INTIME EQUITIES LIMITED
1. INTRODUCTION OF THE TOPIC:
 TECHNICAL ANALYSIS
Technical Analysis is important to form a view on the likely trend of the overall
market and it is helpful to have some idea of how to go about selecting individual
stocks. Naturally all investors would like their investments to appreciate rapidly in
price but stocks which may satisfy this wish tend to accompanied by a substantially
greater amount of risk then many investors are normally willing to accept. However it
is important to understand that investors can be very conscious when it comes to stock
ownership.
Technical analysis is the use of numerical series generated by market activity such as
price and volume to predict future price trends. The techniques applied to any market
with a comprehensive price history. Primarily but not exclusively technical analysis is
conducted by studying charts of past price movement. Many different methods and
tools are used in technical analysis, but they all rely on the assumption that price
patterns and trends exist in markets and that they can be identified and exploited.
Technical analysis or charting is considered to be as a supplement to Fundamental
Analysis of securities. As an approach to investment analysis technical analysis is
radically different from fundamental analysis. While the fundamental analysts believe
that the market is 90% logical and 10% psychological the technical analysis assumes
that its 90% psychological and 10% logical. Technical analysis can be applied to any
market with a comprehensive price history. The premises of technical analysis were
derived from empirical observations of financial markets over hundreds of years.
Perhaps the oldest branch of technical analysis is the use of candlestick techniques by
Japanese traders at least as early as the 18th century, and still very popular today.
DOW THEORY ITS CORNERSTONE
New tools and theories have been produced and existing tools have been enhanced at
a rapid rate in recent decades with an increasing emphasis on computer-assisted
techniques. Technical analysis is not concerned with why a price is moving but rather
whether it is moving in a particular direction or in a particular chart pattern. Technical
analysts believe that profits can be made by trend following. In other words if a
particular stock price is steadily rising (trending upward) then a technical analyst will
look for opportunities to buy this stock. Until the technical analyst is convinced this
BET’s GLOBAL BUSINESS SCHOOL, BELAGAVI Page 1
INTIME EQUITIES LIMITED
uptrend has reversed or ended all else equal he will continue to own this security.
Additionally technical analysts look for various price patterns to form on a price chart
and will take positions in anticipation of the expected move following that pattern.
The various tools of technical analysis assist the technician in determining when
trends have formed ended etc. and when particular patterns are unfolding.
One of the forecasting tools very popular among practitioners is technical analysis.
Technical analysis is the examination of past price movements in order to forecast
future price movements. Technical analysis is open to interpretation. Many times two
technicians will look at the same chart and paint two different scenarios or see
different patterns. Both would be able to come up with logical support to justify their
position.
In addition even if stock prices completely followed a random walk people would be
able to convince them that there are e patterns having a predictive value. It has
become more and more popular as it offered an unlimited set of tools and signals and
seemed to be an interesting method of market analysis. It has been proven that stock
prices most of the time approximately follow a random walk pattern. Psychologists
have described a number of ways in which people deal with randomness. Additionally
market participants may be subject to herd behavior.
Technical analysis is applicable to stock indices commodities futures or any tradable
instrument where the price is influenced by the forces of supply and demand. Price
refers to any combination of the open, high low or close for a given security over a
specific time frame. The time frame can be based on intraday (1-minute, 5-minutes,
10-minutes, 15-minutes, 30-minutes or hourly), daily, weekly or monthly price data
and last a few hours or many years. In addition some technical analysts include
volume or open interest figures with their study of price action.
Economists have raditiolly been skeptical of the value of technical analysis affirming
the theory of efficient markets that holds no strategy should allow investors and
traders to make unusual returns except by taking excessive risk.
BET’s GLOBAL BUSINESS SCHOOL, BELAGAVI Page 2
INTIME EQUITIES LIMITED
TECHNICAL ANALYSIS VS. FUNDAMENTAL ANALYSIS
Differentiating factor Technical analysis Fundamental analysis
Basis of decision making Technical analysis bases
their decision primarily on
price history, volumes and
charts.
Fundamental analysis on
the other hand base their
decisions on economic
indicators and financial.
Basis of evaluation Technical analysis
believes that there is no
reason to analyses
financials or economic
indicators. Price discount
all information and charts
reflects the information
Fundamental analysts
relatively takes long term
approach and evaluate
securities on the basis of
their intrinsic value
Time approach Technical analysis can be
used for timeframe of
weeks, days or even hours
depending upon the time
perspective of the trade
On the other hand
fundamental analysts study
financial, economic date
over long term and thus
have a perspective for the
long number of years.
Primary Phases of Movements:
Secondary movements normally retrace from one-third to two thirds of the primary
trend since the previous secondary movement.
Daily fluctuations are important for short-term trading, but are unimportant in analysis
of broad market movements.
BET’s GLOBAL BUSINESS SCHOOL, BELAGAVI Page 3
INTIME EQUITIES LIMITED
BULL TRENDS
A bull trend is identified by a series of rallies where each rally exceeds the highest
point of the previous rally. The decline, between rallies, ends above the lowest point
of the previous decline Successive higher highs and higher lows
The start of an uptrend is signaled when price makes a higher low (trough), followed
by a rally above the previous high (peak):
Start = higher Low + break above previous High.
The end is signaled by a lower high (peak) followed by a decline below the previous
low (trough):
End = lower High + break below previous Low.
BEAR TRENDS
A bear trend starts at the end of a bull trend: when a rally ends with a lower peak and
then retreats below the previous low. The end of a bear trend is identical to the start
of a bull trend. Each successive rally fails to penetrate the high point of the previous
rally. Each decline terminates at a lower point than the preceding decline.
Successive lower highs and lower lows
BET’s GLOBAL BUSINESS SCHOOL, BELAGAVI Page 4
INTIME EQUITIES LIMITED
How Technical Analysis is Done
Technical analysis done by identifying the trend from past movements and then using
it as a tool to predict future price movements of the stock with the use of the tools of
technical analysis
ASSUMPTIONS OF TECHNICAL ANALYSIS
1. The Market Discounts Everything
A major criticism of technical analysis is that it only considers price movement
ignoring the fundamental factors of the company. However technical analysis
assumes that at any given time a stock's price reflects everything that has or could
affect the company - including fundamental factors. Technical analysts believe that
the company's fundamentals, along with broader economic factors and market
psychology are all priced into the stock removing the need to actually consider these
factors separately. This only leaves the analysis of price movement which technical
theory views as a product of the supply and demand for a particular stock in the
market.
2. Price Moves in Trends
In technical analysis price movements are believed to follow trends. This means that
after a trend has been established the future price movement is more likely to be in the
same direction as the trend than to be against it. Most technical trading strategies are
based on this assumption.
3. History Tends To Repeat Itself
Another important idea in technical analysis is that history tends to repeat itself
mainly in terms of price movement. The repetitive nature of price movements is
attributed to market psychology in other words market participants tend to provide a
consistent reaction to similar market stimuli over time. Technical analysis uses
chart patterns to analyze market movements and understand trends. Although many of
these charts have been used for more than 100 years they are still believed to be
BET’s GLOBAL BUSINESS SCHOOL, BELAGAVI Page 5
INTIME EQUITIES LIMITED
relevant because they illustrate patterns in price movements that often repeat
themselves
CHART PATTERN
1 Candlestick Charting: Candlestick charts have been around for hundreds of years.
They are often referred to as “Japanese candles” because the Japanese would use them
to analyze the price of rice contracts.
Similar to a bar chart, candlestick charts also display the open, close, daily high and
daily low. The difference is the use of color to show if the stock went up or down
over the day.
The chart below is an example of a candlestick chart for AT&T (T). Green bars
indicate the stock price rose red indicates a decline:
Figure: Candlestick charting
Investors seem to have a "love/hate" relationship with candlestick charts. People
either love them and use them frequently or they are completely turned off by them.
There are several patterns to look for with candlestick charts - here are a few of the
popular ones and what they mean.
BET’s GLOBAL BUSINESS SCHOOL, BELAGAVI Page 6
INTIME EQUITIES LIMITED
This is a bullish pattern - the stock opened at (or near) its low and closed near
its high
The opposite of the pattern above this is a bearish pattern. It indicates that the
stock opened at (or near) its high and dropped substantially to close near its low.
Known as "the hammer", this is a bullish pattern only if it occurs after the
stock price has dropped for several days. A small body along with a large range
identifies a hammer. This pattern indicates that a reversal in the downtrend is in the
works.
2 Line Chart:
The most basic of the four charts is the line chart because it represents only the
closing prices over a set period of time. The line is formed by connecting the closing
prices over the time frame. Line charts do not provide visual information of the
trading range for the individual points such as the high low and opening prices.
However the closing price is often considered to be the most important price in stock
data compared to the high and low for the day and this is why it is the only value used
in line charts.
BET’s GLOBAL BUSINESS SCHOOL, BELAGAVI Page 7
Known as a "star”. For the most part stars typically indicate a reversal and or
indecision. There is a possibility that after seeing a star there will be a
reversal or change in the current trend.
INTIME EQUITIES LIMITED
1.1 BACKGROUND OF THE STUDY
A method of evaluating securities by analyzing statistics generated by market
activity such as past prices and volume. Technical analysts do not attempt to measure
a security’s intrinsic value but instead use charts to identify patterns that can suggest
future activity. Technical analysts believe that the historical performance of stocks
and markets are indications of future performance.
Technical Analysis has become increasingly popular over the past several years as
more and more people believe that the historical performance of a stock is a strong
indication of future performance. People using fundamental analysis have always
looked at the past performance of companies by comparing fiscal data from previous
quarters and years to determine future growth. The difference lies in the technical
analyst’s belief that securities move according to very predictable trends and patterns.
These trends continue until something happens to change the trend and until this
change occurs Price levels are predictable.
Investors successfully trade securities using only their knowledge of the security’s
chart without even understanding what the company does. Although technical
analysis is a terrific tool most agree it is much more effective when used in
combination with fundamental analysis.
1.2 STATEMENT OF THE PROBLEM
Technical analysis (or Chartism) is the study of price movement and trends in markets
in order to forecast future prices. Investment timing plays a crucial role for trading in
stock market trading. The investors face difficulty while identifying the opportunities.
So this analysis is directed towards the use of different tools of technical analysis.
Which helps the investor to identify and decide when to buy or sell.
The very first step consists of examining the risk return characteristics of individual
securities. Security analysis is such a crucial activity because every investor has to
decide on the type number and time timing of buying and selling of the shares.
Today the thousands of securities available for an invest he has to decide on.
• Which stock to invest?
BET’s GLOBAL BUSINESS SCHOOL, BELAGAVI Page 8
INTIME EQUITIES LIMITED
• What type of security to buy?
• When to sell the securities?
• Where to Invest?
• How to Invest?
• Whether hold sell or buy securities?
All these questions need to be answered before the investment can take place and also
determining prospective benefits from the investment in a security. The risk
associated with that investment.
1.3 OBJECTIVES OF THE STUDY
This study is aimed at undertaking technical analysis of selected companies included
in the Indian stock market.
The following are the main objectives of this study.
• To gain the practical knowledge of technical analysis.
• To understand and identify the overbought and oversold price levels as
derived from using selected sectors historical data available
• To know how technical tools are used to predict the future behavior of the
stock.
• To know how charting techniques are useful to take buy or sell decisions.
• To know how an investor can take rational investment decision by the study of
market trends and movement.
• To provide the investors with a techniques with which they can make a decent
profit by trading in stock.
• To forecast the future trends and provide suitable suggestion to the investors.
SCOPE OF THE STUDY
The study mainly focuses on studying basic tools used in technical analysis to predict
futures stock price movements based on the clients risk appetite. Technical analysis is
having a broad scope in each and every segment like equity, commodity, currency,
Forex, as it is not considering any intrinsic value. Technical indicators include pure
mathematics and low of nature so it has global presence in trading.
BET’s GLOBAL BUSINESS SCHOOL, BELAGAVI Page 9
INTIME EQUITIES LIMITED
There are various sectors in the economy of Indian stock market; the sectors selected
in the study are selected on random basis. Stocks forming part of the sector are
selected on the basis of industry leadership.
The study is restricted to three selected sectors from Indian stock market; from each
sector three stocks have been selected and the sectors and stocks are as below.
Banking sectors:
• State Bank of India
• Industrial Credit and Investment Corporation of India (ICICI) Bank
• HDFC Bank
Infrastructure sectors:
• BHEL(Bharat Heavy Electricals).
• Larsen and Toubro.
• Adani Ports and Special Economic Zone.
F.M.C.G sectors:
• Colgate-palmolive co.(CL)
• Procter and Gamble CO
• ITC holdings corp.(ITC
BET’s GLOBAL BUSINESS SCHOOL, BELAGAVI Page 10
INTIME EQUITIES LIMITED
2. LITERATURE REVIEW
• Ramaswami.K (1996) assessed the relationship among book values earnings
dividend and market price of share impact of bonus issues impact of security
scam on equity return .to that end the author used daily share price of 30
companies included in the construction of BSE sensitive index, daily data of
BSESI and NYSE composite index, annual data on BV per share market price
per share EPS and DPS and data on bonus issue made during the period of
study the researcher used correlation regression and frequency distribution for
interpreting data.
• Sharma and Robert E. Kennedy (1977) tested the applicability of random walk
hypothesis to the stock market in developing country namely India and
compare this to that of stock markets in developed countries namely USA and
England. For this purpose the price behavior of Bombay stock exchange is
statistically examined both for randomness and independence .The test the
random walk hypothesis. The test covers 132 monthly observations for each
stock market index of common stock listed in Bombay exchange for eleven
years from 1968-1973.The study indicates that price dependence while
statistically significant, is comparably small in the developing countries.
Based on the test, it is evident that the Bombay stock exchange stock obeys a
random walk and is equivalent to developed countries stock exchange.
• Fernando Fernandez –Rodriguez, Simon Sosvilla –Rivero, Julian Andrada –
Felix (1999) assessed whether some simple forms of technical analysis can
predict stock price movement in the Madrid stock exchange covering thirty-
one-year period from Jan 1966 –Oct 1997.the results provide strong support
for profitability of those technical trading rules. By making use of bootstrap
techniques the author shows the returns obtained from these trading rules are
not consistent with several null models frequently used in finance.
BET’s GLOBAL BUSINESS SCHOOL, BELAGAVI Page 11
INTIME EQUITIES LIMITED
• C. L. Osler (2001) provides a micro structural explanation for the success of
two familiar predictions from technical analysis: (1) trends tend to be reversed
at predictable support and resistance levels, and (2) trends gain momentum
once predictable support and resistance levels are crossed. The explanation is
based on a close examination of stop-loss and take-profit orders at a large
foreign exchange dealing bank. Take-profit orders tend to reflect price trends
and stop-loss Technical Analysis on Selected Stocks of Energy Sector orders
tend to intensify trends. The requested execution rates of these orders are
strongly clustered at round numbers, which are often used as support and
resistance levels. Significantly, there are marked differences between the
clustering patterns of stop-loss and take-profit orders, and between the patterns
of stop-loss buy and stop-loss sell orders. These differences explain the
success of the two predictions.
• Gupta, (2003) examined the perceptions about the main sources of his worries
concerning the stock market. A sample comprise of middle-class household’s
spread over 21 sates/union territories. The study reveals that the foremost
cause of worry for household investors is fraudulent company management
and in the second place is too much volatility and in the third place is too
much price manipulation.
• Ravindra and Wang (2006) examine the relationship of trading volume to
stock indices in Asian markets. Stock market indices from six developing
markets in Asia are analyzed over the 34 month period ending in October
2005. In the South Korean market, the causality extends from the stock indices
to trading volume while the causality is the opposite in the Taiwanese market.
BET’s GLOBAL BUSINESS SCHOOL, BELAGAVI Page 12
INTIME EQUITIES LIMITED
3. RESEARCH METHODOLOGY
The methods which are used for the study is technical tools based on time value and
trends the intrinsic value does not play any important roles her. So we are using the
technical tools like. For the study 9 companies were selected Indian stock market.
There are following steps in methodology.
• Use of technical tools Exponential Moving Average, Relative Strength Index ,
Moving average, convergence and divergence.(MACD),
• Identification of patterns and trends in the stock price movements.
• Preparation of stock chart, Line chart showing the price and volume of the
stocks over the period of time and Interpret charts.
• Calculating the data Microsoft Excel is used.
• The data required for the study is collected from the only source i.e.
3.1 RESEARCH DESIGN
 EXPONENTIAL MOVING AVERAGE
An exponential moving average is a weighted moving average. Recent price is given
more weight than older price. The concept behind this is that more recent price are
considered more important than older price. A 200-day long term simple average
equal weightage to price data that are more than six month old.
Calculation of the EMA is more complex than calculation of a simple moving
average. An EMA calculation first needs and exponent. The calculation of the
exponent is simple.
Exp= 2/n+1
Where n = the number of days of the moving average.
The weight given for the short period is more than the weight given for the longer
period. The weighting declines by half when the moving average period doubles.
EMA = (Current day’s close- previous day EMA)*Exponent + previous day EMA.
BET’s GLOBAL BUSINESS SCHOOL, BELAGAVI Page 13
INTIME EQUITIES LIMITED
 RELATIVE STRENGTH INDEX
The RSI can be calculated for any number of days depending on the wish of technical
analyst and the time frame of trading adopted in a particular stock market . RSI is
calculated for 30 days.
If the period considered is longer, the possibility of getting the wrong signals is
reduced. Reactionary or sustained rise or fall in the price of the scrip is foretold by the
RSI.
If the share price is falling and RSI is rising a divergence is said to have occurred.
Divergence indicates the turning point of the market. If the RSI is rising in the
overbought zone it indicates a fall in price. If the RSI falls in the overbought zone it
gives a clear sell signal. The term overbought describe the price level at which
momentum can no longer be maintained and the price has to go down. The condition
occurs after a sharp rise in price during a period of heavy buying. When the RSI is in
the oversold region it generates a buy signal. The term oversold is used to describe a
security on market that has declined to an unreasonably low level. The condition is
characterized by an increase in sales and excess of net decline.
RSI = 100-(100/1+Rs)
= Average Gain Per Day/ Average loss Per Day
 MOVINGAVERAGE,CONVERGENCE,AVERAGE,DIVERGENCE
(MACD)
Moving average convergence and divergence is the different between two exponential
moving averages. It measures the convergence and divergence between two
exponential moving average of varying periods. Short term and long term exponential
moving averages are calculated using the closing price. The MACD considers the
difference between the short term and long term exponential moving averages. Daily
or weekly moving average is also calculated. The 12 days and 26 days exponential
average.
MACD Line =12- day EMA-26-day EMA
BET’s GLOBAL BUSINESS SCHOOL, BELAGAVI Page 14
INTIME EQUITIES LIMITED
3.2 SAMPLE DESIGN
The sample consists of three sectors stocks of different companies. The sampling
technique used here is convenience sampling, the companies were selected randomly
and based on their performance which is listed in NSE and BSE
3.3 DATA SOURCES
Primary data were collected through direct interactions with the clients of Intime
Equities limited (formerly known as Fortune Equity Broker ltd Other data used in this
study are publicly available data collected from secondary source. The major source
of the data is the website of Indian stock market. Text books and Business journals
and newspapers are also to collect some data and information.
3.4 HYPOTHESIS
Is not applicable to my project.
3.6 DATA ANALYSIS TOOLS
Exponential Moving Average for 26-days in Excel Spreadsheet Procedure:
• At column D, cell 28 write =Average(C3:C28). Press enter and drag a to fill
other cell. To get SMA
• At column E, cell 29 write =2/(26+1). Press enter and drag to fill other cell. To
get SF
• At column F, cell 29 write =((29*(2/(26+1))+F28*(1-(2/(26+1)))). Press enter
and drag to fell other cell. To get EMA.
Relative Strength Index for 30-days in Excel Spreadsheet Procedure
• At column C, cell 4 write =B4-B3. Press enter and drag to fell other cell. To
get the change value.
BET’s GLOBAL BUSINESS SCHOOL, BELAGAVI Page 15
INTIME EQUITIES LIMITED
• At column D, cell 4 write =IF(C4>0,C4,0). Press enter and drag to fell other
cell. To get the gain value.
• At column E, cell 4 write =IF(C4<0,-C4,0). Press enter and drag to fell other
cell. To get the loss value.
• At column F, cell 33 write =(sum(D4:D33)/30). Press enter and drag to fell
other cell. To get the average gain value.
• At column G, cell 33 write =(sum(E4:E33)/30)
• At column H, cell 33 write =F33/G33. Press enter and drag to fell other cell.
To get the average loss value.
• At column I, cell 33 write =IF(G33=0,100,100-(100/(1+H33))). Press enter
and drag to fell other cell. To get the value relative strength index.
Moving Average Convergence and Divergence (MACD)
• At column C, cell 13 write =average (B2:B13). Press entry and drag to fell
other cell. To get the average of 12-days.
• At column c, cell 14 write =(B14*(2/(12+1))+C13*(1-(2/(12+1)))). To get
EMA of 12 days.
• At column D, cell 27 write =Average(B2:B27). Press entry and drag to fell
other cell. To get the average of 26-days.
• At the column D, cell 28 write =(B28*(2/(26+1))+D27*(1-(2/(26/1)))). To get
the 26-days EMA.
• At column E, cell 27 write = (C27)-(D27) to get the MACD
3.6 LIMITATIONS OF THE STUDY
The subject of the securities with market index study is vast and it has restricted with
certain limitation in the study, certain limitation cannot be avoided. They are:
• Technical analysis is done based on one year stock price listed on Indian stock
market so it does not give the perfect levels as there is previous price
movement as well.
• The study is limited to time value and price movement of the stock. So it does
not consider any economic factors and industrial impacts.
• The analysis is focused on three sectors.
BET’s GLOBAL BUSINESS SCHOOL, BELAGAVI Page 16
INTIME EQUITIES LIMITED
• The recommendations made may not be a perfect prediction of the future as
technical analysis is not an absolutely accurate practice.
• Study is limited to 9 stocks.
4. COMPANY PROFILE
About Intime equity limited (formerly known as fortune equity brokers (India)
ltd
Intime Equity Limited limited was incorporated in the year 1991 by MR. j. t. poonja,
chairman and MR .nimish c shah, vice chairman and managing director. Fortune
group which comprises the holding company fortune financial services (India) limited
and its wholly-owned subsidiaries is engaged in providing a range of financial
services right from equities and derivatives trading, equity research, commodities
trading, portfolio management services, distribution of mutual funds, ipo & insurance
products and also investment banking services.
The main activities of the company are conducted through fortune financial services
which is also the holding company & its wholly owned subsidiaries. a brief snapshot
of all the companies is outlined as under.
INTIME EQUITY LIMITED FINANCIAL SERVICES (INDIA) LTD
M/s. Fortune Financial Services (India) ltd. is listed on the Bombay stock exchange
ltd and is sebi registered category i merchant banker. it has recently got approval from
sebi to launch its portfolio management services (pms). ffsil has four business
verticals viz. fortune equity brokers (India) limited, fortune commodities &
derivatives (India) ltd., fortune credit capital ltd. and fortune financial India insurance
brokers limited.
M/s. Intime Equities Limited is 100% subsidiary company of m/s. fortune financial services
(India) ltd. it offers broking services in the cash and future & option segments of the national
stock exchange of India ltd and the Bombay stock exchange limited. it is also a depository
participant of central depository services (India) ltd.
Intime multi commodity company limited
BET’s GLOBAL BUSINESS SCHOOL, BELAGAVI Page 17
INTIME EQUITIES LIMITED
M/s. Intime Multi Commodity Company Limited is subsidiary company of m/s.
fortune financial services (India) ltd. and engaged in the business of commodities
broking. it having memberships with the mcx and ncdex, two leading indian
commodities exchange.
4.1 HISTORY & MILESTONES
2006
Shareholders of Fortune approved the issuance of bonus shares in the ratio of
1:1Allotment of bonus shares was completed on March 31, 2006Commenced DP
Services
2005
Fortune declared an interim dividend of 10% and final dividend of 5% during FY
2004-2005 after gap of six years due to carry-forward losses Fortune was associated
with ECB/FCCB overseas fund raising for its Indian mid-sized corporate clients in
excess of US$ 250 million Fortune was involved with varied domestic assignments -
follow on issues, buyback program, open offers and IPOs for Indian mid-sized
corporate clients Fortune proposes to increase its capital base by making a bonus issue
during FY 2005-2006 Opened a branch office in Goa Commenced F&O operations on
the National Stock Exchange (NSE)
2004
Fortune empanelled with seventeen institutional clients for its secondary market
business Fortune was appointed as merchant bankers to manage an open offer by
Zircon Traders Ltd. Successfully completed the FCCB issues for Alok Industries
Limited and United Phosphorus Limited raising approximately US$ 110 million
Opened its branch at Hyderabad to promote stock broking activities Fortune's shares
are voluntarily de-listed from Delhi Stock Exchange Subsidiary company started
mutual fund distribution during FY 2003-04
2003
Managed open offers of Gujarat JHM Hotels Ltd., Punjab Chemicals and
Pharmaceuticals Ltd. Fortune's equity shares are voluntarily de-listed from
Ahmedabad Stock Exchange Ltd Fortune empanelled with three institutions for
secondary market business
BET’s GLOBAL BUSINESS SCHOOL, BELAGAVI Page 18
INTIME EQUITIES LIMITED
2002
Fortune commenced its full fledged broking operation by empanelling with leading
FIs / MFs / Banks Fortune completed a major takeover offer of Noble Explochem
Reserve Bank of India de-registered Fortune as a NBFC Fortune's equity shares are
voluntarily de-listed from Madras Stock Exchange
2001
Fortune completed the private placement of equity shares of Popular Entertainment
Network Limited and clickforcotton.com, India's first cotton exchange portal
Managed few IPOs, take over offers and right issue despite adverse market conditions
Fortune also made a secondary market placement of equity shares for Goldstone
Technologies Ltd., and Mirc Electronics Limited
2000
Acquired Corporate Membership of Bombay Stock Exchange Limited (BSE) In
addition to Investment Banking and Corporate Advisory Services, Fortune launched
its stock broking activities Fortune concluded two major deals involving a FMCG
company and a well know media Company's private placement of equity shares
1999
Fortune Financial became the 1st Indian company to go in for a buyback of its shares,
subsequent to the guidelines for Buyback of shares coming into effect from Jan 1999
Fortune offered to buyback 25% of its paid-up capital of Rs.549 lacs at an offer price
of Rs.10/- each per share as against the average quoted market price of Rs.5.65 per
share. An amount of Rs.114 lacs was reduced from the share capital consequent to the
buyback Successfully completed the second buyback and reduced Rs. 47 lacs from
the share capital Fortune prepaid / repaid all its fixed deposit outstanding along with
interest
1998
Due to a downturn in the market conditions, Fortune's senior management decided to
suspend the NBFC activities effective from April 1998 The fixed deposit scheme of
Fortune was rated "FA" by CRISIL on account of its timely repayment of interest,
BET’s GLOBAL BUSINESS SCHOOL, BELAGAVI Page 19
INTIME EQUITIES LIMITED
repayment of the principal and the safety of the deposits Fortune stopped accepting /
renewing fixed deposits since April 1998 Fortune declared dividend @15%
1997
In order to broaden its base in consumer finance, Fortune took up office equipment
finance in addition to car financing Fortune extended its focus to External
Commercial Borrowings, private placement of Non-Convertible Debentures and
Preference Shares for mobilizing funds for its corporate clients Opened offices at
Chennai and Chandigargh to promote consumer finance and corporate financing
activities Fortune declared dividend @22%
1996
Fortune launched its consumer finance division with a primary focus on car financing.
Opened offices in Pune and Mangalore Fortune handled 9 Investment Banking
assignments in its capacity as Lead Managers/ Co-Managers/ Advisors aggregating to
Rs.176 crores. This included the issue of Search Chem Industries Limited, a group
company of United Phosphorus Limited Fortune set up its in-house equity research
division with a view to provide equity research to corporate clients and support its
corporate finance and investment banking activities Fortune started accepting fixed
deposits from public. The fixed deposit schemes of the Company is rated "FA" by
CRISIL Besides having a fixed deposit center in Mumbai, Fortune opened centers in
Madras, Bangalore and New Delhi Fortune declared dividend @20%
1995
Authorized Capital of Fortune was increased to Rs.600 lacs Fortune made an Initial
Public Offering (IPO) of 25 lac equity shares of Rs.10/- each at a premium of Rs. 20/-
per share aggregating to Rs.750 lacs. The issue was over subscribed by 2.52 times
Fortune was listed on the Bombay Stock Exchange, Delhi Stock Exchange,
Ahmedabad Stock Exchange and Madras Stock Exchange Fortune opened a branch
office in Bangalore Fortune was associated with 10 issues aggregating to Rs.115
crores as Lead / Co-managers Fortune was involved with underwriting 113 issues for
an aggregate amount of Rs. 26 crores Company received membership of National
Stock Exchange (NSE). Fortune promoted a separate company called Good Fortune
BET’s GLOBAL BUSINESS SCHOOL, BELAGAVI Page 20
INTIME EQUITIES LIMITED
Advisory Services Pvt. Ltd., to operate this activity and invested Rs.10 lacs towards
share capital Fortune declared dividend @16%
1994
In anticipation of a potential IPO, the name of the Company was changed to Fortune
Financial Services (India) Ltd. Opened an office in New Delhi to increase the scope
of activities Fortune declared dividend @15%
1993
Fortune became a SEBI registered Category - I Merchant Banker Fortune declared
dividend @12.5%
1992
Fortune declared dividend @10%
1991
Mr. J.T. Poonja and Mr. Nimish C. Shah incorporated Fortune Financial Services
(India) Private Limited as a Non-Banking Financial Company (NBFC). Besides core
investment banking and corporate advisory services, Fortune's also focused on fund
based activities such as lease, hire purchase, bill discounting and inter-corporate loans
4.2 VISION, MISSION AND CORE VALUE
 VISION
Intime Equities limited aspiration of establishing itself as an integrated financial
services company is propelled by a vision that is shared by the entire work force.
Towards this end Intime Equities limited has dedicated it to:
• Having a single minded focus on investor services
• Establishing Intime Equities limited as a house hold name for financial
services
• Set industrial standards
• Establishing leadership position in all chosen areas of business
• And in the process become a crucial link between industry, finance and people.
BET’s GLOBAL BUSINESS SCHOOL, BELAGAVI Page 21
INTIME EQUITIES LIMITED
 MISSION
Intime Equities limited mission is leading services provider to our customers and aim
to achieve this leadership position by building an innovative, enterprising and
technology driven organization which will set the highest standards of service and
business ethics.
 CORE VALUE
At Intime Equities limited adherence to its core values-integrity, Enterprise, and
Innovation has earned it an enviable reputation amongst all the intermediaries and
regulatory authorizes of the capital and financial markets.
The business challenges
• Easily access customer portfolio information in a secure contact center
environment
• Seamlessly integrate with back-end applications and streamline customer data
to centre agents
• Easily manage upgrades and technology issues to accommodate growing
customer base.
 MANAGE BUSINESS GROWTH
With a customer base of more than 2,60,000, Intime Equities limited continues to
grow at a fast pace. The company required reliable contact technology that could
handle its growing customer base and expanding service portfolio. Downtime in the
contact center, even for a short period of time, was unacceptable as it could result in
financial losses and more importantly, a decrease in customer loyalty. As a result,
customer satisfaction was a top priority in Intime Equities limited agenda. Its primary
objectives were to help and support its customers in managing their shares portfolio in
the best possible manner.
 QUALITY POLICY
• To achieve and retain leadership, Intime Equities limited shall aim for
complete customer satisfaction, by combining its human and technological
resources, to provide superior quality financial services.
BET’s GLOBAL BUSINESS SCHOOL, BELAGAVI Page 22
INTIME EQUITIES LIMITED
• In the process, Intime Equities limited will strive to exceed customer’s
expectations. Quality objectives As per the Quality Policy Intime Equities
limited will:
• Build in-house processes that will ensure transparent and harmonious
relationships with its clients and investors to provide high quality of service.
• Establish a partner relationship with its investor service agent and vendors that
will help.
4.3 ORGANIZATION STRUCTURE
KEY PERSONS:BRANCH HEAD:- Chintan valia.
BET’s GLOBAL BUSINESS SCHOOL, BELAGAVI Page 23
OPERATIONS
DIVISION
SUPPORT
FUNCTION
BRANCHES ISO CELL
BROKING
FPO
RIS
DP
ACCOUNTS
SYSTEM
HRD
ADMN. PURCHASE STORE
SUPPORT
FUNCTIONS
OPERATIONS DIVISIONS
HEAD OFFICE
REGIONAL HEAD
QUARTERS
INTIME EQUITIES LIMITED
Work flow model (End to End)
(Producer buying and selling of equities futures at Intime Equities limited)
BET’s GLOBAL BUSINESS SCHOOL, BELAGAVI Page 24
Clients
Customer Support
Status
Order placement through
computer terminals
Online computer
Order sent for execution at
Order Executed
Order pendingOrder Executed
Order Executed
INTIME EQUITIES LIMITED
4.4 PRODUCT/SERVICE PROFILE
• Equity Broking
• Commodities Broking
• Internet Broking
• Depository Service
• Insurance Broking
• Investment Banking
• Currency Derivatives
• Mutual Fund
• IPO
4.5 AREA OF OPERATION
Intime equity limited (formerly known as fortune equity brokers (india) ltd. Provide
services include trade execution on BSE, NSE ,Derivatives, Commodities, Depository
services online trading and investment advice trade is available in BSE and NSE.
Intime equity limited has one of the best state of art web portal providing fundamental
and statistical information across equity, mutual funds and IPOs. You can surf across
5500 companies for in depth information details about more than 1500 mutual fund
schemes and IPO data. You can also access other market related details such as board
meeting result announcement. And buying and selling of mutual funds and much
more.
