Digital Signal Processing
       Instructor:
Engr. Abdul Rauf Khan
         Rajput



        Engr. A. R.K. Rajput NFC IET   1
                   Multan
Books.

Text Books:
Digital Signal Processing
Principles, Algorithms and Applications
By:
John G.Proakis      &     Dimitris G.Manolakis
Reference Books
1. Digital Signal Processing By.
                    Sen M. Kuo            &                   Woon-Seng Gan
2. Digital Signal Processing A Practical Approach. By
                   Emmanuel C. Ifeachor         &             Barrie W. Jervis
[Handouts]
Digital Signal Processing By. Bores [Avail at ww.bores.com/courses/
                                   Engr. A. R.K. Rajput NFC IET                  2
                                              Multan
Grading Policy

Term Papers/test/Group Discussion                   20 Marks
Mid-Term                                            30 Marks
Final                                               50 Marks

Additional Privileges                  10%
Trem Paper. Home works, Presentations, Voluntary
assignments managements etc.

Class will be divided different level as per their GPA
Group A- GPA 2.0 to 2.59
Group B- GPA 2.5 to 3.39
Group C – GPA 3.4 to 4
                         Engr. A. R.K. Rajput NFC IET          3
                                    Multan
Signal : f(x1: x2……….. ) is function, A function is a dependent variable of independent
     variable(s).
     X= Time, Distance, Temperature,….
                 Type of signal                                     Natural Signal [1D,2D,MD]
     Continuous? Discrete Signal
     Analog Signal = 1-Cont-time--- 2-Discrete Time ---- A/D -----Digital Signal


                                     Analog and Digital Signals
                     Analog signal = continuous-time + continuous amplitude

                      Digital signal =                discrete-time + discrete amplitude




                                                                                             Signal Processing
analog system = analog signal input + analog signal output
advantages: easy to interface to real world, do not need A/D or         D/A converters,
speed not dependent on clock rate
digital system = digital signal input + digital signal output       I re-configurability
using software, greater control over accuracy/resolution, predictable and reproducible     A.S
behavior                                                                                          D.S       M.
                                              Engr. A. R.K. Rajput NFC IET Multan
                                                                                           .p     .p
                                                                                                     4
                                                                                                            S.p
Analog-to-Digital Conversion

                                                                                      0101...
             Sampler       X(n)
                           Discrete-
                                          Quantize r              xq(t)     Coder   Digital Signal
  x(t)
                                                                  Quantiz
                           time
                                                                  ed
                           signal                                 Signal


Sampling:
conversion from cts-time to dst-time by taking samples" at discrete time instants E.g.,
uniform sampling: x(n) = xa(nT) where T is the sampling period and n ε Z

Quantization: conversion from dst-time cts-valued signal to a dst-
time dst-valued signal quantization error: eq(n) = xq(n)- x(n))
 Coding: representation of each dst-value xq(n) by a b-bit binary sequence




                                       Engr. A. R.K. Rajput NFC IET                         5
                                                  Multan
Sampling Theorem
If the highest frequency contained in an analog signal x a(t) is Fmax = B and the signal is
sampled at a rate
                                      Fs > 2Fmax=2B
then xa(t) can be exactly recovered from its sample values using                     the interpolation
function                                                                              Note: FN = 2B = 2Fmax
                                                                                      is called the Nyquist rate




             Therefore, given the interpolation relation, x a(t) can be written as




where xa(nT) = x(n); called band limited interpolation.
                                          Engr. A. R.K. Rajput NFC IET                                     6
                                                     Multan
Digital-to-Analog Conversion
Common interpolation approaches: bandlimited interpolation zero-order hold, linear interpolation,
higher-order interpolation techniques, e.g., using splines
                             In practice, cheap" interpolation along with a smoothing filter is employed.




A DSP System               ????
                                     Engr. A. R.K. Rajput NFC IET                                7
                                                Multan
A DSP System
In practice, a DSP system does not use idealized A/D or D/A
models.
Anti-aliasing Filter: ensures that analog input signal does not
contain frequency components higher than half of the
sampling frequency (to obey the sampling theorem). this
process is irreversible
2Sample and Hold:
 holds a sampled analog value for a short time while the A/D
converts and interprets the value as a digital
3 A/D: converts a sampled data signal value into a digital
number, in part, through quantization of the amplitude
4 D/A: converts a digital signal into a staircase"-like signal
5 Reconstruction Filter: converts a staircase"-like signal
into an analog signal through low pass filtering similar to the
type used for anti-aliasing
 Real-time DSP Considerations IET
               Engr. A. R.K. Rajput NFC
                          Multan        ???????           8
Real-time DSP Considerations
 What are initial considerations when designing a
 DSP system that must run in real-time?




Is a DSP technology suitable for a real-time application?




                      Engr. A. R.K. Rajput NFC IET          9
                                 Multan
Lecture 1
Week-1st




Engr. A. R.K. Rajput NFC IET   10
           Multan
• Signal:
   A signal is defined as a function of one or more variables
   which conveys information on the nature of a physical
   phenomenon. The value of the function can be a real
   valued scalar quantity, a complex valued quantity, or
   perhaps a vector.

• System:
   A system is defined as an entity that manipulates one or
   more signals to accomplish a function, thereby yielding
   new signals.



                     Engr. A. R.K. Rajput NFC IET        11
                                Multan
• Continuos-Time Signal:
   A signal x(t) is said to be a continuous time signal if it is
   defined for all time t.

• Discrete-Time Signal:
  A discrete time signal x[nT] has values specified only at
  discrete points in time.
• Signal Processing:
  A system characterized by the type of operation that it
  performs on the signal. For example, if the operation is
  linear, the system is called linear. If the operation is non-
  linear, the system is said to be non-linear, and so forth.
  Such operations are usually referred to as “Signal
  Processing”.
                      Engr. A. R.K. Rajput NFC IET           12
                                 Multan
Basic Elements of a Signal Processing
                   System
    Analog input                                          Analog output
    signal                      Analog                    signal
                            Signal Processor

                      Analog Signal Processing



Analog                                                             Analog
input                                                              output
signal     A/D                Digital                    D/A       signal
         converter        Signal Processor             converter

                     Digital Signal Processing
                        Engr. A. R.K. Rajput NFC IET                  13
                                   Multan
• Advantages of Digital over Analogue Signal
  Processing:
  A digital programmable system allows flexibility in
  reconfiguring the DSP operations simply by changing the
  program. Reconfiguration of an analogue system usually
  implies a redesign of hardware, testing and verification
  that it operates properly.
  DSP provides better control of accuracy requirements.

  Digital signals are easily stored on magnetic media (tape
  or disk).
  The DSP allows for the implementation of more
  sophisticated signal processing algorithms.
  In some cases a digital implementation of the signal
  processing system is cheaper than its analogue
  counterpart.         Engr. A. R.K. Rajput NFC IET       14
                            Multan
DSP Applications
            Space photograph enhancement
  Space     Data compression
            Intelligent sensory analysis
          Diagnostic imaging (MRI, CT,
  Medical ultrasound, etc.)
          Electrocardiogram analysis
          Medical image storage and retrieval

           Image and sound compression for
Commercial multimedia presentation.
           Movie special effects
           Video conference calling

          Video and data compression
Telephone echo reduction
          signal multiplexing
          filtering
            Engr. A. R.K. Rajput NFC IET        15
                       Multan
DSP Applications (cont.)
            Radar
            Sonar
   Military Ordnance Guidance
            Secure communication
             Oil and mineral prospecting
  Industrial Process monitoring and control
             Non-destructive testing


              Earth quick recording and analysis
              Data acquisition
 Scientific   Spectral Analysis
              Simulation and Modeling



              Engr. A. R.K. Rajput NFC IET         16
                         Multan
Classification of Signals

•Deterministic Signals
  A deterministic signal behaves in a fixed known way with
  respect to time. Thus, it can be modeled by a known
  function of time t for continuous time signals, or a known
  function of a sampler number n, and sampling spacing T
  for discrete time signals.

• Random or Stochastic Signals:
   In many practical situations, there are signals that either
   cannot be described to any reasonable degree of accuracy
   by explicit mathematical formulas, or such a description
   is too complicated to be of any practical use. The lack of
   such a relationship implies that such signals evolve in time
   in an unpredictable manner. We refer to these signals as
   random.            Engr. A. R.K. Rajput NFC IET          17
                            Multan
Even and Odd Signals
 A continuous time signal x(t) is said to an even signal if it
 satisfies the condition
 x(-t) = x(t) for all t
 The signal x(t) is said to be an odd signal if it satisfies the
 condition
 x(-t) = -x(t)
In other words, even signals are symmetric about the
vertical axis or time origin, whereas odd signals are
antisymmetric about the time origin. Similar remarks
apply to discrete-time signals.

Example:



        even         Engr. A. R.K. Rajput NFC IET           18
                                Multan odd           odd
Periodic Signals
     A continuous signal x(t) is periodic if and only if there
     exists a T > 0 such that
                            x(t + T) = x(t)
     where T is the period of the signal in units of time.
    f = 1/T is the frequency of the signal in Hz. W = 2π/T is
    the angular frequency in radians per second.
The discrete time signal x[nT] is periodic if and only if
there exists an N > 0 such that
x[nT + N] = x[nT]
where N is the period of the signal in number of sample
spacings.

    Example:

                                         Frequency = 5 Hz or 10π rad/s
0           0.2       0.4 A. R.K. Rajput NFC IET
                      Engr.                                     19
                                Multan
Continuous Time Sinusoidal Signals
A simple harmonic oscillation is mathematically
described as
x(t) = Acos(wt + θ)
This signal is completely characterized by three
parameters:
A = amplitude, w = 2πf = frequency in rad/s, and θ =
phase in radians.


   A                        T=1/f




                Engr. A. R.K. Rajput NFC IET    20
                           Multan
Discrete Time Sinusoidal Signals
     A discrete time sinusoidal signal may be expressed as
     x[n] = Acos(wn + θ)           -∞ < n < ∞
Properties:
• A discrete time sinusoid is periodic only if its frequency is a
rational number.
    • Discrete time sinusoids whose frequencies are separated by
    an integer multiple of 2π are identical.



       1


       0


      -1
           0     2            4               6      8   10
                      Engr. A. R.K. Rajput NFC IET            21
                                 Multan
Energy and Power Signals
        The total energy of a continuous time signal x(t) is
        defined as
                     T                ∞
        E x = lim ∫ x ( t )dt = ∫ x 2 ( t )dt
                          2
              T →∞
                     −T              −∞

       And its average power is
                              T/ 2
                     1             2
         Px    = lim             ∫x ( t )dt
                T→ T∞
                              − /2
                               T


    In the case of a discrete time signal x[nT], the total energy of
    the             ∞
     signal dx = T ∑ x 2 [n ]
         E is
                    n =−∞

And its average power is defined by
                                           2
                     1      N
        Pdx   = lim         ∑ x[nT]
               N →  2N + 1 n =−N
                   ∞
                              Engr. A. R.K. Rajput NFC IET      22
                                         Multan
Energy and Power Signals
  •A signal is referred to as an energy signal, if and only if
  the total energy of the signal satisfies the condition
  0<E<∞
 •On the other hand, it is referred to as a power signal, if
 and only if the average power of the signal satisfies the
 condition
 0<P<∞
•An energy signal has zero average power, whereas a power
signal has infinite energy.
•Periodic signals and random signals are usually viewed as
power signals, whereas signals that are both deterministic and
non-periodic are energy signals.

                     Engr. A. R.K. Rajput NFC IET           23
                                Multan                des
Example1:
  Compute the signal energy and signal power for
  x[nT] = (-0.5)nu(nT), T = 0.01 seconds

Solution:
                  N        2             ∞                   2
  E dx = lim T ∑x(nT )         = 0.01 ∑(−0.5 )
                                                         n
         N→∞     n =−N                  n=0

                ∞         2n                  ∞
      = .01 ∑ 0.5 )
       0     (−                 = .01 ∑.25 n
                                 0     0
                n=0                         n=0


            [
     = 0.01 1 + 0.25 + ( 0.25 ) + ( 0.25 ) + .......
                                  2                 3
                                                                 ]
        0.01
     =        = / 75
               1
      1 − .25
          0


   Since Edx is finite, the signal power is zero.
                          Engr. A. R.K. Rajput NFC IET               24
                                     Multan
Example2:
  Repeat Example1 for y[nT] = 2ej3nu[nT],                                 T = 0.2 second.


Solution:
                                   2
                 1  N                      1 N                2
  Pdx   = lim            ∑ y (nT) = lim            ∑ 2e j3n
          N → ∞  2N + 1  n = − N    N → ∞  2N + 1  n = 0

          1 N 2                4     N         4( N + 1)
   = lim          ∑ 2 = lim         ∑ 1 = N →∞
                                            lim
     N →∞ 2N + 1 n = 0  N →∞ 2N + 1 n = 0       2N + 1

             N          1         1
    = lim 4         +         = 4× = 2
      N → ∞  2N + 1   2N + 1      2


    What is energy of this signal?


                                           Engr. A. R.K. Rajput NFC IET                     25
                                                      Multan
Tutorial 1: Q3
Determine the signal energy and signal power for each
of the given signals and indicate whether it is an energy
signal or a power signal?

(a)   y[nT] = 3( −0.2)n u[n − 3],                    T = 2 ms

(b) z[nT] = 4(1.1) n u[n + 1]                        T = 0.02 s

(c)




                      Engr. A. R.K. Rajput NFC IET                26
                                 Multan
Time Shifting, Time Reversal,Time Scaling

• Suppose we have a signal x(t) and we say we want to
  shift a signal such as x(t-2) or x(t+2) so ‘-’ values
  indicate the past values while the ‘+’ values indicate
  the future value

• Time reversal is the mirror image of the given signal
  as x(t) = x(-t)

• Time Scaling is the scaled time according to input for
  e.g x(2t) will be a compact signal as compared to x(t).
                    Engr. A. R.K. Rajput NFC IET           27
                               Multan
Basic Operations on Signals
 (a) Operations performed on dependent
     variables
1. Amplitude Scaling:
let x(t) denote a continuous time signal. The signal y(t)
   resulting from amplitude scaling applied to x(t) is
   defined by
   y(t) = cx(t)
   where c is the scale factor.
In a similar manner to the above equation, for discrete
   time signals we write
   y[nT] = cx[nT]                   2x(t)
            x(t)
                     Engr. A. R.K. Rajput NFC IET       28
                                Multan
(b) Operations performed on independent
      variable
• Time Scaling:
  Let y(t) is a compressed version of x(t). The signal y(t)
  obtained by scaling the independent variable, time t, by
  a factor k is defined by
  y(t) = x(kt)
   – if k > 1, the signal y(t) is a compressed version of
     x(t).
   – If, on the other hand, 0 < k < 1, the signal y(t) is an
     expanded (stretched) version of x(t).



                     Engr. A. R.K. Rajput NFC IET         29
                                Multan
Example of time scaling

      1
             Expansion and compression of the signal e-t.
     0.9
     0.8
     0.7          exp(-t)
     0.6
     0.5         exp(-2t)
     0.4
                              exp(-0.5t)
     0.3
     0.2
     0.1
      0                Engr. A. R.K. Rajput NFC IET
       0                  5       Multan
                                                  10    15 30
Time scaling of discrete time systems


        10
    x[n]


              5
         0
         -3        -2   -1            0           1     2   3
    x[0.5n]




        10
              5
          0
         -1.5      -1   -0.5          0          0.5    1   1.5
          5
      x[2n]




              0
              -6   -4   -2             0            2   4   6
                                       n
                        Engr. A. R.K. Rajput NFC IET              31
                                  Multan
Time Reversal

• This operation reflects the signal about t = 0
  and thus reverses the signal on the time scale.
        5
     x[n]




        0
         0   1         2              3          4   5
        0
                              n
    x[-n]




      -5
       0     1         2              3          4   5
                              n
                  Engr. A. R.K. Rajput NFC IET           32
                             Multan
Time Shift
A signal may be shifted in time by replacing the
 independent variable n by n-k, where k is an
 integer. If k is a positive integer, the time shift
 results in a delay of the signal by k units of time. If
 k is a negative integer, the time shift results in an
 advance of the signal by |k| units in time.
      x[n]




               1
              0.5
               0 -2
     x[n-3] x[n+3]




               1      0         2           4            6   8   10
              0.5
               0 -2   0         2           4            6   8   10
               1
              0.5
               0 -2   0         2        n4
                          Engr. A. R.K. Rajput NFC IET
                                     Multan
                                                         6   8   10   33
2. Addition:
Let x1 [n] and x2[n] denote a pair of discrete time signals.
  The signal y[n] obtained by the addition of x1[n] + x2[n]
  is defined as
  y[n] = x1[n] + x2[n]
   Example: audio mixer

3. Multiplication:
Let x1[n] and x2[n] denote a pair of discrete-time signals.
  The signal y[n] resulting from the multiplication of the
  x1[n] and x2[n] is defined by
  y[n] = x1[n].x2[n]
Example: AM Radio Signal

                       Engr. A. R.K. Rajput NFC IET            34
                                  Multan
Analog to Digital and Digital to Analog
                    Conversion
 • A/D conversion can be viewed as a three
    step process
 1. Sampling: This is the conversion of a continuous time
    signal into a discrete time signal obtained by taking
    “samples” of the continuous time signal at discrete time
    instants. Thus, if x(t) is the input to the sampler, the
    output is x(nT), where T is called the Sampling interval.
2. Quantization: This is the conversion of discrete time
  continuous valued signal into a discrete-time discrete-
  value (digital) signal. The value of each signal sample is
  represented by a value selected from a finite set of
  possible values. The difference between unquantized
  sample and the quantized output is called the
  Quantization error. Engr. A. R.K. Rajput NFC IET             35
                             Multan
Analog to Digital and Digital to Analog
                    Conversion (cont.)

  3. Coding:      In the coding process, each discrete value is
       represented by a b-bit binary sequence.



x(t)                                                            0101...
          Sampler            Quantize r                 Coder


                            A/D Converter




                         Engr. A. R.K. Rajput NFC IET            36
                                    Multan
Digital Signal Processing
          (DSP)
      Fundamentals




      Engr. A. R.K. Rajput NFC IET   37
                 Multan
Overview
• What is DSP?
• Converting Analog into Digital
  – Electronically
  – Computationally
• How Does It Work?
  – Faithful Duplication
  – Resolution Trade-offs

                 Engr. A. R.K. Rajput NFC IET   38
                            Multan
What is DSP?
• Converting a continuously changing waveform
  (analog) into a series of discrete levels (digital)




                    Engr. A. R.K. Rajput NFC IET    39
                               Multan
What is DSP?
• The analog waveform is sliced into equal
  segments and the waveform amplitude is
  measured in the middle of each segment
• The collection of measurements make up
  the digital representation of the waveform



                Engr. A. R.K. Rajput NFC IET   40
                           Multan
0.5
                                                                                1.5




                                    -1.5
                                                  -0.5




                               -2
                                           -1
                                                          0
                                                                         1
                                                                                        2
                                                         1    0
                                                                  0.22
                                                         3           0.44
                                                                        0.64
                                                         5                 0.82
                                                                             0.98
                                                         7                     1.11
                                                                                1.2
                                                         9                       1.24
                                                                                 1.27
                                                         11                      1.24
                                                                                1.2
                                                         13                    1.11
                                                                             0.98
                                                         15                0.82
                                                                        0.64
                                                         17          0.44




           Multan
                                                                  0.22
                                                         19   0
                                                    -0.22
                                                 -0.44 21
                                              -0.64




Engr. A. R.K. Rajput NFC IET
                                           -0.82         23
                                         -0.98
                                       -1.11             25
                                                                                            What is DSP?




                                      -1.2
                                    -1.26                27
                                    -1.28
                                    -1.26                29
                                      -1.2
                                       -1.11             31
                                         -0.98
                                           -0.82         33
                                              -0.64
                                                 -0.44 35
                                                    -0.22
                                                         37   0
              41
Converting Analog into Digital
               Electronically(1/3)

• The device that does the conversion is
  called an Analog to Digital Converter
  (ADC)
• There is a device that converts digital to
  analog that is called a Digital to Analog
  Converter (DAC)


                 Engr. A. R.K. Rajput NFC IET   42
                            Multan
Converting Analog into Digital
                 Electronically(2/3)
                                                    SW-8

• The simplest form of                              SW-7
                                                           V-high



  ADC uses a resistance                                    V-7

                                                    SW-6
  ladder to switch in the                                  V-6


  appropriate number of                    Output
                                                    SW-5
                                                           V-5


  resistors in series to                            SW-4
                                                           V-4

  create the desired                                SW-3
                                                           V-3
  voltage that is                                   SW-2


  compared to the input                             SW-1
                                                           V-2



  (unknown) voltage                                        V-1



                                                           V-low
                   Engr. A. R.K. Rajput NFC IET                     43
                              Multan
Converting Analog into Digital
                    Electronically(3/3)
• The output of the
  resistance ladder is
  compared to the        Analog Voltage              Comparator

  analog voltage in a                                  Output     Higher
                                                                  Equal
                                                                  Lower
  comparator               Resistance
                         Ladder Voltage

• When there is a match,
  the digital equivalent
  (switch configuration)
  is captured
                      Engr. A. R.K. Rajput NFC IET                 44
                                 Multan
Converting Analog into Digital
         Computationally(1/2)
• The analog voltage can now be compared with the
  digitally generated voltage in the comparator
• Through a technique called binary search, the
  digitally generated voltage is adjusted in steps
  until it is equal (within tolerances) to the analog
  voltage
• When the two are equal, the digital value of the
  voltage is the outcome

                  Engr. A. R.K. Rajput NFC IET      45
                             Multan
Converting Analog into Digital
               Computationally(2/2)
• The binary search is a mathematical technique that
  uses an initial guess, the expected high, and the
  expected low in a simple computation to refine a
  new guess
• The computation continues until the refined guess
  matches the actual value (or until the maximum
  number of calculations is reached)
• The following sequence takes you through a
  binary search computation
                  Engr. A. R.K. Rajput NFC IET     46
                             Multan
Binary Search
                                          Analog     Digital
• Initial conditions                      5-volts    256
   –   Expected high 5-volts
                                        3.42-volts   Unknown
   –   Expected low 0-volts                          (175)
   –   5-volts 256-binary               2.5-volts      128
   –   0-volts 0-binary
• Voltage to be converted
   – 3.42-volts
   – Equates to 175 binary                 0-volts    0


                      Engr. A. R.K. Rajput NFC IET             47
                                 Multan
Binary Search
 • Binary search algorithm:            Analog     Digital
High − Low                             5-volts    256
           + Low = NewGuess
    2                                             unknown
                                     3.42-volts
 • First Guess:
                                                   128
 256 − 0
         + 0 = 128
   2
                                        0-volts    0
Guess is Low
                   Engr. A. R.K. Rajput NFC IET             48
                              Multan
Binary Search
• New Guess (2):
                                      Analog       Digital
                                      5-volts      256
                                                   192
256 − 128                           3.42-volts    unknown
          + 128 = 192
    2


Guess is High
                                       0-volts      0
                   Engr. A. R.K. Rajput NFC IET          49
                              Multan
Binary Search
• New Guess (3):
                                       Analog     Digital
                                       5-volts    256

192 − 128                            3.42-volts   unknown
          + 128 = 160                              160
    2

Guess is Low
                                        0-volts    0
                   Engr. A. R.K. Rajput NFC IET             50
                              Multan
Binary Search
 • New Guess (4):
                                        Analog      Digital
                                        5-volts     256

                                                     176
192 − 160                             3.42-volts
                                                   unknown
          + 160 = 176
    2


 Guess is High
                                         0-volts     0
                    Engr. A. R.K. Rajput NFC IET              51
                               Multan
Binary Search
• New Guess (5):                       Analog     Digital
                                       5-volts    256

                                                  unknown
176 − 160                            3.42-volts
                                                   168
          + 160 = 168
    2

Guess is Low
                                        0-volts    0
                   Engr. A. R.K. Rajput NFC IET             52
                              Multan
Binary Search
 • New Guess (6):                          Analog      Digital
                                           5-volts     256

176 − 168                                 3.42-volts   unknown
          + 168 = 172                                    172
    2


Guess is Low
                                            0-volts     0
(but getting close)ngr. A. R.K. Rajput NFC IET
                  E                                              53
                                 Multan
Binary Search
 • New Guess (7):
                                          Analog    Digital
                                          5-volts   256

176 − 172             3.42-volts                    unknown
          + 172 = 174                                174
    2
Guess is Low
(but getting really,                                 0
                                          0-volts
really, close)     Engr. A. R.K. Rajput NFC IET               54
                                 Multan
Binary Search
 • New Guess (8):
                                        Analog     Digital
                                        5-volts    256

176 − 174                             3.42-volts   175!
          + 174 = 175
    2


Guess is Right On
                                         0-volts    0
                    Engr. A. R.K. Rajput NFC IET             55
                               Multan
Binary Search
• The speed the binary search is
  accomplished depends on:
  – The clock speed of the ADC
  – The number of bits resolution
  – Can be shortened by a good guess (but usually
    is not worth the effort)



                 Engr. A. R.K. Rajput NFC IET       56
                            Multan
How Does It Work?
                Faithful Duplication

• Now that we can slice up a waveform and
  convert it into digital form, let’s take a look
  at how it is used in DSP
• Draw a simple waveform on graph paper
   – Scale appropriately
• “Gather” digital data points to represent the
  waveform

                  Engr. A. R.K. Rajput NFC IET   57
                             Multan
Starting Waveform Used to
    Create Digital Data




        Engr. A. R.K. Rajput NFC IET   58
                   Multan
How Does It Work?
              Faithful Duplication

• Swap your waveform data with a partner
• Using the data, recreate the waveform on a
  sheet of graph paper




                Engr. A. R.K. Rajput NFC IET   59
                           Multan
Waveform Created from Digital Data




            Engr. A. R.K. Rajput NFC IET   60
                       Multan
How Does It Work?
              Faithful Duplication

• Compare the original with the recreating,
  note similarities and differences




                Engr. A. R.K. Rajput NFC IET   61
                           Multan
How Does It Work?
              Faithful Duplication

• Once the waveform is in digital form, the
  real power of DSP can be realized by
  mathematical manipulation of the data
• Using EXCEL spreadsheet software can
  assist in manipulating the data and making
  graphs quickly
• Let’s first do a little filtering of noise

                Engr. A. R.K. Rajput NFC IET   62
                           Multan
How Does It Work?
              Faithful Duplication

• Using your raw digital data, create a new
  table of data that averages three data points
  – Average the point before and the point after
    with the point in the middle
  – Enter all data in EXCEL to help with graphing




                 Engr. A. R.K. Rajput NFC IET       63
                            Multan
Noise Filtering Using Averaging

                          Raw                                              Ave before/after

            150                                                   150
            100                                                   100




                                                      Amplitude
Amplitude




             50                                                    50
              0                                                     0
             -50 0   10         20   30       40                   -50 0   10        20       30        40

            -100                                                  -100
            -150                                                  -150
                            Time                                                    Time




                                     Engr. A. R.K. Rajput NFC IET                                  64
                                                Multan
How Does It Work?
              Faithful Duplication

• Let’s take care of some static crashes that
  cause some interference
• Using your raw digital data, create a new
  table of data that replaces extreme high and
  low values:
  – Replace values greater than 100 with 100
  – Replace values less than -100 with -100

                 Engr. A. R.K. Rajput NFC IET   65
                            Multan
Clipping of Static Crashes

                           Raw                                              eliminate extremes (100/-100)

            150                                                    150
            100                                                    100




                                                       Amplitude
                                                                    50
Amplitude




             50
              0                                                      0
             -50 0    10         20   30       40                   -50 0         10         20        30    40

            -100                                                   -100

            -150                                                   -150
                             Time                                                           Time




                                      Engr. A. R.K. Rajput NFC IET                                          66
                                                 Multan
How Does It Work?
              Resolution Trade-offs

• Now let’s take a look at how sampling rates
  affect the faithful duplication of the
  waveform
• Using your raw digital data, create a new
  table of data and delete every other data
  point
• This is the same as sampling at half the rate

                 Engr. A. R.K. Rajput NFC IET   67
                            Multan
Half Sample Rate

                          Raw                                                   every 2nd

            150                                                   150
            100                                                   100




                                                      Amplitude
Amplitude




             50                                                    50
              0                                                     0
             -50 0   10         20   30       40                   -50 0   10         20     30        40

            -100                                                  -100
            -150                                                  -150
                            Time                                                      Time




                                      Engr. A. R.K. Rajput NFC IET                                68
                                                 Multan
How Does It Work?
             Resolution Trade-offs

• Using your raw digital data, create a new
  table of data and delete every second and
  third data point
• This is the same as sampling at one-third
  the rate



                Engr. A. R.K. Rajput NFC IET   69
                           Multan
1/2 Sample Rate

                          Raw                                                   every 3rd

            150                                                   150
            100                                                   100




                                                      Amplitude
                                                                   50
Amplitude




             50
              0                                                     0
             -50 0   10         20   30       40                   -50 0   10          20    30        40

            -100                                                  -100

            -150                                                  -150
                            Time                                                      Time




                                      Engr. A. R.K. Rajput NFC IET                                70
                                                 Multan
How Does It Work?
              Resolution Trade-offs

• Using your raw digital data, create a new
  table of data and delete all but every sixth
  data point
• This is the same as sampling at one-sixth
  the rate



                 Engr. A. R.K. Rajput NFC IET    71
                            Multan
1/6 Sample Rate

                          Raw                                                   every 6th

            150                                                   150
            100                                                   100




                                                      Amplitude
                                                                   50
Amplitude




             50
              0                                                     0

             -50 0   10         20   30       40                   -50 0   10          20    30        40

            -100                                                  -100

            -150                                                  -150
                            Time                                                      Time




                                      Engr. A. R.K. Rajput NFC IET                                72
                                                 Multan
How Does It Work?
              Resolution Trade-offs

• Using your raw digital data, create a new
  table of data and delete all but every twelfth
  data point
• This is the same as sampling at one-twelfth
  the rate



                 Engr. A. R.K. Rajput NFC IET   73
                            Multan
1/12 Sample Rate

                          Raw                                                   every 12th

            150                                                   150
            100                                                   100




                                                      Amplitude
                                                                   50
Amplitude




             50
              0                                                     0

             -50 0   10         20   30       40                   -50 0   10          20    30        40

            -100                                                  -100

            -150                                                  -150

                            Time                                                      Time




                                      Engr. A. R.K. Rajput NFC IET                                74
                                                 Multan
How Does It Work?
             Resolution Trade-offs
• What conclusions can you draw from the
  changes in sampling rate?
• At what point does the waveform get too
  corrupted by the reduced number of
  samples?
• Is there a point where more samples does
  not appear to improve the quality of the
  duplication?

