Divide-and-Conquer
Republic of Yemen
THAMAR UNIVERSITY
Faculty of Computer Science&
Information System
1 Eng: Mohammed Hussein
Divide-and-Conquer
2 Eng: Mohammed Hussein
Divide-and-Conquer
 The whole problem we want to solve may too big to understand or solve at
once.
 We break it up into smaller pieces, solve the pieces separately, and
combine the separate pieces together.
 Divide-and conquer is a general algorithm design paradigm:
1. Divide: divide the input data S in two or more disjoint subsets S1,
S2, …
2. Recur: solve the subproblems recursively
3. Conquer: combine the solutions for S1, S2, …, into a solution for S
 The base case for the recursion are subproblems of constant size
 Analysis can be done using recurrence equations
3 Eng: Mohammed Hussein
Recurrence Equation Analysis
 The conquer step of merge-sort consists of merging two sorted sequences, each with
n/2 elements and implemented by means of a doubly linked list, takes at most bn steps,
for some constant b.
 Likewise, the basis case (n < 2) will take at b most steps.
 Therefore, if we let T(n) denote the running time of merge-sort:
 We can therefore analyze the running time of merge-sort by finding a closed form
solution to the above equation.
 That is, a solution that has T(n) only on the left-hand side.






2if)2/(2
2if
)(
nbnnT
nb
nT
4 Eng: Mohammed Hussein
Solving recurrences
 Recurrences are like solving integrals, differential equations, etc.
 Should learn a few tricks.
 Three ways of solving recurrences
1. Guess-and-Test Method(If we know the answer)
2. RecursionTree Method (Very useful !)
3. MasterTheorem (Save our effort)
5 Eng: Mohammed Hussein
Guess-and-Test Method
 In the guess-and-test method, we guess a closed form solution and then try to prove it is
true by induction:
 Guess that:T(n) < c n log n.
 Wrong: we cannot make this last line be less than cn log n
ncn
nbncnncn
nbnncn
nbnnnc
nbnnTnT
log
loglog
log)2log(log
log))2/log()2/((2
log)2/(2)(











2iflog)2/(2
2if
)(
nnbnnT
nb
nT
6 Eng: Mohammed Hussein
Log(x/y)= log x – log y
Log 2 =1
‫بالتعويض‬
Guess-and-Test Method, Part 2
 Recall the recurrence equation:
 Guess #2 that:T(n) < cn log2 n.
 if c > b.
 So,T(n) is O(n log2 n).
 In general, to use this method, you need to have a good guess and you need to be good at
induction proofs.
ncn
nbncnncnncn
nbnnncn
nbnncn
nbnnnc
nbnnTnT
2
2
22
2
2
log
loglog2log
log))2(log2loglog2(log
log)2log(log
log))2/(log)2/((2
log)2/(2)(