BET’s GLOBAL BUSINESS SCHOOL, BELAGAVI Page 25
INTIME EQUITIES LIMITED
4.6 BUSINESS PRACTICE
 FRONT OFFICE
In front of office the following services are done.
• Account opening
• Holding enquiries
• Transfer of physical shares to demat form
• Transfer of demat shares to physical form
• Transformations of shares from demat to trading account etc.
 BACK OFFICE
• Maintenance of all demit account with KCL
• Giving intimation related to the due of AMC’s to heir account holders
• Sends quarterly information to the holders related to the holdings
 MARKETING
In this department where the demat account is marketed, marketing executives seek
for prospective customers, they help in opening of an account and also these
executives collect AMCs and provide other door to door services.
Here all the records of investors are to maintain and kept confidentially and identifies
the customer’s requirements and the department members try to fulfill their needs.
• TIN. Tax information network services, this is recently introduced by the RIS
department in this service, Intime Equities limited tries to give the services
regarding taxation like
• PAN opening
BET’s GLOBAL BUSINESS SCHOOL, BELAGAVI Page 26
INTIME EQUITIES LIMITED
• TDS return(filling) quarterly, yearly
 ADVISORY SERVICES
This is the main function done by the ris department kcl give every financial advisory
services to investors for ex: portfolio management, equity tips, tax planning etc
 ACCOUNTS
• Maintaining the purchases/ stores departments
• Internal auditing
• Payments and receipts
 TECHNOLOGY DEPARTMENT
Intime Equities limited has been successful in keeping IT investments under control,
and helping in keeping these spends aligned with Intime Equities limited business
goals. He runs a team with 50 people on board. Intime Equities limited retains its
focus on providing reliable, secure and fast trading service.
Inside the jungle Intime Equities limited operates through online and offline (Intime
Equities limited) channels. The online structure forms the most integral point for
business and transactions. The online component is made up of a convential portal, a
chat facility and few ‘speed trade’ terminals.
With the ‘speed trade’ channel, customers gain a better and more efficient platform
for transactions. It has a terminal at the user end, connected to Intime Equities limited
system through a TCP/IP link. When a Web trade request is made, it travels via
HTTP/HTTPS.
But with this speed trade transaction, the transfer of information is directly with the
trading system and is entirely live, Intime Equities limited uses 128-bit SSL
encryption technology by verisign and can also operate on cable connections, GPRS
and dial up. The offline model is more personalized in the sense that it provides the
customer the opportunity to interact with a human voice through the IVR or a team of
customer service executives over the telephone.
BET’s GLOBAL BUSINESS SCHOOL, BELAGAVI Page 27
INTIME EQUITIES LIMITED
4.7 CURRENT STATUS
The total income during the year 2013-14 stood at Rs. 828.65 lakhs as against Rs.
247.76 lakhs during the previous year. The company has incurred a loss of Rs. 4.47
lakhs as compared to a loss of Rs. 419.49 lakhs in the previous year. The loss after tax
stood at Rs. 24.06 lakhs as against a loss of Rs. 403.12 lakhs in the previous year.
During the year the total income increased considerably and also the losses have
been reduced to a substantial extent as against those in the previous year.
The consolidated income during the year 2013-14 stood at Rs.6,101.48 lakhs as
against Rs.6,289.02 lakhs during the previous year. The consolidated income has
been marginally reduced as compared to that of the previous year. During the year
under review, the company has on consolidated basis incurred a loss of Rs. 124.21
lakhs after tax as against a loss of Rs 1,261.87 lakhs in the previous year. The
consolidated loss after tax has been substantially reduced as compared to that of the
previous year.
4.6 FUTURE PLANS
• To expand the business in the upcoming years.
• To provide good dividend to the client.
4.7 AWARDS AND ACHIEVEMENTS
They don’t have no awards and achievements
BET’s GLOBAL BUSINESS SCHOOL, BELAGAVI Page 28
INTIME EQUITIES LIMITED
4.10 SWOT ANALYSIS
 STRENGTHS
• Provides advice regarding the suitability or profitability of a scrip or
investment or any other tax or legal advice it may add on from time to time
which in turn build a strong relation with the investors.
• Emerging as a leading merchant banking leveraging on the strength in stock
broking distribution and research.
• Having strong and talent able execution team.
• Providing efficient depository participants services to its clients.
 WEAKNESSES
• Relatively high account opening charge.
• Do not provide facility to book limit order trades during after hours .
• High risk exposure as seen by conservative population.
• Less emphasis and advertising cause lack of brand visibility.
 OPPORTUNITIES
• Huge and vast untapped market.
• Increasing industry size.
• High income urban families.
• More penetration into the growing cities.
 THREATS
• There are many competitors entering into the segment.
• Low brokerages and low A/C opening charges in the other security offerings.
• Entry of foreign firms in Indian market.
BET’s GLOBAL BUSINESS SCHOOL, BELAGAVI Page 29
INTIME EQUITIES LIMITED
5.1 DATA ANALYSIS AND INTERPRETATION
1. BANKING SECTORS
1. State Bank of India
1. Exponential Moving Average:- For the period 1st
January 2014 to 9th
March 2015
Smoothing
constant
DATE OPEN CLOSE 26-day
SMA
2/(26+1) EMA
23/06/201
4
258.40 263.90 198.25 198.25
30/06/201
4
265.00 269.81 202.01 0.07 203.55
07/07/201
4
269.71 256.25 205.68 0.07 207.45
14/07/201
4
242.00 256.25 209.30 0.07 211.07
21/07/201
4
256.10 250.06 212.68 0.07 213.95
28/07/201
4
250.52 243.72 216.19 0.07 216.16
04/08/201
4
245.30 241.80 219.62 0.07 218.06
11/08/201
4
243.00 236.25 223.03 0.07 219.41
18/08/201
4
236 252.47 226.96 0.07 221.85
25/08/201
4
253.00 246.07 230.53 0.07 223.65
01/09/201
4
247.70 251.58 233.86 0.07 225.72
BET’s GLOBAL BUSINESS SCHOOL, BELAGAVI Page 30
INTIME EQUITIES LIMITED
08/09/201
4
253.72 252.56 237.21 0.07 227.71
15/09/201
4
261.38 256.80 240.54 0.07 229.86
22/09/201
4
255.10 244.53 242.63 0.07 230.95
29/09/201
4
245.10 242.34 244.64 0.07 231.79
06/10/201
4
242.34 245.19 246.40 0.07 232.78
13/10/201
4
243.00 252.00 248.33 0.07 234.21
20/10/201
4
257.00 257.00 250.20 0.07 235.89
27/10/201
4
259.00 270.28 252.71 0.07 238.44
03/11/201
4
270.60 274.25 254.90 0.07 241.09
10/11/201
4
275.90 278.79 256.33 0.07 243.89
17/11/201
4
279.40 305.50 257.49 0.07 248.45
24/11/201
4
307.80 321.40 260.07 0.07 253.85
01/12/201
4
322.80 317.55 261.75 0.07 258.57
08/12/201
4
318.60 311.35 263.69 0.07 262.48
15/12/201
4
308.30 304.15 265.45 0.07 265.57
22/12/201
4
306.30 307.65 267.14 0.07 268.69
29/12/201
4
309.50 315.25 268.89 0.07 272.13
05/01/201
5
316.25 303.20 270.69 0.07 274.44
12/01/201
5
304.15 315.45 272.97 0.07 277.47
19/01/201
5
316.55 327.45 275.94 0.07 281.18
26/01/201
5
327.45 308.95 278.45 0.07 283.23
02/02/201
5
309.50 290.30 280.32 0.07 283.76
09/02/201
5
289.50 306.95 283.04 0.07 285.47
16/02/201
5
310.60 302.30 284.95 0.07 286.72
23/02/201
5
303.20 299.90 287.03 0.07 287.70
BET’s GLOBAL BUSINESS SCHOOL, BELAGAVI Page 31
INTIME EQUITIES LIMITED
02/03/015 305.90 315.00 289.46 0.07 289.72
09/03/201
5
292.00 286.85 290.78 0.07 289.51
1.Graph:- State Bank of India
INTERPRETATION
The above graph show that the SBI stock is growing in bullish trend.The
data collected of One year as calculated by simple moving avrage as well as
Exponential Moving Average method the abouve graph points that the movining
avrage and exponential moving average stock of SBI is slightly increasing.It is giving
a clear picture of uptrend price future movement of 350.
The SBI stock have strong support level is 256 and restent level is 276. This
resistance break out the stock price will go up to Rs350 to 375.
The line of the exponential moving average is going to uptraind . A rising of the of
moving average reflecting a long-term uptrend.
BET’s GLOBAL BUSINESS SCHOOL, BELAGAVI Page 32
INTIME EQUITIES LIMITED
2.HDFC Bank:-
2. Exponential Moving Average:- For the period 1January2014 to 9March2015
Smoothing
constant
DATE OPEN CLOSE 26-day
SMA
2/(26+1) EMA
23/06/201
4
824.0 816.2 725.8 725.8
30/6/2014 819.9 856.7 733.3 0.1 735.5
07/07/201
4
859.9 811.8 739.0 0.1 741.2
14/07/201
4
815.0 832.5 745.5 0.1 747.9
21/07/201
4
841.7 835.5 751.7 0.1 754.4
28/07/201
4
838.5 815.5 758.9 0.1 758.9
04/08/201
4
819.0 796.2 764.6 0.1 761.7
11/08/201
4
801.0 826.7 771.7 0.1 766.5
18/08/201
4
830.0 846.8 778.7 0.1 772.4
25/08/201
4
843.0 843.6 785.9 0.1 777.7
01/09/201
4
845.9 848.5 791.2 0.1 783.0
08/09/201
4
851.0 855.7 796.0 0.1 788.3
15/09/201
4
850.0 860.3 800.8 0.1 793.7
22/09/201
4
857.0 871.7 805.7 0.1 799.4
29/09/201
4
873.0 868.0 811.2 0.1 804.5
06/10/201
4
868.0 867.3 816.1 0.1 809.2
13/10/201
4
864.0 885.3 823.0 0.1 814.8
20/10/201
4
894.0 893.7 829.4 0.1 820.6
27/10/201
4
899.1 911.9 836.9 0.1 827.4
03/11/201
4
915.2 899.5 842.4 0.1 832.7
10/11/201
4
899.5 930.1 847.2 0.1 840.0
17/11/201
4
930.0 932.9 852.7 0.1 846.8
BET’s GLOBAL BUSINESS SCHOOL, BELAGAVI Page 33
INTIME EQUITIES LIMITED
24/11/201
4
932.4 957.2 859.1 0.1 855.0
01/12/201
4
958.3 942.8 864.0 0.1 861.5
08/12/201
4
945.0 931.5 867.7 0.1 866.7
15/12/201
4
930.0 941.5 872.3 0.1 872.2
22/12/201
5
954.0 948.7 877.3 0.1 877.9
29/12/201
4
950.1 965.3 881.5 0.1 884.4
05/01/201
5
970.0 975.7 887.8 0.1 891.1
12/01/201
5
969.4 1001.4 894.3 0.1 899.3
19/01/201
5
1013.3 1042.8 902.3 0.1 909.9
26/01/201
5
1042.8 1077.4 912.4 0.1 922.3
02/02/201
5
1068.5 1093.0 923.8 0.1 935.0
09/02/201
5
1047.0 1065.8 933.0 0.1 944.7
23/02/201
5
1077.1 1054.0 941.0 0.1 952.8
2/3/2015 1080.4 1085.1 950.2 0.1 962.6
09/03/201
5
1077.1 1042.7 957.7 0.1 968.5
2.Graph:- HDFC Bank
INTERPRETATION:
BET’s GLOBAL BUSINESS SCHOOL, BELAGAVI Page 34
INTIME EQUITIES LIMITED
The above graph show that the HDFC Bank is growing in bullish trend.The
data collected of one year as calculated by simple moving avrage as well as
Exponential Moving Average method the abouve graph points that the movining
avrage and exponential moving average stock of HDFC Bank is slightly increasing.It
is giving a clear picture of uptrend price future movement of 933.509
The HDFC Bank have strong support level is 810.123 and restent level is 859.677.
This resistance break out the stock price will go up to Rs980 to1000.
The line of the exponential moving average is going to uptraind . A rising of the of
moving average reflecting a long-term uptrend.
3. ICICI Bank
3. Exponential Moving Average:-For the period 1January2014 to 9March2015
Smoothing
constant
DATE OPEN CLOSE 26-day
SMA
2/(26+1) EMA
23/06/201
4
280.00 276.93 244.13 244.13
30/06/201
4
278.40 292.57 247.17 0.07 247.72
07/07/201
4
293.78 271.32 249.73 0.07 249.46
14/07/201
4
274.98 296.09 253.16 0.07 252.92
21/07/201
4
297.60 295.13 256.37 0.07 256.04
28/07/201 296.80 295.13 260.12 0.07 258.94
BET’s GLOBAL BUSINESS SCHOOL, BELAGAVI Page 35
INTIME EQUITIES LIMITED
4
04/08/201
4
298.42 287.43 263.79 0.07 261.05
11/08/201
4
289.19 295.93 267.57 0.07 263.63
18/08/201
4
297.30 307.91 271.52 0.07 266.91
25/08/201
4
308.50 311.36 275.47 0.07 270.21
01/09/201
4
311.60 309.41 278.13 0.07 273.11
08/09/201
4
312.50 312.88 280.81 0.07 276.06
15/09/201
4
313.11 314.44 283.68 0.07 278.90
22/09/201
4
312.00 295.59 285.36 0.07 280.14
29/09/201
5
295.86 285.77 286.89 0.07 280.55
06/10/201
4
285.77 291.79 288.60 0.07 281.39
13/10/201
4
289.40 301.04 290.47 0.07 282.84
20/10/201
4
309.77 314.20 292.78 0.07 285.16
27/10/201
4
316.47 325.33 295.66 0.07 288.14
03/11/201
4
325.20 336.94 298.01 0.07 291.75
10/11/201
4
336.14 338.46 299.76 0.07 295.21
17/11/201
4
337.40 346.14 301.83 0.07 298.99
24/11/201
4
348.00 355.80 304.61 0.07 303.19
01/12/201
4
353.20 359.80 307.02 0.07 307.39
08/12/201
4
360.90 346.30 309.35 0.07 310.27
15/12/201
4
342.80 356.00 312.30 0.07 313.66
22/12/201
4
355.50 350.95 315.14 0.07 316.42
29/12/201
4
350.00 362.30 317.82 0.07 319.82
05/01/201
5
365.30 341.85 320.54 0.07 321.45
12/01/201
5
342.75 353.85 322.76 0.07 323.85
19/01/201 355.50 370.70 325.67 0.07 327.32
BET’s GLOBAL BUSINESS SCHOOL, BELAGAVI Page 36
INTIME EQUITIES LIMITED
5
26/01/201
5
370.70 360.70 328.19 0.07 329.79
02/02/201
5
360.30 329.35 329.80 0.07 329.76
09/02/201
5
327.50 343.85 331.64 0.07 330.80
16/02/201
5
346.95 330.95 332.53 0.07 330.81
23/02/201
5
333.00 335.25 333.45 0.07 331.14
02/03/201
5
350.85 347.75 334.92 0.07 332.37
09/03/201
5
342.00 330.20 335.59 0.07 332.21
3.Graph:- ICICI Bank
INTERPRETATION
The above graph shows that the ICICI Bank is growing in bullish trend for the
data collected of one year is calculate by simple moving average as well as
exponential moving average method the above graph point that the moving average
and exponential moving average of ICICI bank price is decreasing it is giving a clear
picture of downwards trends future movement. It indicates a massage to investors to
sell the stock
The ICICI Bank have a strong support level is 298.66 and resistance level is 322.96.
The line of the exponential moving average is going to uptraind . A rising of the of
moving average reflecting a long-term uptrend.
BET’s GLOBAL BUSINESS SCHOOL, BELAGAVI Page 37
INTIME EQUITIES LIMITED
4. INFRASTRUCTURE SECTORS
4. BHEL (Bharat Heavy Electricals).
4.Exponential Moving Average:- For the period 1Jan2014 to 9Mar2015
Smoothing constant
DATE OPEN CLOSE 26-day SMA 2/(26+1) EMA
30/06/201
4
245.500 262.900 195.804 195.804
07/07/201
4
264.000 223.250 198.027 0.069 197.837
14/07/201
4
223.700 238.650 200.937 0.069 200.860
21/7/2014 239.000 227.050 203.060 0.069 202.800
28/07/201
4
228.150 224.100 205.333 0.069 204.378
04/08/201
4
225.100 220.900 207.185 0.069 205.602
11/08/201
4
223.100 212.950 209.385 0.069 206.146
18/08/201
4
212.000 227.500 212.423 0.069 207.728
25/08/201
4
228.350 240.900 215.896 0.069 210.185
01/09/201
4
240.700 222.800 218.013 0.069 211.119
08/09/201
4
223.450 220.700 219.392 0.069 211.829
15/09/201
4
218.500 226.500 220.875 0.069 212.916
22/09/201
4
224.500 205.350 221.552 0.069 212.355
29/09/201
4
205.900 199.450 221.527 0.069 211.399
BET’s GLOBAL BUSINESS SCHOOL, BELAGAVI Page 38
INTIME EQUITIES LIMITED
06/10/201
4
199.450 221.600 222.992 0.069 212.155
13/10/201
4
216.650 226.750 224.581 0.069 213.236
20/10/201
4
231.700 241.700 226.906 0.069 215.345
27/10/201
4
248.000 256.700 229.425 0.069 218.408
03/11/201
4
258.000 249.000 232.065 0.069 220.674
10/11/201
4
249.100 245.850 234.058 0.069 222.539
17/11/201
4
243.250 252.250 234.852 0.069 224.740
24/11/201
4
252.150 283.800 235.300 0.069 229.115
01/12/201
4
281.750 272.200 236.454 0.069 232.306
08/12/201
4
272.550 247.350 235.862 0.069 233.420
15/12/201
4
244.900 259.050 236.681 0.069 235.319
22/12/201
4
259.650 251.550 236.954 0.069 236.521
29/12/201
4
252.600 275.300 237.431 0.069 239.394
05/01/201
5
276.000 254.750 238.642 0.069 240.531
12/01/201
5
254.600 273.850 239.996 0.069 242.999
19/01/201
5
274.200 279.100 241.998 0.069 245.673
26/01/201
5
279.100 291.750 244.600 0.069 249.087
02/02/201
5
291.400 264.150 246.263 0.069 250.202
09/02/201
5
261.500 259.350 248.048 0.069 250.880
16/02/201
5
259.350 276.300 249.925 0.069 252.763
23/02/201
5
277.000 270.900 251.079 0.069 254.106
02/03/201
5
263.450 270.350 252.908 0.069 255.310
09/03/201
5
267.000 254.750 254.217 0.069 255.268
4.Graph:- BHEL(Bharat Heavy Electricals).
BET’s GLOBAL BUSINESS SCHOOL, BELAGAVI Page 39
INTIME EQUITIES LIMITED
INTERPRETATION
The above graph show that the BHEL(Bharat Heavy Electricals) is
growing in bullish trend.The data collected of one year as calculated by simple
moving avrage as well as Exponential Moving Average method the abouve graph
points that the movining avrage and exponential moving average stock of
BHEL(Bharat Heavy Electricals) is slightly increasing.It is giving a clear picture of
uptrend price future movement of 249.87
The BHEL (Bharat Heavy Electricals)have strong support level is 216.65 and restent
level is 237.04. This resistance break out the stock price will go up to Rs265 to 280.
The line of the exponential moving average is going to uptraind . A rising of the of
moving average reflecting a long-term uptrend.
5. Larsen and Toubro:-
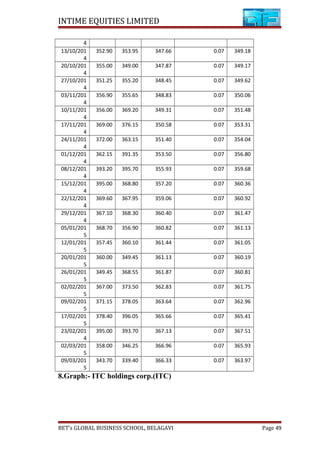
BET’s GLOBAL BUSINESS SCHOOL, BELAGAVI Page 40
INTIME EQUITIES LIMITED
5. Exponential Moving Average:- For the period 1January2014 to 9March2015
Smoothing
constant
DATE OPEN CLOSE 26-day SMA 2/(26+1) EMA
30/06/201
4
1652.000 1667.300 1270.900 1270.900
07/07/201
4
1675.000 1742.700 1299.002 0.069 1305.848
14/07/201
4
1750.000 1574.350 1322.783 0.069 1325.737
21/7/2014 1575.000 1686.500 1349.077 0.069 1352.460
28/07/201
4
1476.100 1442.800 1365.863 0.069 1359.152
04/08/201
4
1663.450 1468.700 1384.433 0.069 1367.267
11/08/201
4
1450.200 1484.100 1403.662 0.069 1375.921
18/08/201
4
1485.100 1540.000 1424.710 0.069 1388.075
25/08/201
4
1545.000 1526.500 1442.838 0.069 1398.329
01/09/201
4
1535.000 1612.600 1462.183 0.069 1414.201
08/09/201
4
1622.200 1578.700 1476.800 0.069 1426.386
15/09/201
4
1569.050 1532.450 1487.473 0.069 1434.242
22/09/201
4
1523.900 1476.000 1497.450 0.069 1437.336
29/09/201
4
1475.850 1446.850 1503.554 0.069 1438.040
06/10/201
4
1446.850 1461.700 1510.654 0.069 1439.793
13/10/201
4
1447.400 1452.900 1516.592 0.069 1440.764
20/10/201
4
1482.300 1553.750 1527.546 0.069 1449.133
27/10/201
4
1566.000 1655.450 1539.298 0.069 1464.416
03/11/201
4
1661.000 1653.800 1554.308 0.069 1478.444
10/11/201
4
1615.000 1621.650 1565.037 0.069 1489.052
17/11/201
4
1621.000 1666.300 1574.213 0.069 1502.182
24/11/201
4
1671.000 1639.350 1579.035 0.069 1512.342
01/12/201
4
1631.200 1628.500 1582.227 0.069 1520.947
08/12/201 1630.000 1510.950 1575.300 0.069 1520.206
BET’s GLOBAL BUSINESS SCHOOL, BELAGAVI Page 41
INTIME EQUITIES LIMITED
4
15/12/201
4
1500.000 1535.150 1569.500 0.069 1521.313
22/12/201
4
1538.000 1490.200 1563.433 0.069 1519.008
29/12/201
4
1495.150 1534.650 1558.331 0.069 1520.167
05/01/201
5
1545.350 1500.250 1549.006 0.069 1518.692
12/01/201
5
1503.900 1591.750 1549.675 0.069 1524.103
19/01/201
5
1603.000 1711.300 1550.629 0.069 1537.970
26/01/201
5
1711.300 1700.550 1560.542 0.069 1550.013
02/02/201
5
1696.000 1683.550 1568.806 0.069 1559.904
09/02/201
5
1663.300 1662.150 1575.654 0.069 1567.478
16/02/201
5
1665.000 1677.600 1580.946 0.069 1575.635
23/02/201
5
1686.450 1758.950 1589.887 0.069 1589.214
02/03/201
5
1782.000 1826.050 1598.096 0.069 1606.758
09/03/201
5
1817.200 1692.150 1602.460 0.069 1613.083
5.Graph: Larsen and Toubro
INTERPRETATION
The above graph show that the Larsen and Toubro is growing in bullish
trend.The data collected of 1year as calculated by simple moving avrage as well as
BET’s GLOBAL BUSINESS SCHOOL, BELAGAVI Page 42
INTIME EQUITIES LIMITED
Exponential Moving Average method the abouve graph points that the movining
avrage and exponential moving
average stock of Larsen and Toubro is slightly increasing.It is giving a clear picture of
uptrend price future movement of 1585.841
The Larsen and Toubro have strong support level is 1500.250 and restent level is
1578.370. This resistance break out the stock price will go up to Rs1595to1600.
The line of the exponential moving average is going to uptraind . A rising of the of
moving average reflecting a long-term uptrend.
6.Adani Ports and Special Economic Zone
6. Exponential Moving Average:- For the period 1January2014 to 9March2015
Smoothing
constant
DATE OPEN CLOSE 26-day SMA 2/(26+1) EMA
23/06/201
4
234.450 231.500 188.292 188.292
30/06/201
4
233.000 275.150 193.102 0.069 194.726
07/07/201
4
277.800 249.250 196.990 0.069 198.765
14/07/201
4
249.900 287.750 202.335 0.069 205.356
21/07/201
4
290.000 268.250 207.085 0.069 210.015
28/7/2014 268.400 259.100 211.413 0.069 213.651
04/08/201
4
261.850 262.050 215.810 0.069 217.236
11/08/201 266.550 272.400 220.633 0.069 221.322
BET’s GLOBAL BUSINESS SCHOOL, BELAGAVI Page 43
INTIME EQUITIES LIMITED
4
18/08/201
4
274.800 297.300 225.656 0.069 226.950
25/8/2014 296.500 282.850 230.102 0.069 231.091
02/09/201
4
285.000 289.450 234.046 0.069 235.414
08/09/201
4
291.500 293.350 238.285 0.069 239.706
15/09/201
4
291.900 284.600 242.252 0.069 243.031
22/09/201
4
284.000 279.100 245.833 0.069 245.703
29/09/201
4
281.000 274.600 249.473 0.069 247.843
06/10/201
4
274.600 258.750 251.977 0.069 248.651
13/10/201
4
259.500 250.200 253.975 0.069 248.766
20/10/201
4
254.000 268.150 256.646 0.069 250.202
27/10/201
4
270.300 284.550 260.433 0.069 252.746
03/11/201
4
287.000 292.800 263.825 0.069 255.713
10/11/201
4
294.950 297.250 266.617 0.069 258.790
17/11/201
4
297.900 302.450 269.502 0.069 262.024
24/11/201
4
304.000 290.300 271.981 0.069 264.119
01/12/201
4
290.000 284.550 273.019 0.069 265.632
08/12/201
4
281.700 277.850 274.838 0.069 266.537
15/12/201
4
275.500 289.100 277.025 0.069 268.208
22/12/201
4
289.800 288.550 279.219 0.069 269.715
29/12/201
4
290.350 320.000 280.944 0.069 273.440
05/01/201
5
320.500 331.150 284.094 0.069 277.715
12/01/201
5
331.500 330.950 285.756 0.069 281.658
20/01/201
5
332.000 346.050 288.748 0.069 286.428
26/01/201
5
346.050 340.500 291.879 0.069 290.433
02/02/201
5
341.450 300.100 293.342 0.069 291.149
BET’s GLOBAL BUSINESS SCHOOL, BELAGAVI Page 44
INTIME EQUITIES LIMITED
09/02/201
5
298.000 335.500 295.769 0.069 294.435
17/02/201
5
336.050 329.250 296.998 0.069 297.013
23/02/201
5
331.400 345.900 299.423 0.069 300.635
02/03/201
5
330.200 332.500 301.079 0.069 302.995
09/03/201
5
332.400 306.700 301.592 0.069 303.270
6.Graph:- Adani Ports and Special Economic Zone
INTERPRETATION
The above graph show that the Adani Ports and Special Economic Zone is
growing in bullish trend.The data collected of 1year as calculated by simple moving
avrage as well as
Exponential Moving Average method the abouve graph points that the movining
avrage and exponential moving average stock of Adani Ports and Special Economic
Zone is slightly increasing.It is giving a clear picture of uptrend price future
movement of 298.755
The Adani Ports and Special Economic Zone have strong support level is 262.903 and
restent level is 275.837. This resistance break out the stock price will go up to
Rs320to350
The line of the exponential moving average is going to uptraind . A rising of the of
moving average reflecting a long-term uptrend.
BET’s GLOBAL BUSINESS SCHOOL, BELAGAVI Page 45
INTIME EQUITIES LIMITED
7. F.M.C.G SECTORS
7. Colgate-Palmolive co.(CL)
7. Exponential Moving Average:-For the period 1January2014 to 9March2015
Smoothing constant
DATE OPEN CLOSE 26-day
SMA
2/(26+1) EMA
23/06/2014 68.350 68.430 65.086 65.086
30/06/2014 68.310 68.820 65.264 0.069 65.362
07/07/2014 68.790 69.520 65.435 0.069 65.670
14/07/2014 69.780 68.900 65.597 0.069 65.910
21/07/2014 68.560 67.590 65.797 0.069 66.034
28/7/2014 67.640 63.950 65.901 0.069 65.880
04/08/2014 63.880 65.180 66.067 0.069 65.828
11/08/2014 65.340 64.130 66.123 0.069 65.702
18/08/2014 64.350 64.570 66.239 0.069 65.618
25/8/2014 64.920 64.730 66.312 0.069 65.552
02/09/2014 64.440 64.860 66.378 0.069 65.501
08/09/2014 64.440 64.480 66.403 0.069 65.426
15/09/2014 64.220 65.280 66.473 0.069 65.415
22/09/2014 65.450 65.700 66.535 0.069 65.436
29/09/2014 65.410 65.460 66.583 0.069 65.438
06/10/2014 65.160 65.290 66.582 0.069 65.427
13/10/2014 65.350 63.730 66.458 0.069 65.301
20/10/2014 63.580 65.350 66.424 0.069 65.305
27/10/2014 65.330 66.880 66.416 0.069 65.421
03/11/2014 66.800 68.050 66.431 0.069 65.616
10/11/2014 67.920 67.560 66.456 0.069 65.760
17/11/2014 67.480 68.340 66.518 0.069 65.951
24/11/2014 68.500 69.590 66.563 0.069 66.221
01/12/2014 68.670 69.370 66.615 0.069 66.454
08/12/2014 69.500 68.570 66.643 0.069 66.611
15/12/2014 68.650 69.980 66.704 0.069 66.860
22/12/2014 69.960 70.880 66.798 0.069 67.158
BET’s GLOBAL BUSINESS SCHOOL, BELAGAVI Page 46
INTIME EQUITIES LIMITED
29/12/2014 70.650 69.040 66.807 0.069 67.297
05/01/2015 68.940 68.600 66.772 0.069 67.394
12/01/2015 68.600 69.170 66.782 0.069 67.526
20/01/2015 69.040 67.140 66.765 0.069 67.497
26/01/2015 66.960 67.520 66.902 0.069 67.499
02/02/2015 67.360 69.300 67.060 0.069 67.632
09/02/2015 69.130 70.080 67.289 0.069 67.813
17/02/2015 70.000 70.240 67.507 0.069 67.993
23/02/2015 71.010 70.820 67.742 0.069 68.203
02/03/2015 70.820 69.250 67.910 0.069 68.280
09/03/2015 69.120 68.460 68.063 0.069 68.293
7.Graph:- Colgate-Palmolive co.(CL)
INTERPRETATION
The above graph show that the Colgate-Palmolive co.(CL) is growing in
bearish trend.The data collected of one year as calculated by simple moving avrage as
well as Exponential Moving Average method the abouve graph points that the
movining avrage and exponential moving average stock of Colgate-Palmolive co.(CL)
is slightly increasing.It is giving a clear picture of uptrend price future movement of
67.821
The have strong support level is 66.92 and restent level is 66.388. This resistance
break out the stock price will go up 70 to 75
The line of the exponential moving average is going to uptraind . A rising of the of
moving average reflecting a long-term uptrend. The line of the exponential moving
average is cuting the line of the close which clear indicates that the future moviment
of the stock well full.
BET’s GLOBAL BUSINESS SCHOOL, BELAGAVI Page 47
INTIME EQUITIES LIMITED
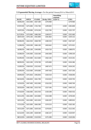
8. ITC holdings corp.(ITC)
8. Exponential Moving Average:-For the period 1January2014 to 9March2015
Smoothing
constant
DATE OPEN CLOSE 26-day
SMA
2/(26+1) EMA
23/06/201
4
335.00 319.75 336.11 336.11
30/06/201
4
320.60 333.40 336.83 0.07 335.91
07/07/201
4
333.40 345.90 337.72 0.07 336.65
14/07/201
4
347.25 344.10 338.46 0.07 337.20
21/07/201
4
345.00 357.30 339.73 0.07 338.69
28/07/201
4
355.25 349.55 340.68 0.07 339.49
04/08/201
4
354.00 348.55 341.64 0.07 340.16
11/08/201
4
350.50 356.85 343.07 0.07 341.40
18/08/201
4
354.60 343.65 344.07 0.07 341.57
25/08/201
4
346.70 355.30 345.13 0.07 342.58
02/09/201
4
358.00 350.80 345.62 0.07 343.19
08/09/201
4
353.00 355.65 345.94 0.07 344.12
15/09/201
4
354.45 359.40 346.01 0.07 345.25
22/09/201
4
359.00 371.70 346.52 0.07 347.21
29/09/201
4
370.70 364.10 347.26 0.07 348.46
06/10/201 364.10 353.10 347.63 0.07 348.80
BET’s GLOBAL BUSINESS SCHOOL, BELAGAVI Page 48
INTIME EQUITIES LIMITED
4
13/10/201
4
352.90 353.95 347.66 0.07 349.18
20/10/201
4
355.00 349.00 347.87 0.07 349.17
27/10/201
4
351.25 355.20 348.45 0.07 349.62
03/11/201
4
356.90 355.65 348.83 0.07 350.06
10/11/201
4
356.00 369.20 349.31 0.07 351.48
17/11/201
4
369.00 376.15 350.58 0.07 353.31
24/11/201
4
372.00 363.15 351.40 0.07 354.04
01/12/201
4
362.15 391.35 353.50 0.07 356.80
08/12/201
4
393.20 395.70 355.93 0.07 359.68
15/12/201
4
395.00 368.80 357.20 0.07 360.36
22/12/201
4
369.60 367.95 359.06 0.07 360.92
29/12/201
4
367.10 368.30 360.40 0.07 361.47
05/01/201
5
368.70 356.90 360.82 0.07 361.13
12/01/201
5
357.45 360.10 361.44 0.07 361.05
20/01/201
5
360.00 349.45 361.13 0.07 360.19
26/01/201
5
349.45 368.55 361.87 0.07 360.81
02/02/201
5
367.00 373.50 362.83 0.07 361.75
09/02/201
5
371.15 378.05 363.64 0.07 362.96
17/02/201
5
378.40 396.05 365.66 0.07 365.41
23/02/201
4
395.00 393.70 367.13 0.07 367.51
02/03/201
5
358.00 346.25 366.96 0.07 365.93
09/03/201
5
343.70 339.40 366.33 0.07 363.97
8.Graph:- ITC holdings corp.(ITC)
BET’s GLOBAL BUSINESS SCHOOL, BELAGAVI Page 49
INTIME EQUITIES LIMITED
INTERPRETATION
The above graph show that the ITC holding corporation (ITC) is growing
in bearish trend and the chart also showes that the stock is moving in trading zon. The
data collected of one year as calculated by simple moving avrage as well as
Exponential Moving Average method the abouve graph points that the movining
avrage and exponential moving average stock of ITC holding corporation (ITC) is
slightly increasing.It is giving a clear picture of downtrend price future movement of
361.84
The ITC holding corporation (ITC) have strong support level is 338.650 and restent
level is 353.25. This resistance break out the stock price will go up to Rs380to400.