                Engr. A. R.K. Rajput NFC IET   75
                           Multan
How Does It Work?
              Resolution Trade-offs


   Bit        High Bit           Good            Slow
Resolution    Count              Duplication
              Low Bit            Poor            Fast
              Count              Duplication
Sample Rate   High Sample        Good            Slow
              Rate               Duplication
              Low Sample         Poor            Fast
              Rate               Duplication



                  Engr. A. R.K. Rajput NFC IET          76
                             Multan
Digital Signal Processing

          Lecture -2




        Engr. A. R.K. Rajput NFC IET   77
                   Multan
Sampling of Analog Signals
                                    x[n] = x[nT]
Uniform Sampling:

           1                                        1
         0.8                                     0.8




                                             sampled signal
         0.6                                     0.6
  analog signal




         0.4                                     0.4
         0.2                                     0.2
           0                                        0
        -0.2                                    -0.2
        -0.4                                    -0.4
        -0.6                                    -0.6
        -0.8                                    -0.8
          -1                                       -1
            0        2       4 Engr. A. R.K. Rajput NFC IET
                                        6Multan 0             2       4   6   78
                         t                                        n
Uniform sampling
    • Uniform sampling is the most widely used sampling scheme.

This is described by the relation
  x[n] = x[nT]        -∞ <n<∞
  where x(n) is the discrete time signal obtained by taking samples
  of the analogue signal x(t) every T seconds.
The time interval T between successive symbols is called the
  Sampling Period or Sampling interval and its reciprocal 1/T = Fs is
  called the Sampling Rate (samples per second) or the Sampling
  Frequency (Hertz).
A relationship between the time variables t and n of continuous time
  and discrete time signals respectively, can be obtained as
                       n
         t =  nT =                                         (1) 79
                       Fs Engr. A. R.K. Rajput NFC IET
                                Multan
• A relationship between the analog frequency F and the
  discrete frequency f may be established as follows.
  Consider an analog sinusoidal signal
  x(t) = Acos(2πFt + θ)
  which, when sampled periodically at a rate Fs = 1/T samples
  per second, yields
                                    2πnF    
  x[nT] = A cos( 2πFnT + Θ) = A cos
                                    F    + Θ
                                                       (2)
                                      s     

  But a discrete sinusoid is generally represented as

  x[n] = A cos( 2πfn + Θ )                              (3)

  Comparing (2) and (3) we get
       F
   f =                                                  (4)
       Fs
                         Engr. A. R.K. Rajput NFC IET         80
                                    Multan
Since the highest frequency in a discrete time signal is f = ½.
   Therefore, from (4) we have
         F    1
   Fmax = s =                                                   (5)
         2   2T

   or

                                                                (6)
        Fs = 2 Fmax

Sampling Theorem:
If x(t) is bandlimited with no components of frequencies greater
than Fmax Hz, then it is completely specified by samples taken at
the uniform rate Fs > 2Fmax Hz.
The minimum sampling rate or minimum sampling frequency,
Fs = 2Fmax, is referred to as the Nyquist Rate or Nyquist
Frequency. The correspondingRajput NFC IET
                         Engr. A. R.K. time interval is called the Nyquist
                                    Multan
                                                                    81
Sampling Theorem (cont.)
   • Signal sampling at a rate less than the Nyquist rate is
     referred to as undersampling.
   • Signal sampling at a rate greater than the Nyquist rate is
     known as the oversampling.
   Example 1:
   The following analogue signals are sampled at a sampling frequency of 40
   Hz. Find the corresponding discrete time Signals.
            (i) x(t) = cos2π(10)t (ii) y(t) = cos2π(50)t
   Solution:
   (i)                    10           π 
        x1[ n] =cos 2π         =cos 
                                n              n
                          40             2 
                              50      5π                            π
 (ii)        x2 [n] = cos 2π  n = cos    n = cos(2πn + πn / 2) = cos n
                              40       2                            2
 As, Shows identical in [ x1(n) & x2(n)] sinusoidal signals & indistinguishable. Ambiguity
 is there for samples values. x(t) yield same values as y(t) when two are sampled at Fs=40,
 then
Note: The frequency F2 = 50 Hz is an alias of F1 = 10 Hz. All of the
                         Engr. A. R.K. Rajput NFC IET           82
sinusoids cos2π(F1 + 40k)t, t = 1,2,3,… are aliases.
                                    Multan
Example 2
    Consider the analog signal
    x(t) = 3cos100πt
(a) Determine the minimum required sampling rate to
    avoid aliasing.
(b) Suppose that the signal is sampled at the rate Fs = 200
    Hz. What is the discrete time signal obtained after
    sampling?
Solution:
(a) The frequency of the analog signal is F = 50 Hz.
    Hence the minimum sampling rate to avoid aliasing
    is 100Hz.
                100π           π
(b) x[n] = 3 cos 200 n = 3 cos 2 n

                    Engr. A. R.K. Rajput NFC IET         83
                               Multan
Example 3
Consider the analog signal
x(t) = 3cos50πt + 10sin300πt - cos100πt
What is the Nyquist rate for this signal.
Solution:
The frequencies present in the signal above are
F1 = 25 Hz, F2 = 150 Hz F3 = 50 Hz.
Thus Fmax = 150 Hz.
∴ Nyquist rate = 2.Fmax = 300 Hz.
Note: It should be observed that the signal component
   10sin300πt, sampled at 300 Hz results in the samples
   10sinπn, which are identically zero, hence we miss the signal
   component completely.
What should we do to avoid this situation????

                       Engr. A. R.K. Rajput NFC IET        84
                                  Multan
Tutorial
Q1: Find the minimum sampling rate that can be used to obtain samples
  that completely specify the signals:
  (a) x(t) = 10cos(20πt) – 5cos(100πt) + 20cos(400πt)
  (b) y(t) = 2cos(20πt) + 4sin(20πt - π/4) + 5cos(8πt)

Q2: Consider the analog signal
  x(t) = 3cos2000πt + 5sin6000πt + 10cos12000πt
  (a) What is the Nyquist rate for this signal?
  (b) Assume now that we sample this signal using a sampling rate F s =
  5000 samples/s. What is the discrete time signal obtained after sampling?




                           Engr. A. R.K. Rajput NFC IET               85
                                      Multan
Some Elementary Discrete Time signals
• Unit Impulse or unit sample sequence:
  It is defined as
           ,
            1        n= 0
     δn ] =
      [
           0        n ≠0

In words, the unit sample sequence is a signal that is zero
   everywhere, except at t = 0.
        1

      0.8

      0.6

      0.4

      0.2

        0
        -3      -2      -1        0            1        2   3


                       Unit impulse function
                         Engr. A. R.K. Rajput NFC IET           86
                                      Multan
Some Elementary Discrete Time signals
• Unit step signal
  It is defined as
         ,
          1      n ≥0
  u[n ] =
         0      n <0

        2
       1.8
       1.6
       1.4
       1.2
        1
       0.8
       0.6
       0.4
       0.2
        00       1      2            3          4          5   6   7
                            Engr. A. R.K. Rajput NFC IET               87
                                       Multan
Some Elementary Discrete Time signals
• Unit Ramp signal
  It is defined as
         n, n ≥ 0
  r[n] = 
         0 n < 0

        6
        5
        4
        3
        2
        1
        00           1   2            3             4   5   6
                         Engr. A. R.K. Rajput NFC IET           88
                                    Multan
Some Elementary Discrete Time signals
• Exponential Signal
   The exponential signal is a sequence of the form
   x[n] = an,        for all n
If the parameter a is real, then x[n] is a real signal. The
   following figure illustrates x[n] for various values of
   a.

              0<a<1                                   a>1


              -1<a<0                                  a<-1

                       Engr. A. R.K. Rajput NFC IET          89
                                  Multan
Some Elementary Discrete Time signals
• Exponential Signal (cont)
  when the parameter a is complex valued, it can be expressed
  as
                jθ
   a = re
  where r and θ are now the parameters. Hence we may
  express x[n] as
  x[n] = r n e jθ = r n ( cos θn + j sin θn )
  Since x[n] is now complex valued, it can be represented
  graphically by plotting the real part
   x R [n] = r cos θ n
                  n


  as a function of n, and separately plotting the imaginary part
   x I [n] = r n sin θ n
  as a function of n. (see plots on the next slide)
                            Engr. A. R.K. Rajput NFC IET      90
                                       Multan
1
            xR[n] = (0.9)ncos(πn/10)
0.5

 0

-0.5
   0   10       20           30           40    50   60
 1
            xI[n] = (0.9)nsin(πn/10)
0.5

 0

-0.5
   0   10       20           30           40    50   60
                 Engr. A. R.K. Rajput NFC IET             91
                            Multan
Exponential Signal (cont.)
Alternatively, the signal x[n] may be graphically represented by the
amplitude or magnitude function
|x[n]| = rn
and the phase function
Φ[n] = θn
The following figure illustrates |x[n| and Φ[n] for r = 0.9 and θ = π/10.
 |x[n]|




          2


          0              0                        5              10

          -
          π
Φ[n]




      0
      -π
       -               Engr. A. R.K. Rajput NFC IET
                         0                        5             10     92
                                      n
                                  Multan
Discrete Time Systems

• A discrete time system is a device or algorithm that operates
  on a discrete time signal x[n], called the input or excitation,
  according to some well defined rule, to produce another
  discrete time signal y[n] called the output or response of the
  system.
• We express the general relationship between x[n] and y[n] as
  y[n] = H{x[n]}
  where the symbol H denotes the transformation (also called
  an operator), or processing performed by the system on x[n]
  to produce y[n].

        x[n]        Discrete Time System              y[n]
                              H
                       Engr. A. R.K. Rajput NFC IET          93
                                  Multan
Example 4
•       Determine the response of the following
        systems to the input signal:
             | n |,   −3 ≤n ≤ 3
      x[n] = 
              0,      otherwise
(a)     y[n] = x[n]
(b)     y[n] = x[n-1]
(c)     y[n] = x[n+1]
(d)     y[n] = (1/3)[x[n+1] + x[n] + x[n-1]]
(e)     y[n] = max[x[n+1],x[n],x[n-1]]
                   n

(f)     y[n] =    ∑x[k ]
                 k =−∞




                               Engr. A. R.K. Rajput NFC IET   94
                                          Multan
•   Solution:
(a) In this case the output is exactly the same as the input
    signal. Such a system is known as the identity System.
(b) y[n] = [……,3, 2, 1, 0, 1, 2, 3,……]

(c) y[n] = […….,3, 2, 1, 0, 1, 2, 3,…….]

(d) y[n] = […., 5/3, 2, 1, 2/3, 1, 2, 5/3, 1, 0,…]

(e) y[n] = [0, 3, 3, 3, 2, 1, 2, 3, 3, 3, 0, ….]

(f) y[n] = […,0, 3, 5, 6, 6, 7, 9, 12, 0, …]


                        Engr. A. R.K. Rajput NFC IET    95
                                   Multan
Classification of Discrete Time Systems

• Static versus Dynamic Systems

  A discrete time system is called static or memory-less if its
  output at any instant n depends at most on the input sample
  at the same time, but not on the past or future samples of the
  input. In any other case, the system is said to be dynamic or
  to have memory.

Examples: y[n] = x2[n] is a memory-less system, whereas the
  following are the dynamic systems:
  (a) y[n] = x[n] + x[n-1] + x[n-2]
  (b) y[n] = 2x[n] + 3x[n-4]
                       Engr. A. R.K. Rajput NFC IET        96
                                  Multan
Time Invariant versus Time Variant Systems
• A system is said to be time invariant if a time delay or time
  advance of the input signal leads to an identical time shift in
  the output signal. This implies that a time-invariant system
  responds identically no matter when the input is applied.
  Stated in another way, the characteristics of a time invariant
  system do not change with time. Otherwise the system is said
  to be time variant.
• Example1: Determine if the system shown in the figure is
  time invariant or time variant.
  Solution: y[n] = x[n] – x[n-1]                                    y[n]
                                                     x[n]
  Now if the input is delayed by k units                          +
  in time and applied to the system, the                        -
  Output is                                                 Z-1
  y[n,k] = n[n-k] – x[n-k-1]                            (1)
  On the other hand, if we delay y[n] by k units in time, we obtain
  y[n-k] = x[n-k] – x[n-k-1]                            (2)
  (1) and (2) show that the system is time invariant.
                          Engr. A. R.K. Rajput NFC IET               97
                                   Multan
Time Invariant versus Time Variant Systems
•     Example 2: Determine if the following systems are time invariant or
      time variant.
      (a) y[n] = nx[n] (b) y[n] = x[n]cosw0n
Solution:
(a) The response to this system to x[n-k] is
      y[n,k] = nx[n-k]                       (3)
      Now if we delay y[n] by k units in time, we obtain
      y[n-k] = (n-k)x[n-k]
      = nx[n-k] – kx[n-k]                    (4)
      which is different from (3). This means the system is time-variant.
(b) The response of this system to x[n-k] is
      y[n,k] = x[n-k]cosw0n                         (5)
      If we delay the output y[n] by k units in time, then
      y[n-k] = x[n-k]cosw0[n-k]
      which is different from that given in (5), hence the system is time
      variant.
                             Engr. A. R.K. Rajput NFC IET              98
                                        Multan
Linear versus Non-linear
                         Systems
      A system H is linear if and only if
      H[a1x1[n] + a2x2[n]] = a1H[x1[n]] + a2H[x2[n]]
      for any arbitrary input sequences x1[n] and x2[n], and any
     arbitrary constants a1 and a2.
                 a1
 x1[n]
                                                   y1[n]
                a2       +                 H
x2[n]
                                a1
x1[n]               H
                                                        y2[n]
                                                    +
                                a2
x2[n]               H

If y1[n] = y2[n], then H is linear.Rajput NFC IET
                         Engr. A. R.K.
                                    Multan
                                                                99
Examples
Determine if the following systems are linear or nonlinear.
   (a) y[n] = nx[n]
Solution:
   For two input sequences x1[n] and x2[n], the corresponding outputs
   are
   y1[n] = nx1[n] and y2[n] = nx2[n]
   A linear combination of the two input sequences results in the
   output
H[a1x1[n] + a2x2[n]] = n[a1x1[n] + a2x2[n]] = na1x1[n] + na2x2[n] (1)
On the other hand, a linear combination of the two outputs results in
   the out
   a1y1[n] + a2y2[n] = a1nx1[n] + a2nx2[n]                            (2)
Since the right hand sides of (1) and (2) are identical, the system is
   linear.
                           Engr. A. R.K. Rajput NFC IET          100
                                      Multan
(b) y[n] = Ax[n] + B
Solution:
   Assuming that the system is excited by x1[n] and x2[n]
   separately, we obtain the corresponding outputs
   y1[n] = Ax1[n] + B and y2 = Ax2[n] + B
   A linear combination of x1[n] and x2[n] produces the
   output
   y3[n] = H[a1x1[n] + a2x2[n]] = A[a1x1[n] + a2x2[n]] + B
                                   = Aa1x1[n] + Aa2x2[n] + B (3)
   On the other hand, if the system were linear, its output to
   the linear combination of x1[n] and x2[n] would be a linear
   combination of y1[n] and y2[n], that is,
a1y1[n] + a2y2[n] = a1Ax1[n] + a1B + a2Ax2[n] + a2B         (4)
Clearly, (3) and (4) are different and hence the system is
   nonlinear. Under what A. R.K. Rajput NFCwould it be linear? 101
                           Engr.
                                 conditions IET
                                Multan
Causal versus Noncausal Systems
A system is said to be causal if the output of the system at
  any time n [i.e. y[n]) depends only on present and past
  inputs but does not depend on future inputs.

Example: Determine if the systems described by the
  following input-output equations are causal or
  noncausal.                                           n

  (a) y[n] = x[n] – x[n-1] (b) y[n] = ax[n] (c) y[n] = ∑ x[k ]
                                                     k = −∞

  (d) y[n] = x[n] + 3x[n+4] (e) y[n] = x[n2]
  (f) y[n] = x[-n]
Solution: The systems (a), (b) and (c) are causal,
  others are non-causal.

                     Engr. A. R.K. Rajput NFC IET             102
                                Multan
Stable versus Nonstable Systems

A system is said to be bonded input
 bounded output (BIBO) stable if and
 only if every bounded input produces a
 bounded output.




              Engr. A. R.K. Rajput NFC IET   103
                         Multan
z-transform
• Transform techniques are an important role in the analysis of
  signals and LTI system.

• Z- transform plays the same role in the analysis of discrete time
  signals and LTI system as Laplace transform does in the
  analysis of continuous time signals and LTI system.

• For example, we shall see that in the Z-domain (complex Z-
  plan) the convolution of two time domain signals is equivalent
  to multiplication of their corresponding Z-transform.
• This property greatly simplifies the analysis of the response of
  LTI system to various signals.
  DSP   Slide 104       Engr. A. R.K. Rajput NFC IET
                                   Multan
1-The Direct Z- Transform
 The z-transform of a sequence x[n] is
                                              ∞
                    X ( z) =    ∑z   x[ n ]
                                           n=
                                            −∞
                                                                −
                                                                n




Where z is a complex variable. For convenience, the z-transform of a
signal x[n] is denoted by X(z) = Z{x[n]}
 We may obtain the Fourier transform from the z transform by
 making the substitution X ( z ) = ω . This corresponds to
                                  e                     j



 restricting z = Also with z =r jω ,
                1
                                                      e
                                           ∞
                           jω                                       jω −
              X (r e           ) = ∑[ n]( r e
                                    x                                )  n

                                       n= ∞
                                         −

 That is, the z-transform is the Fourier transform of the sequence x[n]r - n . for r=1
 this becomes the Fourier transform of x[n].
  The Fourier transform therefore corresponds to the z-transform evaluated on the
 unit circle:
     DSP   Slide 105             Engr. A. R.K. Rajput NFC IET
                                            Multan
z-transform(cont:




The inherent periodicity in frequency of the Fourier transform
is captured naturally under this interpretation.

The Fourier transform does not converge for all sequences - the infinite
sum may not always be finite. Similarly, the z-transform does not
converge for all sequences or for all values of z.
For any Given sequence the set of values of z for which the z-transform
converges is called the region of convergence (ROC).
     DSP   Slide 106       Engr. A. R.K. Rajput NFC IET
                                      Multan
z-transform(cont:
The Fourier transform of x[n] exists if the sum ∑− x[ n ]
                                                                ∞
                                                   n= ∞
converges. However, the z-transform of x[n] is just the Fourier
transform of the sequence x[n]r -n. The z-transform therefore exists
(or converge) if
                        X ( z ) = ∑ =−∞ x[ n]r                       <∞
                                     ∞            −n
                                   n

This leads to the condition                               −
                    ∑
                                                           n
                                                                 <∞
                           ∞
                           n= ∞
                             −
                                       x[ n] z
for the existence of the z-transform. The ROC therefore consists of a
ring in the z-plane:




In specific cases the inner radius of this ring may include the origin, and the outer
radius may extend to infinity. If the ROC includes the unit circle=
       DSP Slide 107               Engr. A. R.K. Rajput NFC IET z     1           , then
the Fourier transform will converge.          Multan
z-transform(cont:
Most useful z-transforms can be expressed in the form
                                 P( z )
                         X ( z) =       ,
                                 Q( z )
where P(z) and Q(z) are polynomials in z. The values of z for
which P(z) = 0 are called the zeros of X(z), and the values with
Q(z) = 0 are called the poles. The zeros and poles completely
specify X(z) to within a multiplicative constant.


In specific cases the inner
radius of this ring may include
the origin, and the outer radius
may extend to infinity. If the
                         z =
ROC includes the unit circle 1
          , then the Fourier
transform will converge.

    DSP   Slide 108            Engr. A. R.K. Rajput NFC IET
                                          Multan
Example: right-sided exponential sequence
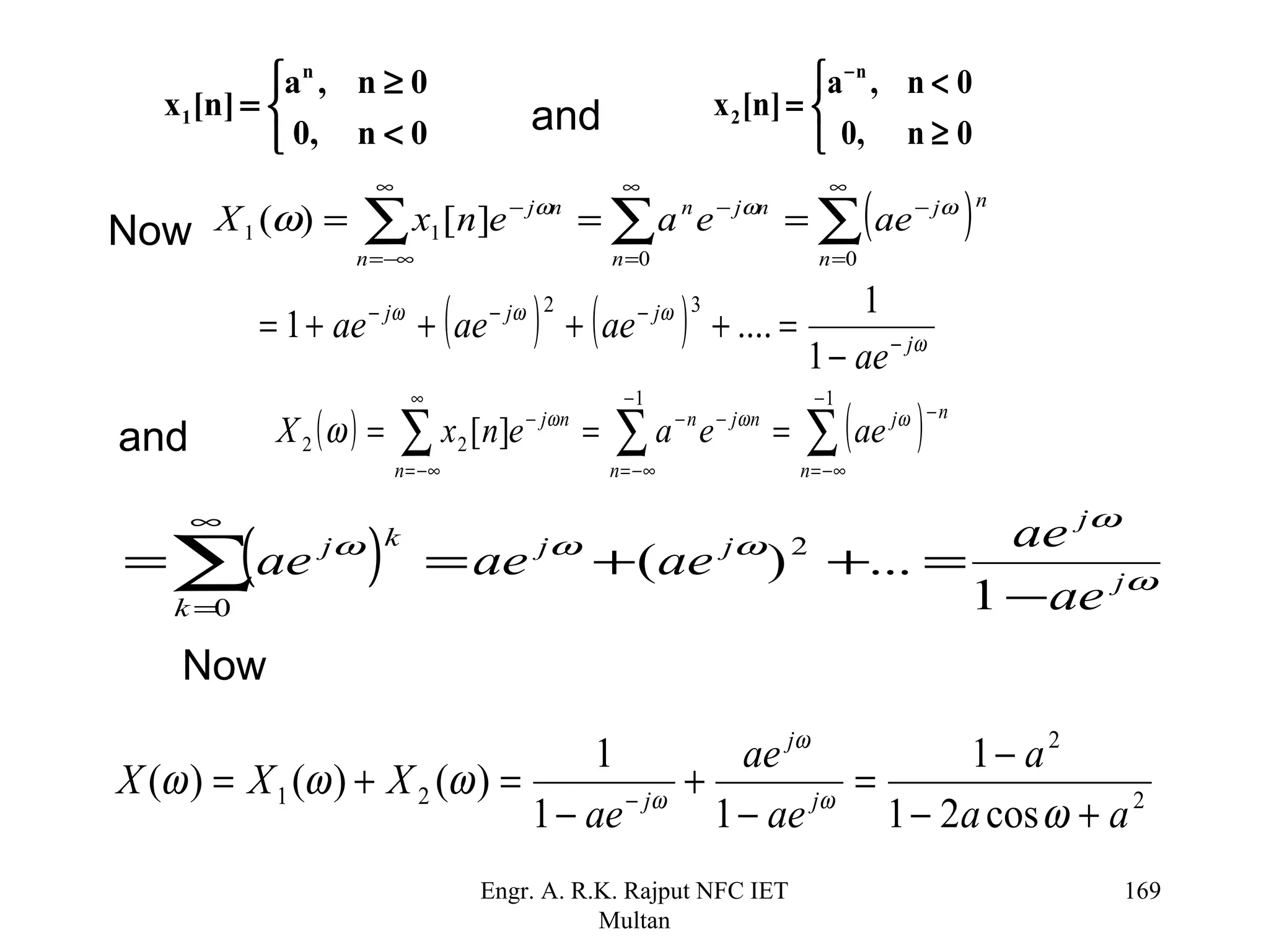
Consider the signal x[n] = anu[n]. This has the z-transform
                            ∞                                     ∞

      X ( z) =             ∑a u[n]z = ∑(az )
                           n =−∞
                                   n                −n

                                                              n =0
                                                                      −1   n



 Convergence requires that                      ∞

                                              ∑ az −1 < ∞
                                              n =∞

which is only the case if              az − < . equivalently
                                           1
                                             1 or                          z >a .
In the ROC, the series converges to
                       ∞
                         1         z
  X ( z ) = ∑ (az ) =           =
                                −1 n
                                      , z > a,
            n= 0      1 − az −1
                                  z−a
 since it is just a geometric series.
     DSP   Slide 109               Engr. A. R.K. Rajput NFC IET
                                              Multan
Example: right-sided exponential sequence
The z-transform has a region of convergence for any finite
value of a.




 The Fourier transform of x[n] only exists if the ROC
 includes the unit circle, which requires that a <1. On
 the other hand, if a >1 then the ROC does not include
 the unit circle, and Fourier transform does not exist. This
 is consistent with the fact that for these values of a the
 sequence anu[n] is exponentially growing, and the sum
 therefore 110
    DSP Slide does not converge.Rajput NFC IET
                         Engr. A. R.K.
                             Multan
Example: left-sided exponential sequence
 Now consider the sequence                              x ( n) =− n u[ − − ].
                                                                 a      n 1
This sequence is left-sided because it is nonzero only for n ≤ 1.
                                                              −
The z-transform is ∞                                    −1
      X ( z ) = ∑ a n u[ − − ] z −n =−∑ n z −n
                        −          n 1                      a
                         n= ∞
                           −                                     n= ∞
                                                                   −
                 ∞                             ∞
         =− a −n z n = −∑a − z ) n
           ∑          1  ( 1
                n=1                           n=0

   For     a − z < ,or
              1
                  1                 z <a ,        the series converges to

Note that the expression for the
z-transform (and the pole zero
plot) is exactly the same as for
the right-handed exponential
sequence - only the region of
convergence is different.
Specifying the ROC is therefore
critical when dealing with the z- Engr. A. R.K. Rajput NFC IET
      DSP Slide 111
transform.                                   Multan
Example: Sum of two exponentials
                          n              n
                   1         1
 The signal x[n] =   u[n] +  −  u[n] is the sum of two real exponentials
                   2         3
  The z transform is
                ∞                −
                        n     n
                      
                      1    1
  X ( z ) =∑  u[ n ] + −  u[ n] n
                                 z
              n= ∞ 
                −
                  2      3    
               ∞            ∞ n                               n
               
               1                1
         =∑  u[ n ] z
              
                       −n
                          + ∑−  u[ n] z −
                               
                                          n

          n= ∞ 2 
            −               − 
                           n= ∞  3
                                     n                              n
                1 −
                 ∞      ∞
                            1 −
            ∑
           =  z  + 
            n= 
                   1
                       ∑− z 1 
              0  2    n= 
                         0   3  
From the example for the right-handed exponential sequence, the first term in this
sum converges for z >1 / 2 and the second for z >1 / 3 The combined
transform X(z) therefore converges in the intersection of these regions, namely when
  z >1 / 2      .                                                          1 
                                                               2 z z − 
                          1                   1                       12 
In this case X ( z ) =             +                      =
                          1 −1                1 −1               1     1
       DSP Slide 112   1 − Engr. A. R.K. Rajput NFC IET
                            z          1+ z                  z −  z + 
                          2           Multan 3                   2     3
Example: Sum of two exponentials
The pole-zero plot and region of convergence of the signal is




   DSP   Slide 113      Engr. A. R.K. Rajput NFC IET
                                   Multan
Example: finite length sequence
  The pole-zero plot and region of convergence of the signal is

The signal

   has z transform −                                      N−
                                                                  1 −( az −1 ) n
                  N 1                                       1
           X ( z ) =∑ n z −n
                     a                               =∑ az − ) n =
                                                          ( 1

                              n=0                     n=0           1 −az − 1


                                                  1        z N −a N
                                         =                          .
                                               zN−1
                                                             z −a
  Since there are only a finite number of nonzero terms the sum always converges when
       az −1
                                                                        (a < )
                                                                            ,∞
                is finite. There are no restrictions on                                and the ROC is the entire z-

  plane with the exception of the origin z = 0 (where the terms in the sum are infinite). The N roots of
                                      j ( 2πk / N )
                Z k = ae
  the numerator polynomial are at                       , k = 0,1,......N − 1
*since these values satisfy the equation ZN= aN The zero at k = 0 cancels the pole at z = a, so there are no poles except
at the origin, and the zeros are at zk = aej(2k/N) k = 1; : : : ;N -1 The zero at k = 0 cancels the pole at z = a, so there
are no poles except at 114 origin, and the zeros areA. R.K. Rajput NFC = 1; : : : ;N -1
          DSP Slide the                         Engr. at zk = aej(2k/N) k IET
                                                           Multan
2-Properties of the region of convergence
The properties of the ROC depend on the nature of the signal. Assuming that the
signal has a finite amplitude and that the z-transform is a rational function:

The ROC is a ring or disk in the z-plane, centered on the origin
                             τ       τ
                         (0 ≤ R < z < L ≤∞).
The Fourier transform of x[n] converges absolutely if and only if the ROC of
the z-transform includes the unit circle.
The ROC cannot contain any poles.
If x[n] is finite duration (ie. zero except on finite interval (∞< N1 ≤ n ≤ N 2 < ∞).
                                                                    ∞
                    ), then the ROC is the entire Z-plan except perhaps at z=0 or
z=    .
If x[n] is a right-sided sequence then the ROC extends outward from the
outermost finite pole to infinity.
 If x[n] is left-sided then the ROC extends inward from the innermost nonzero
pole to z = 0.
A two-sided sequence (neither left nor right-sided) has a ROC consisting of a
ring in the z-plane, bounded on the interior and exterior by a pole (and not
containing any poles).
 The ROC is115 connected region.A. R.K. Rajput NFC IET
      DSP Slide a                Engr.
                                       Multan
3 - The inverse z-transform
Formally, the inverse z-transform can be performed by evaluating a
Cauchy integral. However, for discrete LTI systems simpler
methods are often sufficient.
A-Inspection method: If one is familiar with (or has a table
of) common z-transform pairs, the inverse can be found by
inspection. For example, one can invert the z-transform
                
           1                    1
 X ( z) =       z
                 ,               >
            1
          − z −
               1                  2,
         1
                
           2    
Using Z-transform pair
                                    1
                 a u[ n ] ←
                    n
                            →
                             z
                                         ,........ for z > .
                                                          a
                               1− − az 1
                 By inspection we recognise that
                             n
                           
                           1
                 x[n] =     u[ n ],
                           
                           2

Also, if X(z) is a sum of terms then one may be able to do a term-by-
term DSP Slide 116 by inspection, A. R.K. Rajput NFC IETas a sum of terms.
      inversion               Engr. yielding x[n]
                                   Multan
3 - The inverse z-transform
B-Partial fraction expansion:
For any rational function we can obtain a partial fraction expansion,
and identify the z-transform of each term. Assume that X(z) is
expressed as a ratio of polynomials in z-1:


            ∑
                       M             −k
                              bk z
   X ( z) =            k =0
                                          ,
            ∑
                       N             −k
                 ak z  k =0
   It is always possible to factorX(z) as
                       ∏ (1 − c z )
                              M                   −1
                 b0
   X(z) =                     k =1            k

                       ∏ (1 − d z )
                              N
                 a0                               −1
                              k =1            k
   where the ck' s are the nonzero and poles of X(z).
     DSP   Slide 117                 Engr. A. R.K. Rajput NFC IET
                                                Multan
The(Continue:) z-transform
Partial fraction expansion
                           inverse
If M<N and the poles are all first order, then X(z) can be expressed
                         N
as                              Ak
               X(z) = ∑                −1
                                          ,
                        k =1 1 − d k z
               in this case the coefficients A k are given by
                              (                )
                       A k = 1 − d k z −1 X ( z )
                                                          z =d k

 If M>N and the poles are first order, then an expression of the form
 cab be used, and Br’s be obtained by long division of the numerator.