2iflog)2/(2
2if
)(
nnbnnT
nb
nT
7 Eng: Mohammed Hussein
(x-y) 2= x2 -2xy +y2
Log 2 =1
nj <= nd if j <= d
Big-Oh of highest degree
Recurrences
 In Mathematic a recurrence is a function that is defined in
terms of one or more base cases, and itself, with smaller
arguments
 Examples:
8 Eng: Mohammed Hussein
Master Method (tree)
 The master theorem concerns the recurrence
 a≥1 , b> 1
 n is the size of the problem.
 a is the number of subproblems in the recursion. (‫)الفزوع‬
 n/b is the size of each subproblem. (Here it is assumed that
all subproblems are essentially the same size.)
 f (n) is the cost of the work done outside the recursive calls
)()/()( nfbnaTnT 
9 Eng: Mohammed Hussein
merge-sort ‫خوارسمية‬
‫االستدعاء‬ ‫عمليات‬ ‫عند‬‫الذاتي‬‫الدمج‬ ‫عملية‬ ‫تنفيذ‬ ‫مستويات‬ ‫مختلف‬ ‫في‬
The Tree Definition
 The root of this tree is node A.
 Definitions:
 Parent (A)
 Children (E, F)
 Siblings (C, D)
 Root (A)
 Leaf / Leaves
 K, L, F, G, M, I, J…
 The degree of a node is the number of sub-trees of the node.
 The level of a node:
 Initially letting the root be at level one
 the level of the node’s parent plus one. Level H=level(Parent (H)+1));
 The height or depth of a tree is the maximum level of any node in the tree.
 height =Max(level(tree))
10 Eng: Mohammed Hussein
Divide and conquer (tree)
 We analyze this in some generality:
 suppose we have a pieces, each of size n/b and merging takes time f(n).
 (In this example a=b=2 and f(n)=O(log n) but it will not always be true that
a=b sometimes the pieces will overlap.)
 For simplicity, let's assume n is a power of b, and that the recursion stops
when n is 1.
 Notice that the size of a node depends only on its level: size(i) = n/(bi).
 What is time taken by a node at level i? : time(i) = f(n/ bi)
 How many levels can we have before we get down to n=1?
 For bottom level, n/bi =1, so n=bi and i=(log n)/(log b).
 How many items at level i?: ai.
11 Eng: Mohammed Hussein
)()/()( nfbnaTnT 
time(i) = f(n/ bi)
The Recursion Tree
 Draw the recursion tree for the recurrence relation and look for a pattern:
 At each successive level of recursion the sub problems get halved in size (n/2).
 At the (log n) th level the sub problems get down to size 1, and so the recursion ends.
Level/
depth
T’s size
0 1 n
1 2 n/2
k 2k n/2k
… … …






2if)2/(2
2if
)(
nbnnT
nb
nT
time
bn
bn
bn
…
Total time = bn + bn log n
(last level plus all previous levels)
2k =n  k= log n for each level.
log n
Notice that the size of a node depends only on its level
12 Eng: Mohammed Hussein
time=b x size = bn
Steps using recursion tree.
 Height = k=log n
 Levels = log n + 1
 Cost/level = cn
 Bottom node number n = 2log n for
height log n dividing problem by 2
each time.
 Recall that a balanced binary tree of
height k has k + 1 levels.
 Recall: a
log an = n
 so 2
log 2n = 2
log n =n
 Bottom cost = T(1) * n = cn
 Note that T(1) is problem size n=1,
there are n subproblems at bottom.
13 Eng: Mohammed Hussein 2k =n  k= log n for each level.
Merge Sort - Finding O
 Recall that a balanced binary tree of height k has k + 1 levels.
 A problem of size n=16 divided as described by the following recurrence equation
would then be represented by the tree.
 Use the implied coefficient c for arithmetic purposes:
14 Eng: Mohammed Hussein
16=2
4
Master Method
 Many divide-and-conquer recurrence equations have the form:
 The MasterTheorem:






dnnfbnaT
dnc
nT
if)()/(
if
)(
.1somefor)()/(provided
)),((is)(then),(is)(if3.
)log(is)(then),log(is)(if2.
)(is)(then),(is)(if1.
log
1loglog
loglog










nfbnaf
nfnTnnf
nnnTnnnf
nnTnOnf
a
kaka
aa
b
bb
bb
15 Eng: Mohammed Hussein
very small f(n)
moderate f(n)
very large f(n)
Analysis of Merge Sort
Analysis of Merge Sort
 Divide:Trivial.
 Conquer:Recursively sort 2subarrays.
 Combine:Linear-time merge.
 Using Master theorem
16 Eng: Mohammed Hussein
Analysis of Binary Search
 Recurrence for the worst case
Master Method, Example 1
 The form:
 The MasterTheorem:
 Example:






dnnfbnaT
dnc
nT
if)()/(
if
)(
.1somefor)()/(provided
)),((is)(then),(is)(if3.
)log(is)(then),log(is)(if2.
)(is)(then),(is)(if1.
log
1loglog
loglog