The line of the exponential moving average is crossing the closing price line which
means that the price of the stock well fall in the future.
The line of the exponential moving average is going to uptraind . A rising of the of
moving average reflecting a long-term uptrend.
9. Procter and Gamble CO
BET’s GLOBAL BUSINESS SCHOOL, BELAGAVI Page 50
INTIME EQUITIES LIMITED
9.Exponential Moving Average:- For the period 1January2014 to 9March2015
Smoothing
constant
DATE OPEN CLOSE 26-day
SMA
2/(26+1) EMA
23/06/201
4
80.060 79.020 79.732 79.732
30/06/201
4
79.010 79.980 79.714 0.069 79.751
07/07/201
4
79.750 81.160 79.747 0.069 79.855
14/07/201
4
81.360 80.550 79.773 0.069 79.907
21/07/201
4
80.330 79.560 79.788 0.069 79.881
28/7/2014 79.410 79.650 79.904 0.069 79.864
04/08/201
4
81.230 81.780 80.076 0.069 80.006
11/08/201
4
79.460 80.950 80.136 0.069 80.076
18/08/201
4
81.990 83.390 80.344 0.069 80.321
25/08/201
4
83.740 83.110 80.515 0.069 80.528
02/09/201
4
83.210 83.770 80.723 0.069 80.768
08/09/201
4
83.570 83.260 80.887 0.069 80.953
15/09/201
4
83.180 84.470 81.141 0.069 81.213
22/09/201
4
84.640 84.580 81.326 0.069 81.462
29/09/201
4
84.110 83.790 81.481 0.069 81.635
06/10/201
4
83.570 84.690 81.632 0.069 81.861
13/10/201
4
84.310 83.270 81.690 0.069 81.966
20/10/201
4
83.250 85.160 81.834 0.069 82.202
27/10/201
4
84.960 87.270 82.040 0.069 82.578
03/11/201
4
86.660 89.130 82.299 0.069 83.063
10/11/201
4
88.920 88.110 82.598 0.069 83.437
17/11/201
4
88.000 88.600 82.909 0.069 83.819
24/11/201
4
88.880 90.430 83.280 0.069 84.309
BET’s GLOBAL BUSINESS SCHOOL, BELAGAVI Page 51
INTIME EQUITIES LIMITED
01/12/201
4
90.170 90.380 83.678 0.069 84.759
08/12/201
4
90.340 89.550 84.059 0.069 85.114
15/12/201
4
89.700 92.050 84.525 0.069 85.627
22/12/201
4
92.100 93.460 85.081 0.069 86.208
29/12/201
4
93.120 90.440 85.483 0.069 86.521
05/01/201
5
90.230 90.250 85.833 0.069 86.797
12/01/201
5
90.480 91.250 86.244 0.069 87.127
20/01/201
5
91.250 90.080 86.649 0.069 87.346
26/01/201
5
89.950 84.290 86.827 0.069 87.119
02/02/201
5
84.580 85.610 86.975 0.069 87.008
09/02/201
5
85.310 85.900 87.165 0.069 86.926
17/02/201
5
86.060 84.870 87.222 0.069 86.773
23/02/201
5
84.960 85.130 87.300 0.069 86.652
02/03/201
5
85.130 82.660 87.257 0.069 86.356
09/03/201
5
82.790 81.830 87.202 0.069 86.021
9.Graph:- Procter and Gamble CO
INTERPRETATION
The above graph show that the Procter and Gamble CO is growing in bearish
trend.The data collected of one year as calculated by simple moving avrage as well as
BET’s GLOBAL BUSINESS SCHOOL, BELAGAVI Page 52
INTIME EQUITIES LIMITED
Exponential Moving Average method the abouve graph points that the movining
avrage and exponential moving average stock of Procter and Gamble CO is slightly
increasing.It is giving a clear picture of uptrend price future movement of 86.98
The Procter and Gamble CO have strong support level is 83.27 and restent level is
80.729. This resistance break out the stock price will go up to Rs90 to 95
The line of the exponential moving average is falling . A falling of the of moving
average reflecting a long-term downtrend.
10.BANKING SECTORS
10. State Bank of India
Relative Strength index :- For the period 1January2014 to 9March2015
AVG
GAIN
AVG
LOSS
RS 30-
DAYS
DATE CLOSE CHANGE GAIN LOSS
30DAYS
30DAYS RSI
28/07/2014 244 -6 0 6.335 5.484 3.092 1.774 63.945
04/08/2014 242 -2 0 1.925 5.484 2.785 1.969 66.323
11/08/2014 236 -6 0 5.545 5.439 2.969 1.832 64.687
18/08/2014 252 16 16.22 0 5.980 2.968 2.015 66.829
25/08/2014 246 -6 0 6.4 5.980 2.857 2.093 67.669
01/09/2014 252 6 5.505 0 6.151 2.857 2.153 68.283
08/09/2014 253 1 0.985 0 6.184 2.682 2.306 69.748
15/09/2014 257 4 4.24 0 6.235 2.682 2.325 69.923
22/09/2014 245 -12 0 12.275 6.131 3.091 1.983 66.482
BET’s GLOBAL BUSINESS SCHOOL, BELAGAVI Page 53
INTIME EQUITIES LIMITED
29/09/2014 242 -2 0 2.19 5.743 3.164 1.815 64.477
06/10/2014 245 3 2.855 0 5.823 3.164 1.840 64.794
13/10/2014 252 7 6.81 0 5.890 3.164 1.862 65.054
20/10/2014 257 5 5 0 5.391 3.164 1.704 63.015
27/10/2014 270 13 13.28 0 5.831 3.164 1.843 64.823
03/11/2014 274 4 3.97 0 5.659 3.164 1.788 64.137
10/11/2014 279 5 4.54 0 5.733 3.164 1.812 64.436
17/11/2014 306 27 26.71 0 6.397 3.164 2.022 66.905
24/11/2014 321 16 15.9 0 6.927 3.041 2.278 69.494
01/12/2014 318 -4 0 3.85 6.510 3.169 2.054 67.258
08/12/2014 311 -6 0 6.2 5.697 3.376 1.688 62.792
15/12/2014 304 -7 0 7.2 4.576 3.616 1.266 55.860
22/12/2014 308 4 3.5 0 4.692 2.912 1.612 61.710
29/12/2014 315 8 7.6 0 4.287 2.912 1.472 59.555
05/01/2015 303 -12 0 12.05 4.287 2.874 1.492 59.871
12/01/2015 315 12 12.25 0 4.696 2.791 1.682 62.721
19/01/2014 327 12 12 0 4.909 2.791 1.759 63.756
26/01/2015 309 -19 0 18.5 4.712 3.408 1.383 58.034
02/02/2015 290 -19 0 18.65 4.712 3.577 1.317 56.846
09/02/2015 307 17 16.65 0 5.267 3.577 1.472 59.554
16/02/2015 302 -5 0 4.65 5.267 3.526 1.494 59.903
23/02/2015 300 -2 0 2.4 5.267 3.395 1.552 60.810
2/03/015 315 15 15.1 0 5.771 3.330 1.733 63.406
09/03/2015 287 -28 0 28.15 5.771 4.084 1.413 58.558
10.Graph: State Bank of India
INTERPRETATION
When the RSI has crossed the 30 line from below to above and is rising, a buying
opportunity is indicated. When it has crossed the 70 line from above to below and is
falling, a sell signal is indicated. In the month of 19th
January 2015 and 2nd
March
BET’s GLOBAL BUSINESS SCHOOL, BELAGAVI Page 54
INTIME EQUITIES LIMITED
2015 shows the sell signal. In the month of 15th
December 2014 and in the month of
2nd
February 2015 it indicates the buying signal.
11. HDFC Bank
Relative Strength Index :-It indicates HDFC Bank. For the period 1January2014
9March2015
AVG
GAIN
AVG
LOSS
RS 30-DAYS
DATE CLOSE CHANGE GAIN LOSS 30DAYS 30DAYS RSI
28/07/2014 815.45 -20.05 0 20.05 12.390 7.312 1.695 62.888
04/08/2014 796.15 -19.3 0 19.3 12.390 7.920 1.564 61.004
11/08/2014 826.7 30.55 30.55 0 13.310 7.920 1.681 62.694
18/08/2014 846.75 20.05 20.05 0 13.698 7.920 1.730 63.364
25/08/2014 843.55 -3.2 0 3.2 13.698 6.530 2.098 67.719
01/09/2014 848.45 4.9 4.9 0 13.220 6.530 2.025 66.937
08/09/2014 855.7 7.25 7.25 0 13.462 6.332 2.126 68.011
15/09/2014 860.25 4.55 4.55 0 12.860 6.332 2.031 67.008
22/09/2014 871.65 11.4 11.4 0 13.240 6.043 2.191 68.660
29/09/2014 868 -3.65 0 3.65 11.383 6.165 1.846 64.868
06/10/2014 867.3 -0.7 0 0.7 10.693 6.188 1.728 63.343
13/10/2014 885.25 17.95 17.95 0 11.235 6.188 1.816 64.482
20/10/2014 893.65 8.4 8.4 0 11.145 6.188 1.801 64.298
27/10/2014 911.85 18.2 18.2 0 11.752 5.538 2.122 67.968
03/11/2014 899.45 -12.4 0 12.4 11.328 5.952 1.903 65.557
10/11/2014 930.1 30.65 30.65 0 12.350 4.923 2.508 71.497
17/11/2014 932.85 2.75 2.75 0 11.805 4.923 2.398 70.569
24/11/2014 957.15 24.3 24.3 0 12.615 4.613 2.734 73.222
01/12/2014 942.75 -14.4 0 14.4 11.292 5.093 2.217 68.915
08/12/2014 931.5 -11.25 0 11.25 9.695 5.468 1.773 63.937
15/12/2014 941.45 9.95 9.95 0 10.027 4.967 2.019 66.874
BET’s GLOBAL BUSINESS SCHOOL, BELAGAVI Page 55
INTIME EQUITIES LIMITED
22/12/2015 948.65 7.2 7.2 0 10.163 4.967 2.046 67.173
29/12/2014 965.3 16.65 16.65 0 9.968 4.967 2.007 66.745
05/01/2015 975.65 10.35 10.35 0 9.642 4.967 1.941 66.001
12/01/2015 1001.35 25.7 25.7 0 10.498 4.518 2.323 69.911
19/01/2015 1042.8 41.45 41.45 0 11.880 4.327 2.746 73.303
26/01/2015 1077.35 34.55 34.55 0 11.683 4.327 2.700 72.975
02/02/2015 1093 15.65 15.65 0 12.205 2.832 4.310 81.168
09/02/2015 1065.8 -27.2 0 27.2 11.517 3.738 3.081 75.494
23/02/2015 1054 -11.8 0 11.8 11.415 4.132 2.763 73.424
2/3/2015 1085.1 31.1 31.1 0 12.452 3.463 3.595 78.239
09/03/2015 1042.65 -42.45 0 42.45 12.452 4.235 2.940 74.620
11.Graph:- HDFC Bank
INTERPRETATION
When the RSI has crossed the 30 line from below to above and is rising, a buying
opportunity is indicated. When it has crossed the 70 line from above to below and is
falling, a sell signal is indicated. In the month of 2nd
February 2015 and 2nd
March
2015 shows the sell signal. In the month of 8th
December 2014 and in the month of
23rd
February 2015 it indicates the buying signal.
BET’s GLOBAL BUSINESS SCHOOL, BELAGAVI Page 56
INTIME EQUITIES LIMITED
12. ICICI Bank:-
Relative Strength Index:-For the period 1January2014 to 9March2015
AVG
GAIN
AVG
LOSS
RS 30-
DAYS
DATE CLOSE CHANGE GAIN LOSS 30DAYS 30DAYS RSI
28/07/2014 295.13 0 0 0 5.808 3.082 1.884 65.331
04/08/2014 287.43 -7.7 0 7.7 5.808 3.057 1.900 65.517
11/08/2014 295.93 8.5 8.5 0 6.024 3.057 1.971 66.339
18/08/2014 307.91 11.98 11.98 0 6.266 3.057 2.050 67.211
25/08/2014 311.36 3.45 3.45 0 6.381 2.587 2.467 71.155
01/09/2014 309.41 -1.95 0 1.95 6.381 2.470 2.583 72.092
08/09/2014 312.88 3.47 3.47 0 6.310 2.470 2.555 71.867
15/09/2014 314.44 1.56 1.56 0 6.116 2.470 2.476 71.232
22/09/2014 295.59 -18.85 0 18.85 5.992 3.098 1.934 65.917
29/09/2015 285.77 -9.82 0 9.82 4.939 3.426 1.442 59.044
06/10/2014 291.79 6.02 6.02 0 5.052 3.426 1.475 59.592
13/10/2014 301.04 9.25 9.25 0 5.360 3.323 1.613 61.734
20/10/2014 314.2 13.16 13.16 0 5.401 3.323 1.626 61.913
27/10/2014 325.33 11.13 11.13 0 5.772 3.131 1.844 64.833
03/11/2014 336.94 11.61 11.61 0 6.122 3.131 1.955 66.162
10/11/2014 338.46 1.52 1.52 0 5.994 3.131 1.914 65.688
17/11/2014 346.14 7.68 7.68 0 6.199 3.131 1.980 66.442
24/11/2014 355.8 9.66 9.66 0 6.521 3.010 2.166 68.416
01/12/2014 359.8 289.624 289.624 0 15.012 12.209 1.230 55.148
08/12/2014 346.3 -13.5 0 13.5 14.434 12.659 1.140 53.275
15/12/2014 356 9.7 9.7 0 14.757 12.629 1.168 53.885
22/12/2014 350.95 -5.05 0 5.05 14.757 12.512 1.179 54.116
29/12/2014 362.3 11.35 11.35 0 14.680 12.512 1.173 53.986
05/01/2015 341.85 -20.45 0 20.45 14.680 12.808 1.146 53.406
12/01/2015 353.85 12 12 0 15.080 12.598 1.197 54.485
19/01/2015 370.7 16.85 16.85 0 15.642 12.516 1.250 55.550
26/01/2015 360.7 -10 0 10 15.121 12.850 1.177 54.060
02/02/2015 329.35 -31.35 0 31.35 15.121 13.186 1.147 53.417
09/02/2015 343.85 14.5 14.5 0 14.778 13.186 1.121 52.846
16/02/2015 330.95 -12.9 0 12.9 14.778 13.584 1.088 52.105
23/02/2015 335.25 4.3 4.3 0 14.922 13.584 1.098 52.346
02/03/2015 347.75 12.5 12.5 0 15.338 13.328 1.151 53.507
09/03/2015 330.2 -17.55 0 17.55 15.055 13.913 1.082 51.972
BET’s GLOBAL BUSINESS SCHOOL, BELAGAVI Page 57
INTIME EQUITIES LIMITED
12.Graph:- ICICI BANK
INTERPRETATION
When the RSI has crossed the 30 line from below to above and is rising, a buying
opportunity is indicated. When it has crossed the 70 line from above to below and is
falling, a sell signal is indicated. In the month of 19th
January 2015and 2nd
February
2015 shows the sell signal. In the month of 8th
December 2014 and in the month of
16th
February 2015 it indicates the buying signal.
13. INFRASTRUCTURE SECTORS
13.BHEL(Bharat Heavy Electricals).
BET’s GLOBAL BUSINESS SCHOOL, BELAGAVI Page 58
INTIME EQUITIES LIMITED
Relative Strength Index:- For the period 1January2014 to 9March2015
AVG
GAIN
AVG
LOSS
RS 30-
DAYS
DATE CLOSE CHANGE GAIN LOSS 30DAYS 30DAYS RSI
04/08/2014 220.9 -3.2 0 3.2 7.773 5.925 1.312 56.747
11/08/2014 212.95 -7.95 0 7.95 7.773 6.108 1.273 55.997
18/08/2014 227.5 14.55 14.55 0 7.963 6.108 1.304 56.591
25/08/2014 240.9 13.4 13.4 0 8.410 5.880 1.430 58.852
01/09/2014 222.8 -18.1 0 18.1 8.152 6.483 1.257 55.700
08/09/2014 220.7 -2.1 0 2.1 8.152 5.987 1.362 57.656
15/09/2014 226.5 5.8 5.8 0 8.345 5.745 1.453 59.226
22/09/2014 205.35 -21.15 0 21.15 8.275 6.450 1.283 56.197
29/09/2014 199.45 -5.9 0 5.9 7.703 6.647 1.159 53.682
06/10/2014 221.6 22.15 22.15 0 7.872 6.647 1.184 54.219
13/10/2014 226.75 5.15 5.15 0 7.940 6.647 1.195 54.433
20/10/2014 241.7 14.95 14.95 0 8.438 6.640 1.271 55.963
27/10/2014 256.7 15 15 0 8.527 6.640 1.284 56.220
03/11/2014 249 -7.7 0 7.7 8.527 6.343 1.344 57.341
10/11/2014 245.85 -3.15 0 3.15 8.462 6.448 1.312 56.752
17/11/2014 252.25 6.4 6.4 0 8.675 6.308 1.375 57.898
24/11/2014 283.8 31.55 31.55 0 9.395 6.308 1.489 59.828
01/12/2014 272.2 -11.6 0 11.6 9.395 6.333 1.483 59.733
08/12/2014 247.35 -24.85 0 24.85 8.938 7.162 1.248 55.518
15/12/2014 259.05 11.7 11.7 0 8.077 7.162 1.128 53.002
22/12/2014 251.55 -7.5 0 7.5 6.725 7.412 0.907 47.571
29/12/2014 275.3 23.75 23.75 0 7.517 6.413 1.172 53.960
05/01/2015 254.75 -20.55 0 20.55 6.832 7.098 0.962 49.043
12/01/2015 273.85 19.1 19.1 0 7.468 6.265 1.192 54.381
19/01/2015 279.1 5.25 5.25 0 7.420 6.265 1.184 54.220
26/01/2015 291.75 12.65 12.65 0 7.227 6.265 1.153 53.564
02/02/2015 264.15 -27.6 0 27.6 7.227 5.863 1.233 55.208
09/02/2015 259.35 -4.8 0 4.8 6.713 6.023 1.115 52.709
16/02/2015 276.3 16.95 16.95 0 7.278 5.637 1.291 56.356
23/02/2015 270.9 -5.4 0 5.4 7.278 5.718 1.273 56.002
02/03/2015 270.35 -0.55 0 0.55 7.278 5.630 1.293 56.385
09/03/2015 254.75 -15.6 0 15.6 7.278 5.885 1.237 55.292
13.Graph:- BHEL(Bharat Heavy Electricals).
BET’s GLOBAL BUSINESS SCHOOL, BELAGAVI Page 59
INTIME EQUITIES LIMITED
INTERPRETATION
When the RSI has crossed the 30 line from below to above and is rising, a buying
opportunity is indicated. When it has crossed the 70 line from above to below and is
falling, a sell signal is indicated. In the month of 2nd
February 2015 and 2nd
March
2015 shows the sell signal. In the month of 22nd
December 2014 and in the month of
9th
February 2015 it indicates the buying signal.
14. Larsen and Toubro:-
Relative Strength Index:- For the period 1January2014 to 9March2015
AVG
GAIN
AVG
LOSS
RS 30-
DAYS
DATE CLOSE CHANGE GAIN LOSS 30DAYS 30DAYS RSI
04/08/2014 1468.7 25.9 25.9 0 38.510 23.288 1.654 62.316
BET’s GLOBAL BUSINESS SCHOOL, BELAGAVI Page 60
INTIME EQUITIES LIMITED
11/08/2014 1484.1 15.4 15.4 0 39.023 21.422 1.822 64.560
18/08/2014 1540 55.9 55.9 0 39.327 21.422 1.836 64.737
25/08/2014 1526.5 -13.5 0 13.5 39.210 21.872 1.793 64.193
01/09/2014 1612.6 86.1 86.1 0 42.080 21.190 1.986 66.509
08/09/2014 1578.7 -33.9 0 33.9 42.080 22.262 1.890 65.401
15/09/2014 1532.45 -46.25 0 46.25 41.793 23.803 1.756 63.713
22/09/2014 1476 -56.45 0 56.45 39.713 25.685 1.546 60.725
29/09/2014 1446.85 -29.15 0 29.15 37.897 26.657 1.422 58.706
06/10/2014 1461.7 14.85 14.85 0 35.425 26.657 1.329 57.062
13/10/2014 1452.9 -8.8 0 8.8 33.548 26.950 1.245 55.453
20/10/2014 1553.75 100.85 100.85 0 36.910 25.672 1.438 58.979
27/10/2014 1655.45 101.7 101.7 0 37.915 25.672 1.477 59.627
03/11/2014 1653.8 -1.65 0 1.65 37.915 25.358 1.495 59.923
10/11/2014 1621.65 -32.15 0 32.15 37.202 26.430 1.408 58.464
17/11/2014 1666.3 44.65 44.65 0 38.690 25.445 1.521 60.326
24/11/2014 1639.35 -26.95 0 26.95 35.992 26.343 1.366 57.739
01/12/2014 1628.5 -10.85 0 10.85 35.992 23.827 1.511 60.168
08/12/2014 1510.95 -117.55 0 117.55 33.353 27.745 1.202 54.590
15/12/2014 1535.15 24.2 24.2 0 31.327 27.745 1.129 53.032
22/12/2014 1490.2 -44.95 0 44.95 28.450 29.243 0.973 49.312
29/12/2014 1534.65 44.45 44.45 0 28.882 29.243 0.988 49.689
05/01/2015 1500.25 -34.4 0 34.4 24.030 30.390 0.791 44.157
12/01/2015 1591.75 91.5 91.5 0 27.080 30.220 0.896 47.260
19/01/2015 1711.3 119.55 119.55 0 31.065 28.953 1.073 51.759
26/01/2015 1700.55 -10.75 0 10.75 30.420 29.312 1.038 50.928
02/02/2015 1683.55 -17 0 17 27.907 29.878 0.934 48.294
09/02/2015 1662.15 -21.4 0 21.4 27.907 24.980 1.117 52.767
16/02/2015 1677.6 15.45 15.45 0 24.683 24.980 0.988 49.701
23/02/2015 1758.95 81.35 81.35 0 27.395 16.857 1.625 61.907
02/03/2015 1826.05 67.1 67.1 0 28.768 16.857 1.707 63.054
09/03/2015 1692.15 -133.9 0 133.9 28.255 21.320 1.325 56.994
14.Graph:- Larsen and Toubro
BET’s GLOBAL BUSINESS SCHOOL, BELAGAVI Page 61
INTIME EQUITIES LIMITED
INTERPRETATION
When the RSI has crossed the 30 line from below to above and is rising, a buying
opportunity is indicated. When it has crossed the 70 line from above to below and is
falling, a sell signal is indicated. In the month of 9th
February2015and 2nd
March2015
shows the sell signal. In the month of 5January2015and in the month of 16th
February
2015 it indicates the buying signal.
15. ADANI PORTS AND SPECIAL ECONOMIC ZONE:
Relative Strength Index:- For the period 1January2014 to 9March2015
DATE CLOSE CHANGE GAIN LOSS AVG
GAIN
AVG
LOSS
RS 30-
DAYS
28/7/2014 259.1 -9.15 0 9.15 7.458 3.825 1.950 66.100
04/08/2014 262.05 2.95 2.95 0 7.557 3.760 2.010 66.775
11/08/2014 272.4 10.35 10.35 0 7.880 3.760 2.096 67.698
18/08/2014 297.3 24.9 24.9 0 8.710 3.625 2.403 70.612
25/8/2014 282.85 -14.45 0 14.45 8.650 4.107 2.106 67.808
02/09/2014 289.45 6.6 6.6 0 8.830 4.107 2.150 68.256
08/09/2014 293.35 3.9 3.9 0 8.960 4.082 2.195 68.703
15/09/2014 284.6 -8.75 0 8.75 8.303 4.373 1.899 65.501
22/09/2014 279.1 -5.5 0 5.5 8.285 4.557 1.818 64.517
29/09/2014 274.6 -4.5 0 4.5 7.630 4.707 1.621 61.848
06/10/2014 258.75 -15.85 0 15.85 7.630 5.110 1.493 59.890
13/10/2014 250.2 -8.55 0 8.55 7.630 5.338 1.429 58.836
BET’s GLOBAL BUSINESS SCHOOL, BELAGAVI Page 62
INTIME EQUITIES LIMITED
20/10/2014 268.15 17.95 17.95 0 8.077 5.338 1.513 60.206
27/10/2014 284.55 16.4 16.4 0 8.623 5.137 1.679 62.670
03/11/2014 292.8 8.25 8.25 0 8.442 5.137 1.643 62.170
10/11/2014 297.25 4.45 4.45 0 8.437 5.137 1.642 62.156
17/11/2014 302.45 5.2 5.2 0 8.595 5.137 1.673 62.593
24/11/2014 290.3 -12.15 0 12.15 8.595 5.122 1.678 62.661
01/12/2014 284.55 -5.75 0 5.75 7.978 5.313 1.502 60.025
08/12/2014 277.85 -6.7 0 6.7 7.310 5.537 1.320 56.902
15/12/2014 289.1 11.25 11.25 0 7.592 5.537 1.371 57.827
22/12/2014 288.55 -0.55 0 0.55 7.592 5.502 1.380 57.981
29/12/2014 320 31.45 31.45 0 7.583 5.502 1.378 57.954
05/01/2015 331.15 11.15 11.15 0 7.955 4.602 1.729 63.353
12/01/2015 330.95 -0.2 0 0.2 7.898 4.608 1.714 63.153
20/01/2015 346.05 15.1 15.1 0 8.402 4.583 1.833 64.703
26/01/2015 340.5 -5.55 0 5.55 6.947 4.768 1.457 59.297
02/02/2015 300.1 -40.4 0 40.4 6.947 5.252 1.323 56.948
09/02/2015 335.5 35.4 35.4 0 6.843 5.252 1.303 56.580
17/02/2015 329.25 -6.25 0 6.25 6.843 4.810 1.423 58.724
23/02/2015 345.9 16.65 16.65 0 7.398 4.505 1.642 62.153
02/03/2015 332.5 -13.4 0 13.4 7.300 4.952 1.474 59.584
09/03/2015 306.7 -25.8 0 25.8 6.955 5.812 1.197 54.478
15.Graph:- Adani Ports and Special Economic Zone:
INTERPRETATION
When the RSI has crossed the 30 line from below to above and is rising, a buying
opportunity is indicated. When it has crossed the 70 line from above to below and is
falling, a sell signal is indicated. In the month of 20th
January2015 and 23rd
February2015 shows the sell signal. In the month of 15th
December2014 and in the
month of 17th
February2015it indicates the buying signal.
BET’s GLOBAL BUSINESS SCHOOL, BELAGAVI Page 63
INTIME EQUITIES LIMITED
16.F.M.C.G SECTORS:
16. Colgate-Palmolive co.(CL)
Relative Strength Index:-For the period 1January2014 to 9March2015
AVG
GAIN
AVG
LOSS
RS 30-
DAYS
DATE CLOSE CHANGE GAIN LOSS
30DAYS
30DAYS RSI
28/7/2014 63.95 -3.64 0 3.64 0.440 0.448 0.983 49.568
04/08/2014 65.18 1.23 1.23 0 0.451 0.448 1.007 50.185
11/08/2014 64.13 -1.05 0 1.05 0.451 0.470 0.960 48.969
18/08/2014 64.57 0.44 0.44 0 0.466 0.393 1.185 54.228
25/8/2014 64.73 0.16 0.16 0 0.471 0.355 1.329 57.062
02/09/2014 64.86 0.13 0.13 0 0.476 0.342 1.389 58.150
08/09/2014 64.48 -0.38 0 0.38 0.415 0.355 1.169 53.896
15/09/2014 65.28 0.8 0.8 0 0.442 0.318 1.390 58.165
22/09/2014 65.7 0.42 0.42 0 0.413 0.318 1.301 56.544
29/09/2014 65.46 -0.24 0 0.24 0.403 0.326 1.238 55.327
06/10/2014 65.29 -0.17 0 0.17 0.380 0.331 1.147 53.421
13/10/2014 63.73 -1.56 0 1.56 0.380 0.371 1.024 50.599
20/10/2014 65.35 1.62 1.62 0 0.413 0.371 1.112 52.658
27/10/2014 66.88 1.53 1.53 0 0.460 0.371 1.239 55.337
03/11/2014 68.05 1.17 1.17 0 0.462 0.371 1.246 55.480
10/11/2014 67.56 -0.49 0 0.49 0.408 0.387 1.053 51.299
17/11/2014 68.34 0.78 0.78 0 0.434 0.364 1.192 54.386
24/11/2014 69.59 1.25 1.25 0 0.447 0.364 1.228 55.117
BET’s GLOBAL BUSINESS SCHOOL, BELAGAVI Page 64
INTIME EQUITIES LIMITED
01/12/2014 69.37 -0.22 0 0.22 0.429 0.371 1.154 53.583
08/12/2014 68.57 -0.8 0 0.8 0.429 0.374 1.147 53.428
15/12/2014 69.98 1.41 1.41 0 0.476 0.367 1.295 56.425
22/12/2014 70.88 0.9 0.9 0 0.450 0.367 1.225 55.057
29/12/2014 69.04 -1.84 0 1.84 0.450 0.416 1.082 51.963
05/01/2015 68.6 -0.44 0 0.44 0.450 0.425 1.058 51.409
12/01/2015 69.17 0.57 0.57 0 0.452 0.425 1.062 51.501
20/01/2015 67.14 -2.03 0 2.03 0.450 0.493 0.913 47.720
26/01/2015 67.52 0.38 0.38 0 0.450 0.493 0.912 47.702
02/02/2015 69.3 1.78 1.78 0 0.486 0.493 0.985 49.625
09/02/2015 70.08 0.78 0.78 0 0.512 0.472 1.083 51.999
17/02/2015 70.24 0.16 0.16 0 0.517 0.429 1.206 54.670
23/02/2015 70.82 0.58 0.58 0 0.536 0.307 1.745 63.572
02/03/2015 69.25 -1.57 0 1.57 0.495 0.360 1.377 57.934
09/03/2015 68.46 -0.79 0 0.79 0.495 0.351 1.411 58.527
16.Graph:- Colgate-Palmolive co.(CL)
INTERPRETATION
When the RSI has crossed the 30 line from below to above and is rising, a buying
opportunity is indicated. When it has crossed the 70 line from above to below and is
falling, a sell signal is indicated. In the month of 15th
December2014 and 23rd
February2015 shows the sell signal. In the month of 10th
November2014 and in the
month of 20th
January2015 it indicates the buying signal.