                           M-N                     N
                                                             Ak
               X(z) =      ∑B z
                           r =0
                                  r
                                        −r

                                      1− dk z
                                             +∑
                                                   k =1
                                                                     −1
                                                                          ,

               The A k ' s can be obtained using M < N
     DSP   Slide 118                  Engr. A. R.K. Rajput NFC IET
                                                 Multan
3 - The inverse z-transform Partial fraction expansion
  The most general form for partial fraction expansion,
  which can also deal with multiple - order poles, is
                      M-N                     N
                                                           Ak           s
                                                                                      Cm
      X(z) =          ∑B z       −r
                                      +     ∑                          +∑                         .
                      r =0
                             r
                                          k =1, k ≠ i   1− dk z   −1
                                                                       m =1   (1 − d z )
                                                                                      i
                                                                                           −1 m


  Ways of finding the C m ' s can be found in most standard
  DSP texts. The terms B r z −r correspond to shifted and
  scaled impulse sequences, and invert to terms of the
  form B rδ [n - r]. The fractional term s      A                                 k

                                                                            1 − d k z −1
  correspond to exponentia l sequences. For these terms the
  ROC properties must be used to decide whether the sequences
   are left - sided or right - sided.
    DSP   Slide 119                   Engr. A. R.K. Rajput NFC IET
                                                 Multan
Example: inverse by Partial fractions
   Consider    the            sequence             x[n] with                   z - transform

   X(z) =
           1 + 2z + z
                     −1

                        =
                                −2
                             1+ z
                                       ,
                                                       (              )
                                                                    −1 2

                                                                                    z > 1.
              3 −1 1 −2
          1− z + z
              2    2
                            1 −1
                          1− z 1− z
                            2
                                    −1
                                                                (          )
Since M = N = 2 this can be                                                       expressed      as

X(z) = B0 +       A       1
                                    +     A        2
                                                            ,
                                                       −
                     1         −1        1−z
                                                        1
               1−         z
                     2
The    value    B0             can
                          found by            be                                 long     division :
                         2
 1 −2 3 −1    − 2     −1

 2z
     − z +1) z +2 z +1
      2
               −2     −1
             z    −3 z +2
                                             −1
                                    5z            −1
                                        −1
                 - 1 +5 z
X(z) =2 +
             
  DSP Slide 120
             
                 1 −
                 2
                      1

                         Engr. A.
                                   −
                                    (
                                    1
              − z 1 − z R.K. Rajput NFC IET
               1                                   )
                                                   Multan
Example: inverse by Partial fractions
   The coecients A and A can be found using
   A = (1 − d z ) X ( z ) d .
                                 1              2
                               −1
          k                k                  z=
                                                    k
                 So
                                       −1        −2
                           1 +2 z + z                                  1 +4 +4
                  A   1
                          =
                              1 −z
                                   −1
                                                            −1
                                                                      =
                                                                         1 −2
                                                                               =−9
                                                        z        =1


                                                    −1                −2
                                     1 +2 z + z                                           1 +2 + 1
                 and           A    =                                                    =         =9
                               2
                                           1 −1                                             1/ 2
                                        1− z
                                           2                               z
                                                                               −1
                                                                                    =1

                                                                                  9                    8
                 There fore                     X(z) =2 -                                          +     −
                                                                                  1           −1    1 −z
                                                                                                          1
                                                                               1−         z
                                                                                  2


Using the fact that the ROC z >1. , the terms can be inverted one at a time
by inspection to give
                                   x[ n ] = 2δ[ n ] − 9(1 / 2) n u[ n].
    DSP   Slide 121                  Engr. A. R.K. Rajput NFC IET
                                                Multan
C-          Power Series Expansion
  If Z transform is given as power series in form
              ∞
  X (z ) = ∑ [ n] z
                        −n
            x
            n= ∞
              −
                             2                                     2
  =.................. +[ − ] z +x[ − ] z 1 +x[0] +x[1] z 1 +[ 2] z ......
                          2         1
then any value in the sequence can be found by identifying the
coefficient of the appropriate power of z-1.




     DSP   Slide 122         Engr. A. R.K. Rajput NFC IET
                                        Multan
Example;ZPower Series Expansion
  Consider the transform
  X (z ) =log ( + − )
              1  az 1 ,                                    z >a
Using the power series expansion for log(1 + x), with /x/< 1, gives
                          ∞
                            ( −) n + a n z −
                               1    1       n
                 X (z ) =∑                    ,
                         n=
                          1        n




     DSP   Slide 123        Engr. A. R.K. Rajput NFC IET
                                       Multan
Example; Power Series Expansion by long division
       Consider                the               transform
                  1
        X (z ) =       ,                                z >a
                1− −
                  az 1
Since the ROC is the exterior of a circle, the sequence is right-sided. We therefore
divide to get a power series1in powers of z-1:
                        1 + az + a z
                           −      2 -2


X ( z ) = 1 − az   −1
                                       1
                                        1 − az   −1


                                             −1
                                          az
                                         az − a z
                                            −1       2 −2


                                         a 2 z − 2 + .....
    1
          = 1 + az + a z + ........Therefore..............x[n] = a u[n].
                  −1  2 -2                                        n

1 − az −1


      DSP   Slide 124           Engr. A. R.K. Rajput NFC IET
                                           Multan
Example; Power Series Expansion for left-side Sequence
         Consider                   the           Z-          transform
                      1
            X (z ) =     −
                           ,                                   z <a
                    1−az 1




Because of the ROC, the sequence is now a left-sided one. Thus we
divide to obtain a series in powers of z:

                              −
                         -a    1
                                   z −a z    -2     2..

      −a +z                                          z
                             z −a − z 2
                                   1


                               az −1

     Thus..............x[ n] =− n u[ − − ].
                                a       n 1



      DSP    Slide 125              Engr. A. R.K. Rajput NFC IET
                                               Multan
4- Properties of the z-transform
if X(z) denotes the z-transform of a sequence x[n] and the ROC of X(z) is
indicated by Rx, then this relationship is indicated as
            x[ n] ←→ ( z ),
                   X
                   z
                                                           ROC          Rx
   Furthermore, with regard to nomenclature, we have two sequences such
   that[ n ] ←
    x1        X 1 ( z ),
                z
                  →                              ROC             R x1
   x2 [ n] ← X 2 ( z ),
           z
              →                                              ROC              R x2
    A—Linearity: The linearity property is as follows:
  ax1[n] + bX 2 (n) ← z aX 1[ z ] + bX 2 ( z ),
                    →                                      ROC contains R x1 ∩ R x1 .

    B—Time Shifting: The time shifting property is as follows:
                     x[n − n0 ] ← z z X ( z ),
                                →
                                         − n0
                                                             ROC R x
   (The ROC may change by the possible addition or deletion of z =0 or z = ∞.)
   This is easily shown:
                           ∞                                  ∞

      Y ( z ) = ∑x[ n −n ] z
                        n =−∞                   0
                                                      −n
                                                           = ∑x[ m] z
                                                             n =−∞
                                                                             − m +n0 )
                                                                              (



                    ∞

      = z 126∑x[ m] z A. R.K. z NFC IET z ).
      DSP
        Slide
             −n0
                    Engr.
                   n =−∞
                          = X(Rajput
                           Multan
                                    −m              −n0
Example: shifted exponential sequence
Consider the z-transform
                                       1                                1
                        X ( z) =                ,                   z >
                                      1                                 4
                                   z−
                                      4
   From the ROC, this is a right-sided sequence. Rewriting,
                                                               
                z −1                         1                            1
     X ( z) =                    ,= z −1
                                                                      z >
                 1 −1                    1 - 1 z −1                       4
              1− z                                             
                 4                        4                    
  The term in brackets corresponds to an exponential sequence (1/4) nu[n]. The
  factor z-1 shifts this sequence one sample to the right.
  The inverse z-transform is therefore


                        x[n] = (1 / 4) u[n − 1] .
                                              n −1

      DSP   Slide 127            Engr. A. R.K. Rajput NFC IET
                                            Multan
C-            Multiplication by an exponential sequence
The exponential multiplication property is
                     z0 x[n] ← z X [ z / z0 ],
                        n
                             →                                 ROC        zR,
                                                                           0   x


   where the notation z 0 Rx , indicates that the ROC is scaled by z (that is,         0


   inner and outer radii of the ROC scale by z ). All pole-zero locations are
                                                            0


   similarly scaled by a factor z0: if X(z) had a pole at z = then X(z/z0)
                                                             z                     1


   will have a pole at z=z0z1.
•If z0 is positive and real, this operation can be interpreted as a shrinking or
expanding of the z-plane | poles and zeros change along radial lines in the z-
plane.
If z0 is complex with unit magnitude (z0 = ejw0) then the scaling operation
corresponds to a rotation in the z-plane by and angle w 0, That is, the poles and
zeros rotate along circles centered on the origin. This can be interpreted as a
shift in the frequency domain, associated with modulation in the time domain
by ejw0n. If the Fourier transform exists, this becomes


        e x[n] ← → X ( e                                             ).
            jω 0 n                F                    j (ω − ω 0 )
      DSP   Slide 128                 Engr. A. R.K. Rajput NFC IET
                                                 Multan
Example: exponential multiplication
The z-transform pair
                                          1
                        u[n] ← z
                             →                 ,           z >1
                                        1− z −1


  can be used to determine the z-transform of x[n] = r n cos(w0n)u[n].
  Since cos (w0n) = 1/2ejw0n + 1/2e –jw0n. The signal can be written as
                                        u[ n] + (re    )n u[ n].
           1                                   1
   x[ n ] = (r                     )
                             jω     n               −ω
                                                     j

           2
                         e     0


                                               2
                                                                   0




 From the exponential multiplication property,
  1                         1/ 2
    (r e jω )n u[ n] ←
           0
                     z
                        →       jω
                                        ,                              z >r.
  2                      1 −r e    z −1         0




 1                            1/ 2
   (r e−jω )n u[ n] ←
               0
                     z
                        →       −jω
                                         ,                                  z >r .
 2                       1 −r e     z −1            0


So
                    1/ 2            1/ 2
      X(z) =                  +                                               z >r.
               1 −r e jω z −1
                               1 −r e−jω z −
                               0            1           0




                   1 −r cos ωz −1
                             0
                                                    ,              z >r .
     DSP   1 −2r
           Slide 129   cos ωz
                            0
                                   −1
                                      +r 2 z Rajput NFC IET
                                    Engr. A. R.K.−2

                                               Multan
D-             Differentiation
The differentiation property states that
                                  dX ( z )
                 nx[ n] ←z →−z
                                          ,        ROC = R x .
                                   dz
This can be seen as follows: since
                                  ∞

              ∑
     X ( z ) = x[ n ] z −,
                        n

                              n=
                               -∞

    We have

        dX ( z )                               ∞

     −z          = − z ∑ (− n) x[n]z −n−1 = ∑ nx[n]z −n = z{nx[n]}.
         dz                                 n = −∞


  Example: second order pole
  The z-transform of the sequence      x[n] = na n u[n]
Can be found               1
     a u[ n] ←
        n
                    z
                       →                           z >a,
                        1 −z  −1


     to be
                    d     1                      az − 1

     X(z) =-                   − 
                                        =                    ,    z >a.
      DSP Slide 130
                    dz 1 −az  Multan −az )(1
                             Engr. A. R.K. Rajput NFC IET− 2
                                 1                        1
E-            Conjugation
This property is
                   x * [n] ← z → X * ( z*),
                                                             ROC = R x .
                         F-   Time reversal.
                                                                           1
       Here             x * [−n] ←z →X * (1 / z*),
                                                                  ROC =      .
                                                                           Rx

     The notation 1/Rx means that the ROC is inverted, so if Rx is the set
     of values such that rR < z <rL , then the ROC is the set of values of z su
     that 1 / r l z < 1/rR .

   Example: Time-reversed exponential sequence
   The Signal x[ n ] = a −n u[ − ] is a time-reversed version of a nu[n]. The
                                n
   z-transform is therefore


                                    1    −a z   −1 −1

                        X ( z) =       =           ,                z < a = Rx.
                                                                           −1

                                 1 − az 1 − a z
                                             −1 −1

      DSP   Slide 131               Engr. A. R.K. Rajput NFC IET
                                               Multan
G-          Convolution
 This property state that
   x1[n] * x2 [n] ← z X 1 ( z ) X 2 ( z ),
                  →                              ROC contains             R x1  R x2 .

                                                                    1
         Here        x * [−n] ←z →X * (1 / z*),
                                                       ROC =          .
                                                                    Rx
Example: evaluating a convolution using the z-transform
The z-transforms of the signal x1[n] =anu[n] and x2[n] = u[n] are
                    ∞
                                    1
              ∑
   X 1 ( z) = a n z − =   n
                                            ,                  z >a
               n=0            1−    az  − 1


   and
                 ∞
                                 1
  .X 2 ( z) =   ∑− =  z n                ,                  z >    1
                n= 0        1−   az   −
                                      1


 For a < , The z-transforms of the convolution y[n] = x 1[n] *x2[n] is
          1
                        1                    z2
  Y ( z) =                        =                                    z >1
           (1 −az )(1 −az ) ( z −a )( z − )
                     −1      −1
                                                     1

                             1 Engr. A. R.K. Rajput NFC IET z 2
        (z =
      Y DSP ) Slide 132                       =                                 z >1
                    (1 −az )(1 −az ) ( z −a )( z − )
                          −1            − Multan
                                         1
                                                                1
Example: evaluating a convolution using the z-transform

Using a partial fraction expansion,

                  1  1              a      
      Y ( z) =                  -        1 
                                             ,                z >1
               (1 − a ) 1 − z 1 − az 
                              −1         −


      So
                 1
      y ( n) =       (u[n] − a n+1u[n]).
               1 −a


                      H-      Initial Value theorem
      If x[n] is zero for n<0, then


            x[0] = lim X ( z ).
                              z→∞
    DSP   Slide 133            Engr. A. R.K. Rajput NFC IET
                                          Multan
Some common z-transform pairs are:




DSP   Slide 134          Engr. A. R.K. Rajput NFC IET
                                    Multan
I- Relationship with the Laplace transform:
 Continuous-time systems and signals are usually described by the Laplace
 transform. Letting z = esT , where s is the complex Laplace variable

      s = =jω
         d          ,
      we    have
           ( d + ωT       jω
      z =e      j )
                    = e e
                       dT   T
                              .
  Therefore
  z =e dT and  z =ω =2π s =2π / ω,
                    T   f/f   ω s

where ws is the sampling frequency. As ω varies from∞ to∞, the s-plane is
mapped to the z-plane:

 The jωaxis in the s-plane is mapped to the unit circle in the z-plane.
 The left-hand s-plane is mapped to the inside of the unit circle.
The right-hand s-plane maps to the outside of the unit circle.

      DSP   Slide 135          Engr. A. R.K. Rajput NFC IET
                                          Multan
?
DSP   Slide 136   Engr. A. R.K. Rajput NFC IET
                             Multan
Lecture -4
         Frequency Analysis


Voltage Vs Time Representation That
               become
      Magnitude Vs Frequency
                  ,
 Phase Vs Frequency Representation
               And
            Vice Versa
          Engr. A. R.K. Rajput NFC IET   137
                     Multan
Frequency Analysis of Signals
•Fourier transform and Fourier series basically involve the
decomposition of the signal in terms of sinusoidal components.
With such a decomposition ,a signal is said to be represented in
the frequency domain.

•These decompositions are very important in the analysis of LTI
systems because response of a system to a sinusoidal input
signal is a sinusoid of the same frequency but of different
amplitude and phase.

•Many other decompositions of signals are possible, only the
class of sinusoidal signals possess this desirable property in
passing through a LTI system.
                       Engr. A. R.K. Rajput NFC IET              138
                                  Multan
The Fourier Series for Continuous-Time Periodic Signals

  •   The Fourier Series of a periodic analogue signal x(t) is given by
                  ∞
x (t ) = ∑ k e
                                 j 2π 0 t
                                     kF
          c                                 ...............................1
            k= ∞
              −

is a periodic signal with fundamental period Tp=1/Fo and k = 0,±1, ±2…,
We can construct periodic signals of various types by proper choice of
fundamental frequency and the coefficients CK.FO determines the fundamental
period of x(t) and coefficient Ck specify the shape of waveform. We determine the
expression for Ck
                to +Tp                      to +Tp
                                                   − j 2πlFot                    
                                                                  ∞

                   ∫  x(t )e − j 2πlFot
                                        dt = ∫ e               ∑c k e + j 2πkFot dt
                   to                          to              k =−∞             

           to +Tp       to +Tp                        to +Tp

             ∫ dt = t
             to
                                 = Tp                   ∫ x (t )e − j 2πlFot dt = C l T p
                        to                              to

                         1                      − j 2π 0 t
                                 ∫
                                                      kF
                  ck =                x (t )e                dt........2
                         Tp      Tp     Engr. A. R.K. Rajput NFC IET                        139
                                                   Multan
•   In general, the Fourier Coefficients ck are complex valued.
•   If the periodic signal is real, ck and c-k are complex conjugates. As a result,
    if
                       c k = c k e jθk



                       then
                       c − =c k e − θ
                          k
                                   j k




                          Engr. A. R.K. Rajput NFC IET                      140
                                     Multan
Other forms of Fourier Series
              Representation
 As we have just mentioned
                ∞
  x(t ) =     ∑ c k e j2 πkF0t
             k = −∞

 The above equation can be re-written as

                           [                                ]
                    ∞
x(t ) = c0 + ∑ c k e j 2πkF0t + c − k e j 2π ( − k ) F0t
                    k =1

 since         c k = c k e jθk            and c −k = c k e − jθk

                               [                                  ]
                        ∞
∴ x(t ) = c 0 + ∑ c k e j ( 2πkF0t +θk ) + e − j ( 2πkF0t +θk )
                     k =1

               ∞
                                       This is called the Cosine
 = c0 + 2∑ c k cos( 2πkF0 tRajput NFC IET
                 Engr. A. R.K. + θk )                     141
         k =1               Multan     Fourier Series.
Other forms of Fourier Series
                Representation
Yet another form for the Fourier Series can be obtained by
  expanding the cosine Fourier series as
                      ∞
      x(t ) = c 0 + 2∑ c k [ cos 2πkF0 t cos θk − sin 2πkF0 t sin θk ]
                     k =1


      Consequently, we may rewrite the above equation in
      the form
                          ∞
       ∴ x(t ) = a0 + ∑ ( a k cos 2π kF0 t − bk sin 2π kF0 t )
                       k =1

This is called the Trigonometric form of the FS,
where a0 = co, ak = 2|ck|cosθRajput NFC IET k = 2|ck|sinθ k.
                     Engr. A. R.K. k
                                     and b                       142
                                   Multan
Power Density Spectrum of Periodic
             Signals
  A periodic signal has infinite energy and a
   finite average power, which is given as
            1                     2
     Px   =
           Tp       ∫ x( t )
                    Tp
                                      dt


  If we take the complex conjugate of (1) and
  substitute for x*(t), we obtain
      1           ∞                       ∞     1                       
        ∫Tp x(t )k∑∞ck e            dt = ∑ ck  ∫ x(t )e
                     * − j 2 πkF0 t                      − j 2 πkF0 t
Px =                                          *
                                                                      dt 
     Tp           =−                     k=−∞    Tp Tp
                                                                        
                                                                         
               ∞         2

          =∑k
            c
             k= ∞
               −     Engr. A. R.K. Rajput NFC IET              143
                                Multan
Therefore, we have established the relation
                                                    ∞          2
                       1
                                                   ∑c
                                        2
                  Px =
                       Tp   ∫ x(t )
                            Tp
                                            dt =
                                                   k =−∞
                                                           k




 Which is called Parse Val's relation for power signals.

 This relation states that the total average power in the periodic
 signal is simply the sum of the average powers in all the
 harmonics.
If we plot the |ck| as a function of the frequencies kFo ,k=0,±1,±2,….
the diagram we obtain shows how the power of the periodic signal
is distributed among the various frequency components. This diagram
is called the Power Density Spectrum of the periodic signal x(t). A
typical PSD is shown in the next slide.

                            Engr. A. R.K. Rajput NFC IET             144
                                       Multan
|ck|2




                                                         F
      -2F 0      -F0                0        F0 2F 0
Power density spectrum of a continuous time periodic signal
                Engr. A. R.K. Rajput NFC IET       145
                       Multan
Example1: Determine the Fourier Series and the Power
 Density Spectrum of the rectangular pulse train signal
           illustrated in the following figure.
                                               x(t)

                              A


             Tp               -τ/2               τ/2               Tp
                                                  Aτ
Solution:         c0 =
                       1
                       Tp     ∫
                               τ/ 2

                               −τ / 2
                                         Adt =
                                                  Tp
                         1        τ/ 2                        Aτ sin π 0 τ
                                                                      kF
       and        ck   =
                         Tp   ∫−τ/ 2
                                         Ae −j2 πkF0 t dt =
                                                              Tp   π 0τ
                                                                    kF

                  where k = ±1, ±2, …..
     Figure (a), (b) and (c) illustrate the Fourier
     coefficients when Tp is fixed and the pulse width
     τ is allowed to vary.R.K. Rajput NFC IET
                     Engr. A.
                              Multan
                                                                             146
0.2
                                               τ = 0.2Tp
0.15
 0.1                                            Fig.(a)
0.05
   0
-0.05
   -60   -40         -20            0         20          40    60

  0.1
                                              τ = 0.1Tp
 0.08
 0.06
 0.04                                         Fig. (b)
 0.02
    0
-0.02
-0.04
   -60   -40         -20            0         20          40    60
               Engr. A. R.K. Rajput NFC IET                    147
                          Multan
0.05
  0.04                            τ = 0.05Tp
  0.03
                                  Fig. (c)
  0.02
  0.01
    0
 -0.01
 -0.02
    -60    -40    -20        0   20     40     60

From these three figures we observe that the
 effect of decreasing τ while keeping Tp fixed is to
spread out the signal power over the frequency
 range. The Spacing between the adjacent lines is
independent of the value of the width τ.
               Engr. A. R.K. Rajput NFC IET  148
                    Multan
The following figures demonstrate the effect
 of varying Tp when τ is fixed.




            Engr. A. R.K. Rajput NFC IET   149
                       Multan
The figures on the previous slide ()
show that the spacing between adjacent spectral lines
  decreases as Tp increases. In the limit as Tp → ∞, the
  Fourier coefficients ck approach zero. This behavior is
  consistent with the fact that as Tp → ∞ and τ remains
  fixed, the resulting signal is no longer a power signal.
  Indeed it becomes an energy signal and its average
  power is zero.

 The Power Density Spectrum for the rectangular pulse train is
                           Aτ 
                                  2

                               ,                        k =0
                          T 
         ck
              2
                  =        p 
                          2              2
                    Aτ   sin πkF0 τ 
                    T   πkF τ  ,
                                                k = ±1,±2,...
                     p          0   
                            Engr. A. R.K. Rajput NFC IET            150
                                       Multan
Lecture -4
Frequency Analysis of Discrete-Time Signals




             Engr. A. R.K. Rajput NFC IET     151
                        Multan
Frequency Analysis of Discrete-Time Signals
 •We have already discussed the Fourier series representation for continuous-
 time periodic (power) signals and the Fourier transform for finite energy
 aperiodic signals.
 •The frequency range for continuous-time periodic signals
 extends from -∞ to ∞,that contain infinite number of frequency
 components with frequency spacing (1/Tp).
 •The frequency range for discrete-time signals is unique over the
 interval (-π,π) or (0,2π).
 • A discrete-time signal of fundamental period N can consist of
 frequency components separated by 2π/N radians or f= 1/N
 cycles.
 •Consequently, the Fourier series representation of the discrete-
 time periodic signal will contain N frequency components (the
 basic difference b/w Fourier series representation for continuous-
 time and discrete-time periodic signals).
                             Engr. A. R.K. Rajput NFC IET                 152
                                        Multan
The Fourier Series for Discrete-Time Signals
Suppose that we are given a periodic sequence with
  period N. The Fourier series representation for x[n]
  consists of N harmonically related exponential
  functions
  ej2πkn/N, k = 0, 1,2,…….,N-1
  and is expressed as
                 N−1
        x[n ] =∑ k e j 2 πkn / N
                c
                 k=0


        where the coefficients ck can be computed as:

             1 ∞
        c k = ∑ [n]e −j2 πkn / N
                    x
             N n =0
                    Engr. A. R.K. Rajput NFC IET        153
                               Multan
Example: Determine the spectra of the following signals:
(a) x[n] = [1, 1, 0, 0], x[n] is periodic with period 4 (b) x[n] = cosπn/3
                            (c) x[n] = cos(√2)πn
 Solution: (a)           x[n] = [1, 1, 0, 0]
                                       ↑
                       N−1
             1                   1 3
        ck = ∑ x[n]e           = ∑ x[n]e
                     − j2πkn/ N          − j2πkn/ N

             N n=0               4 n=0
                     1 3      1                              1                   1
                 c0 = ∑ x[n] = [ x[0] + x[1] + x[2] + x[3]] = [ 1 + 1 + 0 + 0] =
                     4 n=0    4                              4                   2
        Now
       1 3                   1 3                 1
   c1 = ∑x[n]e − j 2π n / 4
                            = ∑x[n]e − jπ n / 2 = x[0] + x[1]e − jπ / 2 + 0 + 0 
       4 n =0                4 n =0              4                              

   1                             1                  1
  = 1 + 1( cos 2 − j sin 2 )  = 1 + ( 0 − j )  = ( 1 − j )
                π         π
                               4                4
   4
                                    Engr. A. R.K. Rajput NFC IET                     154
                                               Multan
[1 + 1 .e ]
            3                                  3
       1                                  1                          1
c2 =       ∑ x[ n ]e   j2 π 2 n / 4
                                      =       ∑ x[ n ]e   jπ n
                                                                 =                jπ

       4   n= 0                           4   n= 0                   4
                                       1
                                      = [ 1 + cos π − j sin π ] = 0
                                       4
     1 3      − j2 π n 3 / 4 1                                      1              1
c 3 = ∑ x[n]e               = [ 1 + cos( 3π / 2) − j sin( 3π / 2)] = [ 1 + 0 + j] = [ 1 + j]
     4 n= 0                  4                                      4              4
       The magnitude spectra are:

                       c0 =
                            1
                                           c1 =
                                                     4
                                                      2
                                                          c2 = 0           c3 =
                                                                                  4
                                                                                   2
                            2
           and the phase spectra are:

           Φ0=0            Φ1 =
                                −π
                                 4              Φ 2 = undefined                        Φ3 =
                                                                                            π
                                                                                            4
                                          Engr. A. R.K. Rajput NFC IET                   155
                                                     Multan
(b) x[n] = cosπn/3
Solution: In this case, f0 = 1/6 and hence x[n] is periodic with
  fundamental period N = 6.
Now
                 1 5                    1 5    πn − j 2πkn / 6 1 5    πn
            c k = ∑ x[n]e − j 2πkn / N
                                       = ∑ cos e              = ∑ cos e − jπkn / 3
                 6 n= 0                 6 n= 0  3              6 n= 0  3



      6 n= 0 2
                [   +e        e        ] = ∑e
                                          12 n = 0
                                                            +e [
      1 5 1 jπ n / 3 − jπn / 3 − jπkn / 3 1 5 j π3n ( 1− k ) − j π3n ( 1+ k )
     = ∑ e                                                                                 ]
                           1 5          πn 1 5           πn
                    ∴ c0 = ∑ 2 cos = ∑ cos
                          12 n= 0        3 6 n= 0         3
                      1
                    = [ cos 0 + cos π3 + cos 23π + cos 33π + cos 43π + cos 53π ] = 0
                      6
         Similarly, c2 = c3 = c4 = 0, NFC1IET c5 = ½.
                         Engr. A. R.K. Rajput c =                                    156
                                           Multan
(c) Cos(√2)πn

Solution: The frequency f0 of the signal is 1/√2 Hz.
  Since f0 is not a rational number, the signal is
  not periodic. Consequently, this signal cannot be
  expanded in a Fourier series.