nfbnaf
nfnTnnf
nnnTnnnf
nnTnOnf
a
kaka
aa
b
bb
bb
)()2/(4)( nOnTnT 
Solution: logba =log24=2, so case 1 says T(n) is Θ(n2).
18 Eng: Mohammed Hussein
Master Method, Example 2
 The form:
 The MasterTheorem:
 Example:






dnnfbnaT
dnc
nT
if)()/(
if
)(
.1somefor)()/(provided
)),((is)(then),(is)(if3.
)log(is)(then),log(is)(if2.
)(is)(then),(is)(if1.
log
1loglog
loglog










nfbnaf
nfnTnnf
nnnTnnnf
nnTnOnf
a
kaka
aa
b
bb
bb
)log()2/(2)( nnnTnT 
Solution: logba=log22=1, so case 2 says T(n) is Θ(n log2 n).
19 Eng: Mohammed Hussein
Master Method, Example 3
 The form:
 The MasterTheorem:
 Example:






dnnfbnaT
dnc
nT
if)()/(
if
)(
.1somefor)()/(provided
)),((is)(then),(is)(if3.
)log(is)(then),log(is)(if2.
)(is)(then),(is)(if1.
log
1loglog
loglog










nfbnaf
nfnTnnf
nnnTnnnf
nnTnOnf
a
kaka
aa
b
bb
bb
)log()3/()( nnnTnT 
Solution: logba=0, so case 3 says T(n) is Θ(n log n).
20 Eng: Mohammed Hussein
Master Method, Example 4
 The form:
 The MasterTheorem:
 Example:






dnnfbnaT
dnc
nT
if)()/(
if
)(
.1somefor)()/(provided
)),((is)(then),(is)(if3.
)log(is)(then),log(is)(if2.
)(is)(then),(is)(if1.
log
1loglog
loglog










nfbnaf
nfnTnnf
nnnTnnnf
nnTnOnf
a
kaka
aa
b
bb
bb
)()2/(8)( 2
nnTnT 
Solution: logba=3, so case 1 says T(n) is Θ(n3).
21 Eng: Mohammed Hussein
Master Method, Example 5
 The form:
 The MasterTheorem:
 Example:






dnnfbnaT
dnc
nT
if)()/(
if
)(
.1somefor)()/(provided
)),((is)(then),(is)(if3.
)log(is)(then),log(is)(if2.
)(is)(then),(is)(if1.
log
1loglog
loglog










nfbnaf
nfnTnnf
nnnTnnnf
nnTnOnf
a
kaka
aa
b
bb
bb
)()3/(9)( 3
nnTnT 
Solution: logba=2, so case 3 says T(n) is Θ(n3).
22 Eng: Mohammed Hussein
Master Method, Example 6
 The form:
 The MasterTheorem:
 Example:






dnnfbnaT
dnc
nT
if)()/(
if
)(
.1somefor)()/(provided
)),((is)(then),(is)(if3.
)log(is)(then),log(is)(if2.
)(is)(then),(is)(if1.
log
1loglog
loglog










nfbnaf
nfnTnnf
nnnTnnnf
nnTnOnf
a
kaka
aa
b
bb
bb
)1()2/()(  nTnT
Solution: logba=0, so case 2 says T(n) is Θ(log n).
(binary search)
23 Eng: Mohammed Hussein
Master Method, Example 7
 The form:
 The MasterTheorem:
 Example:






dnnfbnaT
dnc
nT
if)()/(
if
)(
.1somefor)()/(provided
)),((is)(then),(is)(if3.
)log(is)(then),log(is)(if2.
)(is)(then),(is)(if1.
log
1loglog
loglog










