, eventually VC > VTL so R=LOW & S=LOW. FF does not change state. Q
  • 105.
    105 Operation of a555 Astable Continued…… VC(t) RB Q1 2) Once VC  VTH a) R=HIGH, S=LOW, = HIGH ,Q1 ON, VOUT = 0 b) Capacitor is now discharging through RB and Q1 to ground. c) Meanwhile at FF, R=LOW & S=LOW since VC < VTH. Q
  • 106.
    106 Operation of a555 Astable Continued….. 3) Once VC < VTL a) R=LOW, S=HIGH, = LOW , Q1 OFF, VOUT = VCC b) Capacitor is now charging through RA & RB again. VCC VC(t) RA RB Q
  • 107.
    Timing Diagram ofa 555 Astable 107 VC(t) VTH VTL VOUT(t) TL TH t = 0 t = 0' t t 1 2 3
  • 108.
    Astable Multivibrator- Analysis 108 Contd…. Thecapacitor voltage for a low pass RC circuit subjected to a step input of Vcc volts is given by, The time t1 taken by the circuit to change from 0 to 2Vcc/3 is, ) 1 ( e V v RC t CC c    RC t e V V RC CC CC t 09 . 1 ) 1 ( 3 2 1 1      V V CC C 3 2  The time t2 to charge from 0 to vcc/3 is V V CC C 3 1  RC t e V V RC CC CC t 405 . 0 ) 1 ( 3 2 2      So the time to change from Vcc/3 to 2Vcc/3 is, RC RC RC t t tHIGH 69 . 0 405 . 0 09 . 1 2 1      So, for the given circuit, C R R t B A HIGH ) ( 69 . 0   The output is low while the capacitor discharges from 2Vcc/3 to Vcc/3 and the voltage across the capacitor is given by, e V V RC t CC CC   3 2 3 …… Charging time
  • 109.
    Astable Multivibrator- Analysis 109 C R tB LOW 69 . 0  After solving, we get, t=0.69RC For the given circuit, Both RA and RB are in the charge path, but only RB is in the discharge path. The total time period,  C C T R R R t t B B LOW HIGH A 69 . 0 ) 69 . 0 (      C C C C T R R R R R R R R A A A B B B B B ) 69 . 0 ) 69 . 0 ] ) 69 . 0 2 ( ( [(          C C T f R R R R A A B B ) 45 . 1 ) 69 . 0 1 1 2 ( 2 (      Frequency, Duty Cycle, 100 ) ) 100 ) 69 . 0 ) 69 . 0 100 % 2 ( ( 2 ( ( X X C C X T D R R R R R R R R t A A A A B B B B HIGH        100 ) 100 ) 69 . 0 69 . 0 100 % 2 ( 2 ( X X C C X T D R R R R R R t A A B B B B LOW      …… Discharging time …….1.45 is Error Constant
  • 110.
    Behavior of theAstable Multivibrator w The astable multivibrator is simply an oscillator. The astable multivibrator generates a continuous stream of rectangular off-on pulses that switch between two voltage levels. w The frequency of the pulses and their duty cycle are dependent upon the RC network values. w The capacitor C charges through the series resistors RA and RB with a time constant (RA + RB)C. w The capacitor discharges through RB with a time constant of RBC 110
  • 111.
    Uses of theAstable Multivibrator • Flashing LED’s • Pulse Width Modulation • Pulse Position Modulation • Periodic Timers • Uses include LEDs, pulse generation, logic clocks, security alarms and so on. 111
  • 112.
    Applications in AstableMode 112 1.Square Generator 2.FSK Generator 3.Pulse Position Modulator
  • 113.
    1.Square Generator 113 0 % 50 100 ) ) 1 2 2 2 ( ( 1 1      R R R R R Here X DutyCycle  Toavoid excessive discharge current through Q1 when R1=0 connect a diode across R2, place a variable R in place of R1.  Charging path R1 & D; Discharging path R2 & pin 7. 10µF C1 3 Fig: Square Wave Generator
  • 114.
    2. FSK Generator 114 Description: In digital data communication, binary code is transmitted by shifting a carrier frequency between two preset frequencies. This type of transmission is called Frequency Shift Keying (FSK) technique. Fig: FSK Generator Contd…..
  • 115.
    FSK Generator 115 The frequencyof the output wave form given by, C R R f O ) 45 . 1 2 ( 1 2   When input digital is LOW, Q1 is ON then R3 parallel R1 C R R R f O ) 45 . 1 2 || ( 3 1 2     A 555 timer is astable mode can be used to generate FSK signal.  When input digital data is HIGH, T1 is OFF & 555 timer works as normal astable multivibrator.
  • 116.