                  Engr. A. R.K. Rajput NFC IET   157
                             Multan
Power density Spectrum of Periodic Signals
 The average power of a discrete time periodic signal with period N is
                                           N −1
                              1
                                           ∑ x ( n)
                                                         2
                         Px =
                              N            n =0

  The above relation may also be written as
               1 N −1           1 N −1    N −1 * − 2 πkn / N 
          Px = ∑ x[n]x [n] = ∑ x[n] ∑ ck e
                         *
                                                             
                                                              
               N n=0            N n=0     n=0                
                                      or
                         1
                        N−1                N−1
                                                                      
               Px =∑  c          *
                                  k        ∑ [n]e
                                            x            −j 2 π / N
                                                               kn
                                                                      
                   n=0   N                n=0                        
                  N−1         2            N−1
                                    1
               =∑ k                        ∑x[n]
                                                        2
                 c                =
                  k=0               N      n=0


This is Parse Val's Theorem for Discrete-Time Power Signals.
                                      Engr. A. R.K. Rajput NFC IET        158
                                                 Multan
The Fourier Transform of Discrete-Time Aperiodic
Signals
The Fourier Transform of a finite energy discrete time signal x[n] is defined as

                                        ∞
                           X( w ) =    ∑ x[n]e
                                      n = −∞
                                                   − jwn




X(w) may be regarded as a decomposition of x[n] into its Frequency
components. It is not difficult to verify that X(w) is periodic with frequency
2π.Indeed,X(ω) is periodic with period 2π,that is,

                                            ∞
               X (ω+2π ) = ∑ (n )e −j (ω 2π ) n
                      k     x           + k

                                        n= ∞
                                          −



                                            ∞
               ................... = ∑ (n )e −jω e −j 2π
                                      x         n       kn

                                        n= ∞
                                          −



                                               ∞

                                            ∑( )
                                   . = Multann e −jω
               ....................Engr. A. R.K. Rajput NFC IETn
                                            n= ∞
                                              −
                                                 x                 = X (ω)     159
•   We observe two basic differences b/w the Fourier transform of a discrete-
    time finite-energy signal and the Fourier transform of a finite-energy
    analog signal .
•   First, for continuous time signals, the spectrum of the signal have a
    frequency range of (-∞,∞). In contrast, the frequency range for a discrete -
    time signal is unique over the frequency interval of (-π,π).
•   The second one is also a consequence of the discrete-time nature of the
    signal. Since the signal is discrete in time , the Fourier transform of the
    signal involves the summation of terms instead of an integral, as in the
    case of continuous – time signals.
•   Let us evaluate the sequence x(n) from X(ω).we multiply both sides of
    X(ω) by ejωm and integrate over the interval (-π,π).
                  π                       π
                                             ∞            
                  ∫π X (ω)e
                              jωm
                                    dω = ∫  ∑ x(n)e − jωn e jωm dω
                  −                      −π n =−∞         
                  π
                                       2π........m = n
                  ∫
                  −π
                     e jω( m −n ) dω = 
                                        0.........m ≠ n
                               Engr. A. R.K. Rajput NFC IET                160
                                          Multan
π
                    ∞
                                                   2π ( n)........m = n
                                                      x
                    ∑
                   n =−∞
                        x ( n) ∫ e jω( m −n ) dω = 
                                                    0.........m ≠ n
                              −π


                                 π
                            1
                   x (n) =    ∫
                           2π −π
                                 X (ω)e jωn dω



    Energy Density Spectrum of Aperiodic Signals
Energy of a discrete time signal x[n] is defined as
                                                 ∞      2

                                         Ex =   ∑x[n]
                                                n =−∞

 Let us now express the energy Ex in terms of the spectral characteristic
 X(w). First we have
               ∞                     ∞
                                 1 π ∗                
       E x = ∑ x[n]x [n] = ∑ x[n] ∫ X ( w )e − jwn dw 
                         *

            n = −∞        n = −∞  2π −π               
 If we interchange the order of integration and summation in the above
 equation, we obtain
               1 π ∗        ∞          − jwn          1 π     2
         Ex =
              2π ∫−π X (w )n∑ x[A. R.K. Rajputdw = 2π ∫−π X(w ) dw
                             Engr. n ]e
                            =−∞       Multan  NFC IET
                                              
                                                                           161
Therefore, the energy relation between x[n] and X(w) is



                             2             π           2
                    ∞
                            1
            E x = ∑ x[n] =    ∫π X(w ) dw
                  n = −∞   2π −

This is Parse Val's relation for discrete-time aperiodic signals.




                                 Engr. A. R.K. Rajput NFC IET       162
                                            Multan
Example: Determine and sketch the energy density
        spectrum of the signal x[n] = anu[n],
                       -1<a<1
Solution:
                                                             (    )
                    ∞         ∞       ∞
                                                                                  1
                        ∑ x[n]e− jwn = ∑ ane− jwn = ∑ ae− jw =
                                                                      n
             X( w ) =
                        n= − ∞          n= 0          n= 0                    1 − ae − jw
      The energy density spectrum (ESD) is given by
                                  2                                       1
             S xx ( w ) = X( w ) = X( w )X∗ ( w ) =
                                                        (1 − ae )(1 + ae )
                                                                 − jw                jw


                                                                1
                                 X(w)               =
                                                        1 − 2a cos w + a 2


                                      a = 0.5                                 a= -0.5



                     Engr. A. R.K. Rajput NFC IET
                                                                 w                     163
        π                    0  Multan              π
Example: Determine the Fourier Transform and the energy
            density spectrum of the sequence
                                                                  ,
                                                                  A      0 ≤n ≤L −1
                                                          x[n ] =
                                                                 0,      otherwise


    Solution:
                 ∞            L−1
                                               1 − e − jwL      − j( w / 2 )( L − 1 ) sin( wL / 2)
    X( w ) =   ∑ x[n]e − jwn = ∑ Ae − jwn
               n= − ∞          0
                                            =A
                                               1− e   − jw
                                                           = Ae
                                                                                       sin( w / 2)

    The magnitude of x[n] is
              
                A L,                         w =0
     X( w ) = 
              A sin( wL/ /22 ) ,        otherwise
                 sin( w    )

    and the phase spectrum is

    ∠ X( w ) = ∠ A − ∠ (L − 2) + ∠   w
                                     2
                                                                   sin( wL / 2 )
                                                                    sin( w / 2 )
The signal x[n] and its magnitude is plotted on the next slide. The
                       Engr. A. R.K. Rajput NFC IET           164
Phase spectrum is left as an exercise.
                                  Multan
x[n]




                                 |X(w)|




       Engr. A. R.K. Rajput NFC IET       165
                  Multan
Properties of DTFT
Symmetry Properties:
Suppose that both the signal x[n] and its transform X(w) are complex
  valued. Then they can be expressed as
  x[n] = xR[n] + j xI[n]       (1)

  X(ω) = XR(ω) + j XI(ω)          (2)
The DTFT of the signal x[n] is defined as
                                   ∞
                    X (ω =
                        )        ∑x[ n]e −jω
                                 n= ∞
                                   −
                                            n                            (3)

        Substituting (1) and (2) in (3) we get
                                           ∞
                X R (ω ) + jX I (ω ) =   ∑ [ x R [n] + x I [n]]e − jωn
                                         n = −∞
          but
                    − jωn
                e           = cos ωn − j sin ωn
                                 Engr. A. R.K. Rajput NFC IET                  166
                                            Multan
∞
∴ X R (ω ) + jX I (ω ) =      ∑ [x
                             n = −∞
                                          R
                                              [n] + x I [n]].[ cos ω n − j sin ω n]

separating the real and imaginary parts, we have
                ∞
  X R (ω) =    ∑[ x
              n =−∞
                        R   [n] cos ωn + x I [ n] sin ωn ]                            (4)
                 ∞
  X I (ω ) = − ∑ [ x R (ω ) sin ωn − x I [n] cos ωn]                                  (5)
               n = −∞



In a similar manner, one can easily prove that
               1
   x R [ n] =
              2π        2
                            ∫[ X
                            π
                                      R   (ω) cos ωn − X I (ω) sin ωn]dω

               1
   x I [ n] =
              2π        ∫[ X
                        π
                        2
                                      R   (ω) sin ωn + X I (ω) cos ωn ]dω

                               Engr. A. R.K. Rajput NFC IET                                 167
                                          Multan
DTFT Theorems and Properties
• Linearity
 If x1[n] ↔ X1(w) and x2[n] ↔ X2(w), then
 a1x1[n] + a2x2[n] ↔ a1X1(w) + a2X2(w)


Example 1: Determine the DTFT of the signal
                 x[n] = a|n| , -1< a <1
Solution: First, we observe that x[n] can be               expressed as
            x[n] = x1[n] + x2[n]
where


                            Engr. A. R.K. Rajput NFC IET           168
                                       Multan
a n , n ≥ 0                                                        a − n , n < 0
   x1[n] =                               and                        x 2 [n] = 
            0, n < 0                                                           0, n ≥ 0

                                                                                          (            )
                         ∞                              ∞                           ∞

                        ∑ x1[n]e                   = ∑a e                    = ∑ ae − jω
                                        − jωn                        − jωn                                 n
Now X 1 (ω) =
                                                                n

                        n =−∞                          n =0                        n =0


               = 1 + ae − jω + ( ae − jω ) + ( ae − jω ) + .... =
                                            2                    3                   1
                                                                                 1 − ae − jω

                                                                                 ∑ ( ae )
                               ∞                        −1                        −1

and             X 2 (ω ) =   ∑ x2 [n]e    − jω n
                                                   =   ∑a e     − n − jω n
                                                                             =                jω − n

                             n = −∞                    n = −∞                    n = −∞


                                                                         ae jω
           (             )
      ∞
= ∑ ae              jω k
                                   = ae jω         +( ae jω ) 2 +... =
    k =0                                                               1 −ae jω
    Now

                                   1           ae jω            1− a2
X (ω ) = X 1 (ω ) + X 2 (ω ) =        − jω
                                           +         jω
                                                        =
                               1 − ae        1 − ae       1 − 2a cos ω + a 2
                                      Engr. A. R.K. Rajput NFC IET                                             169
                                                 Multan
• Time Shifting
  If x[n] ↔ X(ω) then x[n-k] = e-jωkX(ω)
                                                    ∞
           Proof: F [ x[n − k ]] =
                                                  ∑
                                                 n= − ∞
                                                          x[n − k ]e − jω n

             Let n – k = m or n = m+k
                            ∞                                         ∞
    ∴ F [ x[n − k ]] =    ∑ x[m]e      − jω ( m + k )
                                                        = e − jwk   ∑ x[m]e       − jω m
                                                                                           = e − jω k X (ω )
                          m = −∞                                    m = −∞

• Time Reversal property
  If x[n] ↔ X(ω) then x[-n] ↔ X(-ω)
             Proof:
                   ∞                              −∞                               ∞
 F [ x[− n]] =   ∑ x[− n]e         − jω n
                                            =    ∑ x[m]e              jω m
                                                                             =    ∑ x[m]e         − j (− ω m)
                                                                                                                = X (− ω )
                 n= − ∞                          m= ∞                            m= − ∞
                                                Engr. A. R.K. Rajput NFC IET                                           170
                                                           Multan
Lecture -7




Engr. A. R.K. Rajput NFC IET   171
           Multan
• Convolution Theorem
  If x1[n] ↔ X1(ω) and x2[n] ↔ X2(ω)
   then
   x[n] = x1[n]*x2[n] ↔ X (ω) = X1(ω)X2(ω)
Proof: As we know[convolution formula]
                                             ∞
                 x[n] = x1[n] * x 2 [n] =   ∑ x [k ]x [n − k ]
                                            k=−∞
                                                   1       2

  Therefore                   ∞                        ∞
                                                             ∞                − jω n
                X (ω ) =    ∑ x[n]e
                            n = −∞
                                         − jω n
                                                   = ∑  ∑ x1 [k ]x 2 [n − k ]e
                                                     n = −∞  k = −∞          
  Interchanging the order of summation and making a substitution
  n-k = m, we get ∞
                            ∞
                                   
         X (ω = ∑ 1 [ k ] ∑ 2 [ m] −jω( m +k )
             )     x          x     e
               k= ∞
                 −        =−
                          m  ∞     
           ∞          −jω   ∞               m 
         = ∑ 1 [ k ]e
               x          k
                             ∑  x 2 [ m]e −jω  = X 1 (ω X 2 (ω
                                                          )      )
           =−
           k  ∞              =−
                              m  ∞               

      If we convolve two signal in time domain, then this is equivalent to
      multiplying their spectra in frequency domain.
                                     Engr. A. R.K. Rajput NFC IET                        172
                                                Multan
• Example 2: Determine the convolution of the sequences
        x1[n] = x2[n] = [1, 1, 1]
                                                  As known      X 1 (ω ) = X 2 (ω ) = 1 + 2 cos(ω )

Solution:                                     ∞                              1
                    X 1 (ω ) = X 2 (ω ) =   ∑ x [n]e
                                            n = −∞
                                                     1
                                                             − jω n
                                                                      =   ∑ x [n]e
                                                                          n = −1
                                                                                   1
                                                                                       − jω n




 [        jω
= x1[− 1]e + x1[0] + x2 [1]e     − jω
                                        ] = [e    jω                  − jω
                                                         + 1 + e ] = 1 + 2 cos ω
Then X(ω) = X1(ω)X2(ω) = (1 + 2cosω)2 =1 + 4cosω+ 4(cosω)2 .
      = 1 + 4cosω+ 4(1+cos2ω/2) = 1 + 4cosω+ 2(1+cos2ω).
                    = 1 + 4cosω+ 2+2cos2ω).
                  = 3 + 4cos ω + 2cos2ω
                     = 3 + 2(ejω + e-jω) + (ej2ω + e-j2ω)
Hence the convolution of x1[n] and x2[n] is
      x[n] = [1 2 3 2 1]
                             Engr. A. R.K. Rajput NFC IET                                       173
                                        Multan
• The Wiener-Khintchin Theorem:
Let x[n] be a real signal. Then rxx[k] ↔Sxx(w)
In other words, the DTFT of autocorrelation function is
  equal to its energy density function.*
Proof: The autocorrelation of x[n] is defined as
                                  ∞
                rxx [ n] =     ∑x[k ]x[k − n]
                              k =−∞
                                   ∞
                                           ∞                   
         Now    F [ rxx [n]] =    ∑
                                  n =−∞
                                          ∑
                                          k =−∞
                                                x[ k ] x[ k − n]e − jwn
                                                                

       Re-arranging the order of summations and making
       Substitution m = k-n we get
                              ∞
                                         ∞          
               F [rxx [n]] = ∑ x[k ] ∑ x[m] e − jw ( k − m )
                            Engr. A. R.K. Rajput NFC 
                             k = −∞      m = −∞     IET                   174
                                       Multan
 ∞               ∞       jω m 
  =  ∑ x[k ]e −   ∑ x[m]e  = X (ω ) X (−ω ) =| X (ω ) | 2 = S xx ( ω )
                jω k

     k = −∞           m = −∞      
 • Frequency Shifting:
Displacement in frequency multiplies the time/space function by a
unit phasor which has angle proportional to time/space and to the
amount of displacement.
               If
                x[ n] ↔ X (ω)
               then
                 e jw0 n x[ n] ↔ X (ω −ω0 )
                                                                jω n
As from above property, multiplication of a sequence x(n) bye o
  is equivalent to a frequency translation of the spectrum X(w)
by wo. So it be periodic, The shift ωo applies to the spectrum of
the signal in every period Engr. A. R.K. Rajput NFC IET        175
                                     Multan
•    The Modulation Theorem:
    If x[n] ↔ X(w) then
     x[n] cosω0[n] ↔ ½X(ω + ω0) + ½X(ω - ω0)
Proof:   Multiplication of a time/space function by a
 cosine wave splits the frequency spectrum of the
 function.
Half of the spectrum shifts left and half shifts right.
 This is simply a variant of the shift theorem
     which makes use of Euler'sjx relationship
                             −
                         jx
                                                e       +e
                               ∴cos( x) =
                                                        2
                              ∞                           ∞
                                                                e jω0 n + e − jω0 n  − jωn   Use
    F [ x[n] cos ω 0 n] =   ∑ x[n] cos ω ne
                                        0
                                              − jωn
                                                      = ∑ x[n]                      e        frequenc
                            n = −∞                      n = −∞          2                    y shift
                                                                                               property

                                      Engr. A. R.K. Rajput NFC IET                              176
                                                 Multan
• The Modulation Theorem:         If x[n] ↔ X(w) then
   x[n] cosω0[n] ↔ ½X(ω + ω0) + ½X(ω - ω0)
 Proof:

                                                                           e jω 0n + e − jω 0 n  − jω n
Use frequency shift property     ∞                                    ∞
F [ x[n] cos ω 0 n] =          ∑ x[n] cos ω 0 ne − jω n          = ∑ x[n]                       e
                               n = −∞                              n = −∞          2            

                                        [                                                     ]
                     ∞
      1
     = ∑x[ n] e
                − j (ω− 0 ) n
                       ω         − j (ω+ 0 )
                                        ω
                              +e
      2 n =−∞
            ∞                           ∞
                                                           = X (ω + ω 0 ) + (ω − ω 0 )
      1                          1                          1              1
     = ∑ x[n]e                  + ∑ x[n]e
               − j (ω + ω 0 ) n           − j (ω − ω 0 ) n

      2 n = −∞                   2 n = −∞                   2              2



                                            Engr. A. R.K. Rajput NFC IET                       177
                                                       Multan
• Parseval’s Theorem:
   If x1[n] ↔ X1(w) and x2[n] ↔ X2(w) then
               ∞                        π
                                 1
             ∑
            n =−∞
                 x1 [n]x* [n] =
                        2          ∫
                                2π −π
                                     X1 ( w ) X* ( w )dw
                                               2


                               π                              π
                           1                                 1  ∞                 − jω n  *
        Proof: R.H .S . =       ∫π X 1 ( ω ) X 2 ( ω ) dω = 2π −∫π  n∑−∞ x1 [ n]e  X 2 (ω )dω
                                               *

                          2π   −                                       =
           ∞            π                     ∞
                   1
       = ∑ x1 [n]    ∫  X 2 (ω)e
                          *      − jωn
                                       dω = ∑ x1 [n]x 2 [n] = L.H .S
                                                      *

         n =−∞    2π −π                     n =−∞


In the special case where x1[n] = x2[n] = x[n], the Parseval’s
Theorem reduces to ∞        2        π        2
                                              1
                       ∑ ( n)
                        x                   =
                                             2π−∫ X (ω dω
                                                      )
                       n= ∞
                         −                      π


 We observe that the LHS of the above equation is energy E x
  of the Signal and Engr. A. R.K. Rajput NFC IET
                        the R.H.S is equal to the energy
 density spectrum.             Multan
                                                                                                    178
Thus we can re-write the above equation as
               ∞        2          π                    π
                                1              1
       E x = ∑ [ n]               ∫  X (ω dω=    ∫S xx (ω dω
                                           2
              x              =           )               )
             n= ∞
               −               2π −π          2π −π

  • Multiplication of two sequences: [Windowing
  Theorem]
Windowing isX1(ω) process[n] ↔ X2(ω)a small subset of a larger
    If x1[n] ↔ the and x2 of taking then
dataset, for processing and analysis. A naive approach, the
rectangular window, involves simply truncating the dataset before
and after the window, while not modifying the contents of the
window at all. However, as we will see, this is a poor method of
windowing and causes power leakage.
                                                π
                                               1
                                                   X 1 (λ)X       ( − )dλ
                                                                   ω λ
                                              2π∫
                            x1 [ n] x 2 [ n] ↔                2
                                                 π
                                                 −

Application of a window to a dataset will alter the spectral
properties of that dataset. In a rectangular window, for instance, all
the data points outside the window are truncated and therefore
assumed to be zero. The cut-off points atIET ends of the sample will
                           Engr. A. R.K. Rajput NFC
                                                    the
introduce high-frequency components   Multan
                                                                   179
Multiplication of two sequences: [Windowing Theorem](cont:)
 If x1[n] ↔ X1(ω) and x2[n] ↔ X2(ω) then
                                                           π
                           1
        x1 [ n] x 2 [ n] ↔
                          2π−∫X 1 (λX 2 (ω λdλ
                             π
                                    )     − )

 Proof:

                           ∞                               ∞    1     π
                                                                                         
    F [ x1[n]x2 [n]] =   ∑ x [n]x [n]e
                                  1   2
                                              − jω n
                                                       = ∑             ∫π X 1 ( λ )e dλ  x 2 [n]e − jω n
                                                                                   jλ n

                         n= − ∞                          n = −∞  2π   −                 
        π                                                                    π
    1                    ∞         − j (ω − λ ) n     1
 =
   2π   −
         ∫π X 1 ( λ )dλ n∑ x2 [n]e
                         = −∞
                                                    = 2π
                                                                           −
                                                                             ∫π X ( λ ) X
                                                                                   1          2   (ω − λ )dλ


        Show periodic Convolution
        Technique use for FIR filter design


                                          Engr. A. R.K. Rajput NFC IET                                       180
                                                     Multan
• Differentiation in the Frequency Domain:
     If x[n] ↔ X(w) then Fnx[n] ↔ jdX(w)/dw
 Differentiation of a function induces a 90° phase shift in the
 spectrum and scales the magnitude of the spectrum in proportion
 to frequency. Repeated differentiation leads to the general result:

   Proof:                dX (ω )    d  ∞          − jωn 
                                                             ∞
                                                                    d
                          dω
                                 =
                                      
                                        ∑
                                   dω n =−∞
                                            x[ n]e        = ∑ x[n] e − jωn
                                                          n =−∞   dω
  dX (ω )         ∞
∴         = − j ∑ nx[n]e − jωn
   dω          n = −∞
                   Multiplying both sides by j we have
  dX (ω)       ∞
                                            dX (ω )
j          = ∑nx[ n]e − jωn OR            j           = F [nx[n]]
    dω       n =−∞                             dω
This theorem explains why differentiation of a signal has the reputation
for being a noisy operation. Even if the signal is band-limited, noise will
introduce high frequency Engr. A. R.K. Rajput NFC IET are greatly amplified by
                              signals which
differentiation.                    Multan                                  181
The Frequency Response Function:
The response of any LTI system to an arbitrary input
  signal x[n] is given by convolution sum Formula
                            ∞
               y[n ] =∑ ]x[n − ]
                       h[k    k                          (6)
                          k =∞
                            −


In this I/O relationship, the system is characterized
 in the time domain by its unit impulse response
 h[k]. To       develop a frequency domain
 characterization of the system, let us excite the
 system with the complex exponential
 x[n] = Aejwn.           -∞ < n < ∞        (7)
where A is the amplitude and w is an arbitrary frequency
confined to the frequency interval [-π, π]. By substituting
(7) into (6), we obtain the response NFC IET
                         Engr. A. R.K. Rajput               182
                              Multan
[                       ]
                               ∞
            y[n] =           ∑ h[k ] Ae jw ( n −k )
                            k = −∞
                                                                  ∞       − jwk  jwn
                                                             = A  ∑h[k ]e       e
                                                                 k =−∞          
           or
                      y[n] = AH( w )e                        jwn
                                                                                                                      (8)
           where                                        ∞
                               H( w ) =               ∑h[k ]e −jwk
                                                    k =−∞
                                                                                                                      (9)

The exponential Aejwn is called an Eigen-function of
the system. An Eigen function of a system is an input
signal that produces an output that differs from the
input by a constant multiplicative factor. The
multiplicative factor is called an Eigen-value of the
System.            Engr. A. R.K. Rajput NFC IET
Response is also in form of complex exponential with same frequency as input, but altered by the multiplicative factor H(w).
                                                             Multan                                                            183
Example: Determine the magnitude and phase of H(w)
for the three point moving average(MA) system
          y[n] = 1/3[x[n+1] + x[n] + x[n-1]]
   Solution: since h[n] = [1/3, 1/3, 1/3]

   It follows that
    H(w) = 1/3(ejw +1 + e-jw) = 1/3(1 + 2cosw)
   Hence
       |H(w)| = 1/3|1+2cosw| and

                 0, 0 ≤ w ≤ 2 π / 3
       Φ (w ) = 
                 π , 2π / 3 ≤ w < π
                            Engr. A. R.K. Rajput NFC IET   184
                                       Multan
11


|H(w)|




                                              w
     0                                 2π/3


                                  π
  Φ(w)




                                                  w
         0                         2π/3
             Engr. A. R.K. Rajput NFC IET     185
                       Multan
Example:An LTI system is described by
      the following difference equation:
      y[n] = ay[n-1] + bx[n],    0<a<1
 (a) Determine the magnitude and phase of
the frequency response H(w) of the system.
   (b) Choose the parameter b so that the
      maximum value of |H(w)| is unity.
  (c) Determine the output of the system to
                the input signal
  x[n] = 5 + 12sin(π/2)n – 20cos (πn + π/4)


           Engr. A. R.K. Rajput NFC IET   186
                      Multan
Solution:
(a) The frequency response is
   Y( w ) = ae − jw Y( w ) + bX( w )
             − jw
   (1 − ae          )Y( w ) = bX( w )
           Y( w )     b                   b                          b
  H( w ) =        =           =                        =
           X( w ) 1 − ae − jw
                                1 − a(cos w − j sin w ) ( 1 − a cos w ) − ja sin w
Now   H( w ) =
                               b
                                                     =
                                                                b
                 ( 1 − a cos w ) 2 + ( a sin w ) 2       1 + a 2 − 2a cos w
                        a sin w 
and   Φ( w ) = −tan −1              
                        1 − a cos w 


These responses are sketched on the next slide.


                            Engr. A. R.K. Rajput NFC IET                      187
                                       Multan
(b) It is easy to find that |H(w)| attains its
  maximum value at w = 0. At this frequency,
  we have
                b
  H( 0) =              =1 Which implies that b = ±(1-
              1 −a
                             a).
 At b = (1-a), we have
                 1−a                                    a sin w
 H( w ) =                                                 −1
            1 + a 2 − 2a cos w     and Φ( w ) = − tan 1 − a cos w

 (c) The input signal consists of components of frequencies
      w = 0, π/2 and π radians.
     For w = 0, |H(0)| = 1 and θ(0) = 0.
     For w = π/2,  π  1 − a       1 − 0.9
                      H  =        =                = 0.074.
                        2  1+ a 2
                                      1 + ( 0. 9 ) 2


                      π
                    Θ  = − tan −1 a = − tan −1 (0.9) = −42 0
                     Engr. A. R.K. Rajput NFC IET
                       Multan
                                                                 188
                     2
For w = π,                     1−a
                 | H( w ) |=        = 0.053
                               1+ a
                 Θ(π ) = 0


Therefore, the output of the system is

                      π  π         π                       π          
 y[n] = 5 H(0) + 12 H  sin  n + Θ    − 20 H( π ) cos  π n + + Θ ( π ) 
                      2 2          2                       4          
 = 5 + 0.888 sin( n − 42 ) − 1.06 cos( π n + )
                                   π
                                   2
                                                 0                        π
                                                                          4




                        Engr. A. R.K. Rajput NFC IET                189
                                   Multan
Response to A-periodic input signals
Consider the LTI system of the following figure
 where x[n] is the input, and y[n] is the output.
                 x[n]                                                             y[n]
                               LTI System
                               h[n], H(w)

If h[n] is the impulse response of the system, then
                           y[n] = h[n]*x[n]
The corresponding frequency domain representation is
         Y(w) = H(w)X(w)                  [
                                   Corresponding Fourier transform of the y(n),x(n), & h(n) respectively]


Now the squared magnitude of both sides is given by
                       |Y(w)|2 = |H(w)|2|X(w)|2
                                      Or
                        Syy(w) = |H(w)|2Sxx(w)
where Sxx(w) and Syy(w) are the energy density spectra of the
input and output signals, respectively. IET
                          Engr. A. R.K. Rajput NFC           190
                               Multan
The energy of the output signal is
          π                     π
      1                   1
Ey =    ∫πS yy ( w )dw =    ∫π| H( w ) | S xx ( w )dw
                                        2

     2π −                2π −


Example: An LTI system is characterized by its
impulse response h[n] = (1/2)nu[n]. Determine the
spectrum and the energy density spectrum of
the output signal when the system is excited by the
signal x[n] = (1/4)nu[n].
Solution:                ∞     n
                                                1
               H( w ) = ∑ ( 1 ) e − jwn =
                        n=0
                            2
                                            1 − 1 e − jw
                                                2

                                  1
Similarly,        X( w ) =
                              1 − 1 e −jw
                                  4


Hence the spectrum of the signal at the output of the system
is              Engr. A. R.K. Rajput NFC IET          191
                                     Multan
1
Y( w ) = H( w )X( w ) =
                           (              )(
                           1 − 1 e − jw 1 − 1 e − jw
                               2            4           )
The corresponding energy density spectrum is
                     2                2          2
S yy ( w ) = Y( w ) = H( w ) X( w )
                                  1
               =
                   ( 5 − cos w )( 17 − 1 cos w )
                     4            16   2




                         Engr. A. R.K. Rajput NFC IET       192
                                    Multan
DTFT and DFT
• The DTFT of an aperiodic discrete time
  signal is defined as
                   ∞                                         (1)
  X [ w] = ∑x[ n]e         − jwn

             n =−∞

• The DFT of a signal is defined as
            N −1
  X(k ) = ∑ x[n]e − jk 2 πn / N                              (2)
            n =0


• Inverse DFT is defined as
             N −1
        1
 x[n] =
        N
             ∑ X [k ]e
             k =0
                         j 2πkn / N
                                                             (3)


What is difference between DTFT and DFT?