BET’s GLOBAL BUSINESS SCHOOL, BELAGAVI Page 65
INTIME EQUITIES LIMITED
17. ITC holdings corp.(ITC)
Relative Strength Index:- For the period 1January2014 to 9March2015
AVG
GAIN
AVG
LOSS
RS 30-
DAYS
DATE CLOSE CHANGE GAIN LOSS
30DAYS
30DAYS RSI
28/07/2014 349.55 -7.75 0 7.75 4.023 2.863 1.405 58.422
04/08/2014 348.55 -1 0 1 3.762 2.897 1.299 56.496
11/08/2014 356.85 8.3 8.3 0 3.963 2.897 1.368 57.775
18/08/2014 343.65 -13.2 0 13.2 3.963 3.317 1.195 54.441
25/08/2014 355.3 11.65 11.65 0 4.323 3.317 1.304 56.588
02/09/2014 350.8 -4.5 0 4.5 4.323 3.412 1.267 55.893
08/09/2014 355.65 4.85 4.85 0 4.485 3.290 1.363 57.685
15/09/2014 359.4 3.75 3.75 0 4.610 3.217 1.433 58.901
22/09/2014 371.7 12.3 12.3 0 4.685 3.217 1.456 59.291
29/09/2014 364.1 -7.6 0 7.6 4.335 3.470 1.249 55.541
06/10/2014 353.1 -11 0 11 4.033 3.837 1.051 51.249
13/10/2014 353.95 0.85 0.85 0 3.712 3.837 0.967 49.172
20/10/2014 349 -4.95 0 4.95 3.687 4.002 0.921 47.951
27/10/2014 355.2 6.2 6.2 0 3.893 3.545 1.098 52.341
03/11/2014 355.65 0.45 0.45 0 3.908 3.503 1.116 52.732
10/11/2014 369.2 13.55 13.55 0 4.035 3.503 1.152 53.526
17/11/2014 376.15 6.95 6.95 0 4.267 3.177 1.343 57.322
24/11/2014 363.15 -13 0 13 4.267 3.503 1.218 54.912
01/12/2014 391.35 28.2 28.2 0 5.030 3.503 1.436 58.945
08/12/2014 395.7 4.35 4.35 0 4.795 3.503 1.369 57.783
15/12/2014 368.8 -26.9 0 26.9 4.795 3.938 1.218 54.905
22/12/2014 367.95 -0.85 0 0.85 4.795 3.922 1.223 55.010
29/12/2014 368.3 0.35 0.35 0 4.807 3.753 1.281 56.153
05/01/2015 356.9 -11.4 0 11.4 4.807 3.997 1.203 54.601
12/01/2015 360.1 3.2 3.2 0 4.810 3.997 1.204 54.618
20/01/2015 349.45 -10.65 0 10.65 4.810 3.820 1.259 55.736
26/01/2015 368.55 19.1 19.1 0 4.992 3.820 1.307 56.648
02/02/2015 373.5 4.95 4.95 0 4.740 3.820 1.241 55.374
09/02/2015 378.05 4.55 4.55 0 4.892 3.760 1.301 56.540
17/02/2015 396.05 18 18 0 5.052 3.760 1.344 57.329
BET’s GLOBAL BUSINESS SCHOOL, BELAGAVI Page 66
INTIME EQUITIES LIMITED
23/02/2014 393.7 -2.35 0 2.35 5.052 3.580 1.411 58.525
02/03/2015 346.25 -47.45 0 47.45 5.052 5.128 0.985 49.623
09/03/2015 339.4 -6.85 0 6.85 4.775 5.357 0.891 47.129
17. Graph:- ITC holdings corp.(ITC)
INTERPRETATION
When the RSI has crossed the 30 line from below to above and is rising, a buying
opportunity is indicated. When it has crossed the 70 line from above to below and is
falling, a sell signal is indicated. In the month of 1st
December2014 and 23rd
February2015 shows the sell signal. In the month of 20th
October2014 and in the
month of 2nd
February2015 it indicates the buying signal.
18. Procter and Gamble co:
BET’s GLOBAL BUSINESS SCHOOL, BELAGAVI Page 67
INTIME EQUITIES LIMITED
Relative Strength Index:-For the period 1January2014 to 9March2015
AVG
GAIN
AVG
LOSS
RS 30-
DAYS
DATE CLOSE CHANGE GAIN LOSS 30DAYS 30DAYS RSI
28/7/2014 79.65 0.09 0.09 0 0.397 0.424 0.937 48.375
04/08/2014 81.78 2.13 2.13 0 0.468 0.419 1.118 52.782
11/08/2014 80.95 -0.83 0 0.83 0.468 0.432 1.082 51.981
18/08/2014 83.39 2.44 2.44 0 0.549 0.409 1.343 57.322
25/8/2014 83.11 -0.28 0 0.28 0.549 0.333 1.650 62.259
02/09/2014 83.77 0.66 0.66 0 0.548 0.333 1.647 62.216
08/09/2014 83.26 -0.51 0 0.51 0.479 0.350 1.368 57.763
15/09/2014 84.47 1.21 1.21 0 0.519 0.302 1.717 63.190
22/09/2014 84.58 0.11 0.11 0 0.500 0.302 1.653 62.303
29/09/2014 83.79 -0.79 0 0.79 0.500 0.319 1.565 61.009
06/10/2014 84.69 0.9 0.9 0 0.510 0.319 1.596 61.480
13/10/2014 83.27 -1.42 0 1.42 0.510 0.330 1.544 60.699
20/10/2014 85.16 1.89 1.89 0 0.510 0.330 1.545 60.714
27/10/2014 87.27 2.11 2.11 0 0.580 0.330 1.758 63.736
03/11/2014 89.13 1.86 1.86 0 0.609 0.330 1.845 64.856
10/11/2014 88.11 -1.02 0 1.02 0.576 0.364 1.582 61.263
17/11/2014 88.6 0.49 0.49 0 0.592 0.352 1.680 62.690
24/11/2014 90.43 1.83 1.83 0 0.636 0.352 1.805 64.351
01/12/2014 90.38 -0.05 0 0.05 0.620 0.354 1.752 63.667
08/12/2014 89.55 -0.83 0 0.83 0.620 0.313 1.982 66.464
15/12/2014 92.05 2.5 2.5 0 0.697 0.313 2.228 69.020
22/12/2014 93.46 1.41 1.41 0 0.735 0.313 2.349 70.143
29/12/2014 90.44 -3.02 0 3.02 0.735 0.388 1.894 65.441
05/01/2015 90.25 -0.19 0 0.19 0.735 0.382 1.927 65.831
12/01/2015 91.25 1 1 0 0.759 0.382 1.989 66.540
20/01/2015 90.08 -1.17 0 1.17 0.759 0.390 1.944 66.038
26/01/2015 84.29 -5.79 0 5.79 0.727 0.583 1.246 55.482
02/02/2015 85.61 1.32 1.32 0 0.732 0.583 1.254 55.640
09/02/2015 85.9 0.29 0.29 0 0.741 0.563 1.317 56.836
17/02/2015 84.87 -1.03 0 1.03 0.741 0.564 1.314 56.778
23/02/2015 85.13 0.26 0.26 0 0.747 0.564 1.324 56.965
02/03/2015 82.66 -2.47 0 2.47 0.676 0.647 1.045 51.109
09/03/2015 81.83 -0.83 0 0.83 0.676 0.647 1.045 51.109
18.Graph:- Procter and Gamble CO
BET’s GLOBAL BUSINESS SCHOOL, BELAGAVI Page 68
INTIME EQUITIES LIMITED
INTERPRETATION
When the RSI has crossed the 30 line from below to above and is rising, a buying
opportunity is indicated. When it has crossed the 70 line from above to below and is
falling, a sell signal is indicated. In the month of 22nd
December2014 and 23rd
February2015 shows the sell signal. In the month of 10th
November2014 and in the
month of 26th
January2015 it indicates the buying signal
19. BANKING SECTORS:
19. State Bank of India
Moving average, convergence and divergence.(MACD):-
For the period 1January2014 to 9March2015
DATE CLOSE 12 Day 26 Day MACD
BET’s GLOBAL BUSINESS SCHOOL, BELAGAVI Page 69
INTIME EQUITIES LIMITED
EMA EMA
23/06/2014 264 239.742 198.246 41.495
30/06/2014 270 244.367 203.547 40.820
07/07/2014 256 246.196 207.451 38.744
14/07/2014 256 247.742 211.066 36.677
21/07/2014 250 248.098 213.954 34.144
28/07/2014 244 247.425 216.159 31.266
04/08/2014 242 246.559 218.058 28.501
11/08/2014 236 244.973 219.405 25.567
18/08/2014 252 246.126 221.855 24.271
25/08/2014 246 246.117 223.648 22.469
01/09/2014 252 246.957 225.717 21.240
08/09/2014 253 247.819 227.705 20.114
15/09/2014 257 249.201 229.860 19.340
22/09/2014 245 248.481 230.947 17.535
29/09/2014 242 247.536 231.790 15.745
06/10/2014 245 247.175 232.783 14.392
13/10/2014 252 247.917 234.206 13.711
20/10/2014 257 249.315 235.895 13.420
27/10/2014 270 252.540 238.442 14.098
03/11/2014 274 255.880 241.094 14.786
10/11/2014 279 259.405 243.887 15.518
17/11/2014 306 266.496 248.451 18.046
24/11/2014 321 274.943 253.854 21.089
01/12/2014 318 281.498 258.572 22.925
08/12/2014 311 286.091 262.482 23.609
15/12/2014 304 288.869 265.568 23.301
22/12/2014 308 291.758 268.686 23.073
29/12/2014 315 295.372 272.135 23.238
05/01/2015 303 296.577 274.436 22.141
12/01/2015 315 299.480 277.474 22.006
19/01/2014 327 303.783 281.176 22.607
26/01/2015 309 304.578 283.233 21.345
02/02/2015 290 302.382 283.757 18.625
09/02/2015 307 303.084 285.475 17.610
16/02/2015 302 302.964 286.721 16.243
23/02/2015 300 302.492 287.697 14.795
2/03/015 315 304.417 289.720 14.697
09/03/2015 287 301.714 289.507 12.207
19.Graph:- State Bank of India
BET’s GLOBAL BUSINESS SCHOOL, BELAGAVI Page 70
INTIME EQUITIES LIMITED
INTERPRETATION
At the end of 13th
october2014 the SBI stocks had a bull phase as shown. and 1st
December2014 it indicates the selling signal to the investors. It shows the buying
signal in the month of 16th
Februray2015
20.HDFC Bank
Moving average, convergence and divergence.(MACD) :-
For the period 1January2014 to 9March2015
DATE CLOSE 12 Day
EMA
26 Day
EMA
MACD
23/06/2014 816.2 782.809 725.817 56.991
30/6/2014 856.65 794.169 735.509 58.660
07/07/2014 811.8 796.881 741.160 55.721
14/07/2014 832.45 802.353 747.922 54.431
21/07/2014 835.5 807.453 754.409 53.044
28/07/2014 815.45 808.683 758.931 49.752
04/08/2014 796.15 806.755 761.688 45.067
11/08/2014 826.7 809.823 766.504 43.320
18/08/2014 846.75 815.504 772.448 43.057
25/08/2014 843.55 819.819 777.715 42.105
BET’s GLOBAL BUSINESS SCHOOL, BELAGAVI Page 71
INTIME EQUITIES LIMITED
01/09/2014 848.45 824.224 782.954 41.270
08/09/2014 855.7 829.066 788.343 40.724
15/09/2014 860.25 833.864 793.669 40.195
22/09/2014 871.65 839.677 799.446 40.232
29/09/2014 868 844.034 804.524 39.511
06/10/2014 867.3 847.614 809.174 38.440
13/10/2014 885.25 853.404 814.809 38.595
20/10/2014 893.65 859.596 820.649 38.947
27/10/2014 911.85 867.635 827.405 40.230
03/11/2014 899.45 872.529 832.741 39.788
10/11/2014 930.1 881.386 839.953 41.433
17/11/2014 932.85 889.304 846.834 42.469
24/11/2014 957.15 899.742 855.006 44.736
01/12/2014 942.75 906.358 861.506 44.853
08/12/2014 931.5 910.226 866.690 43.536
15/12/2014 941.45 915.030 872.228 42.802
22/12/2015 948.65 920.202 877.889 42.313
29/12/2014 965.3 927.140 884.364 42.777
05/01/2015 975.65 934.603 891.126 43.478
12/01/2015 1001.35 944.872 899.291 45.582
19/01/2015 1042.8 959.938 909.921 50.017
26/01/2015 1077.35 978.001 922.323 55.678
02/02/2015 1093 995.693 934.966 60.728
09/02/2015 1065.8 1006.479 944.657 61.822
23/02/2015 1054 1013.790 952.757 61.033
2/3/2015 1085.1 1024.761 962.560 62.201
09/03/2015 1042.65 1027.513 968.492 59.020
20.Graph:- HDFC Bank
INTERPRETATION
BET’s GLOBAL BUSINESS SCHOOL, BELAGAVI Page 72
INTIME EQUITIES LIMITED
At the end of 1st
Decembe2014 HDFC stocks had a bull phase as shown. and 23rd
Februray2015 it indicates the selling signal to the investors. It shows the buying signal
in the month of 13th
october 2014 and 15th
December 2014
21.ICICI Bank
Moving average, convergence and divergence.(MACD):-
For the period 1January2014 to 9March2015
DATE CLOSE 12 Day
EMA
26 Day
EMA
MACD
23/06/2014 276.93 272.015 244.128 27.887
30/06/2014 292.57 275.177 247.020 28.157
07/07/2014 271.32 274.584 248.117 26.467
14/07/2014 296.09 277.893 250.963 26.929
21/07/2014 295.13 280.545 253.520 27.025
28/07/2014 295.13 282.788 255.880 26.909
04/08/2014 287.43 283.503 257.488 26.015
11/08/2014 295.93 285.414 259.602 25.813
18/08/2014 307.91 288.875 262.441 26.435
25/08/2014 311.36 292.334 265.317 27.018
01/09/2014 309.41 294.961 267.827 27.135
08/09/2014 312.88 297.718 270.401 27.317
15/09/2014 314.44 300.291 272.893 27.398
22/09/2014 295.59 299.568 273.797 25.771
29/09/2015 285.77 297.445 273.904 23.541
06/10/2014 291.79 296.575 274.448 22.127
13/10/2014 301.04 297.262 275.636 21.626
20/10/2014 314.2 299.868 277.707 22.160
27/10/2014 325.33 303.785 280.444 23.341
03/11/2014 336.94 308.886 283.830 25.056
10/11/2014 338.46 313.436 287.068 26.368
BET’s GLOBAL BUSINESS SCHOOL, BELAGAVI Page 73
INTIME EQUITIES LIMITED
17/11/2014 346.14 318.467 290.626 27.841
24/11/2014 355.8 324.211 294.625 27.585
01/12/2014 359.8 292.504 279.084 13.420
08/12/2014 346.3 300.780 283.268 17.513
15/12/2014 356 309.276 287.848 21.427
22/12/2014 350.95 315.687 291.702 23.985
29/12/2014 362.3 322.858 296.101 26.758
05/01/2015 341.85 325.780 298.646 27.134
12/01/2015 353.85 330.099 301.884 28.214
19/01/2015 370.7 336.345 306.122 30.223
26/01/2015 360.7 340.092 309.292 30.799
02/02/2015 329.35 338.439 309.897 28.542
09/02/2015 343.85 339.272 311.529 27.743
16/02/2015 330.95 337.991 312.080 25.911
23/02/2015 335.25 337.570 312.907 24.662
02/03/2015 347.75 339.136 314.597 24.539
09/03/2015 330.2 337.761 314.856 22.905
21.Graph:- ICICI Bank
INTERPRETATION
At the end of 19th
January2015 the ICICI stocks had a bull phase as shown. and 24th
November2014 it indicates the selling signal to the investors. It shows the buying
signal in the month of 23rd
February2015
BET’s GLOBAL BUSINESS SCHOOL, BELAGAVI Page 74
INTIME EQUITIES LIMITED
22.Infrastructure sectors:
22.BHEL(Bharat Heavy Electricals).
Moving average, convergence and divergence.(MACD):-
For the period 1January2014 to 9March2015
DATE CLOSE 12 Day
EMA
26 Day EMA MACD
30/06/2014 262.9 229.734 195.804 33.930
07/07/2014 223.25 228.736 197.837 30.899
14/07/2014 238.65 230.261 200.860 29.401
21/7/2014 227.05 229.767 202.800 26.967
28/07/2014 224.1 228.895 204.378 24.518
04/08/2014 220.9 227.665 205.602 22.064
11/08/2014 212.95 225.401 206.146 19.255
18/08/2014 227.5 225.724 207.728 17.996
25/08/2014 240.9 228.059 210.185 17.874
01/09/2014 222.8 227.250 211.119 16.130
08/09/2014 220.7 226.242 211.829 14.413
15/09/2014 226.5 226.282 212.916 13.366
22/09/2014 205.35 223.062 212.355 10.706
29/09/2014 199.45 219.429 211.399 8.030
06/10/2014 221.6 219.763 212.155 7.608
13/10/2014 226.75 220.838 213.236 7.602
20/10/2014 241.7 224.048 215.345 8.703
27/10/2014 256.7 229.071 218.408 10.663
03/11/2014 249 232.137 220.674 11.463
10/11/2014 245.85 234.247 222.539 11.708
17/11/2014 252.25 237.016 224.740 12.277
24/11/2014 283.8 244.214 229.115 15.099
01/12/2014 272.2 248.519 232.306 16.213
08/12/2014 247.35 248.340 233.420 14.919
15/12/2014 259.05 249.987 235.319 14.668
22/12/2014 251.55 250.228 236.521 13.706
29/12/2014 275.3 254.085 239.394 14.691
05/01/2015 254.75 254.187 240.531 13.656
12/01/2015 273.85 257.212 242.999 14.213
19/01/2015 279.1 260.580 245.673 14.906
26/01/2015 291.75 265.375 249.087 16.289
BET’s GLOBAL BUSINESS SCHOOL, BELAGAVI Page 75
INTIME EQUITIES LIMITED
02/02/2015 264.15 265.187 250.202 14.984
09/02/2015 259.35 264.289 250.880 13.409
16/02/2015 276.3 266.137 252.763 13.374
23/02/2015 270.9 266.869 254.106 12.763
02/03/2015 270.35 267.405 255.310 12.095
09/03/2015 254.75 265.458 255.268 10.190
22.Graph:- BHEL(Bharat Heavy Electricals).
INTERPRETATION
At the end of 7th
July2014 the BHEL(Bharat Heavy Electricals) stocks had a bull
phase as shown. and 26th
January2015it indicates the selling signal to the investors. It
shows the buying signal in the month of 23rd
February2015
23. Larsen and Toubro:-
Moving average, convergence and divergence.(MACD):-
For the period 1January2014 to 9March2015
BET’s GLOBAL BUSINESS SCHOOL, BELAGAVI Page 76
INTIME EQUITIES LIMITED
DATE CLOSE 12 Day EMA 26 Day EMA MACD
30/06/2014 1652 1481.595 1251.973 229.622
07/07/2014 1675 1511.349 1283.308 228.041
14/07/2014 1750 1548.065 1317.878 230.187
21/7/2014 1575 1552.209 1336.924 215.284
28/07/2014 1476.1 1540.500 1347.234 193.266
04/08/2014 1663.45 1559.415 1370.657 188.758
11/08/2014 1450.2 1542.613 1376.549 166.064
18/08/2014 1485.1 1533.765 1384.590 149.175
25/08/2014 1545 1535.493 1396.472 139.021
01/09/2014 1535 1535.417 1406.733 128.684
08/09/2014 1622.2 1548.768 1422.694 126.075
15/09/2014 1569.05 1551.889 1433.535 118.354
22/09/2014 1523.9 1547.583 1440.229 107.354
29/09/2014 1475.85 1536.547 1442.867 93.680
06/10/2014 1446.85 1522.747 1443.162 79.585
13/10/2014 1447.4 1511.156 1443.476 67.679
20/10/2014 1482.3 1506.716 1446.352 60.364
27/10/2014 1566 1515.837 1455.215 60.622
03/11/2014 1661 1538.170 1470.458 67.711
10/11/2014 1615 1549.990 1481.165 68.825
17/11/2014 1621 1560.914 1491.523 69.391
24/11/2014 1671 1577.851 1504.818 73.033
01/12/2014 1631.2 1586.058 1514.179 71.879
08/12/2014 1630 1592.818 1522.759 70.060
15/12/2014 1500 1578.539 1521.073 57.466
22/12/2014 1538 1572.302 1522.327 49.975
29/12/2014 1495.15 1560.432 1520.314 40.119
05/01/2015 1545.35 1558.112 1522.168 35.944
12/01/2015 1503.9 1549.772 1520.815 28.957
19/01/2015 1603 1557.961 1526.903 31.058
26/01/2015 1711.3 1581.551 1540.562 40.990
02/02/2015 1696 1599.159 1552.076 47.083
09/02/2015 1663.3 1609.027 1560.315 48.712
16/02/2015 1665 1617.638 1568.069 49.569
23/02/2015 1686.45 1628.224 1576.838 51.386
02/03/2015 1782 1651.882 1592.035 59.847
09/03/2015 1817.2 1677.316 1608.714 68.602
23.Graph:- Larsen and Toubro
BET’s GLOBAL BUSINESS SCHOOL, BELAGAVI Page 77
INTIME EQUITIES LIMITED
INTERPRETATION
At the end of 14th
July2014 the Larsen and Toubro stocks had a bull phase as shown.
and 8th
December2014it indicates the selling signal to the investors. It shows the
buying signal in the month of 12th
January2015
24. Adani Ports and Special Economic Zone:
Moving average, convergence and divergence.(MACD):-
For the period 1January2014 to 9March2015
DATE CLOSE 12 Day EMA 26 Day
EMA
MACD
23/06/2014 231.5 217.912 188.292 29.620
30/06/2014 275.15 226.718 194.726 31.992
07/07/2014 249.25 230.185 198.765 31.420
14/07/2014 287.75 239.041 205.356 33.684
21/07/2014 268.25 243.534 210.015 33.519
BET’s GLOBAL BUSINESS SCHOOL, BELAGAVI Page 78
INTIME EQUITIES LIMITED
28/7/2014 259.1 245.929 213.651 32.278
04/08/2014 262.05 248.409 217.236 31.173
11/08/2014 272.4 252.100 221.322 30.778
18/08/2014 297.3 259.054 226.950 32.104
25/8/2014 282.85 262.715 231.091 31.624
02/09/2014 289.45 266.828 235.414 31.414
08/09/2014 293.35 270.908 239.706 31.203
15/09/2014 284.6 273.015 243.031 29.984
22/09/2014 279.1 273.951 245.703 28.248
29/09/2014 274.6 274.051 247.843 26.207
06/10/2014 258.75 271.697 248.651 23.046
13/10/2014 250.2 268.390 248.766 19.624
20/10/2014 268.15 268.353 250.202 18.151
27/10/2014 284.55 270.845 252.746 18.098
03/11/2014 292.8 274.222 255.713 18.509
10/11/2014 297.25 277.765 258.790 18.975
17/11/2014 302.45 281.563 262.024 19.539
24/11/2014 290.3 282.907 264.119 18.788
01/12/2014 284.55 283.160 265.632 17.528
08/12/2014 277.85 282.343 266.537 15.806
15/12/2014 289.1 283.382 268.208 15.174
22/12/2014 288.55 284.177 269.715 14.462
29/12/2014 320 289.689 273.440 16.249
05/01/2015 331.15 296.067 277.715 18.353
12/01/2015 330.95 301.434 281.658 19.776
20/01/2015 346.05 308.298 286.428 21.870
26/01/2015 340.5 313.252 290.433 22.819
02/02/2015 300.1 311.229 291.149 20.079
09/02/2015 335.5 314.963 294.435 20.528
17/02/2015 329.25 317.161 297.013 20.147
23/02/2015 345.9 321.582 300.635 20.948
02/03/2015 332.5 323.262 302.995 20.267
09/03/2015 306.7 320.714 303.270 17.444
24.Graph: Adani Ports and Special Economic Zone
BET’s GLOBAL BUSINESS SCHOOL, BELAGAVI Page 79
INTIME EQUITIES LIMITED
INTERPRETATION
At the end of 18th
August2014 Adani Ports and Special Economic Zone the stocks
had a bull phase as shown. and 20th
January2015 it indicates the selling signal to the
investors. It shows the buying signal in the month of 22nd
December2014
25. F.M.C.G sectors:
25. Colgate-Palmolive co.(CL)
Moving average, convergence and divergence.(MACD):-
For the period 1January2014 to 9March2015
DATE CLOSE 12 Day
EMA
26 Day
EMA
MACD
23/06/2014 68.43 113.560 65.086 48.474
30/06/2014 68.82 115.736 65.362 50.373
07/07/2014 69.52 117.858 65.670 52.188
14/07/2014 68.9 119.728 65.910 53.818
21/07/2014 67.59 121.258 66.034 55.223
BET’s GLOBAL BUSINESS SCHOOL, BELAGAVI Page 80
INTIME EQUITIES LIMITED
28/7/2014 63.95 122.114 65.880 56.234
04/08/2014 65.18 123.096 65.828 57.268
11/08/2014 64.13 123.844 65.702 58.142
18/08/2014 64.57 124.604 65.618 58.986
25/8/2014 64.73 125.333 65.552 59.780
02/09/2014 64.86 126.027 65.501 60.526
08/09/2014 64.48 126.612 65.426 61.187
15/09/2014 65.28 127.276 65.415 61.862
22/09/2014 65.7 127.956 65.436 62.520
29/09/2014 65.46 128.549 65.438 63.111
06/10/2014 65.29 129.071 65.427 63.645
13/10/2014 63.73 129.315 65.301 64.014
20/10/2014 65.35 129.790 65.305 64.485
27/10/2014 66.88 130.465 65.421 65.044
03/11/2014 68.05 131.270 65.616 65.654
10/11/2014 67.56 131.940 65.760 66.180
17/11/2014 68.34 132.681 65.951 66.730
24/11/2014 69.59 133.559 66.221 67.338
01/12/2014 69.37 134.338 66.454 67.884
08/12/2014 68.57 134.936 66.611 68.325
15/12/2014 69.98 135.707 66.860 68.847
22/12/2014 70.88 136.559 67.158 69.401
29/12/2014 69.04 137.065 67.297 69.768
05/01/2015 68.6 137.466 67.394 70.072
12/01/2015 69.17 137.925 67.526 70.400
20/01/2015 67.14 138.038 67.497 70.541
26/01/2015 67.52 138.200 67.499 70.702
02/02/2015 69.3 138.625 67.632 70.993
09/02/2015 70.08 139.138 67.813 71.324
17/02/2015 70.24 139.637 67.993 71.644
23/02/2015 70.82 140.189 68.203 71.987
02/03/2015 69.25 140.459 68.280 72.179
09/03/2015 68.46 140.587 68.293 72.293
25.Graph: Colgate-Palmolive co.(CL)
BET’s GLOBAL BUSINESS SCHOOL, BELAGAVI Page 81
INTIME EQUITIES LIMITED
INTERPRETATION
At the end of 29th
December 2014the It indicates Colgate-Palmolive co.(CL )stock
had a bull phase as shown. And 2nd
March2015it indicates the selling signal to the
investors. It shows the buying signal in the month of 2nd
September2014
26. ITC holdings corp.(ITC)
Moving average, convergence and divergence.(MACD):-
For the period 1January2014 to 9March2015
DATE CLOSE 12 Day
EMA
26 Day
EMA
MACD
23/06/2014 319.75 336.688 336.110 0.579
30/06/2014 333.4 336.182 335.909 0.274
07/07/2014 345.9 337.677 336.649 1.028
14/07/2014 344.1 338.666 337.201 1.465
21/07/2014 357.3 341.532 338.690 2.843
28/07/2014 349.55 342.766 339.494 3.272
04/08/2014 348.55 343.656 340.165 3.491
BET’s GLOBAL BUSINESS SCHOOL, BELAGAVI Page 82
INTIME EQUITIES LIMITED
11/08/2014 356.85 345.686 341.401 4.285
18/08/2014 343.65 345.372 341.568 3.805
25/08/2014 355.3 346.900 342.585 4.315
02/09/2014 350.8 347.500 343.193 4.307
08/09/2014 355.65 348.754 344.116 4.638
15/09/2014 359.4 350.392 345.248 5.143
22/09/2014 371.7 353.670 347.208 6.462
29/09/2014 364.1 355.274 348.459 6.816
06/10/2014 353.1 354.940 348.803 6.137
13/10/2014 353.95 354.788 349.184 5.604
20/10/2014 349 353.897 349.170 4.727
27/10/2014 355.2 354.098 349.617 4.481
03/11/2014 355.65 354.336 350.064 4.273
10/11/2014 369.2 356.623 351.481 5.142
17/11/2014 376.15 359.627 353.309 6.319
24/11/2014 363.15 360.169 354.038 6.132
01/12/2014 391.35 364.966 356.802 8.165
08/12/2014 395.7 369.695 359.683 10.012
15/12/2014 368.8 369.557 360.358 9.199
22/12/2014 367.95 369.310 360.921 8.389
29/12/2014 368.3 369.154 361.467 7.687
05/01/2015 356.9 367.269 361.129 6.140
12/01/2015 360.1 366.166 361.053 5.113
20/01/2015 349.45 363.594 360.193 3.401
26/01/2015 368.55 364.357 360.812 3.545
02/02/2015 373.5 365.763 361.752 4.011
09/02/2015 378.05 367.654 362.959 4.694
17/02/2015 396.05 372.022 365.410 6.612
23/02/2015 393.7 375.357 367.506 7.851
02/03/2015 346.25 370.879 365.931 4.948
09/03/2015 339.4 366.036 363.966 2.070
26.Graph:- ITC holdings corp.(ITC)
BET’s GLOBAL BUSINESS SCHOOL, BELAGAVI Page 83
INTIME EQUITIES LIMITED
INTERPRETATION
At the end of 8th
December2014the It indicates Colgate-Palmolive co.(CL )stock had a
bull phase as shown. And 23rd
February2015it indicates the selling signal to the
investors. It shows the buying signal in the month of 9th
March2015
27. Procter and Gamble CO
Moving average, convergence and divergence.(MACD):-
For the period 1January2014 to 9March2015
DATE CLOSE 12 Day
EMA
26 Day
EMA
MACD
23/06/2014 79.02 80.099 79.732 0.367
30/06/2014 79.98 80.081 79.751 0.330
07/07/2014 81.16 80.247 79.855 0.392
14/07/2014 80.55 80.293 79.907 0.387
21/07/2014 79.56 80.181 79.881 0.300
28/7/2014 79.65 80.099 79.864 0.235
04/08/2014 81.78 80.358 80.006 0.352
11/08/2014 80.95 80.449 80.076 0.373
18/08/2014 83.39 80.901 80.321 0.580
25/8/2014 83.11 81.241 80.528 0.713
02/09/2014 83.77 81.630 80.768 0.862
08/09/2014 83.26 81.881 80.953 0.928
15/09/2014 84.47 82.279 81.213 1.066
22/09/2014 84.58 82.633 81.462 1.171
29/09/2014 83.79 82.811 81.635 1.176
06/10/2014 84.69 83.100 81.861 1.239
13/10/2014 83.27 83.126 81.966 1.161
20/10/2014 85.16 83.439 82.202 1.237
27/10/2014 87.27 84.029 82.578 1.451
03/11/2014 89.13 84.813 83.063 1.750
BET’s GLOBAL BUSINESS SCHOOL, BELAGAVI Page 84
INTIME EQUITIES LIMITED
10/11/2014 88.11 85.321 83.437 1.884
17/11/2014 88.6 85.825 83.819 2.006
24/11/2014 90.43 86.534 84.309 2.225
01/12/2014 90.38 87.125 84.759 2.367
08/12/2014 89.55 87.498 85.114 2.385
15/12/2014 92.05 88.199 85.627 2.571
22/12/2014 93.46 89.008 86.208 2.800
29/12/2014 90.44 89.228 86.521 2.707
05/01/2015 90.25 89.386 86.797 2.588
12/01/2015 91.25 89.672 87.127 2.545
20/01/2015 90.08 89.735 87.346 2.389
26/01/2015 84.29 88.897 87.119 1.778
02/02/2015 85.61 88.392 87.008 1.384
09/02/2015 85.9 88.008 86.926 1.083
17/02/2015 84.87 87.525 86.773 0.752
23/02/2015 85.13 87.157 86.652 0.505
02/03/2015 82.66 86.465 86.356 0.109
09/03/2015 81.83 85.752 86.021 -0.269
27.Graph: Procter and Gamble CO
INTERPRETATION
At the end of 22nd
December2014the It indicates Colgate-Palmolive co.(CL )stock had
a bull phase as shown. And 1st
December2014it indicates the selling signal to the
investors. It shows the buying signal in the month of 9th
March2015
BET’s GLOBAL BUSINESS SCHOOL, BELAGAVI Page 85
INTIME EQUITIES LIMITED
6. FINDINGS
• BHEL, L&T, APSEZ, SBI, HDFC, CL company is showing bullish trend so it
can be said that buying of the company scripts is worthy.
• ICICI, ITC, P&G company is showing bearish trend so it can be said that
buying of the company scripts is not worthy.
• Technical chart of HDFC bank, CL Fmcg company is showing good bullish
trend so it is preferred to buy, BHEL, L&T is obviously doing good and it’s
the second choice. SBI stock available at lower price buy this stock it well
gives good return.
• Using the technical analysis investors can reduce their risk to certain extent
but cannot eliminate risk to the entirety.
• Using the technical analysis we can take short term calls on security to hold,
buy, or sell the stock.
• If an investor options for long term investment, using technical analysis will
increases his potential returns. Long term investment is known to be less risky.
• The data may be the same but each method will provide its own unique
interpretation with its own benefits and drawbacks The choice of charting
methods to use will depend on personal preferences and trading or investing
styles.
• Once you have chosen a particular charting methodology it is probably best to
stick with it and learn how best to read the signals.
BET’s GLOBAL BUSINESS SCHOOL, BELAGAVI Page 86
INTIME EQUITIES LIMITED
6. CONCLUSION
• Technical analysis is a useful technique in guiding investment decisions.
• In light of our study on five companies, we have seen how technical analysis
can be used to predict the possible futures swings of stock prices.
• After analyzing the companies, the following conclusion was drawn.
• According to RSI as the Gain increases, there is increase in the RSI value,
which indicates that there is increase in the share price. This states to the
investor that it is a strong sell signal. Whenever there is decrease in the share
price value, RSI value decreases which indicates the investor that it is a strong
buy signal.
• We can conclude from the result that technical indicators can play useful role
in the timing stock market entry and exit.
• By applying technical indicators brokers or investors enjoy substantial profit.
• It can be said that some tools of technical analysis are more useful than others.
• However, none of them can be termed an analysts panacea.
BET’s GLOBAL BUSINESS SCHOOL, BELAGAVI Page 87
INTIME EQUITIES LIMITED
7. RECOMMENDATION
• Technical analysis will improve the investment decision.