    2. Pulse PositionModulator 116 Fig (a): Pulse position Modulator Fig (b): Output Wave Form of PPM Description:  The pulse position modulator can be constructed by applying a modulating signal to pin 5 of a 555 timer connected for astable operation.  The output pulse position varies with the modulating signal, since the threshold voltage and hence the time delay is varied.  The output waveform that the frequency is varying leading to pulse position modulation.
  • 117.
    Astable Multivibrator 117 Problem: In theastable multivibrator of fig, RA=2.2KΩ, RB=3.9K Ω and C=0.1µF. Determine the positive pulse width tH, negative pulse width tLow, and free-running frequency fo. Solution: ms X K C R t B LOW 269 . 0 ) 1 . 0 )( 9 . 3 ( 69 . 0 69 . 0 10 6      ? ) 45 . 1 1 2 (     C T R R f A B o ms X K K C R R t B A HIGH 421 . 0 ) 1 . 0 )( 9 . 3 2 . 2 ( 69 . 0 ) ( 69 . 0 10 6         ? 100 9 . 3 2 2 . 2 9 . 3 2 . 2 100 ) ) 100 % 2 ( (             X K X K K X X T D R R R R t A A B B HIGH Duty Cycle, ? 100 9 . 3 2 2 . 2 9 . 3 100 ) 100 % 2 (          X K X K X X T D R R R t A B B LOW
  • 118.
    Comparison of MultivibratorCircuits 118 Monostable Multivibrator Astable Multivibrator 1. It has only one stable state 1. There is no stable state. 2. Trigger is required for the operation to change the state. 2. Trigger is not required to change the state hence called free running. 3. Two comparators R and C are necessary with IC 555 to obtain the circuit. 3. Three components RA, RB and C are necessary with IC 555 to obtain the circuit. 4. The pulse width is given by T=1.1RC Seconds 4. The frequency is given by, 5. The frequency of operation is controlled by frequency of trigger pulses applied. 5. The frequency of operation is controlled by RA, RB & C. 6. The applications are timer, frequency divider, pulse width modulation etc… 6. The applications are square wave generator, flasher, voltage controlled oscillator, FSK Generator etc.. C T R R f A B o ) 45 . 1 1 2 (   
  • 119.
    Find the chargingand discharging time of 0.5µF capacitor. Explanation: The time required to charge the capacitor is tHigh=0.69(RA+RB)C =0.69(10kΩ+5kΩ)x0.5µF =5ms. The time required to discharge the capacitor is tLow=0.69xRC =0.69x5kΩx0.5µF=2ms.
  • 120.
    Astable multivibrator operatingat 150Hz has a discharge time of 2.5m. Find the duty cycle of the circuit. Explanation: Given f=150Hz.Therefore,T=1/f =1/150 =6.67ms. ∴ Duty cycle, D%=(tLow/T) x 100% = (2.5ms/6.67ms)x100% = 37.5%.
  • 121.
    Determine the frequencyand duty cycle of a rectangular wave generator. Explanation: Frequency=1.45/(RA+RB)C . Where RA=100Ω+50Ω=150Ω, RB=100Ω+20Ω=120Ω. =>∴f=1.45/((150+120)x0.1µF) = 53703Hz = 53.7kHz. Duty cycle, D% = [RB/(RA+RB)] x 100% = 120Ω/(150Ω +120Ω) x 100% = 0.55×100% = 55%.
  • 122.
  • 123.
    PHASE-LOCKED LOOPS- Introduction 123 Thephase-locked loop is a negative feedback system in which the frequency of an internal oscillator (vco) is matched to the frequency of an external waveform with some Pre-defined phase difference. Vd(t) PHASE COMPARATOR (PC) LOW PASS FILTER (LPF) VCO AMPLIFIER (A) Vi(t) Vo(t) Vp(t) (EXTERNAL R & C DETERMINES VCO FREQUENCY) v f Ko    Contd…..
  • 124.
    PHASE-LOCKED LOOPS 124 Contd….. • Thephase comparator (phase detector) can be as simple as an exclusive-or gate (digital signals) or is a mixer (non-linear device - frequency multiplier) for analog signals. • The phase comparator generates an output voltage Vp(t) (relates to the phase difference between external signal Vi(t) and vco output Vo(t) ). • If the two frequencies are the same (with a pre-defined phase difference) then Vp(t) = 0. • If the two frequencies are not equal (with various phase differences), then Vp(t) = 0 and with frequency components about twice the input frequency. Phase Comparator:
  • 125.
    PHASE-LOCKED LOOPS 125 Contd….. • Thelow pass filter removes these high frequency components and Vd(t) is a variable dc voltage which is a function of the phase difference. Voltage Controlled Oscillator: • The vco has a free-running frequency, fo, approximately equal to the input frequency. the vco frequency varies as a function of Vd(t) • The feedback loop tries to adjust the vco frequency so that: Vi(t) FREQUENCY = Vo(t) FREQUENCY THE VCO IS SYNCHRONIZED, OR LOCKED TO Vi(t) Low pass filter:
  • 126.