                              Engr. A. R.K. Rajput NFC IET     193
                                         Multan
• The DFT is periodic with period N.
                  N −1
Proof: X[k ] = ∑ x[n]e             − jk 2 πn / N

                  n=0
                     N− 1
      X[k + N] = ∑ x[n]e − j( k + N ) 2 π n / N
                     n= 0
         N −1
      = ∑x[n]e −jk 2 πn / N e −j2 πn
         n =0


      Since e-j2πn = 1
                            N−1
      ∴ X[k + N] = ∑ x[n]e − jk 2 πn / N
                            n= 0


                                   = X[k ]
                                   proved
                                   Engr. A. R.K. Rajput NFC IET   194
                                              Multan
Example 1: Find the DFT of the following sequence
                                                             [1 0                0         1]
            N −1                                   3                                  3
  X[k ] = ∑ x[n]e − jk 2 πn / N = ∑ x[n]e − jk 2 πn / 4 = ∑ x[n]e − jkπn / 2
            n=0                                  n=0                                 n=0
             3
  X[0] = ∑x[n] = x[0] + x[1] + x[2] + x[ 3] = 1 + 0 + 0 +1 = 2
            i =0
                   3
   X[1] = ∑x[n]e − jkπn / 2 = x[0] + 0 + 0 + x[3]e − j3 π / 2
                 n =0
                       − j3 π / 2
   = 1 + 1.e                        = 1 + cos( 32π ) − j sin( 32π ) = 1 + j
             3
    X [2] = ∑ x[n]e − jπn = x[0] + x[3]e − j 3π = 1 +1.[cos(3π ) − j sin ( 3π ) ] = 0
            n =0

                                                                                     n=0
                                    X [3] = ∑ x[n]e − j 3πn / 2 = x[0] + x[3]e − j 9π / 2 = 1 − j
                                                                                      3
                                        Engr. A. R.K. Rajput NFC IET                                195
                                                   Multan
Example 2: Find the IDFT of the sequence
         [2     1+j 0 1-j]
                1 N −1
Solution: x[n] = ∑ X[k ]e jk 2πn / N
                         N k =0
              1 N −1    1
        x[0] = ∑ X[k ] = [ X[0] + X[1] + X[2] + X[3]]
Now           4 k =0    4
               1 3                   1 3
         x[1] = ∑ X[k ]e jk 2 π / 4
                                    = ∑ X[k ]e jkπ / 2
               4 k=0                 4 k =0
                               jπ / 2             jπ         j3 π / 2
         = X[0] + X[1]e                 + X[2]e + X[3]e                 =0
Similarly,

             X[2] = 0          and               X[3] = 1
                              Engr. A. R.K. Rajput NFC IET                   196
                                         Multan
Computational Complexity of the DFT
   A large number of multiplications and
    additions are required for the calculation
    of the DFT.
    Consider an 8-point DFT as given by
                         7
               X[k ] = ∑ x[n]e − jk 2 πn / 8
                        n= 0


    Let k2π/8 = K
          7
x[n ] =∑ [n ]e −jKn
        x
         n=0


x[0]e − jK 0 + x[1]e − jK 1 + x[2]e − jK 2 + x[3]e − jK 3 + x[4]e − jK 4 +
x[5]e − jK 5 + x[6]e − jK 6 + xA.7]eRajput NFC IET
                            Engr. [ R.K.
                                         − jK 7
                                      Multan
                                                                 197
There are eight complex multiplications and
 seven complex additions. There are also
 eight harmonic components to be evaluated.
 Therefore, for an 8-point DFT:
 Number of complex multiplications = 8×8
 Number of complex additions = 8×7
     For an N-point DFT
 complex multiplications = N2
 complex additions = N(N-1)
 Clearly some means of reducing these is
 required.
               Engr. A. R.K. Rajput NFC IET   198
                          Multan
Decimation-in-time fast fourier transform
 algorithm (Cooley-Tuckey Algorithm):
Notations: Equation (2) can be re-written as
             n −1
  X1 [k ] = ∑ x n e − j2 πnk / N                                                        (4)
             N =0




Let WN = e − j2 π / N                                                                   (5)

                                     ( − j 2π / N ) 2      − j 2π /( N / 2 )
Also note that        W = [e
                         2
                         N                        ] =e                         = WN / 2 (6)

and           WNk + N / 2 ) = WN WN / 2 = WN e − j( 2 π / N )( N / 2 )
               (               k  N        k


              =W e    k − jπ
                      N            = W ( cos π − j sin π ) = − W
                                         k
                                         N
                                                                                    k
                                                                                    N   (7)
                                    Engr. A. R.K. Rajput NFC IET                              199
                                               Multan
Summary:
           − j2 π / N
WN = e
W = WN / 2
    2
    N
  (k + N / 2)
W N             = −W    k
                        N


                            N−1
DFT: X1 [k ] = ∑ n WN
                x   kn                                       (8)
                            n =0




                              Engr. A. R.K. Rajput NFC IET         200
                                         Multan
Consider n data samples as:
 x0x1x2x3………xn
  Divide these samples into an even
  numbered and odd numbered sequenes x2n
  and x2n+1 respectively.
That is,
 x2n = x0x2x4…..,xN-2
  x2n+1 = x1x3x5….xN-1
Both of the above sequences contain N/2
 points.        Engr. A. R.K. Rajput NFC IET   201
                         Multan
Now equation (8) can be re-written as
 follows:
                N / 2 −1                  N / 2 −1
 X1 [k ] =       ∑ x 2n WNnk +
                 n =0
                         2
                                           ∑ x 2n +1 WN2n +1)k
                                           n =0
                                                      (


     N / 2−1                    N / 2−1
 =    ∑ x 2n WN nk + WN
      n=0
              2       k
                                  ∑ x 2n +1 WNnk
                                  n=0
                                             2




since          Wn2nk = WN / 2
                        nk

                           N / 2−1                       N / 2−1
Therefore, X1[k ] =         ∑ x 2n W
                            n=0
                                          nk
                                          N/2   +W   k
                                                     N    ∑
                                                          n=0
                                                                      nk
                                                            x 2n + 1 WN / 2


The above equation can be re-written as

                     X1[k ] = X11[k ] + WN X12 [k ]
                                         k
                                                                              (9)
                                  Engr. A. R.K. Rajput NFC IET                      202
                                             Multan
Considering line 6 of the table it is seen that
 X 21[k ] = x 0 + w    k
                       N/4 4x               k = 0,1

Thus
 X 21[0] = x 0 + x 4
while
                                              − j2 π / 2
X 21[1] = x 0 + WN / 4 x 4 = x 0 + e                       x4 = x0 − x4
similarly
 X 22 [0] =x 2 +x 6         X 22 [1] = x 2 − x 6
 X 23 [0] =x1 +x 5          X 23 [1] = x1 − x 5
 X 24 [0] =x 3 +x 7         X 24 [1] = x 3 − x 7

We observe that the values with k = 1 differ only by a sign from
those with k = 0.
                       Engr. A. R.K. Rajput NFC IET                       203
                                  Multan
Now X11[k ] = X 21[k ] + WN / 2 X 22 [k ]
                             k
                                                                                                     (10)

                                                                                                     (11)
    So,     X11[0] = X 21[0] + WN / 2 X 22 [0] = X 21[0] + X 22 [0]
                                0


                                                                − jπ / 2
  X11[1] = X 21[1] + W X 22 [1] = X 21[1] + e
                           1
                           N/2                                             = X 21[1] − jX 22 [1]      (12)

                                               − j( 2 π / 8 ) 2× 2
X11[2] = X 21[2] + W X [2] = X 21[2] + e
                    2
                    N / 2 22                                         X 22 [2] = X 21[2] − X 22 [2]    (13)

  Now     X 21[2] = x 0 + WN / 2 x 4 = x 0 + W22 x 4 = x 0 + x 4 = X 21[0]
                           2


   and    X 22 [ 2] = x 2 + WN / 4 x 6 = x 2 + x 6 = X 22 [0]
                             2


   Hence equation (13) is equivalent to
          X11 [2] = X 21[0] + X 22 [0]                                                                (14)
          X11[3] = X 21[3] + WN / 2 XA. R.K. Rajput NFC IET
                              3
                                        [3]                                                           (15)
                              Engr. 22                                                          204
                                           Multan
Now
X 21[3] = x 0 + WN / 4 x 4 = x 0 + e − j( 2 π / 2 ) 3 x 4 = x 0 + e − j3 π x 4 = x 0 − x 4 = X 21[1]
                 3


and   X 22 [3] = x 2 − x 6 = X 22 [1]
Hence equation (15) is equivalent to
      X11[3] = X 21[1] + e − j( 2 π / 4 ) 3 X 22 [1] = X 21[1] + jX 22 [1]                    (16)

 Drawing these results together gives
      X11 [0] = X 21 [0] + X 22 [0] = X 21 [0] + W8 X 22 [0]
                                                  0


      X11 [ 2] = X 21 [0] − X 22 [0] = X 21 [0] − W8 X 22 [0]
                                                   0
                                                                                               (17)
      X11 [1] = X 21 [1] − jX 22 [1] = X 21 [1] + W8 X 22 [1]
                                                   2


      X11 [ 3] = X 21 [1] + jX 22 [1] = X 21 [1] − W8 X 22 [1]
                                                    2



      The above equations are known as recomposition equations.
                                     Engr. A. R.K. Rajput NFC IET                             205
                                                Multan
The number of complex additions and
  multiplications involved is reduced in this way
  because:
  (i) the recomposition equations are expressed in
  terms of powers of the recurring factor WN.
  (ii) use is also made of relationships of the type
  X21[2] = X21[0] and X21[3] = X 21[1] and
  (iii) the presence of only sign differences in the
  pairs of expressions is exploited.
The algorithm is known as the Cooley-Tukey
  algorithm.
It can be shown that
Number of complex multiplications = (N/2)log2N
                  Engr. A. R.K. Rajput NFC IET    206
                             Multan