• Technical analysis is simple and more reliable then fundamental analysis
because the information required for technical analysis is free available as
compared to fundamental analysis
• Investor should have knowledge regarding the market terms so that they can
take maximum return from maximum investment
• In case a trader entering in a new industries first he has to select stock to buy
in new industries after making careful study prospects and charts of the stock
• Even though technical analysis is enough for making decision In stock market,
simultaneous usage of both fundamental and technical analysis will reduce
errors in forecasting future prices
BET’s GLOBAL BUSINESS SCHOOL, BELAGAVI Page 88
INTIME EQUITIES LIMITED
BIBLIOGRAPHY:
BOOKS:
Prasanna Chandra, Chapter 12 page no 175
Investment Analysis & Portfolio Management. 3rd
edition, 2008
JOURNALS MAGAZINES AND NEWSPAPERS:
• M.venkatalakshmi and C.M sindhu(May 2010). A case study on technical
analysis of tata motors.
• Indian Journal of finance.
WEBSITES:
www.nseindia.com
www.in.yahoo.finance.com
www.bseindia.com
www.icharts.com
www.stockcharts.com
BET’s GLOBAL BUSINESS SCHOOL, BELAGAVI Page 89
INTIME EQUITIES LIMITED
BET’s GLOBAL BUSINESS SCHOOL, BELAGAVI Page 90

Technical analysis on selected sectors

  • 1.
    INTIME EQUITIES LIMITED 1.INTRODUCTION OF THE TOPIC:  TECHNICAL ANALYSIS Technical Analysis is important to form a view on the likely trend of the overall market and it is helpful to have some idea of how to go about selecting individual stocks. Naturally all investors would like their investments to appreciate rapidly in price but stocks which may satisfy this wish tend to accompanied by a substantially greater amount of risk then many investors are normally willing to accept. However it is important to understand that investors can be very conscious when it comes to stock ownership. Technical analysis is the use of numerical series generated by market activity such as price and volume to predict future price trends. The techniques applied to any market with a comprehensive price history. Primarily but not exclusively technical analysis is conducted by studying charts of past price movement. Many different methods and tools are used in technical analysis, but they all rely on the assumption that price patterns and trends exist in markets and that they can be identified and exploited. Technical analysis or charting is considered to be as a supplement to Fundamental Analysis of securities. As an approach to investment analysis technical analysis is radically different from fundamental analysis. While the fundamental analysts believe that the market is 90% logical and 10% psychological the technical analysis assumes that its 90% psychological and 10% logical. Technical analysis can be applied to any market with a comprehensive price history. The premises of technical analysis were derived from empirical observations of financial markets over hundreds of years. Perhaps the oldest branch of technical analysis is the use of candlestick techniques by Japanese traders at least as early as the 18th century, and still very popular today. DOW THEORY ITS CORNERSTONE New tools and theories have been produced and existing tools have been enhanced at a rapid rate in recent decades with an increasing emphasis on computer-assisted techniques. Technical analysis is not concerned with why a price is moving but rather whether it is moving in a particular direction or in a particular chart pattern. Technical analysts believe that profits can be made by trend following. In other words if a particular stock price is steadily rising (trending upward) then a technical analyst will look for opportunities to buy this stock. Until the technical analyst is convinced this BET’s GLOBAL BUSINESS SCHOOL, BELAGAVI Page 1
  • 2.
    INTIME EQUITIES LIMITED uptrendhas reversed or ended all else equal he will continue to own this security. Additionally technical analysts look for various price patterns to form on a price chart and will take positions in anticipation of the expected move following that pattern. The various tools of technical analysis assist the technician in determining when trends have formed ended etc. and when particular patterns are unfolding. One of the forecasting tools very popular among practitioners is technical analysis. Technical analysis is the examination of past price movements in order to forecast future price movements. Technical analysis is open to interpretation. Many times two technicians will look at the same chart and paint two different scenarios or see different patterns. Both would be able to come up with logical support to justify their position. In addition even if stock prices completely followed a random walk people would be able to convince them that there are e patterns having a predictive value. It has become more and more popular as it offered an unlimited set of tools and signals and seemed to be an interesting method of market analysis. It has been proven that stock prices most of the time approximately follow a random walk pattern. Psychologists have described a number of ways in which people deal with randomness. Additionally market participants may be subject to herd behavior. Technical analysis is applicable to stock indices commodities futures or any tradable instrument where the price is influenced by the forces of supply and demand. Price refers to any combination of the open, high low or close for a given security over a specific time frame. The time frame can be based on intraday (1-minute, 5-minutes, 10-minutes, 15-minutes, 30-minutes or hourly), daily, weekly or monthly price data and last a few hours or many years. In addition some technical analysts include volume or open interest figures with their study of price action. Economists have raditiolly been skeptical of the value of technical analysis affirming the theory of efficient markets that holds no strategy should allow investors and traders to make unusual returns except by taking excessive risk. BET’s GLOBAL BUSINESS SCHOOL, BELAGAVI Page 2
  • 3.
    INTIME EQUITIES LIMITED TECHNICALANALYSIS VS. FUNDAMENTAL ANALYSIS Differentiating factor Technical analysis Fundamental analysis Basis of decision making Technical analysis bases their decision primarily on price history, volumes and charts. Fundamental analysis on the other hand base their decisions on economic indicators and financial. Basis of evaluation Technical analysis believes that there is no reason to analyses financials or economic indicators. Price discount all information and charts reflects the information Fundamental analysts relatively takes long term approach and evaluate securities on the basis of their intrinsic value Time approach Technical analysis can be used for timeframe of weeks, days or even hours depending upon the time perspective of the trade On the other hand fundamental analysts study financial, economic date over long term and thus have a perspective for the long number of years. Primary Phases of Movements: Secondary movements normally retrace from one-third to two thirds of the primary trend since the previous secondary movement. Daily fluctuations are important for short-term trading, but are unimportant in analysis of broad market movements. BET’s GLOBAL BUSINESS SCHOOL, BELAGAVI Page 3
  • 4.
    INTIME EQUITIES LIMITED BULLTRENDS A bull trend is identified by a series of rallies where each rally exceeds the highest point of the previous rally. The decline, between rallies, ends above the lowest point of the previous decline Successive higher highs and higher lows The start of an uptrend is signaled when price makes a higher low (trough), followed by a rally above the previous high (peak): Start = higher Low + break above previous High. The end is signaled by a lower high (peak) followed by a decline below the previous low (trough): End = lower High + break below previous Low. BEAR TRENDS A bear trend starts at the end of a bull trend: when a rally ends with a lower peak and then retreats below the previous low. The end of a bear trend is identical to the start of a bull trend. Each successive rally fails to penetrate the high point of the previous rally. Each decline terminates at a lower point than the preceding decline. Successive lower highs and lower lows BET’s GLOBAL BUSINESS SCHOOL, BELAGAVI Page 4
  • 5.
    INTIME EQUITIES LIMITED HowTechnical Analysis is Done Technical analysis done by identifying the trend from past movements and then using it as a tool to predict future price movements of the stock with the use of the tools of technical analysis ASSUMPTIONS OF TECHNICAL ANALYSIS 1. The Market Discounts Everything A major criticism of technical analysis is that it only considers price movement ignoring the fundamental factors of the company. However technical analysis assumes that at any given time a stock's price reflects everything that has or could affect the company - including fundamental factors. Technical analysts believe that the company's fundamentals, along with broader economic factors and market psychology are all priced into the stock removing the need to actually consider these factors separately. This only leaves the analysis of price movement which technical theory views as a product of the supply and demand for a particular stock in the market. 2. Price Moves in Trends In technical analysis price movements are believed to follow trends. This means that after a trend has been established the future price movement is more likely to be in the same direction as the trend than to be against it. Most technical trading strategies are based on this assumption. 3. History Tends To Repeat Itself Another important idea in technical analysis is that history tends to repeat itself mainly in terms of price movement. The repetitive nature of price movements is attributed to market psychology in other words market participants tend to provide a consistent reaction to similar market stimuli over time. Technical analysis uses chart patterns to analyze market movements and understand trends. Although many of these charts have been used for more than 100 years they are still believed to be BET’s GLOBAL BUSINESS SCHOOL, BELAGAVI Page 5
  • 6.
    INTIME EQUITIES LIMITED relevantbecause they illustrate patterns in price movements that often repeat themselves CHART PATTERN 1 Candlestick Charting: Candlestick charts have been around for hundreds of years. They are often referred to as “Japanese candles” because the Japanese would use them to analyze the price of rice contracts. Similar to a bar chart, candlestick charts also display the open, close, daily high and daily low. The difference is the use of color to show if the stock went up or down over the day. The chart below is an example of a candlestick chart for AT&T (T). Green bars indicate the stock price rose red indicates a decline: Figure: Candlestick charting Investors seem to have a "love/hate" relationship with candlestick charts. People either love them and use them frequently or they are completely turned off by them. There are several patterns to look for with candlestick charts - here are a few of the popular ones and what they mean. BET’s GLOBAL BUSINESS SCHOOL, BELAGAVI Page 6
  • 7.
    INTIME EQUITIES LIMITED Thisis a bullish pattern - the stock opened at (or near) its low and closed near its high The opposite of the pattern above this is a bearish pattern. It indicates that the stock opened at (or near) its high and dropped substantially to close near its low. Known as "the hammer", this is a bullish pattern only if it occurs after the stock price has dropped for several days. A small body along with a large range identifies a hammer. This pattern indicates that a reversal in the downtrend is in the works. 2 Line Chart: The most basic of the four charts is the line chart because it represents only the closing prices over a set period of time. The line is formed by connecting the closing prices over the time frame. Line charts do not provide visual information of the trading range for the individual points such as the high low and opening prices. However the closing price is often considered to be the most important price in stock data compared to the high and low for the day and this is why it is the only value used in line charts. BET’s GLOBAL BUSINESS SCHOOL, BELAGAVI Page 7 Known as a "star”. For the most part stars typically indicate a reversal and or indecision. There is a possibility that after seeing a star there will be a reversal or change in the current trend.
  • 8.
    INTIME EQUITIES LIMITED 1.1BACKGROUND OF THE STUDY A method of evaluating securities by analyzing statistics generated by market activity such as past prices and volume. Technical analysts do not attempt to measure a security’s intrinsic value but instead use charts to identify patterns that can suggest future activity. Technical analysts believe that the historical performance of stocks and markets are indications of future performance. Technical Analysis has become increasingly popular over the past several years as more and more people believe that the historical performance of a stock is a strong indication of future performance. People using fundamental analysis have always looked at the past performance of companies by comparing fiscal data from previous quarters and years to determine future growth. The difference lies in the technical analyst’s belief that securities move according to very predictable trends and patterns. These trends continue until something happens to change the trend and until this change occurs Price levels are predictable. Investors successfully trade securities using only their knowledge of the security’s chart without even understanding what the company does. Although technical analysis is a terrific tool most agree it is much more effective when used in combination with fundamental analysis. 1.2 STATEMENT OF THE PROBLEM Technical analysis (or Chartism) is the study of price movement and trends in markets in order to forecast future prices. Investment timing plays a crucial role for trading in stock market trading. The investors face difficulty while identifying the opportunities. So this analysis is directed towards the use of different tools of technical analysis. Which helps the investor to identify and decide when to buy or sell. The very first step consists of examining the risk return characteristics of individual securities. Security analysis is such a crucial activity because every investor has to decide on the type number and time timing of buying and selling of the shares. Today the thousands of securities available for an invest he has to decide on. • Which stock to invest? BET’s GLOBAL BUSINESS SCHOOL, BELAGAVI Page 8
  • 9.
    INTIME EQUITIES LIMITED •What type of security to buy? • When to sell the securities? • Where to Invest? • How to Invest? • Whether hold sell or buy securities? All these questions need to be answered before the investment can take place and also determining prospective benefits from the investment in a security. The risk associated with that investment. 1.3 OBJECTIVES OF THE STUDY This study is aimed at undertaking technical analysis of selected companies included in the Indian stock market. The following are the main objectives of this study. • To gain the practical knowledge of technical analysis. • To understand and identify the overbought and oversold price levels as derived from using selected sectors historical data available • To know how technical tools are used to predict the future behavior of the stock. • To know how charting techniques are useful to take buy or sell decisions. • To know how an investor can take rational investment decision by the study of market trends and movement. • To provide the investors with a techniques with which they can make a decent profit by trading in stock. • To forecast the future trends and provide suitable suggestion to the investors. SCOPE OF THE STUDY The study mainly focuses on studying basic tools used in technical analysis to predict futures stock price movements based on the clients risk appetite. Technical analysis is having a broad scope in each and every segment like equity, commodity, currency, Forex, as it is not considering any intrinsic value. Technical indicators include pure mathematics and low of nature so it has global presence in trading. BET’s GLOBAL BUSINESS SCHOOL, BELAGAVI Page 9
  • 10.
    INTIME EQUITIES LIMITED Thereare various sectors in the economy of Indian stock market; the sectors selected in the study are selected on random basis. Stocks forming part of the sector are selected on the basis of industry leadership. The study is restricted to three selected sectors from Indian stock market; from each sector three stocks have been selected and the sectors and stocks are as below. Banking sectors: • State Bank of India • Industrial Credit and Investment Corporation of India (ICICI) Bank • HDFC Bank Infrastructure sectors: • BHEL(Bharat Heavy Electricals). • Larsen and Toubro. • Adani Ports and Special Economic Zone. F.M.C.G sectors: • Colgate-palmolive co.(CL) • Procter and Gamble CO • ITC holdings corp.(ITC BET’s GLOBAL BUSINESS SCHOOL, BELAGAVI Page 10
  • 11.
    INTIME EQUITIES LIMITED 2.LITERATURE REVIEW • Ramaswami.K (1996) assessed the relationship among book values earnings dividend and market price of share impact of bonus issues impact of security scam on equity return .to that end the author used daily share price of 30 companies included in the construction of BSE sensitive index, daily data of BSESI and NYSE composite index, annual data on BV per share market price per share EPS and DPS and data on bonus issue made during the period of study the researcher used correlation regression and frequency distribution for interpreting data. • Sharma and Robert E. Kennedy (1977) tested the applicability of random walk hypothesis to the stock market in developing country namely India and compare this to that of stock markets in developed countries namely USA and England. For this purpose the price behavior of Bombay stock exchange is statistically examined both for randomness and independence .The test the random walk hypothesis. The test covers 132 monthly observations for each stock market index of common stock listed in Bombay exchange for eleven years from 1968-1973.The study indicates that price dependence while statistically significant, is comparably small in the developing countries. Based on the test, it is evident that the Bombay stock exchange stock obeys a random walk and is equivalent to developed countries stock exchange. • Fernando Fernandez –Rodriguez, Simon Sosvilla –Rivero, Julian Andrada – Felix (1999) assessed whether some simple forms of technical analysis can predict stock price movement in the Madrid stock exchange covering thirty- one-year period from Jan 1966 –Oct 1997.the results provide strong support for profitability of those technical trading rules. By making use of bootstrap techniques the author shows the returns obtained from these trading rules are not consistent with several null models frequently used in finance. BET’s GLOBAL BUSINESS SCHOOL, BELAGAVI Page 11
  • 12.
    INTIME EQUITIES LIMITED •C. L. Osler (2001) provides a micro structural explanation for the success of two familiar predictions from technical analysis: (1) trends tend to be reversed at predictable support and resistance levels, and (2) trends gain momentum once predictable support and resistance levels are crossed. The explanation is based on a close examination of stop-loss and take-profit orders at a large foreign exchange dealing bank. Take-profit orders tend to reflect price trends and stop-loss Technical Analysis on Selected Stocks of Energy Sector orders tend to intensify trends. The requested execution rates of these orders are strongly clustered at round numbers, which are often used as support and resistance levels. Significantly, there are marked differences between the clustering patterns of stop-loss and take-profit orders, and between the patterns of stop-loss buy and stop-loss sell orders. These differences explain the success of the two predictions. • Gupta, (2003) examined the perceptions about the main sources of his worries concerning the stock market. A sample comprise of middle-class household’s spread over 21 sates/union territories. The study reveals that the foremost cause of worry for household investors is fraudulent company management and in the second place is too much volatility and in the third place is too much price manipulation. • Ravindra and Wang (2006) examine the relationship of trading volume to stock indices in Asian markets. Stock market indices from six developing markets in Asia are analyzed over the 34 month period ending in October 2005. In the South Korean market, the causality extends from the stock indices to trading volume while the causality is the opposite in the Taiwanese market. BET’s GLOBAL BUSINESS SCHOOL, BELAGAVI Page 12
  • 13.
    INTIME EQUITIES LIMITED 3.RESEARCH METHODOLOGY The methods which are used for the study is technical tools based on time value and trends the intrinsic value does not play any important roles her. So we are using the technical tools like. For the study 9 companies were selected Indian stock market. There are following steps in methodology. • Use of technical tools Exponential Moving Average, Relative Strength Index , Moving average, convergence and divergence.(MACD), • Identification of patterns and trends in the stock price movements. • Preparation of stock chart, Line chart showing the price and volume of the stocks over the period of time and Interpret charts. • Calculating the data Microsoft Excel is used. • The data required for the study is collected from the only source i.e. 3.1 RESEARCH DESIGN  EXPONENTIAL MOVING AVERAGE An exponential moving average is a weighted moving average. Recent price is given more weight than older price. The concept behind this is that more recent price are considered more important than older price. A 200-day long term simple average equal weightage to price data that are more than six month old. Calculation of the EMA is more complex than calculation of a simple moving average. An EMA calculation first needs and exponent. The calculation of the exponent is simple. Exp= 2/n+1 Where n = the number of days of the moving average. The weight given for the short period is more than the weight given for the longer period. The weighting declines by half when the moving average period doubles. EMA = (Current day’s close- previous day EMA)*Exponent + previous day EMA. BET’s GLOBAL BUSINESS SCHOOL, BELAGAVI Page 13
  • 14.
    INTIME EQUITIES LIMITED RELATIVE STRENGTH INDEX The RSI can be calculated for any number of days depending on the wish of technical analyst and the time frame of trading adopted in a particular stock market . RSI is calculated for 30 days. If the period considered is longer, the possibility of getting the wrong signals is reduced. Reactionary or sustained rise or fall in the price of the scrip is foretold by the RSI. If the share price is falling and RSI is rising a divergence is said to have occurred. Divergence indicates the turning point of the market. If the RSI is rising in the overbought zone it indicates a fall in price. If the RSI falls in the overbought zone it gives a clear sell signal. The term overbought describe the price level at which momentum can no longer be maintained and the price has to go down. The condition occurs after a sharp rise in price during a period of heavy buying. When the RSI is in the oversold region it generates a buy signal. The term oversold is used to describe a security on market that has declined to an unreasonably low level. The condition is characterized by an increase in sales and excess of net decline. RSI = 100-(100/1+Rs) = Average Gain Per Day/ Average loss Per Day  MOVINGAVERAGE,CONVERGENCE,AVERAGE,DIVERGENCE (MACD) Moving average convergence and divergence is the different between two exponential moving averages. It measures the convergence and divergence between two exponential moving average of varying periods. Short term and long term exponential moving averages are calculated using the closing price. The MACD considers the difference between the short term and long term exponential moving averages. Daily or weekly moving average is also calculated. The 12 days and 26 days exponential average. MACD Line =12- day EMA-26-day EMA BET’s GLOBAL BUSINESS SCHOOL, BELAGAVI Page 14
  • 15.
    INTIME EQUITIES LIMITED 3.2SAMPLE DESIGN The sample consists of three sectors stocks of different companies. The sampling technique used here is convenience sampling, the companies were selected randomly and based on their performance which is listed in NSE and BSE 3.3 DATA SOURCES Primary data were collected through direct interactions with the clients of Intime Equities limited (formerly known as Fortune Equity Broker ltd Other data used in this study are publicly available data collected from secondary source. The major source of the data is the website of Indian stock market. Text books and Business journals and newspapers are also to collect some data and information. 3.4 HYPOTHESIS Is not applicable to my project. 3.6 DATA ANALYSIS TOOLS Exponential Moving Average for 26-days in Excel Spreadsheet Procedure: • At column D, cell 28 write =Average(C3:C28). Press enter and drag a to fill other cell. To get SMA • At column E, cell 29 write =2/(26+1). Press enter and drag to fill other cell. To get SF • At column F, cell 29 write =((29*(2/(26+1))+F28*(1-(2/(26+1)))). Press enter and drag to fell other cell. To get EMA. Relative Strength Index for 30-days in Excel Spreadsheet Procedure • At column C, cell 4 write =B4-B3. Press enter and drag to fell other cell. To get the change value. BET’s GLOBAL BUSINESS SCHOOL, BELAGAVI Page 15
  • 16.
    INTIME EQUITIES LIMITED •At column D, cell 4 write =IF(C4>0,C4,0). Press enter and drag to fell other cell. To get the gain value. • At column E, cell 4 write =IF(C4<0,-C4,0). Press enter and drag to fell other cell. To get the loss value. • At column F, cell 33 write =(sum(D4:D33)/30). Press enter and drag to fell other cell. To get the average gain value. • At column G, cell 33 write =(sum(E4:E33)/30) • At column H, cell 33 write =F33/G33. Press enter and drag to fell other cell. To get the average loss value. • At column I, cell 33 write =IF(G33=0,100,100-(100/(1+H33))). Press enter and drag to fell other cell. To get the value relative strength index. Moving Average Convergence and Divergence (MACD) • At column C, cell 13 write =average (B2:B13). Press entry and drag to fell other cell. To get the average of 12-days. • At column c, cell 14 write =(B14*(2/(12+1))+C13*(1-(2/(12+1)))). To get EMA of 12 days. • At column D, cell 27 write =Average(B2:B27). Press entry and drag to fell other cell. To get the average of 26-days. • At the column D, cell 28 write =(B28*(2/(26+1))+D27*(1-(2/(26/1)))). To get the 26-days EMA. • At column E, cell 27 write = (C27)-(D27) to get the MACD 3.6 LIMITATIONS OF THE STUDY The subject of the securities with market index study is vast and it has restricted with certain limitation in the study, certain limitation cannot be avoided. They are: • Technical analysis is done based on one year stock price listed on Indian stock market so it does not give the perfect levels as there is previous price movement as well. • The study is limited to time value and price movement of the stock. So it does not consider any economic factors and industrial impacts. • The analysis is focused on three sectors. BET’s GLOBAL BUSINESS SCHOOL, BELAGAVI Page 16
  • 17.
    INTIME EQUITIES LIMITED •The recommendations made may not be a perfect prediction of the future as technical analysis is not an absolutely accurate practice. • Study is limited to 9 stocks. 4. COMPANY PROFILE About Intime equity limited (formerly known as fortune equity brokers (India) ltd Intime Equity Limited limited was incorporated in the year 1991 by MR. j. t. poonja, chairman and MR .nimish c shah, vice chairman and managing director. Fortune group which comprises the holding company fortune financial services (India) limited and its wholly-owned subsidiaries is engaged in providing a range of financial services right from equities and derivatives trading, equity research, commodities trading, portfolio management services, distribution of mutual funds, ipo & insurance products and also investment banking services. The main activities of the company are conducted through fortune financial services which is also the holding company & its wholly owned subsidiaries. a brief snapshot of all the companies is outlined as under. INTIME EQUITY LIMITED FINANCIAL SERVICES (INDIA) LTD M/s. Fortune Financial Services (India) ltd. is listed on the Bombay stock exchange ltd and is sebi registered category i merchant banker. it has recently got approval from sebi to launch its portfolio management services (pms). ffsil has four business verticals viz. fortune equity brokers (India) limited, fortune commodities & derivatives (India) ltd., fortune credit capital ltd. and fortune financial India insurance brokers limited. M/s. Intime Equities Limited is 100% subsidiary company of m/s. fortune financial services (India) ltd. it offers broking services in the cash and future & option segments of the national stock exchange of India ltd and the Bombay stock exchange limited. it is also a depository participant of central depository services (India) ltd. Intime multi commodity company limited BET’s GLOBAL BUSINESS SCHOOL, BELAGAVI Page 17
  • 18.
    INTIME EQUITIES LIMITED M/s.Intime Multi Commodity Company Limited is subsidiary company of m/s. fortune financial services (India) ltd. and engaged in the business of commodities broking. it having memberships with the mcx and ncdex, two leading indian commodities exchange. 4.1 HISTORY & MILESTONES 2006 Shareholders of Fortune approved the issuance of bonus shares in the ratio of 1:1Allotment of bonus shares was completed on March 31, 2006Commenced DP Services 2005 Fortune declared an interim dividend of 10% and final dividend of 5% during FY 2004-2005 after gap of six years due to carry-forward losses Fortune was associated with ECB/FCCB overseas fund raising for its Indian mid-sized corporate clients in excess of US$ 250 million Fortune was involved with varied domestic assignments - follow on issues, buyback program, open offers and IPOs for Indian mid-sized corporate clients Fortune proposes to increase its capital base by making a bonus issue during FY 2005-2006 Opened a branch office in Goa Commenced F&O operations on the National Stock Exchange (NSE) 2004 Fortune empanelled with seventeen institutional clients for its secondary market business Fortune was appointed as merchant bankers to manage an open offer by Zircon Traders Ltd. Successfully completed the FCCB issues for Alok Industries Limited and United Phosphorus Limited raising approximately US$ 110 million Opened its branch at Hyderabad to promote stock broking activities Fortune's shares are voluntarily de-listed from Delhi Stock Exchange Subsidiary company started mutual fund distribution during FY 2003-04 2003 Managed open offers of Gujarat JHM Hotels Ltd., Punjab Chemicals and Pharmaceuticals Ltd. Fortune's equity shares are voluntarily de-listed from Ahmedabad Stock Exchange Ltd Fortune empanelled with three institutions for secondary market business BET’s GLOBAL BUSINESS SCHOOL, BELAGAVI Page 18
  • 19.
    INTIME EQUITIES LIMITED 2002 Fortunecommenced its full fledged broking operation by empanelling with leading FIs / MFs / Banks Fortune completed a major takeover offer of Noble Explochem Reserve Bank of India de-registered Fortune as a NBFC Fortune's equity shares are voluntarily de-listed from Madras Stock Exchange 2001 Fortune completed the private placement of equity shares of Popular Entertainment Network Limited and clickforcotton.com, India's first cotton exchange portal Managed few IPOs, take over offers and right issue despite adverse market conditions Fortune also made a secondary market placement of equity shares for Goldstone Technologies Ltd., and Mirc Electronics Limited 2000 Acquired Corporate Membership of Bombay Stock Exchange Limited (BSE) In addition to Investment Banking and Corporate Advisory Services, Fortune launched its stock broking activities Fortune concluded two major deals involving a FMCG company and a well know media Company's private placement of equity shares 1999 Fortune Financial became the 1st Indian company to go in for a buyback of its shares, subsequent to the guidelines for Buyback of shares coming into effect from Jan 1999 Fortune offered to buyback 25% of its paid-up capital of Rs.549 lacs at an offer price of Rs.10/- each per share as against the average quoted market price of Rs.5.65 per share. An amount of Rs.114 lacs was reduced from the share capital consequent to the buyback Successfully completed the second buyback and reduced Rs. 47 lacs from the share capital Fortune prepaid / repaid all its fixed deposit outstanding along with interest 1998 Due to a downturn in the market conditions, Fortune's senior management decided to suspend the NBFC activities effective from April 1998 The fixed deposit scheme of Fortune was rated "FA" by CRISIL on account of its timely repayment of interest, BET’s GLOBAL BUSINESS SCHOOL, BELAGAVI Page 19
  • 20.
    INTIME EQUITIES LIMITED repaymentof the principal and the safety of the deposits Fortune stopped accepting / renewing fixed deposits since April 1998 Fortune declared dividend @15% 1997 In order to broaden its base in consumer finance, Fortune took up office equipment finance in addition to car financing Fortune extended its focus to External Commercial Borrowings, private placement of Non-Convertible Debentures and Preference Shares for mobilizing funds for its corporate clients Opened offices at Chennai and Chandigargh to promote consumer finance and corporate financing activities Fortune declared dividend @22% 1996 Fortune launched its consumer finance division with a primary focus on car financing. Opened offices in Pune and Mangalore Fortune handled 9 Investment Banking assignments in its capacity as Lead Managers/ Co-Managers/ Advisors aggregating to Rs.176 crores. This included the issue of Search Chem Industries Limited, a group company of United Phosphorus Limited Fortune set up its in-house equity research division with a view to provide equity research to corporate clients and support its corporate finance and investment banking activities Fortune started accepting fixed deposits from public. The fixed deposit schemes of the Company is rated "FA" by CRISIL Besides having a fixed deposit center in Mumbai, Fortune opened centers in Madras, Bangalore and New Delhi Fortune declared dividend @20% 1995 Authorized Capital of Fortune was increased to Rs.600 lacs Fortune made an Initial Public Offering (IPO) of 25 lac equity shares of Rs.10/- each at a premium of Rs. 20/- per share aggregating to Rs.750 lacs. The issue was over subscribed by 2.52 times Fortune was listed on the Bombay Stock Exchange, Delhi Stock Exchange, Ahmedabad Stock Exchange and Madras Stock Exchange Fortune opened a branch office in Bangalore Fortune was associated with 10 issues aggregating to Rs.115 crores as Lead / Co-managers Fortune was involved with underwriting 113 issues for an aggregate amount of Rs. 26 crores Company received membership of National Stock Exchange (NSE). Fortune promoted a separate company called Good Fortune BET’s GLOBAL BUSINESS SCHOOL, BELAGAVI Page 20
  • 21.
    INTIME EQUITIES LIMITED AdvisoryServices Pvt. Ltd., to operate this activity and invested Rs.10 lacs towards share capital Fortune declared dividend @16% 1994 In anticipation of a potential IPO, the name of the Company was changed to Fortune Financial Services (India) Ltd. Opened an office in New Delhi to increase the scope of activities Fortune declared dividend @15% 1993 Fortune became a SEBI registered Category - I Merchant Banker Fortune declared dividend @12.5% 1992 Fortune declared dividend @10% 1991 Mr. J.T. Poonja and Mr. Nimish C. Shah incorporated Fortune Financial Services (India) Private Limited as a Non-Banking Financial Company (NBFC). Besides core investment banking and corporate advisory services, Fortune's also focused on fund based activities such as lease, hire purchase, bill discounting and inter-corporate loans 4.2 VISION, MISSION AND CORE VALUE  VISION Intime Equities limited aspiration of establishing itself as an integrated financial services company is propelled by a vision that is shared by the entire work force. Towards this end Intime Equities limited has dedicated it to: • Having a single minded focus on investor services • Establishing Intime Equities limited as a house hold name for financial services • Set industrial standards • Establishing leadership position in all chosen areas of business • And in the process become a crucial link between industry, finance and people. BET’s GLOBAL BUSINESS SCHOOL, BELAGAVI Page 21
  • 22.
    INTIME EQUITIES LIMITED MISSION Intime Equities limited mission is leading services provider to our customers and aim to achieve this leadership position by building an innovative, enterprising and technology driven organization which will set the highest standards of service and business ethics.  CORE VALUE At Intime Equities limited adherence to its core values-integrity, Enterprise, and Innovation has earned it an enviable reputation amongst all the intermediaries and regulatory authorizes of the capital and financial markets. The business challenges • Easily access customer portfolio information in a secure contact center environment • Seamlessly integrate with back-end applications and streamline customer data to centre agents • Easily manage upgrades and technology issues to accommodate growing customer base.  MANAGE BUSINESS GROWTH With a customer base of more than 2,60,000, Intime Equities limited continues to grow at a fast pace. The company required reliable contact technology that could handle its growing customer base and expanding service portfolio. Downtime in the contact center, even for a short period of time, was unacceptable as it could result in financial losses and more importantly, a decrease in customer loyalty. As a result, customer satisfaction was a top priority in Intime Equities limited agenda. Its primary objectives were to help and support its customers in managing their shares portfolio in the best possible manner.  QUALITY POLICY • To achieve and retain leadership, Intime Equities limited shall aim for complete customer satisfaction, by combining its human and technological resources, to provide superior quality financial services. BET’s GLOBAL BUSINESS SCHOOL, BELAGAVI Page 22
  • 23.
    INTIME EQUITIES LIMITED •In the process, Intime Equities limited will strive to exceed customer’s expectations. Quality objectives As per the Quality Policy Intime Equities limited will: • Build in-house processes that will ensure transparent and harmonious relationships with its clients and investors to provide high quality of service. • Establish a partner relationship with its investor service agent and vendors that will help. 4.3 ORGANIZATION STRUCTURE KEY PERSONS:BRANCH HEAD:- Chintan valia. BET’s GLOBAL BUSINESS SCHOOL, BELAGAVI Page 23 OPERATIONS DIVISION SUPPORT FUNCTION BRANCHES ISO CELL BROKING FPO RIS DP ACCOUNTS SYSTEM HRD ADMN. PURCHASE STORE SUPPORT FUNCTIONS OPERATIONS DIVISIONS HEAD OFFICE REGIONAL HEAD QUARTERS
  • 24.
    INTIME EQUITIES LIMITED Workflow model (End to End) (Producer buying and selling of equities futures at Intime Equities limited) BET’s GLOBAL BUSINESS SCHOOL, BELAGAVI Page 24 Clients Customer Support Status Order placement through computer terminals Online computer Order sent for execution at Order Executed Order pendingOrder Executed Order Executed
  • 25.
    INTIME EQUITIES LIMITED 4.4PRODUCT/SERVICE PROFILE • Equity Broking • Commodities Broking • Internet Broking • Depository Service • Insurance Broking • Investment Banking • Currency Derivatives • Mutual Fund • IPO 4.5 AREA OF OPERATION Intime equity limited (formerly known as fortune equity brokers (india) ltd. Provide services include trade execution on BSE, NSE ,Derivatives, Commodities, Depository services online trading and investment advice trade is available in BSE and NSE. Intime equity limited has one of the best state of art web portal providing fundamental and statistical information across equity, mutual funds and IPOs. You can surf across 5500 companies for in depth information details about more than 1500 mutual fund schemes and IPO data. You can also access other market related details such as board meeting result announcement. And buying and selling of mutual funds and much more. BET’s GLOBAL BUSINESS SCHOOL, BELAGAVI Page 25
  • 26.