    PLL LOCK RANGE 126 •Lock range is defined as the range of frequencies in the vicinity of the vco’s Natural frequency (free-running frequency) for which the pll can maintain lock with the input signal. The lock range is also called the tracking Range. • The lock range is a function of the transfer functions of the pc, amplifier, and vco. Hold-in range: •The hold-in range is equal to half the lock range •The lowest frequency that the pll will track is called the lower lock limit. The highest frequency that the pll will track is called the upper lock limit Contd….. Lock range:
  • 127.
  • 128.
    PLL CAPTURE RANGE 128 Contd…. •Capture range is defined as the band of frequencies in the vicinity of fo where the pll can establish or acquire lock with an input range (also called the acquisition range). • Capture range is a function of the BW of the lpf ( lpf BW capture range). • Capture range is between 1.1 and 1.7 times the natural frequency of the vco. The pull-in range: •The pull-in range is equal to half the capture range • The lowest frequency that the pll can lock onto is called the lower capture limit CAPTURE RANGE:
  • 129.
    PLL CAPTURE RANGE •The highest frequency that the pll can lock onto is called the upper capture limit 129
  • 130.
    130 PLL LOCK/CAPTURE RANGE LOCKRANGE > CAPTURE RANGE
  • 131.
    PLL-Basic Components 131 Phase detector: Transfer function: KΦ [V/radians].  Implemented as: four quad multiplier, XOR gate, state machine. Voltage controlled oscillator (VCO):  Frequency is the first derivative of phase.  Transfer function: KVCO/s [radians/(V•s)] Low pass filter:  Removes high frequency components coming from the phase detector.  Determines loop order and loop dynamics.
  • 132.
    PLL OPERATION-Putting AllTogether 132 e d d V K   e d d K V   d a f out V K K V  a f out d K K V V  d d e K V   v f Ko    o out K f V   out o V f K   o outK V f   n in f f f    o a f d L K K K K K  OPEN-LOOP GAIN:
  • 133.
    PLL OPERATION 133 Kd Kf Ka Ko d d e d K K V 2 max max     L o a f d K K K K K f 2 2 max         HOLD-IN RANGE L K f Range Lock     max 2
  • 134.
    PLL 565 PinConfiguration 134
  • 135.
    PLL- Example 135 Problem: fn =200 kHz, fi = 210 kHz, Kd = 0.2 V/rad, Kf = 1, Ka = 5, Ko = 20 kHz/V rad kHz KL / 20 ) 20 )( 5 )( 1 )( 2 (.   PLL OPEN-LOOP GAIN: VCO FREQUENCY CHANGE for LOCK: kHz f f f n in 10 200 210       PLL OUTPUT VOLTAGE: V V kHz kHz K f V o out 5 . / 20 10     Solution: Contd…..
  • 136.
    PLL-Example 136 STATIC PHASE ERROR:     65 . 28 5 . / 2 . 1 . rad rad V V K V e d d  HOLD-IN RANGE: LOCK RANGE: kHz K f L 4 . 31 2 max        kHz f Range Lock 8 . 62 2 max     PHASE DETECTOR OUTPUT VOLTAGE: V K K V V a f out d 1 . ) 5 ( 1 5 .   
  • 137.
    Salient Features of565 PLL 1. Operating frequency range =0.01Hz to 500KHz 2. Operating voltage range = ±6v to ± 12v 3. Input level required for tracking: 10mv rms min to 3v peak to peak max 4. Input impedance = 10kΩ typically. 5. Output sink current : 1mA typically. 6. Output source current: 10mA typically 7. Drift in VCO Centre frequency: 300 PPM/ ⁰c 8. Drift in VCO Centre frequency with supply voltage: 1.5 percent/Vmax 9. Triangle wave amplitude: 2.4 Vpp at ± 6v supply voltage. 10. Square wave amplitude: 5.4 Vpp at ± 6v supply voltage. 11. Bandwidth adjustment range: < ± 1 to ± 60% 137
  • 138.
    PLL APPLICATIONS 138 • Analogand digital modulation • Frequency shift keying (fsk) decoders • Am modulation / demodulation • Fm modulation / demodulation • Frequency synthesis • Frequency generation
  • 139.
  • 140.
    Voltage Controlled Oscillator(VCO) 140 A voltage controlled oscillator is an oscillator circuit in which the frequency of oscillations can be controlled by an externally applied voltage
  • 141.
  • 142.
  • 143.
  • 144.
  • 145.
    Applications of VCO 145 Thevarious applications of VCO are: 1. Frequency Modulation. 2. Signal Generation (Triangular or Square Wave) 3. Function Generation. 4. Frequency Shift Keying i.e. FSK demodulator. 5. In frequency multipliers. 6. Tone Generation.
  • 146.
  • 147.
  • 148.