Lecture: Digital Signal Processing Batch 2009

  • 1.
    Digital Signal Processing Instructor: Engr. Abdul Rauf Khan Rajput Engr. A. R.K. Rajput NFC IET 1 Multan
  • 2.
    Books. Text Books: Digital SignalProcessing Principles, Algorithms and Applications By: John G.Proakis & Dimitris G.Manolakis Reference Books 1. Digital Signal Processing By. Sen M. Kuo & Woon-Seng Gan 2. Digital Signal Processing A Practical Approach. By Emmanuel C. Ifeachor & Barrie W. Jervis [Handouts] Digital Signal Processing By. Bores [Avail at ww.bores.com/courses/ Engr. A. R.K. Rajput NFC IET 2 Multan
  • 3.
    Grading Policy Term Papers/test/GroupDiscussion 20 Marks Mid-Term 30 Marks Final 50 Marks Additional Privileges 10% Trem Paper. Home works, Presentations, Voluntary assignments managements etc. Class will be divided different level as per their GPA Group A- GPA 2.0 to 2.59 Group B- GPA 2.5 to 3.39 Group C – GPA 3.4 to 4 Engr. A. R.K. Rajput NFC IET 3 Multan
  • 4.
    Signal : f(x1:x2……….. ) is function, A function is a dependent variable of independent variable(s). X= Time, Distance, Temperature,…. Type of signal Natural Signal [1D,2D,MD] Continuous? Discrete Signal Analog Signal = 1-Cont-time--- 2-Discrete Time ---- A/D -----Digital Signal Analog and Digital Signals Analog signal = continuous-time + continuous amplitude Digital signal = discrete-time + discrete amplitude Signal Processing analog system = analog signal input + analog signal output advantages: easy to interface to real world, do not need A/D or D/A converters, speed not dependent on clock rate digital system = digital signal input + digital signal output I re-configurability using software, greater control over accuracy/resolution, predictable and reproducible A.S behavior D.S M. Engr. A. R.K. Rajput NFC IET Multan .p .p 4 S.p
  • 5.
    Analog-to-Digital Conversion 0101... Sampler X(n) Discrete- Quantize r xq(t) Coder Digital Signal x(t) Quantiz time ed signal Signal Sampling: conversion from cts-time to dst-time by taking samples" at discrete time instants E.g., uniform sampling: x(n) = xa(nT) where T is the sampling period and n ε Z Quantization: conversion from dst-time cts-valued signal to a dst- time dst-valued signal quantization error: eq(n) = xq(n)- x(n)) Coding: representation of each dst-value xq(n) by a b-bit binary sequence Engr. A. R.K. Rajput NFC IET 5 Multan
  • 6.
    Sampling Theorem If thehighest frequency contained in an analog signal x a(t) is Fmax = B and the signal is sampled at a rate Fs > 2Fmax=2B then xa(t) can be exactly recovered from its sample values using the interpolation function Note: FN = 2B = 2Fmax is called the Nyquist rate Therefore, given the interpolation relation, x a(t) can be written as where xa(nT) = x(n); called band limited interpolation. Engr. A. R.K. Rajput NFC IET 6 Multan
  • 7.
    Digital-to-Analog Conversion Common interpolationapproaches: bandlimited interpolation zero-order hold, linear interpolation, higher-order interpolation techniques, e.g., using splines In practice, cheap" interpolation along with a smoothing filter is employed. A DSP System ???? Engr. A. R.K. Rajput NFC IET 7 Multan
  • 8.
    A DSP System Inpractice, a DSP system does not use idealized A/D or D/A models. Anti-aliasing Filter: ensures that analog input signal does not contain frequency components higher than half of the sampling frequency (to obey the sampling theorem). this process is irreversible 2Sample and Hold: holds a sampled analog value for a short time while the A/D converts and interprets the value as a digital 3 A/D: converts a sampled data signal value into a digital number, in part, through quantization of the amplitude 4 D/A: converts a digital signal into a staircase"-like signal 5 Reconstruction Filter: converts a staircase"-like signal into an analog signal through low pass filtering similar to the type used for anti-aliasing Real-time DSP Considerations IET Engr. A. R.K. Rajput NFC Multan ??????? 8
  • 9.
    Real-time DSP Considerations What are initial considerations when designing a DSP system that must run in real-time? Is a DSP technology suitable for a real-time application? Engr. A. R.K. Rajput NFC IET 9 Multan
  • 10.
    Lecture 1 Week-1st Engr. A.R.K. Rajput NFC IET 10 Multan
  • 11.
    • Signal: A signal is defined as a function of one or more variables which conveys information on the nature of a physical phenomenon. The value of the function can be a real valued scalar quantity, a complex valued quantity, or perhaps a vector. • System: A system is defined as an entity that manipulates one or more signals to accomplish a function, thereby yielding new signals. Engr. A. R.K. Rajput NFC IET 11 Multan
  • 12.
    • Continuos-Time Signal: A signal x(t) is said to be a continuous time signal if it is defined for all time t. • Discrete-Time Signal: A discrete time signal x[nT] has values specified only at discrete points in time. • Signal Processing: A system characterized by the type of operation that it performs on the signal. For example, if the operation is linear, the system is called linear. If the operation is non- linear, the system is said to be non-linear, and so forth. Such operations are usually referred to as “Signal Processing”. Engr. A. R.K. Rajput NFC IET 12 Multan
  • 13.
    Basic Elements ofa Signal Processing System Analog input Analog output signal Analog signal Signal Processor Analog Signal Processing Analog Analog input output signal A/D Digital D/A signal converter Signal Processor converter Digital Signal Processing Engr. A. R.K. Rajput NFC IET 13 Multan
  • 14.
    • Advantages ofDigital over Analogue Signal Processing: A digital programmable system allows flexibility in reconfiguring the DSP operations simply by changing the program. Reconfiguration of an analogue system usually implies a redesign of hardware, testing and verification that it operates properly. DSP provides better control of accuracy requirements. Digital signals are easily stored on magnetic media (tape or disk). The DSP allows for the implementation of more sophisticated signal processing algorithms. In some cases a digital implementation of the signal processing system is cheaper than its analogue counterpart. Engr. A. R.K. Rajput NFC IET 14 Multan
  • 15.
    DSP Applications Space photograph enhancement Space Data compression Intelligent sensory analysis Diagnostic imaging (MRI, CT, Medical ultrasound, etc.) Electrocardiogram analysis Medical image storage and retrieval Image and sound compression for Commercial multimedia presentation. Movie special effects Video conference calling Video and data compression Telephone echo reduction signal multiplexing filtering Engr. A. R.K. Rajput NFC IET 15 Multan
  • 16.
    DSP Applications (cont.) Radar Sonar Military Ordnance Guidance Secure communication Oil and mineral prospecting Industrial Process monitoring and control Non-destructive testing Earth quick recording and analysis Data acquisition Scientific Spectral Analysis Simulation and Modeling Engr. A. R.K. Rajput NFC IET 16 Multan
  • 17.
    Classification of Signals •DeterministicSignals A deterministic signal behaves in a fixed known way with respect to time. Thus, it can be modeled by a known function of time t for continuous time signals, or a known function of a sampler number n, and sampling spacing T for discrete time signals. • Random or Stochastic Signals: In many practical situations, there are signals that either cannot be described to any reasonable degree of accuracy by explicit mathematical formulas, or such a description is too complicated to be of any practical use. The lack of such a relationship implies that such signals evolve in time in an unpredictable manner. We refer to these signals as random. Engr. A. R.K. Rajput NFC IET 17 Multan
  • 18.
    Even and OddSignals A continuous time signal x(t) is said to an even signal if it satisfies the condition x(-t) = x(t) for all t The signal x(t) is said to be an odd signal if it satisfies the condition x(-t) = -x(t) In other words, even signals are symmetric about the vertical axis or time origin, whereas odd signals are antisymmetric about the time origin. Similar remarks apply to discrete-time signals. Example: even Engr. A. R.K. Rajput NFC IET 18 Multan odd odd
  • 19.
    Periodic Signals A continuous signal x(t) is periodic if and only if there exists a T > 0 such that x(t + T) = x(t) where T is the period of the signal in units of time. f = 1/T is the frequency of the signal in Hz. W = 2π/T is the angular frequency in radians per second. The discrete time signal x[nT] is periodic if and only if there exists an N > 0 such that x[nT + N] = x[nT] where N is the period of the signal in number of sample spacings. Example: Frequency = 5 Hz or 10π rad/s 0 0.2 0.4 A. R.K. Rajput NFC IET Engr. 19 Multan
  • 20.
    Continuous Time SinusoidalSignals A simple harmonic oscillation is mathematically described as x(t) = Acos(wt + θ) This signal is completely characterized by three parameters: A = amplitude, w = 2πf = frequency in rad/s, and θ = phase in radians. A T=1/f Engr. A. R.K. Rajput NFC IET 20 Multan
  • 21.
    Discrete Time SinusoidalSignals A discrete time sinusoidal signal may be expressed as x[n] = Acos(wn + θ) -∞ < n < ∞ Properties: • A discrete time sinusoid is periodic only if its frequency is a rational number. • Discrete time sinusoids whose frequencies are separated by an integer multiple of 2π are identical. 1 0 -1 0 2 4 6 8 10 Engr. A. R.K. Rajput NFC IET 21 Multan
  • 22.
    Energy and PowerSignals The total energy of a continuous time signal x(t) is defined as T ∞ E x = lim ∫ x ( t )dt = ∫ x 2 ( t )dt 2 T →∞ −T −∞ And its average power is T/ 2 1 2 Px = lim ∫x ( t )dt T→ T∞ − /2 T In the case of a discrete time signal x[nT], the total energy of the ∞ signal dx = T ∑ x 2 [n ] E is n =−∞ And its average power is defined by 2  1  N Pdx = lim   ∑ x[nT] N →  2N + 1 n =−N ∞ Engr. A. R.K. Rajput NFC IET 22 Multan
  • 23.
    Energy and PowerSignals •A signal is referred to as an energy signal, if and only if the total energy of the signal satisfies the condition 0<E<∞ •On the other hand, it is referred to as a power signal, if and only if the average power of the signal satisfies the condition 0<P<∞ •An energy signal has zero average power, whereas a power signal has infinite energy. •Periodic signals and random signals are usually viewed as power signals, whereas signals that are both deterministic and non-periodic are energy signals. Engr. A. R.K. Rajput NFC IET 23 Multan des
  • 24.
    Example1: Computethe signal energy and signal power for x[nT] = (-0.5)nu(nT), T = 0.01 seconds Solution: N 2 ∞ 2 E dx = lim T ∑x(nT ) = 0.01 ∑(−0.5 ) n N→∞ n =−N n=0 ∞ 2n ∞ = .01 ∑ 0.5 ) 0 (− = .01 ∑.25 n 0 0 n=0 n=0 [ = 0.01 1 + 0.25 + ( 0.25 ) + ( 0.25 ) + ....... 2 3 ] 0.01 = = / 75 1 1 − .25 0 Since Edx is finite, the signal power is zero. Engr. A. R.K. Rajput NFC IET 24 Multan
  • 25.
    Example2: RepeatExample1 for y[nT] = 2ej3nu[nT], T = 0.2 second. Solution: 2  1  N  1 N 2 Pdx = lim   ∑ y (nT) = lim   ∑ 2e j3n N → ∞  2N + 1  n = − N N → ∞  2N + 1  n = 0  1 N 2 4 N 4( N + 1) = lim   ∑ 2 = lim ∑ 1 = N →∞ lim N →∞ 2N + 1 n = 0 N →∞ 2N + 1 n = 0 2N + 1  N 1  1 = lim 4 +  = 4× = 2 N → ∞  2N + 1 2N + 1  2 What is energy of this signal? Engr. A. R.K. Rajput NFC IET 25 Multan
  • 26.
    Tutorial 1: Q3 Determinethe signal energy and signal power for each of the given signals and indicate whether it is an energy signal or a power signal? (a) y[nT] = 3( −0.2)n u[n − 3], T = 2 ms (b) z[nT] = 4(1.1) n u[n + 1] T = 0.02 s (c) Engr. A. R.K. Rajput NFC IET 26 Multan
  • 27.
    Time Shifting, TimeReversal,Time Scaling • Suppose we have a signal x(t) and we say we want to shift a signal such as x(t-2) or x(t+2) so ‘-’ values indicate the past values while the ‘+’ values indicate the future value • Time reversal is the mirror image of the given signal as x(t) = x(-t) • Time Scaling is the scaled time according to input for e.g x(2t) will be a compact signal as compared to x(t). Engr. A. R.K. Rajput NFC IET 27 Multan
  • 28.
    Basic Operations onSignals (a) Operations performed on dependent variables 1. Amplitude Scaling: let x(t) denote a continuous time signal. The signal y(t) resulting from amplitude scaling applied to x(t) is defined by y(t) = cx(t) where c is the scale factor. In a similar manner to the above equation, for discrete time signals we write y[nT] = cx[nT] 2x(t) x(t) Engr. A. R.K. Rajput NFC IET 28 Multan
  • 29.
    (b) Operations performedon independent variable • Time Scaling: Let y(t) is a compressed version of x(t). The signal y(t) obtained by scaling the independent variable, time t, by a factor k is defined by y(t) = x(kt) – if k > 1, the signal y(t) is a compressed version of x(t). – If, on the other hand, 0 < k < 1, the signal y(t) is an expanded (stretched) version of x(t). Engr. A. R.K. Rajput NFC IET 29 Multan
  • 30.
    Example of timescaling 1 Expansion and compression of the signal e-t. 0.9 0.8 0.7 exp(-t) 0.6 0.5 exp(-2t) 0.4 exp(-0.5t) 0.3 0.2 0.1 0 Engr. A. R.K. Rajput NFC IET 0 5 Multan 10 15 30
  • 31.
    Time scaling ofdiscrete time systems 10 x[n] 5 0 -3 -2 -1 0 1 2 3 x[0.5n] 10 5 0 -1.5 -1 -0.5 0 0.5 1 1.5 5 x[2n] 0 -6 -4 -2 0 2 4 6 n Engr. A. R.K. Rajput NFC IET 31 Multan
  • 32.
    Time Reversal • Thisoperation reflects the signal about t = 0 and thus reverses the signal on the time scale. 5 x[n] 0 0 1 2 3 4 5 0 n x[-n] -5 0 1 2 3 4 5 n Engr. A. R.K. Rajput NFC IET 32 Multan
  • 33.
    Time Shift A signalmay be shifted in time by replacing the independent variable n by n-k, where k is an integer. If k is a positive integer, the time shift results in a delay of the signal by k units of time. If k is a negative integer, the time shift results in an advance of the signal by |k| units in time. x[n] 1 0.5 0 -2 x[n-3] x[n+3] 1 0 2 4 6 8 10 0.5 0 -2 0 2 4 6 8 10 1 0.5 0 -2 0 2 n4 Engr. A. R.K. Rajput NFC IET Multan 6 8 10 33
  • 34.
    2. Addition: Let x1[n] and x2[n] denote a pair of discrete time signals. The signal y[n] obtained by the addition of x1[n] + x2[n] is defined as y[n] = x1[n] + x2[n] Example: audio mixer 3. Multiplication: Let x1[n] and x2[n] denote a pair of discrete-time signals. The signal y[n] resulting from the multiplication of the x1[n] and x2[n] is defined by y[n] = x1[n].x2[n] Example: AM Radio Signal Engr. A. R.K. Rajput NFC IET 34 Multan
  • 35.
    Analog to Digitaland Digital to Analog Conversion • A/D conversion can be viewed as a three step process 1. Sampling: This is the conversion of a continuous time signal into a discrete time signal obtained by taking “samples” of the continuous time signal at discrete time instants. Thus, if x(t) is the input to the sampler, the output is x(nT), where T is called the Sampling interval. 2. Quantization: This is the conversion of discrete time continuous valued signal into a discrete-time discrete- value (digital) signal. The value of each signal sample is represented by a value selected from a finite set of possible values. The difference between unquantized sample and the quantized output is called the Quantization error. Engr. A. R.K. Rajput NFC IET 35 Multan
  • 36.
    Analog to Digitaland Digital to Analog Conversion (cont.) 3. Coding: In the coding process, each discrete value is represented by a b-bit binary sequence. x(t) 0101... Sampler Quantize r Coder A/D Converter Engr. A. R.K. Rajput NFC IET 36 Multan
  • 37.
    Digital Signal Processing (DSP) Fundamentals Engr. A. R.K. Rajput NFC IET 37 Multan
  • 38.
    Overview • What isDSP? • Converting Analog into Digital – Electronically – Computationally • How Does It Work? – Faithful Duplication – Resolution Trade-offs Engr. A. R.K. Rajput NFC IET 38 Multan
  • 39.
    What is DSP? •Converting a continuously changing waveform (analog) into a series of discrete levels (digital) Engr. A. R.K. Rajput NFC IET 39 Multan
  • 40.
    What is DSP? •The analog waveform is sliced into equal segments and the waveform amplitude is measured in the middle of each segment • The collection of measurements make up the digital representation of the waveform Engr. A. R.K. Rajput NFC IET 40 Multan
  • 41.
    0.5 1.5 -1.5 -0.5 -2 -1 0 1 2 1 0 0.22 3 0.44 0.64 5 0.82 0.98 7 1.11 1.2 9 1.24 1.27 11 1.24 1.2 13 1.11 0.98 15 0.82 0.64 17 0.44 Multan 0.22 19 0 -0.22 -0.44 21 -0.64 Engr. A. R.K. Rajput NFC IET -0.82 23 -0.98 -1.11 25 What is DSP? -1.2 -1.26 27 -1.28 -1.26 29 -1.2 -1.11 31 -0.98 -0.82 33 -0.64 -0.44 35 -0.22 37 0 41
  • 42.
    Converting Analog intoDigital Electronically(1/3) • The device that does the conversion is called an Analog to Digital Converter (ADC) • There is a device that converts digital to analog that is called a Digital to Analog Converter (DAC) Engr. A. R.K. Rajput NFC IET 42 Multan
  • 43.
    Converting Analog intoDigital Electronically(2/3) SW-8 • The simplest form of SW-7 V-high ADC uses a resistance V-7 SW-6 ladder to switch in the V-6 appropriate number of Output SW-5 V-5 resistors in series to SW-4 V-4 create the desired SW-3 V-3 voltage that is SW-2 compared to the input SW-1 V-2 (unknown) voltage V-1 V-low Engr. A. R.K. Rajput NFC IET 43 Multan
  • 44.
    Converting Analog intoDigital Electronically(3/3) • The output of the resistance ladder is compared to the Analog Voltage Comparator analog voltage in a Output Higher Equal Lower comparator Resistance Ladder Voltage • When there is a match, the digital equivalent (switch configuration) is captured Engr. A. R.K. Rajput NFC IET 44 Multan
  • 45.
    Converting Analog intoDigital Computationally(1/2) • The analog voltage can now be compared with the digitally generated voltage in the comparator • Through a technique called binary search, the digitally generated voltage is adjusted in steps until it is equal (within tolerances) to the analog voltage • When the two are equal, the digital value of the voltage is the outcome Engr. A. R.K. Rajput NFC IET 45 Multan
  • 46.
    Converting Analog intoDigital Computationally(2/2) • The binary search is a mathematical technique that uses an initial guess, the expected high, and the expected low in a simple computation to refine a new guess • The computation continues until the refined guess matches the actual value (or until the maximum number of calculations is reached) • The following sequence takes you through a binary search computation Engr. A. R.K. Rajput NFC IET 46 Multan
  • 47.
    Binary Search Analog Digital • Initial conditions 5-volts 256 – Expected high 5-volts 3.42-volts Unknown – Expected low 0-volts (175) – 5-volts 256-binary 2.5-volts 128 – 0-volts 0-binary • Voltage to be converted – 3.42-volts – Equates to 175 binary 0-volts 0 Engr. A. R.K. Rajput NFC IET 47 Multan
  • 48.
    Binary Search •Binary search algorithm: Analog Digital High − Low 5-volts 256 + Low = NewGuess 2 unknown 3.42-volts • First Guess: 128 256 − 0 + 0 = 128 2 0-volts 0 Guess is Low Engr. A. R.K. Rajput NFC IET 48 Multan
  • 49.
    Binary Search • NewGuess (2): Analog Digital 5-volts 256 192 256 − 128 3.42-volts unknown + 128 = 192 2 Guess is High 0-volts 0 Engr. A. R.K. Rajput NFC IET 49 Multan
  • 50.
    Binary Search • NewGuess (3): Analog Digital 5-volts 256 192 − 128 3.42-volts unknown + 128 = 160 160 2 Guess is Low 0-volts 0 Engr. A. R.K. Rajput NFC IET 50 Multan
  • 51.
    Binary Search •New Guess (4): Analog Digital 5-volts 256 176 192 − 160 3.42-volts unknown + 160 = 176 2 Guess is High 0-volts 0 Engr. A. R.K. Rajput NFC IET 51 Multan
  • 52.
    Binary Search • NewGuess (5): Analog Digital 5-volts 256 unknown 176 − 160 3.42-volts 168 + 160 = 168 2 Guess is Low 0-volts 0 Engr. A. R.K. Rajput NFC IET 52 Multan
  • 53.
    Binary Search •New Guess (6): Analog Digital 5-volts 256 176 − 168 3.42-volts unknown + 168 = 172 172 2 Guess is Low 0-volts 0 (but getting close)ngr. A. R.K. Rajput NFC IET E 53 Multan
  • 54.
    Binary Search •New Guess (7): Analog Digital 5-volts 256 176 − 172 3.42-volts unknown + 172 = 174 174 2 Guess is Low (but getting really, 0 0-volts really, close) Engr. A. R.K. Rajput NFC IET 54 Multan
  • 55.
    Binary Search •New Guess (8): Analog Digital 5-volts 256 176 − 174 3.42-volts 175! + 174 = 175 2 Guess is Right On 0-volts 0 Engr. A. R.K. Rajput NFC IET 55 Multan
  • 56.
    Binary Search • Thespeed the binary search is accomplished depends on: – The clock speed of the ADC – The number of bits resolution – Can be shortened by a good guess (but usually is not worth the effort) Engr. A. R.K. Rajput NFC IET 56 Multan
  • 57.
    How Does ItWork? Faithful Duplication • Now that we can slice up a waveform and convert it into digital form, let’s take a look at how it is used in DSP • Draw a simple waveform on graph paper – Scale appropriately • “Gather” digital data points to represent the waveform Engr. A. R.K. Rajput NFC IET 57 Multan
  • 58.
    Starting Waveform Usedto Create Digital Data Engr. A. R.K. Rajput NFC IET 58 Multan
  • 59.
    How Does ItWork? Faithful Duplication • Swap your waveform data with a partner • Using the data, recreate the waveform on a sheet of graph paper Engr. A. R.K. Rajput NFC IET 59 Multan
  • 60.
    Waveform Created fromDigital Data Engr. A. R.K. Rajput NFC IET 60 Multan
  • 61.
    How Does ItWork? Faithful Duplication • Compare the original with the recreating, note similarities and differences Engr. A. R.K. Rajput NFC IET 61 Multan
  • 62.
    How Does ItWork? Faithful Duplication • Once the waveform is in digital form, the real power of DSP can be realized by mathematical manipulation of the data • Using EXCEL spreadsheet software can assist in manipulating the data and making graphs quickly • Let’s first do a little filtering of noise Engr. A. R.K. Rajput NFC IET 62 Multan
  • 63.
    How Does ItWork? Faithful Duplication • Using your raw digital data, create a new table of data that averages three data points – Average the point before and the point after with the point in the middle – Enter all data in EXCEL to help with graphing Engr. A. R.K. Rajput NFC IET 63 Multan
  • 64.
    Noise Filtering UsingAveraging Raw Ave before/after 150 150 100 100 Amplitude Amplitude 50 50 0 0 -50 0 10 20 30 40 -50 0 10 20 30 40 -100 -100 -150 -150 Time Time Engr. A. R.K. Rajput NFC IET 64 Multan
  • 65.
    How Does ItWork? Faithful Duplication • Let’s take care of some static crashes that cause some interference • Using your raw digital data, create a new table of data that replaces extreme high and low values: – Replace values greater than 100 with 100 – Replace values less than -100 with -100 Engr. A. R.K. Rajput NFC IET 65 Multan
  • 66.
    Clipping of StaticCrashes Raw eliminate extremes (100/-100) 150 150 100 100 Amplitude 50 Amplitude 50 0 0 -50 0 10 20 30 40 -50 0 10 20 30 40 -100 -100 -150 -150 Time Time Engr. A. R.K. Rajput NFC IET 66 Multan
  • 67.
    How Does ItWork? Resolution Trade-offs • Now let’s take a look at how sampling rates affect the faithful duplication of the waveform • Using your raw digital data, create a new table of data and delete every other data point • This is the same as sampling at half the rate Engr. A. R.K. Rajput NFC IET 67 Multan
  • 68.
    Half Sample Rate Raw every 2nd 150 150 100 100 Amplitude Amplitude 50 50 0 0 -50 0 10 20 30 40 -50 0 10 20 30 40 -100 -100 -150 -150 Time Time Engr. A. R.K. Rajput NFC IET 68 Multan
  • 69.
    How Does ItWork? Resolution Trade-offs • Using your raw digital data, create a new table of data and delete every second and third data point • This is the same as sampling at one-third the rate Engr. A. R.K. Rajput NFC IET 69 Multan
  • 70.
    1/2 Sample Rate Raw every 3rd 150 150 100 100 Amplitude 50 Amplitude 50 0 0 -50 0 10 20 30 40 -50 0 10 20 30 40 -100 -100 -150 -150 Time Time Engr. A. R.K. Rajput NFC IET 70 Multan
  • 71.
    How Does ItWork? Resolution Trade-offs • Using your raw digital data, create a new table of data and delete all but every sixth data point • This is the same as sampling at one-sixth the rate Engr. A. R.K. Rajput NFC IET 71 Multan
  • 72.
    1/6 Sample Rate Raw every 6th 150 150 100 100 Amplitude 50 Amplitude 50 0 0 -50 0 10 20 30 40 -50 0 10 20 30 40 -100 -100 -150 -150 Time Time Engr. A. R.K. Rajput NFC IET 72 Multan
  • 73.
    How Does ItWork? Resolution Trade-offs • Using your raw digital data, create a new table of data and delete all but every twelfth data point • This is the same as sampling at one-twelfth the rate Engr. A. R.K. Rajput NFC IET 73 Multan
  • 74.
    1/12 Sample Rate Raw every 12th 150 150 100 100 Amplitude 50 Amplitude 50 0 0 -50 0 10 20 30 40 -50 0 10 20 30 40 -100 -100 -150 -150 Time Time Engr. A. R.K. Rajput NFC IET 74 Multan
  • 75.
    How Does ItWork? Resolution Trade-offs • What conclusions can you draw from the changes in sampling rate? • At what point does the waveform get too corrupted by the reduced number of samples? • Is there a point where more samples does not appear to improve the quality of the duplication? Engr. A. R.K. Rajput NFC IET 75 Multan
  • 76.
    How Does ItWork? Resolution Trade-offs Bit High Bit Good Slow Resolution Count Duplication Low Bit Poor Fast Count Duplication Sample Rate High Sample Good Slow Rate Duplication Low Sample Poor Fast Rate Duplication Engr. A. R.K. Rajput NFC IET 76 Multan
  • 77.
    Digital Signal Processing Lecture -2 Engr. A. R.K. Rajput NFC IET 77 Multan
  • 78.
    Sampling of AnalogSignals x[n] = x[nT] Uniform Sampling: 1 1 0.8 0.8 sampled signal 0.6 0.6 analog signal 0.4 0.4 0.2 0.2 0 0 -0.2 -0.2 -0.4 -0.4 -0.6 -0.6 -0.8 -0.8 -1 -1 0 2 4 Engr. A. R.K. Rajput NFC IET 6Multan 0 2 4 6 78 t n
  • 79.
    Uniform sampling • Uniform sampling is the most widely used sampling scheme. This is described by the relation x[n] = x[nT] -∞ <n<∞ where x(n) is the discrete time signal obtained by taking samples of the analogue signal x(t) every T seconds. The time interval T between successive symbols is called the Sampling Period or Sampling interval and its reciprocal 1/T = Fs is called the Sampling Rate (samples per second) or the Sampling Frequency (Hertz). A relationship between the time variables t and n of continuous time and discrete time signals respectively, can be obtained as n t = nT = (1) 79 Fs Engr. A. R.K. Rajput NFC IET Multan
  • 80.
    • A relationshipbetween the analog frequency F and the discrete frequency f may be established as follows. Consider an analog sinusoidal signal x(t) = Acos(2πFt + θ) which, when sampled periodically at a rate Fs = 1/T samples per second, yields  2πnF  x[nT] = A cos( 2πFnT + Θ) = A cos  F + Θ  (2)  s  But a discrete sinusoid is generally represented as x[n] = A cos( 2πfn + Θ ) (3) Comparing (2) and (3) we get F f = (4) Fs Engr. A. R.K. Rajput NFC IET 80 Multan
  • 81.
    Since the highestfrequency in a discrete time signal is f = ½. Therefore, from (4) we have F 1 Fmax = s = (5) 2 2T or (6) Fs = 2 Fmax Sampling Theorem: If x(t) is bandlimited with no components of frequencies greater than Fmax Hz, then it is completely specified by samples taken at the uniform rate Fs > 2Fmax Hz. The minimum sampling rate or minimum sampling frequency, Fs = 2Fmax, is referred to as the Nyquist Rate or Nyquist Frequency. The correspondingRajput NFC IET Engr. A. R.K. time interval is called the Nyquist Multan 81
  • 82.
    Sampling Theorem (cont.) • Signal sampling at a rate less than the Nyquist rate is referred to as undersampling. • Signal sampling at a rate greater than the Nyquist rate is known as the oversampling. Example 1: The following analogue signals are sampled at a sampling frequency of 40 Hz. Find the corresponding discrete time Signals. (i) x(t) = cos2π(10)t (ii) y(t) = cos2π(50)t Solution: (i) 10  π  x1[ n] =cos 2π  =cos  n n 40  2   50  5π π (ii) x2 [n] = cos 2π  n = cos n = cos(2πn + πn / 2) = cos n  40  2 2 As, Shows identical in [ x1(n) & x2(n)] sinusoidal signals & indistinguishable. Ambiguity is there for samples values. x(t) yield same values as y(t) when two are sampled at Fs=40, then Note: The frequency F2 = 50 Hz is an alias of F1 = 10 Hz. All of the Engr. A. R.K. Rajput NFC IET 82 sinusoids cos2π(F1 + 40k)t, t = 1,2,3,… are aliases. Multan
  • 83.
    Example 2 Consider the analog signal x(t) = 3cos100πt (a) Determine the minimum required sampling rate to avoid aliasing. (b) Suppose that the signal is sampled at the rate Fs = 200 Hz. What is the discrete time signal obtained after sampling? Solution: (a) The frequency of the analog signal is F = 50 Hz. Hence the minimum sampling rate to avoid aliasing is 100Hz. 100π π (b) x[n] = 3 cos 200 n = 3 cos 2 n Engr. A. R.K. Rajput NFC IET 83 Multan
  • 84.
    Example 3 Consider theanalog signal x(t) = 3cos50πt + 10sin300πt - cos100πt What is the Nyquist rate for this signal. Solution: The frequencies present in the signal above are F1 = 25 Hz, F2 = 150 Hz F3 = 50 Hz. Thus Fmax = 150 Hz. ∴ Nyquist rate = 2.Fmax = 300 Hz. Note: It should be observed that the signal component 10sin300πt, sampled at 300 Hz results in the samples 10sinπn, which are identically zero, hence we miss the signal component completely. What should we do to avoid this situation???? Engr. A. R.K. Rajput NFC IET 84 Multan
  • 85.