    INTIME EQUITIES LIMITED 4.6BUSINESS PRACTICE  FRONT OFFICE In front of office the following services are done. • Account opening • Holding enquiries • Transfer of physical shares to demat form • Transfer of demat shares to physical form • Transformations of shares from demat to trading account etc.  BACK OFFICE • Maintenance of all demit account with KCL • Giving intimation related to the due of AMC’s to heir account holders • Sends quarterly information to the holders related to the holdings  MARKETING In this department where the demat account is marketed, marketing executives seek for prospective customers, they help in opening of an account and also these executives collect AMCs and provide other door to door services. Here all the records of investors are to maintain and kept confidentially and identifies the customer’s requirements and the department members try to fulfill their needs. • TIN. Tax information network services, this is recently introduced by the RIS department in this service, Intime Equities limited tries to give the services regarding taxation like • PAN opening BET’s GLOBAL BUSINESS SCHOOL, BELAGAVI Page 26
  • 27.
    INTIME EQUITIES LIMITED •TDS return(filling) quarterly, yearly  ADVISORY SERVICES This is the main function done by the ris department kcl give every financial advisory services to investors for ex: portfolio management, equity tips, tax planning etc  ACCOUNTS • Maintaining the purchases/ stores departments • Internal auditing • Payments and receipts  TECHNOLOGY DEPARTMENT Intime Equities limited has been successful in keeping IT investments under control, and helping in keeping these spends aligned with Intime Equities limited business goals. He runs a team with 50 people on board. Intime Equities limited retains its focus on providing reliable, secure and fast trading service. Inside the jungle Intime Equities limited operates through online and offline (Intime Equities limited) channels. The online structure forms the most integral point for business and transactions. The online component is made up of a convential portal, a chat facility and few ‘speed trade’ terminals. With the ‘speed trade’ channel, customers gain a better and more efficient platform for transactions. It has a terminal at the user end, connected to Intime Equities limited system through a TCP/IP link. When a Web trade request is made, it travels via HTTP/HTTPS. But with this speed trade transaction, the transfer of information is directly with the trading system and is entirely live, Intime Equities limited uses 128-bit SSL encryption technology by verisign and can also operate on cable connections, GPRS and dial up. The offline model is more personalized in the sense that it provides the customer the opportunity to interact with a human voice through the IVR or a team of customer service executives over the telephone. BET’s GLOBAL BUSINESS SCHOOL, BELAGAVI Page 27
  • 28.
    INTIME EQUITIES LIMITED 4.7CURRENT STATUS The total income during the year 2013-14 stood at Rs. 828.65 lakhs as against Rs. 247.76 lakhs during the previous year. The company has incurred a loss of Rs. 4.47 lakhs as compared to a loss of Rs. 419.49 lakhs in the previous year. The loss after tax stood at Rs. 24.06 lakhs as against a loss of Rs. 403.12 lakhs in the previous year. During the year the total income increased considerably and also the losses have been reduced to a substantial extent as against those in the previous year. The consolidated income during the year 2013-14 stood at Rs.6,101.48 lakhs as against Rs.6,289.02 lakhs during the previous year. The consolidated income has been marginally reduced as compared to that of the previous year. During the year under review, the company has on consolidated basis incurred a loss of Rs. 124.21 lakhs after tax as against a loss of Rs 1,261.87 lakhs in the previous year. The consolidated loss after tax has been substantially reduced as compared to that of the previous year. 4.6 FUTURE PLANS • To expand the business in the upcoming years. • To provide good dividend to the client. 4.7 AWARDS AND ACHIEVEMENTS They don’t have no awards and achievements BET’s GLOBAL BUSINESS SCHOOL, BELAGAVI Page 28
  • 29.
    INTIME EQUITIES LIMITED 4.10SWOT ANALYSIS  STRENGTHS • Provides advice regarding the suitability or profitability of a scrip or investment or any other tax or legal advice it may add on from time to time which in turn build a strong relation with the investors. • Emerging as a leading merchant banking leveraging on the strength in stock broking distribution and research. • Having strong and talent able execution team. • Providing efficient depository participants services to its clients.  WEAKNESSES • Relatively high account opening charge. • Do not provide facility to book limit order trades during after hours . • High risk exposure as seen by conservative population. • Less emphasis and advertising cause lack of brand visibility.  OPPORTUNITIES • Huge and vast untapped market. • Increasing industry size. • High income urban families. • More penetration into the growing cities.  THREATS • There are many competitors entering into the segment. • Low brokerages and low A/C opening charges in the other security offerings. • Entry of foreign firms in Indian market. BET’s GLOBAL BUSINESS SCHOOL, BELAGAVI Page 29
  • 30.
    INTIME EQUITIES LIMITED 5.1DATA ANALYSIS AND INTERPRETATION 1. BANKING SECTORS 1. State Bank of India 1. Exponential Moving Average:- For the period 1st January 2014 to 9th March 2015 Smoothing constant DATE OPEN CLOSE 26-day SMA 2/(26+1) EMA 23/06/201 4 258.40 263.90 198.25 198.25 30/06/201 4 265.00 269.81 202.01 0.07 203.55 07/07/201 4 269.71 256.25 205.68 0.07 207.45 14/07/201 4 242.00 256.25 209.30 0.07 211.07 21/07/201 4 256.10 250.06 212.68 0.07 213.95 28/07/201 4 250.52 243.72 216.19 0.07 216.16 04/08/201 4 245.30 241.80 219.62 0.07 218.06 11/08/201 4 243.00 236.25 223.03 0.07 219.41 18/08/201 4 236 252.47 226.96 0.07 221.85 25/08/201 4 253.00 246.07 230.53 0.07 223.65 01/09/201 4 247.70 251.58 233.86 0.07 225.72 BET’s GLOBAL BUSINESS SCHOOL, BELAGAVI Page 30
  • 31.
    INTIME EQUITIES LIMITED 08/09/201 4 253.72252.56 237.21 0.07 227.71 15/09/201 4 261.38 256.80 240.54 0.07 229.86 22/09/201 4 255.10 244.53 242.63 0.07 230.95 29/09/201 4 245.10 242.34 244.64 0.07 231.79 06/10/201 4 242.34 245.19 246.40 0.07 232.78 13/10/201 4 243.00 252.00 248.33 0.07 234.21 20/10/201 4 257.00 257.00 250.20 0.07 235.89 27/10/201 4 259.00 270.28 252.71 0.07 238.44 03/11/201 4 270.60 274.25 254.90 0.07 241.09 10/11/201 4 275.90 278.79 256.33 0.07 243.89 17/11/201 4 279.40 305.50 257.49 0.07 248.45 24/11/201 4 307.80 321.40 260.07 0.07 253.85 01/12/201 4 322.80 317.55 261.75 0.07 258.57 08/12/201 4 318.60 311.35 263.69 0.07 262.48 15/12/201 4 308.30 304.15 265.45 0.07 265.57 22/12/201 4 306.30 307.65 267.14 0.07 268.69 29/12/201 4 309.50 315.25 268.89 0.07 272.13 05/01/201 5 316.25 303.20 270.69 0.07 274.44 12/01/201 5 304.15 315.45 272.97 0.07 277.47 19/01/201 5 316.55 327.45 275.94 0.07 281.18 26/01/201 5 327.45 308.95 278.45 0.07 283.23 02/02/201 5 309.50 290.30 280.32 0.07 283.76 09/02/201 5 289.50 306.95 283.04 0.07 285.47 16/02/201 5 310.60 302.30 284.95 0.07 286.72 23/02/201 5 303.20 299.90 287.03 0.07 287.70 BET’s GLOBAL BUSINESS SCHOOL, BELAGAVI Page 31
  • 32.
    INTIME EQUITIES LIMITED 02/03/015305.90 315.00 289.46 0.07 289.72 09/03/201 5 292.00 286.85 290.78 0.07 289.51 1.Graph:- State Bank of India INTERPRETATION The above graph show that the SBI stock is growing in bullish trend.The data collected of One year as calculated by simple moving avrage as well as Exponential Moving Average method the abouve graph points that the movining avrage and exponential moving average stock of SBI is slightly increasing.It is giving a clear picture of uptrend price future movement of 350. The SBI stock have strong support level is 256 and restent level is 276. This resistance break out the stock price will go up to Rs350 to 375. The line of the exponential moving average is going to uptraind . A rising of the of moving average reflecting a long-term uptrend. BET’s GLOBAL BUSINESS SCHOOL, BELAGAVI Page 32
  • 33.
    INTIME EQUITIES LIMITED 2.HDFCBank:- 2. Exponential Moving Average:- For the period 1January2014 to 9March2015 Smoothing constant DATE OPEN CLOSE 26-day SMA 2/(26+1) EMA 23/06/201 4 824.0 816.2 725.8 725.8 30/6/2014 819.9 856.7 733.3 0.1 735.5 07/07/201 4 859.9 811.8 739.0 0.1 741.2 14/07/201 4 815.0 832.5 745.5 0.1 747.9 21/07/201 4 841.7 835.5 751.7 0.1 754.4 28/07/201 4 838.5 815.5 758.9 0.1 758.9 04/08/201 4 819.0 796.2 764.6 0.1 761.7 11/08/201 4 801.0 826.7 771.7 0.1 766.5 18/08/201 4 830.0 846.8 778.7 0.1 772.4 25/08/201 4 843.0 843.6 785.9 0.1 777.7 01/09/201 4 845.9 848.5 791.2 0.1 783.0 08/09/201 4 851.0 855.7 796.0 0.1 788.3 15/09/201 4 850.0 860.3 800.8 0.1 793.7 22/09/201 4 857.0 871.7 805.7 0.1 799.4 29/09/201 4 873.0 868.0 811.2 0.1 804.5 06/10/201 4 868.0 867.3 816.1 0.1 809.2 13/10/201 4 864.0 885.3 823.0 0.1 814.8 20/10/201 4 894.0 893.7 829.4 0.1 820.6 27/10/201 4 899.1 911.9 836.9 0.1 827.4 03/11/201 4 915.2 899.5 842.4 0.1 832.7 10/11/201 4 899.5 930.1 847.2 0.1 840.0 17/11/201 4 930.0 932.9 852.7 0.1 846.8 BET’s GLOBAL BUSINESS SCHOOL, BELAGAVI Page 33
  • 34.
    INTIME EQUITIES LIMITED 24/11/201 4 932.4957.2 859.1 0.1 855.0 01/12/201 4 958.3 942.8 864.0 0.1 861.5 08/12/201 4 945.0 931.5 867.7 0.1 866.7 15/12/201 4 930.0 941.5 872.3 0.1 872.2 22/12/201 5 954.0 948.7 877.3 0.1 877.9 29/12/201 4 950.1 965.3 881.5 0.1 884.4 05/01/201 5 970.0 975.7 887.8 0.1 891.1 12/01/201 5 969.4 1001.4 894.3 0.1 899.3 19/01/201 5 1013.3 1042.8 902.3 0.1 909.9 26/01/201 5 1042.8 1077.4 912.4 0.1 922.3 02/02/201 5 1068.5 1093.0 923.8 0.1 935.0 09/02/201 5 1047.0 1065.8 933.0 0.1 944.7 23/02/201 5 1077.1 1054.0 941.0 0.1 952.8 2/3/2015 1080.4 1085.1 950.2 0.1 962.6 09/03/201 5 1077.1 1042.7 957.7 0.1 968.5 2.Graph:- HDFC Bank INTERPRETATION: BET’s GLOBAL BUSINESS SCHOOL, BELAGAVI Page 34
  • 35.
    INTIME EQUITIES LIMITED Theabove graph show that the HDFC Bank is growing in bullish trend.The data collected of one year as calculated by simple moving avrage as well as Exponential Moving Average method the abouve graph points that the movining avrage and exponential moving average stock of HDFC Bank is slightly increasing.It is giving a clear picture of uptrend price future movement of 933.509 The HDFC Bank have strong support level is 810.123 and restent level is 859.677. This resistance break out the stock price will go up to Rs980 to1000. The line of the exponential moving average is going to uptraind . A rising of the of moving average reflecting a long-term uptrend. 3. ICICI Bank 3. Exponential Moving Average:-For the period 1January2014 to 9March2015 Smoothing constant DATE OPEN CLOSE 26-day SMA 2/(26+1) EMA 23/06/201 4 280.00 276.93 244.13 244.13 30/06/201 4 278.40 292.57 247.17 0.07 247.72 07/07/201 4 293.78 271.32 249.73 0.07 249.46 14/07/201 4 274.98 296.09 253.16 0.07 252.92 21/07/201 4 297.60 295.13 256.37 0.07 256.04 28/07/201 296.80 295.13 260.12 0.07 258.94 BET’s GLOBAL BUSINESS SCHOOL, BELAGAVI Page 35
  • 36.
    INTIME EQUITIES LIMITED 4 04/08/201 4 298.42287.43 263.79 0.07 261.05 11/08/201 4 289.19 295.93 267.57 0.07 263.63 18/08/201 4 297.30 307.91 271.52 0.07 266.91 25/08/201 4 308.50 311.36 275.47 0.07 270.21 01/09/201 4 311.60 309.41 278.13 0.07 273.11 08/09/201 4 312.50 312.88 280.81 0.07 276.06 15/09/201 4 313.11 314.44 283.68 0.07 278.90 22/09/201 4 312.00 295.59 285.36 0.07 280.14 29/09/201 5 295.86 285.77 286.89 0.07 280.55 06/10/201 4 285.77 291.79 288.60 0.07 281.39 13/10/201 4 289.40 301.04 290.47 0.07 282.84 20/10/201 4 309.77 314.20 292.78 0.07 285.16 27/10/201 4 316.47 325.33 295.66 0.07 288.14 03/11/201 4 325.20 336.94 298.01 0.07 291.75 10/11/201 4 336.14 338.46 299.76 0.07 295.21 17/11/201 4 337.40 346.14 301.83 0.07 298.99 24/11/201 4 348.00 355.80 304.61 0.07 303.19 01/12/201 4 353.20 359.80 307.02 0.07 307.39 08/12/201 4 360.90 346.30 309.35 0.07 310.27 15/12/201 4 342.80 356.00 312.30 0.07 313.66 22/12/201 4 355.50 350.95 315.14 0.07 316.42 29/12/201 4 350.00 362.30 317.82 0.07 319.82 05/01/201 5 365.30 341.85 320.54 0.07 321.45 12/01/201 5 342.75 353.85 322.76 0.07 323.85 19/01/201 355.50 370.70 325.67 0.07 327.32 BET’s GLOBAL BUSINESS SCHOOL, BELAGAVI Page 36
  • 37.
    INTIME EQUITIES LIMITED 5 26/01/201 5 370.70360.70 328.19 0.07 329.79 02/02/201 5 360.30 329.35 329.80 0.07 329.76 09/02/201 5 327.50 343.85 331.64 0.07 330.80 16/02/201 5 346.95 330.95 332.53 0.07 330.81 23/02/201 5 333.00 335.25 333.45 0.07 331.14 02/03/201 5 350.85 347.75 334.92 0.07 332.37 09/03/201 5 342.00 330.20 335.59 0.07 332.21 3.Graph:- ICICI Bank INTERPRETATION The above graph shows that the ICICI Bank is growing in bullish trend for the data collected of one year is calculate by simple moving average as well as exponential moving average method the above graph point that the moving average and exponential moving average of ICICI bank price is decreasing it is giving a clear picture of downwards trends future movement. It indicates a massage to investors to sell the stock The ICICI Bank have a strong support level is 298.66 and resistance level is 322.96. The line of the exponential moving average is going to uptraind . A rising of the of moving average reflecting a long-term uptrend. BET’s GLOBAL BUSINESS SCHOOL, BELAGAVI Page 37
  • 38.
    INTIME EQUITIES LIMITED 4.INFRASTRUCTURE SECTORS 4. BHEL (Bharat Heavy Electricals). 4.Exponential Moving Average:- For the period 1Jan2014 to 9Mar2015 Smoothing constant DATE OPEN CLOSE 26-day SMA 2/(26+1) EMA 30/06/201 4 245.500 262.900 195.804 195.804 07/07/201 4 264.000 223.250 198.027 0.069 197.837 14/07/201 4 223.700 238.650 200.937 0.069 200.860 21/7/2014 239.000 227.050 203.060 0.069 202.800 28/07/201 4 228.150 224.100 205.333 0.069 204.378 04/08/201 4 225.100 220.900 207.185 0.069 205.602 11/08/201 4 223.100 212.950 209.385 0.069 206.146 18/08/201 4 212.000 227.500 212.423 0.069 207.728 25/08/201 4 228.350 240.900 215.896 0.069 210.185 01/09/201 4 240.700 222.800 218.013 0.069 211.119 08/09/201 4 223.450 220.700 219.392 0.069 211.829 15/09/201 4 218.500 226.500 220.875 0.069 212.916 22/09/201 4 224.500 205.350 221.552 0.069 212.355 29/09/201 4 205.900 199.450 221.527 0.069 211.399 BET’s GLOBAL BUSINESS SCHOOL, BELAGAVI Page 38
  • 39.
    INTIME EQUITIES LIMITED 06/10/201 4 199.450221.600 222.992 0.069 212.155 13/10/201 4 216.650 226.750 224.581 0.069 213.236 20/10/201 4 231.700 241.700 226.906 0.069 215.345 27/10/201 4 248.000 256.700 229.425 0.069 218.408 03/11/201 4 258.000 249.000 232.065 0.069 220.674 10/11/201 4 249.100 245.850 234.058 0.069 222.539 17/11/201 4 243.250 252.250 234.852 0.069 224.740 24/11/201 4 252.150 283.800 235.300 0.069 229.115 01/12/201 4 281.750 272.200 236.454 0.069 232.306 08/12/201 4 272.550 247.350 235.862 0.069 233.420 15/12/201 4 244.900 259.050 236.681 0.069 235.319 22/12/201 4 259.650 251.550 236.954 0.069 236.521 29/12/201 4 252.600 275.300 237.431 0.069 239.394 05/01/201 5 276.000 254.750 238.642 0.069 240.531 12/01/201 5 254.600 273.850 239.996 0.069 242.999 19/01/201 5 274.200 279.100 241.998 0.069 245.673 26/01/201 5 279.100 291.750 244.600 0.069 249.087 02/02/201 5 291.400 264.150 246.263 0.069 250.202 09/02/201 5 261.500 259.350 248.048 0.069 250.880 16/02/201 5 259.350 276.300 249.925 0.069 252.763 23/02/201 5 277.000 270.900 251.079 0.069 254.106 02/03/201 5 263.450 270.350 252.908 0.069 255.310 09/03/201 5 267.000 254.750 254.217 0.069 255.268 4.Graph:- BHEL(Bharat Heavy Electricals). BET’s GLOBAL BUSINESS SCHOOL, BELAGAVI Page 39
  • 40.
    INTIME EQUITIES LIMITED INTERPRETATION Theabove graph show that the BHEL(Bharat Heavy Electricals) is growing in bullish trend.The data collected of one year as calculated by simple moving avrage as well as Exponential Moving Average method the abouve graph points that the movining avrage and exponential moving average stock of BHEL(Bharat Heavy Electricals) is slightly increasing.It is giving a clear picture of uptrend price future movement of 249.87 The BHEL (Bharat Heavy Electricals)have strong support level is 216.65 and restent level is 237.04. This resistance break out the stock price will go up to Rs265 to 280. The line of the exponential moving average is going to uptraind . A rising of the of moving average reflecting a long-term uptrend. 5. Larsen and Toubro:- BET’s GLOBAL BUSINESS SCHOOL, BELAGAVI Page 40
  • 41.
    INTIME EQUITIES LIMITED 5.Exponential Moving Average:- For the period 1January2014 to 9March2015 Smoothing constant DATE OPEN CLOSE 26-day SMA 2/(26+1) EMA 30/06/201 4 1652.000 1667.300 1270.900 1270.900 07/07/201 4 1675.000 1742.700 1299.002 0.069 1305.848 14/07/201 4 1750.000 1574.350 1322.783 0.069 1325.737 21/7/2014 1575.000 1686.500 1349.077 0.069 1352.460 28/07/201 4 1476.100 1442.800 1365.863 0.069 1359.152 04/08/201 4 1663.450 1468.700 1384.433 0.069 1367.267 11/08/201 4 1450.200 1484.100 1403.662 0.069 1375.921 18/08/201 4 1485.100 1540.000 1424.710 0.069 1388.075 25/08/201 4 1545.000 1526.500 1442.838 0.069 1398.329 01/09/201 4 1535.000 1612.600 1462.183 0.069 1414.201 08/09/201 4 1622.200 1578.700 1476.800 0.069 1426.386 15/09/201 4 1569.050 1532.450 1487.473 0.069 1434.242 22/09/201 4 1523.900 1476.000 1497.450 0.069 1437.336 29/09/201 4 1475.850 1446.850 1503.554 0.069 1438.040 06/10/201 4 1446.850 1461.700 1510.654 0.069 1439.793 13/10/201 4 1447.400 1452.900 1516.592 0.069 1440.764 20/10/201 4 1482.300 1553.750 1527.546 0.069 1449.133 27/10/201 4 1566.000 1655.450 1539.298 0.069 1464.416 03/11/201 4 1661.000 1653.800 1554.308 0.069 1478.444 10/11/201 4 1615.000 1621.650 1565.037 0.069 1489.052 17/11/201 4 1621.000 1666.300 1574.213 0.069 1502.182 24/11/201 4 1671.000 1639.350 1579.035 0.069 1512.342 01/12/201 4 1631.200 1628.500 1582.227 0.069 1520.947 08/12/201 1630.000 1510.950 1575.300 0.069 1520.206 BET’s GLOBAL BUSINESS SCHOOL, BELAGAVI Page 41
  • 42.
    INTIME EQUITIES LIMITED 4 15/12/201 4 1500.0001535.150 1569.500 0.069 1521.313 22/12/201 4 1538.000 1490.200 1563.433 0.069 1519.008 29/12/201 4 1495.150 1534.650 1558.331 0.069 1520.167 05/01/201 5 1545.350 1500.250 1549.006 0.069 1518.692 12/01/201 5 1503.900 1591.750 1549.675 0.069 1524.103 19/01/201 5 1603.000 1711.300 1550.629 0.069 1537.970 26/01/201 5 1711.300 1700.550 1560.542 0.069 1550.013 02/02/201 5 1696.000 1683.550 1568.806 0.069 1559.904 09/02/201 5 1663.300 1662.150 1575.654 0.069 1567.478 16/02/201 5 1665.000 1677.600 1580.946 0.069 1575.635 23/02/201 5 1686.450 1758.950 1589.887 0.069 1589.214 02/03/201 5 1782.000 1826.050 1598.096 0.069 1606.758 09/03/201 5 1817.200 1692.150 1602.460 0.069 1613.083 5.Graph: Larsen and Toubro INTERPRETATION The above graph show that the Larsen and Toubro is growing in bullish trend.The data collected of 1year as calculated by simple moving avrage as well as BET’s GLOBAL BUSINESS SCHOOL, BELAGAVI Page 42
  • 43.
    INTIME EQUITIES LIMITED ExponentialMoving Average method the abouve graph points that the movining avrage and exponential moving average stock of Larsen and Toubro is slightly increasing.It is giving a clear picture of uptrend price future movement of 1585.841 The Larsen and Toubro have strong support level is 1500.250 and restent level is 1578.370. This resistance break out the stock price will go up to Rs1595to1600. The line of the exponential moving average is going to uptraind . A rising of the of moving average reflecting a long-term uptrend. 6.Adani Ports and Special Economic Zone 6. Exponential Moving Average:- For the period 1January2014 to 9March2015 Smoothing constant DATE OPEN CLOSE 26-day SMA 2/(26+1) EMA 23/06/201 4 234.450 231.500 188.292 188.292 30/06/201 4 233.000 275.150 193.102 0.069 194.726 07/07/201 4 277.800 249.250 196.990 0.069 198.765 14/07/201 4 249.900 287.750 202.335 0.069 205.356 21/07/201 4 290.000 268.250 207.085 0.069 210.015 28/7/2014 268.400 259.100 211.413 0.069 213.651 04/08/201 4 261.850 262.050 215.810 0.069 217.236 11/08/201 266.550 272.400 220.633 0.069 221.322 BET’s GLOBAL BUSINESS SCHOOL, BELAGAVI Page 43
  • 44.
    INTIME EQUITIES LIMITED 4 18/08/201 4 274.800297.300 225.656 0.069 226.950 25/8/2014 296.500 282.850 230.102 0.069 231.091 02/09/201 4 285.000 289.450 234.046 0.069 235.414 08/09/201 4 291.500 293.350 238.285 0.069 239.706 15/09/201 4 291.900 284.600 242.252 0.069 243.031 22/09/201 4 284.000 279.100 245.833 0.069 245.703 29/09/201 4 281.000 274.600 249.473 0.069 247.843 06/10/201 4 274.600 258.750 251.977 0.069 248.651 13/10/201 4 259.500 250.200 253.975 0.069 248.766 20/10/201 4 254.000 268.150 256.646 0.069 250.202 27/10/201 4 270.300 284.550 260.433 0.069 252.746 03/11/201 4 287.000 292.800 263.825 0.069 255.713 10/11/201 4 294.950 297.250 266.617 0.069 258.790 17/11/201 4 297.900 302.450 269.502 0.069 262.024 24/11/201 4 304.000 290.300 271.981 0.069 264.119 01/12/201 4 290.000 284.550 273.019 0.069 265.632 08/12/201 4 281.700 277.850 274.838 0.069 266.537 15/12/201 4 275.500 289.100 277.025 0.069 268.208 22/12/201 4 289.800 288.550 279.219 0.069 269.715 29/12/201 4 290.350 320.000 280.944 0.069 273.440 05/01/201 5 320.500 331.150 284.094 0.069 277.715 12/01/201 5 331.500 330.950 285.756 0.069 281.658 20/01/201 5 332.000 346.050 288.748 0.069 286.428 26/01/201 5 346.050 340.500 291.879 0.069 290.433 02/02/201 5 341.450 300.100 293.342 0.069 291.149 BET’s GLOBAL BUSINESS SCHOOL, BELAGAVI Page 44
  • 45.
    INTIME EQUITIES LIMITED 09/02/201 5 298.000335.500 295.769 0.069 294.435 17/02/201 5 336.050 329.250 296.998 0.069 297.013 23/02/201 5 331.400 345.900 299.423 0.069 300.635 02/03/201 5 330.200 332.500 301.079 0.069 302.995 09/03/201 5 332.400 306.700 301.592 0.069 303.270 6.Graph:- Adani Ports and Special Economic Zone INTERPRETATION The above graph show that the Adani Ports and Special Economic Zone is growing in bullish trend.The data collected of 1year as calculated by simple moving avrage as well as Exponential Moving Average method the abouve graph points that the movining avrage and exponential moving average stock of Adani Ports and Special Economic Zone is slightly increasing.It is giving a clear picture of uptrend price future movement of 298.755 The Adani Ports and Special Economic Zone have strong support level is 262.903 and restent level is 275.837. This resistance break out the stock price will go up to Rs320to350 The line of the exponential moving average is going to uptraind . A rising of the of moving average reflecting a long-term uptrend. BET’s GLOBAL BUSINESS SCHOOL, BELAGAVI Page 45
  • 46.
    INTIME EQUITIES LIMITED 7.F.M.C.G SECTORS 7. Colgate-Palmolive co.(CL) 7. Exponential Moving Average:-For the period 1January2014 to 9March2015 Smoothing constant DATE OPEN CLOSE 26-day SMA 2/(26+1) EMA 23/06/2014 68.350 68.430 65.086 65.086 30/06/2014 68.310 68.820 65.264 0.069 65.362 07/07/2014 68.790 69.520 65.435 0.069 65.670 14/07/2014 69.780 68.900 65.597 0.069 65.910 21/07/2014 68.560 67.590 65.797 0.069 66.034 28/7/2014 67.640 63.950 65.901 0.069 65.880 04/08/2014 63.880 65.180 66.067 0.069 65.828 11/08/2014 65.340 64.130 66.123 0.069 65.702 18/08/2014 64.350 64.570 66.239 0.069 65.618 25/8/2014 64.920 64.730 66.312 0.069 65.552 02/09/2014 64.440 64.860 66.378 0.069 65.501 08/09/2014 64.440 64.480 66.403 0.069 65.426 15/09/2014 64.220 65.280 66.473 0.069 65.415 22/09/2014 65.450 65.700 66.535 0.069 65.436 29/09/2014 65.410 65.460 66.583 0.069 65.438 06/10/2014 65.160 65.290 66.582 0.069 65.427 13/10/2014 65.350 63.730 66.458 0.069 65.301 20/10/2014 63.580 65.350 66.424 0.069 65.305 27/10/2014 65.330 66.880 66.416 0.069 65.421 03/11/2014 66.800 68.050 66.431 0.069 65.616 10/11/2014 67.920 67.560 66.456 0.069 65.760 17/11/2014 67.480 68.340 66.518 0.069 65.951 24/11/2014 68.500 69.590 66.563 0.069 66.221 01/12/2014 68.670 69.370 66.615 0.069 66.454 08/12/2014 69.500 68.570 66.643 0.069 66.611 15/12/2014 68.650 69.980 66.704 0.069 66.860 22/12/2014 69.960 70.880 66.798 0.069 67.158 BET’s GLOBAL BUSINESS SCHOOL, BELAGAVI Page 46
  • 47.
    INTIME EQUITIES LIMITED 29/12/201470.650 69.040 66.807 0.069 67.297 05/01/2015 68.940 68.600 66.772 0.069 67.394 12/01/2015 68.600 69.170 66.782 0.069 67.526 20/01/2015 69.040 67.140 66.765 0.069 67.497 26/01/2015 66.960 67.520 66.902 0.069 67.499 02/02/2015 67.360 69.300 67.060 0.069 67.632 09/02/2015 69.130 70.080 67.289 0.069 67.813 17/02/2015 70.000 70.240 67.507 0.069 67.993 23/02/2015 71.010 70.820 67.742 0.069 68.203 02/03/2015 70.820 69.250 67.910 0.069 68.280 09/03/2015 69.120 68.460 68.063 0.069 68.293 7.Graph:- Colgate-Palmolive co.(CL) INTERPRETATION The above graph show that the Colgate-Palmolive co.(CL) is growing in bearish trend.The data collected of one year as calculated by simple moving avrage as well as Exponential Moving Average method the abouve graph points that the movining avrage and exponential moving average stock of Colgate-Palmolive co.(CL) is slightly increasing.It is giving a clear picture of uptrend price future movement of 67.821 The have strong support level is 66.92 and restent level is 66.388. This resistance break out the stock price will go up 70 to 75 The line of the exponential moving average is going to uptraind . A rising of the of moving average reflecting a long-term uptrend. The line of the exponential moving average is cuting the line of the close which clear indicates that the future moviment of the stock well full. BET’s GLOBAL BUSINESS SCHOOL, BELAGAVI Page 47
  • 48.
    INTIME EQUITIES LIMITED 8.ITC holdings corp.(ITC) 8. Exponential Moving Average:-For the period 1January2014 to 9March2015 Smoothing constant DATE OPEN CLOSE 26-day SMA 2/(26+1) EMA 23/06/201 4 335.00 319.75 336.11 336.11 30/06/201 4 320.60 333.40 336.83 0.07 335.91 07/07/201 4 333.40 345.90 337.72 0.07 336.65 14/07/201 4 347.25 344.10 338.46 0.07 337.20 21/07/201 4 345.00 357.30 339.73 0.07 338.69 28/07/201 4 355.25 349.55 340.68 0.07 339.49 04/08/201 4 354.00 348.55 341.64 0.07 340.16 11/08/201 4 350.50 356.85 343.07 0.07 341.40 18/08/201 4 354.60 343.65 344.07 0.07 341.57 25/08/201 4 346.70 355.30 345.13 0.07 342.58 02/09/201 4 358.00 350.80 345.62 0.07 343.19 08/09/201 4 353.00 355.65 345.94 0.07 344.12 15/09/201 4 354.45 359.40 346.01 0.07 345.25 22/09/201 4 359.00 371.70 346.52 0.07 347.21 29/09/201 4 370.70 364.10 347.26 0.07 348.46 06/10/201 364.10 353.10 347.63 0.07 348.80 BET’s GLOBAL BUSINESS SCHOOL, BELAGAVI Page 48
  • 49.
    INTIME EQUITIES LIMITED 4 13/10/201 4 352.90353.95 347.66 0.07 349.18 20/10/201 4 355.00 349.00 347.87 0.07 349.17 27/10/201 4 351.25 355.20 348.45 0.07 349.62 03/11/201 4 356.90 355.65 348.83 0.07 350.06 10/11/201 4 356.00 369.20 349.31 0.07 351.48 17/11/201 4 369.00 376.15 350.58 0.07 353.31 24/11/201 4 372.00 363.15 351.40 0.07 354.04 01/12/201 4 362.15 391.35 353.50 0.07 356.80 08/12/201 4 393.20 395.70 355.93 0.07 359.68 15/12/201 4 395.00 368.80 357.20 0.07 360.36 22/12/201 4 369.60 367.95 359.06 0.07 360.92 29/12/201 4 367.10 368.30 360.40 0.07 361.47 05/01/201 5 368.70 356.90 360.82 0.07 361.13 12/01/201 5 357.45 360.10 361.44 0.07 361.05 20/01/201 5 360.00 349.45 361.13 0.07 360.19 26/01/201 5 349.45 368.55 361.87 0.07 360.81 02/02/201 5 367.00 373.50 362.83 0.07 361.75 09/02/201 5 371.15 378.05 363.64 0.07 362.96 17/02/201 5 378.40 396.05 365.66 0.07 365.41 23/02/201 4 395.00 393.70 367.13 0.07 367.51 02/03/201 5 358.00 346.25 366.96 0.07 365.93 09/03/201 5 343.70 339.40 366.33 0.07 363.97 8.Graph:- ITC holdings corp.(ITC) BET’s GLOBAL BUSINESS SCHOOL, BELAGAVI Page 49
  • 50.