nfbnaf
nfnTnnf
nnnTnnnf
nnTnOnf
a
kaka
aa
b
bb
bb
)(log)2/(2)( nnTnT 
Solution: logba=1, so case 1 says T(n) is Θ(n).
(heap construction)
24 Eng: Mohammed Hussein
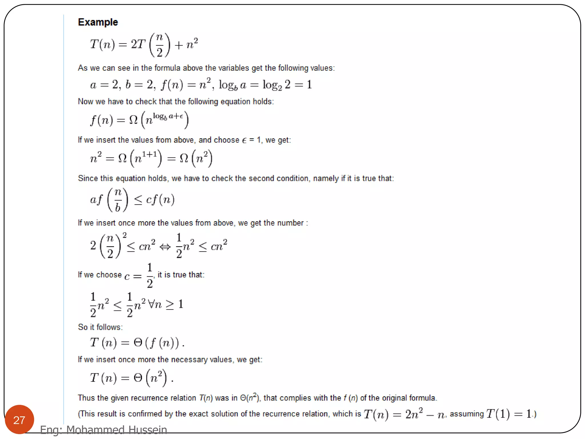
Eng: Mohammed Hussein25
Eng: Mohammed Hussein26
Eng: Mohammed Hussein
27

Divide and Conquer

  • 1.
    Divide-and-Conquer Republic of Yemen THAMARUNIVERSITY Faculty of Computer Science& Information System 1 Eng: Mohammed Hussein
  • 2.
  • 3.
    Divide-and-Conquer  The wholeproblem we want to solve may too big to understand or solve at once.  We break it up into smaller pieces, solve the pieces separately, and combine the separate pieces together.  Divide-and conquer is a general algorithm design paradigm: 1. Divide: divide the input data S in two or more disjoint subsets S1, S2, … 2. Recur: solve the subproblems recursively 3. Conquer: combine the solutions for S1, S2, …, into a solution for S  The base case for the recursion are subproblems of constant size  Analysis can be done using recurrence equations 3 Eng: Mohammed Hussein
  • 4.
    Recurrence Equation Analysis The conquer step of merge-sort consists of merging two sorted sequences, each with n/2 elements and implemented by means of a doubly linked list, takes at most bn steps, for some constant b.  Likewise, the basis case (n < 2) will take at b most steps.  Therefore, if we let T(n) denote the running time of merge-sort:  We can therefore analyze the running time of merge-sort by finding a closed form solution to the above equation.  That is, a solution that has T(n) only on the left-hand side.       2if)2/(2 2if )( nbnnT nb nT 4 Eng: Mohammed Hussein
  • 5.
    Solving recurrences  Recurrencesare like solving integrals, differential equations, etc.  Should learn a few tricks.  Three ways of solving recurrences 1. Guess-and-Test Method(If we know the answer) 2. RecursionTree Method (Very useful !) 3. MasterTheorem (Save our effort) 5 Eng: Mohammed Hussein
  • 6.
    Guess-and-Test Method  Inthe guess-and-test method, we guess a closed form solution and then try to prove it is true by induction:  Guess that:T(n) < c n log n.  Wrong: we cannot make this last line be less than cn log n ncn nbncnncn nbnncn nbnnnc nbnnTnT log loglog log)2log(log log))2/log()2/((2 log)2/(2)(            2iflog)2/(2 2if )( nnbnnT nb nT 6 Eng: Mohammed Hussein Log(x/y)= log x – log y Log 2 =1 ‫بالتعويض‬
  • 7.
    Guess-and-Test Method, Part2  Recall the recurrence equation:  Guess #2 that:T(n) < cn log2 n.  if c > b.  So,T(n) is O(n log2 n).  In general, to use this method, you need to have a good guess and you need to be good at induction proofs. ncn nbncnncnncn nbnnncn nbnncn nbnnnc nbnnTnT 2 2 22 2 2 log loglog2log log))2(log2loglog2(log log)2log(log log))2/(log)2/((2 log)2/(2)(             2iflog)2/(2 2if )( nnbnnT nb nT 7 Eng: Mohammed Hussein (x-y) 2= x2 -2xy +y2 Log 2 =1 nj <= nd if j <= d Big-Oh of highest degree
  • 8.
    Recurrences  In Mathematica recurrence is a function that is defined in terms of one or more base cases, and itself, with smaller arguments  Examples: 8 Eng: Mohammed Hussein
  • 9.