    Tutorial Q1: Find theminimum sampling rate that can be used to obtain samples that completely specify the signals: (a) x(t) = 10cos(20πt) – 5cos(100πt) + 20cos(400πt) (b) y(t) = 2cos(20πt) + 4sin(20πt - π/4) + 5cos(8πt) Q2: Consider the analog signal x(t) = 3cos2000πt + 5sin6000πt + 10cos12000πt (a) What is the Nyquist rate for this signal? (b) Assume now that we sample this signal using a sampling rate F s = 5000 samples/s. What is the discrete time signal obtained after sampling? Engr. A. R.K. Rajput NFC IET 85 Multan
  • 86.
    Some Elementary DiscreteTime signals • Unit Impulse or unit sample sequence: It is defined as , 1 n= 0 δn ] = [ 0 n ≠0 In words, the unit sample sequence is a signal that is zero everywhere, except at t = 0. 1 0.8 0.6 0.4 0.2 0 -3 -2 -1 0 1 2 3 Unit impulse function Engr. A. R.K. Rajput NFC IET 86 Multan
  • 87.
    Some Elementary DiscreteTime signals • Unit step signal It is defined as , 1 n ≥0 u[n ] = 0 n <0 2 1.8 1.6 1.4 1.2 1 0.8 0.6 0.4 0.2 00 1 2 3 4 5 6 7 Engr. A. R.K. Rajput NFC IET 87 Multan
  • 88.
    Some Elementary DiscreteTime signals • Unit Ramp signal It is defined as n, n ≥ 0 r[n] =  0 n < 0 6 5 4 3 2 1 00 1 2 3 4 5 6 Engr. A. R.K. Rajput NFC IET 88 Multan
  • 89.
    Some Elementary DiscreteTime signals • Exponential Signal The exponential signal is a sequence of the form x[n] = an, for all n If the parameter a is real, then x[n] is a real signal. The following figure illustrates x[n] for various values of a. 0<a<1 a>1 -1<a<0 a<-1 Engr. A. R.K. Rajput NFC IET 89 Multan
  • 90.
    Some Elementary DiscreteTime signals • Exponential Signal (cont) when the parameter a is complex valued, it can be expressed as jθ a = re where r and θ are now the parameters. Hence we may express x[n] as x[n] = r n e jθ = r n ( cos θn + j sin θn ) Since x[n] is now complex valued, it can be represented graphically by plotting the real part x R [n] = r cos θ n n as a function of n, and separately plotting the imaginary part x I [n] = r n sin θ n as a function of n. (see plots on the next slide) Engr. A. R.K. Rajput NFC IET 90 Multan
  • 91.
    1 xR[n] = (0.9)ncos(πn/10) 0.5 0 -0.5 0 10 20 30 40 50 60 1 xI[n] = (0.9)nsin(πn/10) 0.5 0 -0.5 0 10 20 30 40 50 60 Engr. A. R.K. Rajput NFC IET 91 Multan
  • 92.
    Exponential Signal (cont.) Alternatively,the signal x[n] may be graphically represented by the amplitude or magnitude function |x[n]| = rn and the phase function Φ[n] = θn The following figure illustrates |x[n| and Φ[n] for r = 0.9 and θ = π/10. |x[n]| 2 0 0 5 10 - π Φ[n] 0 -π - Engr. A. R.K. Rajput NFC IET 0 5 10 92 n Multan
  • 93.
    Discrete Time Systems •A discrete time system is a device or algorithm that operates on a discrete time signal x[n], called the input or excitation, according to some well defined rule, to produce another discrete time signal y[n] called the output or response of the system. • We express the general relationship between x[n] and y[n] as y[n] = H{x[n]} where the symbol H denotes the transformation (also called an operator), or processing performed by the system on x[n] to produce y[n]. x[n] Discrete Time System y[n] H Engr. A. R.K. Rajput NFC IET 93 Multan
  • 94.
    Example 4 • Determine the response of the following systems to the input signal: | n |, −3 ≤n ≤ 3 x[n] =   0, otherwise (a) y[n] = x[n] (b) y[n] = x[n-1] (c) y[n] = x[n+1] (d) y[n] = (1/3)[x[n+1] + x[n] + x[n-1]] (e) y[n] = max[x[n+1],x[n],x[n-1]] n (f) y[n] = ∑x[k ] k =−∞ Engr. A. R.K. Rajput NFC IET 94 Multan
  • 95.
    Solution: (a) In this case the output is exactly the same as the input signal. Such a system is known as the identity System. (b) y[n] = [……,3, 2, 1, 0, 1, 2, 3,……] (c) y[n] = […….,3, 2, 1, 0, 1, 2, 3,…….] (d) y[n] = […., 5/3, 2, 1, 2/3, 1, 2, 5/3, 1, 0,…] (e) y[n] = [0, 3, 3, 3, 2, 1, 2, 3, 3, 3, 0, ….] (f) y[n] = […,0, 3, 5, 6, 6, 7, 9, 12, 0, …] Engr. A. R.K. Rajput NFC IET 95 Multan
  • 96.
    Classification of DiscreteTime Systems • Static versus Dynamic Systems A discrete time system is called static or memory-less if its output at any instant n depends at most on the input sample at the same time, but not on the past or future samples of the input. In any other case, the system is said to be dynamic or to have memory. Examples: y[n] = x2[n] is a memory-less system, whereas the following are the dynamic systems: (a) y[n] = x[n] + x[n-1] + x[n-2] (b) y[n] = 2x[n] + 3x[n-4] Engr. A. R.K. Rajput NFC IET 96 Multan
  • 97.
    Time Invariant versusTime Variant Systems • A system is said to be time invariant if a time delay or time advance of the input signal leads to an identical time shift in the output signal. This implies that a time-invariant system responds identically no matter when the input is applied. Stated in another way, the characteristics of a time invariant system do not change with time. Otherwise the system is said to be time variant. • Example1: Determine if the system shown in the figure is time invariant or time variant. Solution: y[n] = x[n] – x[n-1] y[n] x[n] Now if the input is delayed by k units + in time and applied to the system, the - Output is Z-1 y[n,k] = n[n-k] – x[n-k-1] (1) On the other hand, if we delay y[n] by k units in time, we obtain y[n-k] = x[n-k] – x[n-k-1] (2) (1) and (2) show that the system is time invariant. Engr. A. R.K. Rajput NFC IET 97 Multan
  • 98.
    Time Invariant versusTime Variant Systems • Example 2: Determine if the following systems are time invariant or time variant. (a) y[n] = nx[n] (b) y[n] = x[n]cosw0n Solution: (a) The response to this system to x[n-k] is y[n,k] = nx[n-k] (3) Now if we delay y[n] by k units in time, we obtain y[n-k] = (n-k)x[n-k] = nx[n-k] – kx[n-k] (4) which is different from (3). This means the system is time-variant. (b) The response of this system to x[n-k] is y[n,k] = x[n-k]cosw0n (5) If we delay the output y[n] by k units in time, then y[n-k] = x[n-k]cosw0[n-k] which is different from that given in (5), hence the system is time variant. Engr. A. R.K. Rajput NFC IET 98 Multan
  • 99.
    Linear versus Non-linear Systems A system H is linear if and only if H[a1x1[n] + a2x2[n]] = a1H[x1[n]] + a2H[x2[n]] for any arbitrary input sequences x1[n] and x2[n], and any arbitrary constants a1 and a2. a1 x1[n] y1[n] a2 + H x2[n] a1 x1[n] H y2[n] + a2 x2[n] H If y1[n] = y2[n], then H is linear.Rajput NFC IET Engr. A. R.K. Multan 99
  • 100.
    Examples Determine if thefollowing systems are linear or nonlinear. (a) y[n] = nx[n] Solution: For two input sequences x1[n] and x2[n], the corresponding outputs are y1[n] = nx1[n] and y2[n] = nx2[n] A linear combination of the two input sequences results in the output H[a1x1[n] + a2x2[n]] = n[a1x1[n] + a2x2[n]] = na1x1[n] + na2x2[n] (1) On the other hand, a linear combination of the two outputs results in the out a1y1[n] + a2y2[n] = a1nx1[n] + a2nx2[n] (2) Since the right hand sides of (1) and (2) are identical, the system is linear. Engr. A. R.K. Rajput NFC IET 100 Multan
  • 101.
    (b) y[n] =Ax[n] + B Solution: Assuming that the system is excited by x1[n] and x2[n] separately, we obtain the corresponding outputs y1[n] = Ax1[n] + B and y2 = Ax2[n] + B A linear combination of x1[n] and x2[n] produces the output y3[n] = H[a1x1[n] + a2x2[n]] = A[a1x1[n] + a2x2[n]] + B = Aa1x1[n] + Aa2x2[n] + B (3) On the other hand, if the system were linear, its output to the linear combination of x1[n] and x2[n] would be a linear combination of y1[n] and y2[n], that is, a1y1[n] + a2y2[n] = a1Ax1[n] + a1B + a2Ax2[n] + a2B (4) Clearly, (3) and (4) are different and hence the system is nonlinear. Under what A. R.K. Rajput NFCwould it be linear? 101 Engr. conditions IET Multan
  • 102.
    Causal versus NoncausalSystems A system is said to be causal if the output of the system at any time n [i.e. y[n]) depends only on present and past inputs but does not depend on future inputs. Example: Determine if the systems described by the following input-output equations are causal or noncausal. n (a) y[n] = x[n] – x[n-1] (b) y[n] = ax[n] (c) y[n] = ∑ x[k ] k = −∞ (d) y[n] = x[n] + 3x[n+4] (e) y[n] = x[n2] (f) y[n] = x[-n] Solution: The systems (a), (b) and (c) are causal, others are non-causal. Engr. A. R.K. Rajput NFC IET 102 Multan
  • 103.
    Stable versus NonstableSystems A system is said to be bonded input bounded output (BIBO) stable if and only if every bounded input produces a bounded output. Engr. A. R.K. Rajput NFC IET 103 Multan
  • 104.
    z-transform • Transform techniquesare an important role in the analysis of signals and LTI system. • Z- transform plays the same role in the analysis of discrete time signals and LTI system as Laplace transform does in the analysis of continuous time signals and LTI system. • For example, we shall see that in the Z-domain (complex Z- plan) the convolution of two time domain signals is equivalent to multiplication of their corresponding Z-transform. • This property greatly simplifies the analysis of the response of LTI system to various signals. DSP Slide 104 Engr. A. R.K. Rajput NFC IET Multan
  • 105.
    1-The Direct Z-Transform The z-transform of a sequence x[n] is ∞ X ( z) = ∑z x[ n ] n= −∞ − n Where z is a complex variable. For convenience, the z-transform of a signal x[n] is denoted by X(z) = Z{x[n]} We may obtain the Fourier transform from the z transform by making the substitution X ( z ) = ω . This corresponds to e j restricting z = Also with z =r jω , 1 e ∞ jω jω − X (r e ) = ∑[ n]( r e x ) n n= ∞ − That is, the z-transform is the Fourier transform of the sequence x[n]r - n . for r=1 this becomes the Fourier transform of x[n]. The Fourier transform therefore corresponds to the z-transform evaluated on the unit circle: DSP Slide 105 Engr. A. R.K. Rajput NFC IET Multan
  • 106.
    z-transform(cont: The inherent periodicityin frequency of the Fourier transform is captured naturally under this interpretation. The Fourier transform does not converge for all sequences - the infinite sum may not always be finite. Similarly, the z-transform does not converge for all sequences or for all values of z. For any Given sequence the set of values of z for which the z-transform converges is called the region of convergence (ROC). DSP Slide 106 Engr. A. R.K. Rajput NFC IET Multan
  • 107.
    z-transform(cont: The Fourier transformof x[n] exists if the sum ∑− x[ n ] ∞ n= ∞ converges. However, the z-transform of x[n] is just the Fourier transform of the sequence x[n]r -n. The z-transform therefore exists (or converge) if X ( z ) = ∑ =−∞ x[ n]r <∞ ∞ −n n This leads to the condition − ∑ n <∞ ∞ n= ∞ − x[ n] z for the existence of the z-transform. The ROC therefore consists of a ring in the z-plane: In specific cases the inner radius of this ring may include the origin, and the outer radius may extend to infinity. If the ROC includes the unit circle= DSP Slide 107 Engr. A. R.K. Rajput NFC IET z 1 , then the Fourier transform will converge. Multan
  • 108.
    z-transform(cont: Most useful z-transformscan be expressed in the form P( z ) X ( z) = , Q( z ) where P(z) and Q(z) are polynomials in z. The values of z for which P(z) = 0 are called the zeros of X(z), and the values with Q(z) = 0 are called the poles. The zeros and poles completely specify X(z) to within a multiplicative constant. In specific cases the inner radius of this ring may include the origin, and the outer radius may extend to infinity. If the z = ROC includes the unit circle 1 , then the Fourier transform will converge. DSP Slide 108 Engr. A. R.K. Rajput NFC IET Multan
  • 109.
    Example: right-sided exponentialsequence Consider the signal x[n] = anu[n]. This has the z-transform ∞ ∞ X ( z) = ∑a u[n]z = ∑(az ) n =−∞ n −n n =0 −1 n Convergence requires that ∞ ∑ az −1 < ∞ n =∞ which is only the case if az − < . equivalently 1 1 or z >a . In the ROC, the series converges to ∞ 1 z X ( z ) = ∑ (az ) = = −1 n , z > a, n= 0 1 − az −1 z−a since it is just a geometric series. DSP Slide 109 Engr. A. R.K. Rajput NFC IET Multan
  • 110.
    Example: right-sided exponentialsequence The z-transform has a region of convergence for any finite value of a. The Fourier transform of x[n] only exists if the ROC includes the unit circle, which requires that a <1. On the other hand, if a >1 then the ROC does not include the unit circle, and Fourier transform does not exist. This is consistent with the fact that for these values of a the sequence anu[n] is exponentially growing, and the sum therefore 110 DSP Slide does not converge.Rajput NFC IET Engr. A. R.K. Multan
  • 111.
    Example: left-sided exponentialsequence Now consider the sequence x ( n) =− n u[ − − ]. a n 1 This sequence is left-sided because it is nonzero only for n ≤ 1. − The z-transform is ∞ −1 X ( z ) = ∑ a n u[ − − ] z −n =−∑ n z −n − n 1 a n= ∞ − n= ∞ − ∞ ∞ =− a −n z n = −∑a − z ) n ∑ 1 ( 1 n=1 n=0 For a − z < ,or 1 1 z <a , the series converges to Note that the expression for the z-transform (and the pole zero plot) is exactly the same as for the right-handed exponential sequence - only the region of convergence is different. Specifying the ROC is therefore critical when dealing with the z- Engr. A. R.K. Rajput NFC IET DSP Slide 111 transform. Multan
  • 112.
    Example: Sum oftwo exponentials n n 1   1 The signal x[n] =   u[n] +  −  u[n] is the sum of two real exponentials 2  3 The z transform is ∞  − n n   1  1 X ( z ) =∑  u[ n ] + −  u[ n] n   z n= ∞  − 2  3  ∞ ∞ n n   1  1 =∑  u[ n ] z  −n + ∑−  u[ n] z −  n n= ∞ 2  −  −  n= ∞ 3 n n 1 − ∞ ∞  1 − ∑ =  z  +  n=  1 ∑− z 1  0 2  n=  0 3  From the example for the right-handed exponential sequence, the first term in this sum converges for z >1 / 2 and the second for z >1 / 3 The combined transform X(z) therefore converges in the intersection of these regions, namely when z >1 / 2 .  1  2 z z −  1 1  12  In this case X ( z ) = + = 1 −1 1 −1  1  1 DSP Slide 112 1 − Engr. A. R.K. Rajput NFC IET z 1+ z  z −  z +  2 Multan 3  2  3
  • 113.
    Example: Sum oftwo exponentials The pole-zero plot and region of convergence of the signal is DSP Slide 113 Engr. A. R.K. Rajput NFC IET Multan
  • 114.
    Example: finite lengthsequence The pole-zero plot and region of convergence of the signal is The signal has z transform − N− 1 −( az −1 ) n N 1 1 X ( z ) =∑ n z −n a =∑ az − ) n = ( 1 n=0 n=0 1 −az − 1 1 z N −a N = . zN−1 z −a Since there are only a finite number of nonzero terms the sum always converges when az −1 (a < ) ,∞ is finite. There are no restrictions on and the ROC is the entire z- plane with the exception of the origin z = 0 (where the terms in the sum are infinite). The N roots of j ( 2πk / N ) Z k = ae the numerator polynomial are at , k = 0,1,......N − 1 *since these values satisfy the equation ZN= aN The zero at k = 0 cancels the pole at z = a, so there are no poles except at the origin, and the zeros are at zk = aej(2k/N) k = 1; : : : ;N -1 The zero at k = 0 cancels the pole at z = a, so there are no poles except at 114 origin, and the zeros areA. R.K. Rajput NFC = 1; : : : ;N -1 DSP Slide the Engr. at zk = aej(2k/N) k IET Multan
  • 115.
    2-Properties of theregion of convergence The properties of the ROC depend on the nature of the signal. Assuming that the signal has a finite amplitude and that the z-transform is a rational function: The ROC is a ring or disk in the z-plane, centered on the origin τ τ (0 ≤ R < z < L ≤∞). The Fourier transform of x[n] converges absolutely if and only if the ROC of the z-transform includes the unit circle. The ROC cannot contain any poles. If x[n] is finite duration (ie. zero except on finite interval (∞< N1 ≤ n ≤ N 2 < ∞). ∞ ), then the ROC is the entire Z-plan except perhaps at z=0 or z= . If x[n] is a right-sided sequence then the ROC extends outward from the outermost finite pole to infinity.  If x[n] is left-sided then the ROC extends inward from the innermost nonzero pole to z = 0. A two-sided sequence (neither left nor right-sided) has a ROC consisting of a ring in the z-plane, bounded on the interior and exterior by a pole (and not containing any poles).  The ROC is115 connected region.A. R.K. Rajput NFC IET DSP Slide a Engr. Multan
  • 116.
    3 - Theinverse z-transform Formally, the inverse z-transform can be performed by evaluating a Cauchy integral. However, for discrete LTI systems simpler methods are often sufficient. A-Inspection method: If one is familiar with (or has a table of) common z-transform pairs, the inverse can be found by inspection. For example, one can invert the z-transform    1  1 X ( z) = z , > 1  − z − 1 2, 1    2  Using Z-transform pair 1 a u[ n ] ← n  → z ,........ for z > . a 1− − az 1 By inspection we recognise that n   1 x[n] =   u[ n ],   2 Also, if X(z) is a sum of terms then one may be able to do a term-by- term DSP Slide 116 by inspection, A. R.K. Rajput NFC IETas a sum of terms. inversion Engr. yielding x[n] Multan
  • 117.
    3 - Theinverse z-transform B-Partial fraction expansion: For any rational function we can obtain a partial fraction expansion, and identify the z-transform of each term. Assume that X(z) is expressed as a ratio of polynomials in z-1: ∑ M −k bk z X ( z) = k =0 , ∑ N −k ak z k =0 It is always possible to factorX(z) as ∏ (1 − c z ) M −1 b0 X(z) = k =1 k ∏ (1 − d z ) N a0 −1 k =1 k where the ck' s are the nonzero and poles of X(z). DSP Slide 117 Engr. A. R.K. Rajput NFC IET Multan
  • 118.
    The(Continue:) z-transform Partial fractionexpansion inverse If M<N and the poles are all first order, then X(z) can be expressed N as Ak X(z) = ∑ −1 , k =1 1 − d k z in this case the coefficients A k are given by ( ) A k = 1 − d k z −1 X ( z ) z =d k If M>N and the poles are first order, then an expression of the form cab be used, and Br’s be obtained by long division of the numerator. M-N N Ak X(z) = ∑B z r =0 r −r 1− dk z +∑ k =1 −1 , The A k ' s can be obtained using M < N DSP Slide 118 Engr. A. R.K. Rajput NFC IET Multan
  • 119.
    3 - Theinverse z-transform Partial fraction expansion The most general form for partial fraction expansion, which can also deal with multiple - order poles, is M-N N Ak s Cm X(z) = ∑B z −r + ∑ +∑ . r =0 r k =1, k ≠ i 1− dk z −1 m =1 (1 − d z ) i −1 m Ways of finding the C m ' s can be found in most standard DSP texts. The terms B r z −r correspond to shifted and scaled impulse sequences, and invert to terms of the form B rδ [n - r]. The fractional term s A k 1 − d k z −1 correspond to exponentia l sequences. For these terms the ROC properties must be used to decide whether the sequences are left - sided or right - sided. DSP Slide 119 Engr. A. R.K. Rajput NFC IET Multan
  • 120.
    Example: inverse byPartial fractions Consider the sequence x[n] with z - transform X(z) = 1 + 2z + z −1 = −2 1+ z , ( ) −1 2 z > 1. 3 −1 1 −2 1− z + z 2 2 1 −1 1− z 1− z 2 −1 ( ) Since M = N = 2 this can be expressed as X(z) = B0 + A 1 + A 2 , − 1 −1 1−z 1 1− z 2 The value B0 can found by be long division : 2 1 −2 3 −1 − 2 −1 2z − z +1) z +2 z +1 2 −2 −1 z −3 z +2 −1 5z −1 −1 - 1 +5 z X(z) =2 +  DSP Slide 120  1 − 2 1  Engr. A. − ( 1  − z 1 − z R.K. Rajput NFC IET 1 ) Multan
  • 121.
    Example: inverse byPartial fractions The coecients A and A can be found using A = (1 − d z ) X ( z ) d . 1 2 −1 k k z= k So −1 −2 1 +2 z + z 1 +4 +4 A 1 = 1 −z −1 −1 = 1 −2 =−9 z =1 −1 −2 1 +2 z + z 1 +2 + 1 and A = = =9 2 1 −1 1/ 2 1− z 2 z −1 =1 9 8 There fore X(z) =2 - + − 1 −1 1 −z 1 1− z 2 Using the fact that the ROC z >1. , the terms can be inverted one at a time by inspection to give x[ n ] = 2δ[ n ] − 9(1 / 2) n u[ n]. DSP Slide 121 Engr. A. R.K. Rajput NFC IET Multan
  • 122.
    C- Power Series Expansion If Z transform is given as power series in form ∞ X (z ) = ∑ [ n] z −n x n= ∞ − 2 2 =.................. +[ − ] z +x[ − ] z 1 +x[0] +x[1] z 1 +[ 2] z ...... 2 1 then any value in the sequence can be found by identifying the coefficient of the appropriate power of z-1. DSP Slide 122 Engr. A. R.K. Rajput NFC IET Multan
  • 123.
    Example;ZPower Series Expansion Consider the transform X (z ) =log ( + − ) 1 az 1 , z >a Using the power series expansion for log(1 + x), with /x/< 1, gives ∞ ( −) n + a n z − 1 1 n X (z ) =∑ , n= 1 n DSP Slide 123 Engr. A. R.K. Rajput NFC IET Multan
  • 124.
    Example; Power SeriesExpansion by long division Consider the transform 1 X (z ) = , z >a 1− − az 1 Since the ROC is the exterior of a circle, the sequence is right-sided. We therefore divide to get a power series1in powers of z-1: 1 + az + a z − 2 -2 X ( z ) = 1 − az −1 1 1 − az −1 −1 az az − a z −1 2 −2 a 2 z − 2 + ..... 1 = 1 + az + a z + ........Therefore..............x[n] = a u[n]. −1 2 -2 n 1 − az −1 DSP Slide 124 Engr. A. R.K. Rajput NFC IET Multan
  • 125.
    Example; Power SeriesExpansion for left-side Sequence Consider the Z- transform 1 X (z ) = − , z <a 1−az 1 Because of the ROC, the sequence is now a left-sided one. Thus we divide to obtain a series in powers of z: − -a 1 z −a z -2 2.. −a +z z z −a − z 2 1 az −1 Thus..............x[ n] =− n u[ − − ]. a n 1 DSP Slide 125 Engr. A. R.K. Rajput NFC IET Multan
  • 126.
    4- Properties ofthe z-transform if X(z) denotes the z-transform of a sequence x[n] and the ROC of X(z) is indicated by Rx, then this relationship is indicated as x[ n] ←→ ( z ),  X z ROC Rx Furthermore, with regard to nomenclature, we have two sequences such that[ n ] ← x1  X 1 ( z ), z → ROC R x1 x2 [ n] ← X 2 ( z ), z → ROC R x2 A—Linearity: The linearity property is as follows: ax1[n] + bX 2 (n) ← z aX 1[ z ] + bX 2 ( z ), → ROC contains R x1 ∩ R x1 . B—Time Shifting: The time shifting property is as follows: x[n − n0 ] ← z z X ( z ), → − n0 ROC R x (The ROC may change by the possible addition or deletion of z =0 or z = ∞.) This is easily shown: ∞ ∞ Y ( z ) = ∑x[ n −n ] z n =−∞ 0 −n = ∑x[ m] z n =−∞ − m +n0 ) ( ∞ = z 126∑x[ m] z A. R.K. z NFC IET z ). DSP Slide −n0 Engr. n =−∞ = X(Rajput Multan −m −n0
  • 127.
    Example: shifted exponentialsequence Consider the z-transform 1 1 X ( z) = , z > 1 4 z− 4 From the ROC, this is a right-sided sequence. Rewriting,   z −1  1  1 X ( z) = ,= z −1   z > 1 −1 1 - 1 z −1  4 1− z   4  4  The term in brackets corresponds to an exponential sequence (1/4) nu[n]. The factor z-1 shifts this sequence one sample to the right. The inverse z-transform is therefore x[n] = (1 / 4) u[n − 1] . n −1 DSP Slide 127 Engr. A. R.K. Rajput NFC IET Multan
  • 128.
    C- Multiplication by an exponential sequence The exponential multiplication property is z0 x[n] ← z X [ z / z0 ], n → ROC zR, 0 x where the notation z 0 Rx , indicates that the ROC is scaled by z (that is, 0 inner and outer radii of the ROC scale by z ). All pole-zero locations are 0 similarly scaled by a factor z0: if X(z) had a pole at z = then X(z/z0) z 1 will have a pole at z=z0z1. •If z0 is positive and real, this operation can be interpreted as a shrinking or expanding of the z-plane | poles and zeros change along radial lines in the z- plane. If z0 is complex with unit magnitude (z0 = ejw0) then the scaling operation corresponds to a rotation in the z-plane by and angle w 0, That is, the poles and zeros rotate along circles centered on the origin. This can be interpreted as a shift in the frequency domain, associated with modulation in the time domain by ejw0n. If the Fourier transform exists, this becomes e x[n] ← → X ( e ). jω 0 n F j (ω − ω 0 ) DSP Slide 128 Engr. A. R.K. Rajput NFC IET Multan
  • 129.
    Example: exponential multiplication Thez-transform pair 1 u[n] ← z → , z >1 1− z −1 can be used to determine the z-transform of x[n] = r n cos(w0n)u[n]. Since cos (w0n) = 1/2ejw0n + 1/2e –jw0n. The signal can be written as u[ n] + (re )n u[ n]. 1 1 x[ n ] = (r ) jω n −ω j 2 e 0 2 0 From the exponential multiplication property, 1 1/ 2 (r e jω )n u[ n] ← 0 z → jω , z >r. 2 1 −r e z −1 0 1 1/ 2 (r e−jω )n u[ n] ← 0  z → −jω , z >r . 2 1 −r e z −1 0 So 1/ 2 1/ 2 X(z) = + z >r. 1 −r e jω z −1 1 −r e−jω z − 0 1 0 1 −r cos ωz −1 0 , z >r . DSP 1 −2r Slide 129 cos ωz 0 −1 +r 2 z Rajput NFC IET Engr. A. R.K.−2 Multan
  • 130.
    D- Differentiation The differentiation property states that dX ( z ) nx[ n] ←z →−z  , ROC = R x . dz This can be seen as follows: since ∞ ∑ X ( z ) = x[ n ] z −, n n= -∞ We have dX ( z ) ∞ −z = − z ∑ (− n) x[n]z −n−1 = ∑ nx[n]z −n = z{nx[n]}. dz n = −∞ Example: second order pole The z-transform of the sequence x[n] = na n u[n] Can be found 1 a u[ n] ← n  z → z >a, 1 −z −1 to be d  1  az − 1 X(z) =-  −  = , z >a. DSP Slide 130 dz 1 −az  Multan −az )(1 Engr. A. R.K. Rajput NFC IET− 2 1 1
  • 131.
    E- Conjugation This property is x * [n] ← z → X * ( z*),  ROC = R x . F- Time reversal. 1 Here x * [−n] ←z →X * (1 / z*),  ROC = . Rx The notation 1/Rx means that the ROC is inverted, so if Rx is the set of values such that rR < z <rL , then the ROC is the set of values of z su that 1 / r l z < 1/rR . Example: Time-reversed exponential sequence The Signal x[ n ] = a −n u[ − ] is a time-reversed version of a nu[n]. The n z-transform is therefore 1 −a z −1 −1 X ( z) = = , z < a = Rx. −1 1 − az 1 − a z −1 −1 DSP Slide 131 Engr. A. R.K. Rajput NFC IET Multan
  • 132.
    G- Convolution This property state that x1[n] * x2 [n] ← z X 1 ( z ) X 2 ( z ), → ROC contains R x1  R x2 . 1 Here x * [−n] ←z →X * (1 / z*),  ROC = . Rx Example: evaluating a convolution using the z-transform The z-transforms of the signal x1[n] =anu[n] and x2[n] = u[n] are ∞ 1 ∑ X 1 ( z) = a n z − = n , z >a n=0 1− az − 1 and ∞ 1 .X 2 ( z) = ∑− = z n , z > 1 n= 0 1− az − 1 For a < , The z-transforms of the convolution y[n] = x 1[n] *x2[n] is 1 1 z2 Y ( z) = = z >1 (1 −az )(1 −az ) ( z −a )( z − ) −1 −1 1 1 Engr. A. R.K. Rajput NFC IET z 2 (z = Y DSP ) Slide 132 = z >1 (1 −az )(1 −az ) ( z −a )( z − ) −1 − Multan 1 1
  • 133.
    Example: evaluating aconvolution using the z-transform Using a partial fraction expansion, 1  1 a  Y ( z) =  - 1  , z >1 (1 − a ) 1 − z 1 − az  −1 − So 1 y ( n) = (u[n] − a n+1u[n]). 1 −a H- Initial Value theorem If x[n] is zero for n<0, then x[0] = lim X ( z ). z→∞ DSP Slide 133 Engr. A. R.K. Rajput NFC IET Multan
  • 134.
    Some common z-transformpairs are: DSP Slide 134 Engr. A. R.K. Rajput NFC IET Multan
  • 135.
    I- Relationship withthe Laplace transform: Continuous-time systems and signals are usually described by the Laplace transform. Letting z = esT , where s is the complex Laplace variable s = =jω d , we have ( d + ωT jω z =e j ) = e e dT T . Therefore z =e dT and  z =ω =2π s =2π / ω, T f/f ω s where ws is the sampling frequency. As ω varies from∞ to∞, the s-plane is mapped to the z-plane:  The jωaxis in the s-plane is mapped to the unit circle in the z-plane.  The left-hand s-plane is mapped to the inside of the unit circle. The right-hand s-plane maps to the outside of the unit circle. DSP Slide 135 Engr. A. R.K. Rajput NFC IET Multan
  • 136.
    ? DSP Slide 136 Engr. A. R.K. Rajput NFC IET Multan
  • 137.
    Lecture -4 Frequency Analysis Voltage Vs Time Representation That become Magnitude Vs Frequency , Phase Vs Frequency Representation And Vice Versa Engr. A. R.K. Rajput NFC IET 137 Multan
  • 138.
    Frequency Analysis ofSignals •Fourier transform and Fourier series basically involve the decomposition of the signal in terms of sinusoidal components. With such a decomposition ,a signal is said to be represented in the frequency domain. •These decompositions are very important in the analysis of LTI systems because response of a system to a sinusoidal input signal is a sinusoid of the same frequency but of different amplitude and phase. •Many other decompositions of signals are possible, only the class of sinusoidal signals possess this desirable property in passing through a LTI system. Engr. A. R.K. Rajput NFC IET 138 Multan
  • 139.
    The Fourier Seriesfor Continuous-Time Periodic Signals • The Fourier Series of a periodic analogue signal x(t) is given by ∞ x (t ) = ∑ k e j 2π 0 t kF c ...............................1 k= ∞ − is a periodic signal with fundamental period Tp=1/Fo and k = 0,±1, ±2…, We can construct periodic signals of various types by proper choice of fundamental frequency and the coefficients CK.FO determines the fundamental period of x(t) and coefficient Ck specify the shape of waveform. We determine the expression for Ck to +Tp to +Tp − j 2πlFot   ∞ ∫ x(t )e − j 2πlFot dt = ∫ e  ∑c k e + j 2πkFot dt to to  k =−∞  to +Tp to +Tp to +Tp ∫ dt = t to = Tp ∫ x (t )e − j 2πlFot dt = C l T p to to 1 − j 2π 0 t ∫ kF ck = x (t )e dt........2 Tp Tp Engr. A. R.K. Rajput NFC IET 139 Multan
  • 140.
    In general, the Fourier Coefficients ck are complex valued. • If the periodic signal is real, ck and c-k are complex conjugates. As a result, if c k = c k e jθk then c − =c k e − θ k j k Engr. A. R.K. Rajput NFC IET 140 Multan
  • 141.
    Other forms ofFourier Series Representation As we have just mentioned ∞ x(t ) = ∑ c k e j2 πkF0t k = −∞ The above equation can be re-written as [ ] ∞ x(t ) = c0 + ∑ c k e j 2πkF0t + c − k e j 2π ( − k ) F0t k =1 since c k = c k e jθk and c −k = c k e − jθk [ ] ∞ ∴ x(t ) = c 0 + ∑ c k e j ( 2πkF0t +θk ) + e − j ( 2πkF0t +θk ) k =1 ∞ This is called the Cosine = c0 + 2∑ c k cos( 2πkF0 tRajput NFC IET Engr. A. R.K. + θk ) 141 k =1 Multan Fourier Series.
  • 142.
    Other forms ofFourier Series Representation Yet another form for the Fourier Series can be obtained by expanding the cosine Fourier series as ∞ x(t ) = c 0 + 2∑ c k [ cos 2πkF0 t cos θk − sin 2πkF0 t sin θk ] k =1 Consequently, we may rewrite the above equation in the form ∞ ∴ x(t ) = a0 + ∑ ( a k cos 2π kF0 t − bk sin 2π kF0 t ) k =1 This is called the Trigonometric form of the FS, where a0 = co, ak = 2|ck|cosθRajput NFC IET k = 2|ck|sinθ k. Engr. A. R.K. k and b 142 Multan
  • 143.