    INTIME EQUITIES LIMITED INTERPRETATION Theabove graph show that the ITC holding corporation (ITC) is growing in bearish trend and the chart also showes that the stock is moving in trading zon. The data collected of one year as calculated by simple moving avrage as well as Exponential Moving Average method the abouve graph points that the movining avrage and exponential moving average stock of ITC holding corporation (ITC) is slightly increasing.It is giving a clear picture of downtrend price future movement of 361.84 The ITC holding corporation (ITC) have strong support level is 338.650 and restent level is 353.25. This resistance break out the stock price will go up to Rs380to400. The line of the exponential moving average is crossing the closing price line which means that the price of the stock well fall in the future. The line of the exponential moving average is going to uptraind . A rising of the of moving average reflecting a long-term uptrend. 9. Procter and Gamble CO BET’s GLOBAL BUSINESS SCHOOL, BELAGAVI Page 50
  • 51.
    INTIME EQUITIES LIMITED 9.ExponentialMoving Average:- For the period 1January2014 to 9March2015 Smoothing constant DATE OPEN CLOSE 26-day SMA 2/(26+1) EMA 23/06/201 4 80.060 79.020 79.732 79.732 30/06/201 4 79.010 79.980 79.714 0.069 79.751 07/07/201 4 79.750 81.160 79.747 0.069 79.855 14/07/201 4 81.360 80.550 79.773 0.069 79.907 21/07/201 4 80.330 79.560 79.788 0.069 79.881 28/7/2014 79.410 79.650 79.904 0.069 79.864 04/08/201 4 81.230 81.780 80.076 0.069 80.006 11/08/201 4 79.460 80.950 80.136 0.069 80.076 18/08/201 4 81.990 83.390 80.344 0.069 80.321 25/08/201 4 83.740 83.110 80.515 0.069 80.528 02/09/201 4 83.210 83.770 80.723 0.069 80.768 08/09/201 4 83.570 83.260 80.887 0.069 80.953 15/09/201 4 83.180 84.470 81.141 0.069 81.213 22/09/201 4 84.640 84.580 81.326 0.069 81.462 29/09/201 4 84.110 83.790 81.481 0.069 81.635 06/10/201 4 83.570 84.690 81.632 0.069 81.861 13/10/201 4 84.310 83.270 81.690 0.069 81.966 20/10/201 4 83.250 85.160 81.834 0.069 82.202 27/10/201 4 84.960 87.270 82.040 0.069 82.578 03/11/201 4 86.660 89.130 82.299 0.069 83.063 10/11/201 4 88.920 88.110 82.598 0.069 83.437 17/11/201 4 88.000 88.600 82.909 0.069 83.819 24/11/201 4 88.880 90.430 83.280 0.069 84.309 BET’s GLOBAL BUSINESS SCHOOL, BELAGAVI Page 51
  • 52.
    INTIME EQUITIES LIMITED 01/12/201 4 90.17090.380 83.678 0.069 84.759 08/12/201 4 90.340 89.550 84.059 0.069 85.114 15/12/201 4 89.700 92.050 84.525 0.069 85.627 22/12/201 4 92.100 93.460 85.081 0.069 86.208 29/12/201 4 93.120 90.440 85.483 0.069 86.521 05/01/201 5 90.230 90.250 85.833 0.069 86.797 12/01/201 5 90.480 91.250 86.244 0.069 87.127 20/01/201 5 91.250 90.080 86.649 0.069 87.346 26/01/201 5 89.950 84.290 86.827 0.069 87.119 02/02/201 5 84.580 85.610 86.975 0.069 87.008 09/02/201 5 85.310 85.900 87.165 0.069 86.926 17/02/201 5 86.060 84.870 87.222 0.069 86.773 23/02/201 5 84.960 85.130 87.300 0.069 86.652 02/03/201 5 85.130 82.660 87.257 0.069 86.356 09/03/201 5 82.790 81.830 87.202 0.069 86.021 9.Graph:- Procter and Gamble CO INTERPRETATION The above graph show that the Procter and Gamble CO is growing in bearish trend.The data collected of one year as calculated by simple moving avrage as well as BET’s GLOBAL BUSINESS SCHOOL, BELAGAVI Page 52
  • 53.
    INTIME EQUITIES LIMITED ExponentialMoving Average method the abouve graph points that the movining avrage and exponential moving average stock of Procter and Gamble CO is slightly increasing.It is giving a clear picture of uptrend price future movement of 86.98 The Procter and Gamble CO have strong support level is 83.27 and restent level is 80.729. This resistance break out the stock price will go up to Rs90 to 95 The line of the exponential moving average is falling . A falling of the of moving average reflecting a long-term downtrend. 10.BANKING SECTORS 10. State Bank of India Relative Strength index :- For the period 1January2014 to 9March2015 AVG GAIN AVG LOSS RS 30- DAYS DATE CLOSE CHANGE GAIN LOSS 30DAYS 30DAYS RSI 28/07/2014 244 -6 0 6.335 5.484 3.092 1.774 63.945 04/08/2014 242 -2 0 1.925 5.484 2.785 1.969 66.323 11/08/2014 236 -6 0 5.545 5.439 2.969 1.832 64.687 18/08/2014 252 16 16.22 0 5.980 2.968 2.015 66.829 25/08/2014 246 -6 0 6.4 5.980 2.857 2.093 67.669 01/09/2014 252 6 5.505 0 6.151 2.857 2.153 68.283 08/09/2014 253 1 0.985 0 6.184 2.682 2.306 69.748 15/09/2014 257 4 4.24 0 6.235 2.682 2.325 69.923 22/09/2014 245 -12 0 12.275 6.131 3.091 1.983 66.482 BET’s GLOBAL BUSINESS SCHOOL, BELAGAVI Page 53
  • 54.
    INTIME EQUITIES LIMITED 29/09/2014242 -2 0 2.19 5.743 3.164 1.815 64.477 06/10/2014 245 3 2.855 0 5.823 3.164 1.840 64.794 13/10/2014 252 7 6.81 0 5.890 3.164 1.862 65.054 20/10/2014 257 5 5 0 5.391 3.164 1.704 63.015 27/10/2014 270 13 13.28 0 5.831 3.164 1.843 64.823 03/11/2014 274 4 3.97 0 5.659 3.164 1.788 64.137 10/11/2014 279 5 4.54 0 5.733 3.164 1.812 64.436 17/11/2014 306 27 26.71 0 6.397 3.164 2.022 66.905 24/11/2014 321 16 15.9 0 6.927 3.041 2.278 69.494 01/12/2014 318 -4 0 3.85 6.510 3.169 2.054 67.258 08/12/2014 311 -6 0 6.2 5.697 3.376 1.688 62.792 15/12/2014 304 -7 0 7.2 4.576 3.616 1.266 55.860 22/12/2014 308 4 3.5 0 4.692 2.912 1.612 61.710 29/12/2014 315 8 7.6 0 4.287 2.912 1.472 59.555 05/01/2015 303 -12 0 12.05 4.287 2.874 1.492 59.871 12/01/2015 315 12 12.25 0 4.696 2.791 1.682 62.721 19/01/2014 327 12 12 0 4.909 2.791 1.759 63.756 26/01/2015 309 -19 0 18.5 4.712 3.408 1.383 58.034 02/02/2015 290 -19 0 18.65 4.712 3.577 1.317 56.846 09/02/2015 307 17 16.65 0 5.267 3.577 1.472 59.554 16/02/2015 302 -5 0 4.65 5.267 3.526 1.494 59.903 23/02/2015 300 -2 0 2.4 5.267 3.395 1.552 60.810 2/03/015 315 15 15.1 0 5.771 3.330 1.733 63.406 09/03/2015 287 -28 0 28.15 5.771 4.084 1.413 58.558 10.Graph: State Bank of India INTERPRETATION When the RSI has crossed the 30 line from below to above and is rising, a buying opportunity is indicated. When it has crossed the 70 line from above to below and is falling, a sell signal is indicated. In the month of 19th January 2015 and 2nd March BET’s GLOBAL BUSINESS SCHOOL, BELAGAVI Page 54
  • 55.
    INTIME EQUITIES LIMITED 2015shows the sell signal. In the month of 15th December 2014 and in the month of 2nd February 2015 it indicates the buying signal. 11. HDFC Bank Relative Strength Index :-It indicates HDFC Bank. For the period 1January2014 9March2015 AVG GAIN AVG LOSS RS 30-DAYS DATE CLOSE CHANGE GAIN LOSS 30DAYS 30DAYS RSI 28/07/2014 815.45 -20.05 0 20.05 12.390 7.312 1.695 62.888 04/08/2014 796.15 -19.3 0 19.3 12.390 7.920 1.564 61.004 11/08/2014 826.7 30.55 30.55 0 13.310 7.920 1.681 62.694 18/08/2014 846.75 20.05 20.05 0 13.698 7.920 1.730 63.364 25/08/2014 843.55 -3.2 0 3.2 13.698 6.530 2.098 67.719 01/09/2014 848.45 4.9 4.9 0 13.220 6.530 2.025 66.937 08/09/2014 855.7 7.25 7.25 0 13.462 6.332 2.126 68.011 15/09/2014 860.25 4.55 4.55 0 12.860 6.332 2.031 67.008 22/09/2014 871.65 11.4 11.4 0 13.240 6.043 2.191 68.660 29/09/2014 868 -3.65 0 3.65 11.383 6.165 1.846 64.868 06/10/2014 867.3 -0.7 0 0.7 10.693 6.188 1.728 63.343 13/10/2014 885.25 17.95 17.95 0 11.235 6.188 1.816 64.482 20/10/2014 893.65 8.4 8.4 0 11.145 6.188 1.801 64.298 27/10/2014 911.85 18.2 18.2 0 11.752 5.538 2.122 67.968 03/11/2014 899.45 -12.4 0 12.4 11.328 5.952 1.903 65.557 10/11/2014 930.1 30.65 30.65 0 12.350 4.923 2.508 71.497 17/11/2014 932.85 2.75 2.75 0 11.805 4.923 2.398 70.569 24/11/2014 957.15 24.3 24.3 0 12.615 4.613 2.734 73.222 01/12/2014 942.75 -14.4 0 14.4 11.292 5.093 2.217 68.915 08/12/2014 931.5 -11.25 0 11.25 9.695 5.468 1.773 63.937 15/12/2014 941.45 9.95 9.95 0 10.027 4.967 2.019 66.874 BET’s GLOBAL BUSINESS SCHOOL, BELAGAVI Page 55
  • 56.
    INTIME EQUITIES LIMITED 22/12/2015948.65 7.2 7.2 0 10.163 4.967 2.046 67.173 29/12/2014 965.3 16.65 16.65 0 9.968 4.967 2.007 66.745 05/01/2015 975.65 10.35 10.35 0 9.642 4.967 1.941 66.001 12/01/2015 1001.35 25.7 25.7 0 10.498 4.518 2.323 69.911 19/01/2015 1042.8 41.45 41.45 0 11.880 4.327 2.746 73.303 26/01/2015 1077.35 34.55 34.55 0 11.683 4.327 2.700 72.975 02/02/2015 1093 15.65 15.65 0 12.205 2.832 4.310 81.168 09/02/2015 1065.8 -27.2 0 27.2 11.517 3.738 3.081 75.494 23/02/2015 1054 -11.8 0 11.8 11.415 4.132 2.763 73.424 2/3/2015 1085.1 31.1 31.1 0 12.452 3.463 3.595 78.239 09/03/2015 1042.65 -42.45 0 42.45 12.452 4.235 2.940 74.620 11.Graph:- HDFC Bank INTERPRETATION When the RSI has crossed the 30 line from below to above and is rising, a buying opportunity is indicated. When it has crossed the 70 line from above to below and is falling, a sell signal is indicated. In the month of 2nd February 2015 and 2nd March 2015 shows the sell signal. In the month of 8th December 2014 and in the month of 23rd February 2015 it indicates the buying signal. BET’s GLOBAL BUSINESS SCHOOL, BELAGAVI Page 56
  • 57.
    INTIME EQUITIES LIMITED 12.ICICI Bank:- Relative Strength Index:-For the period 1January2014 to 9March2015 AVG GAIN AVG LOSS RS 30- DAYS DATE CLOSE CHANGE GAIN LOSS 30DAYS 30DAYS RSI 28/07/2014 295.13 0 0 0 5.808 3.082 1.884 65.331 04/08/2014 287.43 -7.7 0 7.7 5.808 3.057 1.900 65.517 11/08/2014 295.93 8.5 8.5 0 6.024 3.057 1.971 66.339 18/08/2014 307.91 11.98 11.98 0 6.266 3.057 2.050 67.211 25/08/2014 311.36 3.45 3.45 0 6.381 2.587 2.467 71.155 01/09/2014 309.41 -1.95 0 1.95 6.381 2.470 2.583 72.092 08/09/2014 312.88 3.47 3.47 0 6.310 2.470 2.555 71.867 15/09/2014 314.44 1.56 1.56 0 6.116 2.470 2.476 71.232 22/09/2014 295.59 -18.85 0 18.85 5.992 3.098 1.934 65.917 29/09/2015 285.77 -9.82 0 9.82 4.939 3.426 1.442 59.044 06/10/2014 291.79 6.02 6.02 0 5.052 3.426 1.475 59.592 13/10/2014 301.04 9.25 9.25 0 5.360 3.323 1.613 61.734 20/10/2014 314.2 13.16 13.16 0 5.401 3.323 1.626 61.913 27/10/2014 325.33 11.13 11.13 0 5.772 3.131 1.844 64.833 03/11/2014 336.94 11.61 11.61 0 6.122 3.131 1.955 66.162 10/11/2014 338.46 1.52 1.52 0 5.994 3.131 1.914 65.688 17/11/2014 346.14 7.68 7.68 0 6.199 3.131 1.980 66.442 24/11/2014 355.8 9.66 9.66 0 6.521 3.010 2.166 68.416 01/12/2014 359.8 289.624 289.624 0 15.012 12.209 1.230 55.148 08/12/2014 346.3 -13.5 0 13.5 14.434 12.659 1.140 53.275 15/12/2014 356 9.7 9.7 0 14.757 12.629 1.168 53.885 22/12/2014 350.95 -5.05 0 5.05 14.757 12.512 1.179 54.116 29/12/2014 362.3 11.35 11.35 0 14.680 12.512 1.173 53.986 05/01/2015 341.85 -20.45 0 20.45 14.680 12.808 1.146 53.406 12/01/2015 353.85 12 12 0 15.080 12.598 1.197 54.485 19/01/2015 370.7 16.85 16.85 0 15.642 12.516 1.250 55.550 26/01/2015 360.7 -10 0 10 15.121 12.850 1.177 54.060 02/02/2015 329.35 -31.35 0 31.35 15.121 13.186 1.147 53.417 09/02/2015 343.85 14.5 14.5 0 14.778 13.186 1.121 52.846 16/02/2015 330.95 -12.9 0 12.9 14.778 13.584 1.088 52.105 23/02/2015 335.25 4.3 4.3 0 14.922 13.584 1.098 52.346 02/03/2015 347.75 12.5 12.5 0 15.338 13.328 1.151 53.507 09/03/2015 330.2 -17.55 0 17.55 15.055 13.913 1.082 51.972 BET’s GLOBAL BUSINESS SCHOOL, BELAGAVI Page 57
  • 58.
    INTIME EQUITIES LIMITED 12.Graph:-ICICI BANK INTERPRETATION When the RSI has crossed the 30 line from below to above and is rising, a buying opportunity is indicated. When it has crossed the 70 line from above to below and is falling, a sell signal is indicated. In the month of 19th January 2015and 2nd February 2015 shows the sell signal. In the month of 8th December 2014 and in the month of 16th February 2015 it indicates the buying signal. 13. INFRASTRUCTURE SECTORS 13.BHEL(Bharat Heavy Electricals). BET’s GLOBAL BUSINESS SCHOOL, BELAGAVI Page 58
  • 59.
    INTIME EQUITIES LIMITED RelativeStrength Index:- For the period 1January2014 to 9March2015 AVG GAIN AVG LOSS RS 30- DAYS DATE CLOSE CHANGE GAIN LOSS 30DAYS 30DAYS RSI 04/08/2014 220.9 -3.2 0 3.2 7.773 5.925 1.312 56.747 11/08/2014 212.95 -7.95 0 7.95 7.773 6.108 1.273 55.997 18/08/2014 227.5 14.55 14.55 0 7.963 6.108 1.304 56.591 25/08/2014 240.9 13.4 13.4 0 8.410 5.880 1.430 58.852 01/09/2014 222.8 -18.1 0 18.1 8.152 6.483 1.257 55.700 08/09/2014 220.7 -2.1 0 2.1 8.152 5.987 1.362 57.656 15/09/2014 226.5 5.8 5.8 0 8.345 5.745 1.453 59.226 22/09/2014 205.35 -21.15 0 21.15 8.275 6.450 1.283 56.197 29/09/2014 199.45 -5.9 0 5.9 7.703 6.647 1.159 53.682 06/10/2014 221.6 22.15 22.15 0 7.872 6.647 1.184 54.219 13/10/2014 226.75 5.15 5.15 0 7.940 6.647 1.195 54.433 20/10/2014 241.7 14.95 14.95 0 8.438 6.640 1.271 55.963 27/10/2014 256.7 15 15 0 8.527 6.640 1.284 56.220 03/11/2014 249 -7.7 0 7.7 8.527 6.343 1.344 57.341 10/11/2014 245.85 -3.15 0 3.15 8.462 6.448 1.312 56.752 17/11/2014 252.25 6.4 6.4 0 8.675 6.308 1.375 57.898 24/11/2014 283.8 31.55 31.55 0 9.395 6.308 1.489 59.828 01/12/2014 272.2 -11.6 0 11.6 9.395 6.333 1.483 59.733 08/12/2014 247.35 -24.85 0 24.85 8.938 7.162 1.248 55.518 15/12/2014 259.05 11.7 11.7 0 8.077 7.162 1.128 53.002 22/12/2014 251.55 -7.5 0 7.5 6.725 7.412 0.907 47.571 29/12/2014 275.3 23.75 23.75 0 7.517 6.413 1.172 53.960 05/01/2015 254.75 -20.55 0 20.55 6.832 7.098 0.962 49.043 12/01/2015 273.85 19.1 19.1 0 7.468 6.265 1.192 54.381 19/01/2015 279.1 5.25 5.25 0 7.420 6.265 1.184 54.220 26/01/2015 291.75 12.65 12.65 0 7.227 6.265 1.153 53.564 02/02/2015 264.15 -27.6 0 27.6 7.227 5.863 1.233 55.208 09/02/2015 259.35 -4.8 0 4.8 6.713 6.023 1.115 52.709 16/02/2015 276.3 16.95 16.95 0 7.278 5.637 1.291 56.356 23/02/2015 270.9 -5.4 0 5.4 7.278 5.718 1.273 56.002 02/03/2015 270.35 -0.55 0 0.55 7.278 5.630 1.293 56.385 09/03/2015 254.75 -15.6 0 15.6 7.278 5.885 1.237 55.292 13.Graph:- BHEL(Bharat Heavy Electricals). BET’s GLOBAL BUSINESS SCHOOL, BELAGAVI Page 59
  • 60.
    INTIME EQUITIES LIMITED INTERPRETATION Whenthe RSI has crossed the 30 line from below to above and is rising, a buying opportunity is indicated. When it has crossed the 70 line from above to below and is falling, a sell signal is indicated. In the month of 2nd February 2015 and 2nd March 2015 shows the sell signal. In the month of 22nd December 2014 and in the month of 9th February 2015 it indicates the buying signal. 14. Larsen and Toubro:- Relative Strength Index:- For the period 1January2014 to 9March2015 AVG GAIN AVG LOSS RS 30- DAYS DATE CLOSE CHANGE GAIN LOSS 30DAYS 30DAYS RSI 04/08/2014 1468.7 25.9 25.9 0 38.510 23.288 1.654 62.316 BET’s GLOBAL BUSINESS SCHOOL, BELAGAVI Page 60
  • 61.
    INTIME EQUITIES LIMITED 11/08/20141484.1 15.4 15.4 0 39.023 21.422 1.822 64.560 18/08/2014 1540 55.9 55.9 0 39.327 21.422 1.836 64.737 25/08/2014 1526.5 -13.5 0 13.5 39.210 21.872 1.793 64.193 01/09/2014 1612.6 86.1 86.1 0 42.080 21.190 1.986 66.509 08/09/2014 1578.7 -33.9 0 33.9 42.080 22.262 1.890 65.401 15/09/2014 1532.45 -46.25 0 46.25 41.793 23.803 1.756 63.713 22/09/2014 1476 -56.45 0 56.45 39.713 25.685 1.546 60.725 29/09/2014 1446.85 -29.15 0 29.15 37.897 26.657 1.422 58.706 06/10/2014 1461.7 14.85 14.85 0 35.425 26.657 1.329 57.062 13/10/2014 1452.9 -8.8 0 8.8 33.548 26.950 1.245 55.453 20/10/2014 1553.75 100.85 100.85 0 36.910 25.672 1.438 58.979 27/10/2014 1655.45 101.7 101.7 0 37.915 25.672 1.477 59.627 03/11/2014 1653.8 -1.65 0 1.65 37.915 25.358 1.495 59.923 10/11/2014 1621.65 -32.15 0 32.15 37.202 26.430 1.408 58.464 17/11/2014 1666.3 44.65 44.65 0 38.690 25.445 1.521 60.326 24/11/2014 1639.35 -26.95 0 26.95 35.992 26.343 1.366 57.739 01/12/2014 1628.5 -10.85 0 10.85 35.992 23.827 1.511 60.168 08/12/2014 1510.95 -117.55 0 117.55 33.353 27.745 1.202 54.590 15/12/2014 1535.15 24.2 24.2 0 31.327 27.745 1.129 53.032 22/12/2014 1490.2 -44.95 0 44.95 28.450 29.243 0.973 49.312 29/12/2014 1534.65 44.45 44.45 0 28.882 29.243 0.988 49.689 05/01/2015 1500.25 -34.4 0 34.4 24.030 30.390 0.791 44.157 12/01/2015 1591.75 91.5 91.5 0 27.080 30.220 0.896 47.260 19/01/2015 1711.3 119.55 119.55 0 31.065 28.953 1.073 51.759 26/01/2015 1700.55 -10.75 0 10.75 30.420 29.312 1.038 50.928 02/02/2015 1683.55 -17 0 17 27.907 29.878 0.934 48.294 09/02/2015 1662.15 -21.4 0 21.4 27.907 24.980 1.117 52.767 16/02/2015 1677.6 15.45 15.45 0 24.683 24.980 0.988 49.701 23/02/2015 1758.95 81.35 81.35 0 27.395 16.857 1.625 61.907 02/03/2015 1826.05 67.1 67.1 0 28.768 16.857 1.707 63.054 09/03/2015 1692.15 -133.9 0 133.9 28.255 21.320 1.325 56.994 14.Graph:- Larsen and Toubro BET’s GLOBAL BUSINESS SCHOOL, BELAGAVI Page 61
  • 62.
    INTIME EQUITIES LIMITED INTERPRETATION Whenthe RSI has crossed the 30 line from below to above and is rising, a buying opportunity is indicated. When it has crossed the 70 line from above to below and is falling, a sell signal is indicated. In the month of 9th February2015and 2nd March2015 shows the sell signal. In the month of 5January2015and in the month of 16th February 2015 it indicates the buying signal. 15. ADANI PORTS AND SPECIAL ECONOMIC ZONE: Relative Strength Index:- For the period 1January2014 to 9March2015 DATE CLOSE CHANGE GAIN LOSS AVG GAIN AVG LOSS RS 30- DAYS 28/7/2014 259.1 -9.15 0 9.15 7.458 3.825 1.950 66.100 04/08/2014 262.05 2.95 2.95 0 7.557 3.760 2.010 66.775 11/08/2014 272.4 10.35 10.35 0 7.880 3.760 2.096 67.698 18/08/2014 297.3 24.9 24.9 0 8.710 3.625 2.403 70.612 25/8/2014 282.85 -14.45 0 14.45 8.650 4.107 2.106 67.808 02/09/2014 289.45 6.6 6.6 0 8.830 4.107 2.150 68.256 08/09/2014 293.35 3.9 3.9 0 8.960 4.082 2.195 68.703 15/09/2014 284.6 -8.75 0 8.75 8.303 4.373 1.899 65.501 22/09/2014 279.1 -5.5 0 5.5 8.285 4.557 1.818 64.517 29/09/2014 274.6 -4.5 0 4.5 7.630 4.707 1.621 61.848 06/10/2014 258.75 -15.85 0 15.85 7.630 5.110 1.493 59.890 13/10/2014 250.2 -8.55 0 8.55 7.630 5.338 1.429 58.836 BET’s GLOBAL BUSINESS SCHOOL, BELAGAVI Page 62
  • 63.
    INTIME EQUITIES LIMITED 20/10/2014268.15 17.95 17.95 0 8.077 5.338 1.513 60.206 27/10/2014 284.55 16.4 16.4 0 8.623 5.137 1.679 62.670 03/11/2014 292.8 8.25 8.25 0 8.442 5.137 1.643 62.170 10/11/2014 297.25 4.45 4.45 0 8.437 5.137 1.642 62.156 17/11/2014 302.45 5.2 5.2 0 8.595 5.137 1.673 62.593 24/11/2014 290.3 -12.15 0 12.15 8.595 5.122 1.678 62.661 01/12/2014 284.55 -5.75 0 5.75 7.978 5.313 1.502 60.025 08/12/2014 277.85 -6.7 0 6.7 7.310 5.537 1.320 56.902 15/12/2014 289.1 11.25 11.25 0 7.592 5.537 1.371 57.827 22/12/2014 288.55 -0.55 0 0.55 7.592 5.502 1.380 57.981 29/12/2014 320 31.45 31.45 0 7.583 5.502 1.378 57.954 05/01/2015 331.15 11.15 11.15 0 7.955 4.602 1.729 63.353 12/01/2015 330.95 -0.2 0 0.2 7.898 4.608 1.714 63.153 20/01/2015 346.05 15.1 15.1 0 8.402 4.583 1.833 64.703 26/01/2015 340.5 -5.55 0 5.55 6.947 4.768 1.457 59.297 02/02/2015 300.1 -40.4 0 40.4 6.947 5.252 1.323 56.948 09/02/2015 335.5 35.4 35.4 0 6.843 5.252 1.303 56.580 17/02/2015 329.25 -6.25 0 6.25 6.843 4.810 1.423 58.724 23/02/2015 345.9 16.65 16.65 0 7.398 4.505 1.642 62.153 02/03/2015 332.5 -13.4 0 13.4 7.300 4.952 1.474 59.584 09/03/2015 306.7 -25.8 0 25.8 6.955 5.812 1.197 54.478 15.Graph:- Adani Ports and Special Economic Zone: INTERPRETATION When the RSI has crossed the 30 line from below to above and is rising, a buying opportunity is indicated. When it has crossed the 70 line from above to below and is falling, a sell signal is indicated. In the month of 20th January2015 and 23rd February2015 shows the sell signal. In the month of 15th December2014 and in the month of 17th February2015it indicates the buying signal. BET’s GLOBAL BUSINESS SCHOOL, BELAGAVI Page 63
  • 64.
    INTIME EQUITIES LIMITED 16.F.M.C.GSECTORS: 16. Colgate-Palmolive co.(CL) Relative Strength Index:-For the period 1January2014 to 9March2015 AVG GAIN AVG LOSS RS 30- DAYS DATE CLOSE CHANGE GAIN LOSS 30DAYS 30DAYS RSI 28/7/2014 63.95 -3.64 0 3.64 0.440 0.448 0.983 49.568 04/08/2014 65.18 1.23 1.23 0 0.451 0.448 1.007 50.185 11/08/2014 64.13 -1.05 0 1.05 0.451 0.470 0.960 48.969 18/08/2014 64.57 0.44 0.44 0 0.466 0.393 1.185 54.228 25/8/2014 64.73 0.16 0.16 0 0.471 0.355 1.329 57.062 02/09/2014 64.86 0.13 0.13 0 0.476 0.342 1.389 58.150 08/09/2014 64.48 -0.38 0 0.38 0.415 0.355 1.169 53.896 15/09/2014 65.28 0.8 0.8 0 0.442 0.318 1.390 58.165 22/09/2014 65.7 0.42 0.42 0 0.413 0.318 1.301 56.544 29/09/2014 65.46 -0.24 0 0.24 0.403 0.326 1.238 55.327 06/10/2014 65.29 -0.17 0 0.17 0.380 0.331 1.147 53.421 13/10/2014 63.73 -1.56 0 1.56 0.380 0.371 1.024 50.599 20/10/2014 65.35 1.62 1.62 0 0.413 0.371 1.112 52.658 27/10/2014 66.88 1.53 1.53 0 0.460 0.371 1.239 55.337 03/11/2014 68.05 1.17 1.17 0 0.462 0.371 1.246 55.480 10/11/2014 67.56 -0.49 0 0.49 0.408 0.387 1.053 51.299 17/11/2014 68.34 0.78 0.78 0 0.434 0.364 1.192 54.386 24/11/2014 69.59 1.25 1.25 0 0.447 0.364 1.228 55.117 BET’s GLOBAL BUSINESS SCHOOL, BELAGAVI Page 64
  • 65.
    INTIME EQUITIES LIMITED 01/12/201469.37 -0.22 0 0.22 0.429 0.371 1.154 53.583 08/12/2014 68.57 -0.8 0 0.8 0.429 0.374 1.147 53.428 15/12/2014 69.98 1.41 1.41 0 0.476 0.367 1.295 56.425 22/12/2014 70.88 0.9 0.9 0 0.450 0.367 1.225 55.057 29/12/2014 69.04 -1.84 0 1.84 0.450 0.416 1.082 51.963 05/01/2015 68.6 -0.44 0 0.44 0.450 0.425 1.058 51.409 12/01/2015 69.17 0.57 0.57 0 0.452 0.425 1.062 51.501 20/01/2015 67.14 -2.03 0 2.03 0.450 0.493 0.913 47.720 26/01/2015 67.52 0.38 0.38 0 0.450 0.493 0.912 47.702 02/02/2015 69.3 1.78 1.78 0 0.486 0.493 0.985 49.625 09/02/2015 70.08 0.78 0.78 0 0.512 0.472 1.083 51.999 17/02/2015 70.24 0.16 0.16 0 0.517 0.429 1.206 54.670 23/02/2015 70.82 0.58 0.58 0 0.536 0.307 1.745 63.572 02/03/2015 69.25 -1.57 0 1.57 0.495 0.360 1.377 57.934 09/03/2015 68.46 -0.79 0 0.79 0.495 0.351 1.411 58.527 16.Graph:- Colgate-Palmolive co.(CL) INTERPRETATION When the RSI has crossed the 30 line from below to above and is rising, a buying opportunity is indicated. When it has crossed the 70 line from above to below and is falling, a sell signal is indicated. In the month of 15th December2014 and 23rd February2015 shows the sell signal. In the month of 10th November2014 and in the month of 20th January2015 it indicates the buying signal. BET’s GLOBAL BUSINESS SCHOOL, BELAGAVI Page 65
  • 66.
    INTIME EQUITIES LIMITED 17.ITC holdings corp.(ITC) Relative Strength Index:- For the period 1January2014 to 9March2015 AVG GAIN AVG LOSS RS 30- DAYS DATE CLOSE CHANGE GAIN LOSS 30DAYS 30DAYS RSI 28/07/2014 349.55 -7.75 0 7.75 4.023 2.863 1.405 58.422 04/08/2014 348.55 -1 0 1 3.762 2.897 1.299 56.496 11/08/2014 356.85 8.3 8.3 0 3.963 2.897 1.368 57.775 18/08/2014 343.65 -13.2 0 13.2 3.963 3.317 1.195 54.441 25/08/2014 355.3 11.65 11.65 0 4.323 3.317 1.304 56.588 02/09/2014 350.8 -4.5 0 4.5 4.323 3.412 1.267 55.893 08/09/2014 355.65 4.85 4.85 0 4.485 3.290 1.363 57.685 15/09/2014 359.4 3.75 3.75 0 4.610 3.217 1.433 58.901 22/09/2014 371.7 12.3 12.3 0 4.685 3.217 1.456 59.291 29/09/2014 364.1 -7.6 0 7.6 4.335 3.470 1.249 55.541 06/10/2014 353.1 -11 0 11 4.033 3.837 1.051 51.249 13/10/2014 353.95 0.85 0.85 0 3.712 3.837 0.967 49.172 20/10/2014 349 -4.95 0 4.95 3.687 4.002 0.921 47.951 27/10/2014 355.2 6.2 6.2 0 3.893 3.545 1.098 52.341 03/11/2014 355.65 0.45 0.45 0 3.908 3.503 1.116 52.732 10/11/2014 369.2 13.55 13.55 0 4.035 3.503 1.152 53.526 17/11/2014 376.15 6.95 6.95 0 4.267 3.177 1.343 57.322 24/11/2014 363.15 -13 0 13 4.267 3.503 1.218 54.912 01/12/2014 391.35 28.2 28.2 0 5.030 3.503 1.436 58.945 08/12/2014 395.7 4.35 4.35 0 4.795 3.503 1.369 57.783 15/12/2014 368.8 -26.9 0 26.9 4.795 3.938 1.218 54.905 22/12/2014 367.95 -0.85 0 0.85 4.795 3.922 1.223 55.010 29/12/2014 368.3 0.35 0.35 0 4.807 3.753 1.281 56.153 05/01/2015 356.9 -11.4 0 11.4 4.807 3.997 1.203 54.601 12/01/2015 360.1 3.2 3.2 0 4.810 3.997 1.204 54.618 20/01/2015 349.45 -10.65 0 10.65 4.810 3.820 1.259 55.736 26/01/2015 368.55 19.1 19.1 0 4.992 3.820 1.307 56.648 02/02/2015 373.5 4.95 4.95 0 4.740 3.820 1.241 55.374 09/02/2015 378.05 4.55 4.55 0 4.892 3.760 1.301 56.540 17/02/2015 396.05 18 18 0 5.052 3.760 1.344 57.329 BET’s GLOBAL BUSINESS SCHOOL, BELAGAVI Page 66
  • 67.
    INTIME EQUITIES LIMITED 23/02/2014393.7 -2.35 0 2.35 5.052 3.580 1.411 58.525 02/03/2015 346.25 -47.45 0 47.45 5.052 5.128 0.985 49.623 09/03/2015 339.4 -6.85 0 6.85 4.775 5.357 0.891 47.129 17. Graph:- ITC holdings corp.(ITC) INTERPRETATION When the RSI has crossed the 30 line from below to above and is rising, a buying opportunity is indicated. When it has crossed the 70 line from above to below and is falling, a sell signal is indicated. In the month of 1st December2014 and 23rd February2015 shows the sell signal. In the month of 20th October2014 and in the month of 2nd February2015 it indicates the buying signal. 18. Procter and Gamble co: BET’s GLOBAL BUSINESS SCHOOL, BELAGAVI Page 67
  • 68.
    INTIME EQUITIES LIMITED RelativeStrength Index:-For the period 1January2014 to 9March2015 AVG GAIN AVG LOSS RS 30- DAYS DATE CLOSE CHANGE GAIN LOSS 30DAYS 30DAYS RSI 28/7/2014 79.65 0.09 0.09 0 0.397 0.424 0.937 48.375 04/08/2014 81.78 2.13 2.13 0 0.468 0.419 1.118 52.782 11/08/2014 80.95 -0.83 0 0.83 0.468 0.432 1.082 51.981 18/08/2014 83.39 2.44 2.44 0 0.549 0.409 1.343 57.322 25/8/2014 83.11 -0.28 0 0.28 0.549 0.333 1.650 62.259 02/09/2014 83.77 0.66 0.66 0 0.548 0.333 1.647 62.216 08/09/2014 83.26 -0.51 0 0.51 0.479 0.350 1.368 57.763 15/09/2014 84.47 1.21 1.21 0 0.519 0.302 1.717 63.190 22/09/2014 84.58 0.11 0.11 0 0.500 0.302 1.653 62.303 29/09/2014 83.79 -0.79 0 0.79 0.500 0.319 1.565 61.009 06/10/2014 84.69 0.9 0.9 0 0.510 0.319 1.596 61.480 13/10/2014 83.27 -1.42 0 1.42 0.510 0.330 1.544 60.699 20/10/2014 85.16 1.89 1.89 0 0.510 0.330 1.545 60.714 27/10/2014 87.27 2.11 2.11 0 0.580 0.330 1.758 63.736 03/11/2014 89.13 1.86 1.86 0 0.609 0.330 1.845 64.856 10/11/2014 88.11 -1.02 0 1.02 0.576 0.364 1.582 61.263 17/11/2014 88.6 0.49 0.49 0 0.592 0.352 1.680 62.690 24/11/2014 90.43 1.83 1.83 0 0.636 0.352 1.805 64.351 01/12/2014 90.38 -0.05 0 0.05 0.620 0.354 1.752 63.667 08/12/2014 89.55 -0.83 0 0.83 0.620 0.313 1.982 66.464 15/12/2014 92.05 2.5 2.5 0 0.697 0.313 2.228 69.020 22/12/2014 93.46 1.41 1.41 0 0.735 0.313 2.349 70.143 29/12/2014 90.44 -3.02 0 3.02 0.735 0.388 1.894 65.441 05/01/2015 90.25 -0.19 0 0.19 0.735 0.382 1.927 65.831 12/01/2015 91.25 1 1 0 0.759 0.382 1.989 66.540 20/01/2015 90.08 -1.17 0 1.17 0.759 0.390 1.944 66.038 26/01/2015 84.29 -5.79 0 5.79 0.727 0.583 1.246 55.482 02/02/2015 85.61 1.32 1.32 0 0.732 0.583 1.254 55.640 09/02/2015 85.9 0.29 0.29 0 0.741 0.563 1.317 56.836 17/02/2015 84.87 -1.03 0 1.03 0.741 0.564 1.314 56.778 23/02/2015 85.13 0.26 0.26 0 0.747 0.564 1.324 56.965 02/03/2015 82.66 -2.47 0 2.47 0.676 0.647 1.045 51.109 09/03/2015 81.83 -0.83 0 0.83 0.676 0.647 1.045 51.109 18.Graph:- Procter and Gamble CO BET’s GLOBAL BUSINESS SCHOOL, BELAGAVI Page 68
  • 69.
    INTIME EQUITIES LIMITED INTERPRETATION Whenthe RSI has crossed the 30 line from below to above and is rising, a buying opportunity is indicated. When it has crossed the 70 line from above to below and is falling, a sell signal is indicated. In the month of 22nd December2014 and 23rd February2015 shows the sell signal. In the month of 10th November2014 and in the month of 26th January2015 it indicates the buying signal 19. BANKING SECTORS: 19. State Bank of India Moving average, convergence and divergence.(MACD):- For the period 1January2014 to 9March2015 DATE CLOSE 12 Day 26 Day MACD BET’s GLOBAL BUSINESS SCHOOL, BELAGAVI Page 69
  • 70.
    INTIME EQUITIES LIMITED EMAEMA 23/06/2014 264 239.742 198.246 41.495 30/06/2014 270 244.367 203.547 40.820 07/07/2014 256 246.196 207.451 38.744 14/07/2014 256 247.742 211.066 36.677 21/07/2014 250 248.098 213.954 34.144 28/07/2014 244 247.425 216.159 31.266 04/08/2014 242 246.559 218.058 28.501 11/08/2014 236 244.973 219.405 25.567 18/08/2014 252 246.126 221.855 24.271 25/08/2014 246 246.117 223.648 22.469 01/09/2014 252 246.957 225.717 21.240 08/09/2014 253 247.819 227.705 20.114 15/09/2014 257 249.201 229.860 19.340 22/09/2014 245 248.481 230.947 17.535 29/09/2014 242 247.536 231.790 15.745 06/10/2014 245 247.175 232.783 14.392 13/10/2014 252 247.917 234.206 13.711 20/10/2014 257 249.315 235.895 13.420 27/10/2014 270 252.540 238.442 14.098 03/11/2014 274 255.880 241.094 14.786 10/11/2014 279 259.405 243.887 15.518 17/11/2014 306 266.496 248.451 18.046 24/11/2014 321 274.943 253.854 21.089 01/12/2014 318 281.498 258.572 22.925 08/12/2014 311 286.091 262.482 23.609 15/12/2014 304 288.869 265.568 23.301 22/12/2014 308 291.758 268.686 23.073 29/12/2014 315 295.372 272.135 23.238 05/01/2015 303 296.577 274.436 22.141 12/01/2015 315 299.480 277.474 22.006 19/01/2014 327 303.783 281.176 22.607 26/01/2015 309 304.578 283.233 21.345 02/02/2015 290 302.382 283.757 18.625 09/02/2015 307 303.084 285.475 17.610 16/02/2015 302 302.964 286.721 16.243 23/02/2015 300 302.492 287.697 14.795 2/03/015 315 304.417 289.720 14.697 09/03/2015 287 301.714 289.507 12.207 19.Graph:- State Bank of India BET’s GLOBAL BUSINESS SCHOOL, BELAGAVI Page 70
  • 71.
    INTIME EQUITIES LIMITED INTERPRETATION Atthe end of 13th october2014 the SBI stocks had a bull phase as shown. and 1st December2014 it indicates the selling signal to the investors. It shows the buying signal in the month of 16th Februray2015 20.HDFC Bank Moving average, convergence and divergence.(MACD) :- For the period 1January2014 to 9March2015 DATE CLOSE 12 Day EMA 26 Day EMA MACD 23/06/2014 816.2 782.809 725.817 56.991 30/6/2014 856.65 794.169 735.509 58.660 07/07/2014 811.8 796.881 741.160 55.721 14/07/2014 832.45 802.353 747.922 54.431 21/07/2014 835.5 807.453 754.409 53.044 28/07/2014 815.45 808.683 758.931 49.752 04/08/2014 796.15 806.755 761.688 45.067 11/08/2014 826.7 809.823 766.504 43.320 18/08/2014 846.75 815.504 772.448 43.057 25/08/2014 843.55 819.819 777.715 42.105 BET’s GLOBAL BUSINESS SCHOOL, BELAGAVI Page 71
  • 72.
    INTIME EQUITIES LIMITED 01/09/2014848.45 824.224 782.954 41.270 08/09/2014 855.7 829.066 788.343 40.724 15/09/2014 860.25 833.864 793.669 40.195 22/09/2014 871.65 839.677 799.446 40.232 29/09/2014 868 844.034 804.524 39.511 06/10/2014 867.3 847.614 809.174 38.440 13/10/2014 885.25 853.404 814.809 38.595 20/10/2014 893.65 859.596 820.649 38.947 27/10/2014 911.85 867.635 827.405 40.230 03/11/2014 899.45 872.529 832.741 39.788 10/11/2014 930.1 881.386 839.953 41.433 17/11/2014 932.85 889.304 846.834 42.469 24/11/2014 957.15 899.742 855.006 44.736 01/12/2014 942.75 906.358 861.506 44.853 08/12/2014 931.5 910.226 866.690 43.536 15/12/2014 941.45 915.030 872.228 42.802 22/12/2015 948.65 920.202 877.889 42.313 29/12/2014 965.3 927.140 884.364 42.777 05/01/2015 975.65 934.603 891.126 43.478 12/01/2015 1001.35 944.872 899.291 45.582 19/01/2015 1042.8 959.938 909.921 50.017 26/01/2015 1077.35 978.001 922.323 55.678 02/02/2015 1093 995.693 934.966 60.728 09/02/2015 1065.8 1006.479 944.657 61.822 23/02/2015 1054 1013.790 952.757 61.033 2/3/2015 1085.1 1024.761 962.560 62.201 09/03/2015 1042.65 1027.513 968.492 59.020 20.Graph:- HDFC Bank INTERPRETATION BET’s GLOBAL BUSINESS SCHOOL, BELAGAVI Page 72
  • 73.
    INTIME EQUITIES LIMITED Atthe end of 1st Decembe2014 HDFC stocks had a bull phase as shown. and 23rd Februray2015 it indicates the selling signal to the investors. It shows the buying signal in the month of 13th october 2014 and 15th December 2014 21.ICICI Bank Moving average, convergence and divergence.(MACD):- For the period 1January2014 to 9March2015 DATE CLOSE 12 Day EMA 26 Day EMA MACD 23/06/2014 276.93 272.015 244.128 27.887 30/06/2014 292.57 275.177 247.020 28.157 07/07/2014 271.32 274.584 248.117 26.467 14/07/2014 296.09 277.893 250.963 26.929 21/07/2014 295.13 280.545 253.520 27.025 28/07/2014 295.13 282.788 255.880 26.909 04/08/2014 287.43 283.503 257.488 26.015 11/08/2014 295.93 285.414 259.602 25.813 18/08/2014 307.91 288.875 262.441 26.435 25/08/2014 311.36 292.334 265.317 27.018 01/09/2014 309.41 294.961 267.827 27.135 08/09/2014 312.88 297.718 270.401 27.317 15/09/2014 314.44 300.291 272.893 27.398 22/09/2014 295.59 299.568 273.797 25.771 29/09/2015 285.77 297.445 273.904 23.541 06/10/2014 291.79 296.575 274.448 22.127 13/10/2014 301.04 297.262 275.636 21.626 20/10/2014 314.2 299.868 277.707 22.160 27/10/2014 325.33 303.785 280.444 23.341 03/11/2014 336.94 308.886 283.830 25.056 10/11/2014 338.46 313.436 287.068 26.368 BET’s GLOBAL BUSINESS SCHOOL, BELAGAVI Page 73
  • 74.
    INTIME EQUITIES LIMITED 17/11/2014346.14 318.467 290.626 27.841 24/11/2014 355.8 324.211 294.625 27.585 01/12/2014 359.8 292.504 279.084 13.420 08/12/2014 346.3 300.780 283.268 17.513 15/12/2014 356 309.276 287.848 21.427 22/12/2014 350.95 315.687 291.702 23.985 29/12/2014 362.3 322.858 296.101 26.758 05/01/2015 341.85 325.780 298.646 27.134 12/01/2015 353.85 330.099 301.884 28.214 19/01/2015 370.7 336.345 306.122 30.223 26/01/2015 360.7 340.092 309.292 30.799 02/02/2015 329.35 338.439 309.897 28.542 09/02/2015 343.85 339.272 311.529 27.743 16/02/2015 330.95 337.991 312.080 25.911 23/02/2015 335.25 337.570 312.907 24.662 02/03/2015 347.75 339.136 314.597 24.539 09/03/2015 330.2 337.761 314.856 22.905 21.Graph:- ICICI Bank INTERPRETATION At the end of 19th January2015 the ICICI stocks had a bull phase as shown. and 24th November2014 it indicates the selling signal to the investors. It shows the buying signal in the month of 23rd February2015 BET’s GLOBAL BUSINESS SCHOOL, BELAGAVI Page 74
  • 75.
    INTIME EQUITIES LIMITED 22.Infrastructuresectors: 22.BHEL(Bharat Heavy Electricals). Moving average, convergence and divergence.(MACD):- For the period 1January2014 to 9March2015 DATE CLOSE 12 Day EMA 26 Day EMA MACD 30/06/2014 262.9 229.734 195.804 33.930 07/07/2014 223.25 228.736 197.837 30.899 14/07/2014 238.65 230.261 200.860 29.401 21/7/2014 227.05 229.767 202.800 26.967 28/07/2014 224.1 228.895 204.378 24.518 04/08/2014 220.9 227.665 205.602 22.064 11/08/2014 212.95 225.401 206.146 19.255 18/08/2014 227.5 225.724 207.728 17.996 25/08/2014 240.9 228.059 210.185 17.874 01/09/2014 222.8 227.250 211.119 16.130 08/09/2014 220.7 226.242 211.829 14.413 15/09/2014 226.5 226.282 212.916 13.366 22/09/2014 205.35 223.062 212.355 10.706 29/09/2014 199.45 219.429 211.399 8.030 06/10/2014 221.6 219.763 212.155 7.608 13/10/2014 226.75 220.838 213.236 7.602 20/10/2014 241.7 224.048 215.345 8.703 27/10/2014 256.7 229.071 218.408 10.663 03/11/2014 249 232.137 220.674 11.463 10/11/2014 245.85 234.247 222.539 11.708 17/11/2014 252.25 237.016 224.740 12.277 24/11/2014 283.8 244.214 229.115 15.099 01/12/2014 272.2 248.519 232.306 16.213 08/12/2014 247.35 248.340 233.420 14.919 15/12/2014 259.05 249.987 235.319 14.668 22/12/2014 251.55 250.228 236.521 13.706 29/12/2014 275.3 254.085 239.394 14.691 05/01/2015 254.75 254.187 240.531 13.656 12/01/2015 273.85 257.212 242.999 14.213 19/01/2015 279.1 260.580 245.673 14.906 26/01/2015 291.75 265.375 249.087 16.289 BET’s GLOBAL BUSINESS SCHOOL, BELAGAVI Page 75
  • 76.
    INTIME EQUITIES LIMITED 02/02/2015264.15 265.187 250.202 14.984 09/02/2015 259.35 264.289 250.880 13.409 16/02/2015 276.3 266.137 252.763 13.374 23/02/2015 270.9 266.869 254.106 12.763 02/03/2015 270.35 267.405 255.310 12.095 09/03/2015 254.75 265.458 255.268 10.190 22.Graph:- BHEL(Bharat Heavy Electricals). INTERPRETATION At the end of 7th July2014 the BHEL(Bharat Heavy Electricals) stocks had a bull phase as shown. and 26th January2015it indicates the selling signal to the investors. It shows the buying signal in the month of 23rd February2015 23. Larsen and Toubro:- Moving average, convergence and divergence.(MACD):- For the period 1January2014 to 9March2015 BET’s GLOBAL BUSINESS SCHOOL, BELAGAVI Page 76
  • 77.
    INTIME EQUITIES LIMITED DATECLOSE 12 Day EMA 26 Day EMA MACD 30/06/2014 1652 1481.595 1251.973 229.622 07/07/2014 1675 1511.349 1283.308 228.041 14/07/2014 1750 1548.065 1317.878 230.187 21/7/2014 1575 1552.209 1336.924 215.284 28/07/2014 1476.1 1540.500 1347.234 193.266 04/08/2014 1663.45 1559.415 1370.657 188.758 11/08/2014 1450.2 1542.613 1376.549 166.064 18/08/2014 1485.1 1533.765 1384.590 149.175 25/08/2014 1545 1535.493 1396.472 139.021 01/09/2014 1535 1535.417 1406.733 128.684 08/09/2014 1622.2 1548.768 1422.694 126.075 15/09/2014 1569.05 1551.889 1433.535 118.354 22/09/2014 1523.9 1547.583 1440.229 107.354 29/09/2014 1475.85 1536.547 1442.867 93.680 06/10/2014 1446.85 1522.747 1443.162 79.585 13/10/2014 1447.4 1511.156 1443.476 67.679 20/10/2014 1482.3 1506.716 1446.352 60.364 27/10/2014 1566 1515.837 1455.215 60.622 03/11/2014 1661 1538.170 1470.458 67.711 10/11/2014 1615 1549.990 1481.165 68.825 17/11/2014 1621 1560.914 1491.523 69.391 24/11/2014 1671 1577.851 1504.818 73.033 01/12/2014 1631.2 1586.058 1514.179 71.879 08/12/2014 1630 1592.818 1522.759 70.060 15/12/2014 1500 1578.539 1521.073 57.466 22/12/2014 1538 1572.302 1522.327 49.975 29/12/2014 1495.15 1560.432 1520.314 40.119 05/01/2015 1545.35 1558.112 1522.168 35.944 12/01/2015 1503.9 1549.772 1520.815 28.957 19/01/2015 1603 1557.961 1526.903 31.058 26/01/2015 1711.3 1581.551 1540.562 40.990 02/02/2015 1696 1599.159 1552.076 47.083 09/02/2015 1663.3 1609.027 1560.315 48.712 16/02/2015 1665 1617.638 1568.069 49.569 23/02/2015 1686.45 1628.224 1576.838 51.386 02/03/2015 1782 1651.882 1592.035 59.847 09/03/2015 1817.2 1677.316 1608.714 68.602 23.Graph:- Larsen and Toubro BET’s GLOBAL BUSINESS SCHOOL, BELAGAVI Page 77
  • 78.
    INTIME EQUITIES LIMITED INTERPRETATION Atthe end of 14th July2014 the Larsen and Toubro stocks had a bull phase as shown. and 8th December2014it indicates the selling signal to the investors. It shows the buying signal in the month of 12th January2015 24. Adani Ports and Special Economic Zone: Moving average, convergence and divergence.(MACD):- For the period 1January2014 to 9March2015 DATE CLOSE 12 Day EMA 26 Day EMA MACD 23/06/2014 231.5 217.912 188.292 29.620 30/06/2014 275.15 226.718 194.726 31.992 07/07/2014 249.25 230.185 198.765 31.420 14/07/2014 287.75 239.041 205.356 33.684 21/07/2014 268.25 243.534 210.015 33.519 BET’s GLOBAL BUSINESS SCHOOL, BELAGAVI Page 78
  • 79.
    INTIME EQUITIES LIMITED 28/7/2014259.1 245.929 213.651 32.278 04/08/2014 262.05 248.409 217.236 31.173 11/08/2014 272.4 252.100 221.322 30.778 18/08/2014 297.3 259.054 226.950 32.104 25/8/2014 282.85 262.715 231.091 31.624 02/09/2014 289.45 266.828 235.414 31.414 08/09/2014 293.35 270.908 239.706 31.203 15/09/2014 284.6 273.015 243.031 29.984 22/09/2014 279.1 273.951 245.703 28.248 29/09/2014 274.6 274.051 247.843 26.207 06/10/2014 258.75 271.697 248.651 23.046 13/10/2014 250.2 268.390 248.766 19.624 20/10/2014 268.15 268.353 250.202 18.151 27/10/2014 284.55 270.845 252.746 18.098 03/11/2014 292.8 274.222 255.713 18.509 10/11/2014 297.25 277.765 258.790 18.975 17/11/2014 302.45 281.563 262.024 19.539 24/11/2014 290.3 282.907 264.119 18.788 01/12/2014 284.55 283.160 265.632 17.528 08/12/2014 277.85 282.343 266.537 15.806 15/12/2014 289.1 283.382 268.208 15.174 22/12/2014 288.55 284.177 269.715 14.462 29/12/2014 320 289.689 273.440 16.249 05/01/2015 331.15 296.067 277.715 18.353 12/01/2015 330.95 301.434 281.658 19.776 20/01/2015 346.05 308.298 286.428 21.870 26/01/2015 340.5 313.252 290.433 22.819 02/02/2015 300.1 311.229 291.149 20.079 09/02/2015 335.5 314.963 294.435 20.528 17/02/2015 329.25 317.161 297.013 20.147 23/02/2015 345.9 321.582 300.635 20.948 02/03/2015 332.5 323.262 302.995 20.267 09/03/2015 306.7 320.714 303.270 17.444 24.Graph: Adani Ports and Special Economic Zone BET’s GLOBAL BUSINESS SCHOOL, BELAGAVI Page 79
  • 80.
    INTIME EQUITIES LIMITED INTERPRETATION Atthe end of 18th August2014 Adani Ports and Special Economic Zone the stocks had a bull phase as shown. and 20th January2015 it indicates the selling signal to the investors. It shows the buying signal in the month of 22nd December2014 25. F.M.C.G sectors: 25. Colgate-Palmolive co.(CL) Moving average, convergence and divergence.(MACD):- For the period 1January2014 to 9March2015 DATE CLOSE 12 Day EMA 26 Day EMA MACD 23/06/2014 68.43 113.560 65.086 48.474 30/06/2014 68.82 115.736 65.362 50.373 07/07/2014 69.52 117.858 65.670 52.188 14/07/2014 68.9 119.728 65.910 53.818 21/07/2014 67.59 121.258 66.034 55.223 BET’s GLOBAL BUSINESS SCHOOL, BELAGAVI Page 80
  • 81.
    INTIME EQUITIES LIMITED 28/7/201463.95 122.114 65.880 56.234 04/08/2014 65.18 123.096 65.828 57.268 11/08/2014 64.13 123.844 65.702 58.142 18/08/2014 64.57 124.604 65.618 58.986 25/8/2014 64.73 125.333 65.552 59.780 02/09/2014 64.86 126.027 65.501 60.526 08/09/2014 64.48 126.612 65.426 61.187 15/09/2014 65.28 127.276 65.415 61.862 22/09/2014 65.7 127.956 65.436 62.520 29/09/2014 65.46 128.549 65.438 63.111 06/10/2014 65.29 129.071 65.427 63.645 13/10/2014 63.73 129.315 65.301 64.014 20/10/2014 65.35 129.790 65.305 64.485 27/10/2014 66.88 130.465 65.421 65.044 03/11/2014 68.05 131.270 65.616 65.654 10/11/2014 67.56 131.940 65.760 66.180 17/11/2014 68.34 132.681 65.951 66.730 24/11/2014 69.59 133.559 66.221 67.338 01/12/2014 69.37 134.338 66.454 67.884 08/12/2014 68.57 134.936 66.611 68.325 15/12/2014 69.98 135.707 66.860 68.847 22/12/2014 70.88 136.559 67.158 69.401 29/12/2014 69.04 137.065 67.297 69.768 05/01/2015 68.6 137.466 67.394 70.072 12/01/2015 69.17 137.925 67.526 70.400 20/01/2015 67.14 138.038 67.497 70.541 26/01/2015 67.52 138.200 67.499 70.702 02/02/2015 69.3 138.625 67.632 70.993 09/02/2015 70.08 139.138 67.813 71.324 17/02/2015 70.24 139.637 67.993 71.644 23/02/2015 70.82 140.189 68.203 71.987 02/03/2015 69.25 140.459 68.280 72.179 09/03/2015 68.46 140.587 68.293 72.293 25.Graph: Colgate-Palmolive co.(CL) BET’s GLOBAL BUSINESS SCHOOL, BELAGAVI Page 81
  • 82.
    INTIME EQUITIES LIMITED INTERPRETATION Atthe end of 29th December 2014the It indicates Colgate-Palmolive co.(CL )stock had a bull phase as shown. And 2nd March2015it indicates the selling signal to the investors. It shows the buying signal in the month of 2nd September2014 26. ITC holdings corp.(ITC) Moving average, convergence and divergence.(MACD):- For the period 1January2014 to 9March2015 DATE CLOSE 12 Day EMA 26 Day EMA MACD 23/06/2014 319.75 336.688 336.110 0.579 30/06/2014 333.4 336.182 335.909 0.274 07/07/2014 345.9 337.677 336.649 1.028 14/07/2014 344.1 338.666 337.201 1.465 21/07/2014 357.3 341.532 338.690 2.843 28/07/2014 349.55 342.766 339.494 3.272 04/08/2014 348.55 343.656 340.165 3.491 BET’s GLOBAL BUSINESS SCHOOL, BELAGAVI Page 82
  • 83.
    INTIME EQUITIES LIMITED 11/08/2014356.85 345.686 341.401 4.285 18/08/2014 343.65 345.372 341.568 3.805 25/08/2014 355.3 346.900 342.585 4.315 02/09/2014 350.8 347.500 343.193 4.307 08/09/2014 355.65 348.754 344.116 4.638 15/09/2014 359.4 350.392 345.248 5.143 22/09/2014 371.7 353.670 347.208 6.462 29/09/2014 364.1 355.274 348.459 6.816 06/10/2014 353.1 354.940 348.803 6.137 13/10/2014 353.95 354.788 349.184 5.604 20/10/2014 349 353.897 349.170 4.727 27/10/2014 355.2 354.098 349.617 4.481 03/11/2014 355.65 354.336 350.064 4.273 10/11/2014 369.2 356.623 351.481 5.142 17/11/2014 376.15 359.627 353.309 6.319 24/11/2014 363.15 360.169 354.038 6.132 01/12/2014 391.35 364.966 356.802 8.165 08/12/2014 395.7 369.695 359.683 10.012 15/12/2014 368.8 369.557 360.358 9.199 22/12/2014 367.95 369.310 360.921 8.389 29/12/2014 368.3 369.154 361.467 7.687 05/01/2015 356.9 367.269 361.129 6.140 12/01/2015 360.1 366.166 361.053 5.113 20/01/2015 349.45 363.594 360.193 3.401 26/01/2015 368.55 364.357 360.812 3.545 02/02/2015 373.5 365.763 361.752 4.011 09/02/2015 378.05 367.654 362.959 4.694 17/02/2015 396.05 372.022 365.410 6.612 23/02/2015 393.7 375.357 367.506 7.851 02/03/2015 346.25 370.879 365.931 4.948 09/03/2015 339.4 366.036 363.966 2.070 26.Graph:- ITC holdings corp.(ITC) BET’s GLOBAL BUSINESS SCHOOL, BELAGAVI Page 83
  • 84.
    INTIME EQUITIES LIMITED INTERPRETATION Atthe end of 8th December2014the It indicates Colgate-Palmolive co.(CL )stock had a bull phase as shown. And 23rd February2015it indicates the selling signal to the investors. It shows the buying signal in the month of 9th March2015 27. Procter and Gamble CO Moving average, convergence and divergence.(MACD):- For the period 1January2014 to 9March2015 DATE CLOSE 12 Day EMA 26 Day EMA MACD 23/06/2014 79.02 80.099 79.732 0.367 30/06/2014 79.98 80.081 79.751 0.330 07/07/2014 81.16 80.247 79.855 0.392 14/07/2014 80.55 80.293 79.907 0.387 21/07/2014 79.56 80.181 79.881 0.300 28/7/2014 79.65 80.099 79.864 0.235 04/08/2014 81.78 80.358 80.006 0.352 11/08/2014 80.95 80.449 80.076 0.373 18/08/2014 83.39 80.901 80.321 0.580 25/8/2014 83.11 81.241 80.528 0.713 02/09/2014 83.77 81.630 80.768 0.862 08/09/2014 83.26 81.881 80.953 0.928 15/09/2014 84.47 82.279 81.213 1.066 22/09/2014 84.58 82.633 81.462 1.171 29/09/2014 83.79 82.811 81.635 1.176 06/10/2014 84.69 83.100 81.861 1.239 13/10/2014 83.27 83.126 81.966 1.161 20/10/2014 85.16 83.439 82.202 1.237 27/10/2014 87.27 84.029 82.578 1.451 03/11/2014 89.13 84.813 83.063 1.750 BET’s GLOBAL BUSINESS SCHOOL, BELAGAVI Page 84
  • 85.
    INTIME EQUITIES LIMITED 10/11/201488.11 85.321 83.437 1.884 17/11/2014 88.6 85.825 83.819 2.006 24/11/2014 90.43 86.534 84.309 2.225 01/12/2014 90.38 87.125 84.759 2.367 08/12/2014 89.55 87.498 85.114 2.385 15/12/2014 92.05 88.199 85.627 2.571 22/12/2014 93.46 89.008 86.208 2.800 29/12/2014 90.44 89.228 86.521 2.707 05/01/2015 90.25 89.386 86.797 2.588 12/01/2015 91.25 89.672 87.127 2.545 20/01/2015 90.08 89.735 87.346 2.389 26/01/2015 84.29 88.897 87.119 1.778 02/02/2015 85.61 88.392 87.008 1.384 09/02/2015 85.9 88.008 86.926 1.083 17/02/2015 84.87 87.525 86.773 0.752 23/02/2015 85.13 87.157 86.652 0.505 02/03/2015 82.66 86.465 86.356 0.109 09/03/2015 81.83 85.752 86.021 -0.269 27.Graph: Procter and Gamble CO INTERPRETATION At the end of 22nd December2014the It indicates Colgate-Palmolive co.(CL )stock had a bull phase as shown. And 1st December2014it indicates the selling signal to the investors. It shows the buying signal in the month of 9th March2015 BET’s GLOBAL BUSINESS SCHOOL, BELAGAVI Page 85
  • 86.
    INTIME EQUITIES LIMITED 6.FINDINGS • BHEL, L&T, APSEZ, SBI, HDFC, CL company is showing bullish trend so it can be said that buying of the company scripts is worthy. • ICICI, ITC, P&G company is showing bearish trend so it can be said that buying of the company scripts is not worthy. • Technical chart of HDFC bank, CL Fmcg company is showing good bullish trend so it is preferred to buy, BHEL, L&T is obviously doing good and it’s the second choice. SBI stock available at lower price buy this stock it well gives good return. • Using the technical analysis investors can reduce their risk to certain extent but cannot eliminate risk to the entirety. • Using the technical analysis we can take short term calls on security to hold, buy, or sell the stock. • If an investor options for long term investment, using technical analysis will increases his potential returns. Long term investment is known to be less risky. • The data may be the same but each method will provide its own unique interpretation with its own benefits and drawbacks The choice of charting methods to use will depend on personal preferences and trading or investing styles. • Once you have chosen a particular charting methodology it is probably best to stick with it and learn how best to read the signals. BET’s GLOBAL BUSINESS SCHOOL, BELAGAVI Page 86
  • 87.
    INTIME EQUITIES LIMITED 6.CONCLUSION • Technical analysis is a useful technique in guiding investment decisions. • In light of our study on five companies, we have seen how technical analysis can be used to predict the possible futures swings of stock prices. • After analyzing the companies, the following conclusion was drawn. • According to RSI as the Gain increases, there is increase in the RSI value, which indicates that there is increase in the share price. This states to the investor that it is a strong sell signal. Whenever there is decrease in the share price value, RSI value decreases which indicates the investor that it is a strong buy signal. • We can conclude from the result that technical indicators can play useful role in the timing stock market entry and exit. • By applying technical indicators brokers or investors enjoy substantial profit. • It can be said that some tools of technical analysis are more useful than others. • However, none of them can be termed an analysts panacea. BET’s GLOBAL BUSINESS SCHOOL, BELAGAVI Page 87
  • 88.
    INTIME EQUITIES LIMITED 7.RECOMMENDATION • Technical analysis will improve the investment decision. • Technical analysis is simple and more reliable then fundamental analysis because the information required for technical analysis is free available as compared to fundamental analysis • Investor should have knowledge regarding the market terms so that they can take maximum return from maximum investment • In case a trader entering in a new industries first he has to select stock to buy in new industries after making careful study prospects and charts of the stock • Even though technical analysis is enough for making decision In stock market, simultaneous usage of both fundamental and technical analysis will reduce errors in forecasting future prices BET’s GLOBAL BUSINESS SCHOOL, BELAGAVI Page 88
  • 89.
    INTIME EQUITIES LIMITED BIBLIOGRAPHY: BOOKS: PrasannaChandra, Chapter 12 page no 175 Investment Analysis & Portfolio Management. 3rd edition, 2008 JOURNALS MAGAZINES AND NEWSPAPERS: • M.venkatalakshmi and C.M sindhu(May 2010). A case study on technical analysis of tata motors. • Indian Journal of finance. WEBSITES: www.nseindia.com www.in.yahoo.finance.com www.bseindia.com www.icharts.com www.stockcharts.com BET’s GLOBAL BUSINESS SCHOOL, BELAGAVI Page 89
  • 90.
    INTIME EQUITIES LIMITED BET’sGLOBAL BUSINESS SCHOOL, BELAGAVI Page 90