    Master Method (tree) The master theorem concerns the recurrence  a≥1 , b> 1  n is the size of the problem.  a is the number of subproblems in the recursion. (‫)الفزوع‬  n/b is the size of each subproblem. (Here it is assumed that all subproblems are essentially the same size.)  f (n) is the cost of the work done outside the recursive calls )()/()( nfbnaTnT  9 Eng: Mohammed Hussein merge-sort ‫خوارسمية‬ ‫االستدعاء‬ ‫عمليات‬ ‫عند‬‫الذاتي‬‫الدمج‬ ‫عملية‬ ‫تنفيذ‬ ‫مستويات‬ ‫مختلف‬ ‫في‬
  • 10.
    The Tree Definition The root of this tree is node A.  Definitions:  Parent (A)  Children (E, F)  Siblings (C, D)  Root (A)  Leaf / Leaves  K, L, F, G, M, I, J…  The degree of a node is the number of sub-trees of the node.  The level of a node:  Initially letting the root be at level one  the level of the node’s parent plus one. Level H=level(Parent (H)+1));  The height or depth of a tree is the maximum level of any node in the tree.  height =Max(level(tree)) 10 Eng: Mohammed Hussein
  • 11.
    Divide and conquer(tree)  We analyze this in some generality:  suppose we have a pieces, each of size n/b and merging takes time f(n).  (In this example a=b=2 and f(n)=O(log n) but it will not always be true that a=b sometimes the pieces will overlap.)  For simplicity, let's assume n is a power of b, and that the recursion stops when n is 1.  Notice that the size of a node depends only on its level: size(i) = n/(bi).  What is time taken by a node at level i? : time(i) = f(n/ bi)  How many levels can we have before we get down to n=1?  For bottom level, n/bi =1, so n=bi and i=(log n)/(log b).  How many items at level i?: ai. 11 Eng: Mohammed Hussein )()/()( nfbnaTnT  time(i) = f(n/ bi)
  • 12.
    The Recursion Tree Draw the recursion tree for the recurrence relation and look for a pattern:  At each successive level of recursion the sub problems get halved in size (n/2).  At the (log n) th level the sub problems get down to size 1, and so the recursion ends. Level/ depth T’s size 0 1 n 1 2 n/2 k 2k n/2k … … …       2if)2/(2 2if )( nbnnT nb nT time bn bn bn … Total time = bn + bn log n (last level plus all previous levels) 2k =n  k= log n for each level. log n Notice that the size of a node depends only on its level 12 Eng: Mohammed Hussein time=b x size = bn
  • 13.
    Steps using recursiontree.  Height = k=log n  Levels = log n + 1  Cost/level = cn  Bottom node number n = 2log n for height log n dividing problem by 2 each time.  Recall that a balanced binary tree of height k has k + 1 levels.  Recall: a log an = n  so 2 log 2n = 2 log n =n  Bottom cost = T(1) * n = cn  Note that T(1) is problem size n=1, there are n subproblems at bottom. 13 Eng: Mohammed Hussein 2k =n  k= log n for each level.
  • 14.
    Merge Sort -Finding O  Recall that a balanced binary tree of height k has k + 1 levels.  A problem of size n=16 divided as described by the following recurrence equation would then be represented by the tree.  Use the implied coefficient c for arithmetic purposes: 14 Eng: Mohammed Hussein 16=2 4
  • 15.
    Master Method  Manydivide-and-conquer recurrence equations have the form:  The MasterTheorem:       dnnfbnaT dnc nT if)()/( if )( .1somefor)()/(provided )),((is)(then),(is)(if3. )log(is)(then),log(is)(if2. )(is)(then),(is)(if1. log 1loglog loglog           nfbnaf nfnTnnf nnnTnnnf nnTnOnf a kaka aa b bb bb 15 Eng: Mohammed Hussein very small f(n) moderate f(n) very large f(n)
  • 16.
    Analysis of MergeSort Analysis of Merge Sort  Divide:Trivial.  Conquer:Recursively sort 2subarrays.  Combine:Linear-time merge.  Using Master theorem 16 Eng: Mohammed Hussein
  • 17.
    Analysis of BinarySearch  Recurrence for the worst case
  • 18.
    Master Method, Example1  The form:  The MasterTheorem:  Example:       dnnfbnaT dnc nT if)()/( if )( .1somefor)()/(provided )),((is)(then),(is)(if3. )log(is)(then),log(is)(if2. )(is)(then),(is)(if1. log 1loglog loglog           nfbnaf nfnTnnf nnnTnnnf nnTnOnf a kaka aa b bb bb )()2/(4)( nOnTnT  Solution: logba =log24=2, so case 1 says T(n) is Θ(n2). 18 Eng: Mohammed Hussein
  • 19.
    Master Method, Example2  The form:  The MasterTheorem:  Example:       dnnfbnaT dnc nT if)()/( if )( .1somefor)()/(provided )),((is)(then),(is)(if3. )log(is)(then),log(is)(if2. )(is)(then),(is)(if1. log 1loglog loglog           nfbnaf nfnTnnf nnnTnnnf nnTnOnf a kaka aa b bb bb )log()2/(2)( nnnTnT  Solution: logba=log22=1, so case 2 says T(n) is Θ(n log2 n). 19 Eng: Mohammed Hussein
  • 20.
    Master Method, Example3  The form:  The MasterTheorem:  Example:       dnnfbnaT dnc nT if)()/( if )( .1somefor)()/(provided )),((is)(then),(is)(if3. )log(is)(then),log(is)(if2. )(is)(then),(is)(if1. log 1loglog loglog           nfbnaf nfnTnnf nnnTnnnf nnTnOnf a kaka aa b bb bb )log()3/()( nnnTnT  Solution: logba=0, so case 3 says T(n) is Θ(n log n). 20 Eng: Mohammed Hussein
  • 21.
    Master Method, Example4  The form:  The MasterTheorem:  Example:       dnnfbnaT dnc nT if)()/( if )( .1somefor)()/(provided )),((is)(then),(is)(if3. )log(is)(then),log(is)(if2. )(is)(then),(is)(if1. log 1loglog loglog           nfbnaf nfnTnnf nnnTnnnf nnTnOnf a kaka aa b bb bb )()2/(8)( 2 nnTnT  Solution: logba=3, so case 1 says T(n) is Θ(n3). 21 Eng: Mohammed Hussein
  • 22.
    Master Method, Example5  The form:  The MasterTheorem:  Example:       dnnfbnaT dnc nT if)()/( if )( .1somefor)()/(provided )),((is)(then),(is)(if3. )log(is)(then),log(is)(if2. )(is)(then),(is)(if1. log 1loglog loglog           nfbnaf nfnTnnf nnnTnnnf nnTnOnf a kaka aa b bb bb )()3/(9)( 3 nnTnT  Solution: logba=2, so case 3 says T(n) is Θ(n3). 22 Eng: Mohammed Hussein
  • 23.
    Master Method, Example6  The form:  The MasterTheorem:  Example:       dnnfbnaT dnc nT if)()/( if )( .1somefor)()/(provided )),((is)(then),(is)(if3. )log(is)(then),log(is)(if2. )(is)(then),(is)(if1. log 1loglog loglog           nfbnaf nfnTnnf nnnTnnnf nnTnOnf a kaka aa b bb bb )1()2/()(  nTnT Solution: logba=0, so case 2 says T(n) is Θ(log n). (binary search) 23 Eng: Mohammed Hussein
  • 24.
    Master Method, Example7  The form:  The MasterTheorem:  Example:       dnnfbnaT dnc nT if)()/( if )( .1somefor)()/(provided )),((is)(then),(is)(if3. )log(is)(then),log(is)(if2. )(is)(then),(is)(if1. log 1loglog loglog           nfbnaf nfnTnnf nnnTnnnf nnTnOnf a kaka aa b bb bb )(log)2/(2)( nnTnT  Solution: logba=1, so case 1 says T(n) is Θ(n). (heap construction) 24 Eng: Mohammed Hussein
  • 25.
  • 26.
  • 27.