    Power Density Spectrumof Periodic Signals A periodic signal has infinite energy and a finite average power, which is given as 1 2 Px = Tp ∫ x( t ) Tp dt If we take the complex conjugate of (1) and substitute for x*(t), we obtain 1 ∞ ∞ 1  ∫Tp x(t )k∑∞ck e dt = ∑ ck  ∫ x(t )e * − j 2 πkF0 t − j 2 πkF0 t Px = * dt  Tp =− k=−∞  Tp Tp    ∞ 2 =∑k c k= ∞ − Engr. A. R.K. Rajput NFC IET 143 Multan
  • 144.
    Therefore, we haveestablished the relation ∞ 2 1 ∑c 2 Px = Tp ∫ x(t ) Tp dt = k =−∞ k Which is called Parse Val's relation for power signals. This relation states that the total average power in the periodic signal is simply the sum of the average powers in all the harmonics. If we plot the |ck| as a function of the frequencies kFo ,k=0,±1,±2,…. the diagram we obtain shows how the power of the periodic signal is distributed among the various frequency components. This diagram is called the Power Density Spectrum of the periodic signal x(t). A typical PSD is shown in the next slide. Engr. A. R.K. Rajput NFC IET 144 Multan
  • 145.
    |ck|2 F -2F 0 -F0 0 F0 2F 0 Power density spectrum of a continuous time periodic signal Engr. A. R.K. Rajput NFC IET 145 Multan
  • 146.
    Example1: Determine theFourier Series and the Power Density Spectrum of the rectangular pulse train signal illustrated in the following figure. x(t) A Tp -τ/2 τ/2 Tp Aτ Solution: c0 = 1 Tp ∫ τ/ 2 −τ / 2 Adt = Tp 1 τ/ 2 Aτ sin π 0 τ kF and ck = Tp ∫−τ/ 2 Ae −j2 πkF0 t dt = Tp π 0τ kF where k = ±1, ±2, ….. Figure (a), (b) and (c) illustrate the Fourier coefficients when Tp is fixed and the pulse width τ is allowed to vary.R.K. Rajput NFC IET Engr. A. Multan 146
  • 147.
    0.2 τ = 0.2Tp 0.15 0.1 Fig.(a) 0.05 0 -0.05 -60 -40 -20 0 20 40 60 0.1 τ = 0.1Tp 0.08 0.06 0.04 Fig. (b) 0.02 0 -0.02 -0.04 -60 -40 -20 0 20 40 60 Engr. A. R.K. Rajput NFC IET 147 Multan
  • 148.
    0.05 0.04 τ = 0.05Tp 0.03 Fig. (c) 0.02 0.01 0 -0.01 -0.02 -60 -40 -20 0 20 40 60 From these three figures we observe that the effect of decreasing τ while keeping Tp fixed is to spread out the signal power over the frequency range. The Spacing between the adjacent lines is independent of the value of the width τ. Engr. A. R.K. Rajput NFC IET 148 Multan
  • 149.
    The following figuresdemonstrate the effect of varying Tp when τ is fixed. Engr. A. R.K. Rajput NFC IET 149 Multan
  • 150.
    The figures onthe previous slide () show that the spacing between adjacent spectral lines decreases as Tp increases. In the limit as Tp → ∞, the Fourier coefficients ck approach zero. This behavior is consistent with the fact that as Tp → ∞ and τ remains fixed, the resulting signal is no longer a power signal. Indeed it becomes an energy signal and its average power is zero. The Power Density Spectrum for the rectangular pulse train is   Aτ  2    , k =0  T  ck 2 =  p  2 2  Aτ   sin πkF0 τ   T   πkF τ  ,     k = ±1,±2,...  p   0  Engr. A. R.K. Rajput NFC IET 150 Multan
  • 151.
    Lecture -4 Frequency Analysisof Discrete-Time Signals Engr. A. R.K. Rajput NFC IET 151 Multan
  • 152.
    Frequency Analysis ofDiscrete-Time Signals •We have already discussed the Fourier series representation for continuous- time periodic (power) signals and the Fourier transform for finite energy aperiodic signals. •The frequency range for continuous-time periodic signals extends from -∞ to ∞,that contain infinite number of frequency components with frequency spacing (1/Tp). •The frequency range for discrete-time signals is unique over the interval (-π,π) or (0,2π). • A discrete-time signal of fundamental period N can consist of frequency components separated by 2π/N radians or f= 1/N cycles. •Consequently, the Fourier series representation of the discrete- time periodic signal will contain N frequency components (the basic difference b/w Fourier series representation for continuous- time and discrete-time periodic signals). Engr. A. R.K. Rajput NFC IET 152 Multan
  • 153.
    The Fourier Seriesfor Discrete-Time Signals Suppose that we are given a periodic sequence with period N. The Fourier series representation for x[n] consists of N harmonically related exponential functions ej2πkn/N, k = 0, 1,2,…….,N-1 and is expressed as N−1 x[n ] =∑ k e j 2 πkn / N c k=0 where the coefficients ck can be computed as: 1 ∞ c k = ∑ [n]e −j2 πkn / N x N n =0 Engr. A. R.K. Rajput NFC IET 153 Multan
  • 154.
    Example: Determine thespectra of the following signals: (a) x[n] = [1, 1, 0, 0], x[n] is periodic with period 4 (b) x[n] = cosπn/3 (c) x[n] = cos(√2)πn Solution: (a) x[n] = [1, 1, 0, 0] ↑ N−1 1 1 3 ck = ∑ x[n]e = ∑ x[n]e − j2πkn/ N − j2πkn/ N N n=0 4 n=0 1 3 1 1 1 c0 = ∑ x[n] = [ x[0] + x[1] + x[2] + x[3]] = [ 1 + 1 + 0 + 0] = 4 n=0 4 4 2 Now 1 3 1 3 1 c1 = ∑x[n]e − j 2π n / 4 = ∑x[n]e − jπ n / 2 = x[0] + x[1]e − jπ / 2 + 0 + 0  4 n =0 4 n =0 4  1 1 1 = 1 + 1( cos 2 − j sin 2 )  = 1 + ( 0 − j )  = ( 1 − j ) π π  4  4 4 Engr. A. R.K. Rajput NFC IET 154 Multan
  • 155.
    [1 + 1.e ] 3 3 1 1 1 c2 = ∑ x[ n ]e j2 π 2 n / 4 = ∑ x[ n ]e jπ n = jπ 4 n= 0 4 n= 0 4 1 = [ 1 + cos π − j sin π ] = 0 4 1 3 − j2 π n 3 / 4 1 1 1 c 3 = ∑ x[n]e = [ 1 + cos( 3π / 2) − j sin( 3π / 2)] = [ 1 + 0 + j] = [ 1 + j] 4 n= 0 4 4 4 The magnitude spectra are: c0 = 1 c1 = 4 2 c2 = 0 c3 = 4 2 2 and the phase spectra are: Φ0=0 Φ1 = −π 4 Φ 2 = undefined Φ3 = π 4 Engr. A. R.K. Rajput NFC IET 155 Multan
  • 156.
    (b) x[n] =cosπn/3 Solution: In this case, f0 = 1/6 and hence x[n] is periodic with fundamental period N = 6. Now 1 5 1 5 πn − j 2πkn / 6 1 5 πn c k = ∑ x[n]e − j 2πkn / N = ∑ cos e = ∑ cos e − jπkn / 3 6 n= 0 6 n= 0 3 6 n= 0 3 6 n= 0 2 [ +e e ] = ∑e 12 n = 0 +e [ 1 5 1 jπ n / 3 − jπn / 3 − jπkn / 3 1 5 j π3n ( 1− k ) − j π3n ( 1+ k ) = ∑ e ] 1 5 πn 1 5 πn ∴ c0 = ∑ 2 cos = ∑ cos 12 n= 0 3 6 n= 0 3 1 = [ cos 0 + cos π3 + cos 23π + cos 33π + cos 43π + cos 53π ] = 0 6 Similarly, c2 = c3 = c4 = 0, NFC1IET c5 = ½. Engr. A. R.K. Rajput c = 156 Multan
  • 157.
    (c) Cos(√2)πn Solution: Thefrequency f0 of the signal is 1/√2 Hz. Since f0 is not a rational number, the signal is not periodic. Consequently, this signal cannot be expanded in a Fourier series. Engr. A. R.K. Rajput NFC IET 157 Multan
  • 158.
    Power density Spectrumof Periodic Signals The average power of a discrete time periodic signal with period N is N −1 1 ∑ x ( n) 2 Px = N n =0 The above relation may also be written as 1 N −1 1 N −1  N −1 * − 2 πkn / N  Px = ∑ x[n]x [n] = ∑ x[n] ∑ ck e *    N n=0 N n=0  n=0  or 1 N−1 N−1  Px =∑  c * k ∑ [n]e x −j 2 π / N kn  n=0 N n=0  N−1 2 N−1 1 =∑ k ∑x[n] 2 c = k=0 N n=0 This is Parse Val's Theorem for Discrete-Time Power Signals. Engr. A. R.K. Rajput NFC IET 158 Multan
  • 159.
    The Fourier Transformof Discrete-Time Aperiodic Signals The Fourier Transform of a finite energy discrete time signal x[n] is defined as ∞ X( w ) = ∑ x[n]e n = −∞ − jwn X(w) may be regarded as a decomposition of x[n] into its Frequency components. It is not difficult to verify that X(w) is periodic with frequency 2π.Indeed,X(ω) is periodic with period 2π,that is, ∞ X (ω+2π ) = ∑ (n )e −j (ω 2π ) n k x + k n= ∞ − ∞ ................... = ∑ (n )e −jω e −j 2π x n kn n= ∞ − ∞ ∑( ) . = Multann e −jω ....................Engr. A. R.K. Rajput NFC IETn n= ∞ − x = X (ω) 159
  • 160.
    We observe two basic differences b/w the Fourier transform of a discrete- time finite-energy signal and the Fourier transform of a finite-energy analog signal . • First, for continuous time signals, the spectrum of the signal have a frequency range of (-∞,∞). In contrast, the frequency range for a discrete - time signal is unique over the frequency interval of (-π,π). • The second one is also a consequence of the discrete-time nature of the signal. Since the signal is discrete in time , the Fourier transform of the signal involves the summation of terms instead of an integral, as in the case of continuous – time signals. • Let us evaluate the sequence x(n) from X(ω).we multiply both sides of X(ω) by ejωm and integrate over the interval (-π,π). π π  ∞  ∫π X (ω)e jωm dω = ∫  ∑ x(n)e − jωn e jωm dω − −π n =−∞  π 2π........m = n ∫ −π e jω( m −n ) dω =   0.........m ≠ n Engr. A. R.K. Rajput NFC IET 160 Multan
  • 161.
    π ∞ 2π ( n)........m = n x ∑ n =−∞ x ( n) ∫ e jω( m −n ) dω =   0.........m ≠ n −π π 1 x (n) = ∫ 2π −π X (ω)e jωn dω Energy Density Spectrum of Aperiodic Signals Energy of a discrete time signal x[n] is defined as ∞ 2 Ex = ∑x[n] n =−∞ Let us now express the energy Ex in terms of the spectral characteristic X(w). First we have ∞ ∞ 1 π ∗  E x = ∑ x[n]x [n] = ∑ x[n] ∫ X ( w )e − jwn dw  * n = −∞ n = −∞  2π −π  If we interchange the order of integration and summation in the above equation, we obtain 1 π ∗  ∞ − jwn  1 π 2 Ex = 2π ∫−π X (w )n∑ x[A. R.K. Rajputdw = 2π ∫−π X(w ) dw Engr. n ]e  =−∞ Multan  NFC IET  161
  • 162.
    Therefore, the energyrelation between x[n] and X(w) is 2 π 2 ∞ 1 E x = ∑ x[n] = ∫π X(w ) dw n = −∞ 2π − This is Parse Val's relation for discrete-time aperiodic signals. Engr. A. R.K. Rajput NFC IET 162 Multan
  • 163.
    Example: Determine andsketch the energy density spectrum of the signal x[n] = anu[n], -1<a<1 Solution: ( ) ∞ ∞ ∞ 1 ∑ x[n]e− jwn = ∑ ane− jwn = ∑ ae− jw = n X( w ) = n= − ∞ n= 0 n= 0 1 − ae − jw The energy density spectrum (ESD) is given by 2 1 S xx ( w ) = X( w ) = X( w )X∗ ( w ) = (1 − ae )(1 + ae ) − jw jw 1 X(w) = 1 − 2a cos w + a 2 a = 0.5 a= -0.5 Engr. A. R.K. Rajput NFC IET w 163 π 0 Multan π
  • 164.
    Example: Determine theFourier Transform and the energy density spectrum of the sequence  , A 0 ≤n ≤L −1 x[n ] = 0, otherwise Solution: ∞ L−1 1 − e − jwL − j( w / 2 )( L − 1 ) sin( wL / 2) X( w ) = ∑ x[n]e − jwn = ∑ Ae − jwn n= − ∞ 0 =A 1− e − jw = Ae sin( w / 2) The magnitude of x[n] is   A L, w =0 X( w ) =  A sin( wL/ /22 ) , otherwise  sin( w ) and the phase spectrum is ∠ X( w ) = ∠ A − ∠ (L − 2) + ∠ w 2 sin( wL / 2 ) sin( w / 2 ) The signal x[n] and its magnitude is plotted on the next slide. The Engr. A. R.K. Rajput NFC IET 164 Phase spectrum is left as an exercise. Multan
  • 165.
    x[n] |X(w)| Engr. A. R.K. Rajput NFC IET 165 Multan
  • 166.
    Properties of DTFT SymmetryProperties: Suppose that both the signal x[n] and its transform X(w) are complex valued. Then they can be expressed as x[n] = xR[n] + j xI[n] (1) X(ω) = XR(ω) + j XI(ω) (2) The DTFT of the signal x[n] is defined as ∞ X (ω = ) ∑x[ n]e −jω n= ∞ − n (3) Substituting (1) and (2) in (3) we get ∞ X R (ω ) + jX I (ω ) = ∑ [ x R [n] + x I [n]]e − jωn n = −∞ but − jωn e = cos ωn − j sin ωn Engr. A. R.K. Rajput NFC IET 166 Multan
  • 167.
    ∞ ∴ X R(ω ) + jX I (ω ) = ∑ [x n = −∞ R [n] + x I [n]].[ cos ω n − j sin ω n] separating the real and imaginary parts, we have ∞ X R (ω) = ∑[ x n =−∞ R [n] cos ωn + x I [ n] sin ωn ] (4) ∞ X I (ω ) = − ∑ [ x R (ω ) sin ωn − x I [n] cos ωn] (5) n = −∞ In a similar manner, one can easily prove that 1 x R [ n] = 2π 2 ∫[ X π R (ω) cos ωn − X I (ω) sin ωn]dω 1 x I [ n] = 2π ∫[ X π 2 R (ω) sin ωn + X I (ω) cos ωn ]dω Engr. A. R.K. Rajput NFC IET 167 Multan
  • 168.
    DTFT Theorems andProperties • Linearity If x1[n] ↔ X1(w) and x2[n] ↔ X2(w), then a1x1[n] + a2x2[n] ↔ a1X1(w) + a2X2(w) Example 1: Determine the DTFT of the signal x[n] = a|n| , -1< a <1 Solution: First, we observe that x[n] can be expressed as x[n] = x1[n] + x2[n] where Engr. A. R.K. Rajput NFC IET 168 Multan
  • 169.
    a n ,n ≥ 0 a − n , n < 0 x1[n] =  and x 2 [n] =   0, n < 0  0, n ≥ 0 ( ) ∞ ∞ ∞ ∑ x1[n]e = ∑a e = ∑ ae − jω − jωn − jωn n Now X 1 (ω) = n n =−∞ n =0 n =0 = 1 + ae − jω + ( ae − jω ) + ( ae − jω ) + .... = 2 3 1 1 − ae − jω ∑ ( ae ) ∞ −1 −1 and X 2 (ω ) = ∑ x2 [n]e − jω n = ∑a e − n − jω n = jω − n n = −∞ n = −∞ n = −∞ ae jω ( ) ∞ = ∑ ae jω k = ae jω +( ae jω ) 2 +... = k =0 1 −ae jω Now 1 ae jω 1− a2 X (ω ) = X 1 (ω ) + X 2 (ω ) = − jω + jω = 1 − ae 1 − ae 1 − 2a cos ω + a 2 Engr. A. R.K. Rajput NFC IET 169 Multan
  • 170.
    • Time Shifting If x[n] ↔ X(ω) then x[n-k] = e-jωkX(ω) ∞ Proof: F [ x[n − k ]] = ∑ n= − ∞ x[n − k ]e − jω n Let n – k = m or n = m+k ∞ ∞ ∴ F [ x[n − k ]] = ∑ x[m]e − jω ( m + k ) = e − jwk ∑ x[m]e − jω m = e − jω k X (ω ) m = −∞ m = −∞ • Time Reversal property If x[n] ↔ X(ω) then x[-n] ↔ X(-ω) Proof: ∞ −∞ ∞ F [ x[− n]] = ∑ x[− n]e − jω n = ∑ x[m]e jω m = ∑ x[m]e − j (− ω m) = X (− ω ) n= − ∞ m= ∞ m= − ∞ Engr. A. R.K. Rajput NFC IET 170 Multan
  • 171.
    Lecture -7 Engr. A.R.K. Rajput NFC IET 171 Multan
  • 172.
    • Convolution Theorem If x1[n] ↔ X1(ω) and x2[n] ↔ X2(ω) then x[n] = x1[n]*x2[n] ↔ X (ω) = X1(ω)X2(ω) Proof: As we know[convolution formula] ∞ x[n] = x1[n] * x 2 [n] = ∑ x [k ]x [n − k ] k=−∞ 1 2 Therefore ∞ ∞  ∞  − jω n X (ω ) = ∑ x[n]e n = −∞ − jω n = ∑  ∑ x1 [k ]x 2 [n − k ]e n = −∞  k = −∞  Interchanging the order of summation and making a substitution n-k = m, we get ∞  ∞  X (ω = ∑ 1 [ k ] ∑ 2 [ m] −jω( m +k ) ) x x e k= ∞ −  =− m ∞   ∞ −jω   ∞ m  = ∑ 1 [ k ]e x k  ∑ x 2 [ m]e −jω  = X 1 (ω X 2 (ω ) )  =− k ∞  =− m ∞  If we convolve two signal in time domain, then this is equivalent to multiplying their spectra in frequency domain. Engr. A. R.K. Rajput NFC IET 172 Multan
  • 173.
    • Example 2:Determine the convolution of the sequences x1[n] = x2[n] = [1, 1, 1] As known X 1 (ω ) = X 2 (ω ) = 1 + 2 cos(ω ) Solution: ∞ 1 X 1 (ω ) = X 2 (ω ) = ∑ x [n]e n = −∞ 1 − jω n = ∑ x [n]e n = −1 1 − jω n [ jω = x1[− 1]e + x1[0] + x2 [1]e − jω ] = [e jω − jω + 1 + e ] = 1 + 2 cos ω Then X(ω) = X1(ω)X2(ω) = (1 + 2cosω)2 =1 + 4cosω+ 4(cosω)2 . = 1 + 4cosω+ 4(1+cos2ω/2) = 1 + 4cosω+ 2(1+cos2ω). = 1 + 4cosω+ 2+2cos2ω). = 3 + 4cos ω + 2cos2ω = 3 + 2(ejω + e-jω) + (ej2ω + e-j2ω) Hence the convolution of x1[n] and x2[n] is x[n] = [1 2 3 2 1] Engr. A. R.K. Rajput NFC IET 173 Multan
  • 174.
    • The Wiener-KhintchinTheorem: Let x[n] be a real signal. Then rxx[k] ↔Sxx(w) In other words, the DTFT of autocorrelation function is equal to its energy density function.* Proof: The autocorrelation of x[n] is defined as ∞ rxx [ n] = ∑x[k ]x[k − n] k =−∞ ∞  ∞  Now F [ rxx [n]] = ∑ n =−∞ ∑ k =−∞ x[ k ] x[ k − n]e − jwn  Re-arranging the order of summations and making Substitution m = k-n we get ∞  ∞  F [rxx [n]] = ∑ x[k ] ∑ x[m] e − jw ( k − m ) Engr. A. R.K. Rajput NFC  k = −∞  m = −∞ IET 174 Multan
  • 175.
     ∞  ∞ jω m  =  ∑ x[k ]e −   ∑ x[m]e  = X (ω ) X (−ω ) =| X (ω ) | 2 = S xx ( ω ) jω k  k = −∞   m = −∞  • Frequency Shifting: Displacement in frequency multiplies the time/space function by a unit phasor which has angle proportional to time/space and to the amount of displacement. If x[ n] ↔ X (ω) then e jw0 n x[ n] ↔ X (ω −ω0 ) jω n As from above property, multiplication of a sequence x(n) bye o is equivalent to a frequency translation of the spectrum X(w) by wo. So it be periodic, The shift ωo applies to the spectrum of the signal in every period Engr. A. R.K. Rajput NFC IET 175 Multan
  • 176.
    The Modulation Theorem: If x[n] ↔ X(w) then x[n] cosω0[n] ↔ ½X(ω + ω0) + ½X(ω - ω0) Proof: Multiplication of a time/space function by a cosine wave splits the frequency spectrum of the function. Half of the spectrum shifts left and half shifts right. This is simply a variant of the shift theorem which makes use of Euler'sjx relationship − jx e +e ∴cos( x) = 2 ∞ ∞  e jω0 n + e − jω0 n  − jωn Use F [ x[n] cos ω 0 n] = ∑ x[n] cos ω ne 0 − jωn = ∑ x[n] e frequenc n = −∞ n = −∞  2  y shift property Engr. A. R.K. Rajput NFC IET 176 Multan
  • 177.
    • The ModulationTheorem: If x[n] ↔ X(w) then x[n] cosω0[n] ↔ ½X(ω + ω0) + ½X(ω - ω0) Proof:  e jω 0n + e − jω 0 n  − jω n Use frequency shift property ∞ ∞ F [ x[n] cos ω 0 n] = ∑ x[n] cos ω 0 ne − jω n = ∑ x[n] e n = −∞ n = −∞  2  [ ] ∞ 1 = ∑x[ n] e − j (ω− 0 ) n ω − j (ω+ 0 ) ω +e 2 n =−∞ ∞ ∞ = X (ω + ω 0 ) + (ω − ω 0 ) 1 1 1 1 = ∑ x[n]e + ∑ x[n]e − j (ω + ω 0 ) n − j (ω − ω 0 ) n 2 n = −∞ 2 n = −∞ 2 2 Engr. A. R.K. Rajput NFC IET 177 Multan
  • 178.
    • Parseval’s Theorem: If x1[n] ↔ X1(w) and x2[n] ↔ X2(w) then ∞ π 1 ∑ n =−∞ x1 [n]x* [n] = 2 ∫ 2π −π X1 ( w ) X* ( w )dw 2 π π 1 1  ∞ − jω n  * Proof: R.H .S . = ∫π X 1 ( ω ) X 2 ( ω ) dω = 2π −∫π  n∑−∞ x1 [ n]e  X 2 (ω )dω * 2π − = ∞ π ∞ 1 = ∑ x1 [n] ∫ X 2 (ω)e * − jωn dω = ∑ x1 [n]x 2 [n] = L.H .S * n =−∞ 2π −π n =−∞ In the special case where x1[n] = x2[n] = x[n], the Parseval’s Theorem reduces to ∞ 2 π 2 1 ∑ ( n) x = 2π−∫ X (ω dω ) n= ∞ − π We observe that the LHS of the above equation is energy E x of the Signal and Engr. A. R.K. Rajput NFC IET the R.H.S is equal to the energy density spectrum. Multan 178
  • 179.
    Thus we canre-write the above equation as ∞ 2 π π 1 1 E x = ∑ [ n] ∫ X (ω dω= ∫S xx (ω dω 2 x = ) ) n= ∞ − 2π −π 2π −π • Multiplication of two sequences: [Windowing Theorem] Windowing isX1(ω) process[n] ↔ X2(ω)a small subset of a larger If x1[n] ↔ the and x2 of taking then dataset, for processing and analysis. A naive approach, the rectangular window, involves simply truncating the dataset before and after the window, while not modifying the contents of the window at all. However, as we will see, this is a poor method of windowing and causes power leakage. π 1 X 1 (λ)X ( − )dλ ω λ 2π∫ x1 [ n] x 2 [ n] ↔ 2 π − Application of a window to a dataset will alter the spectral properties of that dataset. In a rectangular window, for instance, all the data points outside the window are truncated and therefore assumed to be zero. The cut-off points atIET ends of the sample will Engr. A. R.K. Rajput NFC the introduce high-frequency components Multan 179
  • 180.
    Multiplication of twosequences: [Windowing Theorem](cont:) If x1[n] ↔ X1(ω) and x2[n] ↔ X2(ω) then π 1 x1 [ n] x 2 [ n] ↔ 2π−∫X 1 (λX 2 (ω λdλ π ) − ) Proof: ∞ ∞ 1 π  F [ x1[n]x2 [n]] = ∑ x [n]x [n]e 1 2 − jω n = ∑  ∫π X 1 ( λ )e dλ  x 2 [n]e − jω n jλ n n= − ∞ n = −∞  2π −  π π 1  ∞ − j (ω − λ ) n  1 = 2π − ∫π X 1 ( λ )dλ n∑ x2 [n]e  = −∞  = 2π  − ∫π X ( λ ) X 1 2 (ω − λ )dλ Show periodic Convolution Technique use for FIR filter design Engr. A. R.K. Rajput NFC IET 180 Multan
  • 181.
    • Differentiation inthe Frequency Domain: If x[n] ↔ X(w) then Fnx[n] ↔ jdX(w)/dw Differentiation of a function induces a 90° phase shift in the spectrum and scales the magnitude of the spectrum in proportion to frequency. Repeated differentiation leads to the general result: Proof: dX (ω ) d  ∞ − jωn  ∞ d dω =  ∑ dω n =−∞ x[ n]e  = ∑ x[n] e − jωn  n =−∞ dω dX (ω ) ∞ ∴ = − j ∑ nx[n]e − jωn dω n = −∞ Multiplying both sides by j we have dX (ω) ∞ dX (ω ) j = ∑nx[ n]e − jωn OR j = F [nx[n]] dω n =−∞ dω This theorem explains why differentiation of a signal has the reputation for being a noisy operation. Even if the signal is band-limited, noise will introduce high frequency Engr. A. R.K. Rajput NFC IET are greatly amplified by signals which differentiation. Multan 181
  • 182.
    The Frequency ResponseFunction: The response of any LTI system to an arbitrary input signal x[n] is given by convolution sum Formula ∞ y[n ] =∑ ]x[n − ] h[k k (6) k =∞ − In this I/O relationship, the system is characterized in the time domain by its unit impulse response h[k]. To develop a frequency domain characterization of the system, let us excite the system with the complex exponential x[n] = Aejwn. -∞ < n < ∞ (7) where A is the amplitude and w is an arbitrary frequency confined to the frequency interval [-π, π]. By substituting (7) into (6), we obtain the response NFC IET Engr. A. R.K. Rajput 182 Multan
  • 183.
    [ ] ∞ y[n] = ∑ h[k ] Ae jw ( n −k ) k = −∞  ∞ − jwk  jwn = A  ∑h[k ]e e k =−∞  or y[n] = AH( w )e jwn (8) where ∞ H( w ) = ∑h[k ]e −jwk k =−∞ (9) The exponential Aejwn is called an Eigen-function of the system. An Eigen function of a system is an input signal that produces an output that differs from the input by a constant multiplicative factor. The multiplicative factor is called an Eigen-value of the System. Engr. A. R.K. Rajput NFC IET Response is also in form of complex exponential with same frequency as input, but altered by the multiplicative factor H(w). Multan 183
  • 184.
    Example: Determine themagnitude and phase of H(w) for the three point moving average(MA) system y[n] = 1/3[x[n+1] + x[n] + x[n-1]] Solution: since h[n] = [1/3, 1/3, 1/3] It follows that H(w) = 1/3(ejw +1 + e-jw) = 1/3(1 + 2cosw) Hence |H(w)| = 1/3|1+2cosw| and  0, 0 ≤ w ≤ 2 π / 3 Φ (w ) =   π , 2π / 3 ≤ w < π Engr. A. R.K. Rajput NFC IET 184 Multan
  • 185.
    11 |H(w)| w 0 2π/3 π Φ(w) w 0 2π/3 Engr. A. R.K. Rajput NFC IET 185 Multan
  • 186.
    Example:An LTI systemis described by the following difference equation: y[n] = ay[n-1] + bx[n], 0<a<1 (a) Determine the magnitude and phase of the frequency response H(w) of the system. (b) Choose the parameter b so that the maximum value of |H(w)| is unity. (c) Determine the output of the system to the input signal x[n] = 5 + 12sin(π/2)n – 20cos (πn + π/4) Engr. A. R.K. Rajput NFC IET 186 Multan
  • 187.
    Solution: (a) The frequencyresponse is Y( w ) = ae − jw Y( w ) + bX( w ) − jw (1 − ae )Y( w ) = bX( w ) Y( w ) b b b H( w ) = = = = X( w ) 1 − ae − jw 1 − a(cos w − j sin w ) ( 1 − a cos w ) − ja sin w Now H( w ) = b = b ( 1 − a cos w ) 2 + ( a sin w ) 2 1 + a 2 − 2a cos w  a sin w  and Φ( w ) = −tan −1    1 − a cos w  These responses are sketched on the next slide. Engr. A. R.K. Rajput NFC IET 187 Multan
  • 188.
    (b) It iseasy to find that |H(w)| attains its maximum value at w = 0. At this frequency, we have b H( 0) = =1 Which implies that b = ±(1- 1 −a a). At b = (1-a), we have 1−a a sin w H( w ) = −1 1 + a 2 − 2a cos w and Φ( w ) = − tan 1 − a cos w (c) The input signal consists of components of frequencies w = 0, π/2 and π radians. For w = 0, |H(0)| = 1 and θ(0) = 0. For w = π/2,  π  1 − a 1 − 0.9 H  = = = 0.074.  2 1+ a 2 1 + ( 0. 9 ) 2  π Θ  = − tan −1 a = − tan −1 (0.9) = −42 0 Engr. A. R.K. Rajput NFC IET   Multan 188 2
  • 189.
    For w =π, 1−a | H( w ) |= = 0.053 1+ a Θ(π ) = 0 Therefore, the output of the system is  π  π  π   π  y[n] = 5 H(0) + 12 H  sin  n + Θ    − 20 H( π ) cos  π n + + Θ ( π )   2 2  2   4  = 5 + 0.888 sin( n − 42 ) − 1.06 cos( π n + ) π 2 0 π 4 Engr. A. R.K. Rajput NFC IET 189 Multan
  • 190.
    Response to A-periodicinput signals Consider the LTI system of the following figure where x[n] is the input, and y[n] is the output. x[n] y[n] LTI System h[n], H(w) If h[n] is the impulse response of the system, then y[n] = h[n]*x[n] The corresponding frequency domain representation is Y(w) = H(w)X(w) [ Corresponding Fourier transform of the y(n),x(n), & h(n) respectively] Now the squared magnitude of both sides is given by |Y(w)|2 = |H(w)|2|X(w)|2 Or Syy(w) = |H(w)|2Sxx(w) where Sxx(w) and Syy(w) are the energy density spectra of the input and output signals, respectively. IET Engr. A. R.K. Rajput NFC 190 Multan
  • 191.
    The energy ofthe output signal is π π 1 1 Ey = ∫πS yy ( w )dw = ∫π| H( w ) | S xx ( w )dw 2 2π − 2π − Example: An LTI system is characterized by its impulse response h[n] = (1/2)nu[n]. Determine the spectrum and the energy density spectrum of the output signal when the system is excited by the signal x[n] = (1/4)nu[n]. Solution: ∞ n 1 H( w ) = ∑ ( 1 ) e − jwn = n=0 2 1 − 1 e − jw 2 1 Similarly, X( w ) = 1 − 1 e −jw 4 Hence the spectrum of the signal at the output of the system is Engr. A. R.K. Rajput NFC IET 191 Multan
  • 192.
    1 Y( w )= H( w )X( w ) = ( )( 1 − 1 e − jw 1 − 1 e − jw 2 4 ) The corresponding energy density spectrum is 2 2 2 S yy ( w ) = Y( w ) = H( w ) X( w ) 1 = ( 5 − cos w )( 17 − 1 cos w ) 4 16 2 Engr. A. R.K. Rajput NFC IET 192 Multan
  • 193.
    DTFT and DFT •The DTFT of an aperiodic discrete time signal is defined as ∞ (1) X [ w] = ∑x[ n]e − jwn n =−∞ • The DFT of a signal is defined as N −1 X(k ) = ∑ x[n]e − jk 2 πn / N (2) n =0 • Inverse DFT is defined as N −1 1 x[n] = N ∑ X [k ]e k =0 j 2πkn / N (3) What is difference between DTFT and DFT? Engr. A. R.K. Rajput NFC IET 193 Multan
  • 194.
    • The DFTis periodic with period N. N −1 Proof: X[k ] = ∑ x[n]e − jk 2 πn / N n=0 N− 1 X[k + N] = ∑ x[n]e − j( k + N ) 2 π n / N n= 0 N −1 = ∑x[n]e −jk 2 πn / N e −j2 πn n =0 Since e-j2πn = 1 N−1 ∴ X[k + N] = ∑ x[n]e − jk 2 πn / N n= 0 = X[k ] proved Engr. A. R.K. Rajput NFC IET 194 Multan
  • 195.
    Example 1: Findthe DFT of the following sequence [1 0 0 1] N −1 3 3 X[k ] = ∑ x[n]e − jk 2 πn / N = ∑ x[n]e − jk 2 πn / 4 = ∑ x[n]e − jkπn / 2 n=0 n=0 n=0 3 X[0] = ∑x[n] = x[0] + x[1] + x[2] + x[ 3] = 1 + 0 + 0 +1 = 2 i =0 3 X[1] = ∑x[n]e − jkπn / 2 = x[0] + 0 + 0 + x[3]e − j3 π / 2 n =0 − j3 π / 2 = 1 + 1.e = 1 + cos( 32π ) − j sin( 32π ) = 1 + j 3 X [2] = ∑ x[n]e − jπn = x[0] + x[3]e − j 3π = 1 +1.[cos(3π ) − j sin ( 3π ) ] = 0 n =0 n=0 X [3] = ∑ x[n]e − j 3πn / 2 = x[0] + x[3]e − j 9π / 2 = 1 − j 3 Engr. A. R.K. Rajput NFC IET 195 Multan
  • 196.
    Example 2: Findthe IDFT of the sequence [2 1+j 0 1-j] 1 N −1 Solution: x[n] = ∑ X[k ]e jk 2πn / N N k =0 1 N −1 1 x[0] = ∑ X[k ] = [ X[0] + X[1] + X[2] + X[3]] Now 4 k =0 4 1 3 1 3 x[1] = ∑ X[k ]e jk 2 π / 4 = ∑ X[k ]e jkπ / 2 4 k=0 4 k =0 jπ / 2 jπ j3 π / 2 = X[0] + X[1]e + X[2]e + X[3]e =0 Similarly, X[2] = 0 and X[3] = 1 Engr. A. R.K. Rajput NFC IET 196 Multan
  • 197.
    Computational Complexity ofthe DFT A large number of multiplications and additions are required for the calculation of the DFT. Consider an 8-point DFT as given by 7 X[k ] = ∑ x[n]e − jk 2 πn / 8 n= 0 Let k2π/8 = K 7 x[n ] =∑ [n ]e −jKn x n=0 x[0]e − jK 0 + x[1]e − jK 1 + x[2]e − jK 2 + x[3]e − jK 3 + x[4]e − jK 4 + x[5]e − jK 5 + x[6]e − jK 6 + xA.7]eRajput NFC IET Engr. [ R.K. − jK 7 Multan 197
  • 198.
    There are eightcomplex multiplications and seven complex additions. There are also eight harmonic components to be evaluated. Therefore, for an 8-point DFT: Number of complex multiplications = 8×8 Number of complex additions = 8×7 For an N-point DFT complex multiplications = N2 complex additions = N(N-1) Clearly some means of reducing these is required. Engr. A. R.K. Rajput NFC IET 198 Multan
  • 199.
    Decimation-in-time fast fouriertransform algorithm (Cooley-Tuckey Algorithm): Notations: Equation (2) can be re-written as n −1 X1 [k ] = ∑ x n e − j2 πnk / N (4) N =0 Let WN = e − j2 π / N (5) ( − j 2π / N ) 2 − j 2π /( N / 2 ) Also note that W = [e 2 N ] =e = WN / 2 (6) and WNk + N / 2 ) = WN WN / 2 = WN e − j( 2 π / N )( N / 2 ) ( k N k =W e k − jπ N = W ( cos π − j sin π ) = − W k N k N (7) Engr. A. R.K. Rajput NFC IET 199 Multan
  • 200.
    Summary: − j2 π / N WN = e W = WN / 2 2 N (k + N / 2) W N = −W k N N−1 DFT: X1 [k ] = ∑ n WN x kn (8) n =0 Engr. A. R.K. Rajput NFC IET 200 Multan
  • 201.
    Consider n datasamples as: x0x1x2x3………xn Divide these samples into an even numbered and odd numbered sequenes x2n and x2n+1 respectively. That is, x2n = x0x2x4…..,xN-2 x2n+1 = x1x3x5….xN-1 Both of the above sequences contain N/2 points. Engr. A. R.K. Rajput NFC IET 201 Multan
  • 202.
    Now equation (8)can be re-written as follows: N / 2 −1 N / 2 −1 X1 [k ] = ∑ x 2n WNnk + n =0 2 ∑ x 2n +1 WN2n +1)k n =0 ( N / 2−1 N / 2−1 = ∑ x 2n WN nk + WN n=0 2 k ∑ x 2n +1 WNnk n=0 2 since Wn2nk = WN / 2 nk N / 2−1 N / 2−1 Therefore, X1[k ] = ∑ x 2n W n=0 nk N/2 +W k N ∑ n=0 nk x 2n + 1 WN / 2 The above equation can be re-written as X1[k ] = X11[k ] + WN X12 [k ] k (9) Engr. A. R.K. Rajput NFC IET 202 Multan
  • 203.
    Considering line 6of the table it is seen that X 21[k ] = x 0 + w k N/4 4x k = 0,1 Thus X 21[0] = x 0 + x 4 while − j2 π / 2 X 21[1] = x 0 + WN / 4 x 4 = x 0 + e x4 = x0 − x4 similarly X 22 [0] =x 2 +x 6 X 22 [1] = x 2 − x 6 X 23 [0] =x1 +x 5 X 23 [1] = x1 − x 5 X 24 [0] =x 3 +x 7 X 24 [1] = x 3 − x 7 We observe that the values with k = 1 differ only by a sign from those with k = 0. Engr. A. R.K. Rajput NFC IET 203 Multan
  • 204.
    Now X11[k ]= X 21[k ] + WN / 2 X 22 [k ] k (10) (11) So, X11[0] = X 21[0] + WN / 2 X 22 [0] = X 21[0] + X 22 [0] 0 − jπ / 2 X11[1] = X 21[1] + W X 22 [1] = X 21[1] + e 1 N/2 = X 21[1] − jX 22 [1] (12) − j( 2 π / 8 ) 2× 2 X11[2] = X 21[2] + W X [2] = X 21[2] + e 2 N / 2 22 X 22 [2] = X 21[2] − X 22 [2] (13) Now X 21[2] = x 0 + WN / 2 x 4 = x 0 + W22 x 4 = x 0 + x 4 = X 21[0] 2 and X 22 [ 2] = x 2 + WN / 4 x 6 = x 2 + x 6 = X 22 [0] 2 Hence equation (13) is equivalent to X11 [2] = X 21[0] + X 22 [0] (14) X11[3] = X 21[3] + WN / 2 XA. R.K. Rajput NFC IET 3 [3] (15) Engr. 22 204 Multan
  • 205.
    Now X 21[3] =x 0 + WN / 4 x 4 = x 0 + e − j( 2 π / 2 ) 3 x 4 = x 0 + e − j3 π x 4 = x 0 − x 4 = X 21[1] 3 and X 22 [3] = x 2 − x 6 = X 22 [1] Hence equation (15) is equivalent to X11[3] = X 21[1] + e − j( 2 π / 4 ) 3 X 22 [1] = X 21[1] + jX 22 [1] (16) Drawing these results together gives X11 [0] = X 21 [0] + X 22 [0] = X 21 [0] + W8 X 22 [0] 0 X11 [ 2] = X 21 [0] − X 22 [0] = X 21 [0] − W8 X 22 [0] 0 (17) X11 [1] = X 21 [1] − jX 22 [1] = X 21 [1] + W8 X 22 [1] 2 X11 [ 3] = X 21 [1] + jX 22 [1] = X 21 [1] − W8 X 22 [1] 2 The above equations are known as recomposition equations. Engr. A. R.K. Rajput NFC IET 205 Multan
  • 206.
    The number ofcomplex additions and multiplications involved is reduced in this way because: (i) the recomposition equations are expressed in terms of powers of the recurring factor WN. (ii) use is also made of relationships of the type X21[2] = X21[0] and X21[3] = X 21[1] and (iii) the presence of only sign differences in the pairs of expressions is exploited. The algorithm is known as the Cooley-Tukey algorithm. It can be shown that Number of complex multiplications = (N/2)log2N Engr. A. R.K. Rajput NFC IET 206 